Please wait

UNITED STATES
SECURITIES AND EXCHANGE COMMISSION
Washington, D.C. 20549
SCHEDULE 14A
Proxy Statement Pursuant to Section 14(a) of the Securities
Exchange Act of 1934 (Amendment No.    )
Filed by the Registrant þ 
Filed by a Party other than the Registrant  ☐
Check the appropriate box:
Preliminary Proxy Statement
Confidential, for Use of the Commission Only (as permitted by Rule 14a-6(e)(2))
Definitive Proxy Statement
Definitive Additional Materials
Soliciting Material Pursuant to §240.14a-12
Becton, Dickinson and Company
(Name of Registrant as Specified In Its Charter)
(Name of Person(s) Filing Proxy Statement, if other than the Registrant)
Payment of Filing Fee (Check all boxes that apply):
No fee required.
Fee paid previously with preliminary materials.
Fee computed on table in exhibit required by Item 25(b) per Exchange Act Rules 14a-6(i)(1) and 0-11.









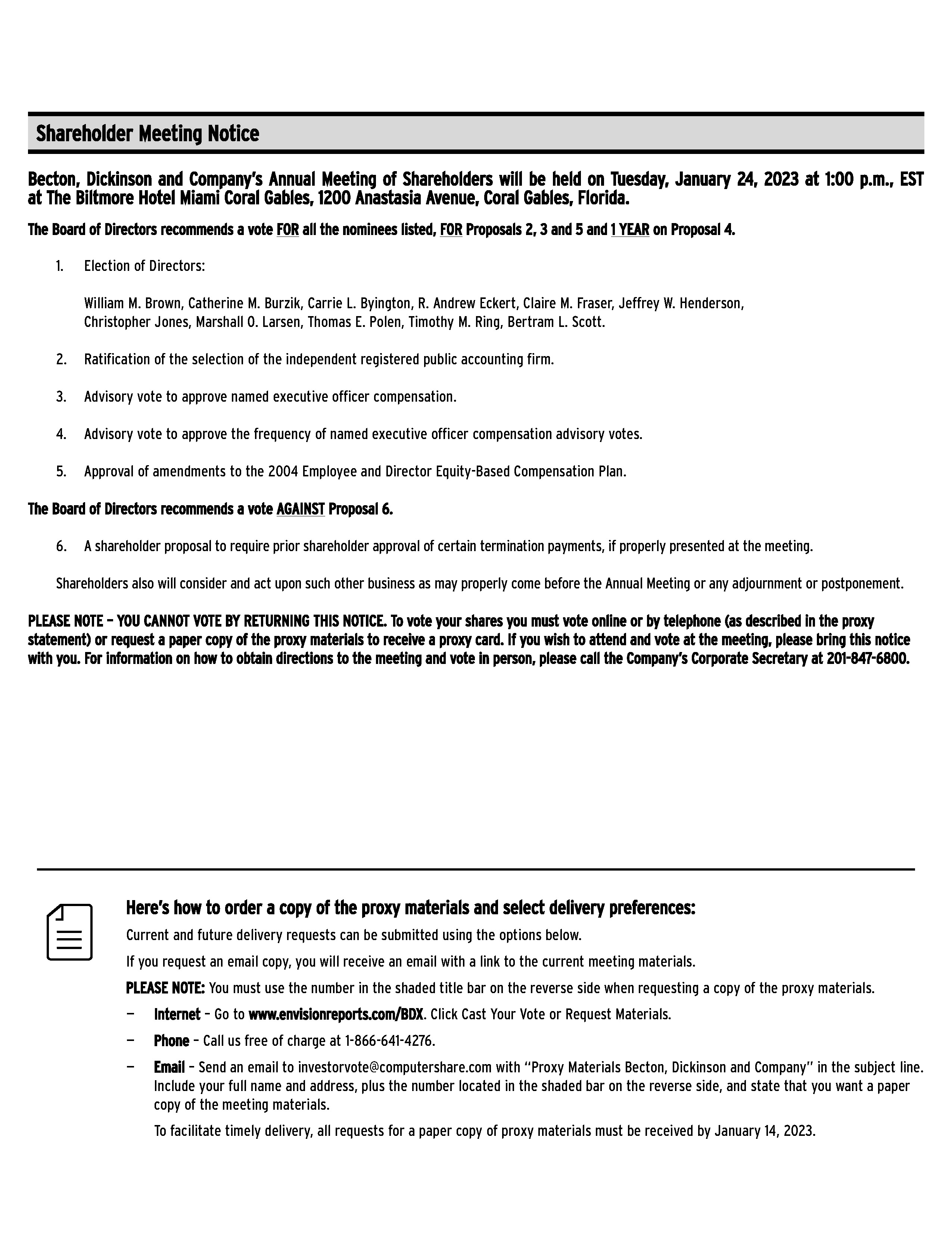
bdnoticepage1a.jpg







bdnoticepage2a.jpg