Please wait
The information in this preliminary pricing supplement is not complete and may be changed. This preliminary pricing supplement is not
an offer to sell nor does it seek an offer to buy these securities in any jurisdiction where the offer or sale is not permitted.
Subject to completion dated April 2, 2026
April , 2026 Registration Statement Nos. 333-270004 and 333-270004-01; Rule 424(b)(2)
Pricing supplement to product supplement no. 4-I dated April 13, 2023, underlying supplement no. 1-I dated April 13, 2023, the prospectus and
prospectus supplement, each dated April 13, 2023, and the prospectus addendum dated June 3, 2024
JPMorgan Chase Financial Company LLC
Structured Investments
Uncapped Dual Directional Accelerated Barrier Notes Linked
to the Least Performing of the Nasdaq-100® Technology
Sector IndexSM, the S&P 500® Index and the Russell 2000®
Index due May 5, 2031
Fully and Unconditionally Guaranteed by JPMorgan Chase & Co.
The notes are designed for investors who seek an uncapped return of at least 1.715 times any appreciation of the least
performing of the Nasdaq-100® Technology Sector IndexSM, the S&P 500® Index and the Russell 2000® Index, which we
refer to as the Indices, at maturity.
The notes are also designed for investors who seek a capped, unleveraged return equal to the absolute value of any
depreciation of the least performing Index at maturity (up to 30.00%) if the Final Value of each Index is greater than or
equal to 70.00% of its Initial Value, which we refer to as a Barrier Amount.
Investors should be willing to forgo interest and dividend payments and be willing to lose a significant portion or all of
their principal amount at maturity.
The notes are unsecured and unsubordinated obligations of JPMorgan Chase Financial Company LLC, which we refer to
as JPMorgan Financial, the payment on which is fully and unconditionally guaranteed by JPMorgan Chase & Co. Any
payment on the notes is subject to the credit risk of JPMorgan Financial, as issuer of the notes, and the credit
risk of JPMorgan Chase & Co., as guarantor of the notes.
Payments on the notes are not linked to a basket composed of the Indices. Payments on the notes are linked to the
performance of each of the Indices individually, as described below.
Minimum denominations of $1,000 and integral multiples thereof
The notes are expected to price on or about April 30, 2026 and are expected to settle on or about May 5, 2026.
CUSIP: 46660RQL1
Investing in the notes involves a number of risks. See “Risk Factors” beginning on page S-2 of the accompanying
prospectus supplement, Annex A to the accompanying prospectus addendum, “Risk Factors” beginning on page PS-11
of the accompanying product supplement and “Selected Risk Considerations” beginning on page PS-4 of this pricing
supplement.
Neither the Securities and Exchange Commission (the SEC) nor any state securities commission has approved or disapproved
of the notes or passed upon the accuracy or the adequacy of this pricing supplement or the accompanying product supplement,
underlying supplement, prospectus supplement, prospectus and prospectus addendum. Any representation to the contrary is a
criminal offense.
Price to Public (1)
Fees and Commissions (2)
Proceeds to Issuer
Per note
$1,000
$
$
Total
$
$
$
(1) See “Supplemental Use of Proceeds” in this pricing supplement for information about the components of the price to public of the
notes.
(2) J.P. Morgan Securities LLC, which we refer to as JPMS, acting as agent for JPMorgan Financial, will pay all of the selling
commissions it receives from us to other affiliated or unaffiliated dealers. In no event will these selling commissions exceed $14.00
per $1,000 principal amount note. See “Plan of Distribution (Conflicts of Interest)” in the accompanying product supplement.
If the notes priced today, the estimated value of the notes would be approximately $966.90 per $1,000 principal amount
note. The estimated value of the notes, when the terms of the notes are set, will be provided in the pricing supplement
and will not be less than $900.00 per $1,000 principal amount note. See The Estimated Value of the Notes in this
pricing supplement for additional information.
The notes are not bank deposits, are not insured by the Federal Deposit Insurance Corporation or any other governmental agency
and are not obligations of, or guaranteed by, a bank.
PS-1 | Structured Investments
Uncapped Dual Directional Accelerated Barrier Notes Linked to the Least
Performing of the Nasdaq-100® Technology Sector IndexSM, the S&P 500®
Index and the Russell 2000® Index
Key Terms
Issuer: JPMorgan Chase Financial Company LLC, a direct,
wholly owned finance subsidiary of JPMorgan Chase & Co.
Guarantor: JPMorgan Chase & Co.
Indices: The Nasdaq-100® Technology Sector IndexSM
(Bloomberg ticker: NDXT), the S&P 500® Index (Bloomberg
ticker: SPX) and the Russell 2000® Index (Bloomberg ticker:
RTY)
Upside Leverage Factor: At least 1.715 (to be provided in the
pricing supplement)
Barrier Amount: With respect to each Index, 70.00% of its
Initial Value
Pricing Date: On or about April 30, 2026
Original Issue Date (Settlement Date): On or about May 5,
2026
Observation Date*: April 30, 2031
Maturity Date*: May 5, 2031
* Subject to postponement in the event of a market disruption event
and as described under General Terms of Notes Postponement
of a Determination Date Notes Linked to Multiple Underlyings
and General Terms of Notes Postponement of a Payment Date
in the accompanying product supplement
Payment at Maturity:
If the Final Value of each Index is greater than its Initial Value,
your payment at maturity per $1,000 principal amount note will
be calculated as follows:
$1,000 + ($1,000 × Least Performing Index Return × Upside
Leverage Factor)
If the Final Value of any Index is equal to or less than its Initial
Value but the Final Value of each Index is greater than or equal
to its Barrier Amount, your payment at maturity per $1,000
principal amount note will be calculated as follows:
$1,000 + ($1,000 × Absolute Index Return of the Least
Performing Index)
This payout formula results in an effective cap of 30.00% on
your return at maturity if the Least Performing Index Return is
negative. Under these limited circumstances, your maximum
payment at maturity is $1,300.00 per $1,000 principal amount
note.
If the Final Value of any Index is less than its Barrier Amount,
your payment at maturity per $1,000 principal amount note will
be calculated as follows:
$1,000 + ($1,000 × Least Performing Index Return)
If the Final Value of any Index is less than its Barrier Amount,
you will lose more than 30.00% of your principal amount at
maturity and could lose all of your principal amount at maturity.
Absolute Index Return: With respect to each Index, the
absolute value of its Index Return. For example, if the Index
Return of an Index is -5%, its Absolute Index Return will equal
5%.
Least Performing Index: The Index with the Least Performing
Index Return
Least Performing Index Return: The lowest of the Index
Returns of the Indices
Index Return:
With respect to each Index,
(Final Value Initial Value)
Initial Value
Initial Value: With respect to each Index, the closing level of
that Index on the Pricing Date
Final Value: With respect to each Index, the closing level of
that Index on the Observation Date
PS-2 | Structured Investments
Uncapped Dual Directional Accelerated Barrier Notes Linked to the Least
Performing of the Nasdaq-100® Technology Sector IndexSM, the S&P 500®
Index and the Russell 2000® Index
Supplemental Terms of the Notes
Any values of the Indices, and any values derived therefrom, included in this pricing supplement may be corrected, in the event of
manifest error or inconsistency, by amendment of this pricing supplement and the corresponding terms of the notes. Notwithstanding
anything to the contrary in the indenture governing the notes, that amendment will become effective without consent of the holders of
the notes or any other party.
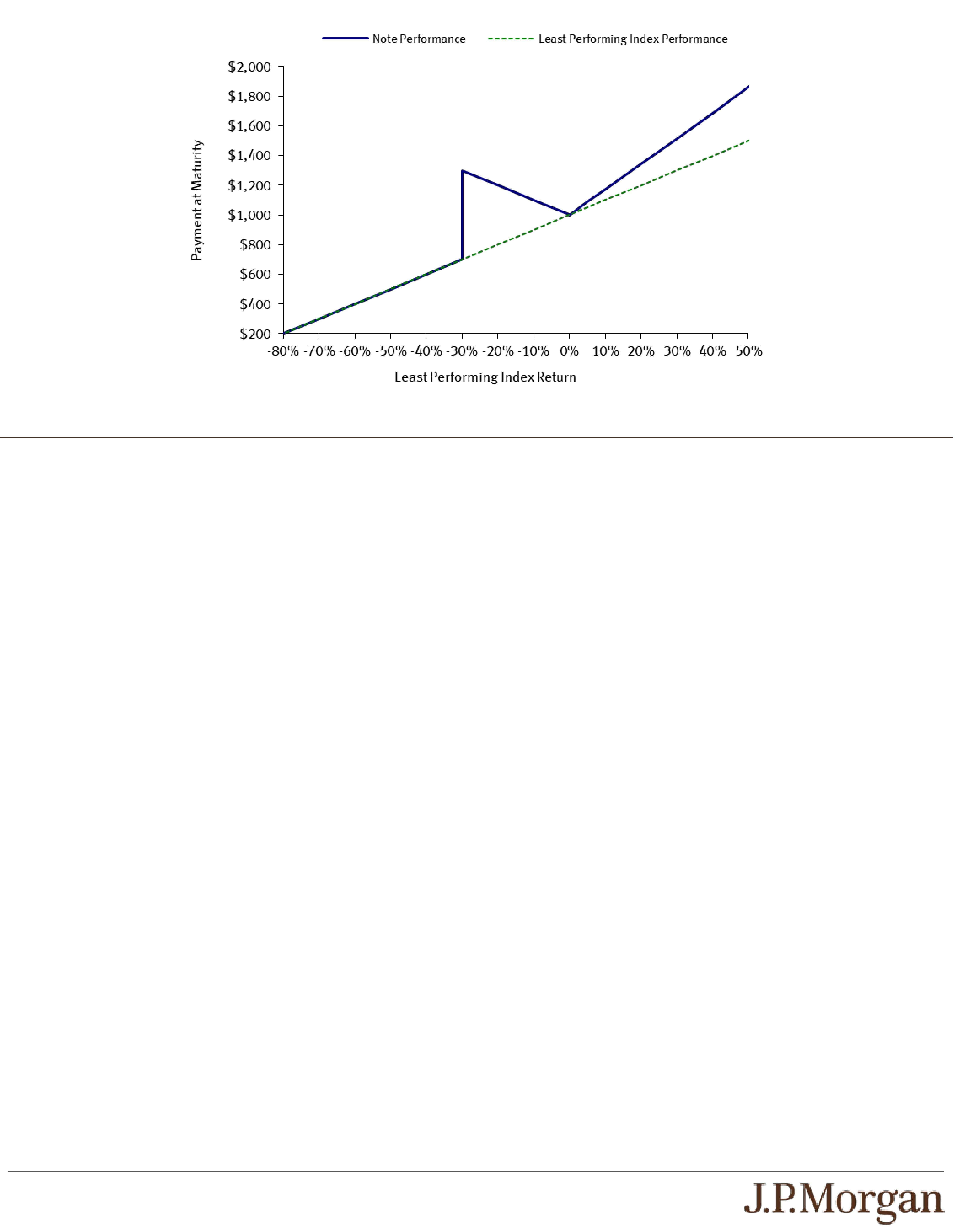
Hypothetical Payout Profile
The following table and graph illustrate the hypothetical total return and payment at maturity on the notes linked to three hypothetical
Indices. The total return as used in this pricing supplement is the number, expressed as a percentage, that results from comparing
the payment at maturity per $1,000 principal amount note to $1,000. The hypothetical total returns and payments set forth below
assume the following:
an Initial Value for the Least Performing Index of 100.00;
an Upside Leverage Factor of 1.715; and
a Barrier Amount for the Least Performing Index of 70.00 (equal to 70.00% of its hypothetical Initial Value).
The hypothetical Initial Value of the Least Performing Index of 100.00 has been chosen for illustrative purposes only and may not
represent a likely actual Initial Value of any Index. The actual Initial Value of each Index will be the closing level of that Index on the
Pricing Date and will be provided in the pricing supplement. For historical data regarding the actual closing levels of each Index, please
see the historical information set forth under The Indices in this pricing supplement.
Each hypothetical total return or hypothetical payment at maturity set forth below is for illustrative purposes only and may not be the
actual total return or payment at maturity applicable to a purchaser of the notes. The numbers appearing in the following table and
graph have been rounded for ease of analysis.
Final Value of the Least
Performing Index
Least Performing
Index Return
Absolute Index Return of the
Least Performing Index
Total Return on
the Notes
Payment at Maturity
165.00
65.00%
N/A
111.475%
$2,114.75
150.00
50.00%
N/A
85.750%
$1,857.50
140.00
40.00%
N/A
68.600%
$1,686.00
130.00
30.00%
N/A
51.450%
$1,514.50
120.00
20.00%
N/A
34.300%
$1,343.00
110.00
10.00%
N/A
17.150%
$1,171.50
105.00
5.00%
N/A
8.575%
$1,085.75
101.00
1.00%
N/A
1.715%
$1,017.15
100.00
0.00%
0.00%
0.000%
$1,000.00
95.00
-5.00%
5.00%
5.000%
$1,050.00
90.00
-10.00%
10.00%
10.000%
$1,100.00
80.00
-20.00%
20.00%
20.000%
$1,200.00
70.00
-30.00%
30.00%
30.000%
$1,300.00
69.99
-30.01%
N/A
-30.010%
$699.90
60.00
-40.00%
N/A
-40.000%
$600.00
50.00
-50.00%
N/A
-50.000%
$500.00
40.00
-60.00%
N/A
-60.000%
$400.00
30.00
-70.00%
N/A
-70.000%
$300.00
20.00
-80.00%
N/A
-80.000%
$200.00
10.00
-90.00%
N/A
-90.000%
$100.00
0.00
-100.00%
N/A
-100.000%
$0.00
PS-3 | Structured Investments
Uncapped Dual Directional Accelerated Barrier Notes Linked to the Least
Performing of the Nasdaq-100® Technology Sector IndexSM, the S&P 500®
Index and the Russell 2000® Index
The following graph demonstrates the hypothetical payments at maturity on the notes for a range of Least Performing Index Returns.
There can be no assurance that the performance of the Least Performing Index will result in the return of any of your principal amount.
How the Notes Work
Index Appreciation Upside Scenario:
If the Final Value of each Index is greater than its Initial Value, investors will receive at maturity the $1,000 principal amount plus a
return equal to the Least Performing Index Return times the Upside Leverage Factor of at least 1.715.
Assuming a hypothetical Upside Leverage Factor of 1.715, if the closing level of the Least Performing Index increases 5.00%,
investors will receive at maturity a return equal to 8.575%, or $1,085.75 per $1,000 principal amount note.
Index Par or Index Depreciation Upside Scenario:
If the Final Value of any Index is equal to or less than its Initial Value but the Final Value of each Index is greater than or equal to its
Barrier Amount of 70.00% of its Initial Value, investors will receive at maturity the $1,000 principal amount plus a return equal to the
Absolute Index Return of the Least Performing Index.
For example, if the closing level of the Least Performing Index declines 10.00%, investors will receive at maturity a return equal to
10.00%, or $1,100.00 per $1,000 principal amount note.
Downside Scenario:
If the Final Value of any Index is less than its Barrier Amount of 70.00% of its Initial Value, investors will lose 1% of the principal amount
of their notes for every 1% that the Final Value of the Least Performing Index is less than its Initial Value.
For example, if the closing level of the Least Performing Index declines 60.00%, investors will lose 60.00% of their principal amount
and receive only $400.00 per $1,000 principal amount note at maturity.
The hypothetical returns and hypothetical payments on the notes shown above apply only if you hold the notes for their entire term.
These hypotheticals do not reflect the fees or expenses that would be associated with any sale in the secondary market. If these fees
and expenses were included, the hypothetical returns and hypothetical payments shown above would likely be lower.
PS-4 | Structured Investments
Uncapped Dual Directional Accelerated Barrier Notes Linked to the Least
Performing of the Nasdaq-100® Technology Sector IndexSM, the S&P 500®
Index and the Russell 2000® Index
Selected Risk Considerations
An investment in the notes involves significant risks. These risks are explained in more detail in the Risk Factors sections of the
accompanying prospectus supplement and product supplement and in Annex A to the accompanying prospectus addendum.
Risks Relating to the Notes Generally
YOUR INVESTMENT IN THE NOTES MAY RESULT IN A LOSS
The notes do not guarantee any return of principal. If the Final Value of any Index is less than its Barrier Amount, you will lose 1%
of the principal amount of your notes for every 1% that the Final Value of the Least Performing Index is less than its Initial Value.
Accordingly, under these circumstances, you will lose more than 30.00% of your principal amount at maturity and could lose all of
your principal amount at maturity.
YOUR MAXIMUM GAIN ON THE NOTES IS LIMITED BY THE BARRIER AMOUNT IF THE LEAST PERFORMING INDEX
RETURN IS NEGATIVE
Because the payment at maturity will not reflect the Absolute Index Return of the Least Performing Index if its Final Value is less
than its Barrier Amount, the Barrier Amount effectively caps your return at maturity if the Least Performing Index Return is
negative. The maximum payment at maturity if the Least Performing Index Return is negative is $1,300.00 per $1,000 principal
amount note.
CREDIT RISKS OF JPMORGAN FINANCIAL AND JPMORGAN CHASE & CO.
Investors are dependent on our and JPMorgan Chase & Co.s ability to pay all amounts due on the notes. Any actual or potential
change in our or JPMorgan Chase & Co.s creditworthiness or credit spreads, as determined by the market for taking that credit
risk, is likely to adversely affect the value of the notes. If we and JPMorgan Chase & Co. were to default on our payment
obligations, you may not receive any amounts owed to you under the notes and you could lose your entire investment.
AS A FINANCE SUBSIDIARY, JPMORGAN FINANCIAL HAS NO INDEPENDENT OPERATIONS AND HAS LIMITED ASSETS
As a finance subsidiary of JPMorgan Chase & Co., we have no independent operations beyond the issuance and administration of
our securities and the collection of intercompany obligations. Aside from the initial capital contribution from JPMorgan Chase &
Co., substantially all of our assets relate to obligations of JPMorgan Chase & Co. to make payments under loans made by us to
JPMorgan Chase & Co. or under other intercompany agreements. As a result, we are dependent upon payments from JPMorgan
Chase & Co. to meet our obligations under the notes. We are not a key operating subsidiary of JPMorgan Chase & Co. and in a
bankruptcy or resolution of JPMorgan Chase & Co. we are not expected to have sufficient resources to meet our obligations in
respect of the notes as they come due. If JPMorgan Chase & Co. does not make payments to us and we are unable to make
payments on the notes, you may have to seek payment under the related guarantee by JPMorgan Chase & Co., and that
guarantee will rank pari passu with all other unsecured and unsubordinated obligations of JPMorgan Chase & Co. For more
information, see the accompanying prospectus addendum.
YOU ARE EXPOSED TO THE RISK OF DECLINE IN THE LEVEL OF EACH INDEX
Payments on the notes are not linked to a basket composed of the Indices and are contingent upon the performance of each
individual Index. Poor performance by any of the Indices over the term of the notes may negatively affect your payment at maturity
and will not be offset or mitigated by positive performance by any other Index.
YOUR PAYMENT AT MATURITY WILL BE DETERMINED BY THE LEAST PERFORMING INDEX.
THE BENEFIT PROVIDED BY THE BARRIER AMOUNT MAY TERMINATE ON THE OBSERVATION DATE
If the Final Value of any Index is less than its Barrier Amount, the benefit provided by the Barrier Amount will terminate and you will
be fully exposed to any depreciation of the Least Performing Index.
THE NOTES DO NOT PAY INTEREST.
PS-5 | Structured Investments
Uncapped Dual Directional Accelerated Barrier Notes Linked to the Least
Performing of the Nasdaq-100® Technology Sector IndexSM, the S&P 500®
Index and the Russell 2000® Index
YOU WILL NOT RECEIVE DIVIDENDS ON THE SECURITIES INCLUDED IN ANY INDEX OR HAVE ANY RIGHTS WITH
RESPECT TO THOSE SECURITIES.
THE RISK OF THE CLOSING LEVEL OF AN INDEX FALLING BELOW ITS BARRIER AMOUNT IS GREATER IF THE LEVEL
OF THAT INDEX IS VOLATILE.
LACK OF LIQUIDITY
The notes will not be listed on any securities exchange. Accordingly, the price at which you may be able to trade your notes is
likely to depend on the price, if any, at which JPMS is willing to buy the notes. You may not be able to sell your notes. The notes
are not designed to be short-term trading instruments. Accordingly, you should be able and willing to hold your notes to maturity.
THE FINAL TERMS AND VALUATION OF THE NOTES WILL BE PROVIDED IN THE PRICING SUPPLEMENT
You should consider your potential investment in the notes based on the minimums for the estimated value of the notes and the
Upside Leverage Factor.
Risks Relating to Conflicts of Interest
POTENTIAL CONFLICTS
We and our affiliates play a variety of roles in connection with the notes. In performing these duties, our and JPMorgan Chase &
Co.s economic interests are potentially adverse to your interests as an investor in the notes. It is possible that hedging or trading
activities of ours or our affiliates in connection with the notes could result in substantial returns for us or our affiliates while the
value of the notes declines. Please refer to Risk Factors Risks Relating to Conflicts of Interest in the accompanying product
supplement.
Risks Relating to the Estimated Value and Secondary Market Prices of the Notes
THE ESTIMATED VALUE OF THE NOTES WILL BE LOWER THAN THE ORIGINAL ISSUE PRICE (PRICE TO PUBLIC) OF
THE NOTES
The estimated value of the notes is only an estimate determined by reference to several factors. The original issue price of the
notes will exceed the estimated value of the notes because costs associated with selling, structuring and hedging the notes are
included in the original issue price of the notes. These costs include the selling commissions, the projected profits, if any, that our
affiliates expect to realize for assuming risks inherent in hedging our obligations under the notes and the estimated cost of hedging
our obligations under the notes. See The Estimated Value of the Notes in this pricing supplement.
THE ESTIMATED VALUE OF THE NOTES DOES NOT REPRESENT FUTURE VALUES OF THE NOTES AND MAY DIFFER
FROM OTHERS ESTIMATES
See The Estimated Value of the Notes in this pricing supplement.
THE ESTIMATED VALUE OF THE NOTES IS DERIVED BY REFERENCE TO AN INTERNAL FUNDING RATE
The internal funding rate used in the determination of the estimated value of the notes may differ from the market-implied funding
rate for vanilla fixed income instruments of a similar maturity issued by JPMorgan Chase & Co. or its affiliates. Any difference may
be based on, among other things, our and our affiliates view of the funding value of the notes as well as the higher issuance,
operational and ongoing liability management costs of the notes in comparison to those costs for the conventional fixed income
instruments of JPMorgan Chase & Co. This internal funding rate is based on certain market inputs and assumptions, which may
prove to be incorrect, and is intended to approximate the prevailing market replacement funding rate for the notes. The use of an
internal funding rate and any potential changes to that rate may have an adverse effect on the terms of the notes and any
secondary market prices of the notes. See The Estimated Value of the Notes in this pricing supplement.
THE VALUE OF THE NOTES AS PUBLISHED BY JPMS (AND WHICH MAY BE REFLECTED ON CUSTOMER ACCOUNT
STATEMENTS) MAY BE HIGHER THAN THE THEN-CURRENT ESTIMATED VALUE OF THE NOTES FOR A LIMITED TIME
PERIOD
We generally expect that some of the costs included in the original issue price of the notes will be partially paid back to you in
connection with any repurchases of your notes by JPMS in an amount that will decline to zero over an initial predetermined period.
See Secondary Market Prices of the Notes in this pricing supplement for additional information relating to this initial period.
Accordingly, the estimated value of your notes during this initial period may be lower than the value of the notes as published by
JPMS (and which may be shown on your customer account statements).
PS-6 | Structured Investments
Uncapped Dual Directional Accelerated Barrier Notes Linked to the Least
Performing of the Nasdaq-100® Technology Sector IndexSM, the S&P 500®
Index and the Russell 2000® Index
SECONDARY MARKET PRICES OF THE NOTES WILL LIKELY BE LOWER THAN THE ORIGINAL ISSUE PRICE OF THE
NOTES
Any secondary market prices of the notes will likely be lower than the original issue price of the notes because, among other
things, secondary market prices take into account our internal secondary market funding rates for structured debt issuances and,
also, because secondary market prices may exclude selling commissions, projected hedging profits, if any, and estimated hedging
costs that are included in the original issue price of the notes. As a result, the price, if any, at which JPMS will be willing to buy the
notes from you in secondary market transactions, if at all, is likely to be lower than the original issue price. Any sale by you prior to
the Maturity Date could result in a substantial loss to you.
SECONDARY MARKET PRICES OF THE NOTES WILL BE IMPACTED BY MANY ECONOMIC AND MARKET FACTORS
The secondary market price of the notes during their term will be impacted by a number of economic and market factors, which
may either offset or magnify each other, aside from the selling commissions, projected hedging profits, if any, estimated hedging
costs and the levels of the Indices. Additionally, independent pricing vendors and/or third party broker-dealers may publish a price
for the notes, which may also be reflected on customer account statements. This price may be different (higher or lower) than the
price of the notes, if any, at which JPMS may be willing to purchase your notes in the secondary market. See Risk Factors
Risks Relating to the Estimated Value and Secondary Market Prices of the Notes Secondary market prices of the notes will be
impacted by many economic and market factors in the accompanying product supplement.
Risks Relating to the Indices
JPMORGAN CHASE & CO. IS CURRENTLY ONE OF THE COMPANIES THAT MAKE UP THE S&P 500® INDEX,
but JPMorgan Chase & Co. will not have any obligation to consider your interests in taking any corporate action that might affect
the level of the S&P 500® Index.
RISKS ASSOCIATED WITH THE TECHNOLOGY SECTOR WITH RESPECT TO THE NASDAQ-100® TECHNOLOGY SECTOR
INDEXSM
All or substantially all of the equity securities included in the Nasdaq-100® Technology Sector IndexSM are issued by companies
whose primary line of business is directly associated with the technology sector. As a result, the value of the notes may be subject
to greater volatility and be more adversely affected by a single economic, political or regulatory occurrence affecting this sector
than a different investment linked to securities of a more broadly diversified group of issuers. The value of stocks of technology
companies and companies that rely heavily on technology is particularly vulnerable to rapid changes in technology product cycles,
rapid product obsolescence, government regulation and competition, both domestically and internationally, including competition
from foreign competitors with lower production costs. Stocks of technology companies and companies that rely heavily on
technology, especially those of smaller, less-seasoned companies, tend to be more volatile than the overall market. Technology
companies are heavily dependent on patent and intellectual property rights, the loss or impairment of which may adversely affect
profitability. Additionally, companies in the technology sector may face dramatic and often unpredictable changes in growth rates
and competition for the services of qualified personnel. These factors could affect the technology sector and could affect the value
of the equity securities included in the Nasdaq-100® Technology Sector IndexSM and the level of the Nasdaq-100® Technology
Sector IndexSM during the term of the notes, which may adversely affect the value of your notes.
NON-U.S. SECURITIES RISK WITH RESPECT TO THE NASDAQ-100® TECHNOLOGY SECTOR INDEXSM
Some of the equity securities included in the Nasdaq-100® Technology Sector IndexSM have been issued by non-U.S. companies.
Investments in securities linked to the value of such non-U.S. equity securities involve risks associated with the home countries of
the issuers of those non-U.S. equity securities.
AN INVESTMENT IN THE NOTES IS SUBJECT TO RISKS ASSOCIATED WITH SMALL CAPITALIZATION STOCKS WITH
RESPECT TO THE RUSSELL 2000® INDEX
Small capitalization companies may be less able to withstand adverse economic, market, trade and competitive conditions relative
to larger companies. Small capitalization companies are less likely to pay dividends on their stocks, and the presence of a
dividend payment could be a factor that limits downward stock price pressure under adverse market conditions.
PS-7 | Structured Investments
Uncapped Dual Directional Accelerated Barrier Notes Linked to the Least
Performing of the Nasdaq-100® Technology Sector IndexSM, the S&P 500®
Index and the Russell 2000® Index
The Indices
The Nasdaq-100® Technology Sector IndexSM is an equal-weighted, price-return index designed to measure the performance of the
technology companies in the Nasdaq-100 Index®. For additional information about the Nasdaq-100® Technology Sector IndexSM, see
Annex A in this pricing supplement.
The S&P 500® Index consists of stocks of 500 companies selected to provide a performance benchmark for the U.S. equity markets.
For additional information about the S&P 500® Index, see “Equity Index Descriptions — The S&P U.S. Indices” in the accompanying
underlying supplement.
The Russell 2000® Index consists of the middle 2,000 companies included in the Russell 3000E Index and, as a result of the index
calculation methodology, consists of the smallest 2,000 companies included in the Russell 3000® Index. The Russell 2000® Index is
designed to track the performance of the small capitalization segment of the U.S. equity market. For additional information about the
Russell 2000® Index, see “Equity Index Descriptions — The Russell Indices” in the accompanying underlying supplement.
Historical Information
The following graphs set forth the historical performance of each Index based on the weekly historical closing levels from January 8,
2021 through March 27, 2026. The closing level of the Nasdaq-100® Technology Sector IndexSM on March 30, 2026 was
11,312.08. The closing level of the S&P 500® Index on March 30, 2026 was 6,343.72. The closing level of the Russell 2000® Index on
March 30, 2026 was 2,414.006. We obtained the closing levels above and below from the Bloomberg Professional® service
(“Bloomberg”), without independent verification.
The historical closing levels of each Index should not be taken as an indication of future performance, and no assurance can be given
as to the closing level of any Index on the Pricing Date or the Observation Date. There can be no assurance that the performance of
the Indices will result in the return of any of your principal amount.
PS-8 | Structured Investments
Uncapped Dual Directional Accelerated Barrier Notes Linked to the Least
Performing of the Nasdaq-100® Technology Sector IndexSM, the S&P 500®
Index and the Russell 2000® Index
Tax Treatment
You should review carefully the section entitled Material U.S. Federal Income Tax Consequences in the accompanying product
supplement no. 4-I. The following discussion, when read in combination with that section, constitutes the full opinion of our special tax
counsel, Davis Polk & Wardwell LLP, regarding the material U.S. federal income tax consequences of owning and disposing of notes.
Based on current market conditions, in the opinion of our special tax counsel it is reasonable to treat the notes as open transactions
that are not debt instruments for U.S. federal income tax purposes, as more fully described in Material U.S. Federal Income Tax
Consequences Tax Consequences to U.S. Holders Notes Treated as Open Transactions That Are Not Debt Instruments in the
accompanying product supplement. Assuming this treatment is respected, the gain or loss on your notes should be treated as long-
term capital gain or loss if you hold your notes for more than a year, whether or not you are an initial purchaser of notes at the issue
price. However, the IRS or a court may not respect this treatment, in which case the timing and character of any income or loss on the
notes could be materially and adversely affected. In addition, in 2007 Treasury and the IRS released a notice requesting comments on
the U.S. federal income tax treatment of prepaid forward contracts and similar instruments. The notice focuses in particular on
whether to require investors in these instruments to accrue income over the term of their investment. It also asks for comments on a
number of related topics, including the character of income or loss with respect to these instruments; the relevance of factors such as
the nature of the underlying property to which the instruments are linked; the degree, if any, to which income (including any mandated
accruals) realized by non-U.S. investors should be subject to withholding tax; and whether these instruments are or should be subject
to the constructive ownership regime, which very generally can operate to recharacterize certain long-term capital gain as ordinary
PS-9 | Structured Investments
Uncapped Dual Directional Accelerated Barrier Notes Linked to the Least
Performing of the Nasdaq-100® Technology Sector IndexSM, the S&P 500®
Index and the Russell 2000® Index
income and impose a notional interest charge. While the notice requests comments on appropriate transition rules and effective dates,
any Treasury regulations or other guidance promulgated after consideration of these issues could materially and adversely affect the
tax consequences of an investment in the notes, possibly with retroactive effect. You should consult your tax adviser regarding the
U.S. federal income tax consequences of an investment in the notes, including possible alternative treatments and the issues presented
by this notice.
Section 871(m) of the Code and Treasury regulations promulgated thereunder (“Section 871(m)”) generally impose a 30% withholding
tax (unless an income tax treaty applies) on dividend equivalents paid or deemed paid to Non-U.S. Holders with respect to certain
financial instruments linked to U.S. equities or indices that include U.S. equities. Section 871(m) provides certain exceptions to this
withholding regime, including for instruments linked to certain broad-based indices that meet requirements set forth in the applicable
Treasury regulations. Additionally, a recent IRS notice excludes from the scope of Section 871(m) instruments issued prior to January
1, 2027 that do not have a delta of one with respect to underlying securities that could pay U.S.-source dividends for U.S. federal
income tax purposes (each an “Underlying Security”). Based on certain determinations made by us, we expect that Section 871(m) will
not apply to the notes with regard to Non-U.S. Holders. Our determination is not binding on the IRS, and the IRS may disagree with
this determination. Section 871(m) is complex and its application may depend on your particular circumstances, including whether you
enter into other transactions with respect to an Underlying Security. If necessary, further information regarding the potential application
of Section 871(m) will be provided in the pricing supplement for the notes. You should consult your tax adviser regarding the potential
application of Section 871(m) to the notes.
The Estimated Value of the Notes
The estimated value of the notes set forth on the cover of this pricing supplement is equal to the sum of the values of the following
hypothetical components: (1) a fixed-income debt component with the same maturity as the notes, valued using the internal funding
rate described below, and (2) the derivative or derivatives underlying the economic terms of the notes. The estimated value of the
notes does not represent a minimum price at which JPMS would be willing to buy your notes in any secondary market (if any exists) at
any time. The internal funding rate used in the determination of the estimated value of the notes may differ from the market-implied
funding rate for vanilla fixed income instruments of a similar maturity issued by JPMorgan Chase & Co. or its affiliates. Any difference
may be based on, among other things, our and our affiliates’ view of the funding value of the notes as well as the higher issuance,
operational and ongoing liability management costs of the notes in comparison to those costs for the conventional fixed income
instruments of JPMorgan Chase & Co. This internal funding rate is based on certain market inputs and assumptions, which may prove
to be incorrect, and is intended to approximate the prevailing market replacement funding rate for the notes. The use of an internal
funding rate and any potential changes to that rate may have an adverse effect on the terms of the notes and any secondary market
prices of the notes. For additional information, see “Selected Risk Considerations Risks Relating to the Estimated Value and
Secondary Market Prices of the Notes The Estimated Value of the Notes Is Derived by Reference to an Internal Funding Rate” in this
pricing supplement.
The value of the derivative or derivatives underlying the economic terms of the notes is derived from internal pricing models of our
affiliates. These models are dependent on inputs such as the traded market prices of comparable derivative instruments and on
various other inputs, some of which are market-observable, and which can include volatility, dividend rates, interest rates and other
factors, as well as assumptions about future market events and/or environments. Accordingly, the estimated value of the notes is
determined when the terms of the notes are set based on market conditions and other relevant factors and assumptions existing at that
time.
The estimated value of the notes does not represent future values of the notes and may differ from others estimates. Different pricing
models and assumptions could provide valuations for the notes that are greater than or less than the estimated value of the notes. In
addition, market conditions and other relevant factors in the future may change, and any assumptions may prove to be incorrect. On
future dates, the value of the notes could change significantly based on, among other things, changes in market conditions, our or
JPMorgan Chase & Co.s creditworthiness, interest rate movements and other relevant factors, which may impact the price, if any, at
which JPMS would be willing to buy notes from you in secondary market transactions.
The estimated value of the notes will be lower than the original issue price of the notes because costs associated with selling,
structuring and hedging the notes are included in the original issue price of the notes. These costs include the selling commissions
paid to JPMS and other affiliated or unaffiliated dealers, the projected profits, if any, that our affiliates expect to realize for assuming
risks inherent in hedging our obligations under the notes and the estimated cost of hedging our obligations under the notes. Because
hedging our obligations entails risk and may be influenced by market forces beyond our control, this hedging may result in a profit that
is more or less than expected, or it may result in a loss. A portion of the profits, if any, realized in hedging our obligations under the
notes may be allowed to other affiliated or unaffiliated dealers, and we or one or more of our affiliates will retain any remaining hedging
PS-10 | Structured Investments
Uncapped Dual Directional Accelerated Barrier Notes Linked to the Least
Performing of the Nasdaq-100® Technology Sector IndexSM, the S&P 500®
Index and the Russell 2000® Index
profits. See “Selected Risk Considerations — Risks Relating to the Estimated Value and Secondary Market Prices of the Notes The
Estimated Value of the Notes Will Be Lower Than the Original Issue Price (Price to Public) of the Notes” in this pricing supplement.
Secondary Market Prices of the Notes
For information about factors that will impact any secondary market prices of the notes, see “Risk Factors — Risks Relating to the
Estimated Value and Secondary Market Prices of the Notes Secondary market prices of the notes will be impacted by many
economic and market factors” in the accompanying product supplement. In addition, we generally expect that some of the costs
included in the original issue price of the notes will be partially paid back to you in connection with any repurchases of your notes by
JPMS in an amount that will decline to zero over an initial predetermined period. These costs can include selling commissions,
projected hedging profits, if any, and, in some circumstances, estimated hedging costs and our internal secondary market funding rates
for structured debt issuances. This initial predetermined time period is intended to be the shorter of six months and one-half of the
stated term of the notes. The length of any such initial period reflects the structure of the notes, whether our affiliates expect to earn a
profit in connection with our hedging activities, the estimated costs of hedging the notes and when these costs are incurred, as
determined by our affiliates. See “Selected Risk Considerations — Risks Relating to the Estimated Value and Secondary Market Prices
of the Notes The Value of the Notes as Published by JPMS (and Which May Be Reflected on Customer Account Statements) May
Be Higher Than the Then-Current Estimated Value of the Notes for a Limited Time Period” in this pricing supplement.
Supplemental Use of Proceeds
The notes are offered to meet investor demand for products that reflect the risk-return profile and market exposure provided by the
notes. See Hypothetical Payout Profile and How the Notes Work in this pricing supplement for an illustration of the risk-return profile
of the notes and The Indices in this pricing supplement for a description of the market exposure provided by the notes.
The original issue price of the notes is equal to the estimated value of the notes plus the selling commissions paid to JPMS and other
affiliated or unaffiliated dealers, plus (minus) the projected profits (losses) that our affiliates expect to realize for assuming risks inherent
in hedging our obligations under the notes, plus the estimated cost of hedging our obligations under the notes.
Additional Terms Specific to the Notes
You may revoke your offer to purchase the notes at any time prior to the time at which we accept such offer by notifying the applicable
agent. We reserve the right to change the terms of, or reject any offer to purchase, the notes prior to their issuance. In the event of any
changes to the terms of the notes, we will notify you and you will be asked to accept such changes in connection with your purchase.
You may also choose to reject such changes, in which case we may reject your offer to purchase.
You should read this pricing supplement together with the accompanying prospectus, as supplemented by the accompanying
prospectus supplement relating to our Series A medium-term notes of which these notes are a part, the accompanying prospectus
addendum and the more detailed information contained in the accompanying product supplement and the accompanying underlying
supplement. This pricing supplement, together with the documents listed below, contains the terms of the notes and supersedes all
other prior or contemporaneous oral statements as well as any other written materials including preliminary or indicative pricing terms,
correspondence, trade ideas, structures for implementation, sample structures, fact sheets, brochures or other educational materials of
ours. You should carefully consider, among other things, the matters set forth in the “Risk Factors” sections of the accompanying
prospectus supplement and the accompanying product supplement and in Annex A to the accompanying prospectus addendum, as the
notes involve risks not associated with conventional debt securities. We urge you to consult your investment, legal, tax, accounting and
other advisers before you invest in the notes.
You may access these documents on the SEC website at www.sec.gov as follows (or if such address has changed, by reviewing our
filings for the relevant date on the SEC website):
Product supplement no. 4-I dated April 13, 2023:
Underlying supplement no. 1-I dated April 13, 2023:
Prospectus supplement and prospectus, each dated April 13, 2023:
Prospectus addendum dated June 3, 2024:
Our Central Index Key, or CIK, on the SEC website is 1665650, and JPMorgan Chase & Co.s CIK is 19617. As used in this pricing
supplement, we, us and our refer to JPMorgan Financial.
PS-11 | Structured Investments
Uncapped Dual Directional Accelerated Barrier Notes Linked to the Least
Performing of the Nasdaq-100® Technology Sector IndexSM, the S&P 500®
Index and the Russell 2000® Index
Annex A
The Nasdaq-100® Technology Sector IndexSM
All information contained in this pricing supplement regarding the Nasdaq-100® Technology Sector IndexSM, including, without limitation,
its make-up, method of calculation and changes in its components, has been derived from publicly available information, without
independent verification. This information reflects the policies of, and is subject to change by, The Nasdaq Stock Market, Inc.
(“Nasdaq”). The Nasdaq-100® Technology Sector IndexSM was developed by Nasdaq and is calculated, maintained and published by
The Nasdaq OMX Group, Inc. (“Nasdaq OMX”). Neither Nasdaq nor Nasdaq OMX has any obligation to continue to publish, and may
discontinue publication of, the Nasdaq-100® Technology Sector IndexSM.
The Nasdaq-100® Technology Sector IndexSM began on February 22, 2006 at a base value of 1,000.00. The Nasdaq-100® Technology
Sector IndexSM is reported by Bloomberg, L.P. under the ticker symbol “NDXT.”
The Nasdaq-100® Technology Sector IndexSM is an equal-weighted, price-return index designed to measure the performance of the
technology companies in the Nasdaq-100 Index®.
Security Eligibility Criteria
The Nasdaq-100® Technology Sector IndexSM contains securities of the Nasdaq-100 Index® which are classified as Technology
according to the Industry Classification Benchmark (“ICB”). The eligibility for the Nasdaq-100® Technology Sector IndexSM is
determined in a 2-step process and the security has to meet both criteria in order to become eligible for the Nasdaq-100® Technology
Sector IndexSM. For additional information about the Nasdaq-100 Index®, including the methodology for inclusion in the Nasdaq-100
Index®, see “Equity Index Descriptions — The Nasdaq-100 Index®” in the accompanying underlying supplement.
Parent Index
The security must be included in the Nasdaq-100 Index®, which includes 100 of the largest domestic and international non-financial
companies listed on the Nasdaq.
Industry or Sector Eligibility
The company must be classified as a Technology Company (any company classified under the Technology Industry) according to ICB.
Constituent Selection
All securities that meet the applicable Security Eligibility Criteria described above are included in the Nasdaq-100® Technology Sector
IndexSM.
Constituent Weighting
The Nasdaq-100® Technology Sector IndexSM employs an equal weighting methodology such that each company’s Index market value
is rebalanced quarterly to an equal-dollar value corresponding to an equal percent weight of the Nasdaq-100® Technology Sector
IndexSM’s aggregate market value. Index Shares are calculated by dividing this equal-dollar market value for each Index Security by
the corresponding Last Sale Price of the security at the close of trading on the third Friday in March, June, September, and December.
In the case of multiple share classes of a company being included in the Nasdaq-100® Technology Sector IndexSM, the equal-weighted
market value will be divided equally among the securities of that company.
Index Calculation
The Nasdaq-100® Technology Sector IndexSM is an equal weighted, price return index. The Nasdaq-100® Technology Sector IndexSM
is calculated without regard to ordinary dividends, however, it does reflect special dividends. The formula is as follows:
(1) “Index Market Value” shall be calculated as follows:
“Index Security” shall mean a security that has been selected for membership in the Nasdaq-100® Technology Sector IndexSM,
having met all applicable eligibility requirements.
n
= Number of Index Securities included in the Nasdaq-100® Technology Sector IndexSM
𝑞𝑖= Number of shares of Index Security i applied in the Nasdaq-100® Technology Sector IndexSM.
𝑝𝑖 = Price in quote currency of Index Security i. Depending on the time of the calculation, the price can be either of the
following:
a. The Start of Day (SOD) price which is the previous index calculation day’s (
t
-1) closing price for Index Security i
adjusted for corporate action(s) occurring prior to market open on date t, if any, for the SOD calculation only;
PS-12 | Structured Investments
Uncapped Dual Directional Accelerated Barrier Notes Linked to the Least
Performing of the Nasdaq-100® Technology Sector IndexSM, the S&P 500®
Index and the Russell 2000® Index
b. The intraday price which reflects the current trading price received from the Nasdaq during the index calculation day;
c. The End of Day (EOD) price refers to the Last Sale Price, which refers to the last regular-way trade reported on
Nasdaq; or
d. The Volume Weighted Average Price (VWAP)
𝑡 = current index calculation day
𝑡-1 = current index calculation day
(2) “PR Index Divisor” should be calculated as follows:
The Index Divisor serves the purpose of scaling an Index Market Value to lower order of magnitude, which is recommended for
reporting purposes. The Index Divisor is adjusted to ensure that changes in an Index Security’s price or shares either by corporate
actions or index participation which occur outside of trading hours do not affect the index value. An Index Divisor change occurs
after the close of the Nasdaq-100® Technology Sector IndexSM.
Index Maintenance
Deletion Policy
If a component of the Nasdaq-100® Technology Sector IndexSM is removed from the Nasdaq-100 Index® for any reason, it is also
removed from the Nasdaq-100® Technology Sector IndexSM at the same time.
Replacement Policy
When a component of the Nasdaq-100 Index® that is classified as Technology according to ICB is removed from the Nasdaq-100
Index, it is also removed from the Nasdaq-100 Technology Sector Index. As such, if the replacement company being added to the
Nasdaq-100 Index® is classified as Technology according to ICB, it is added to the Nasdaq-100® Technology Sector IndexSM and will
assume the weight of the removed company on the Index effective date.
When a component of the Nasdaq-100 Index® that is not classified as Technology according to ICB is removed and the replacement
company being added to the Nasdaq-100 Index is classified as Technology according to ICB, the replacement company is considered
for addition to the Nasdaq-100 Technology Sector Index at the next quarterly Rebalance. When a component of the Nasdaq-100 Index
that is classified as Technology according to ICB is removed from the Nasdaq-100 Index and the replacement company being added to
the Nasdaq-100 Index® is not classified as Technology according to ICB, the company is removed from the Nasdaq-100® Technology
Sector IndexSM and the divisor of the Nasdaq-100® Technology Sector IndexSM is adjusted to ensure Index continuity.
Additions Policy
If a security is added to the Nasdaq-100 Index® for any reason, it may be added to the Nasdaq-100® Technology Sector IndexSM at the
same time.
Corporate Actions
In the interim periods between scheduled index reconstitution and rebalance events, individual Index securities may be the subject to a
variety of corporate actions and events that require maintenance and adjustments to the Index.
In certain cases, corporate actions and events are handled according to the weighting scheme or other index construction techniques
employed. Wherever alternate methods are described, the Index will follow the “Non-Market Cap Corporate Action Method.”
Index Share Adjustments
Other than as a direct result of corporate actions, the Nasdaq-100® Technology Sector IndexSM does not normally experience share
adjustments between scheduled index rebalance and reconstitution events.
License Agreement
JPMorgan Chase & Co. or its affiliate intends to enter into a non-exclusive license agreement with Nasdaq providing for the license to it
and certain of its affiliates or subsidiaries, including JPMorgan Financial, with a non-exclusive license and, for a fee, with the right to use
the Nasdaq-100® Technology Sector IndexSM in connection with certain securities, including the notes.
The license agreement with Nasdaq provides that the following language must be stated in this pricing supplement:
The notes are not sponsored, endorsed, sold or promoted by Nasdaq Inc. or its affiliates (Nasdaq, with its affiliates, are referred to as
the “Corporations”). The Corporations have not passed on the legality or suitability of, or the accuracy or adequacy of descriptions and
disclosures relating to, the notes. The Corporations make no representation or warranty, express or implied, to the owners of the notes
or any member of the public regarding the advisability of investing in securities generally or in the notes particularly, or the ability of the
Nasdaq-100® Technology Sector IndexSM to track general stock market performance. The Corporations’ only relationship to the Issuer,
the Guarantor (if applicable) and their affiliates is in the licensing of Nasdaq®, Nasdaq-100® and Nasdaq-100 Index® registered
trademarks, service marks and certain trade names of the Corporations and the use of the Nasdaq-100® Technology Sector IndexSM
PS-13 | Structured Investments
Uncapped Dual Directional Accelerated Barrier Notes Linked to the Least
Performing of the Nasdaq-100® Technology Sector IndexSM, the S&P 500®
Index and the Russell 2000® Index
which is determined, composed and calculated by Nasdaq without regard to the Issuer or the Guarantor (if applicable) or the notes.
Nasdaq has no obligation to take the needs of the Issuer or the Guarantor (if applicable) or the owners of the notes into consideration in
determining, composing or calculating the Nasdaq-100® Technology Sector IndexSM. The Corporations are not responsible for and
have not participated in the determination of the timing of, prices at, or quantities of the notes to be issued or in the determination or
calculation of the equation by which the notes are to be converted into cash. The Corporations have no liability in connection with the
administration, marketing or trading of the notes.
THE CORPORATIONS DO NOT GUARANTEE THE ACCURACY AND/OR UNINTERRUPTED CALCULATION OF
THE NASDAQ-100® TECHNOLOGY SECTOR INDEXSM OR ANY DATA INCLUDED THEREIN. THE CORPORATIONS
MAKE NO WARRANTY, EXPRESS OR IMPLIED, AS TO RESULTS TO BE OBTAINED BY THE ISSUER, THE
GUARANTOR (IF APPLICABLE), OWNERS OF THE NOTES, OR ANY OTHER PERSON OR ENTITY FROM THE USE
OF THE NASDAQ-100® TECHNOLOGY SECTOR INDEXSM OR ANY DATA INCLUDED THEREIN. THE
CORPORATIONS MAKE NO EXPRESS OR IMPLIED WARRANTIES, AND EXPRESSLY DISCLAIM ALL
WARRANTIES OF MERCHANTABILITY OR FITNESS FOR A PARTICULAR PURPOSE OR USE WITH RESPECT TO
THE NASDAQ-100® TECHNOLOGY SECTOR INDEXSM OR ANY DATA INCLUDED THEREIN. WITHOUT LIMITING
ANY OF THE FOREGOING, IN NO EVENT SHALL THE CORPORATIONS HAVE ANY LIABILITY FOR ANY LOST
PROFITS OR SPECIAL, INCIDENTAL, PUNITIVE, INDIRECT, OR CONSEQUENTIAL DAMAGES, EVEN IF NOTIFIED
OF THE POSSIBILITY OF SUCH DAMAGES.