UNITED STATES
SECURITIES AND EXCHANGE COMMISSION
Washington, D.C. 20549
SCHEDULE 14A
Proxy Statement Pursuant to Section 14(a) of the Securities
Exchange Act of 1934 (Amendment No.)
Filed by the Registrant ☑
Filed by a Party other than the Registrant ☐
Check the appropriate box:
|
☑ |
Preliminary Proxy Statement |
|
|
☐ |
Confidential, for Use of the Commission Only (as permitted by Rule 14a-6(e)(2)) |
|
|
☐ |
Definitive Proxy Statement |
|
|
☐ |
Definitive Additional Materials |
|
|
☐ |
Soliciting Material Pursuant to §240.14a-12 |
National Research Corporation
(Name of Registrant as Specified In Its Charter)
(Name of Person(s) Filing Proxy Statement, if other than the Registrant)
Payment of Filing Fee (Check the appropriate box):
|
☑ |
No fee required. |
||
|
☐ |
Fee computed on table below per Exchange Act Rules 14a-6(i)(1) and 0-11. |
||
|
(1) |
Title of each class of securities to which transaction applies: |
||
|
(2) |
Aggregate number of securities to which transaction applies: |
||
|
(3) |
Per unit price or other underlying value of transaction computed pursuant to Exchange Act Rule 0-11 (set forth the amount on which the filing fee is calculated and state how it was determined): |
||
|
(4) |
Proposed maximum aggregate value of transaction: |
||
|
(5) |
Total fee paid: |
|
☐ |
Fee paid previously with preliminary materials. |
||
|
☐ |
Check box if any part of the fee is offset as provided by Exchange Act Rule 0-11(a)(2) and identify the filing for which the offsetting fee was paid previously. Identify the previous filing by registration statement number, or the Form or Schedule and the date of its filing. |
||
|
(1) |
Amount Previously Paid: |
||
|
(2) |
Form, Schedule or Registration Statement No.: |
||
|
(3) |
Filing Party: |
||
|
(4) |
Date Filed: |
[PRELIMINARY COPY – SUBJECT TO COMPLETION]
National Research Corporation
D/B/A NRC Health
NOTICE OF ANNUAL MEETING OF SHAREHOLDERS
To Be Held June 29, 2021
To the Shareholders of
National Research Corporation:
NOTICE IS HEREBY GIVEN that the Annual Meeting of Shareholders of National Research Corporation will be held on Tuesday, June 29, 2021, at 12:30 P.M., Central Time, via the Internet at www.virtualshareholdermeeting.com/nrc2021, for the following purposes:
1. To elect two directors to hold office until the 2024 annual meeting of shareholders and until their successors are duly elected and qualified.
2. To ratify the appointment of KPMG LLP as our independent registered public accounting firm for 2021.
3. To conduct an advisory vote to approve the compensation of our named executive officers as disclosed in the accompanying proxy statement.
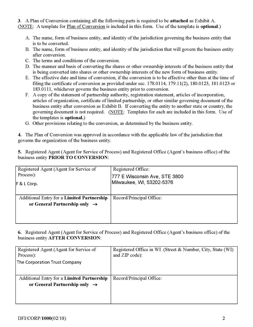
4. To approve the reincorporation of National Research Corporation from the State of Wisconsin to the State of Delaware pursuant to a plan of conversion.
5. To approve our Delaware Certificate of Incorporation increasing the total number of shares of the Company’s authorized common stock.
6. To approve our Delaware Certificate of Incorporation removing restrictions on business combinations.
7. To approve a provision in our Delaware Certificate of Incorporation opting out of Delaware General Corporation Law Section 203 in connection with the reincorporation to Delaware; and
8. To consider and act upon such other business as may properly come before the meeting or any adjournment or postponement thereof.
The close of business on May 5, 2021, has been fixed as the record date for the determination of shareholders entitled to notice of, and to vote at, the meeting and any adjournment or postponement thereof.
A proxy for the meeting and a proxy statement are enclosed herewith.
|
By Order of the Board of Directors NATIONAL RESEARCH CORPORATION
Kevin R. Karas Secretary |
Lincoln, Nebraska
June 3, 2021
Important Notice Regarding the Availability of Proxy Materials for the Shareholder Meeting To Be Held on June 29, 2021. The National Research Corporation proxy statement for the 2021 Annual Meeting of Shareholders and the 2020 Annual Report to Shareholders are available at www.proxyvote.com.
YOUR VOTE IS IMPORTANT NO MATTER HOW LARGE OR SMALL YOUR HOLDINGS MAY BE. TO ASSURE YOUR REPRESENTATION AT THE MEETING, PLEASE DATE THE ENCLOSED PROXY, WHICH IS SOLICITED BY THE BOARD OF DIRECTORS, SIGN EXACTLY AS YOUR NAME APPEARS THEREON AND RETURN IMMEDIATELY.
|
Page |
|
|
1 |
|
|
3 |
|
|
Security Ownership of Certain Beneficial Owners and Management |
13 |
|
Proposal No. 2 – Ratification of the Appointment of Independent Registered Public Accounting Firm |
15 |
|
16 |
|
|
27 |
|
|
Commentary from the Board of Directors on Proposals 4 through 7 |
29 |
|
30 |
|
|
45 |
|
|
48 |
|
|
50 |
|
|
52 |
|
|
A-1 |
|
|
B-1 |
|
|
C-1 |
|
|
D-1 |
|
|
E-1 |
|
|
F-1 |
D/B/A NRC Health
1245 Q Street
Lincoln, Nebraska 68508
PROXY STATEMENT
FOR
ANNUAL MEETING OF SHAREHOLDERS
To Be Held June 29, 2021
This proxy statement is being furnished to shareholders by the Board of Directors (the “Board”) of National Research Corporation, doing business as NRC Health (“NRC Health,” the “Company,” “we,” “our,” “us” or similar terms), beginning on or about June 3, 2021, in connection with a solicitation of proxies by the Board for use at the Annual Meeting of Shareholders to be held on Tuesday, June 29, 2021, at 12:30 P.M., Central Time, virtually via the Internet at www.virtualshareholdermeeting.com/nrc2021, and all adjournments or postponements thereof (the “Annual Meeting”) for the purposes set forth in the attached Notice of Annual Meeting of Shareholders.
Execution of a proxy given in response to this solicitation will not affect a shareholder’s right to vote their shares during the Annual Meeting. Participation at the Annual Meeting of a shareholder who has signed a proxy does not in itself revoke a proxy. Any shareholder giving a proxy may revoke it at any time before it is exercised by giving notice thereof to us in writing or in open meeting. Instructions on how to vote while participating in the Annual Meeting live via the Internet are posted at www.virtualshareholdermeeting.com/nrc2021.
A proxy, in the enclosed form, which is properly executed, duly returned to us and not revoked, will be voted in accordance with the instructions contained therein. The shares represented by executed but unmarked proxies will be voted as follows:
| ● | FOR the two persons nominated for election as directors referred to herein; | |
|
● |
FOR the ratification of the appointment of KPMG LLP as our independent registered public accounting firm for 2021; |
|
● |
FOR the advisory vote to approve the compensation of the individuals named in the Summary Compensation Table set forth below in this proxy statement (such group of individuals are sometimes referred to as our named executive officers); |
|
● |
FOR the reincorporation of National Research Corporation from the State of Wisconsin to the State of Delaware pursuant to a plan of conversion; |
|
● |
FOR our Delaware Certificate of Incorporation increasing the total number of shares of the Company’s authorized common stock; |
|
● |
FOR our Delaware Certificate of Incorporation removing restrictions on business combinations; |
|
● |
FOR the approval of a provision in our Delaware Certificate of Incorporation opting out of Delaware General Corporation Law Section 203 in connection with the reincorporation to Delaware; and |
|
| ● | On such other business or matters which may properly come before the Annual Meeting in accordance with the best judgment of the persons named as proxies in the enclosed form of proxy. |
Other than the election of two directors, the ratification of the appointment of KPMG LLP as our independent registered public accounting firm for 2021, the advisory vote to approve the compensation of our named executive officers, the reincorporation from the State of Wisconsin to the State of Delaware, increasing the total number of shares of the Company’s authorized common stock in our Delaware Certificate of Incorporation, removing restrictions on business combinations in our Delaware Certificate of Incorporation, and in connection with the reincorporation, the approval of a provision in our Delaware Certificate of Incorporation opting out of Delaware General Corporation Law Section 203, the Board has no knowledge of any matters to be presented for action by the shareholders at the Annual Meeting.
Only holders of record of our common stock, $.001 par value per share (the “Common Stock”), at the close of business on May 5, 2021 (the “Record Date”), are entitled to vote at the Annual Meeting. On that date, we had outstanding and entitled to vote 25,439,013 shares of Common Stock, each of which is entitled to one vote per share. The presence at the Annual Meeting, via live webcast or by proxy, of a majority of the votes entitled to be cast shall constitute a quorum for the purpose of transacting business at the Annual Meeting. Abstentions and broker non-votes will be counted as present in determining whether there is a quorum.
Information Regarding Participation in the Annual Meeting via the Internet
Due to the public health impact of the coronavirus outbreak (COVID-19) and to support the health and well-being of our associates and shareholders, we will be hosting the Annual Meeting live via the Internet. You will not be able to attend the Annual Meeting in person. Any stockholder can listen to and participate in the Annual Meeting live via the Internet at www.virtualshareholdermeeting.com/ nrc2021. The Annual Meeting webcast will begin promptly at 12:30 P.M., Central Time. We encourage you to access the Annual Meeting webcast prior to the start time. Online check-in will begin, and stockholders may begin submitting written questions, at 12:15 P.M., Central Time, and you should allow ample time for the check-in procedures.
You will need the 16-digit control number included on your proxy card or voting instruction form, or included in the e-mail to you if you received the proxy materials by e-mail, in order to be able to vote your shares or submit questions during the Annual Meeting. Instructions on how to connect to the Annual Meeting and participate via the Internet, including how to demonstrate proof of stock ownership, are posted at www.virtualshareholdermeeting.com/nrc2021. If you do not have your 16-digit control number, you will be able to access and listen to the Annual Meeting but you will not be able to vote your shares or submit questions during the Annual Meeting. Our virtual meeting platform vendor will have technicians ready to assist you with any technical difficulties you may have accessing the virtual meeting or submitting questions. If you encounter any difficulties accessing the virtual meeting during the check-in or meeting time, please call the technical support number that will be posted on the Virtual Shareholder Meeting login page.
PROPOSAL NO. 1 – ELECTION OF DIRECTORS
Our By-Laws provide that the directors shall be divided into three classes, with staggered terms of three years each. At the Annual Meeting, the shareholders will elect two directors to hold office until the 2024 annual meeting of shareholders and until their successors are duly elected and qualified. Unless shareholders otherwise specify, the shares represented by the proxies received will be voted in favor of the election as directors of the two persons named as nominees herein. The Board has no reason to believe that the listed nominees will be unable or unwilling to serve as directors if elected. However, in the event that any nominee should be unable to serve or for good cause will not serve, the shares represented by proxies received will be voted for another nominee selected by the Board. Each director will be elected by a plurality of the votes cast at the Annual Meeting (assuming a quorum is present). Consequently, any shares not voted at the Annual Meeting, whether due to abstentions, broker non-votes or otherwise, will have no impact on the election of the directors. Votes will be tabulated by an inspector of elections appointed by the Board.
The following sets forth certain information, as of May 5, 2020, about the Board’s nominees for election at the Annual Meeting and each director of the Company whose term will continue after the Annual Meeting.
Nominees for Election at the Annual Meeting
Terms expiring at the 2024 Annual Meeting
Michael D. Hays, 66, has served as Chief Executive Officer and a director since he founded the Company in 1981. He also served as President of the Company from 1981 to 2004, from July 2008 to July 2011, and from October 2020 to present. Prior to founding the Company, Mr. Hays served for seven years as a Vice President and a director of SRI Research Center, Inc. (n/k/a the Gallup Organization). Mr. Hays’ background as founder of the Company, and his long and successful tenure as Chief Executive Officer and a director, led to the conclusion that he should serve as a director of the Company.
John N. Nunnelly, 68, has served as a director of the Company since December 1997. Mr. Nunnelly is a retired Group President from McKesson Corporation, a leader in pharmaceutical distribution and healthcare information technology. During his 28-year career at McKesson, Mr. Nunnelly served in a variety of other positions, including Vice President of Strategic Planning and Business Development, Vice President and General Manager of the Amherst Product Group and Vice President of Sales-Decision Support. These responsibilities included leading several business units, including one with over $360 million in annual revenue. In addition, he was involved in managing a number of mergers and acquisitions. Mr. Nunnelly has also served as an adjunct professor at the University of Massachusetts, School of Nursing, advising students and faculty on matters pertaining to healthcare information technology. These experiences and Mr. Nunnelly’s expertise as a professional and educator in the field of healthcare information technology led to the conclusion that he should serve as a director of the Company.
THE BOARD RECOMMENDS THE FOREGOING NOMINEES FOR ELECTION AS DIRECTORS AND URGES EACH SHAREHOLDER TO VOTE “FOR” SUCH NOMINEES. SHARES OF THE COMPANY’S COMMON STOCK REPRESENTED BY EXECUTED BUT UNMARKED PROXIES WILL BE VOTED “FOR” SUCH NOMINEES.
Directors Continuing in Office
Terms expiring at the 2022 Annual Meeting
Donald M. Berwick, 74, has served as a director of the Company since October 2015. Dr. Berwick is the former President and Chief Executive Officer of the Institute for Healthcare Improvement, which he co-founded and led for almost 20 years, and where he now serves as President Emeritus and Senior Fellow. He is also currently a Lecturer in the Department of Health Care Policy at Harvard Medical School. From July 2010 to December 2011, Dr. Berwick served as the Administrator of the Centers for Medicare and Medicaid Services as an appointee of President Barack Obama. Dr. Berwick previously served on the faculty of the Harvard Medical School and the Harvard School of Public Health (from 1974 to 2010). He was also vice chair of the U.S. Preventive Services Task Force (from 1990 to 1995), the first “Independent Member” of the Board of Trustees of the American Hospital Association (from 1996 to 1999) and the chair of the National Advisory Council of the Agency for Healthcare Research and Quality (from 1995 to 1999). Dr. Berwick’s expertise as a professional, administrator, lecturer and educator in the field of healthcare led to the conclusion that he should serve as a director of the Company.
Stephen H. Lockhart, 62, has served as a director of the Company since May 2021. Dr. Lockhart served as senior vice president and chief medical officer for Sutter Health Network, a not-for-profit system of hospitals, physician organizations, and research institutions in Northern California, from 2015 to 2021. Prior to that role, Dr. Lockhart served as Sutter Health Network’s regional chief medical officer for the East Bay Region from 2010 to 2015. From 2008 to 2010, Dr. Lockhart served as the chief administrative officer at the St. Luke’s campus of Sutter’s California Pacific Medical Center. In 2017, Dr. Lockhart was named to California Governor Brown’s Advisory Committee on Precision Medicine as part of California’s effort to use advanced computing and technology to better understand, treat, and prevent disease. Dr. Lockhart serves on the board of Molina Healthcare, Inc. (NYSE: MOH), a health plan provider under Medicaid and Medicare programs and in state insurance marketplaces. Dr. Lockhart also serves on the boards of the ECRI Institute, Recreational Equipment, Inc., the David and Lucile Packard Foundation, and is chairman of Parks California – a nonprofit dedicated to supporting California's parks and public lands. Dr. Lockhart’s 35 years of experience in the healthcare industry and his background as medical provider and administrator in a large healthcare system led to the conclusion that he should serve as a director of the Company.
Terms expiring at the 2023 Annual Meeting
JoAnn M. Martin, 66, has served as a director of the Company since June 2001. Ms. Martin served as the Vice Chair of the Board of Ameritas Mutual Holding Company, Ameritas Holding Company, and Ameritas Life Insurance Corp. (“Ameritas”) until May 2021. Ms. Martin was elected President and Chief Executive Officer of Ameritas, an insurance and financial services company, in July 2005 and served as Chair and Chief Executive Officer until January 2020. From April 2003 to July 2005, she served Ameritas as President and Chief Operating Officer. Prior to that role, Ms. Martin served as Senior Vice President and Chief Financial Officer of Ameritas for more than the preceding five years. In April 2009, Ms. Martin was elected Chief Executive Officer of Ameritas Holding Company and Ameritas Mutual Holding Company (previously named UNIFI Mutual Holding Company), where she had served as Executive Vice President and Chief Financial Officer for more than the preceding five years, and served as Chief Executive Officer of Ameritas Mutual Holding Company until January 2020. Prior to her retirement from the position of Chief Executive Officer in January 2020, Ms. Martin had served as an officer of Ameritas and/or its affiliates since 1988. Ms. Martin has also served as a director of Nelnet, Inc. (NYSE: NNI), a diversified educational services, technology solutions, telecommunications, and asset management company, since March 2020 and currently serves on Nelnet’s Audit Committee. Ms. Martin’s financial background as a certified public accountant and as the former Chief Financial Officer and Chief Executive Officer of a mutual insurance holding company, as well as her past leadership experiences as a director of the Omaha Branch of the Federal Reserve Bank of Kansas City and other organizations, led to the conclusion that she should serve as a director of the Company.
Penny A. Wheeler, 63, has served as a director of the Company since May 2021. Since 2015, Dr. Wheeler has served as the chief executive officer of Allina Health, a not-for-profit healthcare system serving over 1.5 million individuals in Minnesota and western Wisconsin. Prior to that role she served as chief clinical officer since 2006. For 20 years, Dr. Wheeler has also served as a board certified obstetrician/gynecologist where she spent considerable time interacting with, and caring for, patients and the community. In 2015, Minnesota Governor Mark Dayton appointed Dr. Wheeler to the Taskforce for Health Care Financing, and Dr. Wheeler has been named as one of the top 25 women in health care by Modern Healthcare magazine. Dr. Wheeler also serves on the board of Portico Healthnet, a not-for-profit organization dedicated to helping uninsured Minnesotans receive affordable health coverage and care, St. Thomas University, and the University of Minnesota Foundation. She was also named to the Board of Cedar Cares, an organization that eases the patient billing experience through customized engagement. Dr. Wheeler’s past leadership experiences in the healthcare industry led to the conclusion that she should serve as a director of the Company.
CORPORATE GOVERNANCE
Independent Directors and Annual Meeting Attendance
Of the six directors currently serving on the Board, the Board has determined that Donald M. Berwick, JoAnn M. Martin, John N. Nunnelly, Stephen H. Lockhart, and Penny A. Wheeler are “independent directors” as that term is defined in the listing standards of The NASDAQ Stock Market.
Directors are typically expected to attend our annual meeting of shareholders each year. For the 2021 Annual Meeting, such attendance will be through the Internet via live webcast. Each of the directors attended our 2020 annual meeting of shareholders.
Currently, we do not have a chairman, and the Board does not have a policy on whether the roles of chief executive officer and chairman should be separate. The Board has, however, designated a lead director since 2007, with Ms. Martin serving as the lead director from 2007 until May 2012 and Mr. Nunnelly serving as the lead director since May 2012. The Board believes its current leadership structure is appropriate at this time since it establishes our chief executive officer as the primary executive leader with one vision and eliminates ambiguity as to who has primary responsibility for our performance.
The lead director is an independent director who is appointed by the independent directors and who works closely with the chief executive officer. In addition to serving as the principal liaison between the independent directors and the chief executive officer in matters relating to the Board as a whole, the primary responsibilities of the lead director are as follows:
| ● |
Preside at all meetings of the Board at which the chief executive officer is not present, including any executive sessions of the independent directors, and establish agendas for such executive sessions in consultation with the other directors and the chief executive officer; |
| ● |
Advise the chief executive officer as to the quality, quantity, and timeliness of the flow of information from management that is necessary for the independent directors to effectively perform their duties; |
| ● |
Have the authority to call meetings of the independent directors as appropriate; and |
| ● |
Be available to act as the spokesperson for the Company if the chief executive officer is unable to act as the spokesperson. |
Committees
The Board held eleven meetings in 2020. All persons serving as directors in 2020 attended at least 75% of the meetings of the Board and the committees on which they served during 2020.
The Board has a standing Audit Committee, Compensation and Talent Committee, Nominating Committee and Strategic Planning Committee. Each of these committees has the responsibilities set forth in formal written charters adopted by the Board. We make available copies of each of these charters free of charge on our website located at www.nrchealth.com/our-purpose/investor-relations/corporate-governance/. Other than the text of the charters, we are not including the information contained on or available through our website as a part of, or incorporating such information by reference into, this proxy statement.
The Audit Committee’s primary function is to assist the Board in fulfilling its oversight responsibilities by overseeing our systems of internal controls regarding finance, accounting, legal compliance and ethics that management and the Board have established; our accounting and financial reporting processes; and the audits of our financial statements. The Audit Committee presently consists of JoAnn M. Martin (Chairperson), John N. Nunnelly, and Donald M. Berwick, each of whom meets the independence standards of The NASDAQ Stock Market and the Securities and Exchange Commission for audit committee members. The Board has determined that JoAnn M. Martin qualifies as an “audit committee financial expert,” as that term is defined by the Securities and Exchange Commission, because she has the requisite attributes through, among other things, education and experience as a president, chief financial officer and certified public accountant. The Audit Committee held five meetings in 2020.
The Compensation and Talent Committee determines compensation programs for our executive officers, reviews management’s recommendations as to the compensation to be paid to other key personnel and administers our equity-based compensation plans. The Compensation and Talent Committee presently consists of Donald M. Berwick (Chairperson), JoAnn M. Martin, and John N. Nunnelly, each of whom meets the independence standards of The NASDAQ Stock Market and the Securities and Exchange Commission for compensation committee members. The Compensation and Talent Committee held two meetings in 2020. From time to time, with the last time being in 2015, the Compensation and Talent Committee or our management has engaged a nationally recognized compensation consultant to assist us in our review of our compensation and benefits programs, including the competitiveness of pay levels, executive compensation design issues, market trends and technical considerations. The Compensation and Talent Committee, however, did not use this information in setting the compensation of our executive officers in 2020.
The Nominating Committee presently consists of Donald M. Berwick (Chairperson) and John N. Nunnelly, each of whom meets the independence standards of The NASDAQ Stock Market for nominating committee members. The Nominating Committee’s primary functions are to: (1) recommend persons to be selected by the Board as nominees for election as directors and (2) recommend persons to be elected to fill any vacancies on the Board. The Nominating Committee held three meetings in 2020.
The Strategic Planning Committee assists the Board in reviewing and, as necessary, altering, our strategic plan, reviewing industry trends and their effects, if any, on us and assessing our products, services and offerings and the viability of such portfolio in meeting the needs of the markets that we serve. John N. Nunnelly (Chairperson), Donald M. Berwick and JoAnn M. Martin are the current members of the Strategic Planning Committee. The Strategic Planning Committee did not hold any meetings in 2020.
Board Oversight of Risk
The full Board is responsible for the oversight of our operational and strategic risk management process. The Board relies on its Audit Committee to address significant financial risk exposures facing us and the steps management has taken to monitor, control and report such exposures, with appropriate reporting of these risks to be made to the full Board. The Board relies on its Compensation and Talent Committee to address significant risk exposures facing us with respect to compensation, with appropriate reporting of these risks to be made to the full Board. The Board’s role in our risk oversight has not affected the Board’s leadership structure.
Nominations of Directors
The Nominating Committee will consider persons recommended by shareholders to become nominees for election as directors. Recommendations for consideration by the Nominating Committee should be sent to the Secretary of the Company in writing together with appropriate biographical information concerning each proposed nominee. Our By-Laws also set forth certain requirements for shareholders wishing to nominate director candidates directly for consideration by the shareholders. With respect to an election of directors to be held at an annual meeting, a shareholder must, among other things, give notice of intent to make such a nomination to the Secretary of the Company not less than 60 days or more than 90 days prior to the second Wednesday in the month of April. In the event, however, that the date of the annual meeting is advanced by more than 30 days or delayed by more than 60 days from the second Wednesday in the month of April, in order to be timely notice by the shareholder must be received not earlier than the 90th day prior to the date of such annual meeting and not later than the close of business on the later of (i) the 60th day prior to such annual meeting and (ii) the 10th day following the day on which public announcement of the date of such meeting is first made.
In identifying and evaluating nominees for director, the Nominating Committee seeks to ensure that the Board possesses, in the aggregate, the strategic, managerial and financial skills and experience necessary to fulfill its duties and to achieve its objectives, and seeks to ensure that the Board is comprised of directors who have broad and diverse backgrounds, possessing knowledge in areas that are of importance to us. The Nominating Committee looks at each nominee on a case‑by‑case basis regardless of who recommended the nominee. In looking at the qualifications of each candidate to determine if their election would further the goals described above, the Nominating Committee takes into account all factors it considers appropriate, which may include strength of character, mature judgment, career specialization, relevant technical skills or financial acumen, diversity of viewpoint and industry knowledge. In addition, the Board and the Nominating Committee believe that the following specific qualities and skills are necessary for all directors to possess:
| ● |
A director must display high personal and professional ethics, integrity and values. |
| ● |
A director must have the ability to exercise sound business judgment. |
| ● |
A director must be accomplished in his or her respective field, with broad experience at the administrative and/or policy-making level in business, government, education, technology or public interest. |
| ● |
A director must have relevant expertise and experience, and be able to offer advice and guidance based on that expertise and experience. |
| ● |
A director must be independent of any particular constituency, be able to represent all shareholders of the Company and be committed to enhancing long-term shareholder value. |
| ● |
A director must have sufficient time available to devote to activities of the Board and to enhance his or her knowledge of the Company’s business. |
The Board also believes the following qualities or skills are necessary for one or more directors to possess:
| ● |
At least one independent director must have the requisite experience and expertise to be designated as an “audit committee financial expert,” as defined by applicable rules of the Securities and Exchange Commission, and have past employment experience in finance or accounting, requisite professional certification in accounting, or any other comparable experience or background which results in the member’s financial sophistication, as required by the rules of NASDAQ. |
| ● |
One or more of the directors generally must be active or former executive officers of public or private companies or leaders of major complex organizations, including commercial, scientific, government, educational and other similar institutions. |
As noted above, in identifying and evaluating nominees for director, the Nominating Committee seeks to ensure that, among other things, the Board is comprised of directors who have broad and diverse backgrounds, because the Board believes that directors should be selected so that the Board is a diverse body. The Nominating Committee implements this policy by considering how potential directors’ backgrounds would contribute to the diversity of the Board. As part of its annual self-evaluation, the Nominating Committee assesses the effectiveness of its efforts to attain diversity by considering whether it has an appropriate process for identifying and selecting director candidates.
Compensation Committee Interlocks and Insider Participation
Barbara Mowry, Ms. Martin, Mr. Nunnelly, and Mr. Berwick served on the Compensation and Talent Committee during 2020. None of such individuals were our officers or employees at any time during 2020 or as of the date of this Proxy Statement, nor was any such individual a former officer of the Company. In 2020 we purchased dental and vision insurance for certain of our associates from Ameritas, a company for whom Ms. Martin served as Chair and Chief Executive Officer during 2020, in arms’ length transactions for approximately $248,000. See Transactions with Related Persons for additional information on this transaction. Otherwise, in 2020, no member of our Compensation and Talent Committee had any relationship or transaction with us that would require disclosure as a "related person transaction" under Item 404 of Securities and Exchange Commission Regulation S-K in this Proxy Statement under the section entitled Transactions with Related Persons.
During 2020, none of our executive officers served as a member of the board of directors or compensation committee (or other board committee performing equivalent functions) of another entity, one of whose executive officers served on our Compensation and Talent Committee. Additionally, during 2020, none of our executive officers served as a member of the compensation committee (or other board committee performing equivalent functions) of another entity, one of whose executive officers served as a member of our Board or Compensation and Talent Committee.
Transactions with Related Persons
Except as otherwise disclosed in this section, we had no related person transactions during 2020, and none are currently proposed, in which we were a participant and in which any related person had a direct or indirect material interest. Our Board has adopted written policies and procedures regarding related person transactions. For purposes of these policies and procedures:
| ● |
A “related person” means any of our directors, executive officers, nominees for director, any holder of 5% or more of the common stock or any of their immediate family members; and |
| ● |
A “related person transaction” generally is a transaction (including any indebtedness or a guarantee of indebtedness) in which we were or are to be a participant and the amount involved exceeds $120,000, and in which a related person had or will have a direct or indirect material interest. |
Each of our executive officers, directors or nominees for director is required to disclose to the Audit Committee certain information relating to related person transactions for review, approval or ratification by the Audit Committee. Disclosure to the Audit Committee should occur before, if possible, or as soon as practicable after the related person transaction is effected, but in any event as soon as practicable after the executive officer, director or nominee for director becomes aware of the related person transaction. The Audit Committee’s decision whether or not to approve or ratify a related person transaction is to be made in light of the Audit Committee’s determination that consummation of the transaction is not or was not contrary to our best interests. Any related person transaction must be disclosed to the full Board.
Until January 2020, Ms. Martin served as Chair and Chief Executive Officer of Ameritas. Until May 2021, Ms. Martin served on the board of directors of Ameritas and certain of its affiliated companies. In connection with our regular assessment of our insurance-based associate benefits and the costs associated therewith, which is conducted by an independent insurance broker, in 2007 we began purchasing dental insurance for certain of our associates from Ameritas and, in 2009, we also began purchasing vision insurance for certain of our associates from Ameritas. The total value of these purchases, which were conducted in arms’ length transactions and approved by the Audit Committee pursuant to our related person transaction policies and procedures, was approximately $248,000 in 2020.
During 2017, we acquired a cost method investment in convertible preferred stock of PracticingExcellence.com, Inc., a privately-held Delaware corporation (“PX”). As part of the investment, we have the right to appoint one member to PX’s board of directors. Prior to the investment, we entered into an agreement with PX, under which we act as a reseller of PX services (the “PX reseller agreement”). The total revenue we earned from the PX reseller agreement was approximately $294,000 in 2020. These transactions were conducted at arms’ length and approved by the Audit Committee pursuant to our related person transaction policies and procedures.
Barbara Mowry, who served as one of our directors through May 2020, also served on the board of directors of IMA Financial Group Inc. (“IMA”). In connection with our regular assessment of our insurance coverages and the costs associated therewith, in 2020, we purchased directors and officers and employment practices liability insurance from IMA. The total payments for these services, which were conducted in arms’ length transactions and approved by the Audit Committee pursuant to our related person transaction policies and procedures, was approximately $1,100,000 in 2020.
Communications with the Board of Directors
Shareholders may communicate with the Board by writing to NRC Health, Board of Directors (or, at the shareholder’s option, to a specific director), c/o Kevin R. Karas, Secretary, 1245 Q Street, Lincoln, Nebraska 68508. The Secretary will ensure that the communication is delivered to the Board or the specified director, as the case may be.
Information About Our Executive Officers
Set forth below is certain information regarding our current executive officers (other than our CEO and President, Mr. Hays, for whom information is set forth above under Nominees for Election at the Annual Meeting).
Kevin R. Karas, 63, has served as our Chief Financial Officer, Treasurer and Secretary since September 2011, and as Senior Vice President Finance since he joined us in December 2010. From 2005 to 2010, he served as Vice President of Finance for Lifetouch Portrait Studios, Inc., a national retail photography company. Mr. Karas also previously served as Chief Financial Officer at CARSTAR, Inc., an automobile collision repair franchise business, from 2000 to 2005, Chief Financial Officer at Rehab Designs of America, Inc., a provider of orthotic and prosthetic services, from 1993 to 2000, and as a regional Vice President of Finance and Vice President of Operations at Novacare, Inc., a provider of physical rehabilitation services, from 1988 to 1993. He began his career as a Certified Public Accountant at Ernst & Young.
Jona S. Raasch, 62, has served as our Chief Operating Officer from 1988 to 2011 and from 2014 to present. She has also served as Chief Executive Officer of the Governance Institute, one of our divisions, since May 2006.
Helen L. Hrdy, 56, has served as our Chief Growth Officer since January 2020. Prior to that position Ms. Hrdy served as our Senior Vice President, Customer Success, from January 2012 to January 2020. Prior to this Ms. Hrdy held various positions of increasing responsibility with the Company since 2000.
Our executive officers are elected by and serve at the discretion of the Board. There are no family relationships between any of our directors or executive officers. There are no arrangements or understandings between any of our executive officers and any other person pursuant to which any of our executive officers was or is to be selected as an officer.
Employee, Officer and Director Hedging
We do not have practices or policies regarding the ability of employees (including officers) or directors of the Company, or any of their designees, to purchase financial instruments, or otherwise engage in transactions, that hedge or offset, or are designed to hedge or offset, any decrease in the market value of our equity securities. Our officers and Named Executive Officers have not historically engaged in any such hedging transactions and as of the Record Date none of our officers or Named Executive Officers were party to any such hedging transactions.
2020 DIRECTOR COMPENSATION
Directors who are executive officers of the Company receive no compensation for service as members of either the Board or committees thereof. Directors who are not executive officers of the Company receive an annual fixed fee of $75,000 for the lead director and $50,000 for each other director. Directors are also reimbursed for out-of-pocket expenses associated with attending meetings of the Board and committees thereof. Ms. Martin served as our lead director from 2007 to May 2012, and Mr. Nunnelly has served as our lead director since May 2012.
Pursuant to the National Research Corporation 2004 Non-Employee Director Stock Plan, as amended (the “Director Plan”), each director who is not an associate (i.e., employee) of the Company also receives an annual grant of an option to purchase shares of our Common Stock on the date of each Annual Meeting of Shareholders. For the period from January 1, 2020 to December 31, 2020, each director continuing in office who was not an associate of the Company received a grant of options to purchase shares of our Common Stock with a target grant date fair value of approximately $100,000, rounded to the nearest whole share and computed in accordance with Financial Accounting Standards Board Accounting Standards Codification Topic 718, Compensation-Stock Compensation (“FASB ASC Topic 718”), or successor rule, on the date of our 2020 annual meeting of shareholders. The options were granted with an exercise price equal to the fair market value of our common stock on the date of grant, and are scheduled to vest the day immediately preceding the Annual Meeting.
The following table sets forth information regarding the compensation received by each of our directors during 2020:
|
Name |
Fees Earned or Paid in Cash |
Option Awards(1) |
Total |
|||||||||
|
Donald M. Berwick |
$ | 50,000 | $ | 100,003 | $ | 150,003 | ||||||
|
JoAnn M. Martin |
$ | 50,000 | $ | 100,003 | $ | 150,003 | ||||||
|
Barbara J. Mowry(2) |
$ | 19,231 | - | $ | 19,231 | |||||||
|
John N. Nunnelly |
$ | 75,000 | $ | 100,003 | $ | 175,003 | ||||||
1 Represents the aggregate grant date fair value of option awards granted during the year, computed in accordance with FASB ASC Topic 718. See Note 9 to our Consolidated Financial Statements included in our Annual Report on Form 10-K for the years ended December 31, 2020, December 31, 2019, and December 31, 2018, for a discussion of assumptions made in the valuation of share-based compensation. As of December 31, 2020, the outstanding option awards for each director were as follows: Dr. Berwick – 14,000 options; Ms. Martin – 60,440 options; Ms. Mowry – 50,000 options; and Mr. Nunnelly – 49,675 options.
2 Ms. Mowry’s term as director expired on May 18, 2020 and she did not stand for reelection.
REPORT OF THE AUDIT COMMITTEE
In accordance with its written charter, the Audit Committee’s primary function is to assist the Board in fulfilling its oversight responsibilities by overseeing the Company’s systems of internal controls regarding finance, accounting, legal compliance and ethics that management and the Board have established; the Company’s accounting and financial reporting processes; and the audits of the financial statements of the Company.
In fulfilling its responsibilities, the Audit Committee has reviewed and discussed the audited financial statements contained in the 2020 Annual Report on Form 10-K with the Company’s management and independent registered public accounting firm. Management is responsible for the financial statements and the reporting process, including the system of internal controls. The independent registered public accounting firm is responsible for expressing an opinion on the audited financial statements in conformity with U.S. generally accepted accounting principles and on the Company’s internal control over financial reporting.
The Audit Committee discussed with the independent registered public accounting firm matters required to be discussed under the applicable requirements of the Public Company Accounting Oversight Board regarding communications with audit committees. In addition, the Company’s independent registered public accounting firm provided to the Audit Committee the written disclosures and the letter required by applicable requirements of the Public Company Accounting Oversight Board regarding the independent registered public accounting firm’s communications with the Audit Committee concerning independence, and the Audit Committee discussed with the independent registered public accounting firm the firm’s independence. The Audit Committee pre-approves all audit and permissible non-audit services provided by the independent registered public accounting firm. The Audit Committee has considered whether the provision of the services relating to the Audit-Related Fees, Tax Fees and All Other Fees set forth in “Miscellaneous – Independent Registered Public Accounting Firm” was compatible with maintaining the independence of the independent registered public accounting firm and determined that such services did not adversely affect the independence of the firm.
In reliance on the reviews and discussions referred to above, the Audit Committee recommended to the Board (and the Board has approved) that the audited financial statements be included in the Company’s Annual Report on Form 10-K for the fiscal year ended December 31, 2020, for filing with the Securities and Exchange Commission.
This report shall not be deemed incorporated by reference by any general statement incorporating by reference this proxy statement into any filing under the Securities Act of 1933, as amended, or the Securities Exchange Act of 1934, as amended, and shall not otherwise be deemed filed under such Acts.
AUDIT COMMITTEE
JoAnn M. Martin, Chairperson
John N. Nunnelly
Donald M. Berwick
The following table sets forth certain information regarding the beneficial ownership of Common Stock as of the Record Date (i.e., May 5, 2021) by: (1) each director and director nominee; (2) each of the executive officers named in the Summary Compensation Table; (3) all of the directors, director nominees and executive officers as a group; and (4) each person or entity known to the Company to be the beneficial owner of more than 5% of the Common Stock. Except as otherwise indicated in the footnotes, each of the holders listed below has sole voting and investment power over the shares beneficially owned. As of the Record Date, there were 25,439,013 shares of Common Stock outstanding.
| Shares Beneficially Owned | |||||||||
|
Name of Beneficial Owner |
Shares |
% (1) |
|||||||
|
Directors and Executive Officers (2) |
|||||||||
|
Michael D. Hays |
223,794 | (3)(4) | * | ||||||
|
Kevin R. Karas |
42,754 | (4)(5) | * | ||||||
|
Jona S. Raasch |
95,735 | (4)(6) | * | ||||||
|
Helen L. Hrdy |
58,691 | (4) | * | ||||||
|
Steven D. Jackson |
55,567 | * | |||||||
|
Donald M. Berwick |
14,540 | (4) | * | ||||||
|
JoAnn M. Martin |
199,395 | (4) | * | ||||||
|
John N. Nunnelly |
76,569 | (4) | * | ||||||
|
Stephen H. Lockhart |
0 | (4) | * | ||||||
|
Penny A. Wheeler |
0 | (4) | * | ||||||
|
All directors, nominees and executive officers as a group (ten persons) |
767,045 | (4) | 3.0 | % | |||||
|
Other Holders |
|||||||||
|
Amandla MK Trust and Patrick E. Beans, as the Special Holdings Direction Advisor under this Trust (7) |
6,265,055 | 24.6 | % | ||||||
|
Common Property Trust, Common Property Trust LLC and Thomas Richardson, as Trustee of Common Property Trust and Manager of Common Property Trust LLC(8) |
4,772,522 | 18.8 | % | ||||||
|
Kayne Anderson Rudnick Investment Management LLC (9) |
3,334,366 | 13.1 | % | ||||||
_______________________
* Denotes less than 1%.
| (1) | In accordance with applicable rules under the Securities Exchange Act of 1934, as amended, the number of shares indicated as beneficially owned by a person includes shares of common stock and shares underlying options that are currently exercisable or will be exercisable within 60 days of May 5, 2021. Shares of common stock underlying stock options that are currently exercisable or will be exercisable within 60 days of May 5, 2021 are deemed to be outstanding for purposes of computing the percentage ownership of the person holding such options, but are not deemed outstanding for purposes of computing the percentage ownership of any other person. |
| (2) | The address of all directors and officers is 1245 Q Street, Lincoln, Nebraska 68508. |
| (3) | Includes 139,095 shares of Common Stock held by Mr. Hays’ wife. Mr. Hays disclaims beneficial ownership of the shares held by his wife. |
| (4) | Includes shares of Common Stock that may be purchased under stock options which are currently exercisable or exercisable within 60 days of May 5, 2021, as follows: Mr. Hays, 47,950 shares; Mr. Karas, 20,458 shares; Ms. Raasch, 45,116 shares; Ms. Hrdy, 25,866 shares; Mr. Berwick, 14,000 shares; Ms. Martin, 60,440 shares; Mr. Nunnelly, 49,675 shares; Dr. Lockhart, 0 shares; Dr. Wheeler, 0 shares; and all directors, nominees and executive officers as a group, 263,505 shares. |
| (5) | Includes 22,296 shares of Common Stock pledged as security. |
| (6) | Includes 50,619 shares of Common Stock held indirectly through a trust. |
| (7) | The trustee of this Trust is The Bryn Mawr Trust Company of Delaware and its address is 20 Montchanin Road, Suite 100, Greenville, Delaware 19807. The address of the Special Holdings Direction Advisor for this Trust is 709 Pier 2, Lincoln, Nebraska 68528. |
| (8) | The address for the Common Property Trust and Common Property Trust LLC is 4535 Normal Boulevard, Suite 195, Lincoln, Nebraska 68506. The trustee of Common Property Trust and the manager of Common Property Trust LLC is Thomas Richardson. Mr. Richardson’s address is 601 Massachusetts Avenue, NW, Washington, D.C. 2000. |
| (9) | The number of shares owned set forth above in the table is as of or about December 31, 2020 as reported by Kayne Anderson Rudnick Investment Management LLC (“Kayne Anderson”) in its amended Schedule 13G filed with the Securities and Exchange Commission. The address for Kayne Anderson is 1800 Avenue of the Stars, 2nd Floor, Los Angeles, California 90067. Kayne Anderson reports sole voting and dispositive power with respect 717,151 of these shares and shared voting and dispositive power with respect to 2,617,215 of these shares. The amended Schedule 13G further provides that the shares noted as beneficially owned by Kayne Anderson include: (i) 2,617,215 shares beneficially owned by Virtus Investment Advisers, Inc., One Financial Plaza, Hartford, Connecticut 06103, for which such person has shared voting and dispositive power, and (ii) 2,409,518 shares beneficially owned by Virtus Equity Trust, on behalf of Virtus KAR Small Cap Growth Fund, 101 Munson Street, Greenfield, Massachusetts 01301, for which such person has shared voting and dispositive power. |
DELINQUENT SECTION 16(A) REPORTS
Section 16(a) of the Securities Exchange Act of 1934 requires our directors, executive officers and any owner of greater than 10% of our Common Stock to file reports with the Securities and Exchange Commission concerning their ownership of our Common Stock. Based solely upon information provided to us by individual directors and executive officers, we believe that, during the fiscal year ended December 31, 2020, all of our directors and executive officers and owners of greater than 10% of our Common Stock complied with the Section 16(a) filing requirements, except that (i) a Form 4 for Mr. Jackson reporting the forfeiture of shares upon the vesting of restricted stock and (ii) a Form 4 for Mr. Hays reporting his acquisition of shares from a family trust were not timely filed.
PROPOSAL NO. 2 – RATIFICATION OF THE APPOINTMENT OF
INDEPENDENT REGISTERED PUBLIC ACCOUNTING FIRM
The Audit Committee has appointed KPMG LLP to serve as our independent registered public accounting firm for the year ending December 31, 2021.
We are asking our shareholders to ratify the appointment of KPMG LLP as our independent registered public accounting firm. Although ratification is not required, our Board is submitting the appointment of KPMG LLP to our shareholders for ratification because we value our shareholders’ views on our independent auditors and as a matter of good corporate practice. In the event that our shareholders fail to ratify the appointment, the Audit Committee will consider it as a direction to consider the appointment of a different firm. Even if the appointment is ratified, the Audit Committee in its discretion may select a different independent auditor at any time if it determines that such a change would be in the best interests of the Company and our shareholders.
Representatives of KPMG LLP are expected to participate in the Annual Meeting via the live webcast with the opportunity to make a statement if they so desire. Such representatives are also expected to be available to respond to appropriate questions.
Assuming a quorum is present at the Annual Meeting, the number of votes cast for the ratification of the Audit Committee’s appointment of KPMG LLP as our independent registered public accounting firm for the year ending December 31, 2021 must exceed the number of votes cast against it. Abstentions and broker non-votes will be counted as present in determining whether there is a quorum; however, they will not constitute a vote “for” or “against” ratification and will be disregarded in the calculation of votes cast. A broker non-vote occurs when a broker submits a proxy card with respect to shares that the broker holds on behalf of another person but declines to vote on a particular matter, either because the broker elects not to exercise its discretionary authority to vote on the matter or does not have authority to vote on the matter.
THE BOARD OF DIRECTORS RECOMMENDS A VOTE “FOR” RATIFICATION OF THE APPOINTMENT OF KPMG LLP AS OUR INDEPENDENT REGISTERED PUBLIC ACCOUNTING FIRM. SHARES OF THE COMPANY’S COMMON STOCK REPRESENTED BY EXECUTED BUT UNMARKED PROXIES WILL BE VOTED “FOR” RATIFICATION OF THE APPOINTMENT OF KPMG LLP AS OUR INDEPENDENT REGISTERED PUBLIC ACCOUNTING FIRM.
COMPENSATION DISCUSSION AND ANALYSIS
The following discussion and analysis relates to the compensation of the individuals named in the Summary Compensation Table, a group we refer to as our “named executive officers.” In this discussion, the terms “we,” “our,” “us” or similar terms refer to the Company.
Overview of Executive Compensation Philosophy
Key features of our compensation program include the following:
|
✓ |
Conservative pay policy with total named executive officer and director compensation positioned below the median |
|
|
✓ |
Direct link between pay and performance that aligns business strategies with stockholder value creation |
|
|
✓ |
Annual say-on-pay votes |
|
|
✓ |
No tax gross-ups |
|
|
✓ |
No excessive perquisites for executives |
|
|
✓ |
No change of control or severance obligations to named executive officers, including no accelerated vesting of equity awards upon a change of control |
|
|
✓ |
No re-pricing or back-dating of stock options or similar awards |
|
|
✓ |
Appropriate balance between short- and long-term compensation that discourages short-term risk taking at the expense of long-term results |
|
|
✓ |
Five year vesting period for executive option grants |
We recognize the importance of maintaining sound principles for the development and administration of our executive compensation and benefit programs. Specifically, we design our executive compensation and benefit programs to advance the following core principles:
| ● |
Competitive Pay for Our Market. We strive to compensate our executive officers at levels to ensure that we continue to attract and retain a highly competent, committed management team. Our Midwest headquarters provides a low cost of living that allows us to provide compensation that accomplishes this goal while keeping total compensation below that of many similar companies. |
| ● |
Align with Shareholders. We seek to align the interests, perspectives and decision-making of our executive officers with the interests of our shareholders. |
| ● |
Incentivize Performance. We link our executive officers’ compensation, particularly annual cash bonuses, to our established financial performance goals. |
We believe that a focus on these principles will benefit us and, ultimately, our shareholders in the long term by ensuring that we can attract and retain highly-qualified executive officers who are committed to our long-term success.
Role of the Compensation and Talent Committee
The Board appoints the Compensation and Talent Committee (the “Committee”), which consists entirely of directors who are “non-employee directors” for purposes of the Securities Exchange Act of 1934. The following individuals are members of the Committee:
| ● |
Donald M. Berwick (Chairperson) |
| ● |
JoAnn M. Martin |
| ● |
John N. Nunnelly |
The Committee is responsible for discharging the Board’s responsibilities with respect to all significant aspects of our compensation policies, programs and plans, and accordingly the Committee determines compensation programs for our executive officers or recommends such programs to the full Board for approval. The Committee also reviews management’s recommendations as to the compensation to be paid to other key personnel and administers our equity-based compensation plans. Periodically, the Committee reviews and determines our compensation and benefit programs, with the objective of ensuring the executive compensation and benefits programs are consistent with our compensation philosophy. The Committee has authority to carry out the foregoing responsibilities under its charter and may delegate such authority to subcommittees of the Committee. From time to time, the Committee or management has engaged a nationally recognized compensation consultant to conduct a benchmarking study of executive compensation levels and practices. This market information has, in the past, been used to help inform and shape decisions, but was (and is) neither the only nor the determinative factor in making compensation decisions.
At the time our Committee recommended, and our Board approved, our named executive officers’ 2020 compensation, our most recent review of our compensation and benefit programs was in late 2015, when our Committee engaged Aon Hewitt to review our programs before determining compensation for 2016. In determining compensation levels for our named executive officers in 2020, our Committee did not engage Aon Hewitt or any other compensation consultant to provide advice concerning executive officer compensation.
One objective of the Committee in setting compensation for our executive officers, other than our Chief Executive Officer, is to establish base salary at a level that will attract and retain highly-qualified individuals. The Committee’s considerations in setting our Chief Executive Officer’s base salary are described below. For our executive officers other than our Chief Executive Officer, we also consider individual performance, level of responsibility, skills and experience, and internal comparisons among executive officers in determining base salary levels.
The Committee administers our annual cash incentive program and long-term equity incentive plans and approves all awards made under the program and plans. For annual and long-term incentives, the Committee considers internal comparisons and other existing compensation awards or arrangements in making compensation decisions and recommendations. In its decision-making process, the Committee receives and considers the recommendations of our Chief Executive Officer as to executive compensation programs for all of the other officers. In its decision-making process for the long-term incentives for our executive officers, the Committee considers relevant factors, including our performance and relative shareholder return and the awards given to the executive officer in past years. The Committee makes its decisions regarding general program adjustments to future base salaries, annual incentives and long-term incentives concurrently with its assessment of the executive officers’ performance. Adjustments generally become effective in January of each year.
In fulfilling its objectives as described above, the Committee took the following steps in determining 2020 compensation levels for our named executive officers:
| ● |
Considered the performance of our Chief Executive Officer and determined his total compensation; |
| ● |
Considered the performance of our other executive officers and other key associates (i.e., employees) with assistance from our Chief Executive Officer; and |
| ● |
Determined total compensation for our named executive officers based on recommendations by our Chief Executive Officer (as to the other officers) and the Committee’s consideration of the Company’s and the individual officer’s performance. |
2020 Say on Pay Vote
In May 2020 (after the 2020 executive compensation actions described in this Compensation Discussion and Analysis had taken place), we held our annual advisory shareholder vote on the compensation of our named executive officers at our annual shareholders’ meeting, and, consistent with the recommendation of the Board, our shareholders approved our executive compensation, with more than 99% of votes cast in favor. Consistent with this strong vote of shareholder approval, we have not undertaken any material changes to our executive compensation programs.
Total Compensation
We intend to continue our strategy of compensating our executive officers through programs that emphasize performance-based incentive compensation in the form of cash and equity-based awards. To that end, we have structured total executive compensation to ensure that there is an appropriate balance between a focus on our long-term versus short-term performance. We believe that the total compensation paid or awarded to the executive officers during 2020 was consistent with our financial performance and the individual performance of each of our executive officers. We also believe that this total compensation was reasonable in its totality and is consistent with our compensation philosophies described above.
CEO Compensation
The Committee reviews annually the salary and total compensation levels of Michael D. Hays, our Chief Executive Officer. While Mr. Hays’ salary and overall compensation are significantly below the median level paid to chief executive officers of comparable companies, he requested that his base salary and targeted overall compensation remain unchanged. The Committee has not proposed an increase in his salary or overall compensation since 2005.
Elements of Compensation
Base Salary
The objective of the Committee is to establish base salary, when aligned with performance incentives, to continue to attract and retain the best talent (with the exception of Mr. Hays’ salary as noted above). We have historically attempted to minimize base salary increases in order to limit our executive compensation expense if we do not meet our objectives for financial growth under our incentive compensation program.
Consistent with this practice, the Committee left base salaries unchanged in 2020 for Mr. Hays, Mr. Karas, Ms. Raasch and Mr. Jackson, maintaining the salary levels in place since 2016. In the case of Mr. Hays, the decision was based on his request, described above, that his salary not be increased. In the case of the other named executive officers, the decision was based on our performance and the belief that such named executive officer’s salaries were at an appropriate level to retain their talent. Ms. Hrdy received a pay increase in 2020 due to her promotion to Chief Growth Officer.
Base salaries paid to our named executive officers represented the following percentages of their total compensation (as calculated for purposes of the Summary Compensation Table).
|
Base Salary as a Percentage |
|
|
Michael D. Hays |
50% |
|
Kevin R. Karas |
50% |
|
Jona S. Raasch |
50% |
|
Helen L. Hrdy |
52% |
|
Steven D. Jackson |
58% |
Annual Cash Incentive
Our executive officers are eligible for annual cash incentive awards under our incentive compensation program. Please note that, while we may refer to annual cash incentive awards as bonuses in this discussion, the award amounts are reported in the Summary Compensation Table under the column titled “Non-Equity Incentive Plan Compensation” pursuant to the Securities and Exchange Commission’s regulations.
We intend for our incentive compensation program to provide an incentive to meet and exceed our financial goals, and to promote a superior level of performance. Within the overall context of our pay philosophy and culture, the program:
| ● |
Provides total cash compensation to attract and retain key executive talent; |
| ● |
Aligns pay with organizational performance; |
| ● |
Focuses executive attention on key business metrics; and |
| ● |
Provides a significant incentive for achieving and exceeding performance goals. |
Under our incentive compensation program, the Committee establishes performance measures for our named executive officers at the beginning of each year. For 2020, the Committee used our overall revenue and net income as performance measures because the Committee believes these are key measures of our ability to deliver value to our shareholders for which our named executive officers have primary responsibility. The Committee weighted the two performance measures equally in determining bonus payouts. The Committee structured the incentive compensation program so that our named executive officers would receive a bonus based on the percentage of growth in overall revenue and net income in 2020 over 2019, starting from “dollar one” of such growth. Consistent with past years, the Committee structured the incentive compensation program for our named executive officers to require performance representing growth in revenue or net income for any payout to be received.
The Committee structured the incentive compensation program to permit payouts to be earned for any growth in revenue and net income because it believed that providing an incentive to achieve growth in these measures would provide an effective incentive to the executive officers in 2020. The Committee determined that the bonuses under the incentive compensation program would be equal to the following (subject to a maximum of 200% of base salary): the product of the executive officer’s base salary (i) multiplied by the sum of the percentage year over year increase, if any, in overall revenue plus the percentage year over year increase, if any, in overall net income (ii) multiplied by 2.5.
In determining the potential bonus amounts for our named executive officers described above, the Committee concluded that their payouts determined by these formulas were likely to produce results consistent with our past practice of setting annual target payouts at 50% of base salary, and would continue to provide competitive compensation consistent with our goals for annual incentive awards.
The following table shows amounts actually earned by our named executive officers for 2020, along with the percentages of their total compensation (as calculated for purposes of the Summary Compensation Table) that these amounts represent.
|
Name |
2020 Actual Bonus Percentage of |
2020 Actual Bonus Amount |
||||||
|
Michael D. Hays |
25% | $ | 62,426 | |||||
|
Kevin R. Karas |
25% | $ | 139,650 | |||||
|
Jona S. Raasch |
25% | $ | 147,000 | |||||
|
Helen L. Hrdy |
25% | $ | 139,650 | |||||
|
Steven D. Jackson(1) |
0% | $ | 0 | |||||
|
(1) Mr. Jackson resigned effective October 2, 2020 and, accordingly, did not receive a bonus for 2020. |
||||||||
Long-Term Equity Incentive
The general purpose of our current equity-based plans is to promote the achievement of our long-range strategic goals and enhance shareholder value. The Committee may from time to time approve discretionary awards, however, we generally grant equity-based awards in the following circumstances:
|
● |
Annual Awards. To provide an additional performance incentive for our executive officers and other key management personnel, our executive compensation package generally includes annual grants of stock options with respect to our common stock. |
|
● |
New Hire or Promotion Awards. We also award restricted stock grants to newly hired or promoted executive officers during their first year of participation in our equity incentive program to provide greater alignment between the officers’ interests and those of our shareholders, and to assist in retention. |
Options to purchase shares of common stock are typically granted with a per-share exercise price of 100% of the fair market value of each share of common stock subject to the option on the date of grant. The value of the option will be dependent on the future market value of the common stock, which we believe helps to align the economic interests of our key management personnel with the interests of our shareholders. To encourage our key management personnel to continue in employment with us, when we grant restricted stock under the 2006 Equity Incentive Plan to executive officers, we generally impose a 5-year restriction period on the grant, pursuant to which the options do not become fully vested and exercisable until the fifth anniversary of the grant date.
In determining equity incentive awards for 2020, the Committee concluded that setting annual equity awards for our named executive officers at a grant date target fair value of approximately 50% of their respective then-current base salaries would provide competitive compensation consistent with our goals for equity awards. The Committee generally grants stock options effective on a date in the first week of January. Accordingly, effective January 3, 2020, the Committee granted options to each of our named executive officers. To determine the number of option shares with a grant date target fair value approximately equal to 50% of an executive officer’s base salary, the Committee divided 50% of the current base salary by the most recent Common Stock closing price to determine the number of shares that equal 50% of the current base salary. The number of shares were then multiplied by a factor of three to determine the number of option shares to be granted. The number of options granted to our named executive officers is shown in the Grants of Plan-Based Awards Table.
For 2020, no performance-based equity awards were granted to our named executive officers. Our Committee may, however, consider in the future conditioning awards on the achievement of various performance goals, including return on equity, shareholder value added, earnings from operations, net earnings, net earnings per share, market price of our common stock and/or total shareholder return.
Other Benefits
To assist our associates in preparing financially for retirement, we maintain a 401(k) plan for all associates over 21 years of age, including our executive officers. Pursuant to the 401(k) plan, we match 25% of the first 6% of compensation contributed by our associates up to allowable Internal Revenue Service limitations. We also maintain group life, health, dental and vision insurance programs for all of our salaried associates, and our named executive officers are eligible to participate in these programs on the same basis as all other eligible associates. During 2020 we also provided our associates a work-from-home allowance to further enable remote work due to COVID-19.
Agreements with Officers
We do not have employment, retention, severance, change of control or similar agreements with any of our executive officers. While we enter into award agreements with our executive officers and other participants under our long-term equity award plans, these agreements and plans do not provide for acceleration of vesting or other benefits upon a change of control or termination.
2020 SUMMARY COMPENSATION TABLE
Set forth below is information regarding compensation earned by or paid or awarded to the following executive officers: Michael D. Hays, our Chief Executive Officer and President; Kevin R. Karas, our Senior Vice President Finance, Chief Financial Officer, Treasurer and Secretary; Jona S. Raasch, our Chief Operating Officer; Helen L. Hrdy, our Chief Growth Officer and Steven D. Jackson, our former President. We had no other executive officers, as defined in Rule 3b-7 of the Securities Exchange Act of 1934, whose total compensation exceeded $100,000 during 2020. The identification of such named executive officers is determined based on the individual’s total compensation for 2020, as reported below in the Summary Compensation Table, other than amounts reported as above-market earnings on deferred compensation and the actuarial increase in pension benefit accruals.
The following table sets forth for our named executive officers with respect to 2020, 2019, and 2018: (1) the dollar value of base salary earned during the year; (2) the aggregate grant date fair value of stock and option awards granted during the year, computed in accordance with Financial Accounting Standards Board Accounting Standards Codification Topic 718, Compensation-Stock Compensation (“FASB ASC Topic 718”); (3) the dollar value of earnings for services pursuant to awards granted during the year under non-equity incentive plans; (4) all other compensation for the year; and (5) the dollar value of total compensation for the year.
|
Name and Principal Position |
Year |
Salary ($) |
Option Awards ($)(1) |
Non-Equity Incentive Plan Compensation ($) |
All Other Compensation ($)(2) |
Total ($) |
||||||||||||||||
|
Michael D. Hays(3) |
2020 |
$ | 127,400 | $ | 60,258 | $ | 62,426 | $ | 4,420 | $ | 254.504 | |||||||||||
|
Chief Executive Officer |
2019 |
$ | 127,400 | $ | 54,890 | $ | 47,265 | $ | 4,323 | $ | 233,878 | |||||||||||
|
President |
2018 |
$ | 127,400 | $ | 53,332 | $ | 104,468 | $ | 4,267 | $ | 289,467 | |||||||||||
|
Kevin R. Karas |
2020 |
$ | 285,000 | $ | 134,813 | $ | 139,650 | $ | 6,868 | $ | 566,331 | |||||||||||
|
Senior Vice President |
2019 |
$ | 285,000 | $ | 122,782 | $ | 105,735 | $ | 6,529 | $ | 520,046 | |||||||||||
|
Finance, Chief |
2018 |
$ | 285,000 | $ | 119,307 | $ | 233,700 | $ | 6,604 | $ | 644,611 | |||||||||||
|
Financial Officer, |
||||||||||||||||||||||
|
Jona S. Raasch |
2020 |
$ | 300,000 | $ | 141,909 | $ | 147,000 | $ | 6,914 | $ | 595,823 | |||||||||||
|
Chief Operating Officer |
||||||||||||||||||||||
|
Helen L. Hrdy |
2020 |
$ | 285,000 | $ | 118,254 | $ | 139,650 | $ | 5,410 | $ | 548,314 | |||||||||||
|
Chief Growth Officer |
||||||||||||||||||||||
|
Steven D. Jackson(3) |
2020 |
$ | 225,000 | $ | 141,909 | $ | 0 | $ | 20,363 | $ | 387,272 | |||||||||||
|
Former President |
2019 |
$ | 300,000 | $ | 129,239 | $ | 111,300 | $ | 5,100 | $ | 545,639 | |||||||||||
|
2018 |
$ | 300,000 | $ | 125,582 | $ | 246,000 | $ | 5,025 | $ | 676,607 | ||||||||||||
| (1) | Represents the aggregate grant date fair value of the option awards granted during the year, computed in accordance with FASB ASC Topic 718. See Note 9 to our Consolidated Financial Statements included in our Annual Report on Form 10-K for the year ended December 31, 2020 for a discussion of assumptions made in the valuation of share-based compensation. |
| (2) | Includes, for each of our named executive officers, the amount of our 401(k) matching contributions; for Messrs. Hays and Karas and Mses. Raasch and Hrdy, the amount of our health saving account matching contributions; for Messrs. Karas and Jackson and Mses. Raasch and Hrdy, the amount of our technology allowance; and for Mr. Jackson, a housing allowance of $15,200. |
| (3) | Mr. Jackson resigned from his position as President and Mr. Hays was appointed President effective October 2, 2020. |
GRANTS OF PLAN-BASED AWARDS IN 2020
We maintain the 2006 Equity Incentive Plan and the 2001 Equity Incentive Plan pursuant to which grants may be made to our executive officers. The following table sets forth information regarding all such incentive plan awards that were made to the named executive officers in 2020.
|
Estimated Future Payouts Incentive Plan Awards(1) |
||||||||||||||||||||||||||||||||
|
Name |
Grant Date |
Date of Committee Action |
Threshold ($)(3) |
Target ($) |
Maximum ($) |
All Other Option Awards: No. of Securities Underlying Options (#)(2) |
Exercise or Base Price of Option Awards ($)(2) |
Closing Price on Date of Grant ($) |
Grant Date Fair Value of Stock and Option Awards ($) |
|||||||||||||||||||||||
|
Michael D. Hays |
1/3/2020 |
12/20/19 |
2,904 | $ | 65.80 | $ | 66.80 | $ | 60,258 | |||||||||||||||||||||||
| -- | $ | 63,700 | $ | 254,800 | ||||||||||||||||||||||||||||
|
Kevin R. Karas |
1/3/2020 |
12/20/19 |
6,497 | $ | 65.80 | $ | 66.80 | $ | 134,813 | |||||||||||||||||||||||
| -- | $ | 142,500 | $ | 570,000 | ||||||||||||||||||||||||||||
|
Jona S. Raasch |
1/3/2020 |
12/20/19 |
6,839 | $ | 65.80 | $ | 66.80 | $ | 141,909 | |||||||||||||||||||||||
| -- | $ | 150,000 | $ | 600,000 | ||||||||||||||||||||||||||||
|
Helen L. Hrdy |
1/3/2020 |
12/20/19 |
5,699 | $ | 65.80 | $ | 66.80 | $ | 118,254 | |||||||||||||||||||||||
| -- | $ | 142,500 | $ | 570,000 | ||||||||||||||||||||||||||||
|
Steven D. Jackson |
1/3/2020 |
12/20/19 |
6,839 | $ | 65.80 | $ | 66.80 | $ | 141,909 | |||||||||||||||||||||||
| -- | $ | 150,000 | $ | 600,000 | ||||||||||||||||||||||||||||
| (1) | These amounts represent only potential payments under the 2020 incentive plan awards; the actual amounts received (if any) are shown in the Summary Compensation Table above. |
| (2) | The stock option awards were granted under the 2006 Equity Incentive Plan. The exercise price of the stock option awards was equal to the closing stock price on January 2, 2020, the day immediately prior to the grant date. |
| (3) | There were no thresholds for payments under these 2020 incentive plan awards; payments below target would be made for any year-over-year increase in any of the applicable performance measures. |
OUTSTANDING EQUITY AWARDS AT DECEMBER 31, 2020
The following table sets forth information on outstanding option awards held by the named executive officers at December 31, 2020, including the number of shares underlying both exercisable and unexercisable portions of each stock option, the exercise price and expiration date of each outstanding option.
|
Option Awards |
|||||||||||||||
|
Name |
No. of Securities Underlying Unexercised Options |
No. of Securities Underlying Unexercised Options |
Option Exercise |
Option Expiration Date |
|||||||||||
|
Michael D. Hays |
17,745 | (1)(2) | - | $ | 9.14 |
01/05/21 |
|||||||||
| 14,949 | (1)(3) | - | $ | 10.75 |
01/05/22 |
||||||||||
| 10,938 | (1)(4) | - | $ | 14.50 |
01/07/23 |
||||||||||
| 2,904 | (1)(5) | - | $ | 18.80 |
01/07/24 |
||||||||||
| 10,014 | (1)(6) | - | $ | 13.17 |
01/06/25 |
||||||||||
| - | 9,145 | (1)(7) | $ | 15.23 |
01/05/26 |
||||||||||
| - | 7,478 | (1)(8) | $ | 18.80 |
01/04/27 |
||||||||||
| - | 5,193 | (1)(9) | $ | 36.80 |
01/03/28 |
||||||||||
| - | 4,990 | (1)(10) | $ | 38.30 |
01/03/29 |
||||||||||
| - | 2,904 | (1)(11) | $ | 65.80 |
01/03/30 |
||||||||||
|
Kevin R. Karas |
5,334 | (1)(5) | - | $ | 18.80 |
01/07/24 |
|||||||||
| 19,313 | (1)(6) | - | $ | 13.17 |
01/06/25 |
||||||||||
| - | 20,458 | (1)(7) | $ | 15.23 |
01/05/26 |
||||||||||
| - | 16,728 | (1)(8) | $ | 18.80 |
01/04/27 |
||||||||||
| - | 11,617 | (1)(9) | $ | 36.80 |
01/03/28 |
||||||||||
| 11,162 | (1)(10) | $ | 38.30 |
01/03/29 |
|||||||||||
| 6,497 | (1)(11) | $ | 65.80 |
01/03/30 |
|||||||||||
|
Option Awards |
|||||||||||||||
|
Name |
No. of Securities Underlying Unexercised Options |
No. of Securities Underlying Unexercised Options |
Option Exercise |
Option Expiration Date |
|||||||||||
|
Jona S. Raasch |
23,581 | (1)(6) | - | $ | 13.17 |
01/06/25 |
|||||||||
| - | 21,535 | (1)(7) | $ | 15.23 |
01/05/26 |
||||||||||
| - | 17,608 | (1)(8) | $ | 18.80 |
01/04/27 |
||||||||||
| - | 12,228 | (1)(9) | $ | 36.80 |
01/03/28 |
||||||||||
| - | 11,749 | (1)(10) | $ | 38.30 |
01/03/29 |
||||||||||
| - | 6,839 | (1)(11) | $ | 65.80 |
01/03/30 |
||||||||||
|
Helen L. Hrdy |
13,520 | (1)(6) | - | $ | 13.17 |
01/06/25 |
|||||||||
| - | 12,346 | (1)(7) | $ | 15.23 |
01/05/26 |
||||||||||
| - | 12,619 | (1)(8) | $ | 18.80 |
01/04/27 |
||||||||||
| - | 8,764 | (1)(9) | $ | 36.80 |
01/03/28 |
||||||||||
| - | 8,420 | (1)(10) | $ | 38.30 |
01/03/29 |
||||||||||
| - | 5,699 | (1)(11) | $ | 65.80 |
01/03/30 |
||||||||||
|
Steven D. Jackson |
- | - | - | - | |||||||||||
| (1) | Option to purchase shares of common stock. |
| (2) | Options vest in full on the fifth anniversary of the grant date. These options vested on January 5, 2016. |
| (3) | Options vest in full on the fifth anniversary of the grant date. These options vested on January 5, 2017. |
| (4) | Options vest in full on the fifth anniversary of the grant date. These options vested on January 7, 2018. |
| (5) | Options vest in full on the fifth anniversary of the grant date. These options vested on January 7, 2019. |
| (6) | Options vest in full on the fifth anniversary of the grant date. These options vested on January 6, 2020. |
| (7) | Options vest in full on the fifth anniversary of the grant date. These options vested on January 5, 2021. |
| (8) | Options vest in full on the fifth anniversary of the grant date. These options will vest on January 4, 2022. |
| (9) | Options vest in full on the fifth anniversary of the grant date. These options will vest on January 3, 2023. |
| (10) | Options vest in full on the fifth anniversary of the grant date. These options will vest on January 3, 2024. |
| (11) | Options vest in full on the fifth anniversary of the grant date. These options will vest on January 3, 2025. |
OPTION EXERCISES AND STOCK VESTED IN 2020
|
Option Awards |
Stock Awards |
|||||||||||||||
|
Name |
Number of |
Value |
Number of Shares Acquired on Vesting (#)(1) (3) |
Value Realized on Vesting ($)(3) |
||||||||||||
|
Michael D. Hays |
26,481 | $ | 1,575,620 | - | - | |||||||||||
|
Kevin R. Karas |
20,088 | $ | 858,159 | - | - | |||||||||||
|
Jona S. Raasch |
- | - | - | - | ||||||||||||
|
Helen L. Hrdy |
20,196 | $ | 999,702 | - | - | |||||||||||
|
Steven D. Jackson |
- | - | 52,477 | $ | 2,940,949 | |||||||||||
| (1) | Shares of common stock. |
| (2) | Amounts represent the product of the number of shares acquired on exercise multiplied by the excess of the closing market price per share on the date of exercise over the exercise price per share. |
| (3) | 15,721 shares vested on January 6, 2020 and 36,756 shares vested on October 1, 2020. The market value is based on the $68.30 and $50.80 per share closing prices of our common stock on The NASDAQ Stock Market on January 6, 2020 and October 1, 2020, respectively. |
Risk Assessment of Compensation Policies and Practices
The Board relies on the Committee to address risk exposures facing us with respect to compensation, with appropriate reporting of these risks to be made to the full Board. The Committee, as part of its periodic review of compensation and benefit programs, assesses the potential risks arising from our compensation policies and practices and considers safeguards against incentives to take excessive risks. Based on its most recent review, the Committee has concluded that the risks arising from our compensation policies and practices for its associates are not reasonably likely to have a material adverse effect on us.
COMPENSATION COMMITTEE REPORT
The Committee has reviewed and discussed the preceding Compensation Discussion and Analysis with management and, based on such review and discussion, has recommended to the Board of Directors that the Compensation Discussion and Analysis be included in the Company’s proxy statement.
Donald M. Berwick, Chairperson
JoAnn M. Martin
John N. Nunnelly
PROPOSAL NO. 3 – ADVISORY VOTE ON EXECUTIVE COMPENSATION
This proposal provides our shareholders with the opportunity to cast a vote either for or against a non-binding, advisory resolution to approve the compensation of our named executive officers as disclosed in the Compensation Discussion and Analysis section and the accompanying compensation tables and narrative discussion in this proxy statement. We are required to hold this vote by Section 14A of the Securities Exchange Act of 1934. As discussed in the Compensation Discussion and Analysis above, beginning on page 16, we have designed our executive compensation and benefit programs for our executive officers, including our named executive officers, to advance the following core principles:
| ● |
Competitive Pay for Our Market. We strive to compensate our executive officers at levels to ensure that we continue to attract and retain a highly competent, committed management team. Our Midwest headquarters provides a low cost of living that allows us to provide compensation that accomplishes this goal while keeping total compensation below that of many similar companies. |
| ● |
Align with Shareholders. We seek to align the interests, perspectives and decision-making of our executive officers with the interests of our shareholders. |
| ● |
Incentivize Performance. We link our executive officers’ compensation, particularly annual cash bonuses, to our established financial performance goals. |
We believe that a focus on these principles will benefit us and, ultimately, our shareholders in the long term by ensuring that we can attract and retain highly-qualified executive officers who are committed to our long-term success.
The Board invites you to review carefully the Compensation Discussion and Analysis beginning on page 16 and the tabular and other disclosures on compensation beginning on page 22, and cast an advisory vote either for or against the following resolution:
“Resolved, that shareholders approve, on an advisory basis, the compensation of the Company’s named executive officers as disclosed in the Compensation Discussion and Analysis section and the compensation tables and narrative discussion contained in this Proxy Statement.”
While the vote does not bind the Board to any particular action, the Board values the input of our shareholders, and will take into account the outcome of this vote in considering future compensation arrangements.
Assuming a quorum is present at the Annual Meeting, the number of votes cast for the non-binding resolution to approve the Company’s executive compensation program must exceed the number of votes cast against it. Abstentions and broker non-votes will be counted as present in determining whether there is a quorum; however, they will not constitute a vote “for” or “against” the non-binding resolution and will be disregarded in the calculation of votes cast. A broker non-vote occurs when a broker submits a proxy card with respect to shares that the broker holds on behalf of another person but declines to vote on a particular matter, either because the broker elects not to exercise its discretionary authority to vote on the matter or does not have authority to vote on the matter.
Based on the outcome of the advisory vote on the frequency of shareholder votes on executive compensation at our 2017 annual shareholders meeting, the Company will ask its shareholders to consider an advisory vote on the compensation of our named executive officers every year until otherwise determined by a vote of our shareholders pursuant to applicable Securities and Exchange Commission rules. The next advisory vote on the compensation of our named executive officers will occur at the 2022 annual meeting of shareholders.
THE BOARD RECOMMENDS A VOTE “FOR” APPROVAL OF THE COMPENSATION OF OUR NAMED EXECUTIVE OFFICERS AS DISCLOSED IN THIS PROXY STATEMENT. SHARES OF THE COMPANY’S COMMON STOCK REPRESENTED BY EXECUTED BUT UNMARKED PROXIES WILL BE VOTED “FOR” APPROVAL OF THE COMPENSATION OF OUR NAMED EXECUTIVE OFFICERS AS DISCLOSED IN THIS PROXY STATEMENT.
CEO PAY RATIO
As required by Item 402(u) of Regulation S-K promulgated under the Securities Exchange Act of 1934, we are providing the following information about the ratio of the median annual total compensation of our associates (i.e., employees) and the annual total compensation of Michael D. Hays, our Chief Executive Officer. For the year ended December 31, 2020:
| ● |
the median of the annual total compensation of all associates of the Company was reasonably estimated to be $66,976; and |
| ● |
the annual total compensation of Mr. Hays was $254,504. |
| ● |
Based on this information, the ratio of the annual total compensation of our Chief Executive Officer to the median of the annual total compensation of all other associates is estimated to be 3.80 to 1. |
For purposes of this disclosure, as permitted by SEC regulations, we used the same median associate as in our 2020 proxy statement because there was no change in our associate population or associate compensation arrangements during 2020 that we reasonably believed would result in a significant change to our pay ratio disclosure. We identified that median associate by examining total cash compensation (i.e., base wages plus cash bonuses and/or commissions) for 2019 of all individuals employed by us on December 1, 2019 (other than Mr. Hays), whether full-time, part-time or on a seasonal basis. We annualized total cash compensation for all permanent associates who were hired after January 1, 2019, as permitted by the rules of the Securities and Exchange Commission. To calculate total cash compensation for any associate paid in currency other than U.S. dollars, we then applied the applicable foreign currency exchange rate in effect on December 1, 2019 to convert such associate’s total cash compensation into U.S. dollars.
To calculate the 2020 annual total compensation of our median associate for purposes of this disclosure, we added together all of the elements of our median associate’s compensation for 2020 in the same way that we calculate the annual total compensation of our named executive officers in the Summary Compensation Table. To calculate Mr. Hays’ annual total compensation, we used the amount reported in the “Total” column of our 2020 Summary Compensation Table. To calculate our ratio, we divided Mr. Hays’ annual total compensation by the annual total compensation of our median associate.
COMMENTARY FROM THE BOARD OF DIRECTORS
ON PROPOSALS 4 THROUGH 7
In Proposals 4, 5, 6, and 7 below, we are seeking shareholder approval to reincorporate from the State of Wisconsin to the State of Delaware, increase the total number of shares of the Company’s authorized Common Stock, remove restrictions on our ability to engage in certain business combinations, and in connection with the reincorporation, opt out of Section 203 of the Delaware General Corporation Law (“DGCL Section 203”). In addition, if the reincorporation to Delaware is approved we intend to amend our Bylaws to align with Delaware law as further described under Proposal 4. In amending our Bylaws, the Board intends to include (i) proxy access provisions, pursuant to which a shareholder, or a group of up to 20 shareholders, that have held at least 3% of our outstanding Common Stock for at least three years, may submit director nominees for inclusion in our future proxy statements; and (ii) a majority voting requirement in uncontested director elections, pursuant to which any director that does not receive at least a majority of the votes cast in future uncontested elections is required to submit his or her resignation for consideration by the Nominating Committee and the Board. If the reincorporation proposal is not approved, the Board will further evaluate whether to add these proxy access and majority voting provisions to our Bylaws.
Currently, the Company is subject to various antitakeover, control share, and similar provisions under Wisconsin law and our Articles of Incorporation. The Board believes that these provisions may dissuade certain potential investors from investing in the Company and may impede the ability of large stockholders to dispose of their shares in orderly block sales instead of prolonged open market sales, which could depress the price of our Common Stock. By reincorporating in Delaware, eliminating the restrictions on certain business combination transactions with interested shareholders in our Articles of Incorporation, and opting out of DGCL Section 203, we would be eliminating these impediments. Moreover, reincorporating in Delaware would provide a corporate law framework that is more predictable and more familiar to potential investors, as well as prospective board and executive officer candidates. In addition, by increasing our total authorized Common Stock pursuant to Proposal 5, the Company will have more flexibility in considering and planning for actions that may increase shareholder liquidity or otherwise benefit shareholders, such as stock splits, additional stock offerings, or the issuance of stock in strategic transactions. Finally, by amending our Bylaws to include proxy access and majority vote provisions, the Board intends to move towards a more modern and shareholder friendly governance structure.
Proposals 4 through 7 are intended to further the Board’s goals of increasing liquidity and public float for the Company’s shareholders and improving governance practices. We believe the Proposals offer potential liquidity, public float, and governance benefits for all shareholders and recommend a vote in favor. We acknowledge that the Proposals, together with subsequent share accumulations by one or more investors, could result in a party having significant influence over our affairs or proposing a takeover that some shareholders disfavor, including actions or proposals that could have been prevented under our current framework. In addition, the amendments to our Articles of Incorporation, reincorporation, and opting out of DGCL Section 203 could facilitate the ability of trusts established by our founder and CEO, Mike Hays, to trade larger blocks of our stock and potentially receive more favorable terms than could have been obtained under our current framework. Nevertheless, the Board believes the potential benefits more than outweigh the potential risks and believes that approval of Proposals 4 through 7 is in the best interests of our shareholders. The Board’s reasons for recommending these proposals are described in more detail below.
PROPOSAL NO. 4 – APPROVAL OF THE COMPANY REINCORPORATING FROM THE STATE OF WISCONSIN TO THE STATE OF DELAWARE
Our Board has unanimously approved and recommends that our shareholders approve the reincorporation of the Company from the State of Wisconsin to the State of Delaware (the “Reincorporation”). Subject to shareholder approval, the Reincorporation will be effected pursuant to a Plan of Conversion, a copy of which is included as Appendix A to this proxy statement (the “Plan of Conversion”). If the Reincorporation is approved by our shareholders, then in accordance with the Plan of Conversion, Section 180.1161 of the Wisconsin Business Corporation Law (the “WBCL”), and Section 265 of the Delaware General Corporation Law (the “DGCL”), the Company will file with the Wisconsin Department of Financial Institutions a certificate of conversion substantially in the form of Appendix B to this proxy statement (the “Wisconsin Certificate”), at the same time, the Company will file with the Delaware Secretary of State (i) a certificate of conversion substantially in the form of Appendix C to this proxy statement (the “Delaware Certificate”), and (ii) a new certificate of incorporation, which would govern the Company, substantially in the form of Appendix D to this proxy statement (the “Delaware Charter”). The approval of the Reincorporation by our shareholders will also constitute approval of the Plan of Conversion, the Delaware Certificate, and the Delaware Charter (other than certain provisions of the Delaware Charter that we are asking shareholders to separately approve in Proposals 5, 6, and 7). In connection with replacing the Wisconsin Certificate with the Delaware Certificate, we are separately seeking approval to (i) increase the total number of shares of the Company’s authorized Common Stock in our Delaware Charter, as described in Proposal 5, (ii) remove restrictions on business combinations in our Delaware Charter, as described in Proposal 6, and (iii) opt out of the restrictions of DGCL Section 203 in our Delaware Charter, as described in Proposal 7. If the Reincorporation is approved, then our Board intends to adopt amended bylaws substantially in the form of Appendix E to this proxy statement (the “Delaware Bylaws”), in accordance with DGCL requirements. In addition to changes required to conform to the DGCL, our Board intends to include in the Delaware Bylaws (i) a shareholder “proxy access” provision, providing a process whereby shareholders can submit director nominees to be included in our proxy statements, and (ii) a provision providing for election of directors at an annual or special meeting by a majority vote so long as such election is not a contested election, in each case as set forth in Appendix E to this proxy statement. In this Proposal 4, we sometimes refer to the Company before and after the Reincorporation as “NRC Wisconsin” and “NRC Delaware,” respectively.
Summary
The principal effects of the Reincorporation, if approved by our shareholders and effected, will be that:
|
● |
The affairs of the Company will cease to be governed by the WBCL and will become subject to the DGCL. |
|
● |
Our existing Amended and Restated Articles of Incorporation (the “Wisconsin Charter”), and our existing By-Laws, as amended (the “Wisconsin By-Laws”), will be replaced by the Delaware Charter and Delaware Bylaws. |
|
● |
NRC Delaware will (i) be deemed to be the same entity as NRC Wisconsin under Wisconsin and Delaware law, (ii) continue to have all the rights, powers, and privileges as NRC Wisconsin, except for changes that result from being subject to Delaware law, the Delaware Charter, or the Delaware Bylaws, (iii) continue to possess all of the assets of NRC Wisconsin, (iv) continue to have all of the debts, liabilities, and obligations of NRC Wisconsin, and (v) continue with the same officers and directors of NRC Wisconsin immediately prior to the Reincorporation. |
|
● |
Each issued and outstanding share of our Common Stock will continue to be an outstanding share of common stock of NRC Delaware, and each outstanding option, warrant, or other right to acquire shares of our Common Stock will continue to be an outstanding option, warrant, or other right to acquire shares of common stock of NRC Delaware; |
|
● |
Each employee benefit plan, incentive compensation plan, or other similar plan of NRC Wisconsin will continue to be an employee benefit plan, incentive compensation plan, or other similar plan of NRC Delaware; |
|
● |
Each director and officer of NRC Wisconsin will continue to hold his or her respective position with NRC Delaware; and |
|
● |
Other than a change in corporate domicile, the Reincorporation will not result in any change of the business or physical location of NRC Wisconsin, nor will it result in a change of location for our current employees, including management. |
Certificates representing shares of our Common Stock will continue to represent an equal number of shares of NRC Delaware common stock. The Reincorporation will not affect the validity of currently outstanding stock certificates. Consequently, it will not be necessary for our shareholders to exchange their existing stock certificates for stock certificates of NRC Delaware. Shares of our Common Stock that are freely tradeable prior to the Reincorporation will continue to be freely tradeable as shares of NRC Delaware common stock, and shares of our Common Stock that are subject to restrictions prior to the Reincorporation will continue to be subject to the same restrictions as shares of NRC Delaware common stock. NRC Delaware will continue to file periodic reports and other documents with the Securities and Exchange Commission to the extent required by Securities and Exchange Commission rules and regulations, and the registration statements of the Company on file with the Securities and Exchange Commission immediately prior to the Reincorporation will not be affected. Our Common Stock is listed for trading on the Nasdaq Global Select Market under the ticker symbol “NRC.” After the Reincorporation, our common stock will continue be traded on the Nasdaq Global Select Market, without interruption, under the same symbol and with the same CUSIP number.
Reasons for the Reincorporation
Our Board believes that the Reincorporation is in the best interests of the Company and will help maximize shareholder value by allowing us to draw upon Delaware’s leading and well established principles of corporate governance when making business and legal decisions. The prominence and predictability of Delaware corporate law provides a reliable foundation on which our governance decisions can be based and we believe that shareholders and the Company will benefit from the responsiveness of Delaware corporate law. Our Board believes that there are several benefits of the Reincorporation, as summarized below.
Highly Developed and Predicable Corporate Law
Delaware has one of the most modern statutory corporation codes, which is revised regularly in response to changing legal and business needs of corporations. The Delaware legislature is particularly responsive to developments in modern corporate law and Delaware has proven sensitive to changing needs of corporations and their shareholders. The Delaware Secretary of State is viewed as particularly flexible and responsive in its administration of the filings required for mergers, acquisitions and other corporate transactions. Delaware has become a preferred domicile for most major American corporations and the DGCL and administrative practices have become comparatively well-known and widely understood. As a result of these factors, it is anticipated that the DGCL will provide greater efficiency, predictability and flexibility in the Company’s legal affairs than is presently available under the WBCL. In addition, Delaware case law provides a well-developed body of law defining the proper duties and decision making processes expected of boards of directors in evaluating potential or proposed extraordinary corporate transactions.
Access to Specialized Courts
Delaware has a specialized court of equity called the Court of Chancery that hears corporate law cases. The Delaware Court of Chancery operates under rules that are intended to ensure litigation of disputes in a timely and effective way, keeping in mind the timelines and constraints of business decision-making and market dynamics. The appellate process on decisions emanating from the Court of Chancery is similarly streamlined, and the justices of Delaware appellate courts tend to have substantial experience with corporate cases because of the relatively higher volume of these cases in the Delaware courts. As the leading state of incorporation for both private and public companies, Delaware has developed a vast body of corporate law that helps to promote greater consistency and predictability in judicial rulings. In contrast, Wisconsin does not have a similar specialized court established to hear corporate law cases. Rather, disputes involving questions of Wisconsin corporate law are either heard in law courts of general jurisdiction, alongside other civil cases, or, if federal jurisdiction exists, a federal district court. These courts hear many different types of cases, and the cases may be heard before judges or juries with limited corporate law experience. As a result, corporate law cases brought in Wisconsin may not proceed as expeditiously as cases brought in Delaware and the outcomes in such courts may be less consistent and predictable.
Enhanced Ability to Attract and Retain Directors and Officers
The Board believes that the Reincorporation will enhance our ability to attract and retain qualified directors and officers, as well as encourage directors and officers to continue to make independent decisions in good faith on behalf of the Company. We are in a competitive industry and compete for talented individuals to serve on our management team and on our Board. The vast majority of public companies are incorporated in Delaware. Not only is Delaware law more familiar to directors, it also offers greater certainty and stability from the perspective of those who serve as corporate officers and directors. The parameters of director and officer liability are more extensively addressed in Delaware court decisions and are therefore better defined and better understood than under Wisconsin law. The Board believes that the Reincorporation will enhance our ability to recruit and retain directors and officers. We believe that the better understood and comparatively stable corporate environment afforded by Delaware law will enable us to compete more effectively with other public companies in the recruitment of talented and experienced directors and officers.
Greater Access to Capital
Delaware corporate law and practice are comparatively well-known and widely understood, and the well-established body of corporate case law provides a greater degree of predictability for the investors and market participants than exists in other jurisdictions. More than two-thirds of the Fortune 500 companies are incorporated in Delaware, and, because Delaware law is better understood than Wisconsin law by many market participants, underwriters and other members of the financial services industry may be more willing and better able to assist in capital-raising programs, if necessary, for the Company following the Reincorporation.
Eliminate Burdensome Restrictions of the WBCL and Wisconsin Charter
Taken together, the WBCL and the Wisconsin Charter place multiple restrictions on the Company’s ability to engage in certain transactions which the Board may believe are in the best interests of the Company and our shareholders. Specifically, the WBCL and Wisconsin Charter may restrict business combinations with interested stockholders, limit the voting power of significant shareholders, and require supermajority approval for certain business combinations where the consideration does not meet certain requirements – For more detailed information on these restrictions, please see the rows captioned “Business Combinations with Interested Stockholders,” “Control Share Statute,” and “Fair Price Statute” in the table following the heading “Comparison of Shareholder Rights Before and After the Reincorporation” below. These provisions are unduly burdensome and restrictive and may limit the Board’s ability to maximize value for our shareholders. Additionally, the Company has concentrated ownership, and these provisions may act as an impediment for large shareholders to dispose of their shares in large blocks. This could result in such shareholders engaging in prolonged open market sales, which could place downward pressure on the price of our Common Stock. Accordingly, the Board believes removing these unduly burdensome and restrictive provisions may help facilitate increased liquidity for our shareholders, grow our public float, and remove impediments to block sales that would enable large shareholders to deconcentrate their ownership without negatively impacting the trading price of our Common Stock.
Comparison of Shareholder Rights Before and After the Reincorporation
Because of differences between the WBCL and the DGCL, as well as differences between the Company’s governing documents before and after the Reincorporation, the Reincorporation will effect certain changes in the rights of the Company’s shareholders. The most significant provisions of Wisconsin law and Delaware law are summarized below, along with the differences between the rights of the Company’s shareholders immediately before and immediately after the Reincorporation. This summary is not an exhaustive list of all differences, or a complete description of the differences described, and is qualified in its entirety by reference to Wisconsin law, Delaware law, the Wisconsin Charter, the Wisconsin By-Laws, the Delaware Charter and the Delaware Bylaws. Copies of the Wisconsin Charter and Wisconsin By-Laws are filed with the Securities and Exchange Commission as exhibits to our periodic reports. The Delaware Charter and Delaware Bylaws are included in this proxy statement as Appendix D and Appendix E, respectively.
|
Provision or Law
|
NRC Wisconsin |
NRC Delaware |
||||||
|
Amending Charters |
Under the WBCL, other than certain amendments requiring only the approval of the board of directors, an amendment to our articles of incorporation must be approved by a majority of the votes entitled to be cast on a proposed amendment, unless a greater percentage is required by our articles of incorporation, by-laws, or the WBCL.
The Wisconsin Charter requires approval of at least 66-2/3% of the votes entitled to be cast to amend (i) Article 3 (concerning (a) the general powers, number, classification and tenure of directors, (b) removal of directors, and (c) filling vacancies on the Board), (ii) Article 9 (restrictions on business combinations with interested shareholders – for more information please see the row captioned “Business Combinations with Interested Stockholders” below), and (iii) Article 10 (electing to be subject to control share and fair price restrictions of the WBCL – for more information regarding these restrictions please see the rows captioned “Control Share Statute” and Fair Price Statute” below). |
The DGCL provides that a corporation may amend its certificate of incorporation by adoption of a board resolution followed by the affirmative vote of a majority of the shares entitled to be cast on such amendment.
If an amendment directly affects the shares of a class or series of stock, the holders of the class or series are entitled to vote on the amendment as a class, unless the certificate of incorporation opts out of the separate class vote for increases or decreases in the number of authorized shares of any class of stock. If a certificate of incorporation requires a greater vote for action by the board of directors, shareholders or other security holders than otherwise required under Delaware law, the provision requiring the greater vote may be amended only by that greater vote.
Except for the Wisconsin Charter provisions noted as requiring a 66-2/3% supermajority vote, the Delaware Charter will be substantially similar to the Wisconsin Charter with respect to amendments to the certificate of incorporation.
|
|
Amending By-Laws |
The WBCL provides that a board of directors may amend or repeal a corporation’s bylaws, or adopt new bylaws, unless (i) the articles of incorporation reserve this power exclusively to the shareholders or (ii) the shareholders, in amending, repealing or adopting a particular bylaw, provide expressly that the board of directors may not amend or repeal that bylaw. Under the WBCL, shareholders may also amend or repeal a corporation’s bylaws, or adopt new bylaws, even though the bylaws may also be amended or repealed by the board of directors.
The Wisconsin By-Laws may be amended, altered, or repealed by the Board by affirmative vote of the number of directors present at a meeting at which a quorum is in attendance, provided, however, amendments to Sections 3.01 and 3.02 of the Wisconsin By-Laws require the affirmative vote of at least 66-2/3% of the directors then in office plus one director (but in no case more than all of the directors then in office). Further, the Wisconsin By-Laws may be amended, altered, or repealed by shareholders upon the affirmative vote of a majority of votes entitled to be cast, provided amendments to Sections 3.01 and 3.02 of the Wisconsin By-Laws require the affirmative vote of at least 66-2/3% of the votes entitled to be cast. |
Under the DGCL, the power to adopt, amend, or repeal bylaws rests generally with the shareholders entitled to vote, although the board of directors may amend the bylaws if such right is expressly conferred upon the directors in its certificate of incorporation.
The Delaware Charter will provide that the Board has the power to adopt, amend, or repeal the Delaware Bylaws, including the qualifications, classifications, or tenure of directors.
The Delaware Bylaws may be amended, altered, or repealed by the Board by affirmative vote of the number of directors present at a meeting at which a quorum is in attendance, provided, however, amendments to Sections 3.01 and 3.02 of the Delaware Bylaws require the affirmative vote of at least 66-2/3% of the directors then in office plus one director (but in no case more than all of the directors then in office). Further, the Delaware Bylaws may be amended, altered, or repealed by shareholders upon the affirmative vote of a majority of votes entitled to be cast, provided amendments to Sections 3.01 and 3.02 of the Delaware Bylaws require the affirmative vote of at least 66-2/3% of the votes entitled to be cast.
The Delaware Bylaws will be substantially similar to the Wisconsin By-Laws with respect to amendments to the bylaws.
|
||||||
|
Number of Directors |
Under the WBCL, the number of members serving on the board of directors shall be at least one and fixed in accordance with the articles of incorporation or bylaws.
The Wisconsin By-Laws provide that the Board shall consist of not less than 3 directors, the exact number of which shall be fixed from time to time by the Board. |
Under the DGCL, the number of members serving on the Board of Directors shall be at least one, and fixed in accordance with the certificate of incorporation or the bylaws.
The Delaware Bylaws provide that the Board shall consist of not less than 3 directors, the exact number of which shall be fixed from time to time by the Board.
The Delaware Bylaws will not materially differ from the Wisconsin By-Laws with respect to the number of directors.
|
|
Classified Board; Board Elections; Vote Required to Elect Directors |
The WBCL allows the articles of incorporation or bylaws to provide for the staggering of terms for directors by dividing the directors into 2 or 3 classes. Pursuant to the WBCL, a class of directors is elected at each annual shareholder meeting, with each class of directors to serve for 2-years (if there are 2 classes of directors) or 3-years (if there are 3 classes of directors). Under the WBCL, directors are elected by a plurality of the votes cast of the shares entitled to vote at a meeting at which a quorum is present.
The Wisconsin By-Laws provide for the division of the Board into 3 classes, and each class of directors serves a 3-year term. |
The DGCL allows the certificate of incorporation or bylaws to provide for the staggering of terms for directors by dividing the directors into 1, 2, or 3 classes. Pursuant to the DGCL, a class of directors is elected at each annual shareholder meeting, with each class of directors to serve for 2-years (if there are 2 classes of directors) or 3-years (if there are 3 classes of directors). Under the DGCL, directors are elected by a plurality of the votes of the shares in person or represented at the meeting and entitled to vote.
The Delaware Bylaws provide for the division of the Board into 3 classes, with each class of directors serving a 3 year term. The Delaware Bylaws also provide that, in uncontested elections, directors are elected by a majority of the votes of the shares in person or represented at the meeting and entitled to vote.
Except for a majority vote standard in uncontested director elections, the Delaware Bylaws do not materially differ from the Wisconsin By-Laws with respect to the classification and election of directors.
|
||||||
|
Filling Vacancies on the Board |
The Wisconsin Charter provides that any vacancy occurring on the Board, including vacancies created by removal of a director or the increase in the number of directors, shall be filled by the affirmative vote of a majority of the directors then in office, provided, however, that if the vacant office was held by a director elected by a voting group of shareholders, only the remaining directors elected by that voting group shall fill the vacancy. |
The Delaware Charter provides that any vacancy occurring on the Board, including vacancies created by removal of a director or the increase in the number of directors, shall be filled by the affirmative vote of a majority of the directors then in office, provided, however, that if the vacant office was held by a director elected by a voting group of shareholders, only the remaining directors elected by that voting group shall fill the vacancy.
The Delaware Charter will not materially differ from the Wisconsin Charter with respect to filling vacancies on the Board.
|
|
Removal of Directors |
The Wisconsin Charter provides that a director may only be removed for “cause” and upon the affirmative vote of the holders of 66-2/3% voting power of the voting group that elected such director to be removed, provided, however, that if the Board has recommend removal of a director by a resolution adopted by at least 66-2/3% of the directors then in office plus one director (but in no case more than all of the directors then in office), our shareholders may remove such director from office without “cause” by the affirmative vote of a majority of the outstanding shares.
Under the Wisconsin Charter, “cause” to remove a director exists only if the director to be removed (i) has been convicted of a felony by a court of competent jurisdiction and such conviction is no longer subject to direct appeal or (ii) has been adjudged by a court of competent jurisdiction to be liable for willful misconduct in the performance of his or her duties to NRC Wisconsin in a matter which has a material adverse effect on the business of NRC Wisconsin and such adjudication is no longer subject to direct appeal.
|
The Delaware Charter provides that a director may only be removed for cause upon the affirmative vote of the holders of 66-2/3% voting power of the voting group that elected such director to be removed; provided, however, that if the Board has recommended removal of a director by a resolution adopted by at least 66-2/3% of the directors then in office plus one director (but in no case more than all of the directors then in office), our shareholders may remove such director from office without cause by the affirmative vote of a majority of the outstanding shares.
The Delaware Charter does not define “cause” in order to be consistent with the DGCL, otherwise, the Delaware Charter will not materially differ from the Wisconsin Charter with respect to removal of directors. |
||||||
|
Shareholder Action by Written Consent |
Under the WBCL, action required or permitted to be taken at a meeting of shareholders may be taken by action without a meeting if the action is taken by all of the shareholders entitled to vote on the action. The WBCL also provides that the articles of incorporation may allow action without a meeting to be taken by shareholders having not less than the minimum number of votes that would be needed to take the action if a meeting were held.
The Wisconsin Charter does not address shareholder action without a meeting. Accordingly, in accordance with the relevant provisions of the WBCL (described above), shareholders may take action without a meeting if the action is taken by all of the shareholders entitled to vote on the action. |
Under the DGCL, unless the certificate of incorporation provides otherwise, any action to be taken at a meeting of the shareholders may be taken without a meeting if the holders of outstanding stock having at least the minimum number of votes that would be necessary to authorize or take such action at a meeting consent to the action in writing.
The Delaware Charter provides that any action to be taken at a meeting of the shareholders may be taken without a meeting if the holders of all of the outstanding stock entitled to vote with respect to the subject matter thereof consent to such action in writing.
The Delaware Charter will not materially differ from the Wisconsin Charter with respect to shareholder action by written consent.
|
|
Shareholder Ability to Call Special Meetings |
In accordance with our Wisconsin By-Laws and the WBCL, a special meeting of the shareholders may only be called by our Chief Executive Officer, our President or our Board. Additionally, our Board is required to call a special meeting of the shareholders if the holders of at least 10% of all the votes entitled to be cast on any issue to be considered at a special meeting bring a proper demand for a special meeting to the Company. |
In accordance with our Delaware Bylaws and the DGCL, a special meeting of the shareholders may only be called by our Chief Executive Officer or our President. Additionally, our Board is required to call a special meeting of the shareholders if the holders of at least 10% of all the votes entitled to be cast on any issue to be considered at a special meeting bring a proper demand for a special meeting to the Company.
The Delaware Bylaws will not materially differ from the Wisconsin By-Laws with respect to shareholder’s ability to call special meetings.
|
||||||
|
Shareholder Derivative Suits |
The WBCL requires a shareholder bringing a derivative lawsuit (i) to be a beneficial owner of our shares at the time the transaction complained of occurred or to have become a shareholder through transfer by operation of law from a person who was a shareholder at that time, and (ii) fairly and adequately represent the interests of the Company in enforcing the right of the Company. The WBCL requires that the shareholder remain a shareholder throughout the litigation.
|
The DGCL requires that the shareholder bringing a derivative suit to be a shareholder at the time of the wrong complained of or that the stock devolved to him or her by operation of law from a person who was a shareholder at the time of the wrong complained of. In addition, the shareholder must remain a shareholder throughout the litigation. |
||||||
|
Preemptive Rights |
Under the WBCL and the Wisconsin Charter, shareholders have no preemptive rights to acquire additional shares issued by NRC Wisconsin.
|
Under the DGCL and the Delaware Charter, shareholders have no preemptive rights to acquire additional shares issued by NRC Delaware. |
|
Vote Required to Approve a Merger or Sale of the Company |
The WBCL requires the affirmative vote of each voting group entitled to vote by a majority of all the votes entitled to be cast to approve a merger of the corporation or a sale of all or substantially all the assets of the corporation except in limited circumstances. In addition, Wisconsin Charter may provide for super-majority voting in connection with these transactions.
The Wisconsin Charter does not include supermajority voting requirements for mergers or sales of all of substantially all of the assets of NRC Wisconsin, except where such merger or sale of all or substantially all of the assets of NRC Wisconsin would be otherwise subject to the restrictions of Article 9 (business combinations with interested shareholders) of the Wisconsin Charter.
|
The DGCL requires the affirmative vote of the holders of a majority in voting power of the outstanding shares of stock entitled to vote to approve a merger of the corporation or a sale of all or substantially all the assets of the corporation, except in limited circumstances. In addition, the Delaware Charter may provide for super-majority voting in connection with these transactions.
The Delaware Charter does not include supermajority voting requirements for mergers or sales of all of substantially all of the assets of NRC Delaware. |
||||||
|
Business Combinations with Interested Stockholders |
The WBCL may limit the ability of a “resident domestic corporation” to engage in certain business combinations with interested stockholders. While we believe NRC Wisconsin does not meet the criteria of a “resident domestic corporation” under the WBCL, this is a fact specific inquiry, and the Board cannot be certain NRC Wisconsin would not be deemed a resident domestic corporation.
If NRC Wisconsin were deemed a “resident domestic corporation,” the WBCL would prohibit a person who is an “interested stockholder” (defined as a person who beneficially owns, directly or indirectly, 10% of the voting power of the outstanding voting stock of a corporation, or who is an affiliate or associate of the corporation and beneficially owned 10% of the voting power of the then outstanding voting stock within the last three years) from engaging in a “business combination” (defined to include a merger or share exchange, sale, lease, exchange, mortgage, pledge, transfer, or other disposition of assets equal to at least 5% of the market value of the stock or assets of a corporation or 10% of its earning power, issuance of stock or rights to purchase stock with a market value equal to 5% of the outstanding stock, adoption of a plan of liquidation, and certain other transactions involving an “interested stockholder”) with NRC Wisconsin for a 3-year period following the time the shareholder became an “interested stockholder.” Additionally, under the WBCL, business combinations after the three-year period are permitted only if: (i) the Board approved the acquisition of the stock prior to the acquisition date; (ii) the business combination is approved by a majority of the outstanding voting stock not beneficially owned by the interested stockholder; (iii) the consideration to be received by shareholders meets certain requirements with respect to form and amount; or (iv) the business combination is of a type specifically excluded from the coverage of the statute.
Article 9 of the Wisconsin Charter contains provisions that are similar to the provisions of the WBCL discussed above and restrict NRC Wisconsin from engaging in “business combinations” with an “interested stockholder.” For further information, please see Proposal 6 below, where shareholders are being asked to separately approve the removal of Article 9 from the Wisconsin Charter.
|
The DGCL, in specified circumstances, prohibits a person who is an “interested stockholder” (defined
generally as a person who owns 15% or more of NRC Delaware’s outstanding voting stock) from engaging in a “business combination” (defined to include, among other things, a merger, consolidation, or other transaction, including a sale, lease, or other disposition of assets with an aggregate market value equal to 10% or more of the aggregate market value of NRC Delaware’s outstanding stock or its assets (on a consolidated basis)) with NRC Delaware for a three-year period following the time the stockholder became an “interested stockholder,” unless certain requirements are met.
For further information, please see Proposal 7 below, where we are seeking separate approval of the Delaware Charter expressly electing to opt out of these restrictions. Under the DGCL, since NRC Delaware common stock will be listed on a national securities exchange (the Nasdaq Global Select Market), if Proposal 7 is approved by shareholders, NRC Delaware will be subject to these restrictions for twelve months after the Delaware Charter becomes effective. After such twelve month period, NRC Delaware will not be restricted from engaging in “business combinations” with an “interested stockholder.” |
|
Control Share Statute |
The WBCL, in certain circumstances, may limit the voting power of the shares held by a person by limiting the voting power of such person’s shares in excess of 20% of the total voting power in the corporation to 10% of the full voting power of those shares. The WBCL allows a person whose voting power is limited to be restored by the affirmative vote of a majority of the voting power of shares represented at the meeting and entitled to vote.
The Wisconsin Charter expressly elects to be subject to control share restrictions.
|
There is no similar provision in the DGCL or the Delaware Charter. |
||||||
|
Fair Price Statute |
The WBCL, in certain circumstances, may require a supermajority of shareholders to approve a business combination unless the consideration to be received by shareholders is equal to or greater than a minimum fair price calculated by statutorily defined valuation methods.
The Wisconsin Charter expressly elects to be subject to fair price restrictions.
|
There is no similar provision in the DGCL or the Delaware Charter. |
||||||
|
Interested Party Transactions |
The WBCL provides that a conflict of interest transaction is not voidable by a corporation solely due to a director’s conflicting interest in the transaction so long as any of the following are true: (i) the material facts of the transaction and the director’s interest were disclosed to or known by the board of directors and the transaction was approved by a majority of the disinterested directors of the board of directors or a committee thereof, as applicable, (ii) the material facts of the transaction and the director’s interest were disclosed to or known by the shareholders entitled to vote thereon and the transaction was approved by a majority of the shares entitled to vote (excluding any shares owned or voted under the control of the interested director), or (iii) the transaction was fair to the corporation. |
The DGCL provides that contracts or transactions between a corporation and one or more of its officers or directors or an entity in which they have an interest is not void or voidable solely because of such interest or the participation of the director or officer in a meeting of the board of directors or a committee which authorizes the contract or transaction if (i) the material facts as to the director’s or officer’s relationship or interest and as to the contract or transaction are disclosed or are known to the board of directors or the committee, and the board of directors or committee in good faith authorizes the contract or transaction by the affirmative votes of a majority of disinterested directors, even though the disinterested directors are less than a quorum; (ii) the material facts as to the director’s or officer’s relationship or interest and as to the contract or transaction are disclosed or are known to the stockholders entitled to vote thereon, and the contract or transaction is specifically approved in good faith by vote of the stockholders; or (iii) the contract or transaction is fair as to the corporation as of the time it is authorized, approved or ratified by the board of directors, a committee thereof or the stockholders.
|
|
Indemnification and Advancement of Expenses of Directors and Officers |
Under the WBCL, a corporation is required to indemnify a director or officer for all reasonable expenses incurred in the defense of a proceeding to the extent that he or she has been successful on the merits or otherwise and was a party to such proceeding due to the fact he or she was a director or officer of such corporation. In addition, the WBCL permits a corporation to indemnify a director or officer against liability incurred in a proceeding to which the director or officer was a party because he or she is a director or officer of such corporation unless liability was incurred due to the fact the director or officer breached or failed to perform a fiduciary duty constituting (i) a willful failure to deal fairly with the corporation or its shareholders in a matter in which the director has a material conflict of interest, (ii) a violation of criminal law, unless the director had reasonable cause to believe that his or her conduct was lawful or no reasonable cause to believe that his or her conduct was unlawful, (iii) a transaction from which the director derived an improper personal benefit, or (iv) willful misconduct.
The WBCL allows a corporation to pay or reimburse the reasonable expenses of a director or officer who is party to a proceeding, upon written request, so long as the director or officer provides the corporation with (a) a written affirmation of his or her good faith belief that he or she has not breached or failed to perform his or her fiduciary duties, and (b) a written undertaking to repay the allowance, and if requested by the corporation, to pay reasonable interest on such allowance to the extent it is ultimately determined that indemnification is not proper.
The Wisconsin By-Laws provide our directors and officers with indemnification and advancement of expenses to the fullest extent permitted by the WBCL.
|
Under the DGCL, a corporation must indemnify a director or officer to the extent the person is successful on the merits or otherwise in defense of an action, suit or proceeding by which such director or officer is party by reason of the fact that he or she is a director or officer of such corporation. In addition, the DGCL permits a corporation to indemnify its directors or officers from expenses and losses arising out of litigation by reason of the director’s or officer’s service to the corporation or to another entity at its request, including, in certain circumstances, litigation by or in the right of the corporation, so long as the officer or director acted in good faith and in a manner reasonably believed to be in or not opposed to the best interests of the corporation; and, in the case of criminal proceedings, had no reasonable cause to believe that his or her conduct was unlawful. Unless judicially authorized, corporations may not indemnify a person in connection with a proceeding by or in the right of the corporation in which the person was adjudged liable to the corporation.
The DGCL, under certain circumstances, permits a corporation to advance expenses to its officers or directors prior to conclusion of the litigation. In such an event, the DGCL requires officers and directors to undertake to repay advanced expenses if it is ultimately determined that he or she is not entitled to be indemnified by the corporation.
The Delaware Charter and Delaware Bylaws provide our directors and officers with indemnification and advancement of expenses to the fullest extent permitted by the DGCL. |
|
Limitation on Personal Liability of Directors |
Under the WBCL, a director is not personally liable for a breach of fiduciary duty except to the extent such breach constitutes (a) a willful failure to deal fairly with the corporation or its shareholders in a matter in which the director has a material conflict of interest, (b) a violation of criminal law, unless the director had reasonable cause to believe that his or her conduct was lawful or no reasonable cause to believe that his or her conduct was unlawful, (c) a transaction from which the director derived an improper personal benefit, or (d) willful misconduct. |
Under the DGCL, the certificate of incorporation may eliminate or limit the personal liability of a director for breach of fiduciary duty. A certificate of incorporation may not, however, limit or eliminate a director’s personal liability for (a) any breach of the director’s duty of loyalty to the corporation or its stockholders, (b) acts or omissions not in good faith or involving intentional misconduct or a knowing violation of law, (c) payment of unlawful dividends, stock repurchases or redemptions (Section 174 of the DGCL), or (d) any transaction in which the director received an improper personal benefit.
The Delaware Charter limits the personal liability of a director for breach of fiduciary duty to the fullest extent permitted by the DGCL.
|
||||||
|
Declaration and Payment of Dividends |
Under the WBCL, the Board is prohibited from authorizing the payment of a dividend, if after giving effect to such dividend payment, the Company would be unable to pay its debts as they become due in the ordinary course of business or the Company’s total assets would be less than the sum of its total liabilities plus the amount that would be needed, if the Company were to be dissolved at the time of the distribution, to satisfy the preferential rights upon dissolution of shareholders whose preferential rights are superior to those receiving the distribution.
|
The DGCL provides that a corporation may pay dividends out of surplus or, in case there is no surplus, out of the corporation’s net profits for the preceding fiscal year, subject to any restrictions contained in its certificate of incorporation. The Delaware Charter will contain no such restrictions. |
|
Appraisal Rights |
Under the WBCL, shareholders have appraisal or dissenter’s rights, respectively, if certain corporate actions, such as a merger, occur. These rights include the rights to dissent from voting to approve such corporate action and to demand fair value for the shares of the dissenting shareholder. If a proposed corporate action creating dissenters’ rights is submitted to a vote at a shareholders meeting, a shareholder who wishes to assert dissenters’ rights must (i) deliver to the corporation, before the vote is taken, written notice of his intent to demand payment for his shares if the proposed action is effected and (ii) not vote his shares for the proposed action. If fair value is not settled, the WBCL provides various procedures for the dissenter and the corporation to arrive at a fair value, which may ultimately be resolved by petition to a circuit court of the county in Wisconsin where a the corporation’s principal office or registered office is located. |
Under the DGCL, stockholders generally have appraisal rights if a merger or consolidation is to be effected pursuant to Section 251 of the DGCL. In order to exercise appraisal rights, stockholders must not vote in favor of the merger or consolidation nor consent thereto in writing. If a proposed merger or consolidation for which appraisal rights are provided is submitted to a vote at a stockholders meeting, a stockholder who wishes to assert appraisal rights must (i) deliver to the corporation, before the vote is taken, written demand for appraisal of such stockholder’s shares and (ii) not vote his or her shares in favor of the proposed merger or consolidation. If the fair value of the shares is unsettled, the DGCL provides various procedures for the shareholder(s) exercising appraisal rights and the corporation to arrive at a fair value, which may ultimately be resolved by petition to the Court of Chancery where a corporation’s principal office or registered office is located.
The DGCL provides an exception to a stockholder’s appraisal rights commonly known as the “market-out” exception. Under this exception, appraisal rights will not be available if stockholders hold stock of a corporation that is either (i) listed on a national securities exchange or (ii) held of record by over 2,000 holders.
After the Reincorporation, NRC Delaware’s stock will continue to be traded on the NASDAQ Global Select Market, and therefore subject to the market-out exception in the event of a merger or consolidation.
Holders of NRC Delaware common stock will not have appraisal rights under Delaware law while the market-out exception is applicable, except if such holders would receive consideration in a transaction other than (a) stock of the surviving corporation, (b) stock of any other corporation that is or will be listed on a national securities exchange or held by over 2,000 stockholders, (c) cash in lieu of fractional shares or (d) any combination of the foregoing.
|
|
Filing and License Fees |
Wisconsin charges corporations incorporated in Wisconsin nominal annual corporate license renewal fees, and does not impose an annual franchise tax fee. |
Delaware imposes annual franchise tax fees on all corporations incorporated in Delaware. The annual fee ranges from a nominal fee to a maximum of $250,000, based on the number of authorized shares of capital stock or, in the alternative, based on an equation consisting of the number of issued shares and the total gross assets of the corporation.
|
Anticipated Federal Income Tax Consequences of Reincorporation
The Company intends the Reincorporation to be a tax-free reorganization under the Internal Revenue Code of 1986, as amended (the “Code”). Assuming the Reincorporation qualifies as a tax-free reorganization, the holders of the Company’s common stock will not recognize any gain or loss under the U.S. federal income tax laws as a result of the consummation of the Reincorporation, and neither will the Company. At the time the Reincorporation becomes effective, each holder will receive the same basis in NRC Delaware’s common stock as that holder had in their corresponding shares of common stock of NRC Wisconsin and the holding period for the shares of NRC Delaware common stock will include the holding period for shares of the NRC Wisconsin common stock converted therefor.
This proxy statement only discusses U.S. federal income tax consequences and has done so only for your general information. This proxy statement does not address all of the federal income tax consequences that may be relevant to particular shareholders based upon individual circumstances or to shareholders who are subject to special rules, such as, financial institutions, tax-exempt organizations, insurance companies, dealers in securities, foreign holders or holders who acquired their shares as compensation, whether through employee stock options or otherwise. This proxy statement does not address the tax consequences under state, local or foreign laws.
This discussion is based on the Code, regulations, rulings and decisions in effect as of the date of this proxy statement, all of which are subject to differing interpretations and change, possibly with retroactive effect. The Company has neither requested nor received a tax opinion from legal counsel or rulings from the Internal Revenue Service regarding the consequences of the Reincorporation. There can be no assurance that future legislation, regulations, administrative rulings or court decisions would not alter the consequences discussed above.
You should consult with your own tax advisor to determine your particular tax consequences of the Reincorporation, including the applicability and effect of federal, state, local, foreign and other tax laws.
Consequences of Shareholder Vote
A vote in favor of this proposal is a vote in favor of the Reincorporation and the Plan of Conversion, which will authorize us to file the Wisconsin Certificate, the Delaware Certificate, and the Delaware Charter, and adopt the Delaware Bylaws. Notwithstanding the foregoing, if the Reincorporation is approved by shareholders, the Board may, in accordance with the Plan of Conversion, abandon the Reincorporation if the Board believes that doing so is in the best interests of the Company and its shareholders. If this Proposal 4 is approved and implemented, the provisions of the Delaware Charter will depend upon whether Proposals 5, 6, and 7 are approved. If any or all of Proposals 5, 6, or 7 are approved, the Delaware Charter will include a provision substantively as described in Proposals 5, 6, or 7, as applicable. If any or all of Proposals 5, 6, or 7 are not approved, Proposals 5, 6, or 7 describe the impact on the Delaware Charter, as applicable.
If this Proposal 4 fails to obtain the requisite vote for approval, the Reincorporation will not be consummated and the Company will continue to be incorporated in the State of Wisconsin and governed by the Wisconsin Charter and the Wisconsin By-Laws, subject to the outcome of, and the changes contemplated by, Proposals 5 and 6.
Required Vote
Under the WBCL, the Reincorporation of the Company from a Wisconsin corporation to a Delaware corporation and the associated plan of conversion requires approval by a majority of votes entitled to be cast. In addition, the Reincorporation effectively requires an amendment to the Wisconsin Charter by adopting the revised Delaware Charter. In general, amendments to the Wisconsin Charter require approval by a majority of votes entitled to be cast. However, the Delaware Charter will delete Article 10 of the Wisconsin Charter and will delete the definition of “cause” in Article 3 of the Wisconsin Charter in order to be consistent with Delaware law. Article 10 and Article 3 of the Wisconsin Charter require approval of at least 66-2/3% of the voting power of all of the Company’s capital stock in order to amend such Articles. Accordingly, the affirmative vote of holders of at least 66-2/3% of the shares entitled to be cast at the annual meeting is required to approve the reincorporation of the Company from the State of Wisconsin to the State of Delaware. Abstentions and broker non-votes will have the same effect as a vote “AGAINST” this proposal.
THE BOARD RECOMMENDS THE REINCORPORATION OF THE COMPANY FROM THE STATE OF WISCONSIN TO THE STATE OF DELAWARE AND URGES EACH SHAREHOLDER TO VOTE “FOR” SUCH REINCORPORATION. SHARES OF THE COMPANY’S COMMON STOCK REPRESENTED BY EXECUTED BUT UNMARKED PROXIES WILL BE VOTED “FOR” SUCH REINCORPORATION.
PROPOSAL NO. 5 – APPROVAL OF OUR CERTIFICATE OF INCORPORATION INCREASING THE NUMBER OF AUTHORIZED SHARES OF COMMON STOCK
Proposed Provision
On May 4, 2021, our Board unanimously approved and adopted a resolution to increase the number of authorized shares of the Company’s Common Stock.
As proposed, Article 4 to the Delaware Charter would state as follows:
ARTICLE 4
AUTHORIZED CAPITAL
The total amount of stock of which the Corporation shall have the authority to issue is One Hundred-Twelve Million (112,000,000) shares, consisting of: (i) One Hundred-Ten Million (110,000,000) shares of a class designated as “Common Stock,” with a par value of $.001 per share; and (ii) Two Million (2,000,000) shares of a class designated as “Preferred Stock,” with a par value of $.01 per share.
The designation, relative rights, preferences and limitations of the shares of each class and the authority of the Board of Directors of the Corporation to establish and to designate series of Preferred Stock and to fix variations in the relative rights, preferences and limitations as between such series, shall be as set forth herein.
|
A. |
Preferred Stock. |
|
(1) |
Series and Variations Between Series. The Board of Directors of the Corporation is authorized, to the full extent permitted under the DGCL and the provisions of this Section A, to provide for the issuance of the Preferred Stock in series, each of such series to be distinctively designated, and to have such redemption rights, dividend rights, rights on dissolution or distribution of assets, conversion or exchange rights, voting powers, designations, preferences and relative participating, optional or other special rights, if any, and such qualifications, limitations or restrictions thereof as shall be provided by the Board of Directors of the Corporation consistent with the provisions of this Article 4. |
|
(2) |
Dividends. Before any dividends shall be paid or set apart for payment upon shares of Common Stock, the holders of each series of Preferred Stock shall be entitled to receive dividends at the rate (which may be fixed or variable) and at such times as specified in the particular series. The holders of shares of Preferred Stock shall have no rights to participate with the holders of shares of Common Stock in any distribution of dividends in excess of the preferential dividends, if any, fixed for such Preferred Stock. |
|
(3) |
Liquidation Rights. In the event of any voluntary or involuntary liquidation, dissolution or winding up of the Corporation, the holders of shares of each series of Preferred Stock shall be entitled to receive out of the assets of the Corporation in money or money’s worth the preferential amount, if any, specified in the particular series for each share at the time outstanding together with all accrued but unpaid dividends thereon, before any of such assets shall be paid or distributed to holders of Common Stock. The holders of Preferred Stock shall have no rights to participate with the holders of Common Stock in the assets of the Corporation available for distribution to stockholders in excess of the preferential amount, if any, fixed for such Preferred Stock. |
|
(4) |
Voting Rights. The holders of Preferred Stock shall have only such voting rights as are fixed for shares of each series by the Board of Directors pursuant to this Section A or are provided, to the extent applicable, by the DGCL. |
|
B. |
Common Stock |
|
(1) |
Voting Rights. Except as otherwise provided by the DGCL, and except as may be determined by the Board of Directors with respect to the Preferred Stock pursuant to Section A of this Article 4, only the holders of Common Stock shall be entitled to vote for the election of directors of the Corporation and for all other corporate purposes. Upon any such vote the holders of Common Stock shall, except as otherwise provided by law, be entitled to one vote for each share of Common Stock held by them respectively. |
|
(2) |
Dividends. Subject to the provisions of this Article 4, the Board of Directors of the Corporation may, in its sole discretion, out of funds legally available for the payment of dividends and at such times and in such manner as determined by the Board of Directors, declare and pay dividends or other distributions on the Common Stock. |
|
(3) |
Liquidation Rights. In the event of any voluntary or involuntary liquidation, dissolution or winding up of the Corporation, after there shall have been paid to or set aside for the holders of Preferred Stock the full preferential amounts, if any, to which they are entitled, the holders of outstanding shares of Common Stock shall be entitled to receive pro rata, according to the number of shares held by each, the remaining assets of the Corporation available for distribution to the holders of Common Stock. |
C. Preemptive Rights. No holder of shares of any class of capital stock of the Corporation shall have any preferential or preemptive right to acquire unissued shares of capital stock of the Corporation or securities convertible into such shares or conveying a right to subscribe for or acquire shares.
Purpose and Effect of Proposed Article 4
Our Amended and Restated Articles of Incorporation currently authorize the issuance of up to 60,000,000 shares of Common Stock and 2,000,000 shares of Preferred Stock. As the close of business on May 5, 2021, there were approximately 25,439,013 shares of Common Stock issued and outstanding and 2,135,813 shares of Common Stock reserved for issuance pursuant to (i) outstanding option awards, (ii) the Director Plan and (iii) our 2006 Equity Incentive Plan.
If this proposal is approved by shareholders, upon its effectiveness we will have a total of 110,000,000 authorized shares of Common Stock, with approximately 25,439,013 shares of Common Stock issued and outstanding as of May 5, 2021, and approximately 2,135,813 shares of Common Stock reserved for issuance, leaving a balance of 82,425,174 shares of Common Stock authorized and not reserved for any specific purpose.
Our Board believes it is in the best interests of the Company to increase the number of authorized shares of our Common Stock in order to give the Company greater flexibility in considering and planning for future general corporate needs, including, but not limited to, stock splits, the offer and sale of Common Stock in one or more public offerings or private placements, the grant of Common Stock or warrants, options or other convertible securities in one or more strategic transactions, stock dividends, grants under equity compensation plans, as well as other general corporation transactions. Our Board believes that additional authorized shares of Common Stock will provide increased flexibility to the Company to take timely advantage of any market conditions and favorable financing and acquisition opportunities that may become available to the Company. The authorized but unissued shares will only be issued at the direction of the Board, and if required by applicable law or regulation, upon separate stockholder approval.
The increase in the authorized shares of Common Stock could, under certain circumstances, have an anti-takeover effect or delay or prevent a change in control of the Company by providing the Company the capability to engage in actions that would be dilutive to a potential acquirer, to pursue alternative transactions, or to otherwise increase the potential cost to acquire control of the Company. Thus, while the Company currently has no intent to employ the additional unissued authorized shares as an anti-takeover device, the proposal may have the effect of discouraging future unsolicited takeover attempts.
The proposed increase in the number of authorized shares of the Company’s Common Stock will not change the number of shares of Common Stock outstanding, nor will it have any immediate dilutive effect or change the rights of current holders of the Company’s Common Stock. Any newly authorized shares of Common Stock will be identical to the shares of Common Stock now issued and outstanding. However, the issuance of additional shares of Common Stock authorized by this proposal may occur at times or under circumstances as to have a dilutive effect on earnings per share, book value per share or the percentage voting or ownership interest of the present holders of the Company’s common stock.
Consequences of Shareholder Vote
If both Proposal 5 and Proposal 4 are approved by our shareholders, the Company will be authorized to reincorporate in the State of Delaware, file the Delaware Certificate and Delaware Charter with the Secretary of State for the State of Delaware, and adopt the Delaware Bylaws. In such an event, Article 4 of the Delaware Charter will provide that the Company is authorized to issue 110,000,000 shares of common stock.
If this Proposal 5 is approved by our shareholders but Proposal 4 does not obtain the approval of our shareholders, the Company will not reincorporate in the State of Delaware and the Company will continue to be incorporated in the State of Wisconsin, and, consistent with the intent of this Proposal 5, the Company will file an amendment to our Amended and Restated Articles of Incorporation with the Wisconsin Department of Financial Institutions increasing the number of authorized shares of Common Stock from 60,000,000 shares to 110,000,000 shares. In such an event, the amended provision in our Amended and Restated Articles of Incorporation will be substantially similar to the provision proposed above, except that references to “Article 4” will instead refer to “Article 2” and references to the “DGCL” will instead refer to the “WBCL.”
If this Proposal 5 is not approved by our shareholders, the Company’s authorized shares of Common Stock will not be increased, and the number of shares of Common Stock authorized by the Delaware Charter (if Proposal 4 is approved) or the Wisconsin Charter (if Proposal 4 is not approved) will continue to be 60,000,000 shares.
Required Vote
Approval of this Proposal 5 requires an affirmative vote of holders of at least a majority of the votes to which all of the shareholders of the Company would be entitled to cast at the annual meeting. Abstentions and broker non-votes will have the same effect as a vote “AGAINST” this proposal.
THE BOARD RECOMMENDS AMENDING OUR AMENDED AND RESTATED ARTICLES OF INCORPORATION AND URGES EACH SHAREHOLDER TO VOTE “FOR” SUCH AMENDMENT. SHARES OF THE COMPANY’S COMMON STOCK REPRESENTED BY EXECUTED BUT UNMARKED PROXIES WILL BE VOTED “FOR” AMENDING OUR AMENDED AND RESTATED ARTICLES OF INCORPORATION TO INCREASE THE NUMBER OF AUTHORIZED SHARES OF COMMON STOCK.
PROPOSAL NO. 6 – APPROVAL OF OUR CERTIFICATE OF INCORPORATION REMOVING RESTRICTIONS ON BUSINESS COMBINATIONS
Background
On May 4, 2021, in connection with the Reincorporation, our Board unanimously approved and adopted a resolution to remove restrictions and limitations regarding business combinations with interested shareholders from the Delaware Charter. Currently, Article 9 of our Wisconsin Charter restricts business combinations with interested shareholders by incorporating a substantial portion of the WBCL’s “Business Combination” statute.
Article 9 of the Wisconsin Charter regulates a broad range of “business combinations” between the Company and an “interested stockholder.” Article 9 of the Wisconsin Charter defines a “business combination” to include a merger or share exchange, sale, lease, exchange, mortgage, pledge, transfer, or other disposition of assets equal to at least 5% of the market value of the stock or assets of the Company or 10% of its earning power, issuance of stock or rights to purchase stock with a market value equal to 5% of our outstanding stock, adoption of a plan of liquidation, and certain other transactions involving an “interested stockholder.”
Article 9 of the Wisconsin Charter defines an “interested stockholder” as a person who beneficially owns, directly or indirectly, 10% of the voting power of the outstanding voting stock of the Company, or who is an affiliate or associate of the Company and beneficially owned 10% of the voting power of the then outstanding voting stock within the last three years. Article 9 of the Wisconsin Charter prohibits the Company from engaging in a business combination (other than certain business combinations which are specifically excluded) with an interested stockholder for a period of three years following the date such person becomes an interested stockholder, unless the Board approved the business combination or the acquisition of the stock that resulted in a person becoming an interested stockholder before such acquisition. Additionally, business combinations after the three-year period following the stock acquisition date are permitted only if: (i) the Board approved the acquisition of our stock prior to the acquisition date; (ii) the business combination is approved by a majority of our outstanding voting stock not beneficially owned by the interested stockholder; (iii) the consideration to be received by shareholders meets certain requirements with respect to form and amount; or (iv) the business combination is of a type specifically excluded by Article 9 of the Wisconsin Charter.
Reasons for Removing Business Combination Restrictions
The Board believes that it is in the best interests of the Company and its shareholders to remove these business combination restrictions as they may limit the Company’s ability to engage in certain transactions which may otherwise benefit the Company’s growth and strategic plan. Additionally, these business combination restrictions are viewed unfavorably by some institutional investors as they could have an anti-takeover effect or otherwise restrict the Company’s ability to maximize value for its shareholders. Moreover, as described under Proposal 4, the business combination restrictions can act as an impediment to large shareholders selling their shares in orderly block sales instead of prolonged open market sales. The Board believes that removing these restrictions would help facilitate dispositions of our Common Stock by large stockholders in transactions that do not create downward pressure on the price of our Common Stock, which in turn may help deconcentrate the ownership of our Common Stock and increase our public float and liquidity for all shareholders.
The Board also believes that these business combination restrictions are unduly burdensome and unnecessary if the Company reincorporates from the State of Wisconsin to the State of Delaware. In connection with the Reincorporation, shareholders are being asked approve opting out of DGCL Section 203, which imposes similar restrictions on business combinations as those in Article 9 of our Wisconsin Charter. If shareholders approved opting-out of DGCL Section 203, but we did not remove the business combination restrictions from our Delaware Charter, we would continue to be subject to restrictions on business combinations, which would largely defeat the purpose of opting out of DGCL Section 203. Accordingly, the Board believes restrictions on business combinations should be removed from the Delaware Charter for the same reasons identified in Proposal 7 below.
Consequences of Shareholder Vote
If both Proposal 6 and Proposal 4 are approved by our shareholders, the Company will be authorized to reincorporate in the State of Delaware, file the Delaware Certificate and Delaware Charter with the Secretary of State for the State of Delaware, and adopt the Delaware Bylaws. In such an event, the Delaware Charter will not include provisions restricting business combinations.
If this Proposal 6 is approved by our shareholders, but Proposal 4 fails to obtain shareholder approval, then consistent with the intent of this Proposal 6, the Company will file an amendment to our Amended and Restated Articles of Incorporation with the Wisconsin Department of Financial Institutions removing the provisions of Article 9.
If this Proposal 6 is not approved by our shareholders, the Delaware Charter (if Proposal 4 is approved) or the Wisconsin Charter (if Proposal 4 is not approved) will continue to include provisions restricting business combinations substantially similar to those in Article 9 in our current Wisconsin Charter.
Required Vote
This Proposal 6 seeks to amend Article 9 of our Wisconsin Charter, which requires the approval of at least 66-2/3% of the shares entitled to be cast in order to be amended. Accordingly, the affirmative vote of holders of at least 66-2/3% of the shares entitled to be cast at the annual meeting is required to approve removing restrictions on business combinations in our Delaware Charter. Abstentions and broker non-votes will have the same effect as a vote “AGAINST” this proposal.
THE BOARD RECOMMENDS REMOVING PROVISIONS IN OUR CERTIFICATE OF INCORPORATION RESTRICTING BUSINESS COMBINATIONS AND URGES EACH SHAREHOLDER TO VOTE “FOR” REMOVING SUCH PROVISIONS IN OUR CERTIFICATE OF INCORPORATION. SHARES OF THE COMPANY’S COMMON STOCK REPRESENTED BY EXECUTED BUT UNMARKED PROXIES WILL BE VOTED “FOR” REMOVING SUCH PROVISONS IN OUR CERTIFICATE OF INCORPORATION.
PROPOSAL NO. 7 – APPROVAL OF A PROVISON IN OUR CERTIFICATE OF INCORPORATION OPTING OUT OF DGCL SECTION 203
Proposed Provision
On May 4, 2021, our Board unanimously approved and adopted a resolution to add a provision in the Delaware Charter, Article 9, which would opt the Company out of Section 203 of the DGCL. As proposed, Article 9 to the Company’s Certificate of Incorporation would state as follows:
ARTICLE 9
DGCL SECTION 203
The Corporation hereby expressly elects not to be governed by Section 203 of the DGCL.
Purpose and Effect of Proposed Article 9
Our Board believes that it is in the best interests of the Company and our shareholders to opt out of DGCL Section 203. DGCL Section 203 is an anti-takeover provision that applies to Delaware corporations that either have shares of voting stock listed on a national securities exchange or have more than 2,000 record holders of voting stock. DGCL Section 203 generally provides that any person or entity who acquires 15% or more in voting power of a corporation’s voting stock (thereby becoming an “interested stockholder”) may not engage in a wide range of transactions (referred to as “business combinations”) with the corporation for a period of three years following the date the person became an interested stockholder, subject to certain exceptions. The exceptions are (i) the board of directors of the corporation has approved, prior to the acquisition date, either the business combination or the transaction that resulted in the person becoming an interested stockholder, (ii) upon consummation of the transaction that resulted in the person becoming an interested stockholder, that person owns at least 85% in voting power of the corporation’s voting stock outstanding at the time the transaction commenced (excluding certain shares), or (iii) the business combination is approved by the board of directors and authorized at a stockholder meeting, and not by written consent, by the affirmative vote of at least 66-2/3% of the voting power of the outstanding voting stock not owned by the interested stockholder. Under DGCL Section 203, a corporation can elect not to be subject to DGCL Section 203 by amendment of its certificate of incorporation. Subject to certain exceptions that do not apply to the Company, such amendment does not take effect until twelve months after its adoption because the Company’s voting stock is listed on a national securities exchange. The description of DGCL Section 203 set forth in this proxy statement is qualified in its entirety by reference to the text of DGCL Section 203. Our Board believes that DGCL Section 203 results in unnecessary additional requirements with respect to potential transactions and opting out of DGCL Section 203 would eliminate a potential hurdle to a potential transaction that the Board believes to be in the best interests of the Company. Moreover, as described under Proposals 4 and 6, business combination restrictions such as those in DGCL Section 203 can act as an impediment to large shareholders selling their shares in orderly block sales instead of prolonged open market sales. The Board believes that removing these restrictions would help facilitate dispositions of our Common Stock by large stockholders in transactions that do not create downward pressure on the price of our Common Stock, which in turn may help deconcentrate the ownership of our Common Stock and increase our public float and liquidity for all shareholders.
Consequences of Shareholder Vote
This Proposal 7 is conditioned upon the approval of Proposal 4 contained in this proxy statement. If Proposals 4 and 7 are approved by our shareholders, the Company will be authorized to reincorporate in the State of Delaware, file the Delaware Certificate and Delaware Charter with the Secretary of State for the State of Delaware, and adopt the Delaware Bylaws. In such event, the Delaware Charter will include a provision opting out of DGCL Section 203 and, due to the Company’s voting stock being listed on a national securities exchange, such provision does not take effect until twelve months after its adoption. Following such twelve month period, the Company will not be subject to any restrictions imposed by DGCL Section 203.
If this Proposal 7 is approved by our shareholders, but Proposal 4 fails to obtain shareholder approval, then the approval of this Proposal 7 will have no force or effect, the Reincorporation will not be consummated, and the Company will continue to be incorporated in the State of Wisconsin and governed by the Wisconsin Charter and the Wisconsin By-Laws, subject to the outcome of, and the changes contemplated by, Proposals 5 and 6.
If this Proposal 7 is not approved by our shareholders, but Proposal 4 is approved by our shareholders, the Company’s Delaware Charter will not opt-out of DGCL Section 203 and the Company will be subject to DGCL Section 203. If this Proposal 7 is not approved by our shareholders and Proposal 4 fails to obtain shareholder approval, then the Company will continue to be incorporated in the State of Wisconsin and governed by the Wisconsin Charter and the Wisconsin By-Laws, subject to the outcome of, and the changes contemplated by, Proposals 5 and 6.
Required Vote
Approval of this proposal requires an affirmative vote of holders of at least a majority of the votes to which all of the shareholders of the Company would be entitled to cast at the annual meeting. Abstentions and broker non-votes will have the same effect as a vote “AGAINST” this proposal.
THE BOARD RECOMMENDS INCLUDING A PROVISION IN OUR CERTIFICATE OF INCORPORATION OPTING OUT OF DGCL SECTION 203 IN CONNECTION WITH THE REINCORPORATION AND URGES EACH SHAREHOLDER TO VOTE “FOR” INCLUDING SUCH A PROVISION IN OUR CERTIFICATE OF INCORPORATION. SHARES OF THE COMPANY’S COMMON STOCK REPRESENTED BY EXECUTED BUT UNMARKED PROXIES WILL BE VOTED “FOR” INCLUDING SUCH A PROVISON IN OUR CERTIFICATE OF INCORPORATION OPTING OUT OF DGCL SECTION 203.
Independent Registered Public Accounting Firm
KPMG LLP acted as the independent registered public accounting firm for us in 2020. The Audit Committee is solely responsible for the selection, retention, oversight and, when appropriate, termination of our independent registered public accounting firm.
The fees to KPMG LLP for the fiscal years ended December 31, 2020 and 2019 were as follows:
|
2020 |
2019 |
|||||||
|
Audit Fees(1) |
$ | 457,810 | $ | 449,748 | ||||
|
Audit-Related Fees(2) |
134,500 | 134,726 | ||||||
|
Tax Fees(3) |
83,285 | 203,336 | ||||||
|
All Other Fees |
-- | -- | ||||||
|
Total |
$ | 675,595 | $ | 787,810 | ||||
___________________
| (1) | Audit of annual financial statements, review of financial statements included in Form 10-Q and other services normally provided in connection with statutory and regulatory filings, including out-of-pocket expenses. |
| (2) | Information security audit services, including out-of-pocket expenses. |
| (3) | Tax consultations and tax return preparation including out-of-pocket expenses. Of this amount, $71,727 related to tax return preparation services and $11,558 related to tax consulting services. |
The Audit Committee has established pre-approval policies and procedures with respect to audit and permitted non-audit services to be provided by our independent registered public accounting firm. Pursuant to these policies and procedures, the Audit Committee may form, and delegate authority to, subcommittees consisting of one or more members when appropriate to grant such pre-approvals, provided that decisions of such subcommittee to grant pre-approvals are presented to the full Audit Committee at its next scheduled meeting. The Audit Committee’s pre-approval policies do not permit the delegation of the Audit Committee’s responsibilities to management. In 2020, the Audit Committee pre-approved all services provided by our independent registered public accounting firm, and no fees to the independent registered public accounting firm were approved pursuant to the de minimis exception under the Securities and Exchange Commission’s rules.
Expenses
The cost of soliciting proxies will be borne by the Company. In addition to soliciting proxies by mail, proxies may be solicited personally and by telephone by certain officers and regular associates of the Company. Such individuals will not be paid any additional compensation for such solicitation. We will reimburse brokers and other nominees for their reasonable expenses in communicating with the persons for whom they hold Common Stock.
Multiple Shareholders Sharing the Same Address
Pursuant to the rules of the Securities and Exchange Commission, services that deliver our communications to shareholders that hold their stock through a bank, broker or other holder of record may deliver to multiple shareholders sharing the same address a single copy of our annual report to shareholders and proxy statement, unless we have received contrary instructions from one or more of the shareholders. Upon written or oral request, we will promptly deliver a separate copy of the annual report to shareholders and/or proxy statement to any shareholder at a shared address to which a single copy of each document was delivered. For future deliveries of annual reports to shareholders and/or proxy statements, shareholders may also request that we deliver multiple copies at a shared address to which a single copy of each document was delivered. Shareholders sharing an address who are currently receiving multiple copies of the annual report to shareholders and/or proxy statement may also request delivery of a single copy. Shareholders may notify us of their requests by calling or writing Kevin R. Karas, Secretary, NRC Health, at (402) 475-2525 or 1245 Q Street, Lincoln, Nebraska 68508.
Shareholder Proposals
Proposals that our shareholders intend to present at and have included in our proxy statement for the 2022 annual meeting pursuant to Rule 14a-8 under the Securities Exchange Act of 1934, as amended (“Rule 14a-8”), must be received by us by the close of business on February 12, 2022. In addition, a shareholder who otherwise intends to present business at the 2022 annual meeting (including nominating persons for election as directors) must comply with the requirements set forth in our By-Laws. Among other things, to bring business before an annual meeting, a shareholder must give written notice thereof, complying with the By-Laws, to the Secretary of the Company not less than 60 days and not more than 90 days prior to the second Wednesday in the month of April. In the event, however, that the date of the annual meeting is advanced by more than 30 days or delayed by more than 60 days from the second Wednesday in the month of April, in order to be timely notice by the shareholder must be received not earlier than the 90th day prior to the date of such annual meeting and not later than the close of business on the later of (i) the 60th day prior to such annual meeting and (ii) the 10th day following the day on which public announcement of the date of such meeting is first made. Under the By-Laws, if we do not receive notice of a shareholder proposal submitted otherwise than pursuant to Rule 14a-8 (i.e., proposals shareholders intend to present at the 2022 annual meeting but do not intend to include in our proxy statement for such meeting) prior to February 12, 2022, then the notice will be considered untimely and we will not be required to present such proposal at the 2022 annual meeting. If the Board chooses to present such proposal at the 2022 annual meeting, then the persons named in proxies solicited by the Board for the 2022 annual meeting may exercise discretionary voting power with respect to such proposal.
|
By Order of the Board of Directors NATIONAL RESEARCH CORPORATION
Kevin R. Karas Secretary |
June 3, 2021
NATIONAL RESEARCH CORPORATION
PLAN OF CONVERSION
This Plan of Conversion, dated as of [●], 2021 (this “Plan”), of National Research Corporation, a Wisconsin corporation (the “Company”), sets forth the terms, conditions, and procedures for the conversion of the Company from a Wisconsin corporation to a Delaware corporation pursuant to Sections 180.1161 and 180.1103 of the Wisconsin Business Corporation Law (the “WBCL”) and Section 265 of the Delaware General Corporation Law (the “DGCL”).
WHEREAS, conversion of a Wisconsin corporation into a Delaware corporation is permitted by Sections 180.1161 and 180.1103 of the WBCL and Section 265 of the DGCL;
WHEREAS, the Board of Directors of the Company (the “Board”) has determined that the conversion of the Company into a Delaware corporation (the “Conversion”) is in the best interests of the Company and its stockholders;
WHEREAS, the Board has authorized, approved, and adopted the form, terms, and provisions of this Plan and has submitted this Plan to the Company’s stockholders for approval;
WHEREAS, on June 29, 2021, an annual meeting of the stockholders of the Company was held, whereby this Plan was approved by the stockholders holding a majority of the voting power of the Company; and
WHEREAS, this Plan has been approved by the Board and the stockholders of the Company in accordance with the WBCL, DGCL, and the governing documents of the Company.
NOW, THEREFORE, the Company will be converted to a Delaware corporation in accordance with the provisions of this Plan:
|
1. |
Conversion; Effect of Conversion. |
|
a) |
At the Effective Time (as defined below), the Company will be converted into the Converted Entity (as defined below), pursuant to, and in accordance with Sections 180.1161 and 180.1103 of the WBCL and Section 265 of the DGCL, whereupon the previous organizational form of Company shall cease, and the Company will continue its existence in the organizational form of a Delaware corporation. |
|
b) |
At the Effective Time, by virtue of the Conversion and without any further action on the part of the Company or its stockholders, the Converted Entity shall, for all purposes of the laws of the State of Delaware be deemed to be the same entity as the Company. At the Effective Time, by virtue of the Conversion and without any further action of the part of the Company or its stockholders, for all purposes of the laws of the State of Delaware, all of the rights, privileges, and powers of the Company, and all property, whether real, personal or mixed, and all debts due to the Company, as well as all other things and causes of action belonging to the Company, shall remain vested in the Converted Entity and shall be the property of the Converted Entity and the title to any real property vested by deed or otherwise in the Company shall not revert or in any way be impaired by reason of the Conversion; but all rights of creditors and all liens upon any property of the Company shall be preserved unimpaired, and all debts, liabilities, and duties of the Company shall remain attached to the Converted Entity at the Effective Time, and may be enforced against the Converted Entity to the same extent as if said debts, liabilities, and duties had been originally incurred or contracted by the Converted Entity in its capacity as a corporation of the State of Delaware. The rights, privileges, powers, and interests in property of the Company, as well as the debts, liabilities, and duties of the Company, shall not be deemed, as a consequence of the Conversion, to have been transferred to the Converted Entity at the Effective Time for any purpose of the laws of the State of Delaware. |
|
c) |
The Company shall not be required to wind up its affairs or pay its liabilities and distribute its assets, and the Conversion shall not be deemed to constitute a dissolution of the Company and shall constitute a continuation of the existence of the Company in the form of a Delaware corporation. The Converted Entity is the same entity as the Company. The Conversion shall not be deemed to effect any obligations or liabilities of the Company incurred prior to the Effective Time or the personal liability of any person incurred prior to the Effective Time. |
|
d) |
At the Effective Time, the name of the Converted Entity shall be “National Research Corporation” and it will be subject to all provisions of the DGCL, except that notwithstanding Section 106 of the DGCL, the existence of the Converted Entity shall be deemed to have commenced on the date the Company commenced its existence in the State of Wisconsin (September 8, 1997). |
|
2. |
Filings. As promptly as practicable following the date hereof, the Company shall cause the Conversion to be effective by: |
|
a) |
Executing and filing (or causing to be executed and filed) a Certificate of Conversion pursuant to Section 180.1161 of the WBCL substantially in the form set forth in Exhibit A attached hereto with the Wisconsin Department of Financial Institutions; |
|
b) |
Executing and filing (or causing to be executed and filed) a Certificate of Conversion pursuant to Section 265 of the DGCL substantially in the form set forth in Exhibit B attached hereto (the “Delaware Certificate of Conversion”) with the Secretary of State of the State of Delaware; and |
|
c) |
Executing, acknowledging, and filing (or causing to be executed, acknowledged, or filed) a Certificate of Incorporation of National Research Corporation substantially in the form set forth in Exhibit C attached hereto (the “Delaware Certificate of Incorporation”) with the Secretary of State of the State of Delaware. |
|
3. |
Effective Time. The Conversion shall become effective at 5:01 p.m. Eastern Standard Time upon the filing the Delaware Certificate of Conversion and Delaware Certificate of Incorporation with the Secretary of State of the State of Delaware (the time of the effectiveness of the Conversion, the “Effective Time”). |
|
4. |
Effect of Conversion on Common Stock. Subject to the terms and conditions of this Plan, at the Effective Time, by virtue of the Conversion and without any further action on the part of the Company or its stockholders, each share of common stock in the Company, par value $.001 per share (the “Company Common Stock”) issued and outstanding immediately prior to the Effective Time shall automatically be converted into one share of common stock in the Converted Entity, par value $.001 per share (the “Converted Entity Common Stock”). |
|
5. |
Effect of Conversion on Stock Options, Warrants, and Other Rights to Acquire Shares of Common Stock. Subject to the terms and conditions of this Plan, at the Effective Time, by virtue of the Conversion and without any further action on the part of the Company or its stockholders, each option, warrant, and other right to acquire shares of the Company Common Stock outstanding immediately prior to the Effective Time shall automatically be converted into an equivalent option, warrant, or other right to acquire, as applicable, upon the same terms and conditions (including, without limitation, the exercise price per share applicable to such option, warrant, or other right to acquire) as were in effect immediately prior to the Effective Time, to the same number of shares of Converted Entity Common Stock. |
|
6. |
Effect of Conversion on Employee Benefit, Incentive Compensation, or Other Similar Plans. Subject to the terms and conditions of this Plan, at the Effective Time, by virtue of the Conversion and without any further action on the part of the Company or its stockholders, each employee benefit plan, incentive compensation plan, or other similar plan to which the Company is a party shall automatically continue to be a plan of the Converted Entity. To the extent that any such plan provides for the issuance of Company Common Stock, at the Effective Time, such plan shall be deemed to provide for the issuance of Converted Entity Common Stock. A number of shares of Converted Entity Common Stock shall be reserved for issuance under any such plan equal to the number of shares of Company Common Stock so reserved immediately prior to the Effective Time. |
|
7. |
Effect of Conversion on Stock Certificates. The holders of the Company Common Stock will not be required to exchange their stock certificates for new stock certificates of the Converted Entity. Following the Effective Time, any stock certificates of the Company submitted to the Converted Entity for transfer, whether pursuant to a sale or otherwise, will automatically be exchanged for the stock certificates of the Converted Entity. The holders of the Company Common Stock should not destroy any stock certificate(s) and should not submit any certificate(s) to the Company or the Converted Entity unless and until requested to do so. |
|
8. |
Effect of Conversion on Directors and Officers. The members of the Board and the officers of the Company immediately prior to the Effective Time shall continue in office following the Effective Time as the directors and officers of the Converted Entity, respectively, until the expiration of their respective terms of office and until their successors have been duly elected and qualified, or until their earlier death, resignation or removal. |
|
9. |
Termination. At any time prior to the Effective Time and notwithstanding the approval of this Plan by the stockholders of the Company, this Plan may be terminated and the Conversion may be abandoned by an action of the Board. In the event of the termination of this Plan in accordance with its terms, this Plan will be void and have no force or effect, without any liability or obligation on the part of the Company. |
|
10. |
Amendment. The Board may amend this Plan at any time prior to the approval of this Plan by the stockholders of the Company. Notwithstanding the foregoing, this Plan may be amended or modified by the Board at any time prior to the Effective Time, provided that such amendment shall not change (a) the amount or kind of shares or other securities to be received hereunder by the stockholders of the Company, (b) any term of the Certificate of Incorporation or the Bylaws of the Converted Entity, other than changes permitted to be made without stockholder approval by the DGCL, or (c) any of the terms and conditions of this Plan if such alteration or change would adversely affect the stockholders of the Company. This Plan may not be amended except by an instrument in writing signed by the Company. |
|
11. |
Filings, Licenses, Permits, Titled Property, Etc. As necessary, following the Effective Time, the Converted Entity shall apply for new qualifications to conduct business (including as a foreign corporation), licenses, permits and similar authorizations on its behalf and in its own name in connection with the Conversion and to reflect the fact that it is a corporation duly formed and validly existing under the laws of the State of Delaware. As required or appropriate, following the Effective Time, all real, personal or intangible property of the Converted Entity which was titled or registered in the name of the Company shall be re-titled or re-registered, as applicable, in the name of the Converted Entity by appropriate filings or notices to the appropriate party (including, without limitation, any applicable governmental agencies). |
|
12. |
Further Assurances. If, at any time after the Effective Time, the Converted Entity shall determine or be advised that any deeds, bills of sale, assignments, agreements, documents or assurances or any other acts or things are necessary, desirable or proper, consistent with the terms of this Plan, (a) to vest, perfect or confirm, of record or otherwise, in the Converted Entity its right, title or interest in, to or under any of the rights, privileges, immunities, powers, purposes, franchises, properties or assets of the Company, or (b) to otherwise carry out the purposes of this Plan, the Converted Entity, its officers and directors and the designees of its officers and directors, are hereby authorized to solicit in the name of the Converted Entity any third-party consents or other documents required to be delivered by any third-party, to execute and deliver, in the name and on behalf of the Converted Entity all such deeds, bills of sale, assignments, agreements, documents and assurances and do, in the name and on behalf of the Converted Entity, all such other acts and things necessary, desirable or proper to vest, perfect or confirm its right, title or interest in, to or under any of the rights, privileges, immunities, powers, purposes, franchises, properties or assets of the Company and otherwise to carry out the purposes of this Plan. |
|
13. |
Delaware Bylaws. To the fullest extent permitted by law, at the Effective Time, the bylaws of the Converted Entity shall be substantially in the form attached hereto as Exhibit D (the “Delaware Bylaws”), and the Converted Entity’s board of directors shall approve and ratify the Delaware Bylaws as promptly as practicable following the Effective Time. |
|
14. |
Third Party Beneficiaries. This Plan shall not confer any rights or remedies upon any person other than as expressly provided herein. |
|
15. |
Implementation and Interpretation. This Plan shall be implemented and interpreted, prior to the Effective Time, by the Board and, upon the Effective Time, by the board of directors of the Converted Entity, (a) each of which shall have full power and authority to delegate and assign any matters covered hereunder to any other party(ies), including, without limitation, any officers of the Company or the Converted Entity, as the case may be, and (b) the interpretations and decisions of which shall be final, binding and conclusive on all parties. |
|
16. |
Severability. Whenever possible, each provision of this Plan will be interpreted in such manner as to be effective and valid under applicable law, but if any provision of this Plan is held to be prohibited by or invalid under applicable law, such provision will be ineffective only to the extent of such prohibition or invalidity, without invalidating the remainder of this Plan. |
|
17. |
Governing Law. This Plan shall be construed in accordance with and governed by the laws of the State of Delaware, without regard to the conflict of law provisions thereof. |
[Remainder of Page Intentionally Left Blank]
IN WITNESS WHEREOF, the Company has caused this Plan of Conversion to be duly executed as of the date first above written.
|
|
National Research Corporation |
|
|
| a Wisconsin corporation | |||
|
|
|
|
|
|
|
|
|
|
|
|
By: |
|
|
|
|
Name: Kevin R. Karas |
|
|
|
Title: Senior Vice President Finance, Chief Financial Officer, Treasurer and Secretary |
|||





CERTIFICATE OF INCORPORATION
OF
NATIONAL RESEARCH CORPORATION
(Effective [•], 2021)
ARTICLE 1
NAME
The name of the corporation is National Research Corporation (the “Corporation”).
ARTICLE 2
REGISTERED OFFICE; REGISTERED AGENT
The address of the Corporation’s registered office in the State of Delaware is Corporation Trust Center, 1209 Orange Street, Wilmington, Delaware 1980. The name of the registered agent at such address is The Corporation Trust Company.
ARTICLE 3
PURPOSE
The purpose of the Corporation is to engage in any lawful act or activity for which corporations may be organized under the General Corporation Law of the State of Delaware (the “DGCL”).
ARTICLE 4
AUTHORIZED CAPITAL
The aggregate number of shares which the Corporation shall have the authority to issue is One Hundred-Twelve Million (112,000,000) shares, consisting of: (i) One Hundred-Ten Million (110,000,000) shares of a class designated as “Common Stock,” with a par value of $.001 per share; and (ii) Two Million (2,000,000) shares of a class designated as “Preferred Stock,” with a par value of $.01 per share.
The designation, relative rights, preferences and limitations of the shares of each class and the authority of the Board of Directors of the Corporation to establish and to designate series of Preferred Stock and to fix variations in the relative rights, preferences and limitations as between such series, shall be as set forth herein.
|
A. |
Preferred Stock. |
(1) Series and Variations Between Series. The Board of Directors of the Corporation is authorized, to the full extent permitted under the DGCL and the provisions of this Section A, to provide for the issuance of the Preferred Stock in series, each of such series to be distinctively designated, and to have such redemption rights, dividend rights, rights on dissolution or distribution of assets, conversion or exchange rights, voting powers, designations, preferences and relative participating, optional or other special rights, if any, and such qualifications, limitations or restrictions thereof as shall be provided by the Board of Directors of the Corporation consistent with the provisions of this Article 4.
(2) Dividends. Before any dividends shall be paid or set apart for payment upon shares of Common Stock, the holders of each series of Preferred Stock shall be entitled to receive dividends at the rate (which may be fixed or variable) and at such times as specified in the particular series. The holders of shares of Preferred Stock shall have no rights to participate with the holders of shares of Common Stock in any distribution of dividends in excess of the preferential dividends, if any, fixed for such Preferred Stock.
(3) Liquidation Rights. In the event of any voluntary or involuntary liquidation, dissolution or winding up of the Corporation, the holders of shares of each series of Preferred Stock shall be entitled to receive out of the assets of the Corporation in money or money’s worth the preferential amount, if any, specified in the particular series for each share at the time outstanding together with all accrued but unpaid dividends thereon, before any of such assets shall be paid or distributed to holders of Common Stock. The holders of Preferred Stock shall have no rights to participate with the holders of Common Stock in the assets of the Corporation available for distribution to stockholders in excess of the preferential amount, if any, fixed for such Preferred Stock.
(4) Voting Rights. The holders of Preferred Stock shall have only such voting rights as are fixed for shares of each series by the Board of Directors pursuant to this Section A or are provided, to the extent applicable, by the DGCL.
|
B. |
Common Stock |
(1) Voting Rights. Except as otherwise provided by the DGCL, and except as may be determined by the Board of Directors with respect to the Preferred Stock pursuant to Section A of this Article 4, only the holders of Common Stock shall be entitled to vote for the election of directors of the Corporation and for all other corporate purposes. Upon any such vote the holders of Common Stock shall, except as otherwise provided by law, be entitled to one vote for each share of Common Stock held by them respectively.
(2) Dividends. Subject to the provisions of this Article 4, the Board of Directors of the Corporation may, in its sole discretion, out of funds legally available for the payment of dividends and at such times and in such manner as determined by the Board of Directors, declare and pay dividends or other distributions on the Common Stock.
(3) Liquidation Rights. In the event of any voluntary or involuntary liquidation, dissolution or winding up of the Corporation, after there shall have been paid to or set aside for the holders of Preferred Stock the full preferential amounts, if any, to which they are entitled, the holders of outstanding shares of Common Stock shall be entitled to receive pro rata, according to the number of shares held by each, the remaining assets of the Corporation available for distribution to the holders of Common Stock.
C. Preemptive Rights. No holder of shares of any class of capital stock of the Corporation shall have any preferential or preemptive right to acquire unissued shares of capital stock of the Corporation or securities convertible into such shares or conveying a right to subscribe for or acquire shares.
ARTICLE 5
BYLAWS
In furtherance and not in limitations of the powers conferred by the DGCL, the Board of Directors is expressly authorized to make, alter, amend, change, add to, rescind or repeal, in whole or in part, the bylaws of the Corporation (as the same may be amended and/or restated from time to time, the “Bylaws”) without the assent or vote of the stockholders in any manner not inconsistent with the laws of the State of Delaware or this Certificate of Incorporation.
ARTICLE 6
BOARD OF DIRECTORS
A. General Powers, Number, Classification and Tenure of Directors. The general powers, number, classification, tenure and qualifications of the directors of the Corporation shall be as set forth in Sections 3.01 and 3.02 of Article III of the Bylaws of the Corporation (and as such Sections shall exist from time to time). Such Sections 3.01 and 3.02 of the Bylaws, or any provision thereof, may only be amended, altered, changed or repealed by the affirmative vote of stockholders holding at least sixty-six and two-thirds percent (66-2/3%) of the voting power of the then outstanding shares of all classes of capital stock of the Corporation generally possessing the voting rights in the election of directors, considered for this purpose as a single class; provided, however, that the Board of Directors, by resolution adopted by the Requisite Vote (as hereinafter defined), may amend, alter, change or repeal Sections 3.01 and 3.02 of the Bylaws, or any provision thereof, without a vote of the stockholders. As used herein, the term “Requisite Vote” shall mean the affirmative vote of at least two-thirds of the directors then in office plus one director, but in no case more than all of the directors then in office.
B. Removal of Directors. Any director may be removed from office for cause by the affirmative vote of holders of at least sixty-six and two-thirds percent (66-2/3%) of the voting power of the then outstanding shares of stock of the voting group of stockholders that elected the director to be removed; provided, however, that if the Board of Directors by resolution adopted by the Requisite Vote shall have recommended removal of a director, then the stockholders may remove such director from office without cause by a majority vote of such outstanding shares.
C. Vacancies. Any vacancy occurring in the Board of Directors, including a vacancy created by the removal of a director or an increase in the number of directors, shall be filled by the affirmative vote of a majority of the directors then in office, although less than a quorum of the Board of Directors; provided, however, that if the vacant office was held by a director elected by a voting group of stockholders, only the remaining directors elected by that voting group shall fill the vacancy. For purposes of this Article 6, a director elected by directors to fill a vacant office pursuant to this Section C shall be deemed to be a director elected by the same voting group of stockholders that elected the director(s) who voted to fill the vacancy. Any director elected pursuant to this Section C shall serve until the next election of the class for which such director shall have been chosen and until his or her successor shall be elected and qualified.
D. Amendments.
(1) Notwithstanding any other provision of this Certificate of Incorporation, the provisions of this Article 6 may be amended, altered, changed or repealed only by the affirmative vote of stockholders holding at least sixty-six and two-thirds percent (66-2/3%) of the voting power of the then outstanding shares of all classes of capital stock of the Corporation generally possessing voting rights in the election of directors, considered for this purpose as a single class.
(2) Notwithstanding the foregoing and any provisions in the Bylaws of the Corporation, whenever the holders of any one or more series of Preferred Stock issued by the Corporation pursuant to Article 4 hereof shall have the right, voting separately as a class or by series, to elect directors at an annual or special meeting of stockholders, the election, term of office, filling of vacancies and other features of such directorships shall be governed by the terms of the series of Preferred Stock applicable thereto, and such directors so elected shall not be divided into classes unless expressly provided by the terms of the applicable series.
ARTICLE 7
STOCKHOLDER ACTION BY WRITTEN CONSENT
Any action required or permitted by this Certificate of Incorporation or the Bylaws of the Corporation or any provision of the DGCL to be taken at an Annual Meeting or Special Meeting of Stockholders may be taken without a meeting if a written consent or consents, describing the action so taken, is signed by all of the stockholders entitled to vote with respect to the subject matter thereof and delivered to the Corporation for inclusion in the corporation records.
ARTICLE 8
LIMITATION ON LIABILITY
To the fullest extent permitted by the DGCL, a director of the Corporation shall not be personally liable to the Corporation or its stockholders for monetary damages for breach of fiduciary duty as a director except for liability (i) for any breach of the director’s duty of loyalty to the Corporation or its stockholders, (ii) for acts or omissions not in good faith or which involve intentional misconduct or a knowing violation of law, (iii) under Section 174 of the DGCL, or (iv) for any transaction from which the director derived an improper personal benefit. If the DGCL is amended after the filing of the Certificate of Incorporation of which this Section A is a part to authorize corporate action further eliminating or limiting the personal liability of directors, then the liability of a director of the Corporation shall be eliminated or limited to the fullest extent permitted by the DGCL, as so amended.
Neither any amendment nor repeal of this Article 8, nor adoption of any provision of the Corporation’s Certificate of Incorporation inconsistent with this Article 8, shall eliminate or reduce the effect of this Article 8 in respect of any matter occurring, or any cause of action, suit or proceeding accruing or arising that, but for this Article 8, would accrue or arise, prior to such amendment, repeal or adoption of an inconsistent provision.
ARTICLE 9
DGCL SECTION 203
The Corporation hereby expressly elects not to be governed by Section 203 of the DGCL.
ARTICLE 10
BOOKS AND RECORDS
The books and records of the Corporation may be kept, subject to the DGCL, outside the State of Delaware at such place or places as may be designated from time to time by the Board of Directors or in the Bylaws of the Corporation. Elections of directors need not be by written ballot unless the Bylaws of the Corporation shall so provide.
ARTICLE 11
AMENDMENTS
Subject to the provisions hereof, the Corporation reserves the right to amend, alter, change or repeal any provision contained in this Certificate of Incorporation, in the manner now or hereafter prescribed by statute, and all rights conferred upon stockholders herein are granted subject to this reservation.
ARTICLE 12
INCORPORATOR
The name and mailing address of the Incorporator are as follows:
The incorporator is Kevin R. Karas, whose address is 1245 Q Street, Lincoln, Nebraska 68508.
[Remainder of page intentionally left blank.]
I, THE UNDERSIGNED, being the Incorporator hereinbefore named, for the purpose of forming a corporation pursuant to the General Corporation Law of the State of Delaware, do make, file and record this Certificate of Incorporation, hereby declaring and certifying that the facts herein stated are true and, accordingly, have hereunto set my hand this [●] day of [●], 2021.
|
Kevin R. Karas |
|
|
Sole Incorporator |
BYLAWS
OF
NATIONAL RESEARCH CORPORATION
(a Delaware corporation)
As amended through
[●], 2021
ARTICLE I. OFFICES
1.01 Principal and Business Offices. The Corporation may have such principal and other business offices, either within or without the State of Delaware, as the Board of Directors may designate or as the business of the Corporation may require from time to time.
1.02 Registered Office. The registered office of the Corporation required by the General Corporation Law of the State of Delaware (the “DGCL”) to be maintained in the State of Delaware may be, but need not be, identical with the principal office in the State of Delaware, and the address of the registered office may be changed from time to time by the Board of Directors or by the registered agent. The business office of the registered agent of the Corporation shall be identical to such registered office.
ARTICLE II. STOCKHOLDERS
2.01 Annual Meeting. The annual meeting of the stockholders (the “Annual Meeting”), commencing with the Annual Meeting in 1998, shall be held on the second Wednesday in April of each year, or at such other time and date as may be fixed by resolution of the Board of Directors. In fixing a meeting date for any Annual Meeting, the Board of Directors may consider such factors as it deems relevant within the good faith exercise of its business judgment. At each Annual Meeting, the stockholders shall elect that number of directors equal to the number of directors in the class whose term expires at the time of such meeting. At any such Annual Meeting, only other business properly brought before the meeting in accordance with Section 2.14 of these Bylaws may be transacted. If the election of directors shall not be held on the date designated herein, or fixed as herein provided, for any Annual Meeting, or any adjournment thereof, the Board of Directors shall cause the election to be held at a special meeting of stockholders (a “Special Meeting”) as soon thereafter as is practicable.
2.02 Special Meetings.
(a) A Special Meeting may be called only by (i) the Chief Executive Officer, (ii) the President or (iii) the Board of Directors and shall be called by the Corporation upon the demand, in accordance with this Section 2.02, of the holders of record of shares representing at least 10% of all the votes entitled to be cast on any issue proposed to be considered at the Special Meeting.
(b) In order that the Corporation may determine the stockholders entitled to demand a Special Meeting, the Board of Directors may fix a record date to determine the stockholders entitled to make such a demand (the “Demand Record Date”). The Demand Record Date shall not precede the date upon which the resolution fixing the Demand Record Date is adopted by the Board of Directors and shall not be more than ten days after the date upon which the resolution fixing the Demand Record Date is adopted by the Board of Directors. Any stockholder of record seeking to have stockholders demand a Special Meeting shall, by sending written notice to the Secretary of the Corporation by hand or by certified or registered mail, return receipt requested, request the Board of Directors to fix a Demand Record Date. The Board of Directors shall promptly, but in all events within ten days after the date on which a valid request to fix a Demand Record Date is received, adopt a resolution fixing the Demand Record Date and shall make a public announcement of such Demand Record Date. If no Demand Record Date has been fixed by the Board of Directors within ten days after the date on which such request is received by the Secretary, the Demand Record Date shall be the 10th day after the first date on which a valid written request to set a Demand Record Date is received by the Secretary. To be valid, such written request shall set forth the purpose or purposes for which the Special Meeting is to be held, shall be signed by one or more stockholders of record (or their duly authorized proxies or other representatives), shall bear the date of signature of each such stockholder (or proxy or other representative) and shall set forth all information about each such stockholder and about the beneficial owner or owners, if any, on whose behalf the request is made that would be required to be set forth in a stockholder’s notice described in paragraph (a) (ii) of Section 2.14 of these Bylaws.
(c) In order for a stockholder or stockholders to demand a Special Meeting, a written demand or demands for a Special Meeting by the holders of record as of the Demand Record Date of shares representing at least 10% of all the votes entitled to be cast on any issue proposed to be considered at the Special Meeting must be delivered to the Corporation. To be valid, each written demand by a stockholder for a Special Meeting shall set forth the specific purpose or purposes for which the Special Meeting is to be held (which purpose or purposes shall be limited to the purpose or purposes set forth in the written request to set a Demand Record Date received by the Corporation pursuant to paragraph (b) of this Section 2.02), shall be signed by one or more persons who as of the Demand Record Date are stockholders of record (or their duly authorized proxies or other representatives), shall bear the date of signature of each such stockholder (or proxy or other representative), and shall set forth the name and address, as they appear in the Corporation’s books, of each stockholder signing such demand and the class and number of shares of the Corporation which are owned of record and beneficially by each such stockholder, shall be sent to the Secretary by hand or by certified or registered mail, return receipt requested, and shall be received by the Secretary within seventy days after the Demand Record Date.
(d) Except as provided in the following sentence, any Special Meeting shall be held at such hour and day as may be designated by whichever of the the Chief Executive Officer, President or the Board of Directors shall have called such meeting. In the case of any Special Meeting called by the President upon the demand of stockholders (a “Demand Special Meeting”), such meeting shall be held at such hour and day as may be designated by the Board of Directors; provided , however, that the date of any Demand Special Meeting shall not be more than sixty days nor less than ten days after the Meeting Record Date (as defined in Section 2.06 hereof); and provided further that in the event that the directors then in office fail to designate an hour and date for a Demand Special Meeting within ten days after the date that valid written demands for such meeting by the holders of record as of the Demand Record Date of shares representing at least 10% of all the votes entitled to be cast on each issue proposed to be considered at the Special Meeting are delivered to the Corporation (the “Delivery Date”), then such meeting shall be held at 2:00 P.M. local time on the 100th day after the Delivery Date or, if such 100th day is not a Business Day (as defined below), on the first preceding Business Day. In fixing a meeting date for any Special Meeting, the Chief Executive Officer, the President or the Board of Directors may consider such factors as he, she or it deems relevant within the good faith exercise of his, her or its business judgment, including, without limitation, the nature of the action proposed to be taken, the facts and circumstances surrounding any demand for such meeting, and any plan of the Board of Directors to call an Annual Meeting or a Special Meeting for the conduct of related business.
(e) The Corporation may engage regionally or nationally recognized independent inspectors of elections to act as an agent of the Corporation for the purpose of promptly performing a ministerial review of the validity of any purported written demand or demands for a Special Meeting received by the Secretary. For the purpose of permitting the inspectors to perform such review, no purported demand shall be deemed to have been delivered to the Corporation until the earlier of (i) five Business Days following receipt by the Secretary of such purported demand and (ii) such date as the independent inspectors certify to the Corporation that the valid demands received by the Secretary represent at least 10% of all the votes entitled to be cast on each issue proposed to be considered at the Special Meeting. Nothing contained in this paragraph (f) shall in any way be construed to suggest or imply that the Board of Directors or any stockholder shall not be entitled to contest the validity of any demand, whether during or after such five Business Day period, or to take any other action (including, without limitation, the commencement, prosecution or defense of any litigation with respect thereto).
(f) For purposes of these Bylaws, “Business Day” shall mean any day other than a Saturday, a Sunday or a day on which banking institutions in the State of Delaware are authorized or obligated by law or executive order to close.
2.03 Place of Meeting. The Board of Directors, the Chief Executive Officer or the President may designate any place, either within or without the State of Delaware, as the place of meeting for an Annual Meeting or Special Meeting, or no place if the meeting is to be held solely by means of remote communication. The Board of Directors may, in its sole discretion, determine that a meeting of the stockholders shall not be held at any place, but may instead be held solely by means of remote communication in accordance with the applicable provisions of the DGCL. If no designation is made, the place of meeting shall be the principal office of the Corporation. Any meeting may be adjourned to reconvene at any place, or by means of remote communication, designated by vote of the Board of Directors or by the President or the Secretary.
2.04 Notice of Meeting. Written notice stating the date, time and place, if any, of any meeting of stockholders shall be delivered not less than ten days nor more than sixty days before the date of the meeting (unless a different time period is provided by the DGCL or the Certificate of Incorporation), either personally or by mail, by or at the direction of the Chief Executive Officer, the President or the Secretary, to each stockholder of record entitled to vote at such meeting and to such other persons as required by the DGCL. If the Board of Directors has authorized participation by means of remote communication the notice shall also describe the means of remote communication to be used. In the event of any Demand Special Meeting, such notice of meeting shall be sent not more than thirty days after the Delivery Date. If mailed, notice pursuant to this Section 2.04 shall be deemed to be effective when deposited in the United States mail, addressed to the stockholder at his or her address as it appears on the stock record books of the Corporation, with postage thereon prepaid. Unless otherwise required by the DGCL or the Certificate of Incorporation, a notice of an Annual Meeting need not include a description of the purpose for which the meeting is called. In the case of any Special Meeting, (a) the notice of meeting shall describe any business that the Board of Directors shall have theretofore determined to bring before the meeting and (b) in the case of a Demand Special Meeting, the notice of meeting (i) shall describe any business set forth in the statement of purpose of the demands received by the Corporation in accordance with Section 2.02 of these Bylaws and (ii) shall contain all of the information required in the notice received by the Corporation in accordance with Section 2.14(b) of these Bylaws. If an Annual Meeting or Special Meeting is adjourned to a different date, time or place, or will be held by new means of remote communication, the Corporation shall not be required to give notice of the new date, time, place, or means of remote communication if the new date, time, place, or means of remote communication is announced at the meeting before adjournment; provided, however, that if a new Meeting Record Date for an adjourned meeting is or must be fixed, the Corporation shall give notice of the adjourned meeting to persons who are stockholders as of the new Meeting Record Date.
2.05 Waiver of Notice. A stockholder may waive any notice required by the DGCL, the Certificate of Incorporation or these Bylaws before or after the date and time stated in the notice. The waiver shall be in writing and signed by the stockholder entitled to the notice, contain the same information that would have been required in the notice under applicable provisions of the DGCL (except that the time and place of meeting need not be stated) and be delivered to the Corporation for inclusion in the corporate records. A stockholder’s attendance at any Annual Meeting or Special Meeting, in person or by proxy, waives objection to all of the following: (a) lack of notice or defective notice of the meeting, unless the stockholder at the beginning of the meeting or promptly upon arrival objects to holding the meeting or transacting business at the meeting; and (b) consideration of a particular matter at the meeting that is not within the purpose described in the meeting notice, unless the stockholder objects to considering the matter when it is presented.
2.06 Fixing of Record Date. The Board of Directors may fix in advance a date not less than ten days and not more than sixty days prior to the date of an Annual Meeting or Special Meeting as the record date for the determination of stockholders entitled to notice of, or to vote at, such meeting (the “Meeting Record Date”). In the case of any Demand Special Meeting, (i) the Meeting Record Date shall be not later than the 30th day after the Delivery Date and (ii) if the Board of Directors fails to fix the Meeting Record Date within thirty days after the Delivery Date, then the close of business on such 30th day shall be the Meeting Record Date. The stockholders of record on the Meeting Record Date shall be the stockholders entitled to notice of and to vote at the meeting. Except as provided by the DGCL for a court-ordered adjournment, a determination of stockholders entitled to notice of and to vote at an Annual Meeting or Special Meeting is effective for any adjournment of such meeting unless the Board of Directors fixes a new Meeting Record Date, which it shall do if the meeting is adjourned to a date more than 120 days after the date fixed for the original meeting. The Board of Directors may also fix in advance a date as the record date for the purpose of determining stockholders entitled to take any other action or determining stockholders for any other purpose. Such record date shall be not more than sixty days prior to the date on which the particular action, requiring such determination of stockholders, is to be taken. The record date for determining stockholders entitled to a distribution (other than a distribution involving a purchase, redemption or other acquisition of the Corporation’s shares) or a share dividend is the date on which the Board of Directors authorizes the distribution or share dividend, as the case may be, unless the Board of Directors fixes a different record date.
2.07 Stockholders’ List for Meetings. After a Meeting Record Date has been fixed, the Corporation shall prepare a list of the names of all of the stockholders entitled to notice of the meeting. The list shall be arranged by class or series of shares, if any, and show the address of and number of shares held by each stockholder. Such list shall be available for inspection by any stockholder, beginning ten days prior to the date of the meeting and continuing to the date of the meeting, at the Corporation’s principal office or at a place identified in the meeting notice in the city where the meeting will be held. A stockholder or his, her or its agent may, on written demand, inspect and, subject to the limitations imposed by the DGCL, copy the list, during regular business hours and at his, her or its expense, during the period that it is available for inspection pursuant to this Section 2.07. The Corporation shall make the stockholders’ list available at the meeting and any stockholder or his, her or its agent or attorney may inspect the list at any time during the meeting or any adjournment thereof. Refusal or failure to prepare or make available the stockholders’ list shall not affect the validity of any action taken at a meeting of stockholders.
2.08 Quorum and Voting Requirements; Postponements; Adjournments.
(a) Shares entitled to vote as a separate voting group may take action on a matter at any Annual Meeting or Special Meeting only if a quorum of those shares exists with respect to that matter. If the Corporation has only one class of stock outstanding, such class shall constitute a separate voting group for purposes of this Section 2.08. Except as otherwise provided in the Certificate of Incorporation or the DGCL, a majority of the votes entitled to be cast on the matter shall constitute a quorum of the voting group for action on that matter. Once a share is represented for any purpose at any Annual Meeting or Special Meeting, other than for the purpose of objecting to holding the meeting or transacting business at the meeting, it is considered present for purposes of determining whether a quorum exists for the remainder of the meeting and for any adjournment of that meeting unless a new Meeting Record Date is or must be set for the adjourned meeting. If a quorum exists, except in the case of the election of directors, action on a matter shall be approved if the votes cast within the voting group favoring the action exceed the votes cast opposing the action, unless the Certificate of Incorporation, these Bylaws or the DGCL requires a greater number of affirmative votes. Unless otherwise provided in the Certificate of Incorporation, each nominee for director shall be elected to the Board of Directors by a majority of the votes cast by the shares entitled to vote in the election of directors at an Annual Meeting or Special Meeting at which a quorum is present, if the election is not a contested election. A nominee receives a majority of the votes cast if the votes “for” such nominee’s election exceed the votes “against” such nominee’s election. However, a nominee for director shall be elected by a plurality of the votes cast in any contested election for directors. A contested election is an election in which the number of nominees seeking election is more than the number of directors to be elected.
(i) Following any uncontested election, any incumbent director who was a nominee and who did not receive a majority of the votes cast by the shares entitled to vote in the election of directors shall promptly tender his or her offer of resignation to the Board of Directors for consideration by the Board of Directors if such director has not previously submitted a conditional offer of resignation. A recommendation on whether or not to accept such resignation offer shall be made by a committee of independent directors that has been delegated responsibility of recommending nominees for director appointment or election to the Board of Directors, or (A) if each member of such committee did not receive the required majority vote or (B) if no such committee has been appointed, a majority of the Board of Directors shall appoint a special committee of independent directors for such purpose of making a recommendation to the Board (the “Nominating Committee”). If no independent directors received the required majority vote, the Board of Directors shall act on the resignation offers.
Within 60 days following certification of the stockholder vote, the Nominating Committee shall recommend to the Board of Directors the action to be taken with respect to such offer of resignation. In determining whether or not to recommend that the Board of Directors accept any resignation offer, the Nominating Committee shall be entitled to consider all factors believed relevant by such Committee’s members, including without limitation: (1) any stated reasons for the director not receiving the required majority vote and whether the underlying cause or causes are curable; (2) the factors, if any, set forth in the guidelines or other policies that are to be considered by the Nominating Committee in evaluating potential candidates for the Board of Directors as such factors relate to each director who has so offered his or her resignation; (3) the length of service of such director, (4) the effect of such resignation on the Corporation’s compliance with any law, rule, regulation, stock exchange listing standards, or contractual obligations, (5) such director’s contributions to the Corporation, and (6) any other factors that the Nominating Committee believes are in the best interest of the Corporation.
The Board of Directors shall act on the Nominating Committee’s recommendation and publicly disclose the decision and reasons therefor, by a press release, a filing with the Securities and Exchange Commission or other broadly disseminated means of communication, within 90 days following certification of the stockholder vote. In determining whether or not to accept any resignation offer, the Board of Directors shall take into account the factors considered by the Nominating Committee and any additional information and factors that the Board of Directors believes to be relevant.
(ii) If any director’s resignation offer is not accepted by the Board of Directors, such director shall continue to serve until the third succeeding Annual Meeting and his or her successor is duly elected and qualified, or until the director’s earlier death, resignation or removal. If a director’s resignation is accepted by the Board pursuant to this Section 2.08, or if a nominee for director is not elected and the nominee is not an incumbent director, then the Board of Directors, in its sole discretion, may fill any resulting vacancy pursuant to the provisions of Section 3.09 or may decrease the size of the Board of Directors pursuant to Section 3.01.
(b) The Board of Directors acting by resolution may postpone and reschedule any previously scheduled Annual Meeting or Special Meeting; provided, however, that a Demand Special Meeting shall not be postponed beyond the 100th day following the Delivery Date. Any Annual Meeting or Special Meeting may be adjourned from time to time, whether or not there is a quorum, (i) at any time, upon a resolution by stockholders if the votes cast in favor of such resolution by the holders of shares of each voting group entitled to vote on any matter theretofore properly brought before the meeting exceed the number of votes cast against such resolution by the holders of shares of each such voting group or (ii) at any time prior to the transaction of any business at such meeting, by the President or pursuant to a resolution of the Board of Directors. No notice of the time and place of adjourned meetings need be given except as required by the DGCL. At any adjourned meeting at which a quorum shall be present or represented, any business may be transacted which might have been transacted at the meeting as originally notified.
2.09 Conduct of Meeting. The Chief Executive Officer, and in his or her absence, the President, and in his or her absence, a Vice President in the order provided under Section 4.08 of these Bylaws, and in their absence, any person chosen by the stockholders present shall call any Annual Meeting or Special Meeting to order and shall act as chairperson of the meeting, and the Secretary of the Corporation shall act as secretary of all meetings of the stockholders, but, in the absence of the Secretary, the presiding officer may appoint any other person to act as secretary of the meeting.
2.10 Proxies. At any Annual Meeting or Special Meeting, a stockholder may vote his or her shares in person or by proxy. A stockholder may appoint a proxy to vote or otherwise act for the stockholder by signing an appointment form, either personally or by his or her attorney‑in‑fact. An appointment of a proxy is effective when received by the Secretary or other officer or agent of the Corporation authorized to tabulate votes. An appointment is valid for three years from the date of its signing unless a different period is expressly provided in the appointment form. Unless otherwise provided, a proxy may be revoked at any time before it is voted, either by written notice filed with the Secretary or the acting secretary of the meeting or by notice given by the stockholder to the presiding officer during the meeting. The presence of a stockholder who has filed his or her appointment of proxy shall not itself constitute a revocation. The Board of Directors shall have the power and authority to make rules establishing presumptions as to the validity and sufficiently of proxies.
2.11 Voting of Shares.
(a) Each outstanding share shall be entitled to one vote upon each matter submitted to a vote at an Annual Meeting or Special Meeting, except to the extent that the voting rights of the shares of any class or classes are enlarged, limited or denied by the DGCL or the Certificate of Incorporation.
(b) Shares held by another corporation, if a sufficient number of shares entitled to elect a majority of the directors of such other corporation is held directly or indirectly by this Corporation, shall not be entitled to vote at an Annual Meeting or Special Meeting, but shares held in a fiduciary capacity may be voted.
2.12 Action Without Meeting. Any action required or permitted by the Certificate of Incorporation or these Bylaws or any provision of the DGCL to be taken at an Annual Meeting or Special Meeting may be taken without a meeting if a written consent or consents, describing the action so taken, is signed by all of the stockholders entitled to vote with respect to the subject matter thereof and delivered to the Corporation for inclusion in the corporate records.
2.13 Acceptance of Instruments Showing Stockholder Action. If the name signed on a vote, consent, waiver or proxy appointment corresponds to the name of a stockholder, the Corporation, if acting in good faith, may accept the vote, consent, waiver or proxy appointment and give it effect as the act of a stockholder. If the name signed on a vote, consent, waiver or proxy appointment does not correspond to the name of a stockholder, the Corporation, if acting in good faith, may accept the vote, consent, waiver or proxy appointment and give it effect as the act of the stockholder if any of the following apply:
(a) The stockholder is an entity and the name signed purports to be that of an officer or agent of the entity.
(b) The name purports to be that of a personal representative, administrator, executor, guardian or conservator representing the stockholder and, if the Corporation requests, evidence of fiduciary status acceptable to the Corporation is presented with respect to the vote, consent, waiver or proxy appointment.
(c) The name signed purports to be that of a receiver or trustee in bankruptcy of the stockholder and, if the Corporation requests, evidence of this status acceptable to the Corporation is presented with respect to the vote, consent, waiver or proxy appointment.
(d) The name signed purports to be that of a pledgee, beneficial owner, or attorney‑in‑fact of the stockholder and, if the Corporation requests, evidence acceptable to the Corporation of the signatory’s authority to sign for the stockholder is presented with respect to the vote, consent, waiver or proxy appointment.
(e) Two or more persons are the stockholders as co‑tenants or fiduciaries and the name signed purports to be the name of at least one of the co‑owners and the person signing appears to be acting on behalf of all co‑owners.
The Corporation may reject a vote, consent, waiver or proxy appointment if the Secretary or other officer or agent of the Corporation who is authorized to tabulate votes, acting in good faith, has reasonable basis for doubt about the validity of the signature on it or about the signatory’s authority to sign for the stockholder.
2.14 Notice of Stockholder Business and Nomination of Directors.
(a) Annual Meetings.
(i) Nominations of persons for election to the Board of Directors of the Corporation and the proposal of business to be considered by the stockholders may be made at an Annual Meeting (A) pursuant to the Corporation’s notice of meeting, (B) by or at the direction of the Board of Directors or (C) by any stockholder of the Corporation who is a stockholder of record at the time of giving of notice provided for in this Bylaw and who is entitled to vote at the meeting and complies with the notice procedures set forth in this Section 2.14.
(ii) For nominations or other business to be properly brought before an Annual Meeting by a stockholder pursuant to clause (C) of paragraph (a)(i) of this Section 2.14, the stockholder must have given timely notice thereof in writing to the Secretary of the Corporation. To be timely, a stockholder’s notice shall be received by the Secretary of the Corporation at the principal offices of the Corporation not less than sixty days nor more than ninety days prior to the second Wednesday in the month of April; provided, however, that in the event that the date of the Annual Meeting is advanced by more than thirty days or delayed by more than sixty days from the second Wednesday in the month of April, notice by the stockholder to be timely must be so received not earlier than the 90th day prior to the date of such Annual Meeting and not later than the close of business on the later of (x) the 60th day prior to such Annual Meeting and (y) the 10th day following the day on which public announcement of the date of such meeting is first made. Such stockholder’s notice shall be signed by the stockholder of record who intends to make the nomination or introduce the other business (or his duly authorized proxy or other representative), shall bear the date of signature of such stockholder (or proxy or other representative) and shall set forth: (A) the name and address, as they appear on this Corporation’s books, of such stockholder and the beneficial owner or owners, if any, on whose behalf the nomination or proposal is made; (B) the class and number of shares of the Corporation which are beneficially owned by such stockholder or beneficial owner or owners; (C) a representation that such stockholder is a holder of record of shares of the Corporation entitled to vote at such meeting and intends to appear in person or by proxy at the meeting to make the nomination or introduce the other business specified in the notice; (D) in the case of any proposed nomination for election or re-election as a director, (I) the name and residence address of the person or persons to be nominated, (II) a description of all arrangements or understandings between such stockholder or beneficial owner or owners and each nominee and any other person or persons (naming such person or persons) pursuant to which the nomination is to be made by such stockholder, (III) such other information regarding each nominee proposed by such stockholder as would be required to be disclosed in solicitations of proxies for elections of directors, or would be otherwise required to be disclosed, in each case pursuant to Regulation 14A under the Exchange Act, including any information that would be required to be included in a proxy statement filed pursuant to Regulation 14A had the nominee been nominated by the Board of Directors and (IV) the written consent of each nominee to be named in a proxy statement and to serve as a director of the Corporation if so elected; and (E) in the case of any other business that such stockholder proposes to bring before the meeting, (I) a brief description of the business desired to be brought before the meeting and, if such business includes a proposal to amend these Bylaws, the language of the proposed amendment, (II) such stockholder’s and beneficial owner’s or owners’ reasons for conducting such business at the meeting and (III) any material interest in such business of such stockholder and beneficial owner or owners.
(iii) Notwithstanding anything in the second sentence of paragraph (a)(ii) of this Section 2.14 to the contrary, in the event that the number of directors to be elected to the Board of Directors of the Corporation is increased and there is no public announcement naming all of the nominees for director or specifying the size of the increased Board of Directors made by the Corporation at least seventy days prior to the second Wednesday in the month of April, a stockholder’s notice required by this Section 2.14 shall also be considered timely, but only with respect to nominees for any new positions created by such increase, if it shall be received by the Secretary at the principal offices of the Corporation not later than the close of business on the 10th day following the day on which such public announcement is first made by the Corporation.
(b) Special Meetings. Only such business shall be conducted at a Special Meeting as shall have been described in the notice of meeting sent to stockholders pursuant to Section 2.04 of these Bylaws. Nominations of persons for election to the Board of Directors may be made at a Special Meeting at which directors are to be elected pursuant to such notice of meeting (i) by or at the direction of the Board of Directors or (ii) by any stockholder of the Corporation who (A) is a stockholder of record at the time of giving of such notice of meeting, (B) is entitled to vote at the meeting and (C) complies with the notice procedures set forth in this Section 2.14. Any stockholder desiring to nominate persons for election to the Board of Directors at such a Special Meeting shall cause a written notice to be received by the Secretary of the Corporation at the principal offices of the Corporation not earlier than ninety days prior to such Special Meeting and not later than the close of business on the later of (x) the 60th day prior to such Special Meeting and (y) the 10th day following the day on which public announcement is first made of the date of such Special Meeting and of the nominees proposed by the Board of Directors to be elected at such meeting. Such written notice shall be signed by the stockholder of record who intends to make the nomination (or his duly authorized proxy or other representative), shall bear the date of signature of such stockholder (or proxy or other representative) and shall set forth: (A) the name and address, as they appear on the Corporation’s books, of such stockholder and the beneficial owner or owners, if any, on whose behalf the nomination is made; (B) the class and number of shares of the Corporation which are beneficially owned by such stockholder or beneficial owner or owners; (C) a representation that such stockholder is a holder of record of shares of the Corporation entitled to vote at such meeting and intends to appear in person or by proxy at the meeting to make the nomination specified in the notice; (D) the name and residence address of the person or persons to be nominated; (E) a description of all arrangements or understandings between such stockholder or beneficial owner or owners and each nominee and any other person or persons (naming such person or persons) pursuant to which the nomination is to be made by such stockholder; (F) such other information regarding each nominee proposed by such stockholder as would be required to be disclosed in solicitations of proxies for elections of directors, or would be otherwise required to be disclosed, in each case pursuant to Regulation 14A under the Exchange Act, including any information that would be required to be included in a proxy statement filed pursuant to Regulation 14A had the nominee been nominated by the Board of Directors; and (G) the written consent of each nominee to be named in a proxy statement and to serve as a director of the Corporation if so elected.
(c) General.
(i) Only persons who are nominated in accordance with the procedures set forth in this Section 2.14 shall be eligible to serve as directors. Only such business shall be conducted at an Annual Meeting or Special Meeting as shall have been brought before such meeting in accordance with the procedures set forth in this Section 2.14. The chairman of the meeting shall have the power and duty to determine whether a nomination or any business proposed to be brought before the meeting was made in accordance with the procedures set forth in this Section 2.14 and, if any proposed nomination or business is not in compliance with this Section 2.14, to declare that such defective proposal shall be disregarded.
(ii) For purposes of this Section 2.14, “public announcement” shall mean disclosure in a press release reported by the Dow Jones News Service, Associated Press or comparable national news service or in a document publicly filed by the Corporation with the Securities and Exchange Commission pursuant to Section 13, 14 or 15(d) of the Exchange Act.
(iii) Notwithstanding the foregoing provisions of this Section 2.14, a stockholder shall also comply with all applicable requirements of the Exchange Act and the rules and regulations thereunder with respect to the matters set forth in this Section 2.14. Nothing in this Section 2.14 shall be deemed to limit the Corporation’s obligation to include stockholder proposals in its proxy statement if such inclusion is required by Rule 14a-8 under the Exchange Act.
(d) Nothing contained in this Section 2.14 shall be deemed to affect any rights of stockholders to request inclusion of nominees for director in the Corporation’s proxy statement pursuant to Section 2.15.
2.15 Stockholder Nominations Included in the Corporation’s Proxy Materials.
(a) Definitions. For purposes of this Section 2.15, the following terms shall have the meanings set forth below, except as otherwise provided herein.
(i) “Eligible Holder” is a person who has either (i) been a record holder of the shares of Common Stock used to satisfy the eligibility requirements of Section 2.15(d) continuously for the three (3)-year period as described in Section 2.15(d), or (ii) provides to the Secretary of the Corporation, within the time period specified in Section 2.15(e), evidence of continuous ownership of such shares for such three (3)-year period from one or more securities intermediaries in a form that the Board of Directors, or its designee, acting in good faith, determines would be acceptable for purposes of a stockholder proposal under Rule 14a-8(b)(2) under the Exchange Act (or any successor rule).
(ii) “Maximum Number” with respect to any Annual Meeting, means that number of nominees for election to the Board of Directors that constitutes no more than 20% of the total number of directors of the Corporation as of the last day on which a Qualified Nomination Notice may be submitted pursuant to Section 2.15(e) (rounded down to the nearest whole number), but not less than two (2). The Maximum Number shall be subject to the adjustments described in Section 2.15(c).
(iii) “Minimum Number” means 3% of the Corporation’s issued and outstanding shares of Common Stock as of the most recent date for which such amount is given in any filing made by the Corporation with the Securities and Exchange Commission (the “SEC”) prior to the submission of the Qualified Nomination Notice.
(iv) “Qualified Nomination Notice” means a notice given by a Nominating Stockholder that complies with the requirements of Section 2.15(e) and names a Nominee.
(v) “Nominating Stockholder” means an Eligible Holder or group of up to 20 Eligible Holders who nominate a nominee for election to the Board of Directors.
(vi) “Nominee” means any person nominated for election to the Board of Directors by a Nominating Stockholder that, individually and collectively, in the case of a group, satisfy all applicable procedures set forth in Section 2.15(d) and 2.15(e).
(b) Inclusion of Nominee in Proxy Statement. Subject to the provisions of this Section 2.15, if expressly requested in a Qualified Nomination Notice delivered by a Nominating Stockholder, the Corporation shall include in its proxy statement for any Annual Meeting:
(i) the name of the Nominee, which shall also be included on the Corporation’s form of proxy and ballot;
(ii) disclosures about the Nominee and Nominating Stockholder required under the rules of the SEC or other applicable law to be included in the proxy statement;
(iii) any statement included by the Nominating Stockholder in the Qualified Nomination Notice for inclusion in the proxy statement in support of the Nominee’s election to the Board of Directors (subject, without limitation, to Section 2.15(e)(ii)), if such statement does not exceed 500 words; and
(iv) any other information that the Corporation or the Board of Directors determines, in its discretion to include in the proxy statement relating to the nomination of the Nominee, including, without limitation, any statement in opposition to the nomination and any of the information provided pursuant to this Section 2.15.
(c) Maximum Number of Nominees.
(i) The Corporation shall not be required to include in the proxy statement for an Annual Meeting more Nominees than the Maximum Number for such Annual Meeting. The Maximum Number for a particular Annual Meeting shall be reduced by: (1) Nominees who are subsequently withdrawn or that the Board of Directors itself decides to nominate for election at such Annual Meeting, and (2) the number of incumbent directors who were Nominees with respect to any of the preceding two Annual Meetings and whose re-election at the upcoming Annual Meeting is being recommended by the Board of Directors. If one or more vacancies for any reason occurs on the Board of Directors after the deadline set forth in Section 2.15(e), but before the date of the Annual Meeting, and the Board of Directors resolves to reduce the size of the Board in connection therewith, the Maximum Number shall be calculated based on the number of directors in office as so reduced.
(ii) If the number of Nominees pursuant to this Section 2.15 for any Annual Meeting exceeds the Maximum Number then, promptly upon notice from the Corporation, each Nominating Stockholder will select one Nominee for inclusion in the proxy statement until the Maximum Number is reached, going in order of the amount (largest to smallest) of the ownership position as disclosed in each Nominating Stockholder’s Qualified Nomination Notice, with the process repeated if the Maximum Number is not reached after each Nominating Stockholder has selected one Nominee. If, after the deadline for submitting a Qualified Nomination Notice as set forth in Section 2.15(e), a Nominating Stockholder becomes ineligible or withdraws its nomination, or a Nominee becomes unwilling to serve on the Board of Directors, whether before or after the mailing of the definitive proxy statement, then the nomination shall be disregarded, and the Corporation (1) shall not be required to include in its proxy statement or on any ballot or form of proxy the disregarded Nominee or any successor or replacement Nominee proposed by the Nominating Stockholder or by any other Nominating Stockholder, and (2) may otherwise communicate to its stockholders, including, without limitation, by amending or supplementing its proxy statement or ballot or form of proxy, that the Nominee will not be included as a Nominee in the proxy statement or on any ballot or form of proxy and will not be voted on at the Annual Meeting.
(d) Eligibility of Nominating Stockholder.
(i) An Eligible Holder or group of up to twenty (20) Eligible Holders may submit a nomination in accordance with this Section 2.15 only if the person or group (in the aggregate) has continuously owned at least the Minimum Number of shares of the Common Stock (as adjusted for any stock splits, stock dividends, or similar events) throughout the three (3)-year period preceding, including the date of submission of, the Qualified Nomination Notice, and continues to own at least the Minimum Number through the date of the Annual Meeting. A group of funds under common management and investment control shall be treated as one Eligible Holder if such Eligible Holder shall provide, together with the Qualified Nomination Notice, documentation reasonably satisfactory to the Corporation that demonstrates that the funds are under common management and investment control. For the avoidance of doubt, in the event of a nomination by a group of Eligible Holders, any and all requirements and obligations for an individual Eligible Holder that are set forth in this Section 2.15, including the minimum holding period, shall apply to each member of such group; provided, however, that the Minimum Number shall apply to the ownership of the group in the aggregate. If any stockholder withdraws from a group of Eligible Holders acting together as a Nominating Stockholder at any time prior to the Annual Meeting, the group of Eligible Holders shall only be treated as owning the shares held by the remaining members of the group.
(ii) For purposes of this Section 2.15(d), an Eligible Holder “owns” only those outstanding shares of Common Stock as to which the Eligible Holder possesses both: (A) the full voting and investment rights pertaining to the shares; and (B) the full economic interest in (including the opportunity for profit and risk of loss on) such shares. The number of shares calculated in accordance with clauses (A) and (B) shall not include any shares: (1) sold by such Eligible Holder or any of its affiliates in any transaction that has not been settled or closed, (2) borrowed by such Eligible Holder or any of its affiliates for any purpose or purchased by such Eligible Holder or any of its affiliates pursuant to an agreement to resell, or (3) subject to any option, warrant, forward contract, swap, contract of sale, other derivative or similar agreement entered into by such Eligible Holder or any of its affiliates, whether any such instrument or agreement is to be settled with shares or with cash based on the notional amount or value of outstanding shares of Common Stock, in any such case which instrument or agreement has, or is intended to have, the purpose or effect of: (x) reducing in any manner, to any extent or at any time in the future, such Eligible Holder’s or any of its affiliates’ full right to vote or direct the voting of any such shares, and/or (y) hedging, offsetting, or altering to any degree, gain or loss arising from the full economic ownership of such shares by such Eligible Holder or any of its affiliates. An Eligible Holder “owns” shares held in the name of a Nominee or other intermediary, so long as the Eligible Holder retains the right to instruct how the shares are voted with respect to the election of directors and possesses the full economic interest (including the opportunity for profit and risk of loss on) in the shares. An Eligible Holder’s ownership of shares shall be deemed to continue during any period in which the Eligible Holder has delegated any voting power by means of a proxy, power of attorney, or other similar instrument or arrangement that is revocable at any time by the Eligible Holder. The terms “owned,” “owning” and other variations of the word “own” shall have correlative meanings. Whether outstanding shares of Common Stock are “owned” for these purposes shall be determined by the Board of Directors, acting in good faith.
(iii) No person shall be permitted to be in more than one group constituting a Nominating Stockholder, and if any person appears as a member of more than one group, it shall be deemed to be a member of the group that has the largest ownership position as reflected in the Qualified Nomination Notice.
(e) Qualified Nomination Notice. To nominate a Nominee, the Nominating Stockholder must, no earlier than one hundred fifty (150) days and no later than one hundred twenty (120) days before the anniversary of the date that the Corporation mailed its proxy statement for the prior year’s Annual Meeting, submit to the Secretary of the Corporation at the principal executive office of the Corporation all of the following information and documents (collectively, the “Qualified Nomination Notice”); provided, however, that if (and only if) the Annual Meeting is not scheduled to be held within a period that commences thirty (30) days before the anniversary date of the prior year’s Annual Meeting and ends thirty (30) days after such anniversary date (an Annual Meeting date outside such period being referred to herein as an “Other Meeting Date”), the Qualified Nomination Notice shall be given in the manner provided herein by the later of the close of business on the date that is one hundred eighty (180) days prior to such Other Meeting Date or the tenth (10th) day following the date such Other Meeting Date is first publicly announced or disclosed:
(i) A Schedule 14N (or any successor form) relating to the Nominee, completed and filed with the SEC by the Nominating Stockholder as applicable, in accordance with SEC rules;
(ii) A written notice of the nomination of such Nominee that includes the following additional information, agreements, representations and warranties by the Nominating Stockholder (including each group member): (A) the details of any relationship that existed within the past three (3) years and that would have been described pursuant to Item 6(e) of Schedule 14N (or any successor item) if it existed on the date of submission of the Schedule 14N; (B) a representation and warranty that the Nominating Stockholder did not acquire, and is not holding, securities of the Corporation for the purpose or with the effect of influencing or changing control of the Corporation; (C) a representation and warranty that the Nominee’s candidacy or, if elected, Board of Directors membership would not violate applicable state or federal law or the rules of any stock exchange on which the Corporation’s securities are traded; (D) a representation and warranty that the Nominee: (1) does not have any direct or indirect relationship with the Corporation other than those relationships that have been deemed categorically immaterial pursuant to the Corporation’s corporate governance guidelines as most recently published on its website and otherwise qualifies as independent under the rules of the primary stock exchange on which the Corporation’s securities are traded; (2) meets the Audit Committee independence requirements under the rules of any stock exchange on which the Corporation’s securities are traded; (3) is a “non-employee director” for the purposes of Rule 16b-3 under the Exchange Act (or any successor rule); and (4) is not and has not been subject to any event specified in Rule 506(d)(1) of Regulation D (or any successor rule) under the Securities Act of 1933, as amended (the “Securities Act”) or Item 401(f) of Regulation S-K (or any successor rule) under the Exchange Act, without reference to whether the event is material to an evaluation of the ability or integrity of the Nominee; (E) a representation and warranty that the Nominating Stockholder satisfies the eligibility requirements set forth in Section 2.15(d) and has provided evidence of ownership to the extent required by Section 2.15(d); (F) a representation and warranty that the Nominating Stockholder intends to continue to satisfy the share ownership eligibility requirements described in Section 2.15(d) through the date of the Annual Meeting; (G) details of any position of the Nominee as an officer or director of any competitor (that is, any entity that produces products or provides services that compete with or are alternatives to the principal products produced or services provided by the Corporation or its affiliates) of the Corporation, within the five (5) years preceding the submission of the Qualified Nomination Notice; (H) a representation and warranty that the Nominating Stockholder will not engage in a “solicitation” within the meaning of Rule 14a-1(l) of the Exchange Act (without reference to the exception in Rule 14a-1(l)(2)(iv) of the Exchange Act) (or any successor rules) with respect to the Annual Meeting, other than with respect to the Nominee or any nominee of the Board; (I) a representation and warranty that the Nominating Stockholder will not use any proxy card other than the Corporation’s proxy card in soliciting stockholders in connection with the election of a Nominee at the Annual Meeting; (J) if desired, a statement for inclusion in the proxy statement in support of the Nominee’s election to the Board of Directors, provided that such statement shall not exceed 500 words and shall fully comply with Section 14 of the Exchange Act and the rules and regulations thereunder, including Rule 14a-9; (K) in the case of a nomination by a group, the designation by all group members of one group member who is authorized to act on behalf of all group members with respect to all matters relating to the nomination, including withdrawal of the nomination; and (L) the information required to be included in a stockholder’s notice referenced in Section 14(a)(ii) and Section 14(b);
(iii) An executed agreement, which must be submitted within seven (7) days of the Nominating Stockholder’s first submission of any information required by this Section 2.15, in a form deemed satisfactory by the Board of Directors or its designee, acting in good faith, pursuant to which the Nominating Stockholder (including each group member) agrees: (A) to comply with all applicable laws, rules and regulations in connection with the nomination, solicitation and election; (B) to file any written solicitation or other communication with the Corporation’s stockholders relating to one or more of the Corporation’s directors or director nominees or any Nominee with the SEC, regardless of whether any such filing is required under rule or regulation or whether any exemption from filing is available for such materials under any rule or regulation; (C) to assume all liability stemming from an action, suit or proceeding concerning any actual or alleged legal or regulatory violation arising out of any communication by the Nominating Stockholder with the Corporation, its stockholders or any other person in connection with the nomination or election of directors, including, without limitation, the Qualified Nomination Notice; (D) to indemnify and hold harmless (jointly with all other group members, in the case of a group member) the Corporation and each of its directors, officers and employees individually against any liability, loss, damages, expenses or other costs (including attorneys’ fees) incurred in connection with any threatened or pending action, suit or proceeding, whether legal, administrative, or investigative, against the Corporation or any of its directors, officers or employees arising out of or relating to a failure or alleged failure of the Nominating Stockholder to comply with, or any breach or alleged breach of, its obligations, agreements or representations under this Section 2.15, or otherwise arising out of any nomination, solicitation or other activity by any Nominating Stockholder in connection with its efforts under this Section 2.15; and (E) if any information included in the Qualified Nomination Notice, or any other communication by the Nominating Stockholder (including with respect to any group member), with the Corporation, its stockholders or any other person in connection with the nomination or election ceases to be true and accurate in all material respects (or due to a subsequent development omits a material fact necessary to make the statements made no misleading), or the Nominating Stockholder (including any group member) fails to continue to satisfy the eligibility requirements described in Section 2.15(d), to promptly (and in any event within 48 hours of discovering such misstatement or omission) notify the Corporation and any other recipient of such communication of the misstatement or omission in such previously provided information and of the information that is required to correct the misstatement or omission; and
(iv) An executed agreement, which must be submitted within seven (7) days of the Nominating Stockholder’s first submission of any information required by this Section 2.15, in a form determined to be satisfactory by the Board of Directors, or its designee, acting in good faith, by the Nominee: (A) to provide to the Corporation such other information, including completion of the Corporation’s director questionnaire, as it may reasonably request; (B) that the Nominee has read and agrees, if elected, to serve as a member of the Board of Directors, to adhere to the Corporation’s corporate governance guidelines and code of ethical conduct and any other Corporation policies and guidelines applicable to directors as adopted from time to time; and (C) that the Nominee will promptly and fully disclose to the Corporation if the Nominee is or becomes a party to (1) any compensatory, payment or other financial agreement, arrangement or understanding with any person or entity in connection with service or action as a director of the Corporation, (2) any agreement, arrangement or understanding with any person or entity as to how the Nominee would vote or act on any issue or question as a director (a “Voting Commitment”) that has not been disclosed to the Corporation, or (3) any Voting Commitment that could limit or interfere with the Nominee’s ability to comply, if elected as a director of the Corporation, with its fiduciary duties under applicable law.
The information and documents required by this Section 2.15(e) shall be: (i) provided with respect to and executed by each group member, in the case of information applicable to group members; and (ii) provided with respect to the persons specified in Instruction 1 to Items 6(c) and (d) of Schedule 14N (or any successor items) in the case of a Nominating Stockholder or group member that is an entity. The Qualified Nomination Notice shall be deemed submitted on the date on which all the information and documents referred to in this Section 2.15(e) (other than such information and documents contemplated to be provided after the date the Qualified Nomination Notice is provided) have been delivered to or, if sent by mail, received by the Secretary of the Corporation.
(f) Exceptions.
(i) Notwithstanding anything to the contrary contained in Section 2.15, the Corporation may omit from its proxy statement any Nominee and any information concerning such Nominee (including a Nominating Stockholder’s statement in support) and no vote on such Nominee will occur (notwithstanding that proxies in respect of such vote may have been received by the Corporation), and the Nominating Stockholder may not, after the last day on which a Qualified Nomination Notice would be timely, cure in any way any defect preventing the nomination of the Nominee, if: (A) the Nominating Stockholder or the designated lead group member, as applicable, or any qualified representative thereof, does not appear at the Annual Meeting to present the nomination submitted pursuant to this Section 2.15 or the Nominating Stockholder withdraws its nomination; (B) the Board of Directors, acting in good faith, determines that such Nominee’s nomination or election to the Board of Directors would result in the Corporation violating or failing to be in compliance with these Bylaws or Certificate of Incorporation or any applicable law, rule or regulation to which the Corporation is subject, including any rules or regulations of any stock exchange on which the Corporation’s securities are traded; (C) the Nominee was nominated for election to the Board of Directors pursuant to this Section 2.15 at one of the Corporation’s two (2) preceding Annual Meetings and either withdrew or became ineligible or received less than 25% of the votes that all stockholders are entitled to cast for such Nominee; (D) the Nominee has been, within the past three (3) years, an officer or director of a competitor, as defined for purposes of Section 8 of the Clayton Antitrust Act of 1914, as amended, or (E) the Corporation is notified, or the Board of Directors acting in good faith determines, that a Nominating Stockholder has failed to continue to satisfy the eligibility requirements described in Section 2.15(d), any of the representations and warranties made in the Qualified Nomination Notice ceases to be true and accurate in all material respects (or omits a material fact necessary to make the statement not misleading), the Nominee becomes unwilling or unable to serve on the Board of Directors or any material violation or breach occurs of the obligations, agreements, representations or warranties of the Nominating Stockholder or the Nominee under this Section 2.15.
(ii) Notwithstanding anything to the contrary contained in this Section 2.15, the Corporation may omit from its proxy statement, or may supplement or correct, any information, including all or any portion of the statement in support of the Nominee included in the Nomination Notice, if the Board of Directors in good faith determines that: (A) such information is not true in all material respects or omits a material statement necessary to make the statements made not misleading; (B) such information directly or indirectly impugns character, integrity or personal reputation of, or directly or indirectly makes charges concerning improper, illegal or immoral conduct or associations, without factual foundation, with respect to, any person; or (C) the inclusion of such information in the proxy statement would otherwise violate the SEC proxy rules or any other applicable law, rule or regulation.
(iii) The Corporation may solicit against, and include in the proxy statement its own statement relating to, any Nominee.
ARTICLE III. BOARD OF DIRECTORS
3.01 General Powers, Classification and Number. All corporate powers shall be exercised by or under the authority of, and the business affairs of the Corporation managed under the direction of, the Board of Directors. The Board of Directors shall consist of not less than three (3) members, the exact number of which shall be fixed from time to time by the Board of Directors. The Board of Directors shall be divided into three classes, designated as Class I, Class II, and Class III, as nearly equal in number of directors as reasonably possible. At the first meeting of stockholders at which directors are elected after the date these Bylaws are first adopted, the directors of Class I shall be elected for a term to expire at the first Annual Meeting after their election, and until their successors are duly elected and qualified, the directors of Class II shall be elected for a term to expire at the second Annual Meeting after their election, and until their successors are duly elected and qualified, and the directors of Class III shall be elected for a term to expire at the third Annual Meeting after their election, and until their successors are duly elected and qualified. At each Annual Meeting after the first meeting of stockholders at which directors are elected after the date these Bylaws are first adopted, the successors to the class of directors whose terms shall expire at the time of such Annual Meeting shall be elected to hold office until the third succeeding Annual Meeting, and until their successors are duly elected and qualified.
3.02 Tenure and Qualifications. Each director shall hold office until the next Annual Meeting in the year in which such director’s term expires and until his or her successor shall have been duly elected and, if necessary, qualified, or until there is a decrease in the number of directors which takes effect after the expiration of his or her term, or until his or her prior retirement, death, resignation or removal. A director may be removed from office only as provided in the Certificate of Incorporation at a meeting of the stockholders called for the purpose of removing the director, and the meeting notice shall state that the purpose, or one of the purposes, of the meeting is removal of the director. A director may resign at any time by delivering written notice which complies with the DGCL to the Board of Directors, to the Chief Executive Officer or to the Corporation. A director’s resignation is effective when the notice is delivered unless the notice specifies a later effective date. Directors need not be residents of the State of Delaware or stockholders of the Corporation. No other restrictions, limitations or qualifications may be imposed on individuals for service as a director.
3.03 Regular Meetings. Unless otherwise determined by the Board of Directors, a regular meeting of the Board of Directors shall be held without other notice than this Bylaw immediately after the Annual Meeting and each adjourned session thereof. The place of such regular meeting shall be the same as the place of the Annual Meeting which precedes it, or such other suitable place as may be announced at such Annual Meeting. The Board of Directors may provide, by resolution, the date, time and place, either within or without the State of Delaware, for the holding of additional regular meetings of the Board of Directors without other notice than such resolution.
3.04 Special Meetings. Special meetings of the Board of Directors may be called by or at the request of the Chief Executive Officer, the President, the Secretary or any two directors. The Chief Executive Officer, the President or the Secretary may fix any place, either within or without the State of Delaware, as the place for holding any special meeting of the Board of Directors, and if no other place is fixed the place of the meeting shall be the principal office of the Corporation in the State of Delaware.
3.05 Notice; Waiver. Notice of each meeting of the Board of Directors (unless otherwise provided in or pursuant to Section 3.03 of these Bylaws) shall be given by written notice delivered in person, by telegraph, teletype, facsimile or other form of wire or wireless communication, or by mail or private carrier, to each director at his or her business address or at such other address as such director shall have designated in writing filed with the Secretary, in each case not less than forty‑eight hours prior to the meeting. The notice need not describe the purpose of the meeting of the Board of Directors or the business to be transacted at such meeting. If mailed, such notice shall be deemed to be effective when deposited in the United States mail so addressed, with postage thereon prepaid. If notice is given by telegram, such notice shall be deemed to be effective when the telegram is delivered to the telegraph company. If notice is given by private carrier, such notice shall be deemed to be effective when delivered to the private carrier. Whenever any notice whatever is required to be given to any director of the Corporation under the Certificate of Incorporation or these Bylaws or any provision of the DGCL, a waiver thereof in writing, signed at any time, whether before or after the date and time of meeting, by the director entitled to such notice shall be deemed equivalent to the giving of such notice. The Corporation shall retain any such waiver as part of the permanent corporate records. A director’s attendance at or participation in a meeting waives any required notice to him or her of the meeting unless the director at the beginning of the meeting or promptly upon his or her arrival objects to holding the meeting or transacting business at the meeting and does not thereafter vote for or assent to action taken at the meeting.
3.06 Quorum. A majority of the directors holding office immediately prior to a meeting of the Board of Directors shall constitute a quorum for the transaction of business at such meeting. A quorum of any committee of the Board of Directors created pursuant to Section 3.12 of these Bylaws shall consist of a majority of the number of directors appointed to serve on the committee. If a quorum shall not be present at any meeting of the Board of Directors or committee thereof, a majority of the directors present (though less than such quorum) may adjourn any meeting of the Board of Directors or any committee thereof, as the case may be, from time to time without further notice. In the event the Board of Directors is composed of an even number of persons, a majority means one-half of the number of such persons plus one.
3.07 Manner of Acting. The affirmative vote of a majority of the directors present at a meeting of the Board of Directors or a committee thereof at which a quorum is present shall be the act of the Board of Directors or such committee, as the case may be, unless the DGCL, the Certificate of Incorporation or these Bylaws require the vote of a greater number of directors.
3.08 Conduct of Meetings. The Chief Executive Officer, and in his or her absence, the President, and in his or her absence, a Vice President in the order provided under Section 4.08 of these Bylaws, and in their absence, any director chosen by the directors present, shall call meetings of the Board of Directors to order and shall act as chairperson of the meeting. The Secretary of the Corporation shall act as secretary of all meetings of the Board of Directors but in the absence of the Secretary, the presiding officer may appoint any other person present to act as secretary of the meeting. Minutes of any regular or special meeting of the Board of Directors shall be prepared and distributed to each director.
3.09 Vacancies. Any vacancies occurring in the Board of Directors, including a vacancy created by an increase in the number of directors, shall be filled only as provided in the Certificate of Incorporation. A vacancy that will occur at a specific later date, because of a resignation effective at a later date or otherwise, may be filled before the vacancy occurs, but the new director may not take office until the vacancy occurs.
3.10 Compensation. The Board of Directors, irrespective of any personal interest of any of its members, may establish reasonable compensation of all directors for services to the Corporation as directors or may delegate such authority to an appropriate committee. The Board of Directors also shall have authority to provide for or delegate authority to an appropriate committee to provide for reasonable pensions, disability or death benefits, and other benefits or payments, to directors, officers and employees and to their estates, families, dependents or beneficiaries on account of prior services rendered by such directors, officers and employees to the Corporation.
3.11 Presumption of Assent. A director who is present and is announced as present at a meeting of the Board of Directors or any committee thereof created in accordance with Section 3.12 of these Bylaws, when corporate action is taken, assents to the action taken unless any of the following occurs: (a) the director objects at the beginning of the meeting or promptly upon his or her arrival to holding the meeting or transacting business at the meeting; (b) the director dissents or abstains from an action taken and minutes of the meeting are prepared that show the director’s dissent or abstention from the action taken; (c) the director delivers written notice that complies with the DGCL of his or her dissent or abstention to the presiding officer of the meeting before its adjournment or to the Corporation immediately after adjournment of the meeting; or (d) the director dissents or abstains from an action taken, minutes of the meeting are prepared that fail to show the director’s dissent or abstention from the action taken, and the director delivers to the Corporation a written notice of that failure that complies with the DGCL promptly after receiving the minutes. Such right of dissent or abstention shall not apply to a director who votes in favor of the action taken.
3.12 Committees. The Board of Directors by resolution adopted by the affirmative vote of a majority of all of the directors then in office may create one or more committees, appoint members of the Board of Directors to serve on the committees and designate other members of the Board of Directors to serve as alternates. Each committee shall have at least one member who shall, unless otherwise provided by the Board of Directors, serve at the pleasure of the Board of Directors. A committee may be authorized to exercise the authority of the Board of Directors, except that a committee may not do any of the following: (a) approve or recommend to stockholders for approval any action or matter expressly required by the DGCL to be submitted to stockholders for approval; and (b) adopt, amend or repeal any Bylaw of the Corporation. Unless otherwise provided by the Board of Directors in creating the committee, a committee may employ counsel, accountants and other consultants to assist it in the exercise of its authority.
3.13 Telephonic Meetings. Except as herein provided and notwithstanding any place set forth in the notice of the meeting or these Bylaws, members of the Board of Directors (and any committees thereof created pursuant to Section 3.12 of these Bylaws) may participate in regular or special meetings by, or through the use of, any means of communication by which all participants may simultaneously hear each other, such as by conference telephone. If a meeting is conducted by such means, then at the commencement of such meeting the presiding officer shall inform the participating directors that a meeting is taking place at which official business may be transacted. Any participant in a meeting by such means shall be deemed present in person at such meeting. Notwithstanding the foregoing, no action may be taken at any meeting held by such means on any particular matter which the presiding officer determines, in his or her sole discretion, to be inappropriate under the circumstances for action at a meeting held by such means. Such determination shall be made and announced in advance of such meeting.
3.14 Action Without Meeting. Any action required or permitted by the DGCL to be taken at a meeting of the Board of Directors or a committee thereof created pursuant to Section 3.12 of these Bylaws may be taken without a meeting if the action is taken by all members of the Board or of the committee. The action shall be evidenced by one or more written consents describing the action taken, signed by each director or committee member and retained by the Corporation. Such action shall be effective when the last director or committee member signs the consent, unless the consent specifies a different effective date.
ARTICLE IV. OFFICERS
4.01 Number. The principal officers of the Corporation shall be a Chief Executive Officer, a President, the number of Vice Presidents as authorized from time to time by the Board of Directors, a Secretary, and a Treasurer, each of whom shall be elected by the Board of Directors. Such other officers and assistant officers as may be deemed necessary may be elected or appointed by the Board of Directors. The Board of Directors may also authorize any duly appointed officer to appoint one or more officers or assistant officers. Any two or more offices may be held by the same person.
4.02 Election and Term of Office. The officers of the Corporation to be elected by the Board of Directors shall be elected annually by the Board of Directors at the first meeting of the Board of Directors held after each Annual Meeting. If the election of officers shall not be held at such meeting, such election shall be held as soon thereafter as is practicable. Each officer shall hold office until his or her successor shall have been duly elected or until his or her prior death, resignation or removal.
4.03 Removal. The Board of Directors may remove any officer and, unless restricted by the Board of Directors or these Bylaws, an officer may remove any officer or assistant officer appointed by that officer, at any time, with or without cause and notwithstanding the contract rights, if any, of the officer removed. The appointment of an officer does not of itself create contract rights.
4.04 Resignation. An officer may resign at any time by delivering notice to the Corporation that complies with the DGCL. The resignation shall be effective when the notice is delivered, unless the notice specifies a later effective date and the Corporation accepts the later effective date.
4.05 Vacancies. A vacancy in any principal office because of death, resignation, removal, disqualification or otherwise, shall be filled by the Board of Directors for the unexpired portion of the term. If a resignation of an officer is effective at a later date as contemplated by Section 4.04 of these Bylaws, the Board of Directors may fill the pending vacancy before the effective date if the Board provides that the successor may not take office until the effective date.
4.06 Chief Executive Officer. The Chief Executive Officer shall be the principal executive officer of the Corporation and, subject to the control of the Board of Directors, shall in general supervise and control all of the business and affairs of the Corporation. The Chief Executive Officer shall have authority, subject to such rules as may be prescribed by the Board of Directors, to appoint such agents and employees of the Corporation as he or she shall deem necessary, to prescribe their powers, duties and compensation, and to delegate authority to them. Such agents and employees shall hold office at the discretion of the Chief Executive Officer. He or she shall have authority to sign, execute and acknowledge, on behalf of the Corporation, all deeds, mortgages, bonds, stock certificates, contracts, leases, reports and all other documents or instruments necessary or proper to be executed in the course of the Corporation’s regular business, or which shall be authorized by resolution of the Board of Directors; and, except as otherwise provided by law or the Board of Directors, he or she may authorize the President or any Vice President or other officer or agent of the Corporation to sign, execute and acknowledge such documents or instruments in his or her place and stead. In general, he or she shall perform all duties incident to the office of Chief Executive Officer and such other duties as may be prescribed by the Board of Directors from time to time. The Chief Executive Officer shall, when present, preside at all meetings of the stockholders and of the Board of Directors.
4.07 President. The President shall assist the Chief Executive Officer in exercising general supervision over the business and affairs of the Corporation, and shall perform such other duties and have such authority as from time to time may be delegated or assigned to him or her by the Chief Executive Officer or by the Board of Directors. The President shall have authority, subject to the authority of the Chief Executive Officer and to such rules as may be prescribed by the Board of Directors, to appoint such agents and employees of the Corporation as he or she shall deem necessary, to prescribe their powers, duties and compensation, and to delegate authority to them. Such agents and employees shall hold office at the discretion of the President. He or she shall have authority to sign, execute and acknowledge, on behalf of the Corporation, all deeds, mortgages, bonds, stock certificates, contracts, leases, reports and all other documents or instruments necessary or proper to be executed in the course of the Corporation’s regular business, or which shall be authorized by the Chief Executive Officer or by resolution of the Board of Directors; and, except as otherwise provided by law, the Chief Executive Officer or the Board of Directors, he or she may authorize any Vice President or other officer or agent of the Corporation to sign, execute and acknowledge such documents or instruments in his or her place and stead. During the absence or disability of the Chief Executive Officer, or while that office is vacant, the President shall exercise all the powers and discharge all of the duties of the Chief Executive Officer.
4.08 The Vice Presidents. In the absence of the President or in the event of the President’s death, inability or refusal to act, or in the event for any reason it shall be impracticable for the President to act personally, the Vice President (or in the event there be more than one Vice President, the Vice Presidents in the order designated by the Board of Directors, or in the absence of any designation, then in the order of their election) shall perform the duties of the President, and when so acting, shall have all the powers of and be subject to all the restrictions upon the President. Any Vice President may sign, with the Secretary or Assistant Secretary, certificates for shares of the Corporation; and shall perform such other duties and have such authority as from time to time may be delegated or assigned to him or her by the Chief Executive Officer, President or by the Board of Directors. The execution of any instrument of the Corporation by any Vice President shall be conclusive evidence, as to third parties, of his or her authority to act in the stead of the President. The Board of Directors may designate any Vice President as being senior in rank or degree of responsibility and may accord such a Vice President an appropriate title designating his or her senior rank, such as “Senior Vice President.” The Board of Directors may assign a certain Vice President responsibility for a designated group, division or function of the Corporation’s business and add an appropriate descriptive designation to his or her title.
4.09 The Secretary. The Secretary shall: (a) keep minutes of the meetings of the stockholders and of the Board of Directors (and of committees thereof) in one or more books provided for that purpose (including records of actions taken by the stockholders or the Board of Directors (or committees thereof) without a meeting); (b) see that all notices are duly given in accordance with the provisions of these Bylaws or as required by the DGCL; (c) be custodian of the corporate records and of the seal of the Corporation and see that the seal of the Corporation is affixed to all documents the execution of which on behalf of the Corporation under its seal is duly authorized; (d) maintain a record of the stockholders of the Corporation, in a form that permits preparation of a list of the names and addresses of all stockholders, by class or series of shares and showing the number and class or series of shares held by each stockholder; (e) sign with the Chief Executive Officer, the President, or a Vice President, certificates for shares of the Corporation, the issuance of which shall have been authorized by resolution of the Board of Directors; (f) have general charge of the stock transfer books of the Corporation; and (g) in general perform all duties incident to the office of Secretary and have such other duties and exercise such authority as from time to time may be delegated or assigned by the Chief Executive Officer, the President or by the Board of Directors.
4.10 The Treasurer. The Treasurer shall: (a) have charge and custody of and be responsible for all funds and securities of the Corporation; (b) maintain appropriate accounting records; (c) receive and give receipts for moneys due and payable to the Corporation from any source whatsoever, and deposit all such moneys in the name of the Corporation in such banks, trust companies or other depositaries as shall be selected in accordance with the provisions of Section 5.04 of these Bylaws; and (d) in general perform all of the duties incident to the office of Treasurer and have such other duties and exercise such other authority as from time to time may be delegated or assigned by the Chief Executive Officer, the President or by the Board of Directors. If required by the Board of Directors, the Treasurer shall give a bond for the faithful discharge of his or her duties in such sum and with such surety or sureties as the Board of Directors shall determine.
4.11 Assistant Secretaries and Assistant Treasurers. There shall be such number of Assistant Secretaries and Assistant Treasurers as the Board of Directors may from time to time authorize. The Assistant Secretaries may sign with the Chief Executive Officer, the President or a Vice President certificates for shares of the Corporation the issuance of which shall have been authorized by a resolution of the Board of Directors. The Assistant Treasurers shall respectively, if required by the Board of Directors, give bonds for the faithful discharge of their duties in such sums and with such sureties as the Board of Directors shall determine. The Assistant Secretaries and Assistant Treasurers, in general, shall perform such duties and have such authority as shall from time to time be delegated or assigned to them by the Secretary or the Treasurer, respectively, or by the Chief Executive Officer, the President or the Board of Directors.
4.12 Other Assistants and Acting Officers. The Board of Directors shall have the power to appoint, or to authorize any duly appointed officer of the Corporation to appoint, any person to act as assistant to any officer, or as agent for the Corporation in his or her stead, or to perform the duties of such officer whenever for any reason it is impracticable for such officer to act personally, and such assistant or acting officer or other agent so appointed by the Board of Directors or an authorized officer shall have the power to perform all the duties of the office to which he or she is so appointed to be an assistant, or as to which he or she is so appointed to act, except as such power may be otherwise defined or restricted by the Board of Directors or the appointing officer.
4.13 Salaries. The salaries of the principal officers shall be fixed from time to time by the Board of Directors or by a duly authorized committee thereof, and no officer shall be prevented from receiving such salary by reason of the fact that he or she is also a director of the Corporation.
ARTICLE V CONTRACTS, LOANS, CHECKS
AND DEPOSITS; SPECIAL CORPORATE ACTS
5.01 Contracts. The Board of Directors may authorize any officer or officers, agent or agents, to enter into any contract or execute or deliver any instrument in the name of and on behalf of the Corporation, and such authorization may be general or confined to specific instances. In the absence of other designation, all deeds, mortgages and instruments of assignment or pledge made by the Corporation shall be executed in the name of the Corporation by the Chief Executive Officer, the President or one of the Vice Presidents and by the Secretary, an Assistant Secretary, the Treasurer or an Assistant Treasurer; the Secretary or an Assistant Secretary, when necessary or required, shall affix the corporate seal, if any, thereto; and when so executed no other party to such instrument or any third party shall be required to make any inquiry into the authority of the signing officer or officers.
5.02 Loans. No indebtedness for borrowed money shall be contracted on behalf of the Corporation and no evidences of such indebtedness shall be issued in its name unless authorized by or under the authority of a resolution of the Board of Directors. Such authorization may be general or confined to specific instances.
5.03 Checks, Drafts, etc. All checks, drafts or other orders for the payment of money, notes or other evidences of indebtedness issued in the name of the Corporation, shall be signed by such officer or officers, agent or agents of the Corporation and in such manner as shall from time to time be determined by or under the authority of a resolution of the Board of Directors.
5.04 Deposits. All funds of the Corporation not otherwise employed shall be deposited from time to time to the credit of the Corporation in such banks, trust companies or other depositaries as may be selected by or under the authority of a resolution of the Board of Directors.
5.05 Voting of Securities Owned by this Corporation. Subject always to the specific directions of the Board of Directors, (a) any shares or other securities issued by any other corporation and owned or controlled by this Corporation may be voted at any meeting of security holders of such other corporation by the Chief Executive Officer or the President of this Corporation if any of them shall be present, or in their absence by any Vice President of this Corporation who may be present, and (b) whenever, in the judgment of the Chief Executive Officer or the President, or in their absence, of any Vice President, it is desirable for this Corporation to execute a proxy or written consent in respect to any shares or other securities issued by any other corporation and owned by this Corporation, such proxy or consent shall be executed in the name of this Corporation by the Chief Executive Officer, the President or one of the Vice Presidents of this Corporation, without necessity of any authorization by the Board of Directors, affixation of corporate seal, if any, or countersignature or attestation by another officer. Any person or persons designated in the manner above stated as the proxy or proxies of this Corporation shall have full right, power and authority to vote the shares or other securities issued by such other corporation and owned by this Corporation the same as such shares or other securities might be voted by this Corporation.
ARTICLE VI. CERTIFICATES FOR SHARES; TRANSFER OF SHARES
6.01 Certificates for Stock; Stock Without Certificates. Certificates representing shares of the Corporation shall be in such form, consistent with the DGCL, as shall be determined by the Board of Directors. Such certificates shall be signed by the Chief Executive Officer, the President or a Vice President and by the Secretary or an Assistant Secretary. The name and address of the person to whom the shares represented thereby are issued, with the number of shares and date of issue, shall be entered on the stock transfer books of the Corporation. All certificates surrendered to the Corporation for transfer shall be canceled and no new certificate shall be issued until the former certificate for a like number of shares shall have been surrendered and canceled, except as provided in Section 6.06 of these Bylaws. Shares of the Corporation may also be issued without certificates to the full extent such issuance is allowed by the DGCL and the listing standards of The NASDAQ Stock Market.
6.02 Facsimile Signatures and Seal. The seal of the Corporation, if any, on any certificates for shares may be a facsimile. The signature of the Chief Executive Officer, the President or Vice President and the Secretary or Assistant Secretary upon a certificate may be facsimiles if the certificate is manually signed on behalf of a transfer agent, or a registrar, other than the Corporation itself or an employee of the Corporation.
6.03 Signature by Former Officers. The validity of a share certificate is not affected if a person who signed the certificate (either manually or in facsimile) no longer holds office when the certificate is issued.
6.04 Transfer of Shares. Prior to due presentment of shares for registration of transfer the Corporation may treat the registered owner of such shares as the person exclusively entitled to vote, to receive notifications and otherwise to have and exercise all the rights and power of an owner. Where shares are presented to the Corporation with a request to register for transfer, the Corporation shall not be liable to the owner or any other person suffering loss as a result of such registration of transfer if (a) there were on or with the certificate the necessary endorsements or with the necessary documents accompanying a transfer of shares issued without certificates, and (b) the Corporation had no duty to inquire into adverse claims or has discharged any such duty. The Corporation may require reasonable assurance that such endorsements are genuine and effective and compliance with such other regulations as may be prescribed by or under the authority of the Board of Directors.
6.05 Restrictions on Transfer. The face or reverse side of each certificate representing shares shall bear a conspicuous notation of any restriction imposed by the Corporation upon the transfer of such shares and any such notation shall be made in the “book-entry” system in the case of shares issued without certificates.
6.06 Lost, Destroyed or Stolen Certificates. The Board of Directors may direct a new certificate or certificates to be issued in place of any certificate or certificates theretofore issued by the Corporation alleged to have been lost, stolen or destroyed, upon the making of an affidavit of that fact by the person claiming the certificate of stock to be lost, stolen or destroyed. When authorizing such issue of a new certificate or certificates, the Board of Directors may, in its discretion and as a condition precedent to the issuance thereof, require the person requesting such new certificate or certificates, or his or her legal representative, to give the Corporation a bond in such sum as it may direct as indemnity against any claim that may be made against the Corporation with respect to the certificate alleged to have been lost, stolen or destroyed.
6.07 Consideration for Shares. The Board of Directors may authorize shares to be issued for consideration consisting of any tangible or intangible property or benefit to the Corporation, including cash, promissory notes, services performed, contracts for services to be performed or other securities of the Corporation. Before the Corporation issues shares, the Board of Directors shall determine that the consideration received or to be received for the shares to be issued is adequate. The determination of the Board of Directors is conclusive insofar as the adequacy of consideration for the issuance of shares relates to whether the shares are validly issued, fully paid and nonassessable. The Corporation may place in escrow shares issued in whole or in part for a contract for future services or benefits, a promissory note, or other property to be issued in the future, or make other arrangements to restrict the transfer of the shares, and may credit distributions in respect of the shares against their purchase price, until the services are performed, the benefits or property are received or the promissory note is paid. If the services are not performed, the benefits or property are not received or the promissory note is not paid, the Corporation may cancel, in whole or in part, the shares escrowed or restricted and the distributions credited.
6.08 Stock Regulations. The Board of Directors shall have the power and authority to make all such further rules and regulations not inconsistent with law as it may deem expedient concerning the issue, transfer and registration of shares of the Corporation.
ARTICLE VII. SEAL
7.01 The Board of Directors may provide for a corporate seal for the Corporation.
ARTICLE VIII. FISCAL YEAR
8.01 The fiscal year of the Corporation shall be from January 1 to December 31.
ARTICLE IX. INDEMNIFICATION
9.01 Provision of Indemnification. The Corporation shall, to the fullest extent permitted or required by the DGCL, including any amendments thereto (but in the case of any such amendment, only to the extent such amendment permits or requires the Corporation to provide broader indemnification rights than prior to such amendment), indemnify its directors and officers against any and all liabilities, and advance any and all reasonable expenses, incurred thereby in any proceeding to which any such director or officer is a party because he or she is or was a director or officer of the Corporation. The Corporation shall also indemnify an employee who is not a director or officer, to the extent that the employee has been successful on the merits or otherwise in defense of a proceeding, for all reasonable expenses incurred in the proceeding if the employee was a party because he or she is or was an employee of the Corporation. The rights to indemnification granted hereunder shall not be deemed exclusive of any other rights to indemnification against liabilities or the advancement of expenses which a director, officer or employee may be entitled under any written agreement, Board of Directors resolution, vote of stockholders, the DGCL or otherwise. The Corporation may, but shall not be required to, supplement the foregoing rights to indemnification against liabilities and advancement of expenses under this Section 9.01 by the purchase of insurance on behalf of any one or more of such directors, officers or employees, whether or not the Corporation would be obligated to indemnify or advance expenses to such director, officer or employee under this Section 9.01.
ARTICLE X. AMENDMENTS
10.01 By Stockholders. Except as otherwise provided in the Certificate of Incorporation or these Bylaws, these Bylaws may be amended or repealed and new Bylaws may be adopted by the stockholders at any Annual Meeting or Special Meeting at which a quorum is in attendance.
10.02 By Directors. Except as otherwise provided by the DGCL or the Certificate of Incorporation, these Bylaws may also be amended or repealed and new Bylaws may be adopted by the Board of Directors by affirmative vote of a majority of the number of directors present at any meeting at which a quorum is in attendance; provided, however, that the stockholders in adopting, amending or repealing a particular Bylaw may provide therein that the Board of Directors may not amend, repeal or readopt that Bylaw.
10.03 Implied Amendments. Any action taken or authorized by the stockholders or by the Board of Directors which would be inconsistent with the Bylaws then in effect but which is taken or authorized by affirmative vote of not less than the number of shares or the number of directors required to amend the Bylaws so that the Bylaws would be consistent with such action shall be given the same effect as though the Bylaws had been temporarily amended or suspended so far, but only so far, as is necessary to permit the specific action so taken or authorized.

