Please wait

Filed pursuant to Rule 424(b)(5)
Registration No. 333-271881

PRICING SUPPLEMENT
(to Product Supplement no. 5, dated October 23, 2023,
Prospectus Supplement dated May 12, 2023
and Prospectus dated May 12, 2023)

$2,155,000
Jefferies
Jefferies Financial Group Inc.
Senior Autocallable Contingent Coupon Barrier Notes due April 7, 2032
Linked to the Worst-Performing of the Nasdaq-100 Index®, the Russell 2000® Index and the VanEck® Semiconductor ETF

The Senior Autocallable Contingent Coupon Barrier Notes due April 7, 2032 Linked to the Worst-Performing of the Nasdaq-100 Index®, the Russell 2000® Index and the VanEck® Semiconductor ETF (the “Notes”) are senior unsecured obligations of Jefferies Financial Group Inc. The Notes have the terms described in the accompanying product supplement, prospectus supplement and prospectus, as supplemented or modified by this pricing supplement. The Notes are issued as part of our Series A Global Medium-Term Notes program.
All payments are subject to our credit risk. If we default on our obligations, you could lose some or a significant portion of your investment. These Notes are not secured obligations and you will not have any security interest in, or otherwise have any access to, any Underlying or the securities represented by any Underlying.
SUMMARY OF TERMS
 
Issuer:
Jefferies Financial Group Inc.
Title of the Notes:
Senior Autocallable Contingent Coupon Barrier Notes due April 7, 2032 Linked to the Worst-Performing of the Nasdaq-100 Index®, the Russell 2000® Index and the VanEck® Semiconductor ETF
Aggregate Principal Amount:
$2,155,000. We may increase the Aggregate Principal Amount prior to the Original Issue Date but are not required to do so.
Issue Price:
$1,000 per Note
Stated Principal Amount:
$1,000 per Note
Pricing Date:
April 2, 2026
Original Issue Date:
April 7, 2026 (3 Business Days after the Pricing Date)
Coupon Observation Dates:
Monthly, beginning on May 4, 2026, as set forth on page PS-2. The Coupon Observation Dates are subject to postponement as described in the accompanying product supplement.
Coupon Payment Dates:
As set forth on page PS-2. The Coupon Payment Dates may be postponed if the related Coupon Observation Date is postponed as described in the accompanying product supplement.
Call Observation Dates:
Monthly, beginning on October 2, 2026, as set forth on page PS-2. The Call Observation Dates are subject to postponement as described in the accompanying product supplement.
Call Payment Dates:
As set forth on page PS-2. The Call Payment Dates may be postponed if the related Call Observation Date is postponed as described in the accompanying product supplement.
Valuation Date:
April 2, 2032, subject to postponement as described in the accompanying product supplement.
Maturity Date:
April 7, 2032, which may be postponed if the Valuation Date is postponed as described in the accompanying product supplement.
Underlying:
The worst-performing of the Nasdaq-100 Index® (the “NDX”), the Russell 2000® Index (the “RTY”) and the VanEck® Semiconductor ETF (the “SMH”). Please see “The Underlyings” below.
Worst-Performing Underlying:
The Underlying with the lowest Observation Value or Final Value, as applicable, as compared to its Initial Value.
Coupon Feature:
Contingent Coupon Payments. The Notes will pay a Contingent Coupon Payment of $18.33 on the applicable Coupon Payment Date if the Observation Value of the Worst-Performing Underlying on the applicable monthly Coupon Observation Date is greater than or equal to its Coupon Barrier.
Call Feature:
Autocallable Notes. The Notes will be automatically called if the Observation Value of the Worst-Performing Underlying on any Call Observation Date (beginning approximately six months after the Pricing Date) is equal to or greater than its Call Value. If your Notes are called, you will receive the Call Payment on the applicable Call Payment Date, and no further amounts will be payable on the Notes.
Call Payment:
The Stated Principal Amount plus any Contingent Coupon Payment that may otherwise be due on the applicable Call Payment Date.
Payment at Maturity:
If the Final Value of the Worst-Performing Underlying is greater than or equal to its Threshold Value, you will receive for each Note that you hold a Payment at Maturity that is equal to the Stated Principal Amount
If the Final Value of the Worst-Performing Underlying is less than its Threshold Value, you will receive for each Note that you hold a Payment at Maturity that is less than the Stated Principal Amount of each Note that will equal:
In this scenario the Payment at Maturity will be less than the Stated Principal Amount and you could lose some or all of your investment.
The Payment at Maturity will also include the final Contingent Coupon Payment if the Observation Value of the Worst-Performing Underlying on the final Coupon Observation Date is greater than or equal to its Coupon Barrier.
Initial Value:
$392.32 with respect to the SMH; 24,045.53 with respect to the NDX; and 2,530.042 with respect to the RTY
Observation Value:
With respect to the  SMH, the ETF Closing Price of the Underlying times the Adjustment Factor on the applicable Coupon Observation Date or Call Observation Date.
With respect to each of the  NDX and the RTY, the Index Closing Value of the Underlying on the applicable Coupon Observation Date or Call Observation Date.
Final Value:
With respect to the  SMH, the ETF Closing Price of the Underlying times the Adjustment Factor on the Valuation Date.
With respect to each of the  NDX and the RTY, the Index Closing Value of the Underlying on the Valuation Date.
Coupon Barrier:
$294.24 with respect to the SMH (75% of its Initial Value, rounded to two decimal places); 18,034.15 with respect to the NDX (75% of its Initial Value, rounded to two decimal places); and 1,897.532 with respect to the RTY (75% of its Initial Value, rounded to three decimal places)
Call Value:
$392.32 with respect to the SMH (100% of its Initial Value); 24,045.53 with respect to the NDX (100% of its Initial Value); and 2,530.042 with respect to the RTY (100% of its Initial Value)
Threshold Value:
$235.39 with respect to the SMH (60% of its Initial Value, rounded to two decimal places); 14,427.32 with respect to the NDX (60% of its Initial Value, rounded to two decimal places); and 1,518.025 with respect to the RTY (60% of its Initial Value, rounded to three decimal places)
Adjustment Factor:
Initially 1.0 with respect to the SMH, subject to adjustment for certain events affecting the Underlying. See “—Antidilution Adjustments for Exchange Traded Funds” in the accompanying product supplement.
Specified Currency:
U.S. dollars
CUSIP/ISIN:
47233YWC5 / US47233YWC55
Book-entry or Certificated Note:
Book-entry
Business Day:
New York
Agent:
Jefferies LLC, a wholly-owned subsidiary of Jefferies Financial Group Inc. See “Supplemental Plan of Distribution.”
Calculation Agent:
Jefferies Financial Services, Inc., a wholly owned subsidiary of Jefferies Financial Group Inc.
Trustee:
The Bank of New York Mellon
Estimated value on the Pricing
Date:
$981.80 per Note. Please see “The Notes” below.
Use of Proceeds:
General corporate purposes
Listing:
None
Conflict of Interest:
Jefferies LLC, the broker-dealer subsidiary of Jefferies Financial Group Inc., is a member of FINRA and will participate in the distribution of the notes being offered hereby. Accordingly, the offering is subject to the provisions of FINRA Rule 5121 relating to conflicts of interest and will be conducted in accordance with the requirements of Rule 5121. See “Conflict of Interest.”
The Notes will be our senior unsecured obligations and will rank equally with our other senior unsecured indebtedness.
Investing in the Notes involves risks that are described in the “Risk Factors” section beginning on page PS-8 of this pricing supplement.
 
PER NOTE
TOTAL
Public Offering Price
100.00%
$2,155,000
Underwriting Discounts and Commissions
0.60%
$12,930
Proceeds to Jefferies Financial Group Inc. (Before Expenses)
99.40%
$2,142,070
Neither the Securities and Exchange Commission nor any state securities commission has approved or disapproved of these securities or determined if this pricing supplement or the accompanying product supplement, prospectus or prospectus supplement is truthful or complete. Any representation to the contrary is a criminal offense.
As used in this pricing supplement, “we,” “us” and “our” refer to Jefferies Financial Group Inc., unless the context requires otherwise.
We will deliver the Notes in book-entry form only through The Depository Trust Company on or about April 7, 2026 against payment in immediately available funds.
Jefferies
Pricing supplement dated April 2, 2026.
You should read this pricing supplement together with the related product supplement, prospectus and prospectus supplement, each of which can be accessed via the hyperlinks below, before you decide to invest.
Product Supplement no. 5, dated October 23, 2023       Prospectus supplement dated May 12, 2023 and Prospectus dated May 12, 2023


TABLE OF CONTENTS
PAGE
PRICING SUPPLEMENT
PS-ii
 PS-1
PS-2
PS-6
PS-8
PS-14
PS-27
PS-28
PS-33
PS-38
PS-39
PS-40
You should rely only on the information contained in or incorporated by reference in this pricing supplement and the accompanying product supplement, prospectus and prospectus supplement. We have not authorized anyone to provide you with different information. We are not making an offer of these securities in any state where the offer is not permitted. You should not assume that the information contained in this pricing supplement or the accompanying product supplement, prospectus or prospectus supplement is accurate as of any date later than the date on the front of this pricing supplement.

SPECIAL NOTE ON FORWARD-LOOKING STATEMENTS
This pricing supplement and the accompanying product supplement, prospectus and prospectus supplement contain or incorporate by reference “forward-looking statements” within the meaning of the safe harbor provisions of Section 27A of the Securities Act of 1933 (the “Securities Act”) and Section 21E of the Securities Exchange Act of 1934. These forward-looking statements are not statements of historical fact and represent only our belief as of the date such statements are made. There are a variety of factors, many of which are beyond our control, which affect our operations, performance, business strategy and results and could cause actual reported results and performance to differ materially from the performance and expectations expressed in these forward-looking statements. These factors include, but are not limited to, financial market volatility, actions and initiatives by current and future competitors, general economic conditions, controls and procedures relating to the close of the quarter, the effects of current, pending and future legislation or rulemaking by regulatory or self-regulatory bodies, regulatory actions, and the other risks and uncertainties that are outlined in our Annual Report on Form 10-K for the fiscal year ended November 30, 2025 filed with the U.S. Securities and Exchange Commission, or the SEC, on January 28, 2026 (the “Annual Report on Form 10-K”). You are cautioned not to place undue reliance on forward-looking statements, which speak only as of the date they are made. We do not undertake to update forward-looking statements to reflect the impact of circumstances or events that arise after the date of the forward-looking statements.

RECENT DEVELOPMENTS

On March 25, 2026, Jefferies Financial Group Inc. announced its unaudited preliminary financial results for the fiscal first quarter of 2026:

Highlights for the three months ended February 28, 2026:


Investment Banking Net Revenues of $1.01 billion

Capital Markets Net Revenues of $779 million

Asset Management Net Revenues of $220 million

Pre-Tax Earnings from Continuing Operations of $212 million

Net Earnings Attributable to Common Shareholders of $156 million (reflects a 24.9% effective tax rate)

Amounts herein pertaining to the periods ended February 28, 2026 represent a preliminary estimate and may be revised in our Quarterly Report on Form 10-Q for the quarter ended February 28, 2026.

The above preliminary financial data included in this pricing supplement has been prepared by and is the responsibility of Jefferies’ management. Deloitte & Touche LLP, Jefferies’ independent public accountant, has not audited, reviewed, compiled or performed any procedures with respect to the accompanying preliminary financial data. Accordingly, Deloitte & Touche LLP does not express an opinion or any other form of assurance with respect thereto.

THE NOTES
The Notes are senior unsecured obligations of Jefferies Financial Group Inc. The Aggregate Principal Amount of the Notes is $2,155,000. The Notes will mature on April 7, 2032. The Notes have the terms described in the accompanying product supplement, prospectus supplement and prospectus, as supplemented or modified by this pricing supplement. The Notes will pay a Contingent Coupon Payment of $18.33 on the applicable Coupon Payment Date if the Observation Value of the Worst-Performing Underlying on the applicable monthly Coupon Observation Date is greater than or equal to its Coupon Barrier. The Notes will be automatically called if the Observation Value of the Worst-Performing Underlying on any Call Observation Date (beginning approximately six months after the Pricing Date) is equal to or greater than its Call Value. If your Notes are called, you will receive the Call Payment on the applicable Call Payment Date, and no further amounts will be payable on the Notes. If your Notes are not called, at maturity, if the Final Value of the Worst-Performing Underlying is greater than or equal to its Threshold Value, you will receive the Stated Principal Amount; otherwise, your Notes are subject to 1-to-1 downside exposure to decreases in the Worst-Performing Underlying from its Initial Value, with up to 100% of the Stated Principal Amount at risk. At maturity you will also receive the final Contingent Coupon Payment if the Observation Value of the Worst-Performing Underlying on the final Coupon Observation Date is greater than or equal to its Coupon Barrier. For more information on the Coupon Feature, the Call Feature and the Payment at Maturity please see “Summary of Terms” on the cover page of this pricing supplement. All payments on the Notes are subject to our credit risk. The Notes are issued as part of our Series A Global Medium-Term Notes program.
The Stated Principal Amount of each Note is $1,000. The Issue Price will equal 100% of the Stated Principal Amount per Note. This price includes costs associated with issuing, selling, structuring and hedging the Notes, which are borne by you, and, consequently, the estimated value of the Notes on the Pricing Date is less than the Issue Price. We estimate that the value of each Note on the Pricing Date is $981.80 per Note.
If any Coupon Payment Date, Call Payment Date or the Maturity Date occurs on a day that is not a Business Day, then the payment owed on such date will be postponed until the next succeeding Business Day, and no interest will accrue as a result of such delay.
Capitalized terms used but not defined in this pricing supplement have the meanings set forth in the accompanying product supplement, prospectus supplement or prospectus, as applicable. If the terms described herein are inconsistent with those described in the accompanying product supplement, prospectus supplement or prospectus, the terms described herein shall control.

Coupon Observation Dates,  Coupon Payment Dates, Call Observation Dates and Call Payment Dates
Coupon Observation
Dates
 Coupon Payment Dates
 
Call Observation Dates
Call Payment Dates
May 4, 2026
May 7, 2026
     
June 2, 2026
June 5, 2026
     
July 2, 2026
July 8, 2026
     
August 3, 2026
August 6, 2026
     
September 2, 2026
September 8, 2026
     
October 2, 2026
October 7, 2026
 
October 2, 2026
October 7, 2026
November 2, 2026
November 5, 2026
 
November 2, 2026
November 5, 2026
December 2, 2026
December 7, 2026
 
December 2, 2026
December 7, 2026
January 4, 2027
January 7, 2027
 
January 4, 2027
January 7, 2027
February 2, 2027
February 5, 2027
 
February 2, 2027
February 5, 2027
March 2, 2027
March 5, 2027
 
March 2, 2027
March 5, 2027
April 2, 2027
April 7, 2027
 
April 2, 2027
April 7, 2027
May 3, 2027
May 6, 2027
 
May 3, 2027
May 6, 2027
June 2, 2027
June 7, 2027
 
June 2, 2027
June 7, 2027
July 2, 2027
July 8, 2027
 
July 2, 2027
July 8, 2027
August 2, 2027
August 5, 2027
 
August 2, 2027
August 5, 2027
September 2, 2027
September 8, 2027
 
September 2, 2027
September 8, 2027
October 4, 2027
October 7, 2027
 
October 4, 2027
October 7, 2027
November 2, 2027
November 5, 2027
 
November 2, 2027
November 5, 2027
December 2, 2027
December 7, 2027
 
December 2, 2027
December 7, 2027
January 3, 2028
January 6, 2028
 
January 3, 2028
January 6, 2028
February 2, 2028
February 7, 2028
 
February 2, 2028
February 7, 2028
March 2, 2028
March 7, 2028
 
March 2, 2028
March 7, 2028
April 3, 2028
April 6, 2028
 
April 3, 2028
April 6, 2028
May 2, 2028
May 5, 2028
 
May 2, 2028
May 5, 2028
June 2, 2028
June 7, 2028
 
June 2, 2028
June 7, 2028
July 3, 2028
July 7, 2028
 
July 3, 2028
July 7, 2028
August 2, 2028
August 7, 2028
 
August 2, 2028
August 7, 2028
September 5, 2028
September 8, 2028
 
September 5, 2028
September 8, 2028
October 2, 2028
October 5, 2028
 
October 2, 2028
October 5, 2028
November 2, 2028
November 7, 2028
 
November 2, 2028
November 7, 2028

December 4, 2028
December 7, 2028
 
December 4, 2028
December 7, 2028
January 2, 2029
January 5, 2029
 
January 2, 2029
January 5, 2029
February 2, 2029
February 7, 2029
 
February 2, 2029
February 7, 2029
March 2, 2029
March 7, 2029
 
March 2, 2029
March 7, 2029
April 2, 2029
April 5, 2029
 
April 2, 2029
April 5, 2029
May 2, 2029
May 7, 2029
 
May 2, 2029
May 7, 2029
June 4, 2029
June 7, 2029
 
June 4, 2029
June 7, 2029
July 2, 2029
July 6, 2029
 
July 2, 2029
July 6, 2029
August 2, 2029
August 7, 2029
 
August 2, 2029
August 7, 2029
September 4, 2029
September 7, 2029
 
September 4, 2029
September 7, 2029
October 2, 2029
October 5, 2029
 
October 2, 2029
October 5, 2029
November 2, 2029
November 7, 2029
 
November 2, 2029
November 7, 2029
December 3, 2029
December 6, 2029
 
December 3, 2029
December 6, 2029
January 2, 2030
January 7, 2030
 
January 2, 2030
January 7, 2030
February 4, 2030
February 7, 2030
 
February 4, 2030
February 7, 2030
March 4, 2030
March 7, 2030
 
March 4, 2030
March 7, 2030
April 2, 2030
April 5, 2030
 
April 2, 2030
April 5, 2030
May 2, 2030
May 7, 2030
 
May 2, 2030
May 7, 2030
June 3, 2030
June 6, 2030
 
June 3, 2030
June 6, 2030
July 2, 2030
July 8, 2030
 
July 2, 2030
July 8, 2030
August 2, 2030
August 7, 2030
 
August 2, 2030
August 7, 2030
September 3, 2030
September 6, 2030
 
September 3, 2030
September 6, 2030
October 2, 2030
October 7, 2030
 
October 2, 2030
October 7, 2030
November 4, 2030
November 7, 2030
 
November 4, 2030
November 7, 2030
December 2, 2030
December 5, 2030
 
December 2, 2030
December 5, 2030
January 2, 2031
January 7, 2031
 
January 2, 2031
January 7, 2031
February 3, 2031
February 6, 2031
 
February 3, 2031
February 6, 2031
March 3, 2031
March 6, 2031
 
March 3, 2031
March 6, 2031
April 2, 2031
April 7, 2031
 
April 2, 2031
April 7, 2031
May 2, 2031
May 7, 2031
 
May 2, 2031
May 7, 2031
June 2, 2031
June 5, 2031
 
June 2, 2031
June 5, 2031
July 2, 2031
July 8, 2031
 
July 2, 2031
July 8, 2031
August 4, 2031
August 7, 2031
 
August 4, 2031
August 7, 2031
September 2, 2031
September 5, 2031
 
September 2, 2031
September 5, 2031

October 2, 2031
October 7, 2031
 
October 2, 2031
October 7, 2031
November 3, 2031
November 6, 2031
 
November 3, 2031
November 6, 2031
December 2, 2031
December 5, 2031
 
December 2, 2031
December 5, 2031
January 2, 2032
January 7, 2032
 
January 2, 2032
January 7, 2032
February 2, 2032
February 5, 2032
 
February 2, 2032
February 5, 2032
March 2, 2032
March 5, 2032
 
March 2, 2032
March 5, 2032
April 2, 2032
April 7, 2032
     
Valuation of the Notes
Jefferies LLC calculated the estimated value of the Notes set forth on the cover page of this pricing supplement based on its proprietary pricing models at that time. Jefferies LLC’s proprietary pricing models generated an estimated value for the Notes by estimating the value of a hypothetical package of financial instruments that would replicate the payout on the Notes, which consists of a fixed-income bond (the “bond component”) and one or more derivative instruments underlying the economic terms of the Notes (the “derivative component”). In calculating the estimated value of the derivative component, Jefferies LLC estimated future cash flows based on a proprietary derivative-pricing model that is in turn based on various inputs, including the factors described under “Risk Factors—The estimated value of the Notes was determined for us by our subsidiary using proprietary pricing models” below. These inputs may be market-observable or may be based on assumptions made by Jefferies LLC in its discretionary judgment. Estimated cash flows on the bond and derivative components were discounted using a discount rate based on our internal funding rate.
The estimated value of the Notes is a function of the terms of the Notes and the inputs to Jefferies LLC’s proprietary pricing models.
Since the estimated value of the Notes is a function of the underlying assumptions and construction of Jefferies LLC’s proprietary derivative-pricing model, modification to this model will impact the estimated value calculation. Jefferies LLC’s proprietary models are subject to ongoing review and modification, and Jefferies LLC may change them at any time and for a variety of reasons. In the event of a model change, prior descriptions of the model and computations based on the older model will be superseded, and calculations of estimated value under the new model may differ significantly from those under the older model. Further, model changes may cause a larger impact on the estimated value of a note with a particular return formula than on a similar note with a different return formula. For example, to the extent a return formula contains leverage, model changes may cause a larger impact on the estimated value of that note than on a similar note without such leverage.
For an initial period following the issuance of the Notes (the “Temporary Adjustment Period”), the value that will be indicated for the Notes on any brokerage account statements prepared by Jefferies LLC or its affiliates (which value Jefferies LLC may also publish through one or more financial information vendors) will reflect a temporary upward adjustment from the price or value that would otherwise be determined. This temporary upward adjustment represents amounts which may include, but are not limited to, profits, fees, underwriting discounts and commissions and hedging and other costs expected to be paid or realized by Jefferies LLC or its affiliates, or other unaffiliated brokers or dealers, over the term of the Notes. The amount of this temporary upward adjustment will decline to zero on a straight-line basis over the Temporary Adjustment Period.
The relationship between the estimated value on the Pricing Date and the secondary market price of the Notes
The price at which Jefferies LLC purchases the Notes in the secondary market, absent changes in market conditions, including those related to interest rates and the Underlyings, may vary from, and be lower than, the estimated value on the Pricing Date, because the secondary market price takes into account our secondary market credit spread as well as the bid-offer spread that Jefferies LLC would charge in a secondary market transaction of this type, the costs of unwinding the related hedging transactions and other factors.
Jefferies LLC may, but is not obligated to, make a market in the Notes and, if it once chooses to make a market, may cease doing so at any time.

HOW THE NOTES WORK
Coupon Feature and Call Feature
The following examples illustrate the Coupon Feature and Call Feature over a range of hypothetical Observation Values of the Worst-Performing Underlying. The examples below are for purposes of illustration only and do not take into account any tax consequences from investing in the Notes. Payments on the Notes will depend on the actual Observation Values of the Worst-Performing Underlying on the Coupon Observation Dates and Call Observation Dates. For recent historical performance of the Underlyings, please see “The Underlyings” section below. The Observation Values and Final Value of each Underlying will not include any income generated by dividends paid on the Underlying or the stocks included in such Underlying, which you would otherwise be entitled to receive if you invested in those securities directly. In addition, all payments on the Notes are subject to our credit risk.
Example 1. The Observation Value of the Worst-Performing Underlying on the first Coupon Observation Date is below its Coupon Barrier. Therefore no Contingent Coupon Payment will be paid on the applicable Coupon Payment Date, even if the Observation Value of each other Underlying is greater than its Coupon Barrier on the first Coupon Observation Date.
Example 2. The Observation Value of the Worst-Performing Underlying on the sixth Coupon Observation Date (which is also the first Call Observation Date) is below its Call Value but greater than or equal to its Coupon Barrier. Therefore the Notes will not be called but a Contingent Coupon Payment will be paid on the applicable Coupon Payment Date.
Example 3. The Observation Value of the Worst-Performing Underlying on the sixth Coupon Observation Date (which is also the first Call Observation Date) is greater than or equal to its Call Value and Coupon Barrier. Therefore the Notes will be called and the Call Payment will be paid on the applicable Call Payment Date. The Notes will no longer be outstanding and no further amounts will be payable on the Notes.

Payment at Maturity
The table below assumes the Notes have not been called and presents examples of hypothetical Payments at Maturity on the Notes over a range of hypothetical Final Values of the Worst-Performing Underlying. The examples below are for purposes of illustration only and do not take into account any tax consequences from investing in the Notes. The actual Payment at Maturity will depend on the actual Final Value of the Worst-Performing Underlying determined on the Valuation Date.
The table below is based on the following terms:
 
Stated Principal Amount:
 
$1,000 per Note.
 
Hypothetical Initial Value of the Worst-Performing Underlying:
 
100
 
Hypothetical Coupon Barrier of the Worst-Performing Underlying:
 
75
 
Hypothetical Threshold Value of the Worst-Performing Underlying:
 
60
 
Contingent Coupon Payment:
 
$18.33 per Note

Final Value of the Worst-
Performing Underlying
Payment at
Maturity
per Note
Return on the Notes
0.00
 
$0.00
 
-100.00%
 
50.00
 
$500.00
 
-50.00%
 
59.99
 
$599.90
 
-40.01%
 
60.00(1)
 
$1,000.00
 
0.00%
 
70.00
 
$1,000.00
 
0.00%
 
74.99
 
$1,000.00
 
0.00%
 
75.00(2)
 
$1,018.33
 
1.833%
 
80.00
 
$1,018.33
 
1.833%
 
90.00
 
$1,018.33
 
1.833%
 
100.00
 
$1,018.33
 
1.833%
 
110.00
 
$1,018.33
 
1.833%
 
150.00
 
$1,018.33
 
1.833%
 

(1)
This hypothetical Final Value of the Worst-Performing Underlying corresponds to its Threshold Value.

(2)
This hypothetical Final Value of the Worst-Performing Underlying corresponds to its Coupon Barrier.

RISK FACTORS
In addition to the other information contained and incorporated by reference in this pricing supplement and the accompanying product supplement, prospectus and prospectus supplement, including the section entitled “Risk Factors” in our Annual Report on Form 10‑K, you should consider carefully the following factors before deciding to purchase the Notes.
Structure-related Risks
You may lose a significant portion or all of your investment.
If the Final Value of the Worst-Performing Underlying is less than its Threshold Value, you will receive for each Note that you hold a Payment at Maturity that is less than the Stated Principal Amount of each Note. In this case investors will lose 1% of the Stated Principal Amount for every 1% decline in the Final Value below the Initial Value. Investors may lose up to 100% of the Stated Principal Amount of the Notes.
Your investment return is limited to the return represented by the Contingent Coupon Payments, if any.
Your investment return will be limited to the return represented by the Contingent Coupon Payments, if any, paid over the term of the Notes. You will not receive a payment on the Notes greater than the Stated Principal Amount plus any Contingent Coupon Payments, regardless of the appreciation of the Underlyings. In contrast, a direct investment in the Underlyings (or any securities, commodities or other assets represented by the Underlyings) would allow you to receive the full benefit of any appreciation in the value of the Underlyings (or those underlying assets).
You may not receive any Contingent Coupon Payments.
You will not necessarily receive any Contingent Coupon Payments on the Notes. If the Observation Value of the Worst-Performing Underlying is less than its Coupon Barrier on each Coupon Observation Date, you will not receive any Contingent Coupon Payments over the term of the Notes. In this case, you will not receive a positive return on the Notes.
If the Notes are called you will be subject to reinvestment risk.
If the Notes are called, the term of the Notes will be short. In such a case, your ability to receive any Contingent Coupon Payments over the term of the Notes will be limited. There is no guarantee that you would be able to reinvest the proceeds from an investment in the Notes at a comparable return for a similar level of risk in the event the Notes are called prior to maturity.
The Notes are subject to the risks of each Underlying, not a basket composed of the Underlyings, and will be negatively affected if the Observation Value or Final Value of any Underlying decreases below its Coupon Barrier, Call Value or Threshold Value on the applicable Coupon Observation Date, Call Observation Date or Valuation Date, even if the Observation Value or Final Value of the other Underlyings do not.
The Notes are linked to the worst-performing of the Underlyings and you are subject to the risks associated with each Underlying. The Notes are not linked to a basket composed of the Underlyings, where the depreciation in the value of one Underlying could be offset to some extent by the appreciation in the value of the other Underlying. The individual performance of each Underlying will not be combined, and the depreciation in the value of one Underlying will not be offset by any appreciation in the value of the other Underlying. For example, even if the Observation Value of an Underlying is at or above its Coupon Barrier, you will not receive a Contingent Coupon Payment on the applicable Coupon Payment Date if the Observation Value of the Worst-Performing Underlying is below its Coupon Barrier. Similarly, if the Final Value of an Underlying is at or above its Threshold Value, you will lose a portion of your principal if the Final Value of the Worst-Performing Underlying is below its Threshold Value.
Payments on the Notes is not linked to the value of the Underlyings at any time other than the Coupon Observation Dates, Call Observation Dates or Valuation Date.
The Observation Value of each Underlying will be based on its Index Closing Value or ETF Closing Price on the applicable Coupon Observation Date or Call Observation Date and the Final Value of each Underlying will be based on its Index Closing Value or ETF Closing Price on the Valuation Date (in each case subject to postponement for non-Index Business Days or non-Trading Days and Certain Market Disruption Events as described in the accompanying product supplement). Even if the value of the Worst-Performing Underlying is always greater than its Coupon Barrier prior to a Coupon Observation Date, you will not receive a Contingent Coupon Payment on the applicable Coupon Payment Date if the Observation Value of the Worst-Performing Underlying is below its Coupon Barrier on the Coupon Observation Date. Furthermore, even if the value of the Worst-Performing Underlying appreciates prior to the Valuation Date but then drops below its Threshold Value on the Valuation Date, the Payment at Maturity will be less, and may be significantly less, than it would have been had the Payment at Maturity been linked to the value of the Worst-Performing Underlying prior to such

drop. Although the actual value of an Underlying on the Maturity Date or at other times during the term of the Notes may be higher than its Observation Values or Final Value, payments on the Notes will be based solely on the Observation Values and Final Values of the Underlyings.
You will not benefit in any way from the performance of the better performing Underlyings.
The return on the Notes will depend solely on the performance of the Worst-Performing Underlying, and you will not benefit in any way from the performance of the better performing Underlyings. The Notes may underperform a similar investment in each of the Underlyings or a similar alternative investment linked to a basket composed of the Underlyings. In either such case, the performance of the better performing Underlyings would be blended with the performance of the Worst-Performing Underlying, resulting in a potentially better return than what you would receive on the Notes.
The Notes are subject to our credit risk, and any actual or anticipated changes to our credit ratings or credit spreads may adversely affect the market value of the Notes.
You are dependent on our ability to pay all amounts due on the Notes and therefore you are subject to our credit risk. If we default on our obligations under the Notes, your investment would be at risk and you could lose some or all of your investment. As a result, the market value of the Notes prior to maturity will be affected by changes in the market’s view of our creditworthiness. Any actual or anticipated decline in our credit ratings or increase in the credit spreads charged by the market for taking our credit risk is likely to adversely affect the market value of the Notes.
Valuation- and Market-related Risks
The market price of the Notes will be influenced by many unpredictable factors.
Several factors, many of which are beyond our control, will influence the value of the Notes in the secondary market and the price at which Jefferies LLC may be willing to purchase or sell the Notes in the secondary market, including the value, volatility (frequency and magnitude of changes in value) and dividend yield of the Underlyings, interest and yield rates in the market, time remaining until the Notes mature, geopolitical conditions and economic, financial, political, regulatory or judicial events that affect the Underlyings or equities markets generally and which may affect the Observation Values or Final Value of the Underlyings and any actual or anticipated changes in our credit ratings or credit spreads. The value of the Underlyings may be, and has recently been, volatile, and we can give you no assurance that the volatility will lessen. See “The Underlyings” below. You may receive less, and possibly significantly less, than the Stated Principal Amount per Note if you try to sell your Notes prior to maturity.
The estimated value of the Notes on the Pricing Date, based on Jefferies LLC proprietary pricing models at that time and our internal funding rate, will be less than the Issue Price.
The difference is attributable to certain costs associated with selling, structuring and hedging the Notes that are included in the Issue Price. These costs include (i) the selling concessions paid in connection with the offering of the Notes, (ii) hedging and other costs incurred by us and our affiliates in connection with the offering of the Notes and (iii) the expected profit (which may be more or less than actual profit) to Jefferies LLC or other of our affiliates in connection with hedging our obligations under the Notes. These costs adversely affect the economic terms of the Notes because, if they were lower, the economic terms of the Notes would be more favorable to you. The economic terms of the Notes are also likely to be adversely affected by the use of our internal funding rate, rather than our secondary market rate, to price the Notes. See “The estimated value of the Notes would be lower if it were calculated based on our secondary market rate” below.
The estimated value of the Notes was determined for us by our subsidiary using proprietary pricing models.
Jefferies LLC derived the estimated value disclosed on the cover page of this pricing supplement from its proprietary pricing models at that time. In doing so, it may have made discretionary judgments about the inputs to its models, such as the volatility of the Underlyings. Jefferies LLC’s views on these inputs and assumptions may differ from your or others’ views, and as an agent in this offering, Jefferies LLC’s interests may conflict with yours. Both the models and the inputs to the models may prove to be wrong and therefore not an accurate reflection of the value of the Notes. Moreover, the estimated value of the Notes set forth on the cover page of this pricing supplement may differ from the value that we or our affiliates may determine for the Notes for other purposes, including for accounting purposes. You should not invest in the Notes because of the estimated value of the Notes. Instead, you should be willing to hold the Notes to maturity irrespective of the initial estimated value.
Since the estimated value of the Notes is a function of the underlying assumptions and construction of Jefferies LLC’s proprietary derivative-pricing model, modifications to this model will impact the estimated value calculation. Jefferies LLC’s proprietary models are subject to ongoing review and modification, and Jefferies LLC may change them at any time and for a variety of reasons. In the event of a model change, prior descriptions of the model and computations based on the older model will be superseded, and calculations of estimated value under the new model may differ significantly from those under the older model. Further, model changes may cause a larger impact on the estimated value of a note with a

particular return formula than on a similar note with a different return formula. For example, to the extent a return formula contains a participation rate of greater than 100%, model changes may cause a larger impact on the estimated value of that note than on a similar note without such participation rate.
The estimated value of the Notes would be lower if it were calculated based on our secondary market rate.
The estimated value of the Notes included in this pricing supplement is calculated based on our internal funding rate, which is the rate at which we are willing to borrow funds through the issuance of the Notes. Our internal funding rate is generally lower than our secondary market rate, which is the rate that Jefferies LLC will use in determining the value of the Notes for purposes of any purchases of the Notes from you in the secondary market. If the estimated value included in this pricing supplement were based on our secondary market rate, rather than our internal funding rate, it would likely be lower. We determine our internal funding rate based on factors such as the costs associated with the Notes, which are generally higher than the costs associated with conventional debt securities, and our liquidity needs and preferences. Our internal funding rate is not the same as the interest that is payable on the Notes.
Because there is not an active market for traded instruments referencing our outstanding debt obligations, Jefferies LLC determines our secondary market rate based on the market price of traded instruments referencing our debt obligations, but subject to adjustments that Jefferies LLC makes in its sole discretion. As a result, our secondary market rate is not a market-determined measure of our creditworthiness, but rather reflects the market’s perception of our creditworthiness as adjusted for discretionary factors such as Jefferies LLC’s preferences with respect to purchasing the Notes prior to maturity.
The estimated value of the Notes is not an indication of the price, if any, at which Jefferies LLC or any other person may be willing to buy the Notes from you in the secondary market.
Any such secondary market price will fluctuate over the term of the Notes based on the market and other factors described in the next risk factor. Moreover, unlike the estimated value included in this pricing supplement, any value of the Notes determined for purposes of a secondary market transaction will be based on our secondary market rate, which will likely result in a lower value for the Notes than if our internal funding rate were used. In addition, any secondary market price for the Notes will be reduced by a bid-ask spread, which may vary depending on the aggregate stated principal amount of the Notes to be purchased in the secondary market transaction, and the expected cost of unwinding related hedging transactions. As a result, it is likely that any secondary market price for the Notes will be less than the Issue Price.
The Notes will not be listed on any securities exchange and secondary trading may be limited.
The Notes will not be listed on any securities exchange. Therefore, there may be little or no secondary market for the Notes. Jefferies LLC may, but is not obligated to, make a market in the Notes and, if it once chooses to make a market, may cease doing so at any time. When it does make a market, it will generally do so for transactions of routine secondary market size at prices based on its estimate of the current value of the Notes, taking into account its bid/offer spread, our credit spreads, market volatility, the notional size of the proposed sale, the cost of unwinding any related hedging positions, the time remaining to maturity and the likelihood that it will be able to resell the Notes. Even if there is a secondary market, it may not provide enough liquidity to allow you to trade or sell the Notes easily. Since other broker-dealers may not participate significantly in the secondary market for the Notes, the price at which you may be able to trade your Notes is likely to depend on the price, if any, at which Jefferies LLC is willing to transact. If, at any time, Jefferies LLC were to cease making a market in the Notes, it is likely that there would be no secondary market for the Notes. Accordingly, you should be willing to hold your Notes to maturity.
Conflict-related Risks
The Calculation Agent, which is a subsidiary of ours, will make determinations with respect to the Notes.
As Calculation Agent, Jefferies Financial Services, Inc. will determine the Initial Value of each Underlying, will determine the Observation Values and Final Value of each Underlying and will calculate the amount of cash you receive during the term of the Notes. Moreover, certain determinations made by Jefferies Financial Services, Inc., in its capacity as Calculation Agent, may require it to exercise discretion and make subjective judgments, such as with respect to the occurrence or non-occurrence of Market Disruption Events, changes to the Adjustment Factor and the selection of a successor index or calculation of the Observation Value or Final Value in the event of a Market Disruption Event or discontinuance of an Underlying. These potentially subjective determinations may adversely affect payments on the Notes.
Our trading and hedging activities may create conflicts of interest with you.
We or one or more of our subsidiaries, including Jefferies LLC, may engage in trading activities related to the Notes that are not for your account or on your behalf. We expect to enter into arrangements to hedge the market risks associated with our obligation to pay the amounts due under the Notes. We may seek competitive terms in entering into the hedging

arrangements for the Notes, but are not required to do so, and we may enter into such hedging arrangements with one of our subsidiaries or affiliates. This hedging activity is expected to result in a profit to those engaging in the hedging activity, which could be more or less than initially expected, but which could also result in a loss for the hedging counterparty. These trading and hedging activities may present a conflict of interest between your interest as a holder of the Notes and the interests we and our subsidiaries may have in our proprietary accounts, in facilitating transactions for our customers, and in accounts under our management.
Underlying-related Risks
Investing in the Notes is not equivalent to investing in any Underlying.
Investing in the Notes is not equivalent to investing in any Underlying or the securities represented by or included in any Underlying. As an investor in the Notes, you will not have voting rights or rights to receive dividends or other distributions or any other rights with respect to the Underlyings or the securities represented by or included in any Underlying.
Historical performance of the Underlyings should not be taken as an indication of the future performance of the Underlyings during the term of the Notes.
The actual performance over the term of the Notes of the Underlyings as well as any payment on the Notes may bear little relation to the historical performance of the Underlyings. The future performance of the Underlyings may differ significantly from their historical performance, and no assurance can be given as to the value of the Underlyings during the term of the Notes. It is impossible to predict whether the value of the Underlyings will rise or fall. We cannot give you assurance that the performance of the Underlyings will not adversely affect any payment on the Notes.
You must rely on your own evaluation of the merits of an investment linked to the Underlyings.
In the ordinary course of their businesses, we or our subsidiaries may have expressed views on expected movements in the Underlyings or the securities represented by or included in the Underlyings, and may do so in the future. These views or reports may be communicated to our clients and clients of our subsidiaries. However, these views are subject to change from time to time. Moreover, other professionals who deal in markets relating to the Underlyings may at any time have views that are significantly different from ours or those of our subsidiaries. For these reasons, you should consult information about the Underlyings or the securities represented by or included in the Underlyings from multiple sources, and you should not rely on the views expressed by us or our subsidiaries.
Neither the offering of the Notes nor any views which we or our subsidiaries from time to time may express in the ordinary course of their businesses constitutes a recommendation as to the merits of an investment in the Notes.
Adjustments to an Underlying or its Underlying Index could adversely affect the value of the Notes.

The investment advisor or index publisher of an Underlying or its Underlying Index may add, delete or substitute the securities included in that Underlying or Underlying Index or make other methodological changes that could change the value of that Underlying or Underlying Index. An investment advisor or index publisher may discontinue or suspend calculation or publication of the applicable Underlying or Underlying Index at any time. In these circumstances, the Calculation Agent will have the sole discretion to calculate the value of an Underlying by reference to its Underlying Index or substitute a successor index that is comparable to the discontinued Underlying or Underlying Index and is not precluded from considering indices that are calculated and published by the Calculation Agent or any of its affiliates. If the Calculation Agent determines that there is no appropriate successor index, payments  on the Notes will be an amount based on the closing prices at maturity of the securities included in the Underlying at the time of such discontinuance, without rebalancing or substitution, computed by the Calculation Agent in accordance with the formula for calculating the Underlying last in effect prior to discontinuance of the Underlying.

The Notes are subject to risks associated with small-size capitalization companies.
The stocks comprising the RTY are issued by companies with small-sized market capitalization. The stock prices of small-size companies may be more volatile than stock prices of large capitalization companies. Small-size capitalization companies may be less able to withstand adverse economic, market, trade and competitive conditions relative to larger companies. Small-size capitalization companies may also be more susceptible to adverse developments related to their products or services.
The performance and market price of the SMH, particularly during periods of market volatility, may not correlate with the performance of its Underlying Index, the performance of the component securities of its Underlying Index or the net asset value per share of the SMH.

ETFs generally do not fully replicate their applicable Underlying Index and may hold securities that are different than those included in their applicable Underlying Index. In addition, the performance of an ETF will reflect additional transaction costs and fees that are not included in the calculation of its Underlying Index. All of these factors may lead to a lack of correlation between the performance of an ETF and its Underlying Index. In addition, corporate actions (such as mergers and spin-offs) with respect to the equity securities underlying an ETF may impact the variance between the performance of such ETF and its Underlying Index. Finally, because the shares of an ETF are traded on an exchange and are subject to market supply and investor demand, the market price of one share of an ETF may differ from the net asset value per share of such ETF.

In particular, during periods of market volatility, or unusual trading activity, trading in the securities underlying an ETF may be disrupted or limited, or such securities may be unavailable in the secondary market. Under these circumstances, the liquidity of an ETF may be adversely affected, market participants may be unable to calculate accurately the net asset value per share of such ETF, and their ability to create and redeem shares of such ETF may be disrupted. Under these circumstances, the market price of an ETF may vary substantially from the net asset value per share of such ETF or the level of its Underlying Index.

For all of the foregoing reasons, the performance of the SMH may not correlate with the performance of its Underlying Index, the performance of the component securities of its Underlying Index or the net asset value per share of the SMH. Any of these events could materially and adversely affect the price of the SMH and, by extension, adversely affect the value of the Notes. Additionally, if market volatility or these events were to occur on a Coupon Observation Date, Call Observation Date or the Valuation Date with respect to the SMH, the Calculation Agent would maintain discretion to determine whether such market volatility or events have caused a Market Disruption Event to occur, and such determination would affect payments on the Notes. If the Calculation Agent determines that no Market Disruption Event has taken place, payments on the Notes would be based solely on the ETF Closing Price per share of the ETF on the relevant Coupon Observation Date, Call Observation Date or the Valuation Date, even if the ETF is underperforming its Underlying Index or the component securities of its Underlying Index and/or trading below the net asset value per share of the ETF.

The antidilution adjustments the Calculation Agent is required to make do not cover every event that could affect the SMH.

The Calculation Agent will adjust the amount payable on the Notes for certain events affecting the SMH. However, the Calculation Agent will not make an adjustment for every event that could affect the SMH. If an event occurs that does not require the Calculation Agent to adjust the amount payable on the Notes, the market price of the Notes may be materially and adversely affected.

Adverse conditions in the semiconductor production and equipment sector may reduce your return on the Notes.

All or substantially all of the stocks held by the SMH are issued by companies whose primary line of business is directly associated with the semiconductor production and equipment sector. The SMH is subject to the risk that companies that are in the semiconductor production and equipment sector may be similarly affected by particular economic or market events. As product cycles shorten and manufacturing capacity increases, these companies may become increasingly subject to aggressive pricing, which hampers profitability. Semiconductor companies are vulnerable to wide fluctuations in securities prices due to rapid product obsolescence. Many semiconductor companies may not successfully introduce new products, develop and maintain a loyal customer base or achieve general market acceptance for their products, and failure to do so could have a material adverse effect on their business, results of operations and financial condition. Reduced demand for end-user products, underutilization of manufacturing capacity, and other factors could adversely impact the operating results of companies in the semiconductor production and equipment sector. Semiconductor companies typically face high capital costs and such companies may need additional financing, which may be difficult to obtain. They also may be subject to risks relating to research and development costs and the availability and price of components. Moreover, they may be heavily dependent on intellectual property rights and may be adversely affected by loss or impairment of those rights. Some of the companies involved in the semiconductor production and equipment sector are also engaged in other lines of business unrelated to the semiconductor business, and they may experience problems with these lines of business, which could adversely affect their operating results. The international operations of many semiconductor companies expose them to risks associated with instability and changes in economic and political conditions, foreign currency fluctuations, changes in foreign regulations, tariffs and trade disputes, competition from subsidized foreign competitors with lower production costs and other risks inherent to international business. The semiconductor production and equipment sector is highly cyclical, which may cause the operating results of many semiconductor companies to vary significantly. Companies in the semiconductor production and equipment sector also may be subject to competition from new market entrants. The stock prices of companies in the semiconductor production and equipment sector have been and will likely continue to be extremely volatile compared to the overall market. These factors could affect the semiconductor production and equipment sector and could affect the value of the equity securities

held by the SMH and the price of the SMH during the term of the Notes, which may adversely affect the value of your Notes.

The stocks held by or included in the SMH are concentrated in one sector.

The SMH holds securities issued by companies in the semiconductor production and equipment sector. As a result, some of the stocks that will determine the performance of the Notes are concentrated in one sector. Although an investment in the Notes will not give holders any ownership or other direct interests in the securities held by or included in the SMH, the return on the investment in the Notes will be subject to certain risks associated with a direct equity investment in companies in this sector. Accordingly, by investing in the Notes, you will not benefit from the diversification which could result from an investment linked to companies that operate in multiple sectors.

An investment in the Notes is subject to risks associated with investing in non-U.S. companies.
Some of the stocks included in the NDX are issued by companies incorporated outside of the United States. The prices and performance of securities of non-U.S. companies are subject to political, economic, financial, military and social factors which could negatively affect foreign securities markets, including the possibility of recent or future changes in a foreign government’s economic, monetary and fiscal policies, the possible imposition of, or changes in, currency exchange laws or other laws or restrictions applicable to foreign companies or investments in foreign equity securities, the possibility of imposition of withholding taxes on dividend income, the possibility of fluctuations in the rate of exchange between currencies, the possibility of outbreaks of hostility or political instability and the possibility of natural disaster or adverse public health developments. Moreover, the relevant non-U.S. economies may differ favorably or unfavorably from the U.S. economy in important respects, such as growth of gross national product, rate of inflation, trade surpluses or deficits, capital reinvestment, resources and self-sufficiency.
Tax-related Risks
The tax consequences of an investment in your Notes are uncertain.
The tax consequences of an investment in your Notes are uncertain, both as to the timing and character of any inclusion in income in respect of your Notes.
The Internal Revenue Service announced on December 7, 2007 that it is considering issuing guidance regarding the tax treatment of an instrument such as your Notes, and any such guidance could adversely affect the value and the tax treatment of your Notes. Among other things, the Internal Revenue Service may decide to require the holders to accrue ordinary income on a current basis and recognize ordinary income on payment at maturity, and could subject non-U.S. investors to withholding tax. Furthermore, in 2007, legislation was introduced in Congress that, if enacted, would have required holders that acquired instruments such as your Notes after the bill was enacted to accrue interest income over the term of such instruments. It is not possible to predict whether a similar or identical bill will be enacted in the future, or whether any such bill would affect the tax treatment of your Notes. We describe these developments in more detail under “Supplemental Discussion of U.S. Federal Income Tax Consequences – U.S. Holders – Possible Change in Law” below. You should consult your tax advisor about this matter. Except to the extent otherwise provided by law, we intend to continue treating the Notes for U.S. federal income tax purposes in accordance with the treatment described under “Supplemental Discussion of U.S. Federal Income Tax Consequences” below unless and until such time as Congress, the Treasury Department or the Internal Revenue Service determine that some other treatment is more appropriate. Please also consult your tax advisor concerning the U.S. federal income tax and any other applicable tax consequences to you of owning your Notes in your particular circumstances.
Your Notes may be subject to the constructive ownership rules.
There exists a risk that the constructive ownership rules of Section 1260 of the Internal Revenue Code could apply to all or a portion of your Notes. If all or a portion of your Notes were subject to the constructive ownership rules, then all or a portion of any long-term capital gain that you realize upon the sale, exchange, redemption or maturity of your Notes would be re-characterized as ordinary income (and you would be subject to an interest charge on deferred tax liability with respect to such re-characterized capital gain) to the extent that such capital gain exceeds the amount of “net underlying long-term capital gain” (as defined in Section 1260 of the Internal Revenue Code). Because the application of the constructive ownership rules is unclear you are strongly urged to consult your tax advisor with respect to the possible application of the constructive ownership rules to your investment in the Notes.

THE UNDERLYINGS
All disclosures contained in this pricing supplement regarding the Underlyings, including, without limitation, their make-up, method of calculation, and changes in their components, have been derived from publicly available sources. The information reflects the policies of, and is subject to change by, Nasdaq, Inc. (“Nasdaq”), the Index Publisher of the Nasdaq-100 Index®,  FTSE Russell, the Index Publisher of the Russell 2000® Index, and Van Eck Associates Corporation, the Investment Advisor of the VanEck® Semiconductor ETF. The Investment Advisor and Index Publishers, which license the copyright and all other rights to the Underlyings, have no obligation to continue to publish, and may discontinue publication of, the Underlyings. The consequences of the Index Publishers or Investment Advisor discontinuing publication of the Underlyings are discussed in “Description of the Notes— Discontinuance of Any Index or ETF; Alteration of Method of Calculation” in the accompanying product supplement. None of us, the Calculation Agent, or Jefferies LLC accepts any responsibility for the calculation, maintenance or publication of the Underlyings or any successor underlying. None of us, the Calculation Agent, Jefferies LLC or any of our other affiliates makes any representation to you as to the future performance of the Underlyings. You should make your own investigation into the Underlyings.
The Nasdaq-100 Index®
The Nasdaq-100 Index® (the “NDX”)  is intended to measure the performance of the 100 largest domestic and international non-financial securities listed on The Nasdaq Stock Market (“NASDAQ”) based on market capitalization. The NDX reflects companies across major industry groups including computer hardware and software, telecommunications, retail/wholesale trade and biotechnology. It does not contain securities of financial companies including investment companies.
The NDX began trading on January 31, 1985 at a base value of 125.00. The NDX is calculated and published by Nasdaq, Inc. In administering the NDX, Nasdaq, Inc. will exercise reasonable discretion as it deems appropriate.
Underlying Stock Eligibility Criteria
NDX eligibility is limited to specific security types only. The security types eligible for the NDX include foreign or domestic common stocks, ordinary shares, ADRs and tracking stocks. Security types not included in the NDX are closed-end funds, convertible debt securities, exchange traded funds, limited liability companies, limited partnership interests, preferred stocks, rights, shares or units of beneficial interest, warrants, units, and other derivative securities. The NDX does not contain securities of investment companies. For purposes of the NDX eligibility criteria, if the security is a depositary receipt representing a security of a non-U.S. issuer, then references to the “issuer” are references to the issuer of the underlying security.
Initial Eligibility Criteria
To be eligible for initial inclusion in the NDX, a security must be listed on NASDAQ and meet the following criteria:
the security’s U.S. listing must be exclusively on the Nasdaq Global Select Market or the Nasdaq Global Market (unless the security was dually listed on another U.S. market prior to January 1, 2004 and has continuously maintained such listing);
the security must be of a non-financial company;
the security may not be issued by an issuer currently in bankruptcy proceedings;
the security must have a minimum three-month average daily trading volume of at least 200,000 shares;
if the issuer of the security is organized under the laws of a jurisdiction outside the U.S., then such security must have listed options on a recognized options market in the U.S. or be eligible for listed-options trading on a recognized options market in the U.S.;
the issuer of the security may not have entered into a definitive agreement or other arrangement which would likely result in the security no longer being eligible for inclusion in the NDX;
the issuer of the security may not have annual financial statements with an audit opinion that is currently withdrawn; and
the issuer of the security must have “seasoned” on NASDAQ, the New York Stock Exchange or NYSE Amex. Generally, a company is considered to be seasoned if it has been listed on a market for at least three full months (excluding the first month of initial listing).

Continued Eligibility Criteria
In addition, to be eligible for continued inclusion in the NDX, the following criteria apply:
the security’s U.S. listing must be exclusively on the Nasdaq Global Select Market or the Nasdaq Global Market;
the security must be of a non-financial company;
the security may not be issued by an issuer currently in bankruptcy proceedings;
the security must have a minimum three-month average daily trading volume of at least 200,000 shares;
if the issuer of the security is organized under the laws of a jurisdiction outside the U.S., then such security must have listed options on a recognized options market in the U.S. or be eligible for listed-options trading on a recognized options market in the U.S. (measured annually during the ranking review process);
the security must have an adjusted market capitalization equal to or exceeding 0.10% of the aggregate adjusted market capitalization of the NDX at each month-end. In the event a company does not meet this criterion for two consecutive month-ends, it will be removed from the NDX effective after the close of trading on the third Friday of the following month; and
the issuer of the security may not have annual financial statements with an audit opinion that is currently withdrawn.
Computation of the NDX
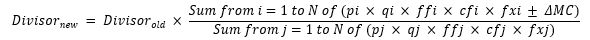
The value of the NDX equals the aggregate value of the NDX share weights (the “NDX Shares”) of each of the NDX securities multiplied by each such security’s last sale price (last sale price refers to the last sale price on NASDAQ), and divided by the divisor of the NDX. If trading in an NDX security is halted while the market is open, the last traded price for that security is used for all NDX computations until trading resumes. If trading is halted before the market is open, the previous day’s last sale price is used. The formula for determining the NDX value is as follows:
The NDX is ordinarily calculated without regard to cash dividends on NDX securities. The NDX is calculated during the trading day and is disseminated once per second from 09:30:01 to 17:16:00 ET. The closing level of the NDX may change up until 17:15:00 ET due to corrections to the last sale price of the NDX securities. The official closing value of the NDX is ordinarily disseminated at 17:16:00 ET.
NDX Maintenance
Changes to NDX Constituents
Changes to the NDX constituents may be made during the annual ranking review. In addition, if at any time during the year other than the annual review, it is determined that an NDX security issuer no longer meets the criteria for continued inclusion in the NDX, or is otherwise determined to have become ineligible for continued inclusion in the NDX, it is replaced with the largest market capitalization issuer not currently in the NDX that meets the applicable eligibility criteria for initial inclusion in the NDX.
Ordinarily, a security will be removed from the NDX at its last sale price. However, if at the time of its removal the NDX security is halted from trading on its primary listing market and an official closing price cannot readily be determined, the NDX security may, in Nasdaq, Inc.’s discretion, be removed at a price of $0.00000001 (“zero price”). This zero price will be applied to the NDX security after the close of the market but prior to the time the official closing value of the NDX is disseminated.
Divisor Adjustments
The divisor is adjusted to ensure that changes in the NDX constituents either by corporate actions (that adjust either the price or shares of an NDX security) or NDX participation outside of trading hours do not affect the value of the NDX. All divisor changes occur after the close of the applicable index security markets.
Quarterly NDX Rebalancing
The NDX will be rebalanced on a quarterly basis if it is determined that (1) the current weight of the single NDX security with the largest market capitalization is greater than 24.0% of the NDX or (2) the collective weight of those securities whose individual current weights are in excess of 4.5% exceeds 48.0% of the NDX. In addition, a “special rebalancing” of

the NDX may be conducted at any time if Nasdaq, Inc. determines it necessary to maintain the integrity and continuity of the NDX. If either one or both of the above weight distribution conditions are met upon quarterly review, or Nasdaq, Inc. determines that a special rebalancing is necessary, a weight rebalancing will be performed.
If the first weight distribution condition is met and the current weight of the single NDX security with the largest market capitalization is greater than 24.0%, then the weights of all securities with current weights greater than 1.0% (“large securities”) will be scaled down proportionately toward 1.0% until the adjusted weight of the single largest NDX security reaches 20.0%.
If the second weight distribution condition is met and the collective weight of those securities whose individual current weights are in excess of 4.5% (or adjusted weights in accordance with the previous step, if applicable) exceeds 48.0% of the NDX, then the weights of all such large securities in that group will be scaled down proportionately toward 1.0% until their collective weight, so adjusted, is equal to 40.0%.
The aggregate weight reduction among the large securities resulting from either or both of the rebalancing steps above will then be redistributed to those securities with weightings of less than 1.0% (“small securities”) in the following manner. In the first iteration, the weight of the largest small security will be scaled upwards by a factor which sets it equal to the average NDX weight of 1.0%. The weights of each of the smaller remaining small securities will be scaled up by the same factor reduced in relation to each security’s relative ranking among the small securities such that the smaller the NDX security in the ranking, the less its weight will be scaled upward. This is intended to reduce the market impact of the weight rebalancing on the smallest component securities in the NDX.
In the second iteration of the small security rebalancing, the weight of the second largest small security, already adjusted in the first iteration, will be scaled upwards by a factor which sets it equal to the average NDX weight of 1.0%. The weights of each of the smaller remaining small securities will be scaled up by this same factor reduced in relation to each security’s relative ranking among the small securities such that, once again, the smaller the security in the ranking, the less its weight will be scaled upward. Additional iterations will be performed until the accumulated increase in weight among the small securities equals the aggregate weight reduction among the large securities that resulted from the rebalancing in accordance with the two weight distribution conditions discussed above.
Finally, to complete the rebalancing process, once the final weighting percentages for each NDX security have been set, the NDX Shares will be determined anew based upon the last sale prices and aggregate capitalization of the NDX at the close of trading on the last calendar day in February, May, August and November. Changes to the NDX Shares will be made effective after the close of trading on the third Friday in March, June, September and December, and an adjustment to the divisor is made to ensure continuity of the NDX. Ordinarily, new rebalanced NDX Shares will be determined by applying the above procedures to the current NDX Shares. However, Nasdaq, Inc. may, from time to time, determine rebalanced weights, if necessary, by applying the above procedure to the actual current market capitalization of the NDX components. In such instances, Nasdaq, Inc. would announce the different basis for rebalancing prior to its implementation.
During the quarterly rebalancing, data is cutoff as of the previous month end and no changes are made to the NDX from that cutoff until the quarterly index share change effective date, except in the case of changes due to corporate actions with an ex-date.
Adjustments for Corporate Actions
Changes in the price and/or NDX Shares driven by corporate events such as stock dividends, splits, and certain spin-offs and rights issuances will be adjusted on the ex-date. If the change in total shares outstanding arising from other corporate actions is greater than or equal to 10.0%, the change will be made as soon as practicable. Otherwise, if the change in total shares outstanding is less than 10.0%, then all such changes are accumulated and made effective at one time on a quarterly basis after the close of trading on the third Friday in each of March, June, September, and December. The NDX Shares are derived from the security’s total shares outstanding. The NDX Shares are adjusted by the same percentage amount by which the total shares outstanding have changed.
Historical Performance of the Nasdaq-100 Index®
The following graph sets forth the daily historical performance of the Nasdaq-100 Index® in the period from January 1, 2019 through April 2, 2026.  We obtained this historical data from Bloomberg L.P. We have not independently verified the accuracy or completeness of the information obtained from Bloomberg L.P.
NDX Index Daily Closing Levels

This historical data on the Underlying is not necessarily indicative of the future performance of the Underlying or what the value of the Notes may be. Any historical upward or downward trend in the level of the Underlying during any period set forth above is not an indication that the level of the Underlying is more or less likely to increase or decrease at any time over the term of the Notes.
Before investing in the Notes, you should consult publicly available sources for the levels of the Nasdaq-100 Index®.
License Agreement
The securities are not sponsored, endorsed, sold or promoted by Nasdaq, Inc. or its affiliates (Nasdaq, Inc., with its affiliates, are referred to as the “Corporations”). The Corporations have not passed on the legality or suitability of, or the accuracy or adequacy of descriptions and disclosures relating to, the securities. The Corporations make no representation or warranty, express or implied, to the owners of the securities or any member of the public regarding the advisability of investing in securities generally or in the securities particularly, or the ability of the NDX to track general stock market performance. The Corporations’ only relationship to us is in the licensing of the NASDAQ®, OMX®, NASDAQ OMX®, and NDX registered trademarks, and certain trade names of the Corporations or their licensor and the use of the NDX which is determined, composed and calculated by Nasdaq, Inc. without regard to us or the securities. Nasdaq, Inc. has no obligation to take the needs of us or the owners of the securities into consideration in determining, composing or calculating the NDX. The Corporations are not responsible for and have not participated in the determination of the timing of, prices at, or quantities of the securities to be issued or in the determination or calculation of the equation by which the securities are to be converted into cash. The Corporations have no liability in connection with the administration, marketing or trading of the securities.
THE CORPORATIONS DO NOT GUARANTEE THE ACCURACY AND/OR UNINTERRUPTED CALCULATION OF THE NDX OR ANY DATA INCLUDED THEREIN. THE CORPORATIONS MAKE NO WARRANTY, EXPRESS OR IMPLIED, AS TO RESULTS TO BE OBTAINED BY US, OWNERS OF THE SECURITIES, OR ANY OTHER PERSON OR ENTITY FROM THE USE OF THE NDX OR ANY DATA INCLUDED THEREIN. THE CORPORATIONS MAKE NO EXPRESS OR IMPLIED WARRANTIES, AND EXPRESSLY DISCLAIM ALL WARRANTIES OF MERCHANTABILITY OR FITNESS FOR A PARTICULAR PURPOSE OR USE WITH RESPECT TO THE NDX OR ANY DATA INCLUDED THEREIN. WITHOUT LIMITING ANY OF THE FOREGOING, IN NO EVENT SHALL THE CORPORATIONS HAVE ANY LIABILITY FOR ANY LOST PROFITS OR SPECIAL, INCIDENTAL, PUNITIVE, INDIRECT, OR CONSEQUENTIAL DAMAGES, EVEN IF NOTIFIED OF THE POSSIBILITY OF SUCH DAMAGES.
The Russell 2000® Index
The Russell 2000® Index (the “RTY”)  was developed by Russell Investments (“Russell”) before FTSE International Limited and Russell combined in 2015 to create FTSE Russell, which is wholly owned by London Stock Exchange Group. Additional information on the RTY is available at the following website: http://www.ftserussell.com. No information on that website is deemed to be included or incorporated by reference in this pricing supplement.
Russell began dissemination of the RTY (Bloomberg L.P. index symbol “RTY”) on January 1 , 1984. FTSE Russell calculates and publishes the RTY. The RTY was set to 135 as of the close of business on December 31 , 1986. The RTY is designed to track the performance of the small capitalization segment of the U.S. equity market. As a subset of the Russell 3000® Index, the RTY consists of the smallest 2,000 companies included in the Russell 3000® Index. The Russell

3000® Index measures the performance of the largest 3,000 U.S. companies, representing approximately 98% of the investable U.S. equity market. The RTY is determined, comprised, and calculated by FTSE Russell without regard to the securities.
Selection of Stocks Comprising the RTY
Each company eligible for inclusion in the RTY must be classified as a U.S. company under FTSE Russell’s country-assignment methodology. If a company is incorporated, has a stated headquarters location, and trades in the same country (American Depositary Receipts and American Depositary Shares are not eligible), then the company is assigned to its country of incorporation. If any of the three factors are not the same, FTSE Russell defines three Home Country Indicators (“HCIs”): country of incorporation, country of headquarters, and country of the most liquid exchange (as defined by a two-year average daily dollar trading volume) (“ADDTV”) from all exchanges within a country. Using the HCIs, FTSE Russell compares the primary location of the company’s assets with the three HCIs. If the primary location of its assets matches any of the HCIs, then the company is assigned to the primary location of its assets. If there is insufficient information to determine the country in which the company’s assets are primarily located, FTSE Russell will use the country from which the company’s revenues are primarily derived for the comparison with the three HCIs in a similar manner. FTSE Russell uses the average of two years of assets or revenues data to reduce potential turnover. If conclusive country details cannot be derived from assets or revenues data, FTSE Russell will assign the company to the country of its headquarters, which is defined as the address of the company’s principal executive offices, unless that country is a Benefit Driven Incorporation “BDI” country, in which case the company will be assigned to the country of its most liquid stock exchange. BDI countries include: Anguilla, Antigua and Barbuda, Bahamas, Barbados, Belize, Bermuda, Bonaire, British Virgin Islands, Cayman Islands, Channel Islands, Cook Islands, Curacao, Faroe Islands, Gibraltar, Guernsey, Isle of Man, Jersey, Liberia, Marshall Islands, Panama, Saba, Sint Eustatius, Sint Maarten, and Turks and Caicos Islands. For any companies incorporated or headquartered in a U.S. territory, including Puerto Rico, Guam, and U.S. Virgin Islands, a U.S. HCI is assigned.
All securities eligible for inclusion in the RTY must trade on a major U.S. exchange. Stocks must have a closing price at or above $1.00 on their primary exchange on the last trading day in May to be eligible for inclusion during annual reconstitution. However, in order to reduce unnecessary turnover, if an existing member’s closing price is less than $1.00 on the last day of May, it will be considered eligible if the average of the daily closing prices (from its primary exchange) during the month of May is equal to or greater than $1.00. Initial public offerings are added each quarter and must have a closing price at or above $1.00 on the last day of their eligibility period in order to qualify for index inclusion. If an existing stock does not trade on the “rank day” (typically the last trading day in May but a confirmed timetable is announced each spring) but does have a closing price at or above $1.00 on another eligible U.S. exchange, that stock will be eligible for inclusion.
An important criterion used to determine the list of securities eligible for the RTY is total market capitalization, which is defined as the market price as of the last trading day in May for those securities being considered at annual reconstitution times the total number of shares outstanding. Where applicable, common stock, non-restricted exchangeable shares and partnership units/membership interests are used to determine market capitalization. Any other form of shares such as preferred stock, convertible preferred stock, redeemable shares, participating preferred stock, warrants and rights, installment receipts or trust receipts, are excluded from the calculation. If multiple share classes of common stock exist, they are combined. In cases where the common stock share classes act independently of each other (e.g., tracking stocks), each class is considered for inclusion separately. If multiple share classes exist, the pricing vehicle will be designated as the share class with the highest two-year trading volume as of the rank day in May.
Companies with a total market capitalization of less than $30 million are not eligible for the RTY. Similarly, companies with only 5% or less of their shares available in the marketplace are not eligible for the RTY. Royalty trusts, limited liability companies, closed-end investment companies (companies that are required to report Acquired Fund Fees and Expenses, as defined by the SEC, including business development companies), blank check companies, special purpose acquisition companies, and limited partnerships are also ineligible for inclusion. Bulletin board, pink sheets, and over-the-counter traded securities are not eligible for inclusion. Exchange traded funds and mutual funds are also excluded.
Annual reconstitution is a process by which the RTY is completely rebuilt. Based on closing levels of the company’s common stock on its primary exchange on the rank day of May of each year, FTSE Russell reconstitutes the composition of the RTY using the then existing market capitalizations of eligible companies. Reconstitution of the RTY occurs on the last Friday in June or, when the last Friday in June is the 29th or 30th, reconstitution occurs on the prior Friday. In addition, FTSE Russell adds initial public offerings to the RTY on a quarterly basis based on total market capitalization ranking within the market-adjusted capitalization breaks established during the most recent reconstitution. After membership is determined, a security’s shares are adjusted to include only those shares available to the public. This is often referred to as “free float.” The purpose of the adjustment is to exclude from market calculations the capitalization that is not available for purchase and is not part of the investable opportunity set.
Historical Performance of the Russell 2000® Index

The following graph sets forth the daily historical performance of the Russell 2000® Index in the period from January 1, 2019 through April 2, 2026.  We obtained this historical data from Bloomberg L.P. We have not independently verified the accuracy or completeness of the information obtained from Bloomberg L.P.
RTY Index Daily Closing Levels
This historical data on the Underlying is not necessarily indicative of the future performance of the Underlying or what the value of the Notes may be. Any historical upward or downward trend in the level of the Underlying during any period set forth above is not an indication that the level of the Underlying is more or less likely to increase or decrease at any time over the term of the Notes.
Before investing in the Notes, you should consult publicly available sources for the levels of the Russell 2000® Index.
License Agreement
“Russell 2000®” and “Russell 3000®” are trademarks of FTSE Russell and have been licensed for use by Jefferies Financial Group Inc. (the “Issuer”). The securities are not sponsored, endorsed, sold, or promoted by FTSE Russell, and FTSE Russell makes no representation regarding the advisability of investing in the securities.
FTSE Russell and the Issuer have entered into a non-exclusive license agreement providing for the license to the Issuer and its affiliates in exchange for a fee, of the right to use indices owned and published by FTSE Russell in connection with some securities, including the securities. The license agreement provides that the following language must be stated in this pricing supplement:
The securities are not sponsored, endorsed, sold, or promoted by FTSE Russell. FTSE Russell makes no representation or warranty, express or implied, to the holders of the securities or any member of the public regarding the advisability of investing in securities generally or in the securities particularly or the ability of the RTY to track general stock market performance or a segment of the same. FTSE Russell’s publication of the RTY in no way suggests or implies an opinion by FTSE Russell as to the advisability of investment in any or all of the securities upon which the RTY is based. FTSE Russell’s only relationship to the Issuers is the licensing of certain trademarks and trade names of FTSE Russell and of the RTY, which is determined, composed, and calculated by FTSE Russell without regard to the Issuer or the securities. FTSE Russell is not responsible for and has not reviewed the securities nor any associated literature or publications and FTSE Russell makes no representation or warranty express or implied as to their accuracy or completeness, or otherwise. FTSE Russell reserves the right, at any time and without notice, to alter, amend, terminate, or in any way change the RTY. FTSE Russell has no obligation or liability in connection with the administration, marketing, or trading of the securities.
FTSE RUSSELL DOES NOT GUARANTEE THE ACCURACY AND/OR THE COMPLETENESS OF THE RTY OR ANY DATA INCLUDED THEREIN AND FTSE RUSSELL SHALL HAVE NO LIABILITY FOR ANY ERRORS, OMISSIONS, OR INTERRUPTIONS THEREIN. FTSE RUSSELL MAKES NO WARRANTY, EXPRESS OR IMPLIED, AS TO RESULTS TO BE OBTAINED BY THE ISSUER, HOLDERS OF THE SECURITIES, OR ANY OTHER PERSON OR ENTITY FROM THE USE OF THE RTY OR ANY DATA INCLUDED THEREIN. FTSE RUSSELL MAKES NO EXPRESS OR IMPLIED WARRANTIES, AND EXPRESSLY DISCLAIMS ALL WARRANTIES OF MERCHANTABILITY OR FITNESS FOR A PARTICULAR PURPOSE OR USE WITH RESPECT TO THE RTY OR ANY DATA INCLUDED THEREIN. WITHOUT LIMITING ANY OF THE FOREGOING, IN NO EVENT SHALL FTSE RUSSELL HAVE ANY LIABILITY FOR ANY

SPECIAL, PUNITIVE, INDIRECT, OR CONSEQUENTIAL DAMAGES (INCLUDING LOST PROFITS), EVEN IF NOTIFIED OF THE POSSIBILITY OF SUCH DAMAGES.
The VanEck® Semiconductor ETF
The SMH is an exchange-traded fund that trades on the NYSE Arca, Inc. under the ticker symbol “SMH.” The SMH seeks to replicate as closely as possible, before fees and expenses, the price and yield performance of the MVIS® US Listed Semiconductor 25 Index (“MVSMH”). For more information about the MVSMH, please see “The MVIS® US Listed Semiconductor 25 Index” below.
The SMH, using a “passive” or indexing investment approach, attempts to approximate the investment performance of the MVSMH by investing in a portfolio of securities that generally replicates the MVSMH.
The SMH’s return may not match the return of the MVSMH for a number of reasons. For example, the SMH incurs a number of operating expenses not applicable to the MVSMH and incurs costs associated with buying and selling securities, especially when rebalancing the SMH’s securities holdings to reflect changes in the composition of the MVSMH, which are not factored into the return of the MVSMH. Transaction costs, including brokerage costs, will decrease the SMH’s net asset value to the extent not offset by the transaction fee payable by an authorized participant. Market disruptions and regulatory restrictions could have an adverse effect on the SMH’s ability to adjust its exposure to the required levels in order to track the MVSMH. Errors in the MVSMH data, the MVSMH computations and/or the construction of the MVSMH in accordance with its methodology may occur from time to time and may not be identified and corrected by the MVSMH provider for a period of time or at all, which may have an adverse impact on the SMH and its shareholders. In addition, the SMH may not invest in certain securities included in the MVSMH, or invest in them in the exact proportions in which they are represented in the MVSMH. The SMH’s performance may also deviate from the return of the MVSMH due to legal restrictions or limitations imposed by the governments of certain countries, certain listing standards of the SMH’s listing exchange, a lack of liquidity on stock exchanges in which the securities trade, potential adverse tax consequences or other regulatory reasons (such as diversification requirements). The SMH may value certain of its investments and/or other assets based on fair value prices. To the extent the SMH calculates its net asset value based on fair value prices and the value of the MVSMH is based on securities’ closing prices (i.e., the value of the MVSMH is not based on fair value prices), the SMH’s ability to track the MVSMH may be adversely affected. In addition, any issues the SMH encounters with regard to currency convertibility (including the cost of borrowing funds, if any) and repatriation may also increase tracking risk. In light of the factors discussed above, the SMH’s return may deviate significantly from the return of the MVSMH.
Changes to the composition of the MVSMH in connection with a rebalancing or reconstitution of the MVSMH may cause the SMH to experience increased volatility, during which time the SMH’s index tracking risk may be heightened.
The MVIS® US Listed Semiconductor 25 Index
All information contained in this pricing supplement regarding the MVSMH, including, without limitation, its make-up, method of calculation and changes in its components, from publicly available information, without independent verification. This information reflects the policies of, and is subject to change by, MV Index Solutions GmbH (“MVIS”). The MVSMH was developed by MVIS and is maintained and published by MVIS. The MVSMH is calculated by Solactive AG. MVIS has no obligation to continue to publish, and may discontinue the publication of, the MVSMH.
The MVSMH is reported by Bloomberg L.P. under the ticker symbol “MVSMH.”
The MVSMH is designed to track the performance of the largest and most liquid U.S.-listed companies that derive at least 50% (25% for current components) of their revenues from semiconductors. This includes companies engaged primarily in the production of semiconductors and semiconductor equipment. The MVSMH was launched on August 12, 2011 with a base index value of 1,000 as of September 29, 2000.
Index Composition and Maintenance
The Index Universe
The index universe includes only common stocks and stocks with similar characteristics from financial markets that are freely investable for foreign investors and that provide real-time and historical component and currency pricing. Limited partnerships are excluded. Companies from financial markets that are not freely investable for foreign investors or that do not provide real-time and historical component and currency pricing may still be eligible if they have a listing on an eligible exchange and if they meet all the size and liquidity requirements on that exchange.
Only stocks that have a full market capitalization exceeding US$50 million are eligible for the index universe.
Investable Index Universe

Companies with a free-float (or shares available to foreign investors) of less than 5% for existing index components or less than 10% for new components are ineligible for inclusion.
In addition to the above, stocks that are currently not in the MVSMH must meet the following size and liquidity requirements:
a full market capitalization exceeding US$150 million;
a three-month average-daily-trading volume of at least US$1 million at the current review and also at the previous two reviews; and
at least 250,000 shares traded per month over the last six months at the current review and also at the previous two reviews.
For stocks already in the MVSMH the following applies:
a full market capitalization exceeding US$75 million; and
a three-month average-daily-trading volume of at least US$0.2 million in at least two of the latest three quarters (current review and also at previous two reviews)
In addition, a three-month average-daily-trading volume of at least US$0.6 million at current review or at one of the previous two reviews; or
at least 200,000 shares traded per month over the last six months at the current review or at one of the previous two reviews.
In case the number of investable stocks drops below the minimum component number for the respective index, current components remain investable.
Only one share line of each company is eligible. In case more than one share line fulfills the above size and liquidity rules, only the largest share line by free-float market capitalization is eligible. MVIS can, in exceptional cases (e.g., significantly higher liquidity), decide for a different share line.
In case the free-float market capitalization of a non-component share line:
exceeds the free-float market capitalization of a share line of the same company which is an index component by at least 25%; and
fulfills all size and liquidity eligibility criteria for non-components,
the current component share line will be replaced by the larger one. MVIS can, in exceptional cases (e.g., significantly higher liquidity), decide to keep the current share line instead.
Index Constituent Selection
The MVSMH is reviewed on a semi-annual basis in March and September.
The target coverage of the MVSMH is 25 companies from the investable universe. MVSMH constituents are selected using the following procedure:
The largest 50 stocks (by full market capitalization) from the investable universe qualify.
The 50 stocks are ranked in two different ways — by free-float market capitalization in descending order (the largest company receives rank “1”) and then by three-month average-daily-trading volume in descending order (the most liquid company receives rank “1”). These two ranks are added up.
The 50 stocks are then ranked by the sum of their two ranks in Step 2 in ascending order. If two companies have the same sum of ranks, the larger company is placed on top.
a. Initially, the highest ranked 25 companies made up the MVSMH.
b. On-going, a 10-40 buffer is applied: the highest ranked 10 companies qualify. The remaining 15 companies are selected from the highest ranked remaining current MVSMH components ranked between 11 and 40. If the number of selected companies is still below 25, then the highest ranked remaining stocks are selected until 25 companies have been selected.
Review Schedule

The reviews for the MVSMH are based on the closing data on the last business day in February and August. If a company does not trade on the last business day in February or August, the last available price for this company will be used.
The underlying index data (e.g., new number of shares, new free-float factors and new weighting cap factors) is announced on the second Friday in March or September. The weighting cap factors are based on closing data of the Wednesday prior to the second Friday in March or September.
Changes to the MVSMH are implemented and based on the closing prices of the third Friday in March or September. If the third Friday is not a business day, then the review will take place on the last business day before the third Friday. If a constituent of the MVSMH does not trade on the third Friday in March or September, then the last available price for that index constituent will be used. Changes become effective on the next business day. The component changes to the MVSMH are announced on the second Friday in March or September.
Ongoing Maintenance
In addition to the periodic reviews, the MVSMH is continually reviewed for corporate events (e.g., mergers, takeovers, spin-offs, delistings and bankruptcies) that affect the MVSMH components.
Deletions.
For all corporate events that result in a stock deletion from the MVSMH, the deleted stock will be replaced with the highest ranked non-component on the most recent selection list immediately only if the number of components in the MVSMH would drop below 20. The replacement stock will be added at the same weight as the deleted stock. Only in case the number of components drop below its minimum due to a merger of two or more index components, the replacement stock will be added with its free-float market capitalization, weighted with the capping factor of the uncapped components in the small-weight group of the weighting scheme. In all other cases (i.e., there is not replacement), the additional weight resulting from the deletion will be redistributed proportionally across all other components of the MVSMH.
Changes to Free-Float Factor and Number of Shares.
Changes to the number of shares or the free-float factors due to corporate actions like stock dividends, splits, rights issues, etc. are implemented immediately and will be effective the next trading day (i.e., the ex-date). Simple share/float changes are implemented after a 3-day notice period.
Initial Public Offerings (IPOs) and Spin-Offs.
An IPO stock is eligible for fast-track addition to the index universe for the MVSMH once; either at the next semi-annual review if it has been trading since at least the last trading day of the month prior to the review snapshot dates (i.e., the last trading day in February or August) or else at the then-following semi-annual review. In order to be added to the MVSMH the IPO stock has to meet the size and liquidity requirements:
the IPO must have a full market capitalization exceeding US$150 million;
the IPO must have a free-float factor of at least 10%;
the IPO must have an average-daily-trading volume of at least US$1 million; and
the IPO must have traded at least 250,000 shares per month (or per 22 days).
This rule is applicable for newly spun-off companies as well.
Changes due to Mergers & Takeovers.
A merger or takeover is deemed successful if it has been declared wholly unconditional and has received approval of all regulatory agencies with jurisdiction over the transaction. The result of a merger or takeover is typically one surviving stock and one or more non-surviving stocks that may not necessarily be de-listed from the respective trading system(s).
If a MVSMH component merges with or takes over another MVSMH component: The surviving stock remains in the MVSMH and the other stock is deleted immediately from the MVSMH. Its shares and float are adjusted according to the terms of the merger/takeover. The index market capitalization of the merged company corresponds to the market capitalization of the two separate companies.
If a MVSMH component merges with or takes over a non-MVSMH component: If the surviving stock meets the MVSMH requirements, then it remains in the MVSMH and its shares (if the share change is greater than 10%) and float are adjusted according to the terms of the merger/takeover. If the surviving stock does not meet the MVSMH requirements, then it is deleted immediately from the MVSMH.

If a non-MVSMH component merges with or takes over a MVSMH component: If the surviving stock meets the MVSMH requirements, then it will be added to the MVSMH (shares (if the share change is greater than 10%) and float adjusted according to the terms of the merger/takeover) and will replace the current MVSMH component. If the surviving stock does not meet the MVSMH requirements, then it will not be added to the MVSMH and the current MVSMH component is deleted immediately from the MVSMH.
Changes due to Spin-Offs.
Each spin-off stock is immediately added to the MVSMH for at least two trading days. If a spin-off company does not qualify for the MVSMH, it will be deleted based on its closing price. Shares and floats of the surviving companies are adjusted according to the terms of the spin-off. In case the number of MVSMH components drops below the minimum component number and no non-component stock is eligible as a replacement, the determination of the addition is subject to MVIS’s decision.
Index Calculation
The value of the MVSMH is calculated using the Laspeyres’ formula, rounded to two decimal places, with stock prices converted to U.S. dollars:
where (for all stocks (i) in the MVSMH):
pi = stock price (rounded to four decimal places);
qi = number of shares;
ffi = free-float factor (rounded to two decimal places);
fxi = exchange rate (local currency to U.S. Dollar) (rounded to 12 decimal places);
cfi = sector-weighting cap factor (if applicable, otherwise set to 1) (rounded to 16 decimal places);
M = free-float market capitalization of the MVSMH; and
D = divisor (rounded to six decimal places).
Free-Float
The MVSMH is free-float adjusted — that is, the number of shares outstanding is reduced to exclude closely held shares (amount larger than 5% of the company’s full market capitalization) from the index calculation. At times, other adjustments are made to the share count to reflect foreign ownership limits. These are combined with the block-ownership adjustments into a single factor. To avoid unwanted double counting, either the block-ownership adjustment or the restricted stocks adjustment is applied, whichever produces the higher result. Free-float factors are reviewed quarterly.
Company-Weighting Cap Factors
Companies in the MVSMH are weighted according to their free-float market capitalization, as modified by the company-weighting cap factors. The MVSMH used the company-weighting cap factors to ensure diversification to avoid overweighting. The company-weighting cap factors are reviewed quarterly and applied, if necessary. The following weighting scheme applies to the MVSMH:
All MVSMH components are weighted by their free-float market capitalization.
All companies exceeding 4.5% but at least the largest five and at the maximum the largest 10 companies are grouped together (so called “Large-Weights”). All other companies are grouped together as well (so called “Small-Weights”).
The aggregated weighting of the Large-Weights is capped at 50%:
a. Large-Weights: If the aggregated weighting of all companies in Large-Weight exceeds 50%, then a capping factor is calculated to bring the weighting down to 50%; at the same time, a second capping factor for the Small-Weights is calculated to increase the aggregated weight to 50%. These two factors are then applied to all companies in the Large-Weights or the Small-Weights respectively.
b. Large-Weights: The maximum weight for any single stock is 20% and the minimum weighting is 5%. If a stock is above the maximum or below the minimum weight, then the weight will be reduced to the maximum weight or increased to the

minimum weight and the excess weight will be re-distributed proportionally across all other remaining MVSMH constituents in the Large-Weights.
c. Small-Weights: The maximum weight for any single stock is 4.5%. If a stock is above the maximum weight, then the weight will be reduced to the maximum weight and the excess weight will be re-distributed proportionally across all other remaining MVSMH constituents in the Small-Weights.
Divisor Adjustments
Index maintenance (reflecting changes in, e.g., shares outstanding, capital actions, addition or deletion of stocks to the MVSMH) should not change the level of the MVSMH. This is accomplished with an adjustment to the divisor. Any change to the stocks in the MVSMH that alters the total market value of the MVSMH while holding stock prices constant will require a divisor adjustment.
where ΔMC is the difference between closing market capitalization and adjusted closing market capitalization of the MVSMH.
Data Correction
Incorrect or missing input data will be corrected immediately.
Corporate Action Related Adjustments
Corporate actions range widely from routine share issuances or buy backs to unusual events like spin-offs or mergers. These are listed on the table below with notes about the necessary changes and whether the divisor will be adjusted. Implementation takes place on the ex-date.
 
Type of Corporate
Action
 
Treatment
 
Divisor
Adjustment
 
Special cash dividend
 
 
Yes
 
Split
 
Shareholders receive “B” new shares for every “A” share held.
 
No
 
 
Rights offering
 
Shareholders receive “B” new shares for every “A” share held.
If the subscription-price is either not available or not smaller than the closing price, then no adjustment will be done.
 
No
 
Stock dividend
 
Shareholders receive “B” new shares for every “A” share held.
 
No
 
Stock dividend from
treasury
 
Stock dividends from treasury are adjusted as ordinary cash dividends. Shareholders receive ‘B’ new shares for every ‘A’ share held.
 
Yes

 
Stock dividend of a
different company
security
 
Shareholders receive “B” shares of a different company for every “A” share held.
 
Yes
 
Spin-offs
 
Shareholders receive “B” shares of a different company for every “A” share held.
 
Yes
 
Addition/deletion of a
company
 
Net change in market value determines the divisor adjustment.
 
Yes
 
Changes in shares
outstanding/free-float
 
Any secondary issuance, share repurchase, buy back, tender offer, Dutch auction, exchange offer, bought deal equity offering or prospectus offering will be updated at the semi-annual review if the change is smaller than 10%. Changes larger than 10% will be pre-announced (3 trading days’ notice) and implemented on a best efforts basis. If necessary and information is available, resulting float changes are taken into consideration. Share changes will not be implemented in the week between review announcement and implementation.
 
Yes
 
Changes due to a
merger/takeover/spin-
off
 
Net change in free-float market value determines the divisor adjustment. In case of no change, the divisor change is 0.
 
Yes
With corporate actions where cash dividends or other corporate assets are distributed to shareholders, the price of the stock will drop on the ex-dividend day (the first day when a new shareholder is eligible to receive the distribution). The effect of the divisor adjustment is to prevent this price drop from causing a corresponding drop in the MVSMH.
Corporate actions are announced at least four days prior to implementation.
Historical Performance of the VanEck® Semiconductor ETF
The following graph sets forth the daily historical performance of the VanEck® Semiconductor ETF in the period from January 1, 2019 through April 2, 2026.  We obtained this historical data from Bloomberg L.P. We have not independently verified the accuracy or completeness of the information obtained from Bloomberg L.P.
VanEck® Semiconductor ETF Index Daily Closing Levels


This historical data on the Underlying is not necessarily indicative of the future performance of the Underlying or what the value of the Notes may be. Any historical upward or downward trend in the price of the Underlying during any period set forth above is not an indication that the price of the Underlying is more or less likely to increase or decrease at any time over the term of the Notes.
Before investing in the Notes, you should consult publicly available sources for the prices and trading pattern of the VanEck® Semiconductor ETF.

HEDGING
In order to meet our payment obligations on the Notes, at the time we issue the Notes, we may choose to enter into certain hedging arrangements (which may include call options, put options or other derivatives) with one or more of our subsidiaries. The terms of these hedging arrangements are determined based upon terms provided by our subsidiaries, and take into account a number of factors, including our creditworthiness, interest rate movements, the volatility of the Underlyings, the tenor of the Notes and the hedging arrangements. The economic terms of the Notes depend in part on the terms of these hedging arrangements.
The hedging arrangements may include hedging related charges, reflecting the costs associated with, and our subsidiaries’ profit earned from, these hedging arrangements. Since hedging entails risk and may be influenced by unpredictable market forces, actual profits or losses from these hedging transactions may be more or less than this amount.
For further information, see “Risk Factors” beginning on page PS-8 of this pricing supplement.

SUPPLEMENTAL DISCUSSION OF U.S. FEDERAL INCOME TAX CONSEQUENCES
The following section supplements the discussion of U.S. federal income taxation in the accompanying product supplement.
The following section is the opinion of Sidley Austin LLP, our counsel. In addition, it is the opinion of Sidley Austin LLP that the characterization of the Notes for U.S. federal income tax purposes that will be required under the terms of the Notes, as discussed below, is a reasonable interpretation of current law.
This section does not apply to you if you are a member of a class of holders subject to special rules, such as:

a dealer in securities or currencies;

a trader in securities that elects to use a mark-to-market method of accounting for your securities holdings;

a bank;

a life insurance company;

a tax exempt organization;

a partnership;

a regulated investment company;

an accrual method taxpayer subject to special tax accounting rules as a result of its use of financial statements;

a common trust fund;

a person that owns a Note as a hedge or that is hedged against interest rate risks;

a person that owns a Note as part of a straddle or conversion transaction for tax purposes; or

a U.S. holder (as defined below) whose functional currency for tax purposes is not the U.S. dollar.
Although this section is based on the U.S. Internal Revenue Code of 1986, as amended (the “Code”), its legislative history, existing and proposed regulations under the Code, published rulings and court decisions, all as currently in effect, no statutory, judicial or administrative authority directly addresses how your Notes should be treated for U.S. federal income tax purposes, and as a result, the U.S. federal income tax consequences of your investment in your Notes are uncertain. Moreover, these laws are subject to change, possibly on a retroactive basis.
You should consult your tax advisor concerning the U.S. federal income tax and any other applicable tax consequences of your investments in the Notes, including the application of state, local or other tax laws and the possible effects of changes in federal or other tax laws.
U.S. Holders
This section applies to you only if you are a U.S. Holder that holds your Notes as a capital asset for tax purposes. You are a “U.S. Holder” if you are a beneficial owner of each of your Notes and you are:

a citizen or resident of the United States;

a domestic corporation;

an estate whose income is subject to U.S. federal income tax regardless of its source; or

a trust if a United States court can exercise primary supervision over the trust’s administration and one or more United States persons are authorized to control all substantial decisions of the trust.
Tax Treatment
You will be obligated pursuant to the terms of the Notes — in the absence of a change in law, an administrative determination or a judicial ruling to the contrary — to characterize your Notes for all tax purposes as income-bearing pre-paid derivative contracts in respect of the Underlyings. Except as otherwise stated below, the discussion herein assumes that the Notes will be so treated.

Coupon Payments that you receive should be included in ordinary income at the time you receive the payment or when the payment accrues, in accordance with your regular method of accounting for U.S. federal income tax purposes.

Upon the sale, exchange, redemption or maturity of your Notes, you should recognize capital gain or loss in an amount equal to the difference, if any, between the amount of cash you receive at such time (excluding any amounts attributable to accrued and unpaid Coupon Payments, which will be taxable as described above) and your tax basis in the Notes. Your tax basis in the Notes will generally be equal to the amount that you paid for the Notes. If you hold your Notes for more than one year, such gain or loss generally should be long-term capital gain or loss. If you hold your Notes for one year or less, such gain or loss generally should be short-term capital gain or loss. Short-term capital gains are generally subject to tax at the marginal tax rates applicable to ordinary income.

In addition, the constructive ownership rules of Section 1260 of the Internal Revenue Code could apply to all or a portion of your Notes. If all or a portion of your Notes were subject to the constructive ownership rules, then all or a portion of any long-term capital gain that you realize upon the sale, exchange, redemption or maturity of your Notes would be re-characterized as ordinary income (and you would be subject to an interest charge on deferred tax liability with respect to such re-characterized capital gain) to the extent that such capital gain exceeds the amount of “net underlying long-term capital gain” (as defined in Section 1260 of the Internal Revenue Code). Because the application of the constructive ownership rules is unclear you are strongly urged to consult your tax advisor with respect to the possible application of the constructive ownership rules to your investment in the Notes.

We will not attempt to ascertain whether the issuer of an Underlying or the issuer of any component stock included in an Underlying that is an index would be treated as a “passive foreign investment company” (“PFIC”), within the meaning of Section 1297 of the Code. If the issuer of an Underlying or the issuer of any component stock included in an Underlying that is an index were so treated, certain adverse U.S. federal income tax consequences could possibly apply to a U.S. Holder of the Notes. You should refer to information filed with the SEC by the issuer of an Underlying or the issuer of any component stock included in an Underlying that is an index and consult your tax advisor regarding the possible consequences to you, if any, if any issuer of an Underlying or the issuer of any component stock included in an Underlying that is an index is or becomes a PFIC.

No statutory, judicial or administrative authority directly discusses how your Notes should be treated for U.S. federal income tax purposes. As a result, the U.S. federal income tax consequences of your investment in the Notes are uncertain and alternative characterizations are possible. Accordingly, we urge you to consult your tax advisor in determining the tax consequences of an investment in your Notes in your particular circumstances, including the application of state, local or other tax laws and the possible effects of changes in federal or other tax laws.
Alternative Treatments
There is no judicial or administrative authority discussing how your Notes should be treated for U.S. federal income tax purposes. Therefore, the Internal Revenue Service (“IRS”) might assert that a treatment other than that described above is more appropriate. For example, the IRS could treat your Notes as a single debt instrument subject to special rules governing contingent payment debt instruments. Under those rules, the amount of interest you are required to take into account for each accrual period would be determined by constructing a projected payment schedule for the Notes and applying rules similar to those for accruing original issue discount on a hypothetical noncontingent debt instrument with that projected payment schedule. This method is applied by first determining the comparable yield – i.e., the yield at which we would issue a noncontingent fixed rate debt instrument with terms and conditions similar to your Notes – and then determining a payment schedule as of the issue date that would produce the comparable yield. These rules may have the effect of requiring you to include interest in income in respect of your Notes prior to your receipt of cash attributable to that income.

If the rules governing contingent payment debt instruments apply, any gain you recognize upon the sale, exchange, redemption or maturity of your Notes would be treated as ordinary interest income. Any loss you recognize at that time would be treated as ordinary loss to the extent of interest you included as income in the current or previous taxable years in respect of your Notes, and, thereafter, as capital loss.

If the rules governing contingent payment debt instruments apply, special rules would apply to a person who purchases Notes at a price other than the adjusted issue price as determined for tax purposes.

It is also possible that the IRS could assert that your Notes should generally be characterized in the manner described above, except that (1) the gain that you recognize upon the sale, exchange, redemption or maturity of your Notes should be treated as ordinary income or (2) you should not include the Coupon Payments, if any, in income as you receive them but instead you should reduce your basis in your Notes by the amount of the Coupon Payments you receive. It is also possible that the IRS could seek to characterize your Notes in a manner that results in tax consequences to you different from those described above.

It is also possible that the IRS could seek to characterize your Notes as notional principal contracts. It is also possible that the Coupon Payments would not be treated as either ordinary income or interest for U.S. federal income tax purposes, but instead would be treated in some other manner.

You should consult your tax advisor as to possible alternative characterizations of your Notes for U.S. federal income tax purposes.

Possible Change in Law
On December 7, 2007, the IRS released a notice stating that the IRS and the Treasury Department are actively considering issuing guidance regarding the proper U.S. federal income tax treatment of an instrument such as the Notes, including whether holders should be required to accrue ordinary income on a current basis and whether gain or loss should be ordinary or capital. It is not possible to determine what guidance they will ultimately issue, if any. It is possible, however, that under such guidance, holders of the Notes will ultimately be required to accrue income currently and this could be applied on a retroactive basis. The IRS and the Treasury Department are also considering other relevant issues, including whether foreign holders of such instruments should be subject to withholding tax on any deemed income accruals and whether the special “constructive ownership rules” of Section 1260 of the Code might be applied to such instruments. Except to the extent otherwise provided by law, we intend to continue treating the Notes for U.S. federal income tax purposes in accordance with the treatment described above under “Tax Treatment” unless and until such time as Congress, the Treasury Department or the IRS determine that some other treatment is more appropriate.
Furthermore, in 2007, legislation was introduced in Congress that, if enacted, would have required holders that acquired instruments such as your Notes after the bill was enacted to accrue interest income over the term of such instruments. It is not possible to predict whether a similar or identical bill will be enacted in the future, or whether any such bill would affect the tax treatment of your Notes.
It is impossible to predict what any such legislation or administrative or regulatory guidance might provide, and whether the effective date of any legislation or guidance will affect Notes that were issued before the date that such legislation or guidance is issued. You are urged to consult your tax advisor as to the possibility that any legislative or administrative action may adversely affect the tax treatment of your Notes.
Backup Withholding and Information Reporting
You will be subject to generally applicable information reporting and backup withholding requirements as discussed in the accompanying prospectus supplement under “United States Federal Taxation — U.S. Holders — Backup Withholding and Information Reporting” with respect to payments on your Notes and, notwithstanding that we do not intend to treat the Notes as debt for tax purposes, we intend to backup withhold on such payments with respect to your Notes unless you comply with the requirements necessary to avoid backup withholding on debt instruments (in which case you will not be subject to such backup withholding) as set forth under “United States Federal Taxation — U.S. Holders — Backup Withholding and Information Reporting” in the accompanying prospectus supplement. Please see the discussion under “United States Federal Taxation — U.S. Holders — Backup Withholding and Information Reporting” in the accompanying prospectus supplement for a description of the applicability of the backup withholding and information reporting rules to payments made on your Notes.
Non-U.S. Holders
This section applies to you only if you are a Non-U.S. Holder. You are a “Non-U.S. Holder” if you are the beneficial owner of Notes and are, for U.S. federal income tax purposes:

a nonresident alien individual;

a foreign corporation; or


an estate or trust that in either case is not subject to U.S. federal income tax on a net income basis on income or gain from the Notes.
The term “Non-U.S. Holder” does not include any of the following holders:

a holder who is an individual present in the United States for 183 days or more in the taxable year of disposition and who is not otherwise a resident of the United States for U.S. federal income tax purposes;

certain former citizens or residents of the United States; or

a holder for whom income or gain in respect of the Notes is effectively connected with the conduct of a trade or business in the United States.
Such holders should consult their tax advisors regarding the U.S. federal income tax consequences of an investment in the Notes.
Because the U.S. federal income tax treatment (including the applicability of withholding) of the Coupon Payments on the Notes is uncertain, in the absence of further guidance, we intend to withhold on the Coupon Payments made to you at a 30% rate or at a lower rate specified by an applicable income tax treaty under an “other income” or similar provision. We will not make payments of any additional amounts. To claim a reduced treaty rate for withholding, you generally must provide a valid Internal Revenue Service Form W-8BEN, Internal Revenue Service Form W-8BEN-E, or an acceptable substitute form upon which you certify, under penalty of perjury, your status as a Non-U.S. Holder and your entitlement to the lower treaty rate. Payments will be made to you at a reduced treaty rate of withholding only if such reduced treaty rate would apply to any possible characterization of the payments (including, for example, if the Coupon Payments were characterized as contract fees). Withholding also may not apply to Coupon Payments made to you if: (i) the Coupon Payments are “effectively connected” with your conduct of a trade or business in the United States and are includable in your gross income for U.S. federal income tax purposes, (ii) the Coupon Payments are attributable to a permanent establishment that you maintain in the United States, if required by an applicable tax treaty, and (iii) you comply with the requisite certification requirements (generally, by providing an Internal Revenue Service Form W-8ECI). If you are eligible for a reduced rate of United States withholding tax, you may obtain a refund of any amounts withheld in excess of that rate by filing a refund claim with the Internal Revenue Service.

“Effectively connected” payments includable in your United States gross income are generally taxed at rates applicable to United States citizens, resident aliens, and domestic corporations; if you are a corporate Non-U.S. Holder, “effectively connected” payments may be subject to an additional “branch profits tax” under certain circumstances.

We will not attempt to ascertain whether the issuer of an Underlying or the issuer of any component stock included in an Underlying that is an index would be treated as a “United States real property holding corporation” (“USRPHC”), within the meaning of Section 897 of the Code. If the issuer of an Underlying or the issuer of one or more stocks included in an Underlying that is an index were so treated, certain adverse U.S. federal income tax consequences could possibly apply to a Non-U.S. Holder of the Notes. You should refer to information filed with the SEC by the issuer of an Underlying or the issuers of the component stocks included in an Underlying that is an index and consult your tax advisor regarding the possible consequences to you, if any, if the issuer of an Underlying or the issuer of any component stock included in an Underlying that is an index is or becomes a USRPHC.

You will also be subject to generally applicable information reporting and backup withholding requirements as discussed in the accompanying prospectus supplement under “United States Federal Taxation — Non-U.S. Holders — Backup Withholding and Information Reporting” with respect to payments on your Notes and, notwithstanding that we do not intend to treat the Notes as debt for tax purposes, we intend to backup withhold on such payments with respect to your Notes unless you comply with the requirements necessary to avoid backup withholding on debt instruments (in which case you will not be subject to such backup withholding) as set forth under “United States Federal Taxation — Non-U.S. Holders — Backup Withholding and Information Reporting” in the accompanying prospectus supplement.

As discussed above, alternative characterizations of the Notes for U.S. federal income tax purposes are possible. Should an alternative characterization of the Notes, by reason of a change or clarification of the law, by regulation or otherwise, cause payments at maturity with respect to the Notes to become subject to withholding tax, we will withhold tax at the applicable statutory rate and we will not make payments of any additional amounts. Prospective Non-U.S. Holders of the Notes should consult their tax advisors in this regard.

Furthermore, on December 7, 2007, the IRS released Notice 2008-2 soliciting comments from the public on various issues, including whether instruments such as your Notes should be subject to withholding. It is therefore possible that rules will be issued in the future, possibly with retroactive effect, that would cause payments on your Notes to be subject to withholding, even if you comply with certification requirements as to your foreign status.

In addition, the Treasury Department has issued regulations under which amounts paid or deemed paid on certain financial instruments (“871(m) financial instruments”) that are treated as attributable to U.S.-source dividends could be treated, in whole or in part depending on the circumstances, as a “dividend equivalent” payment that is subject to tax at a rate of 30% (or a lower rate under an applicable treaty), which in the case of any Coupon Payments and any amounts you receive upon the sale, exchange, redemption or maturity of your Notes, could be collected via withholding. If these regulations were to apply to the Notes, we may be required to withhold such taxes if any U.S.-source dividends are paid on the VanEck® Semiconductor ETF or on the stocks included in the Nasdaq-100 Index®or the Russell 2000®Index during the term of the Notes. We could also require you to make certifications (e.g., an applicable IRS Form W-8) prior to any Coupon Payments or the maturity of the Notes in order to avoid or minimize withholding obligations, and we could withhold accordingly (subject to your potential right to claim a refund from the IRS) if such certifications were not received or were not satisfactory. If withholding was required, we would not be required to pay any additional amounts with respect to amounts so withheld. These regulations generally will apply to 871(m) financial instruments (or a combination of financial instruments treated as having been entered into in connection with each other) issued (or significantly modified and treated as retired and reissued) on or after January 1, 2027, but will also apply to certain 871(m) financial instruments (or a combination of financial instruments treated as having been entered into in connection with each other) that have a delta (as defined in the applicable Treasury regulations) of one and are issued (or significantly modified and treated as retired and reissued) on or after January 1, 2017. In addition, these regulations will not apply to financial instruments that reference a “qualified index” (as defined in the regulations). We have determined that, as of the issue date of your Notes, your Notes will not be subject to withholding under these rules. In certain limited circumstances, however, you should be aware that it is possible for Non-U.S. Holders to be liable for tax under these rules with respect to a combination of transactions treated as having been entered into in connection with each other even when no withholding is required. You should consult your tax advisor concerning these regulations, subsequent official guidance and regarding any other possible alternative characterizations of your Notes for U.S. federal income tax purposes.

Foreign Account Tax Compliance Act
Legislation commonly referred to as “FATCA” generally imposes a gross-basis withholding tax of 30% on payments to certain non-U.S. entities (including financial intermediaries) with respect to certain financial instruments, unless various U.S. information reporting and due diligence requirements have been satisfied. An intergovernmental agreement between the United States and the non-U.S. entity’s jurisdiction may modify or supplement these requirements. This legislation generally applies to certain financial instruments that are treated as paying U.S.-source interest or other U.S.-source “fixed or determinable annual or periodical” (“FDAP”) income. Current provisions of the Code and Treasury regulations that govern FATCA treat gross proceeds from a sale or other disposition of obligations that can produce U.S.-source interest or FDAP income as subject to FATCA withholding. However, under recently proposed Treasury regulations, such gross proceeds would not be subject to FATCA withholding. In its preamble to such proposed regulations, the Treasury Department and the IRS have stated that taxpayers may generally rely on the proposed Treasury regulations until final Treasury regulations are issued. We will not be required to pay any additional amounts with respect to amounts withheld. Both U.S. Holders and Non-U.S. Holders should consult their tax advisors regarding the potential application of FATCA to the Notes.

SUPPLEMENTAL PLAN OF DISTRIBUTION
Jefferies LLC, the broker-dealer subsidiary of Jefferies Financial Group Inc., will act as our Agent in connection with the offering of the Notes. Subject to the terms and conditions contained in a distribution agreement between us and Jefferies LLC, the Agent has agreed to use its reasonable efforts to solicit purchases of the Notes. We have the right to accept offers to purchase Notes and may reject any proposed purchase of the Notes. We or Jefferies LLC will pay various discounts and commissions to dealers of up to $6.00 per Note depending on market conditions. The Agent may also reject any offer to purchase Notes.
We may also sell Notes to the Agent who will purchase the Notes as principal for its own account. In that case, the Agent will purchase the Notes at a price equal to the issue price specified on the cover page of this pricing supplement, less a discount. The discount will equal the applicable commission on an agency sale of the Notes.
The Agent may resell any Notes it purchases as principal to other brokers or dealers at a discount, which may include all or part of the discount the Agent received from us. If all the Notes are not sold at the initial offering price, the Agent may change the offering price and the other selling terms.
The Agent will sell any unsold allotment pursuant to this pricing supplement from time to time in one or more transactions in the over-the-counter market, through negotiated transactions or otherwise at market prices prevailing at the time of time of sale, prices relating to the prevailing market prices or negotiated prices.
We may also sell Notes directly to investors. We will not pay commissions on Notes we sell directly.
The Agent, whether acting as agent or principal, may be deemed to be an “underwriter” within the meaning of the Securities Act. We have agreed to indemnify the Agent against certain liabilities, including liabilities under the Securities Act.
If the Agent sells Notes to dealers who resell to investors and the Agent pays the dealers all or part of the discount or commission it receives from us, those dealers may also be deemed to be “underwriters” within the meaning of the Securities Act.
The Agent is offering the Notes, subject to prior sale, when, as and if issued to and accepted by it, subject to approval of legal matters by its counsel, including the validity of the Notes, and other conditions contained in the distribution agreement, such as the receipt by the Agent of officers’ certificates and legal opinions. The Agent reserves the right to withdraw, cancel or modify offers to the public and to reject orders in whole or in part.
The Agent is a member of the Financial Industry Regulatory Authority, Inc. (“FINRA”). Accordingly, the offering of the notes will conform to the requirements of FINRA Rule 5121. See “Conflict of Interest” below.
The Agent is not acting as your fiduciary or advisor solely as a result of the offering of the Notes, and you should not rely upon any communication from the Agent in connection with the Notes as investment advice or a recommendation to purchase the Notes. You should make your own investment decision regarding the Notes after consulting with your legal, tax, and other advisors.
We expect to deliver the Notes against payment therefor in New York, New York on April 7, 2026, which will be the third scheduled business day following the initial pricing date. Under Rule 15c6-1 of the Securities Exchange Act of 1934, trades in the secondary market generally are required to settle in one business day, unless the parties to any such trade expressly agree otherwise. Accordingly, if the initial settlement of the Notes occurs more than one business day from a pricing date, purchasers who wish to trade the Notes more than one business day prior to the Original Issue Date will be required to specify alternative settlement arrangements to prevent a failed settlement.
Jefferies LLC and any of our other broker-dealer subsidiaries may use this pricing supplement, the prospectus and the prospectus supplements for offers and sales in secondary market transactions and market-making transactions in the Notes. However, they are not obligated to engage in such secondary market transactions and/or market-making transactions. Our subsidiaries may act as principal or agent in these transactions, and any such sales will be made at prices related to prevailing market prices at the time of the sale.
Notice to Prospective Investors in the European Economic Area
This pricing supplement and the accompanying product supplement, prospectus and prospectus supplement is not a prospectus for the purposes of Regulation (EU) 2017/1129 (the “Prospectus Regulation”). This pricing supplement and the accompanying product supplement, prospectus and prospectus supplement have been prepared on the basis that any offer of Notes in any Member State of the European Economic Area (the “EEA”) will only be made to a legal entity which is a qualified investor under the Prospectus Regulation (“EEA Qualified Investors”). Accordingly any person making or intending to make an offer in that Member State of Notes which are the subject of the offering contemplated in this pricing

supplement and the accompanying product supplement, prospectus and prospectus supplement may only do so with respect to EEA Qualified Investors. Neither the Issuer nor the Agent have authorized, nor do they authorize, the making of any offer of Notes other than to EEA Qualified Investors.
PROHIBITION OF SALES TO EEA RETAIL INVESTORS — The Notes are not intended to be offered, sold or otherwise made available to and should not be offered, sold or otherwise made available to any retail investor in the EEA. For these purposes, (a) a retail investor means a person who is one (or more) of: (i) a retail client as defined in point (11) of Article 4(1) of Directive 2014/65/EU (as amended, “MiFID II”); (ii) a customer within the meaning of Directive (EU) 2016/97 (as amended, the “Insurance Distribution Directive”), where that customer would not qualify as a professional client as defined in point (10) of Article 4(1) of MiFID II; or (iii) not a qualified investor as defined in the Prospectus Regulation and (b) the expression “offer” includes the communication in any form and by any means of sufficient information on the terms of the offer and the Notes to be offered so as to enable an investor to decide to purchase or subscribe for the Notes. Consequently no key information document required by Regulation (EU) No 1286/2014 (as amended, the “PRIIPs Regulation”) for offering or selling the Notes or otherwise making them available to retail investors in the EEA has been prepared and therefore offering or selling the Notes or otherwise making them available to any retail investor in the EEA may be unlawful under the PRIIPs Regulation.
Notice to Prospective Investors in the United Kingdom
This pricing supplement and the accompanying product supplement, prospectus and prospectus supplement is not a prospectus for the purposes of Regulation (EU) 2017/1129 as it forms part of domestic law in the United Kingdom by virtue of the European Union (Withdrawal) Act 2018, as amended by the European Union (Withdrawal Agreement) Act 2020 (the “EUWA”) (the “UK Prospectus Regulation”). This pricing supplement and the accompanying product supplement, prospectus and prospectus supplement have been prepared on the basis that any offer of Notes in the United Kingdom will only be made to a legal entity which is a qualified investor under the UK Prospectus Regulation (“UK Qualified Investors”). Accordingly any person making or intending to make an offer in the United Kingdom of Notes which are the subject of the offering contemplated in this pricing supplement and the accompanying product supplement, prospectus and prospectus supplement may only do so with respect to UK Qualified Investors. Neither the Issuer nor the Agent have authorized, nor do they authorize, the making of any offer of Notes other than to UK Qualified Investors.
PROHIBITION OF SALES TO UK RETAIL INVESTORS — The Notes are not intended to be offered, sold or otherwise made available to and should not be offered, sold or otherwise made available to any retail investor in the United Kingdom. For these purposes, (a) a retail investor means a person who is neither: (i) a professional client, as defined in point (8) of Article 2(1) of Regulation (EU) No 600/2014 as it forms part of domestic law in the United Kingdom; nor;  (ii) a qualified investor as defined in paragraph 15 of Schedule 1 to the Public Offers and Admissions to Trading Regulations 2024 (as may be amended from time to time); and  (b) the expression “offer” includes the communication in any form and by any means of sufficient information on the terms of the offer and the Notes to be offered so as to enable an investor to decide to buy or subscribe for the Notes. Consequently no key information document required by Regulation (EU) No 1286/2014 as it forms part of domestic law in the United Kingdom by virtue of the EUWA (the “UK PRIIPs Regulation”) for offering or selling the Notes or otherwise making them available to retail investors in the United Kingdom has been prepared and therefore offering or selling the Notes or otherwise making them available to any retail investor in the United Kingdom may be unlawful under the UK PRIIPs Regulation.
The communication of this pricing supplement and the accompanying product supplement, prospectus and prospectus supplement relating to the issue of the Notes offered hereby is not being made, and such documents and/or materials have not been approved, by an authorized person for the purposes of Section 21 of the FSMA. Accordingly, such documents and/or materials are not being distributed to, and must not be passed on to, the general public in the United Kingdom. The communication of such documents and/or materials as a financial promotion is only being made to those persons in the United Kingdom who have professional experience in matters relating to investments and who fall within the definition of investment professionals (as defined in Article 19(5) of the Financial Services and Markets Act 2000 (Financial Promotion) Order 2005, as amended (the “Financial Promotion Order”)) or who fall within Article 49(2)(a) to (d) of the Financial Promotion Order, or who are any other persons to whom it may otherwise lawfully be made under the Financial Promotion Order (all such persons together being referred to as “relevant persons”). In the United Kingdom the Notes offered hereby are only available to, and any investment or investment activity to which this pricing supplement and the accompanying product supplement, prospectus and prospectus supplement relates will be engaged in only with, relevant persons. Any person in the United Kingdom that is not a relevant person should not act or rely on this pricing supplement and the accompanying product supplement, prospectus and prospectus supplement or any of their contents.
Other Regulatory Restrictions in the United Kingdom
Any invitation or inducement to engage in investment activity (within the meaning of Section 21 of the FSMA) in connection with the issue or sale of the Notes may only be communicated or caused to be communicated in circumstances in which Section 21(1) of the FSMA does not apply to the Issuer.

All applicable provisions of the FSMA must be complied with in respect to anything done by any person in relation to the Notes in, from or otherwise involving the United Kingdom.
Notice to Prospective Investors in China
This pricing supplement and the accompanying prospectus supplement and prospectus do not constitute a public offer of the Notes, whether by sale or subscription, in the People’s Republic of China (the “PRC”). The Notes are not being offered or sold directly or indirectly in the PRC to or for the benefit of, legal or natural persons of the PRC. Further, no legal or natural persons of the PRC may directly or indirectly purchase any of the Notes without obtaining all prior PRC’s governmental approvals that are required, whether statutorily or otherwise. Persons who come into possession of this document are required by the issuer and its representatives to observe these restrictions.
Notice to Prospective Investors in Hong Kong
None of the Notes (except for Notes which are a “structured product” as defined in the Securities and Futures Ordinance (Cap. 571 of the laws of Hong Kong)) (the “SFO”) have been offered or sold and will be offered or sold in Hong Kong, by means of any document, other than (i) to “professional investors” as defined in the SFO and any rules made under the SFO or (ii) in other circumstances which do not result in the document being a “prospectus” as defined in the Companies (Winding Up and Miscellaneous Provisions) Ordinance (Cap. 32 of the laws of Hong Kong) (the “C(WUMP)O”) or which do not constitute an offer to the public within the meaning of the C(WUMP)O. No person has issued or had in its possession for the purposes of issue, and will not issue or have in its possession for the purposes of issue, whether in Hong Kong or elsewhere, any advertisement, invitation or document relating to the Notes, which is directed at, or the contents of which are likely to be accessed or read by, the public of Hong Kong (except if permitted to do so under the securities laws of Hong Kong) other than with respect to the Notes which are or are intended to be disposed of only to persons outside Hong Kong or only to “professional investors” as defined in the SFO and any rules made under the SFO.
Notice to Prospective Investors in Indonesia
This pricing supplement and the accompanying prospectus supplement and prospectus do not constitute an offer to sell nor a solicitation to buy securities in Indonesia.
Notice to Prospective Investors in Japan
The Notes have not been and will not be registered pursuant to Article 4, Paragraph 1 of the Financial Instruments and Exchange Law of Japan (Law no. 25 of 1948, as amended) (“FIEL”) and, accordingly, none of the Notes nor any interest therein may be offered or sold, directly or indirectly, in Japan or to, or for the benefit, of any Japanese person or to others for re-offering or resale, directly or indirectly, in Japan or to any Japanese person except under circumstances which will result in compliance with all applicable laws, regulations and guidelines promulgated by the relevant Japanese governmental and regulatory authorities and in effect at the relevant time. For this purpose, a “Japanese person” means any person resident in Japan, including any corporation or other entity organized under the laws of Japan.
Notice to Prospective Investors in Malaysia
No action has been, or will be, taken to comply with Malaysian laws for making available, offering for subscription or purchase, or issuing any invitation to subscribe for or purchase or sale of the Notes in Malaysia or to persons in Malaysia as the Notes are not intended by the issuer to be made available, or made the subject of any offer or invitation to subscribe or purchase, in Malaysia. Neither this document nor any document or other material in connection with the Notes should be distributed, caused to be distributed or circulated in Malaysia. No person should make available or make any invitation or offer or invitation to sell or purchase the Notes in Malaysia unless such person takes the necessary action to comply with Malaysian laws.
Notice to Prospective Investors in the Philippines
Any person claiming an exemption under Section 10.1 of the Securities Regulation Code (“SRC”) (or the exempt transactions) must provide to any party to whom it offers or sells securities in reliance on such exemption a written disclosure containing the following information: (1) The specific provision of Section 10.1 of the SRC on which the exemption from registration is claimed; and (2) The following statement must be made in bold face, prominent type: THE SECURITIES BEING OFFERED OR SOLD HEREIN HAVE NOT BEEN REGISTERED WITH THE SECURITIES AND EXCHANGE COMMISSION UNDER THE SECURITIES REGULATION CODE OF THE PHILIPPINES. ANY FUTURE OFFER OR SALE THEREOF IS SUBJECT TO REGISTRATION REQUIREMENTS UNDER THE CODE UNLESS SUCH OFFER OR SALE QUALIFIES AS AN EXEMPT TRANSACTION.
Notice to Prospective Investors in Singapore
This pricing supplement and the accompanying prospectus supplement and prospectus has not been and will not be registered as a prospectus under the Securities and Futures Act 2001, as amended (the “SFA”) by the Monetary Authority

of Singapore, and the offer of the Notes in Singapore is made primarily pursuant to the exemptions under Sections 274 and 275 of the SFA. Accordingly, none of this pricing supplement nor the accompanying prospectus supplement, prospectus or any other document or material in connection with the offer or sale, or invitation for subscription or purchase, of any Notes may be circulated or distributed, nor may any Notes be offered or sold, or be made the subject of an invitation for subscription or purchase, whether directly or indirectly, to persons in Singapore other than (i) to an institutional investor as defined in Section 4A of the SFA (an “Institutional Investor”) pursuant to Section 274 of the SFA, (ii) to an accredited investor as defined in Section 4A of the SFA (an “Accredited Investor”) or other relevant person as defined in Section 275(2) of the SFA (a “Relevant Person”) and pursuant to Section 275(1) of the SFA, or to any person pursuant to an offer referred to in Section 275(1A) of the SFA, in accordance with the conditions specified in Section 275 of the SFA and (where applicable) Regulation 3 of the Securities and Futures (Classes of Investors) Regulations 2018, or (iii) otherwise pursuant to, and in accordance with, the conditions of any other applicable exemption or provision of the SFA.
It is a condition of the offer that where the Notes are subscribed for or acquired pursuant to an offer made in reliance on Section 275 of the SFA by a Relevant Person which is:

(i)
a corporation (which is not an Accredited Investor), the sole business of which is to hold investments and the entire share capital of which is owned by one or more individuals, each of whom is an Accredited Investor; or


(ii)
a trust (where the trustee is not an Accredited Investor), the sole purpose of which is to hold investments and each beneficiary of the trust is an individual who is an Accredited Investor,
securities or securities-based derivatives contracts (each as defined in Section 2(1) of the SFA) of that corporation and the beneficiaries’ rights and interests (howsoever described) in that trust shall not be transferred within six months after that corporation or that trust has subscribed for or acquired the Notes except:

(A)
to an Institutional Investor, an Accredited Investor, a Relevant Person, or which arises from an offer referred to in Section 275(1A) of the SFA (in the case of that corporation) or Section 276(4)(c)(ii) of the SFA (in the case of that trust);


(B)
where no consideration is or will be given for the transfer;


(C)
where the transfer is by operation of law;


(D)
as specified in Section 276(7) of the SFA; or


(E)
as specified in Regulation 37A of the Securities and Futures (Offers of Investments) (Securities and Securities-based Derivatives Contracts) Regulations 2018.
Notification under Section 309B(1) of the Securities and Futures Act 2001 of Singapore (“SFA”): For the purposes of the Issuer’s obligations pursuant to sections 309B(1)(a) and 309B(1)(c) of the SFA, the Issuer has determined, and hereby notifies all relevant persons (as defined in Section 309A(1) of the SFA), that the Notes are capital markets products other than prescribed capital markets products (as defined in the Securities and Futures (Capital Markets Products) Regulations 2018) and Specified Investment Products (as defined in Monetary Authority of Singapore (“MAS”) Notice SFA 04-N12: Notice on the Sale of Investment Products and MAS Notice FAA-N16: Notice on Recommendations on Investment Products).
Notice to Prospective Investors in South Korea
The Notes have not been registered with the Financial Services Commission of Korea for a public offering in Korea. The Notes have not been and will not be offered, sold or delivered directly or indirectly, or offered, sold or delivered to any person for re-offering or resale, directly or indirectly, in Korea or to any resident of Korea, except as otherwise permitted under applicable Korean laws and regulations, including the Financial Investment Services and Capital Markets Act and the Foreign Exchange Transaction Law and the decrees and regulations thereunder. By the purchase of the Notes, the relevant holder thereof will be deemed to represent and warrant that if it is in Korea or is a resident of Korea, it purchased the Notes pursuant to the applicable laws and regulations of Korea.
Notice to Prospective Investors in Taiwan
The Notes may be made available outside Taiwan for purchase outside Taiwan by Taiwan resident investors, but may not be offered or sold in Taiwan.
Notice to Prospective Investors in Thailand

The pricing supplement and the accompanying prospectus supplement and prospectus have not been approved by the Thailand Securities and Exchange Commission which takes no responsibility for its contents. Nothing in this pricing supplement and the accompanying prospectus supplement and prospectus nor any action of Jefferies Financial Group Inc. or any of its affiliates constitutes or shall be construed as an offer for sale of any securities, or a solicitation to make an offer for sale of any securities in Thailand or a provision of any securities business requiring license under the SEC Act. This pricing supplement and the accompanying prospectus supplement and prospectus is intended to be read by the addressee only and must not be passed to, issued to, or shown to the public generally.

CONFLICT OF INTEREST
Jefferies LLC, the broker-dealer subsidiary of Jefferies Financial Group Inc., is a member of FINRA and will participate in the distribution of the Notes. Accordingly, the offering is subject to the provisions of FINRA Rule 5121 relating to conflicts of interests and will be conducted in accordance with the requirements of Rule 5121. Jefferies LLC will not confirm sales of the Notes to any account over which it exercises discretionary authority without the prior written specific approval of the customer.

LEGAL MATTERS
In the opinion of Sidley Austin LLP, as counsel to Jefferies Financial Group Inc., when the Notes offered by this pricing supplement have been executed and issued by Jefferies Financial Group Inc. and authenticated by the trustee pursuant to the indenture, and delivered against payment as contemplated herein, such Notes will be valid and binding obligations of Jefferies Financial Group Inc., enforceable in accordance with their terms, subject to applicable bankruptcy, insolvency and similar laws affecting creditors’ rights generally, concepts of reasonableness and equitable principles of general applicability (including, without limitation, concepts of good faith, fair dealing and the lack of bad faith), provided that such counsel expresses no opinion as to the effect of fraudulent conveyance, fraudulent transfer or similar provision of applicable law on the conclusions expressed above. This opinion is given as of the date hereof and is limited to the Federal laws of the United States and the laws of the State of New York as in effect on the date hereof. In addition, this opinion is subject to customary assumptions about the trustee’s authorization, execution and delivery of the indenture and the genuineness of signatures and certain factual matters, all as stated in the letter of such counsel dated May 12, 2023, which has been filed as Exhibit 5.1 to Jefferies Financial Group Inc.’s Registration Statement on Form S-3 filed with the Securities and Exchange Commission on May 12, 2023.

EXPERTS
The financial statements of Jefferies Financial Group Inc. as of November 30, 2025 and 2024, and for each of the three years in the period ended November 30, 2025, incorporated by reference in this prospectus supplement from Jefferies Financial Group Inc.’s Annual Report on Form 10-K, and the effectiveness of the Jefferies Financial Group Inc.’s internal control over financial reporting have been audited by Deloitte & Touche LLP, an independent registered public accounting firm, as stated in their reports. Such financial statements are incorporated by reference in reliance upon the reports of such firm given their authority as experts in accounting and auditing.


$2,155,000
Jefferies
Jefferies Financial Group Inc.
Senior Autocallable Contingent Coupon Barrier Notes due April 7, 2032
Linked to the Worst-Performing of the Nasdaq-100 Index®, the Russell
2000® Index and the VanEck® Semiconductor ETF

PRICING SUPPLEMENT

April 2, 2026