Please wait

 

GRAPHIC

SEC Technical Report Summary Initial Assessment Fostung Tungsten Project Ontario, Canada Effective Date: January 31, 2026 Report Date: March 24, 2026 Report Prepared for United States Antimony Corporation 4438 W. Lovers Lane, Ste 100 Dallas, Texas 75209 United States of America Report Prepared by SRK Consulting (Canada), Inc. 155 University Avenue, Suite 1500 Toronto, ON M5H 3B7 SRK Project Number: CAPR004153

GRAPHIC

CAPR004153 – United States Antimony Corporation SEC Technical Report Summary – Fostung Tungsten Project Page ii SRK Consulting (Canada) Inc. March 24, 2026 Table of Contents 1 Executive Summary.................................................................................................................. 1 1.1 Introduction......................................................................................................................................................... 1 1.2 Property Description (Including Mineral Rights) and Ownership ....................................................................... 1 1.3 Geology and Mineralisation................................................................................................................................ 1 1.4 Status of Exploration, Development and Operations......................................................................................... 2 1.5 Mineral Resource and Mineral Reserve Estimates............................................................................................ 3 1.6 Permitting Requirements.................................................................................................................................... 5 1.7 Conclusions and Recommendations ................................................................................................................. 5 2 Introduction............................................................................................................................... 6 2.1 Registrant for Whom the Technical Report Summary was Prepared................................................................6 2.2 Terms of Reference and Purpose of the Report................................................................................................ 6 2.3 Sources of Information ....................................................................................................................................... 7 2.4 Details of Inspection........................................................................................................................................... 7 2.5 Report Version Update....................................................................................................................................... 8 3 Property Description ................................................................................................................ 9 3.1 Property Location ............................................................................................................................................... 9 3.2 Property Area ..................................................................................................................................................... 9 3.3 Mineral Title, Claim, Mineral Right, Lease or Option Disclosure .....................................................................10 3.4 Mineral Rights Description and How They Were Obtained .............................................................................12 3.5 Royalties and Other Encumbrances ................................................................................................................12 3.6 Other Significant Factors and Risks.................................................................................................................12 4 Accessibility, Climate, Local Resources, Infrastructure and Physiography..................... 13 4.1 Topography, Elevation and Vegetation............................................................................................................13 4.2 Means of Access..............................................................................................................................................14 4.3 Climate and Length of Operating Season........................................................................................................14 4.4 Infrastructure Availability and Sources.............................................................................................................14 4.4.1 Water ....................................................................................................................................................14 4.4.2 Electricity ..............................................................................................................................................14 4.4.3 Personnel & Supplies ...........................................................................................................................14 5 History ..................................................................................................................................... 15 5.1 Previous Operations.........................................................................................................................................15 5.2 Exploration and Development of Previous Owners or Operators ....................................................................15 5.2.1 Geological Mapping and Geochemical Surveys (1966-2019)..............................................................17

GRAPHIC

CAPR004153 – United States Antimony Corporation SEC Technical Report Summary – Fostung Tungsten Project Page iii SRK Consulting (Canada) Inc. March 24, 2026 5.2.2 Geophysical Surveys............................................................................................................................18 5.3 Historical Mineral Resource Estimates ............................................................................................................19 6 Geological Setting, Mineralisation, and Deposit.................................................................. 21 6.1 Regional Geology.............................................................................................................................................21 6.2 Local and Property Geology.............................................................................................................................23 6.2.1 Intrusive Rock Types ............................................................................................................................26 6.2.2 Alteration ..............................................................................................................................................27 6.2.3 Structural Geology................................................................................................................................29 6.3 Mineral Deposit ................................................................................................................................................29 7 Exploration.............................................................................................................................. 32 7.1 Exploration Work (Other Than Drilling)............................................................................................................32 7.2 Exploration Drilling ...........................................................................................................................................32 7.2.1 Pre-2007 Drilling (1966-1986)..............................................................................................................33 7.2.2 Post-2007 Drilling by Transition Metals (2021) ....................................................................................35 7.2.3 Drilling, Sampling, or Recovery Factors...............................................................................................37 7.2.4 Drilling Results and Interpretation ........................................................................................................37 7.3 Hydrogeology ...................................................................................................................................................37 7.4 Geotechnical Data, Testing and Analysis ........................................................................................................37 7.5 Exploration Targets ..........................................................................................................................................37 8 Sample Preparation, Analysis, and Security........................................................................ 38 8.1 Sample Preparation Methods and Quality Control Measures..........................................................................38 8.2 Sample Preparation, Assaying and Analytical Procedures..............................................................................38 8.2.1 Pre-2007 Analytical Methods (1966-1986)...........................................................................................38 8.2.2 Transition Metals Analytical Methods (2021) .......................................................................................39 8.2.3 Specific Gravity Data............................................................................................................................40 8.3 Quality Control Procedures/Quality Assurance................................................................................................40 8.3.1 Pre-2007 Quality Assurance and Quality Control Programs................................................................40 8.3.2 Quality Assurance and Quality Control Programs by Transition Metals (2021)...................................41 8.3.3 Sample Security ...................................................................................................................................42 8.4 Opinion on Adequacy.......................................................................................................................................43 9 Data Verification ..................................................................................................................... 44 9.1 Data Verification Procedures ...........................................................................................................................44 9.1.1 Site Visit................................................................................................................................................45 9.1.2 Verifications of Historical Database and Analytical Methods ...............................................................47 9.1.3 Verifications of Analytical Quality Control Data....................................................................................47

GRAPHIC

CAPR004153 – United States Antimony Corporation SEC Technical Report Summary – Fostung Tungsten Project Page iv SRK Consulting (Canada) Inc. March 24, 2026 9.2 Limitations ........................................................................................................................................................51 9.3 Opinion on Data Adequacy ..............................................................................................................................51 10 Mineral Processing and Metallurgical Testing..................................................................... 53 10.1 Historical Testwork Results..............................................................................................................................53 10.2 Ore Sorting Testwork .......................................................................................................................................53 10.3 Assumed Metallurgical Performance ...............................................................................................................56 10.4 Adequacy of Mineral Processing and Metallurgical Testing ............................................................................56 11 Mineral Resource Estimates.................................................................................................. 57 11.1 Key Assumptions, Parameters, and Methods Used ........................................................................................57 11.2 Resource Database .........................................................................................................................................58 11.3 Solid Body Modelling........................................................................................................................................58 11.4 Assays, Compositing and Capping ..................................................................................................................59 11.5 Variography ......................................................................................................................................................60 11.6 Block Model and Grade Estimation..................................................................................................................61 11.7 Model Validation and Sensitivity ......................................................................................................................62 11.8 Mineral Resource Classification.......................................................................................................................65 11.9 Uncertainty .......................................................................................................................................................66 11.10Multiple Commodity Resource .........................................................................................................................67 11.11Mineral Resource Statement............................................................................................................................67 12 Mineral Reserve Estimates .................................................................................................... 70 13 Mining Methods ...................................................................................................................... 71 14 Processing and Recovery Methods ...................................................................................... 72 15 Infrastructure .......................................................................................................................... 73 16 Market Studies ........................................................................................................................ 74 16.1 Tungsten Market Overview ..............................................................................................................................74 16.1.1 Tungsten End Use................................................................................................................................75 16.1.2 Recent Market Trends ..........................................................................................................................76 16.2 Tungsten Price Outlook....................................................................................................................................76 16.2.1 Key Considerations ..............................................................................................................................76 16.2.2 Recommended Price............................................................................................................................77 16.3 Contracts and Status........................................................................................................................................77 17 Environmental Studies, Permitting, and Plans, Negotiations, or Agreements with Local Individuals or Groups............................................................................................................. 78 18 Capital and Operating Costs ................................................................................................. 79

GRAPHIC

CAPR004153 – United States Antimony Corporation SEC Technical Report Summary – Fostung Tungsten Project Page v SRK Consulting (Canada) Inc. March 24, 2026 19 Economic Analysis................................................................................................................. 80 20 Adjacent Properties................................................................................................................ 81 21 Other Relevant Data and Information ................................................................................... 82 22 Interpretation and Conclusions............................................................................................. 83 22.1 Opportunity.......................................................................................................................................................83 22.2 Project Risks ....................................................................................................................................................83 23 Recommendations.................................................................................................................. 85 23.1 Drilling ..............................................................................................................................................................85 23.2 Sampling and Analysis.....................................................................................................................................85 23.3 Metallurgical Testwork .....................................................................................................................................86 23.4 Recommended Work Program Costs ..............................................................................................................86 24 References .............................................................................................................................. 88 25 Reliance on Information Provided by the Registrant .......................................................... 90 List of Tables Table 1-1: Assumptions Considered for Conceptual Open Pit Optimization .................................................................. 4 Table 1-2: Fostung Project Summary Mineral Resources, SRK Consulting (Canada) Inc., January 31, 2026..............4 Table 2-1: Site Visits ....................................................................................................................................................... 8 Table 3-1: Fostung Project Land Tenure Information ...................................................................................................11 Table 5-1: Summary of Historical Exploration Activities Completed on the Fostung Project........................................17 Table 5-2: Historical Mineral Resource Statement, SRK Consulting (US) Inc., November 30, 2007...........................20 Table 7-1: Summary of Historical Drilling (Pre-2007)....................................................................................................34 Table 7-2: Summary of the 2021 Drilling by Transition Metals .....................................................................................35 Table 8-1: Analytical Methods used by ALS Chemex in 2021 ......................................................................................39 Table 8-2: Summary of Historic Collar Resurvey Results Completed by Tulloch Engineering ....................................42 Table 9-1: Assay Results for Verification Samples Collected SRK on the Fostung Project .........................................47 Table 9-2: Summary of Analytical Quality Control Data Produced by Transition Metals on the Fostung Project ........48 Table 9-3: Summary of Certified Reference Material Analysed on the Fostung Project in 2021 .................................49 Table 10-1: Fostung Sorter Test Results (12×75 mm fraction).....................................................................................55 Table 11-1: Drillhole Database Used for Resource Estimation.....................................................................................58

GRAPHIC

CAPR004153 – United States Antimony Corporation SEC Technical Report Summary – Fostung Tungsten Project Page vi SRK Consulting (Canada) Inc. March 24, 2026 Table 11-2: Summary of Domain Volumetrics ..............................................................................................................59 Table 11-3: Summary of WO3 Assay Statistics.............................................................................................................60 Table 11-4: Summary of Capped Composite Statistics ................................................................................................60 Table 11-5: Summary of Tungsten, Molybdenum and Silver Variogram Models .........................................................60 Table 11-6: Block Model Definitions..............................................................................................................................61 Table 11-7: Summary of Estimation Parameters ..........................................................................................................62 Table 11-8: Comparison of Alternate Grade Estimators ...............................................................................................62 Table 11-9: Assumptions Considered for Conceptual Open Pit Optimization ..............................................................68 Table 11-10: Fostung Project Summary Mineral Resources, SRK Consulting (Canada) Inc., January 31, 2026........68 Table 11-11: Global Block Model Quantities and Grade Estimates*, Fostung Project at Various Cut-off Grades.......69 Table 23-1: Summary of Costs for Recommended Work .............................................................................................87 List of Figures Figure 3-1: Fostung Project Location Map ...................................................................................................................... 9 Figure 3-2: Fostung Project Mineral Tenure .................................................................................................................10 Figure 4-1: Typical Landscape in the Project Area .......................................................................................................13 Figure 5-1: Total Magnetic Intensity Showing 2025 Claim Outlines (White) and Tungsten Mineralisation (Black)......19 Figure 6-1: Regional Geology Map ...............................................................................................................................22 Figure 6-2: Map of the Property Geology......................................................................................................................24 Figure 6-3: Stratigraphic Section of the Espanola Formation in and Around Fostung Project .....................................28 Figure 7-1: Map Showing the Distribution of Drilling.....................................................................................................33 Figure 7-2: Core Logging Facility ..................................................................................................................................36 Figure 7-3: Scheelite Response to Ultra-Violet Lamping ..............................................................................................36 Figure 8-1: Scatter Plot of WO3 Assay Duplicates .......................................................................................................41 Figure 9-1: Site Visit Activities and Field Verification....................................................................................................46 Figure 9-2: Quantile-Quantile Plot of ICP vs. XRF Analysis of Tungsten at ALS .........................................................48 Figure 9-3: Quality Control Plot for Blank Material Assayed for WO3 at ALS in 2021 ..................................................49 Figure 9-4: Quality Control Plot for OREAS 701 Assayed for WO3 at ALS in 2021......................................................50

GRAPHIC

CAPR004153 – United States Antimony Corporation SEC Technical Report Summary – Fostung Tungsten Project Page vii SRK Consulting (Canada) Inc. March 24, 2026 Figure 9-5: Quality Control Plot for OREAS 701 Assayed for Mo at ALS in 2021 ........................................................50 Figure 9-6: Quality Control Plot for OREAS701 Assayed for W at ALS in 2021...........................................................51 Figure 10-1: Union Carbide Test Flowsheet (Feed Sample “8MxD”)............................................................................54 Figure 10-2: Sample Location for Sorting Testwork......................................................................................................54 Figure 10-3: Sorter Test Products (Step 1 to 5 from top to bottom)..............................................................................55 Figure 10-4: Scheelite Recovery for Low-Grade Samples............................................................................................56 Figure 11-1: Three-Dimensional View of Estimation Domain (100)..............................................................................59 Figure 11-2: Correlogram for WO3 in Domain 100........................................................................................................61 Figure 11-3: Cross Section Comparing Block Model WO3 Grades to Composites.......................................................63 Figure 11-4: Swath Plots Comparing OK and NN Estimated WO3 Grades ..................................................................64 Figure 11-5: Longitudinal View of Classified Blocks .....................................................................................................66 Figure 11-6: Grade Tonnage Curve for the Fostung Project ........................................................................................69 Figure 16-1: Tungsten Production and Reserves .........................................................................................................75 Figure 16-2: Tungsten Deman by End-Use ..................................................................................................................75 Figure 16-3: Ammonium Paratungstate (APT) Pricing .............................................................................................77 Figure 20-1: Adjacent Properties...................................................................................................................................81

GRAPHIC

CAPR004153 – United States Antimony Corporation SEC Technical Report Summary – Fostung Tungsten Project Page viii SRK Consulting (Canada) Inc. March 24, 2026 List of Abbreviations The metric system has been used throughout this report. Tonnes are metric of 1,000 kg, or 2,204.6 lb. All currency is in U.S. dollars (US$) unless otherwise stated. Abbreviation Unit or Term AAS Atomic Absorption Spectroscopy (AAS) Ag silver APT Ammonium Paratungstate Au gold °C degrees Centigrade cm centimetre ° degree (degrees) dia. diameter FA fire assay g gram Ga billion years g/t grams per tonne ha hectares HLEM Horizontal Loop Electromagnetic ICP induced couple plasma ICP-AES Inductively coupled plasma atomic emission spectroscopy ICP-OES Inductively coupled plasma optical emission spectroscopy ID2 inverse-distance squared IP induced polarization kg kilograms km kilometre km2 square kilometre kV kilovolt m metre masl metres above sea level mGal milligal mm millimetre mtu metric tonne unit NI 43-101 Canadian National Instrument 43-101 OK Ordinary Kriging OSC Ontario Securities Commission oz/t ounces per tonne % percent ppb parts per billion ppm parts per million QA/QC Quality Assurance/Quality Control RoM Run-of-Mine RQD Rock Quality Description SEC U.S. Securities & Exchange Commission SG specific gravity st short ton (2,000 pounds) t tonne (metric ton) (2,204.6 pounds) W tungsten WO tungsten trioxide XRF x-ray fluorescence XRT x-ray transmissive wt% weight percent

GRAPHIC

CAPR004153 – United States Antimony Corporation SEC Technical Report Summary – Fostung Tungsten Project Page 1 SRK Consulting (Canada) Inc. March 24, 2026 1 Executive Summary This report was prepared as an Initial Assessment -level Technical Report Summary in accordance with the Securities and Exchange Commission (SEC) S-K regulations (Title 17, Part 229, Items 601 and 1300 until 1305) for United States Antimony Corporation (USAC) by SRK Consulting (Canada) Inc. (SRK) on the Fostung Tungsten Project. UAMY Cobalt Corporation (UAMY or the Company), a wholly owned subsidiary of USAC, commissioned SRK to prepare the Technical Report Summary. 1.1 Introduction The Fostung Project is an intermediate‑stage tungsten exploration asset located in Foster Township, Sudbury District, Ontario, approximately 8 kilometres (km) southeast of Espanola and approximately 70 km west‑southwest of Sudbury. The project comprises 50 contiguous single‑cell mining claims covering 1,110 hectares (ha) and hosts a skarn‑type tungsten deposit (scheelite) with associated molybdenum, copper, and silver mineralisation. The mining claims are held by UAMY Cobalt Corporation (UAMY), a wholly owned subsidiary company of USAC and registered in Canada. United States Antimony Corporation, completed the acquisition of the Fostung Project on June 27, 2025. from Transition Metals Corporation (Transition Metals) and 1930153 Ontario Limited, a private company. Transition Metals and 1930153 Ontario Limited participated in a joint venture agreement on the Project. SRK was previously involved in the Fostung Project. In 2024, SRK was commissioned by 01930153 Ontario Limited to update the Mineral Resource model for the Fostung Project, Though SRK concluded an internal update of the block model estimation, the outcome of this work was not publicly disclosed. This current mineral model is based on the block model estimation carried out by SRK in 2024. 1.2 Property Description (Including Mineral Rights) and Ownership The total purchase price of the Project was US$5 million in cash, in addition to a half of one percent (0.5%) Net Smelter Return royalty (NSR) interest, to be divided equally between the sellers, Transition Metals and 1930153 Ontario Limited. An additional NSR royalty interest of one percent held by a previous owner was purchased by UAMY on January 31, 2026. The Fostung Project consists of 50 contiguous claim units, totalling approximately 1,110 ha. The Project is in Foster Township, District of Sudbury, in Ontario, Canada. It is approximately 8 km southeast of the Town of Espanola and 70 km west-southwest of the city of Sudbury. UAMY currently holds an Exploration Permit (permit number PR‑25‑000197), issued by the Ontario Ministry of Energy and Mines, allowing surface drilling, pitting, and trenching on specified claims. In Ontario, mining claims are held by the claim holder subject to annual assessment work, under a framework established by the Mining Act, which governs staking, leasing, and associated rights and obligations for mineral exploration and development. 1.3 Geology and Mineralisation The Huronian Supergroup consists of four lithologic groups with a cumulative thickness of 7 to 11 km, including (from the stratigraphic bottom to top) the Elliot Lake, Hough Lake, Quirke Lake, and Cobalt Groups. The Hough Lake, Quirke Lake, and Cobalt Groups of the Huronian Supergroup have been mapped within the Project area. The Hough Lake Group is represented by the Mississagi Formation, the Quirke Lake Group is represented by the Bruce, Espanola, Serpent Formations, while the Cobalt Group is represented by the Gowganda Formation.

GRAPHIC

CAPR004153 – United States Antimony Corporation SEC Technical Report Summary – Fostung Tungsten Project Page 2 SRK Consulting (Canada) Inc. March 24, 2026 The Fostung tungsten mineralisation is a skarn deposit atypical for the calcareous Huronian metasedimentary units unconformably overlying Precambrian basement shield rocks in the Southern structural province. The Project is located within a northeast-trending belt comprising the Southern Province Early Precambrian volcanic and felsic plutonic rocks that form a narrow 125 to over 150 km septa, separating rocks from the Superior Archean greenstone-gneiss Province (~ 2.70-3.5 Ga) on the northwest from the Mesoproterozoic to Neoproterozoic metasediments and felsic plutons of the Grenville Province on the southeast. The Fostung Tungsten deposit is hosted within the Calcareous Siltstone member of the Espanola Formation which has been partially altered to skarn assemblages. Fostung scheelite mineralisation extends from southwest of Breccia Hill along strike of the Calcareous Siltstone Member of the Espanola Formation for approximately 2 km to the northeast. Thinner and more discontinuous skarns with less volumetrically significant scheelite occur in the stratigraphically higher and successor Sandstone and upper Serpent Members, and in calcareous portions of the Greywacke Member. Scheelite occurs as fine to coarse-grained disseminations within skarn, associated with later phase dark green calc-silicate and with garnet ± pyroxene assemblages. It also has been observed as fine grains within thin quartz ± calcite veinlets. Better grade scheelite is associated with disseminated pyrrhotite, minor chalcopyrite and abundant dark red garnet; less commonly, it is associated with the dark green actinolite skarns containing up to 50% pyrrhotite. Molybdenite occurs as fine rosettes and plates, as disseminations, along fractures, and in quartz veinlets, but is low grade and erratically distributed. Other sulfide minerals occur as interstitial grains and disseminations. 1.4 Status of Exploration, Development and Operations Historical exploration activity completed on the Fostung Project includes early prospecting completed before 1966. Exploration activities by formal operators of the Project occurred by various companies between 1966 and 2024. These activities included prospecting, geological mapping, geophysical surveys, core drilling, and trenching. A total of 50 core holes (10,295 m) have been drilled on the Fostung Project between 1966 and 2021, including six holes (1,110 m) performed by Transition Metals. The most significant and continuous tungsten mineralisation discovered to date is within the core of the deposit. The mineralised section is incompletely explored. Based on the available geological information and exploration data, the Fostung deposit is open, particularly along the strike towards south-west. The 2011 VTEM geophysical survey demonstrated that some of the TMI anomalies are aligned with tungsten mineralisation in the property. That TMI anomaly continues further south-west and need to be tested by trenching and drilling. The historical and 2021 drilling data indicate that the mineralised calcareous siltstone unit continues further along the strike and down the dip. Exploration for the basal Limestone Member and a buried plutonic source for mineralising fluids as potential targets would improve the overall geological understanding and have potential for future exploration planning once the most obvious near-surface mineralisation has been thoroughly evaluated.

GRAPHIC

CAPR004153 – United States Antimony Corporation SEC Technical Report Summary – Fostung Tungsten Project Page 3 SRK Consulting (Canada) Inc. March 24, 2026 1.5 Mineral Resource and Mineral Reserve Estimates The Mineral Resource Statement presented herein represents the second Mineral Resource evaluation prepared for the Fostung Project that was completed. The first Mineral Resource estimate was reported in 2007 in accordance with the Canadian Securities Administrators’ National Instrument 43-101. The current resource estimation work was completed by SRK. Leapfrog Geo™ and Leapfrog Edge™ (version 2024.1.1) were used to construct the geological solids, perform geostatistical analysis and variography, construct the block model, estimate metal grades, and tabulate Mineral Resources. The mineralisation domain for the Fostung deposit was constructed by the qualified person (QP) in November 2024 considering available assay data. A threshold of 0.08% WO3 was selected based on an assessment of assay data through spatial analysis, histograms and cumulative probability plots. Manual refinements, including the inclusion of lower-grade intervals where appropriate, were performed to limit artefacts and increase the continuity of the wireframe. Transition Metals collected specific gravity (SG) measurements from 2021 core, which was largely restricted to the center of the deposit. SRK estimated the SG with an isotropic search of 100 m and the un-estimated blocks were assigned an average value 2.96 for tonnage conversion. The block model used block sizes of 10 m by 20 m by 5 m in the X, Y and Z directions, rotated 230 degrees about the Z axis. Assays were composited to a length of 1.5 m, respecting domain boundaries. The composited data was reviewed to identify any potential outliers and assess the need to cap the data. Variograms were modeled separately for WO3, molybdenum and silver within each domain. WO3, molybdenum, copper and silver grades were estimated using Ordinary Kriging (OK). Block estimates in waste for WO3, molybdenum, copper and silver grades and specific gravity were estimated using Inverse Distance to the power of two. The general estimation strategy involves up to three estimation passes with progressively relaxed search ellipsoids and data requirements. SRK estimated the associated molybdenum, copper and silver but did not report in the mineral resources due to limited economic contribution. The block classification strategy considers drillhole spacing, presence of appropriate quality control practices, and geological confidence. In general, the criteria used to classify blocks as Inferred included blocks estimated with an average distance to three holes of 85 m. All other blocks were left unclassified. Manual smoothing was applied to improve continuity and eliminate isolated blocks. To determine the quantities of material offering “reasonable prospects for economic extraction” by an open pit, SRK used a pit optimizer and reasonable mining assumptions to evaluate the proportions of the block model (Inferred blocks) that could be “reasonably expected” to be mined from an open pit (Table 1-1). A market study was provided by Fastmarkets and is relied upon for WO3 price assumptions supporting assumptions regarding metal price.

GRAPHIC

CAPR004153 – United States Antimony Corporation SEC Technical Report Summary – Fostung Tungsten Project Page 4 SRK Consulting (Canada) Inc. March 24, 2026 Table 1-1: Assumptions Considered for Conceptual Open Pit Optimization Parameter Unit Value WO3 price (APT) US$ per mtu 500 Payability percent 75 Exchange rate US$/C$ 1.35 Mining cost US$ per tonne mined 3 Sorting Cost US$ per tonne feed ore 5 Processing US$ per tonne sorted ore 20 General and administrative US$ per tonne of feed 5 Concentrate Transport Cost C$ per wet tonne of concentrate 135 Mining dilution percent 0 Mining loss percent 0 Overall pit slope degrees 50 WO3 process recovery percent 59 WO3 concentrate grade Percent WO3 65 Sorting Yield percent 33 In situ cut-off grade percent 0.08 SRK considers that the blocks located within the conceptual pit envelope show “reasonable prospects for economic extraction” and can be reported as a Mineral Resource. Mineral Resources are not mineral reserves and do not have demonstrated economic viability. There is no certainty that all or any part of the Mineral Resources will be converted into mineral reserves. SRK is unaware of any environmental, permitting, legal, title, taxation, socio-economic, marketing, and political or other relevant issues that may materially affect the mineral resources. The Mineral Resource Statement for the Fostung Tungsten Project is presented in Table 1-2. Table 1-2: Fostung Project Summary Mineral Resources, SRK Consulting (Canada) Inc., January 31, 2026 Category Quantity 000’ Tonne Grade WO3 % Metal WO3 000’ lb Measured - - - Indicated - - - Measured + Indicated - - - Inferred 14,770 0.17 54,170 Mineral Resources are reported within a conceptual pit shell. Mineral Resources are not mineral reserves and have not demonstrated economic viability. All figures are rounded to reflect the relative accuracy of the estimate. All composites have been capped where appropriate. Open pit Mineral Resources are reported at a cut-off grade of 0.08% WO3. Cut-off grades are based on a price of US$500 per metric tonne unit of WO3 with 75% payability and WO3 recoveries of 59% with 33% of sorting yield, without considering revenues from other metals.

GRAPHIC

CAPR004153 – United States Antimony Corporation SEC Technical Report Summary – Fostung Tungsten Project Page 5 SRK Consulting (Canada) Inc. March 24, 2026 1.6 Permitting Requirements Ontario’s Mining Act provides the framework for acquiring land for mineral exploration and development. The Ministry of Mines administers the Mining Act, which sets out rules for all aspects of mineral exploration and development. A person must hold a prospector's license issued under the Ontario Mining Act to prospect, stake out, record, or apply to record a mining claim on Crown lands in Ontario. A prospector or exploration company must apply for a mining lease to conduct exploration, development, or mining on claims in good standing, or risk losing the property to others. UAMY has been issued an Exploration Permit, by Ontario Ministry of Energy and Mines, vide a permit number PR-25-000197. The permit allows UAMY surface drilling, pitting and trenching. 1.7 Conclusions and Recommendations A 2011 VTEM geophysical survey showed that certain TMI anomalies align with tungsten mineralisation and extend to the southwest, representing a key exploration opportunity for further trenching and drilling. The Project has a number of risks and uncertainties. Historical data collected before 2021 have limited quality control, some drill collar locations cannot be independently verified with modern surveying, and downhole survey data are sparse, all of which introduce uncertainty in sample locations. Metallurgical recovery assumptions also have limited support. Earlier work in 1981 did not achieve a saleable WO₃ concentrate, yet the current model assumes a constant 59% overall WO₃ recovery after sorting based largely on external references. Tungsten pricing is volatile and the economic analysis uses an APT price proxy for a 65% WO₃ concentrate product that has not yet been demonstrated from this deposit. To advance Fostung to a preliminary economic assessment (PEA) level, SRK recommends a substantial technical work program. This includes trenching and sampling, about 8,000 m of drilling for infill, step‑out, and regional exploration, including twinning at least 25% of historical holes (about 2,500 m) and an additional 3,000 m to test geophysical anomalies along strike, along with collection of basic geotechnical data. Sampling and analytical protocols should be strengthened by adding duplicate and umpire samples, improving the sequencing and frequency of quality control materials (to at least 5%), and upgrading core security and storage. Metallurgical work should be expanded to include sensor sorting, comminution, flotation, gravity recovery, and impurity analyses to better support recovery assumptions and to demonstrate a saleable WO₃ product. The total cost of the recommended program is estimated at US$4,000,000, covering legal and ownership matters, drilling, resource model updates, geotechnical and hydrogeological studies, metallurgical and environmental work, miscellaneous costs, and preparation of a PEA. The Qualified Persons consider that, aside from the identified technical risks, there are no other significant factors that would affect access, title, or the ability to conduct this work, and that the project merits continued exploration and study

GRAPHIC

CAPR004153 – United States Antimony Corporation SEC Technical Report Summary – Fostung Tungsten Project Page 6 SRK Consulting (Canada) Inc. March 24, 2026 2 Introduction The Fostung Project (the Project) is an intermediate-stage exploration project. The Project hosts a skarn type, tungsten mineralisation and has been subject to several decades of exploration by several owners and operators. A total of 50 core holes (10,295 m) have been drilled on the Fostung Project between 1966 and 2021, including six holes (1,110 m) drilled in 2021. In 2007, SRK Consulting (U.S.) Inc. (SRK USA) completed a Mineral Resource Estimate and prepared a National Instrument 43-101 (NI 43-101) Technical Report for Golden Predator Mines (Golden Predator). The 2007 model reported 12.4 million tonnes, at an average grade of 0.213% WO3, of Inferred Mineral Resources. In October 2025, UAMY Cobalt Corporation (UAMY or the Company), a wholly owned subsidiary of United States Antimony Corporation (USAC), commissioned SRK Consulting (Canada) Inc. (SRK) to update the Mineral Resource model and to prepare a technical report summary in accordance with Securities and Exchange Commission (SEC) S-K regulations for the Fostung Project. USAC acquired the Project in June 2025 from Transition Metals Corporation (Transition Metals) and 1930153 Ontario Limited, a private company. Transition Metals and 1930153 Ontario Limited participated in a joint venture agreement on the Project. 2.1 Registrant for Whom the Technical Report Summary was Prepared This Technical Report Summary was prepared in accordance with the Securities and Exchange Commission (SEC) S-K regulations (Title 17, Part 229, Items 601 and 1300 through 1305) for United States Antimony Corporation by SRK on the Fostung Tungsten Project. 2.2 Terms of Reference and Purpose of the Report The quality of information, conclusions, and estimates contained herein are consistent with the level of effort involved in SRK’s services, based on: i) information available at the time of preparation and ii) the assumptions, conditions, and qualifications set forth in this report. This report is intended for use by UAMY and its parent company USAC subject to the terms and conditions of its contract with SRK and relevant securities legislation. The contract permits USAC to file this report as a Technical Report Summary with American securities regulatory authorities pursuant to the SEC S-K regulations, more specifically Title 17, Subpart 229.600, item 601(b)(96) - Technical Report Summary and Title 17, Subpart 229.1300 - Disclosure by Registrants Engaged in Mining Operations. Except for the purposes legislated under provincial securities law, any other use of this report by any third party is at that party’s sole risk. The responsibility for this disclosure remains with UAMY and its parent company USAC. The purpose of this Technical Report Summary is to report Mineral Resources and exploration results. The effective date of this report is January 31, 2026. The Initial Assessment is preliminary in nature, that it includes Inferred Mineral Resources that are considered too speculative geologically to have the economic considerations applied to them that would enable them to be categorized as Mineral Reserves, and there is no certainty that the Initial Assessment will be realized. Mineral Resources that are not Mineral Reserves do not have demonstrated economic viability.

GRAPHIC

CAPR004153 – United States Antimony Corporation SEC Technical Report Summary – Fostung Tungsten Project Page 7 SRK Consulting (Canada) Inc. March 24, 2026 2.3 Sources of Information SRK was previously involved in the Fostung Project. In 2024, SRK was commissioned by 01930153 Ontario Limited to update the Mineral Resource model for the Fostung Project, including the data from 2021 drilling. 01930153 Ontario Limited was intending to publish an NI 43-101 technical report based on this updated Mineral Resource model and economic assumptions. Though SRK concluded an internal update of the block model estimation, no Mineral Resources was publicly disclosed. This current mineral model is based on the block model estimation carried out by SRK in 2024. This report is based partly on information collected by SRK during a site visit conducted between July 31 and August 1, 2024; additional information provided by Transition Metals, 01930153 Ontario Limited, and UAMY throughout the course of SRK’s investigations between 2024 and 2026; and public information as cited throughout this report and listed in Section 24, References. After acquisition, UAMY has not undertaken any exploration activity in the Fostung Project, other than limited surface sampling and collection of samples for metallurgical testing. At the time of this report, results of this sampling program were not available to SRK. The Qualified Persons (QPs) have no reason to doubt the reliability of the information provided by the previous and current owners. This technical report is based on the following sources of information: • A substantial amount of data and information has been sourced from the Technical Report prepared by SRK Consulting (US) Inc. in 2007 for Golden Predator Mines Inc. • Digital scanned copies of historical exploration data and reports for the period between 1966 and 1986 • Discussions with Transition Metals, 01930153 Ontario Limited, and UAMY • Inspection of the Fostung Project area including outcrop and drill core • Review of exploration data collected by Transition Metals and 01930153 Ontario Limited • Additional information from public domain sources Reliance upon information provided by the registrant is listed in Section 25 when applicable. 2.4 Details of Inspection SRK visited the Fostung Project between July 31 and August 1, 2024, accompanied by personnel from Transition Metals and 01930153 Ontario Limited. The purpose of the site visit was to review the digitalization of the exploration database and validation procedures, review exploration procedures, define geological modelling procedures, examine drill core, interview project personnel, and collect all relevant information for the preparation of a revised Mineral Resource model and the compilation of a technical report. During the visit, particular attention was given to the treatment and validation of historical drilling data. The site visit also aimed at investigating the geological and structural controls on the distribution of the tungsten mineralisation in order to aid the construction of three-dimensional tungsten mineralisation domains. Table 2-1 summarises the details of the personal inspections on the property by each qualified person or, if applicable, the reason why a personal inspection has not been completed.

GRAPHIC

CAPR004153 – United States Antimony Corporation SEC Technical Report Summary – Fostung Tungsten Project Page 8 SRK Consulting (Canada) Inc. March 24, 2026 Table 2-1: Site Visits Expertise Date(s) of Visit Details of Inspection Reason why a personal inspection has not been completed Geology and Mineral Resources July 31 to August 1, 2024 - Review the digitalization of the exploration database and validation procedures - Review exploration procedures - Define geological modelling procedures - Examine drill core - Interview project personnel N/A 2.5 Report Version Update The user of this document should ensure that this is the most recent Technical Report Summary for the property. This report updates the previously filed technical report under the Canadian Securities Administration entitled, “Technical Report on Resources: Golden Predator Mines, Inc. Fostung Project, Foster Township, Ontario, Canada. Prepared for Golden Predator Mines, Inc.” in 2007.

GRAPHIC

CAPR004153 – United States Antimony Corporation SEC Technical Report Summary – Fostung Tungsten Project Page 9 SRK Consulting (Canada) Inc. March 24, 2026 3 Property Description 3.1 Property Location The Project is located in the Foster Township, District of Sudbury, in Ontario, Canada (Figure 3-1). It is approximately 8 km southeast of the Town of Espanola and 70 km west-southwest of the city of Sudbury. The geographic center of the property has UTM coordinates of 5,093,829 N and 499,496 E (UTM Zone 17), or decimal degree coordinates of 46.14° N and 81.39° W. Figure 3-1: Fostung Project Location Map 3.2 Property Area The Fostung Project consists of 50 contiguous claim units, totaling approximately 1,110 ha.

GRAPHIC

CAPR004153 – United States Antimony Corporation SEC Technical Report Summary – Fostung Tungsten Project Page 10 SRK Consulting (Canada) Inc. March 24, 2026 3.3 Mineral Title, Claim, Mineral Right, Lease or Option Disclosure The Fostung Project is comprised of contiguous claim blocks, including 50 claims held by UAMY. Applications to the Province of Ontario for conversion to mining leases were submitted in 1988. The province issued 21- year mining leases to Breakwater Resources in 1989 and 1990, with mixed expiration dates of October 31, 2010, and March 31, 2011. Upon the expiry of the mining leases in 2010 and 2011, the claims were renewed as single cell mining claims. The claims of the Fostung Project are shown in Figure 3-2 and summarised in Table 3-1. UAMY has been issued an Exploration Permit, by Ontario Ministry of Energy and Mines, vide a permit number PR-25-000197. The permit allows UAMY surface drilling, pitting and trenching on claim number 550251, 550263, 550847, 550,848, 550850, 550851, 550852, 550853, 550854, and 550855. Figure 3-2: Fostung Project Mineral Tenure Source: Ontario Mining Lands Administration System (MLAS)

GRAPHIC

CAPR004153 – United States Antimony Corporation SEC Technical Report Summary – Fostung Tungsten Project Page 11 SRK Consulting (Canada) Inc. March 24, 2026 Table 3-1: Fostung Project Land Tenure Information Tenement Name Tenement Type Holder Grant Date Expiry Date Surface Area (ha) 550241 Single Cell Mining Claim (100) UAMY COBALT CORP. 5/21/2019 5/21/2026 22.2 550242 Single Cell Mining Claim (100) UAMY COBALT CORP. 5/21/2019 5/21/2026 22.2 550243 Single Cell Mining Claim (100) UAMY COBALT CORP. 5/21/2019 5/21/2026 22.2 550244 Single Cell Mining Claim (100) UAMY COBALT CORP. 5/21/2019 5/21/2026 22.2 550245 Single Cell Mining Claim (100) UAMY COBALT CORP. 5/21/2019 5/21/2026 22.2 550246 Single Cell Mining Claim (100) UAMY COBALT CORP. 5/21/2019 5/21/2026 22.2 550247 Single Cell Mining Claim (100) UAMY COBALT CORP. 5/21/2019 5/21/2026 22.2 550248 Single Cell Mining Claim (100) UAMY COBALT CORP. 5/21/2019 5/21/2026 22.2 550249 Single Cell Mining Claim (100) UAMY COBALT CORP. 5/21/2019 5/21/2026 22.2 550250 Single Cell Mining Claim (100) UAMY COBALT CORP. 5/21/2019 5/21/2026 22.2 550251 Single Cell Mining Claim (100) UAMY COBALT CORP. 5/21/2019 5/21/2026 22.2 550252 Single Cell Mining Claim (100) UAMY COBALT CORP. 5/21/2019 5/21/2026 22.2 550253 Single Cell Mining Claim (100) UAMY COBALT CORP. 5/21/2019 5/21/2026 22.2 550254 Single Cell Mining Claim (100) UAMY COBALT CORP. 5/21/2019 5/21/2026 22.2 550255 Single Cell Mining Claim (100) UAMY COBALT CORP. 5/21/2019 5/21/2026 22.2 550256 Single Cell Mining Claim (100) UAMY COBALT CORP. 5/21/2019 5/21/2026 22.2 550849 Single Cell Mining Claim (100) UAMY COBALT CORP. 5/21/2019 5/21/2026 22.2 550851 Single Cell Mining Claim (100) UAMY COBALT CORP. 5/21/2019 5/21/2026 22.2 550852 Single Cell Mining Claim (100) UAMY COBALT CORP. 5/21/2019 5/21/2026 22.2 550853 Single Cell Mining Claim (100) UAMY COBALT CORP. 5/21/2019 5/21/2026 22.2 550263* Single Cell Mining Claim (100) UAMY COBALT CORP. 5/21/2019 5/21/2026 22.2 550847* Single Cell Mining Claim (100) UAMY COBALT CORP. 5/21/2019 5/21/2026 22.2 550848* Single Cell Mining Claim (100) UAMY COBALT CORP. 5/21/2019 5/21/2026 22.2 550850* Single Cell Mining Claim (100) UAMY COBALT CORP. 5/21/2019 5/21/2026 22.2 550854* Single Cell Mining Claim (100) UAMY COBALT CORP. 5/21/2019 5/21/2026 22.2 550855* Single Cell Mining Claim (100) UAMY COBALT CORP. 5/21/2019 5/21/2026 22.2 551227 Single Cell Mining Claim (100) UAMY COBALT CORP. 5/21/2019 5/21/2026 22.2 551228 Single Cell Mining Claim (100) UAMY COBALT CORP. 5/21/2019 5/21/2026 22.2 551229 Single Cell Mining Claim (100) UAMY COBALT CORP. 5/21/2019 5/21/2026 22.2 551230 Single Cell Mining Claim (100) UAMY COBALT CORP. 5/21/2019 5/21/2026 22.2 551231 Single Cell Mining Claim (100) UAMY COBALT CORP. 5/21/2019 5/21/2026 22.2 551232 Single Cell Mining Claim (100) UAMY COBALT CORP. 5/21/2019 5/21/2026 22.2 551233 Single Cell Mining Claim (100) UAMY COBALT CORP. 5/21/2019 5/21/2026 22.2 551234 Single Cell Mining Claim (100) UAMY COBALT CORP. 5/21/2019 5/21/2026 22.2 551235 Single Cell Mining Claim (100) UAMY COBALT CORP. 5/21/2019 5/21/2026 22.2 551253 Single Cell Mining Claim (100) UAMY COBALT CORP. 5/21/2019 5/21/2026 22.2 551254 Single Cell Mining Claim (100) UAMY COBALT CORP. 5/21/2019 5/21/2026 22.2 551255 Single Cell Mining Claim (100) UAMY COBALT CORP. 5/21/2019 5/21/2026 22.2 551256 Single Cell Mining Claim (100) UAMY COBALT CORP. 5/21/2019 5/21/2026 22.2 551257 Single Cell Mining Claim (100) UAMY COBALT CORP. 5/21/2019 5/21/2026 22.2 551258 Single Cell Mining Claim (100) UAMY COBALT CORP. 5/21/2019 5/21/2026 22.2 551259 Single Cell Mining Claim (100) UAMY COBALT CORP. 5/21/2019 5/21/2026 22.2 551260 Single Cell Mining Claim (100) UAMY COBALT CORP. 5/21/2019 5/21/2026 22.2 551261 Single Cell Mining Claim (100) UAMY COBALT CORP. 5/21/2019 5/21/2026 22.2 551262 Single Cell Mining Claim (100) UAMY COBALT CORP. 5/21/2019 5/21/2026 22.2 551271 Single Cell Mining Claim (100) UAMY COBALT CORP. 5/21/2019 5/21/2026 22.2 551272 Single Cell Mining Claim (100) UAMY COBALT CORP. 5/21/2019 5/21/2026 22.2 551273 Single Cell Mining Claim (100) UAMY COBALT CORP. 5/21/2019 5/21/2026 22.2 551274 Single Cell Mining Claim (100) UAMY COBALT CORP. 5/21/2019 5/21/2026 22.2 551275 Single Cell Mining Claim (100) UAMY COBALT CORP. 5/21/2019 5/21/2026 22.2 Total 1,110 Source: Ontario Mining Lands Administration System (MLAS) Notes: * Tenements containing Mineral Resources

GRAPHIC

CAPR004153 – United States Antimony Corporation SEC Technical Report Summary – Fostung Tungsten Project Page 12 SRK Consulting (Canada) Inc. March 24, 2026 3.4 Mineral Rights Description and How They Were Obtained United States Antimony Corporation, the parent company of UAMY, completed the acquisition of the Fostung Project on June 27, 2025. The total purchase price of the Project was US$5 million in cash, in addition to a half of one percent (0.5%) Net Smelter Return royalty (NSR) interest, to be divided equally between the sellers, Transition Metals and 1930153 Ontario Limited. An additional NSR royalty interest of one percent held by a previous owner was purchased by UAMY on January 31, 2026. In Ontario, the ownership of surface rights and mining rights varies from one parcel of land to the next. Currently, a title to mining claims in Ontario is held by the claim holder. Assessment work must be performed annually to maintain the claim in good standing, with the first year's assessment requirements waived. Assessment work is reported to the Mining Lands section of the Ontario Ministry of Mines. Failure to perform annual assessment results in forfeiture of the claims, returning the land to the Crown and opening it up to other prospecting parties. Ontario’s Mining Act provides the framework for acquiring land for mineral exploration and development. The Ministry of Mines administers the Mining Act, which sets out rules for all aspects of mineral exploration and development. The Act authorizes the staking of mining claims where the Crown owns the minerals and allows for assessment work on these claims, even if surface rights are privately owned. A person must hold a prospector's license issued under the Ontario Mining Act to prospect, stake out, record, or apply to record a mining claim on Crown lands in Ontario. A prospector or exploration company must apply for a mining lease to conduct exploration, development, or mining on claims in good standing, or risk losing the property to others. The right to obtain a lease is a statutory right upon fulfilling the obligations set out in Ontario’s Mining Act. Twenty-one-year leases are issued by the Ministry of Mines and may be renewed for additional 21- year periods. Leases can be issued for surface and mining rights, mining rights only, or surface rights only. Once issued, the leasee pays an annual rent and must comply with all applicable federal and provincial legislation. 3.5 Royalties and Other Encumbrances Apart from the royalty interests mentioned in section 3.4, SRK has not been made aware of any additional royalties or encumbrances for the project at this time. SRK was informed that UAMY has initiated discussions with the First Nations, having traditional ties to the project area, identified by the Government of Ontario. The First Nation representatives visited the Fostung Project and met with UAMY. 3.6 Other Significant Factors and Risks SRK is not aware of any other significant factors or risks related to the Fostung Project at this time.

GRAPHIC

CAPR004153 – United States Antimony Corporation SEC Technical Report Summary – Fostung Tungsten Project Page 13 SRK Consulting (Canada) Inc. March 24, 2026 4 Accessibility, Climate, Local Resources, Infrastructure and Physiography 4.1 Topography, Elevation and Vegetation The Fostung deposit is situated on relatively rugged to slightly rolling terrain (Figure 4-1), with local hills oriented east-northeast, approximately aligned with the bedrock grain and glaciation-induced drainage features. Both the Nipissing diabase and the Espanola calc-silicates form northeasterly elongated, resistant ridges in the central portion of the property. Elevation is around 1,500 m above mean sea level, with local relief ranging from 20 to 50 m. Figure 4-1: Typical Landscape in the Project Area Notes: A: Fostung Project area. B: Skarn outcrop. C: Aerial view of a drilling site in 2021. D: 2021 drilling site. E: Panoramic view of the Fostung Project area. The heavily wooded topography is dotted with numerous small lakes. The property lies approximately 40 km north of the North Channel of Lake Huron, bounded by St. Leonard Lake to the south and Elizabeth Lake to the north. Drainage into Elizabeth Lake flows from the southwest. The southernmost of the three drainages into the lake crosses the Fostung property near the intersection of the gravel access road from Espanola and the road to Lake Panache. The far southwest portion of the property is largely composed of swampy marshlands.

GRAPHIC

CAPR004153 – United States Antimony Corporation SEC Technical Report Summary – Fostung Tungsten Project Page 14 SRK Consulting (Canada) Inc. March 24, 2026 4.2 Means of Access The region is well served by Canada’s national transportation network. The township of Espanola is located 8 km to the northeast of Fostung via a well-maintained all-weather gravel road. Espanola is 2 km south of Canadian Highway 17 (Voyageur Route) of the Trans-Canadian Highway system. A branch of the Canadian Pacific rail line approximately parallels Highway 17 from Sudbury. The rail line is located approximately 6 km from the property. The airport at Sudbury serves as the main regional air transport hub with several daily flights into Toronto. 4.3 Climate and Length of Operating Season The climate is typical of southern Canada, largely cold and snowy in winter and hot and humid in summers. The property falls within the Algonquin-Lake Nipissing climatic region (http://www.ec.gc.ca). Annual average daily temperatures are 4°C, with a maximum average of 9°C and a minimum average of 1.4°C. Monthly temperature averages range from -14°C in January to 20°C in July. Total precipitation averages approximately 899 mm, occurring mostly as rain in the spring and summer months, and as snow in the winter seasons (Sudbury station data). Precipitation is largely by frontal systems influenced by moisture derived from the Great Lakes and by upper-level Polar air masses. The effective field season lasts from May to October. The Fostung Project is situated within the Boreal Shield Forest, developed on glacial till with thin soil cover. The boreal forests are of the Great Lakes-St. Lawrence vegetation zone and are typically mixed forests of deciduous and coniferous trees. 4.4 Infrastructure Availability and Sources 4.4.1 Water The Fostung property is not served by any municipal or industrial water supply. Exploration activities historically have utilized surface water for drilling activities. All prior mining operation scenarios conducted by past operators had assumed usage of surface waters from the two major lakes nearby. 4.4.2 Electricity Two 200+ kV power lines pass through Espanola. Espanola Regional Hydro maintains a small 5-50kW hydroelectric generating facility at Espanola. The power lines run approximately 8 km west and 3 km east the project site. The proposed 500kV Northeast Power Line, connecting Sudbury and Mississagi, if completed will run north of the town of Espanola (https://www.hydroone.com/). 4.4.3 Personnel & Supplies The township of Espanola had a population of 5,185 according to the 2021 census by Statistics Canada. Sudbury has a population of 166,000 according to the 2021 census by Statistics Canada and is a well-established mining-focused district. The region provides opportunities for human resources, commercial services, and equipment to support exploration activities.

GRAPHIC

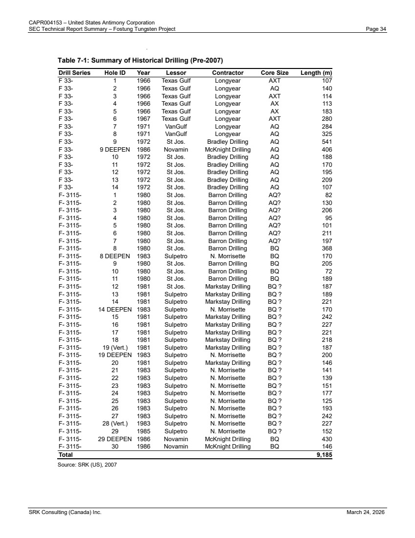
CAPR004153 – United States Antimony Corporation SEC Technical Report Summary – Fostung Tungsten Project Page 15 SRK Consulting (Canada) Inc. March 24, 2026 5 History The information presented in this section is primarily sourced from the 2007 Technical Report. 5.1 Previous Operations Between 1966 and 2021, a number of owners or operators performed exploration activities in the Fostung Project. Among these operators, major exploration activities were undertaken by Texas Gulf Sulphur, St. Joseph Exploration, and Union Carbide. The results of these various exploration programs were documented on paper in the form of maps, sections, drill core logging and so on. The following sections summarise the historical exploration work carried out in the project area. 5.2 Exploration and Development of Previous Owners or Operators Early prospector activity on the Fostung property is evidenced by minor excavations along the northeast end of the claim group that explored unrelated pyritic mineralisation along the intrusive contacts of the Nipissing diabase with the Espanola Formation metasediments. There are no records to date the activity. The Fostung Tungsten property was staked in 1966 by two local prospectors, Vernon Piispanen and Taisto Tamminen, who discovered a 1-foot-wide quartz vein carrying chalcopyrite and molybdenite mineralisation. They staked five original claims and shortly thereafter, five additional claims. Over the years, the pair optioned the property to a number of exploration and mining companies, who staked additional claims along the strike of the skarn-altered metasediments. The 10 initial claims were submitted to Texas Gulf Sulphur Company (Texas Gulf) in Toronto for review. Texas Gulf geologist, Dr. Robert Ginn, recognized the unusually widespread extent of skarn in the area, and later documented scheelite in the discovery vein using an ultraviolet (UV) lamp. Texas Gulf optioned the property from 1966 to 1967. They conducted geological mapping and ran a ground magnetometer survey over parts of the claim group. This work defined drill targets subsequently tested by six AQ sized diamond drillholes totaling 825 metres (m). The program was unsuccessful in locating the desired high-grade tungsten-molybdenum mineralisation sought by Texas Gulf and the property was returned to Piispanen and Tamminen. Cerro Corporation (Cerro) optioned the property from the partners in 1970. Cerro carried out a limited program of trenching and surface sampling combined with re-logging and re-analysis of Texas Gulf drill core. Cerro dropped the property shortly thereafter. VanGulf Exploration (VanGulf) optioned the property from the partners in 1971. VanGulf completed further mapping on the property and conducted geophysical surveys, including RADEM very low frequency (VLF), Induced Polarization (IP), and magnetometer. Additionally, they drilled two AQ sized core holes totaling 734 m. In 1972, a number of Vangulf properties including Fostung were acquired by St. Joseph Explorations Ltd. (St. Joseph). St. Joseph drilled six AQ sized core holes totaling 1,411 m and performed preliminary metallurgical testing of sulfide flotation on the core coarse rejects. They dropped the property in 1973 after failing to define the desired high-grade mineralisation. The historical records indicate that Johns Manville Corp. had examined the property and taken an option on the claims in 1975, however there are no details of their activities.

GRAPHIC

CAPR004153 – United States Antimony Corporation SEC Technical Report Summary – Fostung Tungsten Project Page 16 SRK Consulting (Canada) Inc. March 24, 2026 In 1978, Union Carbide Corporation (Union Carbide or Umetco) optioned the original five-claim property from Taisto Tamminen and his new partner, Willian Alanen. Union Carbide completed a program of geologic mapping and UV night lamping, after which they were short of adequate funding to continue and thus brought St. Joseph Explorations back as a 50/50 Joint Venture (JV) partner. As part of the agreement, Sulpetro Minerals Ltd. (Sulpetro), the successor company to St. Joseph, assumed overall management of the Fostung Project. Over the next eight years, the Fostung JV proceeded to conduct a wide variety of exploration techniques. These included geological mapping, geochemical sampling, surface trenching, ground magnetometer, gravity, horizontal loop electromagnetic (EM), IP, VLF, and regional interpretation of airborne magnetic survey data supplied by the Province of Ontario. This work defined targets tested by 29 BQ sized diamond core holes totaling 5,234 m, including the deepening of two of their own holes. The drill targets were guided by identified geophysical and geochemical anomalies and step-out exploration along strike and at cross faults. Union Carbide performed a preliminary bulk metallurgical test on composited core rejects from the drilling at its Grand Junction, CO. research facility. They developed a preliminary mill design and initiated a preliminary resource estimate and economic cost analysis for both open pit and underground mining scenarios. Additional claims were staked by Sulpetro near the Augusta Lake targeting step-out exploration along strike to the northeast, where a distinctive quartz stockwork breccia body had been mapped. Detailed mapping, sampling, and night UV lamping demonstrated that significant scheelite mineralisation did not appear to extend through the area, despite the presence of some promising skarn development. After disappointing drilling results in 1984, the claims were dropped. By 1986, Novamin Resources Inc. had replaced Sulpetro as the JV partner. In this agreement, Umetco, Union Carbide successor company was diluted to 38.01%, while Novamin retained the remaining 61.99% interest. In an attempt to explore for high-grade scheelite mineralisation in the basal Limestone Member of the Espanola Formation, the joint venture drilled one new hole and deepened two existing holes, all totaling 982 m. The drilling failed to encounter the unit of interest at the predicted depths, and the program was terminated. Subsequently, Umetco was effectively diluted out of the program. At the end of 1986, the property became inactive due to a drop in metal commodity prices. By the end of the project, the number of holes drilled on the property totalled 44 diamond core holes for a cumulative footage of 9,185 m, which includes the deepening of five previously drilled holes. From 1985 through 1989, the Geological Survey of Canada provided mineral identification services for the Fostung mineralisation. They also re-examined prior potassium/argon age dates of the district intrusive, and dated the Fostung granite porphyry dikes by rubidium/strontium methods. The Ontario Geological Survey’s Resident Geologist has maintained activity records on the deposit over the last two decades. In 1988, the assets of Novamin, including 55 Fostung claims, were acquired by Breakwater Resources Ltd. (Breakwater). Breakwater applied for and received Mining Leases for 30 of the original claim group, having judged that the East Block claims had been adequately explored and could be dropped. Golden Predator Mines Inc. (Golden Predator) entered a formal option agreement on July 27, 2007, with Breakwater. In 2007, Golden Predator prepared a NI 43-101 technical report to support Mineral Resources (SRK, 2007). Historical Exploration work completed on the Project is summarised in Table 5-1.

GRAPHIC

CAPR004153 – United States Antimony Corporation SEC Technical Report Summary – Fostung Tungsten Project Page 17 SRK Consulting (Canada) Inc. March 24, 2026 Table 5-1: Summary of Historical Exploration Activities Completed on the Fostung Project Year Company Activity Drillhole Count Length (m) 1966-1967 Texas Gulf Sulphur Geologic mapping & ground magnetic survey 6 825 1970 Cerro Corp. Surface sampling, trenching & relogging core drilled by Texas Gulf Sulphur 1971-1972 Vangulf Geologic mapping, sampling & miscellaneous geophysical surveys 2 734 1972-1973 St Joseph Explorations Mapping & re-logging 6 1,410 1978-1984 Union Carbide - St. Joseph Explorations JV (Umetco-Sulpetro) Geologic mapping, surface sampling, numerous geophysical surveys, trenching, preliminary metallurgical testwork, and preliminary economic feasibility 29 5,234 1984-1986 Umetco-Novamin Resources Regional stratigraphic mapping & legal survey of core claims for mining lease 1 (+ deepened prior DHs) 982 1986-1990 Novamin and Breakwater Resources Acquired 21-year mining leases on 30 core claims 1985-1989 Geological Survey Canada Age dating, mineral ID 1989-2006 Ontario Geological Survey Property status monitoring 2007-2019 Golden Predator NI 43-101 technical report 2019-2025 Transition Metals Surface sampling, drilling 6 1,110 Total 49 10,295 5.2.1 Geological Mapping and Geochemical Surveys (1966-2019) All Project operators have completed surface outcrop mapping. The Union Carbide-Sulpetro JV integrated drilling results to help to interpret concealed contacts and faults. Geochemical soil surveys of “A” horizon soil layers were collected over the mine grid lines to test the applicability as a pathfinder. Off the property, sediments were collected in lakes along the strike to the northeast as a test of the efficacy of the method for delineating areas of mineralisation. The geochemical soil samples were given unique sample numbers; however, there was insufficient documentation to correlate the reported assay results with the geospatial station numbers, rendering these results unusable. Although the geochemical surveys lack certified assays, they do provide an indication of the surficial regolith metallization of the area. Previous operators have noted that the soil geochemistry surveys have some merit in areas of thin soil cover. Tungsten has proven to have been the most useful and consistent indicator of mineralisation in the skarns, although anomalous copper, zinc, and molybdenum were locally helpful. The combination of soil geochemistry and detailed ground magnetic surveys have been reported as the most useful historical exploration tools at the Fostung Project.

GRAPHIC

CAPR004153 – United States Antimony Corporation SEC Technical Report Summary – Fostung Tungsten Project Page 18 SRK Consulting (Canada) Inc. March 24, 2026 5.2.2 Geophysical Surveys Historical Geophysical Surveys (Pre-2007) The documentation on most of the geophysical surveys is adequate to establish the veracity of the survey. However, some reports are missing the surface maps of line locations and areas of anomalous response, or of calibration and noise corrections. Ground magnetometer surveys were conducted, most commonly across the mineralised portion of the Espanola Formation. Sulpetro conducted surveys at 5-metre spacing. Two RADEM VLF surveys were made on similar spacing. One gravity profile line was run over Breccia Hill, in the expectation the profile may delineate a buried plutonic fluid source. Both Induced Polarization (IP) and Horizontal Loop Electromagnetic (HLEM) geophysical surveys were conducted over the skarn zone. The magnetometer surveys outline numerous small areas with high pyrrhotite ± chalcopyrite mineralisation both over skarn intervals and as localized along the edges of both Nipissing and later olivine diabase dikes within Quirke Lake sediments. The detailed magnetometer surveys have proven most useful in establishing continuity of scheelite-bearing garnet skarn beds because of the close association of pyrrhotite and scheelite in the mineralisation sequence. The diabase anomalies reflect pyrrhotite and minor magnetite unrelated to scheelite mineralisation. The RADEM VLF surveys showed moderate responses across the Espanola skarns that are interpreted to be indicative of pyrrhotite mineralisation and at several diabase locales. The single gravity profile across Breccia Hill has been interpreted by Sulpetro geophysicists, who are referenced in a quarterly report. They see a very slight 0.3 mGal negative anomaly over the hill that they interpreted to represent the signature of a buried pluton. However, the Nipissing diabase has a 1.3 milligal expression that partially obscures the adjacent anomaly and the interpretation. The historical geophysical surveys over the Fostung property were unavailable for review. None of the individual surveys have demonstrated a preferential methodology for discovering further extensions of tungsten mineralisation (Ginn and Beecham 1986). The most successful exploration tool has been mapping, conceptual modeling, and follow-up diamond drilling. VTEM and Magnetic Geophysical Surveys (2011) In 2011, Golden Predator contracted Geotech Ltd. to conduct helicopter-borne versatile time domain electromagnetic (VTEM) and horizontal magnetic gradiometer geophysical surveys over the Fostung Property (Figure 5-1). The survey covered an area of 22 km2 and included 473.2 line-km of survey lines. The lines were spaced at 50 m, with tie lines spaced at 500 m. The primary objective was to identify conductive and magnetic anomalies that could indicate the presence of mineral deposits. The survey results were processed and presented as several maps, including Total Magnetic Intensity (TMI), Total horizontal gradient of TMI, and electromagnetic stacked profiles.

GRAPHIC

CAPR004153 – United States Antimony Corporation SEC Technical Report Summary – Fostung Tungsten Project Page 19 SRK Consulting (Canada) Inc. March 24, 2026 The geophysical results revealed multiple time domain electromagnetic anomalies across the property, which correspond to moderate conductive targets. These anomalies are particularly prominent in the central area, where they align with magnetic features. The central block contains several moderate conductive zones associated with contact-type magnetic features. Figure 5-1: Total Magnetic Intensity Showing 2025 Claim Outlines (White) and Tungsten Mineralisation (Black) Source: Geotech Ltd., 2011, modified by SRK to include present claim and mineral resource outlines. 5.3 Historical Mineral Resource Estimates Three historical Mineral Resource estimates have been documented for the Fostung Project. The Mineral Resource estimates completed in 1981 and 1982 were prepared before the implementation of any Committee for Mineral Reserves International Reporting Standards (CRIRSCO) type codes. SRK could not verify these two historical resource estimates. The latest historical estimate of 2007 should not be relied upon as it is being superseded by the resource estimate presented in Section 13 of this report.

GRAPHIC

CAPR004153 – United States Antimony Corporation SEC Technical Report Summary – Fostung Tungsten Project Page 20 SRK Consulting (Canada) Inc. March 24, 2026 Union Carbide and its joint venture partner, Sulpetro Minerals Ltd. conducted preliminary mining investigation and economic feasibility studies on the Fostung deposit in 1981. Using planimetered polygons of angled drillhole intercepts at various stratigraphic levels and projected to the 1,500 m surface datum, Sulpetro’s on site personnel estimated an undiluted drill-inferred resource of 13.6Mt at 0.232% WO3, 0.017% Mo, and 0.048% Cu based on a 0.15% WO3 cut-off grade. This included material within the skarn zone to a depth of 150 m, over an area 800 m by 210 m. A later iteration of this same technique was made by Sulpetro in 1982, who calculated a resource of 10.3Mt at equivalent grades using an equivalent cut-off. In 1981, Union Carbide commissioned Robert Taylor, a consulting engineer from Colorado, USA., to make an estimate of open-pit tungsten resources. Taylor calculated a resource estimate of 16.3Mt @ 0.182% WO3 based on a cut-off grade 0.15% WO3 near the pit walls and 0.10% WO3 for internal blocks. This material was included within a 160 m deep pit design, with an ore-to-waste ratio of 1:0.73. In 1984, at the conclusion of all exploration drilling, Sulpetro repeated the resource estimate exercise, using the same basic methodology as before and allowing dilution from diabase dikes. Sulpetro arrived at a rough estimate of 17.7Mt at 0.193% WO3, 0.013% Mo, and 0.051% Cu. None of the envisioned scenarios were economic at the time. Union Carbide had calculated that a resource base of 24Mt @ 0.23% WO3 and a tungsten trading price of $175/s.t.u would be required to provide their minimum return on investment of 11%. At the time of their economic analysis, tungsten was trading for $75/s.t.u. Scratch (1982) recalculated the return on investment using Union Carbide’s figures and current mining costs and arrived at a return on investment of 5% to 7% for his ideal scenario. Union Carbide dropped its share in the project in 1987. The last publicly disclosed Mineral Resource Statement (Table 5-2) was completed by SRK Consulting USA. with an effective date of November 30, 2007 for Golden Predator. The results of the resource estimation provided an Inferred Mineral Resource of 12.4Mt of mineral material grading at 0.213% WO3 using a 0.125% cut-off. Table 5-2: Historical Mineral Resource Statement, SRK Consulting (US) Inc., November 30, 2007 Resource Category WO3 Cut-off (%) Quantity (Mt) WO3 Grade (%) Contained WO3 (Mlbs) Inferred 0.125 12.4 0.213 58 Source: SRK USA, 2007

GRAPHIC

CAPR004153 – United States Antimony Corporation SEC Technical Report Summary – Fostung Tungsten Project Page 21 SRK Consulting (Canada) Inc. March 24, 2026 6 Geological Setting, Mineralisation, and Deposit The information presented in this section is primarily based on the 2007 Technical Report. 6.1 Regional Geology The Fostung tungsten mineralisation is a skarn deposit which is atypical for the calcareous Huronian metasedimentary units unconformably overlying Precambrian basement shield rocks in the Southern structural province. The Espanola and Sudbury area is a region dominated by early Proterozoic mafic magmatism and Sudbury series bolide (astrobleme) impact initiative tectonism and magmatism on Archean arc terrain basement metavolcanics and metasediments. The Fostung skarn system is a widespread unit elongated over 1.5 km in strike length. The Fostung property is within a northeast trending belt comprising the Southern Province Early Precambrian volcanic and felsic plutonic rocks that form a narrow 125-km to over 150-km septa, separating rocks from the Superior Archean greenstone-gneiss Province (~ 2.70-3.5 Ga) on the northwest from the Mesoproterozoic to Neoproterozoic metasediments and felsic plutons of the Grenville Province on the southeast (Figure 6-1). The contact with the Superior Block on the northwest is defined as the Allochthonous Boundary Terrain (ABT) and to the southeast as the Grenville Front Tectonic Zone (Dickin, 2004). The Southern Province thrust contact with the Superior Province represents a suture zone attributed to island arc collisional accretion processes related to the Kenoran Orogeny. The Grenville Province Tectonic Front is also interpreted as a Helikian suture zone along the Laurentian continental block, linking five accreted juvenile magmatic arcs over a long-lived collisional arc event spanning 1.64-0.99 Ga (Davidson and van Breemen, 1988; Dickin, 2004). A southeasterly-thickening wedge of Lower Proterozoic, quartz-rich, shelf clastic sediments and subordinate mixed volcanics comprising the Huronian Supergroup rocks, accumulated along the southern edge of the Superior Province. The Huronian metasediments constitute much of the Penokean Fold belt that extends from Sault Ste. Marie to east of Sudbury. The Huronian Supergroup consists of four lithologic groups (Figure 6-1) with a cumulative thickness of 7 to 11 km, listed from the stratigraphic bottom to top: 1. Elliot Lake Group 2. Hough Lake Group 3. Quirke Lake Group 4. Cobalt Group The intensity of metamorphism and deformation increases southward across the Southern Province, reflecting the renewed convergence of the Southern cratonic block and supracrustal assemblages northward against Superior Craton continuing at 2.2 Ga, peaking at 1.8 to 1.9 Ga during the Hudsonian Orogeny.

GRAPHIC

CAPR004153 – United States Antimony Corporation SEC Technical Report Summary – Fostung Tungsten Project Page 22 SRK Consulting (Canada) Inc. March 24, 2026 Figure 6-1: Regional Geology Map Source: OGS MRD 126, January 2025 The Huronian sediments and volcanics were intruded by Nipissing diabase, a widespread regional intrusive unit, at 2.22 Ga (Sinclair, 1989). The diabase, an upper-mantle derived tholeiitic gabbro, occurs as widespread sills and locally discordant masses occupying structural contacts and shear zones. The Nipissing diabase sheets are succeeded by slightly younger thin amphibolite and trap dikes, and by later Precambrian diabase dikes of the Sudbury swarm. Near Sudbury, the Creighton pluton intrudes Huronian mafic volcanics and is dated at 2.2 Ga.

GRAPHIC

CAPR004153 – United States Antimony Corporation SEC Technical Report Summary – Fostung Tungsten Project Page 23 SRK Consulting (Canada) Inc. March 24, 2026 A possible bolide impact in Sudbury at 1.84 Ga is correlated with the inception of the Sudbury Igneous Series, an epoch of explosive igneous events and inception of mafic igneous activity and Nickel Irruptive that hosts the important nickel-copper sulfide-PGM deposits of the Sudbury Basin. The Sudbury Irruptive is characterized by early komatiite flows, and norite, gabbro, and granophyre series intrusives. In the Espanola region, these rocks include the Eden Lake plutons near the east end of Lake Panache, the Mongowin pluton in Mongowin township approximately 13 km southwest of Fostung, and at the Fostung property itself. The plutons are interpreted to represent stages of mid- to late Proterozoic anorogenic (A-type) magmatic activity that extended through much of the mid-continent of North America (Sinclair, 1989). The Mongowin Pluton, dated at 1.77 Ga, is a composite pluton varying from trondhjemitic to altered peridotite, carrying minor Ni-Cu sulfide mineralisation. The thin felsic dikes intersected in drilling are dated at Mid-Proterozoic, and are tentatively interpreted as having emanated from the pluton responsible for skarn development and mineralisation. The albitite body intimately associated with the prominent quartz breccia stockworks at Breccia Hill is now interpreted as a metasomatic alteration of a biotite granite (Oynyk, 1982). The Croker Granitic Complex, dated at 1.47 Ga, occurs 45 km southwest of Fostung, while the Cutler Pluton crops out 70 km due west of the property. Fostung, the Mongowin Pluton, the Croker Granitic complex, and two small aegirine-reiebeckitealbite fenite bodies located 30 km to the northeast all lie along a northeasterly trend. This is interpreted as an 80 km long, basement lineament, with repetitive magmatism of varied compositions through much of the Proterozoic. The Southern province has been tectonically stable since Grenville tectonism ceased at 0.99 Ga. The region has experienced repetitive continental glaciations, particularly in the Pleistocene that are responsible for present-day morphology. The area’s overburden is composed of glacial debris overlain with a variably thin soil cover. 6.2 Local and Property Geology Figure 6-2 shows the general geology of the Fostung area with a representative cross section of the property.

GRAPHIC

CAPR004153 – United States Antimony Corporation SEC Technical Report Summary – Fostung Tungsten Project Page 24 SRK Consulting (Canada) Inc. March 24, 2026 Figure 6-2: Map of the Property Geology Source: SRK (US), 2007 Notes: A: Plan view. B: Sectional view along A-A.

GRAPHIC

CAPR004153 – United States Antimony Corporation SEC Technical Report Summary – Fostung Tungsten Project Page 25 SRK Consulting (Canada) Inc. March 24, 2026 Metasedimentary Rock Types The Fostung Project is comprised of northeast striking, steeply northwest-dipping metasedimentary rocks of the Huronian Supergroup. The Huronian Supergroup sediments are in general, immature to submature clastics derived from the Superior Craton to the north. The Hough Lake, Quirke Lake and Cobalt Groups of the Huronian Supergroup have been mapped within the Project area. The Hough Lake Group is represented by the Mississagi Formation, the Quirke Lake Group is represented by the Bruce, Espanola, Serpent Formations, while the Cobalt Group is represented by the Gowganda Formation. The Base Line fault steeply dips to the northwest and is the main cross-cutting structure of the Project. The fault is parallel to the strike and dip of the metasediments, as well as several smaller faults. The Base Line fault and other structures are described in Section 6.2.3. The detailed stratigraphy southeast of the Base Line Fault has not been compiled. Mapping by Card (1978) shows a significant downthrow on the southeast side of the fault, juxtaposing Serpent Formation quartzites in fault contact against Espanola formation. The Bruce Formation The Bruce Formation constitutes the basal member of the successive Quirke Lake Group and is the first unit in the section to carry appreciable carbonate component. The thickness of the Bruce Formation varies from 10 to 450 m, and consists of dirty, rusty, unsorted to poorly sorted polymictic para-conglomerates with a schistose greywacke matrix. Espanola Formation The Espanola Formation is the middle siltstone-argillite formation of the Quirke Lake Group. It is notable for an unusually high primary carbonate content, representing the first post-Archean sedimentary carbonate unit in Canada (Card, 1978; Ginn and Beecham, 1986). The Espanola is divided into five members (from bottom to top) (Figure 6-3): • A lowermost limestone member • A siltstone section that contains a lower, non-calcareous greywacke member • A calcareous siltstone member • A sandstone member • A capping upper siltstone member The tungsten mineralisation at the Fostung Project occurs in the middle Calcareous Siltstone Member. The Limestone Member has not been found at Fostung in mapping or drilling, but the correlative section at Brazil Lake, several miles to the northwest, provides an indication that the unit is either buried deep at Fostung along the limbs of the anticline or removed by the Base Line Fault. Ginn and Beecham (1986) note the Limestone Member is either in sharp contact with the Bruce Formation or gradational over one metre. The limestone member constitutes an excellent exploration target for high-grade mineralisation where it lies in contact with the felsic intrusive. The middle siltstone section is 200 to 280 m thick and has been further subdivided from Card’s original mapping into two members, namely a lower, noncalcareous greywacke, and an upper calcareous siltstone (Card, 1978; Olynyk, 1982; Ginn and Becham, 1986). The lower greywacke member at Fostung is a slightly calcareous argillaceous greywacke to black slate of 150 m thickness. It is generally monotonous, thickly bedded, mostly non-calcareous siltstone-argillite and fine argillaceous sandstone. The Greywacke Member unit is mapped at

GRAPHIC

CAPR004153 – United States Antimony Corporation SEC Technical Report Summary – Fostung Tungsten Project Page 26 SRK Consulting (Canada) Inc. March 24, 2026 Brazil Lake, where the calcareous component appears to be absent. The upper portion has been intersected in drillholes at the Fostung Project and demonstrated the potential carry significant scheelite mineralisation (such as in drillhole 3115-29). The upper half of the Lower Siltstone section is comprised of the Calcareous Siltstone Member and is the host unit to the tungsten skarn mineralisation described in Section 6.3. The Calcareous Siltstone Member consists of approximately 150 m of thinly bedded and calcareous siltstone-argillite, with the carbonate section converted largely to calc-silicate assemblages, feldspars and quartz. The lower contact of the sandstone member with the top of the Calcareous Siltstone member is mappable throughout the Foster and adjoining Merritt Townships. The sandstone member is comprised of approximately 200 m of quartzites, calcsilicate quartzites, and calc-silicate rich beds. The Upper Siltstone Member is approximately 15 m thick and constitutes the uppermost unit of the Espanola Formation. Serpent Formation The overlying Serpent Formation constitutes the uppermost formation in the Quirke Lake Group. It is largely composed of well-bedded and medium- to thick-bedded feldspathic sandstone, siltstone, argillite, and minor carbonate units that have a diagnostic “porcelaneous” weathered surface, varying widely in thickness from 30 to 450 m. In its lower portion the Serpent Formation contains some calcareous siltstone and sandstone. At Fostung, the upper part of the Serpent Formation is restricted to south of the Base Line Fault, where it consists of clean white weathering quartzite with minor inter-formational conglomerate. Gowganda Formation Disconformably overlying the Serpent Formation is the Gowganda Formation of the Cobalt Group. The Gowganda Formation, which marks the inception of another cycle, is composed of rubbly and conglomeratic rocks of glacial origin and does not contain any significantly calcareous rocks. 6.2.1 Intrusive Rock Types Nipissing Diabase The oldest igneous intrusion within the Fostung Project is a Nipissing diabase dyke. The dyke is situated in the middle of the property and dips steeply towards the northwest. In the centre of the property, the dyke has a thickness up to 70 m. The diabase contains locally disseminated pyrrhotite adjacent to the mineralised skarn, as well as minor chalcopyrite and very minor scheelite. The diabase has a low magnetic response across the property, but in the vicinity of Breccia Hill has a 2,000 gamma above normal expression. The magnetic profile increases at Breccia Hill correlates positively with both an increase in pyrrhotite content and with the formation of late-stage actinolite-quartz-calcite veinlets. This feature indicates the diabase predates metasomatism and has been altered by the hydrothermal activity associated with the breccia. Breccia Hill Breccias At Breccia Hill, a large zone of well-developed quartz stockwork and quartz-flooded breccias surround a core zone of albitite. The stockwork-breccia complex forms an elongated body of approximately 400 m east-west by 200 m north-south. The quartz of the breccia is very fine grained, dense, and creamy yellow. The vein quartz is generally glassy, coarse-grained dark-grey grains containing less than 5% calcite, carries no sulfide minerals, and contains minor tourmaline crystals with up to 1% TiO2 present based on chemical analyses. Contacts between brecciated and bleached quartzite are gradational. Drill intercepts show the less altered sections are still recognizable as biotite granite.

GRAPHIC

CAPR004153 – United States Antimony Corporation SEC Technical Report Summary – Fostung Tungsten Project Page 27 SRK Consulting (Canada) Inc. March 24, 2026 Porphyritic Intrusions A number of narrow dikes of a feldspar porphyritic muscovite “granite” have been intersected in drillholes, mainly within 35 m of the Base Line Fault. The dikes are composed of 35% to 40% quartz, 35% to 40% K-feldspar, 15% to 20% albite, and 2% to 5% muscovite. Composition of the dikes ranges from granodiorite to granite. Conceptual exploration planning postulates that a larger body at depth may be responsible for the skarn development and mineralisation. Reference is made in a Sulpetro report to one of the Sulpetro geophysicists that reviewed the provincial aeromagnetic map for the property, and was able to discern an elliptical area of 2.9 km by 6.4 km, which the author hypothesized to be the source pluton. This report was unavailable for review. Keewenawan-Type Olivine Diabase Dykes Numerous late Keewenawan-type olivine diabase dikes have been mapped on the property or outlined by magnetometer surveys. The dikes are dated at 1.28 Ga (Card and Pattison, 1973). They are commonly 6 to 12 m wide. The dykes are composed of olivine, augite, calcic plagioclase laths, and commonly sufficient magnetite and pyrrhotite to provide a distinct magnetic pattern. 6.2.2 Alteration Calc-Silicate Alteration Carbonate-bearing strata in the Fostung district have been variably metasomatized and metamorphosed over a 5.5 km by 0.5 km corridor coincident with, and along, the Base Line Fault. The skarns, which host significant scheelite mineralisation, are concentrated along a 2.1 km by 0.65 km zone, largely at the northwest end of the Base Line Fault within the calcareous siltstone member of the Espanola Formation. Additional skarn with significant scheelite mineralisation occurs along the southeast side of the fault in the weakly calcareous silty layers of the overlying Sandstone Member encompassing a 1.2 km by 0.25 km zone. The thin-bedded calcareous, quartz-rich siltstones and sandstones within the calcareous siltstone member have been variably altered to calc-silicate assemblages. The greater proportion of the calc-silicate rocks are composed of fine-grained light or pale green calc-silicate assemblage, with a subordinate fine-grained dark green calc-silicate component. The pale green skarns are composed of quartz and feldspar with lesser amounts of tremolite, diopsidic clinopyroxene, epidote, and clinozoisite and minor calcite. The dark green skarns are characterized by dominant actinolite, plus variable amounts of quartz, feldspar, and chlorite. This type of skarn is replaced by diopside skarn. The skarns and highly mineralised intervals are associated with variable fluorite. The spatial distribution of actinolite skarn correlates with pre-existing faults and is replaced by later skarn assemblages that are associated with lesser scheelite. The formation of hydrous actinolite skarn implies contact metasomatism as opposed to metamorphism. This fluid is characterized by high Fe and lesser Mn, which is also observed in association with later-stage scheelite mineralisation. Areas of the Fostung Project dominated by actinolite skarn represent exploration targets for later-formed scheelite mineralisation, particularly in areas where faulting and fracturing is present or suspected.

GRAPHIC

CAPR004153 – United States Antimony Corporation SEC Technical Report Summary – Fostung Tungsten Project Page 28 SRK Consulting (Canada) Inc. March 24, 2026 Silicate Alteration Exposures of granitic rocks have not been found on the Fostung property but are inferred from the narrow felsic porphyritic granitic dykes intersected in drillholes. Three dykes ranging in thickness from 0.5 to 4.0 m were intersected in drillhole 3115-08. One dyke consists of quartz feldspar porphyry, while the other two are fine-grained equigranular granite (Sinclair, 1989). Alteration is variable in intensity and extent. Albite and lesser K-feldspar are replaced by fine grained sericite and carbonate. In other core intercepts, up to 20% of the rock is replaced by clusters of medium-grained muscovite. Figure 6-3: Stratigraphic Section of the Espanola Formation in and Around Fostung Project Source: Ginn and Beecham (1986) Notes: Modified by SRK

GRAPHIC

CAPR004153 – United States Antimony Corporation SEC Technical Report Summary – Fostung Tungsten Project Page 29 SRK Consulting (Canada) Inc. March 24, 2026 6.2.3 Structural Geology The metasedimentary rocks of the Fostung deposit are folded and faulted by multiple deformation events. The Bruce, Espanola, Serpent and Gowganda Formations form the Elizabeth Lake syncline to the north and the St. Leonard Lake Anticlinorium on the south. All units strike northeasterly and dip steeply to the northwest. The Fostung skarns are located on the northwest limb of the St. Leonard Anticline which is also the southeast limb of the Elizabeth Lake Syncline. In the central and northeastern part of the property the strata dips approximately 80° northwesterly, flattening to 45° southwestward towards Breccia Hill. Minor “S” folds east of the hill plunge to the southwest at 35 ° and reflect the large-scale southwesterly plunge of the Elizabeth Lake syncline and the St. Leonard Lake Anticline. Slight strike irregularities in the central part of the property and southeast of Breccia Hill indicate folding and flexures on the order of 10 to 100 m. Three sets of faults have been mapped at the Fostung Project: • A northeast-southwest striking set, including the Base Line Fault. • A west-northwest and east-southeast-striking set that abuts against the Base Line Fault and affects the grade of mineralisation. • An east-west striking fault bounding the north side of Breccia Hill of the Murray fault system. Magnetic features suggest there are many other covered faults on the property. The Base Line Fault (cf, St. Leonard Fault) is a topographic feature that trends northeasterly parallel to the Fostung Project grid base line and is extensive across the entire property, marked by low swampy ground (Card, 1978). The fault strikes N.50° E. and is dipping 85° to the southeast. The structure truncates and forms the south boundary for the Espanola Formation. It cuts and is cut by numerous northerly-trending cross faults. The structure juxtaposes the stratigraphically lower Calcareous Siltstone Member skarn and Greywacke Member against the down-dropped anticlinal top section of Serpent Formation, indicating a displacement of approximately 750 m. The sections on both sides of the fault dip steeply to the northwest. At Breccia Hill and in drill intercepts, the fault is characterized by repetitively fractured and recemented quartz stockwork and albitite. Elsewhere on the property the fault zone is characterized by chlorite-filled slip planes and blocky ground. 6.3 Mineral Deposit The Fostung Project hosts skarn mineralisation of tungsten, molybdenum, copper and silver. Tungsten skarns are a member of the skarn family of deposits, hosted within carbonate rocks, which are subject to metasomatism and metamorphism due to proximity to a relatively evolved felsic intrusive (Green et al., 2020). Skarn deposits exhibit temporal and spatial zoning reflective of the stage of skarn development.

GRAPHIC

CAPR004153 – United States Antimony Corporation SEC Technical Report Summary – Fostung Tungsten Project Page 30 SRK Consulting (Canada) Inc. March 24, 2026 The Fostung Project tungsten deposit is a disseminated and lesser stockwork skarn body developed in steeply dipping calcareous clastic Lower Proterozoic rocks of the Huronian Supergroup. Mineralisation appears spatially associated with minor felsic quartz porphyry to granitic dikes, conceptually related to a possible porphyry-type source pluton at some depth. In and around the Fostung Project, the skarn zones appear to border the Nipissing diabase, but it is believed that the skarn mineralisation is related to a suit of poorly exposed felsic intrusives (Ginn and Beecham, 1986). On the property, the scheelite-bearing Calcareous Siltstone member is down-dropped approximately 750 m on the southern side of the Base Line Fault. Mineralisation is largely stratabound and epigenetic, showing evidence of strong structural control. Higher scheelite grades correspond to dark green hydrous actinolite-dominant skarn, formed by both retrograde and prograde processes. Scheelite bearing skarn is largely stratiform within the Calcareous Siltstone Member, resulting in intercalated high-grade skarn beds or lenses within a largely non-mineralised diopside-tremolite calc-silicate rock. Garnet ± hedenbergite portions appear to be somewhat restricted to beds or lenses of limestone within the Calcareous Siltstone member. The higher-grade dark green calcsilicate alteration assemblages show an apparent spatial relationship to fracture zones and prominent cross faults that cut the folded section. This feature provides the exploration opportunity to test these zones at depth and offers exploration opportunities along strike. The Fostung Project tungsten deposit is hosted within the Calcareous Siltstone member of the Espanola Formation which has been partially altered to skarn assemblages. The skarn alteration is traceable for at least 4 km along strike. Fostung scheelite mineralisation extends from southwest of Breccia Hill along strike of the Calcareous Siltstone Member of the Espanola Formation for approximately 2 km to the northeast. Thinner and more discontinuous skarns with less volumetrically significant scheelite occur in the stratigraphically higher and successor Sandstone and upper Serpent Members, and in calcareous portions of the Greywacke Member. The mineralisation at Fostung consists of scheelite (CaWO4), molybdenite (MoS2), molybdoscheelite (powellite) (Ca(W,Mo)O4) with 5% substitution of Mo for W), pyrrhotite (Fe1-xS2), pyrite (FeS2), chalcopyrite (CuFeS2), sphalerite ((Fe,Zn)S), arsenopyrite (FeAsS), bismuthinite (Bi2S3), stannite (Cu2FeSnS4), native silver (Ag) and native bismuth. Silver and gold occur as inclusions or in solid solution with sulfide phases. The Fostung data files contain very little reflected light petrographic descriptions of the ore mineralogy and paragenesis, and what little is known about habit and occurrence has been abstracted from drill logs and Union Carbide quarterly reports and summaries. There are no reports in the files describing oxide and secondary mineralisation; presumably, most upper oxidation zones were removed during the last glacial period. Scheelite occurs as fine to coarse-grained disseminations within skarn, associated with later phase dark green calc-silicate and with garnet ± pyroxene assemblages. It also has been observed as fine grains within thin quartz ± calcite veinlets. Microprobe analyses showed up to 5% Mo substitution (i.e., in powellite structure) for tungsten in some grains. Pyrrhotite is invariably associated with scheelite and occurs as fine grains up to 50% in intervals. Better grade scheelite is associated with disseminated pyrrhotite, minor chalcopyrite and abundant dark red garnet; less commonly, it is associated with the dark green actinolite skarns containing up to 50% pyrrhotite. Molybdenite occurs as fine rosettes and plates, as disseminations, along fractures, and in quartz veinlets, but is low grade and erratically distributed. Other sulfide minerals occur as interstitial grains and disseminations.

GRAPHIC

CAPR004153 – United States Antimony Corporation SEC Technical Report Summary – Fostung Tungsten Project Page 31 SRK Consulting (Canada) Inc. March 24, 2026 Narrow quartz ± calcite veinlets carry an appreciable part of the deposit’s molybdenite, but do not carry significant scheelite. The quartz veins vary in width from 1 to 15 cm, and rarely up to 0.5 to 5.0 m. The veins cut the core axis at small angles, and are most numerous near cross faults, appearing to have a similar orientation as the faults. The veins contain higher scheelite and associated metal concentrations where they cut mineralised skarns. Three vein groupings are recognized: (1) Gray-white quartz with pyrrhotite, minor chalcopyrite, scheelite, and molybdenite ± arsenopyrite ± native bismuth ± sphalerite ± native bismuth, with metals concentrated on vein edges (2) Coarse gray calcite ± quartz with pyrrhotite, arsenopyrite, scheelite, native bismuth ± sphalerite and an unidentified arsenide (3) Quartz with molybdenite ± minor fluorite The quartz and calcite veins are paragenetically later than the skarn mineralisation. Several skarns intervals were found to contain rare gold, up to 6.9 g/t over 1.5 m. Silver mineralised intercepts between 3.0 g/t to 30.0 g/t have been encountered in intervals up to 1.5 m in width. These tend to be associated with calcite ± quartz and quartz veins, especially in association with native bismuth. Copper-rich skarns containing 0.05% to 0.20% Cu have also been observed. The primary controls on mineralisation are the proximity of chemically favourable carbonate bearing strata to structural permeability zones of faults and fractures. Conceptually the faults have provided the channel pathways for hydrothermal fluids derived from an unknown, presumably deep buried plutonic source. The lensoidal and thin- bedded distribution of carbonate horizons within the Calcareous Siltstone, and the lack of clear-cut marker beds, indicates it will be advisable to ultimately plot and evaluate the unfolded distribution of calcsilicate horizons. Similarly, a careful examination of the spatial relationship of the Base Line Faults and its sympathetic elements to the calcareous horizons may prove beneficial in planning exploration. Pursuit of the undiscovered basal Limestone Member will also require careful stratigraphic and structural reconstruction.

GRAPHIC

CAPR004153 – United States Antimony Corporation SEC Technical Report Summary – Fostung Tungsten Project Page 32 SRK Consulting (Canada) Inc. March 24, 2026 7 Exploration The discussion in this section is related to the historical exploration conducted from 1966 to 2021, by several companies as outlined in the History section (Section 5) and limited confirmation drilling by Transition in 2021. After acquisition, UAMY has not undertaken any exploration activity in the Fostung Project other than limited surface sampling and collection of samples for metallurgical testing. At the time of this report, results of this sampling program were not available to SRK. In this and the following sections, all historical exploration works have been sub-divided into periods: • Pre-2007: This supported the 2007 Mineral Resource estimate from exploration data collected between 1966 and 1988. • Post-2007: This mainly includes drilling carried out by Transition Metals. 7.1 Exploration Work (Other Than Drilling) The exploration activities in and around the project area have been presented in Section 5. Since acquiring the property, in 2021, Transition Metals carried out limited geological mapping and surface sampling as well as compilation of the historical data. 7.2 Exploration Drilling A total of 50 core holes (10,295 m) have been drilled on the Fostung Project between 1966 and 2021, including six newer holes (1,110 m) drilled by Transition Metals in 2021 (Figure 7-1). Out of the 50 holes, 44 holes were considered in the 2007 Mineral Resource estimation by SRK (US). To date, UAMY has not undertaken any drilling activities on the property.

GRAPHIC

CAPR004153 – United States Antimony Corporation SEC Technical Report Summary – Fostung Tungsten Project Page 33 SRK Consulting (Canada) Inc. March 24, 2026 Figure 7-1: Map Showing the Distribution of Drilling Notes: The red drill collars are for holes drilled by Transition Metals in 2021 and the green collars are holes drilled prior to Transition. 7.2.1 Pre-2007 Drilling (1966-1986) Information for this section is largely sourced from the 2007 Technical Report. All historic drilling operations at Fostung have been conducted with industry-standard wireline diamond core rigs using well-known reputable drilling contractors. All but two historic drillholes are angle holes, drilled from northwest to southeast at various azimuths and angles. Drilling diameters from 1966 through early 1980 were AQ or AX in size and switched to BQ diameter from 1980 through to 1986. Between 1966 to 1986, a total of 44 core holes (9,185 m) were drilled. The holes are numbered F 33-1 to F 33- 14, and F3315-01 to 3315-30. The drilling was oriented along southeast trending section lines spaced 20 to 400 m apart (Figure 7-1). The average section spacing is 80 m and only 30% of the sections contain more than one drillhole. The details of each drillhole are listed below in Table 7-1.

GRAPHIC

CAPR004153 – United States Antimony Corporation SEC Technical Report Summary – Fostung Tungsten Project Page 34 SRK Consulting (Canada) Inc. March 24, 2026 Table 7-1: Summary of Historical Drilling (Pre-2007) Drill Series Hole ID Year Lessor Contractor Core Size Length (m) F 33- 1 1966 Texas Gulf Longyear AXT 107 F 33- 2 1966 Texas Gulf Longyear AQ 140 F 33- 3 1966 Texas Gulf Longyear AXT 114 F 33- 4 1966 Texas Gulf Longyear AX 113 F 33- 5 1966 Texas Gulf Longyear AX 183 F 33- 6 1967 Texas Gulf Longyear AXT 280 F 33- 7 1971 VanGulf Longyear AQ 284 F 33- 8 1971 VanGulf Longyear AQ 325 F 33- 9 1972 St Jos. Bradley Drilling AQ 541 F 33- 9 DEEPEN 1986 Novamin McKnight Drilling AQ 406 F 33- 10 1972 St Jos. Bradley Drilling AQ 188 F 33- 11 1972 St Jos. Bradley Drilling AQ 170 F 33- 12 1972 St Jos. Bradley Drilling AQ 195 F 33- 13 1972 St Jos. Bradley Drilling AQ 209 F 33- 14 1972 St Jos. Bradley Drilling AQ 107 F- 3115- 1 1980 St Jos. Barron Drilling AQ? 82 F- 3115- 2 1980 St Jos. Barron Drilling AQ? 130 F- 3115- 3 1980 St Jos. Barron Drilling AQ? 206 F- 3115- 4 1980 St Jos. Barron Drilling AQ? 95 F- 3115- 5 1980 St Jos. Barron Drilling AQ? 101 F- 3115- 6 1980 St Jos. Barron Drilling AQ? 211 F- 3115- 7 1980 St Jos. Barron Drilling AQ? 197 F- 3115- 8 1980 St Jos. Barron Drilling BQ 368 F- 3115- 8 DEEPEN 1983 Sulpetro N. Morrisette BQ 170 F- 3115- 9 1980 St Jos. Barron Drilling BQ 205 F- 3115- 10 1980 St Jos. Barron Drilling BQ 72 F- 3115- 11 1980 St Jos. Barron Drilling BQ 189 F- 3115- 12 1981 St Jos. Markstay Drilling BQ ? 187 F- 3115- 13 1981 Sulpetro Markstay Drilling BQ ? 189 F- 3115- 14 1981 Sulpetro Markstay Drilling BQ ? 221 F- 3115- 14 DEEPEN 1983 Sulpetro N. Morrisette BQ ? 170 F- 3115- 15 1981 Sulpetro Markstay Drilling BQ ? 242 F- 3115- 16 1981 Sulpetro Markstay Drilling BQ ? 227 F- 3115- 17 1981 Sulpetro Markstay Drilling BQ ? 221 F- 3115- 18 1981 Sulpetro Markstay Drilling BQ ? 218 F- 3115- 19 (Vert.) 1981 Sulpetro Markstay Drilling BQ ? 187 F- 3115- 19 DEEPEN 1983 Sulpetro N. Morrisette BQ ? 200 F- 3115- 20 1981 Sulpetro Markstay Drilling BQ ? 146 F- 3115- 21 1983 Sulpetro N. Morrisette BQ ? 141 F- 3115- 22 1983 Sulpetro N. Morrisette BQ ? 139 F- 3115- 23 1983 Sulpetro N. Morrisette BQ ? 151 F- 3115- 24 1983 Sulpetro N. Morrisette BQ ? 177 F- 3115- 25 1983 Sulpetro N. Morrisette BQ ? 125 F- 3115- 26 1983 Sulpetro N. Morrisette BQ ? 193 F- 3115- 27 1983 Sulpetro N. Morrisette BQ ? 242 F- 3115- 28 (Vert.) 1983 Sulpetro N. Morrisette BQ ? 227 F- 3115- 29 1985 Sulpetro N. Morrisette BQ ? 152 F- 3115- 29 DEEPEN 1986 Novamin McKnight Drilling BQ 430 F- 3115- 30 1986 Novamin McKnight Drilling BQ 146 Total 9,185 Source: SRK (US), 2007

GRAPHIC

CAPR004153 – United States Antimony Corporation SEC Technical Report Summary – Fostung Tungsten Project Page 35 SRK Consulting (Canada) Inc. March 24, 2026 The drilling, core handling, and security procedures used by historical operators was not available. The documentation supporting historical drilling was not retained. The casings were left in the ground upon completion of drilling, and many of these can still be located in the field. Downhole surveys were conducted using a Tropari unit and acid etch tested for deflection angles. The results of these surveys were clearly recorded in the available logs. The downhole surveys were also recorded onto hand-drawn cross-sections used for geological interpretation. The drill core was placed in core boxes, lamped with a UV lamp, logged, split and ½ core was sampled. There are no references in the files discussing or describing how the core was split. The remaining half-core was retained for an unknown period. Sulpetro and Umetco maintained a core shed in Espanola and at the Long Lake Resort where logging and sampling were carried out. Sampling was conducted on intervals as determined by the intensity of calc-silicate alteration, presence of sulfide minerals, and the distribution of scheelite as revealed by ultraviolet (UV) lamping. Most diabase sections were not sampled; one drillhole located within quartzite and diabase was not sampled. Much of the early drilling from 1966 to 1973 was later sampled and re-sampled by successive operators. In 1981, a large composite sample from 187 mineralised horizons made up from the stored coarse rejects were used by Union Carbide’s metallurgical research lab for a preliminary assessment of the grindability and optimal size fraction required for successful flotation and recovery. Although the Union Carbide metallurgical test program utilized 187 intervals from six drillholes of the coarse core reject material, the historical coarse rejects and pulps are no longer available, and documentation of their discard date is unavailable. The resultant assays for these historical programs are, for the most part, well documented, neatly organized and readily available. They were originally recorded by hand; however, these logs have been subsequently transferred to a digital database by SRK Consulting (US) in 2007. 7.2.2 Post-2007 Drilling by Transition Metals (2021) In 2021, Transition Metals subcontracted Jacob and Samuel Drilling Inc., of Chelmsford, Ontario, to core drill (NQ diameter) a total of six holes, for a total of 1,110 m. Drilling was focused in the historic resource area (Figure 7-1) with two of the holes planned to twin historic holes, and the remainder for infill (Table 7-2). Table 7-2: Summary of the 2021 Drilling by Transition Metals Hole ID Purpose Easting Northing Azimuth Dip Length (m) Number of Samples 21-FT-01 Twin hole F-33-10 450584 5120450 140 -50 192 201 21-FT-02 Infill 450544 5120387 140 -50 240 256 21-FT-03 Infill 450591 5120393 140 -50 201 190 21-FT-04 Twin Hole F-33-05 450494 5120335 140 -50 201 217 21-FT-05 Infill 450664 5120386 140 -50 126 137 21-FT-06 Infill 450701 5120440 140 -50 150 160 Total 1,110 1,161 Downhole surveys were collected every 50 to 100 m by the drilling contractor, using a Reflex multi-shot tool. Collar surveys were completed Differential Global Positioning System (DGPS) by Transition Metals personnel. All casing rods were left in place and marked with the hole ID for future reference.

GRAPHIC

CAPR004153 – United States Antimony Corporation SEC Technical Report Summary – Fostung Tungsten Project Page 36 SRK Consulting (Canada) Inc. March 24, 2026 Extracted core was placed into wooden core boxes with wooden blocks placed at the end of each 3.0 m core run to mark the total depth. Once full, the core box was secured with a top lid and stacked for transportation. Drill core was transported from the drill site to a local core logging facility by the drill contractor or Transition Metals staff. At the core logging facility, core was laid out and visually inspected at Transition Metals’ Sudbury office. The core was marked, measured, and photographed (Figure 7-2). Core logging was done digitally in MXDeposit® using tablets or laptop computers; the logging software captured lithology, structure, alteration, mineralogy, sample intervals, core recovery, and Rock Quality Designation (RQD) information. A UV lamp was used to determine locations with scheelite mineralisation (Figure 7-3). Logging of drill core and the determination of sample intervals were performed by Transition project geologists. The drillhole database is compiled in electronic format and contains collar surveys, assay intervals, lithology and assay values. Figure 7-2: Core Logging Facility Notes: A: Core logging and photography facility. B: Density measurement facility Figure 7-3: Scheelite Response to Ultra-Violet Lamping Source: Transition Metals, 2020

GRAPHIC

CAPR004153 – United States Antimony Corporation SEC Technical Report Summary – Fostung Tungsten Project Page 37 SRK Consulting (Canada) Inc. March 24, 2026 7.2.3 Drilling, Sampling, or Recovery Factors There is little or no information available to review on drilling practices for the pre-2007 holes. The QP did not visit the Fostung Project during the 2021 drilling program and therefore, was not able to personally observe the exploration practices, being adopted by Transition Metals. After the discussions with the relevant personnel and reviewing the standard operating protocol documents, the QP is of the opinion that the drilling procedures adopted by Transition Metals at Fostung are consistent with generally recognized industry best practices. The core samples were collected by competent personnel according to generally accepted industry best practices. The sampling process was undertaken or supervised by suitably qualified geologists. SRK concludes that the samples are representative of the source materials and there is no evidence that the sampling process introduced a bias. The QP did however find a material issue with core storage and sample security, which is discussed further in Sections 9.3 and 11. 7.2.4 Drilling Results and Interpretation The objective of the drilling by Transition Metals in 2021 was primarily to twin some of the historical drillholes in order to demonstrate confidence in the data generated by previous operators. The drilling was focused on the relatively higher-grade part of the mineralisation and potential open pit area. The 2021 drilling data are generally in agreement with historical data, in terms of mineralisation boundary and spatial tungsten grade distribution. Any noticeable difference, particularly in grade, between twin holes, can be ascribed to degree of alteration and distribution of skarn minerals. In general, Fostung Project generally has limited down the hole survey data. Eleven historical holes did not have any downhole survey. The exploration database has a total of 106 survey records, with an average of one record per 97 m drilled. 7.3 Hydrogeology No meaningful hydrogeology data have been collected as a part of the legacy work on this project. 7.4 Geotechnical Data, Testing and Analysis No meaningful geotechnical data have been collected as a part of the legacy work on this project. Limited structural information, from the drilling, were collected related to some fault zones, sulphide banding and veining. However, the structural information was found to be inconsistent to be used in any geological models. 7.5 Exploration Targets The most significant and continuous tungsten mineralisation discovered to date is within the core of the deposit. The mineralised section is incompletely explored and has the potential for expansion to the east and west, and possibly along flanking faults parallel to the Base Line Fault. Geophysical maps produced in 2011 demonstrate the structural setting of known mineralisation (Figure 5-1). Based on the available geological information and exploration data, the Fostung Project tungsten deposit is open, particularly along the strike towards south-west. The 2011 VTEM geophysical survey demonstrated that some of the TMI anomalies are aligned with tungsten mineralisation in the property (Figure 5-1). That TMI anomaly continues further south-west which still needs to be tested by trenching and drilling. The historical and 2021 drilling data indicate that the mineralised calcareous siltstone unit continues further along the strike and down the dip. Exploration for the basal Limestone Member and a buried plutonic source for mineralising fluids are potential targets; however, would improve the overall geological understanding and have potential for future exploration planning once the most obvious near-surface mineralisation has been thoroughly evaluated.

GRAPHIC

CAPR004153 – United States Antimony Corporation SEC Technical Report Summary – Fostung Tungsten Project Page 38 SRK Consulting (Canada) Inc. March 24, 2026 8 Sample Preparation, Analysis, and Security The discussion in this section is related to the historical exploration conducted from 1966 to 2021 by several companies as outlined in the History section (Section 5) and of limited confirmation drilling by Transition Metals in 2021. The information presented in this section, related to pre-2007 drilling, is primarily based on the 2007 Technical Report. Transition Metals provided SRK with standard operating documents (SOP) and information related to drilling in 2021. 8.1 Sample Preparation Methods and Quality Control Measures No information is available, with respect to sample preparation practices, in the pre-2007drilling campaigns. For the post-2007 drilling, core sampling was undertaken by Transition Metals personnel. Sample lengths were restricted to no less than 0.3 m and no more than 1.5 m. The core was split in half with a hydraulic rock splitter. Each half-core sample was placed into a pre-labelled sample bag with a corresponding sample tag, ensuring it matched the sample tag in the core box before it was sealed. The remaining half-core material was returned to the core box, labelled with grease pencil. The sample tag books were completed and retained for future reference. Analytical quality control materials were inserted at a maximum of 1-in-20 samples. Sealed samples were collected from the work site, with the process dependent on the sample type. Typically, groups of five to ten samples were placed into woven industrial-grade fabric shipping bags (rice sacks), with documentation of which samples were in each sack. The sacks were securely closed with zip ties, and each large sack was labelled with the following information: company name, project name, number of samples, and number of sacks. A sample submission form was prepared to reflect the batch of material being submitted, selecting the appropriate material, workflow, preparation codes, and analysis codes. Sample submission documents were completed in triplicate: one copy was retained for company records, one copy was placed in the first sack of the sample batch, and the third copy was submitted to the lab upon delivery. If material is collected in a remote location, all sacks were transported off-site to a secure location and stored until they could be transported or shipped directly to ALS-Chemex processing facilities for sample preparation. 8.2 Sample Preparation, Assaying and Analytical Procedures The pre- and post-2007 diamond drill cores were analyzed using multiple methods. Between 1966 and 1986, analytical methods were Neutron Activation, Direct Current (DC) Plasma, Wet Chemical (gravimetric or colorimetric), X-Ray Fluorescence (XRF), and some Atomic Absorption Spectroscopy (AAS) for gold and silver. The recent 2021 drill core samples were analysed by Inductively coupled plasma atomic/optical emission spectroscopy (ICP-AES and ICP-OES), AAS, and XRF. 8.2.1 Pre-2007 Analytical Methods (1966-1986) The Fostung data files contain scattered references to various laboratory assay methodologies; however, little specific data is present concerning how samples were prepared. The various succession of lessors utilized industry standard assay laboratories in Ontario and Vancouver Provinces including Bondar-Clegg, X-Ray Assay Labs (XRAL), and Technical Services Lab. All the laboratories were independent of the operators.

GRAPHIC

CAPR004153 – United States Antimony Corporation SEC Technical Report Summary – Fostung Tungsten Project Page 39 SRK Consulting (Canada) Inc. March 24, 2026 The labs used three different analytical methods for tungsten, depending on the client’s preferences. These included Neutron Activation (NAA), XRF, and Wet Chemical (WC) (gravimetric or colorimetric). Copper, molybdenum, and zinc were analyzed by both XRF and Direct Coupling Plasma (DCP) analysis. Silver and gold were analyzed by Fire Assay (FA) with an Atomic Absorption finish (AA). Other metals (tin and bismuth) assays were made by DCP or AA. St. Joseph Explorations early on in their tenure also used some semiquantitative multi-elements spectroscopic scans on an infrequent basis to check for unusually elevated background metals. 8.2.2 Transition Metals Analytical Methods (2021) The 2021 core samples were submitted to ALS Chemex in Sudbury, Ontario for sample preparation with further analyses completed at the ALS Chemex facilities in North Vancouver, B.C. ALS currently holds ISO 9001 (Quality Management Systems) and ISO 17025 (General Requirement for the Competence of Testing and Calibration Laboratories) certification. ALS Chemex laboratory is independent of UAMY. Once samples are received at the laboratory, packages are bar-coded and logged into the Laboratory Information Management System (LIMS). The samples are prepared using PREP-31 in the following procedure: • Weigh samples • Dry samples generally at >100⁰C • Fine crush of rock chip and drill samples to better then 70% pf the sample passing 2 mm • Split sample using riffle splitter • Sample split of up to 250 g is pulverized to better than 85% of the sample passing 75 microns • Pulp portion is sent for analysis Analytical analysis was completed using Inductively Coupled Plasma - Atomic Emission Spectroscopy (ICP-AES) and Inductively Coupled Plasma - Mass Spectrometry (ICP-MS) for copper, silver and molybdenum analysis. Fire assay fusion with an ICP-AES finish on a 30 g aliquot was used in the determination of gold. Tungsten determination was performed by Lithium Metaborate – Tetraborate fusion with an X-Ray Fluorescence Spectroscopy (XRF) analysis (ALS code ME-XRF15c) or Lithium Borate Fusion with an XRF finish (ALS Code: MEXRF10). A summary of the analytical methods and detection limits used in 2021 is shown in Table 8-1. Table 8-1: Analytical Methods used by ALS Chemex in 2021 Code Element Limits Description ME-XRF15c WO3 0.01-100 % Mo 0.01-60 % Base Metal Concentrates by Fusion / XRF Cu 0.01-50 % XRF10 W 0.01-50 % Resistive Minerals by Fusion / XRF ME-MS61 Cu 0.2-10,000 ppm Ultra-Trace Four-Acid Digestion with ICP MS and ICP-AES Ag 0.01-100 ppm Mo 0.05-10,000 ppm Au-ICP21 Au 0.001-10 ppm Fire Assay Fusion, ICP-AES Finish

GRAPHIC

CAPR004153 – United States Antimony Corporation SEC Technical Report Summary – Fostung Tungsten Project Page 40 SRK Consulting (Canada) Inc. March 24, 2026 8.2.3 Specific Gravity Data A total of 719 specific gravity determinations were included in the resource database from 2021 drilling. No specific gravity data was available from pre-2007 drilling programs. Specific gravity measurements were collected by Transition Metals in-house using the water displacement method. Specific gravity determinations were made on full diameter core samples from the 2021 drill program. Sample lengths measured 10 centimetres on average and were collected from mineralised zones and from wall rocks on either side of mineralised zones. 8.3 Quality Control Procedures/Quality Assurance Quality control measures are typically set in place to ensure the reliability and trustworthiness of exploration data. These measures include written field procedures and independent verification of aspects such as drilling, surveying, sampling, assaying, data management and database integrity, are important as a safeguard for project data and form the basis for the quality assurance program implemented during exploration. Analytical quality control measures typically involve internal and external laboratory control measures implemented to monitor the precision and accuracy of the sampling, preparation and assaying. They are also important to prevent sample mix-up and to monitor the voluntary or inadvertent contamination of samples. Assaying protocols typically involve regularly duplicating and replicating assays and inserting quality control samples to monitor the reliability of assaying results delivered by the assaying laboratories. Check assaying is normally performed as an additional test of the reliability of assaying results. This generally involves re-assaying a set number of sample rejects and pulps at a secondary umpire laboratory. 8.3.1 Pre-2007 Quality Assurance and Quality Control Programs Laboratory checks were performed on the Fostung WO3 assay results using two additional analytical methods. Three of the drillholes were analyzed using a total of three different analytical techniques and an additional drillhole was re-analyzed by an umpire laboratory. The WO3 assay data used for the 2007 Mineral Resource model was generated by both neutron activation and x-ray fluorescence. Data comparisons were made between each of the three analyses to investigate for any bias. In general, the results indicate that all three methods produced satisfactory results (Figure 8-1). Data from one drillhole was analyzed by the primary laboratory, XRAL using XRF and checked by Bondar-Clegg using an unknown technique. The results from the two laboratories are shown in Figure 8-1 (3115-08 Assay Duplicates) and indicate good reproducibility between laboratories. Although the historical analytical quality control procedures did not meet today’s industry standard, they indicate the historical operators were aware of the importance of good quality data and were undertaking investigations deemed adequate at the time to ensure the reliability of the assays. The checks that were conducted indicated that the various analysis methods and laboratories used to determine WO3 concentration were reproducible and therefore considered acceptable.

GRAPHIC

CAPR004153 – United States Antimony Corporation SEC Technical Report Summary – Fostung Tungsten Project Page 41 SRK Consulting (Canada) Inc. March 24, 2026 Figure 8-1: Scatter Plot of WO3 Assay Duplicates Source: SRK (USA), 2007 8.3.2 Quality Assurance and Quality Control Programs by Transition Metals (2021) Diamond drill information including collar location, downhole surveys, geotechnical, geological, and sample information was input into MX Deposit, a cloud-based data management system by Seequent. The database management helped to ensure data integrity by using internal algorithms which do not allow for overlapping intervals. Once assay certificates were received from the laboratory, Transition Metals personnel imported the information into the database, reviewed, and finalized the logging and produced quality assurance and quality control reports. Database validation and verifications by Transition Metals consist mainly of data entry error check, collar spatial validation, intervals errors check, downhole survey deviation, quality assurance, and quality control review.

GRAPHIC

CAPR004153 – United States Antimony Corporation SEC Technical Report Summary – Fostung Tungsten Project Page 42 SRK Consulting (Canada) Inc. March 24, 2026 In September 2020, Transition Metals contracted Tulloch Engineering based in Espanola, Ontario, to resurvey 21 of the historic drill hole collars on the Fostung Property. Two long-duration Global Navigation Satellite System (GNSS) observations were conducted, with one receiver placed at each end of the site, positioned over two 0.3-meter spikes. The GNSS data was submitted to the Precise Point Positioning (PPP) service, offered by Geodetic Surveys of Canada, for processing. The final results for each station achieved an absolute accuracy of 0.02 m. Table 8-2 summarised the original versus resurveyed collar coordinates. The coordinates are in Universal Transverse Mercator (UTM), Zone 17N, on NAD83 datum plane). The original coordinates were referenced in the 2007 technical report, but local coordinates were used in the mineral resource database. Table 8-2: Summary of Historic Collar Resurvey Results Completed by Tulloch Engineering Hole ID Original Collar Coordinates 2020 Resurveyed Coordinates Difference Northing Easting Elevation Northing Easting Elevation Northing Easting Elevation 3115_1 5120715 451151 255 5120706 451150 252.5 -9.0 -1.0 -2.5 3115 2 5120665 451036 256 5120658.3 451038.4 257.5 -6.7 2.4 1.5 3115 3 5120784 451095 260 5120773.6 451092.7 257.1 -10.4 -2.3 -2.9 3115 4 5120182 450326 259 5120192.7 450324.2 249.2 10.7 -1.8 -9.8 3115 5 5120141 450340 248 5120153.3 450339.5 245 12.3 -0.5 -3.0 3115 6 5120287 450394 271 5120295.4 450393.9 257.3 8.4 -0.1 -13.7 3115_7 5120043 449952 239 5120060.9 449952.6 229.8 17.9 0.6 -9.2 3115 11 5120448 450614 247 5120449.4 450616.7 233.5 1.4 2.7 -13.5 3115 13 5120484 450653 243 5120484.7 450651.5 235.7 0.7 -1.5 -7.3 3115 14 5120424 450511 250 5120426.9 450516.4 233.5 2.9 5.4 -16.5 3115-15 5120346 450431 268 5120352.9 450430.1 247.4 6.9 -0.9 -20.6 3115 16 5120258 450327 276 5120266.7 450327.5 254.1 8.7 0.5 -21.9 3115 17 5120222 450212 245 5120233.2 450212.8 245.7 11.2 0.8 0.7 3115 22 5120066 450010 235 5120082.9 450012.7 230.5 16.9 2.7 -4.5 3115 23 5119979 450080 242 5119997.9 450083.5 236.1 18.9 3.5 -5.9 3115 24 5120019 449907 241 5120037.9 449907.8 231.3 18.9 0.8 -9.7 3115 25 5119944 449875 265 5119963.6 449876.4 257 19.6 1.4 -8.0 3115 26 5119893 449799 271 5119916.4 449800.2 262.9 23.4 1.2 -8.1 3115 28 5120445 450583 248 5120447.8 450585.2 232.5 2.8 2.2 -15.5 3115 29 5119889 450156 247 5119908.9 450156.2 240.8 19.9 0.2 -6.2 3115 30 5120463 450597 244 5120468 450598.7 232.3 5.0 1.7 -11.7 Notes: Coordinates are in UTM (Zone 17N) on NAD83 datum. Analytical quality control samples were integrated into the sample sequence workflows by Transition Metals in 2021. Transition Metals used two types of reference materials, including certified blanks (silica blanks) and certified reference materials (CRMs). Transition Metals included two CRMs, both sourced from OREAS: OREAS 700 and OREAS 701. Reference material samples were inserted into the sample numbering sequence at semi-regular intervals, ensuring a cadence of a minimum of one in 15 and a maximum of one in every 25 samples. The reference samples type was recorded in the database and was also documented in the sample tag books. Internal quality control analysis reports were generated by Transition Metals staff within the MX Deposit software upon receipt of each analytical batch. Transition personnel evaluated the performance of the reference materials, once the assays became available, on an ongoing basis. 8.3.3 Sample Security In 2021, drill core samples were stored in a secure core processing and storage warehouse in Sudbury, Ontario, prior to their shipment by company truck to the sample processing laboratories. All samples were securely sealed, and chain of custody documents issued for all shipments. The analytical results from these samples were received by authorized Transition Metals personnel using secure digital transfer transmissions.

GRAPHIC

CAPR004153 – United States Antimony Corporation SEC Technical Report Summary – Fostung Tungsten Project Page 43 SRK Consulting (Canada) Inc. March 24, 2026 ALS Chemex held coarse and pulp reject samples in a secure area for 45 days, after which time the samples were sent back to Transition Metals. Upon completion of the drilling programs, the drill core, and coarse rejects and pulps were catalogued and securely stored in the core storage facility in Sudbury. The drill core from the 2021 drill campaign was transported to the Fostung Project site for storage in 2024. The cores were vandalized at this location and dumped from the contained boxes, leaving no reference core intact for the Project. The QP visited the vandalized site and saw the resultant pile of core. Mineralised intervals from within this pile were still visible, however the spatial reference had been lost. The QP witnessed core boxes with tags showing drillhole numbers and depth and also wooden depth markers. 8.4 Opinion on Adequacy SRK reviewed the field procedures and analytical quality control measures used by Transition Metals and historical operators where possible. The analysis of the analytical quality control data is presented in Section 9 of this report. In the opinion of the QP, Transition Metals personnel used care in the collection and management of the field and assaying exploration data. However, the QP strongly recommends that the security measures for core storage be reviewed in future drilling programs. The quality of the analytical data collected for tungsten, molybdenum, copper and silver is sufficiently reliable to support Mineral Resource estimation. It is also the QP’s opinion that sample preparation and analysis are generally performed in accordance with exploration best practices and industry standards. However, Transition Metals used limited analytical quality control program for sample assay. No duplicates or umpire laboratory checks were included in the program. Therefore, the assay results lack critical information such as assay reproducibility.

GRAPHIC

CAPR004153 – United States Antimony Corporation SEC Technical Report Summary – Fostung Tungsten Project Page 44 SRK Consulting (Canada) Inc. March 24, 2026 9 Data Verification 9.1 Data Verification Procedures Information for this section was largely sourced from the 2007 Technical Report. The pre-2007 electronic database of the Fostung exploration drilling was digitized by SRK Consulting (US) in 2007. Hard copy printouts of scanned original drill logs were provided by Golden Predator Mines Inc. and used as the source data. Each drill log contained; the drillhole number, collar information, down hole survey data, geologic intervals with descriptions, and assay intervals with results. The assayed intervals generally correlated to the apparent zones of mineralisation. Additionally, not all intervals were analyzed for the same metals. Copper was analyzed for 85% of the intervals, silver was analyzed for 72% of the intervals, gold was analyzed for 47% of the intervals and zinc was analyzed for 3% of the intervals. The measurement units used in the historic logs were inconsistent. Drill intervals were recorded in feet for early data and metres were used subsequently. The assay analyses were also reported in inconsistent units including weight percent (wt%), parts per million (ppm), parts per billion (ppb) and ounces per tonne (oz/t). The final database produced by SRK (US) used metres, wt % and g/t, which required calculated conversions. The assay database includes results from 2,310 sample intervals of varied lengths. Tungsten was analyzed for 98% of the intervals and reported mainly as wt % WO3 and W ppm. The WO3 assay data used for the resource model was generated by both neutron activation and x-ray fluorescence techniques as discussed above in Section 12. Molybdenum was analyzed for 90% of the intervals and reported as Mo or MoS2 as both wt % and ppm. The data were converted to wt%. Various assay labs reported different detection limits and many assay results were reported as “nil”. The following adjustments were used: • wt% data reported as <0.003 were entered as 0.002 • wt% data reported as <0.005 and <0.006 were entered as 0.003 • wt% data reported as <0.008 were entered as 0.004 • Ag data reported as <0.5g/t were entered as 0.2 • Au data reported as <0.2g/t were entered as 0.001 based on adjacent assays • All “nil” values were entered as 0.001 • All assay intervals which were not analyzed for a specific metal were entered as -1 • All un-sampled intervals were entered into the database and entered as -1 for all metals Geologic records were translated from the drill log rock types into alphanumeric codes for the database. The drill logs were reviewed and coded into twenty-two different rock and alteration types as from-to intervals with the corresponding rock code. Drill collar coordinates were derived from three sources, including: 1. Calculated, closed loop surveys conducted between 1980 and 1985 2. Scaling a drillhole location map which included the local mine grid 3. Triangulation using three nearby collars with surveyed coordinates

GRAPHIC

CAPR004153 – United States Antimony Corporation SEC Technical Report Summary – Fostung Tungsten Project Page 45 SRK Consulting (Canada) Inc. March 24, 2026 A list of drill collar coordinates generated during surveys in 1980, 1981, 1983, and 1985 included 81% of the collars. This is described as a calculated, closed loop survey with the results reported to the second decimal in the local mine grid metric coordinates. The remaining un-surveyed drillholes were located using two different methods. The collar coordinates for three of these drillholes were scaled from a drillhole location map, which included the local mine grid. Five additional drillholes were triangulated on a drillhole location map which did not have the local grid, using three nearby collars, each with surveyed coordinates. The triangulated locations were then averaged to generate the final collar coordinates. Elevations for all of the non-surveyed holes were taken from the drillhole location maps or estimated from nearby surveyed holes. Once the electronic database was created, data verification to the original hard copy source material was conducted. All of the drill collar coordinates, drillhole orientations and down hole surveys were verified. The geologic intervals were checked line by line for eleven percent of the data entries. A minimum of two entries were checked on all the drillholes. The assay data was checked line by line for 10% of the data base. Additional checks were performed by querying the minimum and maximum limits of all database variables to identify any erroneous values. Assay and geologic records were checked by the modeling software to identify any overlapping or inverted intervals. The cumulative results of the data checks showed that the original data entry was 99.7% correct. All erroneous values were corrected, and the database is determined to be of high quality. 9.1.1 Site Visit As discussed earlier, the QP was commissioned by 01930153 Ontario Limited, to prepare an updated Mineral Resource model and technical report in accordance with NI 43-101. During this commission, the QP visited the Project from July 31 to August 1, 2024, accompanied by representatives of Transition Metals. The purpose of the site visit was to review the digitization of the exploration database and validation procedures, review exploration procedures, define geological modelling procedures, examine drill core, interview project personnel, and collect all relevant information supporting the preparation of the Mineral Resource Statement presented herein. At the time of the site visit, there was no drilling activity in the Fostung Project. Therefore, the QP was not able observe practices being followed associated with drilling, logging, and sampling. However, the QP interviewed the Transition Metals personnel responsible drilling data acquisition and sampling. SRK was also given access to all the protocol documentation relevant to the exploration protocols. During the site visit, an effort was made to locate historical and recent collars in the field to confirm their spatial reference in the database. The QP visited on historical drill collar (3115-14) and five collars drilled in 2012 (21- FT-01, 21-FT-02, 21-FT-03, 21-FT-05 and 21-FT-06). The collars were identified on the ground using handheld GPS and matching with recorded location, as the collars were not marked with hole numbers. Additionally, vandalized core from the 2021 Transition Metals program was visited and inspected (Figure 9-1). The QP collected some pieces from the core dump for further inspection under UV light and independent verification assay. The QP also visited skarn and other outcrops to understand spatial correlation between the different rock-types, intersected in the Fostung drilling. A visit to the ALS laboratory in Sudbury was made.

GRAPHIC

CAPR004153 – United States Antimony Corporation SEC Technical Report Summary – Fostung Tungsten Project Page 46 SRK Consulting (Canada) Inc. March 24, 2026 Figure 9-1: Site Visit Activities and Field Verification Notes: A: Typical landscape of the Project area. B: Vandalized core from the 2021 drilling program by Transition Metals. C: Historical collar 3115-14. D: Recent collar 21-FT-04. The results from the verification samples collected by the QP during the site visit are summarised in Table 9-1. Since there was no core available due to the vandalization described above, the QP collected two samples of the leftover core pile to attempt to confirm the presence of mineralisation. The outcrop and core grab samples confirm the presence of tungsten molybdenum, copper and silver mineralisation at the Project. The re-analysis of pulp samples indicates that the samples can readily be reproduced; however, minor differences are noted in the analysis of molybdenum which is likely attributed to the inherent variability of the mineralisation.

GRAPHIC

CAPR004153 – United States Antimony Corporation SEC Technical Report Summary – Fostung Tungsten Project Page 47 SRK Consulting (Canada) Inc. March 24, 2026 Table 9-1: Assay Results for Verification Samples Collected SRK on the Fostung Project Verification Assay Original Assay Sample No. Type W (%) Mo (ppm) Cu (ppm) Ag (ppm) Sample No. W (%) Mo (ppm) Cu (ppm) Ag (ppm) D843251 Outcrop grab 0.44 227 1,175 8 N/A D843252 Outcrop grab 0.01 38.1 198 1.37 N/A D843253 Core pile 0.16 175.5 288 0.8 N/A D843254 Core pile 0.49 53.1 1,465 1.74 N/A D843255 Pulp 0.94 68.2 577 1.51 D842541 0.93 83 571 1.43 D843256 Pulp 0.77 72.4 388 0.98 D842565 0.76 86.2 379 0.93 9.1.2 Verifications of Historical Database and Analytical Methods Verification methods employed by SRK in 2024 included cross-checking the historical database against historical drill logs and assay certificates where available. SRK checked approximately 23% of the intervals assays for scheelite and noted that 5% of the assays in the database did not match the assay certificates or there was a mismatch between the historical drill log and the historical assay certificates. Given the reanalysis of many of the intervals via various analytical methods, some of the mismatch intervals can be attributed to these multiple analysis methods and the priority with which they were originally entered into the database. The historical and more recent diamond drill core were analyzed using multiple methods. The historical analytical methods are Neutron Activation, DC Plasma, Wet Chemical (gravimetric or colorimetric), XRF, and some AAS for gold and silver. The recent 2021 drill core samples were analyzed by Inductively coupled plasma atomic/optical emission spectroscopy (ICP), AAS, and XRF. The digestion method for the historical samples was not noted but based on the finish the digestions would be expected to be as follows, for Neutron Activation, no sample digestion, the sample pulp might have been pressed. For DC Plasma, the pulverized sample must be digested using a combination of acids. For the XRF, the samples were likely fused using lithium metaborate to form a glass disk that was then read on the XRF. The digestion methods for the recent 2021 drill core samples are four acid digestion for the ICP results, and the XRF results were read on lithium metaborate fused disks. The QP is of the opinion that the historical results are acceptable for use based on the conclusions from the 2007 Technical Report. It should be noted that the quality and sensitivity of chemical instruments such as XRFs and ICPs improve greatly over time. A direct comparison of historical and recent drill results would be expected to differ solely based on those observations. 9.1.3 Verifications of Analytical Quality Control Data This technical report reviews the analytical quality control measures implemented by Transition Metals in 2021. To assess the accuracy and precision of analytical quality control data, SRK performs routine verifications. Analytical quality control data typically comprises analyses from standard reference materials and blank samples, and a variety of duplicate data. Time series plots are used during the analyses of data from reference materials and blanks to identify extreme values (outliers) or trends that may indicate issues with the overall data quality.

GRAPHIC

CAPR004153 – United States Antimony Corporation SEC Technical Report Summary – Fostung Tungsten Project Page 48 SRK Consulting (Canada) Inc. March 24, 2026 SRK analysed the available analytical quality control data of the Fostung Project. Transition Metals provided SRK with analytical control data containing the assay results for quality control data produced since 2021 on the Fostung Project. All data was provided in Microsoft Excel spreadsheets. SRK aggregated the assay results of the analytical control samples for further analysis. Control samples (blanks and standards) are summarised on time series plots. The analytical quality control data produced by Transition Metals on the Fostung Project is summarised in Table 9-2. Table 9-2: Summary of Analytical Quality Control Data Produced by Transition Metals on the Fostung Project QAQC Sample Core Percent Total Percent Comment Sample Count 1,066 1,066 Blanks 47 4.41% 47 4.41% QC samples 46 4.32% 46 4.32% CRM 1 26 OREAS 700 CRM 2 20 OREAS 701 Pulp Replicates - - - 0.00% Field Duplicates - - - 0.00% Total QC Samples 93 8.72% 93 8.72% In the 2021 assay results, tungsten was analysed by a four-acid digestion with ICP finish, and lithium metaborate fusion with XRF finish. The quantile-quantile plot in Figure 9-2 demonstrates good agreement between the results, with the XRF results generally showing higher values than the ICP results, particularly at higher grades. This discrepancy is likely attributed to the digestion method; a four-acid digest is considered near-total, while the fusion process used with the XRF finish is total. Figure 9-2: Quantile-Quantile Plot of ICP vs. XRF Analysis of Tungsten at ALS

GRAPHIC

CAPR004153 – United States Antimony Corporation SEC Technical Report Summary – Fostung Tungsten Project Page 49 SRK Consulting (Canada) Inc. March 24, 2026 Contamination assessment is done using date sequence performance charts from pulp and coarse blanks. The threshold limits are ten times the lower detection limit reported by the laboratory. A total of 47 blank samples were inserted during the 2021 drilling program. Blank samples were analysed at the ALS Laboratories in Sudbury, Ontario and assay values exceeding ten times the detection limit was considered a failure. The performance of the analytical results yielded below 10 times the detection limit with some failure insertion error. The failures in blank samples may be concluded as insertion error of mislabeled samples. An example of the blank quality control data plotted by SRK is shown in Figure 9-3. Figure 9-3: Quality Control Plot for Blank Material Assayed for WO3 at ALS in 2021 Certified Reference Materials (CRMs) were used by Transition Metals to monitor the analysis accuracy and precision over time. The results of the certified reference material suggest grades are within the recommended three standard deviation and are summarised in Table 9-3. Table 9-3: Summary of Certified Reference Material Analysed on the Fostung Project in 2021 CRM Lab Element No. Inserts No. Failures Exp. Value Exp. SD Calc. Mean Failure Rate (%) OREAS 701 ALS WO3 9 0 3.07 0.044 3.07 0 W 11 1 2.43 0.035 2.31 9 Mo 20 2 254 21.4 223 10 Cu 20 2 0.491 0.012 0.45 10 Ag 20 2 1.12 0.14 1.07 10 OREAS 700 ALS WO3 16 1 1.42 0.031 1.52 6 W 10 0 1.13 0.025 1.12 0 Mo 26 1 81 7.5 88.5 4 Cu 26 7 0.202 0.007 0.23 27 Ag 26 3 0.499 0.075 0.57 12

GRAPHIC

CAPR004153 – United States Antimony Corporation SEC Technical Report Summary – Fostung Tungsten Project Page 50 SRK Consulting (Canada) Inc. March 24, 2026 Two CRMs, sourced from Ore Research and Exploration Pty Ltd. (OREAS), OREAS 700 and OREAS 701, were inserted during the 2021 drilling program. Accuracy was assessed in terms of the mean returned values relative to the expected value and percentage of failures. CRM sample results were plotted on date-sequenced performance charts (Figure 9-4, Figure 9-5, and Figure 9-6) to identify outliers and failures. During the accuracy assessment, apparent errors, such as mislabeling of samples, were identified. In general, the performance of the CRM samples for the 2021 core drilling samples analyzed at ALS is considered good. Figure 9-4: Quality Control Plot for OREAS 701 Assayed for WO3 at ALS in 2021 Figure 9-5: Quality Control Plot for OREAS 701 Assayed for Mo at ALS in 2021

GRAPHIC

CAPR004153 – United States Antimony Corporation SEC Technical Report Summary – Fostung Tungsten Project Page 51 SRK Consulting (Canada) Inc. March 24, 2026 Figure 9-6: Quality Control Plot for OREAS701 Assayed for W at ALS in 2021 9.2 Limitations The reader is referred to Section 8.3.1 for details of data verification performed by SRK in preparation of the 2007 Technical Report issued by Golden Predator. 9.3 Opinion on Data Adequacy The collar verification survey conducted by Transition Metals was able to locate only 21 out of 42 holes on the ground. The comparison between original and resurveyed coordinate shows a difference up to 24 m in northing. Therefore, similar differences in other collar locations, which could not be found on the ground, can be expected and this introduces an uncertainty about sample locations. The QP considers that caution be used for historical data collected prior to 2021 due to the limited or no quality control data available. The performance of control samples analyzed by ALS, in 2024, is considered acceptable despite some identified difficulties. Blanks typically returned values below ten times the detection limit, and the standards performed reasonably well, with assay results generally within three times the standard deviation of the certified or expected value. Most errors were attributed to quality control-related insertion errors, primarily due to the swapping of blanks and CRMs. The insertion of duplicate (field, coarse and pulp) and umpire samples were not part of the analytical quality control program for the 2021 drill campaign. The QP recommends the inclusion of these quality control measures in future analytical quality control programs as they assess the accuracy and reproducibility of the primary laboratory. Additionally, the sequencing of quality control material insertion should be reviewed to ensure blank samples are inserted immediately following mineralised samples and to ensure CRM samples are inserted randomly. Increasing the insertion of all quality control reference samples to a minimum of 5% is recommended.

GRAPHIC

CAPR004153 – United States Antimony Corporation SEC Technical Report Summary – Fostung Tungsten Project Page 52 SRK Consulting (Canada) Inc. March 24, 2026 It is the QP’s opinion that the quality of the analytical data for scheelite, molybdenum, copper and silver have limitations but are reasonably reliable to support Mineral Resource estimation in Inferred class. It is also the QP’s opinion that sample preparation, analysis, and security, for the 2021 drilling, are generally performed in accordance with exploration best practices and industry standards, and no material concern was found for drilling prior to 2021.

GRAPHIC

CAPR004153 – United States Antimony Corporation SEC Technical Report Summary – Fostung Tungsten Project Page 53 SRK Consulting (Canada) Inc. March 24, 2026 10 Mineral Processing and Metallurgical Testing As described in the previous technical report on the Fostung property (SRK Consulting, 2007), Union Carbide conducted preliminary metallurgical testing in 1981. The laboratory test results demonstrated a suitable flowsheet for the recovery of scheelite from Fostung samples that included both flotation and gravity concentrates. Union Carbide collected and composited coarse core reject samples from six diamond core holes for a preliminary metallurgical investigation. The composite sample was subjected to heavy liquid sink/float tests at specific gravities of 2.96 and 2.70. At an SG of 2.96, tungsten recoveries of 92% was achieved to 56% of the mass. Heavy liquid recovery efficiency declined for coarser grind sizes and further testwork was recommended. The previous technical report included a constant 84% scheelite recovery that was proposed by Union Carbide (Sulpetro) based on their experience in tungsten processing. SRK stated in their 2007 report that this value was unsupported along with a lack of detail on the origin and representativity of the bulk sample. Recently, Transition Metals submitted a sample to Steinert US for sorter testing (Steinert, 2021). Steinert evaluated a combination of x-ray transmissive (XRT) and laser sensors to reject waste particles at a coarse size (between 12 mm and 75 mm) in its laboratory in Kentucky, USA. Steinert is an independent laboratory. 10.1 Historical Testwork Results A number of reports were issued by Union Carbide summarising the 1981 test program on Fostung samples. Thirteen composite samples ranging in WO3 grade from 0.05% to 1.14% were collected with a Master composite (“8MxD”) prepared of 0.16% WO3, 0.014% Mo, 0.038% Cu, 3% CaCO3 and 0.73% S that was the main focus of investigation. Two scheelite concentrates were produced (flotation and gravity) using the lab flowsheet shown in Figure 10-1. Flotation results showed generally high WO3 recoveries but to low concentrate grades of <11% WO3. A rougher flotation concentrate of 19% WO3 was produced at 84% recovery. Following upgrading using a shaking table, sulphide flotation of the gravity concentrate generated a 37% WO3 concentrate at 89% recovery. Issues noted in the Union Carbide reports included 15% WO3 losses to slimes. Testwork was recommended at a coarser grind size, but sample mass limitations prevented other test conditions from being investigated. 10.2 Ore Sorting Testwork Steinert US conducted a preliminary investigation on 60 kg of 12×75 mm material grading 0.18% WO3 provided by Transition Metals for XRT/laser sensor testing (Steinert, 2021). Figure 10-2 shows the location of the test sample in relation to the earlier 13 Union Carbide samples (legend showing labels Comp A through M). The Steinert test protocol passed the sample through the sensors five times – each time a Select (concentrate) was removed for weighing and assay and the remaining Unselect (tailings) was reprocessed. After five passes, five Selects and one final Discard (waste) were generated. All samples were submitted to SGS Lakefield for assays. Figure 10-3 shows the ten products with the Selects on the left and Unselects on the right, for the successive test stages (Step 1 to 5).

GRAPHIC

CAPR004153 – United States Antimony Corporation SEC Technical Report Summary – Fostung Tungsten Project Page 54 SRK Consulting (Canada) Inc. March 24, 2026 Figure 10-1: Union Carbide Test Flowsheet (Feed Sample “8MxD”) Source: Union Carbide, 1981 Figure 10-2: Sample Location for Sorting Testwork Source: SRK, 2026

GRAPHIC

CAPR004153 – United States Antimony Corporation SEC Technical Report Summary – Fostung Tungsten Project Page 55 SRK Consulting (Canada) Inc. March 24, 2026 Assayed products are summarised in Table 10-1. The first pass, Step 1 Selects was over 1% WO3 with 54% of the scheelite recovered. Successive runs selected lower grade particles with 96% of the scheelite recovered to the five Selects: with a cumulative grade of 0.2% WO3. Table 10-1: Fostung Sorter Test Results (12×75 mm fraction) Setting Select kg Cum Mass Recovery % Cum Select WO3 % Cum WO3 Recovery% Unselect kg Unselect WO3 % Step 1 5.8 9.4 1.04 54.3 55.6 0.09 Step 2 4.8 17.3 0.68 64.7 50.8 0.08 Step 3 9.6 32.9 0.43 77.7 41.2 0.06 Step 4 19.6 64.8 0.25 88.3 21.6 0.06 Step 5 13.0 86.0 0.20 95.7 8.6 0.06 Source: Steinert, 2021 As the XRT sensor identifies particles of higher density (containing scheelite), these results demonstrated significant potential for upgrading Fostung material using sensor sorting. From a feed sample of 0.18% WO3 (typical of the Fostung resource), 78% of the scheelite was recovered to 33% of the mass, at a grade of 0.43% WO3 (Step 3 in Table 10-1). Figure 10-3: Sorter Test Products (Step 1 to 5 from top to bottom) Source: Steinert, 2021

GRAPHIC

CAPR004153 – United States Antimony Corporation SEC Technical Report Summary – Fostung Tungsten Project Page 56 SRK Consulting (Canada) Inc. March 24, 2026 10.3 Assumed Metallurgical Performance An estimate of scheelite recovery to a saleable tungsten concentrate was not demonstrated in the 1981 Union Carbide testwork results. Typical saleable concentrates are >57% WO3 with historical testwork on Fostung samples reporting 37% WO3 or less. The Fostung average WO3 grade is considered low for typical tungsten processing, but the results from the 2021 Steinert testwork (conducted on one, 60 kg sample) show promise that an upgraded plant feed can be generated using XRT/laser sorting. The Step 3 result shown in Table 10-1 suggests 67% of run-of-mine (ROM) material can be rejected with 78% WO3 recovery. For the Mineral Resource estimate, it is assumed that ore sorting will be done on all ROM material with this result. To estimate the expected plant recovery on the upgraded 0.4% WO3 feed, a number of references were used (Rao, 1994; Wheeler, 2013; AGP Mining, 2018) to generate an expected scheelite recovery versus WO3 head grade relationship shown in Figure 10-4. Coincidentally, one of the references cited 76% plant recovery to a 68% WO3 concentrate (combination of gravity & flotation) on 0.4% head grade – which matches the sorted product. Figure 10-4: Scheelite Recovery for Low-Grade Samples Source: SRK, 2026 10.4 Adequacy of Mineral Processing and Metallurgical Testing While an estimate of expected plant recovery has been provided for this Mineral Resource update, it is based on project references and testing done on other lower grade scheelite samples. The preliminary work completed by Union Carbide in 1981 did not achieve saleable grade WO3 concentrate; however, Sulpetro assumed it could be achieved based on their scheelite processing experience. In the Processing QP’s opinion, additional testwork is necessary to support the recovery assumption used in this Mineral Resource update. At present, the assumed constant 59% WO3 overall recovery following sorter upgrading is not well supported by Fostung sample testwork. It is strongly recommended this assumption be reviewed and improved upon following the results of additional metallurgical testwork. Recommendations for future testwork are outlined in Section 23.3.

GRAPHIC

CAPR004153 – United States Antimony Corporation SEC Technical Report Summary – Fostung Tungsten Project Page 57 SRK Consulting (Canada) Inc. March 24, 2026 11 Mineral Resource Estimates In 2024, SRK was commissioned by 01930153 Ontario Limited to update the Mineral Resource model for the Fostung Project, including the data from 2021 drilling. 01930153 Ontario Limited intended to publish a NI 43- 101 technical report based on this updated Mineral Resource model and economic assumptions. Though SRK concluded an internal update of the block model estimation for the Company, no Mineral Resources was publicly disclosed. This current mineral model is based on the block model estimation, SRK carried out in 2024. Section 11 herein describes the resource estimation methodology and summarises the key assumptions considered by the QP. In the opinion of the QP, the resource evaluation reported herein is a reasonable representation of the global tungsten Mineral Resources found in the Fostung Project at the current level of sampling. The Mineral Resources have been estimated in conformity with generally accepted CIM Estimation of Mineral Resource and Mineral Reserves Best Practices Guidelines Mineral Resources are not mineral reserves and have not demonstrated economic viability. There is no certainty that all or any part of the Mineral Resource will be converted into mineral reserve. The database used to estimate the Fostung Project Mineral Resources was audited by SRK. SRK is of the opinion that the current drilling information is sufficiently reliable to interpret with confidence the boundaries for the tungsten mineralisation and that the assay data are sufficiently reliable to support Mineral Resource estimation. However, uncertainty related to the absence of appropriate levels of analytical QAQC practices for the historical assay, poor sample security protocols, and limited validation of the historical drilling, has been considered in the Mineral Resource classification by the QP. Leapfrog Geo™ and Leapfrog Edge™ (version 2024.1.1) were used to construct the geological solids, perform geostatistical analysis and variography, construct the block model, estimate metal grades, and tabulate mineral resources. 11.1 Key Assumptions, Parameters, and Methods Used • The Mineral Resource model prepared by QP considers 50 core boreholes drilled by Texas Gulf, VanGulf, St. Joseph, Sulpetro, Novamin and Transition Metals during the period of 1966 to 2021. • Historical drilling from pre-2000 was completed before the implementation of NI 43-101 with limited or no information in terms core handling, sampling and quality control protocols available for QP review. • Core from historical and recent Transition Metals drilling was unavailable for review. The QP considered these limitations on drilling data verification during the Mineral Resource classification process. • Mineralisation at the Fostung deposit is associated with disseminated skarn-type mineralisation, mainly located within a steeply dipping southwest striking calcareous siltstone. • The Fostung Project is a polymetallic deposit with associated copper, molybdenum and silver mineralisation. SRK estimated the associated metals along with WO3 but did not report in the mineral resources due to immaterially low grade. • Prior to Transition Metals’ acquisition, there was no density data available for the Fostung Project. Transition Metals collected specific gravity (SG) measurements from its 2021 drilling. There are a total 719 specific gravity measurement data available in the exploration database. • Mineral Resources for the Fostung Project is classified as Inferred only.

GRAPHIC

CAPR004153 – United States Antimony Corporation SEC Technical Report Summary – Fostung Tungsten Project Page 58 SRK Consulting (Canada) Inc. March 24, 2026 • The QP considers that the blocks located within the conceptual pit envelope show “reasonable prospects for economic extraction” and can be reported as a Mineral Resource. 11.2 Resource Database The Mineral Resource block model is estimated using core holes. Only 21 of the historical collars were recently re-surveyed by Transition Metals, leaving 22 historical collars with lower confidence in location, with 11 of these holes lacking downhole survey data. All final collar locations were reported in NAD 83, Zone 17N UTM coordinates. The breakdown of available drilling data is summarised in Table 11-1. The effective date for the database is December 31, 2021. Table 11-1: Drillhole Database Used for Resource Estimation Drilling 2007 2025 Change (%) Number of Holes 44 50 14 Sum Length (m) 10,791 12,250 14 Minimum Length (m) 230 230 0 Maximum Length (m) 275 275 0 No. of WO3 Assay 2,326 3,392 46 Length of WO3 Assay (m) 3,426 4,490 31 Based on the QP’s site visit undertaken between July 31 and August 1, 2024, the QP believes that the drilling, logging, core handling, and analytical quality control protocols used by Transition Metals in 2021 generally meet accepted industry best practices. Historical drilling from pre-2000 was completed before the implementation of NI 43-101 with limited or no information in terms core handling, sampling and quality control protocols available for QP review. Core from historical and recent Transition Metals drilling was unavailable for review. The QP considered these limitations on drilling data verification during the Mineral Resource classification process. The Fostung exploration database did not contain topographic surface for the project area. Therefore, SRK generated the topography from Ontario Digital Surface Model (derived from LiDAR), available on the Ontario GeoHub website. The LiDAR data are available as point clouds with a horizontal resolution of 0.5 m. 11.3 Solid Body Modelling Mineralisation at the Fostung deposit is associated with disseminated skarn-type mineralisation, mainly located within a steeply dipping southwest striking calcareous siltstone. The mineralised zone is largely stratabound with a strong structural control along the hanging wall of the Baseline Fault, which dips steeply towards the northwest. The mineralisation domain for the Fostung deposit was constructed by the QP in November 2024 considering available assay data. Due to unavailability of a consistent database, no lithological or structural information was integrated into the mineralisation model. A mineralisation threshold of 0.08% WO3 was selected based on an assessment of assay data through spatial analysis, histograms and cumulative probability plots. Manual refinements, including the inclusion of lower-grade intervals where appropriate, were performed to limit artefacts and increase the continuity of the wireframe. An overview of the resultant estimation domain is included in Table 11-2 and Figure 11-1. The mineralisation volume was assigned with a numerical domain code of 100 and the volume outside the mineralisation with code of 99.

GRAPHIC

CAPR004153 – United States Antimony Corporation SEC Technical Report Summary – Fostung Tungsten Project Page 59 SRK Consulting (Canada) Inc. March 24, 2026 Table 11-2: Summary of Domain Volumetrics Description Domain Code Volume (cmt.) 0.08% WO3 Grade Domain 100 10,258,000 Figure 11-1: Three-Dimensional View of Estimation Domain (100) Notes: The red volumes represent modelled mineralisation. 11.4 Assays, Compositing and Capping Assays were composited to a length of 1.5 m, respecting domain boundaries. Residual length composites less than or equal to 0.75 m were distributed equally to other composites belonging same drillhole. The QP reviewed the assay length distributions in the resource databases and confirmed that the chosen composite length is equal to or larger than 60% of the assay length distributions. This avoids unnecessarily breaking assays and artificially inflating the number of composites for grade estimation. A summary of assay and composite statistics is included in Table 11-3.

GRAPHIC

CAPR004153 – United States Antimony Corporation SEC Technical Report Summary – Fostung Tungsten Project Page 60 SRK Consulting (Canada) Inc. March 24, 2026 Table 11-3: Summary of WO3 Assay Statistics Domain Metal Raw (Length-weighted) 1.5 m Composites (Unweighted) Length Count Min. Max. Mean SD* CV* Length Count Max. Mean SD* CV* 100 WO3 (%) 2,351 1,734 0.00 3.07 0.15 0.20 1.36 2,351 1,566 2.02 0.15 0.17 1.13 Mo (%) 2,349 1,734 0.00 0.55 0.01 0.02 2.55 2,351 1,566 0.54 0.01 0.02 2.37 Cu (%) 2,349 1,734 0.00 0.62 0.03 0.05 1.54 2,351 1,566 0.40 0.03 0.05 1.36 Ag (ppm) 2,351 1,734 0.00 68.57 1.91 5.02 2.63 2,351 1,566 55.41 1.91 4.58 2.39 999 WO3 (%) 7,944 2,051 0.00 2.75 0.01 0.07 5.19 7,944 5,293 2.02 0.01 0.06 4.14 Mo (%) 7,944 2,051 0.00 0.33 0.00 0.01 4.24 7,944 5,293 0.31 0.00 0.01 3.70 Cu (%) 7,944 2,051 0.00 0.42 0.01 0.02 3.27 7,944 5,293 0.41 0.01 0.02 2.90 Ag (ppm) 7,944 2,051 0.00 81.94 0.36 2.37 6.66 7,944 5,293 81.94 0.36 2.16 6.06 * SD = Standard Deviation; CV = Coefficient of Variation To limit the influence of high-grade outliers during grade estimation, it is common to cap the data prior to estimation. The composited data was reviewed to identify any potential outliers and assess the need to cap the data. Capping analysis consisted of a combination of histograms, probability plots, and capping sensitivity plots. A summary of the selected cap values and statistical impact is tabulated in Table 11-4. Table 11-4: Summary of Capped Composite Statistics Domain Metal Count Capped 1.5 m Capped Composites Capping Impact Max. Mean SD* CV* Mean (%) CV* (%) 100 WO3 (%) - 2.02 0.15 0.17 1.13 0.0 0.0 Mo (%) 8 0.11 0.01 0.01 1.56 -6.2 -34.1 Cu (%) - 0.40 0.03 0.05 1.36 0.0 0.0 Ag (ppm) - 55.41 1.91 4.58 2.39 0.0 0.0 999 WO3 (%) 14 0.40 0.01 0.04 3.02 -8.3 -27.0 Mo (%) 18 0.06 0.01 0.01 2.29 -10.7 -38.0 Cu (%) 17 0.12 0.01 0.02 2.45 -5.0 -15.4 Ag (ppm) 28 8.00 0.28 0.93 3.33 -21.3 -45.1 * SD = Standard Deviation; CV = Coefficient of Variation 11.5 Variography Variograms were modeled separately for WO3, molybdenum and silver within each domain (Table 11-5). Variograms were not modeled for copper as the variogram interpretation was challenging due to the lack of data available. Instead, the copper variogram assumed the tungsten model given their close mineral association. The modelled for WO3 is presented in Figure 11-2. Table 11-5: Summary of Tungsten, Molybdenum and Silver Variogram Models Metal Leapfrog Angles Nugget Structure 1 Structure 2 Dip Dip Azi. Pitch Sill Major Int. Minor Sill Major Int. Minor Ag 70 325 145 0.2 0.5 60 60 5 0.3 130 95 12 Mo 70 325 140 0.1 0.7 40 35 4 0.2 90 60 12 WO3 70 325 150 0.25 0.5 70 60 4 0.25 120 100 15

GRAPHIC

CAPR004153 – United States Antimony Corporation SEC Technical Report Summary – Fostung Tungsten Project Page 61 SRK Consulting (Canada) Inc. March 24, 2026 Figure 11-2: Correlogram for WO3 in Domain 100 11.6 Block Model and Grade Estimation The block model definitions for the Fostung Project model are provided in Table 11-6. The block model was flagged by domain and was clipped to the topography, created from LiDAR data. Table 11-6: Block Model Definitions Axis Block Size (m) Origin (m) Number of Cells Rotation X 10 452,899 3,580 Y 20 5,120,008 3,640 Z 5 486 1,120 230 WO3, molybdenum, copper, and silver grades were estimated using Ordinary Kriging (OK). The general estimation strategy involves up to three estimation passes with progressively relaxed search ellipsoids and data requirements (Table 11-7). Search distances were generally based on the ranges derived from the variogram analysis. The second pass search ranges are two times that of the first pass. Block estimates in waste for WO3, molybdenum, copper and silver grades and specific gravity were estimated using Inverse Distance to the power of two (ID2).

GRAPHIC

CAPR004153 – United States Antimony Corporation SEC Technical Report Summary – Fostung Tungsten Project Page 62 SRK Consulting (Canada) Inc. March 24, 2026 Table 11-7: Summary of Estimation Parameters Domains Variable Est. Pass Est. Method No. Data Max Comps / Hole Search Type Search Ellipse (m) Min. Max. Major Int. Minor 100 WO3 1 OK 6 12 5 ellipsoid 60 50 10 2 OK 4 20 5 120 100 15 Mo 1 OK 6 12 5 ellipsoid 45 30 10 2 OK 4 20 5 90 60 12 Cu 1 OK 6 12 5 ellipsoid 60 50 10 2 OK 4 20 5 120 100 15 Ag 1 OK 6 12 5 ellipsoid 65 45 10 2 OK 4 20 5 130 95 12 SG 1 ID2 5 12 isotropic 100 100 100 999 WO3, Mo, Cu, Ag 1 ID2 4 20 ellipsoid 60 50 15 11.7 Model Validation and Sensitivity The block models were validated using a combination of visual and statistical checks. A statistical comparison of the average WO3, molybdenum, silver and copper OK grades to alternate estimators, such as ID2 and Nearest Neighbour (NN) was reviewed (Table 11-8). SRK reviewed these statistics. The differences across the various estimators generally ranged within +/- 6%. Table 11-8: Comparison of Alternate Grade Estimators Variable OK ID2 NN OK/NN ID/NN WO3 0.138 0.136 0.141 -2% -4% Mo 0.007 0.007 0.007 -4% -3% Ag 1.673 1.688 1.781 -6% -5% Cu 0.031 0.031 0.031 -1% -1% Figure 11-3 shows the sectional comparisons of the estimated WO3 grades against the nearby composite data. SRK reviewed the block models on section and planar views against informing data and confirmed that the estimated grades show good correspondence to nearby composites. Swath plots were also generated for the various block models. Figure 11-4 shows the (Easting) Y (Northing) direction swath plots. As expected, the various estimation approaches yield similar grade trends, particularly in areas of high data density, and departures are observed in areas of sparse data coverage.

GRAPHIC

CAPR004153 – United States Antimony Corporation SEC Technical Report Summary – Fostung Tungsten Project Page 63 SRK Consulting (Canada) Inc. March 24, 2026 Figure 11-3: Cross Section Comparing Block Model WO3 Grades to Composites

GRAPHIC

CAPR004153 – United States Antimony Corporation SEC Technical Report Summary – Fostung Tungsten Project Page 64 SRK Consulting (Canada) Inc. March 24, 2026 Figure 11-4: Swath Plots Comparing OK and NN Estimated WO3 Grades

GRAPHIC

CAPR004153 – United States Antimony Corporation SEC Technical Report Summary – Fostung Tungsten Project Page 65 SRK Consulting (Canada) Inc. March 24, 2026 11.8 Mineral Resource Classification SRK classified the block model quantities and grade estimates for the Fostung Project as Inferred. Under SEC regulations (specifically 17 CFR § 229.1300), an Inferred Mineral Resource is defined as “.. part of a mineral resource for which quantity and grade or quality are estimated on the basis of limited geological evidence and sampling. The level of geological uncertainty associated with an inferred mineral resource is too high to apply relevant technical and economic factors likely to influence the prospects of economic extraction in a manner useful for evaluation of economic viability. Because an inferred mineral resource has the lowest level of geological confidence of all mineral resources, which prevents the application of the modifying factors in a manner useful for evaluation of economic viability, an inferred mineral resource may not be considered when assessing the economic viability of a mining project, and may not be converted to a mineral reserve.” Mineral Resource classification is typically a subjective concept. Industry best practices suggest that resource classification should consider the confidence in the geological continuity of the mineralised structures, the quality and quantity of exploration data supporting the estimates, and the geostatistical confidence in the tonnage and grade estimates. Appropriate classification criteria should aim at integrating these concepts to delineate regular areas at similar resource classification. The block classification strategy considers drillhole spacing, presence of appropriate quality control practices, and geological confidence. In general, the criteria used to classify Fostung Project blocks was as follows: • Inferred: Estimated with an average distance to three holes of 85 m, corresponding to 60 m of nominal drillhole spacing. • Manual smoothing was performed to eliminate isolated blocks in the final estimation. All other blocks were left unclassified. The classification approach also considered inadequate information on historical drilling, sampling and quality control practices, unavailability of drill cores, reflecting insufficient sample security protocols. Consequently, no attempt was made to classify any estimated volume in Indicated or Measured classes. An overview of classified blocks are shown in Figure 11-5.

GRAPHIC

CAPR004153 – United States Antimony Corporation SEC Technical Report Summary – Fostung Tungsten Project Page 66 SRK Consulting (Canada) Inc. March 24, 2026 Figure 11-5: Longitudinal View of Classified Blocks 11.9 Uncertainty The Mineral Resource estimate for the Fostung Project is informed primarily by core holes, the majority of which were drilled between 1966 and 1986. Though the recent drilling by Transition Metals confirmed tungsten mineralisation in the project, the quality and location of sample data associated with pre-2021 holes remain doubtful. As with any project with legacy data and several exploration campaigns, the Fostung Project carries the following uncertainties: • All the collar positions cannot be independently verified on the ground and have not been surveyed via modern survey methods. Limited downhole survey data also influence the accuracy sample location. • No core is available, even from 2021 drilling, for validation, comparison, or review against logs. • During its validation, SRK found inconsistencies in assay records with respect to the certificates. For the drilling between 1966 and 1986, limited or no information is available on sample preparation and analytical QAQC practices. • Geological data collection was inconsistent between drilling campaigns. Due to the lack of availability of appropriate level of data, the current tungsten mineralisation model is only constrained by lithology. • Limited metallurgical recovery data and information. • Metal pricing was considered on the base case from Fastmarkets market study conducted for UAMY (2026). This pricing assumes an ammonium paratungstate (APT) price in MTU as proxy for 65% WO3 concentrate. The production of this type of product from the material at the Fostung Project has not been demonstrated. SRK considered a 75% payability to account uncertainty related concentrate grade and any smelter penalties.

GRAPHIC

CAPR004153 – United States Antimony Corporation SEC Technical Report Summary – Fostung Tungsten Project Page 67 SRK Consulting (Canada) Inc. March 24, 2026 All these uncertainties were considered into the Mineral Resource classification. In QP’s opinion, further exploration activities, as recommended in section 23, will help increasing confidence in the mineral resource estimate and so on the classification. 11.10 Multiple Commodity Resource Historically, the Fostung Project has been explored as a tungsten deposit with associated mineralisation of molybdenum, silver, and copper. Though SRK estimated the associated metals, only WO3 is included in the current Mineral Resource Statement as any economic contribution other metals is yet to be established. 11.11 Mineral Resource Statement SEC regulations (specifically 17 CFR § 229.1300) define a Mineral Resource as follows: “Mineral Resource is a concentration or occurrence of material of economic interest in or on the Earth's crust in such form, grade or quality, and quantity that there are reasonable prospects for economic extraction. A Mineral Resource is a reasonable estimate of mineralisation, taking into account relevant factors such as cut-off grade, likely mining dimensions, location or continuity, that, with the assumed and justifiable technical and economic conditions, is likely to, in whole or in part, become economically extractable. It is not merely an inventory of all mineralisation drilled or sampled.” The “reasonable prospects for economic extraction” requirement generally implies that the quantity and grade estimates meet certain economic thresholds and that the mineral resources are reported at an appropriate cut-off grade that takes into account extraction scenarios and processing recoveries. In order to meet this requirement, SRK considers that major portions of the Fostung deposit are amenable for open pit extraction. In order to determine the quantities of material offering “reasonable prospects for economic extraction” by an open pit, the QP used a pit optimizer and reasonable mining assumptions to evaluate the proportions of the block model (Inferred blocks) that could be “reasonably expected” to be mined from an open pit. The optimization parameters were selected based on experience and benchmarking against similar projects (Table 11-9). A market study was provided by Fastmarkets and is relied upon for WO3 price assumptions supporting assumptions regarding metal price. The reader is cautioned that the results from the pit optimization are used solely for the purpose of testing the “reasonable prospects for economic extraction” by an open pit and do not represent an attempt to estimate mineral reserves. There are no mineral reserves on the Fostung Project. The results are used as a guide to assist in the preparation of a Mineral Resource Statement and to select an appropriate Mineral Resource reporting cut-off grade. The Mineral Resources are reported at a cut-off grade of 0.08% WO3 (Table 11-9).

GRAPHIC

CAPR004153 – United States Antimony Corporation SEC Technical Report Summary – Fostung Tungsten Project Page 68 SRK Consulting (Canada) Inc. March 24, 2026 Table 11-9: Assumptions Considered for Conceptual Open Pit Optimization Parameter Unit Value WO3 price (APT) US$ per mtu 500 Payability percent 75 Exchange rate US$/C$ 1.35 Mining cost US$ per tonne mined 3 Sorting Cost US$ per tonne feed ore 5 Processing US$ per tonne sorted ore 20 General and administrative US$ per tonne of feed 5 Concentrate Transport Cost C$ per wet tonne of concentrate 135 Mining dilution percent 0 Mining loss percent 0 Overall pit slope degrees 50 WO3 process recovery percent 59 WO3 concentrate grade Percent WO3 65 Sorting Yield percent 33 In situ cut-off grade percent 0.08 The QP considers that the blocks located within the conceptual pit envelope show “reasonable prospects for economic extraction” and can be reported as a Mineral Resource. However, it is to be noted that the economic parameters considered that Fostung can produce industry standard 65% WO3 concentrate, which has not been demonstrated yet. Mineral resources are not mineral reserves and do not have demonstrated economic viability. There is no certainty that all or any part of the Mineral Resources will be converted into mineral reserves. The QP is unaware of any environmental, permitting, legal, title, taxation, socio-economic, marketing, and political or other relevant issues that may materially affect the Mineral Resources. The Mineral Resource Statement for the Fostung Tungsten Project is presented in Table 11-10. Table 11-10: Fostung Project Summary Mineral Resources, SRK Consulting (Canada) Inc., January 31, 2026 Category Quantity Grade Metal WO3 WO3 000’ Tonne % 000’ lb Measured - - - Indicated - - - Measured + Indicated - - - Inferred 14,707 0.17 54,005 Mineral Resources are reported within a conceptual pit shell. Mineral Resources are not mineral reserves and have not demonstrated economic viability. All figures are rounded to reflect the relative accuracy of the estimate. All composites have been capped where appropriate. Open pit Mineral Resources are reported at a cut-off grade of 0.08% WO3. Cut-off grades are based on a price of US$500 per metric tonne unit of WO3 with 75% payability and WO3 recoveries of 59% with 33% of sorting yield, without considering revenues from other metals.

GRAPHIC

CAPR004153 – United States Antimony Corporation SEC Technical Report Summary – Fostung Tungsten Project Page 69 SRK Consulting (Canada) Inc. March 24, 2026 The Mineral Resources of the Fostung Project are sensitive to the selection of the reporting cut-off grade. To illustrate this sensitivity, the block model quantities and grade estimates within the conceptual pit used to constrain the Mineral Resources are presented in Table 11-11 at different cut-off grades. The reader is cautioned that the figures presented in this table should not be misconstrued with a Mineral Resource Statement. The figures are only presented to show the sensitivity of the block model estimates to the selection of cut-off grade. Figure 11-6 represents this sensitivity as a grade tonnage curve. Table 11-11: Global Block Model Quantities and Grade Estimates*, Fostung Project at Various Cut-off Grades Cut-off Grade Quantity Grade Metal Content WO3 (%) 000 tonnes WO3 (%) 000 lb 0 15,847 0.16 55,615 0.05 15,667 0.16 55,489 0.07 15,276 0.16 54,956 0.09 14,707 0.17 54,005 0.1 12,934 0.18 50,462 0.12 10,763 0.19 45,210 0.15 7,536 0.21 35,632 0.17 5,630 0.23 28,940 0.2 3,559 0.26 20,529 0.25 1,575 0.31 10,777 * The reader is cautioned that the figures in this table should not be misconstrued with a Mineral Resource Statement. The figures are only presented to show the sensitivity of the block model estimates to the selection of a cut-off grade. Figure 11-6: Grade Tonnage Curve for the Fostung Project

GRAPHIC

CAPR004153 – United States Antimony Corporation SEC Technical Report Summary – Fostung Tungsten Project Page 70 SRK Consulting (Canada) Inc. March 24, 2026 12 Mineral Reserve Estimates No mineral reserves have been established for the Fostung Project given the current level of exploration and study.

GRAPHIC

CAPR004153 – United States Antimony Corporation SEC Technical Report Summary – Fostung Tungsten Project Page 71 SRK Consulting (Canada) Inc. March 24, 2026 13 Mining Methods As no mineral reserves have been established for this project given the current level of exploration and study, there is no detailed analysis of mining methodology contemplated. The definition of reasonable potential for economic extraction currently considers an open-pit mode of extraction with very generalized parameters.

GRAPHIC

CAPR004153 – United States Antimony Corporation SEC Technical Report Summary – Fostung Tungsten Project Page 72 SRK Consulting (Canada) Inc. March 24, 2026 14 Processing and Recovery Methods No mineral reserves have been established for the Fostung Project given the current level of exploration and study. As such, no detailed studies have been conducted relevant to processing or recovery methods.

GRAPHIC

CAPR004153 – United States Antimony Corporation SEC Technical Report Summary – Fostung Tungsten Project Page 73 SRK Consulting (Canada) Inc. March 24, 2026 15 Infrastructure No additional studies have been undertaken on potential project infrastructure.

GRAPHIC

CAPR004153 – United States Antimony Corporation SEC Technical Report Summary – Fostung Tungsten Project Page 74 SRK Consulting (Canada) Inc. March 24, 2026 16 Market Studies Fastmarkets was engaged as the independent provider of tungsten pricing assumptions and market intelligence for this study. A report titled “Tungsten Commentary (January 2026)”, prepared by Fastmarkets for UAMY provides the current and forward-looking pricing framework for APT, establishing a base case of US$450–US$500/mtu for use in cut-off grade determinations and pit optimization work as described in this report. The QP relied on this pricing guidance to inform the preparation of this S-K 1300 Technical Report Summary and to support market-based assumptions within the Mineral Resource evaluation. The content of this section has been excerpted in its entirety from the January 2026 Fastmarkets report, “Tungsten Commentary (January 2026)”. 16.1 Tungsten Market Overview Tungsten was first isolated in 1783 by Spanish chemists and mineralogists Juan José and Fausto Elhuyar. However, it wasn’t until 1855–1857 that Austrian engineer Robert Oxland patented a process for producing tungsten steel. Oxland’s innovation paved the way for the first industrialized applications. In the early 1920s, the German electrical bulb manufacturer Osram developed tungsten carbide by heating tungsten (also known as “wolfram”), carbon, and hydrogen at 1,400–1,600°C. The result was the second-hardest material on Earth after diamond. Initially used as a filament in light bulbs, German engineers soon exploited tungsten’s remarkable resistance to heat and wear for military purposes, producing artillery shells and armour plating for the famous Panzer tanks. This metallurgical advantage was one of the contributing factors to German military superiority in the early years of the Second World War. Since then, defense and later the automotive industry became major consumers of tungsten with price spikes during big conflicts like the Korean War. To understand today’s tungsten market, it is necessary to revisit 2011. The Fanya Metal Exchange (2011–2015) disrupted global pricing by positioning itself as a financial platform for speculative retail investors in China. The exchange accumulated massive stocks of minor metals, including tungsten. Its collapse was inevitable once it was revealed to be a Ponzi scheme. When Chinese authorities and lenders took control of Fanya’s inventory, they began liquidating stockpiles into the market, causing years of oversupply in several niche metals, tungsten among them. Since that episode, tungsten prices stabilized in the $200–300/mtu APT range until 2025. China represents approximately 82% of the global mine supply, producing 67kt out of 81kt (Figure 16-1). Outside China, supply remains limited and faces significant challenges. Western projects often fail to achieve consistent production or profitability. Recycling contributes around 20kt annually, helping to alleviate supply pressures. Nevertheless, the Western tungsten industry has been severely weakened by decades of low prices and dominant Chinese control. Chinese supply is dominated by China Minmetals, Xiamen Tungsten, and CMOC, most of which are state-owned enterprises (SOEs) that adhere to mining quotas set by the central government. Production is concentrated in Jiangxi, Hunan, and Henan provinces. At $300/mtu price levels, new projects were not economically viable, and even established operations were struggling to remain operational. Outside China, only a few mines continue to operate, with Nui Phao in Vietnam being a notable example.

GRAPHIC

CAPR004153 – United States Antimony Corporation SEC Technical Report Summary – Fostung Tungsten Project Page 75 SRK Consulting (Canada) Inc. March 24, 2026 Figure 16-1: Tungsten Production and Reserves Source: United States Geological Survey 16.1.1 Tungsten End Use Tungsten’s exceptional characteristics—including extreme hardness, density, and a melting point exceeding 3000ºC—make it difficult to replace. Notable niche uses include tungsten hexafluoride (WF₆) gas for semiconductor manufacturing and pure tungsten in hypersonic weapons and M1 Abrams tank armour. • Tungsten Carbides (65%): Used in drilling, construction, automotive, and metalworking tools. • Steel and Superalloys (14%): Ferro tungsten serves as a key additive in superalloys, used in jet engines and power generation. • Tungsten Metal Products (12%): Applied in electrical contacts, welding electrodes, ammunition, and pure sheets designed for high-temperature applications. • Chemicals and Others (9%): Mainly used as catalysts. Figure 16-2: Tungsten Deman by End-Use Source: International Tungsten Industry Association (ITIA)

GRAPHIC

CAPR004153 – United States Antimony Corporation SEC Technical Report Summary – Fostung Tungsten Project Page 76 SRK Consulting (Canada) Inc. March 24, 2026 16.1.2 Recent Market Trends Despite broader commodity rallies, tungsten prices have experienced only modest increases. This is largely due to persistent oversupply from China and weak project economics in Western markets, which have hindered significant price recovery. Demand primarily comes from downstream sectors such as construction, metalworking, mining, and oil and gas drilling through tungsten carbides. Although military applications are often highlighted, they account for only about 10% of demand, and the use of molybdenum as a substitute has lessened tungsten's critical role in defense. The market experienced a significant shift in late 2024 when traders began speculating that China was preparing to impose export restrictions on tungsten products, similar to previous measures on other critical metals like antimony. This speculation pushed prices sharply from $300–$350/mtu. In February 2025, China confirmed the restrictions, causing a global shortage by tightening export controls on tungsten, molybdenum, tellurium, bismuth, and indium, requiring export licenses and increasing bureaucratic hurdles. Officially described as efforts for resource conservation and industrial upgrading, this policy change coincided with escalating U.S.–China geopolitical tensions. The controls disrupted the market immediately, creating severe procurement difficulties for major importers including the U.S., EU, Japan, and South Korea. The disruption led to rationed inventories and significant upheaval in the global supply chain. In July 2024, the U.S. Department of Defense (DoD) granted US$6.2 million under Title III of the Defense Production Act (DPA) to Guardian Metal Resources for a pre-feasibility study on a domestic tungsten mining initiative. Additionally, Canada’s Fireweed Metals received $15.8 million from the DoD to advance the feasibility of its Mactung project, while the Sangdong mine in South Korea, operated by Almonty Industries, is being reopened under U.S. offtake agreements that include strategic floor pricing. Increased domestic demand and delays in Chinese export license approvals have significantly reduced exports since April, tightening supplies in international markets and driving price increases Boosting production outside China appears challenging. The only short-term new supply is from the Sangdong mine in South Korea, which recently started mining and plans to increase output throughout the year. Its nameplate capacity is 2,300 tons, with plans to eventually double production after 2027. EQ Reources is restarting the Mt. Carbide mine in Australia, adding an extra 2,000 tons this year to the 2,000 tons produced at Saloro in Spain. In the longer term, the Tyrnyauz project in Russia is expected to supply over 4,000 tons, but production is not anticipated until 2028. 16.2 Tungsten Price Outlook Predicting exact prices is difficult given the complex and volatile market environment. As a result, Fastmarkets has taken a conservative stance in its asset valuation, using a range of realistic assumptions for tungsten prices. 16.2.1 Key Considerations • Ammonium Paratungstate (APT) remains the main traded product, accounting for about 85% WO3. There is no significant market for concentrates, complicating offtake agreements. Traditionally, miners receive around 75% of APT value for their concentrates. • A grade of 0.25% WO3 yields roughly $40/t NSR at $300/mtu, assuming 75% metallurgical recovery and 75% payability. Tungsten ores (wolframite and scheelite) are brittle, which

GRAPHIC

CAPR004153 – United States Antimony Corporation SEC Technical Report Summary – Fostung Tungsten Project Page 77 SRK Consulting (Canada) Inc. March 24, 2026 results in higher ore losses, lower recoveries, and poor project economics. Prices must increase significantly to make projects viable. • Current prices close to $1,000 (Figure 16-3) are unsustainable, as even Western producers are earning windfall profits. Cost curves show that the 90th percentile all-in sustaining cost (AISC) is around $700/mtu, meaning producers are generally enjoying strong returns and some producers are gaining windfall profits as most production sits between $300 and $400/mtu. Fastmarkets expects supply to respond by 2027, as Chinese production replaces lost capacity and Western sources such as Mt. Carbide and Sangdong come online. • Fastmarkets contacts in the market report that buyers and traders consistently mention a severe shortage of material. The market is extremely tight, with China expanding downstream capacity in tool manufacturing and other segments like semiconductors, while Western governments boost defense budgets, creating price-insensitive demand. 16.2.2 Recommended Price For these reasons, Fastmarkets anticipates Western APT prices will remain elevated, above $900– $1,000/mtu, throughout this year, followed by a gradual decline as supply ramps up from Mt. Carbide, Sangdong, some Chinese production, and eventually Russia around 2028. Fastmaket base case expects prices to stabilize around $450–$500/mtu. This scenario balances the structural constraints of Western mines with China’s strategic market control and assumes a slight easing of Chinese restrictions, some internal supply discipline, and moderate global demand growth. The lack of successful Western projects suggests that supply outside China is unlikely to grow significantly, limiting the potential for prices to fall below $400/mtu. Figure 16-3: Ammonium Paratungstate (APT) Pricing Source: Fastmarkets 16.3 Contracts and Status Given the status, as in an exploration stage, of the Fostung Project, there are no contracts in place at this moment.

GRAPHIC

CAPR004153 – United States Antimony Corporation SEC Technical Report Summary – Fostung Tungsten Project Page 78 SRK Consulting (Canada) Inc. March 24, 2026 17 Environmental Studies, Permitting, and Plans, Negotiations, or Agreements with Local Individuals or Groups No studies have been done with respect to these items at this time given the early stage of exploration, historical nature of the data, and current level of study.

GRAPHIC

CAPR004153 – United States Antimony Corporation SEC Technical Report Summary – Fostung Tungsten Project Page 79 SRK Consulting (Canada) Inc. March 24, 2026 18 Capital and Operating Costs No mineral reserves have been established for the Fostung Project given the current level of exploration and study. As such, no capital and operating costs have been studied or assumed for this report.

GRAPHIC

CAPR004153 – United States Antimony Corporation SEC Technical Report Summary – Fostung Tungsten Project Page 80 SRK Consulting (Canada) Inc. March 24, 2026 19 Economic Analysis No mineral reserves have been established for the Fostung Project given the current level of exploration and study. As such, no economic analysis has been conducted or assumed for this report beyond the conceptual definition of RPEEE for the resource disclosure.

GRAPHIC

CAPR004153 – United States Antimony Corporation SEC Technical Report Summary – Fostung Tungsten Project Page 81 SRK Consulting (Canada) Inc. March 24, 2026 20 Adjacent Properties There are no properties adjacent to the Fostung Project as illustrated in a regional compilation map of exploration properties (Figure 20-1). Figure 20-1: Adjacent Properties Source: MNDM 2025

GRAPHIC

CAPR004153 – United States Antimony Corporation SEC Technical Report Summary – Fostung Tungsten Project Page 82 SRK Consulting (Canada) Inc. March 24, 2026 21 Other Relevant Data and Information There are currently no identified other relevant data or information available that will impact the Fostung Project.

GRAPHIC

CAPR004153 – United States Antimony Corporation SEC Technical Report Summary – Fostung Tungsten Project Page 83 SRK Consulting (Canada) Inc. March 24, 2026 22 Interpretation and Conclusions Historical exploration activity completed on the Fostung Project dates to early prospecting completed before 1966. Exploration activities by formal operators of the Project occurred by various companies between 1966 and 2024. These activities included prospecting, geological mapping, geophysical surveys, core drilling and trenching. A total of 50 core holes (10,295 m) have been drilled on the Fostung Project between 1966 and 2021, including six holes (1,110 m) performed by Transition Metals. In the opinion of the QP, Transition Metals personnel used care in the collection and management of the assay data. After acquisition, UAMY has not undertaken any exploration activity in the Fostung Project. The quality of the analytical data for scheelite, molybdenum, copper and silver are sufficiently reliable to support Mineral Resource estimation. SRK constructed the geological solids using a threshold of 0.08% WO3. SRK constructed a block model using a conventional geostatistical block modeling approach constrained by the domains. The block model was populated with WO3, molybdenum, copper and silver values estimated by ordinary kriging information from capped composited data and estimation parameters derived from variography. After verification and validation, block estimates were classified considering the drillhole spacing, geologic confidence and continuity of category. The QP considers that there are no Indicated or Measured blocks. All blocks estimated within 85 m from two core holes were classified as Inferred. SRK estimated the associated molybdenum, copper and silver but did not report in the Mineral Resources due to immaterially low grade. 22.1 Opportunity The 2011 VTEM geophysical survey demonstrated that some of the TMI anomalies are aligned with tungsten mineralisation in the property. The TMI anomaly continues further south-west and should be tested by trenching and drilling. 22.2 Project Risks • The QP considers that caution be used for historical data collected prior to 2021 due to the limited quality control data available. The performance of control samples analyzed by ALS is considered acceptable despite some identified difficulties. Blanks typically returned values below ten times the detection limit, and the standards performed reasonably well, with assay results generally within three times the standard deviation of the certified or expected value. Most errors were attributed to quality control-related insertion errors, primarily due to the swapping of blanks and CRMs. • There remains a material risk associated with the sample location. All the collar positions cannot be independently verified on the ground and have not been surveyed via modern survey methods. Limited downhole survey data also influence the accuracy sample location. • The expected plant recovery has been provided for this Mineral Resource update, is based on project references and testing done on other lower grade scheelite samples. The preliminary work completed by Union Carbide in 1981 did not achieve saleable grade WO3 concentrate; however, Sulpetro assumed it could be achieved based on their scheelite

GRAPHIC

CAPR004153 – United States Antimony Corporation SEC Technical Report Summary – Fostung Tungsten Project Page 84 SRK Consulting (Canada) Inc. March 24, 2026 processing experience. At present, the assumed constant 59% WO3 overall recovery following sorter upgrading is not well supported by Fostung sample testwork. • Pricing for tungsten related products is highly variable and can be strongly dependent on market conditions as well as the type of product contemplated. Recent metal price fluctuations, as noted in Section 15, demonstrates potential risk to Mineral Resource. Metal pricing was considered on the base case from Fastmarkets market study conducted for UAMY (2026). This pricing assumes an APT price in MTU as proxy for 65% WO3 concentrate. The production of this type of product from the material at the Fostung Project has not been demonstrated.

GRAPHIC

CAPR004153 – United States Antimony Corporation SEC Technical Report Summary – Fostung Tungsten Project Page 85 SRK Consulting (Canada) Inc. March 24, 2026 23 Recommendations To advance the Fostung Project to a preliminary economic assessment-level of study or scoping study, SRK estimates additional technical work is required, including trenching, surface mapping, additional drilling and metallurgical test work. Further, the geological setting, character of the polymetallic mineralisation and the exploration results to date are of sufficient merit to justify continued exploration and technical study expenditures to delineate additional mineral resources. 23.1 Drilling The Fostung Project requires in-fill drilling to address issues identified by the QP in this report. Additional drilling, accompanied by industry best-practice guidelines related to drilling, sampling and analysis will improve confidence in Mineral Resource estimates and classification. Additional drilling would also provide geological information to improve the interpretation and modelling of mineralisation. This drilling program should attempt to twin some of the historical holes to increase confidence in the data generated during 1966 to 1986. In QPs opinion, the additional in-fill drilling will generate data to support conversion of the Inferred into higher class of Mineral Resources. The 2011 VTEM geophysical survey demonstrated that some of the TMI anomalies are aligned with tungsten mineralisation in the property. The TMI anomaly continues further south-west and need to be tested by trenching and drilling. A proposed exploration drilling program includes the following: • Conduct trenching and systematic mapping and sampling. • Conduct infill, definition, and step-out drilling to expand the current Mineral Resource. • SRK recommends twinning at least 25% of the historical drillholes (approximately 2,500 m) covering the entire deposit. • Carry out additional in-fill drilling of 3,000 m. • Continue regional exploration, including trenching/pitting and core drilling, to test geophysical anomalies along strike of the Fostung Project mineralisation. SRK estimates approximately 3,000 m of drilling to test geophysical anomalies. • Collect basic geotechnical information, including RQD, necessary for future pit slope designs. • Implement best practice guidelines, as suggested by International Codes, in all aspects of drilling/exploration data generation. 23.2 Sampling and Analysis The insertion of duplicate (field, coarse and pulp) and umpired samples were not part of the analytical quality control program for the 2021 drill campaign. The QP recommends the inclusion of these quality control measures in future analytical quality control programs as they assess the accuracy and reproducibility of the primary laboratory. Additionally, the sequencing of quality control material insertion should be reviewed to ensure blank samples are inserted immediately following mineralised samples and to ensure CRM samples are inserted randomly. Increasing the insertion of all quality control reference samples to a minimum of 5% is recommended.

GRAPHIC

CAPR004153 – United States Antimony Corporation SEC Technical Report Summary – Fostung Tungsten Project Page 86 SRK Consulting (Canada) Inc. March 24, 2026 The lack of effective security of retained core for Transition Metals’ 2021 drilling program resulted in the loss of valuable data. It is strongly suggested that future core storage security be improved to include a secure, covered structure on privately accessed property. 23.3 Metallurgical Testwork While an estimate of expected plant recovery has been provided for this mineral resource update, it is based on project references and testing done on other lower-grade scheelite samples. The preliminary work completed by Union Carbide in 1981 did not achieve saleable grade WO3 concentrate, however, Sulpetro assumed it could be achieved based on their scheelite processing experience. In the Processing QP’s opinion, additional testwork is necessary to support the recovery assumption used in this mineral resource update. This includes: • Additional sensor sorting evaluation on a number of other samples to confirm the single Steinert test result; this includes better representation of the particle size suitable for sorting and estimation fine fraction that would bypass particle sorters (e.g. -12 mm). • Comminution testing to estimate power requirements for crushing and grinding. • Flotation testing to determine optimal grind size, slimes losses and expected flotation concentrate recovery and grades. • Minor element analysis of flotation concentrate to identify any impurities at penalty levels. • Gravity recovery testing using centrifugal concentrators and/or shaking tables to determine optimal grind size and expected gravity concentrate recovery and grades. At present, the assumed constant 59% WO3 overall recovery following sorter upgrading is not well supported by Fostung sample testwork. It is strongly recommended that this assumption be reviewed and improved upon following the results of additional metallurgical testwork. 23.4 Recommended Work Program Costs The total cost of the work program is estimated at US$4,000,000. Table 23-1 summarises the costs for recommended work programs.

GRAPHIC

CAPR004153 – United States Antimony Corporation SEC Technical Report Summary – Fostung Tungsten Project Page 87 SRK Consulting (Canada) Inc. March 24, 2026 Table 23-1: Summary of Costs for Recommended Work Discipline Program Description Cost (US$) Ownership and Legal 200,000 In-fill and Step-out Drilling Around 8,000 m of drilling, sampling and sample analysis 2,500,000 Mineral Resource Model Update Updating Mineral Resource model based on new drilling data 100,000 Geotechnical Studies 150,000 Geohydrological Studies 150,000 Metallurgical Testwork Variability testing on a range of sample grades/domains investigating XRT sorting, gravity and flotation recovery to a saleable WO3 product 100,000 Environmental Studies, Permitting, and Plans 100,000 Miscellaneous 200,000 Preliminary Economic Assessment 500,000 Total 4,000,000 The QPs are unaware of any other significant factors and risks that may affect access, title, or the right or ability to perform the exploration work recommended for the Fostung Project.

GRAPHIC

CAPR004153 – United States Antimony Corporation SEC Technical Report Summary – Fostung Tungsten Project Page 88 SRK Consulting (Canada) Inc. March 24, 2026 24 References AGP Mining, (2018), NI 43-101 Resource Update for the RC and BN Zones and Maiden Resource Estimate for the BK Zone of the Fox Tungsten Project British Columbia, Prepared for Happy Creek Minerals Ltd., 9 April 2018. Card, K.D., (1976), Geology of the Espanola-Whitefish Fall area, Geosci. Report 131, Ontario Div. Mines. Card, K.D., (1978), Metamorphism of the Middle Precambrian (Aphebian) rocks of the Eastern Sudbury Province: in, Metamorphism in the Canadian Shield, Geol. Surv. Canada, Paper 78-10, pp. 269-282. Card, K.D., and Pattison, E.F., (1973), Nipissing Diabase of the Southern Province, Ontario, in Young, G.M., ed, Huronian Stratigraphy and Sedimentation, Geological Association of Canada, Special Paper No. 12, pp. 7-30. Card, K.D., Innes, D.C., and Debicki, R.L., (1977), Stratigraphy, Sedimentology, and Petrology of the Huronian Supergroup – Sudbury-Espanola: Ontario Div. Mines, Geosci. Study 16, 99p. Davidson, A., and van Breemen, O., (1988), Baddeleyite-zircon relationships in coronitic metagabbro, Grenville Province, Ontario: implications for geochronology: in, Contr. Miner. and Petro., vol.100, no.3, pp.291-299. Dickin, A.P., (2004), Mesoproterozoic and Paleoproterozoic crustal growth in the eastern Grenville Province: ND isotope evidence from the Long Range inlier of the Appalachian orogen: in, Tollo, R.P., Corriveau, L., McLelland, J.M., Bartholomew, J.M., eds., Proterozoic Tectonic Evolution of the Grenville Orogen in North America: Geol. Soc.Amer. Memoir 197, pp. 495-504. Ginn, R.M., and Beecham, A.W., (1986), The Fostung scheelite deposit, Espanola, Ontario: Can. Geol. Jour. CIM, vol.1 , no. 1, pp.46-54 [Supplants identical 1984 delivered paper]. Green, C.J., Lederer, G.W., Parks, H.L., and Zientek, M. (2020), The Grade and Tonnage Model for Tungsten Skarn Deposits – 2020 Update, United States Geological Survey. Olynyk, E.S., (1982), A scheelite-bearing tungsten skarn in the Espanola Formation of the Huronian Supergroup: unpub. B.Sc. thesis, Univ. of Western Ontario, 66 p. Rao G.M., (1994), Beneficiation of Very Lean Grade Tungsten Ores - A Challenge to R&D Scientists, Pre-print 94-8, SME Annual Meeting Albuquerque, New Mexico, February 14-17, 1994 Scratch, R., (1982), Review of Breccia Hill, Fostung Property, Project 3115, Espanola, Ontario: private internal report prepared for Sulpetro Minerals, Ltd, 11 p. Sinclair, W.D., and Theriault, R.J., (1989), A Rb-Sr study of granitic rocks associated with the Fostung scheelite deposit, Espanola, Ontario: Geol. Surv. Canada, unpub. paper, 14 p.

GRAPHIC

CAPR004153 – United States Antimony Corporation SEC Technical Report Summary – Fostung Tungsten Project Page 89 SRK Consulting (Canada) Inc. March 24, 2026 SRK Consulting (US), Inc. (2007). NI 43-101 Technical Report on Resources: Golden Predator Mines, Inc. Fostung Project, Foster Township, Ontario, Canada. Prepared for Golden Predator Mines, Inc. by Bart Stryhas, Ph.D., C.P.G., and Syver W. More, R.G., C.P.G. Effective Date: November 30, 2007. Report Date: November 30, 2007. SRK Project Number: 171806 Steinert, (2021), KSS Test Work Report Fostung – Tungsten Ore, TRE-16939-KSS-963, 30 April 2021. Taylor, R., (1981), Mining Study for Preliminary Valuation, Fostung Tungsten Project, Ontario Canada: private internal report prepared for Union Carbide Corporation, 37 p. Wheeler A., (2013), Technical Report on the Mineral Resources and Reserves of the Los Santos Mine Project, Prepared for Daytal Resources Spain S.L., 31 October 2013.

GRAPHIC

CAPR004153 – United States Antimony Corporation SEC Technical Report Summary – Fostung Tungsten Project Page 90 SRK Consulting (Canada) Inc. March 24, 2026 25 Reliance on Information Provided by the Registrant The authors, as Qualified Persons, have examined the historical data for the Fostung Project provided by UAMY and previous owners, and has relied upon that basic data to support the statements and opinions presented in this Technical Report. In the opinion of the author, the project information, which was derived independently by several owners and operators of the time, is generally correlative, credible, and verifiable in the field, and is a reasonable representation of the Fostung Project as of the effective date of this report. Sufficient information is available to prepare this report and support the declaration of Inferred mineral resource, and any statements in this report related to deficiency of information are addressed through the resource classification and disclosed as risks. SRK has relied upon the work of others in selected areas of this report. SRK relied upon the Ontario Mining Lands Administration System (MLAS) for Mineral Title and Claim. MLAS provides active list of active mining claims and current claim holders. In addition, SRK has relied upon a market study provided by Fastmarkets to support pricing for cut-off grade assumptions and pit optimization scenarios, reproduced in its entirety in Section 15 of this report. Fastmarkets has expertise in market assessment and pricing guidance, with a demonstrated history and suitable credentials for taking responsibility for this content. The authors and SRK Consulting (Canada), Inc. are not insiders, associates, or affiliates of USAC or UAMY. The results of this Technical Report Summary are not dependent upon any prior agreements concerning the conclusions to be reached, nor are there any undisclosed understandings concerning any future business dealings between UAMY and SRK Consulting (Canada), Inc. This section summarizes the information provided by the registrant, identifies the particular portions of the technical report summary that were prepared in reliance on information provided by the registrant (and the extent of that reliance) pursuant to Subpart 1302 (f)(1), and discloses why the QP considers it reasonable to rely upon the registrant for any of the information specified in Subpart 1302 (f)(1).