¨ | Preliminary Proxy Statement | |||||||||||||
¨ | Confidential, for Use of the Commission Only (as permitted by Rule 14a-6(e)(2)) | |||||||||||||
¨ | Definitive Proxy Statement | |||||||||||||
ý | Definitive Additional Materials | |||||||||||||
¨ | Soliciting Material under Rule 14a-12 | |||||||||||||
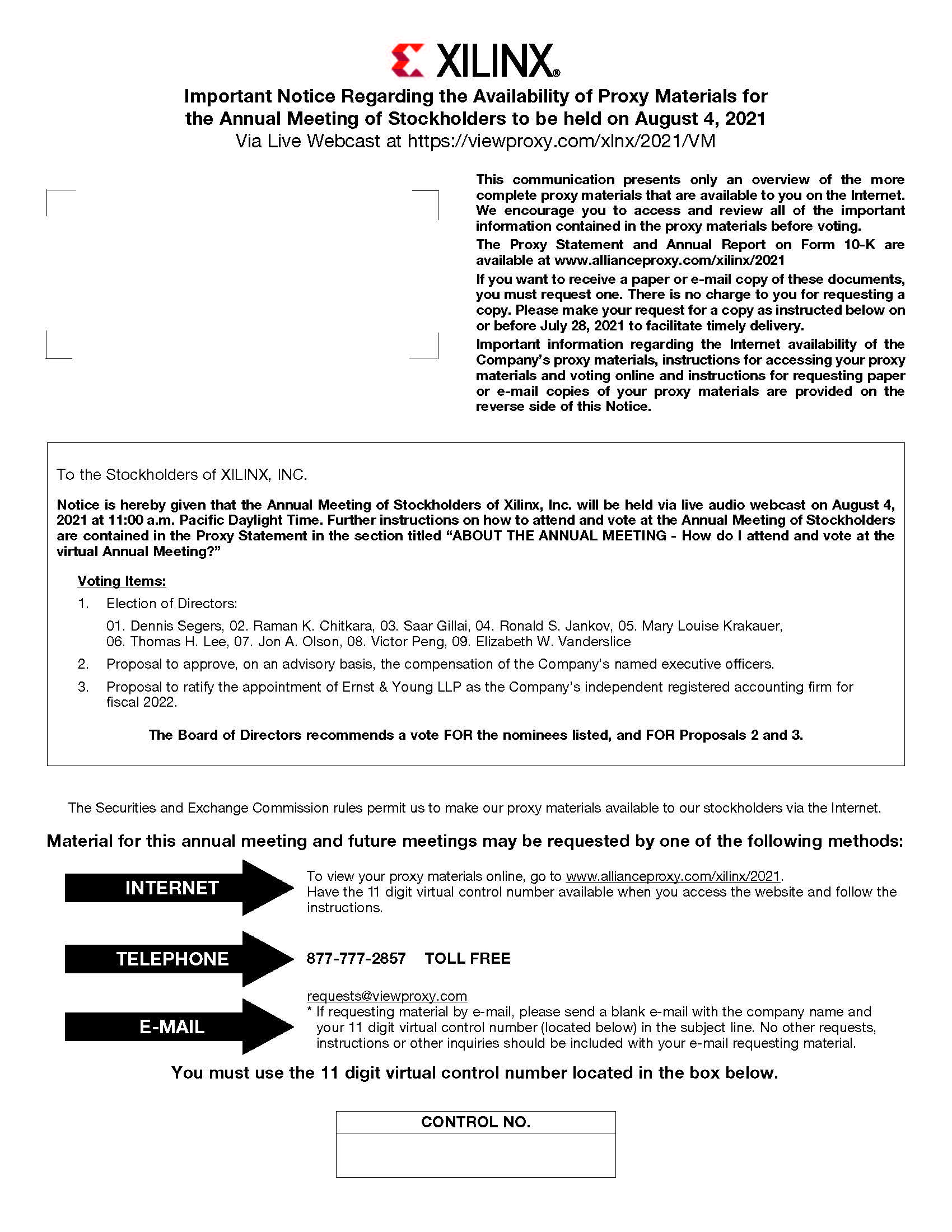
Xilinx, Inc. | ||||||||||||||
(Name of Registrant as Specified in Its Charter) | ||||||||||||||
(Name of Person(s) Filing Proxy Statement, if other than the Registrant) | ||||||||||||||
Payment of Filing Fee (Check the appropriate box): | ||||||||||||||
ý | No fee required | |||||||||||||
¨ | Fee computed on table below per Exchange Act Rules 14a-6(i)(1) and 0-11 | |||||||||||||
| (1) | Title of each class of securities to which transaction applies: | |||||||||||||
| (2) | Aggregate number of securities to which transaction applies: | |||||||||||||
| (3) | Per unit price or other underlying value of transaction computed pursuant to Exchange Act Rule 0-11 (set forth the amount on which the filing fee is calculated and state how it was determined): | |||||||||||||
| (4) | Proposed maximum aggregate value of transaction: | |||||||||||||
| (5) | Total fee paid: | |||||||||||||
¨ | Fee paid previously with preliminary materials. | |||||||||||||
¨ | Check box if any part of the fee is offset as provided by Exchange Act Rule 0-11(a)(2) and identify the filing for which the offsetting fee was paid previously. Identify the previous filing by registration statement number, or the Form or Schedule and the date of its filing. | |||||||||||||
| (1) | Amount Previously Paid: | |||||||||||||
| (2) | Form, Schedule or Registration Statement No.: | |||||||||||||
| (3) | Filing Party: | |||||||||||||
| (4) | Date Filed: | |||||||||||||

