Please wait
0000746515falseDEF 14A0000746515expd:JeffreySMusserMember2021-01-012021-12-310000746515expd:JeffreySMusserMemberecd:FrValAsOfPrrYrEndOfEqtyAwrdsGrntdInPrrYrsFldVstngCondsDrngCvrdYrMemberecd:PeoMember2025-01-012025-12-3100007465152023-01-012023-12-310000746515ecd:ChngInFrValOfOutsdngAndUnvstdEqtyAwrdsGrntdInPrrYrsMemberecd:PeoMemberexpd:DanielRWallMember2025-01-012025-12-310000746515ecd:EqtyAwrdsInSummryCompstnTblForAplblYrMemberecd:PeoMemberexpd:DanielRWallMember2025-01-012025-12-310000746515expd:DanielRWallMember2025-01-012025-12-310000746515expd:JeffreySMusserMemberecd:VstngDtFrValOfEqtyAwrdsGrntdAndVstdInCvrdYrMemberecd:PeoMember2025-01-012025-12-31000074651512025-01-012025-12-31000074651532025-01-012025-12-3100007465152025-01-012025-03-310000746515ecd:FrValAsOfPrrYrEndOfEqtyAwrdsGrntdInPrrYrsFldVstngCondsDrngCvrdYrMemberecd:PeoMemberexpd:DanielRWallMember2025-01-012025-12-3100007465152021-01-012021-12-310000746515ecd:VstngDtFrValOfEqtyAwrdsGrntdAndVstdInCvrdYrMemberecd:PeoMemberexpd:DanielRWallMember2025-01-012025-12-310000746515ecd:NonPeoNeoMemberecd:FrValAsOfPrrYrEndOfEqtyAwrdsGrntdInPrrYrsFldVstngCondsDrngCvrdYrMember2025-01-012025-12-310000746515expd:JeffreySMusserMember2024-01-012024-12-310000746515ecd:NonPeoNeoMemberecd:YrEndFrValOfEqtyAwrdsGrntdInCvrdYrOutsdngAndUnvstdMember2025-01-012025-12-3100007465152025-04-012025-12-310000746515expd:JeffreySMusserMember2023-01-012023-12-310000746515ecd:NonPeoNeoMemberecd:EqtyAwrdsInSummryCompstnTblForAplblYrMember2025-01-012025-12-3100007465152022-01-012022-12-310000746515expd:JeffreySMusserMemberecd:EqtyAwrdsInSummryCompstnTblForAplblYrMemberecd:PeoMember2025-01-012025-12-31000074651522025-01-012025-12-310000746515expd:JeffreySMusserMember2022-01-012022-12-310000746515expd:JeffreySMusserMemberecd:YrEndFrValOfEqtyAwrdsGrntdInCvrdYrOutsdngAndUnvstdMemberecd:PeoMember2025-01-012025-12-310000746515expd:JeffreySMusserMemberecd:ChngInFrValOfOutsdngAndUnvstdEqtyAwrdsGrntdInPrrYrsMemberecd:PeoMember2025-01-012025-12-310000746515expd:JeffreySMusserMember2025-01-012025-12-310000746515ecd:YrEndFrValOfEqtyAwrdsGrntdInCvrdYrOutsdngAndUnvstdMemberecd:PeoMemberexpd:DanielRWallMember2025-01-012025-12-3100007465152024-01-012024-12-3100007465152025-01-012025-12-310000746515ecd:NonPeoNeoMemberecd:VstngDtFrValOfEqtyAwrdsGrntdAndVstdInCvrdYrMember2025-01-012025-12-310000746515ecd:NonPeoNeoMemberecd:ChngInFrValOfOutsdngAndUnvstdEqtyAwrdsGrntdInPrrYrsMember2025-01-012025-12-31iso4217:USD
UNITED STATES
SECURITIES AND EXCHANGE COMMISSION
Washington, D.C. 20549
SCHEDULE 14A
Proxy Statement Pursuant to Section 14(a) of the Securities
Exchange Act of 1934 (Amendment No.)
Filed by the Registrant ☒
Filed by a Party other than the Registrant ☐
Check the appropriate box:
☐ Preliminary Proxy Statement
☐ Confidential, for Use of the Commission only (as permitted by Rule 14a-6(e)(2))
☒ Definitive Proxy Statement
☐ Definitive Additional Materials
☐ Soliciting Material Pursuant to § 240.14a-12
Expeditors International of Washington, Inc.
(Name of Registrant as Specified In Its Charter)
(Name of Person(s) Filing Proxy Statement if other than the Registrant)
Payment of Filing Fee (Check all boxes that apply):
☒ No fee required.
☐ Fee paid previously with preliminary materials.
☐ Fee computed on table in exhibit required by Item 25(b) per Exchange Act Rules 14a-6(i)(1) and 0-11
Expeditors® 2019 Notice of Annual Meeting & Proxy Statement EXPEDITORS INTERNATIONAL OF WASHINGTON, INC. CORPORATE HEADQUARTERS SEATTLE, WA
EXPEDITORS NOTICE OF ANNUAL MEETING & PROXY STATEMENT 202
Resolve Our People Expeditors International of Washington Inc. Corporate Headquarters Seattle, WA

March 24, 2026
To Our Shareholders
The events of 2025 – whether it was the jolt of Liberation Day, widespread geopolitical tensions, or shapeshifting tariff diplomacy – spurred us to new heights of performance. It was a year in which external forces pushed our customs business to the center of our operational axis. We dedicated thousands of hours to webinars and conference calls to keep our customers, potential customers, and colleagues up to date on the rapid changes in trade compliance. A typical ten-minute customs declaration required many additional hours of extra work due to increased complexity. We were glad to make the extra effort because it made us more focused, more efficient, and ultimately better.
The year 2025 was one in which we realigned departments for greater efficiency and productivity to advance our pursuit of operational excellence and growth. It marked the start of a renewed focus on growth across every part of our organization and in all parts of our business.
During such an exceptionally demanding year, we successfully transitioned numerous seasoned professionals into senior leadership roles, including the appointments of Dan Wall as CEO and Dave Hackett as CFO, as part of our ongoing commitment to refreshment and continuity.
Certainly, our success over 45+ years comes in large part from our knowledge and our partnerships, as well as our use of technology to further enhance our efficiencies. But it is our people and our unique customer-driven culture – unmatched throughout the logistics industry – that truly sets us apart. We have often said, Expeditors performs best when conditions are at their most challenging. Certainly, 2025 proved that saying true – nothing can match the strength we draw from our people and our culture.
Enhancing Growth: Intelligent Solutions for Our Knowledge-Based Business
We do not believe 2025 was an anomaly. We expect the changes in our industry to be constant and unforgiving for those unable to adapt. Despite our strong performance over the past year, we must continue to explore new avenues for growth because ours is a knowledge-based business that rewards innovation, efficiency, and expertise. We expect our industry to remain fast-paced and unpredictable. Global trade pressures are likely to continue, supply chains will further diversify, lanes will shift, and moving freight across time zones and borders will not become any less complex. We believe these are conditions when our asset-light business model and our associates perform our best, and we look forward to further upping our game to meet those challenges head-on.
We ask for your vote:
We ask you to vote FOR the Board’s nine Director nominees and the two proposals put forth by our Board of Directors.
In particular, we ask that you carefully consider your vote on our Named Executive Officer Compensation, which received 89.8% support in 2025. We strongly believe that our unique compensation structure, the basics of which our founders carefully designed more than 40 years ago, ties compensation directly to profitability and is fundamental to our culture and a core competitive advantage. While the program is crafted to incentivize increased profitability, it is also specifically structured so that program participants bear the brunt of the impact if profits turn down. By design, we believe that our senior executives should have the most to lose from underperformance.
The essence of our executive compensation program dictates that base salaries are kept well below market levels (generally $100,000 or below), with incentives paid at a fixed percentage of U.S. GAAP operating income. This directly links changes in operating income to incentives paid, as incentive pool payouts rise and fall with operating income. Our compensation program remains a highly strategic driver of our growth. While we believe the program disincentivizes reckless, unnecessary, or wasteful spending, it also instills a critical sense of ownership among participants and remains a competitive advantage.
Keeping in mind the need to weigh annual compensation with long-term equity, we have continued to shift the balance towards granting equity awards to senior executives, with an increased emphasis on grants tied to financial performance. We believe this further aligns our compensation program with the interests of all shareholders.
On behalf of the entire Board of Directors, we thank our employees, customers, service providers, communities, and you, our shareholders, for your continued support and your investment in our business. We recognize that you have many choices of where to invest, and we are grateful that you chose Expeditors.
Sincerely,
/s/ Robert P. Carlile
Robert P. Carlile
Chair of the Board of Directors
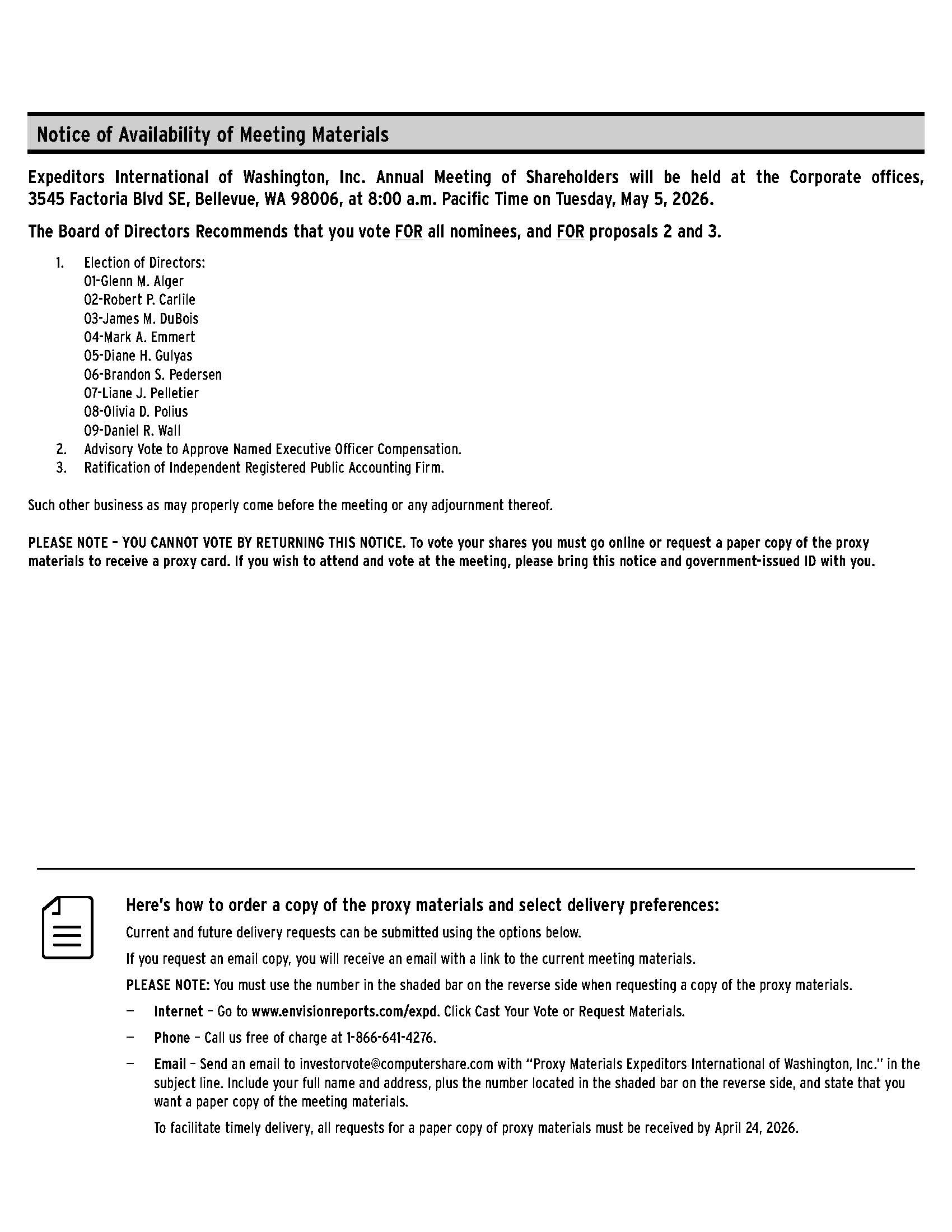
NOTICE OF ANNUAL MEETING OF SHAREHOLDERS
|
|
|
Tuesday, May 5, 2026 Expeditors International 3545 Factoria Blvd SE, Suite 300 Bellevue, WA 98006 |
•Approve (advisory) Named Executive Officer Compensation •Ratification of Independent Registered Public Accounting Firm |
|
|
|
Record Date: Close of business on March 10, 2026 |
Attending the Annual Meeting
Attendance at the Meeting is limited to shareholders able to present evidence of ownership as of the Record Date. All shareholders must be prepared to present valid photo identification to be admitted to the Meeting. Cameras (including cellular phones), recording devices and other electronic devices, and the use of cellular phones, will not be permitted at the Meeting. Representatives will be at the entrance to the Meeting, and these representatives will have the authority, on the Company’s behalf, to determine whether the admission policy and procedures have been followed and whether you will be granted admission to the Meeting.
Availability of Proxy Materials
This Notice of Annual Meeting of Shareholders and related proxy materials are being distributed or made available to shareholders beginning on or about March 24, 2026. This includes instructions on how to access these materials (including our Proxy Statement and 2025 Annual Report to shareholders) online.
Please vote your shares
We encourage shareholders to vote promptly, as this will save the expense of additional proxy solicitation.
You may vote in the following ways:

By Order of the Board of Directors,
Expeditors International of Washington, Inc.
/s/ Jeffrey F. Dickerman
Jeffrey F. Dickerman
Corporate Secretary
Bellevue, Washington
March 24, 2026
Notice of Annual Meeting & Proxy Statement | 1
PROXY SUMMARY
This Proxy Statement and the accompanying form of proxy are furnished in connection with the solicitation of proxies by the Board of Directors of Expeditors International of Washington, Inc. (the Company, Expeditors, we, us, our) for use at the Annual Meeting of Shareholders (the Annual Meeting). This proxy summary is intended to provide a broad overview of the items that you will find elsewhere in this Proxy Statement. As this is only a summary, we encourage you to read the entire Proxy Statement for more information about these topics prior to voting.
Meeting Agenda & Voting Recommendations
|
|
|
|
|
Proposal |
|
Board's Voting Recommendation |
Page |
|
|
|
No. 1: Election of Directors |
ü |
FOR (each nominee) |
4 |
No. 2: Advisory Vote to Approve Named Executive Officer Compensation |
ü |
FOR |
23 |
No. 3: Ratification of Independent Registered Public Accounting Firm |
ü |
FOR |
40 |
2023-2025 Financial Performance
(Data in millions except dividends per share and earnings per share (EPS))

2025 Highlights
•Strong Financial Performance: While our financial performance in 2025 did not meet our goals, it was fairly strong considering the severe decline that occurred in the ocean markets in Q3 through year end. We focused on the things we could control and our remaining services performed well throughout the year, especially our customs, Transcon road freight and warehousing and distribution services, which all had double-digit growth. Our focus in 2026 will be on growth diversification across all regions, all products and all customer segmentations. We will also be focusing on pricing optimization and further aligning our cost structure with current market conditions.
•Shareholder Return: Consistent with past years, we returned substantial cash to shareholders and grew our dividend, ensuring we remained a Dividend Aristocrat. In 2025, we returned $875 million to shareholders through stock repurchases and dividends.
•Shareholder Engagement: We engaged with shareholders representing 59% of our shares outstanding, including engagement with governance teams representing 47% of outstanding shares. We seek our shareholders’ views on matters of strategy, performance, compensation, governance, board operations and their interests in sustainability factors that are relevant to Expeditors.
Notice of Annual Meeting & Proxy Statement | 2
•Planned Executive Succession and Refreshment: The Board and management continue to oversee leadership development for the next stages of growth. This year we appointed a 38-year industry veteran and Company leader as the new Chief Executive Officer, effective April 1, 2025. We also appointed a seasoned financial expert as Chief Financial Officer, effective October 1, 2025 and further refreshed our executive ranks by elevating seven other highly talented individuals with deep industry experience and extensive careers with Expeditors.
•Expanding Technology Oversight: Our technology leadership team, which consists of a Chief Information Officer and a Chief Information Security Officer, continued to expand and upgrade oversight of all of our technology, including our cybersecurity defenses.
•Commitment to Sustainability: Details of our updated sustainability programs are available in our 2025 Sustainability Report posted at https://www.expeditors.com/about-us/sustainability.
•Material Weaknesses Remediated: The previously identified and disclosed material weaknesses in internal control over financial reporting have been remediated.
Our Compensation Program in Brief
Our shareholder-approved Executive Incentive Compensation Plan (“The Plan”) has been fundamental to our culture and a key driver of growth since 1985, tying compensation directly to profitability.
We encourage you to read further details of The Plan in our Compensation Discussion & Analysis.
Key Program Components of "The Plan"
•All Executives receive an annual base salary that is capped at $100,000, intentionally well below market to increase the proportion of at-risk pay, with executives bearing an outsized impact of weak or negative financial performance.
•Company performance funds an Incentive Pool with up to 10% of U.S. GAAP pre-tax operating income before bonus. The Incentive Pool is paid out at a fixed percentage of operating income, with fluctuations in the amounts paid directly linked to actual changes in operating income, aligning both the short- and long-term interests of employees and shareholders.
•All incentive pay elements are directly linked to Company performance, consistent with Expeditors’ long-standing pay for performance philosophy. By tying compensation directly to profitability, The Plan incentivizes profitable growth and is specifically designed so that participants bear the brunt of the impact when profits decline. By design, our senior executives have the most to lose from underperformance.
•No incentive payments will be made for a quarter in which we have an operating loss, and any cumulative operating losses, should they occur, must be made up by future operating income before we would start to fund the Incentive Pool for incentive payments.
•Allocation percentages are set upon promotion, based on responsibilities, and are reviewed quarterly for potential downward revision, depending on financial performance. Allocation percentages are never revised upward.
•Since the beginning of 2021, the Compensation Committee has effectively reduced the overall allocation percentages to NEOs by 40% and has not increased the allocation to any executive position:
|
|
|
|
|
|
|
|
2021 |
2022 |
2023 |
2024 |
2025 |
Chief Executive Officer |
4.7% |
4.5% |
4.5% |
4.5% |
3.2% |
President - Global Business Development |
3.5% |
3.3% |
2.9% |
2.0% |
2.0% |
President - Global Products |
3.1% |
2.9% |
2.0% |
2.0% |
1.7% |
President - Global Geographies |
3.1% |
2.9% |
2.9% |
2.9% |
2.0% |
Chief Financial Officer |
3.5% |
3.3% |
3.3% |
3.3% |
1.9% |
Total Allocation |
17.9% |
16.9% |
15.6% |
14.7% |
10.8% |
•RSU and PSU awards are set each May, based on Company and individual performance. Three-year PSU targets for Net Revenue and EPS are set annually and are intentionally aggressive.
Notice of Annual Meeting & Proxy Statement | 3
PROPOSAL NO. 1:
ELECTION OF DIRECTORS
The Company’s Bylaws require a Board of Directors composed of not less than six nor more than eleven members. The Board is currently comprised of nine members. Expeditors’ Directors are elected at each Annual Meeting to hold office until the next Annual Meeting or until the election or qualification of his or her successor. Any vacancy resulting from the non-election of a Director may be filled by the Board of Directors. The nine nominees are named below. Proxies cannot be voted for a greater number of persons than the number of nominees named in this proposal.
Nominees for Election
This year’s nominees consist of eight independent Directors and one non-independent Director. Unless otherwise instructed, it is the intention of the persons named in the accompanying form of proxy to vote shares represented by properly executed proxies for the nine nominees of the Board of Directors named below. Although the Board anticipates that all of the nominees will be available to serve as Directors of the Company, should any one or more of them be unwilling or unable to serve, it is intended that the proxies will be voted for the election of a substitute nominee or nominees designated by the Board of Directors or the seat will remain open until the Board of Directors identifies a nominee.
The Board of Directors has determined that all current Directors except Mr. Wall are independent under the applicable independence standards set forth in the rules promulgated under the Securities Exchange Act of 1934, as amended (Exchange Act) and NYSE rules. The Board has designated that only independent Directors can serve as Committee members.
The following persons are nominated to serve as Directors until the Company’s 2026 Annual Meeting of Shareholders:
|
|
|
|
|
|
|
|
Independent Nominee |
Age |
Director Since |
2025 Committee Membership |
Other Public Company Boards |
|
|
|
NGC |
Comp |
Audit |
|
Glenn M. Alger |
69 |
2017 |
|
|
|
|
Robert P. Carlile |
70 |
2019 |
|
|
|
MicroVision, Inc. |
James M. DuBois |
62 |
2016 |
|
|
X |
|
Mark A. Emmert |
73 |
2008 |
X |
C |
|
Weyerhaeuser Co. |
Diane H. Gulyas |
69 |
2015 |
X |
X |
|
Ingevity Corp. |
Brandon S. Pedersen |
59 |
2022 |
|
X |
C |
trivago N.V. |
Liane J. Pelletier |
68 |
2013 |
C |
|
|
Frontdoor, Inc. and Ameriprise Financial, Inc. |
Olivia D. Polius |
56 |
2021 |
|
|
X |
|
Non-Independent Nominee |
|
|
|
|
|
|
|
Daniel R. Wall |
57 |
2025 |
|
|
|
|
Notice of Annual Meeting & Proxy Statement | 4
DIRECTOR BIOGRAPHIES
ROBERT P. CARLILE
Robert “Bob” P. Carlile became a Director of the Company in May 2019. He was appointed Chair of the Audit Committee in May 2020 and Chair of the Board in May 2022. Bob’s extensive career in professional services and numerous leadership positions benefit the board and management in several areas including:
•A broad perspective on issues facing public companies and the evolving global business environment developed over four decades in industries such as global logistics, retail, transportation, technology, and manufacturing.
•Managing professional service organizations through periods of crisis and sudden change.
•Extensive knowledge and understanding of financial accounting, internal controls over financial reporting, and risk management.
•Demonstrated ability as a board chair, chair of audit committees, and member of compensation and nominating and governance committees with various companies and organizations.
Operating career experiences include:
•Audit Partner at KPMG LLP (2002-2016) and Arthur Andersen LLP (1977-2002).
•Various operating leadership positions at KPMG and Arthur Andersen.
Education background:
•Bachelor’s in Business Administration (Accounting), Magna Cum Laude, Boise State University.
Other boards:
•Current: MicroVision, Inc. (Nasdaq: MVIS).
•Current: Virginia Mason Franciscan Health.
DANIEL R. WALL
Daniel R. Wall became a Director in April 2025. He joined Expeditors in March 1987 and was promoted to District Manager in May 1992 and Global Director - Account Management in March 2002. Mr. Wall was elected Vice President – ECMS (Order Management) in January 2004 and Senior Vice President - Ocean Services in September 2004. Mr. Wall was appointed as President, Global Products in June 2015, and as President, Global Services, effective January 1, 2023. In October 2023, Mr. Wall was named President, Global Geographies and Operations, effective January 1, 2024. Mr. Wall was unanimously elected President and CEO by the Board of Directors in February 2025 and was appointed to the Board, effective April 1, 2025.
Operating career experiences include:
•Over 38 years of experience in the international transportation industry.
•Many years of corporate leadership responsibilities.
•A deep understanding of the global logistics industry, including experience in Company account management, ocean services, global services, and global geographies.
•Licensed U.S. Customs Broker and IATA/FIATA certified.
Education background:
•Executive Master of Business Administration, Seattle University.
GLENN M. ALGER
Glenn M. Alger became a Director of the Company in May 2017. His active participation and experience in global logistics as a founder, former senior executive, and a long-term shareholder of the Company deliver benefit to the Board and management, including:
•Direct experience building the Company from a startup to a global industry leader.
•More than 30 years in business development, management, and senior leadership in global logistics.
•Industry expertise in customer markets, strategy, competition, and organization.
Operating career experiences include:
•Over 20 years of strategy and operations as a senior executive of a public company.
•A deep understanding of both Company operations specifically and the global logistics industry generally.
Notice of Annual Meeting & Proxy Statement | 5
JAMES M. DuBOIS
James “Jim” DuBois became a Director of the Company in May 2016. He serves on the Audit Committee and is the Board expert on cybersecurity and information technology. Jim brings deep experience in several areas that benefit the board and management, including:
•Deep expertise in cybersecurity and information technology from a 25-year career at Microsoft including the role of Chief Information Officer (CIO) from 2013 to 2017, and Chief Information Security Officer (CISO) from 2006-2009. From 2009-2017, the CISO reported to DuBois.
•Author and public speaker from his technical expertise in digital transformations, cybersecurity, and AI.
•Experience serving on audit, compensation, and nominating and governance committees with various companies.
•Continuous and ongoing education on emerging business and boardroom topics.
Operating career experiences include:
•International experience running regional teams of Microsoft in Asia and Europe.
Education background:
•Bachelor’s in Computer Science, University of Washington.
•Bachelor’s in Business Administration, University of Washington.
Other boards:
•Board member and board chair for multiple private equity owned companies, all B2B tech companies.
•Technical advisor and board member for multiple B2B tech startups.
MARK A. EMMERT
Mark A. Emmert became a Director of the Company in May of 2008. He chairs the Compensation Committee and serves on the Nominating and Corporate Governance Committee. His wide-ranging leadership experience in the public, private, and nonprofit sectors enable him to support the Board and management in significant ways, including:
•Extensive public and private board experiences, including three Fortune 500 companies.
•Service and leadership of compensation, nominating and governance, and audit committees on public company boards.
•Diverse and deep experience in strategic planning and execution in complex entities.
•Broad background in design, structure, and operation of public and private governance systems.
•Director role in oversight of large- and small-scale mergers and acquisitions and sales.
•Direct involvement in multiple CEO transitions and succession planning.
Operating career experiences include:
•Long standing CEO experience leading a number of complex multi-billion-dollar universities and NCAA.
•Various roles in public policy and government affairs at state and national level.
•Wide-ranging executive experience in human capital management.
•Experience in international affairs and relationships.
Education background:
•Bachelor’s degree, University of Washington.
•Master’s degree in Public Administration, and PhD, Syracuse University.
Other boards:
•Current Director of the Weyerhaeuser Corporation (NYSE: WY).
Notice of Annual Meeting & Proxy Statement | 6
DIANE H. GULYAS
Diane Gulyas became a Director of the Company in November 2015. She is a member of the Compensation Committee and Nominating and Corporate Governance Committee. Her many years of experience in executive business leadership and board service enable her to contribute to the management team and Board in significant ways, including:
•Twenty years of board service on five publicly traded companies and one privately held corporation in a variety of industries including chemicals, pharmaceuticals, transportation, and electronic materials.
•Chair of two compensation committees and one corporate social responsibility committee; member of several audit, finance and nominating and governance committees.
•Experience in several CEO successions, board refreshments, public-private transitions, capital planning, and strategic transformations.
•Substantial experience in global manufacturing, engineering, sales, and distribution.
Operating career experiences include:
•Led three different multibillion dollar growth-oriented businesses at DuPont with the majority of sales outside the U.S. for over a decade.
•First Chief Marketing Officer at DuPont, responsible for branding, marketing communication, market research, customer contact centers, digital marketing, and worldwide capability.
Education background:
•Bachelor of Science, Chemical Engineering, University of Notre Dame.
Other Boards:
•Ingevity Corporation (NYSE: NGVT).
•Served as director in several non-profits including three years as Chair of the LPGA, leading a successful search for a new Commissioner and strategic planning process.
BRANDON S. PEDERSEN
Brandon Pedersen became a Director of the Company in February 2022. He currently chairs the Audit Committee and is a member of the Compensation Committee. Brandon brings deep experience in several areas that benefit the Board and management, including:
•Deep experience in the transportation sector including 15 years in the commercial airline industry and experience derived from serving on the board of a large privately held company engaged in shipping, air freight, trucking, energy distribution and marine service businesses.
•Ten years of experience as a public company CFO, including experience with mergers and acquisitions, capital allocation, financing strategies, supply chain, internal audit, investor relations, and IT oversight.
•Six years as a public company controller and chief accounting officer with substantial SEC reporting experience.
•Public accounting experience with an understanding of complex internal control environments and auditing standards.
•Certified Public Accountant - State of Washington (active).
•Audit Committee Qualified Financial Expert.
Operating career experiences include:
•Executive Vice President and Chief Financial Officer of Alaska Air Group, Inc. from 2010-2020; Vice President Finance and Controller at Alaska Air Group from 2003-2010.
•“Big Four” Audit Partner from 2000-2003.
Education background:
•Bachelor’s in Business Administration (Accounting), University of Washington.
•Bachelor’s in Economics, University of Washington.
Other boards:
•Current Director of trivago N.V. (NASDAQ: TRVG).
•Current Director of Saltchuk Resources, Inc., a privately held corporation with over 30 operating companies in North America, including the Bahamas and Caribbean.
•Current Director of Neutron Holdings, Inc, a privately held corporation doing business as Lime.
Notice of Annual Meeting & Proxy Statement | 7
LIANE J. PELLETIER
Liane Pelletier became a Director of the Company in May 2013. She chairs the Nominating and Corporate Governance Committee. She brings deep experience in several areas that benefit the Board and management, including:
•Deep public company board experience over 20 years at seven companies.
•Experience serving or leading each board committee.
•Qualified financial expert.
•Years of responsibility for shareholder relations and capital markets transactions as public company CEO.
•Direct role in multiple CEO succession events.
•Cybersecurity oversight credentials.
•Expertise in architecting bespoke ERM.
•Operating (and board) career experience in highly regulated industries.
•Chief corporate strategy leadership role at large global company.
•Continuous and rigorous ongoing education on emerging business and boardroom topics.
•Past public company CEO experience.
Operating career experiences include:
•CEO, President, Chair of Board of Alaska Communications, 2003-2011.
•Senior Vice President Corporate Strategy and Development (last role), Sprint Corporation, 1986-2003 (entire tenure).
Education background:
•Master’s in Business, MIT Sloan School.
•Bachelor’s in Economics, Magna Cum Laude, Wellesley College.
Other boards:
•Current: Frontdoor, Inc. (Nasdaq: FTDR).
•Current: Ameriprise Financial, Inc. (NYSE: AMP).
OLIVIA D. POLIUS
Olivia Polius became a Director of the Company in November 2021. She brings a wide-ranging experience from both the private sector and nonprofit sectors that benefit the Board and management, including:
•Deep finance and operations management experience.
•Expertise in strategy development, execution, and resource allocation.
•Experience in global operations, including sub-Saharan Africa and Asia.
•Direct involvement with government contract compliance.
•Certified Public Accountant – State of Washington.
•Audit Committee Qualified Financial Expert.
Operating career experiences include:
•Serving as the divisional CFO for two program strategy divisions at the Bill & Melinda Gates foundation: Global Policy & Advocacy and U.S. Programs.
•Previous CFO and VP of Finance, Technology and Infrastructure for PATH, a global organization that develops and scales innovative solutions to address some of the world’s most pressing health challenges.
•Over a decade in various finance leadership roles in the software industry.
Education background:
•Bachelor’s degree from the University of Washington.
Notice of Annual Meeting & Proxy Statement | 8
How We Identify and Evaluate Director Candidates
The Policy on Director Nominations describes the process by which Director nominees are selected by the Nominating and Corporate Governance Committee and includes the criteria the Committee will consider in determining the qualifications of any candidate for Director. In reviewing candidates for the Board, the Committee considers the entirety of each candidate’s credentials in the context of these standards. With respect to the nomination of continuing Directors for re-election, the individual’s contributions to the Board are also considered.
In its process of reviewing, nominating, and selecting Director candidates:
•Committee annually reviews its nomination procedures to assess the effectiveness of the Policy on Director Nominations.
•Committee considers candidates for Director who are recommended by its members, by management, and by search firms retained by the Committee.
•Per the Policy on Director Nominations, the Committee will also consider any candidate proposed by a shareholder satisfying certain notice provisions and will take into account the size and duration of the recommending shareholder's ownership.
•The Committee leads the search for qualified individuals to become Board members, taking into consideration various criteria including a candidate’s contribution to Board diversity including differences in backgrounds, professional experiences, skills, and viewpoints that collectively contribute to effective governance and long-term shareholder value.
•All candidates for Director who, after evaluation, are recommended by the Committee and approved by the Board of Directors will be included in the Company’s recommended slate of Director nominees in its Proxy Statement.
•Any shareholder, or group of up to 20 shareholders that has continuously beneficially owned at least 3% of the Company’s Common Stock for at least three years, and who satisfies certain notice, information and consent provisions, may nominate up to 20% of the Directors standing for election and include such nominees on the Company's proxy statement pursuant to the Company's proxy access rights.
•A shareholder may nominate a Director candidate for election outside of the Company's proxy statement if the shareholder complies with the notice, information and consent provisions of Article II of the Company’s Bylaws, which can be found on our website at https://investor.expeditors.com/.
Our Bylaws and our Policy on Director Nominations require any notice for Director nominees for shareholder consideration or recommendation of candidates to the Committee be submitted by certain deadlines, which are explained in detail under the heading “Deadlines for Shareholder Proposals for the 2027 Annual Meeting of Shareholders.”
The Policy on Director Nominations can be found on the Company’s website at https://investor.expeditors.com/
Board Assessment and Refreshment
Our Board consists of a diverse group of highly qualified leaders who, in total, contribute to the Company’s performance overall in important ways.
Each of our Directors has senior leadership experience at large domestic or multinational companies. In these positions, they have each gained significant and complementary management and leadership experiences, including in strategic and financial planning, public company financial reporting, strategy, operations, compliance, risk management, and leadership development. They also have in-depth public company experience serving as executive officers, or on boards of directors and board committees, and a robust understanding of corporate governance practices and trends. In addition, many of our directors have experience as directors or trustees of significant public policy, academic, research, nonprofit, and philanthropic institutions, and bring unique perspectives to the Board.
The Board has a mix of short-, medium-, and long-term directors who collectively address the strategic needs of the Company and its governance. The Board believes that its composition was beneficial in assisting the incoming CEO (effective April 1, 2025) to assure his success.
Notice of Annual Meeting & Proxy Statement | 9
The Nominating and Corporate Governance Committee oversees compliance of a variety of director policies, all documented in the Governance Principles. Importantly, the Committee annually conducts robust evaluations of Board, committee and self-assessments that are mined for important topics of continuous improvement. Areas of improvement take a high performing board to even greater levels of contribution, and work toward identified areas are tracked for achievement.
Our Board and our Nominating and Governance Committee believe the skills and experiences of our Directors provide our Company with business acumen and a diverse range of perspectives to effectively address our evolving needs and oversee senior management in the competent and ethical operation of our Company and represent the best interests of our shareholders. Our Board considers its composition and refreshment in the context of our Company’s long-term strategic goals and seeks to thoughtfully manage the pace of change and refreshment of its members over time.
Notice of Annual Meeting & Proxy Statement | 10
Summary of Director Nominee Experience, Qualifications, Attributes & Skills


Notice of Annual Meeting & Proxy Statement | 11
Our Board has the Relevant Experience and Skills to Oversee our Strategy
|
|
|
|
|

|
Operations Experience and insights into business operations, which are critical in assessing management’s ability to drive growth and nurture a strong corporate culture. |
|
|

|
Logistics Industry Experience in the global logistics industry, which is highly complex and dependent upon people, processes, and technology. |
|
|

|
International An understanding of diverse business environments, economic conditions, cultures, regulatory frameworks, and a broad perspective on global market opportunities. |
|
|

|
Finance & Audit Senior-level experience in the audit and finance function of an enterprise, with proficiency in complex financial management, capital allocation, and financial reporting and internal control processes. |
|
|

|
Sales & Marketing Experience developing strategies to grow sales and market share, build brand awareness and equity, and enhance enterprise reputation. |
|
|

|
Information Systems and Cybersecurity A significant background working in technology, resulting in knowledge of how to anticipate technological trends, generate disruptive innovation, and extend or create new business models. Direct experience in the cybersecurity frameworks and processes that protect data and information. |
|
|

|
Leadership & Strategy A practical understanding of organizations, processes, strategic planning, and risk management. Demonstrated strengths in developing talent, planning succession, and driving change and long-term growth. |
|
|

|
Governance / Board / Business Conduct A solid foundation in good governance practices and oversight are critical to all business operations and publicly traded companies. Many of our Directors have deep public company board experience. |
|
|

|
Legal / Compliance An understanding of international laws and adherence to good conduct and compliance is critical for a large company that moves goods across borders around the globe. |
|
|

|
Risk Management Experience identifying, managing, and mitigating risks is essential for effectively overseeing the Company’s risk management. |
|
|
|
|
ü |
|
The Board of Directors recommends a vote FOR the election of each of the Director Nominees. |
Notice of Annual Meeting & Proxy Statement | 12
CORPORATE GOVERNANCE
Board Operations, Practices and Procedures
The Board of Directors has policies and procedures to ensure effective operations and governance. Our Corporate Governance Principles, the Charters of each of the Board’s Committees, and the Code of Business Conduct can be found on our website at https://investor.expeditors.com/corporate-governance/governance-documents.
The primary functions of Expeditors’ Board of Directors include:
•Ensuring that the long-term interests of the Company are being served.
•Assuring that Board discussions focus on forward-looking strategies, approving such strategies and monitoring related performance.
•Overseeing the conduct of our business and monitoring significant enterprise risks.
•Overseeing our processes for maintaining the integrity of our financial statements, internal controls and other public disclosures, and compliance with laws and ethical conduct.
•Evaluating CEO and senior management performance and determining executive compensation.
•Planning CEO succession and monitoring management’s succession planning for other key executive officers; taking into consideration the diverse experiences, qualifications, and perspectives each potential succession candidate can bring to the Company including gender, race, and ethnicity.
•Establishing tone at the top, effective governance structure, including appropriate Board evaluation, composition and planning for Board succession.
•Ensuring the Company focuses on material matters that support its sustainability efforts and comply with relevant sustainability standards as they evolve.
•Convening sessions among Independent Directors-only at each Board meeting.
The Board currently has the following Committees: Nominating and Corporate Governance, Compensation, and Audit.
Corporate Governance Principles
The Board met five times in 2025 and each Director attended at least 75% of the total number of Board of Directors meetings and Committee meetings on which they served. While the Company has no established policy requiring Directors to attend the Annual Meeting, all members attended the 2025 Annual Meeting.
The Board’s governing principles include:
•Commitment to the long-term interests of all stakeholders.
•Annual election of all Directors. Any Director who does not receive a majority vote in an uncontested election will resign immediately from the Board per the resignation policy.
•Availability of proxy access for qualifying shareholder groups.
•Independent Board Chair.
•The majority of the Board is comprised of independent Directors.
•Each of the three Board Committees is composed of only independent Directors.
•The Board and each Committee annually evaluates its performance.
•No shareholder rights plan (poison pill).
•No pledging, hedging or engaging in any derivatives trading of Company shares allowed by employees or Directors. Directors have stock ownership requirements.
•No Company spending on political campaigns and clear written policies against endorsing political parties or individual candidates; prohibition on making any Company premises available for political or campaign purposes; no contributions of funds to political campaigns, including indirect contributions for the purpose of electioneering or making a campaign donation on the Company’s behalf.
•Annual Director certification of compliance with the Code of Business Conduct, available at https://investor.expeditors.com/corporate-governance/governance-documents.
Notice of Annual Meeting & Proxy Statement | 13
Committee Composition
Composition and leadership of the three standing committees are determined following the annual shareholder meeting. From time to time, the Board rotates committee membership to deepen director skills required to deliver on committee responsibilities. Additionally, every committee meeting is open to attendance of every Board Director. Committee assignments, including Committee Chair assignments, made each year consider: expertise, capacity, and interest. In all cases, the Board aims to compose each committee with members both new and tenured so that the work of the committee can proceed smoothly and efficiently.
Director Retirement Policy
The Board established a guideline, whereby an individual Director will not be nominated to stand for election to the Board of Directors at the next Annual Meeting if the Director has reached an age of 75 years, absent a waiver of such guideline by the Board.
Board’s Role in Risk Oversight
Senior executive management is responsible for the assessment and day-to-day management of risk and brings to the attention of the Board the material risks to the Company. The Board provides oversight and guidance to management regarding material enterprise risks. Oversight responsibilities for certain areas of risk are assigned to the Board's three standing Committees and others are assigned to the full Board.
Board’s Role in Cybersecurity Risk Oversight
Our Board of Directors provides direct oversight of and evaluates our risk management posture over cybersecurity at least annually. The Board’s oversight is led by James DuBois, former CISO and Chief Information Officer (CIO) with the Microsoft Corporation, who communicates with cybersecurity leadership throughout the year. The Board is provided updates via our Enterprise Risk Management program quarterly, while meeting with the Chief Information Security Officer (CISO) at least annually.
Board’s Strategy Oversight
The Board oversees the Company’s strategy and implementation at every meeting, including review of strategy effectiveness, market conditions, competitive and technological influences, and most importantly, new opportunities for growth.
SEC Filings & Reports
Our Annual Report on Form 10-K, Quarterly Reports on Form 10-Q, Current Reports on Form 8-K, and any amendments to those reports, are available free of charge on our website at https://investor.expeditors.com/ under the heading “Investor Relations” (see SEC Filings) immediately after they are filed with or furnished to the SEC.
Director Compensation Program
The Board uses a combination of cash and stock-based compensation to attract and retain qualified non-employee candidates to serve on the Board. In setting Director compensation, the Compensation Committee considers the amount of time that Directors expend in fulfilling their duties, as well as the skill level required as members of the Board and its Committees.
Notice of Annual Meeting & Proxy Statement | 14
Board of Directors' Annual Compensation & Stock Ownership Requirements
|
|
|
Board Retainer |
$140,000 in cash and $200,000 worth of Company restricted stock. |
Chair Retainers |
An additional $190,000 retainer for the Chair of the Board. An additional $35,000 retainer for the Chair of the Audit Committee. An additional $25,000 retainer for the Chair of each of the Compensation Committee and the Nominating and Corporate Governance Committee. |
Stock Ownership Policy |
Each Director is required to retain a minimum of 5x the cash Board retainer in Expeditors’ Common Stock, which is to be accumulated within the first 5 years of a Director joining the Board. |
Director Compensation Table
The table below summarizes the compensation paid by the Company to non-employee Directors for the fiscal year ended December 31, 2025:
|
|
|
|
|
|
|
|
Name |
Fees Earned or Paid in Cash |
Stock Awards (1) |
Option Awards |
Non-Equity Incentive Plan Compensation |
All Other Compensation |
Total |
Robert P. Carlile |
$330,000 |
199,937 |
— |
— |
— |
$529,937 |
Glenn M. Alger |
$140,000 |
199,937 |
— |
— |
— |
$339,937 |
James M. DuBois |
$140,000 |
199,937 |
— |
— |
— |
$339,937 |
Mark A. Emmert |
$165,000 |
199,937 |
— |
— |
— |
$364,937 |
Diane H. Gulyas |
$140,000 |
199,937 |
— |
— |
— |
$339,937 |
Brandon S. Pedersen |
$175,000 |
199,937 |
— |
— |
— |
$374,937 |
Liane J. Pelletier |
$165,000 |
199,937 |
— |
— |
— |
$364,937 |
Olivia D. Polius |
$140,000 |
199,937 |
— |
— |
— |
$339,937 |
(1)This column represents the aggregate fair value of restricted shares issued to non-employee Directors in 2025 from the Amended and Restated 2017 Omnibus Incentive Plan (the “Amended 2017 Plan”). The fair value of restricted stock awards is based on the fair market value of the Company’s shares of Common Stock on the date of award. These restricted shares vested immediately upon award.
SHAREHOLDER ENGAGEMENT & STOCK OWNERSHIP INFORMATION
Shareholder Engagement
•We engaged with shareholders representing 59% of our shares outstanding.
•We also held governance meetings with shareholders representing 47% of our shares outstanding.
•During these meetings, we discussed topics such as strategy, operations, cybersecurity, compensation policies, and executive succession and planning.
•Management welcomes the opportunity to engage with our investors who express a desire to visit our corporate offices during the period after quarterly earnings releases when we are not in a quiet period.
Communicating with the Board of Directors
Shareholders and interested parties may communicate with the Board of Directors by following the procedures outlined on the Company’s website at https://investor.expeditors.com/. Any matter intended for the Board of Directors, or for one or more individual members, should be directed to the Corporate Secretary of the Company at 3545 Factoria Blvd SE, Bellevue, Washington 98006, with a request to forward the same to the intended recipient(s). All shareholder communications delivered to the Corporate Secretary of the Company for forwarding to the Board of Directors or specified members will be forwarded in accordance with the instructions received.
Information regarding the submission of comments or complaints relating to the Company’s accounting, internal accounting controls or auditing matters can be found in the Company’s Code of Business Conduct on the Company’s website at https://investor.expeditors.com.
Notice of Annual Meeting & Proxy Statement | 15
Information Requests
We ask that all requests for corporate information concerning Expeditors’ operations be submitted in writing. This policy applies equally to securities analysts and current and potential shareholders. Requests can be made to Expeditors International of Washington, Inc., 3545 Factoria Blvd SE, Bellevue, Washington 98006, Attention: Chief Financial Officer, or by email to investor@expeditors.com.
Written responses to selected inquiries will be released to the public by a posting on our website at https://investor.expeditors.com/ and by simultaneous filing with the Securities and Exchange Commission (SEC) under Item 7.01 on Form 8-K.
Fair Disclosure
Any analyst or investor contact, whether by telephone or in person, will be conducted with the understanding that questions directed at ongoing operations will not be discussed. Management will limit responses to discussions of previously disclosed information, including informational discussions directed to the history and operating philosophy of the Company and an understanding of the global logistics industry and its competitive environment. Expeditors will, of course, make public disclosures at other times as required by law, regulation or commercial necessity.
Shareholder Proposals
In most years, we receive proposals from shareholders regarding various issues that they wish to bring to a shareholder vote. Our policy is to engage directly with those shareholder proponents to discuss their respective proposals to better understand each request and present our thinking with regard to their issue. This is in addition to our long-standing shareholder outreach program, through which we discuss and seek feedback on our corporate governance practices, executive compensation program, disclosure practices, and sustainability programs and goals.
In November 2025, Expeditors received a shareholder proposal from John Chevedden (“Chevedden Proposal”). The Chevedden Proposal asked that the “Board of Directors take the necessary steps to ensure that directors who fail to obtain a majority vote in a future uncontested [election] shall leave the board as soon as possible but in no case shall such directors serve more than 9-months on the Board after such failed election.” Expeditors determined to exclude the Chevedden Proposal from this proxy statement because Expeditors believes it has already substantially implemented the proposal through the Company’s Bylaws and Director resignation policy. First, Article IV, Section 2 of the Bylaws provides that in an uncontested election a nominee who does not receive a majority of the votes cast will not be elected. Further, the Bylaws provide that an incumbent Director who is not elected because he or she does not receive a majority vote will continue to serve as a holdover Director until the earliest of: (a) 90 days after the date on which an inspector determines the voting results as to that Director; (b) the date on which the Board of Directors appoints an individual to fill the position held by that Director; or (c) the date of the Director’s resignation. Second, under the Company’s Director resignation policy, any Director who does not receive a majority vote in an uncontested election will resign immediately. The only essential difference between the existing Bylaws and Director resignation policy and the Chevedden Proposal is that the Chevedden Proposal would provide Directors a longer period of time to remain on the Board following a failed election. This is also discussed under "Majority Vote Standard for Director Elections" on page 43 of this proxy statement.
In connection with the Chevedden Proposal, the Company engaged in direct outreach to the proponent. During this engagement, the Company explained that its existing Bylaws and Director resignation policy not only satisfies, but exceeds, the requirements set forth in the Chevedden Proposal and respectfully requested that the Chevedden Proposal be withdrawn. The proponent declined to do so.
Following this engagement, Expeditors consulted with its external counsel on this matter and submitted a letter to the staff of the Securities and Exchange Commission (“SEC”) pursuant to Rule 14a-8 under the Securities Exchange Act of 1934, asserting that it had a reasonable basis to exclude the Proposal from its proxy materials due to the fact that the Proposal had been substantially implemented through the Company’s existing Bylaws and director resignation policy. Based on these representations, the staff of the SEC confirmed that it would not recommend enforcement action to the SEC if Expeditors excluded the Chevedden Proposal from its proxy materials on the basis of substantial implementation.
Notice of Annual Meeting & Proxy Statement | 16
Five Percent Owners of Company Stock
The following table sets forth information with respect to all shareholders known by the Company to be beneficial owners of more than 5% of its outstanding Common Stock, based on 134 million shares of Common Stock outstanding at December 31, 2025.
|
|
|
|
|
Name of Beneficial Owner |
Number of Shares |
|
Percent of Common Stock Outstanding |
VANGUARD GROUP INC PO Box 2600, V26, Valley Forge, PA 19842-2600 |
16,593,554 |
(1) |
12.39% |
BlackRock, Inc. 50 Hudson Yards, New York, NY 10001 |
11,872,659 |
(2) |
8.87% |
STATE STREET CORP State Street Financial Center One Congress Street, Ste 1, Boston, MA 02114-2016 |
7,714,360 |
(3) |
5.76% |
(1)The holding shown is as of December 31, 2025, according to Schedule 13F-HR dated January 29, 2026 filed by VANGUARD GROUP INC. With respect to Expeditors' Common Stock, VANGUARD GROUP INC reports that it exercises sole investment discretion over 15,264,064 shares, and exercises sole voting discretion over 66 shares, shared voting discretion over 837,176 shares, and no voting discretion over 15,756,312 shares.
(2)The holding shown is as of December 31, 2025, according to Schedule 13F dated December 31, 2025 filed by BlackRock, Inc. With respect to Expeditors' Common Stock, BlackRock reports that it exercises sole investment discretion over 11,872,358 shares, and exercises sole voting discretion over 10,692,584 shares, shared voting power over 0 shares, and no voting power over 1,180,075 shares.
(3)The holding shown is as of December 31, 2025, according to Schedule 13F dated February 13, 2026 filed by STATE STREET CORP. With respect to Expeditors' Common Stock, STATE STREET CORP reports that it exercises defined investment discretion over 7,714,360 shares, and exercises sole voting power over 1,110,205 shares, shared voting power over 82,989 shares, and no voting power over 6,521,166 shares.
Security Ownership of Directors & Executive Officers
The following table lists the names and the amount and nature of the beneficial ownership of Common Stock of each Director and nominee, of each of the NEO described in the Summary Compensation Table, and all Directors and Executive Officers as a group at March 10, 2026. Except as noted below, each person has sole voting and dispositive powers with respect to the shares shown.
|
|
|
|
DIRECTORS |
Amount & Nature of Beneficial Ownership |
Percent of Class |
Robert P. Carlile |
9,045 |
* |
Glenn M. Alger (1) |
366,932 |
* |
James M. DuBois |
21,712 |
* |
Mark A. Emmert |
6,468 |
* |
Diane H. Gulyas (2) |
23,235 |
* |
Brandon S. Pedersen |
7,337 |
* |
Liane J. Pelletier |
38,976 |
* |
Olivia D. Polius |
7,337 |
* |
Daniel R. Wall (3) |
73,488 |
* |
|
|
|
ADDITIONAL NAMED EXECUTIVE OFFICERS |
|
|
Blake R. Bell (4) |
66,354 |
* |
Kelly K. Blacker (5) |
20,747 |
* |
David A. Hackett (6) |
626 |
* |
Roberto A. Martinez (7) |
5,256 |
* |
Jeffrey S. Musser (8) |
145,725 |
* |
Bradley S. Powell (9) |
17,125 |
* |
|
|
|
All Directors & Executive Officers as a Group (16 persons) (10) |
660,144 |
* |
* Less than 1%
(1)All shares are held in two trusts for which Mr. Alger and his family maintain voting and dispositive authority.
(2)All shares are held in trust for which Ms. Gulyas maintains voting and dispositive authority.
(3)Includes 12,956 shares subject to RSU vesting within sixty days.
(4)Includes 9,079 shares subject to RSU vesting within sixty days.
(5)Includes 6,860 shares subject to RSU vesting within sixty days.
(6)Includes 304 shares subject to RSU vesting within sixty days.
(7)Includes 2,987 shares subject to RSU vesting within sixty days.
(8)Includes 132,305 shares held in trust for which Mr. Musser maintains voting and dispositive authority, 13,018 vested RSU subject to distribution.
(9)Includes 10,833 vested RSU subject to distribution.
(10)Includes 35,985 shares subject to RSU vesting within sixty days. No Director or Executive Officer has pledged Company stock.
Notice of Annual Meeting & Proxy Statement | 17
NOMINATING & CORPORATE GOVERNANCE COMMITTEE REPORT
The Nominating and Corporate Governance Committee is committed to assuring that the Company’s Board and Committees are fit for purpose and contribute to the Company’s strategy and sustainability, as well as continuing to learn and improve how it governs.
Nominating & Corporate Governance Committee
The committee charter is available at https://investor.expeditors.com/corporate-governance/governance-documents.
All members are independent under Exchange Act and NYSE rules.
Key Responsibilities:
•Determine the criteria for Board membership. Lead the search for qualified individuals to become Board members, taking into consideration various criteria including a candidate’s contribution to Board diversity including differences in backgrounds, professional experiences, skills, and viewpoints that collectively contribute to effective governance and long-term shareholder value.
•Recommend the composition of the Board and its Committees.
•Monitor and evaluate changes in Board members’ professional status.
•Monitor Directors' time commitments per the Company’s Board policy.
•Conduct evaluations of Board and Committee effectiveness and identify areas for potential improvement and track their implementation.
•Maintain the Company’s Corporate Governance Principles.
•Oversee compliance with the Company’s Code of Business Conduct (Code of Conduct).
•Assure Company compliance with policy requiring zero political contributions.
•Monitor investor engagement, positions, and interests of shareholder base.
•Assist in evaluating governance-related inquiries and proposals from shareholders.
•Analyze current and emerging governance trends for impact on the Company.
•Oversee the focus and frequency of the Company's Materiality Assessments that inform our sustainability strategy and programs, which in turn are embedded in corporate strategy, enterprise risk management, culture, and Board oversight.
•Oversee certain enterprise risks that are assigned to the Committee by the Board.
•Monitor Directors' compliance with stock ownership guidelines.
Notice of Annual Meeting & Proxy Statement | 18
2025 Committee Highlights
The following outlines key activities of the Nominating and Corporate Governance Committee during the four meetings conducted in 2025:
•Conducted annual Board and Committee evaluations focused on how Directors contribute to the future needs of the Company and identified topics for improvement.
•Reviewed management’s materiality assessment update and contributed to refreshments of the Company’s Enterprise Risk Management program.
•Oversaw Board compliance with several policies including Director overboarding, Director stock ownership, Director retirement, and Code of Conduct training.
•Oversaw Company risk management activities for topics assigned to the Committee.
•Engaged with management on governance issues identified by the SEC, other regulators across the globe, key investors, and others of interest to our significant stakeholders.
•Continued to allow physical, in-person participation by shareholders at the Company’s Annual Meeting of Shareholders.
Notice of Annual Meeting & Proxy Statement | 19
OUR COMMITMENT TO SUSTAINABILITY
Sustainability at Expeditors has roots going back to our founding more than 45 years ago, with the Board’s oversight of sustainability focused on matters of material importance to the Company’s long-term success. Based on a materiality assessment of our sustainability priorities, we have identified issues that tie directly to Company strategy and risk management, which comprise the Board’s key focus factors. Those areas of focus are assigned either to the full Board or to one of our standing Committees for deep-dive analyses, some of which are reviewed at each Board meeting, and all of which are reviewed at least once per year.
Shareholders are invited to learn more about our sustainability efforts, which are discussed in our Sustainability Report, which is now in its 10th year of publication: https://www.expeditors.com/about-us/sustainability
The factors in focus for the 2025 calendar year included:
Business Ethics
•Guided by the Chief Ethics & Compliance Officer, all employees and directors must comply with our Code of Conduct.
•We regularly update our Code of Conduct and every employee and Director is required to test their understanding of and compliance with the Code of Conduct. We make the Code of Conduct available in nine languages, supported by compliance specialists worldwide.
Business Continuity Planning
•Overseen by the Audit Committee, our Business Continuity Plan ensures that we have processes and procedures to recover while empowering employees to address potential threats to our people, operations or customer assets. The Business Continuity Plan clarifies emergency responsibilities and procedures, as well as pre-established avenues of escalation.
•Every district maintains a crisis management team and tests emergency response plans.
Cybersecurity
•The full Board oversees the cybersecurity program, supported by an Information Technology Assets and Cybersecurity Policy that sets global protection standards. Multiple formal governance bodies oversee evolving information security and privacy requirements.
•The Board’s cybersecurity oversight is led by James DuBois, former Chief Information Security Officer (CISO) and Chief Information Officer (CIO) with the Microsoft Corporation, who communicates with cybersecurity leadership throughout the year. In addition, the Board is provided updates via our Enterprise Risk Management program quarterly, while meeting with the Company’s CISO at least annually.
•The cybersecurity program is led by the CISO, who works closely with the Chief Information Officer to ensure cybersecurity is embedded across the Company’s technology footprint.
•Management handles cybersecurity and related risks through our Enterprise Risk Management Committee, which defines cybersecurity strategy and execution expectations using industry standard frameworks.
•The Company supplements internal risk management capabilities with third party consultants, auditors, and cybersecurity specialists to support and enhance the program.
Data Privacy
•The full Board oversees the Company’s Data Privacy program. Our Data Protection Officer oversees the Company’s data privacy policy, which establishes global standards governing the collection, access, use, and processing of personal data.
•Our Data Protection Officer also collaborates with our data governance teams, cybersecurity teams and senior management to support compliance with evolving privacy requirements across multiple jurisdictions, and to address privacy and data protection compliance requirements globally.
Notice of Annual Meeting & Proxy Statement | 20
Greenhouse Gas (GHG) Emissions and Reductions
•The Company is committed to systematic efforts to reduce the impact of our operations on the environment and assisting our customers in their efforts to reduce their carbon footprint.
•The Company complies with environmental laws in every geography in which we operate.
•We have a focus on GHG emissions regulatory compliance and meeting customer expectations regarding the Company’s GHG emissions reduction goals.
•Focus areas include reducing Scope 1 and 2 emissions and preparing for regulatory requirements for Scope 3 reporting.
•The Company is pleased to report that we not only met, but exceeded, our Scope 1 and Scope 2 GHG emissions reduction goals that were set three years ago as follows:
SCOPE 1 GOAL: 20% reduction in CO2e emissions per square foot via usage of electric forklifts.
Over the three-year target period, we switched approximately 95% of Company forklifts to electric and the Company significantly exceeded our Scope 1 target with a 31.1% reduction.
SCOPE 2 GOAL: 15% reduction in CO2e emissions per square foot of all Company owned and leased facilities (both warehouse and office space).
The Company exceeded this goal with a Scope 2 reduction of 24.6% over three years.
•Following on the success of our prior GHG emissions reductions efforts, the Company has set ambitious new science-aligned goals consistent with the Paris Accord (e.g., a 1.5-degree Celsius scenario) with a combined Scope 1 and Scope 2 CO2e emissions reduction goal of 77% by the end of 2035.
•We continue to offer select customers sustainable trade lane analysis and sustainable fuel programs to meet the interests of our customers in sustainable marine and aviation fuels.
Talent Management and Leadership Succession Planning
•The Board considers this vital to ongoing Company success.
•The Company’s Vision Statement emphasizes the Company’s commitment to its employees: “To create unlimited opportunities for our people through sustainable growth and strategic focus, inspiring our premier customer-focused logistics organization.”
•Our Workforce is long-tenured and diverse:
U.S. Workforce Data:
44% female
56% male
42% racially/ethnically diverse
Non-U.S. Workforce Data:
45% female
55% male
•Our 128 district offices outside the U.S. hire primarily from local labor markets.
•The Company’s latest EEO-1 Report attached as Appendix A
Notice of Annual Meeting & Proxy Statement | 21
Employee Engagement
•Employees are supported through initiatives such as the Company’s Elevate Employee Engagement program.
•The Company ensures that employees are provided opportunities for strong community engagement, including offering all employees in the United States and Canada a paid community volunteer day.
•Employee engagement goes hand in hand with our social responsibility commitment throughout our global organization. Our employees are encouraged to lead grassroots efforts to support local community fundraising causes; participate as teams in races and events; and organize food, toy, and blood drives. These activities strengthen employee engagement while supporting the communities where we live and work by reinforcing shared values of service, collaboration, and care.
Please find out more about all Sustainability efforts at the Company at https://www.expeditors.com/about-us/sustainability.
Nominating & Corporate Governance Committee:
Liane Pelletier, Chair
Mark Emmert
Diane Gulyas
Notice of Annual Meeting & Proxy Statement | 22
PROPOSAL NO. 2:
ADVISORY VOTE TO APPROVE NAMED EXECUTIVE OFFICER COMPENSATION
The Board of Directors has elected to submit a non-binding vote on compensation, a so-called "Say-on-Pay" vote, to shareholders on an annual basis.
We value our shareholders’ views on Named Executive Officer (NEO) compensation and our incentive compensation programs. We continue to extend outreach and regularly engage with those representing over half of the outstanding shares to understand their perspectives on our Company performance, including our compensation programs. The fundamentals of our compensation programs are unchanged from prior years and are performing as designed. Shareholders supported our advisory vote on NEO compensation by an average of 88% over the past five years by voting FOR our Say-on-Pay.
We are asking for your non-binding advisory vote on the following resolution, as required pursuant to section 14A of the Exchange Act:
Resolved: That shareholders approve the compensation of the NEO, as disclosed in the Compensation Discussion & Analysis, the compensation tables, and the related narrative executive compensation disclosures contained in this proxy statement.
We encourage you to read the Compensation Committee Report, including Compensation Discussion and Analysis, as well as the Summary Compensation Table and other related compensation tables and narrative to learn about our executive compensation programs and policies.
Oversight of Our Executive Compensation Plans
Each element of our executive compensation program is administered and actively managed by the Board of Directors and/ or Compensation Committee. Our executive compensation program is directly linked to the Company’s performance. This is accomplished using the following elements:
•Set each executive’s annual base salary significantly below market at $100,000. This keeps the amount of fixed pay very low and increases the amount of pay for performance.
•Set an appropriate balance of cash and equity compensation for each NEO. The Compensation Committee reviews the balance of cash and equity compensation annually and believes the current mix drives growth in key financial performance measures, including net revenue, operating income and EPS, over both the short and long term. Each component emphasizes the importance of exceptional customer service and performance, which is required to maintain and grow our business and make appropriate investments in our long-term growth strategies.
•Set each executive’s allocation percentage of the 2008 Executive Incentive Compensation Plan at time of promotion. 100% of pay under this plan is directly tied to our Company’s performance. Amounts paid will increase or decrease based on operating income, a key financial measurement of our Company financial performance. Amounts paid under this plan cannot be increased on a discretionary basis. For example, the Compensation Committee would not increase an executive’s allocation percentage during a period of poor financial performance. On the contrary, the Compensation Committee has decreased an executive's allocation percentage or payout as described below.
•Set challenging PSU performance targets. PSU awards will only vest if the Company achieves 3-year performance targets for net revenue and EPS. Executives will only be paid if the Company achieves the performance targets.
The base salary of each Executive is reviewed and approved annually. The Board of Directors purposely set Executive annual base salaries at $100,000 which is well below market. The Board believes that the vast majority of an Executive’s compensation needs to be “at-risk” variable compensation linked directly to the performance of the Company. If our Company’s performance is negatively impacted for whatever reason, including events outside or within management’s control, our Executives will bear this risk and take the largest reduction in compensation. This is particularly important because, as a service-based company, our most important asset is our global network of more than 20,000 employees. Maintaining and cultivating this group of talented employees, even during a market down-turn, enables us to provide exceptional service and superior financial results over the long term. This philosophy is foundational to our culture and is a fundamental tenet of our compensation plan.
Notice of Annual Meeting & Proxy Statement | 23
A significant amount of an Executive’s compensation is earned under our 2008 Executive Incentive Compensation Plan. This plan is directly linked to our Company’s performance as the amount of incentive compensation is based on U.S. GAAP operating income. The Compensation Committee assigns an allocation percentage to the Executive when they are hired or promoted into an executive position based on their duties and responsibilities. At the beginning of each quarter, the Compensation Committee reviews, considers adjustments, and approves the percentage allocation assigned to each Executive. Once the quarter has ended and after management has completed their financial close procedures, the Compensation Committee once again reviews, considers reductions in payouts, and approves the payouts to each Executive.
Since the beginning of 2021, the Compensation Committee has effectively reduced the overall allocation percentages to NEOs by 40% and has not increased the allocation to any executive position:
|
|
|
|
|
|
|
|
2021 |
2022 |
2023 |
2024 |
2025 |
Chief Executive Officer |
4.7% |
4.5% |
4.5% |
4.5% |
3.2% |
President - Global Business Development |
3.5% |
3.3% |
2.9% |
2.0% |
2.0% |
President - Global Products |
3.1% |
2.9% |
2.0% |
2.0% |
1.7% |
President - Global Geographies |
3.1% |
2.9% |
2.9% |
2.9% |
2.0% |
Chief Financial Officer |
3.5% |
3.3% |
3.3% |
3.3% |
1.9% |
Total Allocation |
17.9% |
16.9% |
15.6% |
14.7% |
10.8% |
Additionally, RSU and PSU awards to Executives are determined by the Compensation Committee each year in May. Many different factors are used to determine the award amount to each Executive including Company and individual performance. As employees are added to the Executive team, the Compensation Committee has lowered cash compensation from the 2008 Executive Incentive Compensation Plan and increased RSU and PSU awards. Historically, the amount of equity compensation as a percentage of total compensation was targeted between 20% and 30%. Starting with the promotions of Blake Bell and Kelly Blacker to President positions, the Compensation Committee is now targeting 40% to 50%.
PSU performance targets for Net Revenue and EPS are determined by the Compensation Committee each year in May. The Compensation Committee believes in setting aggressive incentive goals that challenge Executives to perform at a high level. Based on the Company’s performance in 2025, Executives vested in 190% of the 2023 PSU awards as the EPS target was achieved at the maximum level and the Net revenue target achieved was well above the target threshold.
Perquisites and Other Personal Benefits to each Executive are limited to just a $3,000 matching contribution to their 401K savings plan. This same matching contribution is available to all U.S. employees that participate in the 401K savings plan. The Board of Directors believe that any other perquisites the Executive may desire should be purchased by them directly at their own expense, not that of the Company’s.
Notice of Annual Meeting & Proxy Statement | 24
Compensation: What We Do and Don't Do
|
|
|
What We Do |
What We Don't Do |
Pay decisions are made by independent Directors; the Committees and the full Board meet regularly in executive session without management present |
No guaranteed bonuses |
Pay for performance (over 80% of CEO pay is 'at risk' and directly linked to performance) |
No pay disconnected from performance (excluding modest base salaries) |
Focus on multiple performance metrics |
No perquisites |
Increase the NEO allocation of the Executive Incentive Compensation pool at time of promotion |
No arbitrary increases to the NEO allocation of the Executive Incentive Compensation pool |
Reduce the NEO allocation of the Executive Incentive Compensation Pool over time |
No supplemental pension benefits |
Limit the NEO allocation of the Executive Incentive Compensation Pool to preset allocation percentages |
No repricing of underwater options |
Strictly tie NEO Executive Incentive Compensation to U.S. GAAP operating income |
No hedging or pledging of Company shares allowed by employees or the Board of Directors |
Payouts to NEO and other Senior Executives from the Executive Incentive Compensation Pool are reduced by 5% if operating income does not grow by more than 5% |
No tax gross-ups paid on severance benefits |
Double trigger vesting of unvested equity upon a change in control |
|
Work with an independent compensation consultant |
|
Align with shareholders through PSU and RSU awards |
|
Maintain executive and outside Director share ownership guidelines |
|
Incentive compensation is subject to clawback policy |
|
Seek shareholder approval for NEO compensation agreements that provide termination benefits in excess of 2.99 times base salary plus target short-term bonus |
|
Engage shareholders on compensation matters |
|
Effect of Proposal
The Say-on-Pay proposal is non-binding on the Board of Directors. The approval or disapproval of this proposal by shareholders will not require the Board of Directors or the Compensation Committee to take any action regarding NEO compensation. The final decision on NEO compensation remains with the Board of Directors and/or its Compensation Committee. Although non-binding, the Board of Directors and the Compensation Committee will review and consider the voting results when making future decisions regarding NEO compensation.
|
|
|
|
ü |
|
The Board of Directors recommends a vote FOR this proposal. |
Notice of Annual Meeting & Proxy Statement | 25
COMPENSATION DISCUSSION & ANALYSIS
This Compensation Discussion and Analysis (CD&A) describes the Company’s executive compensation program in 2025. This CD&A explains how the Compensation Committee (the Committee) of the Board of Directors made its compensation decisions for the Company’s executives, including the following NEO:
•Daniel R. Wall, President and Chief Executive Officer
•Jeffrey S. Musser, President and Chief Executive Officer (retired March 31, 2025)
•Blake R. Bell, President - Global Business Development
•Kelly K. Blacker, President - Global Geographies
•Roberto A. Martinez, President - Global Products
•David A. Hackett, Senior Vice President and Chief Financial Officer
•Bradley S. Powell, Senior Vice President and Chief Financial Officer (retired September 30, 2025)
Our Compensation Philosophy
Our Company is committed to a strong pay-for-performance compensation philosophy that is a foundational characteristic of our Company’s culture. While we have implemented changes to our CEO and other NEO compensation over the years, the core compensation structure, which has been in place since the Company became publicly traded, is responsible for differentiating the Company’s performance from that of many of our competitors.
The objective of our core compensation program is to enhance shareholder value over the long term by:
•encouraging each manager to think and act as an owner and entrepreneur.
•establishing compensation levels that are not perceived as arbitrary.
•providing financial rewards that are team-oriented and reflect achieved performance.
•aligning the interests of the individual employee with the goals of the Company and returns to our shareholders.
Our core compensation programs directly serve the interests of our Company and its stakeholders through:
•Supporting a culture that results in low turnover and long-tenured employees who look to make a career at Expeditors. Low turnover substantially reduces our cost to recruit and train new hires. Long-tenured employees and managers provide a strong and growing bench strength. This is evidenced by the long tenure of our top managers: our NEO average tenure with the Company is 29 years.
•Rewarding management for achieved performance. Our core 2008 Executive Incentive Compensation Plan will deliver compensation only if we have positive operating income. The level of incentive compensation paid is directly tied to performance. Future increases in incentive compensation payouts are dependent upon management’s ability to increase our net revenues, operating income, and EPS year over year. PSU awards will only vest if management achieves aggressive incentive goals for growing net revenue and EPS over a three-year period.
•Increasing value over the long term. Our emphasis on net revenue, operating income, EPS and equity participation in the design of our compensation programs is due to their strong correlation to growing enterprise value. For example, during the 10-year time period ended December 31, 2025, annual operating income has increased from $670 million to $1,053 million, and annual earnings per share has increased from $2.36 to $5.95. Our focus on cash management has allowed us to increase our dividend per-share payment to shareholders each year for over 25 years and reduce the number of outstanding shares from 213 million in 2006 to 134 million shares at the end of 2025 through share repurchases.
The Board believes that the vast majority of an Executive’s compensation needs to be “at-risk” variable compensation linked directly to the performance of the Company. If our Company’s performance is negatively impacted for whatever reason, including events outside or within management’s control, our Executives will bear this risk and take the largest reduction in compensation. This is particularly important because, as a service-based company, our most important asset is our global network of approximately 20,000 employees. Maintaining and cultivating this group of talented employees, even during a market downturn, enables us to provide exceptional service and superior financial results over the long term.
Notice of Annual Meeting & Proxy Statement | 26
Base Salaries
Throughout our history, we have followed a policy of offering our management employees a compensation package that is heavily weighted toward incentive-based compensation. To emphasize at-risk variable pay, we have customarily set annual base salaries of our NEO and other top managers well below competitive market levels.
2008 Executive Incentive Compensation Plan
The 2008 Executive Incentive Compensation Plan is a primary component of our compensation program and is administered and actively managed by the Compensation Committee of the Board of Directors. The core elements of the Plan have been in place since 1985 and its unique design incentivizes our management team to continually increase our operating income, which in turn drives long-term shareholder value. The 2008 Executive Incentive Compensation Plan is designed to drive superior financial results and is effective because of its simplicity, transparency, and focus on a key operating metric.
Operating income captures many elements of managing a healthy business, including:
•growing and maintaining profitable business.
•improving customer satisfaction.
•managing carriers and service provider relationships and costs.
•increasing employee satisfaction and retention.
To be successful, management must optimize the multiple elements of a full income statement, culminating with operating income. This metric is comprehensive, simple, objective and easily understood. It drives both short- and long-term growth and efficiency, and creates a prudent and entrepreneurial environment. We remain committed to our focus on operating income and our view that this broad-based metric is a key driver of shareholder value over the long-term.
Our use of U.S. GAAP operating income rewards management for delivering profitable results. We use U.S. GAAP operating income because we believe that management must be held accountable for our results regardless of external market forces that may adversely affect the level of bonus payouts. Our 2008 Executive Incentive Compensation Plan creates a culture of shared economic interests among our top managers and ensures a universal and daily focus on the achievement of superior financial results. Equally important, our focus on continual improvement in operating income drives long-term shareholder value creation.
Key Terms of the Plan:
The Incentive Pool
In addition to our below-market base salaries, the total incentive cash compensation available to all senior executive management participating in the Incentive Pool, including all NEOs, is limited to 10% of pre-bonus operating income. Individual amounts earned under this plan are determined by participation percentages set by the Compensation Committee at the time of promotion. As a result, incentive compensation to the CEO and to each NEO rises and falls in conjunction with our level of operating income. Executive incentive compensation is directly and inextricably tied to performance.
Eligibility for the Incentive Pool
At the beginning of each quarter, the Compensation Committee determines which executive officers and other key managers are eligible to participate in the 2008 Executive Incentive Compensation Plan. For each quarter, the Committee reviewed and approved each NEO and every member of senior executive management participation in the 2008 Executive Incentive Compensation Plan.
Notice of Annual Meeting & Proxy Statement | 27
Funding the Incentive Pool
Company performance funds an Incentive Pool with up to 10% of our U.S. GAAP operating income before bonus. The Compensation Committee believes that setting the Incentive Pool at a fixed percentage of operating income with fluctuations in the amounts paid directly linked to actual changes in operating income, aligns both the short- and long-term interests of employees and shareholders.
The Company has never incurred an annual or quarterly operating loss since going public in September 1984. Nonetheless, we maintain the following stringent policies in the event that we should incur no or negative operating income for a quarter:
•No incentive payments will be made for a quarter in which we have an operating loss.
•Any cumulative operating losses must be made up by future operating income before we would again start funding the Incentive Pool for incentive payments. For example, if we incurred a $5 million operating loss in the first quarter of a fiscal year, no incentive payments would be made for that quarter. If operating income in the second and third quarter of such fiscal year equaled, in the aggregate, $5 million, we would still make no incentive payments for those quarters. However, in the fourth quarter, if quarterly operating income was positive, the Incentive Pool would be funded and incentive payments would be made to eligible executives.
•The foregoing policy also would apply if operating income, in years that have previously been audited and reported, were to be subsequently adjusted downward. In that situation, no payments under the 2008 Executive Incentive Compensation Plan would be due until future operating income results exceed the amount of the downward adjustment. However, no additional payments would be due if such adjustments increased previously reported fiscal year operating income.
We believe this policy protects shareholder interests while strongly incentivizing our management team to maintain and increase positive operating income every fiscal quarter.
Allocation of the Incentive Pool
The Compensation Committee considers various factors when establishing each participant's allocable share of the Incentive Pool, including:
•The executive’s role and responsibilities within the Company – generally, those executives in the most senior positions are allocated a greater portion of the Incentive Pool than those serving in less senior positions;
•The contribution of the executive in increasing corporate profits and shareholder value;
•An executive’s promotion during the fiscal year; and
•The executive’s tenure with the Company.
For our most senior executive managers, their allocable percentage of the Incentive Pool is likely to decline over time to accommodate additional investments in new areas of growth and personnel.
Since the beginning of 2021, the Compensation Committee has effectively reduced the overall allocation percentages to NEOs by 40%. The Committee did not increase the allocation to any executive position.
The table below shows the percentage of the Incentive Pool allocated to each NEO position at year-end.
|
|
|
|
|
|
|
|
2021 |
2022 |
2023 |
2024 |
2025 |
Chief Executive Officer |
4.7% |
4.5% |
4.5% |
4.5% |
3.2% |
President - Global Business Development |
3.5% |
3.3% |
2.9% |
2.0% |
2.0% |
President - Global Products |
3.1% |
2.9% |
2.0% |
2.0% |
1.7% |
President - Global Geographies |
3.1% |
2.9% |
2.9% |
2.9% |
2.0% |
Chief Financial Officer |
3.5% |
3.3% |
3.3% |
3.3% |
1.9% |
Total Allocation |
17.9% |
16.9% |
15.6% |
14.7% |
10.8% |
Notice of Annual Meeting & Proxy Statement | 28
Beginning in the second quarter of 2025, the following changes in allocation were made:
•The President & CEO position was reduced by 28% when Daniel Wall moved into the role;
•the President, Global Geographies position was reduced by 40% when Kelly Blacker moved into the role;
•the President, Global Products position was reduced by 13% when Roberto Martinez was promoted into the role; and
•the SVP & Chief Financial Officer position was reduced by more than 40% when David Hackett moved into the role.
Determining Payouts Under the Incentive Pool
Payouts under the Plan were determined by multiplying the Incentive Pool by each participant’s allocable portion of the Incentive Pool. For each quarter of fiscal years 2021-2025, we had positive operating income, which resulted in the funding of the Incentive Pool.
5% Growth Performance Requirement
The Compensation Committee established a practice that a minimum of 5% growth in operating income over the comparable prior-year quarter is required to earn full payout of the incentive payment. That 5% minimum growth requirement was put in place for the CEO in 2017, and for all NEO and senior executives in 2020. Compensation for NEO and senior executives was reduced by 5% for all periods that did not meet the growth criteria since the requirement was adopted, including the third and fourth quarters of 2025.
The Executive Incentive Compensation Plan does not include a minimum (floor) or maximum (cap) level of compensation. It is designed to be 100% variable “at risk” compensation based on U.S. GAAP operating income performance. As this plan is directly tied to Company performance, the payouts under this plan can range from zero-to-unlimited depending on the amount of operating profit. The Compensation Committee does not believe it is in the best interest of shareholders to set a floor or a cap on payouts to executives under this plan. As described above, the Compensation Committee actively manage all elements of this plan, including allocation percentages assigned and payouts to each executive officer. The Compensation Committee believes this high level of independent oversight is appropriate to assure shareholders that compensation levels and associated risks are appropriate.
Determination of NEO RSU Grants
The Compensation Committee considered various factors in determining the amount of each RSU grant to NEOs for 2025, including:
•Executive officer performance during the past 12 months, including noteworthy accomplishments;
•Targeted NEO equity-to-overall compensation ratio;
•Tenure with the Company;
•Current position and responsibilities; and
•Amount of grant relative to peers within the Company.
RSU grants vest 1/3 on each successive one-year anniversary of the grant date.
PSU Grants to CEO and Senior Executive Management
To further align NEO and senior executive management long-term incentive compensation with shareholders’ interests and focus on long-term performance, the Compensation Committee grants performance share units (PSU) subject to vesting only if 3-year performance goals were achieved for Net Revenues and EPS, weighted 25% and 75% respectively. The PSU are awarded in May each year under the Amended and Restated 2017 Omnibus Incentive Plan (the Amended 2017 Plan) that was approved by shareholders. PSU incentive goals are established by the Compensation Committee with the intent that performance in-line with our operating plans should result in a payout that is approximately at target. In order to achieve the maximum goals, performance would have to exceed our operating plans to a significant degree. Threshold performance goals were set at a level that was meant to be attainable and below which the Company could not justify a vesting. In evaluating the difficulty of our target performance goals, the Compensation Committee believes these goals are challenging.
As disclosed in our Annual Report to Shareholders in Form 10-K, the Company has a policy against issuing financial forecasts or projections or confirming the accuracy of forecasts or projections issued by others. In accordance with this long-standing policy, we do not disclose PSU targets that vest in the future.
2023 PSU Performance Criteria & Discussion
The performance period of 2023 PSU awards to NEO and to senior executive management was January 1, 2025 to December 31, 2025. In setting targets for the 2023 PSU in May 2023, the Compensation Committee considered a number
Notice of Annual Meeting & Proxy Statement | 29
of factors, including the Company’s past performance; current strategies and initiatives; estimated share repurchases; expected macro-economic forces; and global trade expectations. Following the end of the performance period, the Compensation Committee considers the Company’s actual performance compared to targets, including the effect of any significant items during the performance period in making its final determination. The final number of shares earned by NEO is shown in the table below.
|
|
|
|
|
|
|
|
|
|
|
|
PSU Performance Criteria |
|
Weighting |
|
Threshold |
|
Target |
|
Maximum |
|
Actual |
Percent of PSU Earned: |
|
|
|
50% |
|
100% |
|
200% |
|
190% |
Cumulative EPS Growth: |
|
75% |
|
$3.65 |
|
$4.56 |
|
$5.47 |
|
$5.95 |
Net Revenues Growth (in millions): |
|
25% |
|
$2,614 |
|
$3,268 |
|
$3,921 |
|
$3,667 |
PSU Awarded and Actual Vested: (1) |
|
|
|
17,067 |
|
34,134 |
|
68,268 |
|
67,271 |
(1) Actual PSU awarded includes 2,327 dividend equivalents earned since the grant date.
RSU & PSU Vesting and Retirement Eligibility
RSU grants vest 1/3 on each successive one-year anniversary of the grant date. PSU grants vest only if performance goals are achieved for net revenue and EPS growth in the second calendar year after grant. The RSU and PSU awards under the Amended 2017 Plan include a dividend equivalent that vests commensurately with the underlying award. In addition, senior executive management who have either (i) attained the age of 55 and completed at least 10 years of continuous service, or (ii) completed at least 30 years of continuous service are deemed "retirement eligible." All NEOs are retirement-eligible, except for Mr. Hackett and Mr. Martinez. Upon the retirement, death or disability of a retirement-eligible senior executive manager, RSU grants vest immediately and PSU grants will vest at the end of the applicable performance period. See “Potential Payments upon Termination & Change in Control” for a description of the treatment of RSU and PSU awards upon an involuntary termination with cause and without cause and a voluntary termination for good reason.
Perquisites & Other Personal Benefits
The Company provides no perquisites or personal benefits to our NEOs that are not available to all employees. The Company provides standard benefits packages to all employees that vary by country, based on individual country regulations. Further, the Company does not provide tax “gross-ups” on change in control severance benefits or any other type of benefit.
Risk & Compensation Clawback Recovery
Because the 2008 Executive Incentive Compensation Plan is based on cumulative operating income, any operating losses that are incurred must be recovered from future operating income before any amounts would be due to participants. Since a significant portion of executive compensation comes from the 2008 Executive Incentive Compensation Plan, the Company believes that this cumulative feature is a disincentive to excessive risk taking by its senior executive managers. No one individual has the authority to commit the Company to excessive risk taking. Due to the nature of the Company’s services, its business transactions have a short operating cycle. The outcome of any higher-risk transactions, such as overriding established credit limits, would be known in a relatively short time frame. Management believes that when the potential impact on the bonus is considered in light of this short operating cycle, the potential for chasing short-term gains that might be generated by higher-risk business practices is sufficiently mitigated. Management believes that both the stability and the long-term growth in operating income and net earnings the Company has experienced over the years are a result of the incentives and recovery mechanism inherent in the Company’s compensation programs. Awards under the 2017 Plan (including any shares subject to an Award) are subject to any Company policy providing for recovery, recoupment, clawback and/or other forfeiture. In addition, the Company's "Incentive Compensation Recovery Policy" related to financial restatements includes not just the CEO and Chief Financial Officer (CFO), but all members of senior executive management.
Notice of Annual Meeting & Proxy Statement | 30
Incentive Compensation Recovery Policy
In November 2023, our Board adopted an Incentive Compensation Recovery policy, which amended the Company’s previous clawback policy, and complies with recently enacted SEC rules and NYSE listing standards. The policy requires the Company to recoup incentive-based compensation from our NEOs and senior executives in the event the Company issues a restatement of its financial statements, to the extent such incentive-based compensation received by the individual exceeds the amount the individual would have received based on the restated financial statements. Incentive compensation may also be recouped from certain other employees of the Company under these circumstances under the policy if deemed appropriate by the Compensation Committee.
Role of the Compensation Committee, Management & Consultants
Compensation decisions, other than compensation and equity grant determinations for the CEO, are made in consultation with the CEO. Compensation decisions for the CEO are made by our Compensation Committee and approved by our full Board. With respect to the 2008 Executive Incentive Compensation Plan, the CEO recommends allocation percentages for all participating executive officers, which must be reviewed and approved by the Compensation Committee.
The Board believes in overall total compensation targets that are consistent with the underlying compensation philosophy of the Company. The Company recognizes that because it operates in the highly competitive global logistics services industry, the quality of its service depends upon the quality of the executives and other employees it is able to attract and retain. In order to succeed, the Company believes that it must be able to attract and retain qualified executives and employees. The Compensation Committee considers the competitiveness of the entire compensation package of an executive officer relative to that paid by similar companies when evaluating the adequacy of base salaries, the percentage allocations of the 2008 Executive Incentive Compensation Plan and equity grants. The Company’s objective is to offer a total compensation package, which gives the executive officer the opportunity to be rewarded at a level believed to be superior to that offered by the Company’s competitors in the global logistics services industry. The Company believes that the opportunity for achieving superior levels of compensation is predicated on achieving sustained, long-term profitable results that are superior to those of its competitors.
The Compensation Committee used benchmark data on a limited basis to review base salaries and other compensation information and practices disclosed by certain U.S. publicly traded companies in the logistics and transportation industry. The benchmark data has confirmed that the Company’s compensation packages offered to executives are competitive and give executives appropriate incentives to retain and gain profitable customers and grow the Company’s services. Benchmark data was derived from proxy statements filed by Alaska Air Group, Inc., CH Robinson Worldwide, Inc., CSX Corp., Expedia Group, Inc., GXO Logistics, Inc., JB Hunt Transport Services, Inc., Knight-Swift Transportation Holdings, Inc., Norfolk Southern Corp., Old Dominion Freight Line, Inc., Ryder System, Inc., Schneider National, Inc., TFI International, Inc., Union Pacific Corp., and XPO Logistics. While these companies vary in size in terms of revenue, the Compensation Committee believes the benchmark data derived from this group of companies is useful for the limited comparisons described above.
Since 2016, the Compensation Committee has engaged Meridian Compensation Partners, LLC (Meridian) to provide advice on executive and Director compensation matters. The Compensation Committee has assessed the independence of Meridian pursuant to SEC and NYSE rules and determined that no conflict of interest exists that would prevent Meridian from providing independent and objective advice to the Compensation Committee. Meridian has provided consulting services only as directed by the Compensation Committee. Meridian reports directly to the Compensation Committee and does not provide any other services to the Company.
Employment Agreements
The Company has entered into employment agreements with each NEO. Each employment agreement is automatically renewable upon expiration for additional one-year periods unless either party elects otherwise.
Notice of Annual Meeting & Proxy Statement | 31
Executive Stock Ownership Policy
The Company maintains executive stock ownership guidelines which are governed by the Compensation Committee. These stock ownership guidelines are applicable to our NEOs and certain other senior management holding a title of Senior Vice President or above. These guidelines are designed to increase executives’ equity stakes in the Company and to further align executives’ interests with those of shareholders. The guidelines require covered executives to own shares of the Company’s Common Stock sufficient to satisfy the amount specified below as a multiple of the executive’s annual base salary:
|
|
|
|
|
Guidelines |
Chief Executive Officer |
60 x Base Salary |
$6,000,000 |
President, Executive Vice President, or Chief Financial Officer |
20 x Base Salary |
$2,000,000 |
Senior Vice President |
10 x Base Salary |
$1,000,000 |
Executives in the positions above need to achieve the corresponding ownership target within five years of the earlier of promotion to the position or the policy revision date. This policy, revised by the Board of Directors in November 2023, excludes stock option and PSU grants in the ownership calculation and includes RSU grants. Further, each Executive in the positions above must hold at least 50% of the guideline amount in Company’s Common Stock. As of December 31, 2025, all of our NEO are in compliance with these ownership guidelines.
All executives must hold 75% of the net after-tax shares received upon vesting of any PSU and RSU until their respective stock ownership guidelines are achieved.
Insider Trading Policy
The Company’s Insider Trading Policy prohibits its Board of Directors and employees from hedging or pledging their ownership of Company stock, including trading in publicly traded options, puts, calls or other derivative instruments related to Company stock. The Insider Trading Policy has been reasonably designed to promote compliance with insider trading laws, rules and regulations, and any listing standards of the NYSE. A copy of the policy has been incorporated by reference as Exhibit 19 to the Company’s Annual Report on Form 10-K for the fiscal year ended December 31, 2025. All transactions by the Company in its stock, such as pursuant to its Discretionary Stock Repurchase Plan, are conducted during open trading windows or in compliance with the SEC's Rule 10b5-1.
Other Retirement or Disability Payments
Other than for RSU and PSU awards, the Company has no formal obligations to make any payments to any executive officer upon his or her death, disability or retirement except to senior executive management domiciled in countries where statutory regulations require that these benefits be provided to all employees.
The Board will seek shareholder approval of any executive’s new or renewed pay package that provides for severance or termination payments with an estimated value exceeding 2.99 times the sum of the executive’s base salary plus target short-term non-equity incentive plan compensation.
Severance or termination payments include cash, equity or other pay that is paid out or vests due to a senior executive’s termination for any reason. Payments include those provided under employment agreements, severance plans, and change-in-control clauses in long-term equity plans, but not life insurance, pension benefits, or deferred pay earned and vested prior to termination.
Estimated total value includes lump-sum payments, payments offsetting tax liabilities, perquisites or benefits not vested under a plan generally available to management employees, post-employment consulting fees or office expense and equity awards if vesting is accelerated, or a performance condition waived, due to termination.
While there is no legal or contractual obligation to do so, the Company has, on occasion, accelerated the vesting of any unvested RSU grants of employees who pass away.
Compensation Committee Report
The Compensation Committee believes in simple, easy to understand executive incentive compensation plans that are directly aligned with Company performance and focus management on enhancing the long-term value of the Company. The Compensation Committee Charter is available on our website https://investor.expeditors.com/corporate-governance/governance-documents.
Notice of Annual Meeting & Proxy Statement | 32
Compensation Committee
All members of the Compensation Committee are independent according to rules of the Exchange Act and The New York Stock Exchange. The Compensation Committee met four times in 2025.
Compensation Committee Interlocks & Insider Participation
No member of the Committee is or has been an officer or employee of the Company and none had any interlocking relationship with any other entities or of the type that would be required to be disclosed in this Proxy Statement.
Key Responsibilities:
•Administer and actively manage each element of the executive compensation program.
•Annually review and approve corporate goals and objectives relevant to CEO compensation, annually evaluate CEO performance in light of those goals and objectives, and recommend CEO compensation based on that evaluation.
•Approve compensation of all non-CEO executive officers.
•Approve the annual and long-term performance goals for the Company’s incentive plans, including targets in PSU awards.
•Ensure that incentive compensation programs are consistent with the Company’s annual and long-term performance objectives and do not encourage unnecessary or excessive risk taking.
•Review and recommend base salary, participation level in the 2008 Executive Incentive Compensation Plan and equity grants to the CEO, other NEO and senior executive management, subject to approval by the Board.
•Review and recommend compensation of non-management Directors.
•Oversee enterprise risks assigned to Committee by the Board.
The Compensation Committee believes that the compensation for the CEO and other NEO are consistent with its philosophy, incentive compensation plans and the objectives described above. The Compensation Committee has reviewed and discussed the Compensation Discussion and Analysis required by Item 402(b) of Regulation S-K with management and, based on such review and discussions, the Compensation Committee recommended to the Board that the Compensation Discussion and Analysis be included in this Proxy Statement.
Compensation Committee of the Board of Directors:
Mark Emmert, Chair
Diane Gulyas
Brandon Pedersen
Notice of Annual Meeting & Proxy Statement | 33
Summary Compensation Table for the Fiscal Year Ended December 31, 2025
The table below summarizes the total compensation earned by each NEO for each of the years shown. The Company has entered into employment and indemnification agreements with all of the NEOs.
The NEOs were not entitled to receive payments that would be characterized as “Bonus” payments for the years shown. Amounts listed under “Non-Equity Incentive Plan Compensation” were determined based on percentages of the Incentive Pool that were allocated to each NEO by the Compensation Committee under the 2008 Executive Incentive Compensation Plan based on the factors described in the Compensation Discussion and Analysis contained herein.
Base salaries for the NEO accounted for less than 3% of their total compensation, except for newly appointed NEO, and “at-risk” compensation accounted for 68% or more of their total compensation in 2025. Benefits accounted for less than 1% of the total compensation of NEO.
The following table sets out the type and amount of compensation paid to each NEO for the years ended December 31:
|
|
|
|
|
|
|
|
Name & Position |
Year |
Salary |
Stock Awards (1) |
Non-Equity Incentive Plan Compensation |
All Other Compensation (2) |
Total |
Daniel R. Wall (3) |
2025 |
$100,000 |
5,940,134 |
3,600,729 |
3,000 |
$9,643,863 |
President & Chief |
2024 |
$100,000 |
1,169,912 |
3,319,233 |
3,000 |
$4,592,145 |
Executive Officer - formerly President Global Services |
2023 |
$100,000 |
1,169,996 |
2,907,495 |
3,000 |
$4,180,491 |
Jeffrey S. Musser (4) |
2025 |
$25,000 |
- |
1,326,281 |
3,000 |
$1,354,281 |
Former President & Chief |
2024 |
$100,000 |
2,895,480 |
5,085,411 |
3,000 |
$8,083,891 |
Executive Officer |
2023 |
$100,000 |
2,895,774 |
4,454,587 |
3,000 |
$7,453,361 |
Blake R. Bell |
2025 |
$100,000 |
1,973,674 |
2,228,519 |
8,000 |
$4,310,193 |
President – Global |
2024 |
$100,000 |
1,973,752 |
2,215,023 |
3,000 |
$4,291,775 |
Business Development |
2023 |
$100,000 |
1,975,132 |
1,758,141 |
3,000 |
$3,836,273 |
Kelly K. Blacker (5) |
2025 |
$100,000 |
1,973,674 |
2,228,519 |
3,000 |
$4,305,193 |
President – Global |
2024 |
$100,000 |
1,973,752 |
2,215,023 |
3,000 |
$4,291,775 |
Geographies |
2023 |
|
|
|
|
|
Roberto A. Martinez (6) |
2025 |
$100,000 |
1,200,258 |
1,730,695 |
3,000 |
$3,033,953 |
President – Global Products |
2024 |
|
|
|
|
|
|
2023 |
|
|
|
|
|
David A. Hackett (7) |
2025 |
$100,000 |
49,692 |
1,125,217 |
3,000 |
$1,277,909 |
Senior Vice President & |
2024 |
|
|
|
|
|
Chief Financial Officer |
2023 |
|
|
|
|
|
Bradley S. Powell (8) |
2025 |
$75,000 |
1,169,678 |
2,888,485 |
108,000 |
$4,241,163 |
Former Senior Vice President |
2024 |
$100,000 |
1,169,912 |
3,740,295 |
3,000 |
$5,013,207 |
& Chief Financial Officer |
2023 |
$100,000 |
1,169,996 |
3,276,327 |
3,000 |
$4,549,323 |
(1)Represents the aggregate grant date fair value of RSU and PSU awards at target. RSU will vest annually over three years after the grant date or upon retirement, if the NEO is retirement-eligible. All NEO except Roberto A. Martinez and David A. Hackett are retirement-eligible. The PSU value is based upon the probable outcome, as estimated at the grant date, of achieving the performance metrics at target at the end of the three-year performance period.
(2)Represents the Company’s matching contributions, up to a maximum annual Company contribution of $3,000, under an employee savings plan under Section 401(k) of the Code.
(3)Mr. Wall served as President - Global Services during fiscal years 2023 and was President - Global Geographies and Operations, starting in January 2024 and until he was appointed President & Chief Executive Officer effective April 1, 2025. Compensation shown for all years reflects amounts earned in his respective roles.
(4)Mr. Musser served as President & Chief Executive Officer until March 31, 2025. Compensation shown for 2025 reflects amounts earned through his retirement date. Mr. Musser did not receive any severance or post-employment payments.
(5)Ms. Blacker was not a NEO of the Company in 2023.
(6)Mr. Martinez was not an NEO of the Company in 2023 and 2024.
(7)Mr. Hackett was appointed Senior Vice President & Chief Financial Officer effective October 1, 2025. Compensation shown for 2025 reflects amounts earned for the full year in his respective roles. Mr. Hackett was not an NEO in prior years; therefore, no compensation is reported for 2023 or 2024.
(8)Mr. Powell served as Senior Vice President & Chief Financial Officer until September 30, 2025. Compensation shown for 2025 reflects amounts earned through his retirement date. Other compensation includes $100,000 received for a non-compete provision under his employment agreement. Mr. Powell did not receive or is not entitled to receive any termination or post-employment payments other than those disclosed under this table.
Notice of Annual Meeting & Proxy Statement | 34
Grants of Plan-Based Awards Table
The following table sets forth certain information regarding awards granted to each NEO during the year ended December 31, 2025:
|
|
|
|
|
|
|
|
|
|
|
|
|
|
Estimated Future Payouts Under Non-Equity Incentive Plan Awards (1) |
Estimated Future Payouts Under Equity Incentive Plan Awards (2) |
|
|
|
Name |
Grant Date of Equity Awards |
Threshold |
Target |
Maximum |
Threshold |
Target |
Maximum |
All Other Stock Awards³ |
Closing Price on Grant Date |
Grant Date Fair Value of Stock Awards |
Daniel R. Wall (4) |
5/6/2025 |
— |
$3,600,729 |
— |
13,986 |
27,972 |
55,944 |
— |
$106.18 |
$2,970,067 |
|
5/6/2025 |
— |
— |
— |
— |
— |
— |
27,972 |
$106.18 |
$2,970,067 |
Jeffrey S. Musser (5) |
5/6/2025 |
— |
$1,326,281 |
— |
— |
— |
— |
— |
— |
— |
|
5/6/2025 |
— |
— |
— |
— |
— |
— |
— |
— |
— |
Blake R. Bell |
5/6/2025 |
— |
$2,228,519 |
— |
4,647 |
9,294 |
18,588 |
— |
$106.18 |
$986,837 |
|
5/6/2025 |
— |
— |
— |
— |
— |
— |
9,294 |
$106.18 |
$986,837 |
Kelly K. Blacker |
5/6/2025 |
— |
$2,228,519 |
— |
4,647 |
9,294 |
18,588 |
— |
$106.18 |
$986,837 |
|
5/6/2025 |
— |
— |
— |
— |
— |
— |
9,294 |
$106.18 |
$986,837 |
Roberto A. Martinez (6) |
5/6/2025 |
— |
$1,730,695 |
— |
2,826 |
5,652 |
11,304 |
— |
$106.18 |
$600,129 |
|
5/6/2025 |
— |
— |
— |
— |
— |
— |
5,652 |
$106.18 |
$600,129 |
David A Hackett (7) |
5/6/2025 |
— |
$1,125,217 |
— |
— |
— |
— |
— |
— |
— |
|
5/6/2025 |
— |
— |
— |
— |
— |
— |
468 |
— |
$49,692 |
Bradley S. Powell (8) |
5/6/2025 |
— |
$2,888,485 |
— |
2,754 |
5,508 |
11,016 |
— |
$106.18 |
$584,839 |
|
5/6/2025 |
— |
— |
— |
— |
— |
— |
5,508 |
$106.18 |
$584,839 |
(1)The total amount available to executive officers and key employees participating in the 2008 Executive Incentive Compensation Plan, including all NEO, is limited to 10% of pre-bonus operating income. Individual amounts earned under this plan are determined by the Compensation Committee based on allocation percentages and any potential downward adjustments implemented by the Compensation Committee. The Company does not use thresholds or targets or maximums in determining levels of compensation under this plan.
(2)PSU grants are made by the Compensation Committee pursuant to the Company’s Amended 2017 Plan. The final number of PSU are determined using an adjustment factor of between half and two times the target PSU amount, depending on the degree of achievement above threshold of the designated net revenue and earnings per share performance targets in the year ended December 31, 2027. If the minimum performance thresholds are not achieved, no shares will be issued. Each PSU vests at the end of the performance period and will convert to one share of the Company's Common Stock within 73 days after the end of the performance period.
(3)RSU grants are made by the Compensation Committee pursuant to the Company’s Amended 2017 Plan. RSU grants vest annually over three years based on continued employment, unless the participant is eligible for retirement, and are settled upon vesting in shares of the Company's Common Stock on a one-for-one basis.
(4)Mr. Wall was appointed President & Chief Executive Officer effective April 1, 2025. Awards shown reflect grants made following his appointment as CEO.
(5)Mr. Musser served as President & Chief Executive Officer until March 31, 2025. Awards shown reflect grants made prior to his departure. No additional awards were granted after his retirement.
(6)Mr. Martinez was appointed President, Global Products effective June 1, 2025. Equity awards shown reflect grants made before his appointment. He was not a Named Executive Officer in prior years. No additional awards were granted after his appointment.
(7)Mr. Hackett was appointed Senior Vice President & Chief Financial Officer effective October 1, 2025. Equity awards shown reflect grants made before his appointment. He was not a Named Executive Officer in prior years. No additional equity awards were granted after his appointment.
(8)Mr. Powell served as Senior Vice President & Chief Financial Officer until September 30, 2025. Awards shown reflect grants made prior to his departure. No additional equity awards were granted after his retirement.
Notice of Annual Meeting & Proxy Statement | 35
Option Exercises, Shares Vested & Year-End Equity Value Tables
The following table sets forth certain information regarding options exercised and RSU and PSU vested for each NEO during the year ended December 31, 2025:
|
|
|
|
|
|
|
Option Exercises |
Stock Awards |
Name |
Number of Shares Acquired on Exercise |
Value Realized on Exercise |
Number of Shares Acquired on Vesting (1) |
Value Realized on Vesting (1)(2) |
Daniel R. Wall |
— |
— |
15,631 |
$2,004,913 |
Jeffrey S. Musser (3) |
— |
— |
51,705 |
$6,527,594 |
Blake R. Bell |
— |
— |
17,892 |
$2,463,434 |
Kelly K. Blacker |
— |
— |
9,080 |
$1,117,484 |
Roberto A. Martinez |
— |
— |
1,239 |
$132,679 |
David A. Hackett |
— |
— |
143 |
$15,184 |
Bradley S. Powell (4) |
— |
— |
15,631 |
$3,332,931 |
(1)Includes dividend equivalents.
(2)Represents the market price of the Company's Common Stock at the vesting date, multiplied by the number of RSU vested. The amounts include 57,092 total PSU awarded to the NEOs in 2023 that vested at the end of the 2025 performance period with a realized value of $138.83 per share. The PSU were settled on February 24, 2026.
(3)Includes 13,017 RSU vested as of March 31, 2025 upon retirement that were not distributed in 2025. These awards are valued at the closing market stock price on that date of $120.25. These awards will be distributed according to the original vesting schedule at time of grant.
(4)Includes 10,833 RSU vested as of September 30, 2025 upon retirement that were not distributed in 2025. These awards are valued at the closing market stock price on that date of $122.59. These awards will be distributed according to the original vesting schedule at time of grant.
Policies and Practices Related to the Grant of Certain Equity Awards Close in Time to the Release of Material Nonpublic Information
As discussed above under Compensation Discussion & Analysis, the Company includes RSUs and PSUs as an important component of its compensation practices, but has not granted options or option-like equity grants since 2016. As a result, the Company has not adopted policies relating to the timing of option-like awards in relation to the disclosure of material nonpublic information by the Company. If the Company does determine to grant options or option-like awards in the future, it would consider adopting such a policy at that time.
Notice of Annual Meeting & Proxy Statement | 36
The following table sets forth equity awards held by the NEO at December 31, 2025:
|
|
|
|
|
|
|
|
|
|
|
Option Awards |
|
|
|
|
|
|
Year of Grant |
Exercisable |
Exercise or Base Price |
Option Expiration Date |
|
Number of Unvested Stock Unit Awards (1) |
Market Value of Unvested Stock Unit Awards (2) |
Number of Unearned and Unvested Stock Unit Awards (3) |
Market Value of Unearned and Unvested Unit Awards (2) |
Daniel R. Wall (4) |
|
|
|
|
|
2025 |
— |
— |
— |
|
28,302 |
$4,217,281 |
28,302 |
$4,217,281 |
2024 |
— |
— |
— |
|
3,476 |
$517,959 |
5,214 |
$776,938 |
2023 |
— |
— |
— |
|
1,784 |
$265,834 |
— |
— |
Jeffrey S. Musser - Former CEO (5) |
|
|
|
|
|
2025 |
— |
— |
— |
|
— |
— |
— |
— |
2024 |
— |
— |
— |
|
— |
— |
12,903 |
$1,922,676 |
2023 |
— |
— |
— |
|
— |
— |
— |
— |
Blake R. Bell |
|
|
|
|
|
2025 |
— |
— |
— |
|
9,404 |
$1,401,290 |
9,404 |
$1,401,290 |
2024 |
— |
— |
— |
|
5,865 |
$873,944 |
8,796 |
$1,310,692 |
2023 |
— |
— |
— |
|
3,012 |
$448,818 |
— |
— |
Kelly K. Blacker |
|
|
|
|
|
2025 |
— |
— |
— |
|
9,404 |
$1,401,290 |
9,404 |
$1,401,290 |
2024 |
— |
— |
— |
|
5,865 |
$873,944 |
8,796 |
$1,310,692 |
2023 |
— |
— |
— |
|
793 |
$118,165 |
— |
— |
Roberto A. Martinez |
|
|
|
|
|
2025 |
— |
— |
— |
|
5,719 |
$852,188 |
5,719 |
$852,188 |
2024 |
— |
— |
— |
|
1,848 |
$275,370 |
2,771 |
$412,907 |
2023 |
— |
— |
— |
|
156 |
$23,246 |
— |
— |
David A. Hackett (6) |
|
|
|
|
|
2025 |
— |
— |
— |
|
474 |
$70,631 |
— |
— |
2024 |
— |
— |
— |
|
292 |
$43,511 |
— |
— |
2023 |
— |
— |
— |
|
— |
— |
— |
— |
Bradley S. Powell - Former CFO (7) |
|
|
|
|
|
2025 |
— |
— |
— |
|
— |
— |
5,573 |
$830,433 |
2024 |
— |
— |
— |
|
— |
— |
5,214 |
$776,938 |
2023 |
— |
— |
— |
|
— |
— |
— |
— |
(1)RSU awards vest annually over 3 years from the date they are granted and include dividend equivalents.
(2)Market value determined by the closing market stock price of $149.01 on December 31, 2025.
(3)Assumes PSU payout at target levels. PSU granted in 2024 and 2025 will vest on December 31, 2026 and December 31, 2027, respectively, only if 3-year performance goals are achieved for Net Revenue and EPS. PSU includes dividend equivalents based on target levels.
(4)Mr. Wall was promoted to Chief Executive Officer on April 1, 2025. The table includes all equity awards outstanding as of December 31, 2025, including PSUs and RSUs granted while serving as CEO and those granted prior to his nomination.
(5)Upon Mr. Musser's retirement at March 31, 2025, all of his unvested RSU awards became vested.
(6)Mr. Martinez and Mr. Hackett were promoted to President, Global Geographies on June 1, 2025 and Chief Financial Officer on October 1, 2025, respectively. Outstanding RSUs include all their outstanding awards including those granted prior to their nominations.
(7)Upon Mr. Powell's retirement at September 30, 2025, all of his unvested RSU awards became vested.
Notice of Annual Meeting & Proxy Statement | 37
Potential Payments upon Termination & Change in Control
The Company has employment agreements with each NEO and maintains certain plans under which it provides compensation to the NEO in the event of a termination of employment or a change in control.
The following table and accompanying footnotes illustrate the payments that would be due to each NEO under all applicable termination scenarios, assuming the triggering event took place on December 31, 2025:
|
|
|
|
|
|
|
|
Voluntary |
Involuntary |
|
|
Involuntary |
Termination |
Termination |
|
|
Termination |
Including |
without |
Death or |
|
with Cause (1) |
Retirement (2,3,4) |
Cause (1,2,3,4) |
Disability (5) |
Daniel R. Wall |
|
|
|
|
Employment Agreement |
— |
$100,000 |
$1,850,365 |
— |
Restricted Stock Units |
— |
5,001,074 |
5,001,074 |
$5,001,074 |
Performance Stock Units |
— |
4,994,219 |
4,994,219 |
4,994,219 |
Total |
— |
$10,095,293 |
$11,845,658 |
$9,995,293 |
Blake R. Bell |
|
|
|
|
Employment Agreement |
— |
$100,000 |
$1,164,260 |
— |
Restricted Stock Units |
— |
2,724,052 |
2,724,052 |
$2,724,052 |
Performance Stock Units |
— |
2,711,982 |
2,711,982 |
2,711,982 |
Total |
— |
$5,536,034 |
$6,600,294 |
$5,436,034 |
Kelly K. Blacker |
|
|
|
|
Employment Agreement |
— |
$100,000 |
$1,164,260 |
— |
Restricted Stock Units |
— |
2,393,399 |
2,393,399 |
$2,393,399 |
Performance Stock Units |
— |
2,711,982 |
2,711,982 |
2,711,982 |
Total |
— |
$5,205,381 |
$6,269,641 |
$5,105,381 |
Roberto A. Martinez |
|
|
|
|
Employment Agreement |
— |
$100,000 |
$915,348 |
— |
Restricted Stock Units |
— |
— |
444,994 |
— |
Performance Stock Units |
— |
— |
471,114 |
— |
Total |
— |
$100,000 |
$1,831,456 |
— |
David A. Hackett |
|
|
|
|
Employment Agreement |
— |
$100,000 |
$612,609 |
— |
Restricted Stock Units |
— |
— |
49,819 |
— |
Performance Stock Units |
— |
— |
— |
— |
Total |
— |
$100,000 |
$662,428 |
— |
(1)The term “cause” as defined in the employment agreement is any act of an executive officer, which in the reasonable judgment of the Board of Directors, constitutes dishonesty, larceny, fraud, deceit, gross negligence, a crime involving moral turpitude, willful misrepresentation to shareholders, Directors or officers or material breach of the employment agreement.
(2)NEO are retirement eligible if they either have (i) attained the age of 55 and completed at least 10 years of continuous service, or (ii) completed at least 30 years of continuous service. All NEO were retirement eligible except Roberto Martinez and David Hackett. With respect to RSU and PSU grants, “retirement” means the voluntary or involuntary termination of employment for any reason other than for cause, disability or death. Upon such voluntary or involuntary termination of employment for any reason other than for cause, disability or death, for retirement eligible NEO RSU vest and PSU awards vest at the end of the performance period based on actual performance.
(3)For PSU awards, if terminated prior to the commencement or completion of a performance period, then (i) unvested PSU granted during the prior six-month period will be forfeited; (ii) provided that the NEO timely executes a waiver and release of claims against the Company, a prorated portion (based on service completed at the time of termination) of unvested PSU will be eligible to become vested at the end of the applicable performance period, based on actual achievement of performance goals; and (iii) all other unvested PSU shall be forfeited. For RSU awards, if terminated prior to a scheduled vesting date, then (i) unvested RSU granted during the prior six month period will be forfeited; (ii) provided that the NEO timely executes a waiver and release of claims against the Company, those RSU that otherwise would have vested during the twelve (12) month period following the NEO’s termination will immediately become vested upon the NEO’s termination; and (iii) all other unvested RSU shall be forfeited. PSU will be paid out shortly after the performance period ends and RSU will be paid out shortly after the scheduled vesting date set forth in the RSU Agreement.
(4)Under their employment agreements all NEO's are subject to a six-month non-compete and a 12-months non-solicitation provision from date of termination. When terminating an executive without cause, the Company must pay the executive officer cash compensation in a lump sum amount equal to 50% of his or her base salary plus 50% of the amount of the preceding twelve months of non-equity incentive compensation, subject to the execution of the Company's separation and release agreement. Following an executive officer's resignation the Company must pay the executive officer a lump sum payment representing one year of the executive officer’s base salary.
(5)Upon the death or disability of an NEO, the NEO or NEO's estate shall be entitled payment or settlement, within 90 days of the NEO's death or disability, of all unvested RSU. Upon death or disability of a retirement-eligible NEO, for PSU, the NEO or NEO’s estate shall be entitled payment or settlement as soon as administratively feasible, assuming that performance would be achieved at the target level with respect to the full amount of PSU.
Notice of Annual Meeting & Proxy Statement | 38
Under NEO employment agreements, no cash payments are due upon a "change in control." The following table and accompanying footnotes illustrate the payments that would be due to each of the NEO under all applicable “change in control” scenarios relative to their equity awards, assuming the triggering event took place on December 31, 2025:
|
|
|
|
|
|
Change in Control with |
Change in Control |
Qualifying Termination after a |
|
RSU/PSU Replacement |
without RSU/PSU |
Change in Control with RSU/PSU |
|
Awards (1,2) |
Replacement Awards (1,2,3) |
Replacement Awards (1,2,4,5) |
Daniel R. Wall |
|
|
|
Restricted Stock Units |
— |
$5,001,074 |
$5,001,074 |
Performance Share Units |
— |
4,994,219 |
4,994,219 |
Total |
— |
$9,995,293 |
$9,995,293 |
Blake R. Bell |
|
|
|
Restricted Stock Units |
— |
$2,724,052 |
$2,724,052 |
Performance Share Units |
— |
2,711,982 |
2,711,982 |
Total |
— |
$5,436,034 |
$5,436,034 |
Kelly K. Blacker |
|
|
|
Restricted Stock Units |
— |
$2,393,399 |
$2,393,399 |
Performance Share Units |
— |
2,711,982 |
2,711,982 |
Total |
— |
$5,105,381 |
$5,105,381 |
Roberto A. Martinez |
|
|
|
Restricted Stock Units |
— |
$444,994 |
$444,994 |
Performance Share Units |
— |
471,114 |
471,114 |
Total |
— |
$916,108 |
$916,108 |
David A. Hackett |
|
|
|
Restricted Stock Units |
— |
$49,819 |
$49,819 |
Performance Share Units |
— |
— |
— |
Total |
— |
$49,819 |
$49,819 |
(1)“Change in Control” means any of the following: (a) when any person (with certain exceptions) becomes the beneficial owner, directly or indirectly, of 50% of the Company’s then outstanding securities,(b) when a transaction requiring shareholder approval occurs involving the sale of all, or substantially all, of the assets of the Company or a merger of the Company with or into another company, or (c) "Continuing Directors" (as defined in the Amended 2017 Plan) cease to constitute a majority of the Board other than due to death, retirement or disability, or (d) shareholder approval of a complete liquidation or dissolution of the Company.
(2)An unmodified RSU or PSU surviving a Change in Control would qualify as a "Replacement Award."
(3)For PSU assumes that actual performance through the date of the Change in Control is not greater than the PSU at "target" level. PSU issuance is to occur within 30 days of the Change in Control event.
(4)The term "Qualifying Termination" is an involuntary termination without cause or a voluntary termination with Good Reason that occurs within two years of a Change in Control involving Replacement Awards. Issuance to occur within 60 days of the Qualifying Termination.
(5)For PSU assumes that actual performance through the date of the Change in Control is not greater than the PSU at "target" level. PSU issuance is to occur within 60 days of the Qualifying Termination.
Securities Authorized for Issuance Under Equity Compensation Plans
The following table provides information as of December 31, 2025 regarding compensation plans under which equity securities of the Company are authorized for issuance:
|
|
|
|
|
|
(a) |
(b) |
(c) |
|
|
|
Number of Securities |
|
|
|
Available for Future |
|
Number of Securities to |
Weighted-Average |
Issuance Under Equity |
|
be Issued Upon Exercise |
Exercise Price of |
Compensation Plans |
|
of Outstanding Options & |
Outstanding Options & |
(Excluding Securities |
Plan Category |
Rights (1) |
Rights (2) |
Reflected in Column (a)) (3) |
Equity Compensation Plans Approved by Security Holders |
1,120,821 |
$47.35 |
4,099,757 |
Equity Compensation Plans Not Approved by Security Holders |
— |
— |
— |
Total |
1,120,821 |
$47.35 |
4,099,757 |
(1)Represents shares issuable upon exercise of outstanding stock options, vesting of outstanding restricted stock units and performance stock units that will vest if target levels are achieved.
(2)The weighted average exercise price does not take into account the shares issuable upon vesting of outstanding restricted stock units and performance stock units, which have no exercise price.
(3)Includes 3,421,226 available for issuance under the employee stock purchase plan and 678,531 available for future grants of equity awards under the Amended 2017 Plan.
Notice of Annual Meeting & Proxy Statement | 39
PROPOSAL NO. 3:
RATIFICATION OF INDEPENDENT REGISTERED PUBLIC ACCOUNTING FIRM
The Audit Committee is directly responsible for the appointment, compensation, retention and oversight of the Company’s independent registered public accounting firm. The Audit Committee is recommending the approval of the appointment of KPMG LLP (KPMG) as registered independent public accountants for the Company to audit the consolidated financial statements for 2026. If shareholders do not approve, the Audit Committee will reconsider the appointment.
Relationship with Independent Registered Public Accounting Firm
KPMG provided the following audit and other services during 2025 and 2024:
|
|
|
|
|
|
2025 |
2024 |
|
Audit Fees |
$4,397,000 |
$3,759,500 |
Includes fees associated with the annual integrated audit of the Company’s consolidated financial statements and internal control over financial reporting, and statutory audits of foreign subsidiaries. |
Audit-Related Fees |
— |
— |
|
Tax Fees |
— |
7,000 |
Fees related to assistance with value-added tax reporting requirements and foreign exchange regulation consultation of foreign subsidiaries. |
All Other Fees |
— |
— |
|
Total Fees |
$4,397,000 |
$3,766,500 |
|
The Audit Committee has established a policy that prohibits the Company from retaining its principal independent registered public accounting firm for any engagements other than those that could be described above as audit, audit-related, and other permitted non-audit services pre-approved by the Audit Committee. In all cases, the Audit Committee approved 100% of the services provided in advance to determine whether they would be compatible with maintaining KPMG’s independence.
The Audit Committee also reviews and approves an annual budget for specific categories of non-audit services (that are detailed as to the particular service), which KPMG is to be permitted to provide (those categories do not include any of the prohibited services in the auditor independence provisions of the Sarbanes-Oxley Act of 2002). This review includes an evaluation of the possible impact of the provision of such services by KPMG on the firm’s independence in performing its audit, audit-related and other permitted non-audit services.
The Audit Committee and the Company’s Board of Directors believe that the continued retention of KPMG as the Company’s independent registered public accounting firm is in the best interests of the Company and its shareholders. The Company has been advised by KPMG that it will have a representative present at the Annual Meeting who will be available to respond to appropriate questions. The representative will also have the opportunity to make a statement if he or she desires to do so.
|
|
|
|
ü |
|
The Board of Directors recommends a vote FOR this proposal. |
Notice of Annual Meeting & Proxy Statement | 40
AUDIT COMMITTEE REPORT
The Audit Committee is dedicated to overseeing all accounting and financial reporting processes, including underlying internal controls, audits, and the transparency of disclosures in the Company’s financial reports. The Audit Committee Charter is available on our website at https://investor.expeditors.com/.
Audit Committee
All members of the Audit Committee are independent under Exchange Act and NYSE rules. The Board has determined that Ms. Polius and Mr. Pedersen qualify as “audit committee financial experts” as defined under applicable SEC rules.
Key Responsibilities:
•Maintain oversight of financial accounting and reporting and underlying internal controls.
•Assist the Board in discharging its fiduciary responsibilities and the adequacy of disclosures to shareholders and to the public.
•Maintain oversight responsibility for the Company’s independent registered public accounting firm.
•Assure the independence of the Company’s independent registered public accounting firm.
•Meet with the Company’s internal audit staff and members of the independent registered public accounting firm to review auditing plans, scopes and findings.
•Facilitate open communication among Directors, the Company’s independent registered public accounting firm, internal auditors and management.
•Oversee enterprise risks assigned to the Committee by the Board.
2025 Committee Highlights
The Audit Committee met four times in 2025. The following represents the primary area of focus from the Committee’s work in 2025 and year-to-date 2026 in carrying out its Key Responsibilities:
•Oversight of actions taken by management to remediate the previously reported material weakness. The Company’s Chief Information Officer, Chief Technology Officer, and Chief Information Security Officer reported monthly and presented at all of the Committee’s meetings regarding their progress toward completion of the plan to remediate and strengthen certain information technology (IT) systems and controls associated with changes made to databases and related applications that support key operational and accounting systems. This oversight included ensuring completion of the following key management actions:
oEngaged PwC US Consulting, LLP to assist management with our entity-wide risk assessment, assessment of control design, and remediation process;
oMaintained a continuous process of ongoing entity wide risk assessments to identify relevant process risk points, IT systems and the information used in the operation of controls;
oHired additional qualified personnel to support the remediation process and the design and implementation of IT controls;
oImplemented additional third-party industry-standard software solutions that aid in tracking changes to databases and related applications and improve controls over system access and monitoring;
oImplemented systems, procedures, and controls designed to strengthen IT change management and logical access processes; and
oConducted ongoing training of personnel to fulfill internal control responsibilities relative to information technology.
Notice of Annual Meeting & Proxy Statement | 41
Management, including the Chief Executive Officer and Chief Financial Officer, under the oversight of our Board of Directors, assessed the effectiveness of the Company's internal control over financial reporting, as of December 31, 2025. In making this assessment, management used the criteria set forth by the Committee of Sponsoring Organizations of the Treadway Commission (COSO) in Internal Control — Integrated Framework (2013). Because of its inherent limitations, internal control over financial reporting may not prevent or detect misstatements. Also, projections of any evaluation of effectiveness to future periods are subject to the risk that controls may become inadequate because of changes in conditions or that the degree of compliance with the policies or procedures may deteriorate. Based on this assessment, management has concluded that, as of December 31, 2025, our internal control over financial reporting was effective.
Management is responsible for the Company’s internal controls and the financial reporting process. The Company’s independent registered public accounting firm is responsible for performing an independent audit of the Company’s consolidated financial statements, and internal control over financial reporting, in accordance with the standards of the Public Company Accounting Oversight Board (United States) (PCAOB) and for issuing reports thereon.
The Audit Committee has reviewed and discussed with management the Company’s audited consolidated financial statements for the year ended December 31, 2025. The Audit Committee has discussed with KPMG, the Company’s independent registered public accounting firm for 2025, the matters required to be discussed under the rules adopted by the PCAOB and the Securities Exchange Commission (SEC) including the remediation of the material weaknesses in internal controls over financial reporting, as well as critical audit matters. In addition, the Audit Committee has received from KPMG the written disclosures and the letter required by the PCAOB regarding KPMG’s communications with the Audit Committee concerning independence and discussed with KPMG the auditor’s independence from the Company and its management.
Based upon the review and discussions referred to above, the Audit Committee recommended to the Board of Directors that the Company’s audited consolidated financial statements be included in its Annual Report on Form 10-K for the fiscal year ended December 31, 2025.
Audit Committee:
Brandon Pedersen, Chair
James DuBois
Olivia Polius
Notice of Annual Meeting & Proxy Statement | 42
OTHER INFORMATION
Majority Vote Standard for Director Elections
The Company’s Bylaws require that in an uncontested election each Director will be elected by the vote of the majority of the votes cast. A majority of votes cast means that the number of shares cast “for” a Director’s election exceeds the number of votes cast “against” that Director. A share that is otherwise present at the meeting but for which there is an abstention, or to which a shareholder gives no authority or direction, shall not be considered a vote cast.
In an uncontested election, a nominee who does not receive a majority of the votes cast will not be elected. An incumbent Director who is not elected because he or she does not receive a majority vote will continue to serve as a holdover Director until the earliest of: (a) 90 days after the date on which an inspector determines the voting results as to that Director; (b) the date on which the Board of Directors appoints an individual to fill the position held by that Director; or (c) the date of the Director’s resignation. Under the Company’s resignation policy, any Director who does not receive a majority vote in an uncontested election will resign immediately.
The Board may fill any vacancy resulting from the non-election of a Director as provided in the Company’s Bylaws. The Nominating and Corporate Governance Committee will consider promptly whether to fill the position of a nominee who fails to receive a majority vote in an uncontested election and may make a recommendation to the Board of Directors about filling the position. The Board will act on the Committee’s recommendation and, within 90 days after the certification of the shareholder vote, will disclose publicly its decision. Except as provided in the next sentence, no Director who fails to receive a majority vote for election will participate in the Committee recommendation or Board decision about filling his or her office. If no Director receives a majority vote in an uncontested election, then the incumbent Directors: (a) will nominate a slate of Directors and hold a special meeting for the purpose of electing those nominees as soon as practicable; and (b) may in the interim fill one or more positions with the same Director(s) who will continue in office until their successors are elected.
2025 CEO Pay Ratio Disclosure
As required by Item 402(u) of Regulation S-K, we are providing the following information to explain the relationship between the annual total compensation of our estimated median employee and the annual total compensation for Daniel R. Wall, current President and Chief Executive Officer (the CEO).
For the year ended December 31, 2025, the annual total compensation of the estimated median employee (other than our CEO) was $52,350. The annualized total compensation of Mr. Wall as CEO was $9,735,290. Based on this information, the ratio of the annual total CEO compensation to the annual total compensation of the estimated median employee was 186 to 1.
This pay ratio is a reasonable estimate calculated in a manner consistent with SEC rules based on our payroll and employment records and the methodology described below. The SEC rules for identifying the median compensated employee and calculating the pay ratio based on that employee’s annual total compensation allow companies to adopt a variety of methodologies, to apply certain exclusions, and to make reasonable estimates and assumptions that reflect their compensation practices. As such, the pay ratio reported by other companies may not be comparable to the pay ratio reported above, as other companies may have different employment and compensation practices, geographic distribution of employees, and mix of salaried vs. hourly employees and may utilize different methodologies, exclusions, estimates and assumptions in calculating their own pay ratios.
To identify the median of the annual total compensation of all our employees, as well as to determine the annual total compensation of the “median employee,” the methodology we used in 2025 was as follows:
i.We determined our employee population (including full-time and part-time), less employees from five countries, as allowed by the pay ratio rules of Item 402(u). The five countries excluded under the de minimis exemption are Bangladesh, Egypt, Indonesia, Pakistan and the Philippines, accounting for less than 3% of employees. U.S. employees accounted for 34% and 35% of total employees before and after the exclusion, respectively.
ii.We used a consistently applied compensation measure, which included base salary, overtime, bonus, commission, and other compensation recorded in our payroll records and annualized the cash compensation recorded in our payroll systems as of December 31, 2025.
iii.For purposes of identifying the median employee, we utilized average foreign exchange rates in 2025.
Notice of Annual Meeting & Proxy Statement | 43
Pay Versus Performance
As required by Item 402(v) of Regulation S-K, we are providing the following information to explain the annual Compensation Actually Paid (CAP) of our principal executive officer (CEO); the average CAP of the other NEO; the Company’s cumulative total shareholder return (TSR); TSR for our self-selected peer group (the Dow Jones Transportation Index); Net Income; and that financial performance measure that we have determined most directly links operational performance to compensation actually paid to our NEOs for the most recently completed fiscal year (Operating Income).
CAP, as determined under SEC requirements, does not reflect the actual amount of compensation earned by or paid to our executive officers during a covered year due to the impact of long-term incentive compensation within our pay program.
The following tables set forth information regarding the current CEO, former CEO, and average other NEO CAP versus financial and operational performance for the last five years; the measures that we deem to be most important when determining executive compensation; and a comparison of CAP to the current CEO, former CEO, and the average CAP to the other NEO versus TSR for our Company and our select peer group and our Company’s Net Income and Operating Income:
|
|
|
|
|
|
|
|
|
|
|
|
|
|
Value of Initial Fixed $100 Investment Based On: |
|
Company- Selected Measure (CSM) |
Year |
Summary Compensation Table Total for Daniel R. Wall (1) |
Compensation Actually Paid to Daniel R. Wall (1)(3)(6)(7)(8)(9) |
Summary Compensation Table Total for Jeffrey S. Musser (2) |
Compensation Actually Paid to Jeffrey S. Musser (2)(3)(6)(7)(8)(9) |
Average Summary Compensation Table Total for Other NEOs (4) |
Average Compensation Actually Paid to Other NEOs (3)(4)(6)(7)(8)(9) |
Total Shareholder Return (5) |
Peer Group: Dow Jones Transportation Average Index Total Shareholder Return (5) |
Net Income ($000) |
Operating Income ($000) |
2025 |
$9,643,863 |
$13,076,863 |
$1,354,281 |
$3,677,208 |
$3,433,682 |
$4,890,079 |
$165.92 |
$148.84 |
$812,048 |
$1,052,546 |
2024 |
|
|
$8,083,891 |
$8,323,770 |
$4,547,226 |
$4,708,841 |
$150.42 |
$156.33 |
$811,633 |
$1,041,323 |
2023 |
|
|
$7,453,361 |
$7,847,316 |
$4,151,877 |
$4,333,992 |
$170.68 |
$154.05 |
$751,779 |
$939,933 |
2022 |
|
|
$10,833,047 |
$8,783,033 |
$6,675,790 |
$5,871,073 |
$137.78 |
$127.86 |
$1,360,605 |
$1,824,371 |
2021 |
|
|
$13,026,304 |
$17,822,709 |
$8,197,868 |
$10,080,541 |
$175.94 |
$155.22 |
$1,418,845 |
$1,909,326 |
(1)Mr.Daniel R. Wall was the CEO beginning April 1, 2025.
(2)Mr. Jeffrey S. Musser was the CEO in 2021, 2022, 2023, 2024 and through March 31, 2025.
(3)SEC rules require certain adjustments be made to the Summary Compensation Table totals to determine “compensation actually paid” as reported in the Pay versus Performance Table. “Compensation actually paid (CAP) amounts include total compensation per the Summary Compensation Table, less grant date fair value of PSUs and RSUs, plus the change in fair value of equity awards during the current year. The table following these footnotes details these adjustments.
(4)The following table shows the CEOs and Non-CEO NEOs for each of 2025, 2024, 2023, 2022 and 2021.
|
|
|
|
Year |
CEO |
Non-CEO NEOs |
2025 |
Jeffrey S. Musser, Daniel R. Wall |
Blake R. Bell, Kelly K. Blacker, Roberto A. Martinez, David A. Hackett, and Bradley S. Powell |
2024 |
Jeffrey S. Musser |
Daniel R. Wall, Blake R. Bell, Kelly K. Blacker, and Bradley S. Powell |
2023 |
Jeffrey S. Musser |
Daniel R. Wall, Richard H. Rostan, Blake R. Bell, and Bradley S. Powell |
2022 |
Jeffrey S. Musser |
Eugene K. Alger, Daniel R. Wall, Richard H. Rostan, and Bradley S. Powell |
2021 |
Jeffrey S. Musser |
Eugene K. Alger, Daniel R. Wall, Richard H. Rostan, and Bradley S. Powell |
(5)Total Shareholder Return is determined based on the value of initial fixed investment of $100 at the beginning of 2021. The Peer Group Total Shareholder Return uses the Dow Jones Transportation Average.
(6)At year-end 2021, PSUs granted in 2019 were remeasured assuming achievement of maximum performance criteria for purposes of CAP compared to target at grant date.
(7)At year-end 2023, PSUs granted in 2022 were remeasured assuming threshold performance criteria will not be achieved for purposes of CAP compared to target at grant date.
(8)At year-end 2024, PSUs granted in 2023 were remeasured assuming performance between target and maximum performance criteria for purposes of CAP compared to target at grant date. PSUs granted in 2022 were remeasured assuming threshold performance will be achieved for purposes of CAP compared to target at grant date.
(9)At year-end 2025, PSUs granted in 2023 were remeasured assuming performance between target and maximum performance criteria for purposes of CAP compared to target at grant date
|
|
|
|
|
|
|
|
|
|
Year |
Executive(s) |
Summary Compensation Table Total |
Subtract Stock Awards |
Add Year-End Equity Value of Current Year Awards |
Change in Value of Prior Equity Awards |
Add Change in Value of Vested Equity Awards |
Subtract Value of Equity Awards that Failed to Meet Vesting Conditions |
Compensation Actually Paid |
2025 |
CEO |
$9,643,863 |
(5,940,134) |
8,434,562 |
395,711 |
542,860 |
— |
$13,076,863 |
|
Former CEO |
$1,354,281 |
— |
— |
464,876 |
1,858,051 |
— |
$3,677,208 |
|
Other NEO |
$3,433,682 |
(1,273,395) |
1,642,120 |
365,327 |
722,345 |
— |
$4,890,079 |
Notice of Annual Meeting & Proxy Statement | 44
We consider the following to be the most important financial performance measures the Company uses to link executive compensation to Company performance.
|
|
Most Important Performance Measures for Determining Executive Compensation |
Operating Income |
Earnings per Share |
Net Revenues (non-GAAP) |
The following chart presents the relationship between CAP to the Current CEO, Former CEO, and the average CAP of other NEO and Total Shareholder Return.

vs TSR Alignment
The graph compares Expeditors International of Washington, Inc.'s cumulative 5-Year total shareholder return on Common Stock with the Dow Jones Transportation Average. The graph assumes an initial fixed investment of $100 in our Common Stock and in the index at the beginning of the period presented. Total return assumes reinvestment of dividends in the index.
Notice of Annual Meeting & Proxy Statement | 45
The following chart presents the relationship between CAP to our Former CEO, Current CEO and the average CAP of other NEO and Operating Income and Net Income.
Mr. Musser retired as CEO on March 31, 2025 and Mr. Wall began serving as CEO on April 1, 2025.
As illustrated in the tables and charts above, CAP and performance are generally aligned, with higher or lower pay in years with growing or declining financial performance. Non-equity incentive compensation is generally closely aligned with operating income and net income. Equity-based compensation, as calculated under CAP regulations, is impacted by changes in our stock price and estimates of achieving future PSU vesting performance targets.
In 2025 the non-equity component of CAP declined significantly, due to lower percentages of the Incentive Pool allocated to NEO, while operating income and net income remained flat. The equity-based component increased due to a larger equity awards grant made to the new CEO, the remeasurement of PSU vesting estimates and an increase in the stock price, which was consistent with TSR performance. In 2024, the non-equity component of CAP increased, as did operating income and net income. The equity-based component decreased due to a decline in stock price, which was consistent with TSR performance, partially offset by the remeasurement of PSU vesting estimates. In 2023, the change in the non-equity component of CEO CAP was consistent with declines in operating income and net income, while the equity-based component increased as a result of a higher stock price, which was consistent with TSR performance. In 2022, the change in CEO CAP was consistent with TSR performance principally as a result of declining equity-based compensation from a lower stock price and actions taken by the Compensation Committee to reduce payouts to CEO and other NEO from the non-equity incentive compensation plan, while operating income and net income were at near record levels. In 2021, the change in CEO CAP was consistent with changes in operating income, net income and TSR performance.
Notice of Annual Meeting & Proxy Statement | 46
Other Business
As of the date of this Proxy Statement, management knows of no other business that will be presented for action at the meeting. If any other business requiring a vote of the shareholders should properly come before the meeting, the persons designated as your proxies will vote or refrain from voting in accordance with their best judgment.
Certain Relationships & Related Transactions
The following section describes, since the beginning of the year ended December 31, 2025, (a) transactions in which the Company or any of its subsidiaries was a party, in which the amount involved exceeded $120,000 and in which a Director, a Director nominee, an executive officer, any immediate family member of a director, director nominee or executive officer, a security holder known to own more than 5% of the Company’s Common Stock or any immediate family member of the security holder had, or will have, a direct or indirect material interest or (b) certain business relationships that existed between the Company and Directors or director nominees, or between the Company and entities affiliated with such Directors or Director nominees. The Company’s written policy and procedures with respect to any related person transaction between the Company and any related person requiring disclosure under Item 404(a) of Regulation S-K under the Exchange Act, is that such transaction is consummated only if the Audit Committee approves or ratifies such transaction (or the disinterested members of the Board of Directors approve or ratify such transaction).
Quentin Bell is the brother of Blake Bell, President, Global Business Development. Quentin Bell is the District Manager for our Seattle office and earned total compensation of $361,978 in 2025.
Voting Procedures
Only shareholders of record at the close of business on March 10, 2026 (the Record Date) will be entitled to notice of and to vote at the meeting. On or about March 24, 2026, the Company will mail to shareholders either: (a) a notice of internet availability of proxy materials, which will indicate how to access the proxy materials on the internet, or (b) a copy of the Proxy Statement, a form of proxy and an Annual Report.
You may instruct the proxies to vote ‘‘FOR’’ or ‘‘AGAINST’’ each proposal, or you may instruct the proxies to ‘‘ABSTAIN’’ from voting. Each share of our Common Stock outstanding on the record date will be entitled to one vote on each of the nine director nominees and one vote on each other proposal. If the accompanying form of proxy is properly executed and returned, the shares represented thereby will be voted in accordance with the instructions specified thereon. In the absence of instructions to the contrary, such shares will be voted in accordance with the Board’s recommendations.
Whether or not you plan to attend the meeting in person, please submit your vote and proxy by telephone, by mail or by internet in accordance with the instructions on your proxy card or voting instruction form. This will ensure a quorum at the meeting. The giving of the proxy will not affect your right to vote at the meeting if the proxy is revoked in the manner set forth below.
Abstentions are counted for quorum purposes. If you return a signed proxy card/voting instruction form to allow your shares to be represented at the Annual Meeting, but do not indicate how your shares should be voted on one or more proposals listed above, then the proxies will vote your shares as the Board of Directors recommends on those proposals.
Any shareholder executing a proxy has the power to revoke it at any time prior to the voting thereof on any matter (without, however, affecting any vote taken prior to such revocation) by delivering written notice to the Secretary of the Company, by executing and delivering to the Company another proxy dated as of a later date or by voting in person at the meeting.
If your Common Stock is held in “street name” through a broker, bank or other nominee, you will receive instructions from that organization that you must follow in order to have your shares voted. If you hold your shares in street name, it is critical that you cast your vote if you want it to count in the election of Directors and the non-binding vote approving compensation of NEO. If you hold your shares in street name and you do not instruct your bank or broker how to vote in these matters, no votes will be cast on your behalf. Your bank or broker will only have discretion to vote any uninstructed shares on the ratification of the appointment of KPMG as the Company’s independent registered public accounting firm.
Notice of Annual Meeting & Proxy Statement | 47
Voting Securities
The only outstanding voting securities of the Company are shares of Common Stock. As of the Record Date, there were 132,984,007 shares of Common Stock issued and outstanding, and each such share is entitled to one vote at the Annual Meeting. The presence in person or by proxy of holders of record of a majority of the outstanding shares of Common Stock is required to constitute a quorum for the transaction of business at the Annual Meeting. Shares of Common Stock underlying abstentions and broker non-votes will be considered present at the Annual Meeting for the purpose of determining whether a quorum is present.
Under Washington law and the Company’s Bylaws, all proposals to be addressed at the Annual Meeting of Shareholders, including the election of each Director, will be approved if the votes cast by voters physically present at the Annual Meeting or represented by proxy in favor of the proposal or Director exceed the votes cast against such proposal or Director, as applicable. Abstentions and, except for Proposal 3, broker non-votes will not be counted either in favor of or against such proposals or the election of such Directors and, therefore, will have no effect on the outcomes of such proposals or the election of such Directors. For Proposal 3, the ratification of the appointment of KPMG as the Company's independent registered public accounting firm, brokers will have the discretion to vote uninstructed shares.
No cumulative voting rights are authorized, and dissenters’ rights are not applicable to any of the matters being voted on. Proxies and ballots will be received and tabulated by Computershare Trust Company, N.A., an independent business entity not affiliated with the Company. The Common Stock is listed for trading on the New York Stock Exchange (“NYSE”) under the symbol EXPD. The last sale price for the Common Stock, as reported by the NYSE on March 10, 2026, was $141.37 per share.
Solicitation of Proxies
The proxy accompanying this Proxy Statement is solicited by the Board of Directors of the Company. Proxies may be solicited by officers, Directors and regular supervisory and executive employees of the Company; none will receive any additional compensation for their services. In addition, the Company has agreed to pay the firm of D.F. King & Co., Inc. a fee of $11,500 plus reasonable expenses for proxy solicitation services. Solicitations of proxies may be made personally, or by mail, email, telephone, facsimile or messenger.
The Company, if requested, will pay persons holding shares of Common Stock in their names or in the names of nominees, but not owning such shares beneficially, such as brokerage houses, banks and other fiduciaries, for the expense of forwarding soliciting materials to their principals. All such costs of solicitation of proxies will be paid by the Company.
Deadlines for Shareholder Proposals for the 2026 Annual Meeting of Shareholders
Pursuant to Rule 14a-8 under the Exchange Act, certain shareholder proposals may be eligible for inclusion in the Company’s proxy materials for the 2027 Annual Meeting of Shareholders. In order to be eligible for inclusion, such proposals must be received by the Secretary at the Company’s principal executive offices no later than November 24, 2026. Such proposals also must comply with Securities and Exchange Commission regulations regarding the inclusion of shareholder proposals in company-sponsored materials.
The Company’s Bylaws provide a formal procedure for bringing business before the Annual Meeting of Shareholders. A shareholder proposing to present a matter (other than a proposal brought pursuant to Rule 14a-8 under the Exchange Act) before the 2027 Annual Meeting of Shareholders or to nominate a candidate for election to the Board of Directors at the 2027 Annual Meeting of Shareholders (other than a proxy access candidate) must deliver notice of the proposal or nomination to the Secretary at the Company’s principal executive offices between the close of business on January 5, 2027 through the close of business on February 4, 2027. In the event that the date of the Annual Meeting of Shareholders is more than 30 days before or more than 60 days after May 4, 2027, notice of the proposal or nomination must be delivered to the Secretary at the Company’s principal executive offices not earlier than the 120th day prior to the date of the Annual Meeting and not later than the later of the 90th day prior to the date of the Annual Meeting or, if the first public announcement of the date of the Annual Meeting is less than 100 days prior to the date of the Annual Meeting, the 10th day following the day on which the Company first makes a public announcement of the date of the meeting. The shareholder’s notice must include the specified information concerning the proposal or nominee as described in the Company’s Bylaws. The Company will not consider any proposal or nomination that does not meet the Company’s bylaw requirements or SEC requirements for submitting a proposal or nomination. Pursuant to Rule 14a-4(c)(1) under the Exchange Act, the proxies designated by the Company for the 2027 Annual Meeting of Shareholders will have discretionary authority to vote with respect to any matter presented at the meeting if the Company has not received notice of the matter by the dates required under the Company’s Bylaws, as described above, and in certain other instances specified in that rule. To comply with the universal proxy rules, once effective, shareholders who intend to solicit proxies for shareholder director nominations must provide notice that sets forth the information required by Rule 14a-19 under the Securities Exchange Act of 1934, as amended, no later than February 4, 2027.
Notice of Annual Meeting & Proxy Statement | 48
An eligible shareholder seeking to nominate a proxy access candidate for election to the Board of Directors at the 2027 Annual Meeting of Shareholders must deliver notice of the nomination to the Secretary at the Company’s principal executive offices between the close of business on October 25, 2026 through the close of business on November 24, 2026.
A shareholder seeking to recommend a nominee to the Nominating and Corporate Governance Committee for election to the Board of Directors at the 2026 Annual Meeting of Shareholders must deliver notice of the nomination to the Secretary at the Company’s principal executive offices by November 24, 2026.
The Company’s Bylaws contain an advance notice provision with respect to matters to be brought at an annual meeting of stockholders. To be in proper form, whether in regard to a nominee for election to the Board of Directors or other business, a Noticing Shareholder’s notice to the Secretary must, among other provisions, make a representation whether the Holder intends or is part of a group which intends (1) to solicit proxies or votes in support of such director nominees or nomination in accordance with Rule 14a-19 under the Exchange Act, and (2) whether or not the Holder will deliver a proxy statement and form of proxy to holders of at least 67 percent of the voting power of all of the shares of capital stock of the corporation entitled to vote on the election of directors. Other advance notice provisions with respect to matters to be brought at an annual meeting of stockholders are contained within the Company’s current Bylaws.
Householding
In line with our green initiatives and to reduce the expenses of delivering duplicate materials, we are taking advantage of the Securities and Exchange Commission’s “householding” rules, which permit us to deliver only one set of proxy materials (or one Notice of Internet Availability of Proxy Materials) to shareholders who share an address unless otherwise requested. If you share an address with another shareholder and have received only one set of materials, and you are not a registered shareholder, you may request a separate copy at no cost to you by contacting your broker, if you hold shares in a brokerage account.
Notice of Annual Meeting & Proxy Statement | 49
APPENDIX A: 2025 EEO-1 REPORT
U.S. EQUAL EMPLOYMENTOPPORTUNITY COMMISSION (EEOC)
2025 EMPLOYER INFORMATION REPORT (EEO-1)
|
|
|
|
|
|
|
|
|
|
|
|
|
|
|
|
|
Hispanic or Latino |
Non-Hispanic or Latino |
|
Male |
Female |
Male |
Female |
EEO-1 Job Categories |
Hispanic or Latino |
Hispanic or Latino |
White |
Black or African American |
Asian |
Native Hawaiian or Other Pacific Islander |
American Indian or Alaska Native |
Two or More Races |
White |
Black or African American |
Asian |
Native Hawaiian or Other Pacific Islander |
American Indian or Alaska Native |
Two or More Races |
1.1 - Executive/Senior Level Officials and Managers |
2 |
0 |
10 |
0 |
1 |
1 |
0 |
0 |
4 |
0 |
0 |
0 |
0 |
0 |
1.2 - First/Mid Level Officials and Managers |
154 |
131 |
716 |
27 |
66 |
5 |
2 |
9 |
483 |
30 |
70 |
4 |
3 |
10 |
2 - Professionals |
165 |
211 |
718 |
77 |
199 |
8 |
8 |
26 |
529 |
115 |
208 |
4 |
8 |
27 |
3 - Technicians |
0 |
0 |
0 |
0 |
0 |
0 |
0 |
0 |
0 |
0 |
0 |
0 |
0 |
0 |
4 - Sales Workers |
34 |
31 |
186 |
4 |
29 |
3 |
0 |
4 |
121 |
10 |
10 |
0 |
0 |
4 |
5 - Administrative Support Workers |
197 |
273 |
481 |
77 |
95 |
6 |
1 |
24 |
432 |
87 |
109 |
6 |
2 |
19 |
6 - Craft Workers |
0 |
0 |
0 |
0 |
0 |
0 |
0 |
0 |
0 |
0 |
0 |
0 |
0 |
0 |
7 - Operatives |
37 |
4 |
29 |
5 |
5 |
1 |
0 |
0 |
3 |
1 |
1 |
0 |
0 |
0 |
8 - Laborers and Helpers |
202 |
34 |
173 |
86 |
15 |
5 |
2 |
7 |
16 |
15 |
0 |
4 |
0 |
1 |
Total |
791 |
684 |
2313 |
276 |
410 |
29 |
13 |
70 |
1588 |
258 |
398 |
18 |
13 |
61 |
|
|
|
|
|
|
|
|
|
|
|
|
|
|
|
Prior 2024 Reporting Year Total |
725 |
606 |
2173 |
242 |
380 |
30 |
8 |
60 |
1532 |
227 |
382 |
19 |
11 |
61 |
Notice of Annual Meeting & Proxy Statement | 50