Please wait

UNITED STATES
SECURITIES AND EXCHANGE COMMISSION
Washington, D.C. 20549

SCHEDULE 14A INFORMATION

Proxy Statement Pursuant to Section 14(a) of the
Securities Exchange Act of 1934
Filed by the RegistrantxFiled by a Party other than the Registranto
Check the appropriate box:
oPreliminary Proxy Statement
oConfidential, for Use of the Commission Only (as permitted by Rule 14a-6(e)(2))
oDefinitive Proxy Statement
xDefinitive Additional Materials
oSoliciting Material Pursuant to §240.14a-12
INDEPENDENT BANK CORP.
(Name of Registrant as Specified In Its Charter)
(Name of Person(s) Filing Proxy Statement, if other than the Registrant)
Payment of Filing Fee (Check all boxes that apply):
xNo fee required
oFee paid previously with preliminary materials
oFee computed on table in exhibit required by Item 25(b) per Exchange Act Rules 14a-6(i)1 and 0-11

















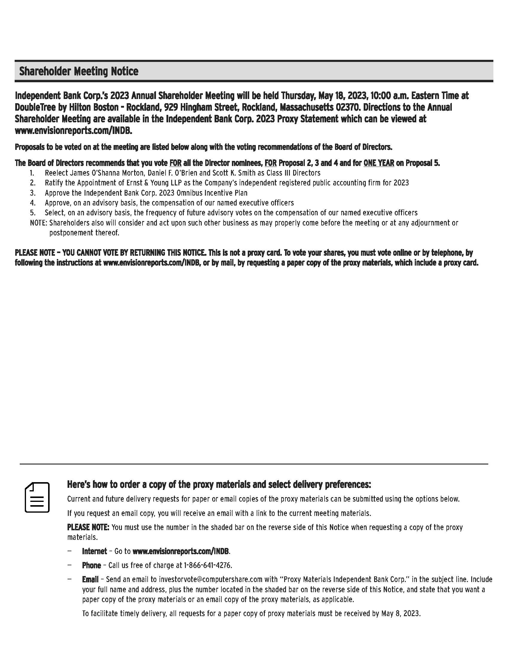
indbmeetingnotice2023_page.jpg



indbmeetingnotice2023_pagea.jpg