Please wait
Exhibit 10.68

GRAPHIC

EXECUTION VERSION 181877470_7 FIRST AMENDMENT TO FOURTH AMENDED AND RESTATED CREDIT AGREEMENT Dated as of December 5, 2023 This FIRST AMENDMENT TO FOURTH AMENDED AND RESTATED CREDIT AGREEMENT (this “Amendment”) is by and among MERIT MEDICAL SYSTEMS, INC., a Utah corporation (the “Borrower”), certain subsidiaries of the Borrower party hereto (the “Subsidiary Guarantors”), the lenders who are party to this Amendment (the “Consenting Lenders”), and WELLS FARGO BANK, NATIONAL ASSOCIATION, a national banking association, as administrative agent for the Lenders (in such capacity, the “Administrative Agent”). PRELIMINARY STATEMENTS WHEREAS, the Borrower, the lenders party thereto (the “Lenders”), and the Administrative Agent entered into that certain Fourth Amended and Restated Credit Agreement dated as of June 6, 2023 (as amended hereby and as may be further amended, restated, supplemented or otherwise modified from time to time, the “Credit Agreement”); and WHEREAS, the Borrower requested that the Administrative Agent and the Lenders agree to amend the Credit Agreement as specifically set forth herein and, subject to the terms of this Amendment, the Administrative Agent and the Consenting Lenders have agreed to grant such request of the Borrower. NOW, THEREFORE, for good and valuable consideration, the receipt and sufficiency of which is hereby acknowledged, the parties hereto hereby agree as follows: Section 1. Capitalized Terms. All capitalized terms not otherwise defined in this Amendment (including without limitation in the introductory paragraph and the Preliminary Statements hereto) shall have the meanings as specified in the Credit Agreement. Section 2. Amendments to Credit Agreement. Subject to and in accordance with the terms and conditions set forth herein, the Administrative Agent and each of the Consenting Lenders hereby agrees as follows: (a) Section 1.1 of the Credit Agreement is hereby amended by inserting the following new defined terms in proper alphabetical order: “‘Permitted Bond Hedge Transaction’ means any bond hedge, call or capped call option (or substantively equivalent derivative transaction) relating to the Borrower’s common stock (or other securities or property following a merger event, reclassification or other change of the common stock of the Borrower) purchased by the Borrower or a Subsidiary thereof in connection with the issuance of any Permitted Convertible Indebtedness and settled in common stock of the Borrower (or such other securities or property), cash or a combination thereof (such amount of cash determined by reference to the price of the Borrower’s common stock or such other securities or property), and cash in lieu of fractional shares of common stock of the Borrower; provided that the purchase of any such Permitted Bond Hedge Transaction is made with, and the purchase price thereof does not exceed, the net proceeds received by the Borrower or a Subsidiary thereof in connection with the issuance of such Permitted Convertible Indebtedness; provided further that the other terms, conditions and covenants of each such transaction

GRAPHIC

181877470_7 2 shall be such as are customary for transactions of such type (as determined by the Borrower in good faith).” “‘Permitted Convertible Indebtedness’ means unsecured Indebtedness of the Borrower or a Subsidiary thereof that (a) as of the date of issuance thereof contains customary conversion or exchange rights, customary premiums and customary offer to repurchase rights for transactions of such type (in each case, as determined by the Borrower in good faith) and (b) is convertible into or exchangeable for shares of common stock of the Borrower (or other securities or property following a merger event, reclassification or other change of the common stock of the Borrower), cash or a combination thereof (such amount of cash determined by reference to the price of the Borrower’s common stock or such other securities or property), and cash in lieu of fractional shares of common stock of the Borrower; provided that that such Indebtedness is permitted to be incurred under Section 11.1(k).” “‘Secured Leverage Ratio Increase’” has the meaning assigned thereto in Section 10.3.” (b) Section 1.1 of the Credit Agreement is hereby amended by amending and restating the definition of “Applicable Margin” in its entirety to read as follows: “‘Applicable Margin’ means the corresponding percentages per annum as set forth below based on the Consolidated Total Net Leverage Ratio: Pricing Level Consolidated Total Net Leverage Ratio Commitment Fee Adjusted Term SOFR, Adjusted Eurocurrency Rate and Adjusted Daily Simple SONIA + Base Rate + I Less than 1.75 to 1.00 0.20% 1.25% 0.25% II Greater than or equal to 1.75 to 1.00, but less than 2.25 to 1.00 0.20% 1.50% 0.50% III Greater than or equal to 2.25 to 1.00, but less than 2.75 to 1.00 0.25% 1.75% 0.75% IV Greater than or equal to 2.75 to 1.00, but less than 3.75 to 1.00 0.30% 2.00% 1.00%

GRAPHIC

181877470_7 3 V Greater than or equal to 3.75 to 1.00, but less than 4.25 to 1.00 0.30% 2.25% 1.25% VI Greater than or equal to 4.25 to 1.00 0.35% 2.50% 1.50%” The Applicable Margin shall be determined and adjusted quarterly on the date ten (10) Business Days after the day by which the Borrower provides an Officer’s Compliance Certificate pursuant to Section 8.2(a) for the most recently ended fiscal quarter of the Borrower (each such date, a “Calculation Date”); provided that (a) the Applicable Margin shall be based on Pricing Level III until the first Calculation Date following the receipt by the Administrative Agent of the financial statements and the related Officer’s Compliance Certificate for the fiscal quarter ending December 31, 2023 and, thereafter the Pricing Level shall be determined by reference to the Consolidated Total Net Leverage Ratio as of the last day of the most recently ended fiscal quarter of the Borrower preceding the applicable Calculation Date, and (b) if the Borrower fails to provide the Officer’s Compliance Certificate when due as required by Section 8.2 for the most recently ended fiscal quarter of the Borrower preceding the applicable Calculation Date, the Applicable Margin from the date on which such Officer’s Compliance Certificate was required to have been delivered shall be based on Pricing Level VI until such time as such Officer’s Compliance Certificate is provided, at which time the Pricing Level shall be determined by reference to the Consolidated Total Net Leverage Ratio as of the last day of the most recently ended fiscal quarter of the Borrower preceding such Calculation Date. The applicable Pricing Level shall be effective from one Calculation Date until the next Calculation Date. Any adjustment in the Pricing Level shall be applicable to all Extensions of Credit then existing or subsequently made or issued. Notwithstanding the foregoing, in the event that any financial statement or Officer’s Compliance Certificate delivered pursuant to Section 8.1 or Section 8.2(a) is shown to be inaccurate (regardless of whether (i) this Agreement is in effect, (ii) any Commitments are in effect, or (iii) any Extension of Credit is outstanding when such inaccuracy is discovered or such financial statement or Officer’s Compliance Certificate was delivered), and such inaccuracy, if corrected, would have led to the application of a higher Applicable Margin for any period (an “Applicable Period”) than the Applicable Margin applied for such Applicable Period, then (A) the Borrower shall immediately deliver to the Administrative Agent a corrected Officer’s Compliance Certificate for such Applicable Period, (B) the Applicable Margin for such Applicable Period shall be determined as if the Consolidated Total Net Leverage Ratio in the corrected Officer’s Compliance Certificate were applicable for such Applicable Period, and (C) the Borrower shall immediately and retroactively be obligated to pay to the Administrative Agent the accrued additional interest and fees owing as a result of such increased Applicable Margin for such Applicable Period, which payment shall be promptly applied by the Administrative Agent in accordance with Section 5.4. Nothing in this paragraph shall limit the rights of the Administrative Agent and Lenders with respect to Sections 5.1(b) and 12.2 nor any of their other rights under this Agreement or any other Loan Document.

GRAPHIC

181877470_7 4 The Borrower’s obligations under this paragraph shall survive the termination of the Commitments and the repayment of all other Obligations hereunder. The Applicable Margins set forth above shall be increased as, and to the extent, required by Section 5.13. (c) Section 1.1 of the Credit Agreement is hereby amended by amending and restating the definition of “Asset Disposition” in its entirety to read as follows: “‘Asset Disposition’ means the disposition of any or all of the assets (including, without limitation, any Capital Stock owned thereby) of any Credit Party or any Subsidiary thereof whether by sale, lease, transfer, division or otherwise. The term “Asset Disposition” shall not include (w) any Equity Issuance, (x) the issuance or sale of any Permitted Convertible Indebtedness by the Borrower, (y) the purchase of any Permitted Bond Hedge Transaction or (z) the performance by the Borrower and/or any Subsidiary thereof of the Borrower’s or such Subsidiary’s obligations under any Permitted Convertible Indebtedness or any Permitted Bond Hedge Transaction.” (d) Section 1.1 of the Credit Agreement is hereby amended by amending and restating the definition of “Capital Stock” in its entirety to read as follows: “‘Capital Stock’ means (a) in the case of a corporation, capital stock, (b) in the case of an association or business entity, any and all shares, interests, participations, rights or other equivalents (however designated) of capital stock, (c) in the case of a partnership, partnership interests (whether general or limited), (d) in the case of a limited liability company, membership interests, (e) any other interest or participation that confers on a Person the right to receive a share of the profits and losses of, or distributions of assets of, the issuing Person and (f) any and all warrants, rights or options to purchase any of the foregoing; provided that neither Permitted Convertible Indebtedness nor other debt securities that are or by their terms may be convertible or exchangeable into or for Qualified Capital Stock (or into or for any combination cash and Qualified Capital Stock by reference to the price of such Qualified Capital Stock), in each case, shall constitute Capital Stock of the Borrower or any of its Subsidiaries prior to settlement, conversion or exchange thereof into or for securities that would otherwise constitute Capital Stock under this definition.” (e) Section 1.1 of the Credit Agreement is hereby amended by amending the definition of “Hedge Agreement” to add the following sentence at the end of such definition: “Notwithstanding the foregoing, no Permitted Bond Hedge Transaction shall be considered a Hedge Agreement.” (f) Section 1.1 of the Credit Agreement is hereby amended by amending clause (b) of the definition of “Permitted Acquisition” by replacing clause (i) thereof with the following: “(i) no later than five (5) Business Days prior to the proposed closing date of such acquisition, the Borrower shall have delivered to the Administrative Agent and the Lenders an Officer’s Compliance Certificate for the most recent fiscal quarter end preceding such acquisition for which financial statements are available demonstrating, in form and substance reasonably satisfactory thereto, compliance with each covenant contained in Article X (it being agreed and acknowledged that, notwithstanding anything

GRAPHIC

181877470_7 5 to the contrary contained in this Agreement, (A) the covenants contained in Sections 10.1 and 10.3 (giving effect to any Leverage Ratio Increase then in effect pursuant to Section 10.1 and/or Secured Leverage Ratio Increase then in effect pursuant to Section 10.3) shall be calculated on a Pro Forma Basis as of the date of the acquisition and after giving effect thereto and any Indebtedness incurred in connection therewith and (B) with respect to the covenant contained in Section 10.2, Consolidated EBITDA shall be calculated on a Pro Forma Basis as of the date of the acquisition and after giving effect thereto and any Indebtedness incurred in connection therewith, but no other component of the ratio set forth in Section 10.2 shall be calculated on a Pro Forma Basis);” (g) Section 1.1 of the Credit Agreement is hereby amended by amending the definition of “Swap Obligation” to add the following sentence at the end of such definition: “Notwithstanding the foregoing, no Permitted Bond Hedge Transaction shall be considered a Swap Obligation.” (h) Section 1.1 of the Credit Agreement is hereby amended by amending and restating the definition of “Unrestricted Cash and Cash Equivalents” in its entirety to read as follows: ““Unrestricted Cash and Cash Equivalents” means, as of any date of determination, one hundred percent (100%) of the aggregate amount of Unrestricted cash and Cash Equivalents of the Borrower and its Subsidiaries (other than Unrestricted cash and Cash Equivalents in deposit accounts or securities accounts located in China). For purposes hereof, “Unrestricted” means, when referring to cash and Cash Equivalents of the Borrower and its Subsidiaries, that such cash and Cash Equivalents (a) do not appear, or would not be required to appear, as “restricted” on the financial statements of the Borrower and its Subsidiaries (unless related to the Loan Documents or the Liens created thereunder), (b) are not subject to a Lien in favor of any Person (other than Liens permitted under Sections 11.2(a) or 11.2(i)) or (c) are not otherwise unavailable to the Borrower and its Subsidiaries.” (i) Clause (a) of Section 5.4 of the Credit Agreement is hereby amended by replacing clause (iii) thereof with the following: “(iii) Any payment received after such time but before 2:00 p.m. (or, with respect to a payment to be made in an Alternative Currency or Alternative L/C Currency, the Applicable Time specified by the Administrative Agent) on such day shall be deemed a payment on such date for the purposes of Sections 10.1 and 10.3, but for all other purposes shall be deemed to have been made on the next succeeding Business Day. Any payment received after 2:00 p.m. (or, with respect to a payment to be made in an Alternative Currency or Alternative L/C Currency, the Applicable Time specified by the Administrative Agent) shall be deemed to have been made on the next succeeding Business Day for all purposes.” (j) Section 10.1 of the Credit Agreement is hereby amended by amending and restating such section in its entirety to read as follows: “SECTION 10.1 Consolidated Total Net Leverage Ratio. As of the last day of any fiscal quarter, permit the Consolidated Total Net Leverage Ratio to be greater than 5.00 to 1.00.

GRAPHIC

181877470_7 6 Notwithstanding the foregoing, in connection with any Permitted Acquisition with respect to which the Permitted Acquisition Consideration exceeds $100,000,000, the Borrower may, at its election, in connection with such Permitted Acquisition and upon prior written notice to the Administrative Agent, increase the required Consolidated Total Net Leverage Ratio pursuant to this Section 10.1 to 5.50 to 1.00, which such increase shall be applicable (i) with respect to a Permitted Acquisition that is not a Limited Conditionality Acquisition, for the fiscal quarter in which such Permitted Acquisition is consummated and the three (3) consecutive quarterly test periods thereafter or (ii) with respect to a Permitted Acquisition that is a Limited Conditionality Acquisition, for purposes of determining compliance on a Pro Forma Basis with this Section 10.1 on the LCA Test Date, for the fiscal quarter in which such Permitted Acquisition is consummated and for the three (3) consecutive quarterly test periods after which such Permitted Acquisition is consummated (each, a “Leverage Ratio Increase”); provided that (A) such increase shall apply solely with respect to compliance with this Section 10.1 and any determination of the Consolidated Total Net Leverage Ratio for purposes of the definition of Permitted Acquisition and any incurrence test with respect to any Indebtedness used to finance a Permitted Acquisition and shall not apply to any other incurrence test set forth in this Agreement, (B) there shall be at least two full fiscal quarters following the cessation of each such Leverage Ratio Increase during which no Leverage Ratio Increase shall then be in effect and (C) the Borrower shall not be permitted to effect a Leverage Ratio Increase more than three (3) times during the term of this Agreement.” (k) Article X of the Credit Agreement is hereby amended by inserting the following new Section 10.3 (and including a reference to such new section in the table of contents) as follows: “SECTION 10.3 Consolidated Senior Secured Net Leverage Ratio. As of the last day of any fiscal quarter, permit the Consolidated Senior Secured Net Leverage Ratio to be greater than 3.00 to 1.00. Notwithstanding the foregoing, in connection with any Permitted Acquisition with respect to which the Permitted Acquisition Consideration exceeds $100,000,000, the Borrower may, at its election, in connection with such Permitted Acquisition and upon prior written notice to the Administrative Agent, increase the required Consolidated Senior Secured Net Leverage Ratio pursuant to this Section 10.3 to 3.50 to 1.00, which such increase shall be applicable (i) with respect to a Permitted Acquisition that is not a Limited Conditionality Acquisition, for the fiscal quarter in which such Permitted Acquisition is consummated and the three (3) consecutive quarterly test periods thereafter or (ii) with respect to a Permitted Acquisition that is a Limited Conditionality Acquisition, for purposes of determining compliance on a Pro Forma Basis with this Section 10.3 on the LCA Test Date, for the fiscal quarter in which such Permitted Acquisition is consummated and for the three (3) consecutive quarterly test periods after which such Permitted Acquisition is consummated (each, a “Secured Leverage Ratio Increase”); provided that (A) such increase shall apply solely with respect to compliance with this Section 10.3 and any determination of the Consolidated Senior Secured Net Leverage Ratio for purposes of the definition of Permitted Acquisition and any incurrence test with respect to any Indebtedness used to finance a Permitted Acquisition and shall not apply to any other incurrence test set forth in this Agreement, (B) there shall be at least two full fiscal quarters following the cessation of each such Secured Leverage Ratio Increase during which no Secured Leverage Ratio Increase shall then be in effect

GRAPHIC

181877470_7 7 and (C) the Borrower shall not be permitted to effect a Secured Leverage Ratio Increase more than three (3) times during the term of this Agreement.” (l) Section 11.1(k) of the Credit Agreement is hereby amended by amending and restating such subsection in its entirety to read as follows: “(k) unsecured Indebtedness, including any Permitted Convertible Indebtedness, of the Borrower and its Subsidiaries; provided, that in the case of each incurrence of such Indebtedness: (i) no Event of Default shall have occurred and be continuing or would be caused by the incurrence of such Indebtedness; (ii) (A) the Consolidated Total Net Leverage Ratio (calculated on a Pro Forma Basis, as of the four (4) consecutive fiscal quarter period most recently ended prior to the incurrence of such additional Indebtedness for which financial statements have been delivered to the Administrative Agent, after giving effect to the issuance of such Indebtedness and use the proceeds thereof) shall be at least 0.25 below the Consolidated Total Net Leverage Ratio then required to be maintained pursuant to Section 10.1 and (B) the Consolidated Senior Secured Net Leverage Ratio (calculated on a Pro Forma Basis, as of the four (4) consecutive fiscal quarter period most recently ended prior to the incurrence of such additional Indebtedness for which financial statements have been delivered to the Administrative Agent, after giving effect to the issuance of such Indebtedness and use the proceeds thereof) shall be at least 0.25 below the Consolidated Senior Secured Net Leverage Ratio then required to be maintained pursuant to Section 10.3; (iii) the Borrower shall be in compliance with the financial covenants set forth in Article X on a Pro Forma Basis, as of the four (4) consecutive fiscal quarter period most recently ended prior to the incurrence of such additional Indebtedness (or in the case of any additional Indebtedness, the proceeds of which will finance a Limited Conditionality Acquisition, the date determined pursuant to Section 1.14) for which financial statements have been delivered to the Administrative Agent, after giving effect to the issuance of such Indebtedness and use the proceeds thereof; (iv) such Indebtedness does not mature, or require any principal amortization, mandatory prepayment, put right or sinking fund obligation prior to the date that is 180 days after the then latest scheduled maturity date of the Loans and the Revolving Credit Commitments; provided that (x) any Indebtedness consisting of a customary bridge facility shall be deemed to satisfy this requirement so long as such Indebtedness automatically converts into long-term debt which satisfies this clause (iv), (y) reasonable and customary prepayment, redemption, repurchase or defeasance obligations in connection with a change of control, asset sale or the exercise of remedies after an event of default shall not disqualify such Indebtedness from satisfying the requirements of this clause (iv) and (z) for purposes of determining whether Permitted Convertible Indebtedness meets the foregoing requirements, neither any settlement upon conversion of or exchange for such Permitted Convertible Indebtedness (whether in cash, stock or other property) nor any required redemption or repurchase thereof upon a

GRAPHIC

181877470_7 8 “fundamental change” (as customarily defined for such Permitted Convertible Indebtedness) shall disqualify such Permitted Convertible Indebtedness from satisfying such requirements notwithstanding a possible occurrence prior to 180 days after the then latest scheduled maturity date of the Loans and the Commitments; and (v) the terms and conditions of such Indebtedness reflect market terms (taken as a whole) at the time of issuance and (other than pricing, fees, rate floors, premiums, conversion rights and optional prepayment or redemption provisions), taken as a whole, are not materially more restrictive (as determined by Borrower in good faith) on the Borrower and its Subsidiaries than the terms and conditions of this Agreement, taken as a whole; provided that, for the avoidance of doubt, such Indebtedness shall not include any financial covenants that are more restrictive in any respect than the financial covenants in Article X;” (m) Section 11.3 of the Credit Agreement is hereby amended by: (i) deleting the reference to “and” at the end of subsection (g) thereof; (ii) deleting the reference to “.” at the end of subsection (h) thereof and replacing it with “; and”; and (iii) adding the following new subsection (i) thereof: “(i) any Permitted Bond Hedge Transaction.” (n) Section 11.6 of the Credit Agreement is hereby amended by: (i) deleting the reference to “and” at the end of subsection (b) thereof; (ii) deleting the reference to “.” at the end of subsection (c)(iii) thereof and replacing it with “; and”; (iii) adding the following new subsection (d) thereof: “(d) the Borrower may repurchase shares of its Capital Stock in connection with the issuance of Permitted Convertible Indebtedness pursuant to, and accordance with, Section 11.1(k); provided all of the following conditions are satisfied: (i) no Default or Event of Default has occurred and is continuing or would arise as a result of such share repurchases; (ii) at the time of such share repurchases, the Borrower is in compliance with the financial covenants set forth in Article X on a Pro Forma Basis as of the four (4) consecutive fiscal quarter period most recently ended prior to the making of such share repurchases for which financial statements have been delivered to the Administrative Agent after giving effect to such share repurchase;

GRAPHIC

181877470_7 9 (iii) such share repurchases shall be made solely to the extent that the Borrower does not enter into a Permitted Bond Hedge Transaction in connection with the issuance of such Permitted Convertible Indebtedness; (iv) such share repurchases shall be made substantially concurrently with the issuance of such Permitted Convertible Indebtedness; and (v) the aggregate amount of all such share repurchases shall not exceed $150,000,000 during the term of this Agreement.”; and (iv) adding the following paragraph at the end of such section: “Notwithstanding the foregoing, and for the avoidance of doubt: (A) the conversion by holders of (including any cash payment upon conversion), or required payment of any principal or premium on, or required payment of any interest with respect to, any Permitted Convertible Indebtedness, in each case, in accordance with the terms of the indenture governing such Permitted Convertible Indebtedness, shall not constitute a Restricted Payment; provided that, to the extent both (1) the aggregate amount of cash payable upon conversion or payment of any Permitted Convertible Indebtedness (excluding any required payment of interest with respect to such Permitted Convertible Indebtedness and excluding any payment of cash in lieu of a fractional share due upon conversion thereof) exceeds the aggregate principal amount thereof and (2) such conversion or payment does not trigger or correspond to an exercise or early unwind or settlement of a corresponding portion of the Permitted Bond Hedge Transactions relating to such Permitted Convertible Indebtedness (including, for the avoidance of doubt, the case where there is no Permitted Bond Hedge Transaction relating to such Permitted Convertible Indebtedness), the payment of such excess cash shall constitute a Restricted Payment notwithstanding this clause (A); (B) any required payment with respect to, or required early unwind or settlement of, any Permitted Bond Hedge Transaction, in each case, in accordance with the terms of the agreement governing such Permitted Bond Hedge Transaction shall not constitute a Restricted Payment; and (C) the payment of interest or other amounts on (and including the settlement of any conversions of) any Permitted Convertible Indebtedness shall not constitute a Restricted Payment.” (o) Section 11.9 of the Credit Agreement is hereby amended by: (i) deleting the reference to “and” at the end of subsection (b)(iii) thereof; (ii) deleting the reference to “.” at the end of subsection (b)(iv) thereof and replacing it with “; and”; and (iii) adding the following new subsection (b)(v) thereof:

GRAPHIC

181877470_7 10 “(v) the Borrower or any Subsidiary may (1) convert or exchange any Permitted Convertible Indebtedness in accordance with its terms into or for shares of Qualified Capital Stock of the Borrower and make a payment of cash in lieu of fractional shares of the Borrower’s Qualified Capital Stock deliverable upon any such conversion or exchange or (2) deliver cash in connection with any conversion or exchange of any Permitted Convertible Indebtedness in an aggregate amount since the date of the indenture governing such Permitted Convertible Indebtedness not to exceed the sum of (x) the principal amount of such Permitted Convertible Indebtedness and (y) the amount of any payments required to be made to the Borrower or any of its Subsidiaries upon the exercise, settlement, termination or unwind of any related Permitted Bond Hedge Transaction substantially concurrently with, or a commercially reasonable period of time before or after, the settlement date for the exchange or conversion of such relevant Permitted Convertible Indebtedness.” (p) Section 12.1 of the Credit Agreement is hereby amended by amending and restating subsection (f) of such section: “(f) Indebtedness Cross-Default. Any Credit Party or any Subsidiary thereof shall (i) default in the payment of any Indebtedness (other than the Loans or any Reimbursement Obligation) the aggregate outstanding amount, or with respect to any Hedge Agreement, the Hedge Termination Value, of which is in excess of the Threshold Amount beyond the period of grace if any, provided in the instrument or agreement under which such Indebtedness was created, or (ii) default in the observance or performance of any other agreement or condition relating to any Indebtedness (other than the Loans or any Reimbursement Obligation) the aggregate outstanding amount, or with respect to any Hedge Agreement, the Hedge Termination Value, of which is in excess of the Threshold Amount or contained in any instrument or agreement evidencing, securing or relating thereto or any other event shall occur or condition exist (other than, in each case, (x) any event or condition that permits holders of any Permitted Convertible Indebtedness to convert or exchange such Indebtedness or (y) the conversion or exchange of any Permitted Convertible Indebtedness, in either case, into common stock of the Borrower (or other securities or property following a merger event, reclassification or other change of the common stock of the Borrower), cash or a combination thereof), the effect of which default or other event or condition is to cause, or to permit the holder or holders of such Indebtedness (or a trustee or agent on behalf of such holder or holders) to cause, with the giving of notice and/or lapse of time, if required, any such Indebtedness to (A) become due, or to be repurchased, prepaid, defeased or redeemed (automatically or otherwise), or an offer to repurchase, prepay, defease or redeem such Indebtedness to be made, prior to its stated maturity (any applicable grace period having expired) or (B) be cash collateralized.” (q) Exhibit F to the Credit Agreement is hereby amended and restated in its entirety as set forth in Annex A attached hereto. Section 3. Conditions of Effectiveness. The amendments set forth in Section 2 shall become effective as of the date (the “Amendment Effective Date”) when, and only when, each of the following conditions precedent shall have been satisfied:

GRAPHIC

181877470_7 11 (a) Executed Amendment. The Administrative Agent shall have received counterparts of this Amendment executed by the Borrower, each other Credit Party, the Administrative Agent and the Lenders in sufficient number constituting Required Lenders. (b) No Default. No Default or Event of Default shall have occurred and be continuing both before and after giving effect to this Amendment. (c) Payment of Fees. (i) The Borrower shall have paid, or caused to be paid, to the Administrative Agent, for the account of each Lender that has provided (and not withdrawn) their consent to this Amendment by delivery of its executed signature page to this Amendment to the Administrative Agent (or its counsel) on or prior to December 5, 2023 (each such Lender, a “Consenting Lender”), a consent fee in an amount equal to 0.10% of the sum of (A) the aggregate amount of each such Consenting Lender’s Revolving Credit Commitment and (B) the outstanding principal amount of each such Consenting Lender’s Term Loans, in each case as of the Amendment Effective Date and after giving effect to this Amendment. (ii) The Borrower shall have paid, or caused to be paid, all fees required to be paid pursuant to that certain fee letter agreement dated as of the Amendment Effective Date among the Borrower and Wells Fargo Securities, LLC. (iii) The Administrative Agent shall have been paid or reimbursed for all fees and reasonable and documented out-of-pocket costs and expenses incurred by it or its Affiliates in connection with this Amendment, including, without limitation, the reasonable and documented fees, disbursements and other charges of counsel for the Administrative Agent and its Affiliates, to the extent such fees, cost and expenses have been invoiced on or before the date hereof. Section 4. Representations and Warranties. The Borrower and each other Credit Party hereby represents and warrants to the Administrative Agent and the Lenders that: (a) both before and after giving effect to this Amendment, each of the representations and warranties set forth in the Credit Agreement and the other Loan Documents is true, correct and complete in all material respects as of the date hereof, except for any representation and warranty made as of an earlier date, which representation and warranty shall remain true, correct and complete as of such earlier date; provided, that any representation or warranty that is qualified by materiality or by reference to Material Adverse Effect shall be true, correct and complete in all respects as of the date hereof; (b) no Default or Event of Default has occurred or is continuing both before and after giving effect to this Amendment; (c) it has the right, power and authority and has taken all necessary corporate and other action to authorize the execution, delivery and performance of this Amendment and each of the other documents executed in connection herewith to which it is a party in accordance with their respective terms and the transactions contemplated hereby; and (d) this Amendment and each other document executed in connection herewith has been duly executed and delivered by the duly authorized officers of the Borrower and each other

GRAPHIC

181877470_7 12 Credit Party, and each such document constitutes the legal, valid and binding obligation of the Borrower and each other Credit Party, enforceable in accordance with its terms, except as such enforceability may be limited by Debtor Relief Laws from time to time in effect which affect the enforcement of creditors’ rights in general and the availability of equitable remedies. Section 5. Limited Effect. This Amendment is a Loan Document. Except as expressly provided herein, the Credit Agreement and the other Loan Documents shall remain unmodified and in full force and effect. Except as expressly provided herein, this Amendment shall not be deemed (a) to be a waiver of, or consent to, or a modification or amendment of, any other term or condition of the Credit Agreement or any other Loan Document, (b) to prejudice any right or rights which the Administrative Agent or the Lenders may now have or may have in the future under or in connection with the Credit Agreement or the other Loan Documents or any of the instruments or agreements referred to therein, as the same may be amended, restated, supplemented or modified from time to time, (c) to be a commitment or any other undertaking or expression of any willingness to engage in any further discussion with the Borrower, any of its Subsidiaries or any other Person with respect to any waiver, amendment, modification or any other change to the Credit Agreement or the Loan Documents or any rights or remedies arising in favor of the Lenders or the Administrative Agent, or any of them, under or with respect to any such documents or (d) to be a waiver of, or consent to or a modification or amendment of, any other term or condition of any other agreement by and among the Borrower or any of its Subsidiaries, on the one hand, and the Administrative Agent or any other Lender, on the other hand. References in the Credit Agreement to “this Agreement” (and indirect references such as “hereunder”, “hereby”, “herein”, “hereof” or other words of like import) and in any Loan Document to the “Credit Agreement” shall be deemed to be references to the Credit Agreement as modified hereby. Section 6. Acknowledgement and Reaffirmation. The Borrower and each other Credit Party (a) agrees that the transactions contemplated by this Amendment shall not limit or diminish the obligations of such Person under, or release such Person from any obligations under, the Credit Agreement, the Guaranty Agreement, the Collateral Agreement and each other Security Document to which it is a party, (b) confirms and reaffirms its obligations under the Credit Agreement, the Guaranty Agreement, the Collateral Agreement and each other Security Document to which it is a party and (c) agrees that the Credit Agreement, the Guaranty Agreement, the Collateral Agreement and each other Security Document to which it is a party remain in full force and effect and are hereby reaffirmed. Section 7. Costs, Expenses and Taxes. The Borrower agrees to pay on demand all reasonable and documented out-of-pocket costs and expenses of the Administrative Agent in connection with the preparation, execution, delivery, administration, modification and amendment of this Amendment and the other instruments and documents to be delivered hereunder, including, without limitation, the reasonable and documented fees and out-of-pocket expenses of counsel for the Administrative Agent with respect thereto and with respect to advising the Administrative Agent as to its rights and responsibilities hereunder and thereunder. Section 8. Execution in Counterparts. This Amendment may be executed in counterparts (and by different parties hereto in different counterparts), each of which shall constitute an original, but all of which when taken together shall constitute a single contract. Delivery of an executed counterpart of a signature page of this Amendment by facsimile or in electronic (i.e., “pdf” or “tif”) format shall be effective as delivery of a manually executed counterpart of this Amendment. Section 9. Governing Law. This Amendment and any claim, controversy, dispute or cause of action (whether in contract or tort or otherwise) based upon, arising out of or relating to this Amendment and the transactions contemplated hereby and thereby shall be governed by, and construed in accordance with, the law of the State of New York.

GRAPHIC

181877470_7 13 Section 10. Entire Agreement. This Amendment and the other Loan Documents, and any separate letter agreements with respect to fees payable to the Administrative Agent, the Issuing Lender, the Swingline Lender and/or the Arranger, constitute the entire agreement among the parties relating to the subject matter hereof and supersede any and all previous agreements and understandings, oral or written, relating to the subject matter hereof. Section 11. Further Assurances. Each Credit Party agrees to, to the extent required by the Loan Documents, make, execute and deliver all such additional and further acts, things, deeds, instruments and documents as the Administrative Agent may reasonably require for the purposes of implementing or effectuating the provisions of this Amendment and the other Loan Documents. Section 12. Successors and Assigns. This Amendment shall be binding on and inure to the benefit of the parties hereto and their successors and permitted assigns. [Signature Pages Follow]

GRAPHIC

IN WITNESS WHEREOF, the parties hereto have caused this Amendment to be executed by their respective officers thereunto duly authorized, as of the date first above written. MERIT ME�AL SYSTEMS, INC., as Borrower By: '-t: -£,� « • Name: Title: MERI: H;r_ INGS, �-, as Subsidiary Guarantor By: ��◄ " Name: Title: :"!1�!r EN� R SYSTE/} INC., as Subsidiary By: --L cf�- • Name: Title: BIOSP C., as Subsidiary Guarantor �1 DICAL, By: ,-..-........n,M,o4_.,,_.,,..... __ Name: Title: BSMD : EN-I S, INC"'/J s Subsidiary Guarantor By: cilc..-'t'::" • • , Name: Title: Merit Medical Systems, Inc. First Amendment to Fourth Amended and Restated Credit Agreement Signature Page Fred Lampropoulos Chief Executive Officer Fred Lampropoulos Chief Executive Officer Fred Lampropoulos Chief Executive Officer Fred Lampropoulos Chief Executive Officer Fred Lampropoulos Chief Executive Officer

GRAPHIC

Fred Lampropoulos Chief Executive Officer Fred Lampropoulos Chief Executive Officer Fred Lampropoulos Chief Executive Officer Fred Lampropoulos Chief Executive Officer Fred Lampropoulos Chief Executive Officer

GRAPHIC

Fred Lampropoulos Chief Executive Officer Fred Lampropoulos Chief Executive Officer Fred Lampropoulos Chief Executive Officer

GRAPHIC

Merit Medical Systems, Inc. First Amendment to Fourth Amended and Restated Credit Agreement Signature Page ADMINISTRATIVE AGENT AND LENDERS: WELLS FARGO BANK, NATIONAL ASSOCIATION, as Administrative Agent, Swingline Lender, Issuing Lender and Lender By: _________________________________ Name: Yinghua Zhang Title: Senior Vice President

GRAPHIC

Merit Medical Systems, Inc. First Amendment to Fourth Amended and Restated Credit Agreement Signature Page BANK OF AMERICA, N.A., as Lender By: _________________________________ Name: Kenneth Wong Title: Senior Vice President

GRAPHIC

HSBC BANK USA, NATIONAL ASSOCIATION, as Lender By: Namc: Jason Alexander Huck TitleRegional Executive Mountain States Merit Medical Systems, Inc. First Amendment to Fourth Amended and Restated Credit Agreement Signature Page

GRAPHIC

Merit Medical Systems, Inc. First Amendment to Fourth Amended and Restated Credit Agreement Signature Page U.S. BANK NATIONAL ASSOCIATION, as Lender By: _________________________________ Name: Tom Priedeman Title: Senior Vice President

GRAPHIC

GRAPHIC

GRAPHIC

GRAPHIC

REGIONS BANK, as Lender By: 1Ait Name: Anne Bingham Title: Vice President Merit Medical Systems, Inc. First Amendment to Fourth Amended and Restated Credit Agreement Signature Page

GRAPHIC

Annex A (as of the Amendment Effective Date) Updated Exhibit F [ATTACHED HERETO]

GRAPHIC

182245567_3 EXHIBIT F to Fourth Amended and Restated Credit Agreement dated as of June 6, 2023 by and among Merit Medical Systems, Inc., as Borrower, the Lenders party thereto, as Lenders, and Wells Fargo Bank, National Association, as Administrative Agent FORM OF OFFICER’S COMPLIANCE CERTIFICATE

GRAPHIC

182245567_3 OFFICER’S COMPLIANCE CERTIFICATE Dated as of: _______________ The undersigned, in his/her capacity as an officer of Merit Medical Systems, Inc., a Utah corporation (the “Borrower”), hereby certifies to the Administrative Agent and the Lenders, each as defined in the Credit Agreement referred to below, as follows: 1. This certificate is delivered to you pursuant to Section 8.2 of the Fourth Amended and Restated Credit Agreement dated as of June 6, 2023 (as amended, restated, supplemented or otherwise modified from time to time, the “Credit Agreement”), by and among the Borrower, the Lenders who are or may become party thereto, as Lenders, and Wells Fargo Bank, National Association, as Administrative Agent. Capitalized terms used herein and not defined herein shall have the meanings assigned thereto in the Credit Agreement. 2. I have reviewed the financial statements of the Borrower and its Subsidiaries dated as of _______________ and for the _______________ period[s] then ended and such statements fairly present in all material respects the financial condition of the Borrower and its Subsidiaries as of the dates indicated and the results of their operations and cash flows for the period[s] indicated. 3. I have reviewed the terms of the Credit Agreement, and the related Loan Documents and have made, or caused to be made under my supervision, a review in reasonable detail of the transactions and the condition of the Borrower and its Subsidiaries during the accounting period covered by the financial statements referred to in Paragraph 2 above. Such review has not disclosed the existence during or at the end of such accounting period of any condition or event that constitutes a Default or an Event of Default, nor do I have any knowledge of the existence of any such condition or event as at the date of this certificate [except, if such condition or event existed or exists, describe the nature and period of existence thereof and what action the Borrower has taken, is taking and proposes to take with respect thereto]. 4. (a) The Applicable Margin and calculations determining such figures are set forth on the attached Schedule 1, (b) the Borrower and its Subsidiaries are in compliance with (i) the financial covenants contained in Article X of the Credit Agreement as shown on such Schedule 1 and (ii) the covenants contained in Section 11.1(i), Section 11.3(e)(ii), Section 11.3(f)(iv) and Section 11.3(g) of the Credit Agreement as shown on the attached Schedule 2, and (c) the Borrower and its Subsidiaries are in compliance with the other covenants and restrictions contained in the Credit Agreement. 5. The Borrower and its Subsidiaries have consummated the following Permitted Acquisitions during the current calendar year (and the Borrower has delivered to the Administrative Agent all documents required to be delivered to the Administrative Agent and the Lenders pursuant to Section 9.11 of the Credit Agreement at the time required pursuant to Section 9.11 of the Credit Agreement): Domestic Permitted Acquisitions: [Note each business or line of business acquired, the date of each such acquisition, the entities involved in each such acquisition and the applicable Permitted Acquisition Consideration with respect to each such acquisition]

GRAPHIC

182245567_3 Foreign Permitted Acquisitions: [Note each business or line of business acquired, the date of each such acquisition, the entities involved in each such acquisition and the applicable Permitted Acquisition Consideration with respect to each such acquisition] [Signature Page Follows]

GRAPHIC

182245567_3 IN WITNESS WHEREOF, the undersigned has executed this Officer’s Compliance Certificate as of the day and year first written above. MERIT MEDICAL SYSTEMS, INC. By: Name: Title:

GRAPHIC

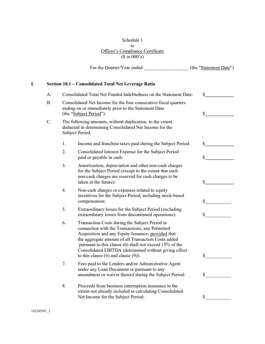
182245567_3 Schedule 1 to Officer’s Compliance Certificate ($ in 000’s) For the Quarter/Year ended ___________________ (the “Statement Date”) I. Section 10.1 – Consolidated Total Net Leverage Ratio A. Consolidated Total Net Funded Indebtedness on the Statement Date: $ B. Consolidated Net Income for the four consecutive fiscal quarters ending on or immediately prior to the Statement Date (the “Subject Period”): $ C. The following amounts, without duplication, to the extent deducted in determining Consolidated Net Income for the Subject Period: 1. Income and franchise taxes paid during the Subject Period: $ 2. Consolidated Interest Expense for the Subject Period paid or payable in cash: $ 3. Amortization, depreciation and other non-cash charges for the Subject Period (except to the extent that such non-cash charges are reserved for cash charges to be taken in the future): $ 4. Non-cash charges or expenses related to equity incentives for the Subject Period, including stock-based compensation: $___________ 5. Extraordinary losses for the Subject Period (excluding extraordinary losses from discontinued operations): $___________ 6. Transaction Costs during the Subject Period in connection with the Transactions, any Permitted Acquisition and any Equity Issuance; provided that the aggregate amount of all Transaction Costs added pursuant to this clause (6) shall not exceed 15% of the Consolidated EBITDA (determined without giving effect to this clause (6) and clause (9)): $___________ 7. Fees paid to the Lenders and/or Administrative Agent under any Loan Document or pursuant to any amendment or waiver thereof during the Subject Period: $___________ 8. Proceeds from business interruption insurance to the extent not already included in calculating Consolidated Net Income for the Subject Period: $___________

GRAPHIC

182245567_3 9. Other nonrecurring charges for the Subject Period acceptable to the Administrative Agent in its sole discretion; provided that the aggregate amount of all nonrecurring charges added pursuant to this clause (9) shall not exceed 15% of the Consolidated EBITDA (determined without giving effect to clause (6) and this clause (9)): $___________ 10. Lines I.C.1 + I.C.2 + I.C.3 + I.C.4 + I.C.5 + I.C.6 + I.C.7+ I.C.8 + I.C.9: $___________ D. Interest income and extraordinary gains during the Subject Period: $___________ E. Non-cash gains for the Subject Period: $___________ F. Consolidated EBITDA (Line I.B + Line I.C.10 – Line I.D – Line I.E):[1 ] $ G. Consolidated Total Net Leverage Ratio (Line I.A  Line I.F): _____ to 1.00 Maximum permitted: 5.00 to 1.00 [2 ] H. Applicable Margin Pricing Level ___ 1 For purposes of the Credit Agreement, Consolidated EBITDA shall be calculated on a Pro Forma Basis. 2 Notwithstanding the required Consolidated Total Net Leverage Ratio set forth in Section 10.1 of the Credit Agreement, in connection with any Permitted Acquisition with respect to which the Permitted Acquisition Consideration exceeds $100,000,000, the Borrower may, at its election, in connection with such Permitted Acquisition and upon prior written notice to the Administrative Agent, increase the required Consolidated Total Net Leverage Ratio pursuant to Section 10.1 of the Credit Agreement to 5.50 to 1.00, which such increase shall be applicable (i) with respect to a Permitted Acquisition that is not a Limited Conditionality Acquisition, for the fiscal quarter in which such Permitted Acquisition is consummated and the three (3) consecutive quarterly test periods thereafter or (ii) with respect to a Permitted Acquisition that is a Limited Conditionality Acquisition, for purposes of determining compliance on a Pro Forma Basis with Section 10.1 of the Credit Agreement on the LCA Test Date, for the fiscal quarter in which such Permitted Acquisition is consummated and for the three (3) consecutive quarterly test periods after which such Permitted Acquisition is consummated (each, a “Leverage Ratio Increase”); provided that (A) such increase shall apply solely with respect to compliance with Section 10.1 of the Credit Agreement and any determination of the Consolidated Total Net Leverage Ratio for purposes of the definition of Permitted Acquisition and any incurrence test with respect to any Indebtedness used to finance a Permitted Acquisition and shall not apply to any other incurrence test set forth in the Credit Agreement and (B) there shall be at least two full fiscal quarters following the cessation of each such Leverage Ratio Increase during which no Leverage Ratio Increase shall then be in effect.

GRAPHIC

182245567_3 II. Section 10.2 – Consolidated Interest Coverage Ratio. A. Consolidated EBITDA for the Subject Period (Line I.F): $ B. Consolidated Interest Expense for the Subject Period: $ C. Consolidated Interest Coverage Ratio (Line II.A  Line II.B): ______to 1.00 Minimum required: 3.00 to 1.00 III. Section 10.3 – Consolidated Senior Secured Net Leverage Ratio. A. Consolidated Senior Secured Net Indebtedness on the Statement Date: $ B. Consolidated EBITDA for the Subject Period (Line I.F): $ C. Consolidated Senior Secured Net Leverage Ratio (Line III.A  Line III.B): _____ to 1.00 Maximum permitted: 3.00 to 1.00 [3 ] 3 Notwithstanding the required Consolidated Senior Secured Net Leverage Ratio set forth in Section 10.3 of the Credit Agreement, in connection with any Permitted Acquisition with respect to which the Permitted Acquisition Consideration exceeds $100,000,000, the Borrower may, at its election, in connection with such Permitted Acquisition and upon prior written notice to the Administrative Agent, increase the required Consolidated Senior Secured Net Leverage Ratio pursuant to Section 10.3 of the Credit Agreement to 3.50 to 1.00, which such increase shall be applicable (i) with respect to a Permitted Acquisition that is not a Limited Conditionality Acquisition, for the fiscal quarter in which such Permitted Acquisition is consummated and the three (3) consecutive quarterly test periods thereafter or (ii) with respect to a Permitted Acquisition that is a Limited Conditionality Acquisition, for purposes of determining compliance on a Pro Forma Basis with Section 10.3 of the Credit Agreement on the LCA Test Date, for the fiscal quarter in which such Permitted Acquisition is consummated and for the three (3) consecutive quarterly test periods after which such Permitted Acquisition is consummated (each, a “Secured Leverage Ratio Increase”); provided that (A) such increase shall apply solely with respect to compliance with Section 10.3 of the Credit Agreement and any determination of the Consolidated Senior Secured Net Leverage Ratio for purposes of the definition of Permitted Acquisition and any incurrence test with respect to any Indebtedness used to finance a Permitted Acquisition and shall not apply to any other incurrence test set forth in the Credit Agreement and (B) there shall be at least two full fiscal quarters following the cessation of each such Secured Leverage Ratio Increase during which no Secured Leverage Ratio Increase shall then be in effect.

GRAPHIC

182245567_3 Schedule 2 to Officer’s Compliance Certificate ($ in 000’s) APPLICABLE PROVISION AMOUNT OF BASKET/THRESHOLD UTILIZED TO DATE Section 11.1(i) $_________ Section 11.3(e)(ii) $_________ Section 11.3(f)(iv) [which ties to Section 11.1(b)(iii)(B)] $_________ Section 11.3(g) $_________ * The maximum amount for all of the baskets noted above, collectively, is $150,000,000.