UNITED STATES
SECURITIES AND EXCHANGE COMMISSION
Washington, D.C. 20549
SCHEDULE 14A
Proxy Statement Pursuant to Section 14(a) of the
Securities Exchange Act of 1934
Filed by the Registrant ☒
Filed by a Party other than the Registrant ☐
Check the appropriate box:
☐ | Preliminary Proxy Statement |
☐ | Confidential, for Use of the Commission Only (as permitted by Rule 14a-6(e)(2)) |
☐ | Definitive Proxy Statement |
☒ | Definitive Additional Materials |
☐ | Soliciting Material Under Rule 14a-12 |
AUTOZONE, INC. |
(Name of Registrant as Specified In Its Charter) |
(Name of Person(s) Filing Proxy Statement, if other than the Registrant) |
Payment of Filing Fee (Check the appropriate box): | |
| |
☒ | No fee required. |
☐ | Fee paid previously with preliminary materials. |
☐ | Fee computed on table in exhibit required by Item 25(b) per Exchange Act Rules 14a-6(i)(1) and 0-11. |
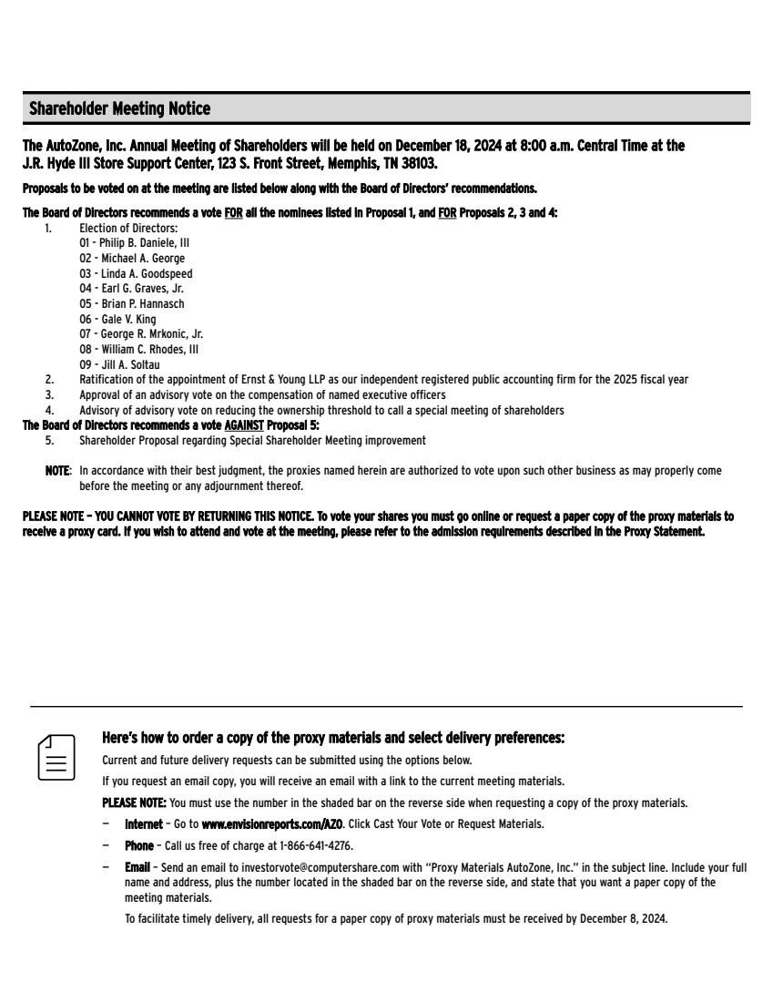
| Step 1: Go to www.envisionreports.com/AZO. Step 2: Click on Cast Your Vote or Request Materials. Step 3: Follow the instructions on the screen to log in. www.envisionreports.com/AZO Online Go to www.envisionreports.com/AZO or scan the QR code — login details are located in the shaded bar below. Shareholder Meeting Notice 041NID + + Important Notice Regarding the Availability of Proxy Materials for the AutoZone, Inc. Shareholder Meeting to be Held on December 18, 2024, 8:00 A.M. Central Time. Under Securities and Exchange Commission rules, you are receiving this notice that the proxy materials for the annual shareholders’ meeting are available on the Internet. Follow the instructions below to view the materials and vote online or request a copy. The items to be voted on and location of the annual meeting are on the reverse side. Your vote is important! We encourage you to access and review all of the important information contained in the proxy materials before voting. The 2024 Proxy Statement and Annual Report to Shareholders are available at: Obtaining a Copy of the Proxy Materials – If you want to receive a copy of the proxy materials, you must request one. There is no charge to you for requesting a copy. Please make your request as instructed on the reverse side on or before December 8, 2024 to facilitate timely delivery. 2NOT Easy Online Access — View your proxy materials and vote. When you go online, you can also help the environment by consenting to receive electronic delivery of future materials. Step 4: Make your selections as instructed on each screen for your delivery preferences. Step 5: Vote your shares. |
| Here’s how to order a copy of the proxy materials and select delivery preferences: Current and future delivery requests can be submitted using the options below. If you request an email copy, you will receive an email with a link to the current meeting materials. PLEASE NOTE: You must use the number in the shaded bar on the reverse side when requesting a copy of the proxy materials. — Internet – Go to www.envisionreports.com/AZO. Click Cast Your Vote or Request Materials. — Phone – Call us free of charge at 1-866-641-4276. — Email – Send an email to investorvote@computershare.com with “Proxy Materials AutoZone, Inc.” in the subject line. Include your full name and address, plus the number located in the shaded bar on the reverse side, and state that you want a paper copy of the meeting materials. To facilitate timely delivery, all requests for a paper copy of proxy materials must be received by December 8, 2024. The AutoZone, Inc. Annual Meeting of Shareholders will be held on December 18, 2024 at 8:00 a.m. Central Time at the J.R. Hyde III Store Support Center, 123 S. Front Street, Memphis, TN 38103. Proposals to be voted on at the meeting are listed below along with the Board of Directors’ recommendations. The Board of Directors recommends a vote FOR all the nominees listed in Proposal 1, and FOR Proposals 2, 3 and 4: 1. Election of Directors: 01 - Philip B. Daniele, III 02 - Michael A. George 03 - Linda A. Goodspeed 04 - Earl G. Graves, Jr. 05 - Brian P. Hannasch 06 - Gale V. King 07 - George R. Mrkonic, Jr. 08 - William C. Rhodes, III 09 - Jill A. Soltau 2. Ratification of the appointment of Ernst & Young LLP as our independent registered public accounting firm for the 2025 fiscal year 3. Approval of an advisory vote on the compensation of named executive officers 4. Advisory of advisory vote on reducing the ownership threshold to call a special meeting of shareholders The Board of Directors recommends a vote AGAINST Proposal 5: 5. Shareholder Proposal regarding Special Shareholder Meeting improvement NOTE: In accordance with their best judgment, the proxies named herein are authorized to vote upon such other business as may properly come before the meeting or any adjournment thereof. PLEASE NOTE – YOU CANNOT VOTE BY RETURNING THIS NOTICE. To vote your shares you must go online or request a paper copy of the proxy materials to receive a proxy card. If you wish to attend and vote at the meeting, please refer to the admission requirements described in the Proxy Statement. Shareholder Meeting Notice |