Please wait

UNITED STATES
SECURITIES AND EXCHANGE COMMISSION
Washington, D.C. 20549
SCHEDULE 14A
Proxy Statement Pursuant to Section 14(a) of the Securities Exchange Act of 1934
x    Filed by the Registrant                     o Filed by a Party other than the Registrant
Check the appropriate box:
o
Preliminary Proxy Statement
o
Confidential, for Use of the Commission Only (as permitted by Rule 14a-6(e)(2))
o
Definitive Proxy Statement
x
Definitive Additional Materials
o
Soliciting Material under §240.14a-12

a435534-1_vertexxlogoa.jpg
Vertex Pharmaceuticals Incorporated

(Name of Registrant as Specified In Its Charter)


Payment of Filing Fee (Check all boxes that apply):
x
No fee required.
o
Fee paid previously with preliminary materials.
o
Fee computed on table in exhibit required by Item 25(b) per Exchange Act Rules 14a-6(i)(1) and 0-11.



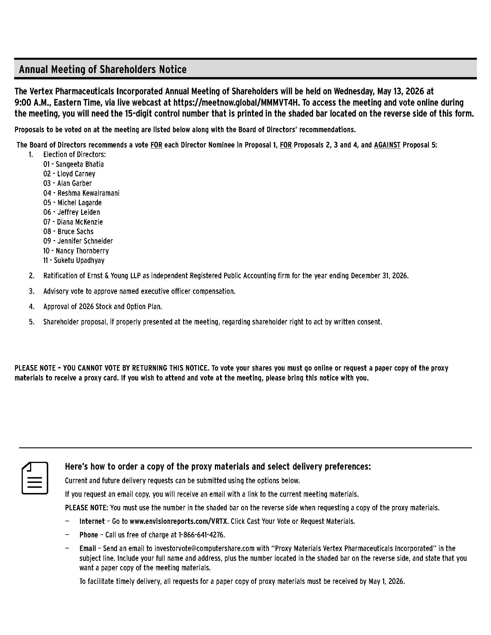
a2026finalnotice_pagex1a.jpg



a2026finalnotice_pagex2a.jpg