|
Market Linked Securities — Autocallable with Contingent Coupon and Contingent Downside Principal at Risk Securities Linked to a Common Share of Cameco Corporation due February 23, 2029 |
Summary of Terms |
|
|
|
Company (Issuer) and Guarantor: |
GS Finance Corp. (issuer) and The Goldman Sachs Group, Inc. (guarantor) |
|
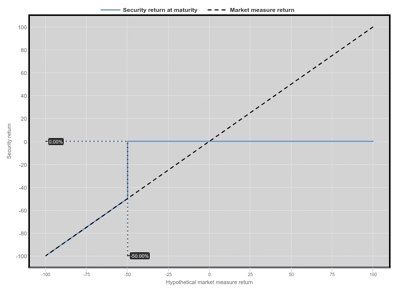
Hypothetical Payout Profile (Maturity Payment Amount)
If the securities are not automatically called prior to stated maturity and the ending price is less than the downside threshold price, you will lose more than 50%, and possibly all, of the face amount of your securities at stated maturity. Any return on the securities will be limited to the sum of your contingent coupon payments, if any. You will not participate in any appreciation of the underlying stock, but you will have full downside exposure to the underlying stock if the ending price is less than the downside threshold price. You should read the accompanying preliminary pricing supplement dated February 9, 2026, which we refer to herein as the accompanying preliminary pricing supplement, to better understand the terms and risks of your investment, including the credit risk of GS Finance Corp. and The Goldman Sachs Group, Inc. The securities are part of the Medium-Term Notes, Series F program of GS Finance Corp. and are fully and unconditionally guaranteed by The Goldman Sachs Group, Inc. This document should be read in conjunction with the following:
|
Market Measure (the “underlying stock”): |
a common share of Cameco Corporation. (current Bloomberg ticker: “CCJ UN”) |
|
|
Pricing date: |
expected to be February 20, 2026 |
|
|
Issue date: |
expected to be February 25, 2026 |
|
|
Final calculation day: |
expected to be February 20, 2029 |
|
|
Stated maturity date: |
expected to be February 23, 2029 |
|
|
Starting price: |
the stock closing price of the underlying stock on the pricing date |
|
|
Ending price: |
the stock closing price of the underlying stock on the final calculation day |
|
|
Performance factor: |
the ending price divided by the starting price (expressed as a percentage) |
|
|
Automatic call: |
If the stock closing price of the underlying stock on any call date is greater than or equal to the starting price, the securities will be automatically called, and on the related call settlement date you will be entitled to receive a cash payment per security in U.S. dollars equal to the face amount plus a final contingent coupon payment. The securities will not be subject to automatic call until the May 2026 calculation day. |
|
|
Downside threshold price: |
50% of the starting price |
|
|
Contingent coupon payment: |
Subject to the automatic call, on each contingent coupon payment date, for each $1,000 of the outstanding face amount, you will receive a contingent coupon payment equal to at least $38.75 (equivalent to a contingent coupon rate of at least 15.50% per annum) (set on the pricing date) if, and only if, the stock closing price of the underlying stock on the related calculation day is greater than or equal to the coupon threshold price. |
|
|
Coupon threshold price: |
50% of the starting price |
|
|
Call dates: |
quarterly; the calculation days commencing in May 2026 and ending in November 2028, inclusive |
|
|
Call settlement date: |
the contingent coupon payment date immediately following the applicable call date |
|
|
Calculation days: |
quarterly, on the 20th day of each February, May, August and November, commencing in May 2026 and ending in November 2028, and the final calculation day |
|
|
Contingent coupon payment dates: |
quarterly, on the third business day following each calculation day; provided that the contingent coupon payment date with respect to the final calculation day will be the stated maturity date |
|
|
Maturity payment amount (for each $1,000 face amount of your securities): |
• if the ending price is greater than or equal to the downside threshold price: $1,000; or • if the ending price is less than the downside threshold price: $1,000 × performance factor |
|
The estimated value of your securities at the time the terms of your securities are set on the pricing date is expected to be between $900 and $930 per $1,000 face amount. See the accompanying preliminary pricing supplement for a further discussion of the estimated value of your securities. |
Underwriting discount: |
up to 2.325% of the face amount*; Wells Fargo Securities, LLC (“WFS”) is the agent for the distribution of the securities. WFS will receive the underwriting discount of up to 2.325% of the aggregate face amount of the securities sold. The agent may resell the securities to Wells Fargo Advisors (“WFA”) at the original issue price of the securities less a concession of 1.75% of the aggregate face amount of the securities. In addition to the selling concession received by WFA, WFS advises that WFA may also receive out of the underwriting discount a distribution expense fee of 0.075% for each $1,000 face amount of a security WFA sells. |
|
|
CUSIP: |
40058XHM9 |
|
|
Tax consequences: |
See “Supplemental Discussion of U.S. Federal Income Tax Considerations” in the accompanying preliminary pricing supplement |
|
|
* In addition, in respect of certain securities sold in this offering, GS&Co. may pay a fee of up to 0.30% of the aggregate face amount of the securities sold to selected securities dealers in consideration for marketing and other services in connection with the distribution of the securities to other securities dealers. |
|
|
|
The securities have more complex features than conventional debt securities and involve risks not associated with conventional debt securities. See “Risk Factors” in this term sheet and in the accompanying preliminary pricing supplement. This document does not provide all of the information that an investor should consider prior to making an investment decision. You should not invest in the securities without reading the accompanying preliminary pricing supplement and related documents for a more detailed description of the underlying stock, the terms of the securities and certain risks.

