Please wait
KT Corporation and Its Subsidiaries Consolidated Financial Statements December 31, 2025 and 2024 ATTACHMENT : INDEPENDENT AUDITOR’S REPORT KT Corporation


 
KT Corporation and Its Subsidiaries Index December 31, 2025 and 2024 Page(s) Independent Auditor’s Report……………………………………………………... 1 – 4 Consolidated Financial Statements Consolidated Statements of Financial Position………………………………………… 5 – 6 Consolidated Statements of Profit or Loss……………………………………………… 7 Consolidated Statements of Comprehensive Income ………………………………… 8 Consolidated Statements of Changes in Equity …………………………….……… 9 – 10 Consolidated Statements of Cash Flows ……………………………...……………. 11 – 12 Notes to the Consolidated Financial Statements ……………………………………… 13 – 138 Report on Independent Auditor’s Audit of Internal Control over Financial Reporting……………………………………………………………………………. 139 – 141 Report on the Effectiveness of Internal Control over Financial Reporting……………………………………………………………………………. 142 –147


 
INDEPENDENT AUDITOR’S REPORT English Translation of Independent Auditor’s Report Originally Issued in Korean on March 13, 2026 To the Shareholders and the Board of Directors of KT Corporation: Audit Opinion We have audited the consolidated financial statements of KT Corporation and its subsidiaries (the “Group”), which comprise the consolidated statements of financial position as of December 31, 2025 and 2024, respectively, and the consolidated statements of profit or loss, the consolidated statements of comprehensive income, consolidated statements of changes in equity and consolidated statements of cash flows, for the years then ended, and notes to the consolidated financial statements, including material accounting policy information. In our opinion, the accompanying consolidated financial statements present fairly, in all material respects, the financial position of the Group as of December 31, 2025 and 2024, respectively, and its financial performance and its cash flows for the years then ended in accordance with Korean International Financial Reporting Standards (“K-IFRS”). We have also audited, in accordance with the Korean Standards on Auditing (“KSAs”), the consolidated internal control over financial reporting of the Group as of December 31, 2025, based on the Conceptual Framework for Design and Operation of Internal Control over Financial Reporting, and our report dated March 13, 2026 expressed an unqualified opinion. Basis for Audit Opinion We conducted our audits in accordance with the KSAs. Our responsibilities under those standards are further described in the Auditor’s Responsibilities for the Audit of the Consolidated Financial Statements section of our report. We are independent of the Group in accordance with the ethical requirements that are relevant to our audit of the consolidated financial statements in the Republic of Korea, and we have fulfilled our other ethical responsibilities in accordance with these requirements. We believe that the audit evidence we have obtained is sufficient and appropriate to provide a basis for our audit opinion. Key Audit Matters The key audit matters are those matters that, in our professional judgment, were of most significance in our audit of the consolidated financial statements of the current period. These matters were addressed in the context of our audit of the consolidated financial statements as a whole, and in forming our opinion thereon, and we do not Deloitte Anjin LLC 9F., One IFC, 10, Gukjegeumyung-ro, Youngdeungpo-gu, Seoul 07326, Korea Tel: +82 (2) 6676 1000 Fax: +82 (2) 6674 2114 www.deloitteanjin.co.kr


 
provide a separate opinion on these matters. - Occurrence and accuracy of mobile service revenue and revenue related to sale of handset for mobile service ("Mobile revenue") (1) Reasons for determining the matter as a Key Audit Matter As described in Note 2.26 to the consolidated financial statements, the Group recognizes revenue at the point in time when it fulfills its performance obligations identified from contracts with customers. The Group provides various services and rate plans related to Mobile revenue, and due to the large volume of transactions with customers, needs complex and elaborate information technology systems to accurately record occurrence of mobile revenue. The amount of Mobile revenue recorded through the billing system is significant, and given the complexity of the billing system used for revenue recognition, we determined the occurrence and accuracy of Mobile revenue recognized through the billing system as a key audit matter. (2) How the matter has been addressed in the audit Key audit procedures performed regarding the occurrence and accuracy of Mobile revenue recorded through the billing system include the following: ⚫ During the audit planning phase, we obtained an understanding of the Group's accounting policies and processes related to Mobile revenue recognition. ⚫ We performed procedures to obtain an understanding of the IT systems used throughout Mobile revenue recording process—including the aggregation of the usage of voice, messaging, and data, as well as, rating and billing—and performed tests of the general information technology controls over those systems. ⚫ We performed tests of relevant manual and automated controls across the end-to-end Mobile revenue recording process. ⚫ To verify the occurrence and accuracy of Mobile revenue, we selected samples to examine the contractual terms agreed between the Group and its customers and reconciled billed amounts to amounts collected. ⚫ To verify the occurrence and accuracy of mobile service revenue, we performed substantive analytical procedures using mobile service revenue by pricing plan and subscriber count information. Responsibilities of Management and Those Charged with Governance for the Consolidated Financial Statements Management is responsible for the preparation and fair presentation of the accompanying consolidated financial statements in accordance with K-IFRS, and for such internal control as they determine is necessary to enable the preparation of consolidated financial statements that are free from material misstatement, whether due to fraud or error. -2-


 
In preparing the consolidated financial statements, management of the Group is responsible for assessing the Group’s ability to continue as a going concern, disclosing, as applicable, matters related to going concern and using the going concern basis of accounting unless management either intends to liquidate the Group or to cease operations, or has no realistic alternative but to do so. Those charged with governance are responsible for overseeing the Group’s financial reporting process. Auditor’s Responsibilities for the Audit of the Consolidated Financial Statements Our objectives are to obtain reasonable assurance about whether the consolidated financial statements as a whole are free from material misstatement, whether due to fraud or error, and to issue an auditor’s report that includes our opinion. Reasonable assurance is a high level of assurance, but is not a guarantee that an audit conducted in accordance with KSAs will always detect a material misstatement when it exists. Misstatements can arise from fraud or error and are considered material if, individually or in the aggregate, they could reasonably be expected to influence the economic decisions of users taken on the basis of these consolidated financial statements. As part of an audit in accordance with KSAs, we exercise professional judgment and maintain professional skepticism throughout the audit. We also: ⚫ Identify and assess the risks of material misstatement of the consolidated financial statements, whether due to fraud or error, design and perform audit procedures responsive to those risks, and obtain audit evidence that is sufficient and appropriate to provide a basis for our audit opinion. The risk of not detecting a material misstatement resulting from fraud is higher than for one resulting from error, as fraud may involve collusion, forgery, intentional omissions, misrepresentations, or the override of internal control. ⚫ Obtain an understanding of internal control relevant to the audit in order to design audit procedures that are appropriate in the circumstances. ⚫ Evaluate the appropriateness of accounting policies used and the reasonableness of accounting estimates and related disclosures made by management. ⚫ Conclude on the appropriateness of management’s use of the going concern basis of accounting and, based on the audit evidence obtained, whether a material uncertainty exists related to events or conditions that may cast significant doubt on the Group’s ability to continue as a going concern. If we conclude that a material uncertainty exists, we are required to draw attention in our auditor’s report to the related disclosures in the consolidated financial statements or, if such disclosures are inadequate, to modify our opinion. Our conclusions are based on the audit evidence obtained up to the date of our auditor’s report. However, future events or conditions may cause the Group to cease to continue as a going concern. ⚫ Evaluate the overall presentation, structure and content of the consolidated financial statements, including the disclosures, and whether the consolidated financial statements represent the underlying transactions and events in a manner that achieves fair presentation. -3-


 
⚫ Obtain sufficient appropriate audit evidence regarding the financial information of the entities or business activities within the Group to express an opinion on the consolidated financial statements. We are responsible for the direction, supervision and performance of the group audit. We are solely responsible for our audit opinion. We communicate with those charged with governance regarding, among other matters, the planned scope and timing of the audit and significant audit findings, including any significant deficiencies in internal control that we identify during our audit. We also provide those charged with governance with a statement that we have complied with relevant ethical requirements regarding independence, and to communicate with them all relationships and other matters that may reasonably be thought to bear on our independence, and where applicable, related safeguards. From the matters communicated with those charged with governance, we determine those matters that were of most significance in the audit of the consolidated financial statements of the current period and are therefore the key audit matters. We describe these matters in our auditor’s report unless law or regulation precludes public disclosure about the matter or when, in extremely rare circumstances, we determine that a matter should not be communicated in our report because the adverse consequences of doing so would reasonably be expected to outweigh the public interest benefits of such communication. The engagement partner on the audit resulting in this independent auditor’s report is Ho Gye, Choi. March 13, 2026 Notice to Readers This report is effective as of March 13, 2026, the auditor’s report date. Certain subsequent events or circumstances may have occurred between the auditor’s report date and the time the auditor’s report is read. Such events or circumstances could significantly affect the consolidated financial statements and may result in modifications to the auditor’s report. -4-


 
KT Corporation and Its Subsidiaries Consolidated Statements of Financial Position Years Ended December 31, 2025 and 2024 (In millions of Korean won) Notes Assets Current assets Cash and cash equivalents 4,5,38 ₩ 3,506,971 ₩ 3,716,680 Trade and other receivables, net 4,6,38 5,845,149 6,147,456 Other financial assets 4,7,38 1,626,982 1,344,248 Current tax assets 9,875 1,213 Inventories, net 8 416,135 940,209 Current assets held-for-sale 10 4,316 - Other current assets 9 2,568,108 2,102,131 Total current assets 13,977,536 14,251,937 Non-current assets Trade and other receivables, net 4,6,38 2,069,139 1,540,727 Other financial assets 4,7,38 3,362,916 2,759,170 Property and equipment, net 11 14,258,472 14,825,814 Right-of-use assets 21 1,538,117 1,212,770 Investment properties, net 12,38 2,872,049 2,299,616 Intangible assets, net 13 1,556,621 1,862,740 Investments in associates and joint ventures 14 1,563,946 1,562,232 Deferred income tax assets 30 660,107 671,609 Net defined benefit assets 18 71,840 49,351 Other non-current assets 9 1,017,830 843,991 Total non-current assets 28,971,037 27,628,020 Total assets ₩ 42,948,573 ₩ 41,879,957 December 31, 2025 December 31, 2024 -5-


 
KT Corporation and Its Subsidiaries Consolidated Statements of Financial Position Years Ended December 31, 2025 and 2024 (in millions of Korean won) Notes Liabilities Current liabilities Trade and other payables 4,15,38 ₩ 6,868,707 ₩ 7,394,791 Borrowings 4,16,38 2,499,539 3,904,752 Other financial liabilities 4,7,38 526,093 351,632 Current income tax liabilities 237,613 123,145 Other provisions 17 312,811 112,530 Deferred income 26 62,175 62,247 Other current liabilities 9 1,185,826 1,925,637 Total current liabilities 11,692,764 13,874,734 Non-current liabilities Trade and other payables 4,15,38 328,269 578,409 Borrowings 4,16,38 8,286,033 6,615,938 Other financial liabilities 4,7,38 592,599 722,517 Net defined benefit liabilities 18 85,631 128,457 Other provisions 17 105,074 111,877 Deferred income 26 140,615 148,960 Deferred income tax liabilities 30 1,151,424 919,996 Other non-current liabilities 9 1,108,141 782,520 Total non-current liabilities 11,797,786 10,008,674 Total liabilities 23,490,550 23,883,408 Equity attribute to owners of the Controlling Company Share capital 22 1,564,499 1,564,499 Share premium 1,440,258 1,440,258 Retained earnings 23 14,964,332 13,779,776 Accumulated other comprehensive income 24 563,279 63,729 Other components of equity 24 (876,715) (637,560) 17,655,653 16,210,702 Non-controlling interest 1,802,370 1,785,847 Total equity 19,458,023 17,996,549 Total liabilities and equity ₩ 42,948,573 ₩ 41,879,957 December 31, 2025 December 31, 2024 The above consolidated statements of financial position should be read in conjunction with the accompanying notes. -6-


 
(In millions of Korean won, except per share amounts) Notes Operating Revenue 26,35 ₩ 28,244,161 ₩ 26,431,204 Operating Expenses 27 25,775,028 25,621,733 Operating Profit 35 2,469,133 809,471 Other income 28 294,715 344,829 Other expenses 28 218,454 501,055 Finance income 29 626,582 917,650 Finance costs 29 771,797 994,781 Share of net profits (losses) of associates and joint ventures14 17,919 8,587 2,418,098 584,701 Income tax expense 30 581,328 167,607 ₩ 1,836,770 ₩ 417,094 Profit for the Year Attributable to: Owners of the Parent Company ₩ 1,731,038 ₩ 470,286 Non-controlling interests 105,732 (53,192) Earnings per share attributable to the equity holders of the Parent Company Basic earnings per share 31 ₩ 7,119 ₩ 1,908 Diluted earnings per share 31 7,114 1,906 Profit for the Year during the year (in Korean won): KT Corporation and Its Subsidiaries Consolidated Statements of Profit or Loss Years Ended December 31, 2025 and 2024 2025 2024 Profit before Income Tax The above consolidated statements of profit or loss should be read in conjunction with the accompanying notes. -7-


 
KT Corporation and Its Subsidiaries Consolidated Statements of Comprehensive Income Years Ended December 31, 2025 and 2024 (in millions of Korean won) Notes 2025 2024 Profit for the year ₩ 1,836,770 ₩ 417,094 Other comprehensive income (loss) Items that will not be reclassified to profit or loss: Remeasurements of the net defined benefit liabilities 18 16,346 (117,057) 45 (490) 4 456,175 (8,600) Items that are or may be subsequently reclassified to profit or loss: 4 918 998 Valuation gains on cash flow hedges 4,7 31,010 272,802 4 25,632 (285,954) (8,848) 4,011 Exchange differences on translation of foreign operations (31,000) 44,095 490,278 (90,195) Total comprehensive income for the year ₩ 2,327,048 ₩ 326,899 Total comprehensive income for the year attributable to: Owners of the Parent Company ₩ 2,243,297 ₩ 354,279 Non-controlling interests 83,751 (27,380) The above consolidated statements of comprehensive income should be read in conjunction with the accompanying notes. Share of remeasurement of the net defined benefit liabilities of associates and joint ventures Other comprehensive income from cash flow hedges reclassified to profit or loss Share of other comprehensive income of associates and joint ventures Other comprehensive income (loss) for the period, net of tax Valuation gains (losses) on equity instruments at fair value through other comprehensive income Gain on valuation of debt instruments at fair value through other comprehensive income -8-


 
KT Corporation and Its Subsidiaries Consolidated Statements of Changes in Equity Years Ended December 31, 2025 and 2024 (In millions of Korean won) Notes Balance as of January 1, 2024 ₩ 1,564,499 ₩ 1,440,258 ₩ 14,494,430 ₩ 52,407 ₩ (802,418) ₩ 16,749,176 ₩ 1,811,961 ₩ 18,561,137 Comprehensive income Profit for the year - - 470,286 - - 470,286 (53,192) 417,094 Remeasurements of net defined benefit liabilities 18,30 - - (113,423) - - (113,423) (3,634) (117,057) Share of remeasurement of the net defined benefit liabilities of associates and joint ventures - - (482) - - (482) (8) (490) Share of other comprehensive income of associates and joint ventures - - - 3,723 - 3,723 288 4,011 Valuation gains (losses) on cash flow hedges 4,30 - - - (12,817) - (12,817) (335) (13,152) Valuation gains on financial instruments at fair value through other comprehensive income 4,30 - - (13,424) 6,917 - (6,507) (1,095) (7,602) Exchange differences on translation of foreign operations - - - 13,499 - 13,499 30,596 44,095 Total comprehensive income for the year - - 342,957 11,322 - 354,279 (27,380) 326,899 Transactions with owners Dividends paid by the Parent Company 32 - - (482,970) - - (482,970) - (482,970) Interim Dividends paid by the Parent Company 32 - - (368,685) - - (368,685) - (368,685) Dividends paid to non-controlling interest of subsidiaries - - - - - - (20,578) (20,578) Change in Consolidation Scope - - - - - - 20 20 Change in ownership interests in subsidiaries - - - - (20,367) (20,367) 22,181 1,814 Acquisition of treasury stock - - - - (27,100) (27,100) - (27,100) Disposal of treasury stock - - - - 4,009 4,009 - 4,009 Retirement of treasury stocks - - (205,956) - 205,956 - - - Others 2,360 2,360 (357) 2,003 Subtotal - - (1,057,611) - 164,858 (892,753) 1,266 (891,487) Balance as of December 31, 2024 ₩ 1,564,499 ₩ 1,440,258 ₩ 13,779,776 ₩ 63,729 ₩ (637,560) ₩ 16,210,702 ₩ 1,785,847 ₩ 17,996,549 Attributable to owners of the Controlling Company Accumulated Other Share Share Retained other comprehensive components Non-controlling Total interest equitycapital premium earnings income of equity Total -9-


 
KT Corporation and Its Subsidiaries Consolidated Statements of Changes in Equity Years Ended December 31, 2025 and 2024 (In millions of Korean won) Notes Balance as of January 1, 2025 ₩ 1,564,499 ₩ 1,440,258 ₩ 13,779,776 ₩ 63,729 ₩ (637,560) ₩ 16,210,702 ₩ 1,785,847 ₩ 17,996,549 Comprehensive income Profit for the year - - 1,731,038 - - 1,731,038 105,732 1,836,770 Remeasurements of net defined benefit liabilities 18,30 - - 12,961 - - 12,961 3,385 16,346 Share of remeasurement of the net defined benefit liabilities of associates and joint ventures - - 22 - - 22 23 45 Share of other comprehensive income of associates and joint ventures - - - (5,178) - (5,178) (3,670) (8,848) Valuation gains (losses) on cash flow hedges 4,30 - - - 56,284 - 56,284 358 56,642 Valuation gains on financial instruments at fair value through other comprehensive income 4,30 - - (274) 459,032 - 458,758 (1,665) 457,093 Exchange differences on translation of foreign operations - - - (10,588) - (10,588) (20,412) (31,000) Total comprehensive income for the year - - 1,743,747 499,550 - 2,243,297 83,751 2,327,048 Transactions with owners Dividends paid by the Parent Company 32 - - (122,836) - - (122,836) - (122,836) Interim Dividends paid by the Parent Company 32 - - (436,298) - - (436,298) - (436,298) Dividends paid to non-controlling interest of subsidiaries - - - - - - (18,672) (18,672) Change in Consolidation Scope - - - - - - (42,689) (42,689) Change in ownership interests in subsidiaries - - - - 3,869 3,869 (11,639) (7,770) Appropriation of retained earnings related to loss on disposal of treasury stock - - (57) - 57 - - - Acquisition of treasury stock - - - - (250,000) (250,000) - (250,000) Disposal of treasury stock - - - - 4,075 4,075 - 4,075 Others - - - - 2,844 2,844 5,772 8,616 Subtotal - - (559,191) - (239,155) (798,346) (67,228) (865,574) Balance as of December 31, 2025 ₩ 1,564,499 ₩ 1,440,258 ₩ 14,964,332 ₩ 563,279 ₩ (876,715) ₩ 17,655,653 ₩ 1,802,370 ₩ 19,458,023 Attributable to owners of the Controlling Company Accumulated Other Non-controlling Total capital premium earnings income of equity Total interest equity Share Share Retained other comprehensive components The above consolidated statements of changes in equity should be read in conjunction with the accompanying notes. -10-


 
KT Corporation and Its Subsidiaries Consolidated Statements of Cash Flows Years Ended December 31, 2025 and 2024 (In millions of Korean won) Notes Cash flows from operating activities Cash generated from operations 33 ₩ 5,299,428 ₩ 5,349,248 Interest paid (402,713) (394,162) Interest received 360,730 385,672 Dividends received 81,053 75,613 Income tax paid (396,765) (350,575) Net cash inflow from operating activities 4,941,733 5,065,796 Cash flows from investing activities Collection of loans 33,406 34,510 Disposals of financial assets at fair value through profit or loss 96,309 122,497 Disposal of financial assets at amortized cost 894,655 1,633,074 3,343 37,134 13,480 21,981 Disposals of property, equipment and investment properties 57,893 103,295 Disposals of intangible assets 5,924 6,955 Disposals of right-of-use assets 736 186 Disposals of derivatives 4,256 - Increase in cash due to consolidation scope change 177,286 9,847 Loans granted (52,837) (30,099) Acquisitions of financial assets at fair value through profit or loss (66,948) (172,476) Acquisitions of financial assets at amortized cost (1,523,495) (1,187,651) Acquisitions of financial assets at fair value through other comprehensive income (100,145) (400) Acquisitions of investments in associates and joint ventures (21,209) (49,399) Acquisitions of property and equipment and investment properties (3,596,545) (2,909,481) Acquisitions of intangible assets (444,214) (438,653) Acquisitions of right-of-use assets (203) (16,447) Decrease in cash due to consolidation scope change (3) (10,310) Net cash outflow from investing activities (4,518,311) (2,845,437) 2025 2024 Disposals of financial assets at fair value through other comprehensive income Disposals of investments in associates and joint ventures -11-


 
KT Corporation and Its Subsidiaries Consolidated Statements of Cash Flows Years Ended December 31, 2025 and 2024 (In millions of Korean won) Notes Cash flows from financing activities 34 Proceeds from borrowings 5,749,966 4,597,704 Cash inflows under derivatives contracts 136,490 81,443 Cash inflow from transactions with non-controlling shareholders 19,220 812 Cash inflow from other financing activities 36,994 10,442 Repayments of borrowings (5,323,810) (4,732,931) Dividends paid (577,806) (872,350) Decrease in lease liabilities (411,959) (414,172) Cash outflow under derivatives contracts (6,036) (855) Acquisition of treasury stock (250,000) (27,100) Cash outflow from transactions with non-controlling shareholders (3,766) (32,124) Cash outflow from other financing activities (749) (922) Net cash outflow from financing activities (631,456) (1,390,053) Effect of exchange rate change on cash and cash equivalents (1,675) 6,820 Net increase (decrease) in cash and cash equivalents (209,709) 837,126 Cash and cash equivalents Beginning of the year 5 3,716,680 2,879,554 End of the year 5 ₩ 3,506,971 ₩ 3,716,680 The above consolidated statements of cash flows should be read in conjunction with the accompanying notes. 2025 2024 -12-


 
KT Corporation and Its Subsidiaries Notes to the Consolidated Financial Statements As of December 31, 2025 and 2024 1. General Information The consolidated financial statements have been prepared by KT Corporation, the “Controlling Company” as defined under Korean IFRS 1110 Consolidated Financial Statements, by consolidating 78 subsidiaries (collectively referred to as the “Group”) including BC Card Co., Ltd., etc. as described in Note 1.2 1.1 The Controlling Company KT Corporation (the “Controlling Company”) commenced operations on January 1, 1982, when it spun off from the Korea Communications Commission (formerly the Korean Ministry of Information and Communications) to provide telecommunication services and to engage in the development of advanced communications services under the Act of Telecommunications of Korea. The address of the Controlling Company’s registered office is 90, Buljeong-ro, Bundang-gu, Seongnam City, Gyeonggi Province, Korea. On October 1, 1997, upon the announcement of the Act on the Management of the Government- Invested Institutions and the Privatization Law, the Controlling Company became a government- funded institution under the Commercial Code of Korea. On December 23, 1998, the Controlling Company’s shares were listed on the Korea Exchange. On May 29, 1999, the Controlling Company issued 24,282,195 additional shares and issued American Depository Shares (ADS), which represent new shares and 20,813,311 government-owned shares, on the New York Stock Exchange. On July 2, 2001, additional ADS representing 55,502,161 government-owned shares were issued on the New York Stock Exchange. In 2002, the Controlling Company acquired the entire government-owned shares in accordance with the Korean government’s privatization plan. As of December 31, 2025, the Korean government does not own any shares in the Controlling Company. -13-


 
KT Corporation and Its Subsidiaries Notes to the Consolidated Financial Statements As of December 31, 2025 and 2024 1.2 Consolidated Subsidiaries (1) The consolidated subsidiaries as of December 31 2025 and 2024, are as follows: Controlling Interest 1 (%) Subsidiary Type of business Location December 31, 2025 December 31, 2024 Closing month KT Telecop Co., Ltd. Security service Korea 92.7% 92.7% December KT Alpha Co., Ltd. 4 Data communication Korea 73.0% 73.0% December KT Service Bukbu Co., Ltd Opening services of fixed line Korea 78.9% 67.3% December KT Service Nambu Co., Ltd. 4 Opening services of fixed line Korea 97.8% 77.3% December KT Commerce Inc. B2C, B2B service Korea 100.0% 100.0% December KT Strategic Investment Fund No.3 Investment fund Korea 100.0% 100.0% December KT Strategic Investment Fund No.4 Investment fund Korea 100.0% 100.0% December KT Strategic Investment Fund No.5 Investment fund Korea 100.0% 100.0% December BC-VP Strategic Investment Fund No.1 Investment fund Korea 100.0% 100.0% December BC Card Co., Ltd. Credit card business Korea 69.5% 69.5% December VP Inc. 4 Payment security service for credit card, others Korea 72.2% 72.2% December BC Card China Co., Ltd. Software development and data processing China 100.0% 100.0% December Smartro Co., Ltd. VAN (Value Added Network) business Korea 64.5% 64.5% December KTDS Co., Ltd. 4 System integration and maintenance Korea 91.6% 91.6% December KT M&S Co., Ltd. PCS distribution Korea 100.0% 100.0% December KT GENIE Music Corporation (formerly. GENIE Music Corporation) 2 Online music production and distribution Korea 36.0% 36.0% December KT MOS Bukbu Co., Ltd. 4 Telecommunication facility maintenance Korea 100.0% 100.0% December KT MOS Nambu Co., Ltd. 4 Telecommunication facility maintenance Korea 98.4% 98.4% December KT Skylife Co., Ltd. 4 Satellite TV Korea 50.5% 50.5% December KT ENA Co., Ltd. (formerly. Skylife TV Co., Ltd.) TV contents provider Korea 100.0% 100.0% December KT Estate Inc. Residential building development and supply Korea 100.0% 100.0% December KT Investment Management Inc. Asset management, real estate, and consulting services Korea 100.0% 100.0% December KTGDH Co., Ltd. Data center development and related service Korea 100.0% 100.0% December KT Sat Co., Ltd. Satellite communication business Korea 100.0% 100.0% December kt Nasmedia, Co., Ltd. (formerly. Nasmedia, Co., Ltd.) 2,4 Solution provider and IPTV advertisement sales business Korea 44.1% 44.1% December KT Sports Co., Ltd. Management of sports teams Korea 100.0% 100.0% December KTCS Corporation 2,4 Database and online information provider Korea 34.1% 34.1% December KTIS Corporation 2,4 Database and online information provider Korea 33.4% 33.3% December KT M Mobile Co., Ltd. Special category telecommunications operator and sales of communication device Korea 100.0% 100.0% December KT Investment Co., Ltd. Financing business for new technology Korea 100.0% 100.0% December Next Connect PFV Co., Ltd. Residential building development and supply Korea 100.0% 100.0% December KT Rwanda Networks Ltd. Network install management Rwanda 51.0% 51.0% December AOS Ltd. System integration and maintenance Rwanda 51.0% 51.0% December -14-


 
KT Corporation and Its Subsidiaries Notes to the Consolidated Financial Statements As of December 31, 2025 and 2024 Controlling Interest 1 (%) Subsidiary Type of business Location December 31, 2025 December 31, 2024 Closing month KT Japan Co., Ltd. Foreign investment business and local counter work Japan 100.0% 100.0% December East Telecom LLC Wireless/fixed line internet business Uzbekistan 91.6% 91.6% December KT America, Inc. Foreign investment business and local counter work USA 100.0% 100.0% December PT. BC Card Asia Pacific Software development and delivery Indonesia 99.9% 99.9% December KT Hongkong Telecommunications Co., Ltd. Fixed line telecommunication business Hong Kong 100.0% 100.0% December Korea Telecom Singapore Pte. Ltd. Foreign investment business and local counter work Singapore 100.0% 100.0% December Texnoprosistem LLC Fixed line internet business Uzbekistan 100.0% 100.0% December KT Huimangjieum Co., Ltd. Manufacturing Korea 100.0% 100.0% December K-REALTY RENTAL HOUSING REIT 3 Residential building Korea 88.6% 88.6% December Storywiz Co., Ltd. Contents and software development and supply Korea 100.0% 100.0% December KT Engineering Co., Ltd. Telecommunication facility construction and maintenance Korea 100.0% 100.0% December KT Studio Genie Co., Ltd. Data communication service and data communication construction business Korea 90.9% 90.9% December KTHS Corporation (formerly. KHS Corporation) Operation and maintenance of facilities Korea 100.0% 100.0% December kt HCN Co., Ltd. (formerly. HCN Co., Ltd.) Cable television service Korea 100.0% 100.0% December kt Millie Seojae (formerly. Millie Seojae) 2 Book contents service Korea 38.4% 38.7% December KT ES Pte. Ltd. Foreign investment business Singapore 68.8% 68.8% December Epsilon Global Communications PTE. Ltd. Network service industry Singapore 100.0% 100.0% December Epsilon Telecommunications (SP) PTE. Ltd. Fixed line telecommunication business Singapore 100.0% 100.0% December Epsilon Telecommunications (US) PTE. Ltd. Fixed line telecommunication business Singapore 100.0% 100.0% December Epsilon Telecommunications Limited Fixed line telecommunication business UK 100.0% 100.0% December Epsilon Telecommunications (HK) Limited Fixed line telecommunication business Hong Kong 100.0% 100.0% December Epsilon US Inc. Fixed line telecommunication business USA 100.0% 100.0% December Epsilon Telecommunications (BG) EOOD Employee support service Bulgaria 100.0% 100.0% December Nasmedia-KT Alpha Future Growth Strategic Investment Fund Investment fund Korea 100.0% 100.0% December KT Strategic Investment Fund 6 Investment fund Korea 100.0% 100.0% December kt Altimedia Corporation (formerly. Altimedia Corporation) Software development and delivery Korea 100.0% 100.0% December KT Altimedia B.V. (formerly. Altimedia B.V.) Software development and delivery Netherlands 100.0% 100.0% December KT Altimedia Vietnam (formerly. Altimedia Vietnam) Software development and delivery Vietnam 100.0% 100.0% December BCCARD VIETNAM LTD. Software sales business Vietnam 100.0% 100.0% December KTP SERVICES INC. Fixed line telecommunication business Philippines 100.0% 100.0% December Hangang Real Estate Investment Trust Investment fund Korea 75.0% 75.0% December -15-


 
KT Corporation and Its Subsidiaries Notes to the Consolidated Financial Statements As of December 31, 2025 and 2024 Controlling Interest 1 (%) Subsidiary Type of business Location December 31, 2025 December 31, 2024 Closing month No. 24 KT DX VIETNAM COMPANY LIMITED Software development Vietnam 100.0% 100.0% December KT Cloud Co., Ltd. Information and communications development Korea 92.6% 92.7% December PT CRANIUM ROYAL ADITAMA Software development Indonesia 67.0% 67.0% December Open cloud lab Co., Ltd IT consulting service and Telecommunication equipment sales Korea 100.0% 100.0% December KT Living, Inc. Residential building management Korea 100.0% 100.0% December K-Realty Qualified Private Real Estate Investment Trust No. 1 3 Real estate management Korea 6.5% 6.5% December AQUA RETAIL VIETNAM COMPANY LIMITED E-voucher issuance and trading business Vietnam 100.0% 100.0% December K-Realty Qualified Private Real Estate Investment Trust No. 4 Real estate management Korea 98.3% 93.9% December BC Strategic Investment Fund 2 Investment fund Korea 100.0% 100.0% December K-Logis Hwaseong Inc Residential building development and supply Korea 80.0% 80.0% December kt netcore Co. Ltd. Telecommunication facility maintenance and service business Korea 100.0% 100.0% December kt p&m Co. Ltd. Information and communications development and Electrical design corporation Korea 100.0% 100.0% December Seongsu269 Development PFV Co, Ltd Investment fund Korea 85.2% - December Gangnam Station 1307 PFV Co., Ltd. Investment fund Korea 60.3% - December 1 Sum of the interests owned by the Controlling Company and subsidiaries. 2 Although the Controlling Company owns less than 50% of the interest in kt Nasmedia, Co., Ltd. (formerly. Nasmedia, Co., Ltd.), KTCS Corporation, KTIS Corporation, kt Millie Seojae (formerly. Millie Seojae), and KT GENIE Music Corporation (formerly. GENIE Music Corporation), these entities are consolidated as the Controlling Company can exercise the majority of voting rights in its decision-making process at all times, based on voting patterns at previous shareholders’ meetings. 3 Although the Controlling Company owns less than 50% of the interest in K-Realty Qualified Private Real Estate Investment Trust No. 1, this entity is consolidated by comprehensively considering the criteria for determining control, such as 'power', 'variable profit', and 'relationship between power and variable profit', rather than simply judging by the interests owned by the Controlling Company. 4 The number of treasury stock held by subsidiaries are deducted from the total number of shares when calculating the controlling percentage interest. -16-


 
KT Corporation and Its Subsidiaries Notes to the Consolidated Financial Statements As of December 31, 2025 and 2024 (2) Changes in Scope of Consolidation Subsidiaries newly included and excluded in the consolidation during the year ended December 31, 2025: Changes Location Name of subsidiary Reason Included Korea Seongsu269 Development PFV Co, Ltd Newly established Included Korea Townboard Co., Ltd. Split-off Included Korea Gangnam Station 1307 PFV Co., Ltd. Newly established Excluded Korea KT Linkus Co., Ltd. Merged Excluded Korea KT Music Contents Fund No.2 Liquidated Excluded Korea Initech Co., Ltd. Shares disposed Excluded Korea PlayD Co., Ltd. Shares disposed Excluded Thailand Nasmedia Thailand Co.Ltd. Shares disposed Excluded Korea Townboard Co., Ltd. Shares disposed Excluded Korea H&C Network Merged Excluded Russia KT RUS LLC Liquidated -17-


 
KT Corporation and Its Subsidiaries Notes to the Consolidated Financial Statements As of December 31, 2025 and 2024 (3) Summarized information for consolidated subsidiaries as at and for the years ended December 31, 2025 and 2024, is as follows: (In millions of Korean won) December 31, 2025 2025 4 Total assets Total liabilities Operating revenues Profit(loss) for the period KT Telecop Co., Ltd. ₩ 393,333 234,285 582,891 15,859 KT Alpha Co., Ltd. 495,896 192,822 395,886 43,644 KT Service Bukbu Co., Ltd. 59,502 53,859 236,315 1,007 KT Service Nambu Co., Ltd. 107,727 99,990 382,407 (3,102) BC Card Co., Ltd. 1 6,558,304 4,626,053 3,634,972 151,717 kt Nasmedia, Co., Ltd. (formerly. Nasmedia, Co., Ltd.) 3 440,266 238,576 125,546 6,799 KTDS Co., Ltd. 3 311,710 146,073 700,991 35,386 KT M&S Co., Ltd. 238,108 157,783 753,458 11,765 KT MOS Bukbu Co., Ltd. 54,039 34,830 107,153 332 KT MOS Nambu Co., Ltd. 54,657 29,236 105,828 2,480 KT Skylife Co., Ltd. 1 975,400 413,080 984,389 585 KT Estate Inc. 1 3,266,800 1,534,793 719,324 51,769 KT GDH Co., Ltd. 7,852 1,181 3,093 121 KT Sat Co., Ltd. 696,796 32,436 202,754 27,370 KT Sports Co., Ltd. 32,098 7,205 98,244 (532) KT M Mobile Co., Ltd. 222,683 90,445 390,692 11,954 KT Investment Co., Ltd. 1 73,066 43,133 10,610 2,215 KTCS Corporation 1 470,973 245,806 1,042,717 25,107 KTIS Corporation 449,527 211,060 612,964 36,423 Next Connect PFV 967,898 279,246 1,168,356 393,282 KT Japan Co., Ltd. 1 1,900 3,271 3,296 138 KT America, Inc. 7,080 589 8,718 464 KT Rwanda Networks Ltd. 2 112,981 149,440 20,819 (19,212) AOS Ltd. 2 17,996 20,221 11,925 2,554 KT Hong Kong Telecommunications Co., Ltd. 9,942 2,202 12,436 453 KT Huimangjieum 1 11,134 3,408 19,334 1,174 KT Engineering Co., Ltd. 153,146 95,252 283,699 (1,345) KT Studio Genie Co., Ltd. 1 791,790 181,688 470,257 (42,878) East Telecom LLC 1 88,259 39,227 42,831 10,314 KT ES Pte. Ltd. 1 76,013 69,059 98,706 (7,196) -18-


 
KT Corporation and Its Subsidiaries Notes to the Consolidated Financial Statements As of December 31, 2025 and 2024 (In millions of Korean won) December 31, 2025 2025 4 Total assets Total liabilities Operating revenues Profit(loss) for the period KTP SERVICES INC. 2,179 10 87 (198) kt Altimedia Corporation (formerly. Altimedia Corporation) 1 42,655 9,300 37,769 1,402 KT DX VIETNAM COMPANY LIMITED 1,457 291 874 (205) KT Cloud Co., Ltd. 1 2,659,479 1,099,355 997,537 38,087 K-Realty Qualified Private Real Estate Investment Trust No. 1 77,384 50,062 4,636 (1,017) AQUA RETAIL VIETNAM COMPANY LIMITED 296 - 541 (1,037) kt netcore. Co. Ltd. 174,021 109,253 778,226 3,632 kt p&m Co. Ltd. 32,513 19,889 71,718 2,910 -19-


 
KT Corporation and Its Subsidiaries Notes to the Consolidated Financial Statements As of December 31, 2025 and 2024 (In millions of Korean won) December 31, 2024 2024 4 ss Total assets Total liabilities Operating revenues Profit(loss) for the period KT Linkus Co., Ltd. ₩ 54,247 55,750 78,600 (1,726) KT Telecop Co., Ltd. 400,437 253,509 531,670 8,793 KT Alpha Co., Ltd. 464,180 201,902 419,641 20,682 KT Service Bukbu Co., Ltd. 56,706 56,846 228,636 (6,665) KT Service Nambu Co., Ltd. 57,827 51,826 285,371 (5,881) BC Card Co., Ltd. 1 5,961,047 4,196,724 3,805,755 141,149 H&C Network 59,808 5,039 26,187 1,868 kt Nasmedia, Co., Ltd. (formerly. Nasmedia, Co., Ltd.) 1 492,782 252,707 142,552 (3,884) KTDS Co., Ltd. 1 388,812 179,630 720,397 34,883 KT M&S Co., Ltd. 261,539 193,526 807,308 19,681 KT MOS Bukbu Co., Ltd. 50,262 32,012 103,264 1,287 KT MOS Nambu Co., Ltd. 51,458 28,427 103,032 3,719 KT Skylife Co., Ltd. 1 1,040,188 463,594 1,022,930 (156,033) KT Estate Inc. 1 2,617,662 947,834 604,912 34,715 KT GDH Co., Ltd. 7,998 1,462 3,977 303 KT Sat Co., Ltd. 733,574 92,877 188,214 30,741 KT Sports Co., Ltd. 23,299 7,435 82,284 859 KT Music Contents Fund No.2 5,508 1,589 199 134 KT M Mobile Co., Ltd. 195,196 74,570 345,583 13,142 KT Investment Co., Ltd. 1 84,369 56,721 19,355 1,621 KTCS Corporation 1 435,066 232,129 1,121,341 6,814 KTIS Corporation 469,932 261,826 603,899 11,862 Next Connect PFV 1,429,260 1,133,891 - (21,508) KT Japan Co., Ltd. 1 1,750 3,289 2,857 (180) KT America, Inc. 6,843 614 7,445 192 KT Rwanda Networks Ltd. 2 131,362 341,313 21,621 (21,025) AOS Ltd. 2 14,305 19,422 10,758 643 KT Hong Kong Telecommunications Co., Ltd. 9,105 1,680 16,813 423 KT Huimangjieum 1 8,854 2,275 17,817 1,338 KT Engineering Co., Ltd. 183,753 123,132 333,440 2,634 KT Studio Genie Co., Ltd. 1 880,509 212,683 450,916 (29,364) East Telecom LLC 1 75,828 40,371 37,994 6,938 KT ES Pte. Ltd. 1 78,800 59,114 93,358 (79,014) -20-


 
KT Corporation and Its Subsidiaries Notes to the Consolidated Financial Statements As of December 31, 2025 and 2024 (In millions of Korean won) December 31, 2024 2024 4 ss Total assets Total liabilities Operating revenues Profit(loss) for the period KTP SERVICES INC. 3,257 750 718 272 kt Altimedia Corporation (formerly. Altimedia Corporation) 1 45,287 11,919 36,773 290 KT RUS LLC 420 - - (31) KT DX VIETNAM COMPANY LIMITED 1,568 120 465 (262) KT Cloud Co., Ltd. 1 2,061,020 542,569 783,181 35,676 K-Realty Qualified Private Real Estate Investment Trust No. 1 79,220 50,681 4,356 (1,034) AQUA RETAIL VIETNAM COMPANY LIMITED 1,903 497 528 (827) kt netcore Co. Ltd. 61,213 79 - 134 kt p&m Co. Ltd 10,029 96 - (67) 1 As intermediate controlling companies, financial information from their consolidated financial statements is presented. 2 Convertible preferred stock issued by subsidiaries as of the end of the reporting period is included in liabilities. 3 Profit or loss of subsidiary that was disposed of during the current period, from the beginning of the reporting period to the date of loss of control, is reflected. 4 Profit or loss of companies newly included in consolidated financial statements from the acquisition date of control to the end of the reporting period is included. -21-


 
KT Corporation and Its Subsidiaries Notes to the Consolidated Financial Statements As of December 31, 2025 and 2024 2. Material Accounting Policies The principal accounting policies applied in the preparation of these consolidated financial statements are set out below. These policies have been consistently applied to all the years presented, unless otherwise stated. 2.1 Basis of Preparation The Group maintains its accounting records in Korean won and prepares statutory financial statements in the Korean language (Hangul) in accordance with International Financial Reporting Standards as adopted by the Republic of Korea (K-IFRS). The accompanying consolidated financial statements have been condensed, restructured, and translated into English from the Korean language financial statements. The consolidated financial statements of the Group have been prepared in accordance with K-IFRS. These are the standards, subsequent amendments and related interpretations issued by the International Accounting Standards Board (IASB) that have been adopted by the Republic of Korea. The financial statements have been prepared on a historical cost basis, except for the following:  Certain financial assets and liabilities (including derivative instruments)  Defined benefit pension plans – plan assets measured at fair value The preparation of the consolidated financial statements requires the use of critical accounting estimates. Management also needs to exercise judgement in applying the Group’s accounting policies. The areas involving a higher degree of judgment or complexity, or areas where assumptions and estimates are significant to the consolidated financial statements are disclosed in Note 3. 2. 2 Changes in Accounting Policy and Disclosures (1) New and amended standards and interpretations adopted by the Group The Group has applied the following standards and interpretations for the first time for their annual reporting period commencing January 1, 2025. - K-IFRS 1021 The Effects of Changes in Foreign Exchange Rates and K-IFRS 1101 First-time adoption of Korean International Financial Reporting Standards (Amendment) - Lack of Exchangeability The amendments specify how to assess whether a currency is exchangeable, and how to determine the exchange rate when it is not. -22-


 
KT Corporation and Its Subsidiaries Notes to the Consolidated Financial Statements As of December 31, 2025 and 2024 (2) New and revised standards and interpretations in issue but not yet effective or adopted by the Group At the date of authorization of these financial statements, the Group has not applied the following new and revised K-IFRS standards that have been issued but are not yet effective: - K-IFRS 1109 Financial Instruments and K-IFRS 1107 Financial Instruments: Disclosures – Amendments to Classification and measurement requirements of financial instruments The amendments in Amendments to the Classification and Measurement of Financial Instruments (Amendments to K-IFRS 1109 and K-IFRS 1107) are: Derecognition of a financial liability settled through electronic transfer The amendments permit an entity to deem a financial liability (or part of a financial liability) that is settled using an electronic payment system to be discharged (and derecognized) before the settlement date if specified criteria are met. If an entity elects to apply this accounting policy, it must do so for all settlements made through the same electronic payment system. Classification of financial assets • Contractual terms that are consistent with a basic lending arrangement. The amendments provide guidance on how an entity should assess whether contractual cash flows of a financial asset are consistent with a basic lending arrangement. This is intended to assist an entity to apply the requirements for assessing contractual cash flow characteristics to financial assets with features linked to environmental, social and governance (ESG) concerns. • Assets with non-recourse features. The amendments enhance the description of the term ‘non-recourse’, in particular to specify that a financial asset has non-recourse features if an entity’s ultimate right to receive cash flows is contractually limited to the cash flows generated by specified assets. • Contractually linked instruments. The amendments clarify the characteristics of contractually linked instruments that distinguish them from other transactions. Specifically, the amendments highlight that in such instruments a prioritization of payments to the holders of financial assets using multiple contractually linked instruments (tranches) is established through a waterfall payment structure, resulting in concentrations of credit risk and a disproportionate allocation of losses between the holders of different tranches. The amendments also note that not all transactions with multiple debt instruments meet the criteria of transactions with multiple contractually linked instruments. In addition, the amendments clarify that the reference to instruments in the underlying pool can include financial instruments that are not within the scope of the classification requirements. -23-


 
KT Corporation and Its Subsidiaries Notes to the Consolidated Financial Statements As of December 31, 2025 and 2024 Disclosures • Investments in equity instruments designated at FVTOCI. The requirements in K-IFRS 1107 are amended to require an entity to disclose the fair value gain or loss presented in other comprehensive income during the period, showing separately the fair value gain or loss that relates to investments derecognized in the period and the fair value gain or loss that relates to investments held at the end of the period. • Contractual terms that could change the timing or amount of contractual cash flows. The amendments require an entity to disclose the contractual terms that could change the timing or amount of contractual cash flows on the occurrence (or non-occurrence) of a contingent event that does not relate directly to changes in a basic lending risks and costs. The requirements apply to each class of financial asset measured at amortized cost or FVTOCI and each class of financial liability measured at amortized cost. The amendments are applied retrospectively for annual reporting periods beginning on or after 1 January 2026 with earlier application permitted. If an entity elects to apply these amendments for an earlier period, it is required to either: • Apply all the amendments at the same time and disclose that fact or • Apply only the amendments to the classification of financial assets for that earlier period and disclose that fact. The amendments are required to be applied retrospectively, in accordance with K-IFRS 1008, with specific exceptions. - K-IFRS 1101 First-time adoption of Korean International Financial Reporting Standards – Hedging accounting by a first-time adopter For consistency with the requirements in K-IFRS 1109, K-IFRS 1101:B6 were amended to refer to the ‘qualifying criteria’ for hedge accounting(instead of the ‘conditions’) and to add cross-references to K- IFRS 1109:6.4.1 to improve the understandability of K-IFRS 1101. The amendments are effective for annual reporting periods beginning on or after 1 January 2026, with earlier application permitted. -24-


 
KT Corporation and Its Subsidiaries Notes to the Consolidated Financial Statements As of December 31, 2025 and 2024 - K-IFRS 1107 Financial Instruments: Disclosures – Gain or loss on derecognition The amendments remove an obsolete cross-reference in K-IFRS 1107:B38 to a paragraph that had been deleted when K-IFRS 1113 was issued and aligned the wording of this paragraph with the terms used in K-IFRS 1113. Guidance on implementing K-IFRS 1107—Disclosure of deferred difference between fair value and transaction price The amendments update K-IFRS 1107:IG14 to make the wording of that paragraph consistent with K- IFRS 1107:28 and improve the internal consistency of the wording in the example in K-IFRS 1107:IG14. Guidance on implementing K-IFRS 1107—Introduction and credit risk disclosures The amendments add a statement to K-IFRS 1107:IG1 clarifying that the guidance does not necessarily illustrate all the requirements in the referenced paragraphs of K-IFRS 1107. The amendments also simplify the explanation of the aspects of the requirements that are not illustrated in K-IFRS 1107:IG20B. The amendments are effective for annual reporting periods beginning on or after 1 January 2026, with earlier application permitted. - K-IFRS 1109 Financial Instruments – Derecognition of lease liabilities and Transaction price The amendments add a cross-reference to K-IFRS 1109:3.3.3 in K-IFRS 1109:2.1(b)(ii) to clarify that when a lessee has determined that a lease liability has been extinguished in accordance with K-IFRS 1109, the lessee is required to apply K-IFRS 1109:3.3.3 and therefore recognize any resulting gain or loss in profit or loss. Additionally, the amendments replace ‘their transaction price (as defined in K-IFRS 1115)’ in K-IFRS 1109:5.1.3 with ‘the amount determined by applying K-IFRS 1115’ which may require a receivable to be measured at an amount that differs from the amount of the transaction price recognized as revenue. The reference to ‘transaction price’(as defined in K-IFRS 1115) is deleted from Appendix A of K-IFRS 1109. The amendments are effective for annual reporting periods beginning on or after 1 January 2026, with earlier application permitted. An entity is required to apply the amendments to K-IFRS 1109:2.1(b)(ii) to lease liabilities that are extinguished on or after the beginning of the annual reporting period in which the entity first applies that amendment. -25-


 
KT Corporation and Its Subsidiaries Notes to the Consolidated Financial Statements As of December 31, 2025 and 2024 - K-IFRS 1110 Consolidated Financial Statements – Determination of ‘de facto agent’ The amendments address concerns that the requirements in K-IFRS 1110:B73-B74 might, in some situations, be contradictory. K-IFRS 1110:B73 refers to ‘de facto agents’ as parties acting on the investor’s behalf and states that the determination of whether other parties are acting as de facto agents requires judgement. However, the second sentence of K-IFRS 1110:B74 includes more conclusive language and states that a party is a de facto agent when those that direct the activities of the investor have the ability to direct that party to act on the investor’s behalf. The amendments update K-IFRS 1110:B74 to use less conclusive language and to clarify that the relationship described in K- IFRS 1110:B74 is just one example of a circumstance in which judgement is required to determine whether a party is acting as a de facto agent. The amendments are effective for annual reporting periods beginning on or after 1 January 2026, with earlier application permitted. - K-IFRS 1007 Statement of Cash Flows: Cost method The amendment replaces the term ‘cost method’ with ‘at cost’ in K-IFRS 1007:37 in line with the removal of the definition of ‘cost method’ from the IFRS Accounting Standards. The amendments are effective for annual reporting periods beginning on or after 1 January 2026, with earlier application permitted. - K-IFRS 1109 Financial Instruments and K-IFRS 1107 Financial Instruments: Disclosures (Amendment) - Contracts Referencing Nature-dependent Electricity Amendments to K-IFRS 1109 Financial Instruments The following requirements of K-IFRS 1109 are affected by the amendments: • the “own-use” requirements in K-IFRS 1109 are amended to include factors an entity is required to consider when applying K-IFRS 1109:2.4 to contracts to buy and take delivery of renewable electricity for which the source of production of the electricity is nature-dependent; and • the hedge accounting requirements in K-IFRS 1109 are amended to permit an entity using a contract for nature-dependent renewable electricity with specified characteristics as a hedging instrument: o to designate a variable volume of forecast electricity transactions as the hedged item if specified criteria are met; and o to measure the hedged item using the same volume assumptions as those used for the hedging instrument. -26-


 
KT Corporation and Its Subsidiaries Notes to the Consolidated Financial Statements As of December 31, 2025 and 2024 Amendments to K-IFRS 1107 Financial Instruments: Disclosures K-IFRS 1107 was amended to introduce disclosure requirements about contracts for nature- dependent electricity with specified characteristics. The amendments are effective for annual periods beginning on or after 1 January 2026, with earlier application permitted. The amendments to the “own use exemption” are required to be applied retrospectively in accordance with K-IFRS 1008 using the facts and circumstances at the date of initial application. The amendments to the hedge accounting requirements are to be applied prospectively to new hedging relationships designated on or after the date of initial application. - K-IFRS 1118 Presentation and Disclosures in Financial Statements K-IFRS 1118 replaces K-IFRS 1001, carrying forward many of the requirements in K-IFRS 1001 unchanged and complementing them with new requirements. In addition, some paragraphs from K- IFRS 1001 have been moved to K-IFRS 1008 and K-IFRS 1107. Furthermore, minor amendments have been made to K-IFRS 1007 and K-IFRS 1033 Earnings per Share. K-IFRS 1118 introduces new requirements to: • present specified categories and defined subtotals in the statement of profit or loss • provide disclosures on management-defined performance measures (MPMs) in the notes to the financial statements • improve aggregation and disaggregation. An entity is required to apply K-IFRS 1118 for annual reporting periods beginning on or after 1 January 2027, with earlier application permitted. The amendments to K-IFRS 1007 and K-IFRS 1033, as well as the revised K-IFRS 1008 and K-IFRS 1107, become effective when an entity applies K-IFRS 1118. K-IFRS 1118 requires retrospective application with specific transition provisions. The Group is evaluating the impact of aforementioned amendments on the financial statements. -27-


 
KT Corporation and Its Subsidiaries Notes to the Consolidated Financial Statements As of December 31, 2025 and 2024 2.3 Consolidation The Group has prepared the consolidated financial statements in accordance with K-IFRS 1110 Consolidated Financial Statements. (a) Subsidiaries Subsidiaries are all entities (including special purpose entities (“SPEs”)) over which the Group has control. The Group controls an entity when the Group is exposed to, or has rights to, variable returns from its involvement with the entity and has the ability to affect those returns through its power to direct the activities of the entity. Subsidiaries are fully consolidated from the date on which control is transferred to the Group. They are deconsolidated from the date that control ceases. The acquisition method of accounting is used to account for business combinations by the Group. The consideration transferred is measured at the fair values of the assets transferred, and identifiable assets acquired, and liabilities and contingent liabilities assumed in a business combination are measured initially at their fair values at the acquisition date. The Group recognizes any non-controlling interest in the acquired entity on an acquisition-by-acquisition basis either at fair value or at the non- controlling interest’s proportionate share of the acquired entity’s net identifiable assets. All other non- controlling interests are measured at fair values, unless otherwise required by other standards. Acquisition-related costs are expensed as incurred. The excess of consideration transferred, amount of any non-controlling interest in the acquired entity and acquisition-date fair value of any previous equity interest in the acquired entity over the fair value of the net identifiable assets acquired is recognized as goodwill. If those amounts are less than the fair value of the net identifiable assets of the business acquired, the difference is recognized directly in the profit or loss as a bargain purchase. Intercompany transactions, balances and unrealized gains on transactions among group companies are eliminated. Unrealized losses are also eliminated unless the transaction provides evidence of an impairment of the transferred asset. Accounting policies of subsidiaries have been changed where necessary to ensure consistency with the policies adopted by the Group. (b) Changes in ownership interests in subsidiaries without loss of control Any differences between the amount of the adjustment to non-controlling interest that do not result in loss of control and any consideration paid or received is recognized in a separate reserve within equity attributable to owners of the Controlling Company. (c) Disposal of subsidiaries When the Group ceases to have control over a subsidiary, any retained interest in the subsidiary is remeasured to its fair value with the change in carrying amount recognized in profit or loss. -28-


 
KT Corporation and Its Subsidiaries Notes to the Consolidated Financial Statements As of December 31, 2025 and 2024 (d) Associates Associates are entities over which the Group has significant influence but does not possess control or joint control. Investments in associates are accounted for using the equity method of accounting, after initially being recognized at cost. Unrealized gains on transactions between the Group and its associates are eliminated to the extent of the Group’s interest in the associates. If the Group’s share of losses of an associate equals or exceeds its interest in the associate (including long-term interests that, in substance, form part of the Group’s net investment in the associate), the Group discontinues recognizing its share of further losses. After the Group’s interest is reduced to zero, additional losses are provided for, and a liability is recognized, only to the extent that the Group has incurred legal or constructive obligations or made payments on behalf of the associate. If there is an objective evidence of impairment for the investment in the associate, the Group recognizes the difference between the recoverable amount of the associate and its book amount as impairment loss. If an associate uses accounting policies other than those of the Group for transactions and events in similar circumstances, if necessary, adjustments shall be made to make the associate’s accounting policies conform to those of the Group when the associate’s financial statements are used by the Group in applying the equity method. (e) Joint arrangements A joint arrangement, wherein two or more parties have joint control, is classified as either a joint operation or a joint venture. A joint operator recognizes its direct right to the assets, liabilities, revenues, and expenses of joint operations and its share of any jointly held or incurred assets, liabilities, revenues, and expenses. A joint venture has rights to the net assets relating to the joint venture and accounts for that investment using the equity method. 2.4 Segment Reporting Information of each operating segment is reported in a manner consistent with the business segment reporting provided to the chief operating decision-maker (Note 35). The chief operating decision-maker is responsible for allocating resources and assessing performance of the operating segments. -29-


 
KT Corporation and Its Subsidiaries Notes to the Consolidated Financial Statements As of December 31, 2025 and 2024 2.5 Foreign Currency Translation (a) Functional and presentation currency Items included in the financial statements of each entities in the Group are measured using the currency of the primary economic environment in which each entity operates (its functional currency). The consolidated financial statements are presented in Korean won, which is the presentation currency for the consolidated financial statements. (b) Transactions and balances Foreign currency transactions are translated into the functional currency using the exchange rates at the dates of the transactions. Foreign exchange gains and losses resulting from the settlement of such transactions and from the translation of monetary assets and liabilities denominated in foreign currencies at year end exchange rates are generally recognized in profit or loss. They are deferred in other comprehensive income if they relate to qualifying cash flow hedges and qualifying effective portion of net investment hedges or are attributable to monetary part of the net investment in a foreign operation. Foreign exchange gains and losses that relate to financial instruments are presented in the statement of profit or loss, within finance costs. All other foreign exchange gains and losses are presented in the statement of profit or loss within ‘other income’ or ‘other expense’. Non-monetary items that are measured at fair value in a foreign currency are translated using the exchange rates at the date when the fair value was determined. Translation differences on assets and liabilities carried at fair value are reported as part of the fair value gain or loss. For example, translation differences on non-monetary assets and liabilities, such as equities held at fair value through profit or loss, are recognized in profit or loss as part of the fair value gain or loss and translation differences on non-monetary assets, such as equities classified as available-for-sale financial assets, are recognized in other comprehensive income. -30-


 
KT Corporation and Its Subsidiaries Notes to the Consolidated Financial Statements As of December 31, 2025 and 2024 2.6 Financial Assets (a) Classification The Group classifies its financial assets in the following measurement categories:  those to be measured at fair value through profit or loss  those to be measured at fair value through other comprehensive income  those to be measured at amortized cost The classification depends on the Group’s business model for managing the financial assets and the contractual terms of the cash flows. For financial assets measured at fair value, gains and losses will either be recorded in profit or loss or other comprehensive income. For investments in debt instruments, this will depend on the business model in which the investment is held. The Group reclassifies debt investments when, and only when, its business model for managing those assets changes. For investments in equity instruments that are not held for trading, this will depend on whether the Group has made an irrevocable election at the time of initial recognition to account for the equity investment at fair value through other comprehensive income. Changes in fair value of the investments in equity instruments that are not accounted for as other comprehensive income are recognized in profit or loss. (b) Measurement At initial recognition, the Group measures a financial asset at its fair value plus, in the case of a financial asset not at fair value through profit or loss, transaction costs that are directly attributable to the acquisition of the financial asset. Transaction costs of financial assets carried at fair value through profit or loss are expensed in profit or loss. Financial assets with embedded derivatives are considered in their entirety when determining whether their cash flows are solely payment of principal and interest. -31-


 
KT Corporation and Its Subsidiaries Notes to the Consolidated Financial Statements As of December 31, 2025 and 2024 A. Debt instruments Subsequent measurement of debt instruments depends on the Group’s business model for managing the asset and the cash flow characteristics of the asset. The Group classifies its debt instruments into one of the following three measurement categories:  Amortized cost: Assets that are held for collection of contractual cash flows where those cash flows represent solely payments of principal and interest are measured at amortized cost. A gain or loss on a debt investment that is subsequently measured at amortized cost and is not part of a hedging relationship is recognized in profit or loss when the asset is derecognized or impaired. Interest income from these financial assets is included in ‘finance income’ using the effective interest rate method.  Fair value through other comprehensive income: Assets that are held for collection of contractual cash flows and for selling the financial assets, where the assets’ cash flows represent solely payments of principal and interest, are measured at fair value through other comprehensive income. Movements in the carrying amount are taken through other comprehensive income, except for the recognition of impairment loss (and reversal of impairment loss), interest income and foreign exchange gains and losses which are recognized in profit or loss. When the financial asset is derecognized, the cumulative gain or loss previously recognized in other comprehensive income is reclassified from equity to profit or loss. Interest income from these financial assets is included in ‘finance income’ using the effective interest rate method. Foreign exchange gains and losses are presented in ‘finance income’ or ‘finance costs’ and impairment loss in ‘finance costs’ or ‘operating expenses’.  Fair value through profit or loss: Assets that do not meet the criteria for amortized cost or fair value through other comprehensive income are measured at fair value through profit or loss. A gain or loss on a debt investment that is subsequently measured at fair value through profit or loss and is not part of a hedging relationship is recognized in profit or loss and presented net in the statement of profit or loss within ‘finance income’ or ‘finance costs’ in the period in which it arises. B. Equity instruments The Group subsequently measures all equity investments at fair value. Where the Group’s management has elected to present fair value gains and losses on equity investments in other comprehensive income, there is no subsequent reclassification of fair value gains and losses to profit or loss following the derecognition of the investment. Dividend income from such investments continue to be recognized in profit or loss as ‘finance income’ when the Group’s right to receive payments is established. Changes in the fair value of financial assets at fair value through profit or loss are recognized in ‘finance income’ or ‘finance costs’ in the statement of profit or loss as applicable. Impairment loss (reversal of impairment loss) on equity investments, measured at fair value through other comprehensive income, are not reported separately from other changes in fair value. -32-


 
KT Corporation and Its Subsidiaries Notes to the Consolidated Financial Statements As of December 31, 2025 and 2024 (c) Impairment The Group assesses on a forward-looking basis the expected credit losses associated with its debt instruments carried at amortized cost and fair value through other comprehensive income. The impairment methodology applied depends on whether there has been a significant increase in credit risk. For trade receivables and lease receivables, the Group applies the simplified approach, which requires expected lifetime credit losses to be recognized from initial recognition of the receivables. (d) Recognition and derecognition Regular way purchases and sales of financial assets are recognized or derecognized on trade-date, the date on which the Group commits to purchase or sell the asset. Financial assets are derecognized when the rights to receive cash flows from the financial assets have expired or have been transferred and the Group has transferred substantially all the risks and rewards of ownership. If a transfer does not result in derecognition because the Group has retained substantially all the risks and rewards of ownership of the transferred asset, the Group continues to recognize the transferred asset in its entirety and recognizes a financial liability for the consideration received. (e) Offsetting of financial instruments Financial assets and liabilities are offset and the net amount reported in the statement of financial position where there is a legally enforceable right to offset the recognized amounts and there is an intention to settle on a net basis or realize the assets and settle the liability simultaneously. The legally enforceable right must not be contingent on future events and must be enforceable in the normal course of business and in the event of default, insolvency or bankruptcy of the Group or the counterparty. 2.7 Derivative Instruments Derivatives are initially recognized at fair value on the date a derivative contract is entered into and are subsequently remeasured to their fair value at the end of each reporting period. The accounting treatment for subsequent changes in fair value depends on whether the derivative is designated as a hedging instrument, and if so, the nature of the item being hedged. The Group has hedge relationships and designates certain derivatives as:  hedges of a particular risk associated with the cash flows of recognized assets and liabilities and highly probable forecast transactions (cash flow hedges) At inception of the hedge relationship, the Group documents the economic relationship between hedging instruments and hedged items including whether changes in the cash flows of the hedging instruments are expected to offset changes in the cash flows of hedged items. The fair values of derivative financial instruments designated in hedge relationships are disclosed in Note 38. -33-


 
KT Corporation and Its Subsidiaries Notes to the Consolidated Financial Statements As of December 31, 2025 and 2024 The full fair value of a hedging derivative is classified as a non-current asset or liability when the remaining maturity of the hedged item is more than 12 months; it is classified as a current asset or liability when the remaining maturity of the hedged item is less than 12 months. A non-derivative financial asset and a non-derivative financial liability is classified as a current or non-current based on its expected maturity and its settlement, respectively. The effective portion of changes in fair value of derivatives that are designated and qualify as cash flow hedges is recognized in the cash flow hedge reserve within equity to the limit of the cumulative change in fair value (present value) of the hedge item (the present value of the cumulative change in the future expected cash flows of the hedged item) from the inception of the hedge. The ineffective portion is recognized in ‘finance income (costs)’. Amounts of changes in fair value of effective hedging instruments accumulated in equity are recognized as ‘finance income (costs)’ for the periods when the corresponding transactions affect profit or loss. When a hedging instrument expires, or is sold, terminated, exercised, or when a hedge no longer meets the criteria for hedge accounting, any accumulated cash flow hedge reserve at that time remains in equity until the forecast transaction occurs, resulting in the recognition of a non-financial asset such as inventory. When the forecast transaction is no longer expected to occur, the cash flow hedge reserve and deferred costs of hedging that were reported in equity are immediately reclassified to profit or loss. 2.8 Trade Receivables Trade receivables are recognized initially at the amount of consideration that is unconditional, unless they contain significant financing components when they are recognized at fair value. Trade receivables are subsequently measured at amortized cost using the effective interest method, less loss allowance. See Note 6 for further information about the Group’s accounting treatment for trade receivables and Note 2.6 (c) for a description of the Group’s accounting policy on impairment. 2.9 Inventories Inventories are stated at the lower of cost and net realizable value. Cost is determined using the moving average method, except for inventories in-transit (specific identification method). 2.10 Non-Current Assets Held-for-Sale Non-current assets (or disposal groups) are classified as assets held-for-sale when their carrying amount will be recovered principally through a sale transaction rather than through continued use and when a sale is considered highly probable. The assets are measured at the lower amount between their carrying amount and the fair value less selling costs. -34-


 
KT Corporation and Its Subsidiaries Notes to the Consolidated Financial Statements As of December 31, 2025 and 2024 2.11 Property and Equipment Property and equipment are stated at historical cost less accumulated depreciation and accumulated impairment losses. Historical cost includes expenditures that is directly attributable to the acquisition of the items. Depreciation of all property and equipment, except for land, is calculated using the straight-line method to allocate their cost, net of their residual values, over their estimated useful lives as follows: Useful Life Buildings 5 – 40 years Structures 5 – 40 years Machinery and equipment (Telecommunications equipment and others) 2 – 40 years Vehicles 4 – 10 years Tools 3 – 6 years Office equipment 2 – 8 years The depreciation method, residual values, and useful lives of property and equipment are reviewed at the end of each reporting period and, if appropriate, accounted for as changes in accounting estimates. 2.12 Investment Property Real estate held for rental income or investment gains is classified as investment property and right- of-use asset. An investment property is measured initially at its cost. After recognition as an asset, investment property is carried at cost less accumulated depreciation and impairment losses. Investment property, except for land, is depreciated using the straight-line method over their useful lives from 5 to 40 years. -35-


 
KT Corporation and Its Subsidiaries Notes to the Consolidated Financial Statements As of December 31, 2025 and 2024 2.13 Intangible Assets (a) Goodwill Goodwill is measured as explained in Note 2.3 (a) and goodwill arising from acquisition of subsidiaries and businesses is included in intangible assets. Goodwill is tested annually for impairment and carried at cost less accumulated impairment losses. Gains and losses on the disposal of subsidiaries and business include the carrying amount of goodwill relating to the subsidiaries and businesses sold. For the purpose of impairment testing, goodwill acquired in a business combination is allocated to each of the CGUs, or group of CGUs, that is expected to benefit from the synergies of the combination. Goodwill is monitored at the operating segment level. (b) Intangible assets excluding goodwill Intangible assets, except for goodwill, are initially recognized at its historical cost, and carried at cost less accumulated amortization and accumulated impairment losses. Membership rights (condominium membership and golf membership), subscription rights, broadcast license, facility-use rights, and transportation rights that have indefinite useful life are not subject to amortization because there is no foreseeable limit to the period over which the assets are expected to be utilized. The Group amortizes intangible assets with a limited useful life using the straight-line method over the following periods: Useful Life Development costs 3 - 10 years Software 3 - 10 years Frequency usage rights 2 - 10 years Others1 1 - 50 years 1 Membership rights (condominium membership and golf membership), subscription rights, broadcast license, facility usage rights and transportation license included in others are classified as intangible assets with indefinite useful life. 2.14 Borrowing Costs General and specific borrowing costs that are directly attributable to the acquisition, construction or production of a qualifying asset are capitalized during the period of time that is required to complete and prepare the asset for its intended use or sale. Investment income earned on the temporary investment of specific borrowings on qualifying assets is deducted from the borrowing costs eligible for capitalization. Other borrowing costs are expensed in the period in which they are incurred. -36-


 
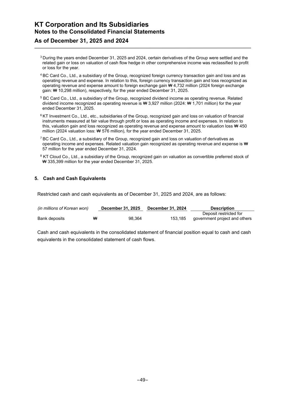
KT Corporation and Its Subsidiaries Notes to the Consolidated Financial Statements As of December 31, 2025 and 2024 2.15 Government Grants Grants from the government are recognized at their fair value where there is a reasonable assurance that the grant will be received and the Group will comply with all attached conditions. Government grants related to assets are presented in the statement of financial position by setting up the grant as deferred income that is recognized in profit or loss on a systematic basis over the useful life of the asset. Grants related to income are deferred and are presented as a credit in the statement of profit or loss within ‘other income’. 2.16 Impairment of Non-Financial Assets Goodwill and intangible assets with indefinite useful life are tested annually for impairment at the end of each reporting period. If certain assets are deemed to be impaired, their recoverable amount is estimated in order to determine the impairment loss. The Group estimates the recoverable amount for each asset, and, in cases when the recoverable amount cannot be estimated for an asset, the recoverable amount of the cash generating unit to which the asset belongs is estimated. Corporate assets are allocated to individual cash generating units on a reasonable and consistent basis and if they cannot be allocated to individual cash generating units, they are allocated to the smallest group of cash generating units on a reasonable and consistent basis. An impairment loss is recognized for the amount by which the asset’s carrying amount exceeds its recoverable amount (higher of its fair value less costs of disposal and value in use). Impairment loss on non-financial assets other than goodwill are evaluated for reversal at the end of each reporting period. 2.17 Trade and Other Payables Trade and other payables amounts represent liabilities for goods and services provided to the Group prior to the end of reporting period which are unpaid. Trade and other payables are presented as current liabilities, unless payment is not due within 12 months after the reporting period. They are recognized initially at their fair value and subsequently measured at amortized cost using the effective interest method. 2.18 Financial Liabilities (a) Classification and measurement The Group’s financial liabilities at fair value through profit or loss are financial instruments held for trading. A financial liability is held for trading if it is incurred principally for the purpose of repurchasing in the near term. Derivatives that are not designated as hedging instruments or derivatives separated from financial instruments containing embedded derivatives are also categorized as held for trading. The Group classifies non-derivative financial liabilities, except for financial liabilities at fair value through profit or loss, financial guarantee contracts and financial liabilities that arise when a transfer of financial assets does not qualify for derecognition, as financial liabilities carried at amortized cost and presented as ‘trade and other payables’, ‘borrowings’ and ‘other financial liabilities’ in the statement of financial position. -37-


 
KT Corporation and Its Subsidiaries Notes to the Consolidated Financial Statements As of December 31, 2025 and 2024 Borrowings are initially recognized as the amount obtained by subtracting the transaction cost incurred from the fair value and is then measured as amortized cost. The difference between the consideration received (net of transaction cost) and the redemption amount is recognized as profit or loss over the period using the effective interest rate method. Fees paid to receive the borrowing limit are recognized as transaction costs for loans to the extent that they are likely to be borrowed as part or all of the borrowing limit. In this case, the fee will be deferred until the draw-down occurs. There is a high possibility that borrowings will be executed as part or all of the borrowing limit agreement (relevant fees to the extent that there is no evidence) are recognized as assets as advance payments for liquidity services and amortized over the relevant borrowing limit period. Preferred shares that require mandatory redemption at a particular date are classified as liabilities. Interest expenses on these preferred shares using the effective interest method are recognized in the statement of profit or loss as ‘finance costs’, together with interest expenses recognized from other financial liabilities. Borrowings are classified as current liabilities unless the Group has an unconditional right to defer settlement of the liability for at least 12 months after the reporting period. (b) Derecognition Financial liabilities are removed from the statement of financial position when it is extinguished; for example, when the obligation specified in the contract is discharged or cancelled or expired or when the terms of an existing financial liability are substantially modified. The difference between the carrying amount of a financial liability extinguished or transferred to another party and the consideration paid (including any non-cash assets transferred or liabilities assumed) is recognized in profit or loss. The Group’s financial liabilities at fair value through profit or loss are financial instruments held for trading and financial liabilities designated as at fair value through profit or loss. A financial liability is held for trading if it is incurred principally for the purpose of repurchasing in the near term. A derivative that is not a designated as hedging instruments and an embedded derivative that is separated are also classified as held for trading. Financial liabilities designated as at fair value through profit or loss are structured financial liabilities containing embedded derivatives issued by the Group. 2.19 Financial Guarantee Contracts Financial guarantee contracts are recognized as a financial liability at the time the guarantee is issued. The liability is initially measured at fair value, subsequently at the higher of the following amount, and the related liability is recognized as ‘other financial liabilities’ in the consolidated statement of financial position:  the amount determined in accordance with the expected credit loss model under Korean IFRS 1109 Financial Instruments  the amount initially recognized less, where appropriate, the cumulative amount of income recognized in accordance with Korean IFRS 1115 Revenue from Contracts with Customers -38-


 
KT Corporation and Its Subsidiaries Notes to the Consolidated Financial Statements As of December 31, 2025 and 2024 2.20 Employee Benefits (a) Post-employment benefits The Group operates both defined contribution and defined benefit pension plans. A defined contribution plan is a pension plan under which the Group pays fixed contributions into a separate entity. The contributions are recognized as employee benefit expenses when an employee has rendered service. A defined benefit plan is a pension plan that is not a defined contribution plan. Generally, post- employment benefits are payable after the completion of employment, and the benefit amount depended on the employee’s age, periods of service or salary levels. The liability recognized in the statement of financial position in respect of defined benefit pension plans is the present value of the defined benefit obligation at the end of the reporting period less the fair value of plan assets. The defined benefit obligation is calculated annually by independent actuaries using the projected unit credit method. The present value of the defined benefit obligation is determined by discounting the estimated future cash outflows using interest rates of high-quality corporate bonds that are denominated in the currency in which the benefits will be paid, and that have terms approximating to the terms of the related obligation. Remeasurement gains and losses arising from experience adjustments and changes in actuarial assumptions are recognized in the period in which they occur, directly in other comprehensive income. Changes in the present value of the defined benefit obligation resulting from plan amendments or curtailments are recognized immediately in profit or loss as past service costs. (b) Termination benefits Termination benefits are payable when employment is terminated by the Group before the normal retirement date, or whenever an employee accepts voluntary redundancy in exchange for these benefits. The Group recognizes termination benefits at the earlier of the following dates: when the entity can no longer withdraw the offer of those benefits or when the entity recognizes costs for a restructuring. (c) Long-term employee benefits Certain entities within the Group provide long-term employee benefits that are entitled to employees with service period for ten years and above. The expected costs of these benefits are accrued over the period of employment using the same accounting methodology as used for defined benefit pension plans. The Group recognizes service cost, net interest on other long-term employee benefits and remeasurements as profit or loss for the year. These liabilities are valued annually by an independent qualified actuary. -39-


 
KT Corporation and Its Subsidiaries Notes to the Consolidated Financial Statements As of December 31, 2025 and 2024 2.21 Share-Based Payments Equity-settled share-based payment is recognized at fair value of equity instruments granted, and employee benefit expense is recognized over the vesting period. At the end of each period, the Group revises its estimates of the number of options that are expected to vest based on the non-market vesting and service conditions. It recognizes the impact of the revision to original estimates, if any, in profit or loss, with a corresponding adjustment to equity. The acquiree may have outstanding share-based payment transactions that the acquirer does not exchange for its share-based payment transactions. If vested, those acquiree share-based payment transactions are part of the non-controlling interest in the acquiree and are measured at their market- based measure. If unvested, the market-based measure of unvested share-based payment transactions is allocated to the non-controlling interest on the basis of the ratio of the portion of the vesting period completed to the greater of the total vesting period and the original vesting period of the share-based payment transaction. The balance is allocated to post-combination service. 2.22 Provisions Provisions for service warranties, recoveries, litigations and claims, and others are recognized when the Group presently hold legal or constructive obligation as a result of past events, and when it is probable that an outflow of resources will be required to settle the obligation and the amount can be reliably estimated. Provisions are measured at the present value of management’s best estimate of the expenditure required to settle the present obligation at the end of the reporting period, and the increase in the provision due to the passage of time is recognized as interest expense. 2.23 Leases (a) Lessee The Group leases various repeater server racks, offices, communication line facilities, machinery, cars, and others. Contracts may contain both lease and non-lease components. The Group allocates the consideration in the contract to the lease and non-lease components based on their relative stand-alone prices. -40-


 
KT Corporation and Its Subsidiaries Notes to the Consolidated Financial Statements As of December 31, 2025 and 2024 Assets and liabilities arising from a lease are initially measured on a present value basis. Lease liabilities include the net present value of the following lease payments:  Fixed payments (including in-substance fixed payments), less any lease incentives receivable  Variable lease payment that are based on an index or a rate, initially measured using the index or rate as at the commencement date  Amounts expected to be payable by the Group (the lessee) under residual value guarantees  The exercise price of a purchase option if the Group (the lessee) is reasonably certain to exercise that option, and  Payments of penalties for terminating the lease, if the lease term reflects the Group (the lessee) exercising that option Measurement of lease liability also includes payments to be made in optional periods if the lessee is reasonably certain to exercise an option to extend the lease. The Group determines the lease term as the non-cancellable period of a lease, together with both (a) periods covered by an option to extend the lease if the lessee is reasonably certain to exercise that option; and (b) periods covered by an option to terminate the lease if the lessee is reasonably certain not to exercise that option. When the lessee and the lessor each has the right to terminate the lease without permission from the other party, the Group should consider a termination penalty in determining the period for which the contract is enforceable. The lease payments are discounted using the interest rate implicit in the lease. If that rate cannot be determined, the lessee’s incremental borrowing rate is used, which is the rate that the lessee would have to pay to borrow the funds necessary to obtain an asset of similar value in a similar economic environment with similar terms and conditions. The Group is exposed to potential future increases in variable lease payments based on an index or rate, which are not included in the lease liability until they take effect. When adjustments to lease payments based on an index or rate take effect, the lease liability is reassessed and adjusted against the right-of-use asset. Each lease payment is allocated between the liability and finance cost. The finance cost is charged to profit or loss over the lease period in order to produce a constant periodic rate of interest on the remaining balance of the liability for each period. Right-of-use assets are measured at cost comprising the following:  the amount of the initial measurement of lease liability  any lease payments made at or before the commencement date less any lease incentives received  any initial direct costs (leasehold deposits)  restoration costs -41-


 
KT Corporation and Its Subsidiaries Notes to the Consolidated Financial Statements As of December 31, 2025 and 2024 The right-of-use asset is depreciated over the shorter of the asset's useful life and the lease term on a straight-line basis. If the Group is reasonably certain to exercise a purchase option, the right-of-use asset is depreciated over the underlying asset’s useful life. Payments associated with short-term leases and leases of low-value assets are recognized on a straight-line basis as an expense in profit or loss. Short-term leases are leases with a lease term of 12 months or less, such as vehicles, machinery, and others. Low-value assets are comprised of tools, office equipment, and others. (b) Lessor Lease income from operating leases where the Group is a lessor is recognized in income on a straight- line basis over the lease term. Initial direct costs incurred in obtaining an operating lease are added to the carrying amount of the underlying asset and recognized as expense over the lease term on the same basis as lease income. The respective leased assets are included in the statement of financial position based on their nature. (c) Extension and termination option Extension and termination options are included in a number of property and equipment leases across the Group. These terms are used to maximize operational flexibility in terms of managing contracts. The majority of extension and termination options held are exercisable only by the Group and not by the respective lessor. Information on critical accounting estimates and assumptions related to the determination of the lease term is presented in Note 3. 2.24 Share Capital The Controlling Company classifies ordinary shares as equity. Where the Controlling Company purchases its own shares, the consideration paid, including any directly attributable incremental costs, is deducted from equity until the share are cancelled or reissued. When these treasury shares are reissued, any consideration received is included in equity attributable to the equity holders of the Controlling Company. 2.25 Revenue Recognition (a) Identifying performance obligations The Group mainly provides telecommunication services and sells handsets. The Group identifies performance obligations with a customer such as providing telecommunication services, selling handsets, and others. Revenue from handsets is recognized when a performance obligation is satisfied by transferring promised goods to customers, and the revenue from telecommunication services is recognized over the estimated contract periods of each service by transferring promised services to customers. -42-


 
KT Corporation and Its Subsidiaries Notes to the Consolidated Financial Statements As of December 31, 2025 and 2024 (b) Allocation the transaction price and revenue recognition The Group allocates the transaction price to each performance obligation identified in the contract based on a relative stand-alone selling prices of the goods or services being provided to the customer. To allocate the transaction price to each performance obligation on a relative stand-alone price basis, the Group determines the stand-alone selling price at contract inception of the distinct good or service underlying each performance obligation in the contract and allocates the transaction price on a relative stand-alone selling price basis. The stand-alone selling price is the price at which the Group would sell a promised good or service separately to the customer. The best evidence of a stand-alone selling price is the observable price of a good or service when the Group sells that good or service separately in similar circumstances and to similar customers. The Group recognizes the allocated amount as contract assets or contract liabilities, and amortizes it through the remaining period which is adjusted in operating income. (c) Incremental contract acquisition costs The Group pays commission fees when new customers subscribe to telecommunication services. The incremental contract acquisition costs are those commission fees that the Group incurs to acquire a contract with a customer that would not have been incurred if the contract had not been acquired. The Group recognizes the incremental contract acquisition costs as an asset and amortizes it over the expected period of benefit. However, as a practical expedient, the Group may recognize the incremental contract acquisition costs as an expense when it is incurred if the amortization period of the asset is one year or less. (d) Commission fees Commission fees are recognized when it is probable that future economic benefits will flow to the entity and these benefits can be reliably measured. Revenues are measured at the fair value of the consideration received. 2.26 Current and Deferred Income Tax The tax expense for the period consists of current and deferred tax. Current and deferred tax is recognized in profit or loss, except to the extent that it relates to items recognized in other comprehensive income or directly in equity. In this case, the tax is also recognized in other comprehensive income or directly in equity, respectively. The current income tax expense is measured at the amount expected to be paid to taxation authorities, using the tax rates (and tax laws) that have been enacted or substantively enacted by the end of the reporting period. Management periodically evaluates positions taken in tax returns with respect to situations in which applicable tax regulation is subject to interpretation, and considers whether it is probable that a taxation authority will accept an uncertain tax treatment. The Group measures its tax balances either based on the most likely amount or the expected value, depending on which method provides a better prediction of the resolution of the uncertainty. -43-


 
KT Corporation and Its Subsidiaries Notes to the Consolidated Financial Statements As of December 31, 2025 and 2024 Deferred income tax is provided in full, using the liability method, on temporary differences arising between the tax bases of assets and liabilities and their carrying amounts in the consolidated financial statements. However, deferred income tax is not accounted for if it arises from initial recognition of an asset or liability in a transaction other than a business combination that at the time of the transaction affects neither accounting profit nor taxable profit or loss. Deferred tax assets are recognized only if it is probable that future taxable amount will be available to utilize those temporary differences and losses. The Group recognizes a deferred tax liability for all taxable temporary differences associated with investments in subsidiaries, associates, and interests in joint arrangements, except to the extent that the Group is able to control the timing of the reversal of the temporary difference and it is probable that the temporary difference will not reverse in the foreseeable future. In addition, the Group recognizes a deferred tax asset for all deductible temporary differences arising from such investments to the extent that it is probable the temporary difference will reverse in the foreseeable future and taxable profit will be available against which the temporary difference can be utilized. Deferred tax assets and liabilities are offset when there is a legally enforceable right to offset current tax assets and liabilities and when the deferred tax balances relate to the same taxation authority. Current tax assets and liabilities are offset when the Group has a legally enforceable right to offset and intends either to settle on a net basis, or to realize the assets and settle the liability simultaneously. The Group is subject to Pillar Two income taxes. The impact of Pillar Two income taxes is described in Note 30. 2.27 Dividend Dividend distribution to the Group’s shareholders is recognized as a liability in the financial statements in the period in which the dividends are approved by the Group’s shareholders. 2.28 Approval on Issuance of the Consolidated Financial Statements The consolidated financial statements of 2025 were approved for issuance by the Board of Directors on February 10, 2026 and are subject to change with the approval of shareholders at their Annual General Meeting. -44-


 
KT Corporation and Its Subsidiaries Notes to the Consolidated Financial Statements As of December 31, 2025 and 2024 3. Critical Accounting Estimates and Assumptions The preparation of financial statements requires the Group to make estimates and assumptions about the future. Management also needs to exercise judgment in applying the Group’s accounting policies. Estimates and assumptions are evaluated continuously and are based on historical experience and other factors, including reasonable expectations of future events under the given circumstances. As it is rare for the results of accounting estimates to be identical to actual results, significant risks exist that may lead to material adjustments. Estimates and assumptions that have significant risks of causing a material adjustment to the carrying amounts of assets and liabilities within the next financial year are discussed below. Additional information of significant judgement and assumptions of certain items are included in relevant notes. 3.1 Impairment of Non-Financial Assets (including Goodwill) The Group determines the recoverable amount of a cash generating unit (CGU) based on fair value or value-in-use calculations to assess non-financial assets (including goodwill) for impairment (Note 13, 14). 3.2 Income Taxes The Group’s taxable income generated from these operations is subject to income taxes based on tax laws and interpretations of tax authorities in numerous jurisdictions. There are many transactions and calculations for which the ultimate tax determination is uncertain (Note 30). If a certain portion of the taxable income is not used for investments or increase in wages or dividends in accordance with the Tax System for Recirculation of Corporate Income, the Group is liable to pay additional income tax calculated based on the tax laws. Accordingly, the measurement of current and deferred income tax is affected by the tax effects from the new tax system. As the Group’s income tax is dependent on the investments as well as wage increase, there is uncertainty in measuring the final tax effects (Note 30). 3.3 Fair Value of Financial Instruments The fair value of financial instruments that are not traded in an active market is determined by using valuation techniques. The Group uses its judgment to select a variety of methods and make assumptions that are mainly based on market conditions existing at the end of each reporting period (Note 38). 3.4 Net Defined Benefit Liability The present value of net defined benefit liability depends on a number of factors that are determined on an actuarial basis using a number of assumptions including the discount rate (Note 18). -45-


 
KT Corporation and Its Subsidiaries Notes to the Consolidated Financial Statements As of December 31, 2025 and 2024 3.5 Amortization of Contract Assets, Contract Liabilities and Contract Cost Assets Contract assets, contract liabilities and contract cost assets recognized under the application of K- IFRS 1115 are amortized over the expected periods of customer relationships. The estimate of the expected terms of customer relationship is based on the historical data. If management’s estimate changes, it may cause significant differences in the timing of revenue recognition and amounts recognized. 3.6 Critical Judgments in Determining the Lease Term In determining the lease term, management considers all facts and circumstances that create an economic incentive to exercise an extension option, or not exercise a termination option. Extension options (or periods after termination options) are only included in the lease term if the lease is reasonably certain to be extended (or not terminated). For leases of property, machinery, and communication line facilities, the following factors are normally the most relevant:  If there are significant penalties to terminate (or not extend), the Group is typically reasonably certain to extend (or not terminate).  If any leasehold improvements are expected to have a significant remaining value, the Group is typically reasonably certain to extend (or not terminate).  Otherwise, the Group considers other factors including historical lease durations and the costs and business disruption required to replace the leased asset. Most extension options in offices, retail stores and vehicles leases have not been included in the lease liability, because the Group can replace the assets without significant cost or business disruption. The lease term is reassessed if an option is actually exercised (or not exercised) or the Group becomes obliged to exercise (or not exercise) it. The assessment of reasonable certainty is only revised if a significant event or a significant change in circumstances occurs, which affects this assessment, and that is within the control of the lessee. -46-


 
KT Corporation and Its Subsidiaries Notes to the Consolidated Financial Statements As of December 31, 2025 and 2024 4. Financial Instruments by Category (1) Financial instruments by category as of December 31, 2025 and 2024, are as follows: (In millions of Korean won) December 31, 2025 Financial assets Financial assets at amortized cost Financial assets at FVTPL Financial assets at FVOCI Derivatives used for hedging Total Cash and cash equivalents ₩ 3,506,971 - - - 3,506,971 Trade and other receivables 7,806,644 - 107,644 - 7,914,288 Other financial assets 1,476,527 774,557 2,423,277 315,537 4,989,898 (In millions of Korean won) December 31, 2025 Financial liabilities Financial liabilities at amortized cost Financial liabilities at FVTPL Derivatives used for hedging Others Total Trade and other payables 1 ₩ 6,693,177 - - - 6,693,177 Borrowings 10,785,572 - - - 10,785,572 Other financial liabilities 999,020 105,810 13,862 - 1,118,692 Lease liabilities - - - 1,423,206 1,423,206 1 Amounts related to employee benefit plans are excluded in Trade and other payables. (In millions of Korean won) December 31, 2024 Financial assets Financial assets at amortized cost Financial assets at FVTPL Financial assets at FVOCI Derivatives used for hedging Total Cash and cash equivalents ₩ 3,716,680 - - - 3,716,680 Trade and other receivables 7,573,409 - 114,774 - 7,688,183 Other financial assets 962,653 1,029,926 1,665,368 445,471 4,103,418 (In millions of Korean won) December 31, 2024 Financial liabilities Financial liabilities at amortized cost Financial liabilities at FVTPL Derivatives used for hedging Others Total Trade and other payables 1 ₩ 7,214,174 - - - 7,214,174 Borrowings 10,520,690 - - - 10,520,690 Other financial liabilities 942,135 132,011 3 - 1,074,149 Lease liabilities - - - 1,059,453 1,059,453 1 Amounts related to employee benefit plans are excluded in Trade and other payables. -47-


 
KT Corporation and Its Subsidiaries Notes to the Consolidated Financial Statements As of December 31, 2025 and 2024 (2) Gains or losses arising from financial instruments by category for the years ended December 31, 2025 and 2024, are as follows: (in millions of Korean won) 2025 2024 Financial assets at amortized cost Interest income 1 ₩ 359,445 379,371 Gain on foreign currency transactions 4 16,073 27,748 Gain on foreign currency translation 21,867 9,534 Loss on disposal (3,196) (2) Loss on valuation (140,636) (184,942) Financial assets at fair value through profit or loss Interest income 1 4,126 10,281 Dividend income 5 9,569 8,411 Loss on valuation 6 (94,089) (66,133) Gain (loss) on disposal (1,107) 13,811 Gain on foreign currency transactions 4 - 2,469 Gain (loss) on foreign currency translation (7,354) 29,029 Financial assets at fair value through other comprehensive income Interest income 1 17,295 19,888 Dividend income 5 66,328 62,220 Loss on disposal (10,476) (8,277) Other comprehensive income (loss) for the year 2 457,093 (7,602) Derivative used for hedging Gain (loss) on transactions (63,006) 38,620 Gain (loss) on valuation 7 (10,676) 361,844 Other comprehensive income for the year 2 41,009 273,673 Reclassified to profit or loss from other comprehensive income for the year 2,3 15,948 (276,568) Financial liabilities at amortized cost Interest expense 1 (394,901) (387,535) Loss on valuation 8 (18,221) (5,866) Gain (loss) on foreign currency transactions 4 60,073 (41,959) Loss on foreign currency translation (2,237) (421,608) Financial liabilities at fair value through profit or loss Gain (loss) on valuation 26,633 (3,221) Interest expense 1 (1,810) - Derivatives used for hedging Loss on transactions (3,724) - Gain (loss) on valuation (13,603) 9,337 Other comprehensive loss for the year 2 (10,000) (871) Reclassified to profit or loss from other comprehensive income for the year 2,3 9,684 (9,386) Lease liabilities Interest expense 1 (45,839) (47,556) Total ₩ 284,268 (215,290) 1 BC Card Co., Ltd., etc., subsidiaries of the Group, recognized interest income and expenses as operating revenue and expenses, respectively. Related interest income recognized as operating revenue is ₩ 121,639 million (2024: ₩ 106,005 million) and related interest expense recognized as operating expense is ₩ 73,318 million (2024: ₩ 57,872 million) for the year ended December 31, 2025. 2 The amounts directly reflected in equity after adjustments of deferred income tax. -48-


 
KT Corporation and Its Subsidiaries Notes to the Consolidated Financial Statements As of December 31, 2025 and 2024 3 During the years ended December 31, 2025 and 2024, certain derivatives of the Group were settled and the related gain or loss on valuation of cash flow hedge in other comprehensive income was reclassified to profit or loss for the year. 4 BC Card Co., Ltd., a subsidiary of the Group, recognized foreign currency transaction gain and loss and as operating revenue and expense. In relation to this, foreign currency transaction gain and loss recognized as operating revenue and expense amount to foreign exchange gain ₩ 4,732 million (2024 foreign exchange gain: ₩ 10,298 million), respectively, for the year ended December 31, 2025. 5 BC Card Co., Ltd., a subsidiary of the Group, recognized dividend income as operating revenue. Related dividend income recognized as operating revenue is ₩ 3,927 million (2024: ₩ 1,701 million) for the year ended December 31, 2025. 6 KT Investment Co., Ltd., etc., subsidiaries of the Group, recognized gain and loss on valuation of financial instruments measured at fair value through profit or loss as operating income and expenses. In relation to this, valuation gain and loss recognized as operating revenue and expense amount to valuation loss ₩ 450 million (2024 valuation loss: ₩ 576 million), for the year ended December 31, 2025. 7 BC Card Co., Ltd., a subsidiary of the Group, recognized gain and loss on valuation of derivatives as operating income and expenses. Related valuation gain recognized as operating revenue and expense is ₩ 57 million for the year ended December 31, 2024. 8 KT Cloud Co., Ltd., a subsidiary of the Group, recognized gain on valuation as convertible preferred stock of ₩ 335,399 million for the year ended December 31, 2025. 5. Cash and Cash Equivalents Restricted cash and cash equivalents as of December 31, 2025 and 2024, are as follows: (in millions of Korean won) December 31, 2025 December 31, 2024 Description Bank deposits ₩ 98,364 153,185 Deposit restricted for government project and others Cash and cash equivalents in the consolidated statement of financial position equal to cash and cash equivalents in the consolidated statement of cash flows. -49-


 
KT Corporation and Its Subsidiaries Notes to the Consolidated Financial Statements As of December 31, 2025 and 2024 6. Trade and Other Receivables (1) Trade and other receivables as of December 31, 2025 and 2024, are as follows: (In millions of Korean won) December 31, 2025 Total amounts Provision for impairment Present value discount Carrying amount Current assets Trade receivables ₩ 3,331,715 (385,739) (7,959) 2,938,017 Other receivables 3,014,911 (104,747) (3,032) 2,907,132 Total ₩ 6,346,626 (490,486) (10,991) 5,845,149 Non-current assets Trade receivables ₩ 330,619 (1,290) (15,703) 313,626 Other receivables 1,850,564 (86,270) (8,781) 1,755,513 Total ₩ 2,181,183 (87,560) (24,484) 2,069,139 (In millions of Korean won) December 31, 2024 Total amounts Provision for impairment Present value discount Carrying amount Current assets Trade receivables ₩ 3,309,177 (378,327) (9,011) 2,921,839 Other receivables 3,335,066 (107,653) (1,796) 3,225,617 Total ₩ 6,644,243 (485,980) (10,807) 6,147,456 Non-current assets Trade receivables ₩ 260,154 (1,299) (14,977) 243,878 Other receivables 1,405,923 (96,941) (12,133) 1,296,849 Total ₩ 1,666,077 (98,240) (27,110) 1,540,727 (2) The fair values of trade and other receivables with original maturities less than one year are equal to their carrying amounts because the discounting effect is immaterial. The fair value of trade and other receivables with original maturities longer than one year, which are mainly from sales of goods, is determined by discounting the expected future cash flow at the weighted average interest rate. -50-


 
KT Corporation and Its Subsidiaries Notes to the Consolidated Financial Statements As of December 31, 2025 and 2024 (3) Details of changes in provisions for impairment the years ended December 31, 2025 and 2024, are as follows: (in millions of Korean won) 2025 2024 Trade receivables Other receivables Trade receivables Other receivables Beginning balance ₩ 379,626 204,594 331,290 183,636 Provision 71,654 63,886 95,060 82,123 Reversal - (144) - (380) Write-off/reimbursement (63,714) (76,069) (51,811) (65,921) Changes in consolidation scope (467) (1,553) - - Others (70) 303 5,087 5,136 Ending balance ₩ 387,029 191,017 379,626 204,594 Provisions for impairment on trade and other receivables are recognized as operating expenses, other expenses and finance costs (4) Details of other receivables as of December 31, 2025 and 2024, are as follows: 1 As of December 31, 2025, credit sales asset of ₩ 1,550,049 million (December 31, 2024: ₩ 1,970,895 million) held by BC Card Co., Ltd. are included. (5) The maximum exposure to credit risks for trade and other receivables is the carrying amount of each class of receivables mentioned above as of December 31, 2025. (6) The Group classifies a certain portion of trade receivables as financial assets at fair value through other comprehensive income, based on business model for managing the asset and the cash flow characteristics of the contract. (In millions of Korean won) December 31, 2025 December 31, 2024 Loans ₩ 61,915 42,413 Receivables 1 2,458,065 2,913,728 Accrued income 47,802 40,950 Refundable deposits 241,287 264,054 Loans receivable 1,753,505 1,209,887 Finance lease receivables 245,055 202,372 Others 46,033 53,656 Less: Provision for impairment (191,017) (204,594) Total ₩ 4,662,645 4,522,466 -51-


 
KT Corporation and Its Subsidiaries Notes to the Consolidated Financial Statements As of December 31, 2025 and 2024 7. Other Financial Assets and Liabilities (1) Details of other financial assets and liabilities as of December 31, 2025 and 2024, are as follows: (In millions of Korean won) December 31, 2025 December 31, 2024 Other financial assets Financial assets at amortized cost 1 ₩ 1,476,527 962,653 Financial assets at fair value through profits or loss 1,2 774,557 1,029,926 Financial assets at fair value through other comprehensive income 2,423,277 1,665,368 Derivatives used for hedging 315,537 445,471 Less: Non-current (3,362,916) (2,759,170) Current ₩ 1,626,982 1,344,248 Other financial liabilities Financial liabilities at amortized cost 3,4 ₩ 999,020 942,135 Financial liabilities at fair value through profits or loss 105,810 132,011 Derivatives used for hedging 13,862 3 Less: Non-current (592,599) (722,517) Current ₩ 526,093 351,632 1 As of December 31, 2025, the Group’s financial instruments amount to ₩ 118,946 million (December 31, 2024: ₩ 97,913 million) and consist of checking account deposits, time deposits, and others which are subject to withdrawal restrictions. 2 As of December 31, 2025, the Group provided investments in Korea Software Financial Cooperative and others amounting to ₩ 10,695 million (December 31, 2024: ₩ 10,511 million) as a collateral in exchange for the payment guarantee provided by the Korea Software Financial Cooperative and others. 3 The amount includes liabilities related to the obligation to acquire additional shares in Epsilon Global Communications Pte. Ltd. and KT Cloud Co., Ltd. (Note 20). 4 The amount includes liabilities convertible preferred Stock issued by KT Cloud Co., Ltd. (Note 20). -52-


 
KT Corporation and Its Subsidiaries Notes to the Consolidated Financial Statements As of December 31, 2025 and 2024 (2) Financial Assets at fair value through profit or loss 1) Details of financial assets at fair value through profit or loss as of December 31, 2025 and 2024, are as follows: (In millions of Korean won) December 31, 2025 December 31, 2024 Equity instruments (Listed) ₩ 3,562 5,620 Equity instruments (Unlisted) 46,955 47,227 Debt instruments 723,978 971,805 Derivatives held for trading 62 5,274 Total 774,557 1,029,926 Less: Non-current (709,412) (826,708) Current ₩ 65,145 203,218 2) The maximum exposure to credit risks for debt instruments of financial assets at fair value through profit or loss is the carrying amount of each class of debt instruments above as of December 31, 2025. (3) Financial Assets at fair value through other comprehensive income 1) Details of financial assets at fair value through other comprehensive income as of December 31, 2025 and 2024, are as follows: (In millions of Korean won) December 31, 2025 December 31, 2024 Equity instruments (Listed) ₩ 2,044,789 1,317,458 Equity instruments (Unlisted) 372,341 341,753 Debt instruments 6,147 6,157 Total 2,423,277 1,665,368 Less: Non-current (2,423,277) (1,665,368) Current ₩ - - 2) Upon disposal of these equity investments, any balance within the accumulated other comprehensive income is reclassified not to profit or loss, but to retained earnings. Upon disposal of these debt investments, the remaining balance of the accumulated other comprehensive income is reclassified to profit or loss. -53-


 
KT Corporation and Its Subsidiaries Notes to the Consolidated Financial Statements As of December 31, 2025 and 2024 (4) Derivatives used for Hedging The Group trades derivative financial instruments to avoid interest rate risk and currency risk arising from the Group's debt. The company applies cash flow hedge accounting using currency swaps to avoid the risk of cash flow fluctuations caused by interest rate and exchange rate fluctuations on foreign currency bonds. 1) Details of valuation of derivatives used for hedging as of December 31, 2025 and 2024, are as follows: (In millions of Korean won) December 31, 2025 December 31, 2024 Assets Liabilities Assets Liabilities Interest rate swap ₩ 1,810 - 352 3 Currency swap 1 313,727 13,862 445,119 - Total 315,537 13,862 445,471 3 Less: Non-current (202,144) (13,862) (261,719) - Current ₩ 113,393 - 183,752 3 1 The currency swap contract is to hedge the risk of variability in cash flow from the borrowings due to changes in interest rate and foreign exchange rate and the expected maximum period for the Group to be exposed to risks of cash flow fluctuation by hedged items is until September 7, 2034. The entire fair value of a hedging derivative is classified as a non-current asset or liability if the remaining maturity of the hedged item is more than 12 months and, as a current asset or liability, if the maturity of the hedged item is within 12 months. 2) Details of valuation gains and losses on the derivative instruments for the years ended December 31, 2025 and 2024, are as follows: (In millions of Korean won) 2025 2024 Type of transaction Valuation gain Valuation loss Other comprehensive loss 1 Valuation gain Valuation loss Other comprehensive loss 1 Interest rate swap ₩ 15 92 1,403 76 - (1,044) Currency swap 37,985 62,187 74,805 374,898 3,793 (16,773) Total ₩ 38,000 62,279 76,208 374,974 3,793 (17,817) 1 The amounts are before adjustments for deferred income tax and allocations to non-controlling interests and have been directly reflected in equity. . 3) The effective portion recognized in profit or loss related to cash flow hedges amounts to valuation gains of ₩ 42,371 million as other comprehensive income for the year ended December 31, 2025 (2024: ₩ 364,863 million). The ineffective portion recognized in profit or loss related to cash flow hedges amounts to valuation gains of ₩ 926 million as current profit or loss for the year ended December 31, 2025 (2024: ₩ 963 million). In addition, the valuation loss reclassified from other comprehensive income to profit or loss amounts to ₩ 33,837 million for the year ended December 31, 2025 (2024: valuation gains of ₩ 382,680 million). -54-


 
KT Corporation and Its Subsidiaries Notes to the Consolidated Financial Statements As of December 31, 2025 and 2024 4) The unsettled amount of derivative instruments for the years ended December 31, 2025 and 2024, are as follows: (i) Hedging instruments (in millions of Korean won and thousands of foreign currencies) 2025 Book value of hedging instruments Changes in fair value to calculate the ineffective portion of hedges Currency Foreign currency Contract amount Assets Liabilities USD 1,949,767 ₩ 2,500,525 313,727 - 53,656 JPY 30,000,000 288,546 - 13,862 (13,689) KRW - 60,000 1,810 - (1,791) Total ₩ 2,849,071 315,537 13,862 38,176 (in millions of Korean won and thousands of foreign currencies) 2024 Book value of hedging instruments Changes in fair value to calculate the ineffective portion of hedges Currency Foreign currency Contract amount Assets Liabilities USD 2,150,937 ₩ 2,658,775 444,786 - 362,588 EUR 6,900 10,166 333 - 548 KRW - 120,000 352 3 842 Total ₩ 2,788,941 445,471 3 363,978 (ii) Hedged item (in millions of Korean won) 2025 2024 Currency Book value of hedged items Changes in fair value to calculate the ineffective portion of hedges Cash flow hedge reserves1 Book value of hedged items Changes in fair value to calculate the ineffective portion of hedges Cash flow hedge reserves1 USD ₩ 2,797,720 (52,819) 13,156 3,160,554 (358,087) (42,425) JPY 275,289 13,755 (315) - - - EUR - - - 10,548 (437) (228) KRW 59,975 1,827 1,661 189,967 (674) 513 Total ₩ 3,132,984 (37,237) 14,502 3,361,069 (359,198) (42,140) 1 The amount is after the deferred tax directly added or subtracted to the capital is reflected. -55-


 
KT Corporation and Its Subsidiaries Notes to the Consolidated Financial Statements As of December 31, 2025 and 2024 (5) Financial Liabilities at fair value through profit or loss 1) Details of financial liabilities at fair value through profit or loss as of December 31, 2025 and 2024, are as follows: (In millions of Korean won) December 31, 2025 December 31, 2024 Derivatives held for trading 1 ₩ 105,810 132,011 1 The Group signed a shareholder-to-share agreement with financial investors participating in the paid-in capital increase of K Bank Inc. for the year ended December 31, 2025. According to the Drag-Along Right, if K Back inc. fails to be listed on the terms agreed upon for the date of completion of the acquisition, financial investors may exercise the Drag-Along right to the Group, and the Group may comply or exercise the right to claim for sale. If financial investors exercise the Drag-Along Right, the Group must exercise the right to claim for sale or guarantee the return on the terms agreed upon by financial investors. (Note 20). 2) The valuation gain and loss on financial liabilities at fair value through profit or loss for the years ended December 31, 2025 and 2024, are as follows: (In millions of Korean won) 2025 2024 Valuation gain Valuation loss Valuation gain Valuation loss Derivatives liabilities held for trading ₩ 26,633 432 2,550 5,772 8. Inventories Inventories as of December 31, 2025 and 2024, are as follows: (In millions of Korean won) December 31, 2025 December 31, 2024 Acquisition cost Valuation allowance Carrying amount Acquisition cost Valuation allowance Carrying amount Merchandise ₩ 421,615 (31,188) 390,427 1,003,127 (99,517) 903,610 Others 25,763 (55) 25,708 37,123 (524) 36,599 Total ₩ 447,378 (31,243) 416,135 1,040,250 (100,041) 940,209 Cost of inventories recognized as expenses for the year ended December 31, 2025 amounts to ₩ 4,261,338 million (2024: ₩ 3,500,950 million) and reversal valuation loss on inventory amounts to ₩ 68,798 million for the year ended December 31, 2025 (2024: ₩ 2,174 million). -56-


 
KT Corporation and Its Subsidiaries Notes to the Consolidated Financial Statements As of December 31, 2025 and 2024 9. Other Assets and Liabilities Other assets and liabilities as of December 31, 2025 and 2024, are as follows: (In millions of Korean won) December 31, 2025 December 31, 2024 Other assets Advance payments ₩ 177,929 217,679 Prepaid expenses 262,230 170,544 Contract cost 2,099,088 1,738,164 Contract assets 1,026,260 800,806 Others 20,431 18,929 Less: Non-current (1,017,830) (843,991) Current ₩ 2,568,108 2,102,131 Other liabilities Advances received 1 ₩ 390,216 1,151,499 Withholdings 140,817 154,355 Unearned revenue 1 42,197 38,327 Lease liabilities 1,423,206 1,059,453 Contract liabilities 239,738 273,320 Others 57,793 31,203 Less: Non-current (1,108,141) (782,520) Current ₩ 1,185,826 1,925,637 1 The amounts include adjustments arising from adoption of Korean IFRS 1115 Revenue from Contracts with Customers (Note 26). 10. Assets Held-for-Sale For the year ended December 31, 2025, the Group classified ₩4,316 million of certain tangible and intangible assets and other assets as non-current assets held for sale, as it had decided to dispose of them. The asset was measured at net fair value in accordance with K-IFRS 1105. The details of the assets held for sale are as follows. (in millions of Korean won) Amount Machinery and equipment 1,890 Other Intangible assets 926 Others 1,500 Total 4,316 The asset has not been disposed of as of the end of the reporting period. -57-


 
KT Corporation and Its Subsidiaries Notes to the Consolidated Financial Statements As of December 31, 2025 and 2024 11. Property and Equipment (1) Changes in property and equipment for the years ended December 31, 2025 and 2024, are as follows: (in millions of Korean won) 2025 Land Buildings and structures Machinery and equipment Others Construction- in-progress Total Acquisition cost ₩ 1,351,791 4,981,282 44,584,135 1,222,671 1,339,225 53,479,104 Less: Accumulated depreciation (including accumulated impairment loss and others) (132) (2,547,102) (35,076,107) (1,029,866) (83) (38,653,290) Beginning, net 1,351,659 2,434,180 9,508,028 192,805 1,339,142 14,825,814 Acquisition and capital expenditure 71 1,930 57,702 44,223 2,498,051 2,601,977 Disposal and termination (760) (2,943) (81,383) (2,051) (4,372) (91,509) Depreciation - (146,725) (2,615,755) (67,707) - (2,830,187) Impairment (recovery of impairment) - - (15,153) (164) - (15,317) Transfer in (out) 21,524 252,089 2,295,302 26,627 (2,843,169) (247,627) Transfer from investment properties 12,348 61,341 - - - 73,689 Changes in consolidation scope (1,231) (1,106) - (1,304) - (3,641) Others 1,140 36,190 (33,685) (43,153) (15,219) (54,727) Ending, net ₩ 1,384,751 2,634,956 9,115,056 149,276 974,433 14,258,472 Acquisition cost ₩ 1,384,883 5,273,629 45,577,885 1,103,784 975,036 54,315,217 Less: Accumulated depreciation (including accumulated impairment loss and others) (132) (2,638,673) (36,462,829) (954,508) (603) (40,056,745) -58-


 
KT Corporation and Its Subsidiaries Notes to the Consolidated Financial Statements As of December 31, 2025 and 2024 (in millions of Korean won) 2024 Land Buildings and structures Machinery and equipment Others Construction- in-progress Total Acquisition cost ₩ 1,324,508 4,903,073 43,611,280 1,182,144 1,035,198 52,056,203 Less: Accumulated depreciation (including accumulated impairment loss and others) (132) (2,384,943) (33,804,601) (993,798) (650) (37,184,124) Beginning, net 1,324,376 2,518,130 9,806,679 188,346 1,034,548 14,872,079 Acquisition and capital expenditure 213 1,031 52,336 67,480 2,787,450 2,908,510 Disposal and termination (1,928) (3,095) (68,834) (2,758) (5,470) (82,085) Depreciation - (153,399) (2,589,318) (72,676) - (2,815,393) Impairment (recovery of impairment) - - (6,374) (809) - (7,183) Transfer in (out) 4,430 42,289 2,306,814 13,324 (2,473,118) (106,261) Transfer from investment properties 24,429 21,442 - - 1,159 47,030 Changes in consolidation scope - (617) (328) (415) - (1,360) Others 139 8,399 7,053 313 (5,427) 10,477 Ending, net ₩ 1,351,659 2,434,180 9,508,028 192,805 1,339,142 14,825,814 Acquisition cost ₩ 1,351,791 4,981,282 44,584,135 1,222,671 1,339,225 53,479,104 Less: Accumulated depreciation (including accumulated impairment loss and others) (132) (2,547,102) (35,076,107) (1,029,866) (83) (38,653,290) (2) The borrowing costs capitalized for qualifying assets amount to ₩ 7,216 million (2024: ₩ 18,976 million) for the year ended December 31, 2025. The interest rate applied to calculate the capitalized borrowing costs, for the year ended December 31, 2025, is 1.86%~6.89% (2024: 1.86%~6.89%). -59-


 
KT Corporation and Its Subsidiaries Notes to the Consolidated Financial Statements As of December 31, 2025 and 2024 12. Investment Properties (1) Changes in investment properties for the years ended December 31, 2025 and 2024, are as follows: (in millions of Korean won) 2025 Land Buildings Construction- in- progress Total Acquisition cost ₩ 898,149 1,665,797 472,882 3,036,828 Less: Accumulated depreciation (1,568) (735,644) - (737,212) Beginning, net 896,581 930,153 472,882 2,299,616 Acquisition and capital expenditure 410,740 305,575 36,987 753,302 Disposal (23) - - (23) Depreciation - (68,337) - (68,337) Transfer to property and equipment (12,348) (61,341) - (73,689) Changes in consolidation scope (2,065) (1,336) - (3,401) Transfer and others 13,250 447,737 (496,406) (35,419) Ending, net ₩ 1,306,135 1,552,451 13,463 2,872,049 Acquisition cost ₩ 1,307,703 2,402,451 13,463 3,723,617 Less: Accumulated depreciation (1,568) (850,000) - (851,568) (in millions of Korean won) 2024 Land Buildings Construction- in- progress Total Acquisition cost ₩ 910,919 1,750,677 261,109 2,922,705 Less: Accumulated depreciation (1,568) (723,002) - (724,570) Beginning, net 909,351 1,027,675 261,109 2,198,135 Acquisition and capital expenditure 19,184 7,035 218,703 244,922 Disposal (1,586) (32,390) - (33,976) Depreciation - (51,581) - (51,581) Transfer to property and equipment (24,429) (21,442) (1,159) (47,030) Transfer and others (5,939) 856 (5,771) (10,854) Ending, net ₩ 896,581 930,153 472,882 2,299,616 Acquisition cost ₩ 898,149 1,665,797 472,882 3,036,828 Less: Accumulated depreciation (1,568) (735,644) - (737,212) (2) The fair value of the Group’s investment properties is ₩ 7,773,591 million as of December 31, 2025 (December 31, 2024: ₩ 6,899,105 million). The fair value of investment properties is estimated based on the expected cash flow. (3) Rental income from investment properties is ₩ 286,700 million in 2025 (2024: ₩ 232,799 million) and direct operating expenses (including repairs and maintenance) arising from investment properties that generated rental income during the period are recognized as operating expenses. -60-


 
KT Corporation and Its Subsidiaries Notes to the Consolidated Financial Statements As of December 31, 2025 and 2024 (4) As of December 31, 2025, the Group (Lessor) has entered into a non-cancellable operating lease contract for real estate. The future minimum lease payments under this contract amount to ₩ 159,993 million for one year or less, ₩ 329,624 million for more than one year and less than five years, ₩ 107,212 million for over five years, and ₩ 596,829 million in total. 13. Intangible Assets (1) Changes in intangible assets for the years ended December 31, 2025 and 2024, are as follows: (in millions of Korean won) 2025 Goodwill Development costs Software Frequency usage rights Others Total Acquisition cost ₩ 1,055,180 1,763,627 1,251,365 2,415,507 1,811,079 8,296,758 Less: Accumulated amortization (including accumulated impairment loss and others) (781,401) (1,659,516) (1,096,774) (1,622,966) (1,273,361) (6,434,018) Beginning, net 273,779 104,111 154,591 792,541 537,718 1,862,740 Acquisition and capital expenditure 1 - 106,696 59,195 3 217,208 383,102 Disposal and termination - (7,216) (926) - (5,116) (13,258) Amortization - (41,027) (53,660) (346,185) (166,994) (607,866) Impairment (38,258) - (1,274) - (3,599) (43,131) Changes in consolidation scope (26,262) - (113) - (7,670) (34,045) Others (165) 5,632 20,279 533 (17,200) 9,079 Ending, net ₩ 209,094 168,196 178,092 446,892 554,347 1,556,621 Acquisition cost ₩ 1,001,070 1,605,287 1,300,153 2,415,000 1,725,567 8,047,077 Less: Accumulated amortization (including accumulated impairment loss and others) (791,976) (1,437,091) (1,122,061) (1,968,108) (1,171,220) (6,490,456) 1 The amounts include the transferred amount from Property and Equipment account. -61-


 
KT Corporation and Its Subsidiaries Notes to the Consolidated Financial Statements As of December 31, 2025 and 2024 (in millions of Korean won) 2024 Goodwill Development costs Software Frequency usage rights Others Total Acquisition cost ₩ 1,036,354 1,790,446 1,196,329 2,415,243 1,725,087 8,163,459 Less: Accumulated amortization (including accumulated impairment loss and others) (547,927) (1,651,846) (1,043,667) (1,277,051) (1,109,107) (5,629,598) Beginning, net 488,427 138,600 152,662 1,138,192 615,980 2,533,861 Acquisition and capital expenditure 1 - 12,417 23,404 - 185,424 221,245 Disposal and termination - (8,394) (2,206) - (10,256) (20,856) Amortization - (39,959) (50,811) (348,297) (212,582) (651,649) Impairment (211,806) - (118) - (27,388) (239,312) Changes in consolidation scope (4,214) - (116) - (9,516) (13,846) Others 1,372 1,447 31,776 2,646 (3,944) 33,297 Ending, net ₩ 273,779 104,111 154,591 792,541 537,718 1,862,740 Acquisition cost ₩ 1,055,180 1,763,627 1,251,365 2,415,507 1,811,079 8,296,758 Less: Accumulated amortization (including accumulated impairment loss and others) (781,401) (1,659,516) (1,096,774) (1,622,966) (1,273,361) (6,434,018) 1 The amounts include the transferred amount from Property and Equipment account. (2) The carrying amount of membership rights with an indefinite useful life not subject to amortization, except for goodwill, is ₩ 201,308 million as of December 31, 2025 (December 31, 2024: ₩ 203,227 million). -62-


 
KT Corporation and Its Subsidiaries Notes to the Consolidated Financial Statements As of December 31, 2025 and 2024 (3) Goodwill is allocated to the Group’s cash-generating units, which are identified by operating segments. As of December 31, 2025, the goodwill allocated to each cash-generation unit is as follows: (In millions of Korean won) Cash-Generating Unit Amount Mobile services ₩ 65,057 BC Card Co., Ltd.. 41,234 kt Millie Seojae (formerly. Millie Seojae) 54,725 KT Telecop Co., Ltd. 15,418 KT MOS Bukbu Co., Ltd. and others 32,660 Total ₩ 209,094 The recoverable amount of goodwill has been determined based on the fair value obtained by calculating the value in use or deducting the cost of disposal. The value in use was calculated using pre-tax cash flow estimates based on financial budgets, such as the budget for the next five years. Cash flows after the estimated period were estimated using the expected growth rate, and the growth rate does not exceed the long-term average growth rate of the industry to which the cash-generating unit belongs. The Group has determined revenue growth rate based on past performance and expectations of future market changes. The Group has determined pre-tax cash flow estimates based on past earnings and market growth forecasts, and the discount rate used reflects the specific risks associated with related operations. The pre-tax discount rates applied to the calculation of the value in use of major goodwill related to ICT, BC Card Co., Ltd., kt Millie Seojae (formerly. Millie Seojae), etc. are 6.89%, 5.19%, 17.35%, etc., and the terminal growth rates are 0%, 0%, 1%, etc., respectively. As a result of the impairment test of goodwill, the impairment loss are ₩ 38,258 million, allocated in full to goodwill and recognized as other expenses. -63-


 
KT Corporation and Its Subsidiaries Notes to the Consolidated Financial Statements As of December 31, 2025 and 2024 14. Investments in Associates and Joint Ventures (1) Details of associates and joint ventures as of December 31, 2025 and 2024, are as follows: Percentage of ownership (%) Location Closing month December 31, 2025 December 31, 2024 KIF Investment Fund 33.3% 33.3% Korea December K Bank Inc. 33.7% 33.7% Korea December HD Hyundai Robotics Co., Ltd. 1 10.0% 10.0% Korea December Megazone Cloud Corporation 1 6.8% 6.8% Korea December IGIS No. 468-1 General Private Real Estate Investment Company 44.6% 44.6% Korea December KT-DSC Creative Economy Youth Start- up Investment Fund 28.6% 28.6% Korea December IGIS Professional Investors Private Investment Real Estate Investment LLC No. 395 35.3% 35.3% Korea December 1 Although the Group holds less than 20% interest in ordinary shares as of December 31, 2025, these entities are included in investments in associates as the Group exerts significant influence over operational and financial policies. (2) Changes in investments in associates and joint ventures for the years ended December 31, 2025 and 2024, are as follows: (In millions of Korean won) 2025 Beginning Acquisition (Disposal) Share of net profit (loss) from associates and joint ventures 1 Others Ending KIF Investment Fund ₩ 191,125 - 7,114 (3,248) 194,991 K Bank Inc. 917,641 - 32,408 (11,832) 938,217 HD Hyundai Robotics Co., Ltd. 45,830 - (2,032) 1,153 44,951 Megazone Cloud Corporation 130,773 - (2,598) 460 128,635 IGIS No. 468-1 General Private Real Estate Investment Company 23,374 - (214) - 23,160 KT-DSC Creative Economy Youth Start-up Investment Fund 15,951 (650) 976 (697) 15,580 IGIS Professional Investors Private Investment Real Estate Investment LLC No 395 9,727 - (2,466) - 7,261 Others 1 227,811 15,269 (22,779) (9,150) 211,151 Total ₩ 1,562,232 14,619 10,409 (23,314) 1,563,946 -64-


 
KT Corporation and Its Subsidiaries Notes to the Consolidated Financial Statements As of December 31, 2025 and 2024 (In millions of Korean won) 2024 Beginning Acquisition (Disposal) Share of net profit (loss) from associates and joint ventures 1 Others Ending KIF Investment Fund ₩ 177,054 - 12,396 1,675 191,125 K Bank Inc. 872,881 - 43,614 1,146 917,641 HD Hyundai Robotics Co., Ltd. 47,734 - (1,138) (766) 45,830 Megazone Cloud Corporation 131,694 - (3,047) 2,126 130,773 IGIS No. 468-1 General Private Real Estate Investment Company 23,484 - (110) - 23,374 KT-DSC Creative Economy Youth Start-up Investment Fund 25,117 (275) (8,046) (845) 15,951 IGIS Professional Investors Private Investment Real Estate Investment LLC No 395 11,942 - (2,215) - 9,727 LS Marine Solution Co., Ltd. 23,492 (19,656) 237 (4,073) - Others 1 243,491 41,542 (35,662) (21,560) 227,811 Total ₩ 1,556,889 21,611 6,029 (22,297) 1,562,232 1 KT Investment Co., Ltd., a subsidiary of the Group, recognized net profit (loss) in the investments in associates as operating income. Net loss recognized as operating income for the years ended December 31, 2025 amount to ₩ 1,087 million (2024: ₩ 293 million). (3) Summarized financial information of associates and joint ventures as at and for the years ended December 31, 2025 and 2024, is as follows: (in millions of Korean won) December 31, 2025 Current assets Non-current assets Current liabilities Non-current liabilities KIF Investment Fund ₩ 183,750 401,222 - - K Bank Inc. 31,757,247 105,297 29,689,404 2,979 HD Hyundai Robotics Co., Ltd. 357,803 142,500 69,244 147,560 Megazone Cloud Corporation 990,719 418,653 601,161 189,560 IGIS No. 468-1 General Private Real Estate Investment Company 136 51,754 11 - KT-DSC Creative Economy Youth Start-up Investment Fund 1,673 53,260 414 - IGIS Professional Investors Private Investment Real Estate Investment LLC No. 395 5,475 205,507 157,511 45,000 -65-


 
KT Corporation and Its Subsidiaries Notes to the Consolidated Financial Statements As of December 31, 2025 and 2024 (in millions of Korean won) December 31, 2024 Current assets Non-current assets Current liabilities Non-current liabilities KIF Investment Fund ₩ 164,128 409,248 - - K Bank Inc. 31,085,824 105,858 29,176,699 10,453 HD Hyundai Robotics Co., Ltd. 235,763 120,778 101,300 4,422 Megazone Cloud Corporation 985,584 470,477 606,267 254,221 IGIS No. 468-1 General Private Real Estate Investment Company 161 52,209 11 - KT-DSC Creative Economy Youth Start-up Investment Fund 435 55,796 404 - IGIS Professional Investors Private Investment Real Estate Investment LLC No. 395 4,558 170,770 133,665 - (In millions of Korean won) 2025 Operating revenue Profit (loss) for the year Other comprehensive income (loss) Total comprehensive income (loss) Dividends received from associates KIF Investment Fund ₩ 40,134 21,343 - 21,343 4,659 K Bank Inc. 1,334,138 111,173 (34,956) 76,217 2,300 HD Hyundai Robotics Co., Ltd. 262,517 (20,398) 10,097 (10,301) - Megazone Cloud Corporation 1,747,556 (7,460) 33,029 25,569 - IGIS No. 468-1 General Private Real Estate Investment Company 3 (481) - (481) - KT-DSC Creative Economy Youth Start-up Investment Fund 7,021 1,751 - 1,751 700 IGIS Professional Investors Private Investment Real Estate Investment LLC No. 395 - (2,878) - (2,878) - -66-


 
KT Corporation and Its Subsidiaries Notes to the Consolidated Financial Statements As of December 31, 2025 and 2024 (In millions of Korean won) 2024 Operating revenue Profit (loss) for the year Other comprehensive income (loss) Total comprehensive income (loss) Dividends received from associates KIF Investment Fund ₩ 57,110 37,187 - 37,187 2,660 K Bank Inc. 1,225,818 136,113 806 136,919 - HD Hyundai Robotics Co., Ltd. 214,941 (13,269) 1,311 (11,958) - Megazone Cloud Corporation 1,693,863 (18,575) 25,775 7,200 - IGIS No. 468-1 General Private Real Estate Investment Company 5 (246) - (246) - KT-DSC Creative Economy Youth Start-up Investment Fund 23,668 (25,851) - (25,851) 1,505 IGIS Professional Investors Private Investment Real Estate Investment LLC No. 395 - (442) - (442) - (4) Details of a reconciliation of the summarized financial information to the carrying amount of interests in the associates and joint ventures as at and for the years ended December 31, 2025 and 2024, are as follows: (in millions of Korean won) 2025 Net assets (a) Percentage of ownership (b) Share in net assets (c)=(a)x(b) Intercompany transaction and others (d) Book amount (c)+(d) KIF Investment Fund ₩ 584,972 33.33% 194,991 - 194,991 K Bank Inc. 2,170,161 33.72% 731,812 206,405 938,217 HD Hyundai Robotics Co., Ltd. 283,499 10.00% 28,350 16,601 44,951 Megazone Cloud Corporation 582,381 6.83% 39,767 88,868 128,635 IGIS No. 468-1 General Private Real Estate Investment Company 51,878 44.64% 23,160 - 23,160 KT-DSC Creative Economy Youth Start-up Investment Fund 54,519 28.57% 15,577 3 15,580 IGIS Professional Investors Private Investment Real Estate Investment LLC No. 395 8,471 35.29% 2,990 4,271 7,261 -67-


 
KT Corporation and Its Subsidiaries Notes to the Consolidated Financial Statements As of December 31, 2025 and 2024 (in millions of Korean won) 2024 Net assets (a) Percentage of ownership (b) Share in net assets (c)=(a)x(b) Intercompany transaction and others (d) Book amount (c)+(d) KIF Investment Fund ₩ 573,376 33.33% 191,125 - 191,125 K Bank Inc. 2,004,530 33.72% 675,958 241,683 917,641 HD Hyundai Robotics Co., Ltd. 250,819 10.00% 25,082 20,748 45,830 Megazone Cloud Corporation 548,558 6.83% 37,457 93,316 130,773 IGIS No. 468-1 General Private Real Estate Investment Company 52,359 44.64% 23,374 - 23,374 KT-DSC Creative Economy Youth Start-up Investment Fund 55,827 28.57% 15,951 - 15,951 IGIS Professional Investors Private Investment Real Estate Investment LLC No. 395 41,663 35.29% 14,705 (4,978) 9,727 (5) Due to discontinuance of equity method of accounting, the Group has not recognized loss from associates and joint ventures of ₩ 10,130 million for the year ended December 31, 2025 (2024: ₩ 1,760 million). The unrecognized accumulated loss of associates and joint ventures as of December 31, 2025 is ₩ 17,396 million (December 31, 2024: ₩ 7,942 million). -68-


 
KT Corporation and Its Subsidiaries Notes to the Consolidated Financial Statements As of December 31, 2025 and 2024 15. Trade and Other Payables (1) Details of trade and other payables as of December 31, 2025 and 2024, are as follows: (In millions of Korean won) December 31, 2025 December 31, 2024 Current liabilities Trade payables ₩ 1,144,279 1,036,707 Other payables 5,724,428 6,358,084 Total ₩ 6,868,707 7,394,791 Non-current liabilities Trade payables 537 1,035 Other payables ₩ 327,732 577,374 Total ₩ 328,269 578,409 (2) Details of other payables as of December 31, 2025 and 2024, are as follows: (In millions of Korean won) December 31, 2025 December 31, 2024 Non-trade payables 1 ₩ 3,435,426 4,578,424 Accrued expenses 1,354,270 1,293,627 Operating deposits 995,215 833,482 Others 267,249 229,925 Less: non-current (327,732) (577,374) Current ₩ 5,724,428 6,358,084 1 As of December 31, 2025, credit sale liabilities amounting to ₩ 1,151,722 million (December 31, 2024: ₩ 1,612,495 million) held by BC Card Co., Ltd. (a subsidiary of the Group) are included. -69-


 
KT Corporation and Its Subsidiaries Notes to the Consolidated Financial Statements As of December 31, 2025 and 2024 16. Borrowings (1) Details of borrowings as of December 31, 2025 and 2024, are as follows: 1) Debentures (In millions of Korean won and foreign currencies in thousands) December 31, 2025 December 31, 2024 Type Maturity Annual interest rates Foreign currency Korean won Foreign currency Korean won MTNP notes 1 Sep. 07, 2034 6.500% USD 100,000 ₩ 143,490 USD 100,000 ₩ 147,000 MTNP notes Jul. 18, 2026 2.500% USD 400,000 573,960 USD 400,000 588,000 MTNP notes Sep. 01, 2025 - - - USD 400,000 588,000 MTNP notes Jan. 21, 2027 1.375% USD 300,000 430,470 USD 300,000 441,000 MTNP notes Aug. 08, 2025 - - - USD 500,000 735,000 MTNP notes Feb. 02, 2028 4.125% USD 500,000 717,450 USD 500,000 735,000 MTNP notes Mar. 05, 2027 1.217% JPY 23,300,000 213,808 - - MTNP notes Mar. 07, 2028 1.367% JPY 6,700,000 61,481 - - MTNP notes Jan. 03, 2029 4.375% USD 500,000 717,450 - - FR notes 2 Sep. 29, 2028 Compounded SOFR(3M)+0.660% USD 200,000 286,980 - - The 183-3rd Public bond Dec. 22, 2031 4.270% - 160,000 - 160,000 The 184-3rd Public bond Apr. 10, 2033 3.170% - 100,000 - 100,000 The 186-4th Public bond Jun. 26, 2034 3.695% - 100,000 - 100,000 The 187-4th Public bond Sep. 02, 2034 3.546% - 100,000 - 100,000 The 188-2nd Public bond Jan. 29, 2025 - - - - 240,000 The 188-3rd Public bond Jan. 29, 2035 2.706% - 50,000 - 50,000 The 189-3rd Public bond Jan. 28, 2026 2.203% - 100,000 - 100,000 The 189-4th Public bond Jan. 28, 2036 2.351% - 70,000 - 70,000 The 190-3rd Public bond Jan. 30, 2028 2.947% - 170,000 - 170,000 The 190-4th Public bond Jan. 30, 2038 2.931% - 70,000 - 70,000 The 191-3rd Public bond Jan. 15, 2029 2.160% - 110,000 - 110,000 The 191-4th Public bond Jan. 14, 2039 2.213% - 90,000 - 90,000 The 192-3rd Public bond Oct. 11, 2029 1.622% - 50,000 - 50,000 The 192-4th Public bond Oct. 11, 2039 1.674% - 110,000 - 110,000 The 193-2nd Public bond Jun. 17, 2025 - - - - 70,000 The 193-3rd Public bond Jun. 17, 2030 1.608% - 20,000 - 20,000 The 193-4th Public bond Jun. 15, 2040 1.713% - 60,000 - 60,000 The 194-2nd Public bond Jan. 27, 2026 1.452% - 140,000 - 140,000 The 194-3rd Public bond Jan. 27, 2031 1.849% - 50,000 - 50,000 The 194-4th Public bond Jan. 25, 2041 1.976% - 80,000 - 80,000 The 195-2nd Public bond Jun. 10, 2026 1.806% - 80,000 - 80,000 The 195-3rd Public bond Jun. 10, 2031 2.168% - 40,000 - 40,000 The 196-1st Public bond Jan. 27, 2025 - - - - 270,000 The 196-2nd Public bond Jan. 27, 2027 2.637% - 100,000 - 100,000 The 196-3rd Public bond Jan. 27, 2032 2.741% - 30,000 - 30,000 The 197-1st Public bond Jun. 27, 2025 - - - - 280,000 The 197-2nd Public bond Jun. 29, 2027 4.188% - 120,000 - 120,000 The 198-1st Public bond Jan. 10, 2025 - - - - 70,000 The 198-2nd Public bond Jan. 12, 2026 3.869% - 150,000 - 150,000 The 198-3rd Public bond Jan. 12, 2028 3.971% - 80,000 - 80,000 The 199-1st Public bond Jul. 11, 2025 - - - - 85,000 -70-


 
KT Corporation and Its Subsidiaries Notes to the Consolidated Financial Statements As of December 31, 2025 and 2024 (In millions of Korean won and foreign currencies in thousands) December 31, 2025 December 31, 2024 Type Maturity Annual interest rates Foreign currency Korean won Foreign currency Korean won The 199-2nd Public bond Jul. 10, 2026 4.146% - 160,000 - 160,000 The 199-3rd Public bond Jul. 12, 2028 4.221% - 155,000 - 155,000 The 200-1st Public bond Feb. 27, 2026 3.552% - 120,000 - 120,000 The 200-2nd Public bond Feb. 26, 2027 3.608% - 200,000 - 200,000 The 200-3rd Public bond Feb. 27, 2029 3.548% - 80,000 - 80,000 The 201-1st Public bond Dec. 02, 2027 2.899% - 130,000 - 130,000 The 201-2nd Public bond Dec. 02, 2029 2.918% - 70,000 - 70,000 The 201-3rd Public bond Dec. 02, 2034 3.057% - 100,000 - 100,000 The 202-1st Public bond Dec. 02, 2027 3.052% - 80,000 - - The 202-2nd Public bond Dec. 02, 2029 3.221% - 40,000 - - The 202-3rd Public bond Dec. 02, 2034 3.460% - 40,000 - - The 202-4th Public bond Dec. 02, 2034 3.682% - 40,000 - - The 18-2nd unsecured bond Jul. 02, 2026 2.224% - 50,000 - 50,000 The 19-1st unsecured bond Jun. 12, 2027 3.691% - 50,000 - 50,000 The 19-2nd unsecured bond Jun. 12, 2029 3.783% - 50,000 - 50,000 The 149-2nd Won- denominated unsecured bond Mar. 10, 2026 1.756% - 30,000 - 30,000 The 152-2nd Won- denominated unsecured bond Aug. 28, 2026 1.982% - 20,000 - 20,000 The 154th Won- denominated unsecured bond Jan. 23, 2025 - - - - 40,000 The 155-3rd Won- denominated unsecured bond Feb. 28, 2025 - - - - 20,000 The 156-1st Won- denominated unsecured bond Mar. 25, 2025 - - - - 60,000 The 156-2nd Won- denominated unsecured bond 2 Mar. 25, 2032 10Y CMS+0.965% - 40,000 - 40,000 The 158th Won- denominated unsecured bond Jan. 27, 2025 - - - - 50,000 The 159-2nd Won- denominated unsecured bond Aug. 11, 2027 4.505% - 30,000 - 30,000 The 160-3rd Won- denominated unsecured bond Dec. 12, 2025 - - - - 30,000 The 161-3rd Won- denominated unsecured bond Jun. 20, 2025 - - - - 30,000 The 161-4th Won- denominated unsecured bond Dec. 22, 2025 - - - - 10,000 -71-


 
KT Corporation and Its Subsidiaries Notes to the Consolidated Financial Statements As of December 31, 2025 and 2024 (In millions of Korean won and foreign currencies in thousands) December 31, 2025 December 31, 2024 Type Maturity Annual interest rates Foreign currency Korean won Foreign currency Korean won The 163-1st Won- denominated unsecured bond Feb. 20, 2026 4.059% - 20,000 - 20,000 The 163-2nd Won- denominated unsecured bond Feb. 22, 2028 4.311% - 80,000 - 80,000 The 164-3rd Won- denominated unsecured bond Apr. 14, 2028 4.220% - 30,000 - 30,000 The 165-1st Won- denominated unsecured bond May. 09, 2025 - - - - 30,000 The 165-2nd Won- denominated unsecured bond Nov. 09, 2026 3.932% - 10,000 - 10,000 The 165-3rd Won- denominated unsecured bond May. 07, 2027 3.972% - 30,000 - 30,000 The 166-2nd Won- denominated unsecured bond Apr. 22, 2025 - - - - 40,000 The 166-3rd Won- denominated unsecured bond May. 21, 2025 - - - - 10,000 The 166-4th Won- denominated unsecured bond May. 22, 2025 - - - - 40,000 The 167-2nd Won- denominated unsecured bond Jan. 22, 2025 - - - - 50,000 The 167-3rd Won- denominated unsecured bond Feb. 21, 2025 - - - - 10,000 The 167-4th Won- denominated unsecured bond Dec. 22, 2025 - - - - 10,000 The 168-1st Won- denominated unsecured bond Jun. 05, 2025 - - - - 40,000 The 168-2nd Won- denominated unsecured bond Aug. 06, 2025 - - - - 70,000 The 168-3rd Won- denominated unsecured bond Oct. 02, 2025 - - - - 40,000 The 169th Won- denominated unsecured bond Apr. 04, 2025 - - - - 50,000 The 170th Won- denominated unsecured bond Jun. 12, 2026 3.688% - 50,000 - 50,000 -72-


 
KT Corporation and Its Subsidiaries Notes to the Consolidated Financial Statements As of December 31, 2025 and 2024 (In millions of Korean won and foreign currencies in thousands) December 31, 2025 December 31, 2024 Type Maturity Annual interest rates Foreign currency Korean won Foreign currency Korean won The 171-1st Won- denominated unsecured bond Jun. 11, 2027 3.330% - 20,000 - 20,000 The 171-2nd Won- denominated unsecured bond Aug. 12, 2027 3.329% - 60,000 - 60,000 The 172-1st Won- denominated unsecured bond Mar. 06, 2026 3.514% - 10,000 - 10,000 The 172-2nd Won- denominated unsecured bond Mar. 09, 2026 3.514% - 40,000 - 40,000 The 172-3rd Won- denominated unsecured bond Sep. 09, 2026 3.474% - 30,000 - 30,000 The 173-1st Won- denominated unsecured bond Sep. 23, 2027 3.291% - 60,000 - 60,000 The 173-2nd Won- denominated unsecured bond Sep. 24, 2027 3.291% - 50,000 - 50,000 The 173-3rd Won- denominated unsecured bond Oct. 22, 2027 3.292% - 40,000 - 40,000 The 174th Won- denominated unsecured bond Nov. 10, 2025 - - - - 60,000 The 175-1st Won- denominated unsecured bond Dec. 10, 2025 - - - - 50,000 The 175-2nd Won- denominated unsecured bond Dec. 10, 2027 3.101% - 50,000 - 50,000 The 176th Won- denominated unsecured bond Dec. 18, 2026 3.134% - 70,000 - 70,000 The 177-1st Won- denominated unsecured bond Jul. 09, 2027 3.097% - 70,000 - - The 177-2nd Won- denominated unsecured bond Jul. 12, 2027 3.097% - 70,000 - - The 177-3rd Won- denominated unsecured bond Jan. 09, 2029 3.115% - 30,000 - - The 177-4th Won- denominated unsecured bond Jan. 09, 2030 3.140% - 40,000 - - The 178-1st Won- denominated unsecured bond Feb. 28, 2029 3.026% - 50,000 - - -73-


 
KT Corporation and Its Subsidiaries Notes to the Consolidated Financial Statements As of December 31, 2025 and 2024 (In millions of Korean won and foreign currencies in thousands) December 31, 2025 December 31, 2024 Type Maturity Annual interest rates Foreign currency Korean won Foreign currency Korean won The 178-2nd Won- denominated unsecured bond Feb. 28, 2030 3.087% - 30,000 - - The 179-1st Won- denominated unsecured bond Sep. 23, 2027 3.013% - 10,000 - - The 179-2nd Won- denominated unsecured bond Sep. 24, 2027 3.013% - 40,000 - - The 179-3rd Won- denominated unsecured bond Mar. 24, 2028 3.038% - 50,000 - - The 179-4th Won- denominated unsecured bond Mar. 25, 2030 3.126% - 20,000 - - The 179-5th Won- denominated unsecured bond Sep. 25, 2030 3.178% - 20,000 - - The 180-1st Won- denominated unsecured bond Apr. 03, 2028 2.989% - 90,000 - - The 180-2nd Won- denominated unsecured bond Apr. 04, 2028 2.989% - 70,000 - - The 180-3rd Won- denominated unsecured bond Apr. 04, 2029 3.026% - 40,000 - - The 181-1st Won- denominated unsecured bond Nov. 22, 2027 2.730% - 80,000 - - The 181-2nd Won- denominated unsecured bond May. 22, 2028 2.781% - 100,000 - - The 181-3rd Won- denominated unsecured bond May. 22, 2029 2.851% - 40,000 - - The 182-1st Won- denominated unsecured bond Feb. 11, 2028 2.776% - 30,000 - - The 182-2nd Won- denominated unsecured bond Jun. 13, 2028 2.822% - 70,000 - - The 183th Won- denominated unsecured bond Aug. 22, 2028 2.798% - 80,000 - - The 184-1st Won- denominated unsecured bond Oct. 20, 2028 2.800% - 80,000 - - The 184-2nd Won- denominated unsecured bond Oct. 19, 2029 2.894% - 20,000 - - -74-


 
KT Corporation and Its Subsidiaries Notes to the Consolidated Financial Statements As of December 31, 2025 and 2024 (In millions of Korean won and foreign currencies in thousands) December 31, 2025 December 31, 2024 Type Maturity Annual interest rates Foreign currency Korean won Foreign currency Korean won The 185th Won- denominated unsecured bond Dec. 10, 2027 3.291% - 80,000 - - Subtotal 8,720,089 9,154,000 Less: Current portion (1,653,217) (3,073,474) Discount on bonds (23,314) (24,177) Total ₩ 7,043,558 ₩ 6,056,349 1 As of December 31, 2025, the Controlling Company has outstanding notes in the amount of USD 100 million with fixed interest rates under Medium Term Note Program (“MTNP”) registered on the Singapore Stock Exchange, which allowed issuance of notes of up to USD 2,000 million. However, the MTNP was terminated in 2007. 2 As of December 31, 2025, the interest rates for Daily SOFR and CMS (10Y) are approximately 3.870%, 3.263% respectively. 2) Convertible bonds (In millions of Korean won) Type Issuance Date Maturity Annual interest Rate December 31, 2025 December 31, 2024 The 1st CB (Private) 1 Jun. 5, 2020 Jun. 5, 2025 - ₩ - 8,000 Redemption premium - 2,267 Conversion rights adjustment - (580) Subtotal - 9,687 Less: Current portion - (9,687) Total ₩ - - 1 Convertible bond was fully redeemed for the year ended December 31, 2025. -75-


 
KT Corporation and Its Subsidiaries Notes to the Consolidated Financial Statements As of December 31, 2025 and 2024 3) Borrowings a. Short-term borrowings (In millions of Korean won) December 31, 2025 December 31, 2024 Type Financial institution Annual interest rates Foreign currency Korean won Foreign currency Korean won Operational Shinhan Bank 1 4.900%~4.930% - ₩ 9,290 - ₩ 13,090 Term SOFR(3M)+1.940% USD 35,000 50,222 - - - - - - 87,900 2.740% - 70,000 - - Woori Bank - - - - 141,950 Korea Development Bank 3.790%~4.680% - 24,600 - - - - - - 35,000 Industrial Bank of Korea 4.270% - 6,000 - 6,000 Hana Bank 1 FB(6M)+1.988% - 5,000 - - KB SECURITIES - - - - 120,000 2.730%~3.390% 90,000 NongHyup Bank 1 MOR(6M)+1.770% - 1,000 - - - - - - 14,200 Standard Chartered Bank - - - - 32,000 Korea Investment & Securities 3.130% - 70,000 - - Kiwoom Securities Co., Ltd. 3.130% - 10,000 - - Shinhan Securities Co., Ltd. 2.880%~2.940% - 198,855 - - Daol Securities Co., Ltd 2.600% - 98,637 - - BIVD 6.400% VND 3,768,081 206 - - Woori Investment Securities Co., Ltd. 2.730% - 30,000 - - PF loans Korea Investment Capital 8.000% - 16,536 - - Korea Investment Savings Bank 8.000% - 5,518 - - DHG The 1st Co., Ltd. 10.000% - 10,000 - - HANWHA INVESTMENT & SECURITIES CO., LTD. 8.000% - 13,945 - - Total ₩ 709,809 450,140 1 As of December 31, 2025, the interest rates for Term SOFR (3M), Financial Bond (6M), and MOR (6M) are approximately 3.652%, 2.837%, and 2.840%, respectively. -76-


 
KT Corporation and Its Subsidiaries Notes to the Consolidated Financial Statements As of December 31, 2025 and 2024 b. Long-term borrowings (In millions of Korean won and thousands of foreign currencies) December 31, 2025 December 31, 2024 Financial institution Type Annual interest rates Foreign currency Korean won Foreign currency Korean won Export-Import Bank of Korea Inter-Korean Cooperation Fund 1 1.000% - ₩ 493 - ₩ 987 CA-CIB General loans 3.020%~3.820% - 200,000 - 100,000 JPM General loans - - - - 100,000 DBS General loans 2.980%~3.820% - 200,000 - 100,000 Shinhan Bank General loans 3.390% - 100,000 - 100,000 General loans 2 Term SOFR(3M)+1.300% USD 21,127 30,315 USD 21,127 31,056 General loans 2 Term SOFR(3M)+1.600% USD 8,640 12,398 USD 8,910 13,098 General loans - - - - 62,398 General loans 4.300% - 16,900 - - General loans - - - USD 35,000 51,450 Woori Bank General loans - - - EUR 6,900 10,548 PF loans 2 CD(91D)+1.750% - 25,526 - 26,526 General loans CD(91D)+1.400% - 18,000 - - Hi Investment & Securities CP 2.302% - 97,706 - 95,321 Korea Investment & Securities CP - - - - 78,933 Korea Development Bank General loans 3.770% - 33,000 - 33,000 General loans 4.310% - 10,000 - - KDB Bank Uzbekistan loans 3 23.000% UZS 29,762,533 3,572 UZS 45,448,426 4,999 loans 3 10.300% USD 5,400 7,857 USD 5,400 7,725 NH Jayang PF loans - - - - 8,366 Kyobo Life Insurance PF loans - - - - 44,385 Standard Chartered Bank Korea PF loans 3.900% - 65,000 - - PF loans - - - - 29,590 Samsung Life Insurance PF loans - - - - 24,658 Kookmin Bank General loans 4.750% - 8,000 - 8,000 General loans 2 CD(91D)+1.480% - 20,000 - - NongHyup Bank PF loans 3.900% - 70,000 - - Industrial Bank of Korea PF loans 3.900% - 65,000 - - Kyongnam Bank and others General loans 4.300% - 31,383 - - Hana Bank and others PF loans 4.700% - 363,838 - - Subtotal 1,378,988 931,040 Less: Current portion (136,513) (371,451) Total ₩ 1,242,475 ₩ 559,589 1 The above Inter-Korean Cooperation Fund is repayable in installments over 13 years after a 7-year grace period. 2 As of December 31, 2025, the interest rates for TERM SOFR (3M) and CD (91D) are approximately 3.652%, 2.810%, respectively. 3 The general loans are repayable in installments over 3 years after a two-year grace period. -77-


 
KT Corporation and Its Subsidiaries Notes to the Consolidated Financial Statements As of December 31, 2025 and 2024 (2) Repayment schedule of the Group’s debentures and borrowings including the portion of current liabilities as of December 31, 2025, is as follows: (In millions of Korean won) Bonds Borrowings Total In local currency In foreign currency Sub- total In local currency In foreign currency Sub- total Jan.1, 2026 ~ Dec.31 2026 ₩ 1,080,000 573,960 1,653,960 765,582 80,741 846,323 2,500,283 Jan.1, 2027 ~ Dec.31 2027 1,370,000 644,278 2,014,278 1,160,122 12,397 1,172,519 3,186,797 Jan.1, 2028 ~ Dec.31 2028 1,085,000 1,065,911 2,150,911 33,000 3,810 36,810 2,187,721 Jan.1, 2029 ~ Dec.31 2029 580,000 717,450 1,297,450 - 3,810 3,810 1,301,260 After Jan.1, 2030 1,460,000 143,490 1,603,490 25,526 3,810 29,336 1,632,826 Total ₩ 5,575,000 3,145,089 8,720,089 1,984,230 104,568 2,088,798 10,808,887 17. Provisions Changes in provisions for the years ended December 31, 2025 and 2024, are as follows: 2025 (In millions of Korean won) Litigation Restoration cost Others Total Beginning balance ₩ 21,690 141,761 60,956 224,407 Increase (transfer) 1,255 311 215,950 217,516 Usage (306) (5,633) (10,147) (16,086) Reversal (100) (904) (5,890) (6,894) Others - (3,714) 2,656 (1,058) Ending balance ₩ 22,539 131,821 263,525 417,885 Less: Current ₩ (21,311) (28,642) (262,858) (312,811) Non-current 1,228 103,179 667 105,074 2024 (In millions of Korean won) Litigation Restoration cost Others Total Beginning balance ₩ 29,707 133,159 59,357 222,223 Increase (transfer) 26 11,628 15,629 27,283 Usage (4,721) (1,941) (6,066) (12,728) Reversal (3,322) (1,658) (6,931) (11,911) Others - 573 (1,033) (460) Ending balance ₩ 21,690 141,761 60,956 224,407 Less: Current ₩ (21,690) (29,922) (60,918) (112,530) Non-current - 111,839 38 111,877 -78-


 
KT Corporation and Its Subsidiaries Notes to the Consolidated Financial Statements As of December 31, 2025 and 2024 18. Net Defined Benefit Liabilities (Assets) (1) The amounts recognized in the statement of financial position as of December 31, 2025 and 2024, are determined as follows: (In millions of Korean won) December 31, 2025 December 31, 2024 Present value of defined benefit obligations ₩ 2,306,248 2,232,898 Fair value of plan assets (2,292,457) (2,153,792) Liabilities ₩ 85,631 128,457 Assets ₩ 71,840 49,351 (2) Changes in the defined benefit obligations for the years ended December 31, 2025 and 2024, are as follows: (In millions of Korean won) 2025 2024 Beginning ₩ 2,232,898 2,365,793 Current service cost 231,838 224,071 Interest expense 69,015 88,882 Benefit paid (221,458) (626,899) Remeasurements on defined benefit obligations: Actuarial gains and losses arising from changes in demographic assumptions (857) 11,531 Actuarial gains and losses arising from changes in financial assumptions (53,848) 90,373 Actuarial gains and losses arising from experience adjustments 57,692 57,699 Others (9,032) 21,448 Ending ₩ 2,306,248 2,232,898 (3) Changes in the fair value of plan assets for the years ended December 31, 2025 and 2024, are as follows: (In millions of Korean won) 2025 2024 Beginning ₩ 2,153,792 2,462,925 Interest income 72,685 97,708 Remeasurements on plan assets: Return on plan assets (excluding amounts included in interest income) 995 (154) Benefits paid (190,569) (583,162) Employer contributions 269,591 172,622 Others (14,037) 3,853 Ending ₩ 2,292,457 2,153,792 -79-


 
KT Corporation and Its Subsidiaries Notes to the Consolidated Financial Statements As of December 31, 2025 and 2024 (4) Amounts recognized in the consolidated statement of profit or loss for the years ended December 31, 2025 and 2024, are as follows: (In millions of Korean won) 2025 2024 Current service cost ₩ 231,837 224,071 Net interest income (3,670) (8,826) Transfer out (13,428) (13,059) Others 4,481 19,191 Total expenses ₩ 219,220 221,377 (5) Principal actuarial assumptions used are as follows: December 31, 2025 December 31, 2024 Discount rate 3.29%~5.32% 3.24%~5.02% Salary growth rate 1.98%~6.50% 1.66%~8.96% (6) The sensitivity of the defined benefit obligations as of December 31, 2025, to changes in the principal assumptions is: (in percentage, in millions of Korean won) Effect on defined benefit obligation Changes in assumption Increase in assumption Decrease in assumption Discount rate 0.5% point ₩ (72,199) 78,104 Salary growth rate 0.5% point 75,203 (70,258) A decrease in corporate bond yields will increase plan liabilities, although this will be partially offset by an increase in the value of the plans’ bond holdings. The above sensitivity analysis is based on changes in assumption while holding all other assumptions constant. In practice, this is unlikely to occur, and changes in some of the assumptions may be correlated. The sensitivity of the defined benefit obligation to changes in principal actuarial assumptions is calculated using the projected unit credit method, the same method applied when calculating the defined benefit obligations recognized on the statement of financial position. -80-


 
KT Corporation and Its Subsidiaries Notes to the Consolidated Financial Statements As of December 31, 2025 and 2024 (7) The Group actively monitors how the duration and the expected yield of the investments match the expected cash outflows arising from the pension obligations. Expected contributions to post- employment benefit plans, for the year ending December 31, 2026, are ₩ 262,365 million. The expected maturity analysis of undiscounted pension benefits as of December 31, 2025, is as follows: (in millions of Korean won) Less than 1 year Between 1-2 years Between 2-5 years Over 5 years Total Pension benefits ₩ 310,424 ₩ 344,185 ₩ 789,356 ₩ 2,199,824 ₩ 3,643,789 (8) The weighted average duration of the defined benefit obligations is 6.7 years. 19. Defined Contribution Plan Recognized expense related to the defined contribution plan for the year ended December 31, 2025, is ₩ 84,334 million (2024: ₩ 86,723 million). -81-


 
KT Corporation and Its Subsidiaries Notes to the Consolidated Financial Statements As of December 31, 2025 and 2024 20. Commitments and Contingencies (1) As of December 31, 2025, major commitments with local financial institutions are as follows: (In millions of Korean won and foreign currencies in thousands) Financial institution Limit Used amount Bank overdraft Kookmin Bank and others ₩ 674,000 - Inter-Korean Cooperation Fund Export-Import Bank of Korea 37,700 493 Economic Cooperation Business Insurance Export-Import Bank of Korea 3,240 1,732 Collateralized loan backed by electronic accounts receivable- trade Shinhan Bank and others 951,650 484,878 Plus electronic notes payable Industrial Bank of Korea and others 70,000 5,998 Working capital loan Korea Development Bank and others 1,211,491 258,190 Shinhan Bank USD 64,767 USD 64,767 Facility loans Hana Bank and others 739,000 665,826 Derivatives transaction limit Korea Development Bank and others USD 1,920,000 USD 1,920,000 Shinhan Bank and others JPY 30,000,000 JPY 30,000,000 Total KRW 3,687,081 1,417,117 USD 1,984,767 1,984,767 JPY 30,000,000 30,000,000 -82-


 
KT Corporation and Its Subsidiaries Notes to the Consolidated Financial Statements As of December 31, 2025 and 2024 (2) As of December 31, 2025, guarantees received from financial institutions are as follows: (In millions of Korean won and foreign currencies in thousands) Financial institution Limit Hana Bank Guarantee for payment in Korean currency 4,000 Comprehensive credit line and others 2,900 Comprehensive credit line and others USD 10,300 Kookmin Bank Guarantee for payment in foreign currency USD 3,186 Shinhan Bank Guarantee for payment in Korean currency 754 Refund guarantee for advances received USD 29,915 Guarantee for payment in foreign currency and others USD 80,030 Corporate card issuance guarantee VND 231,830 Woori Bank Guarantee for payment in Korean currency 100 Guarantee for payment in foreign currency USD 7,000 Performance guarantee and others USD 180 HSBC Guarantees for depositions USD 1,515 Seoul Guarantee Insurance Company Performance guarantee and others 464,868 Performance guarantee and others USD 1,170 Korea Software Financial Cooperative Performance guarantee and others 1,700,592 Korea Specialty Contractor Financial Cooperative Performance guarantee and others 135 Korea Housing Finance Corporation Performance guarantee and others 25,526 Information & Communication Financial Cooperative Performance guarantee and others 838,452 ACE American Fire and Marine Insurance Company Performance guarantee and others USD 10,000 Total KRW 3,037,327 USD 143,296 VND 231,830 -83-


 
KT Corporation and Its Subsidiaries Notes to the Consolidated Financial Statements As of December 31, 2025 and 2024 (3) The Controlling Company is jointly and severally obligated with KT Sat Co., Ltd., a subsidiary, to pay KT Sat Co., Ltd.’s liabilities incurred prior to spin-off. As of December 31, 2025, the Controlling Company and KT Sat Co., Ltd. are jointly and severally liable for reimbursement of ₩ 428 million (as of December 31, 2024: ₩ 433 million). (4) For the year ended December 31, 2025, the Group entered into agreements with the Securitization Specialty Companies (2025: First 5G 79th to 84th Securitization Specialty Co., Ltd., 2024: First 5G 73rd to 78th Securitization Specialty Co., Ltd.) and disposed of its trade receivables related to handset sales. The Group also made asset management agreements with each securitization specialty company and in accordance with the agreement, the Group will receive asset management fees upon liquidation of the securitization specialty company. (5) As of December 31, 2025, the Group is a defendant in 177 lawsuits with the total claimed amount of ₩ 158,621 million (2024: ₩ 141,941 million). As of December 31, 2025, litigation provisions of ₩ 22,539 million for pending lawsuits and unasserted claims are recorded as liabilities for potential loss in the ordinary course of business. The final outcomes of the cases cannot be estimated as of December 31, 2025 (Note 17). (6) Under the agreement of bond issuance and borrowings, the Group is required to maintain certain financial ratios such as debt-to-equity ratio, use the funds for the designated purpose and report to the creditors periodically. The covenant also contains restriction on provision of additional collateral and disposal of certain assets. (7) As of December 31, 2025, the Group participates in Algerie Sidi Abdella new town development consortium (percentage of ownership: 2.5%) and has joint liability with other consortium participants. (8) As of December 31, 2025, the contract amount of properties and equipment, intangible assets and investment properties acquisition agreement made but not yet recognized amounts to ₩ 399,817 million (as of December 31, 2024: ₩ 350,949 million). (9) As of December 31, 2025, there are derivatives generated by the Group granting Drag-Along Right to financial investors participating in paid-in capital increase of K Bank Inc. (Note 7). During the year, considering the terms of the shareholders’ agreement entered into with the financial investors, the Group entered into a supplemental agreement under which it agreed to compensate, up to ₩110,000 million, the difference between the eligible IPO offering price and the final offering price. (10) The Group entered into an agreement with financial investors of Epsilon Global Communications Pte. Ltd. regarding the acquisition of shares contract. If certain conditions are not met in the future as disclosed in the terms and conditions of the agreement, financial investors may exercise Tag- Along Right, Drag-Along Right, and the right to sell shares for the convertible preferred shares they hold (Note 7). (11) The Group has an obligation for additional contributions as per agreement to Storm Ventures FUND VII and others. As of December 31, 2025, remaining amounts of USD 27,050 thousand and JPY 160,000 thousand will be invested through the Capital Call method in the future. -84-


 
KT Corporation and Its Subsidiaries Notes to the Consolidated Financial Statements As of December 31, 2025 and 2024 (12) During the operating period, the Group has an obligation of ₩ 470,160 million (100%) to provide financial support as an operating investor to K Defense Co., Ltd. established in accordance with the Private Investment Act on Social Infrastructure. (13) The Group has an agreement related to a stock sale contract with HYUNDAI MOBIS Co., Ltd., and HYUNDAI MOTOR COMPANY. If the Group intends to dispose of the acquired stocks to a third party after a certain period has elapsed from the date of the contract and the acquired stocks are to be disposed to a third party, HYUNDAI MOBIS Co., Ltd., and HYUND AI MOTOR COMPANY may exercise a preferential purchase right to designate a buyer with priority. (14) The Group entered into an agreement with equity investor who participated in the equity acquisition contract of KT Cloud Co., Ltd. According to this agreement, if conditions per the agreement are met, the financial investor may exercise a Tag-Along or a Put-Option to the Group in the future. In relation to this contract, the Group and the financial investor may settle mutual profits if there is a difference between the final public offering price and the preliminary public offering price (Note 7). (15) As of December 31, 2025, The Group has the obligation of paying Minimum Guarantee as utilizing product bundling of Tving Co., Ltd., and the right to be paid a certain proportion of the excess as per agreement. (16) As of December 31, 2025, the Group exercised a put option on all of its shares in KT Rwanda Networks Ltd. pursuant to the shareholders’ agreement with the Rwandan government. Following an objection raised by the Rwandan government on the exercise of the put option, an international arbitration proceeding is ongoing at an international arbitration institution located in Mauritius, and the outcome of the arbitration remains uncertain. -85-


 
KT Corporation and Its Subsidiaries Notes to the Consolidated Financial Statements As of December 31, 2025 and 2024 (17) Details of properties and equipment and investment properties provided as collateral as of December 31, 2025 and 2024, are as follows (in millions of Korean won) December 31, 2025 Collateral Carrying amount Secured amount Related account Related amount Mortgagee Land and buildings(*) ₩ 1,300,290 810,057 Borrowings 647,638 Industrial Bank of Korea/Shinhan Bank/Hana Bank and others Land and buildings 1,290,020 110,273 Deposits received 91,806 leaseholders (in millions of Korean won) December 31, 2024 Collateral Carrying amount Secured amount Related account Related amount Mortgagee Land and buildings ₩ 79,959 76,668 Borrowings 63,890 Industrial Bank of Korea/Shinhan Bank/Standard Chartered Bank Land and buildings 541,351 68,019 Deposits received 58,062 leaseholder (*) The carrying amount of the real estate entrusted under the real estate collateral trust agreement entered into with Kyobo Real Estate Trust is included. In addition, the priority beneficiary rights, insurance claim rights, and the pledge over the deposits in the loan disbursement account under the trust agreement have been provided as collateral for the borrowings to the financial institution (18) The Group has entered into supplier finance arrangements with certain suppliers, under which participating suppliers may receive early payment of the Group’s obligations from an external finance provider. The Group pays the finance provider within 100 days, which is similar to the Group’s customary payment terms to settle the debt. As of December 31, 2025, all financial liabilities subject to the supplier finance agreement are included in ‘trade and other payables’ in the consolidated statement of financial position, and the carrying amounts as of December 31, 2025 and 2024 are ₩ 46,011 million and ₩ 16,081 million, respectively. The carrying amounts related to the payables for which the suppliers have already received payment from the finance provider as of December 31, 2025 and 2024 are ₩ 19,196 million and ₩ 9,746 million, respectively. There have been no significant non-cash changes in the carrying amount of the trade and other payables included in the Group’s supplier finance agreement. -86-


 
KT Corporation and Its Subsidiaries Notes to the Consolidated Financial Statements As of December 31, 2025 and 2024 (19) As of December 31, 2025, the Group became aware of damages caused by unauthorized small- value payments and security incidents, and is currently under investigation by the Personal Information Protection Commission regarding the timing and circumstances of these incidents. As the investigation is ongoing, the Group cannot reasonably estimate any obligations that may arise in connection with this matter. -87-


 
KT Corporation and Its Subsidiaries Notes to the Consolidated Financial Statements As of December 31, 2025 and 2024 21. Leases Information for leases when the Group acts as a lessee is as follows. Information on leases when the Group acts as a lessor is described in Note 12. (1) Amounts recognized in the consolidated statement of financial position The consolidated statement of financial position shows the following amounts relating to leases: (In millions of Korean won) December 31, 2025 December 31, 2024 Right-of-use assets Property and building ₩ 1,307,484 950,940 Machinery and communication line facilities 125,715 103,672 Others 104,918 158,158 Total ₩ 1,538,117 1,212,770 (In millions of Korean won) December 31, 2025 December 31, 2024 Lease liabilities 1 Current ₩ 379,291 349,264 Non-current 1,043,915 710,189 Total ₩ 1,423,206 1,059,453 1 Included in the line item other current liabilities and other non-current liabilities in the consolidated statement of financial position (Note 9). For the years ended December 31, 2025 and 2024, right-of-use assets related to leases increased by ₩ 780,606 million and ₩ 337,779, respectively. (2) Amounts recognized in the consolidated statement of profit or loss The consolidated statement of profit or loss relating to leases for the year December 31, 2025, and 2024, are as follows: (In millions of Korean won) 2025 2024 Depreciation of right-of-use assets Property and building ₩ 320,991 301,621 Machinery and communication line facilities 38,930 25,550 Others 71,056 83,754 Total ₩ 430,977 410,925 Interest expense relating to lease liabilities ₩ 45,839 47,556 Expense relating to short-term leases 11,385 8,048 Expense relating to leases of low-value assets that are not short-term leases 31,041 27,751 Expense relating to variable lease payments not included in lease liabilities 13,699 6,722 The total cash outflow for leases for the years ended December 31, 2025 and 2024, is ₩ 511,627 million and ₩ 508,230 million, respectively. -88-


 
KT Corporation and Its Subsidiaries Notes to the Consolidated Financial Statements As of December 31, 2025 and 2024 22. Share Capital As of December 31, 2025 and 2024, the Group has 1,000,000,000 shares authorized to issue and details are as follows: December 31, 2025 December 31, 2024 Number of issued shares Par value per share (Korean won) Ordinary Shares (in millions of Korean won) Number of issued shares Par value per share (Korean won) Ordinary shares (in millions of Korean won) Ordinary shares 1 252,021,685 ₩ 5,000 1,564,499 252,021,685 ₩ 5,000 1,564,499 1 The Group retired 60,878,082 treasury shares against retained earnings. Therefore, the ordinary shares amount differs from the amount resulting from multiplying the number of shares issued 23. Retained Earnings Details of retained earnings as of December 31, 2025 and 2024, are as follows: (In millions of Korean won) December 31, 2025 December 31, 2024 Legal reserve 1 ₩ 782,249 782,249 Voluntary reserves 2 4,651,362 4,651,362 Unappropriated retained earnings 9,530,721 8,346,165 Total ₩ 14,964,332 13,779,776 1The Commercial Code of the Republic of Korea requires the Controlling Company to appropriate, as a legal reserve, an amount equal to a minimum of 10% of cash dividends paid until such reserve equals 50% of its issued share capital. The reserve is not available for the payment of cash dividends but may be transferred to share capital with the approval of the Controlling Company’s Board of Directors or used to reduce accumulated deficit, if any, with the ratification of the Controlling Company’s majority shareholders. 2 The reserves of research and development of human resources in other surplus reserves are separately accumulated on disposal of retained earnings on tax filing adjustments when calculating income taxes in accordance with regulations of Tax Reduction and Exemption Control Act of Korea. Reversal of the reserves according to the relevant tax law can be paid out as dividends. -89-


 
KT Corporation and Its Subsidiaries Notes to the Consolidated Financial Statements As of December 31, 2025 and 2024 24. Accumulated Other Comprehensive Income and Other Components of Equity (1) As of December 31, 2025 and 2024, the details of the Controlling Company’s accumulated other comprehensive income, are as follows: (in millions of Korean won) December 31, 2025 December 31, 2024 Changes in investments in associates and joint ventures ₩ 2,568 7,746 Gain (loss) on derivatives valuation 14,106 (42,178) Gain on valuation of financial assets at fair value through other comprehensive income 539,877 80,845 Exchange differences on translation for foreign operations 6,728 17,316 Total ₩ 563,279 63,729 (2) Changes in accumulated other comprehensive income for the years ended December 31, 2025 and 2024, are as follows: (in millions of Korean won) 2025 Beginning Increase (decrease) Reclassification to gain or loss Ending Changes in investments in associates and joint ventures ₩ 7,746 (5,178) - 2,568 Gain (loss) on derivatives valuation (42,178) 30,652 25,632 14,106 Gain on valuation of financial assets at fair value through other comprehensive income 80,845 459,032 - 539,877 Exchange differences on translation for foreign operations 17,316 (10,588) - 6,728 Total ₩ 63,729 473,918 25,632 563,279 (in millions of Korean won) 2024 Beginning Increase (decrease) Reclassification to gain or loss Ending Changes in investments in associates and joint ventures ₩ 4,023 3,723 - 7,746 Gain (loss) on derivatives valuation (29,361) 273,137 (285,954) (42,178) Gain(loss) on valuation of financial assets at fair value through other comprehensive income 73,928 6,917 - 80,845 Exchange differences on translation for foreign operations 3,817 13,499 - 17,316 Total ₩ 52,407 297,276 (285,954) 63,729 -90-


 
KT Corporation and Its Subsidiaries Notes to the Consolidated Financial Statements As of December 31, 2025 and 2024 (3) The Group’s other components of equity, as of December 31, 2025 and 2024, are as follows: (In millions of Korean won) December 31, 2025 December 31, 2024 Treasury stock ₩ (461,135) (215,210) Gain on disposal of treasury stock 1 2,828 2,862 Share-based compensation 7,119 7,106 Equity transactions within consolidated entities 2 (425,527) (432,318) Total ₩ (876,715) (637,560) 1 The amount directly reflected in equity is ₩ 33 million for the year ended December 31, 2025 (2024: ₩ 120 million). 2 Profit or loss incurred from transactions with non-controlling interest and investment difference incurred from change in proportion of subsidiaries are included. (4) As of December 31, 2025 and 2024, the details of treasury stock, are as follows: December 31, 2025 December 31, 2024 Number of shares (in shares) 10,926,622 6,188,739 Amount (in millions of Korean won) ₩ 461,135 215,210 Treasury stock held as of December 31, 2025, is expected to be used for stock compensation for the Group’s directors, employees, and for other purposes. -91-


 
KT Corporation and Its Subsidiaries Notes to the Consolidated Financial Statements As of December 31, 2025 and 2024 25. Share-Based Compensation (1) Details of share-based compensation granted by the Controlling to executives and employees, including the CEO, by the resolution of the Board of Directors for the years ended December 31, 2025 and 2024, are as follows: 2025 (in share) 19th grant Grant date July 15, 2025 Grantee CEO, internal directors, external directors, executives Vesting conditions Service condition: 1 year Non-market performance condition: achievement of performance Fair value per option (in Korean won) Internal directors: ₩ 48,758 External directors: ₩ 58,400 Total compensation costs (in Korean won) ₩ 7,530 million Estimated exercise date (exercise date) During 2026 Valuation method Fair value method 2024 (in share) 18th grant Grant date June 20, 2024 Grantee CEO, internal directors, external directors, executives Vesting conditions Service condition: 1 year Non-market performance condition: achievement of performance Fair value per option (in Korean won) ₩ 38,484 Total compensation costs (in Korean won) ₩ 5,296 million Estimated exercise date June 11, 2025 Valuation method Fair value method -92-


 
KT Corporation and Its Subsidiaries Notes to the Consolidated Financial Statements As of December 31, 2025 and 2024 (2) Changes in the number of stock options for the years ended December 31, 2025 and 2024, are as follows: (in share) 2025 Beginning Granted Expired Exercised1 Ending Number of shares exercisable 16th grant 7,631 - - - 7,631 - 18th grant 226,327 - (123,693) (102,634) - - 19th grant - 193,716 - - 193,716 - Total 233,958 193,716 (123,693) (102,634) 201,347 - (in share) 2024 Beginning Granted Expired Exercised1 Ending Number of shares exercisable 16th grant 20,960 - (6,158) (7,171) 7,631 - 17th grant 307,182 - (199,054) (108,128) - - 18th grant - 226,327 - - 226,327 - Total 328,142 226,327 (205,212) (115,299) 233,958 - 1 The weighted average price of ordinary shares at the time of exercise of the 18th grant, during the year ended December 31, 2025, is ₩ 51,600 (2024: 16th grant ₩ 41,500, 17th grant ₩ 36,000). (3) The Group granted Restricted Stock Units to its executives and employees, and the fair value per share is measured based on the closing market price on the grant date. Restricted Stock Units vest in accordance with the service conditions specified at the grant date. Changes in the number of Restricted Stock Units for the years ended December 31, 2025 and 2024, are as follows: (in shares) 2025 2024 Beginning Granted Ending Beginning Granted Ending Rrestricted Stock Unit 766 9,218 9,984 - 766 766 -93-


 
KT Corporation and Its Subsidiaries Notes to the Consolidated Financial Statements As of December 31, 2025 and 2024 26. Revenue from Contracts with Customers and Relevant Contract Assets and Liabilities (1) The Group has recognized the following amounts as revenue in the statement of profit or loss: (in millions of Korean won) 2025 2024 Revenue from contracts with customers ₩ 27,957,461 26,198,406 Revenue from other sources 286,700 232,798 Total ₩ 28,244,161 26,431,204 (2) Operating revenues for the years ended December 31, 2025 and 2024, are as follows: (in millions of Korean won) 2025 2024 Services provided ₩ 23,388,286 23,005,958 Sales of goods 4,855,875 3,425,246 Total ₩ 28,244,161 26,431,204 Revenue from providing services is recognized over time and revenue from sales of goods is recognized at a point in time. Revenue from real estate construction commitments included in sales of goods is recognized over time. (3) The contract assets, liabilities and deferred revenue recognized in relation to the revenues from contracts with customers are as follows: (In millions of Korean won) December 31, 2025 December 31, 2024 Contract assets 1 ₩ 1,111,973 977,514 Contract liabilities 1 267,622 1,089,146 Deferred revenue 2 94,302 87,209 1 The Group recognized contract assets of ₩ 85,713 million and contract liabilities of ₩ 27,884 million for long-term construction contracts as of December 31, 2025 (December 31, 2024: contract assets of ₩ 176,708 million and contract liabilities of ₩ 815,826 million). The Group recognizes contract assets as trade receivables and other receivables, and contract liabilities as other current liabilities. 2 Deferred revenue related to government grant is excluded. -94-


 
KT Corporation and Its Subsidiaries Notes to the Consolidated Financial Statements As of December 31, 2025 and 2024 (4) The contract costs recognized as assets are as follows: (In millions of Korean won) December 31, 2025 December 31, 2024 Incremental costs of obtaining a contract ₩ 2,018,168 1,666,042 Costs to fulfil a contract 80,920 72,122 Total ₩ 2,099,088 1,738,164 As of December 31, 2025, the Group recognized ₩ 1,818,814 million (2024: ₩ 1,715,915 million) of operating expenses related to contract assets. (5) For the years ended December 31, 2025 and 2024, revenue recognized from contract liabilities and deferred revenue carried-forward, is as follows: (in millions of Korean won) 2025 2024 Revenue recognized that was included in the contract liabilities balance at the beginning of the year Allocation of the transaction price ₩ 977,288 199,624 Deferred revenue of joining/installment fee 41,900 41,451 Total ₩ 1,019,188 241,075 -95-


 
KT Corporation and Its Subsidiaries Notes to the Consolidated Financial Statements As of December 31, 2025 and 2024 27. Operating Expenses (1) Operating expenses for the years ended December 31, 2025 and 2024, are as follows: (in millions of Korean won) 2025 2024 Salaries and wages ₩ 4,592,773 5,622,045 Depreciation 2,849,519 2,827,518 Depreciation of right-of-use assets 430,977 410,925 Amortization of intangible assets 599,700 639,268 Commissions 1,587,845 1,403,381 Interconnection charges 397,239 410,872 International interconnection fees 129,330 138,807 Purchase of inventories 3,696,413 3,526,723 Changes of inventories 496,127 (27,947) Sales promotion expense and sales commissions 2,599,589 2,258,121 Service costs 2,445,981 2,147,869 Utilities 571,127 555,856 Taxes and dues 267,932 265,305 Rent 153,584 147,607 Insurance premiums 68,383 68,443 Installation fees 172,887 164,969 Advertising expenses 168,768 169,189 Allowance for bad debts 121,010 151,486 Card service costs 2,793,707 3,009,170 Others 1,632,137 1,732,126 Total ₩ 25,775,028 25,621,733 (2) Details of employee benefits for the years ended December 31, 2025 and 2024, are as follows: (in millions of Korean won) 2025 2024 Salaries & Wages ₩ 4,272,048 4,270,815 Post-employment benefits (defined benefit plan) 219,220 221,376 Post-employment benefits (defined contribution plan) 84,334 86,723 Share-based payment 11,894 7,129 Others 5,277 1,036,002 Total ₩ 4,592,773 5,622,045 -96-


 
KT Corporation and Its Subsidiaries Notes to the Consolidated Financial Statements As of December 31, 2025 and 2024 28. Other Income and Other Expenses (1) Other income for the years ended December 31, 2025 and 2024, are as follows: (in millions of Korean won) 2025 2024 Gain on disposal of property and equipment and investment properties ₩ 20,105 47,754 Gain on disposal of intangible assets 1,641 311 Gain on disposal of right-of-use assets 2,988 2,967 Compensation on impairment of property and equipment 175,100 165,196 Income from government subsidies 565 1,261 Gain on disposal of investments in associates 8,384 19,074 Gain on disposal of subsidiaries 33,867 52,688 Others 52,065 55,578 Total ₩ 294,715 344,829 (2) Other expenses for the years ended December 31, 2025 and 2024, are as follows: (in millions of Korean won) 2025 2024 Loss on disposal of properties and equipment ₩ 51,655 90,373 Loss on disposal of intangible assets 8,955 9,713 Loss on disposal of right-of-use assets 2,814 2,578 Loss on disposal of investments in associates 1,753 17 Loss on disposal of investments in subsidiaries 6,564 7,998 Impairment loss on property and equipment 15,317 7,183 Impairment loss on intangible assets 43,132 239,312 Donations 14,479 9,499 Other allowance for bad debts 19,770 26,475 Others 54,015 107,907 Total ₩ 218,454 501,055 -97-


 
KT Corporation and Its Subsidiaries Notes to the Consolidated Financial Statements As of December 31, 2025 and 2024 29. Finance Income and Costs (1) Details of finance income for the years ended December 31, 2025 and 2024, are as follows: (in millions of Korean won) 2025 2024 Interest income ₩ 259,227 303,535 Gain on foreign currency transactions 90,310 27,268 Gain on foreign currency translation 85,808 43,566 Gain on derivatives transactions 11,976 48,566 Gain on valuation of derivatives 64,695 399,261 Dividend income 71,973 68,930 Gain on disposal of financial instruments 836 13,358 Gain on valuation of financial instruments 41,757 13,166 Total ₩ 626,582 917,650 (2) Details of finance costs for the years ended December 31, 2025 and 2024, are as follows: (in millions of Korean won) 2025 2024 Interest expenses ₩ 366,032 374,665 Loss on foreign currency transactions 18,896 49,308 Loss on foreign currency translation 73,514 426,842 Loss on derivatives transactions 79,887 10,651 Loss on valuation of derivatives 62,711 3,793 Loss on disposal of trade receivables 13,081 7,955 Loss on valuation of financial instruments 153,246 112,154 Others 4,430 9,413 Total ₩ 771,797 994,781 -98-


 
KT Corporation and Its Subsidiaries Notes to the Consolidated Financial Statements As of December 31, 2025 and 2024 30. Deferred Income Tax and Income Tax Expense (1) Deferred Income Tax 1) Deferred tax assets and deferred tax liabilities as of December 31, 2025 and 2024, are as follows: (in millions of Korean won) December 31, 2025 December 31, 2024 Deferred tax assets Deferred tax assets to be recovered within 12 months ₩ 491,258 409,151 Deferred tax assets to be recovered after more than 12 months 2,098,780 1,976,312 Deferred tax assets before offsetting 2,590,038 2,385,463 Deferred tax liabilities Deferred tax liabilities to be recovered within 12 months ₩ (841,568) (748,888) Deferred tax liabilities to be recovered after more than 12 months (2,239,787) (1,884,962) Deferred tax liabilities before offsetting (3,081,355) (2,633,850) Deferred tax assets after offsetting ₩ 660,107 671,609 Deferred tax liabilities after offsetting ₩ 1,151,424 919,996 -99-


 
KT Corporation and Its Subsidiaries Notes to the Consolidated Financial Statements As of December 31, 2025 and 2024 2) The movement in deferred income tax assets and liabilities as of December 31, 2025 and 2024, before taking into consideration the offsetting of balances, is as follows: (in millions of Korean won) 2025 Beginning Statement of profit or loss Other comprehensive income Ending Deferred tax liabilities Investments in subsidiaries, associates and joint ventures ₩ (270,694) (16,796) 3,248 (284,242) Depreciation and impairment loss (102,327) 39,469 - (62,858) Plan assets (462,116) (64,681) 1,488 (525,309) Advanced depreciation provision (523,208) 63,719 - (459,489) Contract assets (417,523) (177,099) - (594,622) Financial assets at fair value through profit or loss 7,317 341 - 7,658 Financial assets at fair value through other comprehensive income (89,903) 14,326 (169,101) (244,678) Others (775,396) (141,741) (678) (917,815) Total ₩ (2,633,850) (282,462) (165,043) (3,081,355) Deferred tax assets Depreciation and impairment loss ₩ 106,035 19,275 (44) 125,266 Contract liabilities 109,549 (3,533) - 106,016 Defined benefit liabilities 491,919 35,585 16,850 544,354 Provisions 166,565 60,553 (220) 226,898 Others 1,366,781 87,890 (7,148) 1,447,523 Total ₩ 2,240,849 199,770 9,438 2,450,057 Temporary difference, net (393,001) (82,692) (155,605) (631,298) Tax credit carryforwards 144,614 (4,633) - 139,981 Total net balance ₩ (248,387) (87,325) (155,605) (491,317) -100-


 
KT Corporation and Its Subsidiaries Notes to the Consolidated Financial Statements As of December 31, 2025 and 2024 (in millions of Korean won) 2024 Beginning Statement of profit or loss Other comprehensive income Ending Deferred tax liabilities Investments in subsidiaries, associates and joint ventures ₩ (270,230) 730 (1,194) (270,694) Depreciation and impairment loss (112,124) 9,797 - (102,327) Plan assets (533,707) 71,001 590 (462,116) Advanced depreciation provision (518,080) (5,128) - (523,208) Contract assets (421,824) 4,301 - (417,523) Financial assets at fair value through profit or loss 84 7,233 - 7,317 Financial assets at fair value through other comprehensive income (102,627) 14,656 (1,932) (89,903) Others (649,655) (113,707) (12,034) (775,396) Total ₩ (2,608,163) (11,117) (14,570) (2,633,850) Deferred tax assets Depreciation and impairment loss ₩ 116,746 (10,711) - 106,035 Contract liabilities 111,978 (2,429) - 109,549 Defined benefit liabilities 515,991 (66,182) 42,110 491,919 Provisions 146,171 20,394 - 166,565 Others 1,202,601 162,549 1,631 1,366,781 Total ₩ 2,093,487 103,621 43,741 2,240,849 Temporary difference, net (514,676) 92,504 29,171 (393,001) Tax credit carryforwards 129,270 15,344 - 144,614 Total net balance ₩ (385,406) 107,848 29,171 (248,387) -101-


 
KT Corporation and Its Subsidiaries Notes to the Consolidated Financial Statements As of December 31, 2025 and 2024 3) The tax impacts recognized directly to equity as of December 31, 2025 and 2024, are as follows: (in millions of Korean won) December 31, 2025 December 31, 2024 Before recognition Tax effect After recognition Before recognition Tax effect After recognition Gain on valuation of financial assets at fair value through other comprehensive income ₩ 627,461 (169,101) 458,360 7,626 (1,932) 5,694 Gain (loss) on valuation of hedge instruments 76,169 (19,527) 56,642 (17,707) 4,555 (13,152) Remeasurements of net defined benefit liabilities (1,992) 18,338 16,346 (159,757) 42,700 (117,057) Share of gain (loss) of associates and joint ventures, and others (12,051) 3,248 (8,803) 4,715 (1,194) 3,521 Exchange differences on translation for foreign operations (42,437) 11,437 (31,000) 59,053 (14,958) 44,095 Gain or loss on disposal of treasury stock (125) 33 (92) (76) 19 (57) Total ₩ 647,025 (155,572) 491,453 (106,146) 29,190 (76,956) (2) Income Tax Expense 1) Details of income tax expense for the years ended December 31, 2025 and 2024, are calculated as follows: (in millions of Korean won) 2025 2024 Current income tax expenses ₩ 494,003 275,454 Impact of change in temporary difference 87,325 (107,848) Income tax expense ₩ 581,328 167,606 -102-


 
KT Corporation and Its Subsidiaries Notes to the Consolidated Financial Statements As of December 31, 2025 and 2024 2) The relationship between the Group’s profit before tax and income tax expense for the years ended December 31, 2025 and 2024, is as follows: (in millions of Korean won) 2025 2024 Profit before income tax ₩ 2,418,099 584,701 Expected tax expense at statutory tax rate ₩ 628,016 143,999 Tax effect: Income not taxable for tax purposes (12,444) (37,505) Expenses not deductible for tax purposes 46,678 29,192 Tax credit and deductions (80,056) (42,422) Others (866) 74,342 Income tax expense ₩ 581,328 167,606 (3) Deferred tax assets and deferred tax liabilities Not Recognized 1) Details of deferred tax assets and liabilities that are not recognized as of December 31, 2025 and 2024, are as follows: (in millions of Korean won) 2025 2024 Deductible temporary differences Investment in subsidiaries, associates, and joint ventures ₩ 3,501,353 3,799,037 Unused tax loss 296,436 212,283 Unused Tax credit 3,337 5,071 Others 196,936 141,405 Total ₩ 3,998,062 4,157,796 Taxable temporary differences Investment in subsidiaries, associates, and joint ventures ₩ 720,071 859,471 Others 96,252 2,631 Total ₩ 816,323 862,102 2) The expected period of expiry for unused tax losses not recognized in deferred tax assets as of December 31, 2025 and 2024, is as follows: (in millions of Korean won) 2025 2024 Less than 1 year 4,992 2,836 1~5 years 804 7,326 5~10 years 18,120 8,902 More than 10 years 272,520 193,219 Total ₩ 296,436 212,283 -103-


 
KT Corporation and Its Subsidiaries Notes to the Consolidated Financial Statements As of December 31, 2025 and 2024 (4) The Group is subject to Pillar Two income taxes and has reviewed the impact on the financial statements. As a result of this assessment, no Pillar Two current tax expense is recognized for the current year, and the exception to the recognition and disclosure of deferred taxes has been applied. 31. Earnings per Share (1) Basic Earnings per Share Basic earnings per share is calculated by dividing the profit for the period by the weighted average number of ordinary shares outstanding during the period, excluding ordinary shares held by the Group as treasury stock. Basic earnings per share from operations for the years ended December 31, 2025 and 2024, is calculated as follows: 2025 2024 Profit attributable to ordinary shares (In millions of Korean won) ₩ 1,729,930 469,233 Weighted average number of ordinary shares used for calculating diluted earnings per share (In number of shares) 242,993,522 245,910,192 Basic earnings per share (In Korean won) ₩ 7,119 1,908 -104-


 
KT Corporation and Its Subsidiaries Notes to the Consolidated Financial Statements As of December 31, 2025 and 2024 (2) Diluted Earnings per Share Diluted earnings per share from operations is calculated by adjusting the weighted average number of ordinary shares outstanding assuming that all dilutive potential ordinary shares are converted into ordinary shares. The Group has dilutive potential ordinary shares from convertible bonds, convertible preferred stock and other share-based payments: 2025 2024 Profit attributable to ordinary shares (in millions of Korean won) ₩ 1,729,930 469,233 Diluted profit attributable to ordinary shares (in millions of Korean won) ₩ 1,729,333 468,835 Number of dilutive potential ordinary shares outstanding (in number of shares) 1 97,777 94,393 Weighted average number of ordinary shares outstanding (in number of shares) 243,091,299 246,004,585 Diluted earnings per share (in Korean won) ₩ 7,114 1,906 1 The dilutive potential common shares consist of share-based compensation. Diluted earnings per share is calculated by dividing the profit for the period by the sum of the weighted average number of ordinary shares and dilutive potential ordinary shares. This calculation takes into account both ordinary shares and all dilutive potential shares. Convertible bonds, convertible preferred stocks and other share-based payments without dilutive effects are excluded from the calculation. 32. Dividend The dividends paid by the Group in 2025 were ₩ 122,836 million (₩ 500 per share). The quarterly dividends paid by the Group in 2025 were ₩ 436,298 million (₩ 600 per share). The dividends paid by the Group in 2024 were ₩ 482,970 million (₩ 1,960 per share). The quarterly dividends paid by the Group in 2024 were ₩ 368,685 million (₩ 500 per share). A dividend in respect of the year ended December 31, 2025, of ₩ 600 per share, amounting to a total dividend of ₩ 144,657 million, is to be proposed at the shareholders’ meeting on March 31, 2026. -105-


 
KT Corporation and Its Subsidiaries Notes to the Consolidated Financial Statements As of December 31, 2025 and 2024 33. Cash Generated from Operations (1) Cash flows from operating activities for the years ended December 31, 2025 and 2024, are as follows: (In millions of Korean won) 2025 2024 1. Profit for the year ₩ 1,836,770 417,094 2. Adjustments for: Income tax expense 581,328 167,607 Interest income 1 (380,866) (409,540) Interest expense 1 439,350 432,537 Dividends income 2 (75,907) (70,914) Depreciation 2,898,524 2,866,974 Amortization of intangible assets 607,866 651,649 Depreciation of right-of-use assets 430,977 410,925 Provisions for severance benefits (defined benefits) 232,649 234,435 Impairment losses on trade receivables 140,636 184,942 Share of net profit or loss of associates and joint ventures (16,832) (8,294) Gain on disposal of associates and joint ventures (6,631) (19,057) Gain on disposal of subsidiaries (27,303) (44,690) Loss on disposal of property, equipment and investment properties 3 31,550 13,894 Impairment loss on property and equipment 15,317 7,183 Gain on disposal of right-of-use assets (174) (389) Loss on disposal of intangible assets 7,314 9,402 Impairment loss on intangible assets 43,132 237,877 Loss (gain) on foreign currency translation (12,276) 383,045 Loss (gain) on valuation and settlement of derivatives 64,857 (434,765) Loss on disposal of financial assets at amortized cost 18 1 Loss (gain) on disposal of financial assets at fair value through profit or loss 1,614 (10,793) Loss on valuation of financial assets at fair value through profit or loss 4 93,719 95,118 Others 169,073 166,366 3. Changes in operating assets and liabilities Increase in trade receivables (181,305) (79,503) Decrease (increase) in other receivables (297,309) 384,941 Decrease (increase) in other current assets (297,056) 77,878 Increase in other non-current assets (279,499) (102,599) Decrease (increase) in inventories 729,522 (29,225) Increase (decrease) in trade payables 135,092 (233,799) Decrease in other payables (401,907) (289,044) Increase (decrease) in other current liabilities (865,627) 568,475 Decrease in other non-current liabilities (8,545) (2,609) -106-


 
KT Corporation and Its Subsidiaries Notes to the Consolidated Financial Statements As of December 31, 2025 and 2024 Decrease in provisions (2,426) (6,536) Decrease in deferred revenue (464) (1,900) Decrease in plan assets 40,672 344,869 Payment of post-employment benefits (defined benefit) (346,425) (562,307) 4. Cash generated from operations (1+2+3) 5,299,428 5,349,248 1 Subsidiaries such as BC Card Co., Ltd. recognize interest income and expense as operating revenue and expense, respectively. Interest income of ₩ 121,639 million (2024: ₩ 106,005 million) recognized as operating revenue and interest expense of ₩ 73,318 million (2024: ₩ 57,872 million) recognized as operating expense, for the year ended December 31, 2025, are included in the adjustment. 2 BC Card Co., Ltd. recognized dividend income as operating revenue. Dividend income of ₩ 3,927 million recognized as operating revenue for the year ended December 31, 2025 (2024: ₩ 1,701 million) is included in the adjustment. 3 Gains and losses on disposal of investment properties of KT Estate Inc. are presented as operating revenue and operating expense, respectively. Gain on disposal of investment properties of ₩ 28,725 million recognized as operating revenue and expense, for the year ended December 31, 2024, is included in the adjustment. 4 Subsidiaries such as KT Investment Co., Ltd. recognized gain and loss on valuation of financial assets at fair value through profit or loss as operating revenue and expense, respectively. Net loss on valuation of financial assets at fair value through profit or loss of ₩ 450 million (2024: ₩ 576 million) that is recognized as operating revenue and expense, for the year ended December 31, 2025, is included in the adjustment. (2) Significant transactions not affecting cash flows for the years ended December 31, 2025 and 2024, are as follows: (In millions of Korean won) 2025 2024 Reclassification of current portion of borrowings ₩ 1,703,662 3,046,361 Reclassification of construction-in-progress to property and equipment 2,308,129 2,324,080 Change of other payables relating to acquisition of property and equipment (145,484) 245,099 Change of other payables relating to acquisition of intangible assets (277,195) (291,574) Reclassification of other payables from net defined benefit liabilities (5,888) (178) Increase in financial assets due to stock exchange - 52,841 -107-


 
KT Corporation and Its Subsidiaries Notes to the Consolidated Financial Statements As of December 31, 2025 and 2024 34. Changes in Liabilities Arising from Financing Activities Details of changes in liabilities arising from financing activities, liabilities related to cashflow to be classified as future financing activities, for the years ended December 31, 2025 and 2024, are as follows: (In millions of Korean won) 2025 Others Beginning Cash flows Acquisition Changes in FX rate Fair value change Other changes Ending Borrowings ₩ 10,520,691 426,156 (20,620) - (140,655) 10,785,572 Lease liabilities 1,059,453 (411,959) 804,982 - - (29,270) 1,423,206 Derivative liabilities 3 2,066 - - 11,793 - 13,862 Derivative assets (445,471) 128,388 - - (52,153) 53,699 (315,537) Total ₩ 11,134,676 144,651 804,982 (20,620) (40,360) (116,226) 11,907,103 (In millions of Korean won) 2024 Others Beginning Cash flows Acquisition Changes in FX rate Fair value change Other changes Ending Borrowings ₩ 10,218,165 (135,227) - 399,510 - 38,243 10,520,691 Lease liabilities 1,179,909 (414,172) 324,330 - 264 (30,878) 1,059,453 Derivative liabilities 24,547 (419) - - (1,903) (22,222) 3 Derivative assets (159,211) 81,007 - - (360,892) (6,375) (445,471) Total ₩ 11,263,410 (468,811) 324,330 399,510 (362,531) (21,232) 11,134,676 -108-


 
KT Corporation and Its Subsidiaries Notes to the Consolidated Financial Statements As of December 31, 2025 and 2024 35. Segment Information (1) The management of the Group determines the operating segments based on the reported information when establishing the business strategy. Details Business service ICT Mobile/fixed line telecommunication service and convergence business, B2B business and others Finance Credit card business Satellite TV Satellite TV business Real estate Residential building development and supply Others IT, facility security, global business, and others (2) Details of each segment for the years ended December 31, 2025 and 2024, are as follows: (in millions of Korean won) 2025 Operating revenues Operating profit Depreciation and amortization 1 ICT ₩ 19,324,024 1,304,974 3,241,310 Finance 3,356,764 150,284 28,888 Satellite TV 683,306 37,755 44,496 Real estate 674,814 108,301 71,128 Others 10,427,895 808,697 627,858 Subtotal 34,466,803 2,410,011 4,013,680 Elimination (6,222,642) 59,122 (133,484) Consolidated amount ₩ 28,244,161 2,469,133 3,880,196 1 Sum of the amortization of property and equipment, intangible assets, investment properties and right-of-use assets. -109-


 
KT Corporation and Its Subsidiaries Notes to the Consolidated Financial Statements As of December 31, 2025 and 2024 (in millions of Korean won) 2024 Operating revenues Operating profit Depreciation and amortization 1 ICT ₩ 18,579,678 346,489 3,230,522 Finance 3,557,455 143,692 33,629 Satellite TV 706,305 41,005 48,121 Real estate 595,814 114,176 69,363 Others 8,204,574 182,972 604,753 Subtotal 31,643,826 828,334 3,986,388 Elimination (5,212,622) (18,863) (108,677) Consolidated amount ₩ 26,431,204 809,471 3,877,711 1 Sum of the amortization of property and equipment, intangible assets, investment properties and right-of-use assets. (3) Operating revenues for the years ended December 31, 2025 and 2024, and non-current assets as of December 31, 2025 and 2024, by geographical regions, are as follows: (in millions of Korean won) Operating revenues Non-current assets 1 Location 2025 2024 December 31, 2025 December 31, 2024 Domestic ₩ 28,060,615 26,254,006 20,074,061 20,021,125 Overseas 183,546 177,198 151,198 179,815 Total ₩ 28,244,161 26,431,204 20,225,259 20,200,940 1 Sum of property and equipment, intangible assets, investment properties and right-of-use assets. -110-


 
KT Corporation and Its Subsidiaries Notes to the Consolidated Financial Statements As of December 31, 2025 and 2024 36. Related Party Transactions (1) The list of related party of the Group as of December 31, 2025, is as follows: Relationship Name of Entity Associates and joint ventures 48 entities such as K Bank Inc., KIF Investment Fund, Megazone Cloud Corporation, and KIAMCO Data Center Development Real Estate General Private Placement Investment Blind Trusts Others 1 Goody Studio Co., Ltd., Rebellion Inc., Digital Pharm Co., Ltd., Mastern No.127 Logispoint Daegu Co., KORAMKO No. 143 General Private Real Estate Investment Company and others 1 Included within the scope of related parties under Korean IFRS 1024 due to the presence of significant influence, even though treated in accordance with Korean IFRS 1109. (2) Significant balances of receivables and payables in relations to transactions with related parties as of December 31, 2025 and 2024, are as follows: (In millions of Korean won) December 31, 2025 Receivables Payables Relationship Name of Entity Trade receivables Other receivables Trade payables Other payables Lease liabilities Associates and joint ventures K Bank, Inc. ₩ 2,089 53,865 - 795 - Little Big Pictures 235 1,382 - 249 - K-Realty 11th Real Estate Investment Trust Company 117 1,482 - - 1,719 K-Realty No.3 Real Estate General Private Placement Investment 185 - - 299 98,474 Others 6,419 747 161 1,228 - Others Others 228 66 - - - Total ₩ 9,273 57,542 161 2,571 100,193 (In millions of Korean won) December 31, 2024 Receivables Payables Relationship Name of Entity Trade receivables Other receivables Trade payables Other payables Lease liabilities Associates and joint ventures K Bank, Inc. ₩ 778 147,868 - 83 - Little Big Pictures 235 1,396 - 2 - K-Realty 11th Real Estate Investment Trust Company 113 1,283 - - 4,588 K-Realty No.3 Real Estate General Private Placement Investment 7,911 - - - - Others 2,439 1,628 1,302 1,326 - Others Others 138 240 1 - - Total ₩ 11,614 152,415 1,303 1,411 4,588 -111-


 
KT Corporation and Its Subsidiaries Notes to the Consolidated Financial Statements As of December 31, 2025 and 2024 (3) Significant transactions with related parties for the years ended December 31, 2025 and 2024, are as follows: 1The amount of acquisition of property, equipment and others is included. 2 Transactions with Trustay Co., Ltd. and Korea Electronic Vehicle Charging Service before they were excluded from associates and joint ventures are included. 1The amount of acquisition of property, equipment and others is included. 2 Transactions with LS Marine Solution Co., Ltd., QTT Global (Group) Company Ltd. and OASISALPHA Corporation before they were excluded from associates and joint ventures are included. (In millions of Korean won) 2025 Sales Purchases Acquisition of right-of- use assets Interest income Interest expense Dividend s income Relationship Name of Entity Operating revenue Other income Operating expenses Others 1 Associates and joint ventures K Bank, Inc. ₩ 33,845 - 30,078 - - 859 - 2,300 HD Hyundai Robotics Co., Ltd. 78 - - - - - - - K-Realty 11th Real Estate Investment Trust Company 36 200 1,811 - - - 80 399 K-Realty No.3 Real Estate General Private Placement Investment Company 24,980 337 1,704 - 100,493 - 1,650 - Others 2 30,585 705 25,614 117 - - - 5,444 Others Others 2 482 118 - - - - - Total ₩ 89,526 1,724 59,325 117 100,493 859 1,730 8,143 (In millions of Korean won) 2024 Sales Purchases Acquisition of right-of- use assets Interest income Interest expense Dividend s income Relationship Name of Entity Operating revenue Other income Operating expenses Others 1 Associates and joint ventures K Bank, Inc. ₩ 31,721 - 22,548 - - 6,678 - - HD Hyundai Robotics Co., Ltd. 75 - - - - - - - K-Realty 11th Real Estate Investment Trust Company 36 200 2,547 - 11 - 182 401 K-Realty No.3 Real Estate General Private Placement Investment Company 31,956 330 - - - - - - Others 2 24,885 649 33,803 1 - - - 4,769 Others Others 167 4 246 2,470 - - - - Total ₩ 88,840 1,183 59,144 2,471 11 6,678 182 5,170 -112-


 
KT Corporation and Its Subsidiaries Notes to the Consolidated Financial Statements As of December 31, 2025 and 2024 (4) Key management compensation for the years ended December 31, 2025 and 2024, consists of: (In millions of Korean won) 2025 2024 Sort-term benefits ₩ 1,947 1,666 Post-employment benefits 280 193 Share-based compensation 952 1,225 Total ₩ 3,179 3,084 (5) Fund transactions with related parties for the years ended December 31, 2025 and 2024, are as follows: (In millions of Korean won) 2025 Borrowing transactions 1 Equity contributions in cash Borrowings Repayments Associates and joint ventures IBK-KT Young Entrepreneurs MARS Investment Fund ₩ - - 6,000 K-Realty 11th Real Estate Investment Trust Company - 1,811 - K Bank, Inc. - - 100,000 Others - 1,633 7,059 Total ₩ - 3,444 113,059 (In millions of Korean won) 2024 Borrowing transactions 1 Equity contributions in cash Borrowings Repayments Associates and joint ventures IBK-KT Young Entrepreneurs MARS Investment Fund ₩ - - 6,000 K-Realty 11th Real Estate Investment Trust Company - 2,337 - TeamFresh Corp. 2 - - 52,841 Others - - 21,234 Others Rebellions Co.,Ltd. - - 12,477 Total ₩ - 2,337 92,552 1 Borrowing transactions include lease transactions. 2 The transaction involved acquiring redeemable convertible preference shares of TeamFresh Corp. and occurred in the process of exchange with the shares of Lolab Co., Ltd. that were held. (6) The Group has an obligation according to invest agreements with related parties such as KIAMCO Data Center Development Real Estate General Private Placement Investment Blind Trusts. As of December 31, 2025 the Group has a plan to make an additional investment of ₩ 85,834 million. (7) As of December 31, 2025, the limit of the credit card contract provided by the Group to K Bank, Inc. and others is ₩ 1,486 million (December 31, 2024: ₩ 1,447 million). -113-


 
KT Corporation and Its Subsidiaries Notes to the Consolidated Financial Statements As of December 31, 2025 and 2024 37. Financial Risk Management (1) Financial Risk Factors The Group’s activities expose it to a variety of financial risks: market risk, credit risk and liquidity risk. The Group’s overall risk management program focuses on the unpredictability of financial markets and seeks to minimize potential adverse effects on the Group’s financial performance. The Group uses derivative financial instruments to hedge certain risk exposures such as cash flow risk. The Group’s financial policy is set up in the long-term perspective and annually reported to the Board of Directors. The financial risk management is carried out by the Value Management Office, which identifies, evaluates and hedges financial risks. The treasury department in the Value Management Office considers various finance market conditions to estimate the effect from the market changes. 1) Market risk The Group’s market risk management focuses on controlling the extent of exposure to the risk in order to minimize revenue volatility. Market risk is a risk that decreases value or profit of the Group’s portfolio due to changes in market interest rate, foreign exchange rate and other factors. (i) Sensitivity analysis Sensitivity analysis is performed for each type of market risk to which the Group is exposed. Reasonably possible changes in the relevant risk variable such as prevailing market interest rates, currency rates, equity prices or commodity prices are estimated and if the rate of change in the underlying risk variable is stable, the Group does not alter the chosen reasonably possible change in the risk variable. The reasonably possible change does not include remote or ‘worst case’ scenarios or ‘stress tests’. -114-


 
KT Corporation and Its Subsidiaries Notes to the Consolidated Financial Statements As of December 31, 2025 and 2024 (ii) Foreign exchange risk The Group is exposed to foreign exchange risk arising from operating, investing and financing activities. Foreign exchange risk is managed within the range of the possible effect on the Group's cash flows. Foreign exchange risk (i.e. foreign currency translation of overseas operating assets and liabilities) unaffecting the Group’s cash flows is not hedged but can be hedged at a particular situation. As of December 31, 2025 and 2024, if the foreign exchange rate had strengthened or weakened by 10% with all other variables held constant, the effects on profit before income tax and equity would have been as follows: (in millions of Korean won) Fluctuation of foreign exchange rate Impact on profit before income tax1 Impact on equity 2025.12.31 + 10% ₩ (9,165) ₩ (9,089) - 10% 9,165 9,089 2024.12.31 + 10% ₩ (6,452) ₩ (15,351) - 10% 6,452 15,351 1 Computed with consideration of derivatives hedging effect applied by the Group to hedge foreign exchange risk of liabilities in foreign currencies The analysis above is a simple sensitivity analysis, which assumes that all the variables other than foreign exchange rates are held constant. Therefore, the analysis does not reflect any correlation between foreign exchange rates and other variables, nor management’s decision to decrease the risk. Details of significant financial assets and liabilities in foreign currencies as of December 31, 2025 and 2024, are as follows: (in thousands of foreign currencies) December 31, 2025 December 31, 2024 Financial assets Financial liabilities Financial assets Financial liabilities USD 154,802 2,194,753 139,459 2,346,061 SDR 255 721 254 721 JPY 5,372 30,005,442 10,032 7 EUR 37 30 156 7,814 THB 8,755 - 8,764 - TZS 20 - 21,868 - BWP 659 - 664 - VND 231,830 - 222,914 - SGD 8,339 - 8,339 7 KGS 2,457 - - - UZS 8,346 - - - CHF - 1 - 33 PKR 21,050 - 13,732 - -115-


 
KT Corporation and Its Subsidiaries Notes to the Consolidated Financial Statements As of December 31, 2025 and 2024 (iii) Price risk As of December 31, 2025 and 2024, the Group is exposed to equity securities price risk because the securities held by the Group are traded in active markets. If the stock index increased or decreased by 10% with all other variables held constant, the effects on profit before income tax and equity would have been as follows: (in millions of Korean won) Fluctuation of stock index Impact on profit before income tax Impact on equity 2025.12.31 + 10% ₩ 303 ₩ 195,275 - 10% (303) (195,275) 2024.12.31 + 10% ₩ 519 ₩ 129,404 - 10% (519) (129,404) The analysis above is based on the assumption that the equity index increased or decreased by 10% with all other variables held constant and all the Group’s marketable equity instruments moved according to the historical correlation with the index. Equity would increase or decrease as a result of gain or loss on equity securities classified as financial assets at fair value through profit or loss and financial assets at fair value through other comprehensive income. (iv) Cash flow and fair value interest rate risk The Group’s interest rate risk arises from liabilities in foreign currency such as foreign currency debentures. Debentures in foreign currency issued at variable rates expose the Group to cash flow interest rate risk which is partially offset by swap transactions. Debentures and borrowings issued at fixed rates expose the Group to fair value interest rate risk. The Group sets the policy and operates to minimize the uncertainty of changes in interest rates and financial costs. As of December 31, 2025 and 2024, if the market interest rate had increased or decreased by 100bp with other variables held constant, the effects on profit before income tax and equity would be as follows: (in millions of Korean won) Fluctuation of interest rate Impact on profit before income tax Impact on equity 2025.12.31 + 100 bp ₩ (7,046) ₩ (2,142) - 100 bp 7,047 2,391 2024.12.31 + 100 bp ₩ (1,658) ₩ (11,903) - 100 bp 1,665 12,337 The analysis above is a simple sensitivity analysis which assumes that all the variables other than market interest rates are held constant. Therefore, the analysis does not reflect any correlation between market interest rates and other variables, nor management’s decision to decrease the risk. -116-


 
KT Corporation and Its Subsidiaries Notes to the Consolidated Financial Statements As of December 31, 2025 and 2024 2) Credit risk Credit risk is the risk of financial loss to the Group if a customer or counterparty to a financial instrument fails to meet its contractual obligations, and arises principally from the Group’s trade receivables from customers, debt securities and others. - Risk management Credit risk is managed on the Group basis with the purpose of minimizing financial loss. Credit risk arises from the normal transactions and investing activities, where clients or other party fails to discharge an obligation on contract conditions. To manage credit risk, the Group considers the counterparty’s credit based on the counterparty’s financial conditions, default history and other important factors. Credit risk arises from cash and cash equivalents, derivative financial instruments and deposits with banks and financial institutions, as well as outstanding receivables. To minimize such risk, only financial institutions with strong credit ratings are accepted. The Group’s investments in debt instruments are considered to be low risk investments. The credit ratings of the investments are monitored for credit deterioration. - Security For some trade receivables, the Group may obtain security in the form of guarantees or letters of credit, etc. which can be called upon if the counterparty defaults under the terms of the agreement. - Impairment of financial assets The Group has four types of financial assets that are subject to the expected credit loss model:  trade receivables for sales of goods and provision of services,  contract assets relating to provision of services,  debt investments carried at fair value through other comprehensive income, and  other financial assets carried at amortized cost. While cash equivalents are also subject to the impairment requirement, the identified expected credit loss is immaterial. -117-


 
KT Corporation and Its Subsidiaries Notes to the Consolidated Financial Statements As of December 31, 2025 and 2024 The maximum exposure to credit risk of the Group’s financial instruments without considering the value of collaterals as of December 31, 2025 and 2024, are as follows: (in millions of Korean won) December 31, 2025 December 31, 2024 Cash and cash equivalents (except for cash on hand) ₩ 3,501,068 3,711,936 Trade and other receivables Financial assets at amortized costs 7,806,644 7,573,409 Financial assets at fair value through other comprehensive income 107,644 114,774 Contract assets 1,026,260 800,806 Other financial assets Derivatives financial assets for hedging 315,537 445,471 Financial assets at fair value through profit or loss 723,978 971,805 Financial assets at fair value through other comprehensive income 6,147 6,157 Financial assets at amortized costs 1,476,527 962,653 Total ₩ 14,963,805 14,587,011 The Group is exposed to credit risk for financial guarantee contracts. As of December 31, 2025, the Group’s maximum exposure amount is ₩ 428 million (December 31, 2024: ₩ 108,881 million). (i) Trade receivables at amortized costs The Group applies a simplified method of recognizing the expected credit loss allowance, which uses lifetime expected credit loss for all trade receivables and contact assets. The Group measures the expected credit loss by considering the future non-recoverable rate of the remaining balance of trade receivables and other receivables at the end of the reporting period. Each trade receivables and other receivables are classified considering the credit risk characteristics and overdue periods in order to measure expected credit loss. The expected credit loss rate calculation is based on historical payment and credit loss information in relation to revenue for 36 months period up to December 31, 2025. Meanwhile, the credit sales assets of BC Card Co., Ltd., a subsidiary, were judged to have low credit risk, so the expected 12-month credit loss was applied. -118-


 
KT Corporation and Its Subsidiaries Notes to the Consolidated Financial Statements As of December 31, 2025 and 2024 The expected credit losses reflect forward-looking information. Provision for impairment as of December 31, 2025 and 2024, are as follows: December 31, 2025 (in millions of Korean won) Less than 6 months 7-12 months More than 1 years Total Expected credit loss rate 6.49% 31.77% 59.34% Total carrying amounts ₩ 3,196,965 67,830 266,233 3,531,028 Provision for impairment ₩ (207,487) (21,551) (157,991) (387,029) December 31, 2024 (in millions of Korean won) Less than 6 months 7-12 months More than 1 years Total Expected credit loss rate 6.08% 32.37% 60.55% Total carrying amounts ₩ 3,086,024 59,092 285,454 3,430,570 Provision for impairment ₩ (187,649) (19,128) (172,849) (379,626) Details of changes in provisions for impairment of trade receivables the years ended December 31, 2025 and 2024, are as follows: (in millions of Korean won) 2025 2024 Beginning balance ₩ 379,626 331,290 Provision 71,654 95,060 Written-off (72,740) (54,528) Others 8,489 7,804 Ending balance ₩ 387,029 379,626 As of December 31, 2025, the maximum exposure of the trade receivables carrying amount to credit risk is ₩ 3,143,999 million (December 31, 2024: ₩ 3,050,944 million). Impairment of trade receivable for the years ended December 31, 2025 and 2024, are as follows: (in millions of Korean won) 2025 2024 Impairment loss Allowance for bad debts ₩ 71,654 95,060 (ii) Cash equivalents (except for cash on hand) The Group is also exposed to credit risk in relation to financial assets that are measured at fair value through profit or loss. The maximum exposure, as of December 31, 2025, is the carrying amount of these investments. -119-


 
KT Corporation and Its Subsidiaries Notes to the Consolidated Financial Statements As of December 31, 2025 and 2024 (iii) Other financial assets at amortized costs Other financial assets at amortized cost include time deposits, other long-term financial instruments, and others. All of the financial assets at amortized costs are considered to have low credit risk, and the loss allowance recognized during the period was, therefore, limited to 12 months expected losses. Management considers ‘low credit risk’ for other instruments when they have a low risk of default and the issuer has a strong capacity to meet its contractual cash flow obligations in the near term. Details of changes in provisions for impairment of other financial assets at amortized costs for the years ended December 31, 2025 and 2024, are as follows: (in millions of Korean won) 2025 2024 Beginning balance ₩ 204,594 183,636 Provision 63,886 82,123 Written-off (101,721) (105,169) Reversal (144) (380) Others 24,402 44,384 Ending balance ₩ 191,017 204,594 (iv) Financial assets at fair value through other comprehensive income Financial assets at fair value through other comprehensive income include available-for-sale recognized in the prior financial year. All of the debt investments at fair value through other comprehensive income are considered to have low credit risk, and the loss allowance recognized during the period was, therefore, limited to 12 months expected losses. Managements consider ‘low credit risk’ for other instruments when they have a low risk of default and the issuer has a strong capacity to meet its contractual cash flow obligations in the near term. The Group is also exposed to credit risk in relation to financial assets that are measured at fair value through other comprehensive income. The maximum exposure at the end of the reporting period is the carrying amount of these investments. (v) Financial assets at fair value through profit or loss The Group is also exposed to credit risk in relation to financial assets that are measured at fair value through profit or loss. The maximum exposure, as of December 31, 2025, is the carrying amount of these investments. -120-


 
KT Corporation and Its Subsidiaries Notes to the Consolidated Financial Statements As of December 31, 2025 and 2024 3) Liquidity risk The Group manages its liquidity risk by liquidity strategy and plans. The Group considers the maturity of financial assets and financial liabilities and the estimated cash flows from operations. The table below analyzes the Group’s liabilities (including interest expenses) into relevant maturity groups based on the remaining period at the date of the end of each reporting period to the contractual maturity date. These amounts are contractual undiscounted cash flows and can differ from the amount in the consolidated financial statements. (in millions of Korean won) December 31, 2025 Less than 1 year 1-5 years More than 5 years Total Trade and other payables ₩ 6,856,284 217,312 40,641 7,114,237 Borrowings (including debentures) 2,724,673 7,247,769 1,690,565 11,663,007 Lease liabilities 375,148 669,176 586,866 1,631,190 Other non-derivative financial liabilities 480,408 687,217 18,453 1,186,078 Financial guarantee contracts 1 428 - - 428 Total ₩ 10,436,941 8,821,474 2,336,525 21,594,940 1 Total amount guaranteed by the Group according to guarantee contracts. Cash flow from financial guarantee contracts is classified as the maturity group in the earliest period when the financial guarantee contracts can be executed. (in millions of Korean won) December 31, 2024 Less than 1 year 1-5 years More than 5 years Total Trade and other payables ₩ 7,509,703 728,268 22,209 8,260,180 Borrowings (including debentures) 4,206,534 5,485,468 1,669,798 11,361,800 Lease liabilities 360,361 674,594 142,857 1,177,812 Other non-derivative financial liabilities 391,039 756,024 15,280 1,162,343 Financial guarantee contracts 1 108,881 - - 108,881 Total ₩ 12,576,518 7,644,354 1,850,144 22,071,016 1 Total amount guaranteed by the Group according to guarantee contracts. Cash flow from financial guarantee contracts is classified as the maturity group in the earliest period when the financial guarantee contracts can be executed. -121-


 
KT Corporation and Its Subsidiaries Notes to the Consolidated Financial Statements As of December 31, 2025 and 2024 As of December 31, 2025, the cash outflows and inflows by maturity of the Group's derivatives held for trading and gross-settled derivatives, are as follows: (in millions of Korean won) December 31, 2025 Less than 1 year 1-5 years More than 5 years Total Derivatives held for trading 1 Outflows ₩ 105,378 - - 105,378 Derivatives settled gross 2 Outflows ₩ 1,760,881 3,052,446 25,036 4,838,363 Inflows 768,044 2,580,543 36,471 3,385,058 1 As of December 31, 2025, derivative liabilities held-for-trading are classified under the ‘less than 1 year' category as they are relevant to the fair value of derivatives liabilities related to shareholder-to-share contracts (Note 20). As these derivatives held-for-trading are managed based on net fair value, their contractual maturities are not necessarily taking into consideration to understand the timing of cash flows. 2 Cash outflow and inflow of gross-settled derivatives are undiscounted contractual cash flow and may differ from the amount in the consolidated statement of financial position. (in millions of Korean won) December 31, 2024 Less than 1 year 1-5 years More than 5 years Total Derivatives held for trading 1 Outflows ₩ - 131,630 - 131,630 Derivatives settled gross 2 Outflows ₩ 1,326,759 1,570,621 26,283 2,923,663 Inflows 1,550,061 1,900,720 39,001 3,489,782 1 As of December 31, 2024, derivative liabilities held-for-trading are classified under the 'more than one year to less than five years' category as they are relevant to the fair value of derivatives liabilities related to shareholder-to-share contracts (Note 20). As these derivatives held-for-trading are managed based on net fair value, their contractual maturities are not necessarily taking into consideration to understand the timing of cash flows. 2 Cash outflow and inflow of gross-settled derivatives are undiscounted contractual cash flow and may differ from the amount in the consolidated statement of financial position. -122-


 
KT Corporation and Its Subsidiaries Notes to the Consolidated Financial Statements As of December 31, 2025 and 2024 (2) Capital Risk Management The Group’s objectives when managing capital are to safeguard the Group’s ability to continue as a going concern in order to provide returns for shareholders and benefits for other shareholders and to maintain an optimal capital structure to reduce the cost of capital. The Group’s capital structure consists of liabilities including borrowings, cash and cash equivalents, and shareholders’ equity. The treasury department monitors the Group’s capital structure and considers cost of capital and risks related each to capital component. The debt-to-equity ratios as of December 31, 2025 and 2024, are as follows: (in millions of Korean won) December 31, 2025 December 31, 2024 Total liabilities ₩ 23,490,550 23,883,408 Total equity 19,458,023 17,996,549 Debt-to-equity ratio 121% 133% The Group manages capital on the basis of the gearing ratio. This ratio is calculated as net debt divided by total capital. Net debt is calculated as total borrowings less cash and cash equivalents. Total capital is calculated as ‘equity’ in the consolidated statement of financial position plus net debt. The gearing ratios as of December 31, 2025 and 2024, are as follows: (in millions of Korean won) December 31, 2025 December 31, 2024 Total borrowings ₩ 10,785,572 10,520,690 Less: cash and cash equivalents (3,506,971) (3,716,680) Net debt 7,278,601 6,804,010 Total equity 19,458,023 17,996,549 Total capital ₩ 26,736,624 24,800,559 Gearing ratio 27% 27% -123-


 
KT Corporation and Its Subsidiaries Notes to the Consolidated Financial Statements As of December 31, 2025 and 2024 (3) Offsetting Financial Assets and Financial Liabilities 1) Details of the Group’s financial assets recognized, subject to enforceable master netting arrangements or similar agreements, as of December 31, 2025 and 2024, are as follows: (in millions of Korean won) December 31, 2025 Gross assets Gross liabilities offset Net amounts presented in the statement of financial position Amounts not offset Net amount Financial instruments Cash collateral Trade receivables ₩ 51,159 - 51,159 (49,930) - 1,229 Other financial assets 513 (511) 2 (2) - - Total ₩ 51,672 (511) 51,161 (49,932) - 1,229 (in millions of Korean won) December 31, 2024 Gross assets Gross liabilities offset Net amounts presented in the statement of financial position Amounts not offset Net amount Financial instruments Cash collateral Trade receivables ₩ 71,680 (20,588) 51,092 (42,998) - 8,094 Other financial assets 148 (147) 1 (1) - - Total ₩ 71,828 (20,735) 51,093 (42,999) - 8,094 The amount in the above table includes the amounts subject to offsetting arrangements under the agreement on facility interconnection and data sharing between telecommunication companies. -124-


 
KT Corporation and Its Subsidiaries Notes to the Consolidated Financial Statements As of December 31, 2025 and 2024 2) Details of the Group’s financial liabilities recognized, subject to enforceable master netting arrangements or similar agreements, as of December 31, 2025 and 2024, are as follows: (in millions of Korean won) December 31, 2025 Gross liabilities Gross assets Offset Net amounts presented in the statement of financial position Amounts not offset Net amount Financial instruments Cash collateral Trade payables ₩ 53,216 (511) 52,705 (49,930) - 2,775 Other payables 2 - 2 (2) - - Total ₩ 53,218 (511) 52,707 (49,932) - 2,775 (in millions of Korean won) December 31, 2024 Gross liabilities Gross assets offset Net amounts presented in the statement of financial position Amounts not offset Net amount Financial instruments Cash collateral Trade payables ₩ 40,732 (147) 40,585 (39,306) - 1,279 Other payables 24,281 (20,588) 3,693 (3,693) - - Total ₩ 65,013 (20,735) 44,278 (42,999) - 1,279 These include price subject to netting arrangements on facility interconnection and data sharing among telecommunication companies. -125-


 
KT Corporation and Its Subsidiaries Notes to the Consolidated Financial Statements As of December 31, 2025 and 2024 38. Fair Value (1) Fair Value of Financial Instruments by Category Carrying amount and fair value of financial instruments by category as of December 31, 2025 and 2024, are as follows: (In millions of Korean won) December 31, 2025 December 31, 2024 Carrying amount Fair value Carrying amount Fair value Financial assets Cash and cash equivalents ₩ 3,506,971 1 3,716,680 1 Trade and other receivables Financial assets at amortized cost 2 7,572,857 1 7,380,901 1 Financial assets at fair value through other comprehensive income 107,644 107,644 114,774 114,774 Other financial assets Financial assets at amortized cost 1,476,527 1 962,653 1 Financial assets at fair value through profit or loss 774,557 774,557 1,029,926 1,029,926 Financial assets at fair value through other comprehensive income 2,423,277 2,423,277 1,665,368 1,665,368 Derivative financial assets for hedging 315,537 315,537 445,471 445,471 Total ₩ 16,177,370 15,315,773 Financial liabilities Trade and other payables ₩ 6,693,177 1 7,214,174 1 Borrowings 10,785,572 9,722,743 10,520,690 10,423,619 Other financial liabilities Financial liabilities at amortized cost 999,020 1 942,135 1 Financial liabilities at fair value through profit or loss 105,810 105,810 132,011 132,011 Derivative financial liabilities for hedging 13,862 13,862 3 3 Total ₩ 18,597,441 18,809,013 1 The Group did not conduct fair value estimation as the book amount is a reasonable approximation of the fair value. 2 Lease receivables are excluded from fair value disclosure in accordance with Korean IFRS 1107. -126-


 
KT Corporation and Its Subsidiaries Notes to the Consolidated Financial Statements As of December 31, 2025 and 2024 (2) Fair Value Hierarchy Assets measured at fair value or for which the fair value is disclosed are categorized within the fair value hierarchy, and the defined levels are as follows:  Level 1: The quoted (unadjusted) price in active markets for identical assets or liabilities that an entity can access at the measurement date.  Level 2: All inputs other than quoted prices included in Level 1 that are observable (either directly that is, or indirectly that is, derived from prices) for the asset or liability.  Level 3: The unobservable inputs for the asset or liability. Fair value hierarchy classifications of the financial assets and financial liabilities that are measured disclosed at fair value or its fair value is disclosed as of December 31, 2025 and 2024, are as follows: (In millions of Korean won) December 31, 2025 Level 1 Level 2 Level 3 Total Assets Trade and other receivables Financial assets at fair value through other comprehensive income ₩ - 107,644 - 107,644 Other financial assets Financial assets at fair value through profit or loss 3,562 64,237 706,758 774,557 Financial assets at fair value through other comprehensive income 2,044,434 5,319 373,524 2,423,277 Derivative financial assets for hedging - 315,537 - 315,537 Investment Property - - 7,773,591 7,773,591 Total ₩ 2,047,996 492,737 8,853,873 11,394,606 Liabilities Borrowings ₩ - 9,722,743 - 9,722,743 Other financial liabilities Financial liabilities at fair value through profit or loss - 432 105,378 105,810 Derivative financial liabilities for hedging - 13,862 - 13,862 Total ₩ - 9,737,037 105,378 9,842,415 -127-


 
KT Corporation and Its Subsidiaries Notes to the Consolidated Financial Statements As of December 31, 2025 and 2024 (In millions of Korean won) December 31, 2024 Level 1 Level 2 Level 3 Total Assets Trade and other receivables Financial assets at fair value through other comprehensive income ₩ - 114,774 - 114,774 Other financial assets Financial assets at fair value through profit or loss 5,620 181,694 842,612 1,029,926 Financial assets at fair value through other comprehensive income 1,317,120 5,418 342,830 1,665,368 Derivative financial assets for hedging - 445,471 - 445,471 Investment Property - - 6,899,105 6,899,105 Total ₩ 1,322,740 747,357 8,084,547 10,154,644 Liabilities Borrowings ₩ - 10,423,619 - 10,423,619 Other financial liabilities Financial liabilities at fair value through profit or loss - - 132,011 132,011 Derivative financial liabilities for hedging - 3 - 3 Total ₩ - 10,423,622 132,011 10,555,633 -128-


 
KT Corporation and Its Subsidiaries Notes to the Consolidated Financial Statements As of December 31, 2025 and 2024 (3) Transfers Between Fair Value Hierarchy Levels of Recurring Fair Value Measurements 1) Details of transfers between Level 1 and Level 2 of the fair value hierarchy for recurring fair value measurements There are no transfers between Level 1 and Level 2 of the fair value hierarchy for the recurring fair value measurements. 2) Details of changes in Level 3 of the fair value hierarchy for recurring fair value measurements. Details of changes in Level 3 of the fair value hierarchy for the recurring fair value measurements are as follows: (In millions of Korean won) 2025 Financial assets Financial liabilities Financial assets at FVTPL Financial assets at FVOCI Financial liabilities at FVTPL Beginning balance ₩ 842,612 342,830 132,011 Acquisition 37,709 100,146 - Transfer (31,423) (4,795) - Disposal (46,904) (146) (381) Amount recognized in profit or loss 1 (95,236) - (26,252) Amount recognized in other comprehensive income - (64,511) - Ending balance ₩ 706,758 373,524 105,378 1 The recognition of gains and losses on financial liabilities measured at fair value through profit or loss consists of derivative valuation gains and losses and others. (In millions of Korean won) 2024 Financial assets Financial liabilities Financial assets at FVTPL Financial assets at FVOCI Financial liabilities at FVTPL Beginning balance ₩ 768,832 444,026 134,561 Acquisition 109,198 1,011 - Transfer 51,194 (45) (5,772) Disposal (36,663) - - Amount recognized in profit or loss 1 (49,949) - 3,222 Amount recognized in other comprehensive income - (102,162) - Ending balance ₩ 842,612 342,830 132,011 1 The recognition of gains and losses on financial liabilities measured at fair value through profit or loss consists of derivative valuation gains and losses and others. -129-


 
KT Corporation and Its Subsidiaries Notes to the Consolidated Financial Statements As of December 31, 2025 and 2024 (4) Valuation Technique and the Inputs Valuation techniques and in the recurring, non-recurring fair value measurements and disclosed fair values categorized within Level 2 and Level 3 of the fair value hierarchy as of December 31, 2025 and 2024, are as follows: (In millions of Korean won) December 31, 2025 Fair value Level Major valuation techniques Major input variables Assets Trade and other receivables Financial assets at fair value through other comprehensive income ₩ 107,644 2 DCF Model Guarantee Bond Interest rate Other financial assets Financial assets at fair value through profit or loss 770,995 2,3 DCF Model, Adjusted Net Asset Model, Backsolve Model, T-F Model Market Interest rate Financial assets at fair value through other comprehensive income 378,843 2,3 DCF Model, Hull-White model, LSMC model, Backsolve Model, T-F Model Discount rate Derivative financial assets for hedging 315,537 2 DCF Model Market Interest rate Investment Property 7,773,591 3 DCF Model Liabilities Borrowings 9,722,743 2 DCF Model Bond Interest rate Other financial liabilities Financial liabilities at fair value through profit or loss 105,810 2,3 Binomial Option Pricing Model Treasury Bond Interest rate Derivative financial liabilities for hedging 13,862 2 DCF Model Merket Interest rate -130-


 
KT Corporation and Its Subsidiaries Notes to the Consolidated Financial Statements As of December 31, 2025 and 2024 (In millions of Korean won) December 31, 2024 Fair value Level Major valuation techniques Major input variables Assets Trade and other receivables Financial assets at fair value through other comprehensive income ₩ 114,774 2 DCF Model Guarantee Bond Interest rate Other financial assets Financial assets at fair value through profit or loss 1,024,306 2,3 DCF Model, Adjusted Net Asset Model, Market Approach Model T-F Model Market Interest rate Financial assets at fair value through other comprehensive income 348,248 2,3 DCF Model, Market Approach Model Discount rate Derivative financial assets for hedging 445,471 2 DCF Model Market Interest rate Investment Property 6,899,105 3 DCF Model Liabilities Borrowings 10,423,619 2 DCF Model Bond Interest rate Other financial liabilities Financial liabilities at fair value through profit or loss 132,011 3 Binomial Option Pricing Model Treasury Bond Interest rate Derivative financial liabilities for hedging 3 2 DCF Model Merket Interest rate (5) Valuation Processes for Fair Value Measurements Categorized Within Level 3 The Group engages external experts that perform the fair value measurements required for financial reporting purposes. External experts report directly to the chief financial officer (CFO) and discuss the valuation processes and results with the CFO in line with the Group’s closing dates. -131-


 
KT Corporation and Its Subsidiaries Notes to the Consolidated Financial Statements As of December 31, 2025 and 2024 39. Interests in Unconsolidated Structured Entities (1) Details of information about its interests in unconsolidated structured entities, which the Group does not have control over, including the nature, purpose and activities of the structured entity and how the structured entity is financed, are as follows: Classes of entities Nature, purpose, activities and others Real estate finance A structured entity incorporated for the purpose of real estate development is provided with funds by investors’ investments in equity and borrowings from financial institutions (including long-term and short-term loans and issuance of ABCP due in three months), and based on these, the structured entity implements activities such as real estate acquisition, development and mortgage loans. The structured entity repays loan principals with funds incurred from instalment house sales after the completion of real estate development or with collection of the principal of mortgage loan. The remaining shares are distributed to investors. As of December 31, 2025, this entity is engaged in real estate finance structured entity, and generates revenues by receiving dividends from direct investments in or receiving interests on loans to the structured entity. Financial institutions, including the Entity, are provided with guarantees including joint guarantees or real estate collateral from investors and others. Consequently, the entity is a priority over other parties in the preservation of claim. However, when the credit rating of investors and others decreases or when the value of real estate decreases, the entity may be obliged to cover losses. PEF and investment funds Minority investors including managing members contribute to PEF and investment funds incorporated for the purpose of providing funds to the small, medium, or venture entities, and the managing member implements activities such as investments in equity or loans based on the contributions. As of December 31, 2025, the entity is engaged in PEF and investment funds structured entity, and after contributing to PEF and investment funds, the entity receives dividends for operating revenues from these contributions. The entity is provided with underlying assets of PEF and investment funds as collateral. However, when the value of the underlying assets decreases, the entity may be obliged to cover losses. Asset securitization The Group transfers accounts receivable for handset sales to its Special Purpose Company ("SPC") for asset securitization. SPC issues the asset-backed securities with accounts receivable for handset sales as an underlying asset, and makes payment for the underlying asset acquired. -132-


 
KT Corporation and Its Subsidiaries Notes to the Consolidated Financial Statements As of December 31, 2025 and 2024 (2) Details of scale of unconsolidated structured entities and nature of the risks associated with an entity’s interests in unconsolidated structured entities as of December 31, 2025 and 2024, are as follows: 1 Includes the investments recognized in the Group’s financial statements and the amounts which are probable to be determined when certain conditions are met by agreements including purchase agreements, credit granting and others. (in millions of Korean won) December 31, 2024 Real Estate Finance PEF and Investment Funds Total Maximum loss exposure 1 Investment assets ₩ 373,638 547,153 920,791 Investment agreement, etc 84,481 101,178 185,659 Total ₩ 458,119 648,331 1,106,450 1 Includes the investments recognized in the Group’s financial statements and the amounts which are probable to be determined when certain conditions are met by agreements including purchase agreements, credit granting and others. (in millions of Korean won) December 31, 2025 Real Estate Finance PEF and Investment Funds Total Maximum loss exposure 1 Investment assets ₩ 416,390 454,916 871,306 Investment agreement, etc 47,001 80,871 127,872 Total ₩ 463,391 535,787 999,178 -133-


 
KT Corporation and Its Subsidiaries Notes to the Consolidated Financial Statements As of December 31, 2025 and 2024 40. Information About Non-Controlling Interests (1) Changes in Accumulated Non-Controlling Interests Profit or loss allocated to non-controlling interests and accumulated non-controlling interests of subsidiaries that are material to the Group for the years ended December 31, 2025 and 2024, is as follows: (in millions of Korean won) 2025 Non- controlling interests’ rate (%) Accumulated non-controlling interests at the beginning of the year Profit or loss allocated to non- controlling interests Dividends paid to non- controlling interests Others Accumulated non-controlling interests at the end of the year KT Skylife Co., Ltd. 49.5% ₩ 282,261 2,862 (8,186) 826 277,763 BC Card Co., Ltd. 30.5% 598,422 47,047 - 3,919 649,388 KTIS Corporation 66.6% 146,019 28,334 (2,451) 5,263 177,165 KTCS Corporation 78.2% 164,949 23,099 (2,501) 1,087 186,634 kt Nasmedia, Co., Ltd. 55.9% 135,529 3,472 (4,428) (20,392) 114,181 (in millions of Korean won) 2024 Non- controlling interests’ rate (%) Accumulated non-controlling interests at the beginning of the year Profit or loss allocated to non- controlling interests Dividends paid to non- controlling interests Others Accumulated non-controlling interests at the end of the year KT Skylife Co., Ltd. 49.5% ₩ 361,355 (71,590) (8,184) 680 282,261 BC Card Co., Ltd. 30.5% 548,075 45,135 (2,010) 7,222 598,422 KTIS Corporation 66.7% 143,026 6,305 (2,451) (861) 146,019 KTCS Corporation 78.3% 162,795 5,221 (2,501) (566) 164,949 kt Nasmedia, Co., Ltd. 55.9% 141,609 (2,071) (4,428) 419 135,529 -134-


 
KT Corporation and Its Subsidiaries Notes to the Consolidated Financial Statements As of December 31, 2025 and 2024 (2) Summarized Financial Information on Subsidiaries The summarized financial information for each subsidiary with non-controlling interests that are material to the Group, before inter-group eliminations, is as follows: (in millions of Korean won) December 31, 2025 KT Skylife Co., Ltd. BC Card Co., Ltd. KTIS Corporation KTCS Corporation kt Nasmedia, Co., Ltd. Current assets ₩ 427,105 3,214,765 181,957 319,276 376,595 Non-current assets 548,295 3,343,539 267,570 151,697 62,878 Current liabilities 252,286 2,859,335 107,498 204,138 227,143 Non-current liabilities 160,794 1,766,718 103,562 41,668 10,640 Equity 562,320 1,932,251 238,467 225,167 201,690 (in millions of Korean won) December 31, 2024 KT Skylife Co., Ltd. BC Card Co., Ltd. KTIS Corporation KTCS Corporation kt Nasmedia, Co., Ltd. Current assets ₩ 434,876 3,130,823 129,015 293,408 427,146 Non-current assets 605,312 2,830,224 340,917 141,659 65,636 Current liabilities 242,754 3,147,202 122,879 189,900 244,498 Non-current liabilities 220,840 1,049,521 138,947 42,229 8,209 Equity 576,594 1,764,324 208,106 202,938 240,075 Summarized consolidated statements of comprehensive income for the years ended December 31, 2025 and 2024, are as follows: (in millions of Korean won) 2025 KT Skylife Co., Ltd. BC Card Co., Ltd. KTIS Corporation KTCS Corporation kt Nasmedia, Co., Ltd. Sales ₩ 984,389 3,634,972 612,964 1,042,717 125,546 Profit for the year 585 151,717 36,423 25,107 6,799 Other comprehensive income (loss) 1,631 14,363 15 917 3,408 Total comprehensive income 2,216 166,080 36,438 26,024 10,207 -135-


 
KT Corporation and Its Subsidiaries Notes to the Consolidated Financial Statements As of December 31, 2025 and 2024 (in millions of Korean won) 2024 KT Skylife Co., Ltd. BC Card Co., Ltd. KTIS Corporation KTCS Corporation kt Nasmedia, Co., Ltd. Sales ₩ 1,022,930 3,805,755 603,899 1,121,341 142,552 Profit for the year (156,033) 141,149 11,862 6,814 (3,884) Other comprehensive income (loss) (3,019) 636 (4,172) (133) 898 Total comprehensive income (159,052) 141,785 7,690 6,681 (2,986) Summarized consolidated statements of cash flows for the years ended December 31, 2025 and 2024, are as follows: (in millions of Korean won) 2025 KT Skylife Co., Ltd. BC Card Co., Ltd. KTIS Corporation KTCS Corporation kt Nasmedia, Co., Ltd. Cash flows from operating activities ₩ 99,935 (239,619) 35,502 53,443 35,290 Cash flows from investing activities (161,353) (52,803) (16,753) (28,241) (43,218) Cash flows from financing activities (24,112) 664,424 (26,634) (26,830) (18,933) Net increase (decrease) in cash and cash equivalents (85,530) 372,002 (7,885) (1,628) (26,861) Cash and cash equivalents at beginning of year 140,782 370,143 44,413 105,112 54,176 Exchange differences (1,500) (12,949) - - (101) Cash and cash equivalents at end of the year 53,752 729,196 36,528 103,484 27,214 -136-


 
KT Corporation and Its Subsidiaries Notes to the Consolidated Financial Statements As of December 31, 2025 and 2024 (in millions of Korean won) 2024 KT Skylife Co., Ltd. BC Card Co., Ltd. KTIS Corporation KTCS Corporation kt Nasmedia, Co., Ltd. Cash flows from operating activities ₩ 162,281 (97,232) 61,770 44,551 35,867 Cash flows from investing activities (160,757) (30,579) (9,923) 1,661 (22,210) Cash flows from financing activities 9,510 121,800 (32,762) (25,211) (11,803) Net increase (decrease) in cash and cash equivalents 11,034 (6,011) 19,085 21,001 1,854 Cash and cash equivalents at beginning of year 129,748 375,796 25,328 84,111 52,277 Exchange differences - 358 - - 45 Cash and cash equivalents at end of the year 140,782 370,143 44,413 105,112 54,176 (3) Transactions with Non-Controlling Interests The effect of changes in the ownership interest on the equity attributable to owners of the Group for the years ended December 31, 2025 and 2024 is summarized as follows: (in millions of Korean won) 2025 2024 Carrying amount of non-controlling interests acquired ₩ 4,100 (20,329) Partial disposal of a subsidiary without loss of control (231) (38) Effect of changes in equity (net amount) ₩ 3,869 (20,367) -137-


 
KT Corporation and Its Subsidiaries Notes to the Consolidated Financial Statements As of December 31, 2025 and 2024 41. Events After the Reporting Period (1) The Group has decided to acquire treasury stocks (₩ 250,000 million) in accordance with a resolution of the Board of Directors dated February 10, 2026, to implement the ‘Corporate Value- Up Plan’. (2) The Group issued the following bonds after the end of the reporting period (unit: \ million). Type Issued Date Annual interest rates Maturity Korean won The 203-1st Public bond Mar. 04, 2026 3.487% Mar. 04, 2029 160,000 The 203-2nd Public bond Mar. 04, 2026 3.619% Mar. 04, 2031 50,000 The 203-3rd Public bond Mar. 04, 2026 3.910% Mar. 04, 2036 50,000 The 203-4th Public bond Mar. 04, 2026 4.018% Mar. 04, 2046 40,000 -138-


 
INDEPENDENT AUDITOR’S REPORT ON INTERNAL CONTROL OVER FINANCIAL REPORTING FOR CONSOLIDATION PURPOSE English Translation of Independent Auditor’s Report on Internal Control over Financial Reporting Originally Issued in Korean on March 13, 2026 To the shareholders and the Board of Directors of KT Corporation Audit Opinion on Internal Control over Financial Reporting for Consolidation Purposes We have audited the internal control over financial reporting for consolidation purposes of KT Corporation and its subsidiaries (the “Group”) as of December 31, 2025, based on ‘Conceptual Framework for Design and Operation of Internal Control over Financial Reporting’. In our opinion, the Group’s internal control over financial reporting for consolidation purposes is designed and operated effectively as of December 31, 2025, in all material respects, in accordance with the ‘Conceptual Framework for Design and Operation of Internal Control over Financial Reporting’. We have also audited, in accordance with the Korean Standards on Auditing (“KSAs”), the consolidated financial statements of the Group, which comprise the consolidated statement of financial position as of December 31, 2025, and the consolidated statement of profit or loss, consolidated statement of comprehensive income, consolidated statement of changes in equity and consolidated statement of cash flows, for the years then ended, and notes to the consolidated financial statements, including material accounting policy information, and our report dated March 13, 2026, expressed an unqualified opinion. Basis for Audit Opinion on Internal Control over Financial Reporting for Consolidation Purposes We conducted our audits in accordance with the KSAs. Our responsibilities under those standards are further described in the Auditor’s Responsibilities for the Audit of the Internal Control over Financial Reporting for consolidation purposes section of our report. We are independent of the Group in accordance with the ethical requirements that are relevant to our audits of the internal control over financial reporting for consolidation purposes in the Republic of Korea, and we have fulfilled our other ethical responsibilities in accordance with these requirements. We believe that the audit evidence we have obtained is sufficient and appropriate to provide a basis for our opinion. Responsibilities of Management and Those Charged with Governance for the Internal Control over Financial Reporting for Consolidation Purposes Management is responsible for designing, operating and maintaining effective internal control over financial reporting for consolidation purposes, and for its assessment of the effectiveness of internal control over financial reporting for consolidation purposes, included in the Deloitte Anjin LLC 9F., One IFC, 10, Gukjegeumyung-ro, Youngdeungpo-gu, Seoul 07326, Korea Tel: +82 (2) 6676 1000 Fax: +82 (2) 6674 2114 www.deloitteanjin.co.kr


 
accompanying Report on the Effectiveness of the Internal Control over Financial Reporting for consolidation purposes by the CEO. Those Charged with Governance are responsible for the oversight of internal control over financial reporting for consolidation purposes of the Group. Auditor’s Responsibilities for the Audit of the Internal Control over Financial Reporting for Consolidation Purposes Our responsibility is to express an opinion on the Group’s internal control over financial reporting for consolidation purposes based on our audit. We conducted our audit in accordance with the KSAs. Those standards require that we plan and perform the audit to obtain reasonable assurance about whether effective internal control over financial reporting for consolidation purposes was maintained in all material respects. The audit of internal control over financial reporting for consolidation purposes involves performing procedures to obtain audit evidence about whether a material weakness exists. The procedures selected depend on the auditor’s judgment, including the assessment of the risks of that a material weakness exists. The audit includes obtaining an understanding of internal control over financial reporting for consolidation purposes and testing and evaluating the design and operating effectiveness of internal control over financial reporting for consolidation purposes based on the assessed risks. Definition and Limitations of Internal Control over Financial Reporting for Consolidation Purposes A group’s internal control over financial reporting for consolidation purposes is a process implemented by those charged with governance, management and other personnel, and designed to provide reasonable assurance regarding the preparation of reliable financial statements in accordance with Korean International Financial Reporting Standards (“K-IFRS”). A group’s internal control over financial reporting for consolidation purposes includes those policies and procedures that (1) pertain to the maintenance of records that, in reasonable detail, accurately and fairly reflect the transactions and dispositions of the assets of the group; (2) provide reasonable assurance that transactions are recorded as necessary to permit preparation of consolidated financial statements in accordance with K-IFRS, and that receipts and expenditures of the group are being made only in accordance with authorizations of management and directors of the group; and (3) provide reasonable assurance regarding prevention or timely detection of unauthorized acquisition, use, or disposition of the group’s assets that could have a material effect on the consolidated financial statements. Because of its inherent limitations, internal control over financial reporting for consolidation purposes may not prevent or detect material misstatements in the financial statements. Also, projections of any evaluation of effectiveness to future periods are subject to the risk that evaluation of and projections to the future periods may change as internal control over financial reporting becomes inadequate because of changes in conditions, or that the degree of compliance with the policies or procedures may deteriorate. The engagement partner on the audit resulting in this independent auditor’s report is Ho Gye, Choi. -140-


 
March 13, 2026 Notice to Readers This report is effective as of March 13, 2026, the auditor’s report date. Certain subsequent events or circumstances may have occurred between the auditor’s report date and the time the auditor’s report is read. Such events or circumstances could significantly affect the Group’s internal control over financial reporting for consolidation purposes and may result in modifications to the auditor’s report. -141-


 
-142-


 
-143-


 
-144-


 
-145-


 
-146-


 
-147-