| |
| S-K 1300 Technical Report Summary Cripple Creek and Victor Mine, Teller County, Colorado, USA SSR Mining Inc. 6900 E. Layton Avenue, Suite 1300, Denver, CO 80237
Prepared by: SLR International Corporation 1658 Cole Blvd, Suite 100, Lakewood, Colorado, 80401
SLR Project No.: 123.020622.00001
Signature Date: November 10, 2025 | |
|
| |
| Making Sustainability Happen |
| SSR Mining Inc. | Cripple Creek and Victor Mine S-K 1300 Technical Report Summary | November 10, 2025 SLR Project No.: 123.020622.00001 |
Cautionary Note Regarding Forward-Looking Statements:
Certain statements contained in this technical report are "forward-looking statements" within the meaning of Section 27A of the Securities Act of 1933, as amended (the “Securities Act”), and Section 21E of the Securities Exchange Act of 1934, as amended (the “Exchange Act”), and are intended to be covered by the safe harbor provided for under these sections. Forward looking statements can be identified with words such as “may,” “will,” “could,” “should,” “expect,” “plan,” “anticipate,” “believe,” “intend,” “estimate,” “projects,” “predict,” “potential,” “continue” and similar expressions, as well as statements written in the future tense. Forward-looking statements are based on information known at such time and/or with a good faith belief with respect to future events. Such statements are subject to risks and uncertainties that could cause actual performance, outcomes or results to differ materially from those expressed in the forward-looking statements. Many of these risks and uncertainties cannot be controlled or predicted. Given these risks and uncertainties, readers are cautioned not to place undue reliance on forward-looking statements. Forward-looking statements include, among things: metal price assumptions, cash flow forecasts, projected capital and operating costs, metal recoveries, mine life and production rates, changes in legal and regulatory considerations, including environmental and sustainability related rules and regulations, and other assumptions used in this report.
Such forward-looking information and statements are based on a number of material factors and assumptions, including, but not limited to: the inherent speculative nature of exploration results; the ability to explore; communications with local stakeholders; maintaining community and governmental relations; weather conditions at our operations; commodity prices; the ultimate determination of and realization of Mineral Reserves; existence or realization of Mineral Resources; the development approach; availability and receipt of required approvals, titles, licenses and permits; sufficient working capital to develop and operate the mines and implement development plans; access to adequate services and supplies; foreign currency exchange rates; interest rates; access to capital markets and associated cost of funds; availability of a qualified work force; ability to negotiate, finalize, and execute relevant agreements; lack of social opposition to our mines or facilities; lack of legal challenges with respect to our properties; the timing and amount of future production; the ability to meet production, cost, and capital expenditure targets; timing and ability to produce studies and analyses; capital and operating expenditures; economic conditions; availability of sufficient financing; the ultimate ability to mine, process, and sell mineral products on economically favorable terms; and any and all other timing, exploration, development, operational, financial, budgetary, economic, legal, social, geopolitical, regulatory and political factors that may influence future events or conditions. While we consider these factors and assumptions to be reasonable based on information currently available to us, they may prove to be incorrect.
The above list is not exhaustive list of the factors that may affect any of the forward-looking statements and information included in this report, and such statements and information will not be updated to reflect events or circumstances arising after the date of such statements or to reflect the occurrence of anticipated or unanticipated events.
This technical report summary also contains financial measures which are not recognized under U.S. generally accepted accounting principles.
| i | ![]() |
| SSR Mining Inc. | Cripple Creek and Victor Mine S-K 1300 Technical Report Summary | November 10, 2025 SLR Project No.: 123.020622.00001 |
Table of Contents
| Table of Contents | ii |
| 1.0 Executive Summary | 1-1 |
| 1.1 Summary | 1-1 |
| 1.2 Economic Analysis | 1-10 |
| 1.3 Technical Summary | 1-18 |
| 2.0 Introduction | 2-1 |
| 2.1 Site Visits | 2-1 |
| 2.2 Sources of Information | 2-1 |
| 2.3 List of Units of Measure | 2-3 |
| 2.4 List of Acronyms | 2-4 |
| 3.0 Property Description | 3-1 |
| 3.1 Location | 3-1 |
| 3.2 Land Tenure | 3-4 |
| 3.3 Encumbrances | 3-8 |
| 3.4 Royalties | 3-8 |
| 3.5 Required Permits and Status | 3-9 |
| 3.6 Other Significant Factors and Risks | 3-9 |
| 4.0 Accessibility, Climate, Local Resources, Infrastructure and Physiography | 4-1 |
| 4.1 Accessibility | 4-1 |
| 4.2 Climate | 4-1 |
| 4.3 Local Resources | 4-1 |
| 4.4 Infrastructure | 4-2 |
| 4.5 Physiography | 4-3 |
| 5.0 History | 5-1 |
| 5.1 Prior Ownership | 5-1 |
| 5.2 Exploration and Development History | 5-2 |
| 5.3 Past Production | 5-9 |
| 6.0 Geological Setting, Mineralization, and Deposit | 6-1 |
| 6.1 Regional Geology | 6-1 |
| 6.2 District (Local) Geology | 6-3 |
| 6.3 Tertiary Lithologies | 6-3 |
| 6.4 Alteration | 6-9 |
| 6.5 Structure | 6-9 |
| ii | ![]() |
| SSR Mining Inc. | Cripple Creek and Victor Mine S-K 1300 Technical Report Summary | November 10, 2025 SLR Project No.: 123.020622.00001 |
| 6.6 Mineralization | 6-10 |
| 6.7 Deposit Types | 6-10 |
| 7.0 Exploration | 7-1 |
| 7.1 Drilling | 7-1 |
| 7.2 Hydrogeology Data | 7-3 |
| 7.3 Geotechnical Data | 7-4 |
| 8.0 Sample Preparation, Analyses, and Security | 8-1 |
| 8.1 Sampling | 8-1 |
| 8.2 Sample Preparation and Analysis | 8-1 |
| 8.3 Security | 8-6 |
| 8.4 Quality Assurance and Quality Control | 8-6 |
| 8.5 Conclusions and Recommendations | 8-23 |
| 9.0 Data Verification | 9-1 |
| 9.1 Site Visit | 9-1 |
| 9.2 Database Validation | 9-1 |
| 9.3 QP Opinion | 9-2 |
| 10.0 Mineral Processing and Metallurgical Testing | 10-1 |
| 10.1 Metallurgical Testwork | 10-1 |
| 10.2 Leach Recovery Modeling | 10-12 |
| 10.3 Mill Recovery Modeling | 10-21 |
| 10.4 QP Opinion | 10-23 |
| 11.0 Mineral Resource Estimates | 11-1 |
| 11.1 Summary | 11-1 |
| 11.2 Resource Database | 11-3 |
| 11.3 Geological and Mineralization Interpretation | 11-5 |
| 11.4 Exploratory Data Analysis | 11-20 |
| 11.5 Spatial Analysis | 11-31 |
| 11.6 Bulk Density | 11-35 |
| 11.7 Block Model | 11-38 |
| 11.8 Search Strategy and Grade Interpolation Parameters | 11-38 |
| 11.9 Cut-off Grade and Whittle Parameters | 11-41 |
| 11.10 Classification | 11-41 |
| 11.11 Block Model Validation | 11-44 |
| 11.12 Mineral Resource Reporting | 11-50 |
| iii | ![]() |
| SSR Mining Inc. | Cripple Creek and Victor Mine S-K 1300 Technical Report Summary | November 10, 2025 SLR Project No.: 123.020622.00001 |
| 11.13 Sources of Uncertainty Affecting the Mineral Resource | 11-52 |
| 12.0 Mineral Reserve Estimates | 12-1 |
| 12.1 Summary | 12-1 |
| 12.2 Dilution and Extraction | 12-3 |
| 12.3 Material Classification | 12-3 |
| 12.4 Cut-Off Grade | 12-3 |
| 12.5 Comparison with Previous Estimate | 12-5 |
| 12.6 QP Opinion | 12-5 |
| 13.0 Mining Methods | 13-1 |
| 13.1 Geotechnical Studies | 13-1 |
| 13.2 Geomechanics | 13-2 |
| 13.3 Mine Design | 13-16 |
| 13.4 Mining Method | 13-21 |
| 13.5 Life of Mine Plan | 13-22 |
| 13.6 Mine Infrastructure | 13-28 |
| 13.7 Mine Equipment | 13-28 |
| 13.8 Mine Safety | 13-30 |
| 14.0 Processing and Recovery Methods | 14-1 |
| 14.1 Summary | 14-1 |
| 14.2 Valley Leach Facilities | 14-4 |
| 14.3 Leaching | 14-16 |
| 14.4 Milling | 14-21 |
| 15.0 Infrastructure | 15-1 |
| 15.1 Access Roads | 15-1 |
| 15.2 Buildings and Facilities | 15-1 |
| 15.3 Power | 15-3 |
| 15.4 VLF Discussion | 15-3 |
| 15.5 Water Management | 15-6 |
| 15.6 Accommodation Camp | 15-7 |
| 16.0 Market Studies | 16-1 |
| 16.1 Marketing and Metal Prices | 16-1 |
| 16.2 Contracts | 16-1 |
| 17.0 Environmental Studies, Permitting, and Plans, Negotiations, or Agreements with Local Individuals or Groups | 17-1 |
| 17.1 Environmental Baselines | 17-1 |
| iv | ![]() |
| SSR Mining Inc. | Cripple Creek and Victor Mine S-K 1300 Technical Report Summary | November 10, 2025 SLR Project No.: 123.020622.00001 |
| 17.2 Permitting | 17-3 |
| 17.3 Social or Community Requirements | 17-5 |
| 17.4 Mine Closure and Reclamation | 17-6 |
| 17.5 QP Opinion | 17-7 |
| 18.0 Capital and Operating Costs | 18-1 |
| 18.1 Capital Costs | 18-1 |
| 18.2 Operating Costs | 18-1 |
| 18.3 Workforce | 18-2 |
| 19.0 Economic Analysis | 19-1 |
| 19.1 Economic Criteria | 19-1 |
| 19.2 Cash Flow Analysis | 19-3 |
| 19.3 Sensitivity Analysis | 19-8 |
| 20.0 Adjacent Properties | 20-1 |
| 21.0 Other Relevant Data and Information | 21-1 |
| 22.0 Interpretation and Conclusions | 22-1 |
| 22.1 Geology and Mineral Resources | 22-1 |
| 22.2 Mining and Mineral Reserves | 22-2 |
| 22.3 Mineral Processing | 22-2 |
| 22.4 Infrastructure | 22-4 |
| 22.5 Environment | 22-5 |
| 22.6 Capital and Operating Costs | 22-5 |
| 23.0 Recommendations | 23-1 |
| 23.1 Geology and Mineral Resources | 23-1 |
| 23.2 Mining and Mineral Reserves | 23-1 |
| 23.3 Mineral Processing | 23-2 |
| 23.4 Infrastructure | 23-2 |
| 23.5 Environment | 23-3 |
| 23.6 Capital and Operating Costs | 23-3 |
| 24.0 References | 24-1 |
| 25.0 Reliance on Information Provided by the Registrant | 25-1 |
| 26.0 Date and Signature Page | 26-1 |
| 27.0 Appendix 1: Reception Numbers | 27-1 |
| 28.0 Appendix 2: Cash Flow Analysis | 28-1 |
| v | ![]() |
| SSR Mining Inc. | Cripple Creek and Victor Mine S-K 1300 Technical Report Summary | November 10, 2025 SLR Project No.: 123.020622.00001 |
Tables
| Table 1-1: CC&V Production Physicals Summary | 1-10 |
| Table 1-2: CC&V Federal and State Tax Summary | 1-11 |
| Table 1-3: Key Life of Mine Metrics | 1-16 |
| Table 1-4: All-in Sustaining Costs Composition | 1-17 |
| Table 1-5: Life of Mine (LOM) Capital Cost Estimate | 1-23 |
| Table 1-6: LOM Average Unit Operating Costs | 1-23 |
| Table 5-1: Summary History of CC&V Operation and Mining History of the Gold District to Year 2025 | 5-1 |
| Table 5-2: Summary of Geophysical and Surface Geochemistry Surveys completed by Previous Owners | 5-4 |
| Table 5-3: CC&V Drill Hole Database | 5-6 |
| Table 7-1: Summary of Geotechnical Properties | 7-5 |
| Table 8-1: Summary of CC&V Analytical Methods and Results | 8-3 |
| Table 8-2: CC&V QA/QC Sample Insertion by Year | 8-7 |
| Table 8-3: Summary of CRM Samples Used in the AUFA QA/QC Programs (2019–2024) | 8-8 |
| Table 8-4: Summary of CRM Samples Used in the AUSL QA/QC Programs (2023–2024) | 8-11 |
| Table 8-5: Summary of Duplicate Sample Performance | 8-19 |
| Table 8-6: Gold Pulp Check Assay Performance Metrics by Year | 8-23 |
| Table 10-1: Pikes Peak Mining Company Composite Sample Assays | 10-2 |
| Table 10-2: Pikes Peak Mining Company Composite Sample Column Leach Results | 10-3 |
| Table 10-3: METCON (2000) Breccia Composite Column Leach Results | 10-4 |
| Table 10-4: METCON (2000) Phonolite Composite Column Leach Results | 10-4 |
| Table 10-5: AngloGold Ashanti 2005 Composite Sample Assays | 10-6 |
| Table 10-6: AngloGold Ashanti 2005 Composite Column Test Results | 10-6 |
| Table 10-7: Ore Distribution by Layback | 10-8 |
| Table 10-8: Leach Test Recoveries by Rock Type and Extrapolation from 2 inch to 48 in Material Size Distributions | 10-11 |
| Table 10-9: Control Point Oxide and Sulfide AUSL and 6:1 Solution-Leached Gold Grades | 10-15 |
| Table 10-10: Current Oxide and Sulfide Recoverable Grade Estimation Coefficients | 10-17 |
| Table 10-11: Amplitude and Recovery Rate Constants by Metallurgical Domains obtained from Columns Leaching Tests | 10-18 |
| vi | ![]() |
| SSR Mining Inc. | Cripple Creek and Victor Mine S-K 1300 Technical Report Summary | November 10, 2025 SLR Project No.: 123.020622.00001 |
| Table 10-12: Mill Recovery Coefficients by Material Type | 10-22 |
| Table 11-1: Summary of Mineral Resources Exclusive of Mineral Reserves– July 1, 2025 | 11-2 |
| Table 11-2: CC&V Mineral Resource Drill Hole Database | 11-3 |
| Table 11-3: List of Geologic Units and Assigned Geology Group | 11-6 |
| Table 11-4: 23 Non-Vein Domains and Subdomains | 11-8 |
| Table 11-5: Variables of Interest Summary Statistics | 11-22 |
| Table 11-6: Variables of Interest Domain Summary Statistics | 11-26 |
| Table 11-7: Global Capping Summary of Variables of Interest for Non-Vein and Vein Domains | 11-29 |
| Table 11-8: Global Comparison of Capped versus Uncapped Composite Values by Variable of Interest | 11-30 |
| Table 11-9: Tonnage Factor by Rock Type | 11-37 |
| Table 11-10: 35-Foot Block Model Definition Setup | 11-38 |
| Table 11-11: Modelling Software | 11-39 |
| Table 11-12: Drill Spacing and Average Spacing Used for Resource Classification | 11-42 |
| Table 11-13: Relative Mean Difference (%) between Variable Estimate and NN Estimate | 11-46 |
| Table 11-14: Summary of Mineral Resources Exclusive of Mineral Reserves – July 1, 2025 | 11-51 |
| Table 12-1: Summary of Mineral Reserves – July 1, 2025 | 12-1 |
| Table 12-2: 2025 Pit Optimization Parameters | 12-3 |
| Table 12-3: Slope Design Parameters for Pit Optimization | 12-4 |
| Table 13-1: Pit Slope Design Criteria | 13-3 |
| Table 13-2: Summary of Pit Slope Review | 13-11 |
| Table 13-3 Mine Design Parameters | 13-16 |
| Table 13-4: Designed Mining Areas Summary | 13-18 |
| Table 13-5: LOM Production Schedule – 2025 to 2036 | 13-25 |
| Table 13-6: LOM Process Schedule – 2025 to 2051 | 13-26 |
| Table 13-7: Primary Mobile Mine Equipment Summary - September 2024 | 13-29 |
| Table 13-8: Open Pit Major Equipment Requirements | 13-29 |
| Table 14-1: Valley Leach Facility (VLF) 1 and 2 Construction and Capacity History | 14-3 |
| Table 14-2: ADR 1 CIC Column Dimensions and March 2025 Measurements | 14-6 |
| Table 14-3: ADR 2 CIC Column Dimensions and March 2025 Measurements | 14-9 |
| Table 14-4: Injection Pressure Determination at Each Zone | 14-17 |
| Table 16-1: Economic Analysis Metal Price Assumptions | 16-1 |
| Table 18-1: LOM Capital Cost Estimate | 18-1 |
| vii | ![]() |
| SSR Mining Inc. | Cripple Creek and Victor Mine S-K 1300 Technical Report Summary | November 10, 2025 SLR Project No.: 123.020622.00001 |
| Table 18-2: LOM Average Unit Operating Costs | 18-2 |
| Table 18-3: CC&V Workforce | 18-2 |
| Table 19-1: CC&V Production Physicals Summary | 19-2 |
| Table 19-2: CC&V Federal and State Tax Summary | 19-2 |
| Table 19-3: Total Life of Mine Metrics | 19-7 |
| Table 19-4: All-in Sustaining Costs Composition | 19-8 |
| Table 19-5: After-Tax Sensitivity Analyses | 19-9 |
Figures
| Figure 1-1: Mine Production Profile by Material Movement | 1-13 |
| Figure 1-2: Mine Production Profile by Area | 1-13 |
| Figure 1-3: Process Production Profile and Head Grade | 1-14 |
| Figure 1-4: Annual Processing Gold Production and Head Grade Profile | 1-14 |
| Figure 1-5: Project After-Tax Metrics Summary | 1-15 |
| Figure 3-1: Location Map | 3-2 |
| Figure 3-2: CC&V Mine Boundaries | 3-3 |
| Figure 3-3: CC&V Owned and Leased Parcels | 3-5 |
| Figure 3-4: Parcels Within the Permit Boundary Not Owned by SSR, CC&V, or Subsidiaries | 3-6 |
| Figure 3-5: Land Ownership Map | 3-7 |
| Figure 5-1: CC&V Drill Hole Location Map | 5-8 |
| Figure 6-1: Regional Geology | 6-2 |
| Figure 6-2: Local Geology Map | 6-5 |
| Figure 6-3: Stratigraphic Column | 6-6 |
| Figure 6-4: Cross Section of Local Geology Globe Hill (Northwest to Southeast) | 6-7 |
| Figure 6-5: Cross Section of Local Geology Cresson to Altman (East to West) | 6-8 |
| Figure 7-1: SSR 2025 Drilling Location Map | 7-2 |
| Figure 8-1: AUFA CRM Z-Score Performance by Laboratory | 8-12 |
| Figure 8-2: AUSL CRM Z-Score Performance by Laboratory | 8-14 |
| Figure 8-3: Control Chart of CRM H82 in ALS: 2019–2021 | 8-15 |
| Figure 8-4: Control Chart of CRM SF100 in CC&V: 2021– 2024 | 8-15 |
| Figure 8-5: Control Chart of CRM SE125 in SGS: 2024 | 8-16 |
| viii | ![]() |
| SSR Mining Inc. | Cripple Creek and Victor Mine S-K 1300 Technical Report Summary | November 10, 2025 SLR Project No.: 123.020622.00001 |
| Figure 8-6: Blank Sample Performance at ALS Laboratory (2019–2023) | 8-17 |
| Figure 8-7: Blank Sample Performance at CC&V Laboratory (2020–2024) | 8-18 |
| Figure 8-8: Field Duplicate Performance – AUFA Method (CC&V: 2019 – 2023) | 8-20 |
| Figure 8-9 Coarse Duplicate Performance – AUFA Method (ALS: 2019 – 2023) | 8-20 |
| Figure 8-10: Pulp Duplicate Performance – AUFA Method (SGS: 2024) | 8-21 |
| Figure 8-11: Field Duplicate Performance – AUSL Method (CC&V: 2023–2024) | 8-21 |
| Figure 8-12: Coarse Duplicate Performance – AUSL Method (CC&V: 2023–2024) | 8-22 |
| Figure 8-13: Pulp Duplicate Performance – AUSL Method (ALS: 2023–2024) | 8-22 |
| Figure 8-14: Scatter Plots for Gold Pulp External Checks – ALS vs AAL | 8-23 |
| Figure 10-1: Pikes Peak Mining Company Column Tests Kinetic Results for Cyanide Soluble Gold Recovery | 10-3 |
| Figure 10-2: Head and Tail Grade Correlation | 10-8 |
| Figure 10-3: Normal Distribution of the Difference between Predicted and Actual Tail Grades | 10-9 |
| Figure 10-4: Bottle Roll and Column Tail Grade Relationship | 10-10 |
| Figure 10-5: General Locations of the Metallurgical Domains | 10-13 |
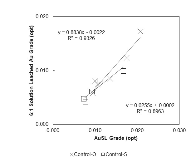
| Figure 10-6: Control Type AUSL vs 6:1 Solution Leached Grades (opt) | 10-15 |
| Figure 10-7: Control Point MET1 Interpolations | 10-16 |
| Figure 10-8: Control Point MET2 Interpolations | 10-16 |
| Figure 10-9: Model Extraction Curves against Fire Assay Gold Content (AuFA) | 10-19 |
| Figure 10-10: Model Extraction Curves for ROM Ore Recoverable Gold Content | 10-20 |
| Figure 10-11: Model Extraction Curves for ROM Ore Recoverable Gold Content | 10-21 |
| Figure 11-1: Mineral Resource Drill Hole Location Map | 11-4 |
| Figure 11-2: Non-Vein Domains | 11-10 |
| Figure 11-3: Lithologies Assigned to "Massive Units” | 11-12 |
| Figure 11-4: Lithologies Assigned to "Vertical Units” | 11-13 |
| Figure 11-5: Lithologies Assigned to "Thin Units” | 11-14 |
| Figure 11-6: Contact Plots for Massive Units | 11-15 |
| Figure 11-7: Contact Plots for Vertical Units | 11-16 |
| Figure 11-8: Vein Domains | 11-17 |
| Figure 11-9: Contact Analysis Plots of Vein Surfaces and Surrounding Area by Variable. Distance Selected was 15 ft | 11-18 |
| Figure 11-10: Histograms of Variables of Interest | 11-23 |
| Figure 11-11: Global Calculated Omni- and Vertical Variograms for AUFA | 11-32 |
| Figure 11-12: Vertical and Omni-Directional Domain Variograms for AUFA | 11-33 |
| ix | ![]() |
| SSR Mining Inc. | Cripple Creek and Victor Mine S-K 1300 Technical Report Summary | November 10, 2025 SLR Project No.: 123.020622.00001 |
| Figure 11-13: Vertical Variograms plot by Sub-domain for AUFA (grouped by domain for ease of viewing. | 11-34 |
| Figure 11-14: Plan View of Classification across CC&V at the 9,865 FASL Elevation | 11-43 |
| Figure 11-15: Global Swath Plot for AUFA | 11-45 |
| Figure 11-16: Cross Section 38200E (Looking East) | 11-48 |
| Figure 11-17: Cross Section 41100E (Looking East) | 11-49 |
| Figure 12-1: Location of Mineral Reserve Pits | 12-2 |
| Figure 13-1: Pit Configuration and Geotechnical Sectors Map | 13-4 |
| Figure 13-2: Globe Hill Predicted Lithology | 13-6 |
| Figure 13-3: Altman Pit Design Predicted Lithology. | 13-8 |
| Figure 13-4: Ultimate Surface Topography Map | 13-17 |
| Figure 13-5: Longitudinal Section – Ultimate Surface with Block Model Au Grades | 13-19 |
| Figure 13-6: CC&V Cross Section – Ultimate Surface with Block Model Au Grades | 13-20 |
| Figure 13-7: Life of Mine Production Schedule | 13-23 |
| Figure 14-1: Valley Leach Facility 1 and 2 Locations | 14-2 |
| Figure 14-2: Valley Leach Facility I Simplified Flow Diagram | 14-5 |
| Figure 14-3: VLF 1 Recoverable Stacked Ounces and Ounces Poured Between Years 1994 and February 2025 | 14-7 |
| Figure 14-4: VLF 1 PLS Feed Tons and Grades between February 2024 and February 2025 | 14-8 |
| Figure 14-5: Valley Leach Facility 2 Simplified Flow Diagram | 14-9 |
| Figure 14-6: VLF 2 Recoverable Ounces Stacked and Recovered Ounces Poured Between Years 2015 and 2025 | 14-10 |
| Figure 14-7: VLF 2 Stacked Tons and Recoverable Gold Grade Between February 2024 and February 2025 | 14-11 |
| Figure 14-8: VLF 2 PLS Feed Solution Tons and Gold Grades Between February 2024 and February 2025 | 14-12 |
| Figure 14-9: VLF 1 and VLF 2 Number of Strips and Average Ounces per Strip between March 1, 2024 and February 2025 | 14-13 |
| Figure 14-10: VLF 1 Phase 6 and VLF 2 Phase 4 Expansions | 14-14 |
| Figure 14-11: VLF 1 and VLF 2 Expansions | 14-15 |
| Figure 14-12: Schematic Diagram Showing Typical Injection Well Configuration | 14-18 |
| Figure 14-13: VLF 1 Injection Well Locations | 14-20 |
| Figure 15-1: Site Layout | 15-2 |
| Figure 19-1: Mine Production Profile by Material Movement | 19-4 |
| Figure 19-2: Mine Production Profile by Area | 19-4 |
| x | ![]() |
| SSR Mining Inc. | Cripple Creek and Victor Mine S-K 1300 Technical Report Summary | November 10, 2025 SLR Project No.: 123.020622.00001 |
| Figure 19-3: Process Production Profile and Head Grade | 19-5 |
| Figure 19-4: Annual Processing Gold Production and Head Grade Profile | 19-5 |
| Figure 19-5: Project After-Tax Metrics Summary | 19-6 |
| Figure 19-6: After-Tax Sensitivity Analysis | 19-10 |
| Figure 19-7: After-Tax Discount Rate Sensitivity Analysis | 19-11 |
Appendix Tables
| Table 27-1: List of Reception Numbers for Instruments showing Land Tenure | 27-1 |
| Table 27-2: List of Reception Numbers for Leased Interests | 27-9 |
| xi | ![]() |
| SSR Mining Inc. | Cripple Creek and Victor Mine S-K 1300 Technical Report Summary | November 10, 2025 SLR Project No.: 123.020622.00001 |
| 1.0 | Executive Summary |
| 1.1 | Summary |
SLR International Corporation (SLR) was retained by SSR Mining Inc. (SSR) to prepare an independent Technical Report Summary (TRS) on the Cripple Creek and Victor Mine (CC&V, the Mine, or the Property), located in Teller County, Colorado, USA. SSR holds a 100% interest in the Property.
The purpose of this TRS is to support the disclosure of Mineral Resource and Mineral Reserve estimates for the Property with an effective date of July 1, 2025. This TRS conforms to United States Securities and Exchange Commission’s (SEC) Modernized Property Disclosure Requirements for Mining Registrants as described in Subpart 229.1300 of Regulation S-K, Disclosure by Registrants Engaged in Mining Operations (S-K 1300) and Item 601(b)(96) Technical Report Summary. SLR visited the property on June 10, 2025.
SSR is a gold mining company with five producing assets located in the USA, Türkiye, Canada, and Argentina, and with development and exploration assets in the USA, Türkiye, and Canada. SSR is listed on the Nasdaq Stock Market (Nasdaq: SSRM) and the Toronto Stock Exchange (TSX: SSRM).
CC&V is located near the towns of Cripple Creek and Victor in Teller County, Colorado, approximately 100 miles southwest of Denver. It is situated along the flanks of the Cripple Creek volcanic complex at an elevation exceeding 9,500 feet above sea level (FASL).
The deposit is an epithermal, alkaline intrusion-related gold system hosted in Oligocene-age diatreme composed of volcanic and volcaniclastic rocks, primarily quartz latite. Gold mineralization occurs as native gold and gold-silver tellurides within breccias, stockworks, and hydrothermal veins, typically associated with pyrite, quartz, and fluorite.
Gold was discovered in the district in the early 1890s, leading to a rapid boom. Underground mining operations dominated through the early 20th century, producing over 23 million ounces (Moz) of gold. By 1962, most underground mining had ceased. To date, approximately 27 Moz of gold have been produced from the CC&V area. Modern surface mining began in 1994 under the Cripple Creek & Victor Gold Mining Company, with several ownership changes leading to SSR’s acquisition of the Property in 2025.
The Mine includes estimated Mineral Resources and Mineral Reserves for the Cresson, Globe Hill, Elkton, Schist Island, and South Cresson deposits, as well as for material in process in the leach pads. Current mining operations use conventional open pit mining methods including drilling, blasting, loading, hauling, processing, and refining. Surface mining operations are currently in three primary open pit areas: Globe Hill, Schist Island, and South Cresson. Current operations are conducted as open-pit mining using large-scale equipment such as 240 short ton (st) haul trucks. Underground mining is no longer active. The operation mines low-grade ore, typically less than one gram per tonne (g/t), from pits that reach depths of over 600 ft.
The Mine places either run of mine (ROM) or crushed material on a valley leach facility (VLF). Ore is stacked on engineered pads with leak-detection systems. Pregnant solution is collected and processed through adsorption-desorption recovery (ADR) systems. CC&V operates under a zero-discharge permit with engineered containment and groundwater monitoring systems. Reclamation plans are active, and the site is subject to federal and state environmental oversight. The operation maintains regular updates to its environmental impact assessments.
| 1-1 | ![]() |
| SSR Mining Inc. | Cripple Creek and Victor Mine S-K 1300 Technical Report Summary | November 10, 2025 SLR Project No.: 123.020622.00001 |
Infrastructure includes primary and secondary crushers, overland conveyors, valley leach facilities (VLF 1 and VLF 2), process ponds, and a water management system. The site is accessible via paved roads and has full utility support. Historical infrastructure includes the Carlton Tunnel and legacy rail systems.
Annual production has ranged between 140,000 and 400,000 ounces of gold in recent years. As of July 1, 2025, the Proven and Probable Mineral Reserves, excluding process inventory, are estimated to be 235 million tonnes (Mt) containing 2.8 Moz of gold. As of July 1, 2025, the Measured and Indicated Mineral Resources are estimated to be 345 Mt containing 4.8 Moz and Inferred Mineral Resources of 150 Mt containing 2.0 Moz. The operation has historically employed 300 to 600 workers and is considered one of the United States’s most productive gold producers.
| 1.1.1 | Conclusions |
| 1.1.1.1 | Geology and Mineral Resources |
| · | The 2024 geological model integrates comprehensive datasets of 14,042 drill holes totaling 8,447,834 ft (2.6 Mm) collected between 1977 to 2024, updated lithologic interpretations, digitized historical data, geophysics, and blast hole data, resulting in improved domain geometry and estimation reliability. |
| · | Estimation was conducted using multi-pass ordinary kriging in Resource Modeling Solutions’s software across 63 subdomains derived from the historical 23 domains, capturing grade continuity along geologic contacts and structures. |
| · | Six variables (fire assay gold [AUFA], shake leach gold [AUSL], total carbon [CTOT], total sulfur [STOT], Oxidation, and iron [Fe]) were estimated; sulfide was regressed from total sulfur. Shake Leach Extractable (SLEXT) gold was derived and capped at 95% of AUFA. |
| · | A total of 299 discrete vein domains were defined to capture structurally hosted, higher-grade mineralization that occurs in quartz-sulfide vein networks. These were modeled as surfaces based on logged vein intercepts and field mapping and subsequently expanded into three-dimensional domains using a 15-ft buffer around modeled vein surfaces |
| · | The global capping strategy ensured control of high-grade influence. |
| · | QA/QC the sample preparation, analysis, and security procedures at CC&V met industry standards and are adequate for use in the estimation of Mineral Resources. |
| · | Density assignments continue to rely on oxidation state and lithology per procedures implemented post-2016. These remain suitable for resource estimation. |
| · | The resource classification criteria are aligned with S-K 1300 definitions and were based on estimation confidence, kriging variance, and drill density. |
| · | Block model validation using swath plots, nearest neighbor comparisons, and visual inspection indicated no major estimation bias. Some edge effects were noted in areas with limited drilling near high-grade intercepts. |
| · | The estimate of Mineral Resources was prepared for CC&V, with an effective date of July 1, 2025. |
| · | The Mineral Resources Estimates (MRE) at the Property include Measured and Indicated Resources of 345 Mt at an average grade of 0.44 g/t containing 4.8 Moz and Inferred Mineral Resources of 150 Mt at an average grade of 0.41 g/t containing 2.0 Moz |
| 1-2 | ![]() |
| SSR Mining Inc. | Cripple Creek and Victor Mine S-K 1300 Technical Report Summary | November 10, 2025 SLR Project No.: 123.020622.00001 |
| · | The level of uncertainty has been adequately reflected in the classification of Mineral Resources for the Property. The Mineral Resource estimate may be materially impacted by any future changes in the break-even cut-off grade, which may result from changes in mining method selection, mining costs, processing recoveries and costs, metal price fluctuations, or significant changes in geological knowledge. |
| · | The SLR Qualified Person (QP, as such term is defined in S-K 1300) is of the opinion that with consideration of the recommendations summarized in Sections 1 and 23 of this TRS, any issues relating to all relevant technical and economic factors likely to influence the prospect of economic extraction can be resolved with further work. |
| 1.1.1.2 | Mining and Mineral Reserves |
| · | In situ and stockpiled Mineral Reserves are reported to be 235 Mt grading 0.37 g/t for a total of 2.8 Moz of contained gold. There are additional 0.334 Moz of recoverable gold in process inventory that are not included in the estimate of Mineral Reserves. |
| · | The Stockpile (Dump 1) area has been converted to Mineral Reserves. Since the purchase of the property, SSR has completed 70 reverse circulation and Sonic drill holes to test and confirm the presence of economic mineralization. This area has now been re-classified as an Indicated Mineral Resource, and subsequently converted to Mineral Reserve. |
| · | Updated Lerch-Grossmann (LG) pit shells were developed as the basis of the updated mine plan. The LG pit optimization was completed using a gold price of $1,700/oz, operational constraints such as the VLF capacity limits, and a durable to non-durable ore ratio related to VLF stability and permeability. |
| · | The slope designs for the pits are based on detailed geotechnical models and sector-specific stability analyses using both empirical data and slope reconciliation from past pit phases. Most pit areas meet industry "Good Practice" standards. |
| · | Mining through historical voids (notably at South Cresson and West Cresson) is ongoing, and is effectively managed using probe drilling, 3D void mapping, and conservative slope design. |
| · | Much of the mobile mining fleet is mid-life, with haul trucks averaging over 88,000 hours. SSR’s intended plan to begin replacing certain equipment in 2027 is crucial to maintain performance through 2037. |
| · | The life of mine (LOM) plan maintains an annual mining rate averaging 35 million tonnes per annum (Mtpa) of total material mined and 20 Mtpa of ore placement from 2025 to 2035, demonstrating operational stability and alignment with the VLF capacity. |
| 1.1.1.3 | Mineral Processing |
| · | Metallurgical testing was performed to determine the metal recoveries on the CC&V mine laybacks, including the Globe Hill 3, 4, 5, 6 and 7, South Cresson 2 and 7, West Cresson, and Wild Horse Extension (WHEX) Nose at Run of Mine (ROM) size. The ROM leach test results are reported in the Newmont, CC&V – Business Laybacks, Metallurgical Report, Run of Mine Ore (ROM), March 10, 2022. |
| o |
| 1-3 | ![]() |
| SSR Mining Inc. | Cripple Creek and Victor Mine S-K 1300 Technical Report Summary | November 10, 2025 SLR Project No.: 123.020622.00001 |
| o | One inch (1”) column test recoveries ranged from 31.9% to 86.8% with a weighted average of 67.2%. Two-inch (2”) column test recoveries ranged from 9.5% to 88.4% with a weighted average of 57.6%. |
| o | Extrapolated ROM recovery ranged from 3.9% to 84.3% with a weighted average of 52.1%. |
| o | Modeled ROM recovery includes a MET3 factor that increases the AUFA grade by 2% due to ore being placed on the pad being under leach for longer than two years. |
| o | Recovery versus size curves for individual ore types demonstrate that all the ore types tested are sensitive to crush size and the difference between 1” crush size and 48” (4 ft) material will be in excess of the 5% variance allowed in the recovery model. In many cases the variance may be greater than 20%. SLR supports the CC&V metallurgical testing being performed on the various ore types in the mine plan and the adjustment of the recovery model as and when appropriate. |
| · | Metallurgical testing at the Cripple Creek mine is routinely performed to support the operating leach facilities and to determine the metallurgical characteristics of new ore deposits included in the mine plan. Metallurgical samples are collected directly from active mining areas and samples are also collected from metallurgical drilling campaigns to conduct at least two column leach tests per month for each deposit. In addition to column tests, bottle roll tests were conducted, along with analyses for total sulfur, sulfide sulfur, and external elemental assays via Inductively Coupled Plasma (ICP) techniques. |
| · | Compacted permeability testing simulating depths of burial from 100 m to 300 m was recently initiated as a standard test on the column leach test tailings. The Cripple Creek ores have typically been very hard and permeable; however, the weathered material being mined from the Globe Hill Pipe is soft (non-durable) and requires blending with harder (durable) material to prevent stability and permeability issues. A minimum 1:1 blend of durable to nondurable material is currently used to meet these requirements. |
| · | Results from ongoing test programs, combined with relevant historical data, are interpreted to inform and update key process models used to support operations. Specifically, leach recovery models are updated continuously to incorporate the latest column and bottle roll test results. Column leach tests are performed at 25 mm and 50 mm for each of the samples to determine the effect of particle size on gold recovery. These data are used to project crushed and ROM leach recoveries. |
| · | SLR reviewed the current test program and facilities during the site visit and found them to be appropriate to support the operation. |
| · | VLF 1 currently contains approximately 334 Mt of ore, stacked between 1995 and 2015, with an estimated 9.307 Moz of contained gold stacked, 5.782 Moz of recoverable gold stacked, and 5.383 Moz of gold poured, therefore the leach recovery of 57.8% (5.383 Moz/9.307 Moz) of the contained gold stacked. |
| · | As of February 28, 2025, VLF 2 contains approximately 193 Mt of ore stacked between 2015 and 2025, with an estimated 3.83 Moz of contained gold, 1.84 Moz of recoverable gold and 1.65 Moz of gold poured, the gold recovery based on contained ounces in VLF2 is 42.4% (1.84 Moz/3.83 Moz). |
| · | The current overall recovery for VLF 1 and VLF 2 is approximately 53.6% of contained gold ounces stacked based on ounces poured to date. |
| 1-4 | ![]() |
| SSR Mining Inc. | Cripple Creek and Victor Mine S-K 1300 Technical Report Summary | November 10, 2025 SLR Project No.: 123.020622.00001 |
| · | Gold recovery is dependent on particle size distribution. The recovery for 1” particle size material is well understood from column leach testing; recoveries for ROM material are extrapolated from test work on smaller particle sizes. |
| · | Recovery is a function of degree of oxidation and sulfide and telluride content. |
| · | ROM recovery has a bi-modal distribution around 95% and 87% of crusher recovery. |
| o | Recovery is variable depending on rock-type |
| · | SLR has not reviewed leach kinetic curves. |
| · | Ore can be characterized as following: |
| o | The percentage of sulfide refractory material typically increases as a function of depth. |
| o | Telluride-gold is refractory, typically requiring fine grinding, preoxidation using roasting or pressure oxidation prior to leaching, and therefore not amenable to heap leaching. It is noted that some recovery of gold from tellurides may be obtained in high pH cyanide leaching environments and over long periods of time such as with long term heap leaching. |
| o | The mineralized materials do not contain carbonaceous preg-robbing material |
| o | SSR has initiated Compacted Permeability Testing on column test tailings samples. |
| 1.1.1.4 | Infrastructure |
| · | Gold extraction uses heap-leaching. Mined ore is either directly dumped as ROM material or crushed in two stages before stacking on the VLF. |
| · | The mine includes primary and secondary crushing and conveying circuits to supply crushed rock for both heap leaching and milling, ADR circuits to process leach solution and a milling and flotation concentrator to produce sulfide concentrate for sale. The mill is currently in Care and Maintenance, and it is expected to be decommissioned and removed for future leach pad expansions. Processing infrastructure includes power and water supply, and truck load-and-haul systems. Milling operations were idled by 2021 in favor of leach-only processing. |
| · | The Mine has the necessary maintenance, warehousing, laboratory, fuel, reagent storage to support the current level of production. |
| · | Gold recovery is achieved through two VLFs. |
| o | VLF 1 is a valley leach facility, designed and constructed in Phases I1 through 5 to include lined leach areas and dedicated Process Solution Storage Areas (PSSAs), with ore placement that occurred from 1994 through 2016. SLR understands that the leaching of previously stacked ore is currently scheduled to continue until 2050. CC&V has been and continue to use solution injection through injection wells in targeted areas, typically around the VLF perimeter, to improve recovery. |
| o | VLF 2 is a valley leach facility in an adjacent valley to the north of VLF 1, with ore placement commencing in 2016. Design of VLF 2 includes the design and construction of Phases 1 through 3 lined leach areas, lined, dedicated PSSAs and a tie-in to the High Grade Mill facilities platform lined area. This facility consists of approximately 23 million ft2 (surface area corrected for slope) of lined area for ore placement, with ore that will be stacked to a maximum height of approximately 800 ft and a total design capacity of 322 Mst. |
1 Note that historical naming conventions of the VLF 1 used Roman numerals for initial phases. These naming conventions have been maintained throughout this document.
| 1-5 | ![]() |
| SSR Mining Inc. | Cripple Creek and Victor Mine S-K 1300 Technical Report Summary | November 10, 2025 SLR Project No.: 123.020622.00001 |
| o | SLR understands that an expansion of the valley leach facilities–VLF 1 Phase 6 and VLF 2 Phase 4–has been designed and submitted for approval. This expansion will provide additional capacity. |
| · | SLR understands that NewFields Mining Design & Technical Services (NewFields) is the Engineer of Record (EOR) for both VLF 1 and VLF 2. |
| · | Based on the information provided for review, SLR is aware of two performance related issues, which occurred prior to SSR’s purchase of the Project: a near overtopping event due to power supply issues during an abnormal winter storm that caused a loss of power to the solution pumps, and two ore loading scenarios that resulted in ore having been removed or ore material sloughing. SLR understands that ore loading protocols and power infrastructure have been revised, which are expected to prevent similar situations in the future. |
| · | Water for CC&V operations is obtained from a range of sources including the City of Victor, the City of Cripple Creek, Colorado Springs Utility (CSU), Pueblo Board of Water Works, and Catlin Canal Company. CC&V has no water rights, and the Arkansas River basin does not currently have the ability to develop or issue additional water rights. |
| · | CC&V utilizes 100% of the available water from their agreement with the City of Victor. Utilization of water from the agreement with the City of Cripple Creek water supply is dependent upon the annual precipitation but typically amounts to approximately 50% of the current contracted amount. CC&V does not utilize the CSU source unless under extreme drought conditions and CSU has the water to share. The contract with the Pueblo Board of Water Works is in place to make water available to transfer to Pisgah Reservoir, owned by Catlin Canal Company, to release for water augmentation purposes. |
| · | The fresh water requirement varies seasonally with peak demand in summer of around 900 gpm. Winter demand is lowest at around 500 gpm. The greatest demand for makeup water is the two leach facilities and their associated ADRs. CC&V does not need or have an accommodation camp. People who work at the mine live in several towns and cities within a reasonable commuting distance. |
| 1.1.1.5 | Environment |
| · | CC&V maintains a comprehensive environmental management and compliance program. All permits needed for current/existing operations are in place, and staff at the mine continually monitor permit/regulated conditions and file required reports with the applicable regulatory agencies at the federal, state, and local level. |
| · | CC&V is authorized under Amendment 13 (or A13) of Permit M-1980-244 from the State of Colorado. Newmont submitted an amendment, Amendment 14, to the State of Colorado on April 25, 2024. The scope of A14 is to add 189 million short tons of leach pad capacity through construction of Phase 4 of the VLF 2 and Phase 6 of VLF 1, among other operational considerations. |
| 1-6 | ![]() |
| SSR Mining Inc. | Cripple Creek and Victor Mine S-K 1300 Technical Report Summary | November 10, 2025 SLR Project No.: 123.020622.00001 |
| · | There is an approved reclamation/closure plan in place and financial assurance in the amount of $292 million is currently held by the Colorado Division of Mining, Reclamation and Safety (DRMS) to ensure reclamation is performed. |
| · | CC&V reports that relations with the community are good and that CC&V has an office in the city of Victor to maintain a community presence. |
| · | The Mine appears to have a well-established and effective environmental, social/governance and permit management program that follows regulatory, corporate and good practice(s) standards. |
| 1.1.1.6 | Capital and Operating Costs |
| · | The capital and operating cost estimates have been prepared in Q2 2025 US dollars and reflect current mine plans, equipment replacement schedules, and VLF expansion costs. |
| · | Life-of-Mine (LOM) capital costs are estimated at $422 million, with an additional $517 million for reclamation and closure, for a total of approximately $939 million. |
| o | Development capital totals $159 million, while sustaining capital accounts for $263 million. |
| o | Key capital projects include mobile equipment replacements, Valley Leach Facility (VLF) expansions, and demolition of the mill. |
| · | The average LOM unit operating cost is $13.17/t ore, composed of: |
| o | Mining: $4.85/t ore (including $2.94/t moved for open pit mining) |
| o | Processing: $5.81/t ore |
| o | General and Administrative (G&A): $2.51/t ore |
| · | Total site operating costs over the LOM are estimated at $2.98 billion. |
| · | The SLR QP considers these costs to be reasonable for the Project’s scope and production plan. |
| 1.1.2 | Recommendations |
| 1.1.2.1 | Geology and Mineral Resources |
| 1 | Domain Modeling |
The 2024 domain models are a combination of well-constrained lithology volumes and 23 geographic ‘Historic Domains’. More than 60 complex subdomains were used for estimation in 2024.
The gold grade continuity patterns in the deposit suggest that homogenous grade estimation domains are likely to follow along and straddle the veins, lamprophyres and the contacts between the major intrusive units. The contacts and veins are likely to be good fluid pathways and mineralization trap sites, depending on the wall rock properties.
| a) | Test gold grade indicator or grade shell modeling as an additional tool to define homogenous estimation domains. |
| b) | Test the zones of grade continuity along veins and contacts in the framework of the 3D lithology model to improve efficiency and reduce the number of domains. |
| 1-7 | ![]() |
| SSR Mining Inc. | Cripple Creek and Victor Mine S-K 1300 Technical Report Summary | November 10, 2025 SLR Project No.: 123.020622.00001 |
| 2 | Resource Estimation Parameters |
| o | Apply locally varying anisotropy based on the orientation of vein and lithology contacts. |
| o | Model experimental gold variograms using normal scores and back-transforming to regular gold grades for estimation. |
| o | Review nugget effects for variograms using downhole experimental variograms as a primary tool. |
| o | Ensure that capping of high grades and ‘high yield’ search restrictions are consistent. |
| 3 | Continue to evaluate global capping thresholds by domain to ensure high-grade influence is adequately controlled within localized geologic contexts. |
| 4 | Maintain and incrementally update density factors by lithology and oxidation state as new data become available, ensuring alignment with material-specific tonnage factors across the district. |
| 1.1.2.2 | Mining and Mineral Reserves |
| 1 | Higher than forecasted metal prices than forecasted could result in improved cash flows and enhanced economics; drilling additions and definition drilling could allow for a Main Cresson pit layback, which should be evaluated. |
| 2 | Evaluate the potential for further growth of Mineral Resources and Mineral Reserves, and the corresponding increase in VLF capacity with the development of additional VLF capacity. Given CC&V’s significant Mineral Resource endowment, a key upside opportunity is the expansion of VLF capacity to enable future Mineral Reserve conversion and associated mine life extension. SSR should continue economic studies and advancing permitting pathways to ensure future VLF expansions can be completed in a timely manner. |
| 3 | Evaluate future growth opportunities such as linking the Cresson area and Globe Hill area laybacks as well as growth to the north and toward the Ironclad facilities, specifically by completing a cost-benefit analysis on relocating existing infrastructure that currently constrains the final pit shell. |
| 4 | Evaluate opportunities to refine the North Cresson, Granite Island, and East Cresson pit designs to improve economics and assess potential conversion of Mineral Resources to Mineral Reserves. |
| 5 | Conduct additional core drilling as warranted for new slope development, and update the geotechnical block model accordingly to improve slope design reliability, especially in areas with sparse RQD and Q’ data. |
| 6 | Conduct a cost-benefit analysis of expanding maintenance facilities to improve equipment availability, especially as older fleet components approach end-of-life thresholds. It should be noted that some maintenance activities can be performed outside during the portions of the spring and fall, and the summer months. |
| 7 | Maintain a cautious design approach in areas with historical underground workings, and consider periodic updates to void models as deeper mining advances. |
| 8 | Where slope angle steepening could provide pit expansion benefits, ensure changes are supported by detailed stability assessments and real-time monitoring to avoid compromising pit safety. |
| 1-8 | ![]() |
| SSR Mining Inc. | Cripple Creek and Victor Mine S-K 1300 Technical Report Summary | November 10, 2025 SLR Project No.: 123.020622.00001 |
| 9 | A cost-benefit analysis should be considered to determine if additional shop bays would improve equipment availabilities. It should be noted that some maintenance activities can be performed outside during the portions of the spring and fall, and the summer months. |
| 1.1.2.3 | Mineral Processing |
| 1 | Improved sizing for ROM material could present an opportunity for improved gold recovery for that material. |
| 2 | Conduct additional work focused on processing costs during VLF drawdown periods. Better understanding of the cost in these periods would allow for more accurate economic analysis of the economics of in-process gold ounces. |
| 3 | Continue to improve understanding of recovery differential between ROM and crushed ore for each of the domains. |
| 4 | Evaluate at what point it becomes appropriate to stop injection leaching on VLF 1. |
| 1.1.2.4 | Infrastructure |
| 1 | Develop VLF-related governance |
| 2 | Update the OMS manual documentation. |
| 3 | Develop a Design Basis Report (DBR) documentation. |
| 4 | Correlate the recent ore samples with the ore properties used in the design reports. |
| 5 | Review and evaluate VLF 1 and VLF 2 water balance models. |
| 6 | Evaluate opportunities to add additional VLF capacity. |
| 1.1.2.5 | Environment |
| 1 | Track and participate in the development of new environmental and mine permitting regulations that could impact operations. |
| 2 | Continue to perform internal and external audits of environmental compliance. |
| 3 | Even though opportunity is reported as limited, look for opportunities to perform additional concurrent reclamation to minimize financial obligation(s) at closure. Along the same line, perform “test plot(s)” to evaluate and fine tune proposed plans (and techniques). |
| 4 | Continue to review and update reclamation and closure cost estimates on a regular basis. |
| 5 | Track, evaluate and participate in new regulation(s) development and assess impact(s) on operation. |
| 1.1.2.6 | Capital and Operating Costs |
| 1 | Continue to evaluate the most optimum timing for equipment replacement or large component repairs. |
| 1-9 | ![]() |
| SSR Mining Inc. | Cripple Creek and Victor Mine S-K 1300 Technical Report Summary | November 10, 2025 SLR Project No.: 123.020622.00001 |
| 1.2 | Economic Analysis |
The economic analysis contained in this TRS is based on the CC&V Mine Mineral Reserves as of July 1, 2025, economic assumptions, and capital and operating costs provided by SSR finance and technical teams and reviewed by SLR. All costs are expressed in Q2 2025 US dollars and unit costs are based on metric tonnes (the QP notes that the costs and the financial model were developed in metric units, whereas the mine design was completed in US Customary units). Unless otherwise indicated, all costs in this section are expressed without allowance for escalation, currency fluctuation, or interest.
SLR has generated an after-tax Cash Flow Projection from the Life of Mine production schedule and capital and operating cost estimates, which is summarized in Table 1-4. A summary of the key criteria is provided below.
| 1.2.1 | Economic Criteria |
| 1.2.1.1 | Revenue |
| · | Mine life: 12 years, from Q3 2025 to Y2036, followed by 14 years of VLF rinsing. |
| · | Life of Mine production plan as summarized in Table 13-5. |
| · | 52,000 tonnes ore per day stacked (approximately 20 Mt per year) average stacked grade of 0.39 g/t Au (ROM, crushed, and stockpile mine plan). |
| · | Mine life average 102,000 ounces per year gold recovered from mine plan with LOM stacked ore recovery averaging 51.6%. Total 1.46 Moz recovered over LOM operation (July 1, 2025, through 2036) |
| · | The summary of the physicals in the financial model is listed in Table 1-1. It has been estimated that 334 koz of gold are in inventory and are accounted for in the financial model over the 26 years of VLF operations. |
| · | Metal price: averages $3,433 per ounce gold between 2025 to 2030, $3,094 per ounce gold long term price (2031+). |
| · | Gold at refinery 99.95% payable |
| · | Net Smelter Return includes doré refining, transport, and insurance costs. |
| · | Revenue is recognized at the time of gold production. |
| · | Non-cash inventory adjustments are not included in the SLR cash flow model. |
Table 1-1: CC&V Production Physicals Summary
| Physicals | Value |
| Total Ore Stacked (kt) | 226,187 |
| Max Process Rate (tpd) | 52,000 |
| Au Head Grade (g/t) | 0.39 |
| Contained Au (koz) | 2,832 |
| Average Recovery, Au | 51.6% |
| Recovered Au (koz) | 1,462 |
| Leach Inventory (koz) | 334 |
| Payable Au (koz) | 1,795 |
| Avg Annual Au Prod - LOM (koz / yr) | 102 |
| 1-10 | ![]() |
| SSR Mining Inc. | Cripple Creek and Victor Mine S-K 1300 Technical Report Summary | November 10, 2025 SLR Project No.: 123.020622.00001 |
| 1.2.1.2 | Costs |
| · | Growth and development capital costs total $159 million. |
| · | Mine life sustaining capital totals $263 million. |
| · | Final reclamation costs from September 2025 total $517 million. |
| · | Average LOM operating cost is $13.17 per tonne stacked. |
| o | Open pit operating costs of $2.94 per tonne mined ($4.85 per tonne stacked) |
| o | Processing operating costs of $5.81 per tonne stacked |
| o | Site Services & general and administrative (G&A) costs of $2.51 per tonne stacked |
| 1.2.1.3 | Taxation and Royalties |
| 1.2.1.3.1 | Federal and State Tax Summary |
The federal and state income taxes are summarized in Table 1-2.
Table 1-2: CC&V Federal and State Tax Summary
| Tax Type | Rate |
| Federal Corporate Income Tax | 21.0% |
| Colorado Corporate Income Tax | 4.4% of federal taxable income |
| Royalties & Severance Fees | Based on ore extracted (state-regulated). |
| Colorado Metallic Minerals Severance Tax |
· Rate: 2.25% of gross income from mineral sales · Exemption: The first $19 million of gross income per mining operation per taxable year is exempt. Gross income is defined as the fair market value of ore immediately after extraction (i.e., prior to downstream processing) · Mining operators can also claim a credit for county ad valorem (property) taxes paid on producing mines, up to 50% of their severance tax liability. |
| 1.2.1.3.2 | Royalties |
CC&V is subject to a variety of NSR royalty payments, payable to various parties under the terms of the leases, as described in Section 4.0. The annual average NSR royalty payments range from 0.5% to 10.0%. As per SSR’s finance team analysis, a weighted average rate of 5% was used for cash flow modeling purposes.
| 1-11 | ![]() |
| SSR Mining Inc. | Cripple Creek and Victor Mine S-K 1300 Technical Report Summary | November 10, 2025 SLR Project No.: 123.020622.00001 |
| 1.2.2 | Cash Flow Analysis |
SLR has reviewed the SSR’s CC&V LOM cash flow model, considering gold as final saleable product and has prepared its own unlevered after-tax LOM cash flow model based on the information contained in this TRS to confirm the physical and economic parameters of the Property.
The Mine, as currently designed, has variations in the mining and processing amounts over its planned 12-year life. These variations are shown in Figure 1-1 through Figure 1-4.
| 1-12 | ![]() |
| SSR Mining Inc. | Cripple Creek and Victor Mine S-K 1300 Technical Report Summary | November 10, 2025 SLR Project No.: 123.020622.00001 |
Figure 1-1: Mine Production Profile by Material Movement

Figure 1-1 Tonnes Mined (thousands) 45,000 $4.00 40,000 $3.50 35,000 $3.00 30,000 $2.50 25,000 $2.00 20,000 $1.50 15,000 $1.00 10,000 $0.50 5,000 $0.00 Mining Operating Cost ($/tonne moved) 2025 2026 2027 2028 2029 2030 2031 2032 2033 2034 2035 2036 Mined Waste Ore fill ROM to Pad Mining Cost ($/t)
Notes: Ore fill refers to Stockpile (Dump 1) material.
Figure 1-2: Mine Production Profile by Area

Figure 1-2 Tonnes Moved (thousands) 25,000 500 20,000 400 15,000 300 10,000 200 5,000 100 Gold Ounces Mined (thousands) 2025 2026 2027 2028 2029 2030 2031 2032 2033 2034 2035 2036 Ore fill ROM to Pad Mined Contained Oz
Notes: Ore fill refers to Stockpile (Dump 1) material.
| 1-13 | ![]() |
| SSR Mining Inc. | Cripple Creek and Victor Mine S-K 1300 Technical Report Summary | November 10, 2025 SLR Project No.: 123.020622.00001 |
Figure 1-3: Process Production Profile and Head Grade

Figure 1-3 Tonnes Processed (thousands) 25,000 1.00 20,000 0.80 15,000 0.60 10,000 0.40 5,000 0.20 Gold Grade in g/t 2025 2026 2027 2028 2029 2030 2031 2032 2033 2034 2035 2036 Ore fill ROM to Pad Au Grade
Notes: Ore fill refers to Stockpile (Dump 1) material.
Figure 1-4: Annual Processing Gold Production and Head Grade Profile

Figure 1-4 Recovered Gold (koz) 200 0.90 180 0.80 160 0.70 140 0.60 120 0.50 100 0.40 80 0.30 60 0.20 40 0.10 20 Gold Grade in g/t 2025 2026 2027 2028 2029 2030 2031 2032 2033 2034 2035 2036 Total Recovered Au Au Grade
The economic analysis prepared by SLR considers a base discount date as of July 1, 2025, using mid-year convention discounting.
| 1-14 | ![]() |
| SSR Mining Inc. | Cripple Creek and Victor Mine S-K 1300 Technical Report Summary | November 10, 2025 SLR Project No.: 123.020622.00001 |
The base discount rate assumed in this TRS is 5% as per standard industry practice for operating mines in US. Discounted present values of annual cash flows are summed to arrive at the Mine’s Base Case NPV.
To support the disclosure of Mineral Reserves, the economic analysis demonstrates that CC&V’s Mineral Reserves are economically viable at the net realized prices of $3,433/oz gold for the period 2025 to 2030, with long term prices of $3,094/oz gold. On a pre-tax basis, the undiscounted cash flow totals $1,475 million over the mine life. The pre-tax net present value (NPV) at a 5% discount rate is $957 million. On an after-tax basis, the undiscounted cash flow totals $1,272 million over the mine life. The after-tax NPV at 5% is $824 million. The internal rate of return (IRR) is not applicable as the Mine is an operating mine and does not have an initial capital to be recovered.
The after-tax free cash flow profile and the gold payable metal per year are presented in Figure 1-5.
Figure 1-5: Project After-Tax Metrics Summary

Figure 1-5 US$ Millions $200 200 160 $150 120 $100 80 $50 40 $0 - (40) ($50) (80) ($100) (120) ($150) (160) ($200) (200) Payable Au (koz) 2025 2026 2027 2028 2029 2030 2031 2032 2033 2034 2035 2036 2037 2038 2039 2040 2041 2042 2043 2044 2045 2046 2047 2048 2049 2050 2051 2052 2053 2054 2055 2056 Capex Free Cash Flow Payable Au
| 1-15 | ![]() |
| SSR Mining Inc. | Cripple Creek and Victor Mine S-K 1300 Technical Report Summary | November 10, 2025 SLR Project No.: 123.020622.00001 |
Table 1-3 shows the LOM total metrics for the CC&V mine as currently designed. Due to the length of the mine life, the full annual cash flow model is presented in Appendix 2: Cash Flow Analysis.
Table 1-3: Key Life of Mine Metrics
| Item | Unit | Value |
| Realized Market Prices | ||
| Au | $/oz | $3,240 |
| Payable Metal | ||
| Au | koz | 1,795 |
| Total Gross Revenue | $ million | 5,817 |
| Mining Cost | $ million | (1,096) |
| Process Cost | $ million | (1,315) |
| G & A Cost | $ million | (568) |
| Other Costs | $ million | 0 |
| Refining/Freight | $ million | (2) |
| Royalties | $ million | (422) |
| Total Operating Costs | $ million | (3,403) |
| Operating Margin (EBITDA) | $ million | 2,414 |
| Cash Taxes Payable | $ million | (203) |
| Working Capital1 | $ million | 0 |
| Operating Cash Flow | $ million | 2,211 |
| Development Capital | $ million | (159) |
| Sustaining Capital | $ million | (263) |
| Closure/Reclamation Capital | $ million | (517) |
| Total Capital | $ million | (939) |
| Pre-tax Free Cash Flow | $ million | 1,475 |
| Pre-tax NPV @ 5% | $ million | 957 |
| After-tax Free Cash Flow | $ million | 1,272 |
| After-tax NPV @ 5% | $ million | 824 |
The average annual gold sales during the 12 years of operation is 102 koz per year (1,795 koz over the LOM) at an average all-in sustaining cost (AISC) of $2,330/oz Au. Table 1-4 shows the AISC build-up.
| 1-16 | ![]() |
| SSR Mining Inc. | Cripple Creek and Victor Mine S-K 1300 Technical Report Summary | November 10, 2025 SLR Project No.: 123.020622.00001 |
Table 1-4: All-in Sustaining Costs Composition
| Item | Total LOM ($ million) |
Unit Cost ($/oz Au) |
| Mining | 1,096 | 611 |
| Process | 1,315 | 732 |
| Site G&A | 568 | 316 |
| Subtotal Site Costs | 2,979 | 1,659 |
| Refining/Freight | 2 | 1 |
| Mining Royalties | 422 | 235 |
| Total Cash Costs | 3,403 | 1,896 |
| Sustaining Capital Cost | 263 | 147 |
| Closure/Reclamation Costs | 517 | 288 |
| Total Sustaining Costs | 781 | 435 |
| Total All-in Sustaining Costs | 4,184 | 2,330 |
| Note: | Closure/Reclamation costs for AISC are based on Closure/Reclamation Cash Spend. | |
| Numbers may not add due to rounding. |
The AISC calculated in the cash flow analysis reflects the benefit of low-cost ounces already stacked on the heap leach pads, compared to AISC estimated in a steady-state model that assumes current input costs. Much of CC&V’s near-term production comes from material mined and placed in prior years, when gold prices, fuel, and consumable costs were lower. These ounces require minimal additional spending to recover, resulting in lower realized cash costs. As these legacy ounces are depleted and replaced with newly mined material, unit costs are expected to gradually normalize toward long-term levels.
| 1.2.3 | Sensitivity Analysis |
Project risks can be identified in both economic and non-economic terms. Potential economic risks were examined by running cash flow sensitivities to changes in the following variables:
| · | Gold price |
| · | Gold recovery |
| · | Head grade |
| · | Operating costs |
| · | Capital costs |
| · | Discount rate |
After-tax NPV sensitivities over the Base Case have been calculated for -20% to +20% variations for head grade and recovery, and for -30% to +30% for gold price. For operating costs and capital costs, the sensitivities over the Base Case have been calculated at -15% to +15% variations.
The sensitivity analysis at CC&V shows that the after-tax NPV at an 5% base discount rate is most sensitive to gold prices, then head grades, and gold recovery, followed by operating costs and capital costs.
| 1-17 | ![]() |
| SSR Mining Inc. | Cripple Creek and Victor Mine S-K 1300 Technical Report Summary | November 10, 2025 SLR Project No.: 123.020622.00001 |
| 1.3 | Technical Summary |
| 1.3.1 | Property Description |
The CC&V Mine is in Teller County, Colorado, USA, within the historical Cripple Creek Mining District. The site lies approximately 100 miles (160 kilometers) southwest of Denver, the state capital, and is situated between the towns of Cripple Creek and Victor. The Mine is approximately a one-hour drive from Colorado Springs, Colorado.
| 1.3.2 | Land Tenure |
The Property encompasses a diverse land tenure structure including owned, leased, and unpatented properties. Mine operations are situated within a permit boundary referred to as the Amendment 13 Permit Boundary or the “A13 Permit Boundary”.
CC&V maintains ownership or control over a significant land package critical to mining operations. CC&V’s land tenure is comprised of approximately 1,642 patented mining claims, two state mining leases, four private mining leases, 25 mineral parcels, 134 surface parcels, and 13 unpatented lode claims encompassing a total area of approximately 15,012 acres.
Of the 15,012 acres, CC&V owns or controls approximately 6,003 acres that are within the A12 Permit Boundary, and the remaining 9,009 acres being located outside the immediate A12 Permit Boundary.
| 1.3.3 | History |
Mining in the Cripple Creek Mining District began in the late 19th century. CC&V has undergone a series of ownership transitions, reflective of the district’s long mining history and the evolving strategies of major gold producers. The Property was historically fragmented across numerous claims and operators during the underground mining era (1890s to early 20th century), but modern consolidation began in the late 20th century.
Gold was first discovered in 1890, with early exploration focused on bonanza-grade veins within phonolite dikes and volcanic breccias. Over 500 underground mines operated across the district, producing more than 21 million ounces of gold.
As underground mining advanced to greater depths, water inflows became a critical challenge. To manage this, three major gravity drainage tunnels were constructed. The El Paso Tunnel (completed circa 1903, portal elevation approximately 8,790 FASL) was the first attempt, but proved too shallow in depth. The Roosevelt Tunnel, started in 1907, provided deeper drainage (portal elevation approximately 8,020 FASL) and allowed operations to continue at intermediate levels. The most ambitious was the Carlton Tunnel, driven from 1939 to 1941 with a portal elevation of approximately 6,893 FASL. It extended over six miles to intercept deep workings, dropping the water table by up to 3,000 ft in some areas. These drainage tunnels were essential to prolonging mine life, especially during the early- to mid-20th century when pumping was economically prohibitive. Today, these tunnels act as sources of dewatering for the current open pit operation.
By the mid-20th century, mining activity declined due to economic constraints and fixed gold prices.
In the 1970s and 1980s, exploration shifted to identifying bulk-tonnage, low-grade disseminated gold systems. Golden Cycle and AngloGold consolidated historical claims and conducted RC and core drilling, culminating in the formation of CC&V and the commencement of open-pit mining in 1994.
| 1-18 | ![]() |
| SSR Mining Inc. | Cripple Creek and Victor Mine S-K 1300 Technical Report Summary | November 10, 2025 SLR Project No.: 123.020622.00001 |
In 2015, Newmont acquired CC&V from AngloGold Ashanti, continuing open-pit mining and expanding the Cresson pit. In February 2025, SSR acquired CC&V from Newmont.
| 1.3.4 | Geological Setting, Mineralization, and Deposit |
Gold mineralization is hosted within Tertiary-aged volcanic rocks, primarily associated with a large volcanic diatreme complex. This geologic setting, combined with a legacy of over a century of mining activity, makes CC&V both geologically and historically significant.
| 1.3.5 | Exploration |
Since its acquisition of CC&V on February 28, 2025, SSR has not undertaken new geochemical, geotechnical, or geophysical exploration. Instead, SSR began a targeted drilling campaign in May 2025 focused on resource expansion and grade control within the Stockpile (Dump 1) area.
As of July 1, 2025, drilling included 57 RC holes (17,995 ft) and 20 sonic holes (5,354 ft) for grade control, and 29 RC holes (11,086 ft) for resource expansion. Assay results are pending and not included in the current Mineral Resource estimate. According to the SLR QP, drilling and sampling were conducted to industry best practices by qualified personnel, with no evidence of bias or material recovery issues.
Hydrogeological conditions are influenced by the diatreme’s high permeability. Groundwater continues to flow through historical tunnels, particularly the Carlton Tunnel, which discharges to Fourmile Creek at a long-term average of 1,400 gpm. Water quality reflects both natural geologic inputs (e.g., fluoride from Pikes Peak Granite) and legacy mining impacts. Despite some exceedances, consistent monitoring since the 1970s shows stable conditions. Biological monitoring confirms no adverse impacts to fish populations downstream.
Contamination from acid rock drainage (ARD) at the East Cresson Overburden Storage Area (ECOSA) is under mitigation, with CC&V and DRMS implementing seepage collection and extraction well systems.
Geotechnical design at CC&V is based on over 400 drill holes, structural mapping, lab testing, and performance back-analysis. Slope design uses a domain-based model with variable lithology and alteration. Key parameters include RQD (0–90%), UCS (20–150 MPa), friction angle (25–45°), cohesion (100–600 kPa), GSI (25–70), and Q values (0.1–10+). Designs achieve a static Factor of Safety >1.2 using SLIDE and RS2 modeling.
The data collected to date are considered reliable and appropriate to support ongoing Mineral Resource development in accordance with S-K 1300.
| 1.3.6 | Mineral Resource Estimates |
SSR has completed a Mineral Resource Estimate (MRE) for CC&V, prepared under S-K 1300 guidelines. The estimate reflects drilling and geological data current to July 1, 2025, and was reviewed and accepted by the QP from SLR. Mineral Resources are reported on a 100% ownership basis, exclusive of Mineral Reserves, and assume a gold price of $2,000/oz.
Resources are based on over 14,000 drill holes totaling 8.45 million feet, predominantly reverse circulation, supported by core drilling. Geologic modeling was completed in Leapfrog Geo, with estimation performed using multi-pass ordinary kriging in RMSP and validated in Maptek Vulcan and MineSight 3D. Domains were defined by lithology, structure, and alteration, with hard boundaries applied. A total of 23 non-vein domains, 299 vein domains, and various breccia and dike units were modeled. Historical underground voids were integrated and excluded from tonnage.
| 1-19 | ![]() |
| SSR Mining Inc. | Cripple Creek and Victor Mine S-K 1300 Technical Report Summary | November 10, 2025 SLR Project No.: 123.020622.00001 |
The total Measured and Indicated Resources comprise 344.8 Mt at 0.44 g/t Au for 4.8 Moz Au. This includes 157.2 Mt of Measured Resources at 0.49 g/t (2.5 Moz) and 187.7 Mt of Indicated Resources at 0.40 g/t (2.4 Moz), including 38.5 Mt from stockpiles. Inferred Resources total 149.6 Mt at 0.41 g/t Au (2.0 Moz). Cut-off grades are 0.069 g/t (ROM) and 0.10 g/t (crushed leach), and recoveries range from 24.8% to 94.9% depending on lithology and oxidation state.
Block density was assigned using over 6,000 site-specific measurements tied to lithology and oxidation. Stockpiles were modeled using reconciled production and grade control data. The block model, built in Vulcan, includes 197 attributes for grade, classification, density, and geometallurgical modeling, with a standard block size of 50 ft × 50 ft × 35 ft.
Classification was implemented via a distance-based three-hole rule and kriging pass logic within RMSP. Measured Resources are supported by dense drilling and first-pass estimation; Indicated and Inferred Resources reflect increasing uncertainty. Validation was completed using swath plots, nearest-neighbor comparisons, and visual inspection, confirming model reliability and minimal bias.
Potential risks to the MRE include changes in gold price, recovery, pit slope geometry, costs, and permitting. Nonetheless, the SLR QP concludes that the July 1, 2025 MRE is technically sound, consistent with industry best practices, and suitable for disclosure under S-K 1300.
| 1.3.7 | Mineral Reserve Estimates |
The total Proven and Probable Mineral Reserves, excluding process inventory, at CC&V are estimated to be 235 Mt grading 0.37 g/t Au containing 2.8 Moz Au. The CC&V Mineral Reserves support a LOM over 12 years of mine operational life, followed by an additional 14 years of processing the VLF inventory. The current VLF inventory is estimated to contain approximately 334 koz of recoverable gold. SSR completed the Mineral Reserve estimation, and the SLR QP has audited and accepted the estimation.
The current approved VLF does not have the capacity required to process the Mineral Reserves; however, the SLR QP considers it reasonable to assume that Amendment 14, which adds leach pad capacity among other operational considerations, will be approved by the State of Colorado in due course.
A lower cut-off grade was used for this TRS compared to previous Mineral Reserve estimates for the Mine, and it was primarily influenced by a reduction in costs (predominately corporate G&A). SSR determined that the mine life can be extended to 2036 compared to the previous owner’s mine life ending circa 2030.
The mine has a low strip ratio of approximately 0.65:1 (waste tonne:ore tonne).
| 1.3.8 | Mining Methods |
Mining in the district dates to the 1890s, with extensive underground workings and high-grade vein extraction. These legacy activities have introduced complications such as historical claim boundaries, royalty structures, and subsurface voids that must be accounted for in modern times.
The Project is a large, open pit operation (greater than 100,000 tonnes moved per day); with annual tonnage of approximately 35 Mtpa. The mining equipment for the operation is appropriately sized, and it is of the correct type given the mine location, production requirements, and operating conditions.
| 1-20 | ![]() |
| SSR Mining Inc. | Cripple Creek and Victor Mine S-K 1300 Technical Report Summary | November 10, 2025 SLR Project No.: 123.020622.00001 |
It is a high-altitude operation, i.e., greater than 8,000 FASL, which impacts both equipment and employee performance.
Mine areas are orderly and clean as observed during the SLR site visit. Pit road conditions (drainages, grades, surfaces, corners, and berms), high wall and VLF ore slopes appear acceptable. The permitted waste rock facility footprint is adequate for the LOM plan.
The SLR QP is satisfied with the mining methods employed at CC&V, and the mine operation is adequately operated.
Annual leach placement is approximately 19 million tonnes (Mt) to 22 Mt. The operation is limited by the leach stacking as greater than 22 Mt placed per annum disrupts leach cycle and kinetics. CC&V plans to purchase primary equipment and expand the existing VLFs for their LOM case.
Using historical availability percentage and utilization of availability percentage, the total truck hours equates to approximately 16 CAT 793s operating out of a total of 21 available. Fleet replacement assumed site historical availability. An assumed increase in availability to that realized at similar-sized SSR operation standards could reduce truck fleet size from 21 to 17, hence reducing capital in the replacement schedule.
Equipment maintenance facilities are adequate for current sizes, e.g., a production drill mast can be raised inside the 3-bay truck shop (five truck capacity). A cost-benefit analysis should be considered to determine if additional shop bays would improve equipment availabilities. It should be noted that during much of the year, many maintenance activities can be performed outside.
Overall, equipment hours indicate that the fleet is mid-life to old, e.g., average truck hours currently at 88,000. Total truck hours were capped at 120,000 for replacement in the SSR model.
The total workforce for the site is approximately 407 people, and the site maintains 152 light vehicles.
| 1.3.9 | Processing and Recovery Methods |
| 1.3.9.1 | Process Summary |
CC&V employs conventional open-pit mining methods and utilizes two valley-leach facilities (VLF 1 and VLF 2) for gold recovery. Each leach facility is integrated with its own dedicated adsorption-desorption-recovery (ADR) plant. VLF 1, situated in the Arequa Gulch area, is serviced by ADR 1, while VLF 2, located in the Squaw Gulch area, is treated by ADR 2.
Ore processing includes a crushing facility, which consists of a primary 60 x 89 Svedala Type NT gyratory crusher, followed by a Nordberg MP1000 secondary cone crusher. The plant is designed to crush 2,778 tph (3,062 stph) or 50,000 tpd (55,000 stpd) with an operating availability of 75%, producing a final crushed product with a P100 0.79 inches.
VLF 1 predominantly contains crushed ore, with a cumulative total of approximately 369 million short tons placed since operations began in 1994. Ore stacking on VLF 1 concluded in 2015; however, the leaching process remains ongoing through continued injection of barren solution. This is primarily accomplished via jet injection methods, with current solution flow rates ranging between 7,000 and 10,000 gallons per minute (gpm). As of the end of 2023, approximately 237 injection wells have been installed across the pad to facilitate efficient solution distribution and sustained recovery.
| 1-21 | ![]() |
| SSR Mining Inc. | Cripple Creek and Victor Mine S-K 1300 Technical Report Summary | November 10, 2025 SLR Project No.: 123.020622.00001 |
Active ore placement on VLF 2 commenced in late 2015. By the end of March 2025, approximately 212 million tons of ore had been stacked. Most of the material placed on VLF 2 is run-of-mine (ROM) or lower grade, with only a small portion, approximately 5%, being primary crushed prior to stacking. Comingled mill tailings from historical operations can also be found on VLF 2. The decision to crush or directly stack ore is based on grade and recovery potential as determined through ongoing metallurgical testing. VLF 2 currently receives an average of 65,000 short tons of ore per day, with barren solution application rates of approximately 17,000 gpm.
Barren solution generated from the respective ADR plants is applied to the surface of the crushed ore within the VLFs. This solution percolates vertically through the ore beds, dissolving gold and forming a pregnant leach solution (PLS), which is collected in engineered, double-lined ponds located beneath each facility. The recovered PLS is then conveyed to the Process Solution Storage Areas (PSSAs) and pumped back to the ADR plants for gold recovery. VLF 1 is equipped with four PSSAs, while VLF 2 utilizes two, with distribution managed by dedicated PLS pumps located at ADR 1 and ADR 2, respectively.
In parallel with leaching operations, a standalone grinding-gravity-flotation plant was previously commissioned to process refractory sulfide and telluride ores, enabling the production of flotation concentrates. However, due to limited sulfide ore availability, the facility was placed into care and maintenance status in Q1 2022. The concentrator was designed to process ore at a nominal rate of 275 short tons per hour. The final concentrate was thickened, filtered, and stockpiled for shipment to an off-site, third-party sulfide processing facility.
| 1.3.9.2 | Metallurgical Testing |
Metallurgical testing at CC&V is performed to support the operating VLF and milling facilities and to determine the metallurgical characteristics of new ore deposits included in the mine plans.
Results from ongoing test programs, combined with relevant historical data, are interpreted to inform and update key process models used to support operations. Specifically, leach recovery models will be revised to incorporate the latest column and bottle roll test results, while the operating cost model will be updated using newly acquired data on ore hardness and reagent consumption.
| 1.3.10 | Infrastructure |
This mine site has operated continuously since 1994. All the necessary infrastructure is in place to support the operations.
| 1.3.11 | Market Studies |
Gold is the principal commodities at CC&V and are freely traded, at prices that are widely known, so that prospects for sales of any production are virtually assured. Prices are usually quoted in US dollars per troy ounce. Mineral Reserves are estimated using an average long-term gold price of $1,700/oz.
| 1.3.12 | Environmental Studies, Permitting and Plans, Negotiations, or Agreements with Local Individuals or Groups |
CC&V environmental baselines have been established to document site conditions, assess impacts, support permitting, compare and document performance against compliance targets, and for use in the development of reclamation and closure plans. The level (volume and duration) of environmental baseline studies established for all disciplines has historically satisfied the regulatory and permitting requirements to explore, construct, operate a mine on the federal, state, and local levels. CC&V has a robust environmental and social governance and legislation review system, and the Mine has institutional capacity designed to protect their people and the natural environment.
| 1-22 | ![]() |
| SSR Mining Inc. | Cripple Creek and Victor Mine S-K 1300 Technical Report Summary | November 10, 2025 SLR Project No.: 123.020622.00001 |
| 1.3.13 | Capital and Operating Cost Estimates |
The capital and operating costs presented in this section include the costs required for mining and processing Mineral Reserves from the Cripple Creek and Victor Mine. All capital and operating costs in this section are expressed in Q2 2025 US dollars and unit costs are based on metric tonnes (the QP notes that the costs and the financial model were developed in metric units, whereas the mine design was completed in US Customary units).
Life of mine (LOM) capital costs for the CC&V mine are estimated at $422 million, and reclamation/closure are estimated at $517 million, as summarized in Table 1-5.
Table 1-5: Life of Mine (LOM) Capital Cost Estimate
| Sustaining Capital Category | Capital Costs ($ 000) |
| Growth and Development Capital | 158,580 |
| Sustaining Capital | 263,310 |
| Reclamation/Closure Costs | 517,460 |
| Total | 939,350 |
Average LOM operating cost totals $13.17 per tonne ore. Table 1-6 presents the average LOM unit operating costs.
Table 1-6: LOM Average Unit Operating Costs
| Mining Area | Unit Mining Cost ($/t) |
| OP Mining ($/t mined) | 2.94 |
| Total Mining ($/t ore) | 4.85 |
| Processing ($/t ore) | 5.81 |
| G&A ($/t ore) | 2.51 |
| Total ($/t ore) | 13.17 |
| 1-23 | ![]() |
| SSR Mining Inc. | Cripple Creek and Victor Mine S-K 1300 Technical Report Summary | November 10, 2025 SLR Project No.: 123.020622.00001 |
| 2.0 | Introduction |
SLR International Corporation (SLR) was retained by SSR Mining Inc. (SSR) to prepare an independent Technical Report Summary (TRS) on the Cripple Creek and Victor Gold Mine (CC&V or the Property), located in Teller County, Colorado, USA.
This TRS conforms to United States Securities and Exchange Commission’s (SEC) Modernized Property Disclosure Requirements for Mining Registrants as described in Subpart 229.1300 of Regulation S-K, Disclosure by Registrants Engaged in Mining Operations (S-K 1300) and Item 601(b)(96) Technical Report Summary.
SSR is a gold mining company with five producing assets located in the USA, Türkiye, Canada, and Argentina, and with development and exploration assets in the USA, Türkiye, and Canada. SSR is listed on the Nasdaq (Nasdaq:SSRM) and the Toronto Stock Exchange (TSX:SSRM).
| 2.1 | Site Visits |
SLR visited the site on June 10, 2025. During the site visit, SLR Qualified Persons (QPs) received a Project overview by site management with specific activities as follows:
The SLR geology QP toured operational areas and Project offices, inspected various parts of the property and infrastructure, inspected the core handling facility, sampling procedures, drilling operations at Stockpile (Dump 1), and interviewed key personnel involved in the collection, interpretation, and processing of geological data and preparation of the Mineral Resource estimates.
The SLR mining QP toured operational areas and Project offices, inspected various parts of the mining operations and infrastructure, interviewed key personnel involved with the operations and technical services involved with the preparation of the Mineral Reserve estimates and Life of Mine (LOM) plan.
The SLR environmental, social and governance (ESG) QP participated in a general tour of the Property and interviewed CC&V and SSR personnel, and visited the portal and settling ponds of the Carlton Tunnel.
The SLR QP for the economic analysis and the SLR process QP toured the mining and processing areas and interviewed CC&V and SSR personnel.
| 2.2 | Sources of Information |
SLR met with the following individuals during the site visit.
| · | Darren Finke, Project Manager, SSR |
| · | Ryan Meany, Senior Mine Engineer, SSR |
| · | Bill Paterson, Project Development, SSR |
| · | Karthik Rathnam, Resource Development Director, SSR |
| · | Marko Visnjic, Senior Mine Engineer, SSR |
| · | Joshua Adams, Senior Environmental Water, CC&V |
| · | Joshua Schley, Senior Metallurgist /Interim Process Manager, CC&V |
| · | Brian Blake, Senior Exploration Geologist, CC&V |
| 2-1 | ![]() |
| SSR Mining Inc. | Cripple Creek and Victor Mine S-K 1300 Technical Report Summary | November 10, 2025 SLR Project No.: 123.020622.00001 |
| · | Dale Hernandez, Senior Exploration Geologist, CC&V |
| · | Bjorn Meyer, General Manager, CC&V |
| · | Kristyn Suto, Operational Efficiency//Projects Manager, CC&V |
| · | Derek Perales, Senior Safety Coordinator, CC&V |
| · | Nick Schwind, Mine Superintendent/Interim Mine Manager, CC&V |
| · | Kathy Steele, Mine Technical Services, Manager, CC&V |
| · | Douglas White, Resource Development Manager, CC&V |
| · | Yücel Őzsoy, Senior Process Engineer |
During the preparation of this TRS, discussions were held with these additional personnel from SSR:
| · | Rex Brommecker (SSR) – SVP Exploration and Geology |
| · | Osman Uludağ (SSR) – Director Resource Development |
| · | Douglas White (SSR- CC&V) – Resource Development Manager |
| · | Brandon Heser (SSR) – Director, Mine Technical Services |
| · | Ryan Meany (SSR) – Corporate Senior Mine Engineer |
| · | James Harold (SSR) – Corporate Principal Process Engineer |
| · | Yücel Őzsoy, Corporate Senior Process Engineer |
| · | Meg Burt (SSR) Director of Environmental Affairs |
| · | Katie Blake (SSR) - Sustainability & External Relations Manager |
This TRS has an effective date of July 1, 2025, corresponding to the date of the Mineral Resource Estimate. The TRS has been prepared by SLR QPs in accordance with applicable reporting requirements. The Mineral Resource information is current as of the effective date; however, the cash flow analyses and economic evaluations incorporate data and assumptions available as of October 2025. The report is based on information and data provided to the SLR QPs by SSR and other contributing parties.
The documentation reviewed, and other sources of information, are listed at the end of this TRS in Section 24.0 References.
| 2-2 | ![]() |
| SSR Mining Inc. | Cripple Creek and Victor Mine S-K 1300 Technical Report Summary | November 10, 2025 SLR Project No.: 123.020622.00001 |
| 2.3 | List of Units of Measure |
Units of measurement used in this TRS conform to the metric system unless otherwise noted. All currency in this TRS is US dollars (US$) unless otherwise noted.
| m | micron | kPa | kilopascal |
| mg | microgram | kVA | kilovolt-amperes |
| a | annum | kW | kilowatt |
| A | ampere | kWh | kilowatt-hour |
| bbl | barrels | L | litre |
| Btu | British thermal units | lb | pound |
| °C | degree Celsius | L/s | litres per second |
| C$ | Canadian dollars | m | metre |
| cal | calorie | M | mega (million); molar |
| cfm | cubic feet per minute | m2 | square metre |
| cm | centimetre | m3 | cubic metre |
| cm2 | square centimetre | MASL | metres above sea level |
| d | Day | m3/h | cubic metres per hour |
| dia | diameter | mi | mile |
| dmt | dry metric tonne | min | minute |
| dwt | dead-weight ton | mm | micrometre |
| °F | degree Fahrenheit | mm | millimetre |
| ft | Foot | mph | miles per hour |
| ft2 | square foot | MVA | megavolt-amperes |
| ft3 | cubic foot | MW | megawatt |
| ft/s | foot per second | MWh | megawatt-hour |
| g | Gram | oz | Troy ounce (31.1035g) |
| G | giga (billion) | oz/st, opt | ounce per short ton |
| gal | U.S. gallon | ppb | part per billion |
| g/L | gram per litre | ppm | part per million |
| gpm | U.S. gallons per minute | psia | pound per square inch absolute |
| g/t | gram per tonne | psig | pound per square inch gauge |
| gr/ft3 | grain per cubic foot | RL | relative elevation |
| gr/m3 | grain per cubic metre | s | second |
| ha | hectare | st | short ton |
| hp | horsepower | stpa | short ton per year |
| hr | Hour | stpd | short ton per day |
| Hz | Hertz | t | metric tonne |
| in. | Inch | tpa | metric tonne per year |
| in2 | square inch | tpd | metric tonne per day |
| J | Joule | US$ | United States dollar |
| k | kilo (thousand) | V | volt |
| kcal | kilocalorie | W | watt |
| kg | kilogram | wmt | wet metric tonne |
| km | kilometre | wt% | weight percent |
| km2 | square kilometre | yd3 | cubic yard |
| km/h | kilometre per hour | yr | year |
| 2-3 | ![]() |
| SSR Mining Inc. | Cripple Creek and Victor Mine S-K 1300 Technical Report Summary | November 10, 2025 SLR Project No.: 123.020622.00001 |
| 2.4 | List of Acronyms |
| ACOE | U.S. Army Corps of Engineers |
| ADR | adsorption-desorption recovery |
| AISC | all-in sustaining cost |
| AMEC | AMEC Earth & Environmental |
| ARD | acid-rock drainage |
| AUFA | fire assay gold grade |
| AUIM | Imputed gold grade |
| AUSL | shake leach gold grade |
| ARI | Asset Retirement Obligation |
| BFA | Bench Face Angle |
| BLEG | Bulk Leach Extractable Gold |
| CIC | Carbon-in-Column |
| CRM | Certified reference materials |
| CV | coefficient of variation |
| CDPHE | Colorado Department of Public Health and Environment |
| CRMS | Colorado Division of Reclamation, Mining and Safety |
| CSAMT | controlled source audio magnetotellurics |
| CCME | Cripple Creek Mountain Estates |
| CNWAD | cyanide weak acid dissociable |
| CTOT | Total carbon |
| DBR | Design Basis Report |
| DCF | Drain Cover Fill |
| DDH or core | diamond core drilling |
| DCIP | direct current induced polarization |
| DSG | Deep Sensing Geochemistry |
| ECOSA | East Cresson Overburden Storage Area |
| EM | electromagnetics |
| EOR | Engineer of Record |
| EPA | U.S. Environmental Protection Agency |
| ERP | Emergency Response Plan |
| EoR | Engineer of Record |
| EDA | Exploratory Data Analysis |
| FASL | feet above sea level |
| FoS | Factor of safety |
| 2-4 | ![]() |
| SSR Mining Inc. | Cripple Creek and Victor Mine S-K 1300 Technical Report Summary | November 10, 2025 SLR Project No.: 123.020622.00001 |
| Golder | Golder Associates Inc. |
| HARD | Half Absolute Relative Difference |
| HGM | High Grade Mill |
| HVSCS | High-Volume Solution Collection System |
| IP | induced polarization |
| IRA | Inter-ramp angle |
| LDS | Leak detection system |
| LLDPE | Linear Low-Density Polyethylene |
| LOM | life of mine |
| LVSCF | Low Volume Solution Collection Fill |
| LVSCS | Low Volume Solution Collection System |
| NewFields | NewFields Mining Design & Technical Services |
| MAA | multiple accounts assessment |
| MOC | Management of Change |
| MF | metallurgical factor |
| MRE | Mineral Resource Estimate |
| MT | magnetotellurics |
| NN | nearest neighbor |
| NMS | Newmont Metallurgical Services |
| OK | ordinary kriging |
| OMS | Operations, Maintenance and Surveillance |
| OSA | Ore Storage Area |
| PCPE | Perforated corrugated polyethyelene |
| PLS | process leach solution |
| PSES | Process Solution Enhancement System |
| PSSA | Process Solution Storage Area |
| RTP | Reduced To Pole |
| RC | reverse circulation |
| RLFE | Responsible Leach Facility Engineer |
| RMR | rock mass rating |
| RQD | rock quality designation |
| ROM | run of Mine |
| S-K 1300 | Subpart 229.1300 of Regulation S-K, Disclosure by Registrants Engaged in Mining Operations |
| SWC | Smith Williams Consultants, Inc. |
| 2-5 | ![]() |
| SSR Mining Inc. | Cripple Creek and Victor Mine S-K 1300 Technical Report Summary | November 10, 2025 SLR Project No.: 123.020622.00001 |
| SMU | selective mining unit |
| SP | self-potential |
| SLEXT | shake leach extractable grade |
| SD | standard deviation |
| SLF | Soil Liner Fill |
| SKT | standard kinetic flotation test |
| SOP | standard operating procedures |
| TRS | Technical Report Summary |
| STOT | Total sulfur |
| TMI | Total Magnetic Intensity |
| TARP | Trigger Action Response Plan |
| VLF | Valley Leach Facility |
| WTP | water treatment plant |
| WHEX | Wild Horse Extension |
| 2-6 | ![]() |
| SSR Mining Inc. | Cripple Creek and Victor Mine S-K 1300 Technical Report Summary | November 10, 2025 SLR Project No.: 123.020622.00001 |
| 3.0 | Property Description |
| 3.1 | Location |
CC&V is in Teller County, Colorado, USA, within the historical Cripple Creek Mining District. The site lies approximately 100 miles (160 kilometers) southwest of Denver, the state capital, and is situated between the towns of Cripple Creek and Victor (Figure 3-1).
The approximate center of the property has the following coordinates:
| · | Universal Transverse Mercator (UTM): 486832.25 m E, 4287343.51 m N |
| · | Geographic Coordinates: 38°44′04.79″ North latitude and 105°09′05.41″ West longitude, at an elevation of approximately 3,114 m (10,218 ft) above sea level. |
| · | Coordinate System: The Mine operates using a local mine grid coordinate system. |
Modern surface mining began in 1994, and current operations utilize conventional open pit mining techniques, including drilling, blasting, loading, hauling, processing, and refining. As of the most recent mine plans, mining is expected to continue through 2036, constrained largely within the geologic boundaries of the diatreme complex.
The operation currently includes three active open pits:
| · | Globe Hill Pit (North) |
| · | Schist Island Pit (North) |
| · | South Cresson Pit (South) |
CC&V is subject to various regulatory, geotechnical, and social constraints, including bonded permit areas, historical buffer zones, and public proximity considerations. These factors limit pit depth, restrict the location of waste rock storage and processing facilities, and define the allowable mine footprint. Figure 3-2 shows the currently bonded areas as well as the permit boundary and the historical buffers between the Mine and the cities of Cripple Creek and Victor.
| 3-1 | ![]() |
| SSR Mining Inc. | Cripple Creek and Victor Mine S-K 1300 Technical Report Summary | November 10, 2025 SLR Project No.: 123.020622.00001 |
Figure 3-1: Location Map

Figure 3-1 COLORADO POPULATED PLACES 500,000-999,999 Denver 100,000-499,999 Lakewood 25,000-99,999 Boulder 24,999 and less Meeker State capital Denver TRANSPORTATION Interstate; limited access highway Other principal highway Railroad Airport PHYSICAL FEATURES Streams: perennial; intermittent Lakes Highest elevation in state (feet) 14433 Other elevations (feet) 14110 The lowest elevation in Colorado is 3350 feet above sea level (Arkansas River). SLR SSR Mining Inc. Cripple Creek and Victor Mine Teller County, Colorado, USA Location Map Source: www.nationsonline.org 2024.
| 3-2 | ![]() |
| SSR Mining Inc. | Cripple Creek and Victor Mine S-K 1300 Technical Report Summary | November 10, 2025 SLR Project No.: 123.020622.00001 |
Figure 3-2: CC&V Mine Boundaries

Figure 3-2 Legend A12 Permit Boundary Waste Rock Facility Permitted Pit Boundaries Permitted VLF Boundaries Cripple Creek Recreation Buffer Victor Goldfield Recreation Buffer SLR SSR Mining Inc. Cripple Creek and Victor Mine Teller County, Colorado, USA CC&V Mine Boundaries Source: SLR 2025.
| 3-3 | ![]() |
| SSR Mining Inc. | Cripple Creek and Victor Mine S-K 1300 Technical Report Summary | November 10, 2025 SLR Project No.: 123.020622.00001 |
| 3.2 | Land Tenure |
The Property encompasses a diverse land tenure structure including owned, leased, and unpatented properties. Mine operations are situated within a permit boundary referred to as the Amendment 12 Permit Boundary or the “A12 Permit Boundary”.
CC&V maintains ownership or control over a significant land package critical to mining operations. CC&V’s land tenure is comprised of approximately 1,642 patented mining claims, two state mining leases, four private mining leases, 25 mineral parcels, 134 surface parcels, and 13 unpatented lode claims encompassing a total area of approximately 15,012 acres.
Of the 15,012 acres, CC&V owns or controls approximately 6,003 acres that are within the A12 Permit Boundary, and the remaining 9,009 acres being located outside the immediate A12 Permit Boundary.
| 3.2.1 | Tenure Rights within the A12 Permit Boundary |
Evidence of rights, titles, and interests in and to real property located within the permit boundary are as follows:
Interests Owned
There are 277 instruments evidenced with Reception Numbers defining ownership in either the surface estate, mineral estate, or both, providing CC&V with the legal right to enter the properties. In Colorado, a "Reception Number" is a unique identifier assigned to a document when it is officially recorded with a county Clerk and Recorder’s Office. This number is critical for tracking land ownership and other real property transactions. A full list of the Reception Numbers is provided in Section 27.0 Appendix 1 (Table 27-1).
Leased Interests
CC&V has entered six unique legal agreements with Colorado Reception Numbers, granting CC&V certain rights to enter the properties within their control. A full list of the Reception Numbers is provided in Section 27.0 Appendix 1 (Table 27-2).
Legal Right to Enter Right-of-Way and Easement Property
There are seven major Right-of-Way Easements assigned to the property, all of which have been granted Colorado Reception Numbers.
Figure 3-3 through Figure 3-5 show the land tenure details.
| 3.2.2 | Agreements |
CC&V has several agreements existing with federal, state, and third-party entities which are monitored using a land management database. The data managed includes contractual obligations, leases, associated payments, parties to agreements, and locations and details of the properties that the agreements cover. All mining leases are managed and reviewed monthly, and all payments and commitments are paid as required by the specific agreements.
The database covers both monetary obligations such as lease payments and non-monetary obligations such as third-party required reporting, work commitments, taxes, and contract expiry dates. The agreements that CC&V has with third parties within the PoOs are monitored using this database. Across the entirety of the CC&V land package, there are currently approximately 133 agreements that are currently in place.
| 3-4 | ![]() |
| SSR Mining Inc. | Cripple Creek and Victor Mine S-K 1300 Technical Report Summary | November 10, 2025 SLR Project No.: 123.020622.00001 |
Figure 3-3: CC&V Owned and Leased Parcels

Figure 3-3 SLR SSR Mining Inc. Cripple Creek and Victor Mine Colorado,USA CC&V Owned and Leased Parcels Legend: Cripple Creek RecBuffer Victor-Goldfield RecBuffer A13 Permit Boundary Exploration Permit Parcels owned/controlled by CC&V Gold CC&V: 100% MN & SR CC&V: 100% MN, no SR CC&V: 100% SR, no MN All other CC&V ownership amounts Teller Parcels leased by CC&V Gold CC&V: Mineral and Surface (MS) CC&V: Mineral Only (MN) Source: SSR 2025.
| 3-5 | ![]() |
| SSR Mining Inc. | Cripple Creek and Victor Mine S-K 1300 Technical Report Summary | November 10, 2025 SLR Project No.: 123.020622.00001 |
Figure 3-4: Parcels Within the Permit Boundary Not Owned by SSR, CC&V, or Subsidiaries

Figure 3-4 Legend: Ownership State of Colorado Dept of Transportation Other Third Party Ownership State of Colorado Parcels Leased by CC&V Gold A12 Permit Boundary City of Cripple Creek Boundary from Teller County SLR SSR Mining Inc. Cripple Creek and Victor Mine Teller County, Colorado, USA Parcels Within the Permit Boundary Not Owned by SST, CC&V, or Subsidiaries Source: CC&V 2025
| 3-6 | ![]() |
| SSR Mining Inc. | Cripple Creek and Victor Mine S-K 1300 Technical Report Summary | November 10, 2025 SLR Project No.: 123.020622.00001 |
Figure 3-5: Land Ownership Map

Figure 3-5 Legend: Owned in whole or in party, by CC&V / SSR N0024885: Title Opinion from Legal Counsel for CC&V contends this should be CC&V ownership Whole owned by Private Third Parties Mineral Estate owned by the State of Colorado Department of Natural Resources Federal Unpatented Claims help by CC&V A12 Permit Boundary City of Cripple Creek Boundary from Teller County Township-Range Grid Section Grid Quarter - Section Grid SLR SSR Mining Inc. Cripple Creek and Victor Mine Teller County, Colorado, USA Land Overview Map Source: CC&V 2025.
| 3-7 | ![]() |
| SSR Mining Inc. | Cripple Creek and Victor Mine S-K 1300 Technical Report Summary | November 10, 2025 SLR Project No.: 123.020622.00001 |
| 3.3 | Encumbrances |
Outside of the identified royalty burdens, no other encumbrances were identified by SLR.
| 3.4 | Royalties |
CC&V is subject to a variety of NSR royalty payments, payable to various parties under the terms of the leases, as described in Section 4.0. The annual average NSR royalty payments range from 0.5% to 10.0%. As per SSR’s finance team analysis, a weighted average rate of 5% was used for cash flow modeling purposes.
| 3-8 | ![]() |
| SSR Mining Inc. | Cripple Creek and Victor Mine S-K 1300 Technical Report Summary | November 10, 2025 SLR Project No.: 123.020622.00001 |
| 3.5 | Required Permits and Status |
CC&V has all required permits to conduct the proposed work on the property.
Key permits at the site include the following:
| · | EPA Clean Air Act Title V Permit |
| · | Construction Air Permit |
| · | Stormwater Permit |
| · | Wastewater Discharge Permits (Arequa, Carlton Tunnel and Fourmile Creek) |
| · | Colorado - Division of Mining, Reclamation and Safety (DRMS) Mine/Reclamation Permit and Amendments |
| · | Radioactive Materials License |
| · | Hazardous Materials Storage and Transportation Permit/Registration |
| · | Monitor and Minor Water Supply Wells (bulk of water is purchased from Teller County) |
| · | Bureau of Alcohol, Tobacco, Firearms and Explosives (BATF) Explosives License |
| · | Federal Communications Commission (FCC) Radio License |
| · | Miscellaneous Nationwide Wetland Permits |
| · | Miscellaneous Building and Septic Permits |
| 3.6 | Other Significant Factors and Risks |
Although no major environmental or community obstacles are currently anticipated, SLR is of the opinion that pending permit actions and legacy compliance issues introduced in Section 17 of this report create uncertainty that will require continued regulatory engagement and proactive environmental management to support mine operations through closure and post-closure monitoring. SLR is not aware of any other significant factors and risks that may affect access, title, or the right or ability to perform the proposed work program on the property. SLR is not aware of any other significant factors and risks that may affect access, title, or the right or ability to perform the proposed work program on the property.
| 3-9 | ![]() |
| SSR Mining Inc. | Cripple Creek and Victor Mine S-K 1300 Technical Report Summary | November 10, 2025 SLR Project No.: 123.020622.00001 |
| 4.0 | Accessibility, Climate, Local Resources, Infrastructure and Physiography |
| 4.1 | Accessibility |
The active mine operations are located between and adjacent to the towns of Victor, Colorado, to the south-southeast, and Cripple Creek, Colorado, to the northwest. The populations of the towns of Victor and Cripple Creek are approximately 354 and 1,092, respectively (World Population, 2025). Colorado Springs is approximately 45 miles from Cripple Creek to the east.
Access to the mine site is within a mile of public roads in the vicinity of Cripple Creek and Victor. The usual access to the area is west from Colorado Springs on State Highway 24 (about 25 miles) to the community of Divide, then south from Divide on State Road 67 (approximately 20 miles). Numerous highways and county roads (CR) can be used to access the property including Highway 67, Colorado Route (CR) 821, CR 81, CR 82, and CR 83.
Colorado Springs Airport (COS) provides commercial air service within a 90-minute drive. Regional freight is supported by local trucking companies, with access to major interstates including Interstate 25 for north-south transport. Rail service is available in Pueblo and Colorado Springs, though not directly connected to the mine site.
| 4.2 | Climate |
The climate in the region is characterized by cold winters and mild summers. During the winter months, temperatures generally range from 5°F to 40°F, while in the summer, temperatures typically range from 40°F to 80°F. The area receives an annual precipitation of approximately 18 in. to 20 in., with approximately half of it occurring as snow. Occasional fog can be encountered during the winter months, and winds are usually light to moderate. Climatic conditions do not generally inhibit field-related activities in the Project area at any time of the year, although wet ground conditions caused by heavy rain or melting snow may prevent access to the Project for short periods.
| 4.3 | Local Resources |
CC&V benefits from a developed regional economy and proximity to industrial, commercial, and municipal services within Teller and El Paso counties, Colorado.
The region provides access to a skilled mining and industrial labor pool, particularly from the city of Colorado Springs (approximately 50 miles east), the towns of Cripple Creek, Victor, and Florissant. Local technical colleges and trade programs support workforce development in mining-related disciplines. The Mine employs both union and non-union workers, with housing options available in surrounding communities.
The Mine maintains long-standing relationships with Teller County, the City of Cripple Creek, and the Town of Victor, with regulatory oversight provided by:
| · | Colorado Division of Reclamation, Mining and Safety (DRMS) |
| · | Colorado Department of Public Health and Environment (CDPHE) |
| · | U.S. Environmental Protection Agency (EPA) |
Community outreach programs are in place to support economic development, education, and environmental stewardship.
| 4-1 | ![]() |
| SSR Mining Inc. | Cripple Creek and Victor Mine S-K 1300 Technical Report Summary | November 10, 2025 SLR Project No.: 123.020622.00001 |
Most of the Mine’s workforce is employed by CC&V directly, with minimal reliance on contractors.
| 4.4 | Infrastructure |
CC&V is a fully integrated open-pit gold mining operation supported by well-established infrastructure across its permitted operational footprint. Additional detail on the Mine and regional infrastructure is provided in Section 15.
| 4.4.1 | Power Supply |
Grid-connected electrical power is supplied by Black Hills Energy through regional transmission lines. Substations and step-down transformers are located onsite to distribute power to pits, the processing plant, and support facilities. Emergency power is available via backup diesel generators for critical systems.
Fuel and propane are delivered by regional suppliers from Colorado Springs and Cañon City.
| 4.4.2 | Water Supply and Management |
All water used on site is purchased from local municipalities and utility companies. The availability, reliability, and security are ensured through multiple water agreements and contracts with the City of Victor, the City of Cripple Creek, Colorado Springs Utility (CSU), Pueblo Board of Water Works and Catlin Canal Company.
Water storage ponds and diversion structures are constructed in accordance with Colorado Division of Reclamation, Mining, and Safety (DRMS) and Colorado Department of Public Health and Environment (CDPHE) regulations.
| 4.4.3 | Processing Facilities |
Ore is transported by haul trucks to a crushing and VLF, where gold is extracted using cyanide leaching followed by carbon ADR. There are two separate ADR plants located at the mine.
A gold refinery is located onsite for final doré bar production. Process solution ponds and lined leach pads are designed with secondary containment and leak detection systems.
| 4.4.4 | Roads and Access |
The site is accessed via paved and all-weather gravel roads from State Highway 67. An extensive network of mine haul roads connects pits, waste dumps, leach pads, and support areas.
| 4.4.5 | Waste Management |
Waste rock storage facilities (WRSFs) are in proximity to the open pits and are permitted with slope stability, water control, and long-term closure criteria. Spent ore disposal is co-managed with the heap leach operations under a monitored reclamation plan.
| 4.4.6 | Ancillary Facilities |
Maintenance shops, fuel stations, and warehouse buildings are centrally located within the operational hub. Administrative offices, change rooms, and training facilities are maintained at the CC&V operations center. Communications infrastructure includes radio systems, fiber-optic networks, and satellite connectivity.
| 4-2 | ![]() |
| SSR Mining Inc. | Cripple Creek and Victor Mine S-K 1300 Technical Report Summary | November 10, 2025 SLR Project No.: 123.020622.00001 |
| 4.4.7 | Reclamation and Environmental Controls |
Reclamation work is conducted progressively and includes regrading, topsoil replacement, and revegetation of disturbed areas. Environmental monitoring infrastructure includes air quality stations, groundwater wells, surface water sampling points, and wildlife observation protocols.
| 4.5 | Physiography |
The site lies in high altitude, relatively dry, mountainous terrain. The site is characterized by rolling hills with numerous peaks and valleys, some quite steep. The Cripple Creek area is subalpine, with elevations ranging from 9,000 feet above sea level (FASL) to a maximum elevation of approximately 10,800 FASL.
A total of six vegetative communities have been identified within the permit boundary and include grassland/mountain meadow communities, mixed conifer communities, aspen stand communities, riparian/wet meadow communities, disturbed areas and reclaimed areas.
| 4-3 | ![]() |
| SSR Mining Inc. | Cripple Creek and Victor Mine S-K 1300 Technical Report Summary | November 10, 2025 SLR Project No.: 123.020622.00001 |
| 5.0 | History |
| 5.1 | Prior Ownership |
CC&V has undergone a series of ownership transitions, reflective of the district’s long mining history and the evolving strategies of major gold producers. The Property was historically fragmented across numerous claims and operators during the underground mining era (1890s to early 20th century), but modern consolidation began in the late 20th century. Table 5-1 summarizes the ownership changes and major events of the property
Table 5-1: Summary History of CC&V Operation and Mining History of the Gold District to Year 2025
| Year | Activity |
| 1890 | Bob Womack discovers gold in Poverty Gulch |
| 1890–1961 | More than 20 million ounces of gold recovered from district |
| 1899–1902 | More than 0.8 million ounces of gold recovered (early years peak production) |
| 1941 | Carlton drainage tunnel completed. |
| 1951–1961 | Carlton Mill operated as a custom mill serving numerous mines in the district |
| 1965 | Golden Cycle Gold Corporation’s (Golden Cycle) claim acquisition in the district totals 4,500 acres |
| 1976 | First heap leach operation started |
| 1976 | CC&V formed as joint venture between Golden Cycle (33%) and Texasgulf Metals (Texasgulf, 67%) |
| 1985 | CC&V starts heap-leaching operations processing low grade waste rock from past underground operations |
| 1988 | CC&V starts surface mining operations at the Portland Mill |
| 1989 | Nerco Minerals purchases Texasgulf’s operations and changes the company name to Pikes Peak Mining |
| 1991 | CC&V resumes surface mining at Ironclad / Globe Hill |
| 1993 | Independence Mining Corporation (IMC) purchases Pikes Peak Mining and completes the design of the Cresson Project. |
| 1994 | The Cresson Project is permitted and mining of the Cresson Project starts. Phase 1 of the VLF 1s completed |
| 1995 | First gold is poured from the Cresson pit. The mine produces 76,000 ounces of gold during the year |
| 1999 | AngloGold Limited (AngloGold) purchases controlling interest in CC&V (67%); remaining 33% held by Golden Cycle |
| 2008 | AngloGold Ashanti Limited (AngloGold Ashanti) acquires Golden Cycle’s interests in CC&V |
| 2015 | Newmont Mining Corporation (Newmont) acquires 100% of CC&V |
| 2025 | SSR acquires 100% of CC&V on February 28, 2025 |
| 5-1 | ![]() |
| SSR Mining Inc. | Cripple Creek and Victor Mine S-K 1300 Technical Report Summary | November 10, 2025 SLR Project No.: 123.020622.00001 |
| 5.2 | Exploration and Development History |
The CC&V Mine is in the Cripple Creek Mining District, one of the most geologically significant volcanic-diatreme-hosted gold systems in North America. The exploration and development history spans over 130 years, evolving from high-grade underground vein mining in the 19th and early 20th centuries to large-scale open-pit and heap leach operations in the modern era.
This section summarizes the concepts and techniques historically implemented at CC&V under previous ownerships to replace mine depletion and discovery of new deposits within the Cripple Creek Diatreme Complex. In addition, greenfield and brownfield exploration targets have been identified, offering further opportunities to define future resources.
| 5.2.1 | Historical Exploration (1890s–1960s) |
Gold was first discovered in October 1890, with early exploration focused on bonanza-grade veins within phonolite dikes and volcanic breccias. Over 500 underground mines operated across the district, producing more than 21 million ounces of gold.
As underground mining advanced to greater depths, water inflows became a critical challenge. To manage this, three major gravity drainage tunnels were constructed. The El Paso Tunnel (completed circa 1903, portal elevation approximately 8,790 FASL) was the first attempt, but proved too shallow in depth. The Roosevelt Tunnel, started in 1907, provided deeper drainage (portal elevation approximately 8,020 FASL) and allowed operations to continue at intermediate levels. The most ambitious was the Carlton Tunnel, driven from 1939 to 1941 with a portal elevation of approximately 6,893 FASL. It extended over six miles to intercept deep workings, dropping the water table by up to 3,000 ft in some areas. These drainage tunnels were essential to prolonging mine life, especially during the early- to mid-20th century when pumping was economically prohibitive. Today, these tunnels act as sources of dewatering for the current open pit operation.
By the mid-20th century, mining activity declined due to economic constraints and fixed gold prices.
| 5.2.2 | Modern Exploration and Open-Pit Development (1970s–1990s) |
In the 1970s and 1980s, exploration shifted to identifying bulk-tonnage, low-grade disseminated gold systems. Golden Cycle and AngloGold consolidated historical claims and conducted RC and core drilling, culminating in the formation of CC&V and the commencement of open-pit mining in 1994.
| 5.2.3 | Previous Exploration (1994–2024) |
Since 1994, exploration has focused on step-out drilling around active pits (e.g., Globe Hill, Schist Island, South Cresson), deep extensions beneath known deposits, and targeting new breccia and intrusive-hosted systems. Newmont's 2015 acquisition accelerated exploration, especially in evaluating underground potential beneath open pits and advancing regional greenfield targets.
| 5.2.3.1 | Exploration Concepts and Techniques |
The Cripple Creek Diatreme Complex is situated within a mature mining district that has undergone extensive gold exploration and underground mining since its discovery in the early 1890s. A comprehensive land consolidation effort in the 1980s and 1990s reinvigorated gold exploration and development, leading to the commencement of the Cresson Mining Project in December 1994; since the 1990s, exploration and development have continued uninterrupted to the present day. The Cripple Creek Diatreme Complex remains underexplored at depth. Current programs integrate legacy data with advanced geological modeling. Near-mine exploration focuses on step-out and infill drilling, while greenfield programs utilize mapping, soil and rock samplingas well as geophysics. Exploration targets include structural intersections, lithologic contacts, and underexplored volcanic outlier units.
| 5-2 | ![]() |
| SSR Mining Inc. | Cripple Creek and Victor Mine S-K 1300 Technical Report Summary | November 10, 2025 SLR Project No.: 123.020622.00001 |
| 5.2.3.2 | Geophysics |
From 1990 through 2023, airborne and ground-based geophysical methods supported exploration, including structural and lithologic mapping efforts, alteration zone identification, and mineralization vectoring.
Techniques include magnetics, radiometrics and electromagnetics (EM), gravity, galvanic resistivity, controlled source audio magnetotellurics (CSAMT), magnetotellurics (MT), self-potential (SP), induced polarization (IP), direct current induced polarization (DCIP)-Titan Line, magnetic susceptibility logging of drill holes. Reprocessing of historical surveys and petrophysical analyses of core samples have enhanced geological interpretations and target identification.
| 5.2.3.3 | Geochemical Sampling |
Prior to 2015, a total of 3,626 soil and 7,204 rock chip samples were collected throughout the district by previous mine owners. The samples collected during this time were primarily analyzed for gold with sporadic multi-element coverage. Between 2015 and 2024, Newmont undertook extensive surface geochemistry campaigns, including their proprietary Deep Sensing Geochemistry (DSG):
| · | Post-2015: DSG, traditional soil, and BLEG surveys. |
| · | 2017: 586 soil samples in Grass Valley (samples collected post 2017 were analyzed for both gold and multi-element suites) |
| · | 2019: 822 DSG samples surrounding the diatreme from the northwest to the southeast. |
| · | 2022: 88 DSG samples to investigate a northwest trend projecting beyond the diatreme. |
| · | 2024: 141 samples planned across volcanic outlier units. |
Newmont’s proprietary DSG is a surface-sampling geochemical approach developed to detect ultra-low concentrations of gold and pathfinder elements in challenging terrains such as transported cover, calcrete, and aeolian sands. Evolving from Newmont’s pioneering Bulk Leach Extractable Gold (BLEG) work, DSG employs ultra-clean digestion procedures and ultra-trace analytical methods focused on fine sediment fractions. This technique enables the identification of subtle geochemical halos from deeply buried or “blind” mineral systems that are undetectable by conventional surface sampling methods
Table 5-2 provides details of the geophysical and geochemical surveys carried across the property since 1990.
| 5-3 | ![]() |
| SSR Mining Inc. | Cripple Creek and Victor Mine S-K 1300 Technical Report Summary | November 10, 2025 SLR Project No.: 123.020622.00001 |
Table 5-2: Summary of Geophysical and Surface Geochemistry Surveys completed by Previous Owners
| Year | Company | Details |
| Geochemistry Surveys | ||
| 2009–2010 | AngloGold Ashanti | District wide sampling campaign. 283 rock chip samples were collected between 2009 and 2010. Analyzed for Au by Fire Assay (FA) and Shake Leach (SL). |
| 2017 | Newmont | 586 soil samples were collected in the Grass Valley area-Section 16, CC&V leased land. |
| 2019 | Newmont | 194 DSG (Deep Sensing Geochemistry) samples collect surrounding the Cripple Creek Diatreme from NW-NE and SW. Samples were collected in parallel fence lines. DSG sampling campaign was carried out around the Cripple Creek Diatreme to test for extensions along regional structure zones that influence the Cripple Creek Diatreme. |
| 2022 | Newmont | DSG Survey line to test the continuity if NW trending structures roughly 1.5km outside of the current mine boundary. 88 samples collected at 25m spacing on Newmont controlled parcels. |
| 2024 | Newmont | 141 samples were planned surrounding the volcanic outlier units. A total of 22 samples were collected during the year. A BLEG survey was planned to test volcanic outlier units surrounding the main diatreme in an effort to rank, and assess the prospectivity of the units for future follow up work. |
| Geophysical Surveys | ||
| 1990 | Dighem Surveys and Processing Inc. | Airborne EM-Dighem-March 1990, Survey # 560, Line spacing 100m, Tie line spacing 1000m, Nominal Terrain Clearance (magnetometer)~40m, Nominal Terrain Clearance (EM)~40m, Lines Direction E-W 90 degrees, Tie Lines Direction N-S 0 degrees. |
| 1996–1999 | EDCON | Gravity surveys 819 stations collected in 1996, 1997, 1999. |
| 1999 | High-sense Geophysics Limited | Airborne Magnetic and Radiometrics-HSG Project #990922-7. 100 m (E-W) line spacing, tie Line (N-S) spacing 1,000 m Nominal terrain clearance 40 m magnetometer flight height. Nominal terrain clearance 60 m sensor height. 1,121 line-kilometers (line-km) surveyed in total. 25 m cell grids produced (Total Magnetic Intensity (TMI) & Reduced To Pole (RTP)). Total kilometres surveyed: 502 km |
| 2001 | Ellis Geophysical Consulting Inc | Processing of Airborne-Ground Magnetic, EM, Gravity, and Radiometrics-DIGHEM Airborne Survey, High Sense Airborne Survey, Merged EDCON-NGS Gravity Survey, Crusher area Ground Magnetic. Products include-Rasterized hp650 Plot Files, ARCVIEW TIFF Files, AUTOCAD 12 DXF Files, ARCVIEW Shape Files (RTP, TMI, Resistivity, K-U-T Radiometric images, Bouguer Gravity, AS-Analytical Signal) |
| 5-4 | ![]() |
| SSR Mining Inc. | Cripple Creek and Victor Mine S-K 1300 Technical Report Summary | November 10, 2025 SLR Project No.: 123.020622.00001 |
| Year | Company | Details |
| 2002 | Zonge | IP-CSAMT-3D CSAMT, 3D Inv IP, 3D Inv Res. |
| 2014 | Mira Geoscience and Fullgar Geophysics | Reprocessing of geophysical techniques applied at Cripple Creek Prior to 2002, Helicopter Magnetics, Ground Gravity, Helicopter Frequency Domain EM, Petrophysical Properties, Induced Polarisation (pole-dipole) and CSAMT. Compile all available data into a Common Earth Model (CEM). |
| 2015 | AngloGold Ashanti | ReProcessing of 1999 Airborne Magnetic and Radiometrics-Ockert Terbalnche Reprocess-Re-grid data at 17.5 m cell size (original 25 m). |
| 2015 | AngloGold Ashanti | Reprocessing of 2002 Zonge IP-CSAMT Survey, CC&V CONTROLLED SOURCE AUDIO-MAGNETOTELLURIC (CSAMT) data-Ockert Terblanche-ReProcessing CSAMT data collected in 2001 as part of IP/Resistivity. |
| 2015 | Newmont | Thomas Tsiboah-reprocess airborne magnetic data, dighem survey (1990) & high sense survey (1999) |
| 2017 | Zonge International, Inc. | Zonge International, Inc. performed a gravity survey on the Property, A total of 454 unique grid stations were acquired (477 station occupations including 22 repeated stations). The survey data was merged into 819 stations collected by EDCON in 1996, 1997, 1999. |
| 2021 | Quantec Geoscience | Ground DCIP & MT Survey-The purpose of the survey was to test the effectiveness of the deep imaging technology to map structure and sulfides at depth in the vicinity of the active mine for further exploration applications near the Cripple Creek Mine. The Titan 160 DCIP & MT surveys were designed to provide resolution resistivity and chargeability from the DCIP surveys, while imaging to the desired depth of investigation for the Project. 25 m Dipoles with n=30 was used for the DCIP and 50 m dipoles applied to the MT. |
| 2022 | Newmont | Thomas Tsiboah reprocess, Complete Bouguer Gravity, Micro-Leveling, Tilt derivative, Total horizontal gradient, Residual |
| 2022 | Newmont | Thomas Tsiboah reprocess of airborne magnetics, high sense, Total magnetic intensity reduced to pole grids. |
| 2023 | Newmont | High sense airborne magnetic model, Magnetic susceptibility depth slives and iso surfaces. 3D Magsus Analytical signal, Vector residual magnetic intensity, |
| 2023 | Terra Pertrophysics PTY. LTD. | Terra Petrophysics have performed petrophysical analysis of 146 core samples for Newmont, measurement of the following physical properties included, measurement of the following physical properties, Inductive Conductivity, Inductive Conductivity, Inductive Conductivity, Dry Bulk Density, Apparent Porosity, Apparent Porosity, Spectral Radiometrics. |
| 5-5 | ![]() |
| SSR Mining Inc. | Cripple Creek and Victor Mine S-K 1300 Technical Report Summary | November 10, 2025 SLR Project No.: 123.020622.00001 |
| 5.2.4 | Previous Drilling |
Drilling activities at CC&V have been conducted to support a variety of technical objectives, including Mineral Resource expansion and delineation, Mineral Reserve conversion, geotechnical and hydrogeologic evaluation, and metallurgical testing. The primary drilling methods employed are reverse circulation (RC) and diamond core (Core or DDH) drilling with conventional rotary drilling used for production blasthole control.
As of December 31, 2024, SSR predecessors have completed a total of 17,627 exploration drill holes (Table 5-3) at CC&V for a combined footage of approximately 9.3 million ft (2.8 Mm). Of this total, approximately 89% of the database consists of RC drilling, 9% represents core drilling with the remaining labeled as unknown type. Drilling activities can generally be conducted year-round due to favorable site conditions. Drill hole collar locations are shown in Figure 5-1. A total of 14,042 drill holes drilled between 1977 and 2024 have been reported to be used in the current Mineral Resource estimates.
Table 5-3: CC&V Drill Hole Database
| Company | Year | # Drill Holes | Total Drill (ft) | Total RC (ft) | Total Core (ft) | Total No Drill Type (ft) |
| Various | 1916–1973 | 97 | 21,968 | - | 20,574 | 1,394 |
| Texasgulf / Golden Cycle (JV) | 1974–1988 | 556 | 185,842 | 60,119 | 14,221 | 111,502 |
| Nerco / Golden Cycle (JV) | 1989–1992 | 1,773 | 939,389 | 873,636 | 64,453 | 1,300 |
| Independence Mining / Golden Cycle (JV) | 1993–1998 | 2,122 | 1,266,479 | 1,184,943 | 76,243 | 5,293 |
| AngloGold / Golden Cycle (JV) | 1999–2007 | 4,419 | 2,652,462 | 2,479,690 | 119,566 | 53,206 |
| AngloGold Ashanti | 2008–2015 | 3,794 | 1,882,995 | 1,708,458 | 157,189 | 17,348 |
| Newmont | 2016–2024 | 4,866 | 2,363,737 | 1,993,388 | 364,913 | 5,436 |
| Total | 17,627 | 9,312,872 | 8,300,234 | 817,159 | 195,479 | |
| % of Total | 89% | 9% | 2% | |||
|
Notes: Not all of the drilling is used for resource estimation. Year and company breaks are approximate. | ||||||
| 5.2.4.1 | Drilling Methods and Applications |
RC drilling has been the principal exploration and delineation method at CC&V, particularly effective due to minimal groundwater presence resulting from historical dewatering. Truck- or track-mounted rigs with standard tri-cone or carbide-button hammer bits are used. Where sample recovery loss occurs, center-return hammer or rotary bits are employed to collect samples at the bit face. This method is used extensively for exploration and void detection.
DDH drilling has been used to define geotechnical parameters for high wall designs, provide metallurgical and samples for waste rock geochemistry, and to supplement RC drilling in areas with high void potential. Core diameters include PQ (85 mm), HQ (63.5 mm), and NQ (47.6 mm), with holes typically starting at PQ size and reduced at depth based on geological conditions.
| 5-6 | ![]() |
| SSR Mining Inc. | Cripple Creek and Victor Mine S-K 1300 Technical Report Summary | November 10, 2025 SLR Project No.: 123.020622.00001 |
Rotary blasthole drilling has been used to support ore control and mine production activities. While blasthole data has not been directly used in resource estimation, monthly reconciliation of production data against the block model informs updates to the Mineral Resource model.
| 5.2.4.2 | Surveying and Quality Assurance |
All drill hole collars are surveyed using GPS rover systems and subsequently marked and labeled. Downhole surveys are conducted using north-seeking gyroscopic tools. Deviation control includes comparison of actual paths against planned trajectories. Drill holes exhibiting doglegs exceeding 5° within 100 ft, or collar locations offset more than 30 ft from planned positions, are reviewed prior to inclusion in the database. All drill holes are grouted and abandoned following completion.
| 5.2.4.3 | Drill Spacing |
Drill spacing is tailored to the specific purpose of each drilling program:
| · | 400 ft (122 m) for condemnation drilling |
| · | 100 ft (30.5 m) for Mineral Resource to Mineral Reserve conversion |
Holes are generally drilled in an East/West orientation, given the majority of structurally controlled ore zones are striking NE or NW. The dips of drill holes range from vertical to 45 degrees from vertical, with a district average of approximately 57 degrees. The average depth of holes in the district is 900 feet.
| 5-7 | ![]() |
| SSR Mining Inc. | Cripple Creek and Victor Mine S-K 1300 Technical Report Summary | November 10, 2025 SLR Project No.: 123.020622.00001 |
Figure 5-1: CC&V Drill Hole Location Map

Figure 5-1 Legend: A13 Permit Boundary Drill Hole Year: 2016 2008 1999 1993 1989 1974 1916 SLR SSR Mining Inc. Cripple Creek and Victor Mine Teller County, Colorado, USA CC&V Drill Hole Location Map Source: SLR 2025
| 5-8 | ![]() |
| SSR Mining Inc. | Cripple Creek and Victor Mine S-K 1300 Technical Report Summary | November 10, 2025 SLR Project No.: 123.020622.00001 |
| 5.3 | Past Production |
| 5.3.1 | Historical Mining Overview |
CC&V is situated in the Cripple Creek Mining District (originally known as the Pike’s Peak Gold Rush) of Teller County, Colorado, which is considered to be among the most productive gold-producing regions in the United States. Gold was first discovered in the district in 1890 by Robert Womack (the El Paso lode), leading to extensive underground mining operations that persisted for over six decades.
Winfield Scott Stratton discovered what became his Portland Mine near Victor. By 1893, 10,000 miners working in the district produced one third of Colorado's gold output. Gold cyanidation was introduced in 1895 and used with chlorination in the mills for gold extraction. By 1895, half of Colorado's gold production of 660,000 ounces came from the district. In 1897, half a million troy ounces of gold were produced, and in 1900, 900,000 troy ounces, two thirds of the US output. By 1920, 41 mines were active, and cumulative gold production was over 500 tons. It is reported that 524 mines were part of the Cripple Creek District.
The cities of Cripple Creek and Victor were established to serve the mines and miners of the district. Among the principal mines were the Mollie Kathleen Gold Mine at Cripple Creek and Stratton's Independence mine at Victor, Colorado. As such, the mining area eventually became known as the Cripple Creek District.
By 1990, gold production from the district from more than 500 mines was estimated at over 21 million troy ounces (650 t), making it the most productive gold-producing district in Colorado, and the third-most productive in the United States (after Carlin, Nevada, and Lead, South Dakota). Many of the mines in the Cripple Creek District were quite deep and difficult to drain. The initial, almost five-mile (8.0 km) Roosevelt Tunnel was a mine drainage tunnel dug between 1907 and 1919 below the Cripple Creek area to drain the mines and simplify mining of the deposit areas.
| 5.3.2 | Modern Production History |
In the late 1970s, the Cripple Creek & Victor Gold Mining Company (CC&V) was formed through a joint venture between Golden Cycle Gold Corporation and AngloGold (via its acquisition of the Pikes Peak Mining Company). This marked the beginning of modern open-pit heap leach operations, transitioning the district away from underground mining.
| · | Open-pit mining commenced in 1994 at the Cresson Project, utilizing heap leach processing methods. |
| · | From 1994 to 2014, under joint venture and later full ownership by AngloGold Ashanti, CC&V produced approximately 4.5 million ounces of gold. |
| · | In 2015, Newmont Corporation acquired 100% ownership of the mine and continued to operate the facility. |
| · | Between 2015 and 2024, under Newmont's ownership, CC&V produced an additional 1.5 to 2.0 million ounces, with average annual production ranging from 250,000 to 325,000 oz per year, with maximum gold production of 451,000 oz in 2017. Gold production has steadily declined to around 146,000 oz in 2024. |
| · | Total modern gold production (1994 to 2024) is estimated at approximately 6.5 to 7.0 million ounces. |
| 5-9 | ![]() |
| SSR Mining Inc. | Cripple Creek and Victor Mine S-K 1300 Technical Report Summary | November 10, 2025 SLR Project No.: 123.020622.00001 |
| 6.0 | Geological Setting, Mineralization, and Deposit |
| 6.1 | Regional Geology |
The Cripple Creek mining district (Figure 6-1) is located within a Tertiary age alkaline volcanic/diatreme complex that spans from 34 to 28 Ma. Country rocks surrounding the volcanic diatreme are composed of Proterozoic age Precambrian granites and metamorphic units. Emplacement of the alkaline volcanic complex and subsequent gold mineralization is believed to be associated with tectonic development along the mid-continent Rio Grande Rift system in Colorado.
The extensional Rio Grande system is most obvious in the Cripple Creek area along northwest striking structures such as Garden Park (the four mile and oil creek faults accommodate very little normal motion shown by Birmingham and Birmingham and mapping by CC&V geologist (Wobus 1976)). Northeast regional trends also exist and are likely related to a pre-existing fabric that was developed during the Proterozoic. This rift environment may have extended south into the Cripple Creek area; however, the primary extensional timing is post Cripple Creek Diatreme formation.
| 6-1 | ![]() |
| SSR Mining Inc. | Cripple Creek and Victor Mine S-K 1300 Technical Report Summary | November 10, 2025 SLR Project No.: 123.020622.00001 |
Figure 6-1: Regional Geology

Figure 6-1 Legend: Quarternary glacial outwash Eocene alluvium Lampropheyre matrix breccia Hydrotermal breccia Cripple Creek breccia Undifferentiated porphyritic phonolite Phonotephrite Pikes Peak granite Cripple Creek monzonite Ajax granodiorite Metamorphic rocks (undifferentiated) Dykes (Undifferentiated) Locations: Hill Pit Town SLR SSR Mining Inc. Cripple Creek and Victor Mine Teller County, Colorado, USA Regional Geology Source: SSR 2025 (modified after Wobus et al., 1976; Jensen, 2003; Dye, 2015).
| 6-2 | ![]() |
| SSR Mining Inc. | Cripple Creek and Victor Mine S-K 1300 Technical Report Summary | November 10, 2025 SLR Project No.: 123.020622.00001 |
| 6.2 | District (Local) Geology |
The CC&V gold deposit lies within an approximately 18 km² diatreme emplaced at the intersection of four Proterozoic basement units: biotite gneiss (>1.75 Ga), granodiorite/augen gneiss (1.7 Ga), Cripple Creek quartz monzonite (equivalent to Ajax Granodiorite, 1.43 Ga), and Pikes Peak granite (1.1 Ga) (Hutchinson and Hedge 1968). This intersection likely represents a deep-seated structural weakness that localized Tertiary alkaline volcanism (32 to 28 Ma), coinciding with regional post-Laramide magmatism (80 to 35 Ma). The local geology is illustrated in Figure 6-2 through Figure 6-5
The diatreme consists predominantly of variable diatremal breccia, containing clasts from nearly all local rock types (excluding lamprophyre), along with volcaniclastic sediments, bedded tuffs, base surge deposits, and fossiliferous lacustrine sediments. Breccia units were intruded by phonolite–phonotephrite–ultramafic lamprophyric dikes and sills along major structures, often exhibiting explosion textures near the surface.
Later intrusions included plugs, domes, and small stocks ranging from tephriphonolite to phonolite, decreasing in volume and becoming more mafic over time. These alkaline intrusions are characterized by high K-silica ratios, feldspathoids, and xenocrystic quartz (Jensen 2003).
Gold mineralization followed shortly after the final volcanic phases, accompanied by late-stage hydrothermal breccia pipe formation.
| 6.3 | Tertiary Lithologies |
The Tertiary alkaline rocks of the CC&V diatreme complex are divided into five principal units, although many variations exist within each group. These units are described in detail by Birmingham (1990) and Kelley (1996). These principal volcanic units consist of the Cripple Creek Breccia, Phonolites, Tephriphonolite, Phonotephrite, and Lamprophyre. The following subsections provide more detail for each of these principal units.
| 6.3.1 | Cripple Creek Breccia |
Cripple Creek Breccia is the most common and widespread rock type in the volcanic complex. This unit can be described as a poorly sorted heterolithic matrix supported diatremal breccia. This breccia unit likely grades into stratified volcaniclastic sediments and is composed of clasts from Precambrian units and early volcanics. An average sample of the unit is generally vuggy with variable dolomite cement and weathers to a light brown color. Numerous other breccia units formed in the diatreme complex and range from fine grained bedded volcaniclastics with fossil leaf imprints to late stage mineralized hydrothermal breccias and base surge deposits.
| 6.3.2 | Phonolites |
Phonolite occurs throughout the volcanic complex. This rock type has various textures from aphanitic to porphyritic. Phonolite ranges in color from black where fresh, to more commonly white to reddish or light gray, where hydrothermally altered. Commonly aphanitic phonolites occur as dikes, sills and small plugs. The porphyritic units generally form large sills, flows and stocks.
| 6.3.3 | Syenite |
Syenite occurs as a minor intrusive rock associated with the district’s alkaline igneous complex. These syenites are typically coarse-grained, silica-undersaturated, and may include nepheline-bearing varieties that represent deeper intrusive equivalents to the more abundant phonolite. While not a primary host for gold mineralization, syenite bodies are part of the same magmatic system that generated the gold-bearing phonolitic dikes and breccias, and may have contributed to the thermal and fluid evolution of the deposit.
| 6-3 | ![]() |
| SSR Mining Inc. | Cripple Creek and Victor Mine S-K 1300 Technical Report Summary | November 10, 2025 SLR Project No.: 123.020622.00001 |
| 6.3.4 | Tephriphonolite |
Tephriphonolite and its intrusive equivalent, nepheline monzosyenite occur as dikes, sills and small stocks in the central part of the volcanic complex. This unit occurs as equigranular to porphyritic rocks with plagioclase and pyroxene as the primary phenocrysts. Tephriphonolite is porphyritic and dark gray to black. Monzosyenite is typically equigranular to porphyritic and displays a salt and pepper appearance and a medium to dark grey color.
| 6.3.5 | Phonotephrite |
Phonotephrite occurs as a flow dome feature and as infrequent dikes in one area of the volcanic complex (historically referred to as trachydolerite). This unit is porphyritic, with pyroxene as the major phenocryst. Phonotephrite is dark gray to black and has a characteristic flaggy fracture pattern.
| 6.3.6 | Lamprophyre |
Lamprophyres occur throughout the volcanic complex, primarily as steeply dipping dikes (historically referred to as alkali basalt). These units occur late in the volcanic sequence. They are commonly porphyritic with olivine, pyroxene and biotite phenocrysts. Lamprophyre is greenish black in color and readily alters to greenish clays.
| 6-4 | ![]() |
| SSR Mining Inc. | Cripple Creek and Victor Mine S-K 1300 Technical Report Summary | November 10, 2025 SLR Project No.: 123.020622.00001 |
Figure 6-2: Local Geology Map

Figure 6-2 Legend: Qal Quaternary Alluvium Veins High grade gold-telluride veins, predominantly Qyartz+Calaverite+Fluuorite+Pyrite+Adularia Tisbx Hydrothermal breccia Late-stage hydrothermal breccia pipes associated with argillic alteration Tlu Lamprophyre Dike Porphyritic hornblend-pyroxene-olivine-biotite bearing lamprophyre dike Tibx Lamprophyre Matrix Breccia Late-stage lamprophyre breccia pipe with late carbonate alteration Tphd Aphanitic Phonolite Dike Fine-grain orthoclase bearing phonolite dike Tph Aphanitic Phonolite Fine-grained orthoclase bearing phonolite Tphkd Porphyritic Phonolite Dike Porphyritic Alkali Feldspar bearing phonolite dike Tphkbx Phonolite Martix Breccia Matrix supported breccia, characterized by feldspar phenocrysts in matrix Tphk Porphyritic Phonolite Porphyritic K-spar bearing phonolite Tphm Mafic Phonolite Porphyritic hornblend-pyroxene-biotite-alkali feldspar bear phonolite Tsy Syenite Equigranular orthoclase-plagioclase-pyroxene bearing syenite Tbx1 Cripple Creek Breccia Poorly sort sorted matrix supported diatreme crater fill breccia Tbx2 Bedded Cripple Creek Breccia Variably stratified volcanoclastic breccia Ypp Pikes Peak Granite Biotite-hornblend-microline bearing granite Ycc Cripple Creek Quartz Monzonite Biotite-muscovite quart bearing monzonite Xgd Ajax Granodiorite Hornblende-biotite bearing granodiorite Xgnb Biotite Gneiss Strongly foliated, biotite-quartz-plagioclase bearing gneiss schist Precambrian Tertiary Quaternary Breccia Phonolite Lamprophyre SLR SSR Mining Inc. Cripple Creek and Victor Mine Colorado, USA CC&V Geologic Map Source: SSR 2025
| 6-5 | ![]() |
| SSR Mining Inc. | Cripple Creek and Victor Mine S-K 1300 Technical Report Summary | November 10, 2025 SLR Project No.: 123.020622.00001 |
Figure 6-3: Stratigraphic Column
Source: SSR 2025
Figure 6-3: QalQ al - Quaternary Alluvium Veins - High grade gold-telluride veins, predominantly Quartz+Calaverite+Flurite+Pyrite+Adularia Tlsbx Tlsbx - Late-Stage Hydrothermal breccia Late-stage breccia pipes consisting of angular to rounded, heterolithic clasts in a rock flour matrix. Typically associated with pervasive argillic alteration Tlu Tlu - Undifferentiated Lamprophyre Dike, Tlh - Hornblende dominant lamprophyre, Tlb - Biotite dominant lamprophyre Dark-green to greenish-black, fine to medium grained, porphyritic texture, phenocrysts of hornblende, biotite pyroxene, and olivine in an analcime matrix with minor orthoclase, magnetite and apatite Tlbx Tlbx - Lamprophyre Matrix Breccia Late-stage lamprophyre breccia pipe consisting of both matrix and clast supported heterolithic breccia with abundant dark-green lamprophyre clasts and variable late carbonate alteration Tphd Tphd - Aphanitic Phonolite Dike Grey, brown or pink aphanitic phonolite composed of fine-grained orthoclase, and nepheline, with minor aegirine-augite, and analcime Tph Tph - Aphanitic Phonolite Grey, brown or pink aphanitic phonolite composed of fine-grained orthoclase, and nepheline, with minor aegirine-augite, and analcime Tphkd Tphkd - Alkali Feldspar bearing Porphyritic Phonolite Dike Light to medium-gray, porphyry with subhedral to euhedral medium to course-grained phenocrysts of alkali feldspar with minor amounts of feldspathoids, glassy apatite and pyroxenes Tphkbx Tphkbx - Porphyritic Phonolite Matrix Breccia Grey, poorly sorted matric supported breccia, characterized by alkali feldspar phenocrysts in matrix of breccia Tphk Tphk - Alkali Feldspar bearing Porphyritic Phonolite Grey, brown or pink porphyritic phonolite composed of fine-grained orthoclase, and nepheline, with minor aegirine-augite, and analcime Tphm Tphm - Mafic (Hornblende/Pyroxene) bear Phonolite, Tphh - Hornblende dominant, Tphb - Biotite dominant Grey, medium-grained porphyry with euhedral to subhedral hornblende, biotite, aegirine-augite, and alkali feldspar phenocrysts Tsy Tsy - Syenite Grey, medium to fine-grained intrusive composed of orthoclase, plagioclase, pyroxene with minor hornblende and analcime. Commonly occurring as small to medium sized stocks Tbx1l Tbx1L - Cripple Creek Lapilli Breccia Generally massive, structureless, poorly sorted matrix supported breccia, typical of diatreme crater fill breccia. Clasts are sub-angular to sub-rounded and primarily composed of various phonolite units with occasional Precambrian fragments. Commonly shows varying degrees of hydrothermal alteration Tbx2 Tbx2 - Cripple Creek Breccia - Bedded (Oligocene) Variably stratified volcaniclastic breccia with matrix and clast compositions much the same as Tbx1L. Locally occurs in thinly bedded base surge deposits. Ypp Ypp - Pikes Peak Granite Massive, pink to reddish tan, medium to course-grained biotite-hornblende-microcline granite Ycc Ycc - Cripple Creek Quartz Monzonite Massive, pink, medium-grained, biotite-muscovite quartz monzonite Xgd Xgd - Granodiorite Massive to foliated, medium to coarse-grained hornblende-biotite granodiorite. Locally occurs and augen gneiss. Includes diabase dikes and schistose lenses. Xgnb Xgnb - Biotite Gneiss Strongly foliated, biotite-quartz-plagioclase gneiss to schist, which is locally migmatitic Precambrian Tertiary Quaternary Breccia Phonolites Lamprophyres
| 6-6 | ![]() |
| SSR Mining Inc. | Cripple Creek and Victor Mine S-K 1300 Technical Report Summary | November 10, 2025 SLR Project No.: 123.020622.00001 |
Figure 6-4: Cross Section of Local Geology Globe Hill (Northwest to Southeast)

Figure 6-4: Legend: Ajax Granodiorite CC Qtz Monzonite Cripple Creek Breccia Late Stage Breccia Porphyritic Phonolite Yavapai Metaseds Phonolite Dikes Lamprophyre Dikes Veins Source: SSR 2025. SSR Mining Inc. Cripple Creek and Victor Mine Teller County, Colorado, USA Cross-Section of Local Geology Globe Hill (Northwest to Southeast)
| 6-7 | ![]() |
| SSR Mining Inc. | Cripple Creek and Victor Mine S-K 1300 Technical Report Summary | November 10, 2025 SLR Project No.: 123.020622.00001 |
Figure 6-5: Cross Section of Local Geology Cresson to Altman (East to West)

Figure 6-5: Legend: Ajax Granodiorite Cripple Creek Breccia Late Stage Breccia Porphyritic Phonolite Mafic Phonolite Phonolite Dikes Lamprophyre Dikes Veins Dump Material Source: SSR 2025. SSR Mining Inc. Cripple Creek and Victor Mine Teller County, Colorado, USA Cross Section of Local Geology Cresson to Altman (East to West)
| 6-8 | ![]() |
| SSR Mining Inc. | Cripple Creek and Victor Mine S-K 1300 Technical Report Summary | November 10, 2025 SLR Project No.: 123.020622.00001 |
| 6.4 | Alteration |
Epithermal gold deposits associated with alkaline magmatism can be characterized by: 1) a large volume of alkali and carbonate metasomatism, 2) tellurium (Te) minerals, high Au/Ag ratios, 3) low concentrations of sulfides and base metals, and 4) minimal acidic alteration (low clays) (Jensen and Barton 2000).
Unaltered volcanic rocks in the Cripple Creek Diatreme are extremely rare. The alteration history of the diatreme is complex and most recently summarized by Eric Jensen (2003). Original Na>K volcanic alkaline rocks were modified by multiple pulses of alkali metasomatism.
Though not economically significant, early widespread alkali/specularite alteration occurred during the late stages of diatreme formation. This alteration is overprinted by a later K-feldspar ± pyrite ± carbonate gold-bearing event, characterized mainly by adularia or low-temperature feldspars, with subordinate sericite and K-rich clays. Whole-rock K₂O in highly altered volcanics can reach 15%. This alteration is closely associated with economic gold mineralization.
In lamprophyres and Precambrian mafic host rocks, K-metasomatism is further marked by narrow zones of sericite and carbonate alteration (Jensen and Barton 2000).
K-feldspar ± pyrite ± carbonate alteration assemblages also overprint an earlier, high-temperature, biotite-stable, dark micaceous alteration with elevated base metals. Mafic minerals are replaced by secondary biotite and pyrite.
Minor acid alteration (quartz-dickite) occurs in restricted zones. Narrow quartz veins may host K-feldspar, fluorite, pyrite, and occasionally roscoelite. Many high-grade Au-Te veins are associated with this assemblage (Lindgren and Ransome 1906).
| 6.5 | Structure |
The CC&V Diatreme Complex lies at the intersection of regional-scale structures aligned with Proterozoic Yavapai-Mazatzal suture splays and overprinted by Laramide-aged architecture. Emplaced after 43 Ma during the retreat of the Paleogene Volcanic Arc, the Cripple Creek Diatreme was formed in an emerging dilatant zone linked to Late Laramide–Rio Grande rift-related extension. Transition from Laramide transpression to transtension in the Rocky Mountain Cordillera facilitated the development of the Rio Grande Rift and continued alkaline magmatism at Cripple Creek until approximately 27 Ma.
A shift in principal stress from northeast to north-northwest induced oblique dextral shear along pre-existing NW-trending structures during gold mineralization. Strain mapping shows early low-angle contractional features evolving into steep, oblique extensional faults, paralleling structural patterns seen at Emperor, Porgera, and possibly Dongping (Richards and Kerrich 1993; Mao et al. 2003). This geodynamic context scales down to observable structural controls within the orebody.
The district is crosscut by several major structures, often intruded by late-stage alkaline or lamprophyre dikes. The dominant structural fabric is sub-vertical, trending N20W–N50W and N20E–N70E, mirroring regional Precambrian trends. Though individual structures show minimal slip (<1 m), their orientation and kinematics strongly control ore localization and geometry.
Major veins in the Cripple Creek District display vertical continuity of more than 1,000 m below the present-day surface (Loughlin and Koschmann 1935; Thompson and others 1985; Kelley et al. 2020). A signification portion of the high-grade ore zones occur in veins that are controlled by the northwest and northeast trends that parallel regional structures and suture zones that were developed during the Mesoproterozoic deformation which experienced reactivation during the Laramide orogeny or events associated with the Rio Grande rift (Kelley and others 2020; Kelley and Ludington 2002).
| 6-9 | ![]() |
| SSR Mining Inc. | Cripple Creek and Victor Mine S-K 1300 Technical Report Summary | November 10, 2025 SLR Project No.: 123.020622.00001 |
| 6.6 | Mineralization |
The main gold mineralization event at the Cripple Creek & Victor (CC&V) deposit post-dates the final lamprophyre intrusions and is associated with tectonic activity linked to the development of the Rio Grande Rift. Alkaline volcanic emplacement began after 34 million years ago (Ma), with gold mineralization dated by rhenium-osmium (Re-Os) geochronology at 30.9 ± 0.09 Ma and 26.6 ± 0.09 Ma. Gold is hosted in all major rock types, including Precambrian granites located outside the diatreme, and is preferentially concentrated along second- and third-order structural features.
Mineralization is expressed in two overlapping styles: (1) low-grade disseminated and microfracture-controlled gold-pyrite-telluride mineralization, and (2) high-grade fracture-hosted gold-silver telluride veins. The low-grade mineralization is commonly microcrystalline and occurs in pyrite- and telluride-bearing zones of enhanced permeability near high-grade structures. In contrast, high-grade mineralization is typically localized along lithologic contacts, particularly between Cripple Creek Breccia and either intrusive or Precambrian host rocks, where fluid flow was focused due to contrasts in porosity and permeability or pre-existing brecciation (Kelley et al., 2020). Sheeted vein systems, typically 0.5 to 3 meters wide, are composed of networks of narrow fissures less than 50 millimeters wide (Kelley et al., 2020).
Isotopic analyses, including oxygen-18, deuterium, sulfur-34, and lead isotope ratios, indicate that the hydrothermal fluids responsible for mineralization were primarily magmatic in origin. These signatures suggest a deep, reduced fluid source derived from mantle or lower crustal levels, supporting a genetic link between gold deposition and the regional alkaline magmatism associated with rift-related extension.
Both mineralization styles are accompanied by alteration assemblages dominated by potassium feldspar, with variable pyrite and carbonate. High-grade gold typically occurs as native gold within iron oxides (after pyrite and tellurides) or as telluride minerals such as calaverite, krennerite, and sylvanite. Common gangue minerals include quartz, fluorite, and carbonate.
Historically, most production came from the high-grade telluride vein systems (Thompson et al., 1985), while the lower grade disseminated system was later detailed by Pontius (1992) and Burnett (1995). Two prominent late-stage hydrothermal breccia pipes, Globe Hill and Ironclad, occur in the northwestern portion of the district. Near-surface exposures of gold-bearing breccia clasts suggest that significant brecciation occurred after the main phase of mineralization (Seibel, 1991). Deep drilling in 2003 intersected gold-molybdenum mineralization dated at 26.6 Ma, which overprints earlier 30.9 Ma mineralization, implying a mineralizing system that was active for approximately 4.3 million years.
The large gold endowment at CC&V may reflect both the prolonged duration of mineralization and a mantle-derived, carbonate-rich, carbon dioxide-bearing melt source, as inferred from lamprophyre geochemistry. Oxidation profiles are deepest along major structures and typically extend to depths of approximately 122 meters (400 feet).
| 6.7 | Deposit Types |
The CC&V Deposit is widely recognized as an alkalic-type low sulfidation epithermal gold deposit. Alkalic-epithermal deposits have been described as hosted in spatially, temporally, and genetically related alkaline igneous host rock and adjacent wall rocks occurring as disseminated, breccia-and vein hosted gold (Kelly and others 2020; Mutschler and others 1985; Richards 1995; Jensen and Barton 2000; Kelley and Spry 2016).
| 6-10 | ![]() |
| SSR Mining Inc. | Cripple Creek and Victor Mine S-K 1300 Technical Report Summary | November 10, 2025 SLR Project No.: 123.020622.00001 |
Additionally, a variety of magmatic centers such as calderas, diatremes, and hypabyssal intrusive rocks host these deposits. All alkalic-type epithermal gold deposits are inherently associated with coeval igneous or volcanic rocks with an alkalic affinity which can be silica saturated or unsaturated (Kelley and others 2020). Mesozoic to Neogene aged alkalic-type deposits range widely in size (some contain between 100 t and 1,000 t of gold) and grade (0.054 to >8 g/t Au). These deposits have been characterized as typically forming at relatively shallow crustal levels, less than one to two kilometres and fluid temperatures below 300°C.
Dominant ore minerals observed in these deposits consist of a variety of tellurides, native gold, and arsenian pyrite. Alkaline igneous rocks such as syenite, nepheline syenite, monzonite, diorite, latite, trachyte, phonolite are spatially associated with these deposits forming small and isolated intrusions or cluster of stocks, laccoliths, dikes, and sills (Kelley and others 2020, Mutschler and others 1985; Mutschler 1992). Alkalic-type deposits form in geologic settings to include continent-arc collision zones and back-arc or post-subduction rifts that are variably characterized by a transition from convergent to extensional or transpressive tectonic settings and are spatially related to deep-seated regional-scale faults (Kelley and others 2020; Richards 1995; Begg and Gray 2002; Scherbarth and Spry 2006; Richards 2009). Alkalic-type epithermal deposits display important and consistent characteristics such as (1) occurrences are focused in areas that have experienced multiple episodes of intrusive activity; (2) products of magmatic-hydrothermal activity result in dominate features such as breccia pipes, porphyry-type stockworks; (3) display consistent mineral paragenetic sequence of early base metal sulfide precipitation followed by gold or gold-bearing minerals. The form and shape of deposits are influenced by structural and lithologic controls. Diatreme/breccia pipe and caldera hosted deposits are commonly circular in shape in contrast to fault-controlled resulting in linear trending orebodies (Kelley and other 2020).
| 6-11 | ![]() |
| SSR Mining Inc. | Cripple Creek and Victor Mine S-K 1300 Technical Report Summary | November 10, 2025 SLR Project No.: 123.020622.00001 |
| 7.0 | Exploration |
Since acquiring the Property on February 28, 2025, SSR has not conducted any geochemical, geotechnical, or geophysical exploration work on the property. SSR initiated a grade control drilling program in Stockpile (Dump 1) and Resource expansion drilling program in May 2025.
| 7.1 | Drilling |
Since acquiring the Property in 2025, SSR Mining Inc. has conducted both Mineral Resource expansion drilling and grade control drilling program within the Stockpile (Dump 1) area. These programs were executed using reverse circulation (RC) and sonic drilling techniques.
The primary objective of the grade control drilling program was to enhance confidence in the historical stockpile mineral resource data through systematic infill drilling at nominal 100-foot spacing. As of the effective date of this report (July 1, 2025), SSR completed 57 RC drill holes totaling 17,995 feet and 20 sonic drill holes totaling 5,354 feet as part of this grade control initiative. Assay results from these drill holes were received prior to the data cut-off date and have been incorporated into the current Mineral Resource Estimate. The grade control assay results confirm tonnage and grade continuity within the limits of the reported Mineral Resource.
In parallel, SSR initiated a resource expansion drilling program designed to test for additional mineralization proximal to the current Mineral Resource boundary. As of the report date, 29 RC drill holes totaling 11,086 feet were completed at approximately 100-foot spacing. However, assay results for these expansion drill holes were not available as of the data cut-off date and, accordingly, have not been included in the current Mineral Resource Estimate. The collar locations of both grade control and expansion drill holes are illustrated in Figure 7-1.
| 7.1.1 | Sampling Procedures |
SSR Mining implements rigorous and standardized sampling procedures at the CC&V Project to ensure the collection of high-quality, representative samples in support of Mineral Resource and Mineral Reserve estimation. Sampling methodologies vary by drilling type and Project objectives and are executed under documented Standard Operating Procedures (SOPs) for both diamond core and reverse circulation (RC) drilling. These SOPs are aligned with corporate and global best practices and are subject to continuous review and oversight.
For diamond core drilling, samples are extracted using a wireline system and collected in labeled, secure core boxes. Core is systematically measured, logged, photographed, and cut using diamond saws. Half-core or quarter-core splits are retained or submitted for assay, depending on Project requirements. Procedures are designed to minimize sampling bias, preserve fine material, and maintain chain of custody. Field duplicates, blanks, and certified reference materials (CRMs) are inserted in accordance with QA/QC protocols.
RC samples are collected via a rotary splitter mounted on the drill rig, with strict attention to splitter leveling, vane symmetry, and contamination control. Sample intervals are typically 5 feet, with bagged samples placed in micro-pore fabric bags to retain fines. Field duplicates are collected every 50th sample using a dedicated duplicate splitter. Geologic chip trays are also collected for every interval to support lithologic and alteration logging.
In both methods, comprehensive documentation, secure sample storage,
and laboratory submittals are maintained to ensure sample integrity, traceability, and support reliable analytical outcomes. SSR’s
procedures are designed to produce data of sufficient quality and confidence for use in Mineral Resource estimation, in compliance with
S-K 1300 regulatory requirements.
| 7-1 | ![]() |
| SSR Mining Inc. | Cripple Creek and Victor Mine S-K 1300 Technical Report Summary | November 10, 2025 SLR Project No.: 123.020622.00001 |
Figure 7-1: SSR 2025 Drilling Location Map

Figure 7-1: Legend: Dump 1 RC and Sonic Holes Resource Expansion RC Holes Historical Drill Holes Source: SSR 2025. SSR Mining Inc. Cripple Creek and Victor Mine Colorado, USA SSR 2025 Drill Hole Location Map
| 7-2 | ![]() |
| SSR Mining Inc. | Cripple Creek and Victor Mine S-K 1300 Technical Report Summary | November 10, 2025 SLR Project No.: 123.020622.00001 |
| 7.1.2 | QP Opinion |
The SLR QP is of the opinion that the drilling and sampling procedures adopted at CC&V are consistent with generally recognized industry best practices. The resultant drilling pattern is sufficiently dense to interpret the geometry and the boundaries of gold mineralization with confidence. The RC, sonic, and core samples were collected by trained personnel using procedures meeting generally accepted industry best practices. The process was conducted or supervised by suitably qualified geologists.
The SLR QP is of the opinion that the samples are representative of the source materials, and there is no evidence that the sampling process introduced a bias. Accordingly, there are no known sampling or recovery factors that could materially impact the accuracy and reliability of drilling results.
| 7.2 | Hydrogeology Data |
The brecciated rock within the diatreme is higher permeability and has greater recharge than the surrounding country bedrock. Infiltration to the diatreme would not flow out through the country bedrock which historically reported to surface springs in some of the adjacent drainages. Mine dewatering during the early periods of mining was facilitated by construction of tunnels at progressively lower elevations to collect the groundwater and convey it to local drainages.
Previous activities at the Cresson Pit did not encountered significant groundwater flow other than local, perched aquifers that tend to contain limited amounts of water. As such, CC&V does not perform any active dewatering at the mine site and none is required, as the historical drainage tunnels still convey groundwater from the diatreme.
The lowest elevation drainage tunnel, the Carlton Tunnel, discharges to Fourmile Creek. Between 1990 and the present, the average rate of outflow from the Carlton Tunnel has been 1,400 gpm, with a maximum flow recorded of 2,063 gpm. During SLR’s site visit in June 2025, flow was approximately 1,000 gpm. There has been a gradual downward trend in flow rate since the 1970’s.
Groundwater quality at the site is impacted by the regional geology, including the presence of Pikes Peak Granite, which causes naturally elevated levels of some constituents, including fluoride, in the groundwater throughout the region. In addition, groundwater is also impacted by the historical mining operations that predate the Cresson Project. Beginning in the early 1890s, the site has been home to extensive historical gold mining operations, including numerous mines, mills, and associated waste piles and disposal sites. Residual groundwater has been impacted from runoff and/or seepage from the mineralized mine waste and tailings from these sites, as well as runoff from existing mine operations.
Data shows that groundwater at CC&V frequently exceeds the criteria set forth in the table values in Colorado water quality regulations that embody the framework for Colorado’s water quality classification and standards system. The exceedances of the table values are attributed to the naturally high background due to the naturally high background concentrations of certain parameters and from runoff or seepage from historical mining waste. As a result, DRMS established numeric protection levels in CC&V’s permit.
Water Quality monitoring data since the mid-1970s indicates consistency in in the Carlton Tunnel discharge over time, indicating either no new sources of contamination or that the diatreme is aiding with neutralization of the infiltrating water.
| 7-3 | ![]() |
| SSR Mining Inc. | Cripple Creek and Victor Mine S-K 1300 Technical Report Summary | November 10, 2025 SLR Project No.: 123.020622.00001 |
In-stream biological monitoring on Fourmile Creek upstream and downstream of the Carlton Tunnel was conducted from 2002 through 2016 and again in 2022 through 2023. For fish populations (Brown Trout), data indicate that there are no adverse influences of the flow from the Carlton Tunnel on the fish communities in Fourmile Creek; however, the current water quality does not meet sublethal toxicity of a certain water flea (which reportedly is not present in Fourmile Creek as its natural habitat is still water – ponds and lakes) in whole effluent toxicity testing.
There is groundwater contamination in Grassy Valley from the acid rock drainage (ARD) seepage from the toe of East Cresson Overburden Storage Area (ECOSA). In addition, there is currently heightened attention on the ECOSA seepage due to the trend of increasing exceedances in the monitoring stations. CC&V is working with DRMS to develop and refine seepage mitigation measures, including collection of surface seepage and ongoing efforts to install and operate a groundwater interception system using a line of extraction wells.
| 7.3 | Geotechnical Data |
The CC&V Mine has undergone extensive phased development since the inception of large-scale open pit operations in the early 1990s. Initial excavations began at the Cresson Pit, which has since expanded through a combination of main and satellite pits—namely North Cresson, Schist Island, Globe Hill, and Wild Horse Extension (WHEX)—each integrated over successive phases of mine life. The current pit geometry is the product of over three decades of mining, during which iterative geotechnical investigations and empirical performance reviews have progressively refined the design approach.
The pit slope design at CC&V is supported by a domain-based geotechnical model that considers lithological variability, alteration intensity, and structural complexity. Domains are delineated using a combination of lithological logging, structural mapping, and geotechnical parameters such as rock mass rating (RMR), Q-system, and Geological Strength Index (GSI) The rock mass varies from competent phonolite to altered volcaniclastics and hydrothermal breccias, which exhibit reduced strength and stiffness characteristics in altered zones.
Geotechnical data has been sourced from over 400 drill holes containing rock quality designation (RQD), core recovery, lithological, and structural data, with 255 of these holes including detailed geomechanical logging. These have been augmented with field mapping, laboratory test programs, and back-analysis of slope performance. The following resources informed the slope design process:
| · | CC&V Ground Control Management Plan (2023). |
| · | Updated Geotechnical Slope Recommendations by Call & Nicholas, Inc. (2017, 2020, 2021). |
| · | Structural mapping of all active pit sectors. |
| · | Triaxial and uniaxial compressive strength tests (2019–2020). |
| · | RQD/Q’ geotechnical block model (initially developed in 2015, with ongoing updates). |
| · | Hydrogeological monitoring via piezometers and dewatering wells. |
Table 7-1 summarizes key geotechnical parameters derived from field observations, laboratory testing, and empirical back-analysis conducted across the CC&V mining operation. These parameters feed into slope modeling using SLIDE and RS2, with all final designs benchmarked to achieve FoS greater than 1.2 under static conditions.
| 7-4 | ![]() |
| SSR Mining Inc. | Cripple Creek and Victor Mine S-K 1300 Technical Report Summary | November 10, 2025 SLR Project No.: 123.020622.00001 |
Table 7-1: Summary of Geotechnical Properties
| Parameter | Range / Observations |
| Rock Quality Designation (RQD) | 0–90%, with <5% in altered zones |
| Uniaxial Compressive Strength (UCS) | 20–150 MPa, depending on lithology |
| Friction Angle (φ) | 25–45°, depending on structure and alteration |
| Cohesion (c) | 100–600 kPa |
| Geological Strength Index (GSI) | 25–70 |
| Q-System | 0.1–10+ |
| 7-5 | ![]() |
| SSR Mining Inc. | Cripple Creek and Victor Mine S-K 1300 Technical Report Summary | November 10, 2025 SLR Project No.: 123.020622.00001 |
| 8.0 | Sample Preparation, Analyses, and Security |
| 8.1 | Sampling |
Drilling methods at the CC&V Mine included reverse circulation (RC), diamond core drilling (DDH), sonic, and conventional rotary drilling for production blastholes. Exploration, geotechnical, and metallurgical programs utilized RC and DDH drilling. Blasthole drilling was used exclusively for ore control block modeling and ore-waste delineation and was not incorporated directly into the resource model. Reconciliations between production and the resource model were conducted monthly, and updates to the model were made when warranted based on observed variances.
Reverse circulation was the primary exploration method at CC&V. RC drilling was conducted using truck- or track-mounted rigs with standard carbide-button hammer or tri-cone bits. In areas of sample loss center return hammer and rotary bits were used to pull sample at the bit face. Drill cuttings are collected from a rotary wet splitter with dual sample discharge to allow field duplicate sampling as required. Samples are collected every five feet or 1.5 m. RC chips were logged under a microscope at 5-foot intervals. RC was the primary method for sampling due to its efficiency and the limited presence of groundwater on site, resulting from historical dewatering activities. Drill cuttings were collected at 5-foot (1.5 m) intervals using a rotary wet splitter with dual discharge, allowing for the simultaneous collection of field duplicates as required. All RC samples were split in the field, handled by trained personnel, and stored in secure facilities. In cases of sample loss, center return hammers or rotary bits were employed to enhance sample collection directly at the bit face.
Diamond core drilling was employed for geotechnical high-wall stability assessments, metallurgical sampling, and in areas where RC recovery was limited due to underground voids or difficult ground conditions. The core was cleaned, photographed, and sampled under the supervision of geologists. Logging was carried out by geologists and sampling intervals were defined based on lithology, alteration, veining, and were generally equal to or shorter than those for RC samples. Core was typically cut in half longitudinally, with one half submitted for geochemical analysis and the other retained for future reference. For metallurgical testing, the whole core was submitted to the CC&V internal laboratory.
All samples were handled by trained personnel and stored in secure onsite facilities before being dispatched to laboratories for assays.
| 8.2 | Sample Preparation and Analysis |
Prior to 2004, various laboratories were utilized for sample analysis at CC&V; however, sample preparation methods were not well documented. Assays during this period were primarily conducted using fire assay (FA) and cyanide shake leach (CN) methods. Between 2005 and 2014, laboratories such as Kappes, Cassiday & Associates, Metcon Research, ALS Chemex, SGS, and American Assay Laboratories (AAL) were involved in analytical work. Since the acquisition of the property by Newmont in 2015, ALS Geochemistry served as the primary laboratory for sample preparation and analysis, with work conducted at facilities in Elko and Reno, Nevada, and Tucson, Arizona. In 2024, SGS replaced ALS as the primary laboratory, following the same preparation and analytical protocols. American Assay Laboratories (AAL), based in Sparks, Nevada, has served as the umpire laboratory for check assays from 2015 to the present.
| 8-1 | ![]() |
| SSR Mining Inc. | Cripple Creek and Victor Mine S-K 1300 Technical Report Summary | November 10, 2025 SLR Project No.: 123.020622.00001 |
ALS, SGS, and AAL are independent of CC&V and all hold ISO/IEC 17025 accreditation, with ALS accredited under ISO/IEC 17025:2017 and AIHA LAP for specific facilities, SGS Phoenix (AZ) obtaining ISO/IEC 17025 certification in March 2025, and AAL maintaining ISO/IEC 17025 accreditation for its analytical services. Historical laboratories such as Kappes, Cassiday & Associates, Metcon, and ALS Chemex also operated under ISO/IEC 17025 standards.
The CC&V internal laboratory, which does not hold any formal certification, was used to assay drill holes targeting underground voids encountered during mining; most of these drill holes were excluded from the Mineral Resource estimation.
A summary of historical analytical methods and assay results that comprise the CC&V database is presented in Table 8-1.
| 8-2 | ![]() |
| SSR Mining Inc. | Cripple Creek and Victor Mine S-K 1300 Technical Report Summary | November 10, 2025 SLR Project No.: 123.020622.00001 |
Table 8-1: Summary of CC&V Analytical Methods and Results
| Period | Laboratory | Preparation | Analytical Method | Reported DL/UL (Au g/t) |
| Pre-1996 | Various laboratories | Undocumented |
· AUFA · Samples >0.01 opt analyzed by AUSL CN-Shake Leach (SL) assay |
Undocumented |
| 1996–2004 | Various laboratories | Undocumented |
· AUFA · AUSL CN-Shake Leach (SL) assay |
Undocumented |
| 2005–2014 | Kappes Kassidy, Barnes, and-Metcon: (Metallurgical), ALS Chemex, SGS, American Assay, and CC&V site (Assay laboratories); Skyline:Assay (QAQC) |
· ALS Chemex samples are dried to 137°C (280°F), SGS samples are dried to 70°C-105°C (158°F-221°F), CC&V - samples were dried for approximately 24 hours at 105°C · Crushing: ALS Chemex >70% of the crushed sample passes through a 2mm (10 mesh) screen, SGS >75% passing 2mm (10 Mesh, 9 Tyler Mesh) screen, CC&V - crush using jaw crusher to 10mm mesh (95% passing) · Ringing: ALS Chemex >85% of the ring pulverized sample passes through a 75-micron screen (Tyler 200 mesh), SGS >85% of the ring pulverized sample passes through a 75-micron screen (Tyler 200 mesh), CC&V - split 280g, pulverised to 75- microns (95% passing) |
· 27–30 g FA, AAS Finish- FAS, ICP-AES Gravimetric finish for high grade samples · 15–20 g CN assay-Varian ICP Finish, or by Perkin Elmer AA unit-AAS |
· FA (AA): 0.005-10.0 · FA-Grav: 0.05-1000 · CN assay: 0/UL.03-50 |
| 8-3 | ![]() |
| SSR Mining Inc. | Cripple Creek and Victor Mine S-K 1300 Technical Report Summary | November 10, 2025 SLR Project No.: 123.020622.00001 |
| Period | Laboratory | Preparation | Analytical Method | Reported DL/UL (Au g/t) |
| 2015–2023 | ALS Geochemistry |
· Samples are dried to 105°C (221°F) · Crushing: >85% of the crushed sample passes through a 2mm screen. · Spliting: Up to 250 g is riffle split from the crushed sample prior to pulverization, as part of standard preparation packages (e.g., SPL-21 in PREP-31). · Ringing: >85% of the ring pulverized sample passes through a 75-micron screen (Tyler 200 mesh) |
· 30 g FA, AA Finish · 30 g FA, Microbalance-Gravimetric finish · 15 g CN assay-AA Finish · C-S-CO3-SO4 Infrared Spectroscopy/Roast |
· FA (AA): 0.005-10.0 · FA-Grav: 0.05-1000 · CN assay: 0.03-50 · C-S LECO: 0.01%-50% |
| American Assay Laboratories | Pulps from Primary Laboratory Submitted |
· 30 g FA,ICP-OES-Finish · 30 g FA, Microbalance-Gravimetric finish |
· FA (ICP): 0.003-10.0 · FA-Grav: 0.5-10000 | |
| 2023–2024 | American Assay Laboratories | Pulps from Primary Laboratory Submitted |
· 30 g FA,ICP-OES-Finish · 30 g FA, Microbalance-Gravimetric finish |
· FA (ICP): 0.003-10.0 · FA-Grav: 0.5-10000 |
| SGS |
· Sample Drying, 105ºC, <3 kg · Crush 85% passing 2 mm · Spliting: Typical pulp splitting involves portions ranging from 250 g to 1,000 g using a carbon steel bowl · Pulverize, Cr Steel, 85% 75 µm 1,000 g |
· 30 g FA,ICP-OES-Finish · 30 g FA, Microbalance-Gravimetric finish · 15 g CN assay-ICP-OES Finish |
· FA (ICP): 0.005-10 · FA GRAV: 0.5-10000 · CN assay: 0.03-100 |
| 8-4 | ![]() |
| SSR Mining Inc. | Cripple Creek and Victor Mine S-K 1300 Technical Report Summary | November 10, 2025 SLR Project No.: 123.020622.00001 |
| Period | Laboratory | Preparation | Analytical Method | Reported DL/UL (Au g/t) |
| 2025–Present | ALS Geochemistry |
· Samples are dried to 105°C (221°F) · Crushing: >85% of the crushed sample passes through a 2mm screen. · Spliting: Up to 250g is riffle split from the crushed sample prior to pulverization, as part of standard preparation packages (e.g., SPL-21 in PREP-31). · Ringing: >85% of the ring pulverized sample passes through a 75-micron screen (Tyler 200 mesh) |
· 30 g FA, AA Finish · 30 g FA, Microbalance-Gravimetric finish · 15 g CN assay-AA Finish · C-S-CO3-SO4 Infrared Spectroscopy/Roast |
· FA (AA): 0.005-10.0 · FA-Grav: 0.05-1000 · CN assay: 0.03-50 · C-S LECO: 0.01%-50% |
| American Assay Laboratories | Pulps from Primary Laboratory Submitted |
· 30 g FA,ICP-OES-Finish · 30 g FA, Microbalance-Gravimetric finish |
· FA (ICP): 0.003-10.0 · FA-Grav: 0.5-10000 | |
|
Notes: DL Detection Limit AUFA gold fire assay AUSL gold shake leach ICP-OES inductively coupled plasma optical emission spectrometry ICP-AES inductively coupled plasma atomic emission spectroscopy AA atomic absorption AAS atomic absorption spectroscopy | ||||
| 8-5 | ![]() |
| SSR Mining Inc. | Cripple Creek and Victor Mine S-K 1300 Technical Report Summary | November 10, 2025 SLR Project No.: 123.020622.00001 |
| 8.3 | Security |
All exploration samples were collected from the mine site by employees of the external laboratories or by commercial transporting contractors. All sample dispatches included a manifest listing of the sample identifiers and number of samples included in the shipment. CC&V exploration personnel are unaware of any instances of tampering with samples either on site or in transit to a laboratory.
| 8.4 | Quality Assurance and Quality Control |
Quality assurance (QA) consists of evidence to demonstrate that the assay data has precision and accuracy within generally accepted limits for the sampling and analytical method(s) used in order to have confidence in a resource estimate. Quality control (QC) consists of procedures used to ensure that an adequate level of quality is maintained in the process of collecting, preparing, and assaying the exploration drilling samples. In general, QA/QC programs are designed to prevent or detect contamination and allow assaying (analytical), precision (repeatability), and accuracy to be quantified. In addition, a QA/QC program can disclose the overall sampling-assaying variability of the sampling method itself.
All drill holes are subjected to quality assurance and quality control inquiries such as planned vs. actual collar locations (100% of the data), dogleg severity (100% of the data), duplicate survey comparison (at least 5% of the data), and monthly/ weekly test pipe surveys.
Certified reference materials (CRMs) from RockLabs and OREAS were inserted into each batch of samples submitted and was also included with umpire check batches. Non-certified blank material, consisting of Pikes Peak Granite sourced locally from Woodland Park, Colorado, was used as a control for contamination monitoring. Field duplicates were routinely collected at the drill rig for both RC and core samples. For core samples, duplicates were generated using the remaining half-core from the original sampling interval. Until 2019, coarse (blind) duplicates were routinely submitted as part of the QA/QC program to independently monitor laboratory performance. From 2020 onward, coarse and pulp duplicate analyses were conducted only by the primary laboratory as part of the standard sample preparation and analytical procedures.
Approximately 5% of density samples were independently verified at the Malozemoff Technical Facility in Denver, Colorado.
Both primary and secondary laboratories implemented internal QA/QC protocols, which included the routine insertion and evaluation of certified reference materials (CRMs), blanks, and duplicate samples. External check assays were also conducted to independently assess laboratory performance.
QA/QC results from the CC&V operation were routinely monitored, and any deviations from expected performance were investigated in accordance with the established procedures.
Exploration personnel monitor the assay results on a real-time basis and import the data into the Geology database. Internal validation checks in the database highlight any certified standard assay failures. All samples outside the three standard-deviation limits were considered to be failures. Failures trigger a re-run of five samples before and five samples after the failed standards, including the failed standard.
For the current technical review, SLR evaluated the QA/QC database for the CC&V Project, encompassing drilling campaigns conducted between 2019 and 2024. The review focused on the AUFA (Fire Assay) method for period 2019–2020 and the AUSL (Shake Leach) method specifically for the 2023–2024 campaigns. A total of 40,983 QA/QC samples were submitted to ALS, SGS, CC&V, and AAL laboratories, as summarized in Table 8-2. The key findings from this review are outlined in the following sections.
| 8-6 | ![]() |
| SSR Mining Inc. | Cripple Creek and Victor Mine S-K 1300 Technical Report Summary | November 10, 2025 SLR Project No.: 123.020622.00001 |
Table 8-2: CC&V QA/QC Sample Insertion by Year
| Method | Year | CRM | CB | FD | CD | CD_B | PD | CA | Total Control Samples |
| AUFA | 2019 | 682 | 1,005 | 3,874 | 575 | 609 | 1,517 | 209 | 8,471 |
| 2020 | 634 | 968 | 3,024 | 396 | - | 1,207 | 6,229 | ||
| 2021 | 1,419 | 1,589 | 4,040 | 539 | 2 | 1,471 | 1,318 | 10,378 | |
| 2022 | 870 | 921 | 2,502 | 352 | - | 863 | 968 | 6,476 | |
| 2023 | 963 | 768 | 1,830 | 630 | - | 649 | 87 | 4,927 | |
| 2024 | 329 | 230 | 606 | 170 | - | 313 | - | 1,648 | |
| Total | 4,897 | 5,481 | 15,876 | 2,662 | 611 | 6,020 | 2,582 | 38,129 | |
| AUSL | 2023 | 613 | 405 | 377 | 359 | - | 212 | - | 1966 |
| 2024 | 225 | 145 | 189 | 110 | - | 219 | - | 888 | |
| Total | 838 | 550 | 566 | 469 | - | 431 | - | 2,854 | |
| Grand Total | 5,735 | 6,031 | 16,442 | 3,131 | 611 | 6,451 | 2,582 | 40,983 | |
|
Notes: CRM Certified Reference Material, CB Coarse Blank, FD Field Duplicate, CD Coarse Duplicate, CD_B Blind Coarse Duplicate, PD Pulp Duplicate, CA Check Assay (or umpire checks) | |||||||||
| 8.4.1 | Certified Reference Materials and Standards |
Results from the routine insertion of CRMs/Standards into drill sample batches were used to identify potential issues with specific batches and assess long-term biases associated with the primary assay laboratory.
Between 2019 and 2024, a total of 4,897 CRMs sourced from OREAS and Rocklabs were inserted to monitor assay accuracy for the AUFA method. These standards covered a range of gold grades. For the AUSL method, used between 2023 and 2024, 838 standards were inserted. As CRMs were not available for this method, internal nominal values were established based on results from ALS and in-house laboratories. Once at least 30 results are collected for each standard, a provisional mean and standard deviation are defined to support QA/QC monitoring. SLR recommends continued monitoring of internal standard values; however, it advises organizing a round robin program to verify the consistency of results across laboratories, validate analytical methods, estimate measurement uncertainty, and align reference values based on collective statistical evidence.
SLR reviewed a total of 33 different AUFA CRMs used between 2019 and 2024 (Table 8-3). A total of eight new CRMs were introduced in 2024 alone. Additionally, 14 different CRMs were used for AUSL during the 2023–2024 period (Table 8-4). Several CRMs were inserted on a limited number of occasions (fewer than five instances), restricting statistical confidence in their performance evaluation. SLR recommends reducing the number of CRMs to a maximum of three to four types, representing high-, high-medium-, medium-, and low-grade ranges. This reduction would improve consistency, support more robust statistical tracking, and facilitate long-term performance evaluations.
| 8-7 | ![]() |
| SSR Mining Inc. | Cripple Creek and Victor Mine S-K 1300 Technical Report Summary | November 10, 2025 SLR Project No.: 123.020622.00001 |
Control limits were defined as ±3 standard deviations (SD) from the expected value. According to QA/QC protocols, samples exceeding these control limits should be re-analyzed within the original batch, and any significant failures should prompt further review of the affected drill holes prior to data approval. Each CRM was evaluated individually through statistical analysis and Z-score trends to assess both analytical precision and potential bias. Figure 8-1 illustrates the Z-score performance for AUFA CRMs over the review period.
Overall, in the AUFA analysis, analytical bias at ALS and SGS remained within the defined limits, staying below ±5%. CRM types with fewer than five insertions were not considered statistically representative. Among the identified failures, many appear to be potential mislabels. SLR recommends these cases be further verified and corrected in the database, with all changes properly documented.
ALS assays up to mid-2021 showed a slight negative bias for certain CRMs (e.g., SL 76, SJ 95, SL 108), though still within the acceptable ±5% range. Assay performance from ALS improved from 2022 onward, with more consistent results and reduced data dispersion. SGS results were stable overall, with some minor failures detected in early 2024, followed by improvement from March 2024 onward.
The CC&V laboratory exhibited a higher number of failures and apparent sample mislabeling through 2023. CRM performance improved in 2024
The external laboratory AAL performed adequately overall; however, isolated CRMs (e.g., OxB146) exhibited potential mislabeling, which should be verified, properly corrected, and thoroughly documented.
Although sample mislabeling was more frequent at CC&V, the number of significant outliers was insufficient to alter the overall conclusions of the CRM performance review.
In AUSL analysis across ALS, CC&V, and SGS laboratories (2023–2024), ALS results showed a consistent positive analytical bias, with values ranging from +0.99% to +10.25%. Standard SC127 at ALS exhibited the highest bias (+10.25%) and a 10% failure rate (Figure 8-2 A). In contrast, CC&V and SGS results showed predominantly negative biases, typically within the ±5% range, with moderate deviations for some Standards (e.g., OxE166, SF100, SC127) but low failure rates (Figure 8-2 B and C). These observations suggest a systematic positive trend in ALS assays relative to other labs, though interpretation should consider the limitations of using non-certified reference values. SLR recommends conducting a round robin to validate and certify these standards.
Table 8-3: Summary of CRM Samples Used in the AUFA QA/QC Programs (2019–2024)
| Lab | CRM | Year Range | Num Samples | Mean1 | Expected Value | SD2 | Bias (%) | Outliers (%) | Num. Failures |
| ALS | OxB146 | 2021-2023 | 282 | 0.0040 | 0.0040 | 0.0002 | -0.09 | 1.06 | 3 |
| OxB186 | 2023-2023 | 27 | 0.0036 | 0.0035 | 0.0001 | 3.49 | 3.70 | 1 | |
| OxC129 | 2019-2019 | 1 | 0.0061 | 0.0060 | 0.0002 | 1.67 | 0.00 | 0 | |
| OxC145 | 2019-2019 | 148 | 0.0062 | 0.0062 | 0.0002 | -0.29 | 0.68 | 1 | |
| OxC152 | 2019-2021 | 258 | 0.0062 | 0.0063 | 0.0002 | -1.34 | 0.39 | 1 |
| 8-8 | ![]() |
| SSR Mining Inc. | Cripple Creek and Victor Mine S-K 1300 Technical Report Summary | November 10, 2025 SLR Project No.: 123.020622.00001 |
| Lab | CRM | Year Range | Num Samples | Mean1 | Expected Value | SD2 | Bias (%) | Outliers (%) | Num. Failures |
| ALS | OxD108 | 2019-2019 | 2 | 0.0121 | 0.0121 | 0.0004 | -0.41 | 0.00 | 0 |
| OxD157 | 2021-2021 | 81 | 0.0114 | 0.0116 | 0.0004 | -1.56 | 0.00 | 0 | |
| OxD167 | 2021-2023 | 187 | 0.0136 | 0.0135 | 0.0004 | 0.49 | 0.53 | 1 | |
| OxE126 | 2019-2019 | 1 | 0.0176 | 0.0182 | 0.0005 | -3.30 | 0.00 | 0 | |
| OxE166 | 2021-2023 | 281 | 0.0191 | 0.0190 | 0.0005 | 0.32 | 0.00 | 0 | |
| OxE182 | 2023-2023 | 26 | 0.0194 | 0.0193 | 0.0004 | 0.72 | 0.00 | 0 | |
| OxF125 | 2019-2019 | 146 | 0.0228 | 0.0235 | 0.0006 | -2.87 | 2.05 | 3 | |
| OxG141 | 2019-2021 | 259 | 0.0269 | 0.0271 | 0.0005 | -0.76 | 2.70 | 7 | |
| OxH122 | 2019-2019 | 1 | 0.0365 | 0.0364 | 0.0009 | 0.27 | 0.00 | 0 | |
| OxH163 | 2021-2023 | 274 | 0.0384 | 0.0383 | 0.0008 | 0.32 | 0.00 | 0 | |
| OXK110 | 2019-2019 | 2 | 0.1033 | 0.1051 | 0.0015 | -1.76 | 0.00 | 0 | |
| OxK119 | 2019-2019 | 1 | 0.1005 | 0.1051 | 0.0031 | -4.38 | 0.00 | 0 | |
| OxN155 | 2021-2023 | 273 | 0.2223 | 0.2268 | 0.0047 | -1.98 | 1.10 | 3 | |
| SC127 | 2023-2023 | 25 | 0.0067 | 0.0066 | 0.0002 | 1.45 | 4.00 | 1 | |
| SE125 | 2023-2023 | 27 | 0.0181 | 0.0180 | 0.0003 | 0.39 | 0.00 | 0 | |
| SF100 | 2021-2023 | 289 | 0.0257 | 0.0251 | 0.0005 | 2.38 | 3.46 | 10 | |
| SG84 | 2019-2019 | 1 | 0.0295 | 0.0299 | 0.0007 | -1.34 | 0.00 | 0 | |
| SH82 | 2019-2021 | 402 | 0.0380 | 0.0389 | 0.0008 | -2.36 | 2.49 | 10 | |
| SJ95 | 2021-2021 | 6 | 0.0766 | 0.0813 | 0.0016 | -5.80 | 16.67 | 1 | |
| SK94 | 2019-2019 | 1 | 0.1115 | 0.1137 | 0.0025 | -1.93 | 0.00 | 0 | |
| SL108 | 2020-2021 | 108 | 0.1634 | 0.1675 | 0.0040 | -2.47 | 0.93 | 1 | |
| SL76 | 2019-2020 | 292 | 0.1680 | 0.1738 | 0.0056 | -3.34 | 1.03 | 3 | |
| SN75 | 2019-2019 | 2 | 0.2520 | 0.2529 | 0.0058 | -0.36 | 0.00 | 0 | |
| CC&V | OREAS 277 | 2023-2024 | 56 | 0.0972 | 0.0989 | 0.0035 | -1.68 | 0.00 | 0 |
| OREAS 279 | 2023-2024 | 59 | 0.1887 | 0.1910 | 0.0064 | -1.19 | 3.39 | 2 | |
| OREAS_45h | 2023-2024 | 33 | 0.0013 | 0.0012 | 0.0001 | 6.57 | 3.03 | 1 | |
| OxB146 | 2021-2023 | 85 | 0.0040 | 0.0040 | 0.0002 | -0.88 | 3.53 | 3 | |
| OxB186 | 2023-2024 | 71 | 0.0035 | 0.0035 | 0.0001 | 0.93 | 8.45 | 6 | |
| OxC152 | 2020-2021 | 16 | 0.0063 | 0.0063 | 0.0002 | 0.40 | 0.00 | 0 | |
| OxD157 | 2021-2021 | 15 | 0.0120 | 0.0116 | 0.0004 | 3.22 | 6.67 | 1 | |
| OxD167 | 2021-2023 | 87 | 0.0133 | 0.0135 | 0.0004 | -1.74 | 8.05 | 7 | |
| OxE166 | 2021-2023 | 89 | 0.0190 | 0.0190 | 0.0005 | -0.21 | 7.87 | 7 | |
| OxE182 | 2023-2024 | 70 | 0.0191 | 0.0193 | 0.0004 | -0.98 | 2.86 | 2 | |
| OxG141 | 2020-2021 | 18 | 0.0272 | 0.0271 | 0.0005 | 0.37 | 22.22 | 4 | |
| OxH163 | 2021-2023 | 93 | 0.0379 | 0.0383 | 0.0008 | -1.00 | 7.53 | 7 | |
| OxN155 | 2021-2023 | 85 | 0.2249 | 0.2268 | 0.0047 | -0.85 | 16.47 | 14 | |
| SC127 | 2023-2024 | 71 | 0.0065 | 0.0066 | 0.0002 | -2.11 | 2.82 | 2 | |
| SE125 | 2023-2024 | 68 | 0.0176 | 0.0180 | 0.0003 | -2.23 | 13.24 | 9 | |
| SF100 | 2021-2024 | 140 | 0.0243 | 0.0251 | 0.0005 | -3.20 | 20.71 | 29 | |
| SH82 | 2020-2021 | 18 | 0.0387 | 0.0389 | 0.0008 | -0.61 | 38.89 | 7 | |
| SJ95 | 2021-2021 | 1 | 0.0780 | 0.0813 | 0.0016 | -4.06 | 0.00 | 0 | |
| SL108 | 2020-2021 | 20 | 0.1683 | 0.1675 | 0.0040 | 0.47 | 5.00 | 1 |
| 8-9 | ![]() |
| SSR Mining Inc. | Cripple Creek and Victor Mine S-K 1300 Technical Report Summary | November 10, 2025 SLR Project No.: 123.020622.00001 |
| Lab | CRM | Year Range | Num Samples | Mean1 | Expected Value | SD2 | Bias (%) | Outliers (%) | Num. Failures |
| SGS | OREAS_45h | 2024-2024 | 19 | 0.0012 | 0.0012 | 0.0001 | 2.63 | 0.00 | 0 |
| OxB186 | 2024-2024 | 34 | 0.0035 | 0.0035 | 0.0001 | -0.92 | 2.94 | 1 | |
| OxE182 | 2024-2024 | 39 | 0.0192 | 0.0193 | 0.0004 | -0.29 | 15.38 | 6 | |
| SC127 | 2024-2024 | 36 | 0.0064 | 0.0066 | 0.0002 | -2.36 | 11.11 | 4 | |
| SE125 | 2024-2024 | 38 | 0.0181 | 0.0180 | 0.0003 | 0.79 | 10.53 | 4 | |
| SF100 | 2024-2024 | 22 | 0.0248 | 0.0251 | 0.0005 | -1.23 | 13.64 | 3 | |
| AAL | OxB146 | 2021-2023 | 21 | 0.0043 | 0.0040 | 0.0002 | 8.33 | 28.57 | 6 |
| OxB186 | 2023-2023 | 2 | 0.0039 | 0.0035 | 0.0001 | 10.00 | 50.00 | 1 | |
| OxC152 | 2021-2021 | 13 | 0.0062 | 0.0063 | 0.0002 | -1.47 | 0.00 | 0 | |
| OxD157 | 2021-2021 | 3 | 0.0119 | 0.0116 | 0.0004 | 2.30 | 0.00 | 0 | |
| OxD167 | 2022-2023 | 16 | 0.0131 | 0.0135 | 0.0004 | -3.01 | 12.50 | 2 | |
| OxE126 | 2019-2019 | 1 | 0.0179 | 0.0182 | 0.0005 | -1.65 | 0.00 | 0 | |
| OxE166 | 2021-2023 | 18 | 0.0192 | 0.0190 | 0.0005 | 1.26 | 0.00 | 0 | |
| OxE182 | 2023-2023 | 2 | 0.0199 | 0.0193 | 0.0004 | 2.85 | 0.00 | 0 | |
| OxG141 | 2021-2021 | 7 | 0.0273 | 0.0271 | 0.0005 | 0.58 | 0.00 | 0 | |
| OxH163 | 2021-2023 | 21 | 0.0375 | 0.0383 | 0.0008 | -1.96 | 19.05 | 4 | |
| OxJ120 | 2019-2019 | 1 | 0.0715 | 0.0690 | 0.0018 | 3.62 | 0.00 | 0 | |
| OxK119 | 2019-2019 | 2 | 0.1034 | 0.1051 | 0.0031 | -1.62 | 0.00 | 0 | |
| OxN155 | 2021-2023 | 21 | 0.2217 | 0.2268 | 0.0047 | -2.26 | 9.52 | 2 | |
| SC127 | 2023-2023 | 34 | 0.0067 | 0.0066 | 0.0002 | 1.74 | 0.00 | 0 | |
| SF100 | 2021-2022 | 21 | 0.0234 | 0.0251 | 0.0005 | -6.94 | 14.29 | 3 | |
| SG84 | 2019-2019 | 1 | 0.0292 | 0.0299 | 0.0007 | -2.34 | 0.00 | 0 | |
| SH82 | 2021-2021 | 13 | 0.0374 | 0.0389 | 0.0008 | -3.88 | 7.69 | 1 | |
| SJ80 | 2019-2019 | 2 | 0.0758 | 0.0775 | 0.0017 | -2.19 | 0.00 | 0 | |
| SJ95 | 2021-2021 | 1 | 0.0825 | 0.0813 | 0.0016 | 1.48 | 0.00 | 0 | |
| SK94 | 2019-2019 | 1 | 0.1158 | 0.1137 | 0.0025 | 1.85 | 0.00 | 0 | |
| SL108 | 2021-2021 | 7 | 0.1658 | 0.1675 | 0.0040 | -1.01 | 0.00 | 0 | |
| SL76 | 2019-2019 | 1 | 0.1709 | 0.1738 | 0.0056 | -1.67 | 0.00 | 0 | |
| SN75 | 2019-2019 | 1 | 0.2476 | 0.2529 | 0.0058 | -2.10 | 0.00 | 0 | |
|
Notes: 1. Au in opt 2. SD: Standard Deviation | |||||||||
| 8-10 | ![]() |
| SSR Mining Inc. | Cripple Creek and Victor Mine S-K 1300 Technical Report Summary | November 10, 2025 SLR Project No.: 123.020622.00001 |
Table 8-4: Summary of CRM Samples Used in the AUSL QA/QC Programs (2023–2024)
| Lab | CRM | Year Range | Num Samples | Mean1 | Expected Value | SD2 | Bias (%) | Num Outliers | Outliers (%) |
| ALS | OxB146 | 2023-2023 | 9 | 0.0038 | 0.0036 | 0.0007 | 4.63 | 0 | 0% |
| OxB186 | 2023-2023 | 21 | 0.0036 | 0.0034 | 0.0004 | 6.30 | 1 | 5% | |
| OxD167 | 2023-2023 | 9 | 0.0136 | 0.0135 | 0.0006 | 0.99 | 0 | 0% | |
| OxE166 | 2023-2023 | 6 | 0.0200 | 0.0189 | 0.0008 | 5.64 | 0 | 0% | |
| OxE182 | 2023-2023 | 21 | 0.0197 | 0.0192 | 0.0008 | 2.58 | 0 | 0% | |
| OxH163 | 2023-2023 | 9 | 0.0397 | 0.0383 | 0.0011 | 3.74 | 0 | 0% | |
| OxN155 | 2023-2023 | 9 | 0.2310 | 0.2268 | 0.0052 | 1.85 | 0 | 0% | |
| SC127 | 2023-2023 | 20 | 0.0065 | 0.0059 | 0.0006 | 10.25 | 2 | 10% | |
| SE125 | 2023-2023 | 22 | 0.0181 | 0.0174 | 0.0010 | 4.26 | 1 | 5% | |
| SF100 | 2023-2023 | 21 | 0.0252 | 0.0243 | 0.0023 | 3.86 | 0 | 0% | |
| SP122 | 2023-2023 | 19 | 0.5354 | 0.5245 | 0.0212 | 2.07 | 0 | 0% | |
| SP73 | 2023-2023 | 20 | 0.5411 | 0.5272 | 0.0264 | 2.64 | 0 | 0% | |
| CC&V | OREAS 277 | 2023-2024 | 45 | 0.0200 | 0.0198 | 0.0021 | 0.80 | 0 | 0% |
| OREAS 279 | 2023-2024 | 47 | 0.0278 | 0.0281 | 0.0028 | -1.14 | 0 | 0% | |
| OxB146 | 2023-2023 | 11 | 0.0035 | 0.0036 | 0.0007 | -2.27 | 0 | 0% | |
| OxB186 | 2023-2024 | 59 | 0.0033 | 0.0034 | 0.0004 | -3.29 | 0 | 0% | |
| OxD167 | 2023-2023 | 26 | 0.0131 | 0.0135 | 0.0006 | -2.85 | 1 | 4% | |
| OxE166 | 2023-2023 | 8 | 0.0180 | 0.0189 | 0.0008 | -4.89 | 0 | 0% | |
| OxE182 | 2023-2024 | 56 | 0.0191 | 0.0192 | 0.0008 | -0.66 | 0 | 0% | |
| OxH163 | 2023-2023 | 20 | 0.0376 | 0.0383 | 0.0011 | -1.95 | 0 | 0% | |
| OxN155 | 2023-2023 | 13 | 0.2213 | 0.2268 | 0.0052 | -2.42 | 1 | 8% | |
| SC127 | 2023-2024 | 58 | 0.0057 | 0.0059 | 0.0006 | -3.01 | 0 | 0% | |
| SE125 | 2023-2024 | 55 | 0.0172 | 0.0174 | 0.0010 | -1.14 | 0 | 0% | |
| SF100 | 2023-2024 | 58 | 0.0235 | 0.0243 | 0.0023 | -3.36 | 0 | 0% | |
| SP122 | 2023-2024 | 57 | 0.5253 | 0.5245 | 0.0212 | 0.16 | 0 | 0% | |
| SGS | OxB186 | 2024-2024 | 19 | 0.0034 | 0.0034 | 0.0004 | 0.46 | 0 | 0% |
| OXB186 | 2024-2024 | 4 | 0.0035 | 0.0034 | 0.0004 | 2.21 | 0 | 0% | |
| OxE182 | 2024-2024 | 23 | 0.0188 | 0.0192 | 0.0008 | -2.24 | 0 | 0% | |
| OXE182 | 2024-2024 | 4 | 0.0189 | 0.0192 | 0.0008 | -1.43 | 0 | 0% | |
| SC127 | 2024-2024 | 24 | 0.0057 | 0.0059 | 0.0006 | -3.04 | 1 | 4% | |
| SE125 | 2024-2024 | 21 | 0.0171 | 0.0174 | 0.0010 | -1.81 | 0 | 0% | |
| SF100 | 2024-2024 | 20 | 0.0233 | 0.0243 | 0.0023 | -4.16 | 0 | 0% | |
| SP122 | 2024-2024 | 19 | 0.5260 | 0.5245 | 0.0212 | 0.28 | 0 | 0% | |
| SP73 | 2024-2024 | 5 | 0.5237 | 0.5272 | 0.0264 | -0.67 | 0 | 0% | |
|
Notes: 1. Au in opt 2. SD: Standard Deviation | |||||||||
For further evaluation, three CRMs representing distinct AUFA grade ranges were selected based on sufficient insertion frequency and consistent long-term use, with one CRM chosen from each primary laboratory.
| 8-11 | ![]() |
| SSR Mining Inc. | Cripple Creek and Victor Mine S-K 1300 Technical Report Summary | November 10, 2025 SLR Project No.: 123.020622.00001 |
Figure 8-3 presents the results for 402 samples of CRM H82 analyzed at ALS, showing an acceptable bias of -2.36%, with ten samples falling outside the mean ± 3SD threshold, yet still within the 5% limit. The other laboratories also reported a negative bias for this CRM, indicating similar performance patterns.
Figure 8-1: AUFA CRM Z-Score Performance by Laboratory
|
A: ALS
Figure 8-1: A: ALS Z-Score by CRM - Au (ALS) Z-Score 10.0 7.5 5.0 2.5 0.0 -2.5 -5.0 -7.5 -10.0 Date 2023-06 2023-06 2023-10 2023-11 2023-08 2023-06 2023-08 2023-11 2023-08 2023-08 2023-08 2023-11 2023-07 2023-10 2023-06 2023-10 2023-11 2023-08 2023-11 2023-08 2023-11 CRMs Legend: Upper Bound (+3) Lower Bound (-3) Upper Bound (+2) Lower Bound (-2) Accepted Value (0) OxB146 OxB186 OxD167 OxE166 OxE182 OxH163 OxN155 SC127 SE125 SF100 SP122 SP73
|
|
B: CC&V
B: CC&V Z-Score by CRM - Au (CC&V) Z-Score 10.0 7.5 5.0 2.5 0.0 -2.5 -5.0 -7.5 -10.0 Date 2023-08 2023-11 2023-08 2023-11 2023-07 2023-09 2023-12 2023-08 2023-07 2023-10 2024-02 2023-06 2023-08 2023-11 2023-07 2023-10 2023-06 2023-09 2024-01 2023-09 2023-12 CRMs Legend Upper Bound (+3) Lower Bound (-3) Upper Bound (+2) Lower Bound (-2) Accepted Value (0) OREAS 277 OREAS 279 OxB146 OxB186 OxD167 OxE166 OxE182 OxH163 OxN155 SC127 SE125 SF100 SP122
|
| 8-12 | ![]() |
| SSR Mining Inc. | Cripple Creek and Victor Mine S-K 1300 Technical Report Summary | November 10, 2025 SLR Project No.: 123.020622.00001 |
|
C: SGS
Figure 8-1: C: SGS Z-Score by CRM - Au (SGS) Z-Score 10.0 7.5 5.0 2.5 0.0 -2.5 -5.0 -7.5 -10.0 Date 2024-03 2024-03 2024-02 2024-03 2024-05 2024-02 2024-02 2024-03 2024-05 2024-02 2024-03 2024-04 2024-05 2024-02 2024-03 2024-05 2024-02 2024-03 2024-04 2024-06 2024-03 2024-03 2024-05 2024-04 CRMs Legend Upper Bound (+3) Lower Bound (-3) Upper Bound (+2) Lower Bound (-2) Accepted Value (0) OXB186 OXE182 OxB186 OxE182 SC127 SE125 SF100 SP122 SP73
|
|
D: AAL
D: AAL Z-Score by CRM - Au (AA) Z-Score 10.0 7.5 5.0 2.5 0.0 -2.5 -5.0 -7.5 -10.0 Date 2021-08 2022-03 2023-09 2021-02 2022-03 2022-07 2022-03 2022-07 2021-02 2022-03 2022-07 2021-09 2022-04 2023-09 2023-09 2023-09 2023-09 2022-03 2022-07 2021-01 2019-02 CRMs Legend Upper Bound (+3) Lower Bound (-3) Upper Bound (+2) Lower Bound (-2) Accepted Value (0) OxB146 OxB186 OxC152 OxD157 OxD167 OxE126 OxE166 OxE182 OxG141 OxH163 OxJ120 OxK119 OxN155 SC127 SF100 SG84 SH82 SJ80 SJ95 SK94 SL108 SL76 SL75
|
| 8-13 | ![]() |
| SSR Mining Inc. | Cripple Creek and Victor Mine S-K 1300 Technical Report Summary | November 10, 2025 SLR Project No.: 123.020622.00001 |
Figure 8-2: AUSL CRM Z-Score Performance by Laboratory
| A – ALS |
Figure 8-2: A-ALS Z-Score by CRM - Au (ALS) Z-Score 10.0 7.5 5.0 2.5 0.0 -2.5 -5.0 -7.5 -10.0 Date 2023-12 2022-02 2019-03 2020-03 2021-03 2022-01 2021-06 2022-05 2019-04 2020-06 2021-05 2022-04 2021-08 2023-01 2021-09 2023-02 2019-09 2020-11 2021-03 2019-09 2020-11 CRMs Legend Upper Bound (+3) Lower Bound (-3) Upper Bound (+2) Lower Bound (-2) Accepted Value (0) OXB146 OXB186 OXC145 OXD167 OXE182 OXF125 OXH163 OXK110 OxB146 OxB186 OxC129 OxC145 OxC152 OxD108 OxD157 OxD167 OxE126 OxE166 OxE182 OxF125 OxG141 OxH122 OxH163 OxK119 OxN155 SC127 SE125 SF100 SG84 SH82 SJ95 SK94 SL108 SL76 SN75 |
| B – CC&V |
B-CC&V Z-Score by CRM - Au (CC&V) Z-Score 10.0 7.5 5.0 2.5 0.0 -2.5 -5.0 -7.5 -10.0 Date 2023-08 2024-01 2024-01 2023-06 2023-10 2024-02 2023-08 2023-08 2023-11 2023-06 2023-07 2023-09 2024-01 2023-07 2023-11 2024-05 2023-10 2024-02 2023-08 2023-12 2023-10 CRMs Legend Upper Bound (+3) Lower Bound (-3) Upper Bound (+2) Lower Bound (-2) Accepted Value (0) OREAS 277 OREAS 279 OXB186 OXB182 OxB146 OxB186 OxD167 OxE166 OxE182 OxH163 OxN155 SC127 SE125 SF100 SP122 SP73 |
| C - SGS |
C-SGS Z-Score by CRM - Au (SGS) Z-Score 10.0 7.5 5.0 2.5 0.0 -2.5 -5.0 -7.5 -10.0 Date 2024-05 2024-07 2024-09 2024-01 2024-03 2024-06 2024-08 2024-02 2024-03 2024-06 2024-08 2024-02 2024-04 2024-07 2024-08 2024-03 2024-04 2024-06 2024-08 2024-02 2024-04 CRMs Legend Upper Bound (+3) Lower Bound (-3) Upper Bound (+2) Lower Bound (-2) Accepted Value (0) OREAS_45h OXB146 OXE182 OxB186 OxE182 SC127 SE125 SF1 |
| 8-14 | ![]() |
| SSR Mining Inc. | Cripple Creek and Victor Mine S-K 1300 Technical Report Summary | November 10, 2025 SLR Project No.: 123.020622.00001 |
Figure 8-3: Control Chart of CRM H82 in ALS: 2019–2021

Figure 8-3: SH82 - Au Au (opt) 0.050 0.045 0.040 0.035 0.030 0.025 Date 2019-04 2019-07 2019-10 2020-01 2020-04 2020-07 2020-10 2021-01 2021-04 Au Mean Expected Value +2SD -2SD +3SD -3SD Number of Samples: 402 Expected Value: 0.04 Mean: 0.04 Standard Deviation (SD): 0.0 Number of Outliers: 1.0 Bias (%): -2.36 Percentage of Outliers (%): 2.49
Figure 8-4 illustrates the analyses of 140 samples of CRM SF100. Results fell within control limits but were affected by multiple mislabeled values. According to internal reports from Newmont, the high outliers were caused by Rocklabs mistakenly sending incorrectly packaged SF100 standards with the wrong labels. These standards have since been tracked and flagged as invalid due to the error. This issue has been corrected, and all standards are now properly labeled. Documentation of the investigation into this issue has been completed and archived.
Figure 8-4: Control Chart of CRM SF100 in CC&V: 2021– 2024

Figure 8-4: SF100 - Au Au (opt) 0.05 0.04 0.03 0.02 0.01 0.00 Date 2021-07 2021-10 2022-01 2022-04 2022-07 2022-10 2023-01 2023-04 2023-07 2023-10 2024-01 Au Mean Expected Value +2SD -2SD +3SD -3SD Number of Samples: 140 Expected Value: 0.03 Mean: 0.02 Standard Deviation (SD): 0.0 Number of Outliers: 29 Bias (%): -3.2 Percentage of Outliers (%): 20.71
| 8-15 | ![]() |
| SSR Mining Inc. | Cripple Creek and Victor Mine S-K 1300 Technical Report Summary | November 10, 2025 SLR Project No.: 123.020622.00001 |
Figure 8-5 illustrates the performance of CRM SE125 for the SGS laboratory. The data exhibit good dispersion with no apparent bias, although some failures are presently attributed to potential mislabelling.
Figure 8-5: Control Chart of CRM SE125 in SGS: 2024

Figure 8-5: SE125 - Au opt - Lab: SGS Au opt 0.024 0.022 0.020 0.018 0.016 0.014 0.012 Date 2024-01-18 2024-03-07 2024-06-17 2024-08-30 Au Expected Value Failures Mean +2SD -2SD +3SD -3SD Moving Mean (7)
SLR recommends continuous monitoring of the CRM data to ensure early detection of potential emerging bias that may require re-analysis, and to promptly identify and rectify any biases that could affect the reliability of the results. Mislabels should also be monitored, corrected, and properly documented, with personnel kept consistently trained to minimize recurrence.
| 8.4.2 | Blank Material |
The routine insertion of blank samples serves to monitor potential contamination during sample preparation and analysis, as well as to identify possible sample mix-ups or numbering errors. Coarse blanks used by CC&V consisted of Pikes Peak Granite sourced from a local aggregate supplier in Woodland Park, Colorado. Although not certified reference materials, the blanks were subjected to characterization studies to confirm their geochemical appropriateness for use in QA/QC programs. Each blank was assigned a unique identification number and was inserted into the sample stream following standard procedures. These blanks were submitted to all laboratories and underwent the same preparation and analytical protocols as the core samples.
Assay results for blank samples that exceed ten times the method detection limit are considered failures.
Between 2019 and 2024, a total of 5,481 coarse blank samples were submitted for AUFA analysis: 4,443 to ALS, 868 to the CC&V, 169 to SGS, and 1 to AAL. For AUSL analysis (2023–2024), an additional 550 coarse blanks were submitted: 191 to ALS, 248 to CC&V, and 111 to SGS.
For AUFA analysis, review of ALS results indicates effective contamination control, with only 10 blank samples (0.2%) exceeding the failure threshold (Figure 8-6). Similarly, only two failures were recorded at SGS (1.2%), with the remaining samples returning values within acceptable limits. In contrast, the
| 8-16 | ![]() |
| SSR Mining Inc. | Cripple Creek and Victor Mine S-K 1300 Technical Report Summary | November 10, 2025 SLR Project No.: 123.020622.00001 |
CC&V internal laboratory reported a significantly higher failure rate, exceeding 8% as illustrated in Figure 8-7. Given that the same blank material did not show contamination issues at other laboratories, this suggests potential procedural inconsistencies or lapses in the internal lab. Although hard (exceeds pre-defined tolerance limits) failures were investigated, typically to assess sample swaps or contamination, they were generally not re-analyzed due to the non-certified nature of the blank material.
For AUSL analysis, 13 blank samples submitted to ALS (6.8%) exceeded the failure threshold, although most values were only marginally above the limit. SGS reported a single failure (0.9%), while CC&V recorded two failures (0.8%). One of the CC&V failures showed a significantly elevated value, warranting further review to rule out potential mislabeling or sample mix-up. Overall, contamination control in AUSL appears acceptable across laboratories, though the SLR QP recommends continued monitoring.
The SLR QP recommends that the internal laboratory review its procedures and ensure strict adherence to QA/QC protocols to mitigate future occurrences.
Figure 8-6: Blank Sample Performance at ALS Laboratory (2019–2023)

Figure 8-6: CB Blanks - Au_opt (ALS) Au_opt 0.030 0.025 0.020 0.015 0.010 0.005 0.000 Date 2019-01 2019-07 2020-01 2020-07 2021-01 2021-07 2022-01 2022-07 2023-01 2023-07 Limit N samples: 4443 N failures: 10 Failure rate: 0.2%
| 8-17 | ![]() |
| SSR Mining Inc. | Cripple Creek and Victor Mine S-K 1300 Technical Report Summary | November 10, 2025 SLR Project No.: 123.020622.00001 |
Figure 8-7: Blank Sample Performance at CC&V Laboratory (2020–2024)

Figure 8-7: CB Blanks - Au_opt (CC&V) Au_opt 0.030 0.025 0.020 0.015 0.010 0.005 0.000 Date 2020-11 2021-05 2021-11 2022-05 2022-11 2023-05 2023-11 2024-05 2024-11 Limit N samples: 868 N failures: 72 Failure rate: 8.3%
| 8.4.3 | Duplicates |
Duplicates help assess the natural local scale grade variance, or nugget effect, and are also useful for detecting sample numbering mix-ups. The precision of sampling and analytical results can be quantified by re-analyzing the same sample using the same methodology. The variance between the measured results will indicate their precision. Precision is affected by mineralogical factors such as grain size, distribution, and inconsistencies in the sample preparation and analysis processes. There are different duplicate sample types, which can be used to determine the precision of the entire sampling, sample preparation, and analytical process.
The field duplicates help monitor the grade variability as a function of both sample homogeneity and laboratory error. RC drill cuttings were split at the rig using a rotary splitter. For core samples, the retained half-core from the primary interval was used as the field duplicate.
Coarse duplicates are produced from coarse reject material generated during the crushing stage and serve to monitor potential errors introduced during sample preparation, such as sub-sampling inconsistencies. Pulp duplicates are created by splitting homogenized pulp samples in the assay laboratory to assess precision at the analytical stage, highlighting potential analytical variability.
Between 2015 and 2019, blind coarse duplicates were also submitted, prepared from coarse rejects returned from the laboratory. While these duplicates were not intended to assess analytical precision under identical conditions, they provided valuable information on long-term reproducibility and potential preparation or batch-related variability.
Table 8-5 summarizes the performance of all duplicates across four laboratories (AAL, ALS, CC&V, and SGS). The evaluation is based on the HARD (Half Absolute Relative Difference) metric, with criteria
| 8-18 | ![]() |
| SSR Mining Inc. | Cripple Creek and Victor Mine S-K 1300 Technical Report Summary | November 10, 2025 SLR Project No.: 123.020622.00001 |
requiring 90% of samples below thresholds of 30% for field duplicates, 20% for coarse duplicates, and 10% for pulp duplicates.
Table 8-5: Summary of Duplicate Sample Performance
| Method | Lab | Duplicate Type | Year Range | Count | Failures (HARD) | HARD % at 90% Percentile | HARD Failure Rate (%) | Correlation (r) |
| AUFA | AAL | PD | 2021–2023 | 8 | 0 | 3.86 | 0 | 1.00 |
| ALS | FD | 2019–2023 | 12,544 | 362 | 15.27 | 2.89 | 0.93 | |
| CD | 2019–2023 | 2,078 | 30 | 8.42 | 1.44 | 0.99 | ||
| CD_B | Prior to 2019 | 609 | 117 | 32.32 | 19.21 | 0.95 | ||
| PD | 2019–2023 | 5,699 | 207 | 6.33 | 3.63 | 1.00 | ||
| CC&V | FD | 2019–2023 | 2,724 | 406 | 38.12 | 14.9 | 0.85 | |
| CD | 2023–2024 | 509 | 47 | 19.38 | 9.23 | 0.77 | ||
| SGS | FD | 2024–2024 | 606 | 34 | 20.55 | 5.61 | 1.00 | |
| CD | 2024–2024 | 73 | 1 | 9.58 | 1.37 | 0.95 | ||
| PD | 2024–2024 | 313 | 31 | 9.85 | 9.9 | 0.91 | ||
| AUSL | ALS | FD | 2023–2023 | 329 | 9 | 19.24 | 2.74 | 0.97 |
| CD | 2023–2023 | 80 | 9 | 22.17 | 11.25 | 0.98 | ||
| PD | 2023–2023 | 212 | 40 | 16.5 | 18.87 | 1.00 | ||
| CC&V | FD | 2023–2023 | 48 | 5 | 26.02 | 10.42 | 0.99 | |
| CD | 2023–2024 | 337 | 29 | 19.04 | 8.61 | 0.85 | ||
| SGS | FD | 2024–2024 | 189 | 8 | 18.31 | 4.23 | 1.00 | |
| CD | 2024–2024 | 52 | 1 | 9.59 | 1.92 | 0.99 | ||
| PD | 2024–2024 | 219 | 26 | 10.79 | 11.87 | 0.99 | ||
|
Notes: FD: Field Duplicate CD: Coarse Duplicate PD: Pulp Duplicate CD_B: Blind Coarse Duplicate | ||||||||
| 8.4.3.1 | AUFA Method |
For field duplicates, ALS showed acceptable precision, with a failure rate of 2.89% and a correlation coefficient of 0.93. SGS performed similarly, with a 5.61% failure rate and perfect correlation (1.00). In contrast, CC&V reported a significantly higher failure rate of 14.9% and a weaker correlation (0.85), which indicates poor reproducibility and requires further attention. Results for the CC&V field duplicates are illustrated in Figure 8-8.
Coarse duplicates showed good performance at ALS (1.44% failure, r = 0.99) and SGS (1.37% failure, r = 0.95, Figure 8-9); however, CC&V returned a higher failure rate of 9.23% and a lower correlation of 0.77, again suggesting reduced analytical consistency and the need for procedural review.
| 8-19 | ![]() |
| SSR Mining Inc. | Cripple Creek and Victor Mine S-K 1300 Technical Report Summary | November 10, 2025 SLR Project No.: 123.020622.00001 |
Blind coarse duplicates analyzed at ALS prior to 2019 presented a high failure rate of 19.21%, despite showing a reasonable correlation (0.95). The majority of these samples were concentrated in the low-grade range, where higher relative variability is expected, which likely contributed to the elevated failure rate.
Pulp duplicates demonstrated strong precision and reproducibility at ALS (3.63% failure, r = 1.00) and AAL (0% failure, r = 1.00). SGS showed a higher failure rate of 9.9% and a slightly lower correlation (0.91), indicating moderate variability (Figure 8-10).
Figure 8-8: Field Duplicate Performance – AUFA Method (CC&V: 2019 – 2023)

Figure 8-8: HARD Index (%) for Au_opt - FD - CC&V HARD Index (%) 100 80 60 40 20 0 Percentile 0 20 40 60 80 100 Total Sample Pairs: 2724 Total Sample Failures: 406 HARD Failure Rate (%): 14.90 Scatter Plot for Au_opt - FD - CC&V Duplicate_opt 0.30 0.25 0.20 0.15 0.10 0.05 0.00 Original_opt 0.00 0.05 0.10 0.15 0.20 0.25 0.30 Data Points y=x +30% limit -30% limit
Figure 8-9 Coarse Duplicate Performance – AUFA Method (ALS: 2019 – 2023)
·

Figure 8-9: HARD Index (%) for Au_opt - CD - ALS HARD Index (%) 100 80 60 40 20 0 Percentile 0 20 40 60 80 100 Total Sample Pairs: 2078 Total Sample Failures: 30 HARD Failure Rate (%): 1.44 Scatter Plot for Au_opt - CD - ALS Duplicate_opt 0.30 0.25 0.20 0.15 0.10 0.05 0.00 Original_opt 0.00 0.05 0.10 0.15 0.20 0.25 0.30 Data Points y=x +20% limit -20% limit
| 8-20 | ![]() |
| SSR Mining Inc. | Cripple Creek and Victor Mine S-K 1300 Technical Report Summary | November 10, 2025 SLR Project No.: 123.020622.00001 |
Figure 8-10: Pulp Duplicate Performance – AUFA Method (SGS: 2024)
·

Figure 8-10: HARD Index (%) for Au_opt - PD - SGS HARD Index (%) 100 80 60 40 20 0 Percentile 0 20 40 60 80 100 Total Sample Pairs: 313 Total Sample Failures: 31 HARD Failure Rate (%): 9.90 Scatter Plot for Au_opt - PD - SGS Duplicate_opt 0.14 0.12 0.10 0.08 0.04 0.02 0.00 Original_opt 0.00 0.02 0.04 0.08 0.10 0.12 0.14 Data Points y=x +10% limit -10% limit
| 8.4.3.2 | AUSL Method |
For field duplicates, all laboratories showed generally good performance. ALS and SGS reported low failure rates (2.74% and 4.23%, respectively), with high correlation values (≥0.97). CC&V exhibited a strong correlation (0.99) but a higher failure rate (10.42%).
Coarse duplicates were more variable. SGS showed the best performance (1.92% failure, r = 0.99), while ALS and CC&V (Figure 8-11) reported higher failure rates (11.25% and 8.61%, respectively), with correlation coefficients of 0.98 and 0.85, indicating lower reproducibility in these labs.
Pulp duplicates showed the highest variability among all duplicate types for AUSL. ALS recorded a failure rate of 18.87% (r = 1.00, Figure 8-13), and SGS 11.87% (r = 0.99). Most of the discrepancies were associated with low-grade samples, where greater relative variability is typically expected. No pulp duplicate data were reported for CC&V.
Figure 8-11: Field Duplicate Performance – AUSL Method (CC&V: 2023–2024)

Figure 8-11: HARD Index (%) for Au_opt - FD - CC&V HARD Index (%) 100 80 60 40 20 0 Percentile 0 20 40 60 80 100 Total Sample Pairs: 48 Total Sample Failures: 5 HARD Failure Rate (%): 10.42 Scatter Plot for Au_opt - FD - CC&V Duplicate_opt 0.05 0.04 0.03 0.02 0.01 0.00 Original_opt 0.00 0.01 0.02 0.03 0.04 0.05 Data Points y=x +30% limit -30% limit
| 8-21 | ![]() |
| SSR Mining Inc. | Cripple Creek and Victor Mine S-K 1300 Technical Report Summary | November 10, 2025 SLR Project No.: 123.020622.00001 |
Figure 8-12: Coarse Duplicate Performance – AUSL Method (CC&V: 2023–2024)

Figure 8-12: HARD Index (%) for Au_opt - CD - CC&V HARD Index (%) 100 80 60 40 20 0 Percentile 0 20 40 60 80 100 Total Sample Pairs: 337 Total Sample Failures: 29 HARD Failure Rate (%): 8.61 Scatter Plot for Au_opt - CD - CC&V Duplicate_opt 0.05 0.04 0.03 0.02 0.01 0.00 Original_opt 0.00 0.01 0.02 0.03 0.04 0.05 Data Points y=x +20% limit -20% limit
Figure 8-13: Pulp Duplicate Performance – AUSL Method (ALS: 2023–2024)

Figure 8-13: HARD Index (%) for Au_opt - PD - ALS HARD Index (%) 100 80 60 40 20 0 Percentile 0 20 40 60 80 100 Total Sample Pairs: 212 Total Sample Failures: 40 HARD Failure Rate (%): 18.87 Scatter Plot for Au_opt - PD - ALS Duplicate_opt 0.05 0.04 0.03 0.02 0.01 0.00 Original_opt 0.00 0.01 0.02 0.03 0.04 0.05 Data Points y=x +10% limit -10% limit
| 8.4.4 | Umpire Check Assay |
As part of the CC&V QA/QC program, pulp samples were submitted to independent umpire laboratories to verify the accuracy and precision of primary assay results, using the same analytical procedures as those applied in the primary laboratory. Umpire checks were evaluated using the same acceptance criteria as pulp duplicates to assess inter-laboratory precision.
A total of 2,582 pulp samples were sent to AAL as the umpire laboratory and evaluated through scatter plots and statistical analyses. Of these, 209 samples were analyzed in 2019, 1,318 in 2021, 968 in 2022, and 87 in 2023.
The scatter plots shown in Figure 8-14 demonstrate a high degree of reproducibility between the primary laboratory (ALS) and the umpire laboratory (AAL). The data exhibits a strong correlation of 0.99, with gold assay results distributed closely along the 1:1 line. While the 2021 samples show slightly increased dispersion compared to other years, the overall reproducibility remains high. Furthermore, the Percent Difference of Means was -1.7%, indicating minimal bias.
| 8-22 | ![]() |
| SSR Mining Inc. | Cripple Creek and Victor Mine S-K 1300 Technical Report Summary | November 10, 2025 SLR Project No.: 123.020622.00001 |
Table 8-6 summarizes the performance of the check assays conducted for each year.
Table 8-6: Gold Pulp Check Assay Performance Metrics by Year
| Year | Count of Pairs | Correlation | Diff_Means (%) |
| 2019 | 209 | 0.998 | -2.6 |
| 2021 | 1,318 | 0.983 | -1 |
| 2022 | 968 | 0.994 | -2.4 |
| 2023 | 87 | 0.994 | -0.8 |
Figure 8-14: Scatter Plots for Gold Pulp External Checks – ALS vs AAL

Figure 8-14: Check Assay Scatter Plot - ALS vs AAL AAL Au_opt (Duplicate) 1 1e-01 1e-02 1e-03 AAL Au_opt (Original) 1e-03 1e-02 1e-01 1 Year 2019 2021 2022 2023 STATICTIC ALS AAL Count of pairs Mean Max Min Median Std Dev Correlation Perc Diff Mean 2582 0.008 0.236 0.001 0.004 0.0 0.008 0.222 0.001 0.004 0.0 0.99 -1.7
The SLR QP recommends continued periodic monitoring of check assays, with particular emphasis on key gold grade ranges. Based on the results observed, the SLR QP is of the opinion that the check assay results from the umpire laboratory provide strong support for the reliability of the primary assay data used in Mineral Resource estimation.
| 8.5 | Conclusions and Recommendations |
Based on the review of data spanning from 2019 to 2024, the following conclusions and recommendations are provided by SLR:
| 8-23 | ![]() |
| SSR Mining Inc. | Cripple Creek and Victor Mine S-K 1300 Technical Report Summary | November 10, 2025 SLR Project No.: 123.020622.00001 |
| · | Certified Reference Materials and Standard: |
| o | AUFA: Exhibited consistent performance across all participating laboratories (bias <5%), with control limits defined at ±3SD from the Expected Value. Only occasional mislabeling incidents were observed at ALS and SGS, whereas the CC&V laboratory reported a higher frequency of failures and apparent sample mislabeling up to 2023. Notably, CRM performance at CC&V improved in 2024. |
| o | AUSL: Standard performance was generally acceptable across laboratories, with most results falling within ±5% bias. A systematic positive bias was observed at ALS. As the expected values were internally derived (non-certified), relative trends were used to assess laboratory consistency. Due to the higher analytical variability of cyanide shake leach methods, AUSL assays typically exhibit lower accuracy and precision compared to AUFA. SLR advises continued monitoring of internal standard values and the implementation of an interlaboratory round robin program to assess result concordance, support analytical method validation, quantify measurement uncertainty, and establish harmonized reference values through statistically robust comparison. |
| o | SLR recommends reducing the number of CRM types used to a maximum of three to four, selected to represent the grade ranges of interest. This reduction is deemed sufficient to effectively monitor laboratory performance and identify emerging biases or systematic failures over time. |
| · | Blanks: No major contamination issues were identified during sample preparation for either AUFA or AUSL at ALS or SGS; however, the CC&V internal laboratory showed a significantly higher failure rate in AUFA blanks (>8%), suggesting potential procedural inconsistencies. In AUSL, one elevated blank result at CC&V may indicate mislabeling. |
| o | The QP recommends a review of CC&V’s internal procedures and alignment with industry best practices. |
| · | Duplicates: Duplicate sample performance was generally acceptable across laboratories, with high correlation coefficients indicating consistency; however, CC&V showed reduced reproducibility, particularly in field duplicates (AUFA) and both field and coarse duplicates (AUSL). ALS blind coarse duplicates (<2019) in AUFA and pulp duplicates in AUSL showed the highest failure rates, largely associated with low-grade samples. |
| o | The SLR QP recommends continued monitoring and refinement of sample preparation protocols where variability persists. |
| · | Umpire Assays: External check assays demonstrated good reproducibility of gold values between the primary laboratory (ALS) and the umpire laboratory (AA). |
| o | The SLR QP recommends continued implementation of umpire assays to independently monitor laboratory performance and ensure the ongoing reliability of analytical results. |
In the SLR QP’s opinion, the sampling, sample preparation, analysis, and security procedures implemented at CC&V, along with the results of the QA/QC program during this period, demonstrate that the precision and accuracy of the gold assay data are acceptable and adequate for use in the estimation of Mineral Resources.
| 8-24 | ![]() |
| SSR Mining Inc. | Cripple Creek and Victor Mine S-K 1300 Technical Report Summary | November 10, 2025 SLR Project No.: 123.020622.00001 |
| 9.0 | Data Verification |
Data verification is the process of checking and verifying hard-copy logs and digital records for accuracy, ensuring the data on which mineral resource estimates are based can be linked from digital databases or records to log sheets and drilling or sampling intervals. It is an additional verification process to determine that QA and QC processes have been effectively applied and that these were working to assure and control the quality of the data. Data verification is carried out after samples have been collected, assays have been returned, and data have been stored in the database. Where relevant, data verification may also include check sampling carried out by the Competent Person, especially if standard operating procedures (SOPs) are not available or difficult to audit, and QC data are limited to demonstrate processes were in control.
SLR was not directly involved in the exploration drilling, logging, and sampling programs that formed the basis for collecting the data used to support the geological model and Mineral Resource estimate for the Property, which is consistent with the procedures used in connection with reports of this type.
| 9.1 | Site Visit |
The SLR QP visited the site on June 10, 2025, during which the SLR QPs toured operational areas and Project offices, inspected various parts of the property and infrastructure, inspected the core handling facility, sampling procedures, and drilling operations at Stockpile (Dump 1), and interviewed key personnel involved in the collection, interpretation, and processing of geological data and preparation of the Mineral Resource estimates.
| 9.2 | Database Validation |
SSR provided digital data exports to SLR for use in the preparation and audit of the Mineral Resource estimates disclosed in this Technical Report Summary. The supplied datasets include drilling and analytical information derived from multiple exploration campaigns conducted on the Project since the early 1900s.
The SLR QP responsible for this section conducted a systematic verification of the exploration data to assess its quality, accuracy, and suitability for use in the Mineral Resource estimate in accordance with the requirements of S-K 1300. The verification process included a review of data collection procedures, data entry protocols, storage systems, and retrieval methods to determine whether the data met the standards for public disclosure and resource modeling.
As part of the verification program, the SLR QP performed a combination of database audits, QA/QC reviews, and a physical inspection of the Project site, including a review of drill core. The data verification was unrestricted, and no limitations were imposed on the SLR QP’s ability to review the supporting information. The QA/QC procedures and results are discussed in further detail in Section 8.0 Sample Preparation, Analyses, and Security.
Specific verification steps undertaken by the SLR QP included, but were not limited to, the following:
| · | Collar Table: Reviewed for duplicate hole identifiers and invalid collar coordinates. |
| · | Downhole Survey Table: Checked for duplicate survey entries, inconsistencies in survey depths relative to collar maximum depth, and abnormal azimuth and dip values. |
| · | Lithology Table: Audited for duplicate or missing intervals, negative lengths, missing collar data, intervals exceeding collar depth, and invalid lithologic codes. |
| 9-1 | ![]() |
| SSR Mining Inc. | Cripple Creek and Victor Mine S-K 1300 Technical Report Summary | November 10, 2025 SLR Project No.: 123.020622.00001 |
| · | Assay Table: Examined for overlapping sample intervals, missing or negative assay values (excluding below detection limit values), and values outside expected grade ranges. |
| · | Internal Consistency Checks: Conducted across alphanumeric and numeric fields, including assay, lithology, density, and survey records. |
| · | 3D Visual Inspection: Completed to assess spatial continuity of drill holes and identify any inconsistencies or unrealistic deviations in hole trajectories. |
| 9.3 | QP Opinion |
The SLR QP considers the exploration database for the CC&V Project to be sufficiently robust to support the estimation of Mineral Resources as defined under S-K 1300. The extensive historical exploration and production history, combined with the recent verification efforts, provide reasonable confidence in the validity of the data.
| 9-2 | ![]() |
| SSR Mining Inc. | Cripple Creek and Victor Mine S-K 1300 Technical Report Summary | November 10, 2025 SLR Project No.: 123.020622.00001 |
| 10.0 | Mineral Processing and Metallurgical Testing |
| 10.1 | Metallurgical Testwork |
| 10.1.1 | Summary |
Metallurgical testing at the CC&V Mine has been primarily performed to support the operating heap leach and milling facilities and to determine the metallurgical characteristics of new ore deposits included in the mine plans.
Prior to 2009, the onsite CC&V mine metallurgical laboratory conducted two column leach tests per month using crushed ore samples collected from material placed on the leach pad. These samples were obtained daily, excluding Thursdays, from haul truck dumps, and composited over the month to create a representative sample. This monthly composite was then used in duplicate column tests.
However, due to the nature of the sampling approach, the monthly composite did not reliably represent the actual material stacked on the pad. As the samples could not be accurately traced back to specific pits or mining areas, the test results had limited applicability in validating block model assumptions or in calibrating metallurgical factors (MF).
Following an audit by AMEC in Q1 2009, it was determined that deposit-specific testing would improve the accuracy of recovery estimates. The audit recommended validating the linear recovery methodology applied to each deposit and improving the translation of metallurgical factors from the block model to the ore control model.
As a result, the practice shifted to collecting sufficient material directly from active mining areas to conduct at least two column leach tests per month for each deposit. In addition to column tests, bottle roll tests were conducted, along with analyses for total sulfur, sulfide sulfur, and external elemental assays via ICP techniques.
Compacted permeability testing simulating depths of burial from 100 m to 300 m was recently initiated as a standard test on the column leach test tailings. The Cripple Creek ores have typically been very hard and permeable however the weathered material being mined from the Globe Hill Pipe is soft (non-durable) and requires blending with harder (durable) material to prevent stability and permeability issues. Currently a 1:1 blend of durable to nondurable material is used to address these issues.
Results from ongoing test programs, combined with relevant historical data, are interpreted to inform and update key process models used to support operations. Specifically, leach recovery models are regularly revised to incorporate the latest column and bottle roll test results as they become available, while the operating cost model is regularly updated using newly acquired data on ore hardness and reagent consumption.
| 10.1.2 | Sampling Methodology – Metallurgical Testing Representativity Analysis |
To assess the representativity of metallurgical sampling across the ore types scheduled for processing, a structured evaluation was conducted using the GeoMet “Bingo Chart” framework. This interactive Excel-based tool allows for a detailed bin-by-bin comparison between the Life of Mine (LOM) plan and the number and type of metallurgical samples collected to date. Two defining geometallurgical characteristics—such as lithology, alteration, grade range, or depth—are selected to form the axes of a matrix, with each intersecting bin representing a unique ore type. For each bin, planned tonnage and grade from the mine plan are entered, followed by the number of existing Variability or Master
| 10-1 | ![]() |
| SSR Mining Inc. | Cripple Creek and Victor Mine S-K 1300 Technical Report Summary | November 10, 2025 SLR Project No.: 123.020622.00001 |
Composite samples. The tool then calculates the proportionality between the sample distribution and the ore distribution, highlighting under- or over-sampled areas within a tolerance defined by the study stage.
The goal is not to match sample counts exactly, but to ensure that sampling reflects the relative importance of each ore type in terms of tonnage and, secondarily, contained metal. Over-sampling benign or low-volume bins is discouraged, while identifying and addressing under-sampling of economically or volumetrically significant bins is prioritized. Additional samples are then proposed in a way that achieves proportional coverage without excessive testing. This approach supports efficient test planning and ensures the resulting metallurgical dataset accurately reflects the complexity and variation within the deposit.
| 10.1.3 | Historical Metallurgical Tests |
| 10.1.3.1 | Pikes Peak Mining Company – 1995 |
Six composite samples were prepared from drill holes CC95-68 and CC95-69 within the South Cresson Phase 1 pit, categorized by rock type, total sulfur, shake leach/fire assay (SLFA) ratio, and depth. The composites included Oxide Phonolite, Sulfide Phonolite, Oxide Breccia, Sulfide Breccia (SLFA <60%), Shallow Sulfide Breccia (<250 ft), and Deep Sulfide Breccia (>250 ft). All samples were stage crushed to 100% passing 1 inch and blended with lime at 5 lb/ton. Column leach tests were performed using 1.2 lb/ton NaCN solution at 0.005 gpm/ft². Gold recovery was monitored by AAS; tests were terminated after gold concentrations remained below 0.002 opt for three consecutive days, resulting in test durations of 25 to 27 days. Assay data are summarized in Table 10-1.
Table 10-1: Pikes Peak Mining Company Composite Sample Assays
| Composites | Assay Head | Total Sulfur (%) | Total Carbon (%) | |
| (opt AUFA) | (opt AUSL) | |||
| Oxide Phonolite | 0.020 | 0.014 | 0.55 | 0.00 |
| Sulfide Phonolite | 0.030 | 0.023 | 2.38 | 0.00 |
| Oxide Breccia | 0.019 | 0.013 | 0.49 | 0.00 |
| Sulfide Breccia Low SLFA | 0.021 | 0.017 | 3.16 | 0.07 |
| Shallow Sulfide Breccia | 0.031 | 0.022 | 3.30 | 0.00 |
| Deep Sulfide Breccia | 0.018 | 0.011 | 3.76 | 0.07 |
Column recovery based on fire assay ranged from 27% to 58%, primarily influenced by the cyanide-soluble gold content in each composite. The lowest recoveries were observed in the Deep Sulfide Breccia and Sulfide Breccia with low SLFA ratio, while the highest recoveries—ranging from 54% to 57%—were achieved in the Oxide Phonolite, Oxide Breccia, and Shallow Sulfide Breccia composites. Full column test results are summarized in Table 10-2 and kinetic curves in Figure 10-1.
| 10-2 | ![]() |
| SSR Mining Inc. | Cripple Creek and Victor Mine S-K 1300 Technical Report Summary | November 10, 2025 SLR Project No.: 123.020622.00001 |
Table 10-2: Pikes Peak Mining Company Composite Sample Column Leach Results
| Composites | Calc Head | SLFA | Recovery | Leach Time | ||
| (opt AUFA) | (opt AUSL) | (% FA) | (% SL) | (days) | ||
| Oxide Phonolite | 0.019 | 0.017 | 0.89 | 57.30 | 64.10 | 25 |
| Sulfide Phonolite | 0.037 | 0.029 | 0.78 | 42.40 | 54.20 | 27 |
| Oxide Breccia | 0.019 | 0.015 | 0.79 | 57.60 | 72.70 | 27 |
| Sulfide Breccia Low SLFA | 0.031 | 0.021 | 0.67 | 37.30 | 55.50 | 27 |
| Shallow Sulfide Breccia | 0.027 | 0.02 | 0.74 | 54.20 | 73.50 | 25 |
| Deep Sulfide Breccia | 0.019 | 0.01 | 0.53 | 27.00 | 50.70 | 25 |
Figure 10-1: Pikes Peak Mining Company Column Tests Kinetic Results for Cyanide Soluble Gold Recovery

Figure 10-1: Recovery (% AuSL) 100% 90% 80% 70% 60% 50% 40% 30% 20% 10% 0% Days Under Leach 1 3 5 7 9 11 13 15 17 19 21 23 25 27 Oxide Phonolite Sulfide Phonolite Oxide Breccia Sulfide Breccia Low SLFA Shallow Sulfide Breccia Deep Sulfide Breccia
| 10.1.3.2 | METCON – 2000 |
In 2000, METCON Research Inc. assayed and composited 183 individual drill core intervals from drill holes CC006 and CC007 within the South Cresson Phase 1 Layback. Two composite samples—designated as Breccia Composite and Phonolite Composite—were developed and prepared at crush size distributions of P80 1.5 inch and P70 0.5 inch for column leach testing. The Breccia Composite averaged 0.023 opt AUFA with 96% cyanide-soluble gold, 0.017% total carbon, and 2.66% total sulfur, of which 95% was sulfide sulfur. The Phonolite Composite showed significant variability between crush sizes, ranging from 0.024 opt to 0.071 opt AUFA, likely due to coarse gold nugget effects. Repeat head assays were not conducted; however, calculated heads based on residuals
| 10-3 | ![]() |
| SSR Mining Inc. | Cripple Creek and Victor Mine S-K 1300 Technical Report Summary | November 10, 2025 SLR Project No.: 123.020622.00001 |
averaged 0.032 opt AUFA across six replicates. This composite also exhibited complete cyanide solubility, with 0.020% total carbon and 1.1% total sulfur, of which 64% was sulfide sulfur.
Triplicate columns were prepared for each composite and crush size, dosed with lime at 6 lb/ton, and loaded into 6 or 8-inch diameter PVC columns. Columns were open-cycle leached for 90 days, followed by three days of rinse and nine days of drain. A barren solution containing 1 lb/ton NaCN was applied at 0.004 gpm/ft², maintaining a target pH of ~11.5. During early leaching, pH in the pregnant solution dropped below 10.5, requiring lime adjustment to raise pH to ~12.5. Once stabilized, solution pH was maintained between 10.5 and 11.5 for the remainder of testing.
Column test results from the Breccia Composite indicated a notable improvement in gold extraction with finer crush size, averaging 60.44% recovery compared to 40.32% for the coarser material—a difference of approximately 20%. While lime consumption remained comparable between the two size fractions, cyanide consumption was significantly higher in the finer material. Early leach cycles (first approximately 40 days) in all Breccia columns experienced pregnant solution pH levels below 10.5, and in some cases below 10.0, likely contributing to cyanide loss via hydrolysis. This pH suppression effect was more pronounced in the finer crush tests. A summary of Breccia column test results is presented in Table 10-3.
Table 10-3: METCON (2000) Breccia Composite Column Leach Results
| METCON Breccia Composite 2000 | Calc Head (opt AUFA) |
Recovery (% AuFA) |
Consumption (lb/ton) | |
| Cyanide | Lime | |||
| P70 0.5 inch | 0.023 | 63.41 | 2.0 | 11.1 |
| P70 0.5 inch | 0.024 | 58.63 | 1.7 | 11.0 |
| P70 0.5 inch | 0.024 | 59.29 | 2.0 | 11.0 |
| Average - P70 0.5 inch | 0.024 | 60.44 | 1.9 | 11.0 |
| P80 1.5 inch | 0.029 | 39.56 | 0.8 | 10.2 |
| P80 1.5 inch | 0.028 | 37.88 | 0.8 | 10.4 |
| P80 1.5 inch | 0.024 | 43.50 | 0.6 | 9.9 |
| Average - P80 1.5 inch | 0.027 | 40.32 | 0.7 | 10.1 |
In contrast, gold recovery from the Phonolite Composite was less sensitive to crush size, with recovery increasing from 69% at coarse crush to 75% at fine crush—an improvement of only 6%. Cyanide consumption trends mirrored those of the Breccia Composite, with higher usage in finer material, while lime consumption remained similar across both size fractions. Like the Breccia tests, all Phonolite columns exhibited initially low pregnant solution pH. Phonolite column test results are detailed in Table 10-4.
Table 10-4: METCON (2000) Phonolite Composite Column Leach Results
| METCON Phonolite Composite 2000 | Calc Head (opt AUFA) | Recovery (% AuFA) | Consumption (lb/ton) | |
| Cyanide | Lime | |||
| P70 0.5 inch | 0.030 | 74.31 | 0.95 | 5.67 |
| P70 0.5 inch | 0.026 | 77.16 | 0.91 | 5.60 |
| 10-4 | ![]() |
| SSR Mining Inc. | Cripple Creek and Victor Mine S-K 1300 Technical Report Summary | November 10, 2025 SLR Project No.: 123.020622.00001 |
| METCON Phonolite Composite 2000 | Calc Head (opt AUFA) | Recovery (% AuFA) | Consumption (lb/ton) | |
| Cyanide | Lime | |||
| P70 0.5 inch | 0.030 | 74.56 | 0.88 | 5.63 |
| Average - P70 0.5 inch | 0.029 | 75.34 | 0.91 | 5.63 |
| P80 1.5 inch | 0.035 | 74.17 | 0.23 | 5.01 |
| P80 1.5 inch | 0.039 | 66.03 | 0.32 | 5.15 |
| P80 1.5 inch | 0.029 | 64.98 | 0.25 | 5.11 |
| Average - P80 1.5 inch | 0.034 | 69.39 | 0.27 | 5.09 |
| 10.1.3.3 | METCON – 2003 |
The 2003 METCON study evaluated 390 drill core intervals from four holes within the WHEX pit, including the current WHEX Nose area. Six composite samples were created by grouping intervals representing Volcanic and Precambrian ore types. Column leach tests were conducted in triplicate for each composite at a crush size of 70% passing 0.75 inch and a leach duration of 45 days. Complementary bottle roll tests were also completed in triplicate. The results revealed significantly different recovery behavior between the two lithologies: Precambrian composites exhibited higher sulfide content and lower cyanide-soluble gold compared to the Volcanic composites. Due to these differences, Precambrian and Volcanic units are treated as separate metallurgical domains for modeling and recovery projections in the WHEX area.
| 10.1.3.4 | Kappes Cassiday & Associates – 2004 |
In the 2004 testing program, 553 drill core intervals from across the WHEX resource area, including the current WHEX Nose, were submitted to Kappes, Cassiday & Associates (KCA) for metallurgical evaluation. Twelve composite samples were developed based on rock type and fire assay grade. A total of 28 column leach tests were conducted on these composites. Most samples were tested in triplicate to ensure reproducibility, except for the four “High Grade” composites, which were limited by sample availability and thus tested as single replicates.
| 10.1.3.5 | Kappes Cassiday & Associates – 2008 |
In 2008, the Globe Hill Metallurgical Domain was defined through a metallurgical testing program conducted by Kappes, Cassiday & Associates (KCA). A total of 886 core intervals from 15 drill holes completed in 2006 and 2007 were delivered to KCA’s Reno, Nevada, laboratory. From these, 22 composite samples were developed by CC&V personnel based on grade, oxidation state (oxide vs. sulfide), and rock type. Column leach tests were conducted in duplicate for each composite at a crush size of 80% passing ¾ inch, with a 45-day leach cycle followed by a seven-day rinse.
| 10.1.3.6 | AngloGold Ashanti – 2005 |
In 2005, two large-diameter PQ core holes (CC05-93 and CC05-94) from the South Cresson Phase 1 area were assayed and composited for column leach testing. Five-foot intervals were stage crushed to 65% passing 0.75 inches. Composites were not segregated by rock type; instead, they were grouped based on fire assay gold values between 0.010 opt and 0.100 opt AUFA. Intervals were classified as oxide if they had an iron code of 1 or 0 and total sulfur below 1%, and as sulfide if the iron code was 2 or higher with sulfur content above 1%. The resulting composites were analyzed for gold, sulfur, and carbon content, as summarized in Table 10-5. Each composite was split and tested in duplicate
| 10-5 | ![]() |
| SSR Mining Inc. | Cripple Creek and Victor Mine S-K 1300 Technical Report Summary | November 10, 2025 SLR Project No.: 123.020622.00001 |
columns, dosed with 11 lb/ton lime, and leached for 81 to 97 days using 0.25 lb/ton NaCN solution maintained at pH 11.5.
Table 10-5: AngloGold Ashanti 2005 Composite Sample Assays
| Composite | Assay Head (opt AUFA) |
Assay Head (opt AUSL) |
Total Sulfur (%) |
Total Carbon (%) | |
| Oxide | OX | 0.028 | 0.018 | 0.56 | 0.00 |
| 5 | 0.023 | 0.013 | 0.60 | 0.03 | |
| Sulfide | 6 | 0.027 | 0.017 | 2.54 | 0.02 |
| 7 | 0.028 | 0.015 | 2.71 | 0.02 | |
| 8 | 0.032 | 0.017 | 2.57 | 0.01 | |
| S2 | 0.019 | 0.012 | 2.01 | 0.01 |
Recovery of both fire assay and cyanide-soluble gold from the 2005 composites showed improved consistency compared to earlier test programs. Fire assay recoveries ranged from 38% to 53%, while cyanide-soluble recoveries were higher, between 62% and 75%, as presented in Table 10-6. Notable variation in fire assay recovery between oxide and sulfide composites was attributed to higher gold solubility in the oxide material. In contrast, cyanide-soluble recoveries exhibited minimal variation across composite types. Lime and cyanide consumption were uniform across all columns, averaging 12 lb/ton lime and 1.0 lb/ton NaCN—aligning with results from prior testing phases.
Table 10-6: AngloGold Ashanti 2005 Composite Column Test Results
| Composite | Calc Head (opt Aufa) | Calc Head (opt Ausl) | Recovery | Consumption (lb/ton) | Leach Time (days) | |||
| (%FA) | (% SL) | Cyanide | Lime | |||||
| Oxide | OX | 0.028 | 0.018 | 44 | 67 | 12.2 | 0.70 | 84 |
| 5 | 0.023 | 0.017 | 53 | 70 | 12.2 | 1.00 | 91 | |
| Sulfide | 6 | 0.028 | 0.018 | 39 | 62 | 13.1 | 1.30 | 97 |
| 7 | 0.028 | 0.016 | 38 | 67 | 12.7 | 1.00 | 83 | |
| 8 | 0.034 | 0.020 | 44 | 75 | 12.7 | 1.00 | 91 | |
| S2 | 0.019 | 0.011 | 40 | 66 | 12.3 | 0.80 | 84 | |
| 10.1.3.7 | Mill Recovery Testing – 2016 |
The current mill recovery estimation methodology was developed based on extensive metallurgical test work conducted at NMS in 2016 and 2017. A total of 62 composites, including 28 master and 46 variability composites (all at grades greater than 0.02 opt AUFA), were evaluated using the standard CC&V High Grade Mill (HGM) flowsheet, which at the time included leaching of flotation concentrate. Each master composite underwent two flotation tests—one for kinetics and one to produce a bulk concentrate for leach testing—while variability composites were tested with a standard kinetic flotation test (SKT) at a target grind of 80% passing 150 microns. Bottle roll leach tests were completed on both flotation concentrate and tailings for all master composites.
| 10-6 | ![]() |
| SSR Mining Inc. | Cripple Creek and Victor Mine S-K 1300 Technical Report Summary | November 10, 2025 SLR Project No.: 123.020622.00001 |
Additionally, 33 master composites were sent to Base Metallurgical Laboratories in Kamloops, Canada for single-stage Gravity Recoverable Gold (GRG) testing, conducted on material crushed to 100% passing 850 microns. Microphotographs were taken of the hand-panned concentrates to support visual assessment.
Results from this test campaign formed the basis for the district-wide mill recovery model, culminating in the definition of 27 mill metallurgical domains. The most detailed domains were established for the Cresson and WHEX pits, the primary HGM feed sources at the time. In 2018, recovery parameters from NMS testing were reconciled with actual plant performance, resulting in a calibrated model for gravity, flotation, and concentrate leach recovery across all domains. Following the 2019 commissioning of the HGM Cleaner Column circuit and transition to concentrate shipment and roasting in Nevada, recovery models were updated to reflect improved flotation selectivity and reduced weight pulls.
| 10.1.3.8 | Schist Island Phase 2 and Phase 3 Stage 3 Column Tests (2003 to 2019) |
Metallurgical testing within the Schist Island resource shell was conducted in multiple phases between 2003 and 2019.
Initial work occurred from 2003 to 2008, both onsite and through independent testing by KCA in Reno, Nevada, to establish recovery assumptions for the Schist Island, Control Point, and Globe Hill metallurgical subdomains. This phase included 77 column leach tests within Schist Island and Phase 8 from Globe Hill.
A follow-up testing phase in 2018–2019 aimed to validate the recovery assumptions used to support the economic modeling of the resource shell. Four new core holes were drilled, from which four column tests (conducted in duplicate) and 28 bottle roll tests on variability composites were completed. Results confirmed the recovery estimates in the resource model, with bottle roll extractions aligning within 16% of model projections. All columns, except PCM-00067, reconciled well with modeled extractions; PCM-00067 showed lower early-stage recovery likely due to an anomalously low initial leach sample. On average, bottle roll results were 5.1% higher than modeled extraction, with a small number of low-grade outliers falling below predictions, primarily in samples with <0.0030 opt AUSL, which is below CC&V’s typical cut-off grade of 0.004 opt SLEXT.
Although Schist Island is primarily a leach ore domain, flotation tests were also performed, particularly during the 2017 program with NMS, to develop mill recovery assumptions. A total of 18 flotation tests were performed, with 12 exceeding the model-predicted recoveries. Due to revenue-based cut-offs, the model initially overestimated mill feed from Schist Island (4.5 Mst used in the Bingo chart versus 2.6 Mst in the operational mine plan). A separate Bingo chart for mill ore was generated, identifying only 3.7% of mined tons as economic mill ore, 93.8% of which were classified as Breccia without Carbonate.
Additional flotation tests on variability composites from recent drill holes (PCM-00055, 00056, 00067, and 00068) showed a wide recovery range (28.9% to 82.0%), with many samples falling below the mill cutoff. This suggests mill recovery assumptions are appropriately conservative.
Overall, the cumulative test work supports the validity and slight conservatism of recovery assumptions used in the resource model.
| 10.1.3.9 | CC&V Laybacks Metallurgical Report – 2021 |
Metallurgical test work conducted in 2021 focused on active leaching studies and improving the estimation of column test fire assay tail grades using bottle roll tail data. Thirteen metallurgical tests
| 10-7 | ![]() |
| SSR Mining Inc. | Cripple Creek and Victor Mine S-K 1300 Technical Report Summary | November 10, 2025 SLR Project No.: 123.020622.00001 |
were conducted on ore previously mined and processed through the CC&V crushing circuit. Samples were collected continuously throughout each shift using a belt sampler, with sampling performed every 30 minutes across the month. These samples, from ore mined and placed on the VLF between October 2018 and August 2020, were rotary split and composited to produce a monthly bulk sample for column and bottle roll leach testing. This dataset represents more than 24 Mst of ore processed through the crusher and includes ore types relevant to the current Stage Gate 2 review.
In addition, four paired column and bottle roll tests were conducted on core samples drilled from the Schist Island deposit. In total, seventeen paired tests (column and bottle roll) were analyzed to explore the relationship between bottle roll fire assay tails and column test fire assay tails across a range of ore types. The distribution of the tested ore is summarized in Table 10-7.
Table 10-7: Ore Distribution by Layback
| Unit | South Cresson | Deep Cresson | Schist Island | Globe Hill | WHEX | |
| Ore Tons | st | 4,868,783 | 2,021,356 | 1,991,690 | 14,122,062 | 1,376,625 |
| Distribution | % | 20% | 8% | 8% | 58% | 60% |
Further analysis of the paired test data revealed a strong correlation between head grade and corresponding fire assay tail grade for both column and bottle roll leach tests. By plotting tail grade against head grade, predictive curves were developed that allow for the estimation of tail grades based on the initial assay grade of a sample. This relationship supports a more consistent and data-driven approach to estimating column tail grades using bottle roll test results. The regression model provides a valuable tool for refining recovery estimates, particularly when only bottle roll data is available. The resulting head–tail correlation curve is presented in Figure 10-2.
Figure 10-2: Head and Tail Grade Correlation
Figure 10-2: Col FA Tail Grade (oz/ton) 0.014 0.012 0.010 0.008 0.006 0.004 0.002 0.000 Head Grade (oz/ton) 0.000 0.004 0.008 0.012 0.016 0.020 0.024 0.028 y=0.5412x R2=0.929 |
BR FA Tail Grade (oz/ton) 0.014 0.012 0.010 0.008 0.006 0.004 0.002 0.000 Head Grade (oz/ton) 0.000 0.004 0.008 0.012 0.016 0.020 0.024 0.028 y=0.3958x R2=0.9765 |
In addition to head grade analysis, bottle roll fire assay tail grades were directly compared to their corresponding column test tails and demonstrated a very strong correlation. This relationship enables the bottle roll tail grade to serve as a reliable predictor of the column tail grade. When the head grade is
| 10-8 | ![]() |
| SSR Mining Inc. | Cripple Creek and Victor Mine S-K 1300 Technical Report Summary | November 10, 2025 SLR Project No.: 123.020622.00001 |
known, this predictive method allows for the calculation of gold extraction in deposits where column leach testing has not yet been completed.
An error analysis was conducted by calculating the difference between actual column tail grades and those predicted from bottle roll tails. The results showed a tight distribution, with a standard deviation of just 0.001 opt for fire assay tails. Figure 10-3 presents a normal distribution curve of these differences, with vertical lines indicating the mean and ±0.001 standard deviation bounds relative to the grade scale. This analysis confirms the accuracy and reliability of using bottle roll tails as a proxy for column test performance.
Figure 10-3: Normal Distribution of the Difference between Predicted and Actual Tail Grades

Figure 10-3: Norm Dist of Difference between Predicted and Actual Tail FA Assay Grade (oz/ton) -0.0020 -0.0010 0.0000 0.0010 0.0020 Mean=0.00000 Stdev=0.00101 Source: SSR 2025.
Source: SSR 2025.
Figure 10-4 illustrates the relationship between bottle roll tail grades and corresponding column test tail grades for fire assay analysis. The solid line represents the best-fit regression, while the dashed lines indicate one standard deviation above and below the regression curve, capturing the expected range of variability in the prediction.
| 10-9 | ![]() |
| SSR Mining Inc. | Cripple Creek and Victor Mine S-K 1300 Technical Report Summary | November 10, 2025 SLR Project No.: 123.020622.00001 |
Figure 10-4: Bottle Roll and Column Tail Grade Relationship

Figure 10-4: FA BR vs Col Col Tail Grade (oz/ton) 0.014 0.012 0.010 0.008 0.006 0.004 0.002 0.000 BR Tail Grade (oz/ton) 0.000 0.002 0.004 0.006 0.008 0.010 0.012 0.014 y=1.3244x R2=0.9323 Source: SSR 2023.
Source: SSR 2025.
The regression equation shown in Figure 10-4 is used to calculate the column tail grade based on the corresponding bottle roll tail grade. For example, a bottle roll tail grade of 0.004 opt predicts a column tail grade of 0.0053 oz/ton, with an associated standard deviation of ±0.0010 oz/ton. By pairing the bottle roll head grade with the estimated column tail grade derived from this relationship, an equivalent column extraction can be calculated for deposits where direct column testing has not been performed.
| 10.1.3.10 | CC&V Layback ROM Column Tests – 2022 |
Metallurgical testing was performed to determine the metal recoveries on the CC&V mine laybacks, including the Globe Hill 3, 4, 5, 6 and 7, South Cresson 2 and 7, West Cresson, and Wild Horse Extension (WHEX) Nose at Run of Mine (ROM) size. The ROM leach test results are reported in Newmont (2022a).
The current gold leach recovery model applies a 5% deduction in recovery to the crushed leach recoveries to determine the corresponding ROM leach recovery.
Column leach tests were performed at 1” and 2” crush sizes and tested under the following operating parameters:
| · | Leach solution rate: 10 to 12 L/hr/m3 (0.004 to 0.005 gpm/ft2) |
| · | Solution concentration: 0.25 lb/ton sodium cyanide (NaCN) |
| · | Leach cycle 119 days |
| · | Rinse cycle 7 days |
| · | Solution samples daily for 14 days and weekly for duration of test |
Summary results of the leach tests are presented in Table 10-8. Key conclusions are listed:
| 10-10 | ![]() |
| SSR Mining Inc. | Cripple Creek and Victor Mine S-K 1300 Technical Report Summary | November 10, 2025 SLR Project No.: 123.020622.00001 |
| · | One inch (1”) column test recoveries ranged from 31.9% to 86.8% with a weighted average of 67.2%. Two-inch (2”) column test recoveries ranged from 9.5% to 88.4% with a weighted average of 57.6%. |
| · | Extrapolated ROM recovery ranged from 3.9% to 84.3% with a weighted average of 52.1%. |
| · | Modeled ROM recovery includes a CC&V MET3 factor that increases the AUFA grade by 2% due to ore placed on the pad being under leach for longer than two years. |
| · | The metallurgical recovery used in the resource model ranges from 51.3% to 74.1% with a weighted average of 64.1%. The metallurgical recovery used in the financial model averages 51.6%, which is the average recovery for ROM, crushed, and stockpile material. |
| · | In most cases, the recovery would be improved by crushing; in some cases, e.g., the ore should not be placed on the VLF if it contains high amounts of refractory sulfides requiring fine grinding and or pressure oxidation. |
| · | Recovery compared to size curves demonstrate that all the ore types tested are sensitive to crush size and present a high risk of reductions in recovery that is significantly greater than the 5% recovery deduction allowed for the difference between 1-in crush size and 48-in (4 ft) material. In many cases the reductions are greater than 20%. |
| · | Some of the material types are highly refractory and will not be recoverable without crushing or in some cases, fine grinding. |
| · | The actual ROM recoveries extrapolated from the original leach data should be used in the modeling. |
Table 10-8: Leach Test Recoveries by Rock Type and Extrapolation from 2 inch to 48 in Material Size Distributions
| Layback | Rock Type | Tonnage (st) |
Head Grade (Au ppm) |
1" Column Leach Test Recovery (%) | 2" Column Leach Test Recovery (%) | Extrapolated ROM Recovery (%) |
Variance 2" to 1" Recovery |
Variance Crushed to ROM (%) |
Risk to 5% ROM Recovery Deduction |
| GH 3 | TphBX<1SS | 22,621,339 | 0.012 | 81.7% | 73.4% | 72.8% | -8.3% | -8.9% | Mod |
| CCBX<1SS | 15,811,682 | 0.014 | 76.0% | 73.2% | 70.2% | -2.8% | -5.8% | Low | |
| GH4 | 1phBX<1SS | 914,404 | 0.013 | 68.8% | 55.9% | 53.3% | -12.9% | -15.5% | High |
| CCBX<1SS | 3,366,973 | 0.011 | 73.3% | 67.0% | 65.3% | -6.3% | -8.0% | Mod | |
| GH5 | CCBX<1SS | 12,885,107 | 0.011 | 67.9% | 56.0% | 48.9% | -11.9% | -19.0% | High |
| TphBX<1SS | 4,613,090 | 0.012 | 74.0% | 73.6% | 66.5% | -0.4% | -7.5% | Low | |
| CCBX 2-3SS | 4,369,429 | 0.045 | 47.4% | 42.7% | 28.4% | -4.7% | -19.0% | Low | |
| GH6 | CCBX<1SS | 13,847,784 | 0.013 | 64.5% | 64.5% | 55.6% | 0.0% | -8.9% | Low |
| TphBX<1SS | 5,362,401 | 0.013 | 74.1% | 51.5% | 51.1% | -22.6% | -23.0% | High | |
| CCBX 2-3SS | 5,325,077 | 0.013 | 42.7% | 28.3% | 21.1% | -14.4% | -21.6% | High | |
| GH7 | 1phBX<1SS | 1,289,784 | 0.011 | 86.8% | 84.2% | 84.3% | -2.6% | -2.5% | Low |
| CCBX<1SS | 3,003,684 | 0.011 | 77.4% | 77.0% | 73.4% | -0.4% | -4.0% | Low |
| 10-11 | ![]() |
| SSR Mining Inc. | Cripple Creek and Victor Mine S-K 1300 Technical Report Summary | November 10, 2025 SLR Project No.: 123.020622.00001 |
| Layback | Rock Type | Tonnage (st) |
Head Grade (Au ppm) |
1" Column Leach Test Recovery (%) | 2" Column Leach Test Recovery (%) | Extrapolated ROM Recovery (%) |
Variance 2" to 1" Recovery |
Variance Crushed to ROM (%) |
Risk to 5% ROM Recovery Deduction |
| SC2 | CCBX 2-3SS | 1,569,193 | 0.020 | 36.3% | 9.5% | -7.6% | -26.8% | -43.9% | High |
| TphBX<1SS | 1,039,219 | 0.012 | 70.0% | 57.0% | 53.5% | -13.0% | -16.5% | Mod | |
| CCBX<1SS | 2,057,927 | 0.036 | 68.2% | 46.6% | 38.2% | -21.6% | -30.0% | High | |
| SC7 | 1phBX<1SS | 4,078,039 | 0.019 | 75.1% | 67.4% | 62.4% | -7.7% | -12.7% | Mod |
| WC | CCBX<1SS | 8,428,821 | 0.016 | 65.4% | 36.6% | 32.8% | -28.8% | -32.6% | High |
| WHEX | Pcam>3SS | 9,638,746 | 0.019 | 31.9% | 17.4% | 3.9% | -14.5% | -28.0% | High |
| Average | 120,222,699 | 0.015 | 67.2% | 57.6% | 52.1% | -9.6% | -15.1% |
Source: Newmont 2022a
| 10.2 | Leach Recovery Modeling |
| 10.2.1 | Leach Metallurgical Domains |
Four primary leach metallurgical domains are delineated in the recovery model. The four primary leach metallurgical domains and their subdomains are listed:
| 1 | Cresson |
| o | Main Cresson |
| o | Deep Cresson |
| o | South Cresson |
| 2 | East Cresson |
| o | Altman |
| 3 | Upper Cresson |
| o | Wild Horse |
| o | WHEX Gold Bug |
| o | WHEX Precambrian |
| o | WHEX Volcanic |
| 4 | North Cresson |
| o | Schist Island |
| o | Globe Hill |
| o | Control Point |
Figure 10-5 illustrates the general locations of the metallurgical domains as well as some of the subdomains.
| 10-12 | ![]() |
| SSR Mining Inc. | Cripple Creek and Victor Mine S-K 1300 Technical Report Summary | November 10, 2025 SLR Project No.: 123.020622.00001 |
Figure 10-5: General Locations of the Metallurgical Domains

Figure 10-5: Source: SLR 2025 SSR Mining Inc. Cripple Creek and Victor Mine Teller County, Colorado, USA General Location of Metallurgical Domains
| 10-13 | ![]() |
| SSR Mining Inc. | Cripple Creek and Victor Mine S-K 1300 Technical Report Summary | November 10, 2025 SLR Project No.: 123.020622.00001 |
The resource shell of South Cresson Phase 2 is primarily contained within the South Cresson metallurgical subdomain, with approximately 6% of leach tonnage extending north into the Main Cresson subdomain. The South Cresson Phase 7 layback is to the north of Phase 2 and is entirely contained within the Main Cresson metallurgical subdomain.
For the Globe Hill laybacks, Phase 3 through 7, 90% of the resource shells are contained within the Globe Hill metallurgical subdomain. The remaining 10% (specifically, 17% of Globe Hill Phase 5 tonnage and 20% of Globe Hill Phase 6 tonnage) extends to the northeast and interfaces with the WHEX Volcanic domain.
The West Cresson resource shell is a continuation of the Cresson pit and exists entirely within the Main Cresson metallurgical subdomain for leach ore. WHEX Nose is primarily (93% of tonnage) contained within the WHEX Precambrian metallurgical subdomain. The remaining 7% of the tonnage extend out into the WHEX Volcanic metallurgical domain.
The Schist Island Phase 2 and Phase 3 laybacks span the metallurgical subdomains of Schist Island, Globe Hill, and Control Point.
| 10.2.2 | Valley Leach Linear Leach Recovery Methodology |
Monthly metallurgical test samples collected from the mining areas of each deposit were logged by the geology or ore control teams using iron/oxide codes consistent with those applied in the block model. This allowed for improved alignment between laboratory results and the metallurgical factor (MF) assumptions embedded in the model.
This enhanced testing protocol enabled validation of the initial assumptions used to estimate recoverable ounces in the block model. Over time, the data generated from these tests contributed to a comprehensive metallurgical database, improving the interpolation of MF and supporting the refinement of linear recovery equations when warranted. The ultimate objective of this approach was to identify specific properties within pulverized samples that could be reliably correlated with column leach and/or bottle roll leaching performance, thereby reinforcing the validity of the linear methodology used to estimate recoverable gold ounces.
Eventually, the current linear leach recovery methodology was established. In this methodology, the grade of ore of a given block is measured using three primary methods:
| · | Fire Assay (AUFA) |
| · | Shake Leach Assay (AUSL) equivalent to Cyanide Soluble Gold (AuCN) |
| · | Shake Leach Extractable (SLEXT) equivalent to Recoverable Grade (AuREC) |
SLEXT is determined as a function of AUFA, AUSL, the domain, and geologically logged ore characteristics with below equation (Eq.1):
![]() |
Eq.1 |
where MET1 and MET2 are regression coefficients unique to each subdomain, and MET3 is an extended leach factor.
From column test data, an associated oxide and sulfide recoverable grade estimation curve was developed taking advantage of the linear relationship between the column test shake leach and leach gold assays normalized to six tons of solution to one ton of ore; the 6:1 solution ore ratio corresponds to approximately two years of continuous leaching on the VLF. From this linear regression, MET1 is the y-intercept of the regression, while MET2 is the slope of the regression. MF is then used to interpolate
| 10-14 | ![]() |
| SSR Mining Inc. | Cripple Creek and Victor Mine S-K 1300 Technical Report Summary | November 10, 2025 SLR Project No.: 123.020622.00001 |
the final MET1 and MET2 factors used within EXTRACTABLE determination (Table 10-9, Figure 10-6 through Figure 10-8).
Table 10-9: Control Point Oxide and Sulfide AUSL and 6:1 Solution-Leached Gold Grades
| Control Point Oxide | Control Point Sulfide | ||
| AUSL Grade (opt) |
6:1 Solution Leached (opt) |
AUSL Grade (opt) |
6:1 Solution Leached (opt) |
| 0.00991 | 0.00802 | 0.01240 | 0.00868 |
| 0.02074 | 0.01723 | 0.01112 | 0.00800 |
| 0.01354 | 0.00848 | 0.00733 | 0.00473 |
| 0.00945 | 0.00579 | 0.00927 | 0.00609 |
| 0.01747 | 0.01233 | 0.00776 | 0.00408 |
| 0.01067 | 0.00740 | 0.01670 | 0.00989 |
| Slope | 0.883829 | Slope | 0.62553 |
| Intercept | -0.00217 | Intercept | 0.000178 |
Figure 10-6: Control Type AUSL vs 6:1 Solution Leached Grades (opt)

Figure 10-6: 6:1 Solution Leached Au Grade (opt) 0.020 0.010 0.000 AuSL Grade (opt) 0.000 0.010 0.020 0.030 Control-O Control-S y=0.8838x - 0.0022 R2=0.9326 y=0.6255x + 0.002 R2=0.8963
| 10-15 | ![]() |
| SSR Mining Inc. | Cripple Creek and Victor Mine S-K 1300 Technical Report Summary | November 10, 2025 SLR Project No.: 123.020622.00001 |
Figure 10-7: Control Point MET1 Interpolations

Figure 10-7: MET1 0.0005 0.0000 -0.005 -0.0010 -0.0015 -0.0020 -0.0025 MF 0.00 0.50 1.00
Figure 10-8: Control Point MET2 Interpolations

Figure 10-8: MET2 1.00 0.90 0.80 0.70 0.60 0.50 MF 0.00 0.50 1.00
The MET3 factor adjusts the EXTRACTABLE recovery based on continued oxidation and degradation of ore that occurs over years of leaching upon the VLF. This factor cannot be determined from column leach tests used for MET1 and MET2 calculation, as the laboratory conditions from column leach tests do not allow for the timeframes required. For all domains, MET3 is considered to be 2% of the AUFA
| 10-16 | ![]() |
| SSR Mining Inc. | Cripple Creek and Victor Mine S-K 1300 Technical Report Summary | November 10, 2025 SLR Project No.: 123.020622.00001 |
grade. This accounts for additional recovery obtained due to ore placed on the pad being under continuous leach for longer than two years.
Table 10-10 shows the variation of MET1 and MET2 throughout the CC&V deposits for both oxide and sulfide.
Table 10-10: Current Oxide and Sulfide Recoverable Grade Estimation Coefficients
| Domain | Oxide | Sulfide | |||
| MET1 | MET2 | MET1 | MET2 | MET3 | |
| WHEX + GOLD BUG | -0.00035 | 0.8237 | 0.00002 | 0.7144 | 0.2 |
| WHEX PRECAMBRIAN | -0.00106 | 0.9011 | -0.00036 | 0.5363 | 0.2 |
| ALTMAN/WILDHORSE | -0.00105 | 0.9065 | -0.00067 | 0.7136 | 0.2 |
| SCHIST ISLAND | -0.00160 | 0.9244 | 0.00070 | 0.6095 | 0.2 |
| CRESSON | -0.00008 | 0.9215 | -0.00045 | 0.7278 | 0.2 |
| DEEP CRESSON | -0.00008 | 0.9215 | -0.00045 | 0.7278 | 0.2 |
| SOUTH CRESSON | -0.00087 | 0.7756 | -0.00053 | 0.5548 | 0.2 |
| GLOBE HILL | -0.00087 | 0.9102 | 0.00057 | 0.7418 | 0.2 |
| CONTROL POINT | -0.00217 | 0.8838 | 0.00086 | 0.6255 | 0.2 |
To allow for further granularity of ore recoveries within subdomains, the MET1 and MET2 factors are adjusted on a per block basis with the Metallurgical Factor (MF), which is a function of logged oxide and iron codes.
The majority of CC&V ore is a combination of oxide and sulfide material. Separate oxide and iron models were built using the geologically logged oxide code (OX) and the iron code (FE). The iron code corresponds to percent of visual pyrite (FeS2) with 0 being 0% and 5 being >8%. The oxide code represents the secondary oxidation and is logged from 0 to 5, with 0 being not present and 5 being pervasive. Each block in the model has a kriged OX and FE parameter. Therefore, MF can be calculated with the below equation (Eq.2):
![]() |
Eq.2 |
A MF factor less than or equal to 0.2 is considered to be fully oxide: while an MF factor greater than or equal to 0.6 is considered to be fully sulfide. MF factors ranging between 0.2 and 0.6 exclusive are considered to be blends.
Recovery equations from these coefficients (Table 10-10) are used in the 2024 Resource Model to determine shake leach extractable grades for each block.
| 10.2.3 | Valley Leach Model Extraction Kinetic Parameters |
Recovery curves obtained from the column tests performed on these metallurgical domains have essentially split the extrapolation into three parts utilizing amplitude (A) and recovery rate (R) values. These curve fitting constants were used in a first-order kinetic model with rate constants being
| 10-17 | ![]() |
| SSR Mining Inc. | Cripple Creek and Victor Mine S-K 1300 Technical Report Summary | November 10, 2025 SLR Project No.: 123.020622.00001 |
nonlinear functions due to the exponentiation and amplitudes being linear functions. Overall equations have been represented below:
![]() |
Eq.4 | |
![]() |
Eq.5 |
where A1, A2, and A3 are amplitude/weight constants for leaching populations; R1, R2, and R3 are rate constants for fast, medium, and slow leaching, respectively; and t is the leaching period in days.
Table 10-11 below represents the A and R values obtained for different metallurgical domains from respective column tests regarding fire assayed gold content (AuFA).
Figure 10-9, Figure 10-10, and Figure 10-11 below show the kinetic curves for AuFA, and Recoverable Au contents for crushed and ROM materials.
Table 10-11: Amplitude and Recovery Rate Constants by Metallurgical Domains obtained from Columns Leaching Tests
| Met Domain | A1 | A2 | A3 | R1 | R2 | R3 |
| WHEX Volcanics Oxide | 0.39 | 0.14 | 0.19 | 0.176 | 0.032 | 0.003 |
| WHEX Volcanics Sulfide | 0.20 | 0.12 | 0.20 | 0.176 | 0.035 | 0.004 |
| WHEX Precambrian Oxide | 0.58 | 0.21 | 0.02 | 0.285 | 0.045 | 0.005 |
| WHEX Precambrian Sulfide | 0.21 | 0.08 | 0.02 | 0.138 | 0.045 | 0.005 |
| Altman - Oxide | 0.25 | 0.34 | 0.00 | 0.318 | 0.045 | 0.005 |
| Altman - Sulfide | 0.21 | 0.10 | 0.02 | 0.375 | 0.045 | 0.005 |
| Schist Island Oxide | 0.52 | 0.20 | 0.02 | 0.311 | 0.034 | 0.005 |
| Schist Island Sulfide | 0.14 | 0.28 | 0.00 | 0.246 | 0.041 | 0.005 |
| Cresson Oxide | 0.40 | 0.26 | 0.05 | 0.294 | 0.025 | 0.005 |
| Cresson Sulfide | 0.36 | 0.17 | 0.02 | 0.265 | 0.019 | 0.005 |
| Deep Cresson Oxide | 0.40 | 0.26 | 0.05 | 0.294 | 0.025 | 0.005 |
| Deep Cresson Sulfide | 0.10 | 0.14 | 0.02 | 0.278 | 0.027 | 0.005 |
| South Cresson Oxide | 0.47 | 0.08 | 0.02 | 0.268 | 0.045 | 0.005 |
| South Cresson Sulfide | 0.33 | 0.03 | 0.02 | 0.208 | 0.045 | 0.005 |
| Globe Hill Oxide | 0.59 | 0.13 | 0.02 | 0.084 | 0.045 | 0.005 |
| Globe Hill Sulfide | 0.45 | 0.06 | 0.02 | 0.112 | 0.045 | 0.005 |
| Altman Oxide | 0.32 | 0.23 | 0.02 | 0.266 | 0.045 | 0.005 |
| Altman Sulfide | 0.17 | 0.17 | 0.02 | 0.232 | 0.045 | 0.005 |
| Wildhorse Oxide | 0.47 | 0.25 | 0.02 | 0.375 | 0.033 | 0.005 |
| Wildhorse Sulfide | 0.31 | 0.21 | 0.02 | 0.346 | 0.044 | 0.005 |
| Grassy Valley Oxide | 0.77 | 0.13 | 0.02 | 0.296 | 0.045 | 0.005 |
| 10-18 | ![]() |
| SSR Mining Inc. | Cripple Creek and Victor Mine S-K 1300 Technical Report Summary | November 10, 2025 SLR Project No.: 123.020622.00001 |
| Met Domain | A1 | A2 | A3 | R1 | R2 | R3 |
| Grassy Valley Sulfide | 0.42 | 0.14 | 0.02 | 0.263 | 0.045 | 0.005 |
| Control Point Oxide | 0.59 | 0.13 | 0.02 | 0.084 | 0.045 | 0.005 |
| Control Point Sulfide | 0.45 | 0.06 | 0.02 | 0.112 | 0.045 | 0.005 |
Figure 10-9: Model Extraction Curves against Fire Assay Gold Content (AuFA)

Figure 10-9: Model Extraction CCV (%) Recovery (%) 100% 90% 80% 70% 60% 50% 40% 30% 20% 10% 0% Time (d) 0 20 40 60 80 100 120 Cresson - Oxide Cresson - Sulfide Deep Cresson - Oxide Deep Cresson - Sulfide Altman - Oxide Altman - Sulfide Schist Island - Oxide Schist Island - Sulfide South Cresson - Oxide South Cresson - Sulfide WHEX - Oxide WHEX - Sulfide Globe Hill - Oxide Globe Hill - Sulfide Grassy Valley - Oxide
| 10-19 | ![]() |
| SSR Mining Inc. | Cripple Creek and Victor Mine S-K 1300 Technical Report Summary | November 10, 2025 SLR Project No.: 123.020622.00001 |
Figure 10-10: Model Extraction Curves for ROM Ore Recoverable Gold Content

Figure 10-10: Model Extraction Crushed (%) Recovery (%) 100% 90% 80% 70% 60% 50% 40% 30% 20% 10% 0% Time (d) 0 50 100 Cresson - Oxide Cresson - Sulfide Deep Cresson - Oxide Deep Cresson - Sulfide Altman - Oxide Altman - Sulfide Schist Island - Oxide Schist Island - Sulfide
| 10-20 | ![]() |
| SSR Mining Inc. | Cripple Creek and Victor Mine S-K 1300 Technical Report Summary | November 10, 2025 SLR Project No.: 123.020622.00001 |
Figure 10-11: Model Extraction Curves for ROM Ore Recoverable Gold Content

Figure 10-11: Model Extraction ROM (%) Recovery (%) 100% 90% 80% 70% 60% 50% 40% 30% 20% 10% 0% Time (d) 0 50 100 Cresson - Oxide Cresson - Sulfide Deep Cresson - Oxide Deep Cresson - Sulfide Altman - Oxide Altman - Sulfide Schist Island - Oxide Schist Island - Sulfide South Cresson - Oxide South Cresson - Sulfide WHEX - Oxide WHEX - Sulfide
| 10.3 | Mill Recovery Modeling |
There are 27 geochemistry-based metallurgical ore types defined for mill feed at CC&V, each managed jointly by the ore control and process departments. These ore types are distinguished by their geochemical composition and flotation performance, with recovery estimates derived by CC&V metallurgists through detailed metallurgical testing in collaboration with NMS.
Overall mill recovery is modeled under the assumption that production is achieved through flotation, followed by concentrate processing in Nevada. Flotation recoveries for each ore type are calculated using a non-linear logistic function, with kinetic parameters calibrated through a combination of standardized flotation (SKT) test results and actual plant performance data. The recovery function is defined as:
![]() |
Eq.3 |
Where:
| · | RF is Recovery Factor, |
| · | A is maximum (theoretical) recovery (Rmax) derived from SKT float tests and adjusted to plant actuals using historical reconciliation data between the plant and lab, |
| 10-21 | ![]() |
| SSR Mining Inc. | Cripple Creek and Victor Mine S-K 1300 Technical Report Summary | November 10, 2025 SLR Project No.: 123.020622.00001 |
| · | k value is a rate constant specific to the ore type (for either sulfide or oxide ore determined using the modeled MF value as follows: |
| o | if MF>0.5 ore classified as sulfide with k equals to 50, |
| o | if MF<0.5, the ore is classified as oxide with a k value of 35). |
Table 10-12: Mill Recovery Coefficients by Material Type
| Geochemical Ore Type | A | K |
| North Pipe | 68.70% | 50 |
| Ozferno | 69.60% | 50 |
| S Cresson Oxide | 74.30% | 35 |
| S Cresson Sulfide | 68.40% | 50 |
| WX4_S | 55.00% | 35 |
| WMHS | 69.40% | 50 |
| GV HGC | 64.70% | 35 |
| WX4_N | 54.70% | 35 |
| WMC_GB | 69.70% | 35 |
| GB RAMP | 64.40% | 35 |
| GB THRUST | 64.80% | 35 |
| DANTE | 66.80% | 50 |
| GB_SW | 69.60% | 35 |
| GB CORE W | 68.80% | 35 |
| GB CORE SE | 69.60% | 35 |
| GB CORE E | 64.70% | 35 |
| GLOBE Hill Oxide | 53.00% | 35 |
| GLOBE Hill Sulfide | 68.30% | 35 |
| Schist Island | 68.00% | 35 |
| All Other | 67.20% | 50 |
| Gold SOV | 67.50% | 50 |
| Altman | 69.10% | 50 |
| Bluebird | 69.10% | 50 |
| Vindicator | 69.10% | 50 |
| California | 69.40% | 50 |
| CMB South Pipe | 69.30% | 50 |
| S Random | 68.40% | 50 |
| Note: Concentrate was shipped to Newmont sulfide processing plant in Nevada. The sulfide recovery from the concentrate was 93%. | ||
| 10-22 | ![]() |
| SSR Mining Inc. | Cripple Creek and Victor Mine S-K 1300 Technical Report Summary | November 10, 2025 SLR Project No.: 123.020622.00001 |
Recovery equations from these coefficients are used in the 2020 Resource Model to determine flotation recoveries for each mill block.
| 10.4 | QP Opinion |
| · | It is the SLR QP’s opinion that the metallurgical sampling and testing programs being performed to track VLF production and predict recoverable gold ounces are appropriate and are in reasonable agreement with the mass balances calculated from ore and recoverable ounces stacked to actual ounces poured. Initial metallurgical testing to determine the characteristics of new ore types is performed on drill core and routine monthly tests are performed on samples taken from the mining areas. Representative sample selection based on the GeoMet Bingo chart method seems to work well. The results of the tests are entered into and update a comprehensive recovery model. |
| · | In reading the report it is important to note that there are two recovery numbers used, ultimate recovery based on contained ounces determined by fire assay and recovery of recoverable ounces determined by cyanide soluble assays or shake tests. |
| · | The main deleterious element is mercury, and gold recovery is a function of degree of oxidation, sulfide and telluride content, and particle size. |
| 10-23 | ![]() |
| SSR Mining Inc. | Cripple Creek and Victor Mine S-K 1300 Technical Report Summary | November 10, 2025 SLR Project No.: 123.020622.00001 |
| 11.0 | Mineral Resource Estimates |
| 11.1 | Summary |
Mineral Resources have been classified in accordance with the definitions for Mineral Resources in S-K 1300. Mineral Resources are presented on a Project basis and have an effective date of July 1, 2025.
SSR prepared the updated Mineral Resource estimates based on drilling and geologic modeling on the Property that is the subject of this TRS. The SLR QP responsible for the MRE disclosure under S-K 1300 has reviewed, audited, and accepted the Mineral Resource estimate prepared by SSR, which is based on block model values developed from reported drilling results and assays on the Property.
The Mineral Resource estimates were completed and validated using a combination of various software tools, including Seequent’s Leapfrog Geo (Leapfrog Geo), RMSP, and Maptek Vulcan, software. Estimates were validated using standard industry techniques including statistical comparisons with composite samples and nearest neighbor (NN) estimates, swath plots, and visual reviews in cross-section and plan. A visual review comparing blocks to drill holes was completed after the block modeling work was performed to ensure general lithologic and analytical conformance and was peer reviewed prior to finalization.
Mineral Resources are not Mineral Reserves and do not have demonstrated economic viability, nor is there certainty that all or any part of the Mineral Resource estimated here will be converted to Mineral Reserves through further study. Sources of uncertainty that may affect the reporting of Mineral Resources include sampling or drilling methods, data processing and handling, geologic modeling, and estimation.
Mineral Resources are reported exclusive of Mineral Reserves and have been summarized by pit area and classification in Table 11-1, which also summarizes the cut-off values, metallurgical recoveries, and SSR ownership percentage associated with the Mineral Resources.
The SLR QP is of the opinion that with consideration of the recommendations summarized in Sections 1 and 23 of this TRS, any issues relating to all relevant technical and economic factors likely to influence the prospect of economic extraction can be resolved with further work.
| 11-1 | ![]() |
| SSR Mining Inc. | Cripple Creek and Victor Mine S-K 1300 Technical Report Summary | November 10, 2025 SLR Project No.: 123.020622.00001 |
Table 11-1: Summary of Mineral Resources Exclusive of Mineral Reserves– July 1, 2025
| Source | Measured Mineral Resources | Indicated Mineral Resources | Measured + Indicated Mineral Resources | Inferred Mineral Resources | |||||||||
| Tonnage | Grade | Contained Metal | Tonnage | Grade | Contained Metal | Tonnage | Grade | Contained Metal | Tonnage | Grade | Contained Metal | ||
| (000 t) | (g/t Au) | (000 oz Au) | (000 t) | (g/t Au) | (000 oz Au) | (000 t) | (g/t Au) | (000 oz Au) | (000 t) | (g/t Au) | (000 oz Au) | ||
| CC&V (OP) | 157,193 | 0.49 | 2,458 | 149,138 | 0.43 | 2,079 | 306,330 | 0.46 | 4,537 | 149,603 | 0.41 | 1,966 | |
| Stockpile | 0 | 0.00 | 0 | 38,514 | 0.25 | 308 | 38,514 | 0.25 | 308 | 0 | 0.00 | 0 | |
| Total | 157,193 | 0.49 | 2,458 | 187,652 | 0.40 | 2,387 | 344,844 | 0.44 | 4,845 | 149,603 | 0.41 | 1,966 | |
| Notes: | |||||||||||||
| 1. The Mineral Resources estimate was prepared in accordance with S-K 1300. | |||||||||||||
| 2. The effective date of Mineral Resources is July 1, 2025. | |||||||||||||
| 3. The Mineral Resource estimate is based on a metal price assumption of $2,000/oz gold . | |||||||||||||
| 4. Gold cut-off grade for crush leach is 0.10 g/t Au extractable cyanide soluble (factored for recovery) and run of mine leach is 0.069 g/t Au extractable cyanide soluble (factored for recovery). | |||||||||||||
| 5. Metallurgical recoveries varies by lithology and oxidation state and ranges between 24.8% and 94.9 % | |||||||||||||
| 6. No mining dilution is applied to the grade of the Mineral Resources. | |||||||||||||
| 7. Bulk densities (in t/m3) are average densities and were assigned based on lithologies and oxidation state. | |||||||||||||
| 8. The Property is 100% owned by SSR through its subsidiary CC&V. | |||||||||||||
| 9. Metals shown in this table are contained metals. | |||||||||||||
| 10. All ounces reported represent troy ounces, and g/t represents grams per metric tonne. | |||||||||||||
| 11. The point of reference for Mineral Resources is the processing facility. | |||||||||||||
| 12. Totals may vary due to rounding. | |||||||||||||
| 11-2 | ![]() |
| SSR Mining Inc. | Cripple Creek and Victor Mine S-K 1300 Technical Report Summary | November 10, 2025 SLR Project No.: 123.020622.00001 |
| 11.2 | Resource Database |
The Mineral Resource database for CC&V represents a comprehensive, multi-decade compilation of drilling, geologic, assay, density, and survey data used to support Mineral Resource and Reserve estimation. Of the total 17,627 drill holes completed on the Project a total of 14,042 drill holes totaling 8,447,834 ft (2.6 Mm) collected between 1977 and 2024 contributed to the 2024 MRE (Table 11-2). A total of 3,585 drill holes were excluded from any estimation work as these holes were drilled for the purposes of geotechnical analysis, hydrogeological monitoring, void drilling to test for historical underground workings, or metallurgical studies or contained incomplete assay values. Figure 11-1 shows the location of the drill holes used in the Mineral Resource estimate.
Table 11-2: CC&V Mineral Resource Drill Hole Database
| Company | Year | # Drill Holes | Total Drill (ft) |
| Texasgulf / Golden Cycle (JV) | 1977–1988 | 178 | 44,383 |
| Nerco / Golden Cycle (JV) | 1989–1992 | 1,765 | 936,561 |
| Independence Mining / Golden Cycle (JV) | 1993–1998 | 2,089 | 1,248,731 |
| AngloGold / Golden Cycle (JV) | 1999–2007 | 3,079 | 2,500,980 |
| AngloGold Ashanti | 2008–2015 | 3,678 | 1,834,609 |
| Newmont | 2016–2024 | 3,253 | 1,882,572 |
| Total | 14,042 | 8,447,834 |
Drilling was conducted predominantly using RC methods, which represent approximately 95% of the database, with the remainder comprising diamond core drilling. This expansive drilling coverage supports both resource estimation and mine planning and provides a basis for robust geological modeling.
Assay and geologic data were extracted from SSR’s Global Exploration Database (GED) and standardized into CSV formats for integration into modeling workflows. The assay database includes a total of 218,964 measurements each for fire assay gold (AUFA), shake leach gold (AUSL), total sulfur (STOT), and total carbon (CTOT). Visual logging data, such as oxidation (OX) and iron content (Fe), are also included, recorded on a numerical scale to support metallurgical and recovery modeling. These attributes are coded numerically and spatially aligned with geological domains for estimation purposes.
The data architecture accommodates legacy drilling records with varying levels of completeness. Multigenerational drilling data contributes to variability in sample completeness and quality. Legacy data often lack QA/QC support due to missing assay or survey details but are still maintained in the database for historical context and continuity in modeling. Recent drilling, particularly in areas such as Globe Hill, East Cresson, and Granite Island, has improved data density and refined confidence levels in the resource model.
Density values are assigned based on rock type, with further adjustment by oxidation state where available. This protocol was established in 2016 and remains in use for the 2024 model. Prior to this, bulk density was assigned using average values for broader lithologic units. The current practice results in more precise tonnage factor application across different material types and oxidation conditions. This improves the reliability of in situ volume-to-tonnage conversions used in resource estimation.
| 11-3 | ![]() |
| SSR Mining Inc. | Cripple Creek and Victor Mine S-K 1300 Technical Report Summary | November 10, 2025 SLR Project No.: 123.020622.00001 |
Figure 11-1: Mineral Resource Drill Hole Location Map

Figure 11-1: Drill Holes Used in MRE N Y Legend: A13 Permit Boundary Source: SSR 2025. SSR Mining Inc. Cripple Creek and Victor Mine Colorado, USA Mineral Resource Drill Hole Location Map
| 11-4 | ![]() |
| SSR Mining Inc. | Cripple Creek and Victor Mine S-K 1300 Technical Report Summary | November 10, 2025 SLR Project No.: 123.020622.00001 |
This approach supports accurate volume-to-tonnage conversions and complies with S-K 1300 guidelines for bulk density determinations. Ongoing density sampling continues to inform updates on a rolling basis, with adjustments made annually as necessary.
The database is centrally managed with strict version control. All resource modeling data and associated files are stored in organized server directories, separated by working, engineering, and corporate versions. The final block models are maintained in multiple formats, including MineSight 3D, Maptek Vulcan, and CSV, and are archived in a SharePoint system accessible to modeling and engineering teams.
Independent technical review conducted by SLR QP and SSR confirms that the database is complete, properly structured, and suitable for supporting Mineral Resource and Reserve estimates in accordance with S-K 1300 guidelines. The database provides the foundation for interpolation, classification, and reporting of Mineral Resources at the CC&V Mine.
| 11.3 | Geological and Mineralization Interpretation |
Modeling work utilized the following software platforms:
| · | Leapfrog Geo for geologic interpretation and wireframe construction |
| · | Resource Modeling Solutions Platform (RMSP) (v1.14.0) for compositing, kriging, and estimation scripting in Python |
| · | Vulcan and MineSite 3D for block model integration, validation, and delivery to engineering |
Resource models were output in Vulcan, MineSite 3D, and CSV formats and delivered to corporate and site engineering teams.
Below-detection values were replaced by two-thirds of the detection limit after they had been imported into the implicit modeling software; the original entries for these samples were retained in the database. Both pre-mining surface and post-mining digital terrain models (DTM) surfaces were loaded in the 3D modeling workspace. All modeling was clipped against the pre-mining surface, with the post-mining surface used to reconcile estimates against production data.
| 11.3.1 | Geologic Model |
The geologic model for the CC&V Project was constructed using Seequent’s Leapfrog Geo software and serves as the structural and lithologic framework supporting the resource estimation process. It integrates multiple data sources, including lithologic and alteration logs, geophysical surveys, digitized historical mapping, highwall mapping, and assay data. Interpretations were made using merged datasets from fire assay (AUFA), shake leach (AUSL), geochemistry, lithology, and geotechnical logging, which were used to define domain boundaries, lithologic contacts, and structural controls.
Geological domains were developed to delineate key rock units such as Cripple Creek diatreme breccias, phonolites, Precambrian basement rocks, and late stage intrusives, along with breccia bodies, dikes, and veins. These were modeled as solids and used to guide the spatial definition of estimation domains. Vein domains were delineated using a 15-ft buffer around modeled vein surfaces, capturing high-grade trends for separate estimation. Alteration and oxidation features were modeled where applicable to support density assignments and metallurgical recovery predictions.
Geological solids and coded domains were subsequently exported for use in RMSP, which was used to carry out block model grade estimation. The geologic model forms the basis for block model coding,
| 11-5 | ![]() |
| SSR Mining Inc. | Cripple Creek and Victor Mine S-K 1300 Technical Report Summary | November 10, 2025 SLR Project No.: 123.020622.00001 |
spatial control of grade interpolation, and definition of selective mining units (SMUs) across the Property.
The geologic units (model) were separated into three groups, described in Table 11-3.
Table 11-3: List of Geologic Units and Assigned Geology Group
| Rock Code | Geologic Unit | Volume | Geology Group |
| 6 | Lamprophyre Dikes | 3,203,600,000 | Thin Structures |
| 12 | Syenite | 6,526,300,000 | Verticalized Structures |
| 21 | Volcanic Outliers | 769,350,000 | Verticalized Structures |
| 21 | Oligocene Volcanics | 542,230,000 | Verticalized Structures |
| 22 | Phonolite Dikes | 9,674,600,000 | Thin Structures |
| 30 | Phonolite Matrix Breccia | 16,934,000,000 | Verticalized Structures |
| 31 | Porphyritic Phonolite | 55,316,000,000 | Verticalized Structures |
| 32 | Mafic Phonolite | 20,174,000,000 | Verticalized Structures |
| 42 | Cripple Creek Breccia | 420,880,000,000 | Massive Structures |
| 52 | Cripple Creek SedBeds | 22,957,000,000 | Massive Structures |
| 52 | Ordovician Sediments | 1,200,500,000,000 | Massive Structures |
| 62 | Ajax Granite | 1,200,500,000,000 | Massive Structures |
| 62 | Cripple Creek Qtz Monzonite | 153,410,000,000 | Massive Structures |
| 62 | Pikes Peak Granite | 555,600,000,000 | Massive Structures |
| 62 | Spring Creek Syenite | Massive Structures | |
| Alluvium | 2,549,200,000 | ||
| 71 | Yavapai MetsSeds | 272,380,000,000 | Massive Structures |
| 84 | Lamprophyre Matrix Breccia | 733,650,000 | Verticalized Structures |
| 86 | Late Stage Breccia | 2,941,600,000 | Verticalized Structures |
| 96 | Historical Veins | 513,170,000 |
| 11.3.2 | Mineralization Domains |
The CC&V deposit is a large, low-grade epithermal gold system hosted within a complex alkaline diatreme-volcanic intrusive center. Gold mineralization at CC&V occurs as both disseminated and vein-hosted styles, with grade and geometry influenced by a combination of lithology, structure, alteration, and oxidation state. In compliance with S-K 1300 guidelines, mineralization domains were constructed to reflect spatial continuity, geological controls, and estimation suitability. These domains form the core framework for grade interpolation, classification, and resource reporting.
Mineralization occurs as both disseminated and vein-hosted forms, localized within Cripple Creek breccia, phonolite sills and dikes, and intrusions. The deposit’s structural complexity and extensive alteration result in variable gold grades across short distances, necessitating a domain model that
| 11-6 | ![]() |
| SSR Mining Inc. | Cripple Creek and Victor Mine S-K 1300 Technical Report Summary | November 10, 2025 SLR Project No.: 123.020622.00001 |
captures these geological influences while supporting robust geostatistical estimation.
Key mining zones (areas) include:
| · | CC (Central Cresson): High-grade, vertically continuous mineralization associated with the Cresson pipe. |
| · | GH (Globe Hill): Complex, breccia-hosted mineralization modeled with simplified domain shapes for estimation efficiency. |
| · | SCH (Schist Island): Northwest-striking, southwest-dipping zones aligned with Precambrian inliers. |
| · | NA/CA (Northern/Central Altman): Northeast- and northwest-trending diffuse mineralized zones aligned with vein swarms. |
| · | V (Vindicator): Narrow vein domains defined by historical underground mining data and vein intercept modeling. |
| 11.3.2.1 | Non-Vein Domains |
The majority of the deposit's gold mineralization is found in bulk-tonnage, low- to moderate-grade disseminated zones hosted within altered breccias and phonolitic intrusives. These were defined as non-vein estimation domains (mining zones), primarily using lithological and alteration (oxidation) contacts, structural breaks, and changes in grade trends. Estimation domains used in the block model provided by CC&V are vertically continuous, having straight lines as boundaries. The estimation domains were reported to be geometric shapes that were extruded in the vertical direction. There are 23 main estimation domains (Table 11-4 and Figure 11-2). These 23 main estimation zones were then intersected/flagged using the geologic units model described in Section 11.3.1.
Ultimately, 63 sub-domains were then constructed by intersecting the lithology and mineralized surfaces with the original 23 domains to represent variations in host lithology, oxidation state, and mineralization styles. Sub-domain boundaries were informed by structural orientation, lithological continuity, and proximity to intrusive contacts. Each domain was built to isolate populations with similar spatial grade continuity and estimated geometallurgical recovery behavior. The subdomain framework allows more granular control over estimation behavior, particularly near lithological transitions or in zones of variable alteration intensity. These domains were statistically analyzed independently, and contact profiles were generated to confirm the presence of hard or soft boundaries.
| 11-7 | ![]() |
| SSR Mining Inc. | Cripple Creek and Victor Mine S-K 1300 Technical Report Summary | November 10, 2025 SLR Project No.: 123.020622.00001 |
Table 11-4: 23 Non-Vein Domains and Subdomains
| Estimation Domain | Code | Name | Description | Subdomain 1 | Subdomain 2 | Subdomain 3 |
| 1 | PG | Poverty Gulch | NE trending mineralization along poverty gulch | Cripple Creek Breccia | ||
| 2 | WPc | WHEX Precambrian | diffuse mineralization with NE trend within Galena hill embayment | Cripple Creek Breccia | Precambrian Metaseds | Late Stage Breccia |
| 3 | WBx | WHEX Breccia | Low grade diffuse NE trending mineralization above Gold Bug | Cripple Creek Breccia | Phonolites | |
| 4 | GB | Gold Bug | High grade core of WHEX pit that plunges ~15° to NNW | Cripple Creek Breccia | Phonolites | Precambrian Intrusive |
| 5 | MW | Midway | Tight low grade domain centered on phonolite body above Gold Bug | Cripple Creek Breccia | ||
| 6 | PCC | Precambrian Contact | Narrow N-S mineralization along the Pc-Volcanic contact in WHEX | Cripple Creek Breccia | Precambrian Metaseds | |
| 7 | EB | Eastern Basin | catch all waste domain with very little drilling | |||
| 8 | GH | Gold Hill | Diffuse mineralization SW of Schist Island | Cripple Creek Breccia | ||
| 9 | SCH | Schist Island | NW striking, SW dipping mineralization associated with Schist Island Precambrian inlier | Cripple Creek Breccia | Precambrian Metaseds | |
| 10 | GLB | Globe Hill | Simplified Domains centered on Globe Hill and Ironclad hydrothermal Breccia Pipes | Cripple Creek Breccia | Porphyritic Phonolite | |
| 11 | WH | Wildhorse | Simplified domain on Wildhorse portion of Pc contact and Gleason NW tending fault. | Cripple Creek Breccia | Precambrian Intrusive | |
| 12 | NA | Northern Altman | NE trending mineralization centered on Pharmacist vein system, north of Isabella dike | Cripple Creek Breccia | Porphyritic Phonolite | |
| 13 | CA | Central Altman | Diffuse and NW trending mineralization at center of Altman pit | Cripple Creek Breccia | Porphyritic Phonolite | |
| 14 | V | Vindicator | NW trending, narrow veins of southern Altman and Vindicator valley | Cripple Creek Breccia | Porphyritic Phonolite | |
| 15 | SQ | Squaw Valley | Catch all domain beneath Squaw Valley overburden complex and VLF 2 | Cripple Creek Breccia | Porphyritic Phonolite | |
| 16 | VLF | Valley Leach Facility | Catch all domain beneath VLF 1 and SW distal portions of district | Cripple Creek Breccia | Precambrian Intrusive | |
| 17 | WC | Western Cresson | N-S trending narrow mineralization on Joe Dandy and western Cresson | Cripple Creek Breccia | ||
| 18 | NC | Norther Cresson | Very diffuse NW trending mineralization in Cresson including the flank of the Granite Island | Syenite | Cripple Creek Breccia | Porphyritic Phonolite |
| 11-8 | ![]() |
| SSR Mining Inc. | Cripple Creek and Victor Mine S-K 1300 Technical Report Summary | November 10, 2025 SLR Project No.: 123.020622.00001 |
| Estimation Domain | Code | Name | Description | Subdomain 1 | Subdomain 2 | Subdomain 3 |
| 19 | CC | Central Cresson | Highest grade portion of Cresson, NW trending but strong vertical continuity along Cresson Pipe | Syenite | Cripple Creek Breccia | VertBreccias |
| 20 | SC | South Cresson | NW trending ore south of Rose Nichol pipe and southern Cresson mafic phonolites | Cripple Creek Breccia | ||
| 21 | PL | Portland | Echelon NW short strike length veins of old Portland pit and eastern portion of south Cresson | Cripple Creek Breccia | Cripple Creek Sed Beds | |
| 22 | LD | Last Dollar | N-S ore trends of the Last Dollar and Orpha May vein systems | Cripple Creek Breccia | Porphyritic Phonolite | |
| 23 | SCP | South Cresson Phonolite | Alkaline intrusive composed of sanidine, nepheline, and aegirine, occurring as dikes and flows within the Cripple Creek diatreme and locally hosting gold-telluride mineralization |
| 11-9 | ![]() |
| SSR Mining Inc. | Cripple Creek and Victor Mine S-K 1300 Technical Report Summary | November 10, 2025 SLR Project No.: 123.020622.00001 |
Figure 11-2: Non-Vein Domains

Figure 11-2: Main Domains: 1 2 3 4 5 6 7 8 9 10 11 12 13 14 15 16 17 18 19_Deeps 19_Upper 20 21 22 23 Source: SLR 2025. SSR Mining Inc. Cripple Creek and Victor Mine Teller County, Colorado, USA Non-Vein Domains
| 11-10 | ![]() |
| SSR Mining Inc. | Cripple Creek and Victor Mine S-K 1300 Technical Report Summary | November 10, 2025 SLR Project No.: 123.020622.00001 |
Contact Plots and Boundary Determinations
A contact plot analysis was conducted to evaluate grade continuity. Geologic units and subdomains were assigned to into geologic groups based on similarity in morphology as shown in Table 11-3.
| · | Massive Units - Massive units, by contrast, are broad, lithologically homogeneous host rocks such as volcanic flows or porphyritic intrusives that host disseminated or weakly veined mineralization with more diffuse grade distribution and include Cripple Creek breccia sedbeds, Precambrian intrusive, Precambrian metasediments, and Cripple Creek breccia (Figure 11-3). |
| · | Vertical Structures - Vertical structures at CC&V are steeply dipping vein and breccia bodies, often narrow but laterally continuous, that host high-grade gold mineralization. These features commonly correspond to fault-controlled fluid pathways with strong structural control and sharp lithologic contrasts and include mafic phonolite intrusive, pholite matrix breccia, aphanitic intrusive, syenite, lamprophyre matrix breccia, late stage breccia, breccia pipes, and porphyritic phonolite (Figure 11-4). |
| · | Thin Structures - Thin structures refer to narrow mineralized stringers or sheeted vein sets, typically less than a few metres thick, with strong grade intensity but limited continuity perpendicular to strike and include lamprophyre dikes and aphanitic phonolite dikes (Figure 11-5). |
The plots consistently showed abrupt changes in grade at the contacts of vertical and thin structures with surrounding host rock. Similarly, contact plots at the edges of massive units revealed distinct breaks in grade distribution when transitioning into or out of mineralized envelopes. These sharp inflection points indicate a lack of grade continuity across the boundaries for the groups listed above (Figure 11-6 and Figure 11-7), supporting the use of hard boundaries throughout the model.
The consistent application of hard boundaries across all domain types ensured that grade estimation was confined within geologically and statistically coherent zones, minimizing grade smearing and supporting a robust and compliant Mineral Resource Estimate.
| 11-11 | ![]() |
| SSR Mining Inc. | Cripple Creek and Victor Mine S-K 1300 Technical Report Summary | November 10, 2025 SLR Project No.: 123.020622.00001 |
Figure 11-3: Lithologies Assigned to "Massive Units”

Figure 11-3: Legend: Breccia Sedimentary Beds Granite Qtz Monzonite Granite Syenite Metasedimentary Source: SLR 2025. SSR Mining Inc. Cripple Creek and Victor Mine Teller County, Colorado, USA Lithologies Assigned to "Massive Unit"
| 11-12 | ![]() |
| SSR Mining Inc. | Cripple Creek and Victor Mine S-K 1300 Technical Report Summary | November 10, 2025 SLR Project No.: 123.020622.00001 |
Figure 11-4: Lithologies Assigned to "Vertical Units”

Figure 11-4: Legend: Syenite Phonolite Matrix Breccia Porphyritic Phonolite Mafic Phonolite Lamprophyre Matrix Breccia Late Stage Breccia Source: SLR 2025. SSR Mining Inc. Cripple Creek and Victor Mine Teller County, Colorado, USA Lithologies Assigned to "Vertical Unit"
| 11-13 | ![]() |
| SSR Mining Inc. | Cripple Creek and Victor Mine S-K 1300 Technical Report Summary | November 10, 2025 SLR Project No.: 123.020622.00001 |
Figure 11-5: Lithologies Assigned to "Thin Units”

Figure 11-5: Legend: Lamprophyre Dikes Aphanitic Phonolite Source: SSR 2025. SSR Mining Inc. Cripple Creek and Victor Mine Colorado, USA Lithologies Assigned to "Thin Units"
| 11-14 | ![]() |
| SSR Mining Inc. | Cripple Creek and Victor Mine S-K 1300 Technical Report Summary | November 10, 2025 SLR Project No.: 123.020622.00001 |
Figure 11-6: Contact Plots for Massive Units

Figure 11-6: Original Deposition CrippleCreekBrecciaSedBeds PrecambrianIntrusive Mean AUFAPREF CCV 0.0200 0.0150 0.0100 0.0050 0.0000 -400 -200 0 200 400 Distance (ft) CrippleCreekBrecciaSedBeds PrecambrianMetaseds 0.01125 0.01100 0.01075 0.01050 0.01025 0.01000 CrippleCreekBrecciaSedBeds CrippleCreekBreccia 0.0200 0.0150 0.0100 0.0050 0.0000 1.00 0.80 0.60 0.40 0.20 0.00 Frac. Of Max Count PrecambrianIntrusive PrecambrianMetaseds 0.0200 0.0175 0.0150 0.0125 0.0100 0.0075 Mean AUFAPREF_CCV -400 -200 0 200 400 Distance (ft) PrecambrianIntrusive CrippleCreekBreccia 0.01000 0.00900 0.00800 1.00 0.80 0.60 0.40 0.20 0.00 Frac. Of Max Count PrecambrianMetaseds CrippleCreekBreccia 0.0200 0.0175 0.0150 0.0125 0.0100 0.0075 Mean AUFAPREF_CCV -400 -200 0 200 400 Distance (ft) 1.00 0.80 0.60 0.40 0.20 0.00 Frac. Of Max Count PrecambrianMetaseds PrecambrianIntrusive CrippleCreekBrecciaSedBeds CrippleCreekBreccia geol_units Source: SSR 2025
Source: SSR 2025
| 11-15 | ![]() |
| SSR Mining Inc. | Cripple Creek and Victor Mine S-K 1300 Technical Report Summary | November 10, 2025 SLR Project No.: 123.020622.00001 |
Figure 11-7: Contact Plots for Vertical Units

Figure 11-7: Verticalized units MaficPhonoliteIntrusion PhonoliteMtxBreccia Mean AUFAPREF CCV 0.0250 0.0200 0.0150 0.0100 -400 -200 0 200 400 Distance (ft) MaficPhonoliteIntrusion AphaniticIntrusion 0.00900 0.00875 0.00850 0.00825 0.00800 0.00775 MaficPhonoliteIntrusion Syenite 0.0140 0.0120 0.0100 0.0080 0.0060 MalicPhonoliteIntrusion LampMtxBreccia 0.0400 0.0300 0.0200 0.0100 0.0000 MaficPhonoliteIntrusion LateStageBreccia 0.0250 0.0200 0.0150 0.0100 MalicPhonoliteIntrusion PorphyriticPhonolite 0.01000 0.00800 0.00600 0.00400 1.00 0.80 0.60 0.40 0.20 0.00 Frac. of Max Count PhonoliteMtxBreccia AphaniticIntrusion Mean AUFAPREF_CCV 0.01100 0.01050 0.01000 0.00950 -400 -200 0 200 400 Distance (ft) PhonoliteMtxBreccia Syenite 0.01000 0.00800 0.00600 PhonoliteMtxBreccia LampMtxBreccia 0.0800 0.0600 0.0400 0.0200 0.0000 PhonoliteMtxBreccia LateStageBreccia 0.0400 0.0350 0.0300 0.0250 0.0200 0.0150 0.0100 PhonoliteMtxBreccia PorphyriticPhonolite 0.0175 0.0150 0.0125 0.0100 0.0075 0.0050 1.00 0.80 0.60 0.40 0.20 0.00 Frac. of Max Count AphaniticIntrusion Syenite Mean AUFAPREF_CCV 0.01040 0.01020 0.01000 0.00980 0.00960 0.00940 0.00920 -400 -200 0 200 400 Distance (ft) AphaniticIntrusion LampMtxBreccia 0.0250 0.0200 0.0150 0.0100 AphaniticIntrusion LateStageBreccia 0.0180 0.0160 0.0140 0.0120 0.0100 AphaniticIntrusion PorphyriticPhonolite 0.009500 0.009400 0.009300 0.009200 1.00 0.80 0.60 0.40 0.20 0.00 Frac. of Max Count Syenite LampMtxBreccia Mean AUFAPREF_CCV 0.150 0.100 0.050 0.000 -400 -200 0 200 400 Distance (ft) Syenite LateStageBreccia 0.0400 0.0300 0.0200 0.0100 Syenite PorphyriticPhonolite 0.0140 0.0120 0.0100 0.0080 0.0060 1.00 0.80 0.60 0.40 0.20 0.00 Frac. of Max Count LampMtxBreccia LateStageBreccia Mean AUFAPREF_CCV 0.125 0.100 0.075 0.050 0.025 0.000 -400 -200 0 200 400 Distance (ft) LampMtxBreccia PorphyriticPhonolite 0.0400 0.0300 0.0200 0.0100 0.0000 1.00 0.80 0.60 0.40 0.20 0.00 Frac. of Max Count LateStageBreccia PorphyriticPhonolite Mean AUFAPREF_CCV 0.0250 0.0200 0.0150 0.0100 -400 -200 0 200 400 Distance (ft) Frac. of Max Count 1.00 0.80 0.60 0.40 0.20 0.00 LateStageBreccia LampMtxBreccia MaficPhonoliteIntrusion PorphyriticPhonolite PhonoliteMtxBreccia AphaniticIntrusion Syenite geol_units Source: SSR 2025
Source: SSR 2025
| 11.3.2.2 | Vein Domains |
A total of 299 discrete vein domains (Figure 11-8) were defined to capture structurally hosted, higher-grade mineralization that occurs in quartz-sulfide vein networks. These were modeled as surfaces based on logged vein intercepts and field mapping and subsequently expanded into three-dimensional domains using a 15-ft buffer around modeled vein surfaces, which was chosen based on distance plots of grades to modeled surface (Figure 11-9). This buffer captures mineralized halo effects often associated with veining.
Veins were grouped by orientation and mineralization characteristics into clusters, enabling the application of targeted estimation strategies and anisotropy control. These domains are typically steeply dipping and narrow, necessitating a higher-resolution estimation approach compared to the bulk-tonnage domains. The use of vein-specific solids allows separation of vein-hosted grade trends from surrounding lower-grade disseminated zones, reducing grade smearing and improving local estimation accuracy.
| 11-16 | ![]() |
| SSR Mining Inc. | Cripple Creek and Victor Mine S-K 1300 Technical Report Summary | November 10, 2025 SLR Project No.: 123.020622.00001 |
Figure 11-8: Vein Domains

Figure 11-8: SSR Mining Inc. Cripple Creek and Victor Mine Teller County, Colorado, USA Vein Domains Source: SLR 2025.
| 11-17 | ![]() |
| SSR Mining Inc. | Cripple Creek and Victor Mine S-K 1300 Technical Report Summary | November 10, 2025 SLR Project No.: 123.020622.00001 |
Figure 11-9: Contact Analysis Plots of Vein Surfaces and Surrounding Area by Variable. Distance Selected was 15 ft

Figure 11-9: Contact Plot - Veins 1 = vein, 0 = not a vein AUFAPREF_CCV Mean AUFAPREF_CCV 0.0240 0.0220 0.0200 0.0180 -20 -10 0 10 20 Distance from contact (ft) 1.00 0.80 0.60 0.40 0.20 0.00 CTOT_PREF Mean CTOT_PREF 0.480 0.460 0.440 0.420 0.400 0.380 0.360 -20 -10 0 10 20 Distance from contact (ft) Frac. of Max Count 1.00 0.80 0.60 0.40 0.20 0.00 STOT_PREF Mean STOT_PREF 1.900 1.800 1.700 1.600 -20 -10 0 10 20 1.00 0.80 0.60 0.40 0.20 0.00 Frac. of Max Count CCV_OXIDATION Mean CCV_OXIDATION 1.950 1.900 1.850 1.800 1.750 -20 -10 0 10 20 1.00 0.80 0.60 0.40 0.20 0.00 Frac. of Max Count CCV_PYRITE Mean CCV_PYRITE 2.100 2.050 2.000 1.950 1.900 -20 -10 0 10 20 Distance from contact (ft) 1.00 0.80 0.60 0.40 0.20 0.00 Frac. of Max Count
| 11.3.2.3 | Dike and Breccia Domains |
A suite of dike and breccia domains was constructed to further constrain interpolation in areas where intrusive dikes, collapse breccias, or hydrothermal breccias disrupt or control mineralization patterns. These features are volumetrically and structurally significant, acting as both conduits and barriers to mineralizing fluids.
| 11-18 | ![]() |
| SSR Mining Inc. | Cripple Creek and Victor Mine S-K 1300 Technical Report Summary | November 10, 2025 SLR Project No.: 123.020622.00001 |
Dikes were modeled using lithological logs and cross-sectional interpretation, and their geometry was coded into the block model for selective estimation or grade exclusion where applicable. Hydrothermal breccia domains are strongly correlated with elevated gold values and were modeled separately where distinct from surrounding host rock. These domains serve as hard boundaries in estimation to prevent grade dilution from mixing structurally distinct populations.
| 11.3.2.4 | Voids |
A voids model was integrated into the estimation framework to represent historical underground workings, open stopes, and inaccessible zones. These features were digitized from mine plans, drilling intercepts, and geotechnical void drilling campaigns. Void volumes were coded into the block model to reflect depletion and are excluded from resource tonnage reporting.
Incorporation of voids is essential at CC&V due to the long history of underground mining activity in the district, which has left behind open stopes and legacy workings that intersect the current resource shells. Areas affected by voids were flagged during modeling and estimation and have been accounted for in the resource tonnage calculations.
| 11.3.3 | Stockpile (Dump 1) Modeling |
In addition to in situ Mineral Resource estimation, material stored in stockpiles has been incorporated into the current Mineral Resource model, in line with S-K 1300 on the inclusion of mined material that remains under the registrant’s control and is supported by adequate data. Specifically, historical stockpile Stockpile (Dump 1) was modeled using a combination of site production records, reconciled grade control data, and validated blast hole sampling.
Each stockpile is treated as a discrete estimation domain with an assigned spatial extent, tonnage, and average grade. Tonnage tracking is based on detailed truck-by-truck movement logs and is reconciled against monthly production records. Grade control is primarily informed by blast hole assays, with supplemental data from routine truck and shovel sampling, periodic check assays, and site reconciliation processes. Classification of stockpiled material follows operational context, distinguishing among leach-grade, mill-grade, and low-grade materials, and whether material is handled as run-of-mine (ROM) or crushed. Processing intent and material degradation or blending are accounted for through adjustments to grade estimates where applicable.
Where supported by robust production and reconciliation records, and underpinned by adequate sampling density and data quality, stockpiled material has been classified as Measured or Indicated Mineral Resources in accordance with S-K 1300 requirements. Stockpile estimates are subject to ongoing review and are updated annually to reflect depletion from processing, additions from mining, and any revisions to grade control data. The block model is revised accordingly as part of the year-end Mineral Resource and Mineral Reserve reconciliation process.
Historical Stockpile (Dump 1) was modeled in MinePlan (Hexagon Mining) using a three-dimensional block model with a standard block size of 10-m x 10-m x 10-m. A fixed tonnage factor of 18 was applied across all blocks within the model, consistent with site density estimates for stockpiled material. The dump model construction utilized sequential monthly surface topographies from June 1999 to January 2011, with a final bounding surface dated January 2016. Each block was coded by time period using a YYYYMM value (YearMonth) tied to the surface under which it resides. Blocks located beneath the 2016 surface were coded as 201699.
| 11-19 | ![]() |
| SSR Mining Inc. | Cripple Creek and Victor Mine S-K 1300 Technical Report Summary | November 10, 2025 SLR Project No.: 123.020622.00001 |
To estimate grades, source pit waste volumes (Altman, Cresson, South Cresson, Wildhorse, and WHEX) were used to calculate tonnage-weighted averages for key grade variables, including fire assay gold (AUFA), shake leach gold (AUSL), and shake leach extractable grade (SLEXT), using the MinePlan Reserves tool. Available mining cut data extended from 2005 to 2011. For this period, monthly average grades were assigned to model blocks on a month-year basis. For earlier periods (1999–2004), in which direct mining cut data were unavailable, average values calculated from the 2005–2011 dataset was applied as a conservative estimate of grade.
This modeling approach complies with and meets the disclosure expectations of S-K 1300 by ensuring that all reported stockpile Mineral Resources are supported by reliable and reasonably assumed data on both grade and tonnage.
| 11.4 | Exploratory Data Analysis |
Exploratory Data Analysis (EDA) was conducted on composited drill hole assay and geologic data to evaluate the statistical behavior, spatial characteristics, and inter-variable relationships of the six key variables estimated in the 2024 CC&V block model. The objective of the EDA process was to characterize domain-specific grade distributions, inform capping and threshold application, and guide estimation strategies in compliance with regulatory reporting standards.
The six variables of interest used in the 2024 CC&V Resource Model are listed:
| · | AUFA – Fire Assay Gold (g/t) |
| · | AUSL – Shake Leach Gold (g/t) |
| · | CTOT – Total Carbon (%), also referred to as LECO Carbon |
| · | STOT – Total Sulfur (%), also referred to as LECO Sulfur |
| · | OX – Oxidation (Qualitative Index, typically 0–5) |
| · | FE – Iron Content (Qualitative Index, typically 0–5) |
These variables were estimated independently using multi-pass ordinary kriging, with AUFA and AUSL being the primary gold variables. CTOT and STOT provide input for metallurgical recovery models, while OX and FE are visually logged and used as proxies for alteration and ore type classification, especially relevant to the VLF performance.
| 11.4.1 | Compositing |
To support domain-based grade estimation using a block size of 50 m by 50 m by 35 m (X, Y, and Z) and statistical analysis, raw assay data were composited to fixed-length intervals. The compositing process was designed to normalize sampling support across a highly variable drilling dataset, accommodate both RC and core drilling intervals, and align with the modeling framework established for selective mining units (SMUs) and bench height (35 ft) configurations at CC&V.
Two standard composite lengths were applied:
| · | 20 ft: Used primarily for high-resolution estimation zones such as vein domains, and in pits with narrower benches or selective mining methods. Used only for some pits in South Cresson that has 20-foot bench heights. |
| · | 35 ft: Used for bulk-tonnage non-vein domains, where bench heights and material handling favor coarser resolution. |
| 11-20 | ![]() |
| SSR Mining Inc. | Cripple Creek and Victor Mine S-K 1300 Technical Report Summary | November 10, 2025 SLR Project No.: 123.020622.00001 |
Composites were generated using downhole length weighting, and no compositing was allowed to cross domain boundaries. Partial composites were retained only if they satisfied a minimum threshold (typically 50% or more of the target interval length). This strategy ensured that all composites used in estimation maintained geological and grade domain consistency. Composites were generated after desurveying the drill hole data using the minimum curvature method, and flagged by estimation domain using Vulcan-based coding routines. Details of the process are listed:
| · | Assay tables were first composited using the Vulcan composite utility, configured for fixed-length intervals. |
| · | A coded 3D wireframe model representing the estimation and geological domains was used to back-flag each composite interval using the gsflag tool in Vulcan. |
| · | This back-flagging process assigned each composite to its corresponding estimation domain (DM#), subdomain (e.g., DM01A), and material type (e.g., oxide, sulfide, transition). |
| · | Composite records were then exported as domain-coded datasets for use in EDA, capping analysis, variography, and kriging. |
Separate composite datasets were created for each variable of interest.
All composite datasets were stored in CSV format and version-controlled within the Project directory structure. Metadata files tracked the composite version, date of generation, composite strategy, and domain model version used for back-flagging.
This compositing approach ensured a robust and geologically consistent foundation for all downstream estimation activities.
| 11.4.2 | Global Distribution |
Global distribution statistical analysis of composited assay variables (Table 11-5 and Figure 11-10) was conducted prior to domain definition and compositing. This pre-domaining review ensures a robust understanding of data quality, population behavior, and variable continuity, and helps inform capping thresholds, grade interpolation strategy, and subsequent domaining logic.
| 11-21 | ![]() |
| SSR Mining Inc. | Cripple Creek and Victor Mine S-K 1300 Technical Report Summary | November 10, 2025 SLR Project No.: 123.020622.00001 |
Table 11-5: Variables of Interest Summary Statistics
| Statistics | AUFA(g/t) | AUSL(g/t) | CTOT(%) | STOT(%) | Ox(%) | Fe (Pyrite)(%) |
| Count | 226,424 | 205,755 | 146,942 | 147,261 | 199,807 | 194,069 |
| Mean | 0.0113 | 0.0076 | 0.2620 | 1.5712 | 1.9419 | 1.8129 |
| SD | 0.0502 | 0.0346 | 0.4491 | 1.4968 | 1.2797 | 1.1079 |
| CV | 4.4220 | 4.5539 | 1.7143 | 0.9527 | 0.6590 | 0.6111 |
| Min | 0.0000 | 0.0000 | 0.0000 | 0.0002 | 0.0000 | 0.0000 |
| Median | 0.0053 | 0.0034 | 0.0774 | 1.2306 | 2.0000 | 1.8571 |
| Max | 13.0460 | 8.7746 | 14.9578 | 177.5206 | 5.0000 | 5.0000 |
|
Notes: CV coefficient of variation SD standard deviation CTOT total carbon STOT total sulfur Ox oxidation | ||||||
| 11-22 | ![]() |
| SSR Mining Inc. | Cripple Creek and Victor Mine S-K 1300 Technical Report Summary | November 10, 2025 SLR Project No.: 123.020622.00001 |
Figure 11-10: Histograms of Variables of Interest

Figure 11-10: AUFAPREF_CCV Count 60,000 50,000 40,000 30,000 20,000 10,000 0 0.00001 0.001 0.1 10.0 AUFAPREF_CCV n: 226,424 m: 0.0113 o: 0.0502 CV: 4.4220 Min: 0.0000 P10: 0.0012 P50: 0.0053 P90: 0.0206 max: 13.0460 AUSLPREF_CCV Count 50,000 40,000 30,000 20,000 10,000 0 0.00001 0.0001 0.001 0.01 0.10 1.00 AUSLPREF_CCV n: 205,755 m: 0.0076 o: 0.0346 CV: 4.5539 min: 0.0000 P10: 0.0009 P50: 0.0034 P90: 0.0141 max: 8.7746 CTOT_PREF Count 30,000 20,000 10,000 0 0.00001 0.001 0.1 10.0 CTOT_PREF n: 146.942 m: 0.2620 o: 0.4491 CV: 1.7143 min: 0.0000 P10: 0.0167 P50: 0.0774 P90: 0.7637 max: 14.9578 STOT_PREF Count 40,000 30,000 20,000 10,000 0 0.001 0.01 0.1 1 10 100 STOT_PREF n: 147,261 m: 1.5712 o: 1.4968 CV: 0.9527 min: 0.0002 P10: 0.1394 P50: 1.2306 P90: 3.3909 max: 177.5206 CCV_OXIDATION Count 25,000 20,000 15,000 10,000 5,000 0 0 1 2 3 4 5 CCV_OXIDATION n: 199.807 m: 1.9419 o: 1.2797 CV: 0.6590 min: 0.0000 P10: 0.0000 P50: 2.0000 P90: 3.7175 max: 5.0000 CCV_PYRITE Count 25,000 20,000 15,000 10,000 5,000 0 0 1 2 3 4 5 CCV_PYRITE n: 194,069 m: 1.8129 o: 1.1079 CV: 0.6111 min: 0.0000 P10: 0.1337 P50: 1.8571 P90: 3.0139 max: 5.0000 Source: SSR 2025
Source: SSR 2025
Fire Assay Gold (AUFA) and Shake Leach Gold (AUSL)
The global population of AUFA and AUSL exhibits strong positive skew and high coefficients of variation (CV > 4.4), which is typical of epithermal or disseminated gold systems. These distributions highlight the presence of significant high-grade tails and confirm the log-normal to mixed log-normal character of the dataset. Median values (P50) were close to the lower detection limits, while upper percentiles revealed sharp increases, indicative of significant high-grade outliers.
| 11-23 | ![]() |
| SSR Mining Inc. | Cripple Creek and Victor Mine S-K 1300 Technical Report Summary | November 10, 2025 SLR Project No.: 123.020622.00001 |
| · | AUFA captures total gold, including refractory and encapsulated forms. It shows a mean of 0.0113 ppm and a maximum of 13.05 ppm, with a median of 0.0053 ppm, demonstrating a long high-grade tail. |
| · | AUSL represents a leachable fraction and has a mean of 0.0076 ppm, maximum of 8.77 ppm, and a median of 0.0034 ppm, closely following the behavior of AUFA but with slightly lower dispersion. The high variability (CV approximately 4.5) necessitates careful treatment during capping and supports the use of domain-specific top cuts. AUSL may also assist in identifying metallurgical behavior and leach recovery potential when used in conjunction with oxidation indicators. |
Total Carbon (CTOT) and Total Sulfur (STOT)
The distributions of CTOT and STOT were observed to be weak to moderate multimodal behavior, suggesting the presence of multiple geochemical populations or lithologic controls. This is an important finding as it indicates that these variables cannot be adequately represented using a single population model and that domaining based on geochemistry or lithology is warranted.
| · | CTOT has a mean of 0.262% and a maximum of approximately 15%, with a CV of 1.71, indicating moderate variability. The median value (0.0774%) is significantly lower than the mean, suggesting a positively skewed distribution. This variable reflects the presence of carbonate materials, which can influence acid-neutralizing potential and metallurgical behavior. |
| · | STOT shows a mean of 1.57%, maximum of 177.52%, and a CV of 0.95, which is relatively lower. The median of 1.23% suggests a more symmetrical distribution, possibly corresponding to disseminated sulfides or alteration zones. |
Both CTOT and STOT will influence block model interpolation in terms of estimating acid rock drainage (ARD) potential and determining processing pathways.
Oxidation Indices (Visual Logs)
Visual variables of Oxidation (OX) and Iron content (FE), which were logged on a scale from 0 to 5, showed near-normal to uniform distributions, and their histograms suggested no need for transformation. These variables are directly linked to recovery modeling and metallurgical characterization and are treated as continuous inputs within the estimation framework.
| · | Oxidation (OX) and Iron Content (FE) are ordinal visual estimates of oxidation state on a 0 to 5 scale. Both datasets are tightly clustered around their medians (2.0 and 1.86, respectively) with low CVs (approximately 0.61–0.66), indicating relatively uniform coding across logged intervals. |
| · | These fields are critical for domaining oxide, transition, and sulfide zones, which will significantly affect gold recoveries, particularly where AUSL is used as a recovery proxy. |
| 11.4.3 | Univariate and Domain-Based Analysis |
Domain-specific statistics were computed for each variable. Summary statistics and histograms were generated to evaluate the overall data distribution. Histograms, probability plots, and cumulative frequency distributions revealed that most domains exhibited positively skewed, log-normal distributions typical of epithermal gold systems. In some areas, particularly where vein swarms or structural intersections dominate, multimodal behavior was observed. This reflects overlapping mineralization phases and lithologic heterogeneity, requiring careful domain separation and review of compositing strategies.
| 11-24 | ![]() |
| SSR Mining Inc. | Cripple Creek and Victor Mine S-K 1300 Technical Report Summary | November 10, 2025 SLR Project No.: 123.020622.00001 |
Table 11-6 summarizes descriptive statistics calculated for each major estimation domain, including minimum, maximum, mean, median, standard deviation, and coefficient of variation:
Key findings include:
| · | Gold Assays (AUFA, AUSL): Log-normal distributions with an inflection point near the 99.995th percentile for AUFA; a strong correlation was observed between AUFA and AUSL. |
| · | Sulfur and Carbon (STOT, CTOT): Display weak to moderate multimodal behavior across domains, with some variation attributed to lithologic controls. |
| · | Oxidation and Iron (OX, FE (Pyrite)): Logged variables show moderate positive correlation and are directly used in metallurgical recovery models. |
Boxplots were used to compare geochemical variables across the 23 estimation domains. Although AUFA and AUSL median values were relatively consistent, certain domains exhibited elevated gold content. Variations in STOT and CTOT were more pronounced among domains.
Each domain and subdomain were analyzed independently for univariate distribution characteristics using histograms, box plots, and descriptive statistics (mean, median, standard deviation, coefficient of variation, skewness).
| · | Non-vein domains generally showed moderate skewness and low to moderate mean grades (approximately 0.3 g/t), with longer tails of elevated values. |
| · | Vein domains displayed high skewness, elevated means (approximately 0.8 g/t to 1.2 g/t), and frequent high-grade outliers. |
Breccia and dike domains often showed bimodal or mixed populations, supporting the need for independent treatment.
When the coefficient of variation (CV) exceeds 2.5 in domains, estimation control refinements such as top-cutting of high-grade outliers, tighter domaining, and shorter composite lengths are commonly applied to reduce grade variability and improve model reliability.
| 11-25 | ![]() |
| SSR Mining Inc. | Cripple Creek and Victor Mine S-K 1300 Technical Report Summary | November 10, 2025 SLR Project No.: 123.020622.00001 |
Table 11-6: Variables of Interest Domain Summary Statistics
| Variable | Statistic | Domain | ||||||||||||||||||||||
| 1 | 2 | 3 | 4 | 5 | 6 | 7 | 8 | 9 | 10 | 11 | 12 | 13 | 14 | 15 | 16 | 17 | 18 | 19 | 20 | 21 | 22 | 23 | ||
| AUFA (g/t) | Count | 12148 | 11734 | 12400 | 9563 | 6288 | 4679 | 2314 | 4410 | 9106 | 16428 | 7961 | 5125 | 13208 | 7550 | 12965 | 1704 | 5643 | 23982 | 27071 | 6249 | 8508 | 9432 | 496 |
| MEAN | 0.0096 | 0.0115 | 0.007 | 0.0283 | 0.0047 | 0.0121 | 0.002 | 0.0062 | 0.0077 | 0.0082 | 0.0092 | 0.0109 | 0.0128 | 0.0067 | 0.0075 | 0.0058 | 0.006 | 0.0111 | 0.0096 | 0.0138 | 0.0096 | 0.0082 | 0.0079 | |
| Stdev | 0.0356 | 0.0367 | 0.0342 | 0.1715 | 0.076 | 0.0901 | 0.0067 | 0.012 | 0.0102 | 0.0131 | 0.0211 | 0.0551 | 0.0654 | 0.0171 | 0.0231 | 0.0221 | 0.0118 | 0.0467 | 0.0399 | 0.0229 | 0.0374 | 0.0347 | 0.0136 | |
| CV | 3.7392 | 3.189 | 4.9147 | 6.0671 | 4.312 | 7.4481 | 3.3447 | 1.9547 | 1.3379 | 1.597 | 2.297 | 5.0508 | 5.1182 | 2.5353 | 3.0616 | 3.8245 | 1.9615 | 3.9233 | 3.2483 | 2.899 | 3.2145 | 4.2524 | 1.7344 | |
| MIN | 0.0001 | 0.0001 | 0.0002 | 0.0001 | 0.0001 | 0.0001 | 0.0001 | 0.0001 | 0.0001 | 0.0001 | 0.0002 | 0.0001 | 0.0001 | 0.0001 | 0.0001 | 0.0001 | 0.0001 | 0.0001 | 0.0001 | 0.0001 | 0.0001 | 0.0001 | 0.0001 | |
| P10 | 0.0018 | 0.0029 | 0.0017 | 0.007 | 0.0008 | 0.0024 | 0.0006 | 0.002 | 0.002 | 0.0025 | 0.0021 | 0.0022 | 0.0038 | 0.003 | 0.001 | 0.001 | 0.0008 | 0.0027 | 0.0025 | 0.0026 | 0.002 | 0.003 | 0.0006 | |
| MEDIAN | 0.0058 | 0.0075 | 0.0045 | 0.047 | 0.004 | 0.008 | 0.003 | 0.003 | 0.0042 | 0.004 | 0.0054 | 0.006 | 0.008 | 0.0033 | 0.0035 | 0.0015 | 0.002 | 0.0072 | 0.0084 | 0.0077 | 0.006 | 0.0055 | 0.0017 | |
| P90 | 0.0158 | 0.0196 | 0.0117 | 0.1346 | 0.02 | 0.0232 | 0.0042 | 0.0123 | 0.0142 | 0.0465 | 0.0741 | 0.0212 | 0.0258 | 0.0134 | 0.0101 | 0.0104 | 0.0063 | 0.0275 | 0.0454 | 0.0245 | 0.0165 | 0.0133 | 0.0111 | |
| MAX | 2.1049 | 2.2159 | 3.2993 | 3.2764 | 0.8203 | 0.7721 | 0.2176 | 0.1868 | 0.5843 | 0.4645 | 0.7421 | 3.5152 | 5.4976 | 0.574 | 1.2583 | 0.5063 | 0.4082 | 3.7842 | 2.1815 | 1.5403 | 0.9708 | 2.2393 | 0.1203 | |
| AUSL (g/t) | Count | 12148 | 11734 | 12400 | 9563 | 6288 | 4679 | 2314 | 4410 | 9106 | 16428 | 7961 | 5125 | 13208 | 7550 | 12965 | 1704 | 5643 | 23982 | 27071 | 6249 | 8508 | 9432 | 496 |
| MEAN | 0.0095 | 0.0113 | 0.0069 | 0.028 | 0.0045 | 0.0117 | 0.0019 | 0.006 | 0.0075 | 0.008 | 0.0089 | 0.0107 | 0.0124 | 0.0065 | 0.0072 | 0.0055 | 0.0057 | 0.0108 | 0.0094 | 0.0134 | 0.0093 | 0.0078 | 0.0075 | |
| Stdev | 0.0318 | 0.0319 | 0.0311 | 0.1603 | 0.0692 | 0.0841 | 0.0062 | 0.0114 | 0.0099 | 0.0127 | 0.0203 | 0.0506 | 0.0612 | 0.0161 | 0.0223 | 0.0203 | 0.0109 | 0.0413 | 0.0356 | 0.0206 | 0.0342 | 0.0316 | 0.0124 | |
| CV | 3.3472 | 2.8284 | 4.5072 | 5.7179 | 4.1471 | 7.1735 | 3.2632 | 1.8903 | 1.32 | 1.5825 | 2.2753 | 4.7289 | 4.9336 | 2.4769 | 3.1027 | 3.6909 | 1.9296 | 3.8222 | 3.4255 | 2.8363 | 3.6774 | 4.0465 | 1.6533 | |
| MIN | 0.0001 | 0.0001 | 0.0001 | 0.0001 | 0.0001 | 0.0001 | 0.0001 | 0.0001 | 0.0001 | 0.0001 | 0.0002 | 0.0001 | 0.0001 | 0.0001 | 0.0001 | 0.0001 | 0.0001 | 0.0001 | 0.0001 | 0.0001 | 0.0001 | 0.0001 | 0.0001 | |
| P10 | 0.0017 | 0.003 | 0.0015 | 0.0067 | 0.0008 | 0.0024 | 0.0005 | 0.0018 | 0.002 | 0.0024 | 0.0019 | 0.0021 | 0.0034 | 0.0027 | 0.0009 | 0.0009 | 0.0007 | 0.0025 | 0.0022 | 0.0024 | 0.0019 | 0.0028 | 0.0005 | |
| MEDIAN | 0.0058 | 0.0072 | 0.0044 | 0.045 | 0.004 | 0.008 | 0.002 | 0.0034 | 0.0041 | 0.0039 | 0.005 | 0.0058 | 0.008 | 0.0032 | 0.0032 | 0.0015 | 0.0019 | 0.0068 | 0.0075 | 0.0072 | 0.0057 | 0.005 | 0.0016 | |
| P90 | 0.0154 | 0.0192 | 0.0108 | 0.1306 | 0.0193 | 0.0224 | 0.004 | 0.012 | 0.014 | 0.0455 | 0.0714 | 0.0201 | 0.0247 | 0.0124 | 0.0097 | 0.0092 | 0.0061 | 0.0253 | 0.041 | 0.0227 | 0.0147 | 0.0122 | 0.0103 | |
| MAX | 1.9631 | 2.1681 | 3.1607 | 2.9901 | 0.7915 | 0.7312 | 0.1952 | 0.1771 | 0.5248 | 0.4177 | 0.6983 | 3.2341 | 4.9542 | 0.523 | 1.1953 | 0.4564 | 0.3921 | 3.544 | 2.0433 | 1.4352 | 0.9171 | 2.1077 | 0.1101 | |
| CTOT (%) | Count | 12148 | 11734 | 12400 | 9563 | 6288 | 4679 | 2314 | 4410 | 9106 | 16428 | 7961 | 5125 | 13208 | 7550 | 12965 | 1704 | 5643 | 23982 | 27071 | 6249 | 8508 | 9432 | 496 |
| MEAN | 0.38 | 0.39 | 0.35 | 0.44 | 0.41 | 0.32 | 0.28 | 0.31 | 0.33 | 0.36 | 0.42 | 0.4 | 0.43 | 0.37 | 0.38 | 0.34 | 0.36 | 0.45 | 0.39 | 0.41 | 0.4 | 0.38 | 0.35 | |
| Stdev | 0.52 | 0.54 | 0.49 | 0.6 | 0.55 | 0.46 | 0.41 | 0.44 | 0.47 | 0.5 | 0.56 | 0.53 | 0.58 | 0.51 | 0.52 | 0.48 | 0.5 | 0.6 | 0.54 | 0.55 | 0.54 | 0.52 | 0.49 | |
| CV | 1.3684 | 1.3846 | 1.4 | 1.3636 | 1.3415 | 1.4375 | 1.4643 | 1.4194 | 1.4242 | 1.3889 | 1.3333 | 1.325 | 1.3488 | 1.3784 | 1.3684 | 1.4118 | 1.3889 | 1.3333 | 1.3846 | 1.3415 | 1.35 | 1.3684 | 1.4 | |
| MIN | 0 | 0 | 0 | 0 | 0 | 0 | 0 | 0 | 0 | 0 | 0 | 0 | 0 | 0 | 0 | 0 | 0 | 0 | 0 | 0 | 0 | 0 | 0 | |
| P10 | 0.05 | 0.05 | 0.04 | 0.06 | 0.06 | 0.04 | 0.03 | 0.04 | 0.04 | 0.05 | 0.06 | 0.05 | 0.06 | 0.05 | 0.05 | 0.04 | 0.05 | 0.06 | 0.05 | 0.06 | 0.06 | 0.05 | 0.04 | |
| MEDIAN | 0.22 | 0.23 | 0.2 | 0.27 | 0.25 | 0.17 | 0.12 | 0.15 | 0.18 | 0.2 | 0.26 | 0.24 | 0.26 | 0.21 | 0.22 | 0.18 | 0.2 | 0.28 | 0.23 | 0.25 | 0.24 | 0.22 | 0.2 | |
| P90 | 1 | 1.01 | 0.93 | 1.1 | 1.04 | 0.88 | 0.78 | 0.83 | 0.9 | 0.96 | 1.06 | 1.02 | 1.08 | 0.95 | 1 | 0.91 | 0.96 | 1.12 | 1.01 | 1.04 | 1.03 | 1 | 0.93 | |
| MAX | 2.57 | 2.6 | 2.52 | 2.74 | 2.65 | 2.45 | 2.38 | 2.42 | 2.5 | 2.55 | 2.66 | 2.61 | 2.68 | 2.53 | 2.57 | 2.48 | 2.55 | 2.72 | 2.6 | 2.65 | 2.63 | 2.57 | 2.52 | |
| STOT (%) | Count | 12148 | 11734 | 12400 | 9563 | 6288 | 4679 | 2314 | 4410 | 9106 | 16428 | 7961 | 5125 | 13208 | 7550 | 12965 | 1704 | 5643 | 23982 | 27071 | 6249 | 8508 | 9432 | 496 |
| MEAN | 0.15 | 0.16 | 0.14 | 0.17 | 0.16 | 0.13 | 0.12 | 0.13 | 0.14 | 0.15 | 0.17 | 0.16 | 0.18 | 0.15 | 0.15 | 0.14 | 0.15 | 0.19 | 0.16 | 0.16 | 0.16 | 0.15 | 0.14 | |
| Stdev | 0.21 | 0.22 | 0.2 | 0.23 | 0.22 | 0.19 | 0.18 | 0.19 | 0.2 | 0.21 | 0.23 | 0.22 | 0.24 | 0.21 | 0.21 | 0.2 | 0.21 | 0.25 | 0.22 | 0.22 | 0.22 | 0.21 | 0.2 | |
| CV | 1.4 | 1.375 | 1.4286 | 1.3529 | 1.375 | 1.4615 | 1.5 | 1.4615 | 1.4286 | 1.4 | 1.3529 | 1.375 | 1.3333 | 1.4 | 1.4 | 1.4286 | 1.4 | 1.3158 | 1.375 | 1.375 | 1.375 | 1.4 | 1.4286 | |
| MIN | 0 | 0 | 0 | 0 | 0 | 0 | 0 | 0 | 0 | 0 | 0 | 0 | 0 | 0 | 0 | 0 | 0 | 0 | 0 | 0 | 0 | 0 | 0 | |
| P10 | 0.02 | 0.02 | 0.02 | 0.03 | 0.02 | 0.02 | 0.01 | 0.02 | 0.02 | 0.02 | 0.03 | 0.02 | 0.03 | 0.02 | 0.02 | 0.02 | 0.02 | 0.03 | 0.02 | 0.02 | 0.02 | 0.02 | 0.02 | |
| MEDIAN | 0.09 | 0.1 | 0.08 | 0.11 | 0.1 | 0.07 | 0.06 | 0.07 | 0.08 | 0.09 | 0.11 | 0.1 | 0.12 | 0.09 | 0.09 | 0.08 | 0.09 | 0.13 | 0.1 | 0.1 | 0.1 | 0.09 | 0.08 | |
| P90 | 0.39 | 0.4 | 0.38 | 0.42 | 0.41 | 0.36 | 0.34 | 0.36 | 0.38 | 0.39 | 0.42 | 0.41 | 0.43 | 0.39 | 0.39 | 0.38 | 0.39 | 0.44 | 0.4 | 0.4 | 0.4 | 0.39 | 0.38 | |
| MAX | 1 | 1.01 | 0.99 | 1.02 | 1 | 0.98 | 0.97 | 0.98 | 0.99 | 1 | 1.02 | 1 | 1.03 | 1 | 1 | 0.99 | 1 | 1.04 | 1.01 | 1.01 | 1.01 | 1 | 0.99 | |
| 11-26 | ![]() |
| SSR Mining Inc. | Cripple Creek and Victor Mine S-K 1300 Technical Report Summary | November 10, 2025 SLR Project No.: 123.020622.00001 |
| Variable | Statistic | Domain | ||||||||||||||||||||||
| 1 | 2 | 3 | 4 | 5 | 6 | 7 | 8 | 9 | 10 | 11 | 12 | 13 | 14 | 15 | 16 | 17 | 18 | 19 | 20 | 21 | 22 | 23 | ||
| OX (%) | Count | 12148 | 11734 | 12400 | 9563 | 6288 | 4679 | 2314 | 4410 | 9106 | 16428 | 7961 | 5125 | 13208 | 7550 | 12965 | 1704 | 5643 | 23982 | 27071 | 6249 | 8508 | 9432 | 496 |
| MEAN | 3.1 | 3 | 3.2 | 3.3 | 3 | 2.9 | 2.8 | 2.9 | 3 | 3.1 | 3.3 | 3.2 | 3.4 | 3 | 3.1 | 2.9 | 3.1 | 3.5 | 3.2 | 3.1 | 3 | 3.1 | 2.9 | |
| Stdev | 1 | 1 | 1.1 | 1.1 | 1 | 1 | 1 | 1 | 1 | 1 | 1.1 | 1.1 | 1.1 | 1 | 1 | 1 | 1 | 1.1 | 1 | 1 | 1 | 1 | 1 | |
| CV | 0.32 | 0.33 | 0.34 | 0.33 | 0.33 | 0.34 | 0.36 | 0.34 | 0.33 | 0.32 | 0.33 | 0.34 | 0.32 | 0.33 | 0.32 | 0.34 | 0.32 | 0.31 | 0.31 | 0.32 | 0.33 | 0.32 | 0.34 | |
| MIN | 0 | 0 | 0 | 0 | 0 | 0 | 0 | 0 | 0 | 0 | 0 | 0 | 0 | 0 | 0 | 0 | 0 | 0 | 0 | 0 | 0 | 0 | 0 | |
| P10 | 2 | 2 | 2 | 2 | 2 | 2 | 2 | 2 | 2 | 2 | 2 | 2 | 2 | 2 | 2 | 2 | 2 | 2 | 2 | 2 | 2 | 2 | 2 | |
| MEDIAN | 3 | 3 | 3 | 3 | 3 | 3 | 3 | 3 | 3 | 3 | 3 | 3 | 3 | 3 | 3 | 3 | 3 | 4 | 3 | 3 | 3 | 3 | 3 | |
| P90 | 4 | 4 | 4 | 4 | 4 | 4 | 4 | 4 | 4 | 4 | 4 | 4 | 4 | 4 | 4 | 4 | 4 | 5 | 5 | 4 | 4 | 4 | 4 | |
| MAX | 5 | 5 | 5 | 5 | 5 | 5 | 5 | 5 | 5 | 5 | 5 | 5 | 5 | 5 | 5 | 5 | 5 | 5 | 5 | 5 | 5 | 5 | 5 | |
| FE (Pyrite %) | Count | 12148 | 11734 | 12400 | 9563 | 6288 | 4679 | 2314 | 4410 | 9106 | 16428 | 7961 | 5125 | 13208 | 7550 | 12965 | 1704 | 5643 | 23982 | 27071 | 6249 | 8508 | 9432 | 496 |
| MEAN | 2.4 | 2.5 | 2.3 | 2.6 | 2.4 | 2.2 | 2.1 | 2.2 | 2.3 | 2.4 | 2.6 | 2.5 | 2.7 | 2.3 | 2.4 | 2.2 | 2.4 | 2.8 | 2.5 | 2.4 | 2.3 | 2.4 | 2.2 | |
| Stdev | 1.1 | 1.2 | 1.2 | 1.2 | 1.1 | 1.1 | 1.1 | 1.1 | 1.1 | 1.2 | 1.2 | 1.2 | 1.2 | 1.1 | 1.1 | 1.1 | 1.1 | 1.3 | 1.2 | 1.1 | 1.1 | 1.2 | 1.1 | |
| CV | 0.46 | 0.48 | 0.52 | 0.46 | 0.46 | 0.5 | 0.52 | 0.5 | 0.48 | 0.5 | 0.46 | 0.48 | 0.44 | 0.48 | 0.46 | 0.5 | 0.46 | 0.46 | 0.48 | 0.46 | 0.48 | 0.5 | 0.5 | |
| MIN | 0 | 0 | 0 | 0 | 0 | 0 | 0 | 0 | 0 | 0 | 0 | 0 | 0 | 0 | 0 | 0 | 0 | 0 | 0 | 0 | 0 | 0 | 0 | |
| P10 | 1 | 1 | 1 | 1 | 1 | 1 | 1 | 1 | 1 | 1 | 1 | 1 | 1 | 1 | 1 | 1 | 1 | 1 | 1 | 1 | 1 | 1 | 1 | |
| MEDIAN | 2 | 2 | 2 | 3 | 2 | 2 | 2 | 2 | 2 | 2 | 3 | 2 | 3 | 2 | 2 | 2 | 2 | 3 | 2 | 2 | 2 | 2 | 2 | |
| P90 | 4 | 4 | 4 | 4 | 4 | 3 | 3 | 3 | 4 | 4 | 4 | 4 | 4 | 4 | 4 | 3 | 4 | 4 | 4 | 4 | 4 | 4 | 3 | |
| MAX | 5 | 5 | 5 | 5 | 5 | 5 | 5 | 5 | 5 | 5 | 5 | 5 | 5 | 5 | 5 | 5 | 5 | 5 | 5 | 5 | 5 | 5 | 5 | |
| 11-27 | ![]() |
| SSR Mining Inc. | Cripple Creek and Victor Mine S-K 1300 Technical Report Summary | November 10, 2025 SLR Project No.: 123.020622.00001 |
| 11.4.4 | Multivariable Relationships |
Multivariable scatter plots demonstrated a strong linear correlation between AUFA and AUSL, consistent with their expected analytical relationship, while the relationships between other variables were weak or nonexistent. Key findings of the Multivariable Relationships include:
| · | AUFA and AUSL showed a variable but moderate correlation (r = 0.65 to 0.85), depending on domain and oxidation state. |
| · | AUFA and CTOT displayed weak to moderate correlation in oxidized zones, reflecting carbon-hosted gold behavior relevant to heap leaching. |
| · | STOT and FE were more strongly correlated in reduced zones, reflecting geochemical associations with sulfides. |
| · | OX and FE were analyzed as modifiers in recovery models and not directly correlated to gold values but useful as contextual inputs. |
The lack of strong correlation between gold grades and lithogeochemical variables such as sulfur or carbon globally emphasizes the need for domaining based on geological and structural context, rather than relying solely on geochemical partitioning.
| 11.4.5 | Assay Imputation and Ratio Analysis |
Imputation of gold assays is carried out based on the ratio between AUFA/AUSL. This ratio indicates locations where the assaying have possible quality issues. Fire assay, when sampling the same location, should be greater or equal than the Shake Leach value.
To conduct imputation, locations where AUFA/ASL > 1 (unproblematic locations) in the composite and production data were subset. Using the selected locations, an omnidirectional variogram is calculated and the ratio kriged in all locations where at least one of the gold assays were measured. The blast holes are used together with exploration data to help with local variability in pit areas.
Based on the kriged ratio model locations where at least one of the gold assay is present can be imputed. To avoid artificial extreme values, the ratio used for imputation was capped at 8. This primarily affects areas of older data. Modern data has a full suite of assays.
This method allowed for conservative imputation of missing AUFA or AUSL values using co-located and neighboring data, improving the completeness and continuity of the gold dataset used in the resource estimate.
| 11.4.6 | Capping Levels |
Where the assay distribution is skewed positively or approaches log-normal, erratic high grade assay values can have a disproportionate effect on the average grade of a deposit. To control the influence of extreme high-grade values, capping thresholds were applied based on domain-specific analysis of grade outliers and decile analysis. Rather than being applied to raw assay values, capping in this model was executed on composited data, consistent with the methodology adopted across the CC&V modeling framework. This approach reflects a deliberate balance between preserving local grade variability and reducing the risk of grade overestimation caused by statistical outliers, particularly in domains where extreme values could exert disproportionate influence during kriging-based estimation.
The statistical analysis revealed that gold variables, particularly Fire Assay (AUFA) and Shake Leach (AUSL), exhibited classic log-normal distributions with extreme upper tails. Inflection points in probability
| 11-28 | ![]() |
| SSR Mining Inc. | Cripple Creek and Victor Mine S-K 1300 Technical Report Summary | November 10, 2025 SLR Project No.: 123.020622.00001 |
plots near the 99.995th percentile, combined with steep slope changes in decile analysis, signaled the presence of high-grade outliers. For Total Sulfur (STOT) and Total Carbon (CTOT), multimodal behaviors were noted, but the distribution tails were generally less pronounced, requiring more conservative capping decisions where warranted. Oxidation (OX) and Iron (FE), which were derived from visual logging on a scale of 0 to 5, did not exhibit outlier behavior and were not subjected to capping. Global capping is similar in the estimation for non-vein and vein zones domains for the six variables.
Table 11-7: Global Capping Summary of Variables of Interest for Non-Vein and Vein Domains
| Variable | Cap Value - Non-Vein (opt) | Cap Value – Vein (opt) |
| AUFA | 1.2 | 1.2 |
| AUSL | 0.55 | 0.8 |
| CTOT | 3.74 | 5 |
| STOT | 8.69 | 8 |
| OXIDATION | - | - |
| FE (Pyrite) | - | - |
Once capping values were defined, they were applied directly to the composited dataset prior to estimation. This methodology preserved the integrity of the compositing process while allowing for the suppression of statistical bias due to extreme values.
A comparison of capped versus uncapped composites by variable can be found in Table 11-8.
| 11.4.7 | High Yield Restriction |
Mineral Resource estimate also utilized a high yield restriction in some non-vein domains and all vein domains at 99.999% of the highest value by domain. This restriction was removed in the northern part of the district, particularly non-vein domains 1, 8, 9 in the area of Globe Hill. The high yield restriction distance was 2 block widths or 100’.
| 11-29 | ![]() |
| SSR Mining Inc. | Cripple Creek and Victor Mine S-K 1300 Technical Report Summary | November 10, 2025 SLR Project No.: 123.020622.00001 |
Table 11-8: Global Comparison of Capped versus Uncapped Composite Values by Variable of Interest
| Variable | Count | MEAN | SD | CV | MIN | P10 | P50 | P90 | MAX | ||||||||
| Uncap | Cap | Uncap | Cap | Uncap | Cap | Uncap | Cap | Uncap | Cap | Uncap | Cap | Uncap | Cap | Uncap | Cap | ||
| AUFA | 226510 | 0.0113 | 0.0111 | 0.0502 | 0.0331 | 4.4219 | 2.9712 | 0.0000 | 0.0000 | 0.0013 | 0.0013 | 0.0053 | 0.0053 | 0.0206 | 0.0206 | 13.0480 | 1.2000 |
| AUSL | 226510 | 0.0073 | 0.0071 | 0.0332 | 0.0194 | 4.5538 | 2.7191 | 0.0000 | 0.0000 | 0.0000 | 0.0000 | 0.0033 | 0.0033 | 0.0137 | 0.0137 | 8.7746 | 0.5500 |
| CTOT | 146942 | 0.2602 | 0.2607 | 0.4491 | 0.4357 | 1.7143 | 1.6711 | 0.0000 | 0.0000 | 0.0167 | 0.0167 | 0.0774 | 0.0774 | 0.7636 | 0.7636 | 14.9578 | 3.7400 |
| STOT | 147261 | 1.5712 | 1.5643 | 1.4968 | 1.3721 | 0.9527 | 0.8771 | 0.0002 | 0.0002 | 0.1392 | 0.1392 | 1.2303 | 1.2309 | 3.3895 | 3.3893 | 177.5206 | 8.6900 |
| OXIDATION | 199807 | 1.9419 | 1.9419 | 1.2797 | 1.2797 | 0.6590 | 0.6590 | 0.0000 | 0.0000 | 0.0000 | 0.0000 | 2.0000 | 2.0000 | 3.7143 | 3.7143 | 5.0000 | 5.0000 |
| FE (Pyrite) | 194089 | 1.8129 | 1.8129 | 1.1079 | 1.1079 | 0.6111 | 0.6111 | 0.0000 | 0.0000 | 0.1407 | 0.1407 | 1.8571 | 1.8571 | 3.0054 | 3.0054 | 5.0000 | 5.0000 |
| 11-30 | ![]() |
| SSR Mining Inc. | Cripple Creek and Victor Mine S-K 1300 Technical Report Summary | November 10, 2025 SLR Project No.: 123.020622.00001 |
| 11.5 | Spatial Analysis |
| 11.5.1 | Non-Vein Variography |
Variography was conducted independently for each main variable, except AuSL, which utilized the AuFA variograms to attempt to eliminate or decrease issues with SL/FA ratios. The variography workflow can be summarized as follows:
| 1 | Calculate global omnidirectional and vertical variograms |
| 2 | Calculate omnidirectional and vertical variograms by domain and subdomain |
| 3 | Calculate a global neutral model |
| 4 | Calculate global variogram volumes from the neutral model |
| 5 | Calculate variogram volumes by domain and subdomain |
| 6 | Fit directions to all variogram volumes calculated |
| 7 | Use directions to calculate directional variograms by domain and subdomain |
The logic behind this approach was that each subdomain variogram can be evaluated and appropriate lumping can be completed. For example, if a subdomain variogram is too noisy to be modeled, it can be substituted by a more stable variogram. This decision is only done by evaluating the similarity between the subdomains omnidirection and vertical variograms to the prospective variogram substitution.
Variograms were constructed using RMSP software from capped, 35-ft composited datasets and used imputed gold grades (AUIM) that incorporate both Fire Assay and Shake Leach methods, ensuring consistency across mineralization styles and analytical techniques.
All variograms were estimated using a pairwise relative variogram. This type of empirical variogram mitigates the high variance that arises from the proportional effect by scaling the pairwise squared difference by the pairwise mean.
For non-vein domains, the variographic analysis focused on large-scale lithologic and oxidation-based domains interpreted from geologic modeling. These included disseminated mineralization within volcaniclastics, breccias, and porphyritic intrusives. The variography process was separated into global and domain/sub-domain analyses to capture both overall spatial trends.
Additionally, in order to minimize discrepancies in AuFA and AuSL values, variograms throughout the entire workflow were calculated on AuFA, and then AuSL estimates used the AuFA variograms.
| 11.5.1.1 | Global Variography |
Global variogram analysis was the first phase in establishing spatial continuity for the primary variables, including AUFA, CTOT, STOT, OX, and FE. Omnidirectional and vertical variograms were initially calculated using RMSP software. The fitted omnidirectional and vertical variogram nuggets will be used to constrain the nugget of the final global directional variogram. It was observed that the differences between the omnidirectional and vertical nuggets was not large and therefore the range of values for the final directional nugget is small.
An example of the global omni-directional and vertical variograms for AUFA can be found in Figure 11-11.
| 11-31 | ![]() |
| SSR Mining Inc. | Cripple Creek and Victor Mine S-K 1300 Technical Report Summary | November 10, 2025 SLR Project No.: 123.020622.00001 |
Figure 11-11: Global Calculated Omni- and Vertical Variograms for AUFA

Figure 11-11: Gold Variograms Y 1.00 0.80 0.60 0.40 0.20 0.00 Lag Distance (ft) 0 100 200 300 Nugget from Vert: 0.125 Nugget from Omni: 0.176 Avg. Nugget: 0.15 OmniDirectional Vertical Variograms Source: SSR 2025
Source: SSR 2025
| 11.5.1.2 | Omni and Vertical Variograms by Domain and Sub-domain |
Similarly to the global variograms, both omni-directional and vertical variograms are calculated for each variable for every domain and the inferred fit for the nugget is stored. The same steps are then repeated by subdomain for each variable. Omni-directional variograms for AUFA are shown in Figure 11-12. Vertical variograms for each subdomain are plotted in Figure 11-13 and are grouped by domain. Due to the high variability of some of the inferred nuggets within the parenting domain, it was decided to use the parent domain values as boundaries to the inferred ranges on the directional variograms when calculating directional variograms by subdomain. Nugget effects estimated from global models were retained and capped at a maximum value of 0.35 based on historical behavior observed in previous CC&V models.
| 11-32 | ![]() |
| SSR Mining Inc. | Cripple Creek and Victor Mine S-K 1300 Technical Report Summary | November 10, 2025 SLR Project No.: 123.020622.00001 |
Figure 11-12: Vertical and Omni-Directional Domain Variograms for AUFA

Figure 11-12: Gold Variograms Domain 1.0 Vertical Variogram OmniDirectional Variogram Y 1.00 0.80 0.60 0.40 0.20 0.00 Lag Distance (ft) 0 100 200 300 Nugget from vertical 0.22 Nugget from omni 0.2 Domain 2.0 Y 1.00 0.80 0.60 0.40 0.20 0.00 Lag Distance (ft) 0 100 200 300 Nugget from vertical 0.2 Nugget from omni 0.18 Domain 3.0 Y 1.00 0.80 0.60 0.40 0.20 0.00 Lag Distance (ft) 0 100 200 300 Nugget from vertical 0.1 Nugget from omni 0.22 Domain 4.0 Y 1.00 0.80 0.60 0.40 0.20 0.00 Lag Distance (ft) 0 100 200 300 Nugget from vertical 0.1 Nugget from omni 0.16 Domain 5.0 Y 1.00 0.80 0.60 0.40 0.20 0.00 Lag Distance (ft) 0 100 200 300 Nugget from vertical 0.12 Nugget from omni 0.23 Domain 6.0 Y 1.00 0.80 0.60 0.40 0.20 0.00 Lag Distance (ft) 0 100 200 300 Nugget from vertical 0.14 Nugget from omni 0.28 Domain 7.0 Y 1.00 0.80 0.60 0.40 0.20 0.00 Lag Distance (ft) 0 100 200 300 Nugget from vertical 0.14 Nugget from omni 0.18 Domain 8.0 Y 1.00 0.80 0.60 0.40 0.20 0.00 Lag Distance (ft) 0 100 200 300 Nugget from vertical 0.1 Nugget from omni 0.21 Domain 9.0 Y 1.00 0.80 0.60 0.40 0.20 0.00 Lag Distance (ft) 0 100 200 300 Nugget from vertical 0.1 Nugget from omni 0.14 Domain 10.0 Y 1.00 0.80 0.60 0.40 0.20 0.00 Lag Distance (ft) 0 100 200 300 Nugget from vertical 0.16 Nugget from omni 0.13 Domain 11.0 Y 1.00 0.80 0.60 0.40 0.20 0.00 Lag Distance (ft) 0 100 200 300 Nugget from vertical 0.18 Nugget from omni 0.16 Domain 12.0 Y 1.00 0.80 0.60 0.40 0.20 0.00 Lag Distance (ft) 0 100 200 300 Nugget from vertical 0.15 Nugget from omni 0.27 Domain 13.0 Y 1.00 0.80 0.60 0.40 0.20 0.00 Lag Distance (ft) 0 100 200 300 Nugget from vertical 0.12 Nugget from omni 0.2 Domain 14.0 Y 1.00 0.80 0.60 0.40 0.20 0.00 Lag Distance (ft) 0 100 200 300 Nugget from vertical 0.1 Nugget from omni 0.25 Domain 15.0 Y 1.00 0.80 0.60 0.40 0.20 0.00 Lag Distance (ft) 0 100 200 300 Nugget from vertical 0.15 Nugget from omni 0.32 Domain 16.0 Y 1.00 0.80 0.60 0.40 0.20 0.00 Lag Distance (ft) 0 100 200 300 Nugget from vertical 0.1 Nugget from omni 0.1 Domain 17.0 Y 1.00 0.80 0.60 0.40 0.20 0.00 Lag Distance (ft) 0 100 200 300 Nugget from vertical 0.15 Nugget from omni 0.1 Domain 18.0 Y 1.00 0.80 0.60 0.40 0.20 0.00 Lag Distance (ft) 0 100 200 300 Nugget from vertical 0.11 Nugget from omni 0.1 Domain 19.0 Y 1.00 0.80 0.60 0.40 0.20 0.00 Lag Distance (ft) 0 100 200 300 Nugget from vertical 0.18 Nugget from omni 0.38 Domain 20.0 Y 1.00 0.80 0.60 0.40 0.20 0.00 Lag Distance (ft) 0 100 200 300 Nugget from vertical 0.2 Nugget from omni 0.34 Domain 21.0 Y 1.00 0.80 0.60 0.40 0.20 0.00 Lag Distance (ft) 0 100 200 300 Nugget from vertical 0.12 Nugget from omni 0.21 Domain 22.0 Y 1.00 0.80 0.60 0.40 0.20 0.00 Lag Distance (ft) 0 100 200 300 Nugget from vertical 0.2 Nugget from omni 0.1 Domain 23.0 Y 1.00 0.80 0.60 0.40 0.20 0.00 Lag Distance (ft) 0 100 200 300 Nugget from vertical 0.32 Nugget from omni 0.13 Source: SSR 2025
Source: SSR 2025
| 11-33 | ![]() |
| SSR Mining Inc. | Cripple Creek and Victor Mine S-K 1300 Technical Report Summary | November 10, 2025 SLR Project No.: 123.020622.00001 |
Figure 11-13: Vertical Variograms plot by Sub-domain for AUFA (grouped by domain for ease of viewing.

Figure 11-13: Domain 1 Y 1.00 0.80 0.60 0.40 0.20 0.00 Lag Distance (ft) 0 100 200 300 400 500 Nugget: 0.1 Nugget: 0.1 CrippleCreekBreccia Background Domain 2 Y 1.00 0.80 0.60 0.40 0.20 0.00 Lag Distance (ft) 0 200 400 600 800 1,000 1,200 Nugget: 0.13 Nugget: 0.113 Nugget: 0.1 Nugget: 0.212 PrecambrianMetaseds CrippleCreekBreccia Background LateStageBreccia Domain 3 Y 1.00 0.80 0.60 0.40 0.20 0.00 Lag Distance (ft) 0 100 200 300 400 Nugget: 0.1 Nugget: 0.328 Nugget: 0.207 Background CrippleCreekBreccia PhonoliteMtxBreccia Domain 4 Y 1.00 0.80 0.60 0.40 0.20 0.00 Lag Distance (ft) 0 25 50 75 100 125 Nugget: 0.1 Nugget: 0.1 Nugget: 0.129 CrippleCreekBreccia PhonoliteMtxBreccia Background Domain 5 Y 1.00 0.80 0.60 0.40 0.20 0.00 Lag Distance (ft) 0 100 200 300 Nugget: 0.1 Nugget: 0.1 CrippleCreekBreccia Background Domain 6 Y 1.00 0.80 0.60 0.40 0.20 0.00 Lag Distance (ft) 0 25 50 75 100 125 150 Nugget: 0.121 Nugget: 0.319 Nugget: 0.316 CrippleCreekBreccia PrecambrianMetaseds Background Domain 7 Y 1.00 0.80 0.60 0.40 0.20 0.00 Lag Distance (ft) 0 500 1,000 1,500 Nugget: 0.181 Background Domain 8 Y 1.00 0.80 0.60 0.40 0.20 0.00 Lag Distance (ft) 0 100 200 300 Nugget: 0.121 Nugget: 0.117 CrippleCreekBreccia Background Domain 9 Y 1.00 0.80 0.60 0.40 0.20 0.00 Lag Distance (ft) 0 100 200 300 400 Nugget: 0.347 Nugget: 0.12 Nugget: 0.26 CrippleCreekBreccia Background PrecambrianMetaseds Domain 10 Y 1.00 0.80 0.60 0.40 0.20 0.00 Lag Distance (ft) 0 100 200 300 400 Nugget: 0.186 Nugget: 0.216 Nugget: 0.193 PorphyriticPhonolite Background CrippleCreekBreccia Domain 11 Y 1.00 0.80 0.60 0.40 0.20 0.00 Lag Distance (ft) 0 50 100 150 200 250 Nugget: 0.1 Nugget: 0.245 Nugget: 0.126 Background PrecambrianIntrusive PrecambrianMetaseds Domain 12 Y 1.00 0.80 0.60 0.40 0.20 0.00 Lag Distance (ft) 0 50 100 150 200 250 300 Nugget: 0.386 Nugget: 0.136 Nugget: 0.349 PorphyriticPhonolite CrippleCreekBreccia Background Domain 13 Y 1.00 0.80 0.60 0.40 0.20 0.00 Lag Distance (ft) 0 100 200 300 400 Nugget: 0.373 Nugget: 0.136 Nugget: 0.1 PorphyriticPhonolite Background CrippleCreekBreccia Domain 14 Y 1.00 0.80 0.60 0.40 0.20 0.00 Lag Distance (ft) 0 100 200 300 400 Nugget: 0.239 Nugget: 0.187 Nugget: 0.351 PorphyriticPhonolite CrippleCreekBreccia Background Domain 15 Y 1.00 0.80 0.60 0.40 0.20 0.00 Lag Distance (ft) 0 200 400 600 800 Nugget: 0.105 Nugget: 0.225 Nugget: 0.173 CrippleCreekBreccia PorphyriticPhonolite Background Domain 16 Y 1.00 0.80 0.60 0.40 0.20 0.00 Lag Distance (ft) 0 100 200 300 400 500 Nugget: 0.15 Nugget: 0.125 Nugget: 0.397 PrecambrianIntrusive Background CrippleCreekBreccia Domain 17 Y 1.00 0.80 0.60 0.40 0.20 0.00 Lag Distance (ft) 0 100 200 300 400 500 Nugget: 0.104 Nugget: 0.282 CrippleCreekBreccia Background Domain 18 Y 1.00 0.80 0.60 0.40 0.20 0.00 Lag Distance (ft) 0 50 100 150 200 250 Nugget 0.1 Nugget: 0.4 Nugget: 0.263 Nugget: 0.165 CrippleCreekBreccia Background PorphyriticPhonolite Syenite Domain 19 Y 1.00 0.80 0.60 0.40 0.20 0.00 Lag Distance (ft) 0 20 40 60 80 100 Nugget: 0.372 Nugget: 0.4 Nugget: 0.39 CrippleCreekBreccia Background LampMtxBreccia Domain 20 Y 1.00 0.80 0.60 0.40 0.20 0.00 Lag Distance (ft) 0 50 100 150 200 250 Nugget: 0.1 Nugget: 0.393 CrippleCreekBreccia Background Domain 21 Y 1.00 0.80 0.60 0.40 0.20 0.00 Lag Distance (ft) 0 50 100 150 200 250 Nugget: 0.4 Nugget: 0.179 Nugget: 0.242 CrippleCreekBreccia Background CrippleCreekBrecciaSedBeds Domain 22 Y 1.00 0.80 0.60 0.40 0.20 0.00 Lag Distance (ft) 0 100 200 300 400 Nugget: 0.171 Nugget: 0.124 Nugget: 0.224 PorphyriticPhonolite Background CrippleCreekBreccia Domain 23 Y 1.00 0.80 0.60 0.40 0.20 0.00 Lag Distance (ft) 0 100 200 300 Nugget: 0.135 Background Source: SSR 2025
Source: SSR 2025
| 11.5.1.3 | Global Neutral Model and Variogram Volumes |
Directions of continuity on variograms were inferred from variogram volumes calculated from a “neutral” kriged model. The neutral kriged model was an ordinary kriged estimated map built with an increased range of correlation and a high nugget effect (between 0.1 to 0.4). The neutral model was built to provide more points for the calculation of directional variograms that are heavily influenced by hard data and respect directions of continuity.
| 11-34 | ![]() |
| SSR Mining Inc. | Cripple Creek and Victor Mine S-K 1300 Technical Report Summary | November 10, 2025 SLR Project No.: 123.020622.00001 |
| 11.5.1.4 | Variogram Volumes by Domain and Sub-domain |
After the global neutral model was calculated, it was used to find the directions of continuity by domain and subdomain and calculate variogram volumes
| 11.5.1.5 | Fit Directions |
Based on the calculated variogram volumes, directions for major, semi-major, and minor directions were selected by domain and subdomain.
| 11.5.1.6 | Directional Variograms by Domain and Sub-Domain |
The subdomain directions were used to estimate variograms for each variable by subdomain.
This tiered modeling approach revealed strong geological control on mineralization, particularly in the horizontal plane, with shorter vertical continuity reflecting stratiform and structural constraints. Variogram models for non-vein domains typically showed moderate to high nugget effects, indicative of short-range variability and sampling error, with structured ranges generally between 150 ft and 400 ft in the major directions and shorter vertical ranges. The anisotropy of the models aligned with interpreted geological orientations, with down-dip and strike directions reflecting depositional and structural controls.
| 11.5.2 | Vein Variography |
Variograms were completed in the same workflow as the non-vein estimate but utilized vein clusters rather than subdomains for detailed variography work. To address data sparsity in some vein solids, cluster analysis was applied to identify groups of vein domains with similar structural orientations, mineralization styles, and grade characteristics. This facilitated the grouping of statistically comparable veins into four clusters that could share variogram models.
Variograms for vein domains were often highly anisotropic, with the major range typically aligned along the plunge of the veins and significantly shorter ranges across strike and dip. The nugget effect was generally high due to the thin, high-grade nature of the veins and sampling support limitations. Because of the narrowness and clustering of composited data, directional experimental variograms were generated, and model ranges were constrained based on geological observations and structural interpretations. In several cases, reliable variogram structures were not achievable due to limited sample density and continuity, especially in lower-confidence vein domains. For these, estimation used locally informed search ellipsoids aligned with geologic orientation rather than structured variograms.
Variogram ranges were relatively short, reflecting the limited extent of data within each vein domain and the rapid grade variability across the vein boundaries. Given the narrow footprint and high-grade nature of these domains, the variograms were tightly constrained and only informed by composites within the vein solids to avoid grade smearing into adjacent low-grade host rock.
| 11.6 | Bulk Density |
Bulk density values were assigned to each block based on a combination of lithologic unit and oxidation state, with inputs derived from an extensive site-specific database and historical measurements. The density model supports tonnage calculation and metallurgical domain definition.
Density data sources include:
| 11-35 | ![]() |
| SSR Mining Inc. | Cripple Creek and Victor Mine S-K 1300 Technical Report Summary | November 10, 2025 SLR Project No.: 123.020622.00001 |
| · | Archimedes-based core measurements conducted since 2016 using industry-standard protocols. |
| · | Historical datasets predating 2016 from legacy operator campaigns. |
| · | Ongoing bench-scale material testing and field validation. |
A total of over 6,000 site-specific density determinations were used to generate lithology-oxidation matrices, with representative average values assigned to each combination. These assignments were reviewed by domain, spatial location, and data support. Where direct density data was not available, values were extrapolated from analogous units or neighboring domains (Table 11-9). Density values were stored in the block model as the variable “ROCKDENS.”
Oxidation state was modeled separately and classified into oxide, transitional, and sulfide categories. Each oxidation class was associated with a density modifier to reflect porosity and mineralogical changes due to weathering or oxidation.
Example density assignments:
| · | Phonolite (Oxide): 2.40 g/cm³ |
| · | Phonolite (Sulfide): 2.65 g/cm³ |
| · | Cripple Creek Breccia (Oxide): 2.30 g/cm³ |
| · | Cripple Creek Breccia (Sulfide): 2.55 g/cm³ |
| · | Dikes (All stages): 2.65 g/cm³ (constant due to minimal variation observed) |
In void-modeled areas or regions with historical underground mining, block tonnage was adjusted using volumetric void models to avoid overstatement of material. For surface stockpiles, empirical bulk density values were used based on reconciled production and volumetric survey data.
All density values were validated against reconciled production data and known bulk volumes to ensure accuracy.
| 11-36 | ![]() |
| SSR Mining Inc. | Cripple Creek and Victor Mine S-K 1300 Technical Report Summary | November 10, 2025 SLR Project No.: 123.020622.00001 |
Table 11-9: Tonnage Factor by Rock Type
| Lithology | 2016 | 2021-2024 | AVG | MF_0 | MF_.5 | MF_1 | MF_MEAN | % Samples | |||||||
| Density (g/cc) | TF (cf/t) | # Samples | Density (g/cc) | TF (cf/t) | # Samples | TF (cf/t) | # Samples | TF Equation | Oxide | Trans | Sulfide | Avg | |||
| Breccia | 2.32 | 13.79 | 279 | 2.45 | 13.11 | 3,050 | 13.16 | 3,329 | TF = -1.73868 * (MF + 14.161) | 14.16 | 13.29 | 12.42 | 0.60 | 13.11 | 39 |
| CC Volcaniclastics | 2.49 | 12.90 | 103 | 12.90 | 103 | TF = -1.54057 * (MF + 13.7481) | 13.75 | 12.98 | 12.21 | 0.55 | 12.90 | 1 | |||
| Phonobreccia | 2.38 | 13.44 | 91 | 2.43 | 13.24 | 1,365 | 13.25 | 1,456 | TF = -1.886847 * (MF + 14.1477) | 14.15 | 13.21 | 12.28 | 0.46 | 13.28 | 17 |
| Phonolite | 2.44 | 13.11 | 116 | 13.11 | 116 | NA | 1 | ||||||||
| APH Phonolite | 2.42 | 13.25 | 358 | 13.25 | 358 | TF = -1.51202 *(MF + 14.1091) | 14.11 | 13.35 | 12.60 | 0.56 | 13.26 | 4 | |||
| Porph Phonolite | 2.43 | 13.20 | 1,001 | 13.20 | 1,001 | TF = -1.75909 *(MF + 14.1097) | 14.11 | 13.23 | 12.35 | 0.50 | 13.23 | 12 | |||
| Mafic Phonolite | 2.53 | 12.69 | 482 | 12.69 | 482 | TF = -0.553524 * (MF + 13.023) | 13.02 | 12.75 | 12.47 | 0.59 | 12.69 | 6 | |||
| Syenite | 2.67 | 11.98 | 421 | 11.98 | 421 | NA | 5 | ||||||||
| Precambrian | 2.47 | 12.97 | 187 | 2.48 | 12.94 | 342 | 12.95 | 529 | TF = -2.07181 * (MF + 13.8827) | 13.88 | 12.85 | 11.81 | 0.45 | 12.95 | 6 |
| Pc Schist | 2.36 | 13.53 | 34 | 2.64 | 12.17 | 210 | 12.36 | 244 | TF = -1.47937 * (MF + 13.0488) | 13.05 | 12.31 | 11.57 | 0.60 | 12.16 | 3 |
| Hydrobreccia | 2.54 | 12.59 | 10 | 2.44 | 13.21 | 369 | 13.19 | 379 | TF = -2.32913 * (MF + 14.0753) | 14.08 | 12.91 | 11.74 | 0.34 | 13.28 | 4 |
| Lamprophyre | 2.60 | 12.30 | 6 | 2.63 | 12.24 | 78 | 12.24 | 84 | NA | 1 | |||||
| Volcanic Clay | 2.16 | 14.78 | 41 | 14.78 | 41 | NA | 0 | ||||||||
| Precambrian Clay | NA | 0 | |||||||||||||
| Veins | 2.59 | 12.41 | 19 | 12.41 | 19 | NA | 0 | ||||||||
| All | 13.42 | 766 | 13.02 | 7,798 | 13.06 | 8,562 | 13.81 | 12.99 | 12.16 | 12.99 | 99 | ||||
| 11-37 | ![]() |
| SSR Mining Inc. | Cripple Creek and Victor Mine S-K 1300 Technical Report Summary | November 10, 2025 SLR Project No.: 123.020622.00001 |
| 11.7 | Block Model |
The CC&V 2024 resource model utilizes a regularized three-dimensional block model constructed in Vulcan software to support the estimation of gold and associated geochemical variables within both vein and non-vein lithologic and structural domains. The model integrates validated drilling, geology, and assay data, supported by a detailed structural framework and estimation domains defined through geological interpretation and statistical analysis.
The 2024 resource model uses blocks with a height of 35-ft, which account for variations in mining bench height and operational zones. The block size reflects the selective mining unit (SMU) dimensions used for operational planning.
Table 11-10 lists the basic block model parameters for the resource block model, which uses a block dimension of 50 ft x 50 ft x 35 ft (Easting, Northing, Elevation, respectively), with its southwest origin set at 30,000 East, 47,000 North, and 7,485 ft elevation in mine coordinates. This model extends over 484 blocks in the east direction, 460 blocks in the north direction, and 95 blocks vertically. The model is rotated 0° from true north, maintaining Cartesian alignment for ease of integration with mine operations. The model extents encompass the full lateral and vertical range of mineralization, extending sufficiently beyond the interpreted limits of mineralization to allow for complete interpolation of grades and classification.
Table 11-10: 35-Foot Block Model Definition Setup
| Description | Easting (X) (ft) |
North (Y) (ft) |
Elevation (Z) (FASL) |
| Block Model Origin (lower left corner) | 30,000 | 47,000 | 7485 |
| Block Dimension (ft) | 50 | 50 | 35 |
| Number of Blocks | 484 | 460 | 95 |
| Rotation | 0 | 0 | 0 |
| 11.8 | Search Strategy and Grade Interpolation Parameters |
| 11.8.1 | Modeling Software |
The 2024 Mineral Resource Estimate (MRE) for CC&V was prepared using a suite of industry-standard geological modeling and estimation tools (Table 11-11) that collectively support transparency, technical rigor, and reproducibility. The primary software platforms employed in the modeling workflow included Resource Modeling Solutions Platform (RMSP) v1.14.0, Maptek Vulcan 2024.2, Leapfrog Geo 2022.1, and MineSight 3D v16.1.1.
| · | Leapfrog Geo 2022.1 (Aranz Geo Limited) was used for the generation of three-dimensional geologic solids, including lithologic, structural, and oxidation boundaries. The software’s implicit modeling engine was instrumental in capturing the geometry of complex vein and breccia systems. Solids and surfaces created in Leapfrog were exported as triangulated meshes and incorporated into Vulcan and RMSP workflows. |
| · | The Resource Modeling Solutions Platform (RMSP) served as the primary modeling engine for compositing, declustering, variography, kriging interpolation, and resource classification. RMSP operates within Python using Jupyter Notebooks, enabling fully transparent scripting, version control, and auditability. Numerous open-source Python packages were utilized to support statistical and geostatistical operations. |
| 11-38 | ![]() |
| SSR Mining Inc. | Cripple Creek and Victor Mine S-K 1300 Technical Report Summary | November 10, 2025 SLR Project No.: 123.020622.00001 |
| · | Maptek Vulcan 2024.2 was used to generate composite intervals from the validated drill hole database and to assign geologic, lithologic, and estimation domain flags. These coded composites were subsequently exported to RMSP for estimation. Vulcan was also used to validate RMSP declustering routines through spot-checks against Vulcan’s cell-based declustering algorithm and provided additional visualization and model interrogation support during estimation review. |
| · | MineSight 3D v16.1.1 was used for manipulating solids and surfaces, performing model calculations, and preparing planning-related model inputs. MineSight serves as the primary engineering and mine planning software at CC&V and remains central to integrating resource model outputs with ongoing mine design and production planning. |
Table 11-11: Modelling Software
| Software Platform | Version | Primary Use |
| Leapfrog Geo | 2022.1 | Implicit geologic modeling (lithology, oxidation, structure), 3D solids generation |
| RMSP (Resource Modeling Solutions Platform) with Python Add-on Packages | 1.14.0 | Primary estimation platform (compositing, kriging, declustering, classification); Python-based scripting (Geostatistical functions, numerical libraries, visualization tools) in Jupyter Notebooks |
| Maptek Vulcan | 2024.2 | Drill hole compositing, domain coding, visual checks, cell declustering validation |
| MineSight 3D | 16.1.1 | Surface/solid manipulation, model calculations, engineering integration |
All modeling workflows were version-controlled, and the use of multiple platforms ensured cross-verification and technical defensibility.
| 11.8.2 | Grade Estimation |
The core estimation technique applied was multi-pass ordinary kriging (OK), implemented independently within non-vein and vein domains. The estimation process was carried out in RMSP. RMSP provided full control over data workflows, domain logic, and geostatistical configuration within a version-controlled, auditable framework. This estimation platform enabled the seamless integration of geological interpretations, variographic analysis, estimation rules, and post-processing routines.
In non-vein domains, kriging was carried out using a structured three-pass approach, with each pass characterized by increasing search distances: 75 ft in the first pass, 200 ft in the second, and 1,000 ft in the third. Each pass was configured with a minimum of 4 to 6 composites and maximum of 6 to 8 composites thresholds, customized by domain with a maximum of two composites per drill, and block discretization at 3x3x1 ensured internal block variability was adequately captured.
Vein domain estimation followed the same multi-pass OK methodology but incorporated locally varying anisotropy to preserve the geometry of narrow, steeply dipping vein structures. Anisotropy orientations were derived directly from modeled vein surfaces and applied dynamically at the block level using functionality embedded within RMSP. Blocks located within 15 ft of vein centerlines were flagged and included in the vein estimation process. To prevent overestimation from isolated high-grade intercepts, a high-yield restriction was applied, and the minor axis search distance was constrained to 22.5 ft to reflect the narrowness of the vein envelopes. All other estimation parameters including composite
| 11-39 | ![]() |
| SSR Mining Inc. | Cripple Creek and Victor Mine S-K 1300 Technical Report Summary | November 10, 2025 SLR Project No.: 123.020622.00001 |
thresholds and capping protocols were consistent with the non-vein workflow to maintain methodological integrity across the deposit.
The model is attributed with a comprehensive set of 197 variables estimated, calculated or assigned to support resource estimation, classification, and subsequent mine planning. These include:
| · | Domain codes for estimation, lithology, oxidation, and structural domains |
| · | Estimation flags: including number of samples, number of informing composites, and kriging pass |
| · | Search ellipse identifiers for tracking estimation anisotropy and continuity direction |
| · | Resource classification: Measured, Indicated and Inferred categories assigned in accordance with S-K 1300 criteria |
| · | Density assignment: based on lithologic unit averages or regression-based transforms from total sulfur and oxidation |
| · | Rock codes and lithologic identifiers for geotechnical and geometallurgical modeling |
| · | Flags for mined material and surface proximity, including topographic clipping, pit shells, and depletion masks |
Six primary variables were estimated within both non-vein and vein domain types:
| · | AUFA (Gold, Fire Assay): Primary gold assay method used for higher-grade samples and QA/QC validation. |
| · | AUSL (Gold, Shake Leach): Gold value derived from cyanide-soluble leaching; useful for recovery projection. |
| · | CTOT (Total Carbon): Supports metallurgical modeling and oxidation classification. |
| · | STOT (Total Sulfur): Used to assess refractory character and sulfide associations. |
| · | FE (Iron from visual log): A geometallurgical proxy variable logged in the field. |
| · | OX (Oxidation from visual log): Categorical variable converted to numerical class codes to support kriging. |
These variables were modeled under a unified estimation framework to maintain inter-variable consistency, particularly between AUFA and AUSL, which form the basis for calculating shake leach extractable gold (SLEXT) and ROM shake leach extractable grade (RSLX1):
| · | SLEXT – shake leach extractable grade. Calculated recoverable grade on the Valley Leach Fields 1 and 2 (VLF 1 and VLF 2) after crushing, calculated as follows: |
SLEXT= MET1+(MET2*AUSL) + (AUFA*MET3)
| · | RSLX1 – ROM shake leach extractable grade. Calculated recoverable grade on VLF with no crushing. The default is 95% SLEXT grade unless further test work has been completed. |
SLEXT was not directly estimated but calculated post-interpolation using regression-based formulas derived from metallurgical test work.
| 11-40 | ![]() |
| SSR Mining Inc. | Cripple Creek and Victor Mine S-K 1300 Technical Report Summary | November 10, 2025 SLR Project No.: 123.020622.00001 |
In addition to primary gold variables, a modeled ratio of AUFA:AUSL was introduced in select domains where significant divergence was observed between fire assay and cyanide leach values. This ratio helps characterize metallurgical behavior and potential recovery. Kriging of the ratio was performed separately using the same search parameters and anisotropy as the gold variables within those domains.
A nearest-neighbor (NN) model was also generated using the same domain and subdomain structure for validation purposes. Although NN estimates were not used for reporting, they were employed to assess global bias, verify grade distribution trends, and support swath plot validation. The kriged vein and non-vein models were ultimately combined using a weighted average based on the proportion of each block’s density weighted volume falling within the vein envelope. This approach ensured that overlapping areas were handled consistently and avoided double-counting of mineralization.
| 11.9 | Cut-off Grade and Whittle Parameters |
Metal prices used for Mineral Reserves are based on consensus, long term forecasts from banks, financial institutions, and other sources. For Mineral Resources, metal prices used are slightly higher than those for Mineral Reserves. The incremental cut-off grade calculation is shown below:
[Total Process + G&A Cost] / [Oxide Recovery % x (Gold Price – (Total Downstream Costs + Refining and Treatment Cost))]
| 11.10 | Classification |
Definitions for resource categories used in this TRS are those defined by SEC in S-K 1300. Mineral Resources are classified into Measured, Indicated, and Inferred categories.
Measured Mineral Resource is that part of a mineral resource for which quantity and grade or quality are estimated on the basis of conclusive geological evidence and sampling. The level of geological certainty associated with a measured mineral resource is sufficient to allow a qualified person to apply modifying factors, as defined in this section, in sufficient detail to support detailed mine planning and final evaluation of the economic viability of the deposit. Because a measured mineral resource has a higher level of confidence than the level of confidence of either an indicated mineral resource or an inferred mineral resource, a measured mineral resource may be converted to a proven mineral reserve or to a probable mineral reserve.
Indicated Mineral Resource is that part of a mineral resource for which quantity and grade or quality are estimated on the basis of adequate geological evidence and sampling. The level of geological certainty associated with an indicated mineral resource is sufficient to allow a qualified person to apply modifying factors in sufficient detail to support mine planning and evaluation of the economic viability of the deposit. Because an indicated mineral resource has a lower level of confidence than the level of confidence of a measured mineral resource, an indicated mineral resource may only be converted to a probable mineral reserve.
Inferred Mineral Resource is that part of a mineral resource for which quantity and grade or quality are estimated on the basis of limited geological evidence and sampling. The level of geological uncertainty associated with an inferred mineral resource is too high to apply relevant technical and economic factors likely to influence the prospects of economic extraction in a manner useful for evaluation of economic viability. Because an inferred mineral resource has the lowest level of geological confidence of all mineral resources, which prevents the application of the modifying factors in a manner
| 11-41 | ![]() |
| SSR Mining Inc. | Cripple Creek and Victor Mine S-K 1300 Technical Report Summary | November 10, 2025 SLR Project No.: 123.020622.00001 |
useful for evaluation of economic viability, an inferred mineral resource may not be considered when assessing the economic viability of a mining project and may not be converted to a mineral reserve.
For the 2024 CC&V MRE, classification was based on a data-driven methodology implemented within the RMSP software. The classification process utilized a distance-based approach that evaluates each estimated block’s proximity to reliable data. Specifically, the model applied a modified three-hole rule, which assesses whether a block is informed by at least three separate drill holes containing fire assay (AUFA) composites within a maximum search radius of 500 ft. The average distance to the nearest three composites from distinct drill holes was calculated for each block, and these distances were used to determine the appropriate classification category. This method is consistent with industry practice and provides a reproducible, objective metric for assessing local confidence in estimation.
The classification was performed on a block-by-block basis and recorded as a discrete attribute in the block model. Blocks classified as Measured were generally those with minimal distance to data, high drill density, strong geologic control, and estimation from the first kriging pass. Indicated blocks were assigned where moderate spacing and confidence were present, while Inferred blocks were restricted to areas with sparse drilling, higher geological uncertainty, or limited continuity.
The resulting average distance metric was used to assign classification into Measured, Indicated, or Inferred categories. Table 11-12 summarizes the average distance cutoffs that guided the classification logic based on drill spacing study completed by WHC Consulting in 2015. Only leach-related classifications were applied in this model, consistent with prior reporting standards used for VLF operations at CC&V. No classifications from previous models were applied in the 2024 MRE; all blocks were re-evaluated and reclassified based on the updated drill hole database, estimation parameters, and geological interpretations.
Table 11-12: Drill Spacing and Average Spacing Used for Resource Classification
| Classification | Spacing (ft) | Avg. Distance 3-Holes (ft) |
| Measured | 100 | 70 |
| Indicated | 140 | 99 |
| Inferred | 250 | 175 |
Figure 11-14 presents a plan view of the classification result at the 9,865 FASL elevation, which illustrates how the spatial distribution of drill data influences confidence categories across the deposit. The resulting classification geometry aligns with known drilling patterns and reconciles with the geological framework and historical production behavior.
This classification methodology satisfies the technical disclosure requirements of S-K 1300 by ensuring that Measured and Indicated Resources are supported by adequate data quality, drilling density, and geologic confidence to justify their use in mine planning and economic evaluations, while Inferred Resources remain restricted to areas of lower confidence with no assumptions of economic viability.
The classification scheme was reviewed and validated by the SLR QP, who confirmed that the categorization accurately reflects the confidence level inherent in the supporting data and estimation methodology. It is the SLR QP’s opinion that the classification results are considered robust, defendable, and appropriate for use in public reporting and forward-looking mine design
| 11-42 | ![]() |
| SSR Mining Inc. | Cripple Creek and Victor Mine S-K 1300 Technical Report Summary | November 10, 2025 SLR Project No.: 123.020622.00001 |
Figure 11-14: Plan View of Classification across CC&V at the 9,865 FASL Elevation

Figure 11-14: Legend: Measured Indicated Inferred SSR Mining Inc. Cripple Creek and Victor Mine Teller County, Colorado, USA Plan View of Classification across CCV at the 9865 Elevation Source: SSR 2025.
| 11-43 | ![]() |
| SSR Mining Inc. | Cripple Creek and Victor Mine S-K 1300 Technical Report Summary | November 10, 2025 SLR Project No.: 123.020622.00001 |
| 11.11 | Block Model Validation |
Model validation was performed through a combination of statistical, spatial, and visual methods, consistent with S-K 1300 guidance. Validation ensured that the estimated block grades reasonably reflect the underlying drill hole data, preserve global and local grade trends, and respect geologic controls defined by domain boundaries.
The process included:
| · | Swath plots to assess grade trends along principal directions and confirm the model reflects spatial patterns in the data. |
| · | Global Statistical comparison of block grades against composite grades to evaluate estimation bias and smoothing. |
| · | Visual inspection of grade distribution, domain boundaries, and composite alignment using cross-sections and 3D views. |
Collectively, the swath plots, global bias checks, and visual reviews demonstrate that the 2024 CC&V block model is technically sound, geologically consistent, and free from global bias. The SLR QP concludes that the model supports the reasonable prospects for economic extraction and meets the requirements for disclosure and classification under S-K 1300.
| 11.11.1 | Swath Plots |
Swath plots were prepared for each of the principal mineralized zones to evaluate the spatial performance of the block model estimates. These plots compare the estimated block model grades against both composited assay values and nearest-neighbor (NN) estimates along regular intervals in the X, Y, and Z directions. The NN estimates provide a locally unbiased reference, effectively representing the declustered input data, and serve as a benchmark for identifying potential smoothing or conditional bias resulting from the kriging estimation process. Swath plots were reviewed both globally and by individual pit shell or geologic domain to assess the consistency of grade estimation across varying lithologic and structural settings. Overall, the estimated block model grades track closely with the NN estimates, with only a slight positive bias observed in most areas. This suggests that the interpolation method maintains the local grade distribution and spatial continuity of mineralization, without introducing material smoothing or distortion. Figure 11-15 presents a representative swath plot for gold (AUFA), demonstrating these relationships.
| 11-44 | ![]() |
| SSR Mining Inc. | Cripple Creek and Victor Mine S-K 1300 Technical Report Summary | November 10, 2025 SLR Project No.: 123.020622.00001 |
Figure 11-15: Global Swath Plot for AUFA

Figure 11-15: AUFAPREF_CCV_impute_merged Average 0.080 0.050 0.030 0.020 0.010 0.008 Easting (ft) 35000 40000 45000 Fraction of Max Count (Bars) 1.00 0.80 0.60 0.40 0.20 0.00 OK Estimate NN Estimate Composites Average 0.0500 0.0300 0.0200 0.0100 0.0050 0.0030 0.0020 Northing (ft) 50000 55000 60000 65000 Fraction of Max Count (Bars) 1.00 0.80 0.60 0.40 0.20 0.00 Average 0.0300 0.0200 0.0100 0.0080 0.0050 0.0030 Elevation (ft) 8000 9000 10000 Fraction of Max Count (Bars) 1.00 0.80 0.60 0.40 0.20 0.00
| 11.11.2 | Global Bias |
Global bias analysis was conducted by SSR comparing the mean grade of the estimated blocks against the mean grade of the NN model and the input composite data for each estimation domain (Table 11-13). These comparisons were performed both globally and by domain or pit area to identify potential sources of bias that could affect tonnage-grade estimates. The relative mean difference between the kriged model and the NN reference model was generally low and within acceptable limits (±5 to ±10%) across all domains, with higher variability observed only in isolated edge zones where data scarcity and extreme grades can affect estimation. Investigations into these localized discrepancies confirmed that they were limited to areas of low data density or influenced by isolated high-grade pierce points, and did not affect the overall balance of the model.
These findings support the conclusion that the model is globally unbiased and reflects an appropriate representation of the composite data distribution and that the estimation methodology appropriately controls for grade distribution and clustering effects.
| 11-45 | ![]() |
| SSR Mining Inc. | Cripple Creek and Victor Mine S-K 1300 Technical Report Summary | November 10, 2025 SLR Project No.: 123.020622.00001 |
Table 11-13: Relative Mean Difference (%) between Variable Estimate and NN Estimate
| DOMAIN | AUFA | AUSL | CTOT | STOT | OX | FE (Pyrite) |
| 2024 Model (%) | 2024 Model (%) | 2024 Model (%) | 2024 Model (%) | 2024 Model (%) | 2024 Model (%) | |
| 1 | 1.408 | 4.026 | -4.270 | -1.224 | 1.268 | -3.713 |
| 2 | 3.621 | 1.551 | -6.260 | -1.210 | -1.086 | -1.367 |
| 3 | 3.097 | 0.303 | -9.621 | -4.017 | -4.082 | -1.174 |
| 4 | 2.621 | 2.959 | -0.293 | 0.080 | -0.965 | 0.389 |
| 5 | -4.854 | -1.465 | -2.066 | -1.532 | 1.091 | -1.334 |
| 6 | 1.285 | 0.017 | -2.422 | 4.079 | 6.702 | -1.278 |
| 7 | 0.028 | 3.214 | -1.430 | -3.880 | 4.811 | -3.954 |
| 8 | 1.834 | 2.094 | -3.411 | -2.308 | -2.321 | -3.535 |
| 9 | -3.272 | -2.943 | -11.457 | -1.651 | -4.533 | -2.494 |
| 10 | 3.692 | 5.264 | -10.233 | -6.800 | 4.402 | -4.745 |
| 11 | 3.776 | 4.933 | -11.190 | -6.353 | -1.504 | -3.523 |
| 12 | 13.375 | 15.425 | -4.714 | 6.616 | 6.368 | 5.930 |
| 13 | 15.014 | 15.998 | 4.826 | 2.113 | 0.569 | 1.597 |
| 14 | 4.719 | 3.392 | -3.167 | -1.364 | 5.178 | 4.113 |
| 15 | 4.789 | 2.480 | 3.385 | -1.376 | 3.676 | -2.188 |
| 16 | -53.484 | -43.978 | -9.051 | 1.785 | 4.282 | -2.283 |
| 17 | -1.224 | 1.579 | -7.300 | -2.732 | 2.024 | 1.872 |
| 18 | 3.287 | 1.811 | -1.949 | 2.434 | -2.143 | 0.391 |
| 19 | 0.874 | 3.073 | -0.063 | 1.319 | 0.896 | 1.151 |
| 20 | 3.788 | 2.154 | -15.449 | 0.558 | 10.319 | -1.966 |
| 21 | 0.208 | 1.087 | -10.900 | -1.522 | 9.328 | -2.645 |
| 22 | 3.545 | 0.788 | -4.215 | 1.711 | 5.910 | 2.972 |
| 23 | 4.670 | 2.908 | -36.265 | 1.327 | 4.531 | 0.003 |
| 11-46 | ![]() |
| SSR Mining Inc. | Cripple Creek and Victor Mine S-K 1300 Technical Report Summary | November 10, 2025 SLR Project No.: 123.020622.00001 |
| 11.11.3 | Visual Inspection |
Visual validation of the estimated block model was performed using Leapfrog software as part of the model construction and quality assurance process (Figure 11-16 and Figure 11-17). These inspections confirmed that the estimated grades are geologically reasonable, respect the geometry and continuity of the interpreted mineralized domains, and align with the trends observed in the exploration data.
Particular examination was given to complex areas, including steeply dipping zones, narrow high-grade veins, and breccia-hosted mineralization, which pose challenges for interpolation. The review verified that kriged grades transition smoothly within domain boundaries and do not extend inappropriately into barren or geologically dissimilar units. No significant grade smearing or boundary artifacts were observed across hard estimation contacts.
These qualitative validations supplement the quantitative model checks and provide additional confidence in the reliability of the grade estimation. The visual inspection process supports the conclusion that the block model is technically reasonable, consistent with the underlying data, and suitable for use in mineral resource classification in accordance with the S-K 1300 framework.
| 11-47 | ![]() |
| SSR Mining Inc. | Cripple Creek and Victor Mine S-K 1300 Technical Report Summary | November 10, 2025 SLR Project No.: 123.020622.00001 |
Figure 11-16: Cross Section 38200E (Looking East)

Figure 11-16: March 2025 Topographic Surface Dump 1 Au (g/t): 0.10 0.08 0.06 0.04 0.02 0.00 East Slice +38200.00 Plunge 00 Azimuth 090 SSR Mining Inc. Cripple Creek and Victor Mine Teller County, Colorado, USA Cross Section 38200E Source: SLR 2025.
| 11-48 | ![]() |
| SSR Mining Inc. | Cripple Creek and Victor Mine S-K 1300 Technical Report Summary | November 10, 2025 SLR Project No.: 123.020622.00001 |
Figure 11-17: Cross Section 41100E (Looking East)

Figure 11-17: March 2025 Topographic Surface Cressen Pit Au (g/t): 0.10 0.08 0.06 0.04 0.02 0.00 East Slice +41100.00 Plunge 00 Azimuth 090 SSR Mining Inc. Cripple Creek and Victor Mine Teller County, Colorado, USA Cross Section 41100E Source: SLR 2025.
| 11-49 | ![]() |
| SSR Mining Inc. | Cripple Creek and Victor Mine S-K 1300 Technical Report Summary | November 10, 2025 SLR Project No.: 123.020622.00001 |
| 11.12 | Mineral Resource Reporting |
The Mineral Resource Estimate (MRE) for the CC&V Project has been prepared and classified in accordance with the definitions and guidelines set forth under Item 1300 of Regulation S-K. Mineral Resources are reported on a Project-wide basis with an effective date of July 1, 2025, and are stated exclusive of Mineral Reserves. As required under S-K 1300, Mineral Resources that are not Mineral Reserves do not have demonstrated economic viability.
The 2025 MRE was developed using estimation parameters and methods that are consistent with current industry best practices. These include the use of validated geologic models, appropriate geostatistical techniques, and reasonable prospects for economic extraction (RPEEE), as demonstrated through the application of optimized pit shells using defined modifying factors for gold price, operating costs, metallurgical recovery, and slope constraints.
Key changes in the Mineral Resource reporting basis between the December 31, 2024, estimate and the current 2025 TRS include the following:
| · | Reduction in Cut-Off Grade: The applied gold cut-off grade in the 2025 MRE was decreased to reflect updated economic assumptions and mine planning considerations. |
| · | Change from Pit Designs to Optimized Pit Shells: The 2024 year-end estimate was constrained by specific engineered pit designs. In contrast, the 2025 estimate applies updated optimized pit shells that better align with RPEEE principles and incorporate revised modifying factors. |
| · | Removal of Leach Pad Capacity Constraint: The prior estimate was limited to material that could be accommodated within the currently permitted leach pad footprint. The 2025 MRE assumes a reasonable likelihood of future permitting and thus does not impose a leach capacity constraint, enabling inclusion of additional material with potential for future processing. |
The resulting Mineral Resources are summarized in Table 11-14 and have been reviewed and accepted by the SLR QP responsible for the preparation of this estimate.
| 11-50 | ![]() |
| SSR Mining Inc. | Cripple Creek and Victor Mine S-K 1300 Technical Report Summary | November 10, 2025 SLR Project No.: 123.020622.00001 |
Table 11-14: Summary of Mineral Resources Exclusive of Mineral Reserves – July 1, 2025
| Deposit | Measured Mineral Resources | Indicated Mineral Resources | Measured + Indicated Mineral Resources | Inferred Mineral Resources | ||||||||
| Tonnage | Grade | Contained Metal | Tonnage | Grade | Contained Metal | Tonnage | Grade | Contained Metal | Tonnage | Grade | Contained Metal | |
| (000 t) | (g/t Au) | (000 oz Au) | (000 t) | (g/t Au) | (000 oz Au) | (000 t) | (g/t Au) | (000 oz Au) | (000 t) | (g/t Au) | (000 oz Au) | |
| CC&V (OP) | 157,193 | 0.49 | 2,458 | 149,138 | 0.43 | 2,079 | 306,330 | 0.46 | 4,537 | 149,603 | 0.41 | 1,966 |
| Stockpile | 0 | 0.00 | 0 | 38,514 | 0.25 | 308 | 38,514 | 0.25 | 308 | 0 | 0.00 | 0 |
| Total | 157,193 | 0.49 | 2,458 | 187,652 | 0.40 | 2,387 | 344,844 | 0.44 | 4,845 | 149,603 | 0.41 | 1,966 |
| Notes: | ||||||||||||
| 1. The Mineral Resources estimate was prepared in accordance with S-K 1300. | ||||||||||||
| 2. The effective date of Mineral Resources is July 1, 2025. | ||||||||||||
| 3. The Mineral Resource estimate is based on a metal price assumption of $2,000/oz gold. | ||||||||||||
| 4. Gold cut-off grade for crush leach is 0.10 g/t Au extractable cyanide soluble (factored for recovery) and run of mine leach is 0.069 g/t Au extractable cyanide soluble (factored for recovery). | ||||||||||||
| 5. Metallurgical recoveries varies by lithology and oxidation state and range between 24.8% and 94.9%. | ||||||||||||
| 6. No mining dilution is applied to the grade of the Mineral Resources. | ||||||||||||
| 7. Bulk densities (in t/m3) are average densities and were assigned based on lithologies and oxidation state | ||||||||||||
| 8. The Property is 100% owned by SSR through its subsidiary CC&V. | ||||||||||||
| 9. Metals shown in this table are contained metals. | ||||||||||||
| 10. All ounces reported represent troy ounces, and g/t represents grams per metric tonne. | ||||||||||||
| 11. The point of reference for Mineral Resources is the processing facility. | ||||||||||||
| 12. Totals may vary due to rounding. | ||||||||||||
| 11-51 | ![]() |
| SSR Mining Inc. | Cripple Creek and Victor Mine S-K 1300 Technical Report Summary | November 10, 2025 SLR Project No.: 123.020622.00001 |
| 11.13 | Sources of Uncertainty Affecting the Mineral Resource |
This report is the first time SSR has issued a TRS for CC&V. Mineral Resources, which are not Mineral Reserves, do not have demonstrated economic viability. At the present time, the SLR QP is not aware of any title, taxation, socio-political, marketing, or other relevant issues that may have a material impact on the CC&V Mineral Resource estimates other than those discussed below.
Stated Mineral Resource Estimates are based on current assumptions and deposit knowledge to inform criteria to be used for resource estimate. Some of these assumptions or factors if changed could potentially affect the estimate. Factors that may affect the CC&V Mineral Resource estimates include:
| · | Gold Pricing Assumption |
| · | Metallurgical Recovery changes for Run of Mine or Crushed Leach material |
| · | Changes to geotechnical pit slope angles in the designs |
| · | Changes to mining production rates and unit costs |
| · | Changes to Cut-off-Grades or strategy surrounding them (Operational COG increase) |
| · | Environmental or Permitting boundary changes |
| · | Assumptions around waste storage and VLF capacity |
This list is not all inclusive and additional factors may exist or could, in the future, develop that could impact the estimate either positively or negatively, and such impact would be material.
| 11-52 | ![]() |
| SSR Mining Inc. | Cripple Creek and Victor Mine S-K 1300 Technical Report Summary | November 10, 2025 SLR Project No.: 123.020622.00001 |
| 12.0 | Mineral Reserve Estimates |
| 12.1 | Summary |
CC&V reported Mineral Reserves have been classified using the Mineral Reserve definitions set out in S-K 1300. Mineral Reserves are reported on a 100% basis as SSR wholly owns the Property. The estimates are current as of July 1, 2025. The reference point for the Mineral Reserve estimate is the point of delivery to the valley fill leach.
The CC&V Proven and Probable Mineral Reserve as of July 1, 2025, is estimated to be 2.8 Moz of gold, excluding process inventory. The CC&V Mineral Reserve is based on a gold price of $1,700 per troy ounce. The Mineral Reserve estimate includes 2.8 Moz contained in ore from the pit layback areas, and 334 koz recoverable gold in in-process VLF inventory not shown in the Summary of Mineral Reserves. Table 12-1 summarizes the Mineral Reserve estimate with an effective date as of July 1, 2025.
Table 12-1: Summary of Mineral Reserves – July 1, 2025
| Source | SSR Share | Proven | Probable | Proven + Probable | Metallurgical Recovery | ||||||
| Tonnage (000 t) |
Au Grade (g/t) |
Gold (000 oz) |
Tonnage (000 t) |
Au Grade (g/t) |
Gold (000 oz) |
Tonnage (000 t) |
Au Grade (g/t) |
Gold (000 oz) | |||
| CC&V (in situ) | 100% | 115,160 | 0.43 | 1,594 | 48,493 | 0.40 | 627 | 163,653 | 0.42 | 2,221 | 52% |
| Stockpile | 100% | - | - | - | 71,481 | 0.26 | 593 | 71,481 | 0.26 | 593 | 48% |
| Total | 115,160 | 0.43 | 1,594 | 119,974 | 0.32 | 1,220 | 235,134 | 0.37 | 2,814 | 52% | |
|
Notes: 1. The Mineral Reserve estimate was prepared in accordance with S-K 1300. 2. The effective date of Mineral Reserves is July 1, 2025. 3. The Mineral Reserve estimate is based on a metal price assumption of $1,700/oz gold. 4. Gold cut-off grade for crush leach is 0.10 g/t Au extractable cyanide soluble (factored for recovery) and run of mine leach is 0.069 g/t Au extractable cyanide soluble (factored for recovery). 5. Metallurgical recoveries varies by lithology and oxidation state and ranges between 24.8% to 94.9%. 6. No mining dilution is applied to the grade of the Mineral Reserves. Dilution intrinsic to the Mineral Reserves estimate is considered sufficient to represent the mining selectivity considered. 7. Average bulk densities (in t/m3) were assigned based on lithologies and oxidation state. 8. The Property is 100% owned by SSR. 9. Metals shown in this table are the contained metals in ore mined and processed. 10. All ounces reported represent troy ounces, and g/t represents a grade expressed in grams per metric tonne. 11. The point of reference for Mineral Reserves is the entry to the carbon columns in the processing facility. 12. Totals may vary due to rounding. 13. Leach Pad Inventory of 334 koz represents work-in-process gold and is 100% recoverable over the LOM. 14. Project-to-Date combined Leach Recovery is 53.6%, with VLF 1 at 57.8% and VLF-2 at 43.1%. Note that most of the remaining inventory to be leached is located in VLF-2, therefore the apparent lower recovery. | |||||||||||
The SLR QP is not aware of any risk factors associated with, or changes to, any aspects of the modifying factors such as mining, metallurgical, infrastructure, permitting, or other relevant factors that could materially affect the Mineral Reserve estimate.
Figure 12-1 indicates the general mining areas of Mineral Reserves and the Mineral Resources exclusive of Mineral Reserves.
| 12-1 | ![]() |
| SSR Mining Inc. | Cripple Creek and Victor Mine S-K 1300 Technical Report Summary | November 10, 2025 SLR Project No.: 123.020622.00001 |
Figure 12-1: Location of Mineral Reserve Pits

Figure 12-1: Cripple Creek Recreational Buffer Schist Island-Reserve Elton/Joe Dandy-Reserve South Cresson Complex-Reserve Globe Hill Complex-Reserve Granite Island/Dump1-Reserve North/East Cresson-Reserve Permit Boundary Victor Recreational Buffer Legend: A13 Permit Boundary Recreational Buffer Reserve Pits SSR Mining Inc. Cripple Creek and Victor Mine Teller County, Colorado USA Location of Mineral Reserve Pits Source: SSR 2025
| 12-2 | ![]() |
| SSR Mining Inc. | Cripple Creek and Victor Mine S-K 1300 Technical Report Summary | November 10, 2025 SLR Project No.: 123.020622.00001 |
| 12.2 | Dilution and Extraction |
The resource block model includes dilution; therefore, no additional dilution factors or mining loss factors were applied when converting Measured and Indicated Mineral Resources within the ultimate pit design into Proven and Probable Mineral Reserves, respectively. A 100% mine extraction factor was applied.
Mining dilution and extraction factors are verified through good reconciliation performance of the resource model to the ore control model and production dispatch reporting in the past.
| 12.3 | Material Classification |
For the purposes of material routing, there are four key material characteristics included in the resource model:
| · | durability of the ore, |
| · | crushed or stacked as run of mine (ROM) |
| · | sulfide content |
| · | gold grade |
| 12.4 | Cut-Off Grade |
The estimate cut-off grade for Mineral Reserves was based on a gold price of $1,700/oz Au. Metal prices used for the Mineral Reserves are based on consensus, long term forecasts from banks and financial institutions. For resources, metal prices used are slightly higher than those for reserves. Mineral Reserves are reported at an internal cut-off grade of 0.002 opt recoverable leach.
SSR has used the Lerchs-Grossman algorithm to evaluate the economics of the Measured and Indicated Mineral Resources to establish approximate boundaries for respective ultimate pit designs. The algorithm was restricted in certain instances due to permit boundaries, existing infrastructure, and environmentally sensitive areas. Table 12-2 below summarizes the key inputs for the pit optimization, and Table 12-3 lists the slope design parameters used in the pit optimization. Model costs and gold price changes can have both positive and negative affects to the Lerchs-Grossmann pit optimization analysis.
Table 12-2: 2025 Pit Optimization Parameters
| Factor | Units | Value |
| Gold Price | $/oz | $1,700.00 |
| Discount Rate | % | 5% |
| Block Model | Version | MRMRModel2024 |
| Minimum Mining Width | ft | 60 |
| Ramp Widths | ft | 120 |
| ROM - Oxide | % | 59.37 |
| Base Mining Cost Leach | $/st | $3.42 |
| Base Mining Cost ROM | $/st | $2.51 |
| 12-3 | ![]() |
| SSR Mining Inc. | Cripple Creek and Victor Mine S-K 1300 Technical Report Summary | November 10, 2025 SLR Project No.: 123.020622.00001 |
| Factor | Units | Value |
| Base Mining Cost Waste | $/st | $2.38 |
| G&A | $/st | $0.23 |
| Closure and Reclamation | $/st | $0.03 |
| Sustaining Capital Cost Capital Recovery Factor (CRF) (equipment) | $/st | $0.35 |
| Total Mining Cost for Cones | $/st | $2.99 |
| Processing Operating Expense | Oxide | |
| Base Leach Process cost | $/st | $2.60 |
| Adjusted Base Leach Cost | $/st | $2.60 |
| G&A | $/st | $0.24 |
| Closure and Reclamation Cost | $/st | $0.05 |
| Incremental Haulage | $/st | $0.13 |
| Crushing Cost | $/st | $- |
| Sustaining Capital Cost | $/st | $0.22 |
| Rehandle | $/st | $- |
| Total Process Cost for Cones | $/st | $3.25 |
| Down Stream Costs | ||
| Treatment and Refining / Sell Cost | $/oz | $59.74 |
| World Gold Council Fee | $/oz | $0.10 |
| Severance Tax | % | $0.02 |
| Mine Tax | % | $0.04 |
| Royalty | % | $0.05 |
| Royalty | $/oz | $85.00 |
| Tax | $/oz | $97.75 |
| Down Stream Cost Total | $/oz | $182.75 |
Source: SSR 2025
Table 12-3: Slope Design Parameters for Pit Optimization
| Geotechnical Zones | Bench Height (ft) |
Bench Width (ft) |
Slope Angle (IRA) (deg.) |
Bench Face Angle (deg.) |
| 1 | 70 | 58 | 40 | 70 |
| 2 | 35 | 48 | 30 | 70 |
| 3 | 70 | 43 | 46 | 71 |
| 4 | 35 | 29 | 40 | 70 |
| 5 | 70 | 32 | 56 | 78 |
| 6 | 70 | 35 | 52 | 74 |
| 12-4 | ![]() |
| SSR Mining Inc. | Cripple Creek and Victor Mine S-K 1300 Technical Report Summary | November 10, 2025 SLR Project No.: 123.020622.00001 |
| Geotechnical Zones | Bench Height (ft) |
Bench Width (ft) |
Slope Angle (IRA) (deg.) |
Bench Face Angle (deg.) |
| 7 | 70 | 36 | 52 | 75 |
| 8 | 70 | 51 | 45 | 75 |
| 9 | 70 | 33 | 50 | 70 |
| 10 | 70 | 29 | 58 | 78 |
| 11 | 70 | 32 | 56 | 78 |
| 12 | 60 | 27 | 56 | 77 |
| 13 | 60 | 31 | 54 | 78 |
| 14 | 60 | 30 | 54 | 77 |
| 15 | 60 | 32 | 45 | 65 |
| 16_Surrounding Areas | 35 | 22 | 45 | 70 |
| 17_Fill | 35 | 39 | 34 | 70 |
Source: SSR 2025
| 12.5 | Comparison with Previous Estimate |
This report is the first time SSR has issued a TRS for CC&V. The most recent previous Mineral Reserve estimate that was available was issued by Newmont in 2024. The following list of items have had an impact on the stated Mineral Resources and Mineral Reserves.
| · | Variations in metallurgical recovery for ROM or crushed leach material |
| · | Adjustments to geotechnical pit slope angles in mine designs |
| · | Adjustments to geotechnical VLF ore slope angles |
| · | Modifications in mining production rates and unit costs |
| · | Changes in cut-off grades or strategies related to operational cut-off grade increases |
| · | Alterations to environmental or permitting boundaries |
| · | Assumptions concerning waste storage and VLF capacity |
| 12.6 | QP Opinion |
The SLR QP reviewed the assumptions, parameters, and methods used to prepare the Mineral Reserves Statement and is of the opinion that the Mineral Reserves are estimated and prepared in accordance with the U.S. Securities and Exchange Commission (US SEC) Regulation S-K subpart 1300 rules for Property Disclosures for Mining Registrants (S-K 1300).
The total Proven and Probable Mineral Reserves, excluding process inventory at CC&V are estimated to be 235 Mt grading 0.37 g/t Au containing 2.8 Moz Au. The CC&V Mineral Reserves support a LOM over 12 years of operational life, including 12 years of active mining followed by an additional 14 years of processing the VLF inventory, which contains approximately 334 koz of recoverable gold from process inventory.
| 12-5 | ![]() |
| SSR Mining Inc. | Cripple Creek and Victor Mine S-K 1300 Technical Report Summary | November 10, 2025 SLR Project No.: 123.020622.00001 |
| 13.0 | Mining Methods |
The CC&V deposit is currently mined using open pit mining methods: blasthole drilling, blasting, loading with shovels and loaders, and hauling with large, rigid frame trucks. The life of mine (LOM) is 12 years, concluding in 2036 with reclamation activities commencing in 2037.
CC&V has the following defined Mineral Reserve pits: Globe Hill (Phases 3B, 4, 5, 6, 7, and 8), Schist Island 2B, South Cresson (2 and 7), North Cresson, East Cresson, and Elkton/Joe Dandy. The Mineral Reserve pit shells for these areas were developed using the Lerch-Grossmann (LG) pit optimization method.
From 2025 through 2036, total annual material movement is maintained at an average rate of 35 Mtpa. Leach ore placement averages 20 Mtpa for the period 2025 through 2035. This placement rate reflects the maximum allowable capacity to ensure sufficient leach cycle time of a minimum of 120 days.
Based on the 2024 LOM plan, the average stripping ratio is approximately 0.65:1 (waste tonnes:ore tonnes), though this varies annually. Most of the mining pits are located at the northern end of the Property, with a few situated in the southern area. The southernmost pit, South Cresson 2, is mined using 20-ft bench heights due to its proximity to the town of Victor. All other pit areas use 35-ft bench heights.
Mining operations begin with probe drilling to detect historical underground workings, commonly referred to as voids. This is followed by production drilling and subsequent blasting of the drill holes. The mine operates three loading units and twelve haul trucks daily to achieve a production rate up to 109,000 tonnes per day (120,000 short tons per day (stpd)). Final wall control drilling is also conducted to maintain pit wall stability.
| 13.1 | Geotechnical Studies |
A combination of limit equilibrium and finite element modeling (e.g., SLIDE, RS2) has been applied throughout the mine life. Calibration of slope performance through back-analysis has played a role in improving the reliability of design parameters. Historical instability events, though limited in scale, have been essential in validating failure mechanisms, with wedge, planar, and toppling failures noted in structurally complex zones. Stability assessments incorporate groundwater conditions via effective stress models, and depressurisation is actively managed through horizontal drains and vertical dewatering wells. In saturated zones, reductions in shear strength due to pore pressure elevation are considered, particularly in altered breccias and phreatic contact zones.
Geotechnical slope parameters used in the pit designs are presented in the following tables and figures. The highwall design criteria employed for recent pit layouts are primarily based on geotechnical reports developed by Call and Nicholas, Inc. (CNI) in 2017, 2020, and 2021, as well as geotechnical reviews conducted by the previous owner, Newmont in 2023 and 2024. Site and corporate geotechnical teams reviewed all pit sectors, incorporating updated recommendations based on pit performance observations and data obtained from new core drilling.
In several areas, guidance was extrapolated to new geotechnical sectors by correlating with similar lithologies and performance of adjacent pits. This approach was reviewed and deemed reasonable by both site and corporate geotechnical engineers. Updates to these extrapolated sectors were completed in 2023.
| 13-1 | ![]() |
| SSR Mining Inc. | Cripple Creek and Victor Mine S-K 1300 Technical Report Summary | November 10, 2025 SLR Project No.: 123.020622.00001 |
A global slope stability analysis was conducted by CNI for the Globe Hill Pipe lithology, which is a highly fractured and shattered rock mass with a Rock Quality Designation (RQD) of less than 5%. The results of this analysis were subsequently reviewed and validated by site geotechnical staff. The slope design process remains iterative; ongoing geological and geotechnical data collection and interpretation continue to inform performance assessments and slope angle refinements.
| 13.2 | Geomechanics |
| 13.2.1 | Introduction |
SLR carried out a geotechnical review of the reserve pit areas at CC&V.
13.2.2 Open Pit Slope Criteria
At CC&V, open pit mining is generally carried out in 35-ft bench intervals. Ultimate highwalls typically use a double-benching configuration, with localized single benches. Bench face angles (BFA) vary by pit and are detailed in Table 13-1; however, most are designed at 70 degrees or steeper. The South Cresson pit area is an exception—it is mined using 20-ft benches with a triple bench configuration (60-ft total height) to reduce blast vibrations near non-company-owned structures. Figure 13-1 provides the design sectors map as defined in Table 13-1.
| 13-2 | ![]() |
| SSR Mining Inc. | Cripple Creek and Victor Mine S-K 1300 Technical Report Summary | November 10, 2025 SLR Project No.: 123.020622.00001 |
Table 13-1: Pit Slope Design Criteria
| Design Sector | Bench Height (ft) | Num. Staked | Vertical Separ. (ft) | BFA (deg) |
Catch Bench Width (ft) | IRA (deg) |
Pit Areas | Lithology |
| 1 | 35 | 2 | 70 | 70 | 57.9 | 40 | Grassy Valley | Precambrian |
| 2 | 35 | 1 | 35 | 70 | 47.9 | 30 | WHEX 4 | Precambrian |
| 3 | 35 | 2 | 70 | 71 | 43.5 | 46 | Schist Island - Ph 2 | Precambrian Schist/Gneiss |
| 4 | 35 | 1 | 35 | 70 | 26.1 | 42 | Globe Hill - Ph 3,4,5,8 | Globe Hill Pipe |
| 5 | 35 | 2 | 70 | 78 | 32.3 | 56 | Globe Hill - Ph 6,7,8 | Diatreme Breccia |
| 6 | 35 | 2 | 70 | 74 | 34.6 | 52 | Schist Island - Ph 1,2 | Diatreme Breccia |
| 7 | 35 | 2 | 70 | 75 | 35.9 | 52 | Globe Hill - Ph 5,6,7,8 | Diatreme Breccia/Phonolite |
| 8 | 35 | 2 | 70 | 75 | 51.2 | 45 | Globe Hill - Ph 3-8/ WHEX Nose | Diatreme Breccia/Precambrian |
| 9 | 35 | 2 | 70 | 70 | 33.3 | 50 | Schist Island - Ph 1,2 / Globe Hill - Ph 7 |
Diatreme Breccia/Phonolite |
| 10 | 35 | 2 | 70 | 78 | 28.9 | 58 | Cresson, South Cresson 7 | Diatreme Breccia/Phonolite |
| 11 | 35 | 2 | 70 | 77 | 32.2 | 56 | Cresson | Diatreme Breccia/Phonolite |
| 12 | 35 | 3 | 70 | 77 | 31.1 | 56 | South Cresson | Diatreme Breccia/Phonolite |
| 13 | 35 | 3 | 70 | 78 | 36.0 | 54 | South Cresson 7, Elkton | Diatreme Breccia/Phonolite |
| 14 | 35 | 3 | 70 | 77 | 34.7 | 54 | South Cresson - Ph 2 (2M, 2N, 2A, 2B) | Diatreme Breccia/Phonolite |
| Pit Slope Design Criteria: South Cresson | ||||||||
| 12 | 20 | 3 | 60 | 77 | 26.6 | 56 | South Cresson | Diatreme Breccia/Phonolite |
| 13 | 20 | 3 | 60 | 78 | 30.8 | 54 | West Cresson, South Cresson 7 | Diatreme Breccia/Phonolite |
| 14 | 20 | 3 | 60 | 77 | 29.7 | 54 | South Cresson - Ph 2 (2M, 2N, 2A, 2B) | Diatreme Breccia/Phonolite |
| 15 | 20 | 3 | 60 | 65 | 32.0 | 45 | South Cresson - Ph 2A | Void Backfill |
|
Source: Newmont 2023b. Notes: Design Sectors are shown in Figure 13-1. Num. Staked refers to the number of benches mined between catch benches. Catch bench is also referred to as safety berm. Vertical Separ. Refers to the bench height times the Num. Staked, i.e., triple-benching a 20-ft bench in sector 12 (bench height is 20 ft) results in 60 ft vertical separation between catch benches. | ||||||||
| 13-3 | ![]() |
| SSR Mining Inc. | Cripple Creek and Victor Mine S-K 1300 Technical Report Summary | November 10, 2025 SLR Project No.: 123.020622.00001 |
Figure 13-1: Pit Configuration and Geotechnical Sectors Map

Figure 13-1: Source: Newmont 2023b. SSR Mining Inc. Cripple Creek and Victor Mine Teller County, Colorado, USA Pit Configuration and Geotechnical Sectors Maps
Geotechnical Sectors are defined in Table 13-1.
| 13-4 | ![]() |
| SSR Mining Inc. | Cripple Creek and Victor Mine S-K 1300 Technical Report Summary | November 10, 2025 SLR Project No.: 123.020622.00001 |
Globe Hill’s multiple mining phases are primarily underlain by Globe Hill Pipe material. Recent revisions to the geotechnical domain configuration have been made in this area. Slope reconciliation efforts for Phases 2, 3A, and the exposed areas of 3B have confirmed that current slope performance aligns with initial design assumptions.
Most future highwalls in the Globe Hill Reserve pits will encounter weak rock, with rock mass strength serving as a primary driver of slope design parameters. The geotechnical design process began with stability analyses to determine appropriate overall and inter-ramp slope angles. Bench-scale analysis was also conducted to ensure adequate catch bench widths, which governs inter-ramp angle selections.
Three distinct geotechnical sectors have been designed within the Globe Hill complex. Bench face angles range from 70° to 77°. Currently, there is insufficient structural data to fully assess the influence of pit wall curvature. Historical performance of convex pit wall geometries in strong rock has not indicated any significant failure planes; however, a review of the Globe Hill geometry is recommended.
| 13-5 | ![]() |
| SSR Mining Inc. | Cripple Creek and Victor Mine S-K 1300 Technical Report Summary | November 10, 2025 SLR Project No.: 123.020622.00001 |
Figure 13-2: Globe Hill Predicted Lithology

Figure 13-2: Legend: Backfill Globe Hill Pipe Phonolite Precambrian Breccia Globe hill pipe breccia phonolite Precambrian SSR Mining Inc. Cripple Creek and Victor Mine Teller County, Colorado, USA Globe Hill Predicted Lithology Source: Newmont 2023b.
| 13-6 | ![]() |
| SSR Mining Inc. | Cripple Creek and Victor Mine S-K 1300 Technical Report Summary | November 10, 2025 SLR Project No.: 123.020622.00001 |
In addition to Globe Hill, several other resource pits have been evaluated, including Altman, Elkton, and Granite Island. Highwall design criteria in these pits rely on projections from earlier geotechnical studies, refined using updated lithological data from exploration activities. In the Altman pit, some benches on the eastern wall are developed in backfill material. Due to the potential for slope relaxation in these areas, a shallower backfill slope angle is recommended.
| 13-7 | ![]() |
| SSR Mining Inc. | Cripple Creek and Victor Mine S-K 1300 Technical Report Summary | November 10, 2025 SLR Project No.: 123.020622.00001 |
Figure 13-3: Altman Pit Design Predicted Lithology.

Figure 13-3: Legend: Backfill Globe Hill Pipe Phonolite Precambrian Breccia NOT TO SCALE SSR Mining Inc. Cripple Creek and Victor Mine Colorado, USA Altman Pit Design Predicted Lithology Source: Newmont 2023b.
| 13-8 | ![]() |
| SSR Mining Inc. | Cripple Creek and Victor Mine S-K 1300 Technical Report Summary | November 10, 2025 SLR Project No.: 123.020622.00001 |
| 13.2.3 | Historical Underground Workings: |
Mining areas overlap with zones where historical underground mining created backfilled and open voids. As a point of reference, this mine area supported approximately 524 mines and it has produced approximately 27 million ounces of gold.
Proposed mitigation measures developed by the mine include a voids management system. This system facilitates safe mining by incorporating techniques such as probe drilling and 3D scanning to detect and characterize voids more accurately. Probe drilling allows for the early detection of subsurface voids, while scanning provides detailed mapping, ensuring better management of mining operations in these areas. Areas of the pit characterized by historical underground workings require conservative slope design and careful monitoring to avoid slope failures. The SLR QP views these mitigation measures appropriate to reduce the risk associated with the voids.
| 13.2.4 | Slope Modeling |
| 13.2.4.1 | Globe Hill Pipe Zone |
The Globe Hill Pipe zone consists of highly fractured and altered rock with very poor quality (Rock Quality Designation (RQD) < 5%). The recommended slope angles in these zones are controlled by global stability and the shear strength of the rock. Single benching is advised to maintain slope stability in sectors 3 and 4.
Proposed mitigation measures developed by CC&V require conservative slope design and careful monitoring to avoid slope failures. SLR views these mitigation measures appropriate to reduce the risk associated with poor ground.
| 13.2.4.2 | North-Dipping Walls in Precambrian Schist |
The north-dipping foliation planes in Precambrian schist (Sector 6) create the risk of regressive slope failure.
A maximum inter-ramp slope angle of 30 degrees is recommended by the mine due to the presence of foliation planes in the Precambrian schist, which could cause regressive slope instability. SLR views the mitigation measure appropriate to reduce the risk associated with the foliation planes.
| 13.2.4.3 | Hydrogeological Model / Surface Water |
In the highly fractured Globe Hill pipe zone, surface water control plays a critical role in preventing both erosion and slope destabilization. Improper management of surface water can lead to accelerated erosion, increasing the likelihood of local slope failures, as observed in similar mining regions.
Mitigating this risk requires designing benches that direct surface water away from weaker rock masses while implementing effective drainage systems. The installation of piezometers and careful surface water management are critical to managing this risk. The SLR QP views the mitigation measures appropriate to reduce the risk associated with surface water control.
| 13.2.5 | Monitoring and Risk Management |
A comprehensive geotechnical monitoring system is in place, encompassing radar, prism networks, extensometers, and piezometers. Data from these instruments feed into the Mine's slope stability management framework, supporting predictive analysis and real-time response planning.
| 13-9 | ![]() |
| SSR Mining Inc. | Cripple Creek and Victor Mine S-K 1300 Technical Report Summary | November 10, 2025 SLR Project No.: 123.020622.00001 |
Instrumentation data is routinely reviewed in conjunction with visual inspections to assess performance against predicted deformation trends.
Trigger Action Response Plans (TARPs) are embedded into operational workflows, allowing for controlled excavation halts, re-entry protocols, and additional support measures where instability is predicted or observed.
| 13.2.6 | Integration into Life of Mine Planning |
Slope design criteria are fixed within the LOM planning, for both economic pit limits and the sequencing of ore access. The geotechnical team routinely collaborates with mine planning to ensure that pushback designs, ramp alignments, and waste placement strategies align with the geotechnical model and stability constraints.
In areas of known complexity—such as Schist Island and Globe Hill South—geotechnical zones have been defined to guide development, often supported by additional drilling and downhole televiewer logging to better resolve fabric orientation and discontinuity sets.
Table 13-2 presents a summary of the SLR QP’s review of the CC&V pit slopes. The geotechnical review was benchmarked against the Large Open Pit (LOP) Project Guidelines for Open Pit Slope Design (Read and Stacey 2009) Levels of Geotechnical Effort by Project Stage and included an assessment of potential risks and opportunities associated with the development of the pits. Based on the review, the pit geotechnics have been rated according to four categories namely – Good Practice (green), observation (grey), concern (yellow) and negative (red) described as follows:
| · | A green rating indicates that geotechnical procedures and approaches meet industry standards and require no immediate changes; |
| · | Grey represents factual observations that highlight areas of interest, but do not constitute risks or opportunities requiring action; |
| · | A yellow implies a recommendation for the geotechnical improvement or low to moderate risk; and |
| · | A red rating implies an area of notable improvement that poses a major risk or high risk to the Project. |
| 13-10 | ![]() |
| SSR Mining Inc. | Cripple Creek and Victor Mine S-K 1300 Technical Report Summary | November 10, 2025 SLR Project No.: 123.020622.00001 |
Table 13-2: Summary of Pit Slope Review
| Project Area | Detail | Comments | Conclusions | Review Category | |
| Geological model | Ongoing pit mapping and drilling; further refinement of geological database and 3D model | Core drilling campaigns have been conducted on the Globe Hill pit designs and surrounding geology to gather data. The region has high-quality rock with pockets of highly altered and brecciated material, referred to as the Globe Hill pipe. | Ongoing in-pit mapping and drilling is carried out to update geological features for slope design. | ||
| Structural model (major features) | Structural mapping on all pit benches; further refinement of 3D model | Further drilling in Globe Hill Phase 3 provided RQD (Rock Quality Designation), structural geology, and formation data, which has been incorporated into the 2021 RQD Block Model Update. Strain mapping indicates low angle contractional faults, leading to steeply dipping extensional faults, like those seen in other gold deposits globally. The district is intersected by various structural zones, primarily influenced by sub-vertical late alkaline or lamprophyre dykes. These structures, oriented between N20W to N50W and N20E to N70E, align with broader Precambrian tectonic trends, influencing gold deposit geometry and location. | Ongoing work is carried out to update the structural model. | ||
| Structural model (fabric) | Structural mapping on all pit benches; further refinement of fabric data and structural domains | ||||
| Hydrogeological model/Surface Water | Ongoing management of piezometer and dewatering well network; continued refinement of hydrogeological database and 3D model | At the current mining elevation, hydrology and hydrogeology do not pose significant concerns. Historical dewatering efforts, such as the construction of tunnels in the early 1900s, have effectively lowered the water table. Monitoring data consistently shows that groundwater levels remain well below the pit base, reducing the potential for hydrologically induced slope failures. Nevertheless, ongoing piezometer monitoring ensures | Bench designs should ensure that water flows away from weak rock masses. The installation of piezometers and careful surface water management are critical | ||
| 13-11 | ![]() |
| SSR Mining Inc. | Cripple Creek and Victor Mine S-K 1300 Technical Report Summary | November 10, 2025 SLR Project No.: 123.020622.00001 |
| Project Area | Detail | Comments | Conclusions | Review Category | |
| early detection of any changes in groundwater flow patterns. | |||||
| Intact rock strength | Ongoing maintenance of database and 3D geotechnical model | Sample testing for the Globe Hill pipe material was extensive, including costs of $16,700 from a test-pit campaign in 2019, $2,500 for core sample testing in 2020, and $9,200 from in-pit sample testing collected in 2020. Core testing also included uniaxial compression and triaxial compression tests in 2019 and 2020 to understand the in situ strength of Globe Hill geologic units. | Testing is carried out to measure the intact strength of rock types. | ||
| Strength of structural defects | Ongoing maintenance of database | Shear strength properties of rocks, which were tested in a rock mechanics laboratory | |||
| Geotechnical characterization | Ongoing maintenance of geotechnical database and 3D model | A three-dimensional geotechnical block model based on rock quality designation (RQD) and the rock mass quality parameter Q’ developed in 2015. The model will assist mine planning, geotechnical analysis, and slope stability assessments for the CC&V mine. The geotechnical block model was built using geological, drill-hole, and mine design data provided by CC&V personnel. A total of 413 drill holes containing RQD data were used, with geomechanical data available for 255 of those drill holes. This could result in less accurate slope stability predictions, potentially leading to geotechnical hazards during mining operations. Additional core holes are recommended to | There are regions within the mine's final pit design with low drill-hole density, leading to a lack of sufficient RQD and Q’ estimates. The model should be updated as new drilling data becomes available, particularly in areas with sparse data coverage. | ||
| 13-12 | ![]() |
| SSR Mining Inc. | Cripple Creek and Victor Mine S-K 1300 Technical Report Summary | November 10, 2025 SLR Project No.: 123.020622.00001 |
| Project Area | Detail | Comments | Conclusions | Review Category | |
| enhance the accuracy of the geotechnical block model. | |||||
| Slope Design Process | Design of the bench configuration, inter-ramp and overall slope angles. | Slope design criteria are based on reports from Call & Nicholas, Inc. (2017, 2020, 2021) and a Newmont Geotech review (2023). Site geotechnical personnel and corporate geotechnical teams reviewed these criteria and updated pit designs for improved performance, incorporating new core drilling data. In certain areas, guidance has been extrapolated from adjacent pits based on similar lithologies and pit performance, an approach accepted by the teams. In 2023, specific sectors were updated based on previous work and newly conducted geotechnical drilling, aimed at improving slope performance. CC&V mines use 35-foot benches for double benching in most areas, with highwalls comprising double benching and localized single benching in some areas. South Cresson, however, uses 20-foot benches with triple benching, a decision made to limit blast vibrations due to nearby non-company structures. | Current mine designs meet the required geotechnical standards. Special attention is given to ensuring stable slope designs in the Globe Hill phases, focusing on transitioning weaker materials to stable ones. This effort is essential in minimizing erosion risks and ensuring the long-term stability of mining operations. | ||
| Slope Modeling | Slope modeling to assess that the slope design meets criteria. |
Conducted by CNI, this analysis assessed the factors of safety (FOS) for the slopes. A FOS above 1.20 is considered suitable for final open pit slopes. The slopes are assumed to be depressurized by underground workings, reducing the potential for slope failure. Slope Angle |
Slope modeling is carried out as per standard industry practice. Low risks identified include the Globe Hill Pipe comprising poor ground and prominent | ||
| 13-13 | ![]() |
| SSR Mining Inc. | Cripple Creek and Victor Mine S-K 1300 Technical Report Summary | November 10, 2025 SLR Project No.: 123.020622.00001 |
| Project Area | Detail | Comments | Conclusions | Review Category | |
| Conducted by CNI, this analysis assessed the factors of safety (FOS) for the slopes. A FOS above 1.20 is considered suitable for final open pit slopes. The slopes are assumed to be depressurized by underground workings, reducing the potential for slope failure. Slope Angle Recommendations include the following: Globe Hill Pipe Zone: The Globe Hill Pipe zone consists of highly fractured and altered rock with very poor quality (Rock Quality Designation (RQD) < 5%). The recommended slope angles in these zones are controlled by global stability and the shear strength of the rock. Single benching is advised to maintain slope stability in sectors 3 and 4. North-Dipping Walls in Precambrian Schist (Sector 6): A maximum inter-ramp slope angle of 30 degrees is recommended due to the presence of foliation planes in the Precambrian schist, which could cause regressive slope instability - Catch-Bench Controlled Sectors: For other sectors, slope angles are based on maintaining adequate catch-bench widths and ensuring stability through bench-scale analysis. Double benching of 70 ft is recommended with specific guidelines on pre-split blasting techniques. Care must be taken to avoid excessive offsets between benches, which could reduce catch-bench effectiveness. | foliation in the north walls. | ||||
| Geotechnical Monitoring Systems | Monitoring of slopes for instabilities. | The plan mandates continuous slope monitoring using tools like prisms, extensometers, and slope radar to detect ground movements. Data from these tools is stored, analyzed, and used to update risk assessments. | Monitoring is carried out as per standard industry practice. | ||
| 13-14 | ![]() |
| SSR Mining Inc. | Cripple Creek and Victor Mine S-K 1300 Technical Report Summary | November 10, 2025 SLR Project No.: 123.020622.00001 |
| Project Area | Detail | Comments | Conclusions | Review Category | |
| Historical Underground Workings | Methodology to mine through underground voids maintain the slope design criteria |
Historical underground voids in the NAU mining area could cause crown pillar failures, presenting a safety risk to personnel and equipment. A workflow for estimating the Q’ parameter and crown pillar stability was developed and blasting crown pillars once their factor of safety falls below 1.20 was recommended to mitigate risks. For phases of mining the following areas were assessed for historical underground workings: South Cresson Phase 1A involves significant historical voids, and mining is progressing through these voids safely. Phase 1B will continue mining through these workings, while Phase 2A is expected to involve similar void mining activities in the South Cresson extension. East Cresson has smaller voids related to narrow stopes, drifts, and shafts, which are considered less risky.
|
Proposed mitigation measures developed by the mine include a voids management system. This system facilitates safe mining by incorporating techniques such as probe drilling and 3D scanning to detect and characterize voids more accurately. Probe drilling allows for the early detection of subsurface voids, while scanning provides detailed mapping, ensuring better management of mining operations in these areas. Areas of the pit characterized by historical underground workings requires a conservative slope design and careful monitoring to avoid slope failures. | ||
|
Notes: Project level status: Operations - Active Geotechnical level status: Meets the Requirements Level 5 according to Large Open Pit Guidelines | |||||
| 13-15 | ![]() |
| SSR Mining Inc. | Cripple Creek and Victor Mine S-K 1300 Technical Report Summary | November 10, 2025 SLR Project No.: 123.020622.00001 |
| 13.2.6.1 | Opportunities |
Opportunities have been identified to optimize slope designs, particularly by relocating ramps and other infrastructure to increase overall slope angles; however, each adjustment should be accompanied by detailed stability analyses, ensuring that steeper slopes do not compromise the safety factors established in earlier designs. In some cases, real-time monitoring of slope performance after these optimizations could further refine design practices while maintaining operational safety.
| 13.3 | Mine Design |
A gold price of $1,700 per ounce was applied in the pit optimization, incorporating updated mining and processing costs along with revised slope design criteria. The optimization process utilized blocks classified as Measured and Indicated Resources to evaluate the value of potential ore. Blocks categorized as Inferred Resources were treated as waste during this process.
The resulting optimal pit shells served as the foundation for generating practical and mineable pit designs. Due to significant changes in most areas stemming from the updated Reserve gold price, all Reserve pits required redesign based on the LG-generated optimal pit shells.
The spatial layout of all Reserve laybacks, waste dumps, and VLF is shown in Figure 13-4. General mine design parameters are summarized in Table 13-3, and detailed physical parameters for each individual layback are provided in Table 13-1. Table 13-4 summarizes the areas mined at CC&V during the mine life.
Table 13-3 Mine Design Parameters
| Parameter | Units | Value |
| Haul Road Width | ft | 120-ft, minimum 60-ft |
| Haul Road Gradient, Maximum | % | 10% |
| Mining Bench Height | ft | 35-ft double stacked; 70-ft final, excluding the South Cresson pit area, which is mined using 20’ benches that are triple benched |
| Safety Berm Width, Highwall | ft | 36-ft average, varies by pit slope design sector |
| BFA, Highwall | degrees | 73° average, varies by pit slope design sector |
| IRA, Highwall | degrees | 48° average, varies by pit slope design sector |
The deepest pit bottom in the ultimate pit surface is approximately 8,745 FASL, which is approximately 1,940 ft above the Carlton Tunnel elevation.
A representative long section of the orebody is presented in Figure 13-5 and a representative cross section of the orebody is given in Figure 13-6.
| 13-16 | ![]() |
| SSR Mining Inc. | Cripple Creek and Victor Mine S-K 1300 Technical Report Summary | November 10, 2025 SLR Project No.: 123.020622.00001 |
Figure 13-4: Ultimate Surface Topography Map

Figure 13-4: Legend: Valley Fill Leach Pad Waste Dump Pit Areas A12 Permit Boundary SSR Mining Inc. Cripple Creek and Victor Mine Teller County, Colorado, USA Ultimate Surface Topography Map Source: SSR 2025.
| 13-17 | ![]() |
| SSR Mining Inc. | Cripple Creek and Victor Mine S-K 1300 Technical Report Summary | November 10, 2025 SLR Project No.: 123.020622.00001 |
Table 13-4: Designed Mining Areas Summary
| Mining Area | Ore Tonnage (000 t) |
Gold Grade (g/t) |
Contained Metal (000 oz Au) |
Recovered Metal (000 oz Au) |
Projected Recovery (%) |
Total Waste Tonnage (000 t) |
Total Tonnage (000 t) |
Strip Ratio (W:O) |
% of Total Ounces Contained | Start Year | End Year | Life of Pit (yr) |
| Globe Hill 3B | 245 | 0.382 | 154 | 104 | 68.50% | 2,312 | 2,556 | 9.45 | 6% | 2025 | 2028 | 4 |
| Globe Hill 4 | 2,202 | 0.359 | 21 | 14 | 62.90% | 3,309 | 5,511 | 1.50 | 1% | 2025 | 2025 | 1 |
| Globe Hill 5 | 22,189 | 0.339 | 240 | 149 | 62.10% | 28,572 | 50,761 | 1.29 | 9% | 2025 | 2030 | 6 |
| Globe Hill 6A | 1,174 | 0.283 | 11 | 6 | 58.00% | 2,246 | 3,420 | 1.91 | 0% | 2030 | 2030 | 1 |
| Globe Hill 6B | 8,343 | 0.638 | 166 | 80 | 48.30% | 6,262 | 14,605 | 0.75 | 6% | 2030 | 2031 | 2 |
| Globe Hill 7A | 10 | 0.369 | 0 | 0 | 32.60% | 1,546 | 1,556 | 154.60 | 0% | 2025 | 2026 | 2 |
| Globe Hill 7 | 41,920 | 0.277 | 374 | 252 | 67.70% | 42,981 | 84,901 | 1.03 | 14% | 2026 | 2035 | 10 |
| Elkton | 16,653 | 0.376 | 201 | 109 | 54.20% | 20,613 | 37,266 | 1.24 | 7% | 2026 | 2027 | 2 |
| North Cresson | 8,792 | 0.514 | 143 | 96 | 67.40% | 30,853 | 39,646 | 3.51 | 5% | 2031 | 2034 | 4 |
| Stockpile (Dump 1) | 81,241 | 0.367 | 959 | 371 | 39.90% | 12,030 | 93,272 | 0.15 | 36% | 2026 | 2035 | 10 |
| South Cresson 2 | 493 | 2.179 | 40 | 15 | 38.00% | 380 | 873 | 0.77 | 1% | 2025 | 2025 | 1 |
| Schist Island 2B1 | 4,392 | 0.38 | 54 | 25 | 47.40% | 734 | 5,126 | 0.17 | 2% | 2025 | 2025 | 1 |
| South Cresson Ext | 3,171 | 0.926 | 92 | 38 | 41.20% | 5,589 | 8,760 | 1.76 | 3% | 2025 | 2028 | 4 |
| South Cresson 7 | 9,777 | 0.388 | 123 | 64 | 54.90% | 10,116 | 19,893 | 1.03 | 5% | 2025 | 2027 | 3 |
| East Cresson | 6,266 | 0.551 | 110 | 58 | 52.80% | 21,280 | 27,546 | 3.40 | 4% | 2026 | 2029 | 4 |
| Totals | 206,867 | 0.386 | 2,687 | 1,382 | 49.80% | 188,823 | 395,692 | 0.91 | 100% | 2025 | 2035 | 11 |
1 Schist Island is part of the Globe Hill Complex.
| 13-18 | ![]() |
| SSR Mining Inc. | Cripple Creek and Victor Mine S-K 1300 Technical Report Summary | November 10, 2025 SLR Project No.: 123.020622.00001 |
Figure 13-5: Longitudinal Section – Ultimate Surface with Block Model Au Grades

Figure 13-5: Looking Northeast Au (g/t): 0.002 0.003 0.004 0.005 0.006 0.007 0.008 0.009 0.010 0.011 0.012 0.013 0.014 0.015 0.016 0.017 0.018 0.019 0.020 0.021 0.022 0.023 0.024 0.025 0.026 0.027 0.028 Source: SSR 2025. SSR Mining Inc. Cripple Creek and Victor Mine Teller County, Colorado, USA CC&V Longitudinal Section - Ultimate Surface with Block Model Au Grades
| 13-19 | ![]() |
| SSR Mining Inc. | Cripple Creek and Victor Mine S-K 1300 Technical Report Summary | November 10, 2025 SLR Project No.: 123.020622.00001 |
Figure 13-6: CC&V Cross Section – Ultimate Surface with Block Model Au Grades

Figure 13-6: Looking North Au (g/t): 0.002 0.003 0.004 0.005 0.006 0.007 0.008 0.009 0.010 0.011 0.012 0.013 0.014 0.015 0.016 0.017 0.018 0.019 0.020 0.021 0.022 0.023 0.024 0.025 0.026 0.027 0.028 SSR Mining Inc. Cripple Creek and Victor Mine Teller County, Colorado, USA CC&V Cross Section - Ultimate Surface with Block Model Au Grades Source: SSR 2025.
| 13-20 | ![]() |
| SSR Mining Inc. | Cripple Creek and Victor Mine S-K 1300 Technical Report Summary | November 10, 2025 SLR Project No.: 123.020622.00001 |
| 13.4 | Mining Method |
The Cripple Creek and Victor (CC&V) deposit is mined using conventional open pit mining methods. The operation has an estimated remaining mine life of 12 years, with planned mine closure starting in 2037. Leaching of the VLFs is scheduled through 2050.
From 2025 through 2036, the total annual material movement is projected to be sustained at an average rate of 35 million tonnes per annum (Mtpa). In the final year, 2036, the annual mining rate decreases to 12 Mtpa, reflecting reduced waste stripping requirements during that period.
Ore placement to the VLFs is projected to average 20 Mtpa from 2025 to 2035. This rate represents the maximum practical throughput, selected to ensure adequate leach cycle time. The average life-of-mine stripping ratio is approximately 0.65:1 (0.65 tonnes of waste per tonne of ore), and this ratio can fluctuate.
Most of the mining pits are situated in the northern portion of the property, with a smaller number located in the south. The southernmost pit, South Cresson 2, is mined using 20-foot bench heights due to its proximity to the town of Victor (lower blast vibration). All other pits are mined using standard 35-ft bench heights.
Mining operations begin with probe drilling to detect historical underground workings, referred to as voids, followed by the drilling of production holes and subsequent blasting. Daily production is achieved using three loading units and twelve haul trucks, which collectively move approximately 109,000 tpd. To ensure the long-term stability of final pit slopes, wall control drilling is conducted along final pit boundaries.
The current Mineral Reserves support a mine life of approximately 12 years, ending in 2036. In the 2025 LOM Plan, the annual total tonnes mined is sustained at an average mining rate of 35 Mtpa from 2025 through 2035, then reduces to 12 Mtpa in 2036 due to space constraints in the pits being mined in those years. The average leach ore placed annually is 20 Mt from 2025 to 2035.
The planned mining schedule is shown in Table 13-5. As discussed above, the total material moved and tonnes stacked on the VLFs are consistent for the next ten years (2025 to 2035) mined.
Figure 13-4 shows the location of all the Mineral Reserve laybacks included in this evaluation.
It should be noted that approximately 68 Mt of Mineralized Material from Stockpile (Dump 1) has been classified as Mineral Reserves with an extractable grade of 0.26 g/t, and this material was included in the mining schedule as ore. All the material was identified through the CC&V grade control, i.e., blasthole assays from blasthole drill cuttings. In addition, a thorough study of this material was conducted by a CC&V geologist to determine the overall average grade. SSR is currently performing confirmation drilling of Stockpile (Dump 1) material.
Due to the elevations of the operation, derating of equipment is mandatory. In addition, snow removal and winter maintenance are necessary on a regular basis between October through April. The orebody is completely dewatered due to the installation of the El Paso, Roosevelt, and Carlton tunnels, which have portal elevations of 8,790 FASL, 8,020 FASL, and 6,893 FASL, respectively.
| 13.4.1 | Drilling and Blasting |
Production drilling is carried out using 6.75-in. diameter holes for bench heights of either 20 ft or 35 ft, with 2 ft and 3 ft of subgrade drilling, respectively. The drilling is carried out using two Sandvik D25s, two
| 13-21 | ![]() |
| SSR Mining Inc. | Cripple Creek and Victor Mine S-K 1300 Technical Report Summary | November 10, 2025 SLR Project No.: 123.020622.00001 |
Sandvick D55s, and one newer Sandvick DR410i rotary/hammer type drills. The open pit powder factors are 0.478 lb/st for ore and waste, and the explosive is 100% emulsion. The Mine is currently switching from nonel to electronic initiation. Surface drilling patterns in ore have a burden of 15-ft and 17-ft spacing, whereas softer rock in Globe Hill has a 16-ft burden and 19-ft spacing.
Wall control blasting also varies and adds in different methods, extra holes, and variety of different explosives weights. A trim blast is performed around the limits of the mining on final highwall configurations. Historically, a presplit blasting pattern had been used on final highwalls to ensure good wall conditions and minimize the potential for a wall failure.
| 13.4.2 | Loading and Hauling |
Loading operations are performed with four primary units, composed of Letourneau 1850 loader, CAT 994K loader, CAT 6060 shovel, and a Komatsu 5500-6 shovel.
Digging faces are defined by ore control and are marked in the field with flags and on maps that are provided to the operators. All loading units are equipped with a high precision digging screen that is a component of the Mine Star Dispatch system. The screen, located in the operator’s cab, updates in real time to show the location and grade of the ore material being mined. Dig boundaries are typically adjusted to allow for movement associated with blasting.
Excavated rock is loaded into haul trucks and sent to either the East Cresson Overburden Storage Area (ECOSA), primary crusher, or directly to the leach facility as ROM, based on the average gold grade of the material. Waste rock is hauled to the multiple waste dump locations or to previously mined-out areas for backfilling pits. Pit backfilling, where not mandated by permit to eliminate pit lakes in certain satellite pits, has positive impacts at CC&V: it reduces costs associated with haulage distance and helps address the lack of areas for waste rock storage space due to permitting restrictions and current land position. Backfilling plans are reviewed and adjusted to minimize the potential for sterilizing future mineralization. Minimizing the waste haulage distance to the nearest facility improves mining productivity and minimizes haulage costs.
CC&V has a fleet of Caterpillar 240-st class haulage trucks for ore and waste haulage.
A Mine Star Dispatch system is used to optimize fleet management. The dispatch system sends haulage assignments to trucks according to priorities set for the loading units and which loading unit requires a truck at that time.
From November to April, there is typically snow, fog, and freezing temperatures at the Property; however, there is generally a minimal amount of haulage downtime due to the weather.
| 13.5 | Life of Mine Plan |
The planned mining schedule is illustrated in Figure 13-7. Figure 13-4 presents the spatial layout of all reserve laybacks, final dumps, and VLF configurations included in this TRS. The LOM Plan includes Globe Hill phases 3B, 4, 5, 6A, 6B, 7A, and 7; Elkton; North Cresson; Dump 1; South Cresson 2; Schist Island 2B; South Cresson Ext; and East Cresson.
CC&V uses an NSR driven routing script when scheduling in MPSO. The script looks at individual block value and assumes incremental haulage and processing costs to determine the most economic material routing. Because all blocks being scheduled reside in the economic LG-guided pit design, mining unit cost is removed and only the haulage increment is applied as a mining cost.
| 13-22 | ![]() |
| SSR Mining Inc. | Cripple Creek and Victor Mine S-K 1300 Technical Report Summary | November 10, 2025 SLR Project No.: 123.020622.00001 |
Figure 13-7: Life of Mine Production Schedule

Figure 13-7: Tonnes Mined (thousands) 45,000 40,000 35,000 25,000 20,000 15,000 10,000 5,000 2025 2026 2027 2028 2029 2030 2031 2032 2033 2034 2035 2036 Mining Operating Cost ($/tonne moved) $4.00 $3.50 $3.00 $2.50 $2.00 $1.50 $1.00 $0.50 $0.00 Mined Waste Ore fill ROM to Pad Mining Cost ($/t)
SSR has evaluated and reworked the mining schedule to increase the mine life from 2031 to 2036. In situ Mineral Reserves included in the LOM plan are 226 Mt grading 0.37 opt yielding a contained gold amount of approximately 2.8 Moz. There is an additional 0.334 Moz in VLF inventory that will be recovered, which is not included in the Mineral Reserve statement. The average strip ratio is 0.65:1 (Waste:Ore). Life of mine total material to be mined is 373 Mt. The current schedule estimates about 85,000 tonnes per day moved. SLR concurs with this work.
The summary of the production schedule used to evaluate the CC&V operation is shown in Table 13-5. Key factors that influenced the mine and process schedule are listed below:
| · | Historical lagging indicators on annual production movement |
| o | 20 Mst to 24 Mst placed leach ore |
| o | 40 Mst to 43 Mst total material movement |
| · | Updated COG based on forecasted costs |
| o | 0.002 opt gold, shake leach extractable (SLEXT) |
| o | Due to VLF volume constraints, the material between 0.002 opt and 0.003 opt was routed as waste for the LOM plan. |
Additional constraints and factors considered in the LOM plan are listed below:
| · | Based on historical performance and GeoTech drilling, most of the property is considered hard rock. However, there is a large (approximately 62 Mt), highly weathered area in the Globe Hill complex known as the "Pipe" or Globe Hill Pipe. This area has been drilled and mapped, and the boundaries of the Pipe are well known and have been coded into the block model. This area has been reviewed by CC&V personnel and Newfields MDTS (the Engineer of Record [EOR] for the VLF), and it was determined that the Pipe material causes issues in kinetics and geotechnical |
| 13-23 | ![]() |
| SSR Mining Inc. | Cripple Creek and Victor Mine S-K 1300 Technical Report Summary | November 10, 2025 SLR Project No.: 123.020622.00001 |
| stability on the VLF if not blended with durable (hard rock) at a 1:1 ratio. For scheduling, a constraint was added to never exceed the 1:1 ratio of durable to non-durable. This constraint was honored until the very last year of the schedule where blending was not achieved due to lack of other durable options, which CC&V plans to remedy. The Non-Durable to Durable ratio max of 1:1, based on leach kinetics testing and GeoTech stability, was provided by Newfields. Stockpile (Dump 1) may be a source of durable material. The SLR QP recommends that CC&V continue its evaluation of Dump 1 material for economic mineralization and as a potential source of durable material for blending purposes on the VLF. |
| · | VLF design changes can impact the LOM schedule due to area constraints associated Phase 6 (Crusher Pocket) construction, which is needed to maintain adequate leach placement area in the life of mine plan. Approximately 100 koz of recoverable gold were not mined in the LOM plan due to the lack of available VLF construction area. |
| · | Granite Island/Stockpile (Dump 1) was included in the LOM plan. |
| · | Stockpile (Dump 1) is modeled and is a potential source of durable material. |
| · | All the Vindicator Valley design was left out of the LOM schedule at this time. |
| · | For Globe Hill – Phase 8 remains, as well as and some of Globe Hill – Phase 7. |
| · | The LOM Plan maintained a 1:1 durable:non to durable (competent to soft) blend ratio, which is necessary for leach slope stability. |
| · | Updated designs in North Cresson, Elkton, East Cresson, and South Cresson 7 contributed to additional waste from the previous plans, i.e., slightly higher strip ratios. |
| · | Both the permitted Cresson and WHEX pit backfills were scheduled in the LOM plan. |
| 13-24 | ![]() |
| SSR Mining Inc. | Cripple Creek and Victor Mine S-K 1300 Technical Report Summary | November 10, 2025 SLR Project No.: 123.020622.00001 |
Table 13-5: LOM Production Schedule – 2025 to 2036
| 2025 | 2026 | 2027 | 2028 | 2029 | 2030 | 2031 | 2032 | 2033 | 2034 | 2035 | 2036 | |||
| UNITS | TOTAL | Year 1 | Year 2 | Year 3 | Year 4 | Year 5 | Year 6 | Year 7 | Year 8 | Year 9 | Year 10 | Year 11 | Year 12 | |
| Mined Schedule | ||||||||||||||
| ROM Ore Mined | ||||||||||||||
| ROM to Crusher Ore Tonnes | '000 tonnes | 9,740 | 193 | 1,578 | 3,374 | 1,048 | 826 | 869 | 770 | 857 | 14 | 174 | 33 | 4 |
| ROM to Valley Leach Facility | '000 tonnes | 150,688 | 12,326 | 18,375 | 12,696 | 13,144 | 4,683 | 8,834 | 15,120 | 20,328 | 16,452 | 14,903 | 10,465 | 3,361 |
| Total ROM Ore | '000 tonnes | 160,428 | 12,519 | 19,953 | 16,070 | 14,192 | 5,509 | 9,703 | 15,891 | 21,185 | 16,466 | 15,077 | 10,498 | 3,365 |
| Waste Tonnes | '000 tonnes | 144,809 | 5,941 | 15,947 | 20,633 | 20,098 | 19,571 | 18,125 | 17,018 | 9,124 | 7,380 | 4,155 | 6,614 | 203 |
| Total Tonnes Mined | '000 tonnes | 305,237 | 18,460 | 35,899 | 36,703 | 34,290 | 25,080 | 27,828 | 32,908 | 30,309 | 23,846 | 19,232 | 17,112 | 3,568 |
| Strip Ratio | W:O | 0.90 | 0.47 | 0.80 | 1.28 | 1.42 | 3.55 | 1.87 | 1.07 | 0.43 | 0.45 | 0.28 | 0.63 | 0.06 |
| Tonnes moved per day | tpd | 70,000 | 50,575 | 98,354 | 100,557 | 93,944 | 68,714 | 76,242 | 90,159 | 83,039 | 65,333 | 52,690 | 46,883 | 9,775 |
| Tonnes stacked per day | tpd | 37,000 | 34,299 | 54,665 | 44,028 | 38,882 | 15,093 | 26,585 | 43,536 | 58,040 | 45,113 | 41,305 | 28,762 | 9,220 |
| Ore - Fill (Stockpile) | ||||||||||||||
| Ore Tonnes | '000 tonnes | 67,074 | 514 | 1,202 | 3,910 | 5,702 | 12,635 | 8,459 | 3,379 | 588 | 5,306 | 6,662 | 9,043 | 9,674 |
| Waste Tonnes | '000 tonnes | 1,553 | 102 | - | - | - | - | - | - | - | - | 179 | 1,104 | 167 |
| Total Tonnes Mined | '000 tonnes | 68,628 | 616 | 1,202 | 3,910 | 5,702 | 12,635 | 8,459 | 3,379 | 588 | 5,306 | 6,842 | 10,147 | 9,841 |
| Strip Ratio | W:O | 0.02 | 0.20 | - | - | - | - | - | - | - | - | 0.03 | 0.12 | 0.02 |
| Total Ore Mined | ||||||||||||||
| Ore Tonnes | '000 tonnes | 226,187 | 11,718 | 21,155 | 19,981 | 19,894 | 18,144 | 18,162 | 19,270 | 21,772 | 21,772 | 21,739 | 19,541 | 13,039 |
| Waste Tonnes | '000 tonnes | 146,362 | 6,043 | 15,947 | 20,633 | 20,098 | 19,571 | 18,125 | 17,018 | 9,124 | 7,380 | 4,335 | 7,718 | 370 |
| Total Tonnes Moved | '000 tonnes | 372,549 | 17,761 | 37,102 | 40,614 | 39,991 | 37,715 | 36,287 | 36,287 | 30,897 | 29,153 | 26,073 | 27,260 | 13,409 |
| Strip Ratio | W:O | 0.65 | 0.52 | 0.75 | 1.03 | 1.01 | 1.08 | 1.00 | 0.88 | 0.42 | 0.34 | 0.20 | 0.39 | 0.03 |
| Tonnes moved per day | tpd | 85,000 | 48,661 | 101,648 | 111,271 | 109,565 | 103,329 | 99,418 | 99,418 | 84,649 | 79,870 | 71,434 | 74,684 | 36,737 |
| Tonnes stacked per day | tpd | 52,000 | 32,104 | 57,959 | 54,742 | 54,503 | 49,709 | 49,760 | 52,794 | 59,651 | 59,651 | 59,558 | 53,538 | 35,723 |
| 13-25 | ![]() |
| SSR Mining Inc. | Cripple Creek and Victor Mine S-K 1300 Technical Report Summary | November 10, 2025 SLR Project No.: 123.020622.00001 |
Table 13-6: LOM Process Schedule – 2025 to 2051
| 2025 | 2026 | 2027 | 2028 | 2029 | 2030 | 2031 | 2032 | 2033 | 2034 | 2035 | 2036 | |||
| UNITS | TOTAL | Year 1 | Year 2 | Year 3 | Year 4 | Year 5 | Year 6 | Year 7 | Year 8 | Year 9 | Year 10 | Year 11 | Year 12 | |
| 1) Leach Feed Schedule | ||||||||||||||
| Rom to Crusher to Valley Leach Pad | '000 tonnes | 9,704 | 157 | 1,578 | 3,374 | 1,048 | 826 | 869 | 770 | 857 | 14 | 174 | 33 | 4 |
| Au Grade | g/t Au | 1.10 | 2.84 | 0.53 | 0.54 | 0.70 | 1.67 | 1.78 | 1.28 | 2.92 | 1.25 | 2.34 | 1.17 | 0.57 |
| Contained Au | oz | 344,617 | 14,333 | 26,815 | 58,741 | 23,456 | 44,279 | 49,835 | 31,695 | 80,525 | 575 | 13,068 | 1,225 | 71 |
| Average Recovery - Au | % | 55.8% | 47.6% | 64.2% | 52.8% | 54.4% | 78.6% | 63.7% | 56.1% | 41.6% | 69.2% | 44.5% | 35.3% | 0.54 |
| Total Recovered Au | oz | 192,235 | 6,821 | 17,202 | 30,990 | 12,748 | 34,782 | 31,738 | 17,765 | 33,508 | 398 | 5,811 | 433 | 39 |
| ROM to Valley Leach Pad | '000 tonnes | 149,260 | 10,898 | 18,375 | 12,696 | 13,144 | 4,683 | 8,834 | 15,120 | 20,328 | 16,452 | 14,903 | 10,465 | 3,361 |
| Au Grade | g/t Au | 0.36 | 0.33 | 0.35 | 0.36 | 0.36 | 0.36 | 0.37 | 0.39 | 0.38 | 0.32 | 0.35 | 0.36 | 0.36 |
| Contained Au | oz | 1,714,209 | 114,989 | 206,237 | 148,482 | 151,723 | 53,519 | 105,423 | 190,969 | 246,299 | 169,077 | 165,648 | 122,745 | 39,099 |
| Average Recovery - Au | % | 52.9% | 56.6% | 64.3% | 50.3% | 49.1% | 39.2% | 44.5% | 51.2% | 54.5% | 56.2% | 53.8% | 48.9% | 40.9% |
| Total Recovered Au | oz | 907,294 | 65,090 | 132,705 | 74,746 | 74,425 | 21,001 | 46,948 | 97,868 | 134,202 | 95,044 | 89,197 | 60,070 | 15,996 |
| Ore- Fill to Valley Leach Pad | '000 tonnes | 67,224 | 663 | 1,202 | 3,910 | 5,702 | 12,635 | 8,459 | 3,379 | 588 | 5,306 | 6,662 | 9,043 | 9,674 |
| Au Grade | g/t Au | 0.36 | 0.33 | 0.34 | 0.36 | 0.36 | 0.36 | 0.37 | 0.39 | 0.38 | 0.32 | 0.35 | 0.36 | 0.36 |
| Contained Au | oz | 773,653 | 6,956 | 13,233 | 45,339 | 65,815 | 144,391 | 100,942 | 42,681 | 7,121 | 54,531 | 74,051 | 106,067 | 112,525 |
| Average Recovery - Au | % | 46.8% | 56.5% | 60.7% | 48.9% | 49.1% | 39.2% | 44.5% | 51.2% | 54.5% | 56.2% | 53.8% | 48.9% | 40.9% |
| Total Recovered Au | oz | 362,251 | 3,928 | 8,038 | 22,160 | 32,284 | 56,661 | 44,953 | 21,873 | 3,880 | 30,654 | 39,875 | 51,908 | 46,037 |
| Total Ore to Leach Pad | '000 tonnes | 226,187 | 11,718 | 21,155 | 19,981 | 19,894 | 18,144 | 18,162 | 19,270 | 21,772 | 21,772 | 21,739 | 19,541 | 13,039 |
| Au Grade | g/t Au | 0.39 | 0.36 | 0.36 | 0.39 | 0.38 | 0.42 | 0.44 | 0.43 | 0.48 | 0.32 | 0.36 | 0.37 | 0.36 |
| Contained Au | oz | 2,832,479 | 136,279 | 246,285 | 252,562 | 240,993 | 242,189 | 256,199 | 265,345 | 333,945 | 224,183 | 252,767 | 230,037 | 151,696 |
| Average Recovery - Au | % | 51.6% | 55.6% | 64.1% | 50.6% | 49.6% | 46.4% | 48.3% | 51.8% | 51.4% | 56.2% | 53.4% | 48.9% | 40.9% |
| Total Recovered Au | oz | 1,461,781 | 75,839 | 157,945 | 127,896 | 119,458 | 112,444 | 123,638 | 137,507 | 171,591 | 126,097 | 134,882 | 112,411 | 62,072 |
| 2) Finished Goods Stkpl Movement (SSR) | ||||||||||||||
| Finished Gold Au into Stock | oz | 247,122 | 15,584 | 17,085 | - | - | - | 9,207 | 5,952 | 30,897 | 30,004 | 59,013 | 73,383 | 5,996 |
| Finished Gold Au out of Stock | oz | 581,476 | - | - | 9,156 | 26,456 | 6,291 | - | - | - | - | - | - | - |
| 2) Produced Metal | ||||||||||||||
| Total Produced Au | oz | 1,796,135 | 60,255 | 140,860 | 137,053 | 145,914 | 118,736 | 114,431 | 131,555 | 140,693 | 96,093 | 75,869 | 39,028 | 56,076 |
| 13-26 | ![]() |
| SSR Mining Inc. | Cripple Creek and Victor Mine S-K 1300 Technical Report Summary | November 10, 2025 SLR Project No.: 123.020622.00001 |
| 2037 | 2038 | 2039 | 2040 | 2041 | 2042 | 2043 | 2044 | 2045 | 2046 | 2047 | 2048 | 2049 | 2050 | |
| Year 13 | Year 14 | Year 15 | Year 16 | Year 17 | Year 18 | Year 19 | Year 20 | Year 21 | Year 22 | Year 23 | Year 24 | Year 25 | Year 26 | |
| 1) Leach Feed Schedule | ||||||||||||||
| Rom to Crusher to Valley Leach Pad | - | - | - | - | - | - | - | - | - | - | - | - | - | - |
| Au Grade | - | - | - | - | - | - | - | - | - | - | - | - | - | - |
| Contained Au | - | - | - | - | - | - | - | - | - | - | - | - | - | - |
| Average Recovery - Au | - | - | - | - | - | - | - | - | - | - | - | - | - | - |
| Total Recovered Au | - | - | - | - | - | - | - | - | - | - | - | - | - | - |
| ROM to Valley Leach Pad | - | - | - | - | - | - | - | - | - | - | - | - | - | - |
| Au Grade | - | - | - | - | - | - | - | - | - | - | - | - | - | - |
| Contained Au | - | - | - | - | - | - | - | - | - | - | - | - | - | - |
| Average Recovery - Au | - | - | - | - | - | - | - | - | - | - | - | - | - | - |
| Total Recovered Au | - | - | - | - | - | - | - | - | - | - | - | - | - | - |
| Ore- Fill to Valley Leach Pad | - | - | - | - | - | - | - | - | - | - | - | - | - | - |
| Au Grade | - | - | - | - | - | - | - | - | - | - | - | - | - | - |
| Contained Au | - | - | - | - | - | - | - | - | - | - | - | - | - | - |
| Average Recovery - Au | - | - | - | - | - | - | - | - | - | - | - | - | - | - |
| Total Recovered Au | - | - | - | - | - | - | - | - | - | - | - | - | - | - |
| Total Ore to Leach Pad | - | - | - | - | - | - | - | - | - | - | - | - | - | - |
| Au Grade | - | - | - | - | - | - | - | - | - | - | - | - | - | - |
| Contained Au | - | - | - | - | - | - | - | - | - | - | - | - | - | - |
| Average Recovery - Au | - | - | - | - | - | - | - | - | - | - | - | - | - | - |
| Total Recovered Au | - | - | - | - | - | - | - | - | - | - | - | - | - | - |
| 2) Finished Goods Stkpl Movement (SSR) | ||||||||||||||
| Finished Gold Au Into Stockpile | - | - | - | - | - | - | - | - | - | - | - | - | - | - |
| Finished Gold Au out of Stockpile | 53,179 | 50,433 | 47,828 | 45,358 | 43,015 | 40,793 | 38,686 | 36,688 | 34,793 | 32,996 | 31,292 | 29,676 | 28,143 | 26,690 |
| 2) Produced Metal | ||||||||||||||
| Total Produced Au | 53,179 | 50,433 | 47,828 | 45,358 | 43,015 | 40,793 | 38,686 | 36,688 | 34,793 | 32,996 | 31,292 | 29,676 | 28,143 | 26,690 |
Source: SSR 2025.
Notes: 1. Approximately 334,000 ounces recovered from 2037 to 2050 as the VLF continues to produce gold after the cessation of mining.
2. Fill refers to Stockpile (Dump 1) material.
| 13-27 | ![]() |
| SSR Mining Inc. | Cripple Creek and Victor Mine S-K 1300 Technical Report Summary | November 10, 2025 SLR Project No.: 123.020622.00001 |
| 13.6 | Mine Infrastructure |
CC&V contains all the necessary infrastructure to support open pit and VLF operations, which includes, but is not limited to the following:
| · | 3-bay truck shop (five truck capacity) and other maintenance structures |
| · | Wash bay |
| · | Explosive storage facilities |
| · | Fueling stations |
| · | Offices |
| · | Warehousing |
| · | Ready lines |
| · | Water storage for dust control |
| · | Communications |
| · | Truck dispatch |
| · | Waste water disposal |
| · | Topsoil stockpiles |
| · | On site roads |
| 13.7 | Mine Equipment |
Much of CCV’s current primary equipment can be considered mid-life to somewhat old. Given CC&V’s life of mine to 2036, CC&V plans to replace some of the equipment and only maintain the existing fleet through major and minor component replacement. In 2027, SSR plans to begin the replacement of major pieces of equipment, and this is expected to continue to 2034. Equipment replacement would not occur in the last two years of the mine life (2035 to 2036, inclusive).
Using historical availability percentage and utilization of availability percentage, total truck hours equate to approximately 16 CAT 793s operating out of a total of 21 available. Fleet replacement assumed site historical availability and average utilization of availability (UoA) at 82%. CC&V currently operates at 67% utilization, however, SSR has plans to increase this percentage.
Equipment maintenance facilities are adequate for current sizes, e.g., a production drill mast can be raised inside the 3-bay truck shop (five truck capacity). The SLR QP recommends completing a cost-benefit analysis to evaluate whether additional shop bays would improve equipment availabilities.
Table 13-7 lists the primary mobile mining equipment at CC&V as at September 2024. Table 13-8 lists the equipment required to achieve the LOM plan.
| 13-28 | ![]() |
| SSR Mining Inc. | Cripple Creek and Victor Mine S-K 1300 Technical Report Summary | November 10, 2025 SLR Project No.: 123.020622.00001 |
Table 13-7: Primary Mobile Mine Equipment Summary - September 2024
| CC&V Primary Production Equipment | Count | Average Hours (hr) |
Weighted Average Availability (%) |
Typical Make/Model |
| Lube Trucks | 3 | 85,980 | 95.6% | CAT 777B, 777C, 777D |
| Production Blasthole Drills | 7 | 51,544 | 89.5% | Drilltech 55P, 25KS, ACD65, Sandvik D25KS, DR400i |
| Track Dozers | 8 | 38,106 | 67.2% | CAT D6M, D8R, D10 |
| Rubber-Tired Dozers | 3 | 61,949 | 80.6% | CAT 834H-K, 854K |
| Production Loaders/Shovels | 4 | 63,541 | 82.3% | CAT 994, Letourneau 1850, CAT 994K, CAT 6060, Komatsu 5500-6 |
| Support Loaders | 5 | 48,736 | 71.9% | CAT 980, 988H, 993K |
| Haul Trucks | 21 | 88,523 | 78.6% | CAT 793D, 793F |
| Support Haul Trucks | 2 | 43,873 | 58.6% | CAT 777G, 793D |
| Graders | 4 | 65,905 | 68.7% | CAT 16M |
| Water Trucks | 3 | 24,305 | 67.6% | CAT 777G, 773 |
The major mining equipment required to achieve the 2025 LOM Plan are listed in Table 13-8.
Table 13-8: Open Pit Major Equipment Requirements
| Item/Purpose | Current Equipment | Peak Number |
| Hydraulic Shovels | 1 Komatsu 5500, 1 CAT 6060 | 2 |
| Front End Loaders | 1 Letourneau 1850, 1 CAT 994K | 2 |
| Haul Trucks | 11 CAT 793F, 5 CAT 793D, 1 CAT 777 | 17 |
| Production Drills | 3 Sandvik D55P, 1 Sandvick DR410i, 2 Sandvik D25KS | 6 |
| Probe Drills | 2 Epiroc D65 probe drills | 2 |
| Track Dozers | 4 CAT D10 Dozers | 4 |
| Rubber Tire Dozers | 2 CAT 834 Rubber Tire Dozers, 1 CAT 854 Rubber Tire Dozer | 3 |
| Graders | 3 CAT 16M Graders, and 1 CAT 24M Grader | 4 |
| Water Truck | 2 777G Water Truck, 1 CAT730 | 3 |
Mine support functions are performed using different quantities and types of equipment. These include water trucks, dozers, and graders as well as other non-operated ancillary equipment such as the radar highwall monitoring units. Mine support functions include ripping leach lifts after a panel is completed, monitoring slope stability, maintaining roads and access points, and developing exploration drill pads. This work is completed with a fleet of Caterpillar D8, D10, and D6 class track dozers and Caterpillar 16M motor graders.
| 13-29 | ![]() |
| SSR Mining Inc. | Cripple Creek and Victor Mine S-K 1300 Technical Report Summary | November 10, 2025 SLR Project No.: 123.020622.00001 |
| 13.8 | Mine Safety |
CC&V has one mine rescue and emergency response team, which is trained to competently assess accident conditions, fight fires and certified EMT's trained to provide medical aid. There is a Mine Rescue truck equipped with rescue and medical equipment, one Aircraft Rescue Fire Fighting (ARFF) apparatus available on site, a rescue trailer that is used in emergencies. The Property is set up with hydrants and appropriate connectors, hoses, and wrenches at strategic locations. For mobile equipment fires, the Property is set up with large water trucks equipped with water cannons, and a 4,000-gallon holding tank to support the ARFF.
CC&V also has access to and can call either the Cripple Creek Fire Department (2 mi away) or Woodland Park Fire Department (22-mi away), when required. There is a monthly training session for the CC&V mine rescue team to ensure effective participation in any recovery operations, fire suppression and patient transport in the event of a mine incident. There is an established Heli Pad, and the local Life Flights have GPS coordinates of the Heli Pad.
| 13-30 | ![]() |
| SSR Mining Inc. | Cripple Creek and Victor Mine S-K 1300 Technical Report Summary | November 10, 2025 SLR Project No.: 123.020622.00001 |
| 14.0 | Processing and Recovery Methods |
| 14.1 | Summary |
CC&V employs conventional open-pit mining methods and utilizes two valley leach facilities (VLF 1 and VLF 2) for gold recovery. Each leach facility is integrated with its own dedicated adsorption-desorption-recovery (ADR) plant. VLF 1, situated in the Arequa Gulch area, is serviced by ADR 1, while solution from VLF 2, located in the Squaw Gulch area, is treated by ADR 2. The valley leach facilities are positioned in the southwestern side of the property; VLF 1 is located to the south, while VLF 2 lies directly north of VLF 1, as illustrated in Figure 14-1. Active stacking in on VLF 2 only.
Approximately 5% of the ore in the LOM Plan is expected to be crushed, with the remaining ore expected to be stacked on VLF 2 as ROM material. For the crushed ore, processing begins at the crushing facility, which consists of a primary 60 x 89 Svedala Type NT gyratory crusher, followed by a Nordberg MP1000 secondary cone crusher. The average throughput of the crushing plant is 2,778 tph (3,062 stph) or 50,000 tpd (55,000 stpd) with an operating availability of 75%, producing a final crushed product with a P100 19 mm (0.75 inches).
| 14-1 | ![]() |
| SSR Mining Inc. | Cripple Creek and Victor Mine S-K 1300 Technical Report Summary | November 10, 2025 SLR Project No.: 123.020622.00001 |
Figure 14-1: Valley Leach Facility 1 and 2 Locations

Figure 14-1: Cripple Creeck VLF 2 VLF 1 SSR Mining Inc. Cripple Creek and Victor Mine Teller County, Colorado, USA Valley Leach Facility 1 and 2 Locations
| 14-2 | ![]() |
| SSR Mining Inc. | Cripple Creek and Victor Mine S-K 1300 Technical Report Summary | November 10, 2025 SLR Project No.: 123.020622.00001 |
VLF 1 predominantly contains crushed ore, with a cumulative total of approximately 369 Mst placed since operations began in 1994. Ore stacking on VLF 1 concluded in 2015; however, the leaching process remains ongoing through continued injection of barren solution. This is primarily accomplished via jet injection methods, with current solution flow rates ranging between 7,000 and 10,000 gallons per minute (gpm). Approximately 237 injection wells have been installed across the VLF to facilitate efficient solution distribution and sustained recovery.
Active ore placement on VLF 2 commenced in late 2015. By the end of March 2025, approximately 212 Mst of ore had been stacked. The majority of material placed on VLF 2 is lower-grade ROM ore, with approximately 5% being routed through a primary crusher prior to stacking. The decision to crush or directly stack ore is based on ore grade and recovery potential as determined through ongoing metallurgical testing. Currently, an average of 65,000 st of ore per day is stacked at VLF 2, with barren solution application rates of approximately 17,000 gpm.
Table 14-1 summarizes the development timeline and expansion history of the valley leach facilities, highlighting increases in both leach area (m2) and total ore capacity (Mst).
Table 14-1: Valley Leach Facility (VLF) 1 and 2 Construction and Capacity History
| Facility | Phase2 | Date Permitted | Date Constructed | Area (m2) |
Ore Capacity (Mt) |
Stacked Tonnage1 (Mt) |
Stacked oz (koz) |
| VLF 1 | I | 1994 | 1996 | 334,450.8 |
54.4 49.9 |
N/A | 1,958.6 |
| II | 362,321.7 | N/A | 1,862.8 | ||||
| III | 1999 | 2000 | 120,773.9 | N/A | 1,079.8 | ||
| IV | 2000 | 2004 | 724,643.4 | 133.8 | |||
| 5 | 2008 | 2011 | 594,579.2 | N/A | N/A | 723.2 | |
| Total | 2,136,769.0 | 188.2 | 334.4 | 5,624.5 | |||
| VLF 2 | 1 | 2012 | 2016 | 594,579.2 | 185.1 | 193.1 | 1,859.6 |
| 2 | |||||||
| 3 | 2021 | 2023 | 743,224.0 | 107.0 | |||
| Total | 1,337,803.2 | 292.1 | 193.1 | 7,484.1 | |||
|
Note: 1. N/A - Information not available by phase. 2. For VLF 1 phases I through IV, the historical naming convention used Roman numerals. This naming convention has been maintained throughout this report. | |||||||
Barren solution generated from the respective ADR plants is applied to the surface of the crushed ore within the VLFs. This solution percolates vertically through the ore beds, dissolving gold and forming a pregnant leach solution (PLS), which is collected in engineered, double-lined ponds located beneath each facility. The recovered PLS is then conveyed to the Process Solution Storage Areas (PSSAs) and pumped back to the ADR plants for gold recovery. VLF 1 is equipped with four PSSAs and VLF 2 utilizes two, with distribution managed by dedicated PLS pumps located at ADR 1 and ADR 2, respectively.
Solution recirculation is maintained at a relatively steady rate to ensure consistent metallurgical performance. Nonetheless, slight variations in circulation volumes occur because of water losses attributed to ore moisture retention, evaporation, and precipitation across the VLF surfaces. To maintain hydraulic balance and support ADR plant operations, fresh water is routinely added as makeup. This
| 14-3 | ![]() |
| SSR Mining Inc. | Cripple Creek and Victor Mine S-K 1300 Technical Report Summary | November 10, 2025 SLR Project No.: 123.020622.00001 |
water serves not only to offset losses but also fulfills specific operational demands within the ADR circuit systems.
In parallel with leach operations, a standalone grinding-flotation plant (the Mill) was previously commissioned to process refractory sulfide and telluride ores, enabling the production of flotation concentrates. However, due to limited sulfide ore availability, the Mill was placed into care and maintenance status in Q1 2022.
The Mill was designed to process ore at a nominal rate of 275 short tons per hour (stph). The grinding circuit comprises a 14.2 ft × 21.1 ft rod mill powered by a 1,900-hp motor operating in open circuit, followed by a 14.2 ft × 26.4 ft ball mill with a 3,000-hp drive in closed circuit with hydrocyclones.
When in operation, approximately 50% of the cyclone underflow is treated via a centrifugal gold concentrator for gravity recovery, while the cyclone overflow is fed to a rougher flotation train consisting of five tank cells in series. Rougher tailings, considered the final tails, are thickened, filtered, and transported to the VLFs for further gold extraction. The rougher concentrate is routed through a cleaning circuit comprising a column flotation cell followed by two cleaner scavenger cells in series. The final cleaner concentrate is then thickened, filtered, and stockpiled for shipment to an off-site sulfide processing facility. Flotation tailings have not been placed on VLF 2 since 2022, and there are no current plans to restart this practice.
| 14.2 | Valley Leach Facilities |
| 14.2.1 | Valley Leach Facility 1 |
Pregnant solutions from each phase of the VLF 1 report to a PSSA with the same number, except for Phase III, which is integrated with Phase 4 and reports to PSSA 4. Application of barren solution across VLF 1 is primarily achieved through a network of subsurface injection wells, designed to enhance solution distribution and recovery efficiency across the leach facility.
The VLF 1 – ADR 1 circuit also includes the Process Solution Enhancement System (PSES), which acts as a solution conditioner prior to processing at ADR 1. VLF 1 Phases I and II had low pHs in the range of 7 to 8, and solutions from Phases 4 and 5 contain impurities such as manganese. These impurities foul the activated carbon and can plug drip irrigation lines on VLF 1. The PSES circuit adds milk of lime to the combined solutions to increase the ADR 1 feed pH to an overall pH10 or higher and removes the resulting manganese precipitates from solution with series of thickeners and clarifiers; at both ADR facilities, cyanide cannot be added if the solution pH is below 9.
A simplified process flow diagram illustrating the configuration of VLF 1 and its associated ponds is presented in Figure 14-2.
| 14-4 | ![]() |
| SSR Mining Inc. | Cripple Creek and Victor Mine S-K 1300 Technical Report Summary | November 10, 2025 SLR Project No.: 123.020622.00001 |
Figure 14-2: Valley Leach Facility I Simplified Flow Diagram

Figure 14-2: SSR Mining Inc. Cripple Creek and Victor Mine Teller County, Colorado, USA Valley Leach Facility | Simplified Block Diagram Phase 1 Phase 2 Phase 4 Phase 5 Preg Tank ADR Plant Stabilization Tank Soda Ash Enrich, Tank Barren Tank C-Train A-Train B-Train D-Train E-Train CoMag Magnetite Train 1 Train 2 Anionic Polymer Coagulant Caustic Soda CoMag Clarier Solids Thickener/Storage Anionic Polymer Diatomaceous Earth Filter Press Solids returned to VLF1 Legend: Existing Flow Stream Stream Temporarily Oine Temporary Stream New Flow Stream Reagent Valve Existing Flow Meter New Flow Meter Existing Wire Sampler New Wire Sampler Source: SSR 2025.
| 14-5 | ![]() |
| SSR Mining Inc. | Cripple Creek and Victor Mine S-K 1300 Technical Report Summary | November 10, 2025 SLR Project No.: 123.020622.00001 |
The Carbon-in-Column (CIC) circuit consists of five independent trains, designated Trains A through E, with a combined total surface area of 45.7 m2. Based on a nominal solution loading rate of 48.9 m3/h·m2, the system can process a total flow of approximately 2,234 m3/h (9,838 gpm). Table 14-2 provides a summary of the CIC column dimensions along with key operational measurements recorded as of March 2025.
Table 14-2: ADR 1 CIC Column Dimensions and March 2025 Measurements
| ADR 1 | Unit | Train A | Train B | Train C | Train D | Train E |
| Tank Diameter | m | 3.0 | 3.0 | 3.8 | 4.0 | 3.2 |
| Tank Height | m | 2.3 | 2.3 | 2.8 | 2.2 | 2.4 |
| Downcomer Diameter | m | 4.3 | 4.3 | 6.7 | 6.7 | 4.3 |
| Tank Surface Area | m2 | 7.2 | 7.2 | 11.3 | 12.1 | 7.9 |
| March 2025 | Unit | Train A | Train B | Train C | Train D | Train E |
| Flow | m3h | 0.0 | 0.0 | 1,013.3 | 510.3 | 524.8 |
| Density | g/L | 648.0 | 648.0 | 648.0 | 648.0 | 648.0 |
| Liquid Loading | m3/h·m2 | 0.0 | 0.0 | 90.0 | 42.3 | 66.0 |
| Bed Expansion | % | 0.0 | 0.0 | 92.9 | 30.4 | 57.9 |
VLF 1 currently contains approximately 334 Mt of ore, stacked between 1995 and 2015, with an estimated 9.307 Moz of contained gold stacked, 5.782 Moz of recoverable gold stacked, and 5.383 Moz of gold poured indicating a leach recovery of 57.8% of the contained gold stacked. Leaching operations are expected to continue through the up to 2050. Figure 14-3 presents the gold ounces stacked and poured during the period.
| 14-6 | ![]() |
| SSR Mining Inc. | Cripple Creek and Victor Mine S-K 1300 Technical Report Summary | November 10, 2025 SLR Project No.: 123.020622.00001 |
Figure 14-3: VLF 1 Recoverable Stacked Ounces and Ounces Poured Between Years 1994 and February 2025

Figure 14-3: VLF-1 Stacked & Recovered Ounces (koz) Gold Ounces (koz) 400 350 300 250 200 150 100 50 0 1994 1995 1996 1997 1998 1999 2000 2001 2002 2003 2004 2005 2006 2007 2008 2009 2010 2011 2012 2013 2014 2015 2016 2017 2018 2019 2020 2021 2022 2023 2024 2025 Phase I Stacked Ounces (oz) Phase II Ounces Recovered (oz) Phase II Stacked Ounces (oz) Phase IV Ounces Recovered (oz) Phase IV Stacked Ounces (oz) Phase V Ounces Recovered (oz) Phase V Stacked Ounces (oz) Total Ounces Recovered (oz) Phase I Ounces Recovered (oz)
The historical maximum monthly throughput for ADR 1 reached 3.236 Mst of pregnant solution. Between February 2024 and February 2025, a total of 18.028 Mst of pregnant solution was processed through ADR 1, with an average gold grade of 00593 g/t. During this period, the plant operated at an average of 52 carbon strip cycles per month, yielding approximately 37 ounces of gold per strip. ADR 1 solution feed tons and grades are illustrated in Figure 14-4.
| 14-7 | ![]() |
| SSR Mining Inc. | Cripple Creek and Victor Mine S-K 1300 Technical Report Summary | November 10, 2025 SLR Project No.: 123.020622.00001 |
Figure 14-4: VLF 1 PLS Feed Tons and Grades between February 2024 and February 2025

Figure 14-4: VLF-1 PLS Feed Tons & gold Grade (g/t) PLS Feed (t) Thousands 1,800 1,600 1,400 1,200 1,000 800 600 400 200 0 Feb-24 Mar-24 Apr-24 May-24 Jun-24 Jul-24 Aug-24 Sep-24 Oct-24 Nov-24 Dec-24 Jan-25 Feb-25 Au Grade (g/t) 0.10000 0.09000 0.08000 0.07000 0.06000 0.05000 0.04000 0.03000 0.02000 0.01000 0.00000 PLS Feed (t) PLS Feed Grade (g/t)
| 14.2.2 | Valley Leach Facility 2 |
VLF 2 was constructed as a single integrated leach facility, subdivided into three operational phases. Pregnant solutions from VLF 2 Phases 1 and 3 report to PSSA 1 and PSSA 3. The solutions are pumped from the PSSAs to ADR 2 where they are processed in 4 trains for carbon adsorption (CIC) columns.
The VLF 2 - ADR 2 circuit includes the Booster Station that is approximately 122 m higher than the ADR facility and is required for ADR 2 to pump solution to the 3,109 MASL elevation or higher.
A simplified block diagram illustrating the layout and flow path for VLF 2 is provided in Figure 14-5.
| 14-8 | ![]() |
| SSR Mining Inc. | Cripple Creek and Victor Mine S-K 1300 Technical Report Summary | November 10, 2025 SLR Project No.: 123.020622.00001 |
Figure 14-5: Valley Leach Facility 2 Simplified Flow Diagram

Figure 14-5: VLF2 Phase 1 VLF2 Phase 3 Phase 3 Rich Pumps Dropbox Phase 1 Rich Pumps ADR2 Plant F-Train G-Train H-Train J-Train Loaded carbon to acid wash, elution, regen, and refinery Spent Tank Source: SSR 2025
Source: SSR 2025
The CIC circuit at ADR 2 comprises four trains, designated Trains F through J, with a combined surface area of 59.6 m2. Operating at a design specific solution flow rate of 48.9 m3/h·m2 (20 gpm/ft²), the system supports a total flow capacity of approximately 2.918 m3/h (12,848 gpm).
Table 14-3 presents the dimensional specifications of each CIC column, along with operational measurements recorded as of March 2025.
Table 14-3: ADR 2 CIC Column Dimensions and March 2025 Measurements
| ADR 2 | Unit | Train F | Train G | Train H | Train J |
| Tank Diameter | m | 4.4 | 4.4 | 4.4 | 4.4 |
| Tank Height | m | 2.0 | 2.0 | 2.0 | 2.0 |
| Downcomer Diameter | m | 0.0 | 0.0 | 0.0 | 0.0 |
| Tank Surface Area | m2 | 14.9 | 14.9 | 14.9 | 14.9 |
| Mar-25 | Unit | Train A | Train B | Train C | Train D |
| Flow | m3h | 853.7 | 969.0 | 999.9 | 968.6 |
| Density | g/l | 639.0 | 639.0 | 639.0 | 639.0 |
| Liquid Loading | m3/h·m2 | 57.2 | 65.0 | 67.0 | 65.0 |
| Bed Expansion | % | 46.4 | 56.5 | 59.2 | 56.4 |
As of February 2025, VLF 2 contains approximately 193 Mst of ore stacked between 2015 and 2025, with an estimated 3.83 Moz of contained gold, 1.84 Moz of recoverable gold and 1.65 Moz of gold
| 14-9 | ![]() |
| SSR Mining Inc. | Cripple Creek and Victor Mine S-K 1300 Technical Report Summary | November 10, 2025 SLR Project No.: 123.020622.00001 |
poured indicated a gold recovery for VLF 2 of 42.4% of contained ounces. Figure 14-6 illustrates the VLF 2 recoverable gold ounces stacked and recovered gold ounces poured for the period. According to the current mine plan, ore stacking on VLF 2 is scheduled to continue through the end of 2028, and leaching is expected to continue to 2050.
Figure 14-6: VLF 2 Recoverable Ounces Stacked and Recovered Ounces Poured Between Years 2015 and 2025

Figure 14-6: VLF-II Stacked & Recovered Ounces (oz) Gold Ounces (oz) Thousands 300 250 200 150 100 50 0 2015 2016 2017 2018 2019 2020 2021 2022 2023 2024 2025 Stacked Ounces (oz) Recovered Ounces (oz)
From February 2024 to February 2025, 24,948,010 t of ore were stacked on VLF 2 at an average recoverable gold grade of 0.234 g/t, as illustrated in Figure 14-7.
| 14-10 | ![]() |
| SSR Mining Inc. | Cripple Creek and Victor Mine S-K 1300 Technical Report Summary | November 10, 2025 SLR Project No.: 123.020622.00001 |
Figure 14-7: VLF 2 Stacked Tons and Recoverable Gold Grade Between February 2024 and February 2025

Figure 14-7: VLF-2 Stacked Tons & Recoverable Gold Grade (g/t) Ore Stacked (t) Thousands 5000 4500 4000 3500 3000 2500 2000 1500 1000 500 0 Feb-24 Mar-24 Apr-24 May-24 Jun-24 Jul-24 Aug-24 Sep-24 Oct-24 Nov-24 Dec-24 Jan-25 Feb-25 Au Grade (g/t) 0.350 0.300 0.250 0.200 0.150 0.100 0.050 0.000 Tons Stacked (t) Recoverable Au Grade (g/t) Avg. Recoverable Au Grade (g/t)
The historical peak monthly throughput for ADR 2 was 3.316 Mst of pregnant solution. Between February 2024 and February 2025, the facility processed a total of 35.909 Mst of pregnant solution at an average gold grade of 0.1354 g/t. During this period, ADR 2 operated at an average frequency of 82 carbon strip cycles per month, with each strip yielding approximately 135 ounces of gold, as depicted in Figure 14-6 and Figure 14-8.
| 14-11 | ![]() |
| SSR Mining Inc. | Cripple Creek and Victor Mine S-K 1300 Technical Report Summary | November 10, 2025 SLR Project No.: 123.020622.00001 |
Figure 14-8: VLF 2 PLS Feed Solution Tons and Gold Grades Between February 2024 and February 2025

Figure 14-8: VLF-2 PLS Feed Tonnes & Gold Grade (g/t) PLS Feed (t) Thousands 3,100 3,000 2,900 2,800 2,700 2,600 2,500 2,400 2,300 Feb-24 Mar-24 Apr-24 May-24 Jun-24 Jul-24 Aug-24 Sep-24 Oct-24 Nov-24 Dec-24 Jan-25 Feb-25 Au Grade (g/t) 0.25000 0.20000 0.15000 0.10000 0.05000 0.00000 PLS Feed (t) PLS Au Grade (g/t)
| 14-12 | ![]() |
| SSR Mining Inc. | Cripple Creek and Victor Mine S-K 1300 Technical Report Summary | November 10, 2025 SLR Project No.: 123.020622.00001 |
Figure 14-9: VLF 1 and VLF 2 Number of Strips and Average Ounces per Strip between March 1, 2024 and February 2025

Figure 14-9 VLF-1 and 2 Number of Strips vs Ouncers per strip (oz) Number of Strips 160 140 120 100 80 60 40 20 0 Mar-24 Apr-24 May-24 Jun-24 Jul-24 Aug-24 Sep-24 Oct-24 Nov-24 Dec-24 Jan-25 Feb-25 Ounces per Strip (oz) 200 180 160 140 120 100 80 60 40 20 0 VLF I Number of Strips VLF I Ounces per strip (oz) VLF II Number of strips VLF II Ounces per strip (oz)
Leach recovery for ore placed on the VLFs is estimated based on historical column leach test results summarized in Section 10.0 Mineral Processing and Metallurgical Testing, correlating fire assay and cyanide-soluble gold grades to overall leach performance.
As of the end of February 2025, the project-to-date leach recovery for VLF 1 is estimated at 57.8% of contained ounces stacked, corresponding to approximately 5.382 million ounces of recovered gold poured. For VLF 2, the recovery is approximately 42.4% of contained gold stacked, equating to 1.66 million ounces of recovered gold poured. The overall recovery for VLF 1 and VLF 2 is approximately 53.6% of contained gold ounce stacked.
| 14.2.3 | VLF Future Expansion Projects |
The existing VLFs have been constructed in multiple phases:
| · | VLF 1 – Phase 5 is the most recently completed (2011). |
| · | VLF 2 – Phase 3 is the most recently completed (2024). |
Proposed expansions include VLF 1 Phase 6 (VLF 1-6) and VLF 2 Phase 4 (VLF 2-4), which aim to increase the leach facility areas by approximately 4.4 million ft2 and 4.1 million ft2, respectively. A multiple accounts assessment (MAA) was conducted for the conceptual design for these options by NewFields, in addition to the detailed engineering for permitting. VLF 2-4 is being prioritized for near-term implementation, while VLF 1-6 is considered a contingency option for future capacity requirements.
Figure 14-10 and Figure 14-11 present the layouts of the proposed VLF expansion areas.
| 14-13 | ![]() |
| SSR Mining Inc. | Cripple Creek and Victor Mine S-K 1300 Technical Report Summary | November 10, 2025 SLR Project No.: 123.020622.00001 |
Figure 14-10: VLF 1 Phase 6 and VLF 2 Phase 4 Expansions

Figure 14-10: Legend: Existing Ground Contours Proposed VLF Liner Granding Contours Proposed Grading Extents for Liner Installation Proposed VLF 1 Phase 6 PSSA Extents Existing Geomembrane Boundary Existing Topsoil Stockpile Boundary Existing Geomembrane VLF2 Phase 4 Mill Expansion Proposed Geomembrane VLF1 Phase 6 Crusher Pocket Proposed Geomembrane As-built Seismic Refraction Survey As-built Test Pit AS-BUILT TEST PIT LOCATIONS ID# NORTHING RASTING TP23-01 TP23-02 TP23-03 TP23-04 TP23-05 TP23-06 TP23-07 TP23-08 TP23-09 TP23-10 TP23-11 TP23-12 TP23-13 TP23-14 TP23-15 TP23-16 TP23-17 TP23-18 TP23-19 56,843.17 55,989.02 55,062.02 54,832.49 54,218.16 54,304.29 54,299.05 54,008.59 53,995.98 53,463.07 53,571.80 53,245.93 53,169.70 52,885.99 52,601.55 52,675.45 52,152.24 52,405.95 55,656.59 38,515.86 38,546.42 38,192.99 38,058.70 35,523.83 35,819.06 38,154.02 38,526.77 38,781.84 38,147.75 39,009.84 38,736.54 39,166.77 38,684.87 39,112.17 38,059.37 38,349.17 37,857.56 38,473.69 AS-BUILT SEISMIC REFRACTION SURVEY LINE ID A-A' B-B' D-D' E-E' F-F' G-G' H-H' I-I' J-J' K-K' TOTAL LENGTH 570 360 340 750 425 150 750 190 820 350 5,005 SSR Mining Inc. Cripple Creek and Victor Mine Teller County, Colorado, USA VLF Phase 6 and VLF 2 Phase 4 Expansions Source: NewFields 2024.
| 14-14 | ![]() |
| SSR Mining Inc. | Cripple Creek and Victor Mine S-K 1300 Technical Report Summary | November 10, 2025 SLR Project No.: 123.020622.00001 |
Figure 14-11: VLF 1 and VLF 2 Expansions

Figure 14-11: Legend: Existing Ground Contours As-Built VLF2 Phase 3 Stage A Ground Contours Proposed Ground Contours Proposed VLF2 Phase 3 Stage B Ground Contours Existing Roads/Trails Existing Drainages Existing Fence Existing Structure Limits of existing geomembrane (80 mil LLDPE Geomembrane) Limits of Proposed Geomembrane to be installed 2025 (80 mil LLPDE Geomembrane) Limits of VLF2 Phase 4 Stage A Geomembrane (80 mil LLDPE Geomembrane) Limits of VLF2 Phase 4 Stage B Geomembrane (80 mil LLDPE Geomembrane) Limits of VLF1 Phase 6 Stage A Geomembrane (80 mil LLDPE Geomembrane) Limits of VLF1 Phase 6 Stage B Geomembrane (80 mil LLDPE Geomembrane) Limits of VLF1 Phase 6 PSSA Geomembrane (100 mil LLDPE Geomembrane) Source: NewFields 2024. Notes: 1. Proposed contours represent top of primary geomembrane within the geomembrane limits and finished grade everywhere else. 2. All finished slopes within the geomembrane limits shall be shallower than a 2H:1V Slope or 1.5H:1V outside the geomembrane limits, unless approved by the engineer or the owner. SSR Mining Inc. Cripple Creek and Victor Mine Teller County, Colorado, USA VLF 1 and VLF 2 Expansions
| 14-15 | ![]() |
| SSR Mining Inc. | Cripple Creek and Victor Mine S-K 1300 Technical Report Summary | November 10, 2025 SLR Project No.: 123.020622.00001 |
The general design of the VLF expansions consists of a geomembrane-lined facility extension and the addition of a new, dedicated Process Solution Storage Area (PSSA) for VLF 1-6. This PSSA will be constructed within the footprint of the existing crusher area, with its containment embankment positioned along the eastern edge of the VLF 1-6 expansion zone. The VLF 2-4 expansion is designed to drain toward the existing VLF 2. Implementation of this phase will necessitate the demolition of the existing mill and may also require modifications or replacement of adjacent process infrastructure, such as the barren booster station.
| 14.3 | Leaching |
| 14.3.1 | Drip Irrigation |
Drip irrigation is the primary method for distributing barren process solution across VLF 2, with nearly all solution routed through drip tubing systems. This method enables uniform and controlled application rates, making it the preferred technique during the primary leach cycle for both operational efficiency and metallurgical performance. Side slope leaching is also performed using drip irrigation.
When side slopes are regraded to the final reclamation angle of 2.5:1 (H:V), the drip irrigation setup mirrors that of the flat surface areas, facilitating consistent application. Angle-of-repose side slopes often require a veneer of crushed or fine material to enable effective irrigation and reduce runoff losses.
Across all applications, the targeted solution application rate on the VLFs is maintained at 0.005 gpm/ft2, ensuring optimal solution distribution for leaching performance and operational control.
| 14.3.2 | Jet Injection |
Barren solution injection is permitted for use on both VLF 1 and VLF 2, with injection depths varying by location. As per permit requirements, injection must occur no less than 100 ft above the liner to prevent any potential disturbance or damage to the containment system. Injection wells are constructed using 6 5/8-inch outer diameter (OD) steel casing, with perforations spaced 10 ft out of every 20 ft, as illustrated in Figure 14-12. The top 100 ft of each well remain unperforated to ensure that the injected solution does not interact with surface ore or reclaimed side slopes.
Most injection wells require dedicated injection well pumps to deliver solution at the necessary pressure. However, select wells are capable of operating off existing plant pressure where sufficient. Injection pump skids are transported to target wells and deployed using crane trucks, which lower an inner casing to the base of the well where injection begins. Injection operations are conducted one 10-ft perforated interval at a time. Packers are used to isolate each interval and restrict solution flow to the targeted zone.
Operational constraints are listed below, which should not be exceeded at any time.
| · | Maximum flow per injection zone: 1,600 gpm |
| · | Permissible pressure range: 119 psi to 350 psi, depending on depth as shown in Table 14-4. |
| 14-16 | ![]() |
| SSR Mining Inc. | Cripple Creek and Victor Mine S-K 1300 Technical Report Summary | November 10, 2025 SLR Project No.: 123.020622.00001 |
Table 14-4: Injection Pressure Determination at Each Zone
| Injection Zone (#) |
Pressure (psi) |
Max Flow (gpm) |
| 110 | 119 | 1600 |
| 130 | 138 | 1600 |
| 150 | 156 | 1600 |
| 170 | 175 | 1600 |
| 190 | 195 | 1600 |
| 210 | 215 | 1600 |
| 230 | 235 | 1600 |
| 250 | 256 | 1600 |
| 270 | 277 | 1600 |
| 290 | 295 | 1600 |
| 310 | 316 | 1600 |
| 330 | 336 | 1600 |
| 350 | 350 | 1600 |
| 370 | 350 | 1600 |
| 390 | 350 | 1600 |
| 410 | 350 | 1600 |
| 430 | 350 | 1600 |
| 450 | 350 | 1600 |
| 470 | 350 | 1600 |
| 490 | 350 | 1600 |
| 510 | 350 | 1600 |
| 530 | 350 | 1600 |
| 550 | 350 | 1600 |
| 570 | 350 | 1600 |
| 590 | 350 | 1600 |
| 14-17 | ![]() |
| SSR Mining Inc. | Cripple Creek and Victor Mine S-K 1300 Technical Report Summary | November 10, 2025 SLR Project No.: 123.020622.00001 |
Figure 14-12: Schematic Diagram Showing Typical Injection Well Configuration

Figure 14-12 6 5/8"00 ASTM - A53 Grade B Casing No Perforations Standard Configuration 20 ft 10 ft 100 ft Leach Pad Liner SSR Mining Inc. Cripple Creek and Victor Mine Colorado, USA Schematic Diagram Showing Typical Injection Well Configuration Source: xxx.
| 14-18 | ![]() |
| SSR Mining Inc. | Cripple Creek and Victor Mine S-K 1300 Technical Report Summary | November 10, 2025 SLR Project No.: 123.020622.00001 |
Since 2010, the jet injection method has served as the primary secondary leaching system on VLF 1, designed to recover residual gold that was not extracted during the initial primary leach cycle. This method has proven highly effective, with over 50% of the total solution volume being applied through injection rather than surface application.
Approximately 237 injection wells have been installed on VLF 1 to date, primarily targeting deep areas of the VLF, areas near the angle of repose side slopes, or areas that struggled with solution chemistry during the primary leach cycle.
Figure 14-13 provides a layout of the existing injection well network.
Currently, no injection wells have been drilled for VLF 2.
| 14-19 | ![]() |
| SSR Mining Inc. | Cripple Creek and Victor Mine S-K 1300 Technical Report Summary | November 10, 2025 SLR Project No.: 123.020622.00001 |
Figure 14-13: VLF 1 Injection Well Locations

Figure 14-13: Legend: Injection Well Leach Pad SSR Mining Inc. Cripple Creek and Victor Mine Teller County, Colorado, USA VLF 1 Injection Well Locations Source: Newmont 2024.
| 14-20 | ![]() |
| SSR Mining Inc. | Cripple Creek and Victor Mine S-K 1300 Technical Report Summary | November 10, 2025 SLR Project No.: 123.020622.00001 |
| 14.3.3 | Process Solution Storage Area (PSSA) and ADR Operation |
The ADR operations work in close coordination with VLF operations to ensure safe and efficient production while maintaining a stable site-wide water balance. The ADR team is responsible for operating all critical solution pumps, including pregnant solution pumps, barren solution pumps, and barren transfer pumps.
The ADR plant feed must be balanced between the PSSAs on each leach facility, being Phases I, II, IV, and V on ADR 1 and Phases 1 and 3 for ADR 2. PSSA solution levels are continuously monitored, and feed blend adjustments are made as needed to maintain all PSSAs within their designated operational limits. The CC&V Trigger Action Response Plan (TARP) for PSSA levels allows for operation within 60% of capacity for all PSSAs, and exceeding this threshold triggers operational escalation protocols to mitigate risk and maintain compliance.
| 14.4 | Milling |
The existing milling and flotation facility is currently being dismantled and sold to support the planned expansions of VLF 2.
| 14-21 | ![]() |
| SSR Mining Inc. | Cripple Creek and Victor Mine S-K 1300 Technical Report Summary | November 10, 2025 SLR Project No.: 123.020622.00001 |
| 15.0 | Infrastructure |
| 15.1 | Access Roads |
Access to the mine site is within a mile of public roads in the vicinity of Cripple Creek and Victor. The usual access to the area is west from Colorado Springs on State Highway 24 (about 25 miles) to the community of Divide, then south from Divide on State Road 67 (approximately 20 miles). Numerous highways and county roads (CR) can be used to access the property including Highway 67, CR 821, CR 81, CR 82, and CR 83.
| 15.2 | Buildings and Facilities |
The buildings and facilities described below are in the main plant and offices area as shown in Figure 15-1:
| · | Truck shop and mobile maintenance warehouse: The CC&V truck shop complex is located near the mine entrance. It is a three-bay shop sized up to 240-st class haul trucks. The shop contains a tool crib, oil and lubricant bulk storage, multiple offices, locker rooms, training room, and warehouse. A covered warehouse storage yard is located adjacent to the admin building complex. |
| · | Mill building: The mill building, which is currently not operating, consists of facilities supporting the mineral processing operations, including grinding, gravity separation, flotation, sulfide concentrate filtration and load-out, leach CIP circuit (bypassed), tailings filtration and agglomeration, ADR, and dore casting, and metallurgical laboratory. Adjacent to the mill building is the thickener water storage tank and remaining CIL tanks from the 1989 flowsheet. |
| · | Crushing plant: The crushing plant produces P100 20 mm (0.79-in) material for leaching, stemming for blastholes, road material and over liner for the VLF. |
| · | ADR 1 and ADR 2: CIC, Anglo American Research Laboratory (AARL) carbon elution, carbon regeneration kiln, electrowinning, doré casting and solution pumping and management. The ADR circuits are an integral part of the gold recovery process, which is detailed in Section 14.0 . ADR 1 contains the analytical and metallurgical laboratories. |
| · | Wash bay: The wash bay is located next to the truck shop and consists of one covered bay. |
| · | Administration buildings: The main administration building encompasses most site-support departments. |
| · | Assay laboratory: The assay laboratory supports ongoing mine operations, including grade control and gold solution analysis. |
| · | Motor control center (MCC): The MCC houses controls for the pumps and boosters for the barren and pregnant solution ponds. |
| 15-1 | ![]() |
| SSR Mining Inc. | Cripple Creek and Victor Mine S-K 1300 Technical Report Summary | November 10, 2025 SLR Project No.: 123.020622.00001 |
Figure 15-1: Site Layout

Figure 15-1: Legend: 1. Cripple Creek 2. ADR 1 3. ADR 2 4. Victor 5. Globe Hill Area 6. Warehouse, Shop, Offices 7. Fuel Island 8. Mill 9. Crusher 10. Grass Valley 11. South Cresson 12. ECOSA Dump 13. Granite Island 14. WHEX Pit 15. Schist Island Legend: A12 Permit Boundary Highway SSR Mining Inc. Cripple Creek and Victor Mine Teller County, Colorado, USA Site Layout Source: SSR 2025.
| 15-2 | ![]() |
| SSR Mining Inc. | Cripple Creek and Victor Mine S-K 1300 Technical Report Summary | November 10, 2025 SLR Project No.: 123.020622.00001 |
| 15.3 | Power |
The power received at the CC&V site is fed from the Black Hills West Canon substation 230 kV/115 kV. Leaving the West Canon substation, a 115 kV transmission line travels north until it reaches the Arequa Gulch (Arequa) substation located in Victor, Colorado, at 9,459 FASL. The transmission line is approximately 14 miles long from the West Canon substation to the Arequa substation. At the Arequa substation, there are two 30 MVA transformers (Transformer 3 and Transformer 4) that feed the CC&V site. Mine feeder circuits are fed from the Black Hills Energy (BHE) substation switch house located in the Arequa substation. Current demand is approximately 14 MW.
| 15.4 | VLF Discussion |
| 15.4.1 | Overview |
SLR’s understanding of the VLF history is described below.
VLF 1 is a valley leach facility, with ore placement that occurred from 1994 through 2016. SLR understands that the leaching of previously stacked ore is currently scheduled to continue until 2050. As discussed in Section 14.3.2, CC&V has been, and currently performs, solution injection through injection wells in targeted areas, typically around the VLF 1 perimeter, to improve recovery.
VLF 1 includes five synthetic-lined valley leach areas constructed in phases (Phases I, II, III, IV and 5), which report to four synthetic-lined dedicated Process Solution Storage Areas (PSSAs; PSSA I, II, IV and 5). VLF 1 consists of approximately 24 million square feet (ft2) (surface area corrected for slope) of lined surface area for ore placement, with ore that is stacked to a maximum height of approximately 800 ft and contains approximately 370 million short tons (Mst) of ore, VLF 1 is still under leach for gold contained within the ore placed on the facility, and is scheduled to continue through 2050. Design reports were typically issued to the state regulatory agency in permit amendment documents, with Quality Assurance Monitoring / Record of Construction (ROC) documents issued for regulatory acceptance at the end of each construction season. Phases I through IV were designed by Golder Associates Inc. (Golder) to a maximum ore height of approximately 590 ft, and Phase 5 was designed by Smith Williams Consultants, Inc. (SWC) and included increasing the maximum ore height in Phases I through IV to approximately 800 ft.
Operationally, leach grade ore was put through the crushing system. After the ore was crushed, lime was added for pH control, and the ore was hauled to VLF 1 and placed on the leach pad. A weak sodium cyanide process solution was then applied to the VLF through a system of pipes and drip emitters. The solution in VLF 1 gravity feeds into four separate synthetically lined ponds, or PSSAs, referred to as Phase I, II, IV, and 5. Solution from each PSSA is then pumped to the ADR1 facility. After passing through the gold recovery process, the solution is returned to VLF 1 to continue the leaching process.
VLF 2 is a valley leach facility in an adjacent valley to the north of VLF 1, with ore placement commencing in 2016. Design of VLF 2 includes a lined leach area constructed in phases (Phases 1, 2a, 2b, and 3) that report to two synthetic-lined dedicated PSSAs (PSSA 1 and 3) and a tie-in to the High Grade Mill facilities platform lined area. This facility consists of approximately 23 million ft2 (surface area corrected for slope) of lined area for ore placement, with ore that will be stacked to a maximum height of approximately 800 ft and a total design capacity of 322 Mst for Phases 1 through Phase 3. Similar to VLF 1, design reports were typically issued to the state regulatory agency in permit amendment
| 15-3 | ![]() |
| SSR Mining Inc. | Cripple Creek and Victor Mine S-K 1300 Technical Report Summary | November 10, 2025 SLR Project No.: 123.020622.00001 |
documents, with Quality Assurance Monitoring / ROC documents issued for regulatory acceptance at the end of each construction season. Phases 1 and 2 were designed by AMEC Earth & Environmental (AMEC), and Phases 3 and 4 were designed by NewFields, Mining Design & Technical Services (NewFields), with all phases designed to a maximum ore height of approximately 800 ft. The operation of VLF 2 has changed since its start up. Originally, leach grade ore was put through the primary crushing system. After the ore was crushed, lime was added for pH control, and then the ore was hauled to VLF 2 and placed on the leach pad.
A mill and flotation processing circuit were operational at CC&V between 2016 and 2021. Approximately 2 Mstpa of mill tailings were processed, filtered to dewater the tailings, mixed with ore and placed on VLF 2. Since January of 2022, approximately 70 to 80 percent of less durable Run of Mine (ROM) ore is lime amended and placed on the leach pad, with the remaining 20 to 30 percent of the ore being crushed ore.
Like VLF 1, a weak sodium cyanide process solution is then applied to the VLF through a system of pipes and drip emitters. The solution flows through the leach facility to one of two PSSAs within VLF 2. Solution from the VLF 2 PSSA is pumped to the ADR2 facility, where the solution passes through a series of carbon adsorption columns, and the solution is returned to the process.
A plan view of VLF 1 and VLF 2 is shown in Figure 14-1.
As noted in Section 14.2.3, the VLF 1 Phase 6 and VLF 2 Phase 4 expansion was submitted as part of Amendment 14 in March 2024 and will essentially connect VLF 1 and VLF 2.
| 15.4.2 | VLF Design |
The design of VLF 1 and VLF 2 have remained relatively unchanged over the life of the facility. In general, there are two liner systems that have been used for both VLF 1 and VLF 2 – one for the Ore Storage Aea (OSA) and one for the Process Solution Storage Area (PSSA).
The OSA composite liner system is comprised of the following (from bottom to top):
| · | A minimum 1-ft-thick, low-permeability (1x10-6 centimeter per second [cm/sec] or lower) Soil Liner Fill (SLF) |
| · | An 80-mil, single-sided, textured (textured side down) Linear Low-Density Polyethylene (LLDPE) geomembrane (Very Low Density Polyethylene [VLDPE] was used as the geomembrane for VLF 1 Phase I.) |
| · | 3 ft of Drain Cover Fill (DCF) was used for VLF Phase I and II, which was subsequently reduced to 2 ft of DCF for subsequent stages. |
The PSSA composite liner system is comprised of the following (from bottom to top):
| · | A minimum 1-ft-thick, low-permeability SLF |
| · | 100-mil, textured (single-sided with textured side down) LLDPE bottom (secondary) geomembrane |
| · | 3 ft of Low Volume Solution Collection Fill (LVSCF) |
| · | 100-mil, smooth LLDPE top (primary) geomembrane; and |
| · | 3 ft of DCF was used for VLF Phase 1 and 2, which was subsequently reduced to 2 ft of DCF for subsequent stages. Within the PSSA sump footprint, the DCF thickness is 5 ft. |
| 15-4 | ![]() |
| SSR Mining Inc. | Cripple Creek and Victor Mine S-K 1300 Technical Report Summary | November 10, 2025 SLR Project No.: 123.020622.00001 |
Solution that enters the Low Volume Solution Collection System (LVSCS) is returned to the VLF process circuit via pumps lowered inside of a riser pipe system which extend into the LVSCS sump.
A High-Volume Solution Collection System (HVSCS) is installed to provide a means to collect and route process solutions from the OSA to the PSSA. The HVSCS for the VLF consists of a free-draining DCF, which is supplemented with a solution collection piping system placed directly over the upper geomembrane liner at the base of the DCF. The piping system is comprised of a series of 4-inch-diameter highway-grade perforated corrugated polyethylene (PCPE) tertiary pipes that are on 95 ft typical centers that feed to a series of 8- to 24-inch-diameter PCPE pipe (Advanced Drainage System [ADS] N-12, or equivalent) secondary collection piping network that ties into the primary solution collection pipes.
A leak detection system (LDS), comprised of a geomembrane-lined 1 ft x 1 ft deep trench, is typically installed under the SLF component of the composite liner. The LDS trenches are typically lined with 40-mil, smooth LLDPE geomembrane on the bottom and one side, a 12-ounce per square yard (oz/yd²) nonwoven geotextile placed in the LDS trench and wrapped around a 3-inch-diameter PCPE pipe and ¾-inch minus leak detection fill. The trenches are excavated on a typical grade of 1 percent toward a sump located at the edge of the VLF for monitoring.
SLR notes that there have been areas in which the VLF 2 geomembrane was damaged during operations, but the areas in question were addressed and recertification reports issued by the Engineer of Record (EOR) to the Colorado Division of Reclamation Mining and Safety (DRMS), the state regulatory agency.
Both VLF 1 and VLF 2 operate under an Operating, Maintenance and Surveillance (OMS) manual that include Trigger Action Response Plans (TARPSs.) for such features as the PSSAs and Leak Detection Systems. SLR is aware of one incident in which a notification to the DRMS was required.
It is important to note that portions of the area beneath both VLFs were previously mined by underground means. Underground mining was generally undertaken from shafts at various elevations, and the working elevations generally followed veins in the forms of drifts and laterals. To address the underground workings, a detailed review of historical records was performed by each of the design firms, and a surface reconnaissance program performed prior to each phase of construction. A working remediation program was developed that has remained relatively consistent through the various designs. SLR understands that CC&V is not aware of any issues associated with the remediation of underground workings, and that CC&V’s monitoring systems have not identified any issues identified with the remediation of the underground workings.
| 15.4.3 | Inspection Reports - Performed by the Engineer of Record (EOR) |
SLR understands that NewFields is the Engineer of Record (EOR) for both VLF 1 and VLF 2.
SSR provided the NewFields 2023 VLF 1 and VLF 2 annual visual inspection report, conducted in January 2024. NewFields concluded that VLF 1 and VLF 2 continue to perform as designed. No recommendations were made. A copy of NewFields 2024 annual inspection report was not available as of when this report was prepared.
| 15-5 | ![]() |
| SSR Mining Inc. | Cripple Creek and Victor Mine S-K 1300 Technical Report Summary | November 10, 2025 SLR Project No.: 123.020622.00001 |
| 15.4.4 | VLF Discussion Conclusions |
It should be noted that the SLR QP relies on the information provided by SSR and the conclusions of NewFields. The SLR QP has not verified this information and provides no independent analysis, conclusions or recommendations regarding the stability, operations and performance of the VLFs presented by SSR or NewFields.
Based on the information provided for review, the SLR QP is not aware of any VLF performance related issues that suggest there is a major cause for concern with either the design or operation of the VLF, apart from:
| · | Prior to SSR’s ownership, a nearly overtop event in VLF 2 PSSA 1 occurred in 2024 due to power supply issues. This incident resulted in near upset conditions being reached, and, along with the power infrastructure upgrades planned, the data obtained from this incident should be used to recalibrate the water balance model and assess the impacts to such documents as the Trigger Action Response Plans (TARPs) and Operating, Maintenance and Surveillance (OMS) manual. |
| · | Two ore loading scenarios (one in 2017 and one in 2025, both before SSR’s ownership) that resulted in either ore material having been removed to inspect the geomembrane, or ore material sloughing. The SLR QP understands that ore loading protocols were revised to prevent similar situations occurring in the future. |
The SLR QP has noted several risk concerns that should be addressed in the design and operations of the VLFs, that can be grouped into one of the following five broad categories:
| · | Governance, especially important during the transition period from Newmont to SSR ownership and operations, which includes such activities as confirming SSR’s governance policies related to heap leach facilities (or if SSR will generally follow those previously set by Newmont) such as continuing an ongoing engagement of NewFields as the VLF EOR, management of change (MOC) documentation for roles such as the Responsible Leach Facility Engineer (RLFE), and completion of the VLF risk assessment into the design. |
| · | OMS manual document, which includes such activities as an update to the OMS that reflects lessons learned from the near overtopping event in 2024 due to power supply issue. |
| · | Design Basis Report (DBR) documentation, which includes such activities as compiling relevant design criteria and design documents and evaluating the impacts of the ore being placed on the overall VLF performance (i.e., slope stability, water balance, percolation, etc.). |
| · | Design clarifications, which includes such activities as correlating the recent ore samples with the ore properties used in the design reports. |
| · | Water balance, which includes such activities as an independent technical review of the VLF 1 Phase 6 and VLF 2 Phase 4 Expansion water balance, and incorporation into the OMS. |
| 15.5 | Water Management |
Water for CC&V operations is obtained from a range of sources including the City of Victor, the City of Cripple Creek, Colorado Springs Utility (CSU), Pueblo Board of Water Works, and Catlin Canal
| 15-6 | ![]() |
| SSR Mining Inc. | Cripple Creek and Victor Mine S-K 1300 Technical Report Summary | November 10, 2025 SLR Project No.: 123.020622.00001 |
Company. CC&V has no water rights and the Arkansas River basin does not currently have the ability to develop or issue additional water rights.
CC&V utilizes 100% of the available water from their agreement with the City of Victor. Utilization of water from the agreement with the City of Cripple Creek water supply is dependent upon the annual precipitation and typically amounts to approximately 50% of the current contracted amount. CC&V does not utilize the CSU source unless under extreme drought conditions and if CSU has the water to share. The contract with Pueblo Board of Water Works is in place to make water available to transfer to Pisgah Reservoir, owned by Catlin Canal Company, to release for water augmentation purposes.
The freshwater requirement varies seasonally with peak demand in summer of around 900 gpm. Winter demand is lowest at around 500 gpm. The greatest demand for makeup water is the two leach facilities and their associated ADRs. Summer demand is higher primarily because of evaporation from the valley leach facilities as well as higher augmentation and dust control requirements. Fresh water is also used for other minor demands, such as potable water in the administration buildings, labs, and maintenance shops.
The pits at CC&V are under-drained by the Carlton Tunnel. For this reason, there is no (or very limited) active dewatering. Runoff and stormwater are diverted through ditches and discharged as much as possible to natural drainages in order to minimize augmentation requirements. Expansion of lined areas and consumptive uses of water (e.g., remediation of groundwater in Grassy Valley) are likely to increase augmentation obligations for CC&V. Water quality of stormwater is comprehensively managed with Best Management Practices including sediment control ponds, concurrent reclamation, silt fences, straw bales, etc.
| 15.6 | Accommodation Camp |
CC&V does not need or have an accommodation camp. People who work at the mine live in several towns and cities within a reasonable commuting distance.
| 15-7 | ![]() |
| SSR Mining Inc. | Cripple Creek and Victor Mine S-K 1300 Technical Report Summary | November 10, 2025 SLR Project No.: 123.020622.00001 |
| 16.0 | Market Studies |
The CC&V Mine produces gold and silver contained in doré. CC&V has been an active gold producer since 1994 (31 years).
| 16.1 | Marketing and Metal Prices |
Gold is the principal commodity at the CC&V Mine and is freely traded at prices that are widely known, so that prospects for sale of any production are virtually assured. Metal prices for the economic analysis were estimated after analysis of recent consensus industry metal price forecasts and compared to those used in other published studies. The metal prices used for the economic analysis, shown in Table 16-1, represent the average analyst consensus prices of October 2025.
Table 16-1: Economic Analysis Metal Price Assumptions
| Metal Price | Units | 2025 | 2026 | 2027 | 2028 | 2029 | 2030 | Long-Term |
| Gold | $/oz | 3,322 | 3,793 | 3,704 | 3,396 | 3,252 | 3,130 | 3,094 |
| Silver1 | $/oz | 36.84 | 43.61 | 42.71 | 38.72 | 36.71 | 36.71 | 35.76 |
Note 1: Silver is not modelled or evaluated in the cash flow, however, silver is recovered in the CC&V recovery facilities.
The doré is securely transported by road freight to a refinery where it is refined into gold bullion. The bullion is sold by Intertrade Metals LP to banks that specialise in the purchase and sale of gold bullion.
| 16.2 | Contracts |
No external consultants or market studies were directly relied on to assist with the sales terms and commodity price projections used in this Technical Report.
There are a number of acceptable refineries with the capacity to refine doré. Currently, CC&V has entered into a non-exclusive refining agreement with a precious metals and financial services group, and the terms and conditions of this contract are within industry norms. The transportation and refining costs for the doré and other operating costs are also in accordance with industry standards.
| 16-1 | ![]() |
| SSR Mining Inc. | Cripple Creek and Victor Mine S-K 1300 Technical Report Summary | November 10, 2025 SLR Project No.: 123.020622.00001 |
| 17.0 | Environmental Studies, Permitting, and Plans, Negotiations, or Agreements with Local Individuals or Groups |
CC&V environmental baselines have been established to document site conditions, assess impacts, support permitting, compare and document performance against compliance targets, and for use in the development of reclamation and closure plans. The level (volume and duration) of environmental baseline studies established for all disciplines has historically satisfied the regulatory and permitting requirements to explore, construct, operate a mine on the federal, state, and local levels. CC&V has a robust environmental and social governance and legislation review system, and the Mine has institutional capacity designed to protect their people and the natural environment.
| 17.1 | Environmental Baselines |
| 17.1.1 | Air Quality and Meteorology |
Existing air quality at the site is good, and the current permitted operation has an air quality designation of “attainment”. An attainment area is defined as a geographic area that meets or exceeds the national ambient air quality standards (NAAQS) set by the U.S. Environmental Protection Agency (EPA). As part of its efforts to meet air quality standards, CC&V implements dust suppression methods, such as road armoring/watering and the use of water spray bars/scrubbers and baghouses at transfer points in the mining, crushing, and stacking process.
Meteorology data has been assembled and incorporated into the design of the Project aiming to ensure containment and management of process solutions and stormwater/run-off events.
| 17.1.2 | Water Quality and Quantity |
Baseline information for water quality and quantity has been and continues to be collected to support the Project’s operations, design, and permitting, to assess compliance, and to assist with reclamation and closure planning.
Regionally, surface water flows from the permit area are tributary to the Upper Arkansas River.
Shallow groundwater at CC&V occurs at some locations in alluvial aquifers associated with the surficial drainages or in shallow, fractured bedrock. Deeper groundwater in the Cripple Creek Mining District occurs in two distinct hydrologic zones that are strongly controlled by the geological setting, i.e., the volcanic diatreme and the surrounding granitic rocks.
The deeper groundwater occurs in the volcanic diatreme that was emplaced into the Pikes Peak granite, which forms an inverted cone filled with a highly fractured breccia of volcanic rocks. The surrounding granite and gneiss are relatively impervious, except in the immediate vicinity of the diatreme, where it was fractured during the volcanic episodes. As a result, the brecciated rock within the diatreme filled with water, receiving recharge from the regional groundwater system and
| 17-1 | ![]() |
| SSR Mining Inc. | Cripple Creek and Victor Mine S-K 1300 Technical Report Summary | November 10, 2025 SLR Project No.: 123.020622.00001 |
precipitation at the surface, and storing it as groundwater in the faults, fractures, veins, and joint structures. The relatively impermeable Pikes Peak granite acted to hold this water in place within the diatreme, with local overflow to the west via springs in valleys that intersect at the boundary.
From the 1890s to 1941, several drainage tunnels were developed to facilitate dewatering of underground mines that encountered water at depth. These tunnels lowered the regional groundwater elevation from the original elevation of approximately 9,500 ft above mean sea level (FASL) to a level between approximately 7,000 FASL and 8,000 FASL. The regional groundwater system was intersected from 1941 to 1942, at an elevation of approximately 7,000 FASL, by the Carlton Tunnel; the portal of which is seven miles southwest of the diatreme near the confluence of Fourmile Creek and Cripple Creek. Water flow from the diatreme to this tunnel has controlled the water table in the diatreme ever since.
| 17.1.3 | Vegetation and Wildlife |
Vegetation and wildlife baseline information was collected to support the Project’s operations, design, permitting, and reclamation and closure planning. No species of importance (Threatened, Endangered or Sensitive) are noted that have or would adversely impact permitting. This is primarily due to nearly all the permitted areas as well as the surrounding district having been affected to some degree by past mining activities.
Typical species in the district include Rocky Mountain elk, mule deer, moose, bighorn sheep, black bear, red-tailed hawk, turkey vultures, American kestrel, Swainson’s hawk, great horned owl, gray jay, common raven, black-billed magpie, northern flicker, downy woodpecker, dark-eyed junco, mountain chickadee, mountain bluebird, chipping sparrow, Clark’s nutcracker, American robin, white-breasted nuthatch, red-breasted nuthatch, mourning dove, Steller’s jay, barn swallow, garter snake, coyote, red fox, raccoon, striped skunk, mountain lion, ground squirrels, Gunnison’s prairie dog, pocket gophers, meadow vole, cottontail rabbit, deer mouse, and pine squirrel. Wildlife usage has been minimal due to the limited quantity and quality of vegetation.
The most prevalent vegetation types within the mine area are aspen-dominated woodland, mixed conifer, disturbed grasslands, and natural grasslands. These communities show variations in species dominance according to slope and aspect. In addition, grasslands have been re-established on historically disturbed areas, but the composition, density, and cover of vegetation is substantially different from the undisturbed, natural grassland.
Forest vegetation communities are also common within the District and are represented by aspen-dominated woodlands; conifer-dominated woodlands; and dense, conifer-dominated woodlands. Tree species vary in species dominance according to slope and aspect. The more densely populated stands are predominantly bristlecone pine and ponderosa pine while the open stands are predominantly Engelmann spruce and Douglas fir. Aspen is common in the conifer types but comprises a small percentage of these communities.
Noxious weeds are not a large problem within the proposed Project area, although certain noxious weed species are present in previously disturbed areas and along roadways. Weed spraying is performed at least once/year to mitigate the presence of weeds.
| 17.1.4 | Archaeological, Cultural and Historical Resources |
Environmental baseline data has noted minimal impact from the Project on Native American, archaeological, cultural, and historical resources. Nearly all of the permitted areas as well as the surrounding district have been affected to some degree by past mining activities, which make up the
| 17-2 | ![]() |
| SSR Mining Inc. | Cripple Creek and Victor Mine S-K 1300 Technical Report Summary | November 10, 2025 SLR Project No.: 123.020622.00001 |
bulk of historical resource(s) of the area. Mitigation of direct and indirect impacts is required as part of all permit approval(s) for the Project. This includes data collection, determination of significance and possible mitigation (i.e., employee/contractor/public education and development of interpretive exhibit(s), etc.).
| 17.1.5 | Soils and Land Uses |
The quantity and quality of topsoil (growth medium) has been documented and assessed. Nearly all the permitted area, as well as the surrounding district, have been affected to some degree by past mining activities. As a result, much of the area’s soils has been lost to erosion or otherwise disturbed. Soils that existed in areas affected by current operations have been removed (to depths ranging from one to two inches up to greater than 12 in., depending on how much was available) and stored in grass-seeded topsoil stockpiles. This soil will be used to support reclamation and revegetation efforts when mining operations end. Existing land uses (rangeland, wildlife habitat, recreation, and mining) have been documented. Proposed reclamation has taken this data (and other baseline information) into consideration.
| 17.1.6 | Aesthetic (Visual, Noise, and Vibration) Resources |
Visual resource classification of the direct and indirect impacts of the operations was conducted as part of the permitting process. In addition, background noise and vibration levels have been established for human and sensitive receptor species/habitat. Critical/sensitive receptors include the residents in and around the communities of Cripple Creek and Victor. CC&V maintains an issues/complaint registry. Mitigation of some of these issues and previous complaints requires dust suppression, light shrouding, and visual screening.
| 17.1.7 | Socioeconomic (Community and Social) Baseline Resources |
The existing communities and social make-up of the area of Project impact were documented. These were assessed for their capabilities to absorb and support the anticipated impacts (positive and negative) from the Project. Projections showed a minimal adverse impact on housing, infrastructure, education, and other additional support facilities/functions (such as police and fire protection). The Project was projected to have, and has had, an overall positive socioeconomic impact on the impacted communities. CC&V is Teller County’s largest private employer with over 400 employees and uses nearly 300 contractors and consultants for services.
| 17.2 | Permitting |
| 17.2.1 | Current and Anticipated Permits |
CC&V has secured numerous permits needed to construct, operate, and close the mine. Key permits at the site include the following:
| · | EPA Clean Air Act Title V Permit |
| · | Construction Air Permit |
| · | Stormwater Permit |
| · | Wastewater Discharge Permits (Arequa, Carlton Tunnel and Fourmile Creek) |
| · | Colorado - Division of Mining, Reclamation and Safety (DRMS) Mine/Reclamation Permit and Amendments |
| 17-3 | ![]() |
| SSR Mining Inc. | Cripple Creek and Victor Mine S-K 1300 Technical Report Summary | November 10, 2025 SLR Project No.: 123.020622.00001 |
| · | Radioactive Materials License |
| · | Hazardous Materials Storage and Transportation Permit/Registration |
| · | Monitor and Minor Water Supply Wells (bulk of water is purchased from Teller County) |
| · | Bureau of Alcohol, Tobacco, Firearms and Explosives (BATF) Explosives License |
| · | Federal Communications Commission (FCC) Radio License |
| · | Miscellaneous Nationwide Wetland Permits |
| · | Miscellaneous Building and Septic Permits |
Table 17-1: Anticipated Permits and Reviews
| Permit / Review | Approving Agency / Stakeholder | Anticipated Approval |
|
· DRMS Mine Reclamation Permit Amendment 14 · VLF Expansions (VLF 1: Phase 6) (VLF 2: Phase 4l) · Pit Expansion = Laybacks |
DRMS |
Conditional approval received October 1, 2025. Conditions and timeline for full approval in development |
| Teller County | 2027 | |
|
· Carlton Tunnel Discharge Permit · Discharger Specific Variance to be evaluated |
Colorado Water Quality Control Division (WQCD) Rulemaking Hearing | Permit Modification planned approval February 2026 |
|
· Groundwater Standards · Points of Compliance – already established by DRMS |
WQCD to set Site Specific Standard Limits | 2030 |
|
· Long Term Water Management/Closure · ECOSA Seepage · VLF Closure Methodology · Carlton Tunnel |
Internal Evaluation | Commenced in July 2024. Due 2027 |
|
Note: The current permitted Mineral Reserve supports mining through 2030, with ongoing leaching through 2042. Closure activities are anticipated to take place through 2050, with post closure monitoring continuing through 2055. | ||
The Amendment 14 permit amendment was filed by Newmont on April 25, 2024, with the scope to extend the life of mine by adding 189 million short tons (171 million metric tonnes) of leach pad capacity through construction of Phase 4 of the VLF 2 and Phase 6 of Valley Leach VLF 1, amongst other operational considerations including pit laybacks and road adjustments. The Mineral Reserves included herein are constrained by the VLF capacity provided by the currently in-process Amendment 14 permit with the Colorado Division of Reclamation, Mining, and Safety (“DRMS”) and Teller County. Amendment 14, once approved, would provide incremental heap leach pad capacity to process 171 million tonnes (189 million short tons).
| 17.2.2 | Compliance Issues |
There have been compliance issues at the Project prior to the SSR acquisition of the Project. These compliance issues, as well as the required mitigation, remediation, and fines, are discussed below:
| · | Ore Stacking Violation - Through the DRMS’s investigation into this notification, it became apparent that ore was placed in a downhill direction onto Drain Cover Fill (DCF) overlying the facility's geomembrane and clay liners. This action is in direct conflict with the approved procedures of ore stacking as outlined in Technical Revision No. 103, approved June 4, 2018, |
| 17-4 | ![]() |
| SSR Mining Inc. | Cripple Creek and Victor Mine S-K 1300 Technical Report Summary | November 10, 2025 SLR Project No.: 123.020622.00001 |
| and amended May 22, 2020, which state when ore is being placed directly over the DCF, the material should always be placed in an uphill direction. This matter was settled in June 2023 with CC&V being assessed a $45,000 fine, with $10,000 suspended due to compliance with necessary corrective actions. |
| · | ECOSA - In July 2024, CC&V received Notice from DRMS that there was reason to believe that a violation of groundwater quality existed at seeps and monitor wells below the East Cresson Overburden Storage Area (ECOSA). Investigation into this issue has been ongoing since 2017 and shows increasing exceedance. A hearing was held in December 2024 to propose an agreement to address the issues. The stipulated agreement was signed in March 2025, requiring overburden material not to be placed on the facility until a pump back system is constructed and operating to mitigate the issues, a $27 million dollar increase to the closure bond to cover potential pump back costs at closure, and a $47,250 fine. The pump back system is anticipated to be complete in 2025. |
| · | Carlton Tunnel - There are ongoing water quality violations of the Carlton Tunnel Discharge Permit. In 2021, CC&V negotiated a Settlement Agreement with the Colorado Department of Public Health and Environment (CDPHE). The Settlement Agreement gave CC&V three years to meet permit limits. To date, CC&V has not developed a feasible option to address this; CC&V has (1) requested an extension of time to satisfy this requirement and (2) requested a (temporary) variance from their water quality discharge requirements. A hearing on these requests took place in June 2025, followed by submittal of a permit modification later that month, which incorporated outcomes from the hearing. The permit modification proposed an extension of time to satisfy this requirement and requested (temporary) variances for most water quality discharge requirements. The permit modification is on track for public notice to be posted in early November 2025, which should result in permit modification approval by the current permit's expiration date of February 2026. |
| · | There have been minor Air Permit Compliance issues because of administrative errors in the permit. Fines incurred totaled $154,350 and have been rectified through a permit modification application to the State Air Pollution Control Division (APCD). APCD has communicated no further violations or fines will be incurred following submittal of the application in early 2025. APCD has communicated that approval should occur in early 2026. |
| 17.2.3 | New Regulations |
In 2019, Colorado passed a new law (HB 19-1113). This law requires reclamation plans to demonstrate, by substantial evidence, a reasonably foreseeable end date for any water quality treatment necessary to ensure compliance with applicable water quality standards. There are exemptions for previously approved actions/permits, however, it is unclear how this will impact pending (Amendment 14) and new proposed activities. This matter is being investigated separately by SSR Legal Counsel.
| 17.3 | Social or Community Requirements |
It is the SLR QP’s understanding that there are no formal programs related to local procurement or hiring. The SLR QP also understands that there are no formal plans, negotiations, or agreements with local individuals or groups. The Mine has been operating since 1994 and has good relations with the surrounding communities.
| 17-5 | ![]() |
| SSR Mining Inc. | Cripple Creek and Victor Mine S-K 1300 Technical Report Summary | November 10, 2025 SLR Project No.: 123.020622.00001 |
| 17.4 | Mine Closure and Reclamation |
CC&V has developed and received approval for reclamation and closure that focuses on the stabilization of disturbed areas and reestablishment of the pre-mining land uses of wildlife habitat and livestock grazing (rangeland). These objectives are intended to be met by the following proposed activities:
| · | Growth medium stockpiling and reapplication |
| · | Heap neutralization |
| · | Facility/Structure removal |
| · | Backfilling, grading, and ripping |
| · | Revegetation |
| · | Post Closure monitoring/mitigation |
VLF reclamation normally requires neutralization, may require rinsing, and requires grading to a final stable slope. Closure plans in the approved CC&V Reclamation Plan include the following:
“Upon achieving the WAD CN [weak acid dissociable cyanide] rinsing criteria, the VLF liner systems will be breached. The liner will be perforated to prevent excessive accumulation of stormwater infiltration in the neutralized ore behind the toe berms and to move meteoric drain down stormwater into the underlying diatreme rock. It is anticipated that a drill rig will be used to drill from the surface of the ore on the VLFs through the synthetic and clay liners into the closure drains and underdrains, where appropriate. Holes will be drilled to puncture the liner above these features installed at several locations. This will allow conveyance of post-reclamation precipitation through the material on the VLFs and into the underlying diatreme. Following the achievement of the WAD CN removal criteria for both VLFs and following the breaching of the liner systems, all down-gradient appurtenances will be reclaimed.”
Upon completion of reclamation and closure, most affected lands will be returned to rangeland and wildlife habitat. Historical resources will be preserved to the extent practicable and made accessible to the public, where feasible and safe. Interpretative guidance (i.e., informational signs) on both the historical and recent operations will be developed.
The current financial assurance amount for permitted activities is $292 million. CC&V’s current Asset Retirement Obligation (ARO) estimate shows their estimate for closure to be approximately $517 million.
As part of the SSR/Newmont Transaction, both parties agreed to the following:
“Upon completion of an updated regulator-approved closure plan and in the event aggregate closure costs at CC&V exceed $500 million, Newmont will be responsible for funding 90% of the incremental closure costs in such updated closure plan, either on an as-incurred basis or pursuant to a net present value lump sum payment option.”
The current scheduled submission date for development of the referenced/updated Closure Plan is circa Q4 2026. All timeframes and dates are based on current assumptions and will be refined as new technical, regulatory, or stakeholder information becomes available. SSR is committed to maintaining
| 17-6 | ![]() |
| SSR Mining Inc. | Cripple Creek and Victor Mine S-K 1300 Technical Report Summary | November 10, 2025 SLR Project No.: 123.020622.00001 |
transparency and will proactively communicate any changes as the study progresses.
| 17.5 | QP Opinion |
The SLR QP for this section of the Report is of the opinion that the CC&V environmental, social and governance (ESG) programs are comprehensive and robust and adequately address environmental compliance, permitting, and relations with local individuals and groups.
| 17-7 | ![]() |
| SSR Mining Inc. | Cripple Creek and Victor Mine S-K 1300 Technical Report Summary | November 10, 2025 SLR Project No.: 123.020622.00001 |
| 18.0 | Capital and Operating Costs |
The capital and operating costs presented in this section include the costs required for mining and processing Mineral Reserves from the Cripple Creek and Victor Mine. All capital and operating costs in this section are expressed in Q2 2025 US dollars and unit costs are based on metric tonnes (the QP notes that the costs and the financial model were developed in metric units, whereas the mine design was completed in US Customary units).
| 18.1 | Capital Costs |
Life of mine (LOM) capital costs for the CC&V mine are estimated at $422 million, and reclamation/closure are estimated at $517 million, as summarized in Table 18-1.
SSR plans to capitalize their equipment components, which equates to approximately $58 million. SSR has adopted this approach for their financial model case, however, SSR has also included equipment replacement in the mine life starting in 2027. The remaining, approximately $42 million in mobile equipment replacement would be spent in the latter half of the Project’s life, from 2032 to 2036.
Mobile equipment replacement would begin in 2026 and end in 2034. These purchases are needed because the CC&V equipment is nearing the end of its useful life.
Additional costs related to the VLF are needed to provide additional space for mined ore. Finishing the Phase 3 construction for VLF 2 is estimated to cost approximately $40 million, and Phase 4 (mill area) is estimated to cost $92 million. These costs have been distributed over time.
The Project’s economic analysis includes $517 million for Mine Reclamation and Closure, per updated ARO estimate and LOM reclamation spend schedule as of September 2025. This total includes $8.5 million for demolition of the Mill.
Table 18-1: LOM Capital Cost Estimate
| Capital Area | LOM Total ($ 000) |
| Growth and Development Capital | 158,580 |
| Sustaining Capital | 263,310 |
| Reclamation/Closure Capital | 517,460 |
| Total | 939,350 |
| 18.2 | Operating Costs |
Table 18-2 presents the average LOM unit operating costs. Of note, SSR has identified approximately 24 Mt of fill that will need to be rehandled over the course of the LOM.
| 18-1 | ![]() |
| SSR Mining Inc. | Cripple Creek and Victor Mine S-K 1300 Technical Report Summary | November 10, 2025 SLR Project No.: 123.020622.00001 |
Table 18-2: LOM Average Unit Operating Costs
| Mining Area | Unit Mining Cost ($/t) |
| OP Mining ($/t mined) | 2.94 |
| Total Mining ($/t ore) | 4.85 |
| Processing ($/t ore) | 5.81 |
| G&A ($/t ore) | 2.51 |
| Total ($/t ore) | 13.17 |
| 18.3 | Workforce |
CC&V is the largest employer and the largest taxpayer in Teller County, Colorado, at 409 full-time employees. Approximately half of the Mine’s employees live in Teller County, a quarter from El Paso County, and a quarter from Fremont County. A tabulation of the Project’s workforce is presented in Table 18-3. On average, 75% of the workforce is paid hourly. The average worker tenure at CC&V is 7.7 years.
Table 18-3: CC&V Workforce
| Department | Totals |
| Mine Operations | 144 |
| Mine Maintenance | 77 |
| Process | 109 |
| Support | 54 |
| Technical Services | 18 |
| Geology | 7 |
| Totals | 409 |
| 18-2 | ![]() |
| SSR Mining Inc. | Cripple Creek and Victor Mine S-K 1300 Technical Report Summary | November 10, 2025 SLR Project No.: 123.020622.00001 |
| 19.0 | Economic Analysis |
The economic analysis contained in this TRS is based on the CC&V Mine Mineral Reserves as of July 1, 2025, economic assumptions, and capital and operating costs provided by SSR finance and technical teams and reviewed by SLR. All costs are expressed in Q2 2025 US dollars and unit costs are based on metric tonnes (the QP notes that the costs and the financial model were developed in metric units, whereas the mine design was completed in US Customary units). Unless otherwise indicated, all costs in this section are expressed without allowance for escalation, currency fluctuation, or interest.
SLR has generated an after-tax cash flow projection from the LOM production schedule and capital and operating cost estimates, which is summarized in Table 19-3. A summary of the key criteria is provided below.
| 19.1 | Economic Criteria |
| 19.1.1 | Revenue |
| · | Mine life: 12 years, from Q3 2025 to Y2036, followed by 14 years of VLF rinsing. |
| · | Life of Mine production plan as summarized in Table 13-5. |
| · | 52,000 tonnes ore per day stacked (approximately 20 Mt per year) average stacked grade of 0.39 g/t Au (ROM, crushed, and stockpile mine plan). |
| · | Mine life average 102,000 ounces per year gold recovered from mine plan with LOM stacked ore recovery averaging 51.6%. Total 1.46 Moz recovered over LOM operation (July 1, 2025, through 2036) |
| · | The summary of the physicals in the financial model is listed in Table 19-1. It has been estimated that 334 koz of gold are in inventory and are accounted for in the financial model over the 26 years of VLF operations. |
| · | Gold: averages US$3,433 per ounce gold between 2025 to 2030, US$3,094 per ounce gold long term price (2031+). |
| · | Gold at refinery 99.95% payable |
| · | Net Smelter Return includes doré refining, transport, and insurance costs. |
| · | Revenue is recognized at the time of gold production. |
| · | Non-cash inventory adjustments are not included in the SLR cash flow model. |
| 19-1 | ![]() |
| SSR Mining Inc. | Cripple Creek and Victor Mine S-K 1300 Technical Report Summary | November 10, 2025 SLR Project No.: 123.020622.00001 |
Table 19-1: CC&V Production Physicals Summary
| Physicals | Value |
| Total Ore Stacked (kt) | 226,187 |
| Max Process Rate (tpd) | 52,000 |
| Au Head Grade (g/t) | 0.39 |
| Contained Au (koz) | 2,832 |
| Average Recovery, Au | 51.6% |
| Recovered Au (koz) | 1,462 |
| Leach Inventory (koz) | 334 |
| Payable Au (koz) | 1,795 |
| Avg Annual Au Prod - LOM (koz / yr) | 102 |
| 19.1.2 | Costs |
| · | Growth and development capital costs total $159 million |
| · | Mine life sustaining capital totals $263 million |
| · | Final reclamation costs from September 2025 total $517 million. |
| · | Average LOM operating cost is $13.17 per tonne stacked. |
| o | Open pit operating costs of $2.94 per tonne mined ($4.85 per tonne stacked) |
| o | Processing operating costs of $5.81 per tonne stacked |
| o | Site services & general and administrative (G&A) costs of $2.51 per tonne stacked |
| 19.1.3 | Taxation and Royalties |
| 19.1.3.1 | Federal and State Tax Summary |
The federal and state income taxes are summarized in Table 19-2.
Table 19-2: CC&V Federal and State Tax Summary
| Tax Type | Rate |
| Federal Corporate Income Tax | 21.0% |
| Colorado Corporate Income Tax | 4.4% of federal taxable income |
| Royalties & Severance Fees | Based on ore extracted (state-regulated). |
| Colorado Metallic Minerals Severance Tax |
· Rate: 2.25% of gross income from mineral sales · Exemption: The first $19 million of gross income per mining operation per taxable year is exempt. Gross income is defined as the fair market value of ore immediately after extraction (i.e., prior to downstream processing) · Mining operators can also claim a credit for county ad valorem (property) taxes paid on producing mines, up to 50% of their severance tax liability. |
| 19-2 | ![]() |
| SSR Mining Inc. | Cripple Creek and Victor Mine S-K 1300 Technical Report Summary | November 10, 2025 SLR Project No.: 123.020622.00001 |
| 19.1.3.2 | Royalties |
CC&V is subject to a variety of NSR royalty payments, payable to various parties under the terms of the leases, as described in Section 4.0. The annual average NSR royalty payments range from 0.5% to 10.0%. As per SSR’s finance team analysis, a weighted average rate of 5% was used for cash flow modeling purposes.
| 19.2 | Cash Flow Analysis |
SLR has reviewed the SSR’s CC&V LOM cash flow model, considering gold as final saleable product and has prepared its own unlevered after-tax LOM cash flow model based on the information contained in this TRS to confirm the physical and economic parameters of the Property.
The Mine as currently designed has variations in the mining and processing amounts over its planned 12-year life. These variations are shown in Figure 19-1 through Figure 19-4.
| 19-3 | ![]() |
| SSR Mining Inc. | Cripple Creek and Victor Mine S-K 1300 Technical Report Summary | November 10, 2025 SLR Project No.: 123.020622.00001 |
Figure 19-1: Mine Production Profile by Material Movement

Figure 19-1: Tonnes Mined (thousands) 45,000 $4.00 40,000 $3.50 35,000 $3.00 30,000 $2.50 25,000 $2.00 20,000 $1.50 15,000 $1.00 10,000 $0.50 5,000 $0.00 Mining Operating Cost ($/tonne moved) 2025 2026 2027 2028 2029 2030 2031 2032 2033 2034 2035 2036 Mined Waste Ore fill ROM to Pad Mining Cost
Notes: Ore fill refers to Stockpile (Dump 1) material.
Figure 19-2: Mine Production Profile by Area

Figure 19-2 Tonnes Moved (thousands) 25,000 500 20,000 400 15,000 300 10,000 200 5,000 100 Gold Ounces Mined (thousands) 2025 2026 2027 2028 2029 2030 2031 2032 2033 2034 2035 2036 Ore fill ROM to Pad Mined Contained Oz
Notes: Ore fill refers to Stockpile (Dump 1) material.
| 19-4 | ![]() |
| SSR Mining Inc. | Cripple Creek and Victor Mine S-K 1300 Technical Report Summary | November 10, 2025 SLR Project No.: 123.020622.00001 |
Figure 19-3: Process Production Profile and Head Grade

Figure 19-3 Tonnes Processed (thousands) 25,000 1.00 20,000 0.80 15,000 0.60 10,000 0.40 5,000 0.20 Gold Grade in g/t 2025 2026 2027 2028 2029 2030 2031 2032 2033 2034 2035 2036 Ore fill ROM to Pad Au Grade
Notes: Ore fill refers to Stockpile (Dump 1) material.
Figure 19-4: Annual Processing Gold Production and Head Grade Profile

Figure 19-4 Recovered Gold (koz) 200 0.90 180 0.80 160 0.70 140 0.60 120 0.50 100 0.40 80 0.30 60 0.20 40 0.10 20 Gold Grade in g/t 2025 2026 2027 2028 2029 2030 2031 2032 2033 2034 2035 2036 Total Recovered Au Au Grade
The economic analysis prepared by SLR considers a base discount date as of July 1, 2025, using mid-year convention discounting.
| 19-5 | ![]() |
| SSR Mining Inc. | Cripple Creek and Victor Mine S-K 1300 Technical Report Summary | November 10, 2025 SLR Project No.: 123.020622.00001 |
The base discount rate assumed in this TRS is 5% as per standard industry practice for operating mines in US. Discounted present values of annual cash flows are summed to arrive at the Mine’s Base Case NPV.
To support the disclosure of Mineral Reserves, the economic analysis demonstrates that CC&V’s Mineral Reserves are economically viable at the net average realized prices of $3,433/oz gold for the period 2025 to 2031, with long term prices of $3,094/oz gold. On a pre-tax basis, the undiscounted cash flow totals $1,475 million over the mine life. The pre-tax net present value (NPV) at a 5% discount rate is $957 million. On an after-tax basis, the undiscounted cash flow totals $1,272 million over the mine life. The after-tax NPV at 5% is $824 million. The internal rate of return (IRR) is not applicable as the Mine is an operating ine and does not have any initial capital to be recovered.
The after-tax free cash flow profile and gold payable metal per year is presented in Figure 19-5.
Figure 19-5: Project After-Tax Metrics Summary

Figure 19-5 US$ Milliions $200 200 160 $150 120 $100 80 $50 40 $0 - (40) ($50) (80) ($100) (120) ($150) (160) ($200) (200) Payable Au (koz) 2025 2026 2027 2028 2029 2030 2031 2032 2033 2034 2035 2036 2037 2038 2039 2040 2041 2042 2043 2044 2045 2046 2047 2048 2049 2050 2051 2052 2053 2054 2055 2056 Capex Free Cash Flow Payable Au
| 19-6 | ![]() |
| SSR Mining Inc. | Cripple Creek and Victor Mine S-K 1300 Technical Report Summary | November 10, 2025 SLR Project No.: 123.020622.00001 |
Table 19-3 shows the LOM total metrics for the CC&V mine as currently designed. Due to the length of the mine life, the full annual cash flow model is presented in Appendix 2: Cash Flow Analysis.
Table 19-3: Total Life of Mine Metrics
| Item | Unit | Value |
| Realized Market Prices | ||
| Au | $/oz | $3,240 |
| Payable Metal | ||
| Au | koz | 1,795 |
| Total Gross Revenue | $ million | 5,817 |
| Mining Cost | $ million | (1,096) |
| Process Cost | $ million | (1,315) |
| G & A Cost | $ million | (568) |
| Other Costs | $ million | 0 |
| Refining/Freight | $ million | (2) |
| Royalties | $ million | (422) |
| Total Operating Costs | $ million | (3,403) |
| Operating Margin (EBITDA) | $ million | 2,414 |
| Cash Taxes Payable | $ million | (203) |
| Working Capital | $ million | 0 |
| Operating Cash Flow | $ million | 2,211 |
| Development Capital | $ million | (159) |
| Sustaining Capital | $ million | (263) |
| Closure/Reclamation Capital | $ million | (517) |
| Total Capital | $ million | (939) |
| Pre-tax Free Cash Flow | $ million | 1,475 |
| Pre-tax NPV @ 5% | $ million | 957 |
| After-tax Free Cash Flow | $ million | 1,272 |
| After-tax NPV @ 5% | $ million | 824 |
The average annual gold sales during the 12 years of operation is 102 koz per year (1,795 koz over the LOM) at an average AISC of $2,330/oz Au. Table 19-4 shows the AISC build-up.
| 19-7 | ![]() |
| SSR Mining Inc. | Cripple Creek and Victor Mine S-K 1300 Technical Report Summary | November 10, 2025 SLR Project No.: 123.020622.00001 |
Table 19-4: All-in Sustaining Costs Composition
| Item | Total LOM ($ million) |
Unit Cost ($/oz Au) |
| Mining | 1,096 | 611 |
| Process | 1,315 | 732 |
| Site G&A | 568 | 316 |
| Subtotal Site Costs | 2,979 | 1,659 |
| Refining/Freight | 2 | 1 |
| Mining Royalties | 422 | 235 |
| Total Cash Costs | 3,403 | 1,896 |
| Sustaining Capital Cost | 263 | 147 |
| Closure/Reclamation Costs | 517 | 288 |
| Total Sustaining Costs | 781 | 435 |
| Total All-in Sustaining Costs | 4,184 | 2,330 |
Note: Closure/Reclamation costs for AISC are based on Closure/Reclamation Cash Spend.
Numbers may not add due to rounding.
The AISC calculated in the cash flow analysis reflects the benefit of low-cost ounces already stacked on the heap leach pads, compared to AISC estimated in a steady-state model that assumes current input costs. Much of CC&V’s near-term production comes from material mined and placed in prior years, when gold prices, fuel, and consumable costs were lower. These ounces require minimal additional spending to recover, resulting in lower realized cash costs. As these legacy ounces are depleted and replaced with newly mined material, unit costs are expected to gradually normalize toward long-term levels.
| 19.3 | Sensitivity Analysis |
Potential economic risks were examined by running cash flow sensitivities to changes in the following variables
| · | Gold price |
| · | Gold recovery |
| · | Head grade |
| · | Operating costs |
| · | Capital costs |
| · | Discount rate |
After-tax NPV sensitivities over the Base Case have been calculated for -20% to +20% variations for head grade and recovery, and for -30% to +30% for gold price. For operating costs and capital costs, the sensitivities over the Base Case have been calculated at -15% to +15% variations as given in Table 19-5 and Figure 19-5.
| 19-8 | ![]() |
| SSR Mining Inc. | Cripple Creek and Victor Mine S-K 1300 Technical Report Summary | November 10, 2025 SLR Project No.: 123.020622.00001 |
Table 19-5: After-Tax Sensitivity Analyses
| Factor Change | Head Grade (g/t Au) |
NPV at 5% ($ million) |
| 0.80 | 0.31 | 221 |
| 0.90 | 0.35 | 526 |
| 1.00 | 0.39 | 824 |
| 1.10 | 0.43 | 1,119 |
| 1.20 | 0.47 | 1,412 |
| Factor Change | Recovery (% Au) |
NPV at 5% ($ million) |
| 0.80 | 41.3 | 221 |
| 0.90 | 46.4 | 526 |
| 1.00 | 51.6 | 824 |
| 1.10 | 56.8 | 1,119 |
| 1.20 | 61.9 | 1,412 |
| Factor Change | Metal Price (US$/oz Au) |
NPV at 5% ($ million) |
| 0.70 | 2,268 | (185) |
| 0.85 | 2,754 | 340 |
| 1.00 | 3,240 | 824 |
| 1.15 | 3,726 | 1,299 |
| 1.30 | 4,212 | 1,767 |
| Factor Change | Operating Costs (US$/t ore) |
NPV at 5% ($ million) |
| 0.85 | 11.20 | 1,158 |
| 0.93 | 12.18 | 991 |
| 1.00 | 13.17 | 824 |
| 1.08 | 14.16 | 658 |
| 1.15 | 15.15 | 491 |
| Factor Change | Capital Costs (US$ M) |
NPV at 5% ($ million) |
| 0.85 | 798 | 911 |
| 0.93 | 869 | 868 |
| 1.00 | 939 | 824 |
| 1.08 | 1,010 | 781 |
| 1.15 | 1,080 | 738 |
| 19-9 | ![]() |
| SSR Mining Inc. | Cripple Creek and Victor Mine S-K 1300 Technical Report Summary | November 10, 2025 SLR Project No.: 123.020622.00001 |
Figure 19-6: After-Tax Sensitivity Analysis

Figure 19-6 Sensitivity Analysis - After-Tax NPV 5% After-Tax NPV at 5% Discount Rate (US$M) 2,000 1,500 1,000 500 0 0.60 0.70 0.80 0.90 1.00 1.10 1.20 1.30 1.40 Head Grade Recovery Au Price Operating Cost ($/t) Capital Cost (500) Incremental Change From Base Case
The sensitivity analysis at CC&V shows that the after-tax NPV at an 5% base discount rate is most sensitive to metal prices, then head grades, and metallurgical recoveries, followed by operating costs and capital costs.
A sensitivity analysis of discount rates is presented in Figure 19-7
| 19-10 | ![]() |
| SSR Mining Inc. | Cripple Creek and Victor Mine S-K 1300 Technical Report Summary | November 10, 2025 SLR Project No.: 123.020622.00001 |
Figure 19-7: After-Tax Discount Rate Sensitivity Analysis

Figure 19-7 NPV in Millions US$ 1,400 1,200 1,000 800 600 400 200 0 1,272 1,154 1,053 966 890 824 767 717 635 601 570 543 519 497 477 459 442 427 413 400 0% 1% 2% 3% 4% 5% 6% 7% 9% 10% 11% 12% 13% 14% 15% 16% 17% 18% 19% 20% Hurdle rate/Discount Rate
| 19-11 | ![]() |
| SSR Mining Inc. | Cripple Creek and Victor Mine S-K 1300 Technical Report Summary | November 10, 2025 SLR Project No.: 123.020622.00001 |
| 20.0 | Adjacent Properties |
There are no properties adjacent to CC&V.
| 20-1 | ![]() |
| SSR Mining Inc. | Cripple Creek and Victor Mine S-K 1300 Technical Report Summary | November 10, 2025 SLR Project No.: 123.020622.00001 |
| 21.0 | Other Relevant Data and Information |
No additional information or explanation is necessary to make this TRS understandable and not misleading.
| 21-1 | ![]() |
| SSR Mining Inc. | Cripple Creek and Victor Mine S-K 1300 Technical Report Summary | November 10, 2025 SLR Project No.: 123.020622.00001 |
| 22.0 | Interpretation and Conclusions |
| 22.1 | Geology and Mineral Resources |
| · | The 2024 geological model integrates comprehensive datasets of 14,042 drill holes totaling 8,447,834 ft (2.6 Mm) collected between 1977 to 2024, updated lithologic interpretations, digitized historical data, geophysics, and blast hole data, resulting in improved domain geometry and estimation reliability. |
| · | Estimation was conducted using multi-pass ordinary kriging in Resource Modeling Solutions’s software across 63 subdomains derived from the historical 23 domains, capturing grade continuity along geologic contacts and structures.Six variables (fire assay gold [AUFA], shake leach gold [AUSL], total carbon [CTOT], total sulfur [STOT], Oxidation, and iron [Fe]) were estimated; sulfide was regressed from total sulfur. Shake Leach Extractable (SLEXT) gold was derived and capped at 95% of AUFA. |
| · | A total of 299 discrete vein domains were defined to capture structurally hosted, higher-grade mineralization that occurs in quartz-sulfide vein networks. These were modeled as surfaces based on logged vein intercepts and field mapping and subsequently expanded into three-dimensional domains using a 15-ft buffer around modeled vein surfaces |
| · | The global capping strategy ensured control of high-grade influence. |
| · | QA/QC the sample preparation, analysis, and security procedures at CC&V met industry standards and are adequate for use in the estimation of Mineral Resources. |
| · | Density assignments continue to rely on oxidation state and lithology per procedures implemented post-2016. These remain suitable for resource estimation. |
| · | The resource classification criteria are aligned with S-K 1300 definitions and were based on estimation confidence, kriging variance, and drill density. |
| · | Block model validation using swath plots, nearest neighbor comparisons, and visual inspection indicated no major estimation bias. Some edge effects were noted in areas with limited drilling near high-grade intercepts. |
| · | The estimate of Mineral Resources was prepared for CC&V, with an effective date of July 1, 2025. |
| · | The Mineral Resources Estimates (MRE) at the Property include Measured and Indicated Resources of 345 Mt at an average grade of 0.44 g/t containing 4.8 Moz and Inferred Mineral Resources of 150 Mt at an average grade of 0.41 g/t containing 2.0 Moz |
| · | The level of uncertainty has been adequately reflected in the classification of Mineral Resources for the Property. The Mineral Resource estimate may be materially impacted by any future changes in the break-even cut-off grade, which may result from changes in mining method selection, mining costs, processing recoveries and costs, metal price fluctuations, or significant changes in geological knowledge. |
| · | The SLR QQP is of the opinion that with consideration of the recommendations summarized in Sections 1 and 23 of this TRS, any issues relating to all relevant technical and economic factors likely to influence the prospect of economic extraction can be resolved with further work. |
| 22-1 | ![]() |
| SSR Mining Inc. | Cripple Creek and Victor Mine S-K 1300 Technical Report Summary | November 10, 2025 SLR Project No.: 123.020622.00001 |
| 22.2 | Mining and Mineral Reserves |
| · | In situ and stockpiled Mineral Reserves are reported to be 235 Mt grading 0.37 g/t for a total of 2.8 Moz of contained gold. There are additional 0.334 Moz of recoverable gold in process inventory that are not included in the estimate of Mineral Reserves. |
| · | The Stockpile (Dump 1) area has been converted to Mineral Reserves. Since the purchase of the property, SSR has completed 70 reverse circulation and Sonic drill holes to test and confirm the presence of economic mineralization. This area has now been re-classified as an Indicated Mineral Resource, and subsequently converted to Mineral Reserve. |
| · | Updated Lerch-Grossmann (LG) pit shells were developed as the basis of the updated mine plan. The LG pit optimization was completed using a gold price of $1,700/oz, operational constraints such as the VLF capacity limits, and a durable to non-durable ore ratio related to VLF stability. |
| · | The slope designs for the pits are based on detailed geotechnical models and sector-specific stability analyses using both empirical data and slope reconciliation from past pit phases. Most pit areas meet industry "Good Practice" standards. |
| · | Mining through historical voids (notably at South Cresson and West Cresson) is ongoing, and is effectively managed using probe drilling, 3D void mapping, and conservative slope design. |
| · | Much of the mobile mining fleet is mid-life, with haul trucks averaging over 88,000 hours. SSR’s plan to begin replacing certain equipment in 2027 is crucial to maintain performance through 2037. |
| · | The LOM plan maintains an annual mining rate averaging 35 Mtpa of total material mined and 20 Mtpa of ore placement from 2025 to 2035, demonstrating operational stability and alignment with the VLF capacity. |
| 22.3 | Mineral Processing |
| · | Metallurgical testing was performed to determine the metal recoveries on the CC&V mine laybacks, including the Globe Hill 3, 4, 5, 6 and 7, South Cresson 2 and 7, West Cresson, and Wild Horse Extension (WHEX) Nose at Run of Mine (ROM) size. The ROM leach test results are reported in the Newmont, CC&V – Business Laybacks, Metallurgical Report, Run of Mine Ore (ROM), March 10, 2022. |
| o |
| o | One inch (1”) column test recoveries ranged from 31.9% to 86.8% with a weighted average of 67.2%. Two-inch (2”) column test recoveries ranged from 9.5% to 88.4% with a weighted average of 57.6%. |
| o | Extrapolated ROM recovery ranged from 3.9% to 84.3% with a weighted average of 52.1%. |
| o | Modeled ROM recovery includes a MET3 factor that increases the AUFA grade by 2% due to ore being placed on the pad being under leach for longer than two years. |
| o | Recovery versus size curves for individual ore types demonstrate that all the ore types tested are sensitive to crush size and the difference between 1” crush size and 48” (4 ft) material will be in excess of the 5% variance allowed in the recovery model. In many cases |
| 22-2 | ![]() |
| SSR Mining Inc. | Cripple Creek and Victor Mine S-K 1300 Technical Report Summary | November 10, 2025 SLR Project No.: 123.020622.00001 |
| the variance may be greater than 20%. SLR supports the CC&V metallurgical testing being performed on the various ore types in the mine plan and the adjustment of the recovery model as and when appropriate. |
| · | Metallurgical testing at the Cripple Creek mine is routinely performed to support the operating leach facilities and to determine the metallurgical characteristics of new ore deposits included in the mine plan. Metallurgical samples are collected directly from active mining areas and samples are also collected from metallurgical drilling campaigns to conduct at least two column leach tests per month for each deposit. In addition to column tests, bottle roll tests were conducted, along with analyses for total sulfur, sulfide sulfur, and external elemental assays via Inductively Coupled Plasma (ICP) techniques. |
| · | Compacted permeability testing simulating depths of burial from 100 m to 300 m was recently initiated as a standard test on the column leach test tailings. The Cripple Creek ores have typically been very hard and permeable; however, the weathered material being mined from the Globe Hill Pipe is soft (non-durable) and requires blending with harder (durable) material to prevent stability and permeability issues. A minimum 1:1 blend of durable to nondurable material is currently used to meet these requirements. |
| · | Results from ongoing test programs, combined with relevant historical data, are interpreted to inform and update key process models used to support operations. Specifically, leach recovery models are updated continuously to incorporate the latest column and bottle roll test results. Column leach tests are performed at 25 mm and 50 mm for each of the samples to determine the effect of particle size on gold recovery. These data are used to project crushed and ROM leach recoveries. |
| · | SLR reviewed the current test program and facilities during the site visit and found them to be appropriate to support the operation. |
| · | VLF 1 currently contains approximately 334 Mt of ore, stacked between 1995 and 2015, with an estimated 9.307 Moz of contained gold stacked, 5.782 Moz of recoverable gold stacked, and 5.383 Moz of gold poured, therefore the leach recovery of 57.8% (5.383 Moz/9.307 Moz) of the contained gold stacked. |
| · | As of February 28, 2025, VLF 2 contains approximately 193 Mt of ore stacked between 2015 and 2025, with an estimated 3.83 Moz of contained gold, 1.84 Moz of recoverable gold and 1.65 Moz of gold poured, the gold recovery based on contained ounces in VLF2 is 42.4% (1.84 Moz/3.83 Moz). |
| · | The current overall recovery for VLF 1 and VLF 2 is approximately 53.6% of contained gold ounces stacked based on ounces poured to date. |
| · | Gold recovery is dependent on particle size distribution. The recovery for 1” particle size material is well understood from column leach testing; recoveries for ROM material are extrapolated from test work on smaller particle sizes. |
| · | Recovery is a function of degree of oxidation and sulfide and telluride content. |
| · | ROM recovery has a bi-modal distribution around 95% and 87% of crusher recovery. |
| o | Recovery is variable depending on rock-type |
| · | SLR has not reviewed leach kinetic curves. |
| · | Ore can be characterized as following: |
| 22-3 | ![]() |
| SSR Mining Inc. | Cripple Creek and Victor Mine S-K 1300 Technical Report Summary | November 10, 2025 SLR Project No.: 123.020622.00001 |
| o | The percentage of sulfide refractory material typically increases as a function of depth. |
| o | Telluride-gold is refractory, typically requiring fine grinding, preoxidation using roasting or pressure oxidation prior to leaching, and therefore not amenable to heap leaching. It is noted that some recovery of gold from tellurides may be obtained in high pH cyanide leaching environments and over long periods of time such as with long term heap leaching. |
| o | The mineralized materials do not contain carbonaceous preg-robbing material. |
| o | SSR has initiated Compacted Permeability Testing on column test tailings samples. |
| 22.4 | Infrastructure |
| · | Gold extraction uses heap-leaching. Mined ore is either directly dumped as ROM material or crushed in two stages before stacking on the VLF. |
| · | The mine includes primary and secondary crushing and conveying circuits to supply crushed rock for both heap leaching and milling, ADR circuits to process leach solution and a milling and flotation concentrator to produce sulfide concentrate for sale. The mill is currently in Care and Maintenance, and it is expected to be decommissioned and removed for future leach pad expansions. Processing infrastructure includes power and water supply, and truck load-and-haul systems. Milling operations were idled by 2021 in favor of leach-only processing. |
| · | The Mine has the necessary maintenance, warehousing, laboratory, fuel, reagent storage to support the current level of production. |
| · | Gold recovery is achieved through two VLFs. |
| o | VLF 1 is a valley leach facility, designed and constructed in Phases I through 5 to include lined leach areas and dedicated Process Solution Storage Areas (PSSAs), with ore placement that occurred from 1994 through 2016. SLR understands that the leaching of previously stacked ore is currently scheduled to continue until 2040. CC&V has been and continue to use solution injection through injection wells in targeted areas, typically around the VLF perimeter, to improve recovery. |
| o | VLF 2 is a valley leach facility in an adjacent valley to the north of VLF 1, with ore placement commencing in 2016. Design of VLF 2 includes the design and construction of Phases 1 through 3 lined leach areas, lined, dedicated PSSAs and a tie-in to the High-Grade Mill facilities platform lined area. This facility consists of approximately 23 million ft2 (surface area corrected for slope) of lined area for ore placement, with ore that will be stacked to a maximum height of approximately 800 ft and a total design capacity of 322 Mst. |
| o | SLR understands that an expansion of the valley leach facilities–VLF 1 Phase 6 and VLF 2 Phase 4–has been designed and submitted for approval. This expansion will provide additional capacity. |
| · | SLR understands that NewFields Mining Design & Technical Services (NewFields) is the Engineer of Record (EOR) for both VLF 1 and VLF 2. |
| · | Based on the information provided for review, SLR is aware of two performance related issues, which occurred prior to SSR’s purchase of the Project: a near overtopping event due to power supply issues during an abnormal winter storm that caused a loss of power to the solution |
| 22-4 | ![]() |
| SSR Mining Inc. | Cripple Creek and Victor Mine S-K 1300 Technical Report Summary | November 10, 2025 SLR Project No.: 123.020622.00001 |
| pumps, and two ore loading scenarios that resulted in ore having been removed or ore material sloughing. SLR understands that ore loading protocols and power infrastructure have been revised, which are expected to prevent similar situations in the future. |
| · | Water for CC&V operations is obtained from a range of sources including the City of Victor, the City of Cripple Creek, Colorado Springs Utility (CSU), Pueblo Board of Water Works, and Catlin Canal Company. CC&V has no water rights, and the Arkansas River basin does not currently have the ability to develop or issue additional water rights. |
| · | CC&V utilizes 100% of the available water from their agreement with the City of Victor. Utilization of water from the agreement with the City of Cripple Creek water supply is dependent upon the annual precipitation but typically amounts to approximately 50% of the current contracted amount. CC&V does not utilize the CSU source unless under extreme drought conditions and CSU has the water to share. The contract with the Pueblo Board of Water Works is in place to make water available to transfer to Pisgah Reservoir, owned by Catlin Canal Company, to release for water augmentation purposes. |
| · | The fresh water requirement varies seasonally with peak demand in summer of around 900 gpm. Winter demand is lowest at around 500 gpm. The greatest demand for makeup water is the two leach facilities and their associated ADRs. CC&V does not need or have an accommodation camp. People who work at the mine live in several towns and cities within a reasonable commuting distance. |
| 22.5 | Environment |
| · | CC&V maintains a comprehensive environmental management and compliance program. All permits needed for current/existing operations are in place, and staff at the mine continually monitor permit/regulated conditions and file required reports with the applicable regulatory agencies at the federal, state, and local level. |
| · | CC&V is authorized under Amendment 13 (or A13) of Permit M-1980-244 from the State of Colorado. Newmont submitted an amendment, Amendment 14, to the State of Colorado on April 25, 2024. The scope of A14 is to add 189 million short tons of leach pad capacity through construction of Phase 4 of the VLF 2 and Phase 6 of VLF 1, among other operational considerations. |
| · | There is an approved reclamation/closure plan in place and financial assurance in the amount of $292 million is currently held by the Colorado Division of Mining, Reclamation and Safety (DRMS) to ensure reclamation is performed. |
| · | CC&V reports that relations with the community are good and that CC&V has an office in the city of Victor to maintain a community presence. |
| · | The Mine appears to have a well-established and effective environmental, social/governance and permit management program that follows regulatory, corporate and good practice(s) standards. |
| 22.6 | Capital and Operating Costs |
| · | The capital and operating cost estimates have been prepared in Q2 2025 US dollars and reflect current mine plans, equipment replacement schedules, and VLF expansion costs. |
| 22-5 | ![]() |
| SSR Mining Inc. | Cripple Creek and Victor Mine S-K 1300 Technical Report Summary | November 10, 2025 SLR Project No.: 123.020622.00001 |
| · | Life-of-Mine (LOM) capital costs are estimated at $422 million, with an additional $497 million for reclamation and closure, for a total of approximately $919 million. |
| o | Development capital totals $159 million, while sustaining capital accounts for $263 million. |
| o | Key capital projects include mobile equipment replacements, Valley Leach Facility (VLF) expansions, and demolition of the mill. |
| · | The average LOM unit operating cost is $13.17/t ore, composed of: |
| o | Mining: $4.85/t ore (including $2.93/t moved for open pit mining) |
| o | Processing: $5.81/t ore |
| o | General and Administrative (G&A): $2.51/t ore |
| · | Total site operating costs over the LOM are estimated at $2.98 billion. |
| · | The SLR QP considers these costs to be reasonable for the Project’s scope and production plan. |
| 22-6 | ![]() |
| SSR Mining Inc. | Cripple Creek and Victor Mine S-K 1300 Technical Report Summary | November 10, 2025 SLR Project No.: 123.020622.00001 |
| 23.0 | Recommendations |
| 23.1 | Geology and Mineral Resources |
| 1 | Domain Modeling |
The 2024 domain models are a combination of well-constrained lithology volumes and 23 geographic ‘Historic Domains’. More than 60 complex subdomains were used for estimation in 2024.
The gold grade continuity patterns in the deposit suggest that homogenous grade estimation domains are likely to follow along and straddle the veins, lamprophyres and the contacts between the major intrusive units. The contacts and veins are likely to be good fluid pathways and mineralization trap sites, depending on the wall rock properties.
| a) | Test gold grade indicator or grade shell modeling as an additional tool to define homogenous estimation domains. |
| b) | Test the zones of grade continuity along veins and contacts in the framework of the 3D lithology model to improve efficiency and reduce the number of domains. |
| 2 | Resource Estimation Parameters |
| a) | Apply locally varying anisotropy based on the orientation of vein and lithology contacts. |
| b) | Model experimental gold variograms using normal scores and back-transforming to regular gold grades for estimation. |
| c) | Review nugget effects for variograms using downhole experimental variograms as a primary tool. |
| d) | Ensure that capping of high grades and ‘high yield’ search restrictions are consistent. |
| 3 | Continue to evaluate global capping thresholds by domain to ensure high-grade influence is adequately controlled within localized geologic contexts. |
| 4 | Maintain and incrementally update density factors by lithology and oxidation state as new data become available, ensuring alignment with material-specific tonnage factors across the district. |
| 23.2 | Mining and Mineral Reserves |
| 1 | Higher than forecasted metal prices could result in improved cash flows and enhanced economics; drilling additions and definition drilling could allow for a Main Cresson pit layback, which should be evaluated. |
| 2 | Evaluate the potential for further growth of Mineral Resources and Mineral Reserves, and the corresponding increase in VLF capacity with the development of additional VLF capacity. Given CC&V’s significant Mineral Resource endowment, a key upside opportunity is the expansion of VLF capacity to enable future Mineral Reserve conversion and associated mine life extension. SSR should continue economic studies and advancing permitting pathways to ensure future VLF expansions can be completed in a timely manner. |
| 23-1 | ![]() |
| SSR Mining Inc. | Cripple Creek and Victor Mine S-K 1300 Technical Report Summary | November 10, 2025 SLR Project No.: 123.020622.00001 |
| 3 | Evaluate future growth opportunities such as linking the Cresson area and Globe Hill area laybacks as well as growth to the north and toward the Ironclad facilities, specifically by completing a cost-benefit analysis on relocating existing infrastructure that currently constrains the final pit shell. |
| 4 | Evaluate opportunities to refine the North Cresson, Granite Island, and East Cresson pit designs to improve economics and assess potential conversion of Mineral Resources to Mineral Reserves. |
| 5 | Conduct additional core drilling as warranted for new slope development, and update the geotechnical block model accordingly to improve slope design reliability, especially in areas with sparse RQD and Q’ data. |
| 6 | Conduct a cost-benefit analysis of expanding maintenance facilities to improve equipment availability, especially as older fleet components approach end-of-life thresholds. It should be noted that some maintenance activities can be performed outside during the portions of the spring and fall, and the summer months. |
| 7 | Maintain a cautious design approach in areas with historical underground workings, and consider periodic updates to void models as deeper mining advances. |
| 8 | Where slope angle steepening could provide pit expansion benefits, ensure changes are supported by detailed stability assessments and real-time monitoring to avoid compromising pit safety. |
| 9 | A cost-benefit analysis should be considered to determine if additional shop bays would improve equipment availabilities. It should be noted that some maintenance activities can be performed outside during the portions of the spring and fall, and the summer months. |
| 23.3 | Mineral Processing |
| 1 | Improved sizing for ROM material could present an opportunity for improved gold recovery for that material. |
| 2 | Conduct additional work focused on processing costs during VLF drawdown periods. Better understanding of the cost in these periods would allow for more accurate economic analysis of the economics of in-process gold ounces. |
| 3 | Continue to improve understanding of recovery differential between ROM and crushed ore for each of the domains. |
| 4 | Evaluate at what point it becomes appropriate to stop injection leaching on VLF 1. |
| 23.4 | Infrastructure |
| 1 | Develop VLF-related governance |
| 2 | Update the OMS manual documentation. |
| 3 | Develop a Design Basis Report (DBR) documentation. |
| 4 | Correlate the recent ore samples with the ore properties used in the design reports. |
| 5 | Review and evaluate VLF 1 and VLF 2 water balance models. |
| 6 | Evaluate opportunities to add additional VLF capacity. |
| 23-2 | ![]() |
| SSR Mining Inc. | Cripple Creek and Victor Mine S-K 1300 Technical Report Summary | November 10, 2025 SLR Project No.: 123.020622.00001 |
| 23.5 | Environment |
| 1 | Track and participate in the development of new environmental and mine permitting regulations that could impact operations. |
| 2 | Continue to perform internal and external audits of environmental compliance. |
| 3 | Even though opportunity is reported as limited, look for opportunities to perform additional concurrent reclamation to minimize financial obligation(s) at closure. Along the same line, perform “test plot(s)” to evaluate and fine tune proposed plans (and techniques). |
| 4 | Continue to review and update reclamation and closure cost estimates on a regular basis. |
| 5 | Track, evaluate and participate in new regulation(s) development and assess impact(s) on operation. |
| 23.6 | Capital and Operating Costs |
| 1 | Continue to evaluate the optimum timing for equipment replacement or large component repairs. |
| 23-3 | ![]() |
| SSR Mining Inc. | Cripple Creek and Victor Mine S-K 1300 Technical Report Summary | November 10, 2025 SLR Project No.: 123.020622.00001 |
| 24.0 | References |
Begg, G., and Gray, D.R., 2002, Arc dynamics and tectonic history of Fiji based on stress and kinematic analysis of dikes and faults of the Tavua Volcano, Viti Levu Island, Fiji: Tectonics, v. 21, no. 4, p. 5(1)–5(14).
Birmingham, S.D., 1990, Petrology and Rb-Sr Isotope Geochemistry of Alkaline Rocks of the Cripple Creek Volcanic Field, Colorado: Contributions to Mineralogy and Petrology, 1990.
Birmingham, S.D., 1987. The Cripple Creek volcanic field, central Colorado. Unpublished M.S. thesis, Austin, University of Texas, 295 p.
Burnett, W. J., 1995, Fluid chemistry and hydrothermal alteration of the Cresson disseminated gold deposit, Cripple Creek, Colorado, M.S. thesis, Colorado State University, 168 p.
CC&V. 2023. Ground Control Management Plan for the CC&V Surface Mining Operation prepared by the CC&V Surface Mine Engineering – Geotechnical Engineering Group, November 28, 2023.
Call & Nicholas, Inc., 2015. Geotechnical Slope Recommendations for the North Area Underground Mining Areas, Call & Nicholas, Inc. November 2015
Call & Nicholas, Inc., 2017. Updated Geotechnical Slope Recommendations for the Globe Hill and Schist Island Mining Areas, Call & Nicholas, Inc. April 2017.
Chanter, S., Pilco, R., Peres, J.P., Shefik, E., 2024, Newmont Cripple Creek & Victor, United States of America, Qualified Persons Report, unpublished, December 31, 2024, 90 p.
Chapter 17: Epithermal Gold Deposits Related to Alkaline Igneous Rocks in the Cripple Creek District, Colorado, United States Karen D. Kelley; Eric P. Jensen; Jason S. Rampe; Doug White 2020. Geology of the World’s Major Gold Deposits and Provinces, Richard H. Sillitoe, Richard J. Goldfarb, François Robert, Stuart F. Simmons
Dye, M.D. 2015. Mineralogical characterization and paragenesis of the Cripple Creek deposit, Colorado. Unpublished M.Sc. thesis. Colorado School of Mines, 115.
EPA. 1992. Mine Site Visit: Nerco Minerals Cripple Creek Operations. Prepared by U.S. Environmental Protection Agency.
Hutchinson, R. M., and Hedge, C. E., 1968, Depth-zone emplacement and geochronology of Precambrian plutons, central Colorado Front Range [abs]: in Abstracts for 1967, Geological Society of America Special Paper no. 115, p. 424-425.
Jensen, E.P., Barton, M.D. 2000. Gold deposits related to alkaline magmatism. Society of Economic Geology Reviews, 13, 279-314.
Jensen, E.P. 2003. Magmatic and hydrothermal evolution of the Cripple Creek gold deposit, Colorado, and comparisons with regional and global magmatic-hydrothermal systems associated with alkaline magmatism. Unpublished PhD. dissertation. University of Arizona, 846.
Keener, J. H., 1962, Cripple Creek, Colorado, Stratton Cripple Creek Mining and Development Co., unpub. rept., 21 p.
Kelley, K.D., Spry, P.G. 2016. Critical elements in alkaline igneous rock-related epithermal gold deposits. Reviews in Economic Geology, 18, 195-216.
| 24-1 | ![]() |
| SSR Mining Inc. | Cripple Creek and Victor Mine S-K 1300 Technical Report Summary | November 10, 2025 SLR Project No.: 123.020622.00001 |
Kelley, K.D., Jensen E.P., Rampe J.S., White D., 2020, Epithermal Gold Deposits Related to Alkaline Igneous Rocks in the Cripple Creek District, Colorado, United States: Special Publication of the Society of Economic Geologists Geology of the World’s Major Gold Deposits and Provinces. V 23. Chapter 17
Kelley, K. D., 1996, Origin and timing of magmatism and mineralization in the Cripple Creek District, Colorado: PhD thesis, Colorado School of Mines, Golden, CO, 259 p..
Klipfel, P.D., 1992, Geology and metallogeny of the southern portion of the Encampment district, Wyoming: Golden, Colorado School of Mines, Ph.D. thesis, T-4080, 244 p.
Life Cycle Geo, LLC. 2023. Geochemical Basis for Ore and Waste Rock Management at Cripple Creek & Victor Mine. December 4.
Lindgren, W., and Ransome, F.L., 1906, Geology and gold deposits of the Cripple Creek District, Colorado: U. S. Geological Survey Professional Paper 54, 516 p.
Lipman, P.W., 1981. Volcano-tectonic setting of the Tertiary ore deposits, southern Rocky Mountains. Arizona Geological Society Digest 14: 199-213.
Loughlin, G. F., and Koschmann, A. H., 1935, Geology and ore of the Cripple Creek District, Colorado: Proceedings of the Colorado Scientific Society, v. 13, p. 217-435.
Mao, J.W., Li, Y.Q., Goldfarb, R., He, Y., & Zaw, K. (2003). “Fluid inclusions and noble gas studies of the Dongping gold deposit, Hebei Province, China: a mantle connection for mineralization?” Economic Geology, 98, 517–534.
Mutschler, F.E., 1992, Alkaline igneous systems and related mineral deposits, in Annual Pacific Northwest Mining and Metals Conference, 1992, Short Course Notes: Spokane, Wash., Northwest Mining Association.
Mutschler, F.E., Griffen, M.E., Stevens, D.S., and Shannon, S.S., Jr., 1985, Precious 829 metal deposits related to alkaline rocks in the North American Cordillera; an interpretive review: Verhandelinge van die Geologiese Vereniging van Suid Afrika Transactions of the Geological Society of South Africa, v. 88, p. 355-377.
Newmont. 2022a. CC&V – Business Laybacks, Metallurgical Report, Run of Mine Ore (ROM), March 10, 2022
Newmont. 2022b. Internal Technical Review, CC&V Investment Laybacks Gate Report Stage 2B/3 – Valley Leach Facility
Newmont. 2023a. 2023 Annual Report and Form 10-K. Newmont Corporation: Denver. https://www.newmont.com/investors/reports-and-filings/default.aspx Accessed September 18, 2024.
Newmont. 2023b. Cripple Creek and Victor United States of America Qualified Persons Report, December 31, 2023.
Newmont. 2024. Newmont Announces 2023 Mineral Reserves for Integrated Company of 136 Million Gold Ounces with Robust Copper Optionality of 30 Billion Pounds. Press Release. Newmont Corporation: Denver. February 22, 2024.
Pontius, J. A., 1992, Gold mineralization within the Cripple Creek diatreme/volcanic complex, Cripple Creek Mining District, Colorado, USA: Randolat Minexpo 92, Las Vegas Nevada, 20 p..
| 24-2 | ![]() |
| SSR Mining Inc. | Cripple Creek and Victor Mine S-K 1300 Technical Report Summary | November 10, 2025 SLR Project No.: 123.020622.00001 |
Rampe, J.S. 2002. Paleomagnetic and geochronologic data bearing on the timing, evolution, and structure of the Cripple Creek diatreme complex and related rocks, Front Range, Colorado. Unpublished M.Sc. thesis. University of New Mexico, 82.
Read, J. and P. Stacey. 2009. Guidelines for Open Pit Slope Design.
Richards, J.P., 2009, Postsubduction porphyry Cu-Au and epithermal Au deposits—Products of remelting of subduction-modified lithosphere: Geology, v. 37, no. 3, p.247–250.
Richards, J.P., 1995, Alkalic-type epithermal gold deposits-a review: in Thompson, J.F.H., ed., Magmas, fluids, and ore deposits: Mineralogical Association of Canada Short Course Series, v. 23, p. 367-400.
Richards, J.P., and Kerrich, R., 1993, The Porgera gold mine, Papua New Guinea; magmatic hydrothermal to epithermal evolution of an alkalic-type precious metal deposit: Economic Geology and the Bulletin of the Society of Economic Geologists, v. 88, p. 1017-1052.
Scherbarth, N.L., and Spry, P.G., 2006, Mineralogical, petrological, stable isotope, and fluid inclusion characteristics of the Tuvatu gold-silver telluride deposit, Fiji—Comparisons with the Emperor deposit: Economic Geology and the Bulletin of the Society of Economic Geologists, v. 101, no. 1, p. 135–158.
Seibel, G. E., 1991, Geology of the Victor Mine, Cripple Creek mining district, Colorado, M.S. thesis, Colorado State University, 133 p.
Thompson, T.B., Trippel, A.D., and Dwelley, P.C., 1985, Mineralized veins and breccias of the Cripple Creek District, Colorado: Economic Geology and the Bulletin of the Society of Economic Geologists, v. 80(6), p. 1669-1688.
US Securities and Exchange Commission. 2018. Regulation S-K, Subpart 229.1300, Item 1300 Disclosure by Registrants Engaged in Mining Operations and Item 601 (b)(96) Technical Report Summary.
WCH Consulting, 2015, Cresson Drillhole Spacing Study, prepared by W. Hardtke, August 2015, 13 p.
Wobus, R. A., Epis, R. C., and Scott, G. R., 1976, Reconnaissance geologic map of the Cripple Creek-Pikes Peak area, Teller, Fremont, and El Paso counties, Colorado: U.S. Geological Survey Map, MF-805, 1 sheet.
World Population, 2025, https://worldpopulationreview.com/us-cities/colorado
| 24-3 | ![]() |
| SSR Mining Inc. | Cripple Creek and Victor Mine S-K 1300 Technical Report Summary | November 10, 2025 SLR Project No.: 123.020622.00001 |
| 25.0 | Reliance on Information Provided by the Registrant |
This TRS has been prepared by SLR for SSR. The information, conclusions, opinions, and estimates contained herein are based on:
| · | Information available to SLR at the time of preparation of this TRS. |
| · | Assumptions, conditions, and qualifications as set forth in this TRS. |
| · | Data, reports, and other information supplied by SSR and other third party sources. |
For the purpose of this TRS, SLR has relied on current ownership information provided by SSR in an email from SSR Mining’s Land Manager and Permit Compliance Advisor dated June 20, 2025, entitled “CC&V TRS Land Tenure.” SLR has not researched property title or mineral rights for the Property as we consider it reasonable to rely on SSR’s legal counsel who is responsible for maintaining this information.
SLR has relied on SSR for guidance on applicable taxes, royalties, and other government levies or interests, applicable to revenue or income from the Property in the Executive Summary and Sections 4, 19, and 28. As CC&V has been in operation for over ten years, SSR has considerable experience in this area.
The SLR Qualified Persons have taken all appropriate steps, in their professional opinion, to ensure that the above information from SSR is sound.
Except as specifically provided by applicable laws, any use of this TRS by any third party is at that party’s sole risk.
| 25-1 | ![]() |
| SSR Mining Inc. | Cripple Creek and Victor Mine S-K 1300 Technical Report Summary | November 10, 2025 SLR Project No.: 123.020622.00001 |
| 26.0 | Date and Signature Page |
This report titled “S-K 1300 Technical Report Summary, Cripple Creek and Victor Mine, Teller County, Colorado, USA” with an effective date of July 1, 2025 was prepared and signed by:
(Signed) SLR International Corporation
Dated at Lakewood, Colorado
November 10, 2025 SLR International Corporation
| 26-1 | ![]() |
| SSR Mining Inc. | Cripple Creek and Victor Mine S-K 1300 Technical Report Summary | November 10, 2025 SLR Project No.: 123.020622.00001 |
| 27.0 | Appendix 1: Reception Numbers |
Table 27-1: List of Reception Numbers for Instruments showing Land Tenure
| Reception No. | Date | Type |
| 104606 | December 10, 1920 | Deed |
| 119200 | December 05, 1928 | Mining Deed |
| 120596 | October 17, 1929 | Mining Deed |
| 120836 | December 27, 1929 | Mining Deed |
| 139364 | May 06, 1939 | Quitclaim Deed |
| 207022 | September 15, 1970 | Quiet Title Decree |
| 245382 | January 30, 1976 | Mining Warranty Deed |
| 287077 | September 11, 1980 | Joint Venture Affidavit |
| 324087 | June 14, 1984 | Consent and Lease Agreement |
| 338625 | December 03, 1985 | Quitclaim Deed |
| 341783 | January 17, 1986 | Deed |
| 343596 | March 24, 1986 | Treasurer’s Deed |
| 343827 | June 09, 1986 | Quitclaim Deed |
| 344431 | June 10, 1986 | Deed |
| 353747 | September 26, 1986 | Quitclaim Deed |
| 349054 | November 18, 1986 | Treasurer’s Deed |
| 352302 | December 15, 1986 | Special Warranty Deed |
| 352303 | December 16, 1986 | Personal Representative's Deed |
| 352301 | December 16, 1986 | Special Warranty Deed |
| 350769 | January 02, 1987 | Quitclaim Deed |
| 359200 | November 12, 1987 | Quitclaim Deed |
| 359292 | November 18, 1987 | Treasurer’s Deed |
| 369953 | February 17, 1989 | Second Correction Deed |
| 370624 | April 12, 1989 | Replacement Quitclaim Deed |
| 395736 | January 01, 1991 | Deed, Assignment and Bill of Sale |
| 392190 | January 01, 1991 | Quitclaim Deed |
| 392191 | January 01, 1991 | Quitclaim Deed |
| 384369 | March 12, 1991 | Treasurer’s Deed |
| 385878 | April 25, 1991 | Treasurer’s Deed |
| 386148 | May 07, 1991 | Treasurer’s Deed |
| 386351 | May 13, 1991 | Deed |
| 27-1 | ![]() |
| SSR Mining Inc. | Cripple Creek and Victor Mine S-K 1300 Technical Report Summary | November 10, 2025 SLR Project No.: 123.020622.00001 |
| Reception No. | Date | Type |
| 386296 | May 14, 1991 | Treasurer’s Deed |
| 386347 | May 15, 1991 | Deed and Bill of Sale |
| 392189 | June 13, 1991 | Quitclaim Deed |
| 388201 | July 31, 1991 | Quitclaim Deed |
| 388200 | July 31, 1991 | Deed, Assignment and Bill of Sale |
| 392112 | December 31, 1991 | Quitclaim Deed |
| 392111 | December 31, 1991 | Quitclaim Deed |
| 392867 | January 21, 1992 | Mineral Deed |
| 393443 | February 17, 1992 | Mineral Deed |
| 394280 | March 09, 1992 | Mineral Deed |
| 403585 | April 13, 1992 | Bill of Sale and Release |
| 395135 | April 14, 1992 | Quitclaim Deed |
| 395734 | April 30, 1992 | Deed, Assignment and Bill of Sale |
| 396144 | May 20, 1992 | Mineral Deed |
| 397384 | June 02, 1992 | Mineral Deed |
| 396145 | June 04, 1992 | Bill of Sale and Release |
| 396527 | June 09, 1992 | Mineral Deed |
| 397385 | June 09, 1992 | Mineral Deed |
| 400666 | June 26, 1992 | Mineral Deed |
| 397383 | June 29, 1992 | Mineral Deed |
| 400668 | July 13, 1992 | Mineral Deed and Deed |
| 400669 | July 13, 1992 | Deed |
| 417141 | August 04, 1992 | Mineral Deed |
| 400672 | September 15, 1992 | Warranty Deed |
| 400664 | September 15, 1992 | Mineral Deed |
| 401436 | October 08, 1992 | Mineral Deed |
| 400671 | October 22, 1992 | Bill of Sale and Release |
| 400670 | October 22, 1992 | Bill of Sale and Release |
| 402152 | October 23, 1992 | Mineral Deed |
| 401639 | November 09, 1992 | Quitclaim Deed |
| 403584 | December 07, 1992 | Special Warranty Mineral Deed |
| 403928 | January 19, 1993 | Mineral Deed |
| 413162 | January 22, 1993 | Deed |
| 404713 | February 09, 1993 | Quitclaim Deed |
| 27-2 | ![]() |
| SSR Mining Inc. | Cripple Creek and Victor Mine S-K 1300 Technical Report Summary | November 10, 2025 SLR Project No.: 123.020622.00001 |
| Reception No. | Date | Type |
| 404625 | February 09, 1993 | Quitclaim Deed |
| 404624 | February 15, 1993 | Quitclaim Deed |
| 404626 | February 16, 1993 | Quitclaim Deed |
| 405831 | April 08, 1993 | Bill of Sale and Release |
| 406057 | April 14, 1993 | Treasurer’s Deed |
| 409286 | April 23, 1993 | Warranty Deed |
| 409285 | May 04, 1993 | Warranty Deed |
| 409283 | May 05, 1993 | Warranty Deed |
| 409284 | May 07, 1993 | Warranty Deed |
| 409158 | June 23, 1993 | Bill of Sale and Release |
| 410340 | July 01, 1993 | Warranty Deed |
| 409687 | July 17, 1993 | Special Warranty Deed |
| 410177 | August 02, 1993 | Special Warranty Deed |
| 410174 | August 05, 1993 | Special Warranty Deed |
| 410647 | August 19, 1993 | Special Warranty Deed |
| 412047 | September 21, 1993 | Warranty Deed |
| 413390 | October 02, 1993 | General Warranty Deed |
| 416423 | October 18, 1993 | Quitclaim Deed |
| 416422 | October 18, 1993 | Quitclaim Deed |
| 416419 | October 22, 1993 | Quitclaim Deed |
| 413896 | November 04, 1993 | General Warranty Deed |
| 414990 | November 13, 1993 | General Warranty Deed |
| 415086 | December 02, 1993 | General Warranty Deed |
| 415089 | December 02, 1993 | Special Warranty Deed |
| 416875 | December 02, 1993 | General Warranty Deed |
| 416417 | December 03, 1993 | Trustee's Deed |
| 416418 | December 03, 1993 | Personal Representative's Deed |
| 416420 | December 03, 1993 | Quitclaim Deed |
| 416421 | December 03, 1993 | Quitclaim Deed |
| 418424 | December 31, 1993 | Special Warranty Deed |
| 419305 | March 14, 1994 | General Warranty Deed |
| 419300 | March 22, 1994 | Quitclaim Deed |
| 420829 | April 18, 1994 | Special Warranty Deed |
| 419629 | April 20, 1994 | Warranty Deed |
| 27-3 | ![]() |
| SSR Mining Inc. | Cripple Creek and Victor Mine S-K 1300 Technical Report Summary | November 10, 2025 SLR Project No.: 123.020622.00001 |
| Reception No. | Date | Type |
| 420827 | April 25, 1994 | Quitclaim Deed |
| 423535 | May 13, 1994 | General Warranty Deed |
| 421439 | May 18, 1994 | Bargain & Sale Deed |
| 424492 | June 21, 1994 | Personal Representative's Deed |
| 424490 | June 21, 1994 | Personal Representative's Deed |
| 424487 | June 23, 1994 | Bargain & Sale Deed |
| 424488 | June 27, 1994 | Bargain & Sale Deed |
| 422492 | July 06, 1994 | Treasurer’s Deed |
| 424761 | July 22, 1994 | Special Warranty Deed |
| 424839 | August 24, 1994 | Bargain & Sale Deed |
| 425102 | September 16, 1994 | General Warranty Deed |
| 425551 | September 20, 1994 | General Warranty Deed |
| 428743 | October 20, 1994 | Grant, Bargain, and Sale Deed |
| 431359 | March 01, 1995 | Special Warranty Deed |
| 432794 | March 20, 1995 | Bargain & Sale Deed |
| 437181 | April 11, 1995 | Special Warranty Deed |
| 437183 | April 11, 1995 | Special Warranty Deed |
| 437185 | April 11, 1995 | Special Warranty Deed |
| 439284 | September 27, 1995 | General Warranty Deed |
| 439288 | September 27, 1995 | General Warranty Deed |
| 443196 | January 05, 1996 | Deed |
| 443836 | January 10, 1996 | General Warranty Deed |
| 443945 | February 09, 1996 | Warranty Deed |
| 592579 | April 04, 1996 | General Warranty Deed |
| 447553 | April 24, 1996 | Special Warranty Deed |
| 450326 | July 03, 1996 | General Warranty Deed |
| 452084 | August 09, 1996 | Special Warranty Deed |
| 456592 /456593 |
November 25, 1996 | General Warranty Deed |
| 459842 | March 30, 1997 | Patent No |
| 461160 | April 16, 1997 | General Warranty Deed |
| 461199 | April 18, 1997 | Warranty Deed |
| 462894 | May 19, 1997 | Special Warranty Deed |
| 462457 | May 21, 1997 | Special Warranty Deed |
| 27-4 | ![]() |
| SSR Mining Inc. | Cripple Creek and Victor Mine S-K 1300 Technical Report Summary | November 10, 2025 SLR Project No.: 123.020622.00001 |
| Reception No. | Date | Type |
| 463247 | June 11, 1997 | Treasurer’s Deed |
| 469338 | October 20, 1997 | General Warranty Deed |
| 482344 | November 18, 1997 | Special Warranty Deed |
| 488044 | February 07, 1998 | Quitclaim Deed |
| 489035 | April 14, 1998 | Special Warranty Deed |
| 489034 | April 14, 1998 | Quitclaim Deed |
| 475274 | April 17, 1998 | General Warranty Deed |
| 477712 | April 23, 1998 | Special Warranty Deed |
| 477190 | May 01, 1998 | Special Warranty Deed |
| 476691 | May 20, 1998 | Treasurer’s Deed |
| 477487 | June 10, 1998 | Treasurer’s Deed |
| 484000 | June 15, 1998 | Deed and Assignment |
| 478223 | June 22, 1998 | General Warranty Deed |
| 483996 | June 23, 1998 | Warranty Deed |
| 478238 | June 26, 1998 | General Warranty Deed |
| 483998 / 483999 | July 10, 1998 | Quitclaim Deed |
| 479911 | July 23, 1998 | Quitclaim Deed |
| 482343 | July 27, 1998 | Special Warranty Deed |
| 479687 / 480939 | July 28, 1998 | Quitclaim Deed |
| 480188 | August 10, 1998 | Special Warranty Deed |
| 483997 | August 27, 1998 | General Warranty Deed |
| 485206 | November 30, 1998 | Warranty Deed |
| 485207 | November 30, 1998 | Warranty Deed |
| 487411 | January 27, 1999 | Treasurer’s Deed |
| 488438 | February 24, 1999 | Treasurer’s Deed |
| 490788 | April 15, 1999 | Warranty Deed |
| 492181 | May 20, 1999 | General Warranty Deed |
| 494222, 495466 | June 29, 1999 | Special Warranty Deed |
| 494224 | June 29, 1999 | Special Warranty Deed |
| 494219 | June 29, 1999 | Special Warranty Deed |
| 494210 | June 29, 1999 | Special Warranty Deed |
| 494211 | June 29, 1999 | Special Warranty Deed |
| 27-5 | ![]() |
| SSR Mining Inc. | Cripple Creek and Victor Mine S-K 1300 Technical Report Summary | November 10, 2025 SLR Project No.: 123.020622.00001 |
| Reception No. | Date | Type |
| 494213 | June 29, 1999 | Special Warranty Deed |
| 494212 | June 29, 1999 | Special Warranty Deed |
| 494772 | July 16, 1999 | General Warranty Deed |
| 495509 | August 06, 1999 | Special Warranty Deed |
| 511079 | October 27, 1999 | Special Warranty Deed |
| 511078 | November 03, 1999 | Warranty Deed |
| 500053 | December 13, 1999 | Warranty Deed |
| 500846 | January 10, 2000 | Warranty Deed |
| 500847 | January 10, 2000 | Quitclaim Deed |
| 500848 | January 10, 2000 | Quitclaim Deed and Release |
| 511082 | February 01, 2000 | Quitclaim Deed |
| 511080 | February 01, 2000 | Quitclaim Deed |
| 511081 | February 01, 2000 | Quitclaim Deed |
| 502707 / 56215 | March 08, 2000 | General Warranty Deed |
| 503152 | March 20, 2000 | Grant, Bargain, and Sale Deed |
| 504624 | May 05, 2000 | Treasurer’s Deed |
| 507400 | July 14, 2000 | Warranty Deed |
| 509134 | August 30, 2000 | Warranty Deed |
| 512170 | September 05, 2000 | Special Warranty Deed |
| 509624 | September 14, 2000 | Quitclaim Deed |
| 515965 | February 10, 2001 | Special Warranty Deed |
| 518204 | May 10, 2001 | Warranty Deed |
| 521974 | August 08, 2001 | Treasurer’s Deed |
| 522253 | August 15, 2001 | Treasurer’s Deed |
| 523127 | September 05, 2001 | Treasurer’s Deed |
| 541700 | May 03, 2002 | General Warranty Deed |
| 554620 | February 14, 2003 | General Warranty Deed |
| 554621 | February 22, 2003 | General Warranty Deed |
| 546596 | February 27, 2003 | Special Warranty Deed |
| 549293 | April 24, 2003 | Quitclaim Deed |
| 554623 | May 06, 2003 | General Warranty Deed |
| 554622 | May 25, 2003 | General Warranty Deed |
| 578138 | July 12, 2004 | Patent |
| 578139 | July 12, 2004 | Patent |
| 27-6 | ![]() |
| SSR Mining Inc. | Cripple Creek and Victor Mine S-K 1300 Technical Report Summary | November 10, 2025 SLR Project No.: 123.020622.00001 |
| Reception No. | Date | Type |
| 578140 | July 12, 2004 | Patent |
| 578141 | July 12, 2004 | Patent |
| 578142 | July 12, 2004 | Patent |
| 578143 | July 12, 2004 | Patent |
| 578137 | July 12, 2004 | Patent |
| 575036 | December 17, 2004 | Warranty Deed |
| 577172 | February 22, 2005 | Quitclaim Deed |
| 583995 | June 21, 2005 | Quitclaim Deed and Release |
| 583999 | August 17, 2005 | Treasurer’s Deed |
| 584915 | September 07, 2005 | Treasurer’s Deed |
| 597968 | September 13, 2005 | Treasurer’s Deed |
| 586855 | October 26, 2005 | Treasurer’s Deed |
| 605615 | November 10, 2006 | General Warranty Deed |
| 602141 | December 12, 2006 | Warranty Deed |
| 602918 | January 24, 2007 | General Warranty Deed |
| 611256 | July 12, 2007 | General Warranty Deed |
| 613006, 617685 | September 18, 2007 | General Warranty Deed |
| 613007 | October 23, 2007 | Default Judgment and Quiet Title Decree |
| 614121 | December 20, 2007 | General Warranty Deed |
| 616433 | February 26, 2008 | General Warranty Deed |
| 616431 | February 26, 2008 | General Warranty Deed |
| 616432 | February 26, 2008 | General Warranty Deed |
| 905614 | March 19, 2008 | General Warranty Deed |
| 616790 | April 17, 2008 | Quitclaim Deed |
| 617439 | April 23, 2008 | General Warranty Deed |
| 520270 | June 25, 2008 | General Warranty Deed |
| 520947 | September 05, 2008 | General Warranty Deed |
| 624557 | January 20, 2009 | Special Warranty Deed |
| 629255 | August 03, 2009 | Warranty Deed |
| 929214 | August 11, 2009 | Special Warranty Deed |
| 650535 | February 22, 2010 | Quitclaim Deed |
| 634941 | April 27, 2010 | Quiet Title Decree |
| 636733 | June 28, 2010 | Personal Representative's Deed |
| 27-7 | ![]() |
| SSR Mining Inc. | Cripple Creek and Victor Mine S-K 1300 Technical Report Summary | November 10, 2025 SLR Project No.: 123.020622.00001 |
| Reception No. | Date | Type |
| 640908 | December 16, 2010 | Warranty Deed |
| 641901 | January 18, 2011 | Warranty Deed |
| 642499 | February 23, 2011 | Special Warranty Deed |
| 643728 | March 29, 2011 | Personal Representative's Deed |
| 643365 | April 05, 2011 | Quitclaim Deed |
| 646421 | August 10, 2011 | Treasurer’s Deed |
| 646936 | August 31, 2011 | Special Warranty Deed |
| 647239 | September 14, 2011 | Treasurer’s Deed |
| 650181 | January 19, 2012 | Special Warranty Deed |
| 654239 | June 12, 2012 | Special Warranty Deed |
| 654406 | July 02, 2012 | Patent |
| 654754 | July 11, 2012 | Independent Executrix's Deed of Sale |
| 654753 | July 13, 2012 | Warranty Deed |
| 656940 | September 28, 2012 | Warranty Deed |
| 658901 | December 17, 2012 | Warranty Deed |
| 661706 | April 05, 2013 | Warranty Deed |
| 669065 | December 30, 2013 | Quitclaim Deed |
| 671697 | May 28, 2014 | Warranty Deed |
| 672833 | July 14, 2014 | Special Warranty Deed |
| 681447 | July 31, 2015 | Special Warranty Deed |
| 681860 | August 17, 2015 | Special Warranty Deed |
| 683942 | October 29, 2015 | Special Warranty Deed |
| 683943 | October 29, 2015 | Bargain and Sale Deed |
| 685059 | December 22, 2015 | Quitclaim Deed |
| 691922 | September 20, 2016 | Warranty Deed |
| 691568 | September 20, 2016 | Warranty Deed |
| 692291 | September 30, 2016 | Warranty Deed |
| 691923 | September 30, 2016 | Warranty Deed |
| 726369 | November 04, 2016 | Treasurer’s Deed |
| 693506 | November 30, 2016 | Warranty Deed |
| 693938 | December 16, 2016 | Warranty Deed |
| 695356 | February 10, 2017 | Warranty Deed |
| 695681 | February 17, 2017 | Personal Representative's Deed |
| 695884 | February 28, 2017 | Quitclaim Deed |
| 27-8 | ![]() |
| SSR Mining Inc. | Cripple Creek and Victor Mine S-K 1300 Technical Report Summary | November 10, 2025 SLR Project No.: 123.020622.00001 |
| Reception No. | Date | Type |
| 697827 | May 22, 2017 | Personal Representative's Deed |
| 698568 | June 20, 2017 | Special Warranty Deed |
| 703328 | December 08, 2017 | Special Warranty Deed |
| 704822 | December 29, 2017 | General Warranty Deed |
| 704824 | December 29, 2017 | General Warranty Deed |
| 712016 | November 16, 2018 | Warranty Deed |
| 714561 | March 25, 2019 | Warranty Deed |
| 718955 | August 29, 2019 | Special Warranty Deed |
| 718956 | August 29, 2019 | Quitclaim Deed |
| 726369 | June 17, 2020 | Treasurer’s Deed |
| 726368 | June 17, 2020 | Treasurer’s Deed |
| 345416 | November 15, 1982 | Treasurer’s Deed |
| 578140 | July 12, 2004 | Federal patents |
Table 27-2: List of Reception Numbers for Leased Interests
| Reception No. | Date of Record | Type | Expiration Date |
| 699685 | 28-Jun-17 | Lease | Lease was ratified in 2017 with new owners - Original Term 10 years, and as long as thereafter on year to year basis for so long as advance royalties are paid. |
| 694892 | 7/24/1996 | Lease | Lease amended & restated thru 7/24/2026 with ability to extend to 7/24/2036 |
| 535831 | 8-May-02 | Mining Lease and Option to Purchase | Initial Term has expired -Original term of 4 years was extended to May 8, 2016, or for so long thereafter as payment are made by paying an additional AR payment of $100,000 annually. |
| 694892 | 24-Jul-16 | Mining Lease | Lease amended and restated through 7/24/2026 with ability to extend to 7/24/2036 |
| 728866 | 8-Aug-20 | Solid Mineral Lease Term Extension Rider | Extending lease to August 7, 2030 |
| 728867 | 8-Aug-20 | Solid Mineral Lease Term Extension Rider | Extending lease to August 7, 2030 |
| 27-9 | ![]() |
| SSR Mining Inc. | Cripple Creek and Victor Mine S-K 1300 Technical Report Summary | November 10, 2025 SLR Project No.: 123.020622.00001 |
| 28.0 | Appendix 2: Cash Flow Analysis |

Figure 28-1 Economic Model Annual Summary SLR Company SSR Mining Inc. Project Name Cripple Creek & Victor Mine Scenario Name Base Case Analysis Type SK-1300 TRS Calendar Year 2025 2026 2027 2028 2029 2030 2031 2032 2033 2034 2035 2036 Discounting Timeline By Date Jul-25 Jan-26 Jan-27 Jan-28 Jan-29 Jan-30 Jan-31 Jan-32 Jan-33 Jan-34 Jan-35 Jan-36 Project Stage Ops Ops Ops Ops Ops Ops Ops Ops Ops Ops Ops Ops Time Until Closure In Years US$ & Metric Units LoM Avg / Total 12 11 10 9 8 7 6 5 4 3 2 1 Market Prices Gold, Forecast US$/oz $3,240 3,322 3,793 3,704 3,396 3,252 3,130 3,094 3,094 3,094 3,094 3,094 3,094 Silver, Forecast US$/oz 0.00 36.84 43.61 42.71 38.72 36.71 36.71 35.76 35.76 35.76 35.76 35.76 35.76 Physicals Total Ore Mined kt 226,187 11,718 21,155 19,981 19,894 18,144 18,162 19,270 21,772 21,772 21,739 19,541 13,039 Total Ore Mined kt 146,362 6,043 15,947 20,633 20,098 19,571 18,125 17,018 9,124 7,380 4,335 7,718 370 Total Material Mined kt 372,549 17,761 37,102 40,614 39,991 37,715 36,287 36,287 30,897 29,153 26,073 27,260 13,409 Stripping Ratio W:O 0.65 0.52 0.75 1.03 1.01 1.08 1.00 0.88 0.42 0.34 0.20 0.39 0.03 Total Ore Processed kt 226,187 11,718 21,155 19,981 19,894 18,144 18,162 19,270 21,772 21,772 21,739 19,541 13,039 Gold Grade, Stacked g/t 0.39 0.36 0.36 0.39 0.38 0.42 0.44 0.43 0.48 0.32 0.36 0.37 0.36 Contained Gold, Stacked koz 2,832 136 246 253 241 242 256 265 334 224 253 230 152 Average Recovery, Gold % 51.6% 55.6% 64.1% 50.6% 49.6% 46.4% 48.3% 51.8% 51.4% 56.2% 53.4% 48.9% 40.9% Recovered Gold, Stacked koz 1,462 76 158 128 119 112 124 138 172 126 135 112 62 Finisehed Goods - Gold Stockpile Movement koz 334 (16) (17) 9 26 6 (9) (6) (31) (30) (59) (73) (6) Payable Gold, Total koz 1,795 60 141 137 146 119 114 131 141 96 76 39 56 Cash Flow Gold Gross Revenue 100.00% $000s 5,816,897 200,096 534,055 507,333 495,259 385,972 357,975 406,803 435,062 297,145 234,608 120,685 173,401 Silver Gross Revenue -- $000s - - - - - - - - - - - - - Gross Revenue Before By-Product Credits 100.0% $000s 5,816,897 200,096 534,055 507,333 495,259 385,972 357,975 406,803 435,062 297,145 234,608 120,685 173,401 Gold Gross Revenue $000s 5,816,897 200,096 534,055 507,333 495,259 385,972 357,975 406,803 435,062 297,145 134,608 120,685 173,401 Silver Gross Revenue $000s - Gross Revenue After By-Product Credits $000s 5,816,897 200,096 534,055 507,333 495,259 385,972 357,975 406,803 435,062 297,145 234,608 120,685 173,401 Mining Cost $000s (1,096,490) (58,087) (112,133) (109,315) (110,570) (95,454) (110,400) (104,481) (95,310) (91,811) (81,615) (85,329) (41,974) Process Cost $000s (1,314,824) (49,042) (101,077) (102,271) (104,412) (107,565) (107,975) (107,835) (99,174) (100,953) (100,796) (99,603) (66,460) G&A Cost $000s (567,751) (19,277) (41,254) (40,911) (40,916) (40,980) (41,160) (41,460) (41,523) (41,674) (41,989) (42,052) (33,642) Other Cost $000s - - - - - - - - - - - - - Refining and Freight Cost $000s (2,154) (72) (169) (164) (175) (142) (137) (158) (169) (115) (91) (47) (67) Royalties $000s (421,725) (14,507) (38,719) (36,782) (35,906) (27,983) (25,953) (29,493) (31,542) (21,543) (17,009) (8,750) (12,572) Subtotal Cash Costs Before By-Product Credits $000s (3,402,944) (140,985) (293,353) (289,443) (291,979) (272,124) (285,626) (283,437) (267,717) (256,097) (241,501) (235,781) (154,714) By-Product Credits $000s - - - - - - - - - - - - - Total Cash Costs After By-Product Credits $000s (3,402944) (140,985) (293,353) (289,443) (291,979) (272,124) (285,626) (283,437) (267,717) (256,097) (241,501) (235,781) (154,714) Operating Margin 41% $000s 2,413,953 59,111 240,703 217,890 203,279 113,848 72,349 123,367 167,345 41,048 (6,893) (115,096) 18,687 Other Revenue $000s - - - - - - - - - - - - - EBITDA $000s 2,413,953 59,111 240,703 217,890 203,279 113,848 72,349 123,367 167,345 41,048 (6,893) (115,096) 18,687 Depreciation Allowance $000s (420,590) (4,013) (15,821) (29,377) (34,518) (34,653) (38,688) (42,861) (42,854) (37,960) (30,180) (25,347) (22,052) Depletion Allowance $000s (664,472) (26,545) (80,108) (76,100) (74,289) (39,232) (16,302) (39,166) (62,040) (1,300) - - - Earnings Before Taxes $000s 1,328,892 28,553 144,773 112,413 94,473 39,963 17,359 41,340 62,450 1,788 (37,073) (140,443) (3,365) Federal & State Income Tax $000s (202,598) (5,821) (30,632) (24,187) (20,511) (8,602) (3,575) (8,588) (13,604) (285) - - - Net Income $000s 1,126,293 22,732 114,141 88,226 73,962 31,361 13,785 32,752 48,846 1,504 (37,073) (140,443) (3,365) Non-Cash Add Back - Depreciation $000s 420,590 4,013 15,821 29,377 34,518 34,653 38,688 42,861 42,854 37,960 30,180 25,347 22,052 Non-Cash Add Back - Depletion $000s 664,472 26,545 80,108 76,100 74,289 39,232 16,302 39,166 62,040 1,300 - - - Working Capital $000s - - - - - - - - - - - - - Operating Cash Flow $000s 2,211,355 53,291 210,071 193,703 182,769 105,246 68,775 114,778 153,741 40,763 (6,893) (115,096) 18,687 Development/Expansion Capital $000s (158,580) (16,388) (41,984) (48,825) (5,898) (8,548) (24,782) (6,758) (5,398) - - - - Sustaining Capital $000s (263,310) (23,193) (43,140) (32,252) (22,481) (22,609) (22,541) (17,134) (23,791) (18,081) (16,972) (13,227) (890) Closure/Reclamation/Monitoring Costs $000s (517,460) (2,008) (5,077) (2,108) (934) (731) (1,058) (2,174) (410) (489) (602) (29,532) (27,484) Salvage $000s - - - - - - - - - - - - - Total Capital $000s (939,350) (41,588) (90,201) (83,184) (29,313) (31,888) (48,380) (26,066) (29,599) (18,570) (17,574) (42,758) (28,374) Cash Flow Adj./Reimbursements $000s - - - - - - - - - - - - -
| 28-1 | ![]() |
| SSR Mining Inc. | Cripple Creek and Victor Mine S-K 1300 Technical Report Summary | November 10, 2025 SLR Project No.: 123.020622.00001 |

Figure 28-2 Economic Model Annual Summary SLR Company SSR Mining Inc. Project Name Cripple Creek & Victor Mine Scenario Name Base Case Analysis Type SK-1300 TRS Calendar Year 2025 2026 2027 2028 2029 2030 2031 2032 2033 2034 2035 2036 Discounting Timeline By Date Jul-25 Jan-26 Jan-27 Jan-28 Jan-29 Jan-30 Jan-31 Jan-32 Jan-33 Jan-34 Jan-35 Jan-36 Project Stage Ops Ops Ops Ops Ops Ops Ops Ops Ops Ops Ops Ops Time Until Closure In Years US$ & Metric Units LoM Avg / Total 12 11 10 9 8 7 6 5 4 3 2 1 LoM Metrics Economic Metrics Base Discount Date as of Jul 01, 2025, using mid-year convention for discounting Discount Rate BOP 5% a) Pre-Tax Free Cash Flow $000s 1,474,603 17,523 150,502 134,706 173,967 81,960 23,969 97,301 137,746 22,478 (24,267) (157,855) (9,687) Cumulative Free Cash Flow $000s 17,523 168,024 302,730 476,697 558,657 582,626 679,926 817,672 840,150 815,683 657,829 648,142 NPV @ 5% $000s 956,962 b) After-Tax Free Cash Flow $000s 1,272,005 11,702 119,870 110,519 153,456 73,357 20,394 88,712 124,142 22,193 (24,467) (157,855) (9,687) Cumulative Free Cash Flow $000s 11,702 131,572 242,091 395,547 468,904 489,299 578,011 702,153 724,346 699,879 542,025 532,338 NPV @ 5% $000s 824,488 Operating Metrics Mine Life Years 12 Average Daily Mining Rate t/d moved 85,000 48,661 101,648 111,271 109,565 103,329 99,418 99,418 84,649 79,870 71,434 74,684 36,737 Average Daily Stacking Rate t/d placed 52,000 32,104 57,959 54,742 54,503 49,709 49,760 52,794 59,651 59,651 59,558 53,538 35,723 Mining Cost $ / t mined $2.94 3.27 3.02 2.69 2.76 2.53 3.04 2.88 308 3.15 3.13 3.13 3.13 Mining Cost t/d stacked $4.85 4.96 5.30 5.47 5.56 5.26 6.08 5.42 4.38 4.22 3.75 4.37 3.22 Processing Cost t/d stacked $5.81 4.19 4.78 5.12 5.25 5.93 5.94 5.60 4.56 4.64 4.64 5.10 5.10 G&A Cost t/d stacked $2.51 1.65 1.95 2.05 2.06 2.26 2.27 2.15 1.91 1.91 1.93 2.15 2.58 Subtotal Direct Operating Costs t/d stacked $13.17 10.79 12.03 12.64 12.86 13.45 14.29 13.17 10.84 10.77 10.32 11.62 10.90 WTP Cost (During LOM) t/d stacked $0.00 - - - - - - - - - - - - Refining and Freight Cost t/d stacked $0.01 0.01 0.01 0.01 0.01 0.01 0.01 0.01 0.01 0.01 0.00 0.00 0.01 NSR Royalty t/d stacked $1.86 1.24 1.83 1.84 1.80 1.54 1.43 1.53 1.45 0.99 0.78 0.45 0.96 Total Operating Cost t/d stacked $15.04 12.03 13.87 14.49 14.68 15.00 15.73 14.71 12.30 11.76 11.11 12.07 11.87 Sales Metrics Au Sales koz 1,795 60 141 137 146 119 114 131 141 96 76 39 56 Total Cash Cost (LOM) $ / oz Au 1,896 Total AISC (LOM) $ / oz Au 2,330 Avg. LOM Annual Au Sales (excl. rinsing phase) koz/yr 102
| 28-2 | ![]() |
| SSR Mining Inc. | Cripple Creek and Victor Mine S-K 1300 Technical Report Summary | November 10, 2025 SLR Project No.: 123.020622.00001 |

Figure 28-3 SLR Company SSR Mining Inc. Project Name Cripple Creedk and V Scenario Name Base Case Analysis Type SK-1300 TRS Calendar Year 2037 2038 2039 2040 2041 2042 2043 2044 2045 2046 2047 2048 2049 2050 2051 to 2062 Discounting Timeline By Date Jan-37 Jan-38 Jan-39 Jan-40 Jan-41 Jan-42 Jan-43 Jan-44 Jan-45 Jan-46 Jan-47 Jan-48 Jan-49 Jan-50 Project Stage Rinsing Rinsing Rinsing Rinsing Rinsing Rinsing Rinsing Rinsing Rinsing Rinsing Rinsing Rinsing Rinsing Rinsing Final Closure Time Until Closure In Years US$ & Metric Units -1 -2 -3 -4 -5 -6 -7 -8 -9 -10 -11 -12 -13 -14 -15 Market Prices Gold, Forecast US$/oz 3,094 3,094 3,094 3,094 3,094 3,094 3,094 3,094 3,094 3,094 3,094 3,094 3,094 3,094 3,094 Silver, Forecast US$/oz 35.76 35.76 35.76 35.76 35.76 35.76 35.76 35.76 35.76 35.76 35.76 35.76 35.76 35.76 35.76 Physicals Total Ore Mined kt - - - - - - - - - - - - - - - Total Waste Mined kt - - - - - - - - - - - - - - - Total Material Mined kt - - - - - - - - - - - - - - - Stripping Ratio W:O - - - - - - - - - - - - - - - Total Ore Processed kt - - - - - - - - - - - - - - - Gold Grade, Stacked g/t - - - - - - - - - - - - - - - Contained Gold, Stacked koz - - - - - - - - - - - - - - - Average Recovery, Gold % -- -- -- -- -- -- -- -- -- -- -- -- -- -- -- Recovered Gold, Stacked koz - - - - - - - - - - - - - - - Finisehed Goods - Gold Stockpile Movement koz 53 50 48 45 43 41 39 37 35 33 31 30 28 37 - Payable Gold, Total koz 53 50 48 45 43 41 39 37 35 33 31 30 28 37 - Cash Flow Gold Gross Revenue 100.00% $000s 164,445 155,952 147,897 140,258 133,014 126,144 119,629 113,450 107,591 102,034 96,764 91,766 87,027 82,532 - Silver Gross Revenue -- $000s - - - - - - - - - - - - - - - Gross Revenue Before by-Product Credits 100.0% $000s 164,445 155,952 147,897 140,258 133,014 126,144 119,629 113,450 107,591 102,034 96,764 91,766 87,027 82,532 - Gold Gross Revenue $000s 164,445 155,952 147,897 140,258 133,014 126,144 119,629 113,450 107,591 102,034 96,764 91,766 87,027 82,532 - Silver Gross Revenue $000s Gross Revenue After By-Product Credits $000s 164,445 155,952 147,987 140,258 133,014 126,144 119,629 113,450 107,591 102,034 96,764 91,766 87,027 82,532 - Mining Cost $000s - - - - - - - - - - - - - - - Process Cost $000s (38,000) (19,000) (9,222) (9,222) (9,222) (9,222) (9,222) (9,222) (9,222) (9,222) (9,222) (9,222) (9,222) (9,222) - G&A Cost $000a (21,247) (10,714) (9,107) (7,741) (6,579) (5,593) (4,754) (5,000) (5,000) (5,000) (5,000) (5,000) (5,000) (5,000) - Other Cost $000s - - - - - - - - - - - - - - - Refining and Freight Cost $000s (64) (60) (57) (54) (52) (49) (46) (44) (42) (40) (38) (36) (36) (34) (32) - Royalties $000s (11,922) (11,307) (10,169) (9,644) (9,145) (8,673) (8,225) (7,800) (7,397) (7,015) (6,653) (6,309) (5,984) - Subtotal Cash Costs Before By-Product Credits $000s (71,413) (41,081) (29,108) (27,185) (25,496) (24,009) (22,695) (22,491) (22,064) (22,659) (21,275) (20,910) (20,565) (20,237) - - - - - - - - - - - - - - - - Total Cash Costs After By-Product Credits $000s (71,413) (41,081) (29,108) (27,185) (25,496) (24,009) (22,695) (22,491) (22,064) (21,659) (21,275) (20,910) (20,565) (202,237) - Operating Margin 41% $000s 93,032 114,871 118,789 113,073 107518 102,136 96,934 90,960 85,527 80,375 75,489 7,0,856 ,66,462 62,295 - Other Revenue $000s - - - - - - - - - - - - - - - EBITDA $000s 93,032 114,871 118,789 113,073 107,518 102,136 96,934 90,960 85,527 80,375 75,489 70,856 66,462 62,295 - Depreciation Allowance (16,867) (12,620) ()9,715, (7,036) (4,789) (2,691) (1,647) (1,453) (1,224) (1,017) (863) (727) (1,616) - - Depletion Allowance $000s (23,781) (23,393) (22,185) (21,039) (19,952) (18,922) (17,944) (17,018) (16,139) (15,305) (14,515) (13,765) (13,054) (12,380) - Earnings Before Taxes $000s 52,383 78,858 86,889 84,998 82,777 80,523 77,342 72,489 68,164 64,053 60,112 56,364 51,791 49,915 - Federal & State Income Tax $000s - - - - - (5,735) (12,847) (12,054) (11,689) (10,628) (11,075) (10,252) (6,512) (6,000) - Net Income $000s 52,383 78,858 86,889 84,998 82,777 74,787 64,495 60,434 56,475 53,425 49,037 46,112 45,279 43,914 - Non-Cash Add Back - Depreciation $000s 16,867 12,620 9,715 7,036 4,789 2,691 1,647 1,453 1,224 1,017 863 727 1,616 - - Non-Cash Add Back Depletion $000s 23,781 23,393 22,185 21,039 19,952 18,922 17,944 17,018 16,139 15,305 14,515 13,765 13,054 12,380 - Working Capital $000s - - - - - - - - - - - - - - - Operating Cash Flow $000s 93,032 114,871 118,789 113,073 107,518 96,400 84,087 78,905 73,838 69,747 64,414 60,604 59,950 56,294 - Development/Expansion Capital $000s - - - - - - - - - - - - - - - Sustaining Capital $000s (500) (500) (500) (500) (500) (500) (500) (500) (500) (500) (500) (500) (500) (500) - Closure/Reclamation/Monitoring Cost $000s (28,602) (28,646) (28,993) (53,315) (37,932) (24,287) (18,752) (17,514) (14,856) (15,584) (9,604) (9,609) (22,093) (22,550) (112,518) Salvage $000s - - - - - - - - - - - - - - - Total Capital $000s (29,102) (29,146) (29,493) (53,815) (38,432) (24,787) (19,252) (18,014) (15,356) (16,084) (10,104) (10,109) (22,593) (23,050) (112,5218) Cash Flow Adj./Reimbursements $000s - - - - - - - - - - - - - - -
| 28-3 | ![]() |
| SSR Mining Inc. | Cripple Creek and Victor Mine S-K 1300 Technical Report Summary | November 10, 2025 SLR Project No.: 123.020622.00001 |

SLR Company SSR Mining Inc. Project Name Cripple Creek & V Scenario Name Base Case Analysis Type SK-1300 TRS Calendar Year 2037 2038 2039 2040 2041 2042 2043 2044 2045 2046 2047 2048 2049 2050 2051 to 2062 Discounting Timeline By Date Jan-37 Jan-38 Jan-39 Jan-40 Jan-41 Jan-42 Jan-43 Jan-44 Jan-45 Jan-46 Jan-47 Jan-48 Jan-49 Jan-50 Project Stage Rinsing Rinsing Rinsing Rinsing Rinsing Rinsing Rinsing Rinsing Rinsing Rinsing Rinsing Rinsing Rinsing Rinsing Final Closure Time Until Closure In Years US$ & Metric Units -1 -2 -3 -4 -5 -6 -7 -8 -9 -10 -11 -12 -13 -14 -15 Economic Metrics Base Discount Date as of Jul 01,202 Discount Rate BOP 5% a) Pre-Tax Free Cash Flow $000s 63,930 85,725 89,296 59,258 69,086 77,349 77,683 72,945 70,171 64,291 65,385 60,747 43,869 39,244 (112,518) Cumulative Free Cash Flow $000s 712,072 797,797 887,093 946,351 1,015,436 1,092,785 1,170,468 1,243,413 1,313,584 1,377,876 1,443,261 1,504,008 1,547,877 1,587,121 1,474,603 NPV @ 5% $000s b) After-Tax Free Cash Flow $000s 63,930 85,725 89,269 59,258 69,086 71,613 64,835 60,891 58,482 53,663 54,310 50,495 37,357 33,244 (112,518) Cumulative Free Cash Flow $000s 596,268 681,993 771,289 830,547 899,632 971,246 1,036,081 1,096,972 1,115,454 1,209,117 1,263,428 1,313,922 1,351,279 1,384,523 1,272,005 NPV @ 5% $000s Operating Metrics Mine Life Years Average Daily Mining Rate t/d moved - - - - - - - - - - - - - - - Average Daily Stacking Rate t/d placed - - - - - - - - - - - - - - - Mining Cost $ / t mined - - - - - - - - - - - - - - - Mining Cost t/d stacked - - - - - - - - - - - - - - - Processing Cost t/d stacked - - - - - - - - - - - - - - - G&A Cost t/d stacked - - - - - - - - - - - - - - - Subtotal Direct Operating Cost t/d stacked - - - - - - - - - - - - - - - WTP Cost (During LOM) t/d stacked - - - - - - - - - - - - - - - Refining and Freight Cost t/d stacked - - - - - - - - - - - - - - - NSR Royalty t/d stacked - - - - - - - - - - - - - - - Total Operating Cost t/d stacked - - - - - - - - - - - - - - - Sales Metrics Au Sales Koz 53 50 48 45 43 41 39 37 35 33 31 30 28 27 - Total Cash Cost (LOM) $ / oz Au Total AISC (LOM) $ / oz Au Avg. LOM Annual Au Sales (excl. rinsing phase) koz /yr
| 28-4 | ![]() |
| SSR Mining Inc. | Cripple Creek and Victor Mine S-K 1300 Technical Report Summary | November 10, 2025 SLR Project No.: 123.020622.00001 |
