UNITED STATES
SECURITIES AND EXCHANGE COMMISSION
WASHINGTON, D.C. 20549
SCHEDULE 14A
Proxy Statement Pursuant to Section 14(a) of
The Securities Exchange Act of 1934 (Amendment No. )
Filed by the Registrant ☒ Filed by a Party other than the Registrant ☐
Check the appropriate box:
| ☐ | Preliminary Proxy Statement |
| ☐ | Confidential, for Use of the Commission Only (as permitted by Rule 14a-6(e)(2)) |
| ☒ | Definitive Proxy Statement |
| ☐ | Definitive Additional Materials |
| ☐ | Soliciting Material Pursuant to §240.14a-12 |
(Name of Registrant as Specified In Its Charter)
(Name of Person(s) Filing Proxy Statement, if other than the Registrant)
Payment of Filing Fee (Check the appropriate box):
| ☒ | No fee required. |
| ☐ | Fee paid previously with preliminary materials. |
| ☐ | Fee computed on table in exhibit required by Item 25(b) per Exchange Act Rules 14a-6(i)(1) and 0-11. |


![]() |
601 Clinton Street, Defiance, Ohio 43512 419-785-8700 |
|||
NOTICE OF ANNUAL MEETING OF SHAREHOLDERS TO BE HELD ON
APRIL 30, 2024
NOTICE IS HEREBY GIVEN that the Annual Meeting of Shareholders (“Annual Meeting”) of Premier Financial Corp. (“Premier”) will be held on April 30, 2024, at 1:30 p.m. Eastern Time. The Annual Meeting will be an entirely virtual meeting. That means you can attend the Annual Meeting online, vote your shares electronically, and submit questions during the Annual Meeting by visiting www.virtualshareholdermeeting.com/PFC2024. The Annual Meeting will be held for the following purposes, all of which are more completely set forth in the accompanying Proxy Statement:
| 1. | To elect five (5) directors; |
| 2. | To consider and approve a non-binding advisory vote on Premier’s executive compensation; |
| 3. | To consider and vote on a proposal to ratify the appointment of Crowe LLP as the independent registered public accounting firm for Premier for the year 2024; and |
| 4. | To transact such other business as may properly come before the Annual Meeting or any adjournment thereof. |
The Board of Directors of Premier has fixed March 1, 2024 as the voting record date for the determination of shareholders entitled to notice of and to vote at the Annual Meeting or at any adjournment thereof. Only those shareholders of record as of the close of business on that date will be entitled to vote at the Annual Meeting or at any such adjournment.
IMPORTANT NOTICE REGARDING THE AVAILABILITY OF PROXY MATERIALS
FOR THE SHAREHOLDER MEETING TO BE HELD ON April 30, 2024
The Proxy Statement for the Annual Meeting of Shareholders and the 2023 Annual Report to Shareholders, which includes the Form 10-K
for the year ended December 31, 2023, are both available by (1) visiting www.proxyvote.com, (2) calling 1-800-579-1639, or (3) sending an email to sendmaterial@proxyvote.com. If
sending an email, please include your 16-Digit Control Number in the subject line. These materials may also be obtained upon written request to:
Premier Financial Corp., Shannon M. Kuhl, Corporate Secretary
275 West Federal Street, Youngstown, Ohio 44503
| Your vote on these matters is important, regardless of the number of shares you own. In order to ensure that your shares are represented, I urge you to promptly execute and return the enclosed form of Proxy or submit your Proxy by telephone or Internet. |
BY ORDER OF THE BOARD OF DIRECTORS
Donald P. Hileman
Executive Chair
Shannon M. Kuhl
Corporate Secretary
March 15, 2024 | Defiance, Ohio
TABLE OF CONTENTS
![]() |
601 Clinton Street, Defiance, Ohio 43512 419-785-8700 |
|||
PROXY STATEMENT FOR THE 2024 ANNUAL MEETING OF SHAREHOLDERS
April 30, 2024
This Proxy Statement is being furnished to shareholders of Premier Financial Corp. (“Premier,” “PFC,” the “Company,” “we,” “us,” or “our”). Our Board of Directors (the “Board”) is soliciting proxies to be used at our 2024 Annual Meeting of Shareholders (the “Annual Meeting”) to be held virtually on April 30, 2024, at 1:30 p.m. Eastern Time, and at any adjournment thereof, for the purposes set forth in the Notice of Annual Meeting of Shareholders.
The Proxy Statement and related materials were first made available to shareholders of Premier on or about March 18, 2024 and we expect to begin mailing these proxy materials to the shareholders of Premier on or about March 20, 2024.
|
IMPORTANT NOTICE REGARDING THE AVAILABILITY OF PROXY MATERIALS FOR THE SHAREHOLDER MEETING TO BE HELD ON April 30, 2024
The Proxy Statement for the Annual Meeting of Shareholders and the 2023 Annual Report to Shareholders, which includes the Form 10-K for the year ended December 31, 2023, are both available by (1) visiting www.proxyvote.com, (2) calling 1-800-579-1639, or (3) sending an email to sendmaterial@proxyvote.com. If sending an email, please include your 16-Digit Control Number in the subject line. These materials may also be obtained upon written request to Premier Financial Corp., Shannon M. Kuhl, Corporate Secretary, 275 West Federal Street, Youngstown, Ohio 44503. |
||
ANNUAL MEETING INFORMATION
What matters will be voted on at the Annual Meeting?
The Annual Meeting will be held for the following purposes and you are being asked to vote on:
| 1. | The election of five (5) directors; |
| 2. | A non-binding advisory vote on Premier’s executive compensation to our named executive officers; |
| 3. | The ratification of the appointment of Crowe LLP as the independent registered public accounting firm for Premier for the year 2024; and |
| 4. | Any other business as may properly come before the Annual Meeting or any adjournment thereof. |
Why did you receive a Notice of Internet Availability of Proxy Materials instead of paper copies of the proxy materials?
The U.S. Securities and Exchange Commission (“SEC”) notice and access rule allows us to furnish our proxy materials over the internet to our shareholders instead of mailing paper copies of those materials to each shareholder. As a result, on or around March 20, 2024 we sent to most of our shareholders, by mail or e-mail, a notice containing instructions on how to access our proxy materials over the internet and vote online. This notice is not a proxy card and cannot be used to vote your shares. If you received only a notice this year, you will not receive paper copies of the proxy materials unless you request the materials by following the instructions on the notice or on the website referred to on the notice at no charge. You should request materials before April 16, 2024 in order to reasonably expect to receive them prior to the Annual Meeting.
We provided some of our shareholders, including shareholders who have previously asked to receive paper copies of the proxy materials, with paper copies of the proxy materials instead of a notice that the materials are electronically available over the internet.
How can you attend the Annual Meeting?
The Annual Meeting will be an entirely virtual meeting. That means you can attend the Annual Meeting online, vote your shares electronically, and submit questions during the Annual Meeting by visiting www.virtualshareholdermeeting.com/PFC2024. You do not need to attend the Annual Meeting to vote. Even if you plan to attend the Annual Meeting, please submit your vote in advance as instructed in this Proxy Statement.
A summary of the information you need to attend the Annual Meeting online is provided below:
| ● |
Any shareholder can attend the Annual Meeting live via the Internet at www.virtualshareholdermeeting.com/PFC2024.
|
| ● |
Webcast starts at 1:30 p.m. Eastern Time. We suggest you access the Annual Meeting 15 minutes prior to the start.
|
| ● |
Shareholders may vote and submit questions while attending the Annual Meeting on the Internet.
|
| ● |
Please have your 16-Digit Control Number to enter the Annual Meeting.
|
| ● |
Instructions on how to attend and participate via the Internet, including how to demonstrate proof of stock ownership, are posted at www.virtualshareholdermeeting.com/PFC2024.
|
|
| ● |
Questions regarding how to attend and participate via the Internet may be answered by calling 1-855-449-0991 on the day before the Annual Meeting or the day of the Annual Meeting.
|
|
| ● | Webcast replay of the Annual Meeting will be available until May 1, 2025. |
What if you have technical issues accessing the Annual Meeting or voting?
If you have technical issues accessing the Annual Meeting or if you are unable to locate your 16-digit control number, contact (855) 449-0991.
Who can vote at the Annual Meeting?
Only our shareholders of record at the close of business on March 1, 2024 (the “Voting Record Date”) are entitled to notice of, and to vote at, the Annual Meeting. On the Voting Record Date, there were 35,803,629 common shares issued and outstanding. We have no other class of equity securities outstanding that are entitled to vote at the Annual Meeting. You are entitled to cast one vote for each share owned and there is no cumulative voting with respect to the election of directors. You do not need to attend the Annual Meeting to vote and can instead follow the instructions “How to vote your shares?” below.
What constitutes a quorum for the Annual Meeting?
The presence, either in person or by proxy, of at least a majority of our outstanding shares entitled to vote, or at least 17,901,815 common shares, is necessary to constitute a quorum at the Annual Meeting. Abstentions and broker non-votes are counted in determining the presence of a quorum.
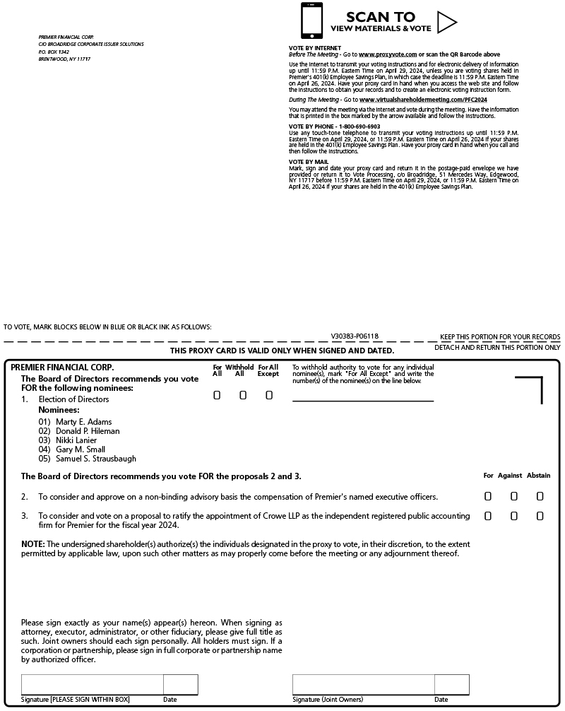
How to vote your shares?
![]() |
● Before The Meeting - Go to www.ProxyVote.com or scan the QR Barcode on your Proxy Card. Use the Internet to transmit your voting instructions and for electronic delivery of information up until 11:59 P.M. Eastern Time on April 29, 2024, unless you are voting shares held in Premier’s 401(k) Employee Savings Plan, in which case the deadline is 11:59 P.M. Eastern Time on April 26, 2024. Have your proxy card in hand when you access the web site and follow the instructions to obtain your records and to create an electronic voting instruction form. ● During The Meeting - Go to www.virtualshareholdermeeting.com/pfc2024 ● You must have the 16-digit Control Number from your Notice of Internet Accessibility to register and vote online either before or during the Annual Meeting. |
![]() |
1-800-690-6903 - Use any touch-tone telephone to transmit your voting instructions up until 11:59 P.M. Eastern Time on April 29, 2024, or 11:59 P.M. Eastern Time on April 26, 2024 if your shares are held in the 401(k) Employee Savings Plan. Have your proxy card in hand when you call and then follow the instructions. |
![]() |
Mark, sign and date your proxy card and return it in the postage-paid envelope we have provided or return it to Vote Processing, c/o Broadridge, 51 Mercedes Way, Edgewood, NY 11717 before 11:59 P.M. Eastern Time on April 29, 2024, or 11:59 P.M. Eastern Time on April 26, 2024 if your shares are held in the 401(k) Employee Savings Plan. |
If your shares are registered differently and are in more than one account, you will receive more than one proxy card. Please follow the directions for voting on each of the proxy cards you receive to ensure that all of your shares are voted.
How to vote your shares if they are held in the name of a broker?
If your shares are held by your broker, you must vote your shares through your broker. You should receive a form from your broker asking how you want to vote your shares. Follow the instructions on that form to give voting instructions to your broker.
How to vote your shares if you hold them in Premier’s 401(k) Employee Savings Plan?
If you hold PFC shares in the Premier 401(k) Employee Savings Plan, you will receive a full set of materials and your proxy card will serve as your instructions to Fidelity Management Trust Company, the trustee of the 401(k) Employee Savings Plan, to vote your shares. We must receive your completed voting instructions before 11:59 P.M. Eastern Time on April 26, 2024 in order for Fidelity Management Trust Company to vote your shares.
How will your shares be voted if you vote by proxy?
Your proxy, if properly submitted and not revoked prior to its use, will be voted in accordance with the instructions you give. Properly submitted proxies that do not contain voting instructions and that are not “broker non-votes” will be voted:
| 1. | FOR the director nominees identified in Proposal 1 herein; |
| 2. | FOR the approval of our executive compensation; |
| 3. | FOR the ratification of the appointment of Crowe LLP (“Crowe”) as our independent registered public accounting firm for 2024; and |
| 4. | In accordance with the discretion of the persons appointed as proxies upon the transaction of such other business as may properly come before the Annual Meeting. |
How to revoke your proxy?
You may revoke your proxy at any time before it is exercised by (1) filing written notice of revocation to be received prior to voting at the Annual Meeting with our Secretary, Shannon M. Kuhl, at 275 West Federal Street, Youngstown, Ohio 44503; (2) submitting a valid proxy bearing a later date that is received prior to voting at the Annual Meeting; or (3) attending the Annual Meeting online and giving notice of revocation to the Secretary prior to voting your shares at the Annual Meeting. Attending the Annual Meeting will not, by itself, revoke a previously given proxy.
The proxies we are soliciting will only be exercised at the Annual Meeting and any adjournment thereof and will not be used for any other meeting.
Who is soliciting your proxy?
Premier will pay the costs of this proxy solicitation, including the standard charges and expenses of brokerage houses, voting trustees, banks, associations and other custodians, nominees and fiduciaries who are record holders of shares not beneficially owned by them, for forwarding the proxy materials to, and obtaining proxies from, the beneficial owners of our shares entitled to vote at the Annual Meeting. In addition to solicitations by mail, our directors, officers and employees may solicit proxies personally or by telephone without additional compensation for such solicitations.
What proposals are being voted on and how many votes are required for each to be approved?
| Proposal | Required Vote | Effect of Abstentions and Broker Non-Votes |
| Election of Directors | The five nominees for election as directors receiving the greatest number of votes “FOR” their election will be elected as directors. |
Withheld votes will be counted for purposes of establishing a quorum but have no effect on election voting except under our Majority Vote Policy described below and on page 12.
This is a non-routine proposal and broker non-votes have no effect on election voting. |
| Non-binding advisory vote on Premier’s executive compensation to our named executive officers | Affirmative vote of at least a majority of the votes cast by shareholders present, in person or by proxy, at the meeting. |
Abstentions have the same effect as a vote AGAINST the proposal.
This is a non-routine proposal and broker non-votes will have no effect on the proposal. |
| Ratification of the appointment of Crowe LLP as the independent registered public accounting firm for Premier for the year 2024 | Affirmative vote of at least a majority of the votes cast by shareholders present, in person or by proxy, at the meeting. |
Abstentions have the same effect as a vote AGAINST the proposal.
This is a routine proposal and there will not be any broker non-votes on the proposal. |
Majority Vote Policy. Our Corporate Governance Guidelines provide that in the circumstance of an uncontested director election, which is the case for this year’s directors’ election, any director who does not receive a majority of votes cast in favor of their election must promptly tender a resignation to the Board. Upon recommendation of the Governance Committee, the Board will determine whether to accept the resignation.
|
THE BOARD OF DIRECTORS RECOMMENDS THAT YOU VOTE “FOR” EACH NOMINEE FOR |
||
GOVERNANCE AND SOCIAL MATTERS: What Matters at Premier?
We view ourselves as a high-performing, community-focused financial institution dedicated to focusing on our customers, our employees and the communities we have served since the 1890s. We are built on a foundation of focusing on the fundamentals of sound banking practices and are strengthened by our Mission & Vision Statements and Core Values initiatives described below.

Our Vision Statement encompasses our desire to be the partner of choice for all our stakeholders, be they customers, investors, employees, or the communities we serve. Our Core Values further address our commitment to our various stakeholders. Together these define our culture and the emphasis we place on building a work environment supportive of our commitment to many of the social and governance matters described below.
“Winning” for us rests on our ability to provide our products and services consistently and in compliance with all regulations and standards applicable to financial institutions of our size and the products and services we offer. To do this, we invest in our people, systems, and risk management program to create strong governance in all our dealings: from a simple deposit transaction to the functioning of our Board.
While environmental, social and governance matters have been of high importance to Premier for several years, beginning in January 2022, we specifically tasked our Governance and Nominating Committee to oversee the management of our efforts in these areas, including our efforts toward promoting diversity, equity, and inclusion.
SOCIAL
Supporting Local Communities
In 2023, through Premier Bank, our wholly-owned banking subsidiary, and the Premier Bank Foundation, we donated $1.4 million to over 470 non-profit organizations in the communities we serve. Our employees have also participated in numerous volunteer service efforts providing their time and talents to their local communities. All employees receive paid volunteer time specifically for the purpose of volunteering their time in their respective communities. In 2023, our employees recorded over 5,400 hours of volunteer time, and we believe the actual time dedicated to such efforts to be even greater than such recorded amount.
Human Capital Management
Our tagline of “Powered by People” also serves as an indication of our commitment to our employees recognizing the value and importance they each play towards our success.
| ● |
Talent Acquisition - Our talent acquisition processes are designed to attract top talent in the financial services industry and to foster an inclusive, respectful, and rewarding
workplace.
|
| ● |
Employee Retention and Engagement - All employees receive training on our Mission, Vision and Core Values. We are committed to fostering an environment that encourages diverse
viewpoints, backgrounds, and experiences. With the support of our Board, we continue to explore additional diversity, equity, and inclusion efforts. We offer a comprehensive benefits package to our employees and have designed our benefits and
compensation programs to attract, retain, motivate, and reward employees.
|
| ● | Safety and Well-Being - Protecting our team members with good health, safety, and well-being practices is an integral part of our culture and is perhaps our most important human capital management asset. We provide robust health benefits, including medical, dental and vision, short- and long-term disability, and life insurance. |
Diversity, Equity and Inclusion
We are committed to employing and retaining a highly diverse workforce. We are an Equal Employment Opportunity Employer that understands the importance of employing individuals with varied backgrounds. Beginning with the “tone from the top” and cascading throughout our organization, we expect our employees to understand the importance of diversity, equity and inclusion and how these considerations impact our ability to achieve a highly efficient and dynamic work environment. Our “tone from the top” starts with the diversity of our executive team depicted below.
We have implemented multiple programs and initiatives designed to increase diversity, equity and inclusion awareness, to build diverse teams, to encourage connections amongst all of our employees, and to support our commitment to recruiting and retaining a diverse workforce. We have also seen significant year over year improvements in the percent of minorities in our applicant pools and in our new employee ranks. Gender equity efforts have also encouraged year-over-year higher promotion rates for women compared to men and we actively manage gender pay gap disparities.
Environmental
We believe that the protection of the environment is an important part of our responsibility as a banking institution, and we are committed to doing our part to ensure a sustainable future. In 2022, we began using renewable electricity and carbon-neutral natural gas to power all of our locations. Additionally, we use LED bulbs for all lighting replacement in our facilities.
CORPORATE GOVERNANCE
Governance Highlights
We believe that sound principles of corporate governance are the hallmark of long-term growth and profitability. Our governance policies are designed to promote independent and diverse consideration of our business and risk management strategies, with the goal of achieving robust returns for our shareholders. More information about our corporate governance programs is available on our website at www.premierfincorp.com under the link “Governance Documents” where you can find copies of our Corporate Governance Guidelines, Code of Ethics, Compensation Clawback Policy, and the charters for our Board committees.
| Size of Board | 14 |
| Number of Independent Directors | 12 |
| Number of Female Directors | 3 |
| Number of Ethnically Diverse Directors | 2 |
| Average Age of Directors | 61 yrs, 10 mos |
| Average Tenure of Directors | 8 yrs |
| Director Terms | 3 yrs |
| Majority Voting Policy | Yes |
| Board Meetings Held in 2023 | 9 |
| Number of Times Independent Directors Met without Management in 2023 (excluding regular executive sessions during Board meetings) | 2 |
| Number of executive sessions without management conducted during Board meetings | 8 |
| Separate Chair and CEO | Yes |
| Lead Independent Director | Yes |
| Annual Board Evaluations | Yes |
| Annual CEO Evaluation | Yes |
| Annual Chair Evaluation | Yes |
| Board Orientation and Continuing Education Program and Guidelines | Yes |
| Codes of Ethics for Directors, Officers and Employees | Yes |
| Board Level Risk Committee | Yes |
| Audit, Compensation and Governance & Nominating Committees – all independent directors | Yes |
| Annual Review of Corporate Governance Guidelines | Yes |
| Share Ownership Guidelines for Directors and Executive Officers | Yes |
| Robust Anti-Hedging and Pledging Policies | Yes |
| Strong Recoupment (“Clawback”) Policy | Yes |
Director Independence
Our Corporate Governance Guidelines require that at least a majority of the members of the Board qualify as independent directors under applicable rules, including the independence listing standards of The Nasdaq Stock Market LLC (“Nasdaq”). Each year the Board, with the assistance of the Governance and Nominating Committee, assesses the independence of all directors and nominees with these standards and also in terms of whether these individuals have any relationships with the Company or others that could impact the exercise of their independent judgment. The Board has determined that the following directors, constituting a majority (12 of 14 directors) of the Board, are independent directors:
| Marty E. Adams | John L. Bookmyer | Charles D. Niehaus |
| Zahid Afzal | Lee Burdman | Mark A. Robison |
| Louis M. Altman | Jean A. Hubbard | Richard J. Schiraldi |
| Terri A. Bettinger | Nikki R. Lanier | Samuel S. Strausbaugh |
Directors Hileman and Small are not considered independent due to their current employment status with the Company.
Board Leadership Structure
In accordance with our Code of Regulations, the Board elects both our Chair of the Board (sometimes referred to as the “Chair”) and our Chief Executive Officer (sometimes referred to as the “CEO”), and these positions are to be separate and held by different individuals. In the event the Chair is not an independent director, our Corporate Governance Guidelines require that a “Lead Independent Director” be designated.
Mr. Hileman was appointed Executive Chair of the Board effective April 1, 2021. Mr. Schiraldi currently serves as Vice Chair of the Board and Lead Independent Director, and is an ex-officio member of every Board committee of which he is not assigned as a member. In this ex-officio capacity, Mr. Schiraldi is eligible to vote on matters at the committee meetings he attends, although he is not included for purposes of determining whether a quorum of the committee members is present.
Board Diversity
The Board believes its effectiveness is enhanced by being comprised of individuals with diverse backgrounds, skills and experience that are relevant to the role of the Board and the needs of our business, as well as diversity with respect to gender and ethnicity. Although the Governance and Nominating Committee does not have a formal diversity policy in place, it seeks to promote a diverse set of viewpoints and business experience in the Board’s membership.
On August 6, 2021, the SEC approved amendments to the Nasdaq listing rules related to board diversity. New Listing Rule 5605(f) (the “Diverse Board Representation Rule”) requires each Nasdaq-listed company, subject to certain exceptions, to (1) have at least one director who self-identifies as female, and (2) have at least one director who self-identifies as Black or African American, Hispanic or Latinx, Asian, Native American or Alaskan Native, Native Hawaiian or Pacific Islander, two or more races or ethnicities, or as LGBTQ+, or (3) explain why the company does not have at least two directors on its board who self-identify in the categories listed above. While full compliance with the Diverse Board Representation Rule does not take effect until 2025, we currently satisfy this rule with three female directors, one director who self-identifies as Asian, and one director who self-identifies as Black or African American. Information concerning each director’s self-identified gender, race, and self-identification as LGBTQ+ is provided in the section entitled “Our Director Nominees and Continuing Directors” on page 20.
Assessing our Board and Director Effectiveness
Our Board and its committees regularly evaluate and discuss the performance and effectiveness of the Board and each committee. In addition, our Board performs individual and peer evaluations from time to time to delineate the skills of each director and provide directors with a confidential forum to assess and provide candid feedback regarding their own performance and the performance of fellow directors. The Board and its committees use the results of these evaluations to identify opportunities to enhance performance. These assessments and evaluations are also considered by the Governance and Nominating Committee when considering the qualifications of nominees, including incumbent nominees.
Qualifications of Director Nominees and Nominating Procedures
The Governance and Nominating Committee is tasked with evaluating nominees for election, including incumbent directors seeking reelection, and recommending nominees to the Board which in turn recommends the nominees for approval by our shareholders or appoints the nominee to the Board when a vacancy exists. In conducting its evaluation, the Governance and Nominating Committee reviews the composition of the Board to assure that the appropriate knowledge, skills and experience are represented. The Committee considers whether a nominee meets applicable independence listing standards, possesses high personal and professional ethics and integrity, has the ability to devote sufficient time to fulfilling the duties of a director, is able to read and understand basic financial statements, and will contribute diverse viewpoints and experience to the Board. Additional factors considered may include the individual’s overall experience in business and education and the individual’s particular skills, attributes or other factors considered relevant to the Company’s business or necessary or appropriate for our corporate governance needs (e.g., the need for a “financial expert” for service on the Audit Committee). In evaluating an incumbent director whose term of office is set to expire, the Committee also reviews the individual’s overall service to the Company, their attendance and participation at Board meetings, and the quality of their performance on the Board. No one individual criteria or factor is given particular weight or precedence in evaluating nominees. The Committee retains the right to modify these minimum qualifications from time to time as circumstances dictate. The Committee will comply with all applicable rules, including Nasdaq listing rules and the rules of the SEC, when considering nominations for the Board. Nominees proposed by our shareholders are evaluated in the same manner as nominees proposed by the Board and the same as incumbent directors seeking reelection.
Our Governance and Nominating Committee engages in searches for new directors to fill vacancies or to round out the experience and viewpoints on the Board. Our shareholders may also make nominations for candidates for director to the Governance and Nominating Committee, provided that notice of such nomination is given in writing to our Secretary not less than 60 days prior to the anniversary date of the immediately preceding annual meeting of shareholders. The shareholder making the nomination must promptly provide any information reasonably requested by the Governance and Nominating Committee.
No director nominations were received from shareholders for the election of directors at the Annual Meeting.
Majority Vote Policy
A plurality of votes cast is required for the election of directors. However, under our Corporate Governance Guidelines, any nominee for director in an uncontested election who receives a greater number of votes “withheld” from his or her election than votes “for” his or her election, is required to tender his or her resignation to the Board promptly following the certification of the election results. An election will be deemed “uncontested” if the number of nominees for director does not exceed the number of directors to be elected.
The Board, acting on the recommendation of the Governance and Nominating Committee, will decide whether to accept or reject the tendered resignation within 90 days following the certification of the election results. The Governance and Nominating Committee in making its recommendation, and the Board in making its decision, may each consider any factors or other information that it considers relevant. The Board will promptly, publicly disclose its decision whether to accept or reject the tendered resignation and, if rejected, will include an explanation of the Board’s reasons for its rejection of the resignation.
Any director who tenders his or her resignation pursuant to this policy may not participate in the Governance and Nominating Committee’s recommendation or in the Board action regarding whether to accept or reject the tendered resignation. However, if a majority of the members of the Governance and Nominating Committee are required to tender resignations in accordance with the majority vote policy, then the independent directors on the Governance and Nominating Committee who are not required to tender resignations will consider the resignations and whether to accept or reject them. If a director’s tendered resignation is rejected by the Board, the director will continue to serve for the remainder of his or her term and until his or her successor is duly elected and qualified.
Board’s Role of Risk Oversight
The Board’s function of overseeing risk is handled primarily by the Board’s Risk Committee. The Chief Risk Officer works with management as well as internal and external auditors to determine and evaluate significant risks that we may be taking and communicates those findings directly to the Risk Committee. The Risk Committee provides oversight related to identifying, quantifying, minimizing, and managing our risks. The Risk Committee believes that by involving both management and auditors in this important process, it is best able to perform its oversight function. The Company, typically in conjunction with Premier Bank, also has the following standing management-level committees: Enterprise Risk Management, Operational Risk, Compliance, Information Security, Asset Liability, Loan, Special Assets, CRA & Fair Lending, and Change Advisory that meet regularly to provide governance structure and input into our risk management process. These committees provide information and support to the Risk Committee.
Board’s Role in Strategic Planning
Our Board has the legal responsibility for overseeing our affairs and, thus, an obligation to keep informed about our business and strategies. This involvement enables the Board to provide guidance to management in formulating and developing plans and to exercise independently its decision-making authority on matters of importance to us. Acting as a full Board and through its standing committees, the Board is fully involved in our strategic planning process.
Each year, typically in September, senior management and the Board hold an extended meeting to focus on corporate strategy. This session involves presentations from management and input from the directors regarding the assumptions, priorities and strategies that will form the basis for management’s operating plan and strategy for the coming year. At subsequent meetings, the Board continues to review our progress against the strategic plan and to exercise oversight and decision-making authority regarding strategic areas of importance and revise the strategic plan, as necessary. The role the Board plays is inextricably linked to the development and review of our strategic plan. Through these efforts, the Board, consistent with good corporate governance practices, encourages our long-term success by exercising sound and independent business judgment on the strategic issues that are important to our business.
Board Meetings
Our Board holds two regularly scheduled meetings each quarter, with an additional regularly scheduled meeting during the first quarter. Special meetings of the boards are held from time to time, as needed. There were nine meetings of the Board held during 2023. The independent directors of Premier also met twice in 2023, in addition to the full Board meetings and regular executive sessions of the Board. All of our directors attended at least 75% of the total number of meetings of the full Board. All directors that serve on a committee of the Board attended at least 75% of the total number of meetings of each such committee.
Neither the Board nor the Governance and Nominating Committee has implemented a formal policy regarding director attendance at our annual shareholder meetings.
Non-management directors met nine times in executive session in 2023 in addition to the two independent director meetings described above.
Director Onboarding and Board Education Guidelines
Premier provides robust onboarding for new directors and ongoing education and training opportunities for all Board members on matters to support the effectiveness of our directors in their responsibilities. Training topics have included director fiduciary duties, analyst perspectives on the financial industry, cybersecurity, digital product developments in the industry, and regulatory compliance items. Additionally, all Board members are expected to participate in relevant external director education opportunities at least once every three years.
Communication with Directors
Any shareholder wishing to do so may write to the Board at our principal business address—601 Clinton St., Defiance, Ohio 43512. Any shareholder communication so addressed will be delivered unopened to the director or a member of the group of directors to whom it is addressed, or to the Chair if addressed to the “Board.”
Corporate Governance Guidelines
The Board has adopted Corporate Governance Guidelines as a framework to assist the Board in exercising its responsibilities. These Guidelines address expectations of the Board in performing its duties and reflect its ongoing efforts to enhance its effectiveness and corporate governance. These Guidelines will be periodically reviewed and modified as deemed appropriate by the Board. The Corporate Governance Guidelines can be found on the Company’s website at www.premierfincorp.com.
Compensation-Related Governance
Information concerning additional governance policies and procedures relating to our compensation of executive officers, including our share ownership guidelines, anti-hedging policy and clawback policy, may be found in the section titled “Compensation Related Governance and Policies” beginning on page 43.
Board Committees
The Board has five standing committees: Audit, Compensation, Executive, Governance and Nominating, Risk, and Technology. Charters for each of Audit, Compensation, Governance and Nominating, and Risk committees are posted on our website at www.premierfincorp.com. Each committee reviews and assesses its charter each year, with the Governance and Nominating Committee reviewing all committee charters before recommending them to the full Board for approval. Each of our board committees functions as a joint committee on behalf of both Premier and Premier Bank.
Name |
Independent |
Audit |
Compensation |
Executive |
Governance & Nominating |
Risk |
Technology |
| Director Nominees | |||||||
| Marty E. Adams | ✓ | ✓ Chair | ✓ | ✓ | |||
| Donald P. Hileman | ✓ Chair | ✓ | ✓ | ||||
| Nikki R. Lanier | ✓ | ✓ | ✓ | ||||
| Gary M. Small | ✓ | ✓ | |||||
| Samuel S. Strausbaugh | ✓ | ✓ Chair | ✓ | ||||
| Continuing Directors | |||||||
| Zahid Afzal | ✓ | ✓ | ✓ Co-Chair |
||||
| Louis M. Altman | ✓ | ✓ | ✓ | ||||
| Terri A. Bettinger | ✓ | ✓ | ✓ | ✓ Co-Chair | |||
| John L. Bookmyer | ✓ | ✓ | ✓ | ✓ | ✓ | ||
| Lee Burdman | ✓ | ✓ | ✓ | ||||
| Jean A. Hubbard | ✓ | ✓ | ✓ | ||||
| Charles D. Niehaus | ✓ | ✓ | ✓ Chair | ||||
| Mark A. Robison | ✓ | ✓ | ✓ | ||||
| Richard J. Schiraldi | ✓ | ✓ | ✓ | ✓ Chair |
Audit Committee
| Members: |
Samuel S. Strausbaugh, Chair Louis M. Altman, John L. Bookmyer, Mark A. Robison, Richard J. Schiraldi |
| Meetings in 2023: | 6 |
The Audit Committee is established to oversee all material aspects of the Company’s accounting and financial reporting processes and the audits of the financial statements of the Company. The Committee focuses on the qualitative aspects of financial reporting to shareholders and on the Company processes for the management of business/financial risk and for compliance with applicable legal, ethical, and regulatory requirements. The Audit Committee is responsible for:
| ● |
the appointment of our independent registered public accounting firm;
|
| ● |
review of the external audit plan and the results of the auditing engagement;
|
| ● |
the appointment of our internal audit firm;
|
| ● |
review of the internal audit plan and results of the internal audits;
|
| ● |
review of the effectiveness of our system of internal control, including review of the process used by management to evaluate the effectiveness of the system of
internal control; and
|
| ● | oversight of our accounting and financial reporting practices. |
The Board has determined that Directors Bookmyer, Robison, Schiraldi, and Strausbaugh each have the attributes listed in the definition of “audit committee financial expert” set forth in Item 407(d)(5)(ii) of Regulation S-K and in the Nasdaq listing rules. The Board has further determined that all members of the Audit Committee are “independent” for purposes of Nasdaq listing rules and meet Nasdaq standards for financial sophistication.
Compensation Committee
| Members: |
Marty E. Adams, Chair Terri A. Bettinger, John L. Bookmyer, Lee Burdman, Jean A. Hubbard, Nikki R. Lanier, Mark A. Robison (as of October 2023) |
| Meetings in 2023: | 5 |
The Compensation Committee is responsible for approving the compensation to our executive officers and overseeing our compensation programs and benefit plans. The Committee is also responsible for:
| ● |
assessing director compensation for service on the Board and committees, and recommending changes to director compensation to the full Board for approval;
|
| ● |
establishing the CEO’s annual goals, participating in the annual evaluation of the CEO, and approving the compensation paid to the CEO;
|
| ● |
overseeing the performance evaluation of the other executive officers subject to Rule 16a-1(f) of the Securities Exchange Act of 1934 and approving the compensation
paid to these officers;
|
| ● |
establishing and reviewing compliance with share ownership guidelines for directors and officers;
|
| ● |
identifying the peer group to be used for benchmarking the Company’s compensation programs;
|
| ● |
overseeing the administration of and awards under the Company’s equity-based plans, long-term incentive plans, and short-term incentive plans;
|
| ● |
assessing the independence of the compensation consultant retained by the Committee;
|
| ● |
overseeing the Company’s human resource related strategies and policies; and
|
| ● | performing the Boards obligations as “plan sponsor” under the 401(k) Employee Savings Plan of the Company. |
The Board has determined that all of the Compensation Committee members are considered “independent” for purposes of the Nasdaq listing rules, are “non-employee directors” for purposes of Rule 16b-3 of the Exchange Act, and are “outside directors” under of Section 162(m) of the Internal Revenue Code. The Committee regularly uses the services of an independent executive compensation consulting firm to fulfill its responsibilities for evaluating and establishing the compensation program for the Company’s executive officers and directors.
Governance and Nominating Committee
| Members: |
Richard J. Schiraldi, Chair Marty E. Adams, Louis M. Altman (as of October 2023), John L. Bookmyer, Jean A. Hubbard, Charles D. Niehaus |
| Meetings in 2023: | 4 |
The Governance and Nominating Committee is responsible for ensuring that the Board is appropriately constituted and for developing and overseeing the Company’s corporate governance policies and guidelines. The Committee is responsible for:
| ● |
ensuring that the members of the Board collectively possess the appropriate mix of knowledge, skills and experience required to ensure that our business succeeds;
|
| ● |
establishing the procedures for director nominations and the evaluation criteria for all relevant candidates;
|
| ● |
assessing the independence of all directors and nominees for election as directors;
|
| ● |
monitoring the Board’s continuing education and self-assessment process;
|
| ● |
conducting periodic assessments of the Board and Board committees;
|
| ● |
oversight of the Company’s Code of Ethics and Corporate Governance Guidelines and the review of conflict of interest matters and related party transactions;
|
| ● |
maintaining both an emergency succession plan and a long-range succession plan for the CEO and other key management positions; and
|
| ● | Oversight of the Company’s strategies concerning environmental, social and governance related matters. |
All of the Governance and Nominating Committee members are considered “independent” for purposes of the Nasdaq listing rules.
Risk Committee
| Members: |
Charles D. Niehaus, Chair Zahid Afzal, Terri A. Bettinger, Lee Burdman, Donald P. Hileman, Nikki R. Lanier, Gary M. Small |
| Meetings in 2023: | 4 |
The Risk Committee establishes the risk appetite of the Company in consideration of the levels and types of risk the Company is able and willing to assume in its exposures and material business activities. The Committee considers the Company’s strategic and business objectives and responsibilities to its shareholders and other key stakeholders, including but not limited the communities in which the Company operates, its customers, and its employees. The Committee also considers the Company’s obligations to operate in compliance with applicable law and safe and sound banking practices. The Committee’s responsibilities also include:
| ● |
oversight of the Company’s enterprise risk governance framework that manages the following risk categories: credit, interest rate, liquidity, market, operational,
compliance, legal, reputation, strategic, and other risks considered to be emerging risks;
|
| ● | monitoring the Company’s performance to ensure alignment with the risk appetite statement; and |
| ● | Oversight of the Company’s enterprise wide risk framework. |
A majority of the members of the Risk Committee are considered “independent” for purposes of the Nasdaq listing rules.
Technology Committee
| Members: |
Zahid Afzal and Terri A. Bettinger, Co-Chairs Donald P. Hileman |
| Meetings in 2023: | 3 |
The Board formed the Technology Committee in late 2023 as a new joint committee of Premier and Premier Bank. While a formal committee charter is still being finalized, the Committee’s purpose is to:
| ● |
validate and advocate for technology planning and investment strategies that align with overall Company strategy and provide oversight of management’s implementation of
technology strategy;
|
| ● |
assist the Risk Committee in technology, data/information management, and cyber risk oversight; and
|
| ● | assist the Board and management in the assessment of current and anticipated trends in technology relating to financial products, product delivery, operations, data, and security. |
Executive Committee
| Members: |
Donald P. Hileman, Chair Marty E. Adam, John L. Bookmyer, Richard J. Schiraldi, Gary M. Small, Samuel S. Strausbaugh |
| Meetings in 2023: | The Executive Committee held regular meetings in 2023 |
The Executive Committee generally has the power and authority to act on behalf of the Board between scheduled meetings unless specific Board action is required or unless otherwise restricted by our Articles of Incorporation or Code of Regulations or by action of the Board. There is no specific charter document for the Executive Committee.
Related Person Transactions
The Board and the Governance and Nominating Committee review and approve all transactions and payments involving the directors and executive officers, or involving their related persons or immediate family members, that occur in a given fiscal year. No related person transactions were identified in 2023 that require disclosure in this Proxy Statement. Transactions with related persons of certain independent directors were identified and reviewed by the Governance and Nominating Committee, but none of these transactions were determined to affect the ability of such directors to exercise their independent judgment while serving on the Board or any Board committees due to the minimal values involved.
Premier Bank has, and expects to have in the future, banking relationships in the ordinary course of business with directors, executive officers, and their affiliates on the same terms, including interest rates and collateral on loans, as those prevailing at the same time for comparable transactions with others. In June 2023, First Insurance Group of the Midwest, Inc. (“First Insurance Group“) sold substantially all of its assets to Risk Strategies Group and discontinued active operations as an insurance agency. Prior to the sale of its assets, First Insurance Group had insurance agent relationships in the ordinary course of business with directors, executive officers, and their affiliates on terms comparable to transactions with third parties. Normal, arms-length banking or insurance relationships entered into in the ordinary course of business and consistent with applicable federal banking or other regulations are not considered to interfere with a director’s independence. Service specialization, rate concessions, fee concessions, or other services or product modifications may similarly be offered to directors and executive officers and their affiliates if the same would be offered to other similarly situated clients on a non-discriminatory basis in the ordinary course of business. All loans or extensions of credit to a director or officer, or their related interests (as defined by Regulation O of the Federal Reserve), (1) were made in compliance with Regulation O of the Federal Reserve, (2) were made in the ordinary course of business, (3) were made on substantially the same terms, including interest rates and nature of collateral, as those prevailing at the time for comparable transactions with other persons not related to the Company, and (4) did not involve more than the normal risk of collectability or present other unfavorable features.
PROPOSAL 1 – ELECTION OF DIRECTORS
COMPOSITION OF THE BOARD
Premier’s Board consists of 14 directors and is divided into three classes, with two classes having five members and one class having four members. The directors are elected by class to serve a three-year term. The terms of the three classes expire at successive annual meetings so that the shareholders elect one class of directors at each annual meeting. Each of the directors of Premier is also a director of Premier Bank.
| Class II – Terms expiring at the 2024 Annual Meeting: |
Marty E. Adams Donald P. Hileman Nikki R. Lanier Gary M. Small Samuel S. Strausbaugh |
| Class III – Terms expiring at the 2025 Annual Meeting: |
Zahid Afzal Louis M. Altman Terri A. Bettinger John L. Bookmyer |
| Class I – Terms expiring at the 2026 Annual Meeting: |
Lee Burdman Jean A. Hubbard Charles D. Niehaus Mark A. Robison Richard J. Schiraldi |
NOMINATION OF DIRECTOR CANDIDATES
We will elect five directors at the Annual Meeting. The director nominees standing for election at the Annual Meeting are Mr. Adams, Mr. Hileman, Ms. Lanier, Mr. Small, and Mr. Strausbaugh. The nominees elected to the Board at the Annual Meeting will serve until our annual meeting in 2027 and until each such person’s successor is duly elected and qualified. If any of the five nominees should become unable or unwilling to stand for election at the Annual Meeting, the persons named on the proxy card as proxies may vote for other person(s) selected by the Board. We have no reason to believe that any of the director nominees for election named in this Proposal 1 will be unable or unwilling to serve in such capacity. Each director nominee has consented to act as a director if elected.
The Board has determined that Mr. Adams, Ms. Lanier, and Mr. Strausbaugh are “independent” under Nasdaq listing rules. Mr. Hileman and Mr. Small are not independent directors due to their current employment relationships with the Company.
|
YOUR BOARD RECOMMENDS THAT YOU |
||
OUR DIRECTOR NOMINEES AND CONTINUING DIRECTORS
Demographic Information
The following table summarizes certain self-identified characteristics of our directors, which have not changed since Premier disclosed the information in our proxy statement for the 2023 annual meeting of shareholders,1 in accordance with Nasdaq Listing Rules 5605(f) and 5606. Each term used in the table has the meaning given to it in the rule and related instructions.
|
Board Diversity Matrix (as of March 1, 2024) |
||||
| Total Number of Directors | 14 | |||
| Part I: Gender Identity | Female | Male | Non-Binary | Did Not Disclose |
| Directors | 3 | 11 | -- | -- |
| Part II: Demographic Background | ||||
| African American or Black | 1 | -- | -- | -- |
| Alaskan Native or American Indian | -- | -- | -- | -- |
| Asian | -- | 1 | -- | -- |
| Hispanic or Latinx | -- | -- | -- | -- |
| Native Hawaiian or Pacific Islander | -- | -- | -- | -- |
| White | 2 | 10 | -- | -- |
| Two or More Races or Ethnicities | -- | -- | -- | -- |
| LGBTQ+ | -- | |||
| Did Not Disclose Demographic Background | -- | |||
1 To see Premier’s Board Diversity as of February 28, 2023, please see Premier’s proxy statement filed with the SEC on March 13, 2023.
Director Skills and Experience
The varying individual skills and experience of our directors allow the Board to apply different knowledge-bases and consider diverse perspectives in the performance of the Board’s oversight responsibilities. The following table represents the key skills our Board deems valuable or relevant for our business and the number of directors assessed as possessing these skills through our Board assessment process. Individual directors may have additional attributes, skills, or experience that are considered important but not reflected below. Additionally, the Board values the collective effect the individual diversity of attributes, skills, and experience of directors has in Board discussions and decision-making resulting in a more effective board.
| Skill/Experience | # of Directors |
| Risk Management - Experience with reviewing or managing risk in a large organization, providing oversight of the company’s risk management framework | 12 |
| Cybersecurity - Experience in information security data, privacy, and cybersecurity | 2 |
| Technology - Experience in use of technology to facilitate business operations and customer service | 3 |
| Audit - Experience working as an auditor, internally or externally | 6 |
| Financial/Accounting - Experience as an accountant or other relevant experience in accounting and financial reporting | 9 |
| Regulations - Experience in governmental and regulatory affairs and/or through positions with government organizations and regulatory bodies | 7 |
| Operations - Experience in managing multiple departments of high-level professionals who are overseeing the day-to-day operations of the business | 9 |
| M&A - Experience leading complex mergers, acquisitions, or divestitures and direct involvement in the integration of people, systems, data and operations | 11 |
| Banking - Experience in one or more of the Company’s specific financial services areas, including retail banking, wealth and investment management | 11 |
| Legal - Experience through a law degree and as a practicing attorney in understanding legal risks and obligations | 3 |
| Human Resources - Experience in managing employee benefits, employee hiring and onboarding, performance management and HR records | 3 |
| CEO - Experience in an executive leadership position demonstrating the ability to understand and direct business operations, analyze risk, manage human capital, oversee implementation of organizational change and deliver strategic plans | 8 |
| CFO - Experience in an executive leadership position demonstrating the ability to understand finance reporting structures and internal controls to ensure accuracy and transparency in reporting | 6 |
| Public Company - Experience as officer, director or consultant to public company other than PFC | 7 |
| DEI/ESG - Experience in developing, managing, or overseeing sustainability or governance practices, or diversity, equity and inclusion programs | 3 |
| Nominees for Election at this Annual Meeting: | |
|
Marty E. Adams
Director Since: 2020 Age: 71
Committees: Compensation (Chair) Governance & Nominating Executive |
Since 2008, Mr. Adams has been the President of Marty Adams Consulting, LLC, where he serves as both an advisor to banks and their boards of directors and to private equity firms pertaining to bank equity investments. He is also the managing member of Strategic Value Bank Partners, LLC since 2015. Mr. Adams is presently a Director of First National Bank of America, East Lansing, Michigan (2016), and of FineMark Holdings, Inc. and FineMark National Bank & Trust, Fort Myers, Florida (October 2021). He served as the interim chief executive officer of PVF Capital Corp. and Park View Federal Savings Bank, Solon, Ohio, and as president and chief operating officer of Huntington Bancshares Inc. following Huntington’s acquisition of Sky Financial Group, Inc. from July 2007 until December 2007. Mr. Adams was previously the chairman and chief executive officer of Sky Financial Group and Sky Bank. Mr. Adams served on the boards of United Community Financial Corp. and Home Savings Bank from February 2013 through January 2020.
Mr. Adams’ skills and qualifications that he has developed through more than 45 years of experience in the banking and financial services industries, as well as his service in significant public company leadership positions, enable him to contribute technical knowledge to the Board in nearly all operational areas of banking. |
|
Donald P. Hileman
Executive Chair
Director Since: 2013 Age: 71
Committees: Executive (Chair) Risk Technology |
Mr. Hileman is the Executive Chairman of Premier and Premier Bank since April 1, 2021. He previously served as the CEO of Premier from January 2014 through March 2021; CEO of Premier Bank from January 2015 through March 2021; President of Premier from January 2014 through January 2020; President of Premier Bank from 2015 to March 2019; Executive Vice President and Chief Financial Officer of Premier and Premier Bank from 2009 through 2013; Interim Chief Financial Officer from October 2008 to March 2009; and CEO of First Insurance Group of the Midwest from 2007 until April 1, 2021. He has worked in the financial services industry for more than 40 years. Mr. Hileman is also a Trustee of Defiance College.
Mr. Hileman brings valuable experience and expertise to the Board from his work within financial institutions, as well as his knowledge and familiarity with Premier and its subsidiaries.
Mr. Hileman also serves on the Trust Committee of Premier Bank. |
|
Nikki R. Lanier
Director Since: 2022 Age: 53
Committees: Compensation Risk |
Ms. Lanier is the founder and Chief Executive Officer of Harper Slade, a racial equality advisory firm that began operations January 1, 2022. Prior to forming Harper Slade, she was the Senior Vice President and Site General Manager of the Federal Reserve Bank of St. Louis (Louisville, Kentucky Branch) from October 2014 through December 2021. Ms. Lanier is an adjunct MBA professor at the University of Louisville College of Business and a member of its Board of Advisors. She also serves as chair of the board of One West, a Louisville based community development corporation, and as secretary and audit committee chair of the Louisville Regional Airport Authority board.
With a background as a labor and employment attorney, Ms. Lanier brings valuable experience and expertise to the Board regarding diversity, equity and inclusion considerations and human capital matters. Her experience in a variety of industries including banking, manufacturing, education and healthcare, both in the public and private sectors, is expected to provide additional beneficial perspective to the Board. |
|
Gary M. Small
Director Since: 2020 Age: 63
Committees: Executive Risk |
Mr. Small is the CEO and President of Premier and Premier Bank (since April 2021) and President of Premier and Premier Bank (since February 2020). He has served on the Board of Directors and as the CEO of First Insurance Group since February 2020 and continues in that role following the sale of substantially all the assets of First Insurance Group in June 2023. Mr. Small was the President, Chief Executive Officer and a director of UCFC and Home Savings from March 2014 through January 2020. He previously held executive leadership roles in other financial institutions including as the Senior Executive Vice President and Chief Banking Officer for S&T Bank; Senior Vice President of Customer Operations and Chief Operating Officer for Jackson Hewitt Tax Services; Executive Vice President and Regional Banking Group President for Huntington National Bank; Executive Vice President and Head of Regional Banking for Sky Financial Group; and over 20 years in a number of senior operating and financial roles with National City Corporation and its predecessor Merchants National Corporation, including four years as Executive Vice President and Retail Network Executive with responsibility for over 200 branch locations across the Midwest.
With over 35 years of banking and finance experience, Mr. Small provides the Board with invaluable knowledge regarding financial institutions.
Mr. Small also serves on the Trust Committee of Premier Bank. |
|
Samuel S. Strausbaugh
Director Since: 2006 Age: 60
Committees: Audit (Chair) Executive |
Mr. Strausbaugh is President of Elpis Opportunity Fund L.P., a Private Equity Investment Fund based in Indianapolis, IN, since October 2020. He served as President and CEO of Vrsus Assets, LLC, a digital case management platform firm for plaintiff attorneys, from June 2018 through October 2020. Mr. Strausbaugh has also served as the president or chief executive officer of several other business entities in the past. He presently serves as director of Keller Logistics, a logistics and trucking firm in Defiance, Ohio, since 2018.
Mr. Strausbaugh has important tactical and strategic skills that he has developed in management and executive positions with his prior employers. His experience with a growing company helps to inform the Board of Directors when considering future business opportunities. |
| Continuing Directors with Terms Expiring at the 2025 Annual Meeting: |
|
|
Zahid Afzal
Director Since: 2020 Age: 61
Committees: Risk Technology |
Mr. Afzal is a member of the Board of Directors of Buckeye Insurance Group, Piqua, Ohio since December 2019. He previously served as the Chief Operating Officer at Home Savings Bank from March 2018 to January 2020. Prior to joining Home Savings, Mr. Afzal served as executive vice president, Chief Technology and Operations Executive at Capital Bank in Raleigh, North Carolina from 2013 to November 2017. From March 2006 until February 2013, he was the Senior Executive Vice President, Chief Information Officer and Chief Operating Officer of Huntington National Bank. He also served in various management and leadership positions for Bank of America and Citicorp. Mr. Afzal has served on several boards of directors, including those of Bancsource (April 2015 to June 2021), RoamHR (June 2019 to December 2021), Bitglass (January 2012 to November 2021), Banksight, Bowling Green State University College of Business Board of Advisors (August 2006 to August 2013), Ohio Foundation of Independent Colleges, and Groundwork Group.
Mr. Afzal has expertise that will contribute to the Board, including banking, technology, operations, and marketing experience.
Mr. Afzal also serves on the Trust Committee of Premier Bank. |
|
Louis M. Altman
Director Since: 2020 Age: 55
Committees: Audit Governance & Nominating |
Mr. Altman is a co-managing partner of the Altman Company, a full service real estate development firm for commercial, multi-family, office, medical and hotel properties located in multiple states. He has over 30 years of experience in managing, developing and financing commercial real estate ventures. Mr. Altman served as the chairman of Premier Bank and Trust from 2015 until the bank’s sale to Home Savings Bank in 2017 and as a director of Ohio Legacy Corp. from February 2010 to January 2018. He also previously served on the board of directors of Sky Bank. Mr. Altman served on the boards of United Community Financial Corp. and Home Savings Bank from February 2017 through January 2020. Since April 2020, Mr. Altman also serves on the board of the Akron Children’s Hospital Foundation. The attributes, skills and qualifications developed by Mr. Altman through his role as a director of financial institutions over the past 15 years and his broad experience in real estate development benefit the Board in his unique insight in the areas of financing, property management, acquisition, business development and leadership.
Mr. Altman also serves on the Trust Committee of Premier Bank. |
|
Terri A. Bettinger
Director Since: 2018 Age: 56
Committees: Compensation Risk Technology |
Ms. Bettinger is the Deputy Director and Chief Information Officer for the Ohio Department of Aging since May 2019 and sits on Ohio’s Technology First Taskforce. She is also the president and owner of VCIO Services, LLC, an executive consulting company in Columbus, Ohio since June of 2017. Ms. Bettinger served as the Chief Information Officer of Franklin County Data Center in Columbus, Ohio from February 2015 to October 2017. She also led North America Fund Services Technology for the Global Financial Services Group at Citigroup Inc. from April 2009 to February 2015. Ms. Bettinger presently serves and as an executive advisory board member for Ohio Women in Technology.
Ms. Bettinger spent 20 years in the banking and financial services industry, and her successful career in the delivery of valuable technology solutions provides beneficial knowledge to the Board in the areas of technological cybersecurity and technology growth and innovation. |
|
John L. Bookmyer
Director Since: 2005 Age: 59
Committees: Audit Compensation Executive Governance & Nominating |
Mr. Bookmyer is the Chief Executive Officer of Pain Management Group located in Findlay, Ohio since January 2009. He also served as the Chief Operating Officer of Blanchard Valley Health System in Findlay, Ohio, from August 1995 until December 2008.
Mr. Bookmyer is an inactive Certified Public Accountant in Ohio and has extensive experience in oversight, leadership and financial matters from his roles at all entities. He is also very familiar with the needs of the region through his interactions with community hospitals and businesses. |
| Continuing Directors with Terms Expiring at the 2026 Annual Meeting: |
|
|
Lee Burdman
Director Since: 2020 Age: 60
Committees: Compensation Risk |
Mr. Burdman is Co-Founder and Managing Partner of Redstone Investments, a development, management and acquisitions company focused on shopping center development, headquartered in Youngstown, OH since 1991. He also serves on the board of directors of SIMCO Management Corp., a residential apartment management firm operating in northeast Ohio and northwest Pennsylvania, since 2003.
He served on the boards of United Community Financial Corp. and Home Savings Bank from April 2011 through January 2020.
Mr. Burdman contributes to the Board through his more than 30 years of experience and expertise in owning, managing and developing real estate, commercial real estate lending, financial literacy and executive management. |
|
Jean A. Hubbard
Director Since: 2008 Age: 65
Committees: Compensation Governance & Nominating |
Ms. Hubbard served as the Corporate Treasurer and Business Manager of The Hubbard Company, a printing and office supply company located in Defiance, Ohio, from 2003 through May 20, 2022. She previously held various positions in the financial industry.
Ms. Hubbard offers financial and business expertise through her work as corporate treasurer. Ms. Hubbard also provides the Board with insight regarding employee and human resource issues from her experience at Rurban Financial Corp. Ms. Hubbard also serves as Chair of the Trust Committee of Premier Bank. |
|
Charles D. Niehaus
Director Since: 2014 Age: 64
Committees: Risk (Chair) Governance & Nominating |
Mr. Niehaus is the managing partner of Niehaus.Law, Ltd., Attorneys at Law, in Toledo, Ohio, since 2007. Mr. Niehaus has provided legal representation to corporate and business clients for over 35 years on a wide range of business issues including the representation of financial institutions in formation, acquisitions, bank litigation, shareholder matters and regulatory compliance. He brings extensive experience in the legal and financial services areas and provides valuable guidance and insight with respect to strategy and compliance.
Mr. Niehaus also serves on the Trust Committee of Premier Bank. |
|
Mark A. Robison
Director Since: 2018 Age: 59
Committees: Audit Compensation |
Mr. Robison is President of Brotherhood Mutual Insurance Company headquartered in Fort Wayne, Indiana, since 2007 and Chairman of the Board of Brotherhood Mutual since 2009. Prior to his promotion to President of Brotherhood Mutual Insurance Company, Mr. Robison served in various positions at Brotherhood Mutual since 1994, including as Vice President of Finance.
As a successful leader of a national company, Mr. Robison adds valuable leadership experience to the Board. |
|
Richard J. Schiraldi
Vice Chair and Lead Independent Director
Director Since: 2020 Age: 69
Committees: Governance & Nominating (Chair) Audit Executive |
Mr. Schiraldi is retired from Cohen & Company CPAs as a CPA/JD after 36 years of servicing closely held businesses and entrepreneurs on a wide variety of business and tax issues. He also serves as director of the Youngstown State University Foundation since 2010. He has served as Vice Chair of Premier since February 2020.
Mr. Schiraldi was the Chairman of the Board of Directors of United Community Financial Corp. and Home Savings Bank from 2011 through January 2020 and served on both of these Boards as director beginning in 2002.
Mr. Schiraldi’s skills and qualifications developed by Mr. Schiraldi throughout his years as a CPA, as well as his experience as the owner and manager of privately held businesses and director of numerous not-for-profit entities enable him to contribute significant insight to the Board in the areas of strategic planning, tax, accounting and financial, local community affairs and leadership. |
Director Compensation
The table below provides compensationinformation concerning Mr. Hileman, who is a current employee of the Company, and our non-employee directors for the fiscal year ended December 31, 2023. Employee directors are not paid any additional amounts for Board service. Compensation information for Mr. Small is included in the Executive Compensation section beginning on page 31.
| Director |
Fees Earned or Paid in Cash ($) |
Stock Awards ($)(1) |
All Other Compensation ($) |
Total ($) |
| Adams, Marty E. | $48,750 | $35,006 | -- | $83,756 |
| Afzal, Zahid | $46,087 | $35,006 | -- |
$81,093 |
| Altman, Louis M. | $46,062 | $35,006 | -- | $81,068 |
| Bettinger, Terri A. (2) | $46,934 | $35,006 | -- | $81,940 |
| Bookmyer, John L. | $51,250 | $35,006 | -- | $86,256 |
| Burdman, Lee | $45,000 | $35,006 | -- | $80,006 |
| Hileman, Donald P. (3) | -- |
-- |
$176,348 | $176,348 |
| Hubbard, Jean A. | $46,750 | $35,006 | -- |
$81,756 |
| Lanier, Nikki R. | $45,000 | $35,006 | -- | $80,006 |
| Niehaus, Charles D. (2) | $50,202 | $35,006 | -- | $85,208 |
| Robison, Mark A. (2) | $45,991 | $35,006 | -- | $80,997 |
| Schiraldi, Richard J. | $62,500 | $35,006 | -- | $97,506 |
| Strausbaugh, Samuel S. | $50,000 | $35,006 | -- | $85,006 |
|
(1) |
In 2023, each non-employee director was granted an award of
restricted shares as of the date of the 2023 Annual Shareholder Meeting. The dollar amounts reported for such awards in this column represent the aggregate grant date fair value of the shares granted to each non-employee computed in
accordance with Financial Accounting Standards Board (FASB) Accounting Standards Codification (ASC) Topic 718 (“FASB ASC Topic 718”) using the closing price of PFC common stock on the award date. |
| (2) |
Ms. Bettinger, Mr. Niehaus and Mr. Robison elected to receive stock-in-lieu of cash payments totaling $23,222, $50,202, and $6,891, respectively. |
| (3) |
The dollar amount shown as “All Other Compensation” for Mr. Hileman includes the following compensation, perquisites, and personal benefits: employee salary of $150,000; Company 401(k)
contributions of $6,000; life insurance with a value of $9,680; insurance premiums of $6,675; and country club dues of $3,993.
|
Each non-employee director received an annual retainer of $70,000 in 2023. Mr. Schiraldi, as Vice Chair, received an additional retainer of $12,500. The Company pays directors $35,000 of the annual retainer in Premier shares. Directors receive additional retainers in connection with their service on Board committees, the Trust Committee of Premier Bank, or on the Board of First Insurance Group (on which independent directors served over the course of 2023 while the entity was actively operating) as described in the following table. While all our directors serve on the Board of Premier Bank, the directors do not receive separate compensation in connection with this service.
| 2023 Board Committee Retainers | ||
| Committee | Chair Retainer ($) |
Member Retainer ($) |
| Audit | 15,000 | 7,500 |
| Compensation | 10,000 | 5,000 |
| Risk | 10,000 | 5,000 |
| Governance & Nominating | 7,500 | 3,750 |
| Technology(1) | 3,350 | -- |
| Trust | 3,000 | 1,500 |
| First Insurance Group | 3,000 | 1,500 |
| (1) |
The retainer reflected above for the Technology Committee is the annualized retainer amount. The Committee members only received a portion of this retainer in 2023 as the Committee was established mid-year. The independent directors on the Technology Committee both serve as co-chairs and no separate member retainer amount was set for 2023. |
Besides the portion of the retainer paid in Premier shares, the Company allows individual directors to elect to receive all or any part of the balance of their director compensation in either cash or stock. Our directors may also defer all or any part of their cash retainer payable to them under the Premier Financial Corp. Deferred Compensation Plan further described on page 47. The returns on the amounts deferred are dependent on the investment elections made by the director.
No non-employee director received perquisites or personal benefits with an aggregate value exceeding $10,000.
The Board has set stock ownership guidelines for the Board and executive management in the Corporate Governance Guidelines. The guideline for each Board member is ownership equal to a value of five times the annual retainer payable in Premier shares. The Board prohibits directors from engaging in transactions that could reduce the extent to which their investment in Premier’s shares is aligned with the interests of shareholders. As a result, our Corporate Governance Guidelines prohibit directors from entering into speculative transactions involving our shares, including any hedging, short sales, puts, calls, swaps, forward contracts, or other derivative securities.
EXECUTIVE OFFICERS
The following individuals serve as the current executive officers of Premier, other than Mr. Hileman and Mr. Small whose information is set forth above.
|
Kathy Bushway Senior Vice President, Chief Marketing Officer (since June 2020)
Age: 64 |
Kathy Bushway joined Premier as part of the United Community Financial Corp. (Home Savings Bank) merger in 2020. She leads a team of professionals in brand management, marketing, product management, digital banking, and analytics. Prior to her current role, she was Director of Marketing for Home Savings Bank from September 2016 until June 2020. Ms. Bushway served as Senior Vice President, Marketing & Communications Director and various other positions with Huntington National Bank (formerly FirstMerit Corporation) from September 2004 to September 2016. She has also held various marketing roles at Society (Key) Bank, Bank One (Chase) and a publishing company. |
|
Varun Chandhok Executive Vice President, Chief Information Officer and Operations Officer (since October 2021)
Age: 52 |
Prior to his current role, Mr. Chandhok was Chief Information Officer from March 2021 through October 2021. Prior to joining Premier, Mr. Chandhok served as Chief Information Officer – Corporate, Risk Regulatory and Finance from October 2019 to March 2021 and as Chief Information Officer – Corporate and Chief Architect from February 2014 to October 2019 of M&T Bank. |
|
Sharon L. Davis Executive Vice President, Chief Human Resources Officer (since January 2020)
Age: 42 |
Prior to her current role, Ms. Davis was Director of Human Resources of Premier and Premier Bank from November 2015 to January 2020. Prior to joining Premier, Ms. Davis was Senior Vice President and Human Resources Director at First Community Bank from October 2007 to November 2015. Prior to that, she served as an Assistant Vice President, Senior Human Resources Business Partner for BBVA Compass. |
|
Jason L. Gendics Executive Vice President, Retail and Business Banking (since January 2020)
Age: 53 |
Prior to his current role, Mr. Gendics was Executive Vice President, Head of Consumer and Business Banking for Home Savings Bank from May 2019 until its merger with Premier Bank in January 2020. Prior to that time, Mr. Gendics was Senior Vice President, Home Lending Region Manager for Huntington Bank from 2016 to April 2019. |
|
John Houpt Executive Vice President, Chief Credit Officer (since May 2023)
Age: 52 |
Mr. Houpt joined Premier Bank in 2022 as Deputy Chief Credit Officer. Prior to joining Premier Bank, he was Market Credit Leader for the Ohio commercial banking group of Wells Fargo Bank since 2011. |
|
Rick L. Hull Executive Vice President, Head of Commercial Banking (since April 2023)
Age: 71 |
Prior to his current role, Mr. Hull was employed by Premier Bank as an Executive Vice President and Market President from 2020 until March 2023. He previously was employed at Home Savings Bank as an Executive Vice President and Market President form 2017-to 2020.
|
|
Shannon M. Kuhl Executive Vice President, Chief Legal Officer (since March 2021)
Age: 53 |
Prior to her current role, Ms. Kuhl was a member of Frost Brown Todd LLC, a law firm, from May 2019 through February 2021. Previously, Ms. Kuhl was with First Financial
Bancorp and First Financial Bank, Cincinnati, Ohio, where she served in various positions since 2006, including Chief Risk Officer from November 2017 until November 2018, Chief Legal Officer from October 2013 until April 2018, and Chief
Compliance Officer from September 2016 until November 2017.
|
|
Paul D. Nungester Executive Vice President and Chief Financial Officer (since April 2019)
Age: 50 |
Prior to his current role, Mr. Nungester was Executive Vice President, Director of Finance and Accounting from July 2018 to April 2019. Prior to joining Premier, Mr. Nungester worked at Welltower Inc., a real estate investment trust, where he served in various positions since 2001: Senior Vice President and Controller from January 2012 to May 2018; Vice President and Controller from March 2006 to January 2012; and Controller from September 2002 to March 2006. |
|
Dennis E. Rose, Jr. Executive Vice President and Chief Strategy Officer (since October 2021)
Age: 55 |
Prior to his current role, Mr. Rose served as Chief Operations Officer from January 2020 through October 2021, Director of Strategy Management from January 2017 to January 2020, Executive Vice President, Head of Business Banking from October 2013 to December 2016, and Executive Vice President, Chief Operations Officer from 2001 to 2013. Mr. Rose joined Premier Bank in 1996 and served as Corporate Controller until 2001. |
|
Jennifer Scroggs Senior Vice President, Wealth Management Director (since January 2020)
Age: 46 |
Prior to her current role, Ms. Scroggs served as the Senior Vice President, Director of Trust and Chief Trust Fiduciary Officer from January 2020 through June 2021 for Premier Bank. Ms. Scroggs joined Premier Bank in January 2017 as Vice President, Senior Trust Fiduciary Officer. Prior to joining Premier Bank, Ms. Scroggs served as a Trust Officer and Vice President, Senior Trust Officer for Fifth Third Bank from 2006 to 2017. |
|
Tina M. Shaver Executive Vice President, Chief Risk Officer (since November 2020)
Age: 56 |
Prior to joining Premier, Ms. Shaver served as Senior Director and Deputy Chief Compliance & Ethics Officer of Treliant, LLC in Washington D.C., where she provided consultative guidance to financial institutions on enterprise risk matters from September 2016 to October 2020. Prior to that, she served as Senior Vice President & Chief Compliance Officer of FirstMerit Bank, N.A. in Akron, Ohio, from October 2004 to August 2016. |
PROPOSAL 2 - NON-BINDING ADVISORY VOTE ON EXECUTIVE COMPENSATION
Pursuant to Section 14A and Section 14a-21 of the Exchange Act, our shareholders have an opportunity to approve, in a non-binding advisory vote, the compensation of our named executive officers (“NEOs”) as disclosed in this Proxy Statement. Our NEOs are those individuals included in the Summary Compensation Table on page 44 in this Proxy Statement. The compensation being approved is the compensation required to be disclosed in this Proxy Statement by the rules of the SEC, including the compensation described in the Compensation Discussion and Analysis, accompanying tables and any related material disclosed in this Proxy Statement.
The Board has structured our executive compensation program with the following objectives in mind: compensation should be directly linked to corporate operating performance, and all officers should receive fair and equitable compensation for their respective levels of responsibility and supervisory authority compared to their peers within the Company as well as their peers within the financial services industry. The Board urges you to read the “Compensation Discussion and Analysis” starting on page 31 of this Proxy Statement and the related compensation tables and narrative through page 42.
The Board is asking you to approve the following resolution, which will be submitted for a shareholder vote at the Annual Meeting:
“Resolved, that the shareholders approve the compensation of Premier’s named executive officers as named in the Summary Compensation Table of the Company’s 2024 Proxy Statement, as described in the ‘Compensation Discussion and Analysis’, the compensation tables and the related disclosure contained on pages 31- 57 in the Proxy Statement.”
Because your vote is advisory, it will not be binding upon the Board or the Company, overrule any decision made by the Board, or create or imply any additional fiduciary duty by the Board. The Compensation Committee may, however, take into account the outcome of the vote when considering future executive compensation arrangements.
|
YOUR BOARD RECOMMENDS THAT YOU |
||
EXECUTIVE COMPENSATION
COMPENSATION DISCUSSION AND ANALYSIS
This Compensation Discussion and Analysis (“CD&A”) provides a detailed description of our executive compensation philosophy and programs, the compensation decisions the Compensation Committee (the “Committee”) has made under those programs, and the factors considered in making those decisions. This CD&A focuses on the compensation of our NEOs, as identified in the Summary Compensation Table below.
2023 Performance Summary
Our goal is to continue to be a high-performing community-focused financial institution, meeting or exceeding the 75th percentile of our peers in key financial measures. Compensation is a key component of attracting talent to our organization that will enable us to reach this goal.
As of December 31, 2023, the Company had assets of approximately $8.6 billion. Highlights from fiscal 2023 include:
| ● |
Loan growth of approximately $278.8 million or 4.3%;
|
| ● |
Deposit growth of approximately $236.3 million or 3.4%;
|
| ● |
Equity growth of $87.9 million or 9.9%; and
|
| ● | Completed sale of insurance agency at a significant gain that strengthened capital without diluting future earnings. |
For the three-year period ending December 31, 2023, our cumulative growth in earnings per share was 78%. Our performance was driven by three-year average return on assets of 1.43%, and our successful execution of our organic and acquisition growth strategies. By emphasizing growth opportunities in our metro markets, our three-year compounded average growth rate in total assets was 6%.
Compensation Philosophy and Objectives
The Board believes the most effective executive compensation program is one that rewards the achievement of specific annual, long-term, and strategic goals that are established in conjunction with strategic planning initiatives and the long-term objective of maximizing shareholder value. The Board believes that a significant amount of executive compensation should be performance-based because it aligns with shareholder interests, enables the attraction and retention of executive talent, balances risk with rewards, and supports the long-term performance goals of the Company. We have created opportunities for the NEOs, other Section 16 officers, and certain other employees to earn short-term and long-term incentive compensation in the form of cash and equity in the Company based on the level of achievement of performance goals that the Committee establishes each year.
The Committee evaluates our executive compensation program to ensure that it is sufficiently competitive to enable us to attract and retain qualified employees in key positions. Total compensation commensurate with a range around mid-point compensation paid to similarly situated executives of peer companies, both overall and by component, is generally what the Committee considers competitive. The Committee considers multiple factors such as experience, leadership ability, and breadth of responsibility in setting or adjusting compensation on an individual basis.
The Board encourages ownership of PFC shares by executive management in order to align the Company’s compensation philosophy with the interests of shareholders, which is why a significant part of each NEO’s compensation package is paid in equity, particularly associated with the Long Term Incentive Plan.
Executive Compensation Program Practices and Risk Management Perspectives
The Committee believes the Company has designed its executive compensation program and implemented several compensation practices to balance and control unnecessary or excessive risk-taking and encourage sound management of the Company.
| ✓ | Mix of compensation elements (short- and long-term, fixed and variable) with a significant percentage of total compensation based on performance | ✓ | Compensation Committee retains management, oversight, and discretion on short-term and long-term incentive plan payouts, including the ability to reduce or eliminate any plan or payout |
| ✓ | Executive short-term and long-term incentive plan corporate performance certified by Committee | ✓ | Incentive plans require minimum threshold performance for corporate components with payouts capped at 150% of target |
| ✓ | Performance metrics positioned to encourage performance relative to budget and strategic initiatives | ✓ | Multi-year vesting on long-term awards with awards payable in Company shares |
| ✓ | Compensation Committee comprised of only independent directors | ✓ | Share Ownership Guidelines for executive officers and nonemployee directors |
| ✓ | Engagement of independent compensation consultant | ✓ | Periodic risk assessment of incentive plans |
| ✓ | Clawback policy | ✓ | Anti-hedging and pledging policy |
| ✓ | Double trigger change in control agreements and equity award agreements | ✓ | Employment and severance/change in controls with strong protective covenants concerning non-solicitation and confidentiality |
Risk Review and Assessment
In 2022, Pearl Meyer & Partners, LLC (“Pearl Meyer”) was engaged to conduct a risk assessment of all incentive compensation plans, including the short-term incentive plan and the long-term incentive plan as well as line-of-business incentive plans. Pearl Meyer reviewed each plan for design and governance considerations and determined they do not encourage excessive risk-taking.
Compensation Decision Making
Role of the Compensation Committee in Compensation Decisions - The Compensation Committee makes all compensation-related decisions for the Company’s Section 16 officers, including the NEOs. The Committee’s responsibilities include:
| ● |
Assessing the adequacy and suitability of the compensation for the Company’s Section 16 officers in consideration of the Company’s goals and performance, the
competitive hiring market, and sound corporate governance practices;
|
| ● |
Setting individual-specific compensation for the CEO, NEOs, and other Section 16 officers;
|
| ● |
Considering and approving the overall design of the Company’s executive officer compensation program, compensation components, and compensation–related policies and
governance;
|
| ● |
Defining potential payments to Section 16 officers in various termination scenarios and in connection with a change in control;
|
| ● |
Overseeing the evaluation of all Section 16 officers and establishing the CEOs annual goals and objectives;
|
| ● |
Identifying the members of the Company’s peer group for compensation purposes;
|
| ● |
Periodically reviewing the Company’s incentive compensation practices in consideration of the Company's risk management objectives and the relationship between
compensation and risk; and
|
| ● | Assessing the adequacy and suitability of the director compensation program and recommending changes to the full Board for approval. |
In performing its duties, the Committee considers peer group and industry related information concerning compensation programs and practices, the advice of expert compensation consultants, and management prepared reports and recommendations. The most recent full-scope competitive market analysis of the Company’s executive compensation program was prepared by Pearl Meyer at the direction of the Committee in 2023 to ensure the compensation program was properly aligned with the Company’s compensation philosophy and appropriate for the size and activities of the Company.
Role of Management in Compensation Decisions - The CEO and other members of management assist the Compensation Committee in its responsibilities and regularly attend Committee meetings though they do not attend or participate in any discussions relating to their individual compensation or evaluations. This assistance includes:
| ● |
Providing recommendations with respect to compensation programs and practices;
|
|
| ● |
Providing financial and performance data to the Committee and making recommendation concerning performance measures and goals; and
|
|
| ● | CEO provided evaluations of and recommendations concerning the compensation for the Section 16 officers. |
Role of the Compensation Consultant - The Compensation Committee has the authority to engage a compensation consultant or other advisors to provide information and recommendations to the Committee. Since 2020, the Committee has engaged Pearl Meyer to assist in identifying the Company’s compensation peer group, provide peer and industry executive compensation related data, identify peer and industry compensation trends, and provide other services as requested. The engagement of Pearl Meyer is assessed annually and the firm was again retained in 2023, and in 2024, for these purposes. Pearl Meyer reports directly to the Compensation Committee and serves at the discretion of the Committee. The Committee has the sole authority to appoint, compensate and oversee Pearl Meyer, including responsibility for evaluating Pearl Meyer’s independence and establishing its fees and retention terms. In retaining Pearl Meyer for 2023, the Committee assessed Pearl Meyer’s independence pursuant to the applicable rules of the SEC and Nasdaq and determined that Pearl Meyer’s services for the Compensation Committee did not raise any conflict of interest that would impair Pearl Meyer’s independence.
Peer Group - A peer group is identified by the Compensation Committee each year with the assistance and recommendation of Pearl Meyer. The compensation practices of the peer group are reviewed to assist in evaluating the appropriateness of the compensation of our NEOs and Section 16 officers, and to evaluate the relative performance measures for the long-term incentive compensation payable under the Company’s Long-Term Incentive Program. The 2023 peer group consists of 18 financial institutions that are similar in size and general business model to the Company, and that are located in the Midwest. There are no changes in the 2023 peer group compared to 2022, and no changes to the peer group were made for purposes of 2024. The 2023 peer group consists of the following financial institutions:
| ● | 1st Source Corporation., IN (SRCE) | ● | Midland States Bancorp, Inc., IL (MSBI) | |
| ● | City Holding Company., WV (CHCO) | ● | MidWestOne Financial Group, Inc. IA (MOFG) | |
| ● | Enterprise Financial Services Corp., MO (EFSC) | ● | Northwest Bancshares, Inc., OH (NWBI) | |
| ● | First Busey Corporation., Chicago, IL (BUSE) | ● | Park National Corporation., OH (PRK) | |
| ● | First Commonwealth Financial Corp., PA (FCF) | ● | Peoples Bancorp Inc., OH (PEBO) | |
| ● | German American Bancorp, Inc., IN (GABC) | ● | QCR Holdings, Inc., IL (QCRH) | |
| ● | Great Southern Bancorp, Inc., MO (GSBC) | ● | Republic Bancorp, Inc., KY (RBCA.A) | |
| ● | Horizon Bancorp, Inc., IN (HBNC) | ● | S & T Bancorp, Inc., PA (STBA) | |
| ● | Lakeland Financial Corporation., IN (LKFN) | ● | Univest Financial Corporation., PA (UVSP) |
Advisory Vote on Executive Compensation - At both our 2023 and 2022 annual meetings, our shareholders approved our executive compensation with more than 94% and 96%, respectively, of the votes cast being cast in favor, indicating that shareholders strongly support our executive compensation program. The Compensation Committee viewed the results of this advisory vote as an indication that our shareholders generally support our executive compensation program. While important, the vote was only one of several factors influencing our executive compensation decisions for the 2023 fiscal year. The Committee will continue to monitor shareholder approval levels going forward. At our 2019 annual meeting, our shareholders approved holding annual votes on our executive compensation.
Shareholder Engagement - In 2023, executive management participated in several key virtual investor conferences throughout the year, including the Piper Sandler East Coast Financial Services Conference, the KBW Community Bank Investor Conference and the Raymond James U.S. Bank and Banking on Tech Conference. During these various conferences and communications with investors, no concerns regarding our executive compensation philosophy or programs were raised.
The feedback provided by our shareholders through the advisory vote, in addition to investor feedback we receive through the Company’s shareholder engagement throughout the year, provides invaluable information to the Board and the Committee. Because of the value that we place on investor feedback, the Company strives to maintain open communication with its shareholders, including through participation at investor conferences.
Executive Compensation Components
The Compensation Committee has designed the compensation packages to its executive officers to reward and encourage performance supporting both the long-term and short-term goals of the Company. The principal components of compensation for our NEOs in 2023 are described below.
Base Salary - We provide our NEOs and other employees with a base salary to compensate them for services rendered during the fiscal year. The base salary for each of the NEOs is generally determined at the beginning of the year. Base salaries for NEOs other than the CEO are determined based upon recommendations made by the CEO.
Short-Term Cash Incentive Compensation - Short-term incentive compensation to the NEOs and other executive officers is administered under a short-term incentive plan (the “Short-Term Incentive Plan”). Under the Short-Term Incentive Plan, the Committee approves target awards for executive officers based on a percentage of the officer’s base salary. The target award is further delineated with a portion attributable to the satisfaction of certain corporate performance goals and a portion attributable to the individual’s personal performance goals.
For the corporate component, the Committee establishes a threshold, target and maximum payout based upon the level of achievement of respective performance goals. If the threshold performance level is not achieved, the payout percentage for that component of the award is zero. If the performance level for a component is between threshold and target, or between the target and maximum, the payout percentage is prorated based upon linear interpolation. The individual performance goals are established in consideration of the Board’s and management’s expectations for the year and weighted for each officer based on the officer’s role within the Company.
The performance period considered for purposes of determining short-term incentive compensation begins on January 1 and ends on December 31 of the same year. At the end of the performance period, the Compensation Committee determines the level of achievement of the corporate performance goals. The Committee also evaluates and determines the level of attainment by the CEO of the CEO’s individual performance goals, and reviews the annual assessment of the other NEOs and other Section 16 officers completed by the CEO. The Committee approves the actual short-term incentive awards payable to the CEO, other NEOs, and other Section 16 officers based on these assessments and the level of attainment of the corporate performance goals. Short-term incentive awards are payable in cash following the end of the performance period.
Long-Term Equity Incentive Compensation - The Committee may also grant long-term incentive compensation awards under the Long Term Incentive Program to its executive officers, including the NEOs. In 2023, awards under the Long Term Incentive Program were issued in the form of performance share units and restricted stock under the Company’s Amended and Restated 2018 Equity Incentive Plan.
Performance Share Units (“PSUs”) - A PSU award is designed to align an individual’s compensation with the long-term success of the Company based upon the achievement of certain performance measures at the end of the performance period. The performance period and performance measures are both identified at the time of grant. The performance period for PSU awards is three years beginning on January 1 of the year of grant through December 31 at the close of the three-year performance period. A “target” award is identified at the time of grant determined as a percentage of the executive’s base salary translated into PSUs based upon the Company’s average stock price for the twenty (20) trading days prior to the effective date of the grant.
The Committee establishes a threshold, target and maximum payout based upon the level of achievement of respective performance goals. If the threshold performance level is not achieved, the payout percentage for that component of the award is zero. If the performance level for a component is between threshold and target, or between the target and maximum, the payout percentage is prorated based upon linear interpolation.
If the performance measures identified in the grant are satisfied, the PSU award will vest and be converted to shares of common stock of the Company based on the level of performance achieved. The actual number of common shares that the executive earns at the end of the performance period will be determined by the Committee based on the level of achievement of the performance measures and the executive’s average base salary over the performance period. All determinations of whether the performance measures have been achieved, any adjustments attributed to changes in average base salary, the actual award earned by the executive, and all other matters related to a PSU award will be made by the Committee in its sole discretion.
In addition to the issuance of common shares to the executive upon certification of performance by the Committee, the executive receives dividend equivalents equal to the dividends on the common shares underlying the PSUs, if any, paid by the Company prior to the date the Committee determines the performance measure level of attainment.
Restricted Stock Awards (“RSAs”) - The Committee also uses non-performance based long-term equity incentive compensation in the form of RSAs as another method to align the individual’s interests with the long-term performance of the Company and increase employee ownership of shares. RSAs are frequently considered for the purpose of attracting and retaining talented personnel. There are no performance based measures associated with an RSA. RSAs are issued as current shares of PFC when granted but are subject to possible forfeiture and certain restrictions such as non-transferability, until they vest according to the stated schedule. Premier allows holders of RSAs to vote the shares and to receive dividends, if and when paid, on the shares prior to vesting. RSAs issued by the Company vest after defined periods of time equal to at least one year following the date of grant, and may cliff vest or vest in portions over stated periods.
Retirement Benefits - All of our employees, including the NEOs, are eligible to participate in the Premier Financial Corp 401(k) Employee Savings Plan (the “401(k) Savings Plan”). The 401(k) Savings Plan is a tax-qualified retirement savings plan pursuant to which all employees are able to contribute up to the limit prescribed by the Internal Revenue Service to the 401(k) Savings Plan on a before-tax basis. We maintain a safe harbor plan that matches 100% of the first 3% of pay that is contributed to the 401(k) Savings Plan plus 50% of the salary deferrals between 3% and 5% of compensation. All employee and Company contributions to the 401(k) Savings Plan are fully vested upon contribution.
In addition, the NEOs and other executives are eligible to participate in the Premier Financial Corp. Deferred Compensation Plan (the “Premier DCP”), which allows the deferral of up to 80% of a participant’s salary and up to 100% of short-term incentive compensation. A group of senior officers, including the NEOs, also are eligible to receive a restoration benefit under the Premier DCP which provides for matching contributions in excess of the 401(k) Savings Plan caps. Investment options within the Premier DCP do not provide any guaranteed or enhanced investment returns. The Premier DCP is discussed in further detail below under the heading “Nonqualified Deferred Compensation” beginning on page 47.
Employee Share Purchase Plan - All of our employees, including the NEOs, are eligible to participate in the Premier Financial Corp. Employee Share Purchase Plan (the “ESPP”). The ESPP is a means for all employees to purchase PFC shares at the current market price at the time of purchase through regular payroll deductions. We contribute an amount equal to 15% of each of the participating employee’s actual payroll deductions up to $150 per month. The employee specifies the amount to be withheld from their pay with a minimum of $30 per month and a maximum of $5,000 per month.
Insurance Plans - Our NEOs are eligible to participate in the Company’s general medical, dental, and vision insurance plans on the same basis as other employees.
The NEOs are also eligible to participate in the Company’s group term life and disability insurance program on the same basis as other employees which provides a benefit in the event of the death of the employee of two times the employee’s annual salary up to a maximum of $800,000. In addition to the group term life insurance, our NEOs, as well as other key employees, also receive benefits from Company purchased split dollar bank-owned life insurance. As of December 31, 2023, Mr. Small’s potential benefit was $895,253 under the split dollar bank-owned life insurance in addition to $800,000 benefit under the group term life insurance. The potential benefit to the other NEOs is one times the individual’s annual salary, in addition to the group term insurance benefit. The Company also provides additional life and supplemental disability insurance benefits to Mr. Small.
Perquisites and Other Personal Benefits - We provide our NEOs with perquisites and other personal benefits that the Committee believes are reasonable and consistent with our overall compensation program to better enable us to attract and retain executive talent. The Committee periodically reviews the levels of perquisites and other personal benefits.
Each NEO is eligible, upon relocation, to receive reimbursement for certain reasonable expenses associated with the costs of such relocation. On a case by case basis, the Company considers reimbursement requests for country club and other social organization membership for its senior officers, including the NEOs, for certain business purposes.
Employment and Severance and Change in Control Agreements - We have employment or change of control agreements with certain key employees, including the NEOs. These agreements include provisions for severance payments upon a change of control and are designed to promote stability and continuity of senior management. These agreements each include important protections to the Company, including, but not limited to, provisions restricting competition or the solicitation of Company customers and employees and the requirement that the executive sign a release of claims before receiving any of the severance or change in control benefits outlined in the agreement. Information regarding applicable payments under such agreements for the NEOs is provided under the heading “Potential Payments Upon Termination or Change in Control” below.
2023 Executive Compensation Determinations
Base Salary - In 2021, Pearl Meyer conducted a market analysis of compensation, using available peer and industry index compensation data and surveys, for purposes of NEO and other executive officer salary and compensation adjustments in 2022 and 2023.
In making a recommendation for 2023 salaries for the other NEOs, the CEO compared the base salary levels of the other NEOs with Pearl Meyer’s market analysis and also consulted with Pearl Meyer regarding median executive compensation levels of the peer group. In light of these considerations, Mr. Small recommended salary increases for 2023 for the other NEOs ranging from 4.0% to 8.6%. After evaluating a number of factors, including performance evaluations, the individual executive’s skills, competencies and experience, and the importance of each executive’s role to the Company, the Committee approved the CEO’s recommendations, all of which were effective January 1, 2023. The Committee approved a salary increase of 4.0% for Mr. Small effective April 1, 2023. Separately, effective March 1, 2023, Mr. Hull received an additional 5.0% salary increase in connection with his promotion to Head of Commercial Banking.
2023 Short-Term Incentive Compensation - The 2023 Short-Term Incentive Plan corporate performance goals, the associated threshold, target and maximum payout levels, and actual performance levels are detailed in the following table:
| Award Component | Threshold
(50% Payout) |
Target
(100% Payout) |
Maximum
(150% Payout) |
Actual Performance |
Adjusted Payout Percentage (4) |
| Net Income | $99,976,260 | $105,238,168 | $110,500,076 | $111,294,907 | 0% |
| PTPP Income (1) | $137,821,956 | $145,075,743 | $152,329,530 | $144,978,184 | 0% |
| Efficiency Ratio | 56.24% | 53.74% | 51.24% | 52.89% | 0% |
| Average Loan Growth (2) | 10.64% | 12.96% | 15.29% | 13.88% | 120% |
| Average Deposit Growth (3) | 4.05% | 4.94% | 5.83% | 2.12% | 0% |
|
(1) Represents pre-tax pre-provision income. (2) Average loan growth represents growth in average balances including loans held for sale but excluding PPP compared to 2022. (3) Average deposit growth represents growth in average balances excluding brokered deposits compared to 2022. (4) Net income, PTPP income and efficiency ratio adjusted to exclude the
impact of insurance agency disposition. |
|||||
The Company’s actual performance under the 2023 Short-Term Incentive Plan goals shown above resulted in a blended payout of 98% for the corporate components. The Committee reviewed various information when evaluating the Company’s actual results against the originally defined corporate goals under the Short-Term Incentive Plan, including information regarding (1) the impact of the insurance agency disposition, (2) the Company’s credit quality, and (3) the external environment for interest rates and the residential mortgage secondary market. The Committee also discussed the Company’s quality of earnings and the impact management’s actions had on the outcome for 2023. Additional consideration was given to the overall execution by management of the operating plan against the approved 2023 budget. The Committee concluded that adjustments would be made to exclude the impact of the insurance agency sale for net income, PTPP income and efficiency ratio resulting in an adjusted blended payout of 21%.
In addition to the corporate performance goals, a portion of each 2023 short-term incentive award is attributable to the satisfaction of individual performance goals for each of the NEOs. Each participant’s individual component award is based on their performance against specific business objectives and initiatives falling under their direct responsibility over the course of the year. The payout received with respect to this individual component cannot exceed 150% of the award opportunity. The final individual component payouts for 2023 were (1) 90% for Mr. Small, (2) 100% for Mr. Nungester, (3) 110% for Mr. Hull, (4) 125% for Mr. Chandhok, and (5) 120% for Ms. Kuhl.
The weighting of the corporate performance goals and the individual performance goal component for each executive officer is determined at the beginning of the performance period. The relative weighting of the goals for each participating NEO in 2023 was:
| Short Term Incentive Award Component |
Gary Small |
Paul Nungester |
Rick Hull |
Varun Chandhok |
Shannon Kuhl |
| Net Income | 18.75% | 17.50% | 12.50% | 12.50% | 17.50% |
| PTPP Income | 16.88% | 15.75% | 11.25% | 11.25% | 15.75% |
| Efficiency Ratio | 11.25% | 10.50% | 7.50% | 7.50% | 10.50% |
| Average Loan Growth | 13.12% | 12.25% | 8.75% | 8.75% | 12.25% |
| Average Deposit Growth | 15.00% | 14.00% | 10.00% | 10.00% | 14.00% |
| Individual Goals | 25.00% | 30.00% | 50.00% | 50.00% | 30.00% |
| Total | 100.00% | 100.00% | 100.00% | 100.00% | 100.00% |
The 2023 target short-term incentive compensation component and actual bonus payout as approved by the Committee for the participating NEOs is set forth below:
| 2023 Target Bonus Potential and Awards | |||
| Executive Officer | Target
(as a % of Base Salary) |
Target ($) | Actual Payout ($) |
| Gary Small | 50.0% | 312,000 | 119,340 |
| Paul Nungester | 35.0% | 131,250 | 58,669 |
| Rick Hull | 30.0% | 133,678 | 87,559 |
| Varun Chandhok | 35.0% | 112,476 | 82,107 |
| Shannon Kuhl | 25.0% | 72,306 | 36,659 |
In addition to the above payouts under the 2023 Short-Term Incentive Plan, Mr. Nungester and Ms. Kuhl received one-time cash bonuses of $50,000 and $30,000, respectively, in consideration of their individual efforts in connection with the insurance agency sale.
2023 Long-Term Incentive Compensation - In the first quarter of 2023, the Committee established long-term incentive compensation awards for certain executives, including all of the NEOs. To better align the long-term incentive plan mix of compensation with peer practices and to provide the executive officers with a more predictable form of long-term incentive compensation, the Committee identified a total award for each executive consisting of RSAs (equal in value to one-third of the total award) and PSUs (equal in value to two-thirds of the total award).
Restricted Stock Awards – With respect to the RSAs, the Company entered into a Restricted Stock Award Agreement with each of the NEOs. The number of RSAs granted was calculated by taking one-third of the maximum incentive payout dollar value for each executive and dividing it by the Company’s closing stock price immediately prior to the grant date. The RSAs vest in one-third increments over a three-year period and will be fully vested in February 2026.
Performance Share Units - With respect to the PSUs, the Company entered into a Performance Share Units Award Agreement with each of the NEOs. The PSUs have a three-year performance period ending December 31, 2025. The number of PSUs granted was calculated by taking two-thirds of the maximum incentive payout dollar value for each executive and dividing it by the Company’s average stock price for the 20 trading days prior to the approval of PSUs by the Committee, which was $25.58 for all except Mr. Small who was $25.01.
With respect to the PSU awards granted in 2023, the table below sets forth the two performance measures, their respective weighting, and the goals for threshold performance, target performance and superior performance. Achievement of the threshold performance goal will result in 50% of the target payout, achievement of the target performance goal will result in 100% of target payout for the respective measure, and achievement of the superior performance goal will result in 150% of the target payout for the measure.
| Performance Goals | ||||
| Performance Measure | Weight | Threshold | Target | Superior |
| 3-year Average Core ROA | 50% | 25th %ile | 50th %ile | 75th %ile |
| 3-year Total Shareholder Return (rTSR) | 50% | 25th %ile | 50th %ile | 75th %ile |
| Payout
for Performance Level (% of Target Opportunity): |
50% | 100% | 150% | |
The 2023-2025 PSU long-term incentive compensation award target for each of the participating NEOs is set forth below.
| Bonus Potential Dollar Amount(1) | ||||
| Executive Officer | Target as % of Base Salary | Threshold ($) | Target ($) | Maximum ($) |
| Gary Small | 50% | $106,121 | $212,242 | $318,363 |
| Paul Nungester | 35% | $45,076 | $90,151 | $135,227 |
| Rick Hull | 20% | $22,773 | $45,545 | $68,318 |
| Varun Chandhok | 35% | $38,628 | $77,256 | $115,884 |
| Shannon Kuhl | 25% | $24,832 | $49,665 | $74,497 |
| (1) The dollar amount of the Threshold award is based on the number of shares determined by multiplying base salary by 50% of the target percentage of base salary divided by the average stock price noted above. The dollar amount of the Target award potential is based on the number of shares determined by multiplying the base salary by the target percentage of base salary divided by the average stock price noted above. The dollar amount of the Maximum award is based on the number of shares determined by multiplying the base salary by 150% of the target percentage of base salary divided by the average stock price noted above. The actual award will be adjusted as a result of the amount of the executive’s average base salary over the performance period. | ||||
Other Long Term Incentive Compensation - In 2023, the Committee approved a special RSA award equal to 3,985 shares, vesting annually over three years, to Ms. Kuhl.
2024 Executive Compensation Determinations
In the first quarter of 2024, the Compensation Committee met to consider the compensation program for 2024. The Committee considered the Company’s 2023 performance, certain economic and market pressures that are expected to be present in 2024, peer data concerning the mix and structure of compensation, recommendations from executive management, the roles and contributions of the executive officers, and the Company’s compensation philosophy. Based on this review, the Committee approved the following changes to the compensation program for 2024.
Base Salaries - Salary increases for the NEOs, excluding Mr. Small, ranging from 3% to 9% were approved effective January 1, 2024. A salary increase for Mr. Small of 3% effective April 1, 2024 was approved.
Short-Term Incentive Plan - While the corporate performance measures remained the same as 2023, with annual adjustments to the threshold, target and maximum levels of performance, the Committee determined that the following changes to the weightings of the corporate performance goals were appropriate:
| Corporate Performance Measure | 2023 Weighting | 2024 Weighting |
| Net Income | 25.00% | 25.00% |
| PTPP Income (1) | 22.50% | 22.50% |
| Efficiency Ratio | 15.00% | 15.00% |
| Average Loan Growth (2) | 17.50% | 15.00% |
| Average Deposit Growth (3) | 20.00% | 22.50% |
| Total | 100% | 100% |
Beginning in 2022, the Committee decided to eliminate any payout under the Short-Term Incentive Plan in the event a participant terminates their employment for “good reason” outside of a change in control scenario, and change the payout from full to pro-rated in the event of the death or disability of the participant. Individual NEOs may receive short-term incentive based severance payments in the event of certain “good reason” terminations as described in the section entitled “Potential Payments upon Termination or Change In Control” beginning on page 48.
Long-Term Incentive Plan – The Committee again decided to grant awards under the Long-Term Incentive Plan such that one-third of the annual award will be granted in the form of RSAs while two-thirds will be in the form of PSUs. The performance goals and weightings for the Long-Term Incentive Plan for 2024 will remain the same as those applied in 2024.
In February 2024, the Committee also approved a special RSA award equal to 5,147 shares, vesting in full at the expiration of three years, to Mr. Chandhok.
Tax Implications
Section 162(m) of the Internal Revenue Code generally prohibits us from claiming a deduction on our federal income tax return for compensation in excess of $1,000,000 paid in a given fiscal year to certain current and former executive officers. While the Committee carefully considers the net cost and value to Premier of maintaining the deductibility of all compensation, it also desires the flexibility to reward NEOs and other key employees in a manner that enhances Premier’s ability to attract and retain individuals, as well as to create longer-term value for shareholders. Thus, income tax deductibility is only one of several factors the Committee considers in making decisions regarding Premier’s compensation program.
The Board has not adopted a formal policy regarding tax deductibility of compensation paid to our executive officers. The Board may authorize compensation that might not be deductible and may modify compensation that was initially intended to be exempt from Section 162(m) if it determines that such compensation decisions are in the best interests of the Company and its shareholders.
Compensation Related Governance and Policies
Share Ownership Guidelines - We believe that our NEOs and nonemployee directors should have and maintain a significant equity interest in the Company to align their interests with the interests of our shareholders and promote a long-term perspective in the success of the Company. The Committee has established the following share ownership guidelines for executives and nonemployee directors as follows:
| CEO and President | 3 times base salary | ||
| CFO and Chief Lending Officer | 2 times base salary | ||
| All other Executive Officers | 1.5 times base salary | ||
| Nonemployee Directors | 5 times the annual retainer |
Anti-Hedging Policy - Executive officers are prohibited from engaging in transactions that could reduce the extent to which their investment in Premier’s shares is aligned with the interests of shareholders. As a result, our Corporate Governance Guidelines and Insider Trading Policy prohibit executive officers from entering into speculative transactions involving our shares, including any hedging, short sales, puts, calls, swaps, forward contracts, or other derivative securities.
Clawback Policy for Incentive Compensation - The Board has adopted an incentive compensation clawback policy providing for a three-year review period of the Company’s reported results to ensure that incentive compensation for all executive officers (including the NEOs) is based on accurate financial and operating data and the correct calculations of the attainment of performance goals. The policy allows the Company to recover incentive awards previously paid or awarded. A copy of this policy is posted on the Company’s website at www.premierfincorp.com under the link “Governance Documents.”
Compensation Committee Interlocks and Insider Participation - Directors Adams, Afzal (through October 2023), Bettinger, Bookmyer, Burdman, Hubbard, Lanier, and Robison served on the Compensation Committee during 2023 and Director Schiraldi participated in Committee meetings in an ex officio capacity. There were no Compensation Committee interlocks or insider (employee) participation during 2023.
COMPENSATION COMMITTEE REPORT
Premier Compensation Committee has reviewed and discussed the Compensation Discussion and Analysis required by Item 402(b) of Regulation S-K with management and, based on such review and discussions, the Compensation Committee recommended to the Board that the Compensation Discussion and Analysis be included in this Proxy Statement and our annual report on Form 10-K.
Marty Adams, Chair
Terri A. Bettinger
John L. Bookmyer
Lee Burdman
Jean A. Hubbard
Nikki R. Lanier
Mark A. Robison
March 11, 2024
SUMMARY COMPENSATION TABLE
The table below summarizes the total compensation paid or earned by each of the NEOs for the fiscal years ended December 31, 2023, 2022, and 2021. The NEOs include those persons serving as our CEO and CFO during 2023 and our three other most highly compensated executive officers in 2023. The titles for each executive officer below are as of December 31, 2023.
| (a) | (b) | (c) | (d) | (e) | (f) | (g) | (h) |
| Name and Principal Position | Year | Salary($) | Bonus($) | Stock Awards ($)(4) |
Non-Equity Incentive Plan Compen- sation ($)(5) |
All
Other Compen-sation ($)(6) |
Total($) |
| Gary M. Small (1) President and CEO of Premier and Premier Bank |
2023 2022 2021 |
617,077 590,038 549,173 |
- - - |
309,590 308,829 950,427 |
119,340 210,000 290,975 |
61,719 55,242 55,252 |
1,107,726 1,164,109 1,845,827 |
| Paul D. Nungester Executive Vice President and Chief Financial Officer of Premier and Premier Bank |
2023 2022 2021 |
373,862 344,471 321,058 |
50,000 - - |
130,566 126,309 83,368 |
58,669 102,635 114,985 |
20,523 16,134 21,821 |
633,620 589,549 541,232 |
| Rick L. Hull Executive Vice President and Head of Commercial Banking |
2023 | 330,665 | - - |
65,097 | 87,559 | 45,988 | 529,309 |
| Varun Chandhok (2) Executive Vice President and Chief Information and Operations Officer |
2023 2022 2021 |
320,885 308,654 225,000 |
- - - |
111,882 112,976 270,641 |
82,107 97,443 106,575 |
21,174 15,328 95,387 |
536,048 534,401 697,603 |
| Shannon M. Kuhl (3) Executive Vice President and Chief Legal Officer |
2023 | 288,796 | 30,000 | 170,685 | 36,659 | 15,156 | 541,296 |
|
(1) In connection with his transition to the Chief Executive Officer of Premier and Premier Bank effective April 1, 2021, Mr. Small received a restricted stock award of 22,500 shares to vest over a period of five years with a grant date fair value of $755,550 reflected in column (e) in addition to the award described in note 4 below. (2) In connection with the hiring of Mr. Chandhok, he received a restricted stock award of 6,014 shares to vest over a period of three years with a grant date fair value of $199,124 reflected in column (e) in addition to the award described in note 4 below. (3) In 2023, Ms. Kuhl received a retention restricted stock award of 3,985 shares to vest over a period of three years with a grant date fair value of $98,748 reflected in column (e) in addition to the award described in note 4 below. (4) The amounts in column (e) reflect the aggregate grant date fair value of restricted stock awards and shares underlying performance share units granted under the Long-Term Incentive Program and the relevant year’s long-term incentive compensation awards, as computed in accordance with FASB ASC Topic 718, based upon the probable outcomes. Restricted stock awards were as follows: Mr. Small 4,139 shares or $101,488; Mr. Nungester 1,744 shares or $43,216; Mr. Hull 846 shares or $20,964; Mr. Chandhok 1,494 shares or $37,021; and Ms. Kuhl 961 shares or $23,814. All restricted stock awards vest annually over three years. Assumptions used in the performance share unit calculations are not materially different from the amounts included in Note 20 to our audited financial statements for the fiscal year ended December 31, 2023, included in our Annual Report on Form 10-K filed with the SEC on February 29, 2024. If maximum results are achieved under the Long-Term Incentive Program for the 2023 performance share unit awards, the value of such payout under these awards at the grant date would be as follows: Mr. Small 12,730 shares, or $312,140, Mr. Nungester 5,287 shares, or $131,012; Mr. Hull 2,671 shares, or $66,187; and Mr. Chandhok 4,531 shares, or $112,278; and Ms. Kuhl 2,913 shares, or $72,184. All awards are paid in Premier common shares. |
|||||||
|
(5) The dollar amounts in column (f) reflect the cash short-term incentive awards earned by the named individuals with respect to performance during the applicable fiscal year, as discussed in further detail under the heading “2023 Short-Term Incentive Compensation” above. (6) The dollar amount shown as “All Other Compensation” includes the following perquisites and personal benefits: |
| Name | Club Membership ($) |
401(k) Match ($) |
Value of Life Insurance ($) |
Disability & Life Insurance Premium ($) |
Employee Stock Purchase Plan Match ($) |
Company Deferred Compensation Plan Contribution ($) |
Total ($) |
| Gary Small | 8,843 | 13,200 | 2,733 | 13,902 | - | 23,041 | 61,719 |
| Paul Nungester | - | 13,200 | 490 | 2,897 | 1,800 | 2,136 | 20,523 |
| Rick Hull | 16,377 | 9,949 | 2,085 | 16,025 | 975 | 577 | 45,988 |
| Varun Chandhok | - | 10,092 | 650 | 1,626 | - | 8,806 | 21,174 |
| Shannon Kuhl | - | 11,107 | 417 | 1,448 | - | 2,184 | 15,156 |
2023 GRANTS OF AWARDS
During 2023, we made awards to certain NEOs as part of short-term and long-term incentive compensation under the Long-Term Incentive Program, as described above. The short-term incentive compensation awards provide for cash payments. The long-term incentive compensation awards are made in PSUs and RSAs and settled in PFC shares.
| Name | Grant Date | Date Approved by Comp Committee |
Estimated
Future Payouts Under Non- Equity Incentive Plan Awards (1) |
Estimated
Future Payouts Under Equity Incentive Plan Awards (2) |
All Other Awards: |
Grant Date Fair Value of Stock Awards ($)(3) |
||||
| Threshold ($) |
Target ($) |
Maximum ($) |
Threshold |
Target (Shares/ Units) |
Maximum (Share/ Units) |
|||||
| Gary Small | 3/2/2023 3/2/2023 |
3/2/2023 3/2/2023 |
106,121 n/a |
212,242 n/a |
318,363 n/a |
4,244 n/a |
8,487 n/a |
12,730 n/a |
n/a 4,139 |
208,101 101,488 |
| Paul Nungester | 2/14/2023 2/14/2023 |
2/14/2023 2/14/2023 |
45,076 n/a |
90,151 n/a |
135,227 n/a |
1,763 n/a |
3,525 n/a |
5,287 n/a |
n/a 1,744 |
87,350 43,216 |
| Rick Hull | 2/14/2023 2/14/2023 |
2/14/2023 2/14/2023 |
22,773 n/a |
45,545 n/a |
68,318 n/a |
891 n/a |
1,781 n/a |
2,671 n/a |
n/a 846 |
44,133 20,964 |
| Varun Chandhok | 2/14/2023 2/14/2023 |
2/14/2023 2/14/2023 |
38,628 n/a |
77,256 n/a |
115,884 n/a |
1,511 n/a |
3,021 n/a |
4,531 n/a |
n/a 1,494 |
74,860 37,021 |
| Shannon Kuhl | 2/14/2023 2/14/2023 2/14/2023 |
2/14/2023 2/14/2023 2/14/2023 |
24,833 n/a n/a |
49,665 n/a n/a |
74,498 n/a n/a |
971 n/a n/a |
1,942 n/a n/a |
2,913 n/a n/a |
n/a 961 3,985 |
48,123 23,814 98,748 |
|
(1) Short-term incentive awards granted in 2023 pursuant to the Short-Term Incentive Plan, as described above. Actual amounts are included in the “2023 Target Bonus Potential and Awards” table on page 40. (2) Long-term incentive awards granted in the form of PSUs and RSAs in 2023 under the Long-Term Incentive Program, as described above. (3) Grant date fair value determined by multiplying shares, or Target shares in the case of the PSUs issued February 14, 2023 and March 2, 2023, times the grant date closing stock price. Applicable closing stock prices were: $24.78 on February 14, 2023 and $24.52 on March 2, 2023. |
||||||||||
OUTSTANDING EQUITY AWARDS AT FISCAL YEAR-END 2023
The following table provides information concerning unexercised options and non-vested stock awards for each NEO outstanding as of the end of the most recently completed fiscal year.
| Option Awards | Stock Awards | |||||||
| Name | Number of Securities Underlying Unexercised Options (#) Exercisable |
Number of Securities Underlying Unexercised Options (#) Unexercisable |
Option Exercise Price |
Option Expiration Date |
Number of shares or units of stock that have not vested (#)(1) |
Market value of shares or units of stock that have not vested ($)(2) |
Equity incentive plan awards: number of unearned shares, units or other rights that have not vested (#)(3) |
Equity incentive plan awards: market or payout value of unearned shares, units or other rights that have not vested ($)(2) |
| Gary Small | 18,575 | - | $26.00 | 2/21/2028 | 17,669 | 425,823 | 41,985 | 1,009,670 |
| Paul Nungester | - | - | - | - | 1,744 | 42,030 | 17,731 | 427,317 |
| Rick Hull | - | - | - | - | 846 | 20,389 | 9,006 | 217,045 |
| Varun Chandhok | - | - | - | - | 2,496 | 60,154 | 15,121 | 364,416 |
| Shannon Kuhl | - | - | - | - | 4,946 | 119,199 | 9,957 | 239,964 |
|
(1) Mr. Small’s restricted shares vest as follows: 4,510 on each of April 1, 2024, April 1, 2025 and April 1, 2026; 1,380 on March 2, 2024; 1,379 on March 2, 2025; and 1,380 on March 2, 2026. Mr. Nungester’s restricted shares vest as follows: 581 on February 14, 2024; 582 on February 14, 2025; and 581 on February 14, 2026. Mr. Hull’s restricted shares vest as follows: 282 on each of February 14, 2024, February 14, 2025, and February 14, 2026. Mr. Chandhok’s restricted shares vest as follows: 1,002 on April 1, 2024 and 498 on each of February 14, 2024, February 14, 2025, and February 14, 2026. Ms. Kuhl’s restricted shares vest as follows: 1,648 on February 14, 2024; 1,649 on February 14, 2025; and 1,649 on February 14, 2026. (2) Market value determined by multiplying unvested shares by the December 31, 2023, stock price of $24.10. (3) This column reflects the PSUs that were granted as long-term incentive compensation awards pursuant to the Company’s Long-Term Incentive Program. The PSUs vest on the date the Compensation Committee certifies the performance results at the end of the applicable performance which will be within 60 days following the completion of the performance period. While this generally occurs in the month of February, the date is not specified. Mr. Small’s PSUs vest as follows: 13,900 PSUs in February 2024; 15,265 PSUs in February 2025; and 12,730 PSUs in February 2026. Mr. Nungester’s PSUs vest as follows: 6,037 in February 2024; 6,407 PSUs in February 2025; and 5,287 PSUs in February 2026. Mr. Hull’s PSUs vest as follows: 3,096 in February 2024; 3,239 in February 2025; and 2,671 PSUs in February 2026. Mr. Chandhok’s PSUs vest as follows: 5,024 in February 2024; 5,566 in February 2025; and 4,531 PSUs in February 2026. Ms. Kuhl’s PSUs vest as follows: 3,466 in February 2024; 3,578 in February 2025; and 2,913 PSUs in February 2026. |
||||||||
OPTION EXERCISES AND STOCK VESTED IN 2023
The following table provides information concerning exercises of stock options and vesting of stock awards during the most recently completed fiscal year for each of the NEOs on an aggregated basis. The table reports the number of shares for which the options were exercised or vested and the aggregate dollar value realized upon exercising those options or when the stock awards became vested. No NEOs exercised options during 2023.
| Option Awards | Stock Awards | |||
| Name | Number of Shares Acquired on Exercise (#) |
Value Realized on Exercise ($) |
Number of Shares Acquired on Vesting (#) |
Value Realized on Vesting ($) |
| Gary Small | - | - | 13,011 | 304,418 |
| Paul Nungester | - | - | 4,446 | 110,172 |
| Rick Hull | - | - | 2,315 | 57,366 |
| Varun Chandhok | - | - | 2,005 | 41,684 |
| Shannon Kuhl | - | - | - | - |
NONQUALIFIED DEFERRED COMPENSATION
Premier maintains the non-qualified Premier Financial Corp. Deferred Compensation Plan (the “Premier DCP”), effective January 1, 2022, to attract and maintain key employees and members of the Board. Eligible participants are identified annually by the Board, acting through the Compensation Committee, and include all of the Company’s NEOs. The Premier DCP allows employee participants to defer up to 80% of their base salary and up to 100% of their annual short-term incentive compensation. Directors may defer up to 100% of their cash retainer fees. Premier may make discretionary contributions to participants. Deferral elections are made annually and are generally irrevocable; however, employee participants may adjust the deferral election for short-term incentive compensation once after the initial annual election. The participant elects the timing and manner of distributions from the Premier DCP. The timing of distributions may be based upon the individual’s separation from service or a date specified by the participant, permitting distributions while a participant is still employed, and may be paid in a lump sum or in annual installments. Contributions accrue interest, earnings, and losses based on the performance of the investment option selected by the participant from the designated investment options determined by the Compensation Committee. Participants may alter their investment options at any time. The Premier DCP also allows for hardship withdrawals upon the approval of the Compensation Committee.
Premier may make discretionary contributions to the Premier DCP, including contributions designed to match employer contributions under the 401(k) Savings Plan for individuals who elect to defer into the Premier DCP rather than the 401(k) Savings Plan (“make-up contributions”), or if the individual’s participation or the Company’s matching contributions in the 401(k) Savings Plan are limited under Section 401(a)(17) of the Internal Revenue Code (“supplemental contributions”). Company discretionary contributions are only payable following the individual’s separation from service to the Company. Employer make-up and supplemental contributions are 100% vested when made while other discretionary contributions vest according to a schedule determined by the Compensation Committee, though these will fully vest in the event of the death of the participant while employed by the Company or if there is a change in control of the Company.
Prior to the Premier DCP, the Company maintained the First Defiance Deferred Compensation Plan (the “First Defiance DCP”). This plan was frozen on December 31, 2021 and does not accept further participants or contributions. Mr. Nungester previously contributed to the First Defiance DCP and is a participant in this plan. The United Community Financial Corp. Deferred Compensation Plan (the “UCFC DCP”) was frozen on January 31, 2020 upon the consummation of the merger of United Community Financial Corp. into Premier in January 2020 (the “Merger”) and did not accept further participants or contributions after that date. Mr. Small and Mr. Hull previously contributed to the UCFC DCP and are participants in this plan. The First Defiance DCP and UCFC DCP have substantially similar material terms as follows:
| ● |
Contributions accrue interest, earnings, and losses based on the performance of the investment option selected by the participant from the designated investment options determined by
the Compensation Committee.
|
| ● |
Participants may alter their investment options at any time.
|
| ● |
Benefits are generally paid beginning in the year following the executive’s retirement or termination but have provisions for scheduled “in-service” distributions and allow for hardship
withdrawals upon the approval of the Compensation Committee.
|
| ● | Retirement benefits are paid either in a lump sum or in scheduled installment payments when the executive’s termination is considered a retirement. All other distributions are made in lump sum payments. |
The following table provides information with respect to our NEOs’ participation in the Premier DCP, the First Defiance DCP, and the UCFC DCP. None of our NEOs received a withdrawal or distribution under any of the deferred compensation plans in 2023.
| Executive Contributions in Last Fiscal Year |
Registrant Contributions in Last Fiscal Year (1) |
Aggregate Earnings in Last Fiscal Year |
Aggregate Withdrawals/ Distributions in Last Fiscal Year |
Aggregate Balance at Last Fiscal Year End (2) |
|
| Name | ($) | ($) | ($) | ($) | ($) |
| Gary M. Small | 69,300 | 23,041 | 157,976 | - | 780,803 |
| Paul D. Nungester | - | 2,136 | 385 | - | 8,859 |
| Rick L. Hull | 29,248 | 577 | 43,409 | - | 390,254 |
| Varun Chandhok | - | 8,806 | 340 | - | 9,146 |
| Shannon M. Kuhl | 18,759 | 2,184 | 6,839 | - | 50,897 |
|
(1) All amounts are included in the All Other Compensation column of the Summary Compensation Table. (2) All amounts except Aggregate Earnings have been reported as compensation in the Summary Compensation Table in previous years. |
|||||
POTENTIAL PAYMENTS UPON TERMINATION OR CHANGE IN CONTROL
Our NEOs are entitled to certain compensation in the event of the termination of their employment, including by resignation, retirement, death or disability, involuntary termination, or for “good reason” in connection with a change of control of the Company. Additionally, Mr. Small and Mr. Nungester are entitled to severance compensation in the event of a termination for “good reason” not in connection with a change in control of the Company.
Accrued Benefits Payable Upon Any Termination
Regardless of the manner in which a NEO’s employment terminates, each executive is entitled to receive amounts earned during the term of their employment. These amounts (the “Accrued Benefits”) are payable without respect to an Executive Agreement (as defined below) and are payable to other terminated employees of the Company to the extent the individual participates in the applicable benefit plans. All payments would be made in accordance with the Company’s normal payroll practices or in accordance with the terms of the associated plan. These Accrued Benefits are not described in the table entitled “Executive Benefits and Payments upon Termination” on page 57 and include:
| ● |
Base salary earned through the date of termination;
|
| ● |
Balance of accounts in the deferred compensation plans;
|
| ● |
Accrued but unused vacation pay; and
|
| ● | All amounts held in the individual’s account in the 401(k) Savings Plan. |
Benefits Payable Under the Short-Term Incentive Plan for Certain Terminations
For 2023, each NEO would receive amounts under the Short-Term Incentive Plan in certain termination scenarios if not directly addressed in the individual’s Executive Agreement described below. While Mr. Nungester is the only NEO whose Executive Agreement does not directly address a severance benefit relating to the Short-Term Incentive Plan for the year of termination and who is eligible to receive a payment as described in the Short-Term Incentive Plan, the benefit is similar to that payable under the Executive Agreements of the other NEOs. If the executive’s employment is terminated as a result of their death, disability, retirement, or by the Company without cause, a pro-rata portion of the award (a “Pro-Rated Short Term Incentive Payment”) will vest in proportion to the number of months or partial months elapsed during the performance period before the termination of the individual’s employment. For any of these termination scenarios, the portion of the award attributable to corporate performance would be based on actual performance determined at the end of the performance period in the ordinary administration of the Short-Term Incentive Plan. The portion of the award attributable to individual performance will be assumed to be at target, except that the Compensation Committee may determine a different level of individual goal satisfaction in the event of a retirement or termination by the Company without cause. Any payment would be made at the same time as other participants in the plan. This benefit is included in the table entitled “Executive Benefits and Payments upon Termination” on page 57.
Benefits Payable Under the Short-Term Incentive Plan in Connection with a Change in Control
If there is a change in control (as defined in the 2018 Equity Incentive Plan) during a performance period, the award for that performance period will be deemed earned and vested at target levels, unless the Compensation Committee determines that actual performance or a different treatment is appropriate, on the effective date of the Change in Control.
Benefits Received Under the Long-Term Incentive Program for Certain Terminations
The Long-Term Incentive Program and the terms of award agreements issued under this plan provide for the acceleration of certain benefits in connection with certain termination scenarios if these were not directly addressed in the individual’s Executive Agreement described below. As only Mr. Small’s Executive Agreement addresses the treatment of Long-Term Incentive benefits in the event of his termination, the following description applies to the benefits applicable to the NEOs other than Mr. Small. These benefits are included in the table entitled “Executive Benefits and Payments upon Termination” on page 57.
| Equity Award Type | Termination Scenarios(1) | Benefit |
| Restricted Stock Unit (last issued in 2021) |
|
Accelerated FULL vesting of all unvested restricted stock units |
|
|
Unvested restricted stock units forfeited | |
| Restricted Stock Award (issued in 2021) |
|
Accelerated FULL vesting of all unvested restricted stock awards |
|
|
Unvested RSAs forfeited | |
| Restricted Stock Award (issued in 2022 and forward) |
|
Accelerated FULL vesting of all unvested RSAs |
Retirement |
Accelerated vesting of a PRO-RATA portion of unvested RSA award (determined by the number of months, including any partial months, of the restricted period that have elapsed at the time of termination)(a “Pro- Rated RSA Benefit”) | |
|
|
Unvested RSAs forfeited |
| Equity Award Type | Termination Scenarios(1) | Benefit |
| Performance Share Unit (issued in 2021) |
|
Accelerated FULL vesting of unvested PSUs using the actual performance of the Company through the end of the performance period and payable at the end of the performance period |
|
|
Accelerated vesting of a PRO-RATA portion (determined by the number of months, including any partial months, elapsed during the performance period) of unvested PSUs (a “Pro-Rated PSU Benefit”) calculated using the actual performance of the Company through the end of the performance period and payable at the end of the performance period | |
|
|
Accelerated FULL vesting upon consummation of the Change in Control (1) using the actual performance of the Company for closed years in the performance period, and (2) at target for open years in the performance period | |
| Performance Share Unit (issued in 2022 and forward) |
|
Accelerated FULL vesting of unvested PSUs calculated at target and payable within 90 days of vesting |
|
|
Pro-Rated PSU Benefit calculated at target, vests and payable one year after separation | |
|
|
Accelerated FULL vesting upon consummation of the Change in Control (1) using the actual performance of the Company for closed years in the performance period, and (2) at target for open years in the performance period | |
|
|
Unvested PSUs forfeited |
| (1) | With respect to the definition of “Cause,” all 2020 and 2021 award agreements refer to the definition assigned in the 2018 Equity Incentive Plan, while the 2022 and later award agreements refer to the definition within the NEO’s Executive Agreement. The 2021 PSU award agreements that provide a benefit upon a termination for “Good Reason” refer to the definition of Good Reason within the NEO’s Executive Agreement. Later PSU award agreements do not include a benefit payable in the event of a Good Reason termination. |
No vestings will be accelerated or benefits paid in connection with termination scenarios not described above, including any termination for cause.
The outstanding equity award agreements to our NEOs include restrictive covenants concerning confidentiality, non-competition, and/or non-solicitation to protect Premier’s interests. However, all such award agreements issued beginning in 2022 provide that if the employee is party to an Executive Agreement with restrictive covenants concerning confidentiality and non-solicitation, the terms of the Executive Agreement control in this respect in order to avoid conflicting restrictions. Mr. Small’s outstanding unvested 2021 RSA was previously amended to have the restrictive covenants of his Executive Agreement control. As Mr. Chandhok continues to hold an unvested restricted stock unit award issued in 2021, without the language deferring the restrictive covenants to the terms of his Executive Agreement, he is subject to a non-solicitation restriction under the award agreement prohibiting the solicitation of customers and employees of Premier for a period of 12 months following his termination. As Mr. Nungester’s Executive Agreement does not include restrictive covenants concerning solicitation, he is prohibited from soliciting customers and employees of Premier for a period of 12 months following his termination under his outstanding 2022, 2023, and 2024 PSU awards.
Benefits Received Under the Long-Term Incentive Program in Connection with a Change in Control
Generally, for purposes of this discussion, the definition of a “change of control” under the 2018 Equity Incentive Plan aligns with the meaning set forth in Section 409A(a)(2)(A)(v) of the Internal Revenue Code of 1986, as amended.
PSUs receive special treatment under the 2018 Equity Incentive Plan and the applicable outstanding award agreements for these awards in the event of a change in control. With or without a termination of their employment, the NEOs are entitled to accelerated vesting of outstanding PSUs, calculated using the actual performance of the Company for each closed year in the performance period and calculated at target with respect to any open years in the performance period. PSUs vesting in connection with a change in control are payable in cash rather than in shares.
Under the 2018 Equity Incentive Plan and the applicable outstanding award agreements for restricted stock units or restricted stock awards, the vesting of these awards will not accelerate and no other benefits will be payable in connection with a change in control unless the executive’s employment is also terminated without cause or by the executive for good reason in the period immediately preceding or shortly following the change in control event. For awards granted in 2021, this benefit is only in the event of a termination by the Company without cause. For awards granted in 2022, 2023 and 2024, this benefit applies in the event of a termination by the Company without cause or a termination by the executive for good reason. In the event there is such a “double trigger” consisting of both a change in control event and a permitted termination scenario, the outstanding award will fully vest.
Employment and Severance/Change in Control Agreements
Each of our NEOs has an employment agreement or a severance and change in control agreement (collectively, the “Executive Agreements”). The NEOs are not eligible to receive any payments, other than the Accrued Benefit described above, in the event of a termination “for cause” or in connection with a voluntary termination except in certain circumstances that constitute “good reason” under their respective Executive Agreements. The following summaries of the Executive Agreements are qualified by reference to the specific agreements, copies of which are identified as exhibits to the Company’s Annual Report on Form 10-K for the year ended December 31, 2023. Each of the Executive Agreements requires that the executive release all claims against the Company and include expected restrictive covenants concerning confidentiality, non-competition, and/or non-solicitation to protect Premier’s interests. Each of the Executive Agreements incorporates a definition of a “change of control” consistent with the meaning set forth in Section 409A(a)(2)(A)(v) of the Internal Revenue Code of 1986, as amended, although the specific Executive Agreements provide additional description and distinctions in this regard.
Employment Agreement of Gary Small - The Company entered into an employment agreement with Mr. Small in September 2019 in anticipation of and effective upon the consummation of the Merger on January 31, 2020. Under the agreement, Mr. Small serves as the Chief Executive Officer and a director of the Company and of Premier Bank. The initial term of this agreement was for a three year period and automatically extends for additional 12-month periods unless terminated with 90 days prior written notice. The current term of the agreement ends January 31, 2025. The agreement describes Mr. Small’s compensation package from the Company, subject to adjustment by the Company.
In addition to the Accrued Benefits, the agreement provides the listed benefits to Mr. Small in the following termination scenarios:
Death or Disability – (1) the Pro-Rated Short Term Incentive Payment described above, except that the pro-ration will be based on the number of days elapsed instead of months, for the year in which the termination occurs; and (2) accelerated vesting in full of any unvested RSAs and vesting in full of any unvested PSUs calculated using the actual performance of the Company for each closed year in the performance period and calculated at target with respect to any open years in the performance period. In the event of Mr. Small’s death, his beneficiary will receive 90 days of base salary in a lump sum payment. In the event of Mr. Small’s disability, he will also receive a cash payment equal to 18 months of COBRA premiums (the “CEO COBRA Benefit”) and his group and supplemental life insurance will be maintained until he attains age 65.
Without Cause or for Good Reason – (1) a lump sum severance payment equal to two times the sum of Mr. Small’s base salary and the greater of his target short-term incentive compensation payment or the prior year’s actual short-term incentive compensation payout; (2) the CEO COBRA Benefit, (3) the Pro-Rated Short Term Incentive Payment (with the pro-ration based on the number of days elapsed instead of months); and (4) accelerated vesting in full of any unvested RSAs and vesting in full of any unvested PSU calculated in the same fashion as described above.
Without Cause or for Good Reason in Connection with a Change in Control – (1) a lump sum severance payment equal to 2.99 times the sum of Mr. Small’s base salary and the greater of his target short-term incentive compensation payment or the prior year’s actual short-term incentive compensation payout; (2) the CEO COBRA Benefit, (3) the Pro-Rated Short Term Incentive Payment (with the pro-ration based on the number of days elapsed instead of months); and (4) accelerated vesting in full of any unvested RSAs and vesting in full of any unvested PSU calculated in the same fashion as described above. The increased severance benefit to Mr. Small in connection with a change in control is only available in the event the termination occurs within the six months before or the two years following the consummation of the change in control.
Under Mr. Small’s agreement, “cause” means (1) continued intentional failure to perform under the agreement or his assigned duties; (2) engagement in willful misconduct in the course of his employment; (3) conviction or plea of guilty or nolo contender to a felony or a crime involving moral turpitude or breach of trust or duty to the Company; or (4) unauthorized disclosure of non-public confidential information. Events giving rise to a “good reason” under Mr. Small’s agreement include (1) a material diminution in his title, position, authority or duties; (2) a requirement that he report to any person or entity other than the Board; (3) a reduction in his base salary or target short-term or long-term incentive awards; (4) a material change in the geographic location of his primary work location; (5) the non-renewal of the agreement without an offer of a substantially similar agreement; or (6) any material breach of the agreement. Mr. Small must give notice of the good reason event within 90 days of becoming aware of it, after which the Company will have 30 days to remedy the condition. If the Company does not remedy the condition, Mr. Small must terminate his employment to receive any payments associated with a termination for good reason.
Mr. Small’s agreement includes language modifying the benefits due to him in the event the payments would be “excess parachute payments” under Section 280G of the Internal Revenue Code. If this were to occur, Mr. Small’s payments and benefits under the agreement may be reduced if doing so results in Mr. Small receiving the net greatest benefit compared to paying the excise tax under Section 4999 of the Internal Revenue Code.
Mr. Small’s agreement includes restrictive covenants concerning non-competition and non-solicitation, of customers and of employees, for a period of one year following the termination of his employment.
Employment Agreement of Paul Nungester - The Company entered into an employment agreement with Mr. Nungester in May 2019 pursuant to which Mr. Nungester serves as the Chief Financial Officer of the Company. The initial term of this agreement was 12 months and it is evergreen, extending in such a fashion that the term is always 12 additional months until notice of termination is given and the term then becomes fixed at 12 months. The agreement describes Mr. Nungester’s compensation package from the Company, subject to adjustment by the Company.
In addition to the Accrued Benefits, the agreement provides the listed benefits to Mr. Nungester in the following termination scenarios:
Without Cause or for Good Reason – lump sum payment equal to Mr. Nungester’s base salary plus the average annual payment paid under the short-term incentive plan over the last five years.
Without Cause or for Good Reason in Connection with a Change in Control – (1) a lump sum payment equal to 2.99 times the sum of Mr. Nungester’s base salary plus the average annual payment paid under the short-term incentive plan over the last five years; (2) payment on Mr. Nungester’s behalf of insurance premiums to maintain medical and dental insurance coverage under COBRA until the earlier of the first anniversary of the termination or the date on which Mr. Nungester is eligible to participate in another employer’s comparable plan. The increased severance benefit to Mr. Nungester in connection with a change in control is only available in the event the termination occurs within the six months before or the one year following the consummation of the change in control.
Under Mr. Nungester’s agreement, “cause” means personal dishonesty, incompetence, willful misconduct, breach of fiduciary duty involving personal profit, intentional failure to perform stated duties, willful violation of any law, rule or regulation or final cease-and-desist order, or a material breach of the agreement. Events giving rise to a “good reason” under Mr. Nungester’s agreement include (1) the assignment of duties inconsistent with his position or duties immediately prior to the assignment; (2) a material change in his reporting responsibilities or titles; (3) his not being appointed to the position of chief financial officer; (4) a reduction in base salary; (5) the relation of the Company’s principal offices away from the Defiance, Ohio area; (6) a material reduction in fringe benefits; (7) the failure of the Company to obtain the assumption of the agreement by any successor; and (8) the Company’s failure to comply with the agreement. Mr. Nungester must terminate his employment to receive any payments associated with a termination for good reason.
Mr. Nungester’s agreement includes language modifying the benefits due to him in the event the payments would be “excess parachute payments” under Section 280G of the Internal Revenue Code. If this were to occur, Mr. Nungester’s payments and benefits under the agreement will be reduced by the minimum amount necessary to result in no portion of the payments and benefits being non-deductible to the Company and subject to the excise taxes imposed under the Internal Revenue Code for parachute payments.
Mr. Nungester’s agreement includes restrictive covenants concerning non-competition for a period of one year following the termination of his employment.
Severance and Change in Control Protection Agreements of Rick Hull, Varun Chandhok, and Shannon Kuhl - The Company entered into Severance and Change in Control Protection Agreements with Varun Chandhok and Shannon Kuhl effective April 2022. The initial term of these agreements is 12 months and automatically extends for additional 12-month periods unless terminated with 90 days prior written notice. The current term of each of Mr. Chandhok’s and Ms. Kuhl’s agreements ends March 31, 2024. The Company entered into a Severance and Change in Control Protection Agreement with Rick Hull in February 2024 with an initial term ending March 31, 2025 that similarly will renew for additional 12-month periods unless terminated with 90 days prior written notice.
In addition to the Accrued Benefits, the agreements provide the listed benefits to each of Mr. Hull, Mr. Chandhok, and Ms. Kuhl in the following termination scenarios:
Disability – (1) the Pro-Rated Short Term Incentive Payment described above; and (2) subject to the timely election of continuation coverage of health benefits in accordance with COBRA, payment of the full amount of the executive’s premiums for this continued coverage until the earlier of 18 months following the termination of employment or the executive becomes eligible for group health coverage from another employer (the “Severance/CIC COBRA Subsidy”).
Death – (1) the Pro-Rated Short Term Incentive Payment described above; and (2) subject to the timely election of continuation coverage of health benefits in accordance with COBRA by the executive’s surviving beneficiary, payment of a lump sum equal to the sum total of premiums for 18 months of continued coverage.
Without Cause –
Mr. Chandhok and Ms. Kuhl will receive (1) severance payments in the form of salary continuation for a period of 12 months, (2) a lump sum payment equal to the target award payable under the Short-Term Incentive Plan for the year in which the termination occurs, (3) a lump sum payment equal to the Pro-Rated Short Term Incentive Payment for the year in which the termination occurs; (4) outplacement services not to exceed $12,000; and (5) the Severance/CIC COBRA Subsidy.
Mr. Hull will receive (1) severance payments in the form of salary continuation for a period of 18 months, (2) a lump sum payment equal to 1.5 times the target award payable under the Short-Term Incentive Plan for the year in which the termination occurs, (3) a lump sum payment equal to the Pro-Rated Short Term Incentive Payment for the year in which the termination occurs; (4) outplacement services not to exceed $12,000; and (5) the Severance/CIC COBRA Subsidy.
Without Cause or for Good Reason in Connection with a Change in Control – (1) severance payments in the form of salary continuation for a period of 18 months; (2) a lump sum payment equal to 1.5 times the target award payable under the Short-Term Incentive Plan for the year in which the termination occurs; (3) a lump sum payment equal to the Pro-Rated Short Term Incentive Payment for the year in which the termination occurs; (4) outplacement services not to exceed $12,000; and (5) the Severance/CIC COBRA Subsidy. The increased severance benefits to Mr. Chandhok and Ms. Kuhl in connection with a change in control are only available in the event the executive’s employment is terminated (1) by the Company within the six months prior to or the 12 months following the change in control, or (2) by the executive for good reason within 12 months following the change in control.
Under these agreements, “cause” means (1) the executive’s indictment or conviction of, or plea of guilty or nolo contendere to any felony, or any other crime that involves moral turpitude, theft, dishonesty, or breach of trust; (2) breach of fiduciary duty to the Company; (3) willful misconduct in the course of the executive’s employment; (4) the executive being prohibited from participating the affairs of the Company or its affiliates by and order of the FDIC; (5) the executive’s willful and repeated failure to perform their duties; (6) the executive engaging in unsafe or unsound banking practices; or (7) any other material breach of the agreement or of any code or policy of the Company by the executive. Events giving rise to a “good reason” under these agreements include (1) a material (10% or greater) reduction in the executive’s base salary; (2) a material reduction in the executive’s title; (3) a material change in the geographic location of the executive’s principal work location; or (4) a material breach of the agreement by the Company. The executive must give notice of the good reason event within 90 days of becoming aware of it, after which the Company will have 30 days to remedy the condition. If the Company does not remedy the condition, the executive must terminate their employment within 90 days of the cure period to receive any payments associated with a termination for good reason.
Each of Mr. Hull’s, Mr. Chandhok’s and Ms. Kuhl’s agreements include language modifying the benefits due in the event the payments would be “excess parachute payments” under Section 280G of the Internal Revenue Code. If this were to occur, the executive’s payments and benefits under the agreement will be reduced by the minimum amount necessary to result in no portion of the payments and benefits being non-deductible to the Company and subject to the excise taxes imposed under the Internal Revenue Code for parachute payments.
Each of these agreements includes restrictive covenants concerning non-competition for a period of six months following the termination of the executive’s employment, and concerning non-solicitation, of customers and of employees, for a period of one year following the termination of the executive’s employment.
The table below summarizes the estimated payments due to the NEOs under the short-term incentive plan, the long-term incentive plan, and the applicable Executive Agreement described above in the event of the NEO’s termination of the employment. The amounts shown assume that such termination was effective as of December 31, 2023, and, thus, include amounts earned through such time and are estimates of the amounts which would be paid out to the executives upon their termination. The actual amounts to be paid out can only be determined at the time of such executive’s separation from us.
Executive Benefits and Payments
upon Termination
|
Voluntary Termination (w/o Good Reason and no CIC) ($)
|
Termination by Employee with Good Reason (No CIC) ($)
|
Involuntary Termination Not for Cause (No CIC) ($)
|
Retirement ($)
|
Death ($)
|
Disability ($)
|
Change of Control Involuntary or Good Reason Termination(2) ($)
|
|
| Gary Small | |||||||
|
Cash Payments (1) Vesting of equity awards |
-- -- |
2,211,660 826,033 |
2,211,660 826,033 |
312,000 400,210 |
468,000 1,070,072 |
339,660 1,070,072 |
3,138,300 914,478 |
| Paul Nungester | |||||||
|
Cash Payments (1) Vesting of equity awards |
-- -- |
601,771 54,014 |
601,771 252,864 |
108,669 252,864 |
108,669 437,395 |
108,669 437,395 |
1,626,537 356,968 |
| Rick Hull | |||||||
| Cash Payments (1) | -- | -- | 762,191 | 87,559 | 115,219 | 115,219 | 829,031 |
| Vesting of equity awards | -- | 27,695 | 106,780 | 106,780 | 158,901 | 158,901 | 125,824 |
| Varun Chandhok | |||||||
|
Cash Payments (1) Vesting of equity awards |
-- -- |
-- 48,241 |
559,310 208,919 |
82,107 208,919 |
113,474 297,810 |
113,474 297,810 |
776,228 241,097 |
| Shannon Kuhl | |||||||
|
Cash Payments (1) Vesting of equity awards |
-- -- |
-- 31,012 |
367,883 214,834 |
66,659 214,834 |
66,659 271,978 |
66,659 271,978 |
512,495 235,520 |
| (1) | Cash payments include any amounts payable as short-term incentive compensation, severance payments due under an Executive Agreement, the COBRA Amount, and other payments made with respect to the continuation of medical benefits. |
| (2) | Mr. Chandhok’s PSU awards (with a value of $180,944) and RSAs (with a value of $36,005) will vest in connection with a change in control in the event of either an involuntary termination without cause or a termination by Mr. Chandhok for Good Reason. Mr. Chandhok’s RSUs (with a value of $24,149) will only vest in connection with a change in control in the event of an involuntary termination without cause. Amounts reflected for other NEOs reflect vesting in connection with a change in control in the event of either an involuntary termination without cause or a termination by the NEO for Good Reason. |
CEO PAY RATIO
We are required to disclose the median of the total compensation of the Company’s employees, excluding the Company’s CEO, for the last completed fiscal year, the annual total compensation of the Company’s CEO for the last completed fiscal year, and the ratio between the foregoing compensation amounts. We identified the median employee by examining the 2023 total federal taxable compensation through December 31, 2023 for all individuals, excluding our CEO, who were employed by us on November 20, 2023 (whether employed on a full-time, part-time, or seasonal basis). For such employees, we did not make any assumptions, adjustments, or estimates with respect to total federal taxable compensation, and we did not annualize the compensation for any full-time employees that were not employed by us for all of 2023. After identifying the median employee, we calculated annual total compensation for such employee using the same methodology we use for our NEOs as set forth in the Summary Compensation Table on page 44 of this Proxy Statement.
For fiscal year 2023, the median annual total compensation for all employees (excluding the CEO) was $45,777, and the annual total compensation of our CEO was $1,194,800, resulting in a ratio of 1: 26.10.
PAY VERSUS PERFORMANCE DISCLOSURE
In accordance with rules adopted by the Securities and Exchange Commission (“SEC”) pursuant to the Dodd-Frank Wall Street Reform and Consumer Protection Act of 2010, we provide the following disclosure regarding executive “compensation actually paid” (“CAP”) and certain Company performance for the fiscal years listed below. You should refer to our Compensation Discussion & Analysis (“CD&A”) for a complete description of how executive compensation relates to Company performance and how the Compensation Committee makes its decisions.
| Year-end value of $100 invested on 12/31/2019 in: | ||||||||||
| Year | Summary Compensation Table Total for Gary M. Small(1) $ | Summary Compensation Table Total for Donald P. Hileman(2) $ | Compensation Actually Paid to Gary M. Small(3) $ | Compensation Actually Paid to Donald P. Hileman (3) $ | Average Summary Compensation Table Total for Non-CEO NEOs (4) $ | Average Compensation Actually Paid to Non-CEO NEOs (3),(4) $ | PFC(5) $ | KBW Nasdaq Bank Index(5) $ | Net Income (in millions) $ | Core Return on Assets(6) % |
| 2023 | ||||||||||
| 2022 | ||||||||||
| 2021 | ||||||||||
| 2020 | ||||||||||
| (1) |
| (2) |
| (3) | Deductions from, and additions to, total compensation in the Summary Compensation Table for 2023 to calculate Compensation Actually Paid include: |
| 2023 | ||
| Gary Small $ | Average Non-CEO NEOs $ | |
| Total Compensation from Summary Compensation Table | ||
| Adjustments for Equity Awards | ||
| Adjustment for grant date values in the Summary Compensation Table | ( | ( |
| Year-end fair value of unvested awards granted in the current year | ||
| Year-over-year difference of year-end fair values for unvested awards granted in prior years | ( | ( |
| Difference in fair values between prior year-end fair values and vest date fair values for awards granted in prior years | ( | ( |
| Forfeitures during current year equal to prior year-end fair value | ||
| Cash dividends paid on restricted stock awards | ||
| Total Adjustments for Equity Awards | ( | ( |
| Compensation Actually Paid (as calculated) | ||
| (4) | Non-CEO NEOs reflect the average Summary Compensation Table total compensation and average Compensation Actually Paid for the following executives by year: |
|
2023: Paul D. Nungester, Rick L. Hull, Varun Chandhok, Shannon M. Kuhl |
||
|
2022: Donald P. Hileman, Paul D. Nungester, Tina M. Shaver, Varun Chandhok, Matthew T. Garrity |
||
| 2021: Donald P. Hileman, Paul D. Nungester, Varun Chandhok, Matthew T. Garrity, Jason L. Gendics, Vince J. Liuzzi | ||
|
2020: Gary M. Small, Paul D. Nungester, Matthew T. Garrity, Vince J. Liuzzi, Jude J. Nohra |
| (5) | TSR is determined based on the value of an initial fixed investment of $100, and the reinvestment of all dividends are assumed. The TSR peer group consists of the KBW Nasdaq Bank Index. |
| (6) |
Tabular List of Financial Performance Measures
In our assessment, the most important financial performance measures used to link CAP (as calculated in accordance with the SEC rules), to our NEOs in 2023 to our performance were:
| ● | |
| ● | |
| ● | |
| ● |
| ● | |
| ● |
Pay Versus Performance: Graphical Description
The illustrations below provide a graphical description of CAP (as calculated in accordance with the SEC rules) and the following measures:
| ● | the Company’s cumulative TSR and the Peer Group’s cumulative TSR; |
| ● | the Company’s Net Income; and |
| ● | the Company Selected Measure, which for Premier Financial is Return on Assets. |
CAP and Cumulative TSR / Cumulative TSR of the Peer Group

CAP and Company Net Income

CAP and Company Core Return on Assets

BENEFICIAL OWNERSHIP
Security Ownership of Certain Beneficial Owners
The following table sets forth information about the only persons known to the Company to own beneficially more than 5% of our outstanding common shares, as of December 31, 2023:
| Amount and Nature of Beneficial Ownership | ||
| Name and Address of Beneficial Owner | Shares
Beneficially Owned |
Percent of Class Outstanding |
|
BlackRock, Inc. 55 East 52nd Street New York, New York 10055 |
4,544,175 (1) | 12.7% (1) |
|
Dimensional Fund Advisors LP Building One, 6300 Bee Cave Road Austin, Texas 78746 |
2,254,801 (2) | 6.3% (2) |
|
The Vanguard Group 100 Vanguard Blvd. Malvern, PA 19355 |
1,973,151 (3) | 5.52% (3) |
|
(1) As of December 31, 2023, and based on a Schedule 13G/A filed with
the SEC on January 23, 2024, BlackRock, Inc. possesses sole voting power over4,257,233 shares and sole dispositive power over 4,544,175 shares. (2) As of December 29, 2023, and based on a Schedule 13G/A filed with the SEC on February 9, 2024, Dimensional Fund Advisors LP (“Dimensional”), an investment advisor registered under Section 203 of the Investment Advisors Act of 1940, possesses sole voting power over 2,213,203 shares and sole dispositive power over 2,254,801shares. All shares reported are owned by the funds for which Dimensional serves as investment advisor, and Dimensional disclaims beneficial ownership of such securities. (3) As of December 29, 2023, and based on a Schedule 13G/A filed with
the SEC on February 13, 2024, The Vanguard Group possesses shared voting power over 47,120 shares, sole dispositive power over 1,894,742 shares and shared dispositive power over 78,409 shares. |
||
Beneficial Ownership of Management
The following table includes, as of March 1, 2024, certain information as to the PFC shares beneficially owned by (1) each director and nominee and (2) all of our directors and executive officers as a group.
|
Amount and Nature of Beneficial Ownership
|
||
| Name of Beneficial Owner (1) | Shares
Beneficially Owned (2) |
Percent of Class Outstanding (3) |
| Marty E. Adams | 79,939 | - |
| Zahid Afzal (4) | 51,091 | - |
| Louis Altman (5) | 48,076 | - |
| Terri Bettinger | 8,889 | - |
| John L. Bookmyer (6) | 57,019 | - |
| Lee Burdman (7) | 72,130 | - |
| Varun Chandhok (8) | 14,339 | - |
| Donald P. Hileman | 94,998 | - |
| Jean A. Hubbard | 18,766 | - |
| Rick L. Hull | 21,659 | - |
| Shannon M. Kuhl | 5,937 | - |
| Nikki R. Lanier | 3,234 | - |
| Charles D. Niehaus | 21,824 | - |
| Paul D. Nungester | 43,211 | - |
| Mark Robison | 15,154 | - |
| Richard J. Schiraldi | 45,174 | - |
| Gary M. Small (9) | 93,932 | - |
| Samuel S. Strausbaugh | 22,334 | - |
|
All current directors and executive officers as a group (25 persons)
|
795,648 | 2.22% |
|
(1) Each of the directors and executive officers may be contacted at the address of Premier. (2) Share numbers shown are rounded to the nearest whole number. The beneficial owner has sole voting and investment power over the shares unless otherwise noted. (3) Based on 35,831,804 shares of common stock outstanding and unexercised options as of March 1, 2024. If no percent is provided in this column, the number of shares is less than 1% of the total outstanding Premier shares. (4) Includes 28,108 shares owned by the living trust of Mr. Afzal’s spouse. (5) Includes 965 shares held in an irrevocable trust of Mr. Altman; and 25,155 owned by the living trust of Mr. Altman’s spouse, 18,723 shares held in the Altman Family Trust, and 143 shares owned by the Ruth Altman Trust over which Mr. Altman has shared voting and investment power. (6) Includes 53,487 shares jointly owned with Mr. Bookmyer’s spouse with whom he shares voting and investment power. (7) Includes 6,526 shares owned by Mr. Burdman’s spouse; and 6,483 shares owned by Purple Burd Limited Partnership, 16,207 shares owned by KB Kidz Limited Partnership, and 1,238 shares owned by the Marsh Burdman Family Trust, over which Mr. Burdman has shared voting and investment power. (8) Includes 1,002 shares for which Mr. Chandhok has the right to acquire ownership within 60 days in connection with the vesting of restricted stock units. (9) Includes 18,575 shares issuable pursuant to currently exercisable
stock options. |
||
Delinquent Section 16(A)Reports
Section 16(a) of the Exchange Act requires our executive officers and directors, and persons who own more than ten percent of our shares, to file reports of ownership and changes in ownership on Forms 3, 4 and 5 with the SEC and to provide us with a copy of such form. Based on our review of the copies of such forms we received, we believe that our executive officers and directors complied with all Section 16 filing requirements applicable to them with respect to transactions during the fiscal year ended December 31, 2023, except that each of Mark A. Robison, Terri A. Bettinger, Charles D. Niehaus, and Tina Shaver2 filed one late Form 4 reporting one transaction.
2
Ms. Shaver’s Section 16 reports are filed under the name Tina Nutter.
PROPOSAL 3 - Ratification of the Appointment of Crowe LLP as Our Independent Registered Public Accounting Firm for 2024
The Audit Committee has selected Crowe LLP as our independent registered public accounting firm for the fiscal year ending December 31, 2024. The Board is requesting that our shareholders ratify this selection. If our shareholders do not ratify the selection of Crowe, the Audit Committee may reconsider its selection. The Audit Committee expects that a representative from Crowe will be present at the Annual Meeting, will have an opportunity to make a statement if he or she desires, and will be available to respond to appropriate questions from shareholders.
YOUR BOARD RECOMMENDS THAT YOU VOTE FOR RATIFICATION OF CROWE.
INDEPENDENT REGISTERED PUBLIC ACCOUNTING FIRM
Crowe was our independent registered public accounting firm for the fiscal years ended December 31, 2023, 2022 and 2021, and has reported on our consolidated financial statements for each of these years.
Audit Fees
The following table sets forth the aggregate fees that we paid to Crowe for audit and non-audit services in 2023 and 2022. The table lists audit fees, audit related fees, tax fees and all other fees.
| Services Rendered | 2023 ($) | 2022 ($) | |
| Audit Fees | 813,270 | 747,500 | |
| Audit-Related Fees | 45,850 | 48,884 | |
| Tax Fees | 108,275 | 118,135 | |
| All Other Fees | 4,093 | 3,954 | |
| Total Fees Paid | 971,488 | 918,473 | |
Audit-related fees relate to services for employee benefit plan audits and the audits of the captive insurance company. Tax fees consist of fees related to the preparation of tax returns, services relating to the insurance agency disposition, and consulting services relating to the company’s prepared tax model and low income housing tax credits. All other fees consist of an accounting research tool subscription.
AUDIT COMMITTEE REPORT
The Audit Committee is comprised of five directors, all of whom are considered “independent” under Nasdaq listing rules.
The Audit Committee oversees Premier’s financial reporting process on behalf of the Board. Management has the primary responsibility for the financial statements and the reporting process including the systems of internal control. In fulfilling its oversight responsibilities, the Committee reviewed with management the audited financial statements in the Annual Report on Form 10-K, including a discussion of the quality, not just the acceptability, of the accounting principles, the reasonableness of significant judgments, and the clarity of disclosures in the financial statements. The Committee also reviews the effectiveness of Premier’s system of internal controls, including a review of the process used by management to evaluate the effectiveness of the system of internal control.
The Committee reviewed with Crowe its judgment as to the quality, not just the acceptability, of the Company’s accounting principles and such other matters as are required to be discussed under their professional standards. The Committee received the written disclosures and the letter from Crowe required by applicable requirements of the Public Company Accounting Oversight Board regarding Crowe’s communications with the Committee concerning independence. In addition, the Committee discussed with Crowe its independence from management and the Company, including the matters required to be discussed by Auditing Standard No. 1301, and considered the compatibility of non-audit services with the auditors’ independence. The Committee also pre-approved all professional services provided to the Company by the independent registered public accounting firm.
The Committee discussed with the Company’s internal auditor and independent registered public accounting firm the overall scope and plans for their respective audits. The Committee meets with the internal auditor and independent registered public accounting firm, with and without management present, to discuss the results of their examinations, their evaluations of the Company’s internal controls, and the overall quality of the Company’s financial reporting. The Committee held six meetings during 2023.
In reliance on the reviews and discussions referred to above, the Committee recommended to the Board (and the Board has approved) that the audited financial statements be included in the Annual Report on Form 10-K for the year ended December 31, 2023, for filing with the SEC. The Committee and the Board have also approved the selection of Crowe LLP as the Company’s independent registered public accounting firm for the year ending December 31, 2024.
Samuel S. Strausbaugh, Chair
Louis M. Altman
John L. Bookmyer
Mark A. Robison
Richard J. Schiraldi
February 28, 2024
OTHER MATTERS
HOUSEHOLDING
Our policy is to send a single annual report and proxy statement to multiple shareholders of record that share the same address, unless we receive instructions to the contrary. However, each shareholder of record will continue to receive a separate proxy card. This practice, known as “householding,” is designed to reduce our printing and postage costs. If you wish to receive a separate annual report and proxy statement, you may request it by writing to us at Premier Financial Corp., Shannon M. Kuhl, Corporate Secretary, 275 W. Federal Street, Youngstown, Ohio 44503. If you wish to discontinue householding entirely, you may contact Broadridge Financial Solutions, Inc., at 1-800-542-1061 or in writing at Broadridge, Householding Department, 51 Mercedes Way, Edgewood, New York 11717.
If you receive multiple copies of the annual report and proxy statement, you may request householding by contacting Broadridge Financial Solutions as noted above. If your shares are held in street name through a bank, broker or other holder of record, you may request householding by contacting that bank, broker or other holder of record.
SHAREHOLDER PROPOSALS
Any proposal which a shareholder wishes to have included in the proxy solicitation materials to be used in connection with the next annual meeting of shareholders of Premier must be received by the Corporate Secretary of Premier no later than November 20, 2024. If such proposal is in compliance with all of the requirements of Rule 14a-8 under the Exchange Act, it will be included in the proxy statement and set forth on the form of proxy issued for the next annual meeting of shareholders.
If a shareholder intends to present a proposal at the 2025 Annual Meeting of Shareholders of Premier without including the proposal in the proxy solicitation materials relating to that meeting, and does not notify the Corporate Secretary of Premier by March 1, 2025, or if Premier meets other requirements of applicable SEC rules, then the proxy holders designated by the Board for the 2025 annual meeting may vote the proxies in their discretion on any the proposal if it is raised at the 2025 meeting.
If a shareholder intends to solicit his or her own proxies in support of such shareholder’s director nominees, the deadlines for providing notice to the Company regarding such solicitation and other procedures set forth in Rule 14a-19 under the Exchange Act must be followed.
ANNUAL REPORTS AND FINANCIAL STATEMENTS
Our shareholders as of the Voting Record Date are being provided with a copy of our Annual Report to Shareholders and Form 10-K for the year ended December 31, 2023 (“Annual Report”). Included in the Annual Report are the consolidated financial statements of Premier as of December 31, 2023, and for each of the years in the three-year period ended December 31, 2023, prepared in accordance with generally accepted accounting principles, and the related reports of our independent registered public accounting firm. The Annual Report is not a part of this Proxy Statement.
64