Please wait
EXECUTION VERSION AMENDMENT NO. 12 TO SIXTH AMENDED AND RESTATED CREDIT AND SECURITY AGREEMENT This Amendment No. 12 to Sixth Amended and Restated Credit and Security Agreement (this “Amendment”), effective as of November 20, 2025 (the “Effective Date”), is entered into by and among: (1) QUEST DIAGNOSTICS RECEIVABLES INC., a Delaware corporation (together with its successors and permitted assigns, the “Borrower”), (2) QUEST DIAGNOSTICS INCORPORATED, a Delaware corporation, as initial servicer (in such capacity, together with any successor servicer or sub-servicer, the “Servicer”), (3) PNC BANK, NATIONAL ASSOCIATION, in its individual capacity as a Lender (together with its successors, “PNC” or the “PNC Group”), (4) GOTHAM FUNDING CORPORATION, a Delaware corporation (together with its successors, “Gotham”), and MUFG BANK, LTD., in its capacity as a Liquidity Bank to Gotham (together with its successors, “MUFG” and, together with Gotham, the “Gotham Group”), (5) ATLANTIC ASSET SECURITIZATION LLC, a Delaware limited liability company (together with its successors, “Atlantic”), and CRÉDIT AGRICOLE CORPORATE AND INVESTMENT BANK, in its capacity as a Liquidity Bank to Atlantic (together with its successors, “CACIB” and, together with Atlantic, the “Atlantic Group”), (6) PNC BANK, NATIONAL ASSOCIATION, in its capacity as agent for the PNC Group (together with its successors in such capacity, a “Co-Agent”), CRÉDIT AGRICOLE CORPORATE AND INVESTMENT BANK, in its capacity as agent for the Atlantic Group (together with its successors in such capacity, a “Co-Agent”), and MUFG BANK, LTD., in its capacity as agent for the Gotham Group (together with its successors in such capacity, a “Co-Agent”), (7) PNC BANK, NATIONAL ASSOCIATION, in its capacity as Letter of Credit issuer (together with its successors in such capacity, the “LC Issuer”), (8) PNC CAPITAL MARKETS LLC (“PNCCM”), in its capacity as structuring agent for this Amendment (in such capacity, the “Structuring Agent”), and (9) PNC BANK, NATIONAL ASSOCIATION, as successor administrative agent for the Atlantic Group, the PNC Group, the Gotham Group, and the Co-Agents (in such capacity, together with any successors thereto in such capacity, the “Administrative Agent” and together with each of the Co-Agents, the “Agents”). RECITALS: The Borrower, the Servicer, the Lenders, the LC Issuer and the Agents are parties to that certain Sixth Amended and Restated Credit and Security Agreement, dated as of October 27, 2017 (as amended, restated or otherwise modified from Quest Amendment No. 12 to 6th A&R CSA 283857707.v4 Exhibit 99.16


 
time to time, the “Credit and Security Agreement”; capitalized terms used and not otherwise defined herein are used with the meanings attributed thereto in the Credit and Security Agreement). NOW, THEREFORE, in consideration of the premises, and for other good and valuable consideration, the receipt and sufficiency of which are hereby acknowledged, the parties agree as follows: SECTION 1. Amendments to the Credit and Security Agreement. Subject to the satisfaction of the conditions set forth in Section 3 below, as of the Effective Date, the Credit and Security Agreement is amended in accordance with Exhibit A (Redline) hereto: (a) by deleting all language which appears in strikethrough text on Exhibit A (Redline) and (b) by inserting all language which appears in double- underlined text on Exhibit A (Redline). For the avoidance of doubt, notwithstanding anything to the contrary contained in any prior amendment or amendments to the Credit and Security Agreement, the Credit and Security Agreement set forth in Exhibit A (Redline) hereto and Exhibit B (Clean) hereto reflect the current agreement of the parties hereto as to all of the terms and provisions of the Credit and Security Agreement as of the Effective Date. SECTION 2. Conditions to Effectiveness. This Amendment shall become effective as of the Effective Date provided that each of the following conditions precedent is satisfied: (a) The Administrative Agent shall have received counterparts of this Amendment (whether by electronic mail or otherwise) duly executed by each of the parties hereto; (b) The Administrative Agent shall have received counterparts of the Fee Letter of even date herewith (whether by electronic mail or otherwise) duly executed by each of the parties thereto, and each of the parties thereto entitled to receive any fees thereunder on the Effective Date shall have received payment in full thereof in immediately available funds; and (c) Each of the representations and warranties set forth in Section 3 of this Amendment is true and correct as of the Effective Date. SECTION 3. Representations and Warranties. The Borrower hereby represents and warrants to the Agents and the Lenders as of the Effective Date as follows: (a) Representations and Warranties. The representations and warranties contained in Article VI of the Credit and Security Agreement are true and correct as of the Effective Date (unless stated to relate solely to an earlier date, in which case such representations or warranties were true and correct as of such earlier date). (b) Enforceability. The execution and delivery by each of the Borrower and the Servicer of this Amendment, and the performance of each of its obligations under this Amendment and the Credit and Security Agreement, as amended hereby, are within each of its organizational powers and have been duly authorized by all necessary action on each of its parts. This Amendment and the Credit and Security 2 Quest Amendment No. 12 to 6th A&R CSA


 
Agreement, as amended hereby, are each of the Borrower’s and the Servicer’s valid and legally binding obligations, enforceable in accordance with its terms. (c) No Default. Immediately after giving effect to this Amendment and the transactions contemplated hereby, no Event of Default or Unmatured Default exists or shall exist. SECTION 4. Legal Fees and Disbursements. The Borrower hereby acknowledges and agrees that this Amendment constitutes a Transaction Document and that the provisions of Section 14.5(a) of the Credit and Security Agreement apply hereto. SECTION 5. Governing Law. This Amendment shall be governed by, and construed in accordance with, the internal laws of the State of New York without regard to any otherwise applicable conflicts of law principles (other than Sections 5-1401 and 5-1402 of the New York General Obligations Law which shall apply hereto). SECTION 6. Effect of Amendment; Ratification. Except as specifically amended hereby, the Credit and Security Agreement is hereby ratified and confirmed in all respects, and all of its provisions shall remain in full force and effect. After this Amendment becomes effective, all references in the Credit and Security Agreement (or in any other Transaction Document) to “the Credit and Security Agreement,” “this Agreement,” “hereof,” “herein,” or words of similar effect, in each case referring to the Credit and Security Agreement, shall be deemed to be references to the Credit and Security Agreement as amended hereby. This Amendment shall not be deemed to expressly or impliedly waive, amend, or supplement any provision of the Credit and Security Agreement other than as specifically set forth herein. The Borrower, the Servicer, the PNC Group, the Gotham Group, the Atlantic Group, and the Agents shall treat this Amendment as not resulting in a significant modification of the Loans for U.S. federal, state, and local income tax purposes. SECTION 7. Counterparts. This Amendment may be executed in any number of counterparts and by different parties on separate counterparts, and each counterpart shall be deemed to be an original, and all such counterparts shall together constitute but one and the same instrument. To the fullest extent permitted by applicable law, delivery of an executed counterpart of a signature page of this Amendment by telefacsimile or electronic image scan transmission (such as a “pdf” file) will be effective to the same extent as delivery of a manually executed original counterpart of this Amendment. SECTION 8. Section Headings. The various headings of this Amendment are inserted for convenience only and shall not affect the meaning or interpretation of this Amendment or the Credit and Security Agreement or any provision hereof or thereof. SECTION 9. Successors and Assigns. This Amendment shall be binding upon and shall inure to the benefit of the parties hereto and their respective successors and assigns. SECTION 10. Severability. If any one or more of the provisions or terms of this Amendment shall for any reason whatsoever be held invalid or unenforceable, then such agreements, provisions or terms shall be deemed severable from the remaining agreements, provisions and terms of this Amendment and 3 Quest Amendment No. 12 to 6th A&R CSA


 
shall in no way affect the validity or enforceability of the provisions of this Amendment or the Credit and Security Agreement. <Balance of page intentionally left blank> 4 Quest Amendment No. 12 to 6th A&R CSA


 


 


 


 


 
9 Quest Amendment No. 12 to 6th A&R CSA GOTHAM FUNDING CORPORATION, as a Conduit By: ___________________________________________ Name: Title:


 


 


 
CONFORMEDEXHIBIT A TO REFLECT AMENDMENT NOSNO. 1-1112 SIXTH AMENDED AND RESTATED CREDIT AND SECURITY AGREEMENT DATED AS OF OCTOBER 27, 2017 (AS AMENDED BY THAT CERTAIN AMENDMENT NO. 1 TO SIXTH AMENDED AND RESTATED CREDIT AND SECURITY AGREEMENT, DATED AS OF OCTOBER 26, 2018, THAT CERTAIN AMENDMENT NO. 2 TO SIXTH AMENDED AND RESTATED CREDIT AND SECURITY AGREEMENT, DATED AS OF JUNE 14, 2019, THAT CERTAIN AMENDMENT NO. 3 TO SIXTH AMENDED AND RESTATED CREDIT AND SECURITY AGREEMENT, DATED AS OF OCTOBER 25, 2019, THAT CERTAIN AMENDMENT NO. 4 TO SIXTH AMENDED AND RESTATED CREDIT AND SECURITY AGREEMENT, DATED AS OF OCTOBER 22, 2020, AMENDMENT NO. 5 DATED AS OF AUGUST 13, 2021, AMENDMENT NO. 6 DATED AS OF OCTOBER 21, 2021, AMENDMENT NO. 7 DATED AS OF OCTOBER 20, 2022, AMENDMENT NO. 8 DATED AS OF OCTOBER 19, 2023, AMENDMENT NO. 9 DATED AS OF AUGUST 8, 2024 AND, AMENDMENT NO. 10 DATED AS OF NOVEMBER 20, 2024, AND AMENDMENT NO. 11 DATED AS OF APRIL 30, 2025) AMONG QUEST DIAGNOSTICS RECEIVABLES INC., AS BORROWER, QUEST DIAGNOSTICS INCORPORATED, AS INITIAL SERVICER, GOTHAM FUNDING CORPORATION, ATLANTIC ASSET SECURITIZATION LLC, CRÉDIT AGRICOLE CORPORATE AND INVESTMENT BANK, INDIVIDUALLY AND AS ATLANTIC GROUP AGENT, MUFG BANK, LTD., INDIVIDUALLY AND AS GOTHAM AGENT PNC BANK, NATIONAL ASSOCIATION, INDIVIDUALLY, AS PNC GROUP AGENT, AS LC ISSUER AND AS ADMINISTRATIVE AGENT AND PNC CAPITAL MARKETS LLC, AS STRUCTURING AGENT


 
TABLE OF CONTENTS Page ARTICLE I. THE CREDIT Section 1.1 The Facility 2 Section 1.2 Funding Mechanics; Liquidity Fundings 4 Section 1.3 Interest 5 Section 1.4 Repayment of the Advances 6 Section 1.5 Voluntary and Mandatory Prepayments 6 Section 1.6 Reductions in Commitments 7 Section 1.7 Distribution of Certain Notices; Notification of Interest Rates 8 Section 1.8 Absence of Notes 8 Section 1.9 Acknowledgement and Consent to Bail-In of EEA Financial Institutions 8 Section 1.10 Rates 9 ARTICLE II. BORROWING, LETTER OF CREDIT AND PAYMENT MECHANICS; CERTAIN COMPUTATIONS Section 2.1 Method of Borrowing 9 Section 2.2 Selection of CP Tranche Periods and Interest Periods 10 Section 2.3 Computation of Concentration Limits and Unpaid Net Balance 11 Section 2.4 Maximum Interest Rate 11 Section 2.5 Payments and Computations, Etc 11 Section 2.6 Non-Receipt of Funds by the Co-Agents 14 Section 2.7 Letters of Credit 14 Section 2.8 Disbursements, Reimbursements and LC Advances 16 Section 2.9 Additional Letter of Credit Provisions; LC Collateral Account 17 Section 2.10 Documentation and LC Processing Fees 17 Section 2.11 Determination to Honor Drawing Request 18 Section 2.12 Nature of Participation and LC Reimbursement Obligations 18 Section 2.13 Liability for Acts and Omissions 19 Section 2.14 Intended Tax Treatment 21 ARTICLE III. SETTLEMENTS Section 3.1 Reporting 21 Section 3.2 Turnover of Collections; Pre-Termination Waterfall 21 Section 3.3 Non-Distribution of Servicer’s Fee 23 Section 3.4 Deemed Collections 23 Section 3.5 Release of Excess Cash Collateral 24


 
ARTICLE IV. FEES AND YIELD PROTECTION Section 4.1 Fees 24 Section 4.2 Yield Protection 24 Section 4.3 Funding Losses 26 Section 4.4 Inability to Determine Rates 2726 Section 4.5 Illegality 27 Section 4.6 Benchmark Setting 28 ARTICLE V. CONDITIONS PRECEDENT Section 5.1 [Intentionally Deleted] 3029 Section 5.2 Conditions Precedent to All Credit Events 3029 ARTICLE VI. REPRESENTATIONS AND WARRANTIES Section 6.1 Representations and Warranties of Loan Parties 30 ARTICLE VII. GENERAL COVENANTS OF LOAN PARTIES Section 7.1 Affirmative Covenants of Loan Parties 37 Section 7.2 Reporting Requirements of Loan Parties 39 Section 7.3 Negative Covenants of Loan Parties 41 Section 7.4 Separate Existence of the Borrower 43 ARTICLE VIII. ADMINISTRATION AND COLLECTION Section 8.1 Designation of Servicer 45 Section 8.2 Duties of Servicer 46 Section 8.3 Rights of the Agents 47 Section 8.4 Responsibilities of Loan Parties 48 Section 8.5 Further Action Evidencing the Security Interest 48 Section 8.6 Application of Collections 49 ARTICLE IX. SECURITY INTEREST Section 9.1 Grant of Security Interest 49 Section 9.2 Termination after Final Payout Date 49 Section 9.3 Limitation on Rights to Collateral Proceeds 49 ii


 
ARTICLE X. EVENTS OF DEFAULT Section 10.1 Events of Default 5049 Section 10.2 Remedies 52 Section 10.3 Amortization Waterfall 52 ARTICLE XI. THE AGENTS Section 11.1 Appointment 53 Section 11.2 Delegation of Duties 54 Section 11.3 Exculpatory Provisions 54 Section 11.4 Reliance by Agents 54 Section 11.5 Notice of Events of Default 55 Section 11.6 Non-Reliance on Other Agents and Lenders 55 Section 11.7 Indemnification of Agents 5655 Section 11.8 Agents and LC Issuer in their Individual Capacities 56 Section 11.9 No Other Duties of Structuring Agent. . 56 Section 11.10 Conflict Waivers. 56 Section 11.11 UCC Filings 5756 Section 11.12 Erroneous Payments 57 ARTICLE XII. ASSIGNMENTS AND PARTICIPATIONS Section 12.1 Restrictions on Assignments, Etc 59 Section 12.2 Rights of Assignees and Participants 6160 Section 12.3 Terms and Evidence of Assignment 61 ARTICLE XIII. INDEMNIFICATION Section 13.1 Indemnities by the Borrower 61 Section 13.2 Indemnities by Servicer 64 Section 13.3 FATCA 64 ARTICLE XIV. MISCELLANEOUS Section 14.1 Amendments, Etc. 65 Section 14.2 Notices, Etc. 66 Section 14.3 No Waiver; Remedies 66 Section 14.4 Binding Effect; Survival 66 Section 14.5 Costs, Expenses and Stamp Taxes 66 Section 14.6 No Proceedings 67 Section 14.7 Confidentiality of Borrower Information 67 iii


 
Section 14.8 Confidentiality of Program Information 68 Section 14.9 Captions and Cross References 69 Section 14.10 Integration 69 Section 14.11 Governing Law 69 Section 14.12 Waiver Of Jury Trial 70 Section 14.13 Consent To Jurisdiction; Waiver Of Immunities 70 Section 14.14 Business Associate Agreement; Health Care Data Privacy and Security Requirements 70 Section 14.15 Execution in Counterparts 72 Section 14.16 No Recourse Against Other Parties 72 Section 14.17 PATRIOT Act 72 Section 14.18 Defaulting Lenders 73 ANNEXES, EXHIBITS AND SCHEDULES ANNEX A DEFINITIONS ANNEX B COMMITMENTS AND SHARES OF LC SUBLIMIT ANNEX C TRANCHED LOAN LENDERS EXHIBIT 1.2.2 FORM OF LC APPLICATION EXHIBIT 2.1 FORM OF BORROWING REQUEST Exhibit 2.5(g) FORM OF TAX CERTIFICATE Exhibit 2.8(a)-1 FORM OF DRAW NOTICE Exhibit 2.8(a)-2 FORM OF LC ADVANCE NOTICE EXHIBIT 3.1(a) FORM OF MONTHLY REPORT EXHIBIT 3.1(b) FORM OF WEEKLY REPORT SCHEDULE 6.1(n) FEDERAL TAXPAYER ID NUMBER, CHIEF EXECUTIVE OFFICE, PRINCIPAL PLACE(S) OF BUSINESS AND OTHER RECORDS LOCATION(S) iv


 
SIXTH AMENDED AND RESTATED CREDIT AND SECURITY AGREEMENT THIS SIXTH AMENDED AND RESTATED CREDIT AND SECURITY AGREEMENT is entered into as of October 27, 2017, by and among: (1) QUEST DIAGNOSTICS RECEIVABLES INC., a Delaware corporation (together with its successors and permitted assigns, the “Borrower”), (2) QUEST DIAGNOSTICS INCORPORATED, a Delaware corporation (together with its successors, “Quest Diagnostics”), as initial servicer hereunder (in such capacity, together with any successor servicer or sub-servicer appointed pursuant to Section 8.1, the “Servicer”), (3) PNC BANK, NATIONAL ASSOCIATION, in its individual capacity as a Lender (together with its successors, “PNC” or the “PNC Group”), (4) GOTHAM FUNDING CORPORATION, a Delaware corporation (together with its successors, “Gotham”), and MUFG BANK, LTD., in its capacity as a Liquidity Bank to Gotham (together with its successors, “MUFG” and, together with Gotham, the “Gotham Group”), (5) ATLANTIC ASSET SECURITIZATION LLC, a Delaware limited liability company (together with its successors, “Atlantic”), and CRÉDIT AGRICOLE CORPORATE AND INVESTMENT BANK, in its capacity as a Liquidity Bank to Atlantic (together with its successors, “CACIB” and, together with Atlantic, the “Atlantic Group”), (6) PNC BANK, NATIONAL ASSOCIATION, in its capacity as agent for the PNC Group (together with its successors in such capacity, the “PNC Group Agent” or a “Co-Agent”), CRÉDIT AGRICOLE CORPORATE AND INVESTMENT BANK, in its capacity as agent for the Atlantic Group (together with its successors in such capacity, the “Atlantic Group Agent” or a “Co-Agent”), and MUFG BANK, LTD., in its capacity as agent for the Gotham Group (together with its successors in such capacity, the “Gotham Agent” or a “Co-Agent”), (7) PNC BANK, NATIONAL ASSOCIATION, in its capacity as Letter of Credit issuer (together with its successors in such capacity, the “LC Issuer”), (8) PNC CAPITAL MARKETS LLC (“PNCCM”), in its capacity as structuring agent for this Amendment (in such capacity, the “Structuring Agent”), and (9) PNC BANK, NATIONAL ASSOCIATION, as successor administrative agent for the Atlantic Group, the PNC Group, the Gotham Group, the LC Issuer and the Co-Agents (in such capacity, together with any successors thereto in such capacity, the “Administrative Agent” and together with each of the Co-Agents, the “Agents”), and amends and restates in its entirety that certain Fifth Amended and Restated Credit and Security Agreement dated as of October 28, 2015 by and among the parties hereto (other than the LC Issuer), as amended from time to time prior to the date hereof (the “Existing Agreement”). Unless otherwise indicated, capitalized terms used in this Agreement are defined in Annex A.


 
W I T N E S S E T H : WHEREAS, the Borrower is a wholly-owned direct subsidiary of Quest Diagnostics; WHEREAS, Quest Diagnostics and certain of its Subsidiaries as Originators and the Borrower have entered into the Sale Agreement pursuant to which each of the Originators has sold and/or contributed, and hereafter will sell to the Borrower, Participation Interests in all of such Originator’s right title and interest in and to its Specified Government Receivables, all of such Originator’s right, title and interest in and to its Private Receivables and certain related rights; WHEREAS, pursuant to the Existing Agreement, the Groups committed to make Loans to the Borrower from time to time secured by the Collateral, and Quest Diagnostics agreed to act as Servicer; WHEREAS, in addition to the Loans, the Borrower may from time to time hereafter request the LC Issuer to issue Letters of Credit, and the LC Issuer has agreed, subject to the terms and conditions contained in this Agreement, to issue such Letters of Credit; and WHEREAS, the parties wish to amend and restate the Existing Agreement in its entirety, on the terms and subject to the conditions hereinafter set forth; NOW, THEREFORE, in consideration of the premises and the mutual agreements herein contained, the parties hereto agree as follows: ARTICLE I. THE CREDIT Section 1.1 The Facility. 1.1.1. Advances. On the terms and subject to the conditions set forth in this Agreement, the Borrower (or the Servicer, on the Borrower’s behalf) may from time to time prior to the Commitment Expiry Date request Advances by delivering a Borrowing Request to the Co-Agents in accordance with Section 2.1. Upon receipt of a copy of each Borrowing Request from the Borrower or Servicer, each applicable Co-Agent shall determine whether its Conduit will fund a Loan in an amount equal to the portion of the requested Advance specified in such Borrowing Request, and (a) PNC severally agrees to make a Loan to the Borrower in an amount equal to its Group’s Commitment Percentage of the requested Advance on the terms and subject to the conditions hereof, provided that at no time may the aggregate Principal amount of PNC’s Credit Exposure at any one time outstanding exceed the amount of PNC’s Commitment, and (ii) the PNC Group’s Commitment Percentage of the Borrowing Base (such lesser amount, the “PNC Allocation Limit”); (b) in the event that Gotham elects not to make a Loan to the Borrower in an amount equal to its Group’s Commitment Percentage of the requested Advance, the Gotham Agent shall promptly notify the Borrower and, unless the Borrower cancels its Borrowing Request, each of the Liquidity Banks in the Gotham Group severally agrees to make its Pro Rata Share of such Loan to the Borrower on the terms and subject to the conditions hereof, provided that at no time may the aggregate Principal amount of Gotham’s and its Liquidity Banks’ Credit Exposure at any one time outstanding exceed the


 
lesser of (i) the aggregate amount of the Gotham Liquidity Banks’ Commitments, and (ii) the Gotham Group’s Commitment Percentage of the Borrowing Base (such lesser amount, the “Gotham Allocation Limit”); and (c) in the event that Atlantic elects not to make a Loan to the Borrower in an amount equal to its Group’s Commitment Percentage of the requested Advance, the Atlantic Agent shall promptly notify the Borrower and, unless the Borrower cancels its Borrowing Request, each of the Liquidity Banks in the Atlantic Group severally agrees to make its Pro Rata Share of such Loan to the Borrower on the terms and subject to the conditions hereof, provided that at no time may the aggregate Principal amount of Atlantic’s and its Liquidity Banks’ Credit Exposure at any one time outstanding exceed the lesser of (i) the aggregate amount of the Atlantic Liquidity Banks’ Commitments, and (ii) the Atlantic Group’s Commitment Percentage of the Borrowing Base (such lesser amount, the “Atlantic Allocation Limit”); Each Loan (other than an LC Loan) shall be in the minimum amount of $1,000,000 or a larger integral multiple of $500,000. 1.1.2. Letters of Credit. On the terms and subject to the conditions set forth in this Agreement, the Borrower (or the Servicer, on the Borrower’s behalf) may from time to time prior to the Commitment Expiry Date request that the LC Issuer issue Letters of Credit for the account of the Borrower, and from time to time upon receipt of a duly executed and completed LC Application, the LC Issuer hereby agrees to issue Letters of Credit and to renew, extend, increase, decrease or otherwise modify each Letter of Credit (“Modify,” and each such action a “Modification”); provided that no Letter of Credit shall be issued or Modified by the LC Issuer if, after giving effect thereto, (a) the LC Obligations would exceed the LC Sublimit, or (b) the Aggregate Credit Exposure would exceed the lesser of (i) the Aggregate Commitment and (ii) the Borrowing Base; and provided, further, that each Letter of Credit issued pursuant to this Section 1.1.2 shall have a face amount of not less than $5,000. On any date of determination, the LC Obligations, whether still contingent or due and payable but unpaid, will constitute usage of the LC Sublimit and, accordingly, the Aggregate Commitment. 1.1.3. Aggregate Credit Exposure; Termination of Commitments; Uncommitted Accordion; Collateral. (a) In no event may the Aggregate Credit Exposure hereunder exceed the lesser of (i) the Aggregate Commitment, or (ii) the Borrowing Base. (b) Each Commitment shall terminate on the earlier to occur of (i) the Commitment Expiry Date and (ii) the Termination Date. (c) Not more than twice during the period from and after November 20, 20242025 and prior to the earlier to occur of the Commitment Expiry Date and the Termination Date, provided that no Event of Default or Unmatured Default exists and is continuing, the Borrower (or the Servicer, on the Borrower’s behalf) may request an increase in the Aggregate Commitment in an aggregate amount during such period not to exceed $200,000,000 across all Groups by delivering not less than three (3) weeks’ prior written notice to the Co-Agents specifying (i) the aggregate amount of the requested increase (the “Aggregate Requested Increase”), (ii) each Group’s Commitment Percentage of the Aggregate Requested Increase (each, a “Group’s


 
Requested Increase”), and (iii) each Committed Lender’s Pro Rata Share of its Group’s Requested Increase (each, a “Committed Lender’s Increase Amount”). Upon receipt of a written request complying with the preceding sentence, each of the Co-Agents will promptly deliver a copy of such request to the Committed Lender(s) in its Group, and each such Committed Lender will promptly seek credit approval to increase its Commitment in an amount equal to such Committed Lender’s Increase Amount; provided, however, that nothing herein shall be deemed to constitute a commitment by any Lender to provide, or to obtain credit approval to provide, all or any portion of the Aggregate Requested Increase. If any Co-Agent notifies the Loan Parties and the Administrative Agent that any Committed Lender in its Group has obtained credit approval to increase its Commitment by an amount equal to such Committed Lender’s Increase Amount, such Committed Lender’s Commitment and the Aggregate Commitment will automatically increase by such Committed Lender’s Increase Amount on the Business Day at least five (5) Business Days but in any event no more than three (3) weeks after delivery of the request for such increase (unless otherwise approved by the Co-Agents) and at least 30 days prior to the Scheduled Termination Date. In no event will any increase in the Aggregate Commitment pursuant to this Section 1.1.3(c) result in any change to the LC Sublimit. If any Committed Lender declines to agree to increase its Commitment by its Committed Lender’s Increase Amount: (i) the Borrower may ask the Committed Lenders in the other Groups if they would like to increase their respective Committed Lender’s Increase Amounts by all or any portion of the declined amount; or (ii) the Borrower, upon notice to and consent of the Administrative Agent and the LC Issuer (which consent shall not be unreasonably withheld or delayed), may add a new Group that consists of at least one new Committed Lender willing to provide the declining Committed Lender’s Group Requested Increase, and/or replace the declining Committed Lender’s Group in its entirety with a new Group that consists of at least one new Committed Lender willing to provide a replacement Commitment equal to the sum of the replaced Group’s existing Commitment plus its Group Requested Amount. Any change in the Commitments or Groups pursuant to clause (i) or (ii) above will become effective on the first day of the calendar month following confirmation by the Administrative Agent that all documentation necessary to evidence such changes has been executed and delivered. (d) Each of the Loans, the LC Obligations and all other Obligations of the Borrower shall be secured by the Collateral as provided in Article IX. Section 1.2 Funding Mechanics; Liquidity Fundings. (a) Each Advance hereunder shall consist of Loans made by (i) Gotham and/or its Liquidity Bank(s), (ii) Atlantic and/or its Liquidity Bank(s), and (iii) PNC, and (except for any Advance which does not increase Aggregate Principal) shall be made in such proportions by each Group such that, after giving effect thereto, the aggregate outstanding Principal balance of the Loans outstanding from each Group shall be in proportion to such Group’s Commitment Percentage. Any Advance which does not increase the aggregate Principal amount outstanding may be funded solely by one or more of the members of each Group.


 
(b) Each Lender funding any Loan (or portion thereof) shall wire transfer the Principal amount thereof to its applicable Co-Agent in immediately available funds not later than 12:00 noon (New York City time) on the applicable Borrowing Date and, subject to its receipt of such Loan proceeds, such Co-Agent shall wire transfer such funds (i) in the case of the proceeds of an LC Loan, to the account specified by the LC Issuer, and (ii) in the case of the proceeds of a Loan, to the account specified by the Borrower in its Borrowing Request, in each of the foregoing cases, not later than 2:00 p.m. (New York City time) on such Borrowing Date. (c) While it is the intent of each of the Conduits to fund its respective Loans through the issuance of Commercial Paper Notes, the parties acknowledge that if any Conduit is unable, or determines that it is undesirable, to issue Commercial Paper Notes to fund all or any portion of its Loans at a CP Rate, or is unable to repay such Commercial Paper Notes upon the maturity thereof, such Conduit may sell all or any portion of its Loans (or interests therein) to its Liquidity Banks at any time pursuant to its Liquidity Agreement to finance or refinance the necessary portion of its Loans through a Liquidity Funding to the extent available. The Liquidity Fundings may be Alternate Base Rate Loans or Term SOFR Loans, or a combination thereof, selected by the Borrower in accordance with Article II. In addition, the parties acknowledge that Commercial Paper Notes are issued at a discount and at varying discount rates; accordingly, it may not be possible for all CP Rate Loans to be made in amounts precisely equal to the amounts specified in a Borrowing Request. Regardless of whether a Liquidity Funding constitutes an assignment of a Loan or the sale of one or more participations therein, each Liquidity Bank participating in a Liquidity Funding shall have the rights of a “Lender” hereunder with the same force and effect as if it had directly made a Loan to the Borrower in the amount of its Liquidity Funding. (d) Nothing herein shall be deemed to commit any Lender to make CP Rate Loans. Section 1.3 Interest. (a) Prior to the occurrence of an Event of Default and during the continuance thereof, each Loan shall bear interest at the applicable Interest Rate, payable in arrears on each Settlement Date. Notwithstanding the foregoing, upon the occurrence of an Event of Default and during the continuance thereof, all Obligations shall bear Interest, payable upon demand, at the Default Rate; provided that no Interest at the Default Rate shall accrue or be payable to a Defaulting Lender so long as such Lender shall be a Defaulting Lender. (b) Each Term SOFR Loan shall bear Interest on the outstanding Principal amount thereof from and including the first day of the Interest Period applicable thereto selected in accordance with Article II of this Agreement to (but not including) the last day of such Interest Period at a rate per annum equal to the applicable Adjusted Term SOFR rate for such Interest Period. (c) Each CP Rate Loan shall bear Interest on the outstanding Principal amount thereof from and including the first day of the CP Tranche Period applicable thereto selected in accordance with Article II of this Agreement to (but not including) the last day of such CP Tranche Period at the applicable CP Rate. On the 5th Business Day immediately preceding each Settlement Date, each Pool Funded Conduit shall calculate the aggregate amount of CP Costs for the applicable Accrual Period and shall notify the Borrower of its aggregate amount of such CP Costs which shall be payable on such Settlement Date. At any time while Gotham is not acting as Pool Funded Conduit, on the 5th Business Day immediately preceding each Settlement Date, the Gotham Agent shall calculate Gotham’s CP Rate


 
and each shall notify Borrower of the aggregate amount of CP Costs which shall be payable on such Settlement Date. (d) Each Alternate Base Rate Loan and each Daily Term SOFR Loan, respectively, shall bear Interest on the outstanding Principal amount thereof, for each day from and including the date such Loan is made to but excluding the date it is paid at a rate per annum equal to the Alternate Base Rate or the applicable Daily Term SOFR rate, respectively, for such day. Changes in the rate of Interest on Alternate Base Rate Loans and Daily Term SOFR Loans will take effect simultaneously with each change in the Alternate Base Rate or the applicable Daily Term SOFR rate, respectively. (e) Interest shall be payable for the day a Loan is made but not for the day of any payment on the amount paid if payment is received prior to 1:00 p.m. (local time) at the place of payment. If any payment of Principal of or Interest on a Loan shall become due on a day which is not a Business Day, such payment shall be made on the next succeeding Business Day and, in the case of a Principal payment, such extension of time shall be included in computing Interest in connection with such payment. Section 1.4 Repayment of the Advances. (a) [Reserved]. (b) Unless the Termination Date has earlier occurred, on the Commitment Expiry Date, the Advances and LC Advances shall become due and will be payable on Settlement Dates to the extent of Collections received on the Commitment Expiry Date and each Business Day thereafter until paid in full, together with all accrued and unpaid Interest thereon. In addition to the foregoing, unless the Termination Date has earlier occurred, on the Commitment Expiry Date and on each Settlement Date thereafter, the LC Obligations shall be required to be Cash Collateralized to the extent of Collections received on the Commitment Expiry Date and each Business Day thereafter until paid or Cash Collateralized in full, together with all Expected LC Fees. (c) All payments and Cash Collateral Payments required under Section 1.4(b) shall be made on Settlement Dates occurring on or after the Commitment Expiry Date in the order of priority specified in Section 3.2(d). (d) The Borrower promises to pay the LC Obligations, together with all LC Fees, LC Processing Fees, LC Fronting Fees and, if applicable, Interest thereon, in accordance with the terms of the Fee Letter and Sections 2.8 and 2.10 of this Agreement. Section 1.5 Voluntary and Mandatory Prepayments. Subject, in the case of CP Rate Loans and Term SOFR Loans, to the funding indemnification provisions of Section 4.3: (a) The Borrower may from time to time voluntarily prepay, without penalty or premium, all outstanding Advances, or, in a minimum aggregate amount of $2,000,000 (or a larger integral multiple of $1,000,000), any portion of the outstanding Advances by giving prior written notice to the Co-Agents: (i) given within the Required Notice Period with respect to each Pool Funded Conduit’s Loans so prepaid, (ii) at any time while Gotham is not a Pool Funded Conduit, providing for such prepayment to occur on the last day of the CP Tranche Period with respect to Gotham’s CP Rate Loans so prepaid, and (iii) given at least one (1) U.S. Government Securities Business Day prior to the


 
proposed prepayment date, in the case of any Term SOFR Loan or Daily Term SOFR Loan (each, a “Prepayment Notice”); provided that each such prepayment of Principal is accompanied by a payment of all accrued and unpaid Interest on the amount prepaid, together with all amounts (if any) due under Section 4.3, and except as provided in Section 14.1(c) and in the definitions of “Approved Amendment” and “Termination Date,” is made among the Groups in such proportions so that after giving effect thereto, the aggregate outstanding Principal balance of the Loans outstanding from each Group shall be in proportion to the Groups’ respective Commitment Percentages. (b) If, on any Business Day, the aggregate outstanding Principal amount of the Credit Exposure of the PNC Group exceeds the PNC Group Allocation Limit, not later than 12:00 noon (New York City time) on the first Business Day thereafter, (i) the Borrower shall prepay the PNC Group’s Loans by wire transfer to the PNC Group Agent in an aggregate amount sufficient to eliminate such excess, together with accrued and unpaid Interest on the amount of Loans prepaid, and (ii) if there are insufficient Loans be so prepaid, the Borrower will Cash-Collateralize the LC Obligations by wire transfer to the LC Collateral Account in an aggregate amount sufficient to eliminate the remainder of such excess. (c) (i) If, on any Business Day, the aggregate outstanding Principal amount of the Credit Exposure of the Gotham Group exceeds the Gotham Allocation Limit, not later than 12:00 noon (New York City time) on the first Business Day thereafter, (i) the Borrower shall prepay the Gotham Group’s Loans by wire transfer to the Gotham Group Agent in an aggregate amount sufficient to eliminate such excess, together with accrued and unpaid Interest on the amount of Loans prepaid, and (ii) if there are insufficient Loans be so prepaid, the Borrower will Cash-Collateralize the LC Obligations by wire transfer to the LC Collateral Account in an aggregate amount sufficient to eliminate the remainder of such excess. (ii) If, on any Business Day, the aggregate outstanding Principal amount of the Credit Exposure of the Atlantic Group exceeds the Atlantic Allocation Limit, not later than 12:00 noon (New York City time) on the first Business Day thereafter, (i) the Borrower shall prepay the Atlantic Group’s Loans by wire transfer to the Atlantic Group Agent in an aggregate amount sufficient to eliminate such excess, together with accrued and unpaid Interest on the amount of Loans prepaid, and (ii) if there are insufficient Loans be so prepaid, the Borrower will Cash-Collateralize the LC Obligations by wire transfer to the LC Collateral Account in an aggregate amount sufficient to eliminate the remainder of such excess. (d) Upon receipt of any wire transfer pursuant to Section 1.5(a), (b) or (c), the applicable Co-Agent shall wire transfer to each of its Constituents their respective shares (if any) thereof not later than 1:00 p.m. (New York City time) on the date when received. Any prepayment or Loans made pursuant to Section 1.5(b) or (c) shall be applied first, to the ratable reduction of the applicable Group’s Alternate Base Rate Loans outstanding, second, to the ratable reduction of the applicable Group’s Term SOFR Loans and Daily Term SOFR Loans outstanding, and lastly, to the reduction of the applicable Group’s CP Rate Loans selected by the Borrower (or the Servicer, on the Borrower’s behalf). (e) If, on any Business Day, the aggregate of the LC Obligations exceeds the LC Sublimit or any LC Processing Fees are due and owing pursuant to Section 2.10 and are not paid when due (payable on the Settlement Date as invoiced by the LC Issuer pursuant to Section 3.1(c)), not later than 12:00 noon (New York City time) on the first Business Day thereafter, the Borrower shall


 
Cash-Collateralize the LC Obligations in the amount of such excess and/or LC Processing Fees, as the case may be, by wire transfer to the LC Collateral Account. (f) Unless each of the Co-Agents in its sole discretion shall otherwise agree, not more than three (3) Advances and/or prepayments pursuant to Section 1.5(a) may occur, in the aggregate, in any calendar week.


 
Section 1.6 Reductions in Commitments. Subject to the limitations set forth below, the Borrower may permanently reduce the aggregate Commitments, in whole, or ratably among the Groups, in part, in a minimum amount of $10,000,000 (or a larger integral multiple of $1,000,000), upon at least fifteen (15) Business Days’ written notice to the Co-Agents (each, a “Commitment Reduction Notice”), which notice shall specify the aggregate amount of any such reduction of the aggregate Commitments and the Committed Lenders’ respective Ratable Shares thereof. Notwithstanding the foregoing, no Commitment may be reduced below the aggregate outstanding Credit Exposure thereunder unless accompanied by a simultaneous prepayment of Principal or pledge and deposit of cash collateral into the LC Collateral Account in an aggregate amount equal to such excess Credit Exposure. In addition to and without limiting any other requirements for termination, prepayment and/or the funding of the LC Collateral Account hereunder, no termination of the Administrative Agent’s security interest in the Collateral shall be effective unless and until (x) the amount on deposit in the LC Collateral Account is at least equal to the then Outstanding Face Amount plus the Expected LC Fees, (y) the Aggregate Principal is reduced to zero and (z) all accrued and unpaid fees and all other amounts owed to the Agents, the LC Issuer or the Lenders under this Agreement and each of the other Transaction Documents have been paid or Cash Collateralized in full. Each Commitment Reduction Notice shall be irrevocable once delivered to the Co-Agents and, as applicable, the LC Issuer. Section 1.7 Distribution of Certain Notices; Notification of Interest Rates. Promptly after receipt thereof, (a) the LC Issuer will notify the each of the Co-Agents of the contents of each LC Application, and the PNC Group Agent will notify the PNC Group, the Atlantic Agent will notify the Atlantic Group and the Gotham Agent will notify the Gotham Group, of the contents of each Monthly Report, Weekly Report, Borrowing Request, Draw Notice, LC Application, LC Advance Notice, Commitment Reduction Notice, Prepayment Notice or notice of default received by it from the Borrower or the Servicer hereunder. In addition, each of the Co-Agents shall promptly notify its Constituents and the Borrower of each determination of and change in Interest Rates. Section 1.8 Absence of Notes. The LC Issuer and each Lender shall maintain in accordance with its usual practice and Section 5f.103-1(c) of the United States Treasury Regulations an account or accounts evidencing the indebtedness of the Borrower to such Person resulting from each Letter of Credit issued by the LC Issuer, or, as applicable, each Loan made by such Lender from time to time, including the amounts of Principal and Interest payable and paid to such Person from time to time hereunder. Upon request of the Borrower, the LC Issuer or, as applicable, each Lender’s Co-Agent or the Administrative Agent, will confirm the outstanding Principal balances of its Credit Extensions and the amount of any accrued and unpaid Interest thereon. The entries maintained in the accounts maintained pursuant to this Section shall be prima facie evidence of the existence and amounts of the Obligations therein recorded; provided, however, that the failure of the LC Issuer or any Lender to maintain such accounts or any error therein shall not in any manner affect the obligation of the Borrower to repay the Obligations in accordance with their terms. Section 1.9 Acknowledgement and Consent to Bail-In of EEA Financial Institutions. Notwithstanding anything to the contrary in any Transaction Document or in any other agreement, arrangement or understanding among any such parties, each party hereto acknowledges that any liability of any EEA Financial Institution arising under any Transaction Document, to the extent such liability is unsecured, may be subject to the write-down and conversion powers of an EEA Resolution Authority and agrees and consents to, and acknowledges and agrees to be bound by:


 
(a) the application of any Write-Down and Conversion Powers by an EEA Resolution Authority to any such liabilities arising hereunder which may be payable to it by any party hereto that is an EEA Financial Institution; and (b) the effects of any Bail-in Action on any such liability, including, if applicable: (i) a reduction in full or in part or cancellation of any such liability; (ii) a conversion of all, or a portion of, such liability into shares or other instruments of ownership in such EEA Financial Institution, its parent undertaking, or a bridge institution that may be issued to it or otherwise conferred on it, and that such shares or other instruments of ownership will be accepted by it in lieu of any rights with respect to any such liability under this Agreement or any other Transaction Document; or (iii) the variation of the terms of such liability in connection with the exercise of the write-down and conversion powers of any EEA Resolution Authority.


 
Section 1.10 Rates. The Administrative Agent does not warrant or accept responsibility for, and shall not have any liability with respect to (a) the continuation of, administration of, submission of, calculation of or any other matter related to the Alternate Base Rate, the Term SOFR Reference Rate, Term SOFR, Daily One Month Term SOFR or Daily Three Month Term SOFR, or any component definition thereof or rates referred to in the definition thereof, or any alternative, successor or replacement rate thereto (including any Benchmark Replacement), including whether the composition or characteristics of any such alternative, successor or replacement rate (including any Benchmark Replacement) will be similar to, or produce the same value or economic equivalence of, or have the same volume or liquidity as, the Alternate Base Rate, the Term SOFR Reference Rate, Term SOFR, Daily One Month Term SOFR, Daily Three Month Term SOFR or any other Benchmark prior to its discontinuance or unavailability, or (b) the effect, implementation or composition of any Conforming Changes. The Administrative Agent and its affiliates or other related entities may engage in transactions that affect the calculation of the Alternate Base Rate, the Term SOFR Reference Rate, Term SOFR, Daily One Month Term SOFR, Daily Three Month Term SOFR, any alternative, successor or replacement rate (including any Benchmark Replacement) or any relevant adjustments thereto, in each case, in a manner adverse to the Borrower. The Administrative Agent may select information sources or services in its reasonable discretion to ascertain the Alternate Base Rate, the Term SOFR Reference Rate, Term SOFR, Daily One Month Term SOFR, Daily Three Month Term SOFR or any other Benchmark, in each case pursuant to the terms of this Agreement, and shall have no liability to the Borrower, any Lender or any other person or entity for damages of any kind, including direct or indirect, special, punitive, incidental or consequential damages, costs, losses or expenses (whether in tort, contract or otherwise and whether at law or in equity), for any error or calculation of any such rate (or component thereof) provided by any such information source or service. ARTICLE II. BORROWING, LETTER OF CREDIT AND PAYMENT MECHANICS; CERTAIN COMPUTATIONS Section 2.1 Method of Borrowing. The Borrower (or the Servicer, on the Borrower’s behalf) shall give the Co-Agents irrevocable notice in the form of Exhibit 2.1 hereto (each, a “Borrowing Request”) not later than 12:00 noon2:00 p.m. (New York City time) at least one (1) Business Day before the Borrowing Date of each Advance that will bear interest at a CP Rate, and not later than 12:00 noon2:00 p.m. (New York City Time) at least one (1) U.S. Government Securities Business Day before the Borrowing Date of each Advance that will bear interest at an Adjusted Term SOFR rate or a Daily Term SOFR rate. On each Borrowing Date, each applicable Lender shall make available its Loan in immediately available funds to its Co-Agent by wire transfer of such amount received not later than 1:00 p.m. (New York City time). Subject to its receipt of such wire transfers, each Co-Agent will wire transfer the funds so received from its Constituents to the Borrower at the account specified in its Borrowing Request not later than 2:00 p.m. (New York City time) on the applicable Borrowing Date. Unless each of the Co-Agents in its sole discretion shall otherwise agree, not more than three (3) Advances and/or prepayments pursuant to Section 1.5 may occur, in the aggregate, in any calendar week. Section 2.2 Selection of CP Tranche Periods and Interest Periods. (a) Except upon the occurrence and during the continuance of an Event of Default or when Gotham is a Pool Funded Conduit, the Borrower (or the Servicer, on the Borrower’s behalf) in its Borrowing Request may request CP Tranche Periods from time to time to apply to Gotham’s CP Rate Loans, whether they are Loans or LC Loans; provided, however, that (i) at any time while Gotham has


 
CP Rate Loans outstanding, at least one CP Tranche Period of Gotham shall mature on each Settlement Date and (ii) no CP Tranche Period of Gotham may extend beyond the applicable Commitment Expiry Date. In addition to the foregoing, except upon the occurrence and during the continuance of an Event of Default, the Borrower (or the Servicer, on the Borrower’s behalf) in its Borrowing Request (A) may request Interest Periods from time to time to apply to the Term SOFR Loans; provided, however, that (x) at any time while any Lender has Term SOFR Loans outstanding, at least one Interest Period of such Lender shall mature on each Settlement Date and (y) no Interest Period of any Lender’s Loan which began prior to the applicable Commitment Expiry Date shall extend beyond such Commitment Expiry Date; and (B) shall specify whether Daily Term SOFR Loans will bear interest based on Adjusted Daily One Month Term SOFR or Adjusted Daily Three Month Term SOFR. (b) While the Gotham Agent will use reasonable efforts to accommodate the Borrower’s or the Servicer’s requests for CP Tranche Periods except during the continuance of an Event of Default or when Gotham is acting as Pool Funded Conduit, the Gotham Agent shall have the right to subdivide any requested CP Rate Loan into one or more CP Rate Loans of different CP Tranche Periods, or, if the requested period is not feasible, to suggest an alternative CP Tranche Period. While each of the Co-Agents will use reasonable efforts to accommodate the Borrower’s or the Servicer’s requests for Interest Periods for Term SOFR Loans except during the continuance of an Event of Default, each of the Co-Agents shall have the right to subdivide any requested Term SOFR Loan into one or more Term SOFR Loans with different Interest Periods, or, if the requested period is not feasible, to suggest an alternative Interest Period. Notwithstanding the foregoing, not less than $1,000,000 of Principal may be allocated to any CP Tranche Period or Interest Period of any Lender, and no Alternate Base Rate Loan may have a Principal amount of less than $1,000,000. (c) The Borrower (or the Servicer, on the Borrower’s behalf) may not request an Interest Period for a Term SOFR Loan unless it shall have given each of the applicable Co-Agent(s) written notice of its desire therefor not later than 12:00 noon2:00 p.m. (New York City time) at least one (1) U.S. Government Securities Business Day prior to the first day of the desired Interest Period. Accordingly, all Liquidity Fundings shall initially be Alternate Base Rate Loans. (d) Unless each Co-Agent shall have received written notice by 12:00 noon2:00 p.m. (New York City time) on the Required Day prior to the last day of a CP Tranche Period that the Borrower intends to reduce the aggregate Principal amount of the CP Rate Loans outstanding, each of the Co- Agents and the Conduits shall be entitled to assume that the Borrower desires to refinance the Principal and Interest of each maturing CP Rate Loan on the last day of its CP Tranche Period with new CP Rate Loans having substantially similar CP Tranche Periods; provided, however, that the Borrower shall remain liable to pay in cash any portion of the Principal or Interest on the maturing CP Rate Loan when due to the extent that the applicable Conduit cannot issue Commercial Paper Notes or avail itself of a Liquidity Funding, in either case, in the precise amount necessary to refinance the maturing CP Rate Loan and the accrued and unpaid Interest thereon. (e) Unless the Co-Agents shall have received written notice by 12:00 noon2:00 p.m. (New York City time) on the first (1st) Business Day prior to the last day of an Interest Period that the Borrower intends to reduce the aggregate Principal amount of the Term SOFR Loans outstanding from the Liquidity Banks, each of the Liquidity Banks shall be entitled to assume that the Borrower desires to refinance its maturing Term SOFR Loans on the last day of such Interest Period with Alternate Base Rate Loans.


 
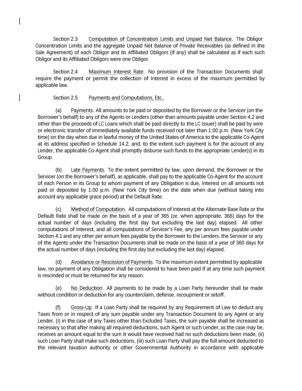
Section 2.3 Computation of Concentration Limits and Unpaid Net Balance. The Obligor Concentration Limits and the aggregate Unpaid Net Balance of Private Receivables (as defined in the Sale Agreement) of each Obligor and its Affiliated Obligors (if any) shall be calculated as if each such Obligor and its Affiliated Obligors were one Obligor. Section 2.4 Maximum Interest Rate. No provision of the Transaction Documents shall require the payment or permit the collection of Interest in excess of the maximum permitted by applicable law. Section 2.5 Payments and Computations, Etc.. (a) Payments. All amounts to be paid or deposited by the Borrower or the Servicer (on the Borrower’s behalf) to any of the Agents or Lenders (other than amounts payable under Section 4.2 and other than the proceeds of LC Loans which shall be paid directly to the LC Issuer) shall be paid by wire or electronic transfer of immediately available funds received not later than 1:00 p.m. (New York City time) on the day when due in lawful money of the United States of America to the applicable Co-Agent at its address specified in Schedule 14.2, and, to the extent such payment is for the account of any Lender, the applicable Co-Agent shall promptly disburse such funds to the appropriate Lender(s) in its Group. (b) Late Payments. To the extent permitted by law, upon demand, the Borrower or the Servicer (on the Borrower’s behalf), as applicable, shall pay to the applicable Co-Agent for the account of each Person in its Group to whom payment of any Obligation is due, Interest on all amounts not paid or deposited by 1:00 p.m. (New York City time) on the date when due (without taking into account any applicable grace period) at the Default Rate. (c) Method of Computation. All computations of Interest at the Alternate Base Rate or the Default Rate shall be made on the basis of a year of 365 (or, when appropriate, 366) days for the actual number of days (including the first day but excluding the last day) elapsed. All other computations of Interest, and all computations of Servicer’s Fee, any per annum fees payable under Section 4.1 and any other per annum fees payable by the Borrower to the Lenders, the Servicer or any of the Agents under the Transaction Documents shall be made on the basis of a year of 360 days for the actual number of days (including the first day but excluding the last day) elapsed. (d) Avoidance or Rescission of Payments. To the maximum extent permitted by applicable law, no payment of any Obligation shall be considered to have been paid if at any time such payment is rescinded or must be returned for any reason. (e) No Deduction. All payments to be made by a Loan Party hereunder shall be made without condition or deduction for any counterclaim, defense, recoupment or setoff. (f) Gross-Up. If a Loan Party shall be required by any Requirement of Law to deduct any Taxes from or in respect of any sum payable under any Transaction Document to any Agent or any Lender, (i) in the case of any Taxes other than Excluded Taxes, the sum payable shall be increased as necessary so that after making all required deductions, such Agent or such Lender, as the case may be, receives an amount equal to the sum it would have received had no such deductions been made, (ii) such Loan Party shall make such deductions, (iii) such Loan Party shall pay the full amount deducted to the relevant taxation authority or other Governmental Authority in accordance with applicable


 
Requirements of Law, and (iv) within 30 days after the date of such payment, such Loan Party shall furnish to the Administrative Agent (which shall forward the same to such Agent or such Lender) the original or a certified copy of a receipt evidencing payment thereof, to the extent such receipt is issued therefor, or other written proof of payment thereof that is reasonably satisfactory to the Administrative Agent. (g) Taxes – Status of Lenders; Refunds. (i) Any Lender that is entitled to an exemption from or reduction of withholding Tax with respect to payments made under any Transaction Document shall deliver to the Borrower and the Administrative Agent, at the time or times reasonably requested by the Borrower or the Administrative Agent, such properly completed and executed documentation reasonably requested by the Borrower or the Administrative Agent as will permit such payments to be made without withholding or at a reduced rate of withholding. In addition, any Lender, if reasonably requested by the Borrower or the Administrative Agent, shall deliver such other documentation prescribed by applicable law or reasonably requested by the Borrower or the Administrative Agent as will enable the Borrower or the Administrative Agent to determine whether or not such Lender is subject to backup withholding or information reporting requirements. (ii) Without limiting the generality of the foregoing, (A) any Lender that is a US Person shall deliver to the Borrower and the Administrative Agent on or prior to the date on which such Lender becomes a Lender under this Agreement (and from time to time thereafter upon the reasonable request of the Borrower or the Administrative Agent), executed copies of IRS Form W-9 certifying that such Lender is exempt from U.S. federal backup withholding tax; (B) any Foreign Lender shall, to the extent it is legally entitled to do so, deliver to the Borrower and the Administrative Agent (in such number of copies as shall be requested by the recipient) on or prior to the date on which such Foreign Lender becomes a Lender under this Agreement (and from time to time thereafter upon the reasonable request of the Borrower or the Administrative Agent), whichever of the following is applicable: (1) in the case of a Foreign Lender claiming the benefits of an income tax treaty to which the United States is a party (x) with respect to payments of interest under any Transaction Document, executed copies of IRS Form W-8BEN-E establishing an exemption from, or reduction of, U.S. federal withholding Tax pursuant to the “interest” article of such tax treaty and (y) with respect to any other applicable payments under any Transaction Document, IRS Form W-8BEN-E establishing an exemption from, or reduction of, U.S. federal withholding Tax pursuant to the “business profits” or “other income” article of such tax treaty; (2) executed copies of IRS Form W-8ECI; (3) in the case of a Foreign Lender claiming the benefits of the exemption for portfolio interest under Section 871(h) or Section 881(c) of the Code, (x) a “Certificate of Non-Bank Status for Foreign Entities” substantially in the form of Exhibit 3.13(f) to the effect that such Foreign Lender is not a “bank” within the meaning of Section 881(c)(3)(A) of the Code, a “10 percent shareholder” of the Borrower within the meaning of Section 881(c)(3)(B) of the Code, or a “controlled


 
foreign corporation” described in Section 881(c)(3)(C) of the Code and (y) executed copies of IRS Form W-8BEN-E; or (4) to the extent a Foreign Lender is not the beneficial owner, executed copies of IRS Form W-8IMY, accompanied by IRS Form W-8ECI, IRS Form W-8BEN, IRS Form W-8BEN-E, a Certificate of Non-Bank Status for Foreign Entities, IRS Form W-9, and/or other certification documents from each beneficial owner, as applicable; provided that if the Foreign Lender is a partnership and one or more direct or indirect partners of such Foreign Lender are claiming the portfolio interest exemption, such Foreign Lender may provide a Certificate of Non-Bank Status for Foreign Entities on behalf of each such direct and indirect partner; (C) any Foreign Lender shall, to the extent it is legally entitled to do so, deliver to the Borrower and the Administrative Agent (in such number of copies as shall be requested by the recipient) on or prior to the date on which such Foreign Lender becomes a Lender under this Agreement (and from time to time thereafter upon the reasonable request of the Borrower or the Administrative Agent), executed copies of any other form prescribed by applicable law as a basis for claiming exemption from or a reduction in U.S. federal withholding Tax, duly completed, together with such supplementary documentation as may be prescribed by applicable law to permit the Borrower or the Administrative Agent to determine the withholding or deduction required to be made; and (D) any Foreign Lender shall, to the extent it is legally entitled to do so, deliver to the Borrower and the Administrative Agent (in such number of copies as shall be requested by the recipient) on or prior to the date on which such Foreign Lender becomes a Lender under this Agreement (and from time to time thereafter upon the reasonable request of the Borrower or the Administrative Agent), executed copies of any other form prescribed by applicable law as a basis for claiming exemption from or a reduction in U.S. federal withholding Tax, duly completed, together with such supplementary documentation as may be prescribed by applicable law to permit the Borrower or the Administrative Agent to determine the withholding or deduction required to be made; and (E) on or prior to the execution of this Agreement, and thereafter upon the reasonable request of the Borrower, each Agent (in its capacity as such) shall provide to the Borrower an IRS Form W-8IMY certifying (I) its status as a qualified intermediary, (II) its assumption of primary U.S. federal income tax withholding responsibility for purposes of chapter 3 and chapter 4 of the Code and (III) its assumption of primary IRS Form 1099 reporting and U.S. federal income backup withholding responsibility. Each Lender and Agent agrees that if any form or certification it previously delivered expires or becomes obsolete or inaccurate in any respect, it shall update such form or certification or promptly notify the Borrower and the Administrative Agent in writing of its legal inability to do so. (iii) In the event that an additional payment is made under Section 2.5(f) for the account of any Recipient and such Recipient, in its reasonable judgment, determines that it has finally and irrevocably received or been granted a credit against or release or remission for, or repayment of, any tax paid or payable by it in respect of or calculated with reference to the deduction or withholding giving rise to such payment, such Recipient shall, to the extent that it determines that it can do so without prejudice to the retention of the amount of such credit, relief, remission or repayment, pay to the Borrower such amount as such Recipient shall, in its reasonable judgment, have determined to be attributable to such deduction or withholding and which will leave such Recipient (after such payment)


 
in no worse position than it would have been in if the Borrower had not been required to make such deduction or withholding. Nothing herein contained shall interfere with the right of a Recipient to arrange its tax affairs in whatever manner it thinks fit nor oblige any Recipient to claim any tax credit or to disclose any information relating to its tax affairs or any computations in respect thereof or require any Recipient to do anything that would prejudice its ability to benefit from any other credits, reliefs, remissions or repayments to which it may be entitled. Section 2.6 Non-Receipt of Funds by the Co-Agents. Unless a Lender notifies its Co-Agent prior to the date and time on which it is scheduled to fund a Loan that it does not intend to fund, such Co-Agent may assume that such funding will be made and may, but shall not be obligated to, make the amount of such Loan available to the intended recipient in reliance upon such assumption. If such Lender has not in fact funded its Loan proceeds to the applicable Co-Agent, the recipient of such payment shall, on demand by such Co-Agent, repay to such Co-Agent the amount so made available together with Interest thereon in respect of each day during the period commencing on the date such amount was so made available by such Co-Agent until the date such Co-Agent recovers such amount at a rate per annum equal to the Federal Funds Rate for such day. Section 2.7 Letters of Credit. (a) Request for LC Issuance or Modification. Subject to Section 1.1.2, the Borrower shall give the LC Issuer notice prior to 12:00 noon2:00 p.m. (New York City time) at least three (3) Business Days (or such shorter period as may be reasonably acceptable to the LC Issuer) prior to the proposed date of issuance or Modification of each Letter of Credit, by delivering a signed copy of the related LC Application, with appropriate insertions. The issuance or Modification by the LC Issuer of any Letter of Credit shall, in addition to the conditions precedent set forth in Article IV, be subject to the conditions precedent that such Letter of Credit shall be reasonably satisfactory to the LC Issuer and that the Borrower shall have executed and delivered the LC Application and/or such other instruments and agreements relating to such Letter of Credit as the LC Issuer shall have reasonably requested. The LC Issuer shall promptly notify each of the Co-Agents of the request by the Borrower for issuance or Modification of a Letter of Credit hereunder. (b) Letter of Credit Terms. (i) Each Letter of Credit will, among other things, (A) provide for the payment of sight drafts or other written demands for payment when presented for honor thereunder in accordance with the terms thereof and when accompanied by the documents described therein, and (B) have an expiry date not later than twelve (12) months after such Letter of Credit’s date of issuance, extension or renewal, as the case may be, and in no event later than twelve (12) months after the Scheduled Termination Date (or such longer period of time as may be approved in an Email or other writing by each of the LC Issuer and each Group). If the Borrower so requests in any LC Application, the terms of the related Letter of Credit may include customary “evergreen” provisions providing that such Letter of Credit’s expiry date shall automatically be extended for additional periods not to exceed twelve (12) months unless, not less than thirty (30) days (or such longer period as may be specified in such Letter of Credit) (the “Notice Date”) prior to the applicable expiry date, the LC Issuer delivers written notice to the Borrower and the beneficiary thereof declining such extension; provided, however, that if (1) any such extension would cause the expiry date of such Letter of Credit to occur after the date that is twelve (12) months after the Commitment Expiry Date (or such longer period of time as may be approved in an Email or other writing by each of the LC Issuer and the Co-Agents) or (2) the LC Issuer


 
determines that any condition precedent (including, without limitation, those referenced in Section 2.7 (a) hereof) to issuing such Letter of Credit hereunder (as if such Letter of Credit were then being first issued) are not satisfied (other than any such condition requiring the Borrower to submit an LC Application in respect thereof), then the LC Issuer, in the case of clause (1) above, may (or, at the written direction of any Committed Lender, shall) or, in the case of clause (2) above, shall, use reasonable efforts in accordance with (and to the extent permitted by) the terms of such Letter of Credit to prevent the extension of such expiry date (including notifying the Borrower and the beneficiary of such Letter of Credit in writing prior to the Notice Date that such expiry date will not be so extended). (ii) Unless the LC Issuer and the Borrower otherwise agree, when a Letter of Credit is issued, it shall be subject to the version of the Uniform Customs and Practice for Documentary Credits in effect at the time of issuance (UCP), or International Standby Practices 1998 (ISP98), at the LC Issuer’s discretion. If such Letter of Credit includes any provision that does not conform to standard Letter of Credit practice, all provisions of this Agreement, including without limitation those relating to reimbursement and indemnification, shall apply to such Letter of Credit. (iii) Notwithstanding anything to the contrary set forth in this Agreement, at the request of the Borrower, a Letter of Credit issued hereunder may contain a statement to the effect that such Letter of Credit is issued for the account of the Servicer or an Affiliate of the Servicer; provided that notwithstanding such statement, the Borrower shall be the actual account party for all purposes of this Agreement for such Letter of Credit, and such statement shall not affect the Borrower’s reimbursement obligations hereunder with respect to such Letter of Credit. (c) Notice of Letter of Credit Request. The Administrative Agent shall promptly notify the LC Issuer and each Committed Lender of the request by the Borrower for a Letter of Credit hereunder. (d) Participations. Immediately upon the issuance by the LC Issuer of any Letter of Credit (or any Modification of a Letter of Credit increasing the amount thereof), the LC Issuer shall be deemed to have sold and transferred to each Committed Lender, and each Committed Lender shall be deemed irrevocably and unconditionally to have purchased and received from the LC Issuer, without recourse or warranty, an undivided interest and participation, to the extent of such Committed Lender’s Ratable Share, in such Letter of Credit, each drawing made thereunder and the obligations of the Borrower hereunder with respect thereto, and any security therefor or guaranty pertaining thereto. Upon any change in the Commitments or Ratable Shares of the Committed Lenders pursuant to this Agreement, it is hereby agreed that, with respect to all outstanding Letters of Credit and unreimbursed drawings thereunder, there shall be an automatic adjustment to the participations pursuant to this Section 2.7(d) to reflect the new Ratable Shares of the assignor and assignee Committed Lender or of all Committed Lenders with Commitments, as the case may be. The Committed Lenders or their Groups will satisfy their funding obligations under this Section 2.7(d) by funding LC Loans pursuant to Section 2.8(a). Section 2.8 Disbursements, Reimbursements and LC Advances. (a) Notice of Drawings; Reimbursement by the Borrower; LC Advances. In the event of any drawing under a Letter of Credit by the beneficiary or transferee thereof that the LC Issuer determines it is legally obligated to honor, the LC Issuer will promptly notify the Borrower and each Co-Agent of such drawing by written notice in the form of Exhibit 2.8(a)-1 (each, a “Draw Notice”). The Borrower


 
shall reimburse the LC Issuer not later than 10:00 a.m. (New York City time) on the Business Day following its receipt of a Draw Notice (such next Business Day, the “Reimbursement Date”) in an amount equal to the amount so paid by the LC Issuer. In the event the Borrower fails to reimburse the LC Issuer for the full amount of any drawing under a Letter of Credit by 10:00 a.m. (New York City time) on the Reimbursement Date, the Borrower will be deemed to have requested that an Advance be made on the Business Day following the applicable Reimbursement Date in a Principal amount equal to such LC Reimbursement Obligation (each such Advance, an “LC Advance”) regardless of whether the Commitment Expiry Date or Termination Date has previously occurred, and the LC Issuer will promptly notify each Co-Agent of such deemed request in writing in the form of Exhibit 2.8(a)-2 hereto (each, an “LC Advance Notice”). (b) LC Advances. Upon receipt of an LC Advance Notice, each applicable Co-Agent shall determine whether its Conduit will fund an LC Loan in an amount equal to the portion of the LC Advance specified in such LC Advance Notice, andPNC severally agrees to make an LC Loan in an amount equal to its Group’s Commitment Percentage of the specified the LC Reimbursement Obligation, on the terms and subject to the conditions hereof, provided that at no time may the aggregate Principal amount of PNC’s Credit Exposure at any one time outstanding exceed the PNC Allocation Limit; (ii) in the event that Gotham elects not to make an LC Loan in an amount equal to its Group’s Commitment Percentage of the specified the LC Reimbursement Obligation, the Gotham Agent shall promptly notify the Borrower and each of the Liquidity Banks in the Gotham Group, and each of such Liquidity Banks severally agrees to make its Pro Rata Share of such LC Loan to the Borrower, on the terms and subject to the conditions hereof, provided that at no time may the aggregate Principal amount of Gotham’s and its Liquidity Banks’ Credit Exposure at any one time outstanding exceed the Gotham Allocation Limit; and (iii) in the event that Atlantic elects not to make an LC Loan in an amount equal to its Group’s Commitment Percentage of the specified the LC Reimbursement Obligation, the Atlantic Agent shall promptly notify the Borrower and each of the Liquidity Banks in the Atlantic Group, and each of such Liquidity Banks severally agrees to make its Pro Rata Share of such LC Loan to the Borrower, on the terms and subject to the conditions hereof, provided that at no time may the aggregate Principal amount of Gotham’s and its Liquidity Banks’ Credit Exposure at any one time outstanding exceed the Atlantic Allocation Limit. Notwithstanding the fact that LC Loans are being made to the Borrower, all LC Loans shall be disbursed directly to the LC Issuer for application to the specified LC Reimbursement Obligation on the Borrower’s behalf. If any Group fails to make available to the LC Issuer its LC Loan(s) by 10:00am (NY time) on the Business Day after the Reimbursement Date, then Interest shall accrue on the deficient amount from the Reimbursement Date to the date on which such Group fully-funds its LC Loan(s) (i) at a rate per annum equal to the Federal Funds Rate during the first three days following the Reimbursement Date and (ii) at a rate per annum equal to the rate applicable to PNC’s Loans on and after the fourth day following the Reimbursement Date. Each Committed Lender’s obligation to reimburse the LC Issuer for such Committed Lender’s Ratable Share of any drawing under a Letter of Credit issued in accordance with this Agreement shall continue until the last to occur of any of the following events: (A) the occurrence of the Commitment Expiry Date or the LC Issuer otherwise ceases to be obligated to issue or cause to be issued Letters of Credit hereunder; (B) no Letter of Credit issued hereunder remains


 
outstanding and effective; or (C) all Persons (other than the Borrower) have been fully reimbursed for all payments made under or relating to Letters of Credit. Section 2.9 Additional Letter of Credit Provisions; LC Collateral Account. (a) The Borrower promises to pay the LC Obligations, together with all LC Fees, LC Fronting Fees and, if applicable, Interest thereon, in accordance with the terms of the Fee Letter and this Section 2.9. (b) Upon receipt by the LC Issuer for its account of immediately available funds from or for the account of the Borrower in excess of PNC’s LC Sublimit Percentage thereof, the LC Issuer shall promptly distribute any excess to the other Co-Agents. (c) If the LC Issuer is required at any time to return to the Borrower, or to a trustee, receiver, liquidator, custodian, or any official in any insolvency proceeding, any portion of the payments made by the Borrower to the LC Issuer pursuant to this Agreement in reimbursement of a payment made under the Letter of Credit or Interest or fee thereon, each Committed Lender shall, on demand of the LC Issuer, forthwith return to the LC Issuer the amount of its Ratable Share of any amounts so returned by the LC Issuer plus Interest at the Federal Funds Rate, from the date the payment was first made to such Committed Lender through, but not including, the date the payment is returned by such Committed Lender. (d) If any Letters of Credit are outstanding and undrawn on the Termination Date, the LC Collateral Account shall be funded from Collections (or by other funds available to the Borrower) in an amount equal to the sum of the Outstanding Face Amount of such Letters of Credit plus Expected LC Fees. (e) Funds in the LC Collateral Account will be used to reimburse the LC Issuer and (to the extent they have unreimbursed LC Advances) the applicable Lenders for due and payable fees related to the Letters of Credit and for any draws on the Letters of Credit and LC Advances which have not reimbursed by the Borrower or repaid from Collections. Any funds on deposit in the LC Cash Collateral Account after all Letters of Credit have expired or have been terminated in accordance with their respective terms, all draws on the Letters of Credit have been reimbursed, all LC Advances have been repaid, all fees due and payable with respect to the Letters of Credit have been paid in full, and the Aggregate Commitment has been terminated, shall be remitted to the Borrower.


 
Section 2.10 Documentation and LC Processing Fees. The Borrower agrees to be bound by the terms of the LC Application, by the LC Issuer’s commercially reasonable interpretation of any Letter of Credit issued for the Borrower and by the LC Issuer’s customary practices relating to Letters of Credit, though the LC Issuer’s interpretation of such practices may be different from the Borrower’s own. In the event of a conflict between the LC Application and this Agreement, this Agreement shall govern. It is understood and agreed that, except in the case of gross negligence or willful misconduct by the LC Issuer, the LC Issuer shall not be liable for any error, negligence and/or mistakes, whether of omission or commission, in following the Borrower’s instructions or those contained in the Letters of Credit or any modifications, amendments or supplements thereto. In addition to any other fees or expenses owing under the Fee Letter or any other Transaction Documents or otherwise pursuant to any LC Application, the Borrower shall pay to the LC Issuer for its own account any LC Processing Fees. LC Processing Fees shall be due and payable upon demand and shall be nonrefundable. Section 2.11 Determination to Honor Drawing Request. In determining whether to honor any request for drawing under any Letter of Credit by the beneficiary thereof, the LC Issuer shall be responsible only to determine that the documents and certificates required to be delivered under such Letter of Credit have been delivered and that they comply on their face with the requirements of such Letter of Credit and that any other drawing condition appearing on the face of such Letter of Credit has been satisfied in the manner so set forth. Section 2.12 Nature of Participation and LC Reimbursement Obligations. Each Committed Lender’s obligation in accordance with this Agreement to make LC Loans as a result of an unreimbursed drawing under a Letter of Credit, and the obligations of the Borrower to reimburse the LC Issuer upon a draw under a Letter of Credit, shall be absolute, unconditional and irrevocable, and shall be performed strictly in accordance with the terms of this Article II under all circumstances, including the following circumstances: (i) any set-off, counterclaim, recoupment, defense or other right which such Committed Lender may have against the LC Issuer, the Administrative Agent, the Co-Agents, the Lenders, the Borrower or any other Person for any reason whatsoever; (ii) the failure of the Borrower or any other Person to comply with the conditions set forth in this Agreement for the making of a purchase, reinvestments, requests for Letters of Credit or otherwise, it being acknowledged that such conditions are not required for the making of LC Advances hereunder; (iii) any lack of validity or enforceability of any Letter of Credit or any set-off, counterclaim, recoupment, defense or other right which Borrower, an Originator or any Affiliate thereof on behalf of which a Letter of Credit has been issued may have against the LC Issuer, the Administrative Agent, any Lender, any Co-Agent or any other Person for any reason whatsoever; (iv) any claim of breach of warranty that might be made by the Borrower, the LC Issuer or any Committed Lender against the beneficiary of a Letter of Credit, or the existence of any claim, set-off, defense or other right which the Borrower, the LC Issuer or any Committed Lender may have at any time against a beneficiary, any successor beneficiary or any transferee of any Letter of Credit or the proceeds thereof (or any Persons for whom any such transferee may be acting), the LC Issuer, any Committed Lender, the Administrative Agent, any Lender or any Co-Agent or any other Person, whether in connection with this Agreement, the transactions contemplated herein or any


 
unrelated transaction (including any underlying transaction between the Borrower or any Subsidiaries of the Borrower or any Affiliates of the Borrower and the beneficiary for which any Letter of Credit was procured); (v) except if the LC Issuer shall have actual knowledge to the contrary: (A) the lack of power or authority of any signer of, or lack of validity, sufficiency, accuracy, enforceability or genuineness of, any draft, demand, instrument, certificate or other document presented under any Letter of Credit, or (B) any such draft, demand, instrument, certificate or other document proving to be forged, fraudulent, invalid, defective or insufficient in any respect or any statement therein being untrue or inaccurate in any respect; (vi) payment by the LC Issuer under any Letter of Credit against presentation of a demand, draft or certificate or other document which does not strictly comply with the terms of such Letter of Credit other than as a result of the gross negligence or willful misconduct of the LC Issuer; (vii) the solvency of, or any acts or omissions by, any beneficiary of any Letter of Credit, or any other Person having a role in any transaction or obligation relating to a Letter of Credit, or the existence, nature, quality, quantity, condition, value or other characteristic of any property or services relating to a Letter of Credit; (viii) any failure by the LC Issuer or any of the LC Issuer’s Affiliates to issue any Letter of Credit in the form requested by the Borrower, unless the LC Issuer has received written notice from the Borrower of such failure within five (5) Business Days after the LC Issuer shall have furnished the Borrower a copy of such Letter of Credit and such error is material and no drawing has been made thereon prior to receipt of such notice; (ix) any Material Adverse Effect; (x) any breach of this Agreement or any Transaction Document by any party thereto; (xi) the occurrence or continuance of an Event of Bankruptcy with respect to the Borrower, any Originator or the Servicer; (xii) the fact that an Event of Default or an Unmatured Default shall have occurred and be continuing; (xiii) the fact that this Agreement or the obligations of the Borrower or Servicer hereunder shall have been terminated; and (xiv) any other circumstances or happening whatsoever, whether or not similar to any of the foregoing, that might otherwise constitute a suretyship defense. Nothing contained in this Section 2.12 shall be deemed to relieve the LC Issuer or the Administrative Agent from any claim by the Borrower for the gross negligence or willful misconduct of the LC Issuer in respect of honoring or failing to honor any drawing under any Letter of Credit or otherwise in respect of any Letter of Credit, but any such claim may not be used as a defense to the Borrower’s obligation to reimburse the LC Issuer for such drawing.


 
Section 2.13 Liability for Acts and Omissions. As between the Borrower, on the one hand, and the Administrative Agent, the LC Issuer, the Co-Agents and the Lenders, on the other, the Borrower assumes all risks of the acts and omissions of, or misuse of any Letter of Credit by, the respective beneficiaries of such Letter of Credit. In furtherance and not in limitation of the foregoing, none of the Administrative Agent, the LC Issuer, the Co-Agents or the Lenders shall be responsible for: (i) the form, validity, sufficiency, accuracy, genuineness or legal effect of any document submitted by any party in connection with the application for an issuance of any such Letter of Credit, even if it should in fact prove to be in any or all respects invalid, insufficient, inaccurate, fraudulent or forged (even if the LC Issuer or any Committed Lender shall have been notified thereof); (ii) the validity or sufficiency of any instrument transferring or assigning or purporting to transfer or assign any such Letter of Credit or the rights or benefits thereunder or proceeds thereof, in whole or in part, which may prove to be invalid or ineffective for any reason; (iii) the failure of the beneficiary of any such Letter of Credit, or any other party to which such Letter of Credit may be transferred, to comply fully with any conditions required in order to draw upon such Letter of Credit or any other claim of the Borrower against any beneficiary of such Letter of Credit, or any such transferee, or any dispute between or among the Borrower and any beneficiary of any Letter of Credit or any such transferee; (iv) errors, omissions, interruptions or delays in transmission or delivery of any messages, by mail, electronic mail, cable, telegraph, telex, facsimile or otherwise, whether or not they be in cipher; (v) errors in interpretation of technical terms; (vi) any loss or delay in the transmission or otherwise of any document required in order to make a drawing under any such Letter of Credit or of the proceeds thereof; (vii) the misapplication by the beneficiary of any such Letter of Credit of the proceeds of any drawing under such Letter of Credit; or (viii) any consequences arising from causes beyond the control of the Administrative Agent, the LC Issuer, the Committed Lenders, the Co-Agents and the Lenders, including any Governmental Acts, and none of the above shall affect or impair, or prevent the vesting of, any of the LC Issuer’s rights or powers hereunder. Nothing contained in the preceding sentence shall relieve the LC Issuer, the Administrative Agent, the Co-Agents or any Lender for such party’s gross negligence, willful misconduct or bad faith (as determined by a court of competent jurisdiction in a final non-appealable judgment) in connection with the actions or omissions described in clauses (i) through (viii) of such sentence, but in no event shall the Administrative Agent, the LC Issuer, the Committed Lenders, the Co-Agents or the Lenders or their respective Affiliates, be liable to the Borrower or any other Person for any indirect, consequential, incidental, punitive, exemplary or special damages or expenses (including without limitation attorneys’ fees), or for any damages resulting from any change in the value of any property relating to a Letter of Credit. Without limiting the generality of the foregoing, the Administrative Agent, the LC Issuer, the Committed Lenders, the Co-Agents and the Lenders and each of its Affiliates (i) may rely on any written communication believed in good faith by such Person to have been authorized or given by or on behalf of the applicant for a Letter of Credit; (ii) may honor any presentation if the documents presented appear on their face to comply with the terms and conditions of the relevant Letter of Credit; (iii) may honor a previously dishonored presentation under a Letter of Credit, whether such dishonor was pursuant to a court order, to settle or compromise any claim of wrongful dishonor, or otherwise, and shall be entitled to reimbursement to the same extent as if such presentation had initially been honored, together with any Interest paid by the LC Issuer or its Affiliates; (iv) may honor any drawing that is payable upon presentation of a statement advising negotiation or payment, upon receipt of such statement (even if such statement indicates that a draft or other document is being delivered separately), and shall not be liable for any failure of any such draft or other document to arrive, or to conform in any way with the relevant Letter of Credit; (v) may pay any paying or negotiating bank


 
claiming that it rightfully honored under the laws or practices of the place where such bank is located; and (vi) may settle or adjust any claim or demand made on the Administrative Agent, the LC Issuer, the Committed Lenders, the Co-Agents or the Lenders or their respective Affiliates, in any way related to any order issued at the applicant’s request to an air carrier, a letter of guarantee or of indemnity issued to a carrier or any similar document (each, an “Order”) and may honor any drawing in connection with any Letter of Credit that is the subject of such Order, notwithstanding that any drafts or other documents presented in connection with such Letter of Credit fail to conform in any way with such Letter of Credit. In furtherance and extension and not in limitation of the specific provisions set forth above, any action taken or omitted by the LC Issuer under or in connection with any Letter of Credit issued by it or any documents and certificates delivered thereunder, if taken or omitted in good faith and without gross negligence or willful misconduct, as determined by a final non-appealable judgment of a court of competent jurisdiction, shall not put the LC Issuer under any resulting liability to the Borrower, any Committed Lender or any other Person. Section 2.14 Intended Tax Treatment. All parties to this Agreement covenant and agree to treat any Advance and any drawing on a Letter of Credit under this Agreement as debt for all U.S. federal income tax purposes and to not take any position on any tax return inconsistent with the foregoing, except as otherwise required pursuant to a “determination” within the meaning of Section 1313(a) of the Code (or any comparable provision of any state, local or foreign law). ARTICLE III. SETTLEMENTS Section 3.1 Reporting. (a) Monthly Reports. Not later than the Monthly Reporting Date in each calendar month hereafter, the Servicer shall deliver to each of the Co-Agents, a Monthly Report accompanied by an electronic file in a form reasonably satisfactory to each of the Co-Agents; provided, however, that if an Unmatured Default or an Event of Default shall exist and be continuing, each of the Co-Agents may request that a computation of the Borrowing Base also be made on a date that is not a Monthly Reporting Date and, so long as such request is not made on or within 5 Business Days prior to the last day of any calendar month, the Servicer agrees to provide such computation within 3 Business Days after such request. (b) Weekly Reports; Right to Request Cash Collateral Payment[Reserved]. Upon written request of the Administrative Agent, not later than each Weekly Reporting Date occurring at least 14 days after the Servicer’s receipt of such request and continuing until the Administrative Agent gives written notice that it no longer desires Weekly Reports, the Servicer shall deliver to each of the Co-Agents, a Weekly Report of the dollar amount of cash collections and the number of requisitions, in each case, for the second preceding week (the “Report Week”). If the dollar amount of cash Collections or the number of requisitions for the Report Week is less than 50% of the arithmetic average of the corresponding figures for the four immediately preceding Report Weeks, upon request of any of the Co-Agents, the Servicer shall provide a written computation of the Cash Collateral Payment within 3 Business Days after such request.


 
. (c) Interest; Other Amounts Due. At or before 12:00 noon (New York City time) on the Business Day before each Settlement Date, each of the Co-Agents shall notify the Borrower and the Servicer of (i) the aggregate Principal balance of all Loans that are then outstanding from its Constituents, (ii) its Constituents’ LC Sublimit Percentage of the LC Reimbursement Obligations that are then outstanding, and (iii) the aggregate amount of all Principal, Interest and fees that will be due and payable by the Borrower to such Co-Agent for the account of such Co-Agent or its Constituents on such Settlement Date. Section 3.2 Turnover of Collections; Pre-Termination Waterfall. Without limiting any Agent’s or Lender’s recourse to the Borrower for payment of any and all Obligations: (a) If any Monthly Report reveals that a mandatory prepayment or Cash Collateral Payment is required under Section 1.5(b), (c), (d) or (e), not later than the 1:00 p.m. (New York City time) on the next succeeding Settlement Date, the Servicer shall turn over to each applicable Co-Agent, for distribution to its Constituents, a portion of the Collections equal to the amount of such required mandatory prepayment and shall turn over to the LC Issuer for deposit into the LC Collateral Account a portion of the Collections equal to the amount of such required Cash Collateral. (b) If, on any Settlement Date, any Loans are to be voluntarily prepaid in accordance with Section 1.5(a), or if the aggregate Principal amount of the Advances outstanding is to be reduced, the Servicer shall turn over to each of the Co-Agents, for distribution to its Constituents, a portion of the Collections equal to the Groups’ respective Percentages of the aggregate amount of such voluntary prepayment or reduction. (c) In addition to, but without duplication of, the foregoing, on (i) each Settlement Date and (ii) each other date on which any Principal of or Interest on any of the Obligations becomes due (whether by acceleration or otherwise) and, in the case of Principal, has not been reborrowed pursuant to Section 1.1 (if permitted), the Servicer shall turn over to each of the Co-Agents, for distribution to their respective Constituents, the Groups’ respective Percentages of a portion of the Collections equal to the aggregate amount of all other Obligations that are due and owing on such date. If the Collections and proceeds of new Loans are insufficient to make all payments required under clauses (a), (b) and (c) and to pay the Servicer’s Fees and, if applicable, all expenses due and owing to any replacement Servicer under Section 8.1(d) (all of the foregoing, collectively, the “Required Amounts”) and the Borrower has made any Demand Advances, the Borrower shall make demand upon Quest Diagnostics for payment of the Demand Advances in an amount equal to the lesser of the Required Amounts or the aggregate outstanding Principal balance of such Demand Advances (plus any accrued and unpaid Interest thereon) and, upon receipt of any such amounts, the Borrower shall pay them to each of the Co-Agents, ratably in accordance with their respective Groups’ Percentages, for distribution in accordance with this Section 3.2. (d) If the aggregate amount of Collections and payments on Demand Advances received by the Co-Agents on any Settlement Date are insufficient to pay all Required Amounts, the aggregate amount received shall be applied to the items specified in the subclauses below, in the order of priority of such subclauses:


 
(i) to any accrued and unpaid Interest on the Loans that is then due and owing, including any previously accrued Interest which was not paid on its applicable due date; (ii) if the Servicer is not the Borrower or an Affiliate thereof, to any accrued and unpaid Servicer’s Fee that is then due and owing to such Servicer, together with any invoiced expenses of the Servicer due and owing pursuant to Section 8.1(d); (iii) to the Unused Fee and the Usage Fee accrued during such Accrual Period, plus any previously accrued Unused Fee and Usage Fee not paid on a prior Settlement Date; (iv) ratably to the payment of the Principal of any Loans that are then due and owing and to the Cash Collateralization of any Non-Renewing Lender’s Share of the LC Obligations; (v) to the payment of LC Processing Fees that are then due and owing. (vi) to other Obligations that are then due and owing; (vii) if the Servicer is the Borrower, Quest Diagnostics or one of their respective Affiliates, to the accrued and unpaid Servicer’s Fee; and (viii) the balance, if any, to the Borrower. (e) If the Servicer is ever required to deliver a computation of the Cash Collateral Payment pursuant to Section 3.1(b), not later than one (1) Business Day after delivery of such computation, the Borrower shall pay to the applicable Co-Agent an amount equal to its Group’s Percentage of the Cash Collateral Payment to be invested in Permitted Investments selected by such Co-Agent but held as Collateral for the Obligations until the next Settlement Date pending distribution in accordance with Section 3.2(d). If the Borrower lacks sufficient funds to make any such Cash Collateral Payment, in whole or in part, the Borrower shall make immediate demand upon Quest Diagnostics for payment of any Demand Advances that are then outstanding, and, upon receipt of any such shortfall amount, the Borrower shall pay each Group’s Percentage of such shortfall amount to the applicable Co-Agent for deposit into a cash collateral account to be invested in Permitted Investments selected by the applicable Co-Agent but held as Collateral for the Obligations until the next Settlement Date pending distribution in accordance with Section 3.2(d). All payments of Principal and Interest made to the Atlantic Group Agent for the account of any Tranched Loan Lender shall be allocated by such Tranched Loan Lender in accordance with Annex C to this Agreement. (f) In addition to, but without duplication of, the foregoing, on (i) each Settlement Date and (ii) each other date on which any Principal of or Interest on any of the Loans becomes due (whether by acceleration pursuant to Section 10.2(a) or 10.2(b) or otherwise), the Servicer shall turn over to each of the Co-Agents, for distribution to the Lenders, a portion of the Collections equal to the aggregate amount of all Obligations that are due and owing on such date.


 
Section 3.3 Non-Distribution of Servicer’s Fee. Each of the Agents and the other Secured Parties hereby consents to the retention by the Servicer of a portion of the Collections equal to the Servicer’s Fee (and, if applicable, any invoiced expenses of such Servicer that are due and owing pursuant to Section 8.1(d)) so long as the Collections received by the Servicer are sufficient to pay all amounts pursuant to Section 3.2 of a higher priority as specified in such Section. Section 3.4 Deemed Collections. If as of the last day of any Accrual Period: (a) the outstanding aggregate balance of the Net Receivables as reflected in the preceding Monthly Report (net of any positive adjustments) has been reduced for any of the following reasons: (i) as a result of any rejected services, any cash discount or any other adjustment by the applicable Originator or any Affiliate thereof (regardless of whether the same is treated by such Originator or Affiliate as a write-off), or as a result of any surcharge or other governmental or regulatory action, or (ii) as a result of any setoff or breach of the underlying agreement in respect of any claim by the Obligor thereof (whether such claim arises out of the same or a related or an unrelated transaction), or (iii) on account of the obligation of the applicable Originator or any Affiliate thereof to pay to the related Obligor any rebate or refund, or (iv) the Unpaid Net Balance of any Receivable is less than the amount included in calculating the Net Pool Balance for purposes of any Monthly Report (for any reason other than such Receivable becoming a Defaulted Receivable), or (b) any of the representations or warranties of the Borrower set forth in Section 6.1(j), (l) or (p) was not true when made with respect to any Receivable, or any of the representations or warranties of the Borrower set forth in Section 6.1(l) is no longer true with respect to any Receivable, then, in such event, the Borrower shall be deemed to have received a Collection in an amount equal to (A) the amount of such reduction, cancellation or overstatement, in the case of the preceding clauses (a)(i), (a)(ii), (a)(iii) and (a)(iv), and (B) in the full amount of the Unpaid Net Balance of such Receivable in the case of the preceding clause (b).


 
Section 3.5 Release of Excess Cash Collateral. If on any Settlement Date, the balance in the LC Collateral Account exceeds the amount required, unless an Event of Default or an Unmatured Default Event shall exist and be continuing, the LC Issuer shall release the excess cash collateral to the Borrower. ARTICLE IV. FEES AND YIELD PROTECTION Section 4.1 Fees. Quest Diagnostics or the Borrower, as applicable, shall pay to each of the Agents, the LC Issuer and the Lenders certain fees from time to time in amounts and payable on such dates as are set forth in the Fee Letter. Section 4.2 Yield Protection. (a) If any Regulatory Change occurring after the date hereof: (i) shall subject an Affected Party to any Tax, duty or other charge with respect to its Obligations or, as applicable, its Commitment or its Liquidity Commitment, payments to the Affected Party of any Obligations, owed to or funded in whole or in part by it or any other amounts due under this Agreement in respect of its Obligations or, as applicable, its Commitment or its Liquidity Commitment except, in each case, for Taxes other than capital taxes imposed on such Affected Party’s loans, loan principal, Letters of Credit, commitments, or other obligations, or its deposits, reserves, other liabilities or capital attributable thereto; or (ii) shall impose, modify or deem applicable any reserve that was not included in the computation of the applicable Interest Rate, or any special deposit or similar requirement against assets of any Affected Party, deposits or obligations with or for the account of any Affected Party or with or for the account of any affiliate (or entity deemed by the Federal Reserve Board to be an affiliate) of any Affected Party, or credit extended by any Affected Party; or (iii) shall affect the amount of capital required or expected to be maintained by any Affected Party; or (iv) shall impose any other condition affecting any Obligation owned or funded in whole or in part by any Affected Party, or its rights or obligations, if any, to make Loans or Liquidity Fundings or to issue or participate in Letters of Credit; or (v) shall change the rate for, or the manner in which the Federal Deposit Insurance Corporation (or a successor thereto) assesses deposit insurance premiums or similar charges; or (vi) shall require any Conduit to be consolidated for financial accounting purposes with any other Person; and the result of any of the foregoing is or would be: (x) to increase the cost to or to impose a cost on (I) an Affected Party funding or making or maintaining any Loan, any Liquidity Funding, any Letter of Credit or participation therein, or any commitment of such Affected Party with respect to any of the foregoing, or (II) the LC Issuer, any of


 
the Agents for continuing its or the Borrower’s relationship with any Affected Party, in each case, in an amount deemed to be material by such Affected Party, (y) to reduce the amount of any sum received or receivable by an Affected Party under this Agreement or under the Liquidity Agreement, or (z) to reduce the rate of return on such Affected Party’s capital as a consequence of its Commitment, its Liquidity Commitment, the Letters of Credit or such Affected Party’s participation therein, or the Loans made by it to a level below that which such Affected Party could have achieved but for the occurrence of such circumstances, then, within thirty days after demand by such Affected Party (which demand shall be made not more than 90 days after the date on which the Affected Party obtains actual knowledge of such Regulatory Change and shall be accompanied by a certificate setting forth, in reasonable detail, the basis of such demand and the methodology for calculating, and the calculation of, the amounts claimed by the Affected Party), the Borrower shall pay directly to such Affected Party such additional amount or amounts as will compensate such Affected Party for such actual additional cost, actual increased cost or actual reduction. (b) Each Affected Party will promptly notify the Borrower, the Administrative Agent, the LC Issuer and the applicable Co-Agent of any event of which it has knowledge (including any future event that, in the judgment of such Affected Party, is reasonably certain to occur) which will entitle such Affected Party to compensation pursuant to this Section 4.2; provided, however, no failure to give or delay in giving such notification shall adversely affect the rights of any Affected Party to such compensation unless such notification is given more than 90 days after the Affected Party becomes aware of such Regulatory Change. (c) In determining any amount provided for or referred to in this Section 4.2, an Affected Party may use any reasonable averaging and attribution methods (consistent with its ordinary business practices) that it (in its reasonable discretion) shall deem applicable. Any Affected Party when making a claim under this Section 4.2 shall submit to the Borrower the above-referenced certificate as to such actual increased cost or actual reduced return (including calculation thereof in reasonable detail), which statement shall, in the absence of demonstrable error, be conclusive and binding upon the Borrower. (d) Each of the Lenders agrees, and shall require each Affected Party to agree that, with reasonable promptness after an officer of such Lender or such Affected Party responsible for administering the Transaction Documents becomes aware that it (x) has become an Affected Party under this Section 4.2, (y) is entitled to receive payments under this Section 4.2, or (z) is or has become subject to U.S. withholding Taxes payable by any Loan Party in respect of its investment hereunder, it will, to the extent not inconsistent with any internal policy of such Person or any applicable legal or regulatory restriction, (i) use all reasonable efforts to make, fund or maintain its commitment or investment hereunder through another branch or office of such Affected Party, or (ii) take such other reasonable measures, if, as a result thereof, the circumstances which would cause such Person to be an Affected Party under this Section 4.2 would cease to exist, or the additional amounts which would otherwise be required to be paid to such Person pursuant to this Section 4.2 would be reduced, or such withholding Taxes would be reduced, and if the making, funding or maintaining of such commitment or investment through such other office or in accordance with such


 
other measures, as the case may be, would not otherwise adversely affect such commitment or investment or the interests of such Person; provided that such Person will not be obligated to utilize such other lending office pursuant to this Section 4.2 unless the Borrower agrees to pay all incremental out-of-pocket expenses incurred by such Person as a result of utilizing such other office as described in clause (i) above. (e) If any Lender makes a claim for compensation under this Section 4.2, the Borrower may propose an Eligible Assignee to the applicable Co-Agent who is willing to accept an assignment of such Lender’s Commitment, Liquidity Commitment, outstanding Loans and interests in the Letters of Credit, as applicable, together with each of its other rights and obligations under the Transaction Documents; provided that any expenses or other amounts which would be owing to such Lender pursuant to any indemnification provision hereof (including, if applicable, Section 4.3) shall be payable by the Borrower as if the Borrower had prepaid the Loans of the assigning Lenders rather than such assigning Lenders having assigned their respective interests hereunder. If such proposed Eligible Assignee is acceptable to the applicable Co-Agent (who shall not unreasonably withhold or delay its approval), the claiming Lender will be obligated to assign all of its rights and obligations to such proposed Eligible Assignee within ten (10) Business Days after such Co-Agent gives its consent to such proposed Eligible Assignee. In addition, if one or more Affected Parties in one of the Groups (but not all of the Groups) requests compensation under Section 4.2(a), the Borrower shall have the right to (i) require all members of the Group to which such claiming part to assign all, but not less than all, of their Commitment(s) and outstanding Obligations, as applicable, by entering into written assignments with one or more Eligible Assignees identified by the Borrower, or (ii) to pay in full of all Obligations (if any) owing to such Group and terminate its Commitment(s) (as applicable). Each assignment pursuant to clause (i) above to an Eligible Assignee (which may include a Constituent of the other Co-Agent) shall become effective on the date specified therein subject to receipt of payment in full on such date for all Obligations, if any, owing to the Group being replaced, and the Group being replaced shall make the requested assignments; provided that any expenses or other amounts which would be owing to such Group pursuant to any indemnification provision hereof shall be payable by the Borrower as if the Borrower had prepaid the Loans of the assigning Group rather than the members of such Group having assigned their respective interests hereunder.


 
Section 4.3 Funding Losses. In the event that any Lender shall actually incur any actual loss or expense (including any actual loss or expense incurred by reason of the liquidation or reemployment of deposits or other funds acquired by such Lender to make or maintain any Loan or Liquidity Funding) as a result of (i) any payment of Principal with respect to such Lender’s Loan or Liquidity Funding being made on any day other than the scheduled last day of an applicable CP Tranche Period or Interest Period with respect thereto, including, without limitation, because of a payment required by Section 1.4 or a prepayment required by Section 1.5(b), (c) or (d) (it being understood that the foregoing shall not apply to any Alternate Base Rate Loans or Daily Term SOFR Loans), or (ii) any Loan not being made in accordance with a request therefor under Section 2.1, then, upon written notice from the applicable Co-Agent to the Administrative Agent, the Borrower and the Servicer, the Borrower shall pay to the Servicer, and the Servicer shall pay to the applicable Co-Agent for the account of such Lender, the amount of such actual loss or expense; provided, however, that in the case of any Pool Funded Conduit, nothing in this Section 4.3 shall duplicate any amount paid to it as Broken Funding Costs. Such written notice (which shall include the methodology for calculating, and the calculation of, the amount of such actual loss or expense, in reasonable detail) shall, in the absence of demonstrable error, be conclusive and binding upon the Borrower and the Servicer. Section 4.4 Inability to Determine Rates. Subject to Section 4.6, if, prior to the first day of any Interest Period for any Term SOFR Loan or on any day for any Daily Term SOFR Loan: (i) any applicable Co-Agent determines (which determination shall be conclusive and binding absent manifest error) that “Term SOFR,” “Daily One Month Term SOFR” or “Daily Three Month Term SOFR,” as applicable, cannot be determined pursuant to the applicable definition thereof, or (ii) any applicable Co-Agent determines that for any reason in connection with (x) any request for a Term SOFR Loan or a Daily Term SOFR Loan or a conversion thereto or a continuation thereof or (y) the maintenance of a Daily Term SOFR Loan, that Adjusted Term SOFR for any requested Interest Period with respect to a proposed Term SOFR Loan or the applicable Daily Term SOFR for any day with respect to a Daily Term SOFR Loan does not adequately and fairly reflect the cost to the applicable Lender(s) in its Group of funding such Term SOFR Loan or Daily Term SOFR Loan or maintaining such Daily Term SOFR Loan, as applicable, and such Co-Agent has provided notice of such determination to the Administrative Agent, the Administrative Agent will promptly so notify the Borrower and each Co-Agent. Upon notice thereof by the Administrative Agent to the Borrower, any obligation of the Lenders in such Group to make Term SOFR Loans or to make or maintain Daily Term SOFR Loans, as applicable, and any right of the Borrower to continue Term SOFR Loans or Daily Term SOFR Loans or to convert Alternate Base Rate Loans to Term SOFR Loans or Daily Term SOFR Loans, shall be suspended (to the extent of the affected Term SOFR Loans or affected Interest Periods or affected Daily Term SOFR Loans, as applicable) until the Administrative Agent (with respect to clause (ii), at the instruction of the applicable Co-Agent) revokes such notice. Upon receipt of such notice, (i) the Borrower may revoke any pending request for a borrowing of, conversion to or continuation of Term SOFR Loans or Daily Term SOFR Loans (to the extent of the affected Term SOFR Loans or affected Interest Periods or affected Daily Term SOFR Loans) or, failing that, the Borrower will be deemed to have converted any such request into a request for a Borrowing of or conversion to Alternate Base Rate Loans in the amount specified therein and (ii) any


 
outstanding affected Term SOFR Loans and Daily Term SOFR Loans, as applicable, will be deemed to have been converted into Alternate Base Rate Loans at the end of the applicable Interest Period, in the case of affected Term SOFR Loans, or immediately, in the case of affected Daily Term SOFR Loans. Upon any such conversion, the Borrower shall also pay accrued interest on the amount so converted, together with any additional amounts required pursuant to Section 4.3. Subject to Section 4.6, if an applicable Co-Agent determines (which determination shall be conclusive and binding absent manifest error) that “Term SOFR” cannot be determined pursuant to the definition thereof on any given day, the interest rate on Alternate Base Rate Loans shall be determined by the Administrative Agent without reference to clause (c) of the definition of “Alternate Base Rate” until the Administrative Agent revokes such determination. Section 4.5 Illegality. If any Lender determines that any Law has made it unlawful, or that any Governmental Authority has asserted that it is unlawful, for any Lender or its applicable lending office to make, maintain or fund Loans whose interest is determined by reference to SOFR, the Term SOFR Reference Rate, Term SOFR, Daily One Month Term SOFR or Daily Three Month Term SOFR (each such Loan, a “SOFR Loan”), or to determine or charge interest rates based upon SOFR, the Term SOFR Reference Rate, Term SOFR, Daily One Month Term SOFR or Daily Three Month Term SOFR, then, upon notice thereof by such Lender to the Borrower (through such Lender’s Co-Agent), (a) any obligation of such Lender to make or maintain a SOFR Loan, and any right of the Borrower to continue SOFR Loans or to convert Alternate Base Rate Loans to SOFR Loans, shall be suspended, and (b) the Alternate Base Rate shall, if necessary to avoid such illegality, be determined by the Administrative Agent without reference to clause (c) of the definition of “Alternate Base Rate”, in each case until such Lender notifies the Agents and the Borrower that the circumstances giving rise to such determination no longer exist. Upon receipt of such notice, (i) the Borrower shall, if necessary to avoid such illegality, upon demand from any Lender (with a copy to the Administrative Agent), prepay or, if applicable, convert all SOFR Loans to Alternate Base Rate Loans (and the Alternate Base Rate shall, if necessary to avoid such illegality, be determined by the Administrative Agent without reference to clause (c) of the definition of “Alternate Base Rate”), on the last day of the Interest Period therefor with respect to Term SOFR Loans, if all affected Lenders may lawfully continue to maintain such Term SOFR Loans to such day, or immediately, in the case of Daily Term SOFR Loans or if any Lender may not lawfully continue to maintain such Term SOFR Loans to such day, and (ii) if necessary to avoid such illegality, the Administrative Agent shall during the period of such suspension compute the Alternate Base Rate without reference to clause (c) of the definition of “Alternate Base Rate,” in each case until the Administrative Agent is advised in writing by each affected Lender or its Co-Agent that it is no longer illegal for such Lender to determine or charge interest rates based upon SOFR, the Term SOFR Reference Rate, Term SOFR, Daily One Month Term SOFR or Daily Three Month Term SOFR. Upon any such prepayment or conversion, the Borrower shall also pay accrued interest on the amount so prepaid or converted, together with any additional amounts required pursuant to Section 4.3. Section 4.6 Benchmark Setting. (a) Benchmark Replacement. Notwithstanding anything to the contrary herein or in any other Transaction Document, upon the occurrence of a Benchmark Transition Event, the Administrative Agent (after consultation with the Co-Agents) and the Borrower may amend this Agreement to replace the then-current Benchmark with a Benchmark Replacement. Any such amendment with respect to a Benchmark Transition Event will become effective at 5:00 p.m. (New York City time) on the fifth (5th) Business Day after the Administrative Agent has posted such proposed amendment to all Co-Agents and the Borrower so long as the Administrative Agent has not


 
received, by such time, written notice of objection to such amendment from any Co-Agent. No replacement of a Benchmark with a Benchmark Replacement pursuant to this Section 4.6(a) will occur prior to the applicable Benchmark Transition Start Date. (b) Benchmark Replacement Conforming Changes. In connection with the use, administration, adoption or implementation of a Benchmark Replacement, the Administrative Agent will have the right to make Conforming Changes from time to time and, notwithstanding anything to the contrary herein or in any other Transaction Document, any amendments implementing such Conforming Changes will become effective without any further action or consent of any other party to this Agreement or any other Transaction Document. (c) Notices; Standards for Decisions and Determinations. The Administrative Agent will promptly notify the Borrower and the Lenders of (i) the implementation of any Benchmark Replacement and (ii) the effectiveness of any Conforming Changes in connection with the use, administration, adoption or implementation of a Benchmark Replacement. The Administrative Agent will promptly notify the Borrower of the removal or reinstatement of any tenor of a Benchmark pursuant to Section 4.6(d). Any determination, decision or election that may be made by the Administrative Agent or, if applicable, any Lender (or group of Lenders) pursuant to this Section 4.6, including any determination with respect to a tenor, rate or adjustment or of the occurrence or non-occurrence of an event, circumstance or date and any decision to take or refrain from taking any action or any selection, will be conclusive and binding absent manifest error and may be made in its or their sole discretion and without consent from any other party to this Agreement or any other Transaction Document, except, in each case, as expressly required pursuant to this Section 4.6. (d) Unavailability of Tenor of Benchmark. Notwithstanding anything to the contrary herein or in any other Transaction Document, at any time (including in connection with the implementation of a Benchmark Replacement), (i) if the then-current Benchmark is a term rate (including the Term SOFR Reference Rate) and either (A) any tenor for such Benchmark is not displayed on a screen or other information service that publishes such rate from time to time as selected by the Administrative Agent in its reasonable discretion or (B) the administrator of such Benchmark or the regulatory supervisor for the administrator of such Benchmark has provided a public statement or publication of information announcing that any tenor for such Benchmark is not or will not be representative or in compliance with or aligned with the International Organization of Securities Commissions (IOSCO) Principles for Financial Benchmarks, then the Administrative Agent may modify the definition of “Interest Period”, “Daily One Month Term SOFR” or “Daily Three Month Term SOFR” (or any similar or analogous definition) for any Benchmark settings at or after such time to remove such unavailable, non-representative, non-compliant or non-aligned tenor and (ii) if a tenor that was removed pursuant to clause (i) above either (A) is subsequently displayed on a screen or information service for a Benchmark (including a Benchmark Replacement) or (B) is not, or is no longer, subject to an announcement that it is not or will not be representative or in compliance with or aligned with the International Organization of Securities Commissions (IOSCO) Principles for Financial Benchmarks for a Benchmark (including a Benchmark Replacement), then the Administrative Agent (in consultation with the Borrower) may modify the definition of “Interest Period”, “Daily One Month Term SOFR” or “Daily Three Month Term SOFR” (or any similar or analogous definition) for all Benchmark settings at or after such time to reinstate such previously removed tenor. (e) Benchmark Unavailability Period. Upon the Borrower’s receipt of notice of the commencement of a Benchmark Unavailability Period, the Borrower may revoke any pending request


 
for a borrowing of, conversion to or continuation of SOFR Loans to be made, converted or continued during any Benchmark Unavailability Period and, failing that, the Borrower will be deemed to have converted any such request into a request for a borrowing of or conversion to Alternate Base Rate Loans. For the avoidance of doubt, upon the commencement of a Benchmark Unavailability Period, all outstanding Daily Term SOFR Loans shall be automatically and immediately converted to Alternate Base Rate Loans. During a Benchmark Unavailability Period or at any time that a tenor for the then-current Benchmark is not an Available Tenor, the component of the Alternate Base Rate based upon the then-current Benchmark or such tenor for such Benchmark, as applicable, will not be used in any determination of the Alternate Base Rate. ARTICLE V. CONDITIONS PRECEDENT Section 5.1 [Intentionally Deleted]. Section 5.2 Conditions Precedent to All Credit Events. Each Credit Event (including the initial Credit Event under this Agreement but excluding the funding of an LC Advance) shall be subject to the conditions precedent that on the applicable Borrowing Date, each of the following statements shall be true (and the Borrower, by accepting the proceeds of any Advance comprising such Credit Event, and each other Loan Party, upon such acceptance by the Borrower, shall be deemed to have certified that): (a) the representations and warranties contained in Section 6.1 are correct in all respects on and as of the date of such Advance as though made on and as of such day and shall be deemed to have been made on such day (except for such representations which speak only as of an earlier date), (b) no event has occurred and is continuing, or would result from such Advance, that constitutes an Event of Default or Unmatured Default, (c) the Termination Date shall not have occurred, (d) if such Advance is to be funded, in whole or in part, by any Conduit’s Liquidity Banks, such Conduit shall have Liquidity Banks in its Group with sufficient undrawn Commitments in an aggregate amount sufficient to fund the requisite portion of such Advance, and (e) each of the Co-Agents shall have received (with such receipt to be determined in accordance with Section 14.2 of this Agreement) a timely Borrowing Request in accordance with Section 2.1; provided, however, the absence of the occurrence and continuance of an Unmatured Default shall not be a condition precedent to any Advance which does not increase the aggregate Principal amount of all Advances outstanding over the aggregate outstanding Principal balance of the Advances as of the opening of business on such day.


 
ARTICLE VI. REPRESENTATIONS AND WARRANTIES Section 6.1 Representations and Warranties of Loan Parties. As of the date hereof and as of the date of each Credit Event, each Loan Party, as to itself, represents and warrants to the Agents and the Lenders as follows: (a) Ownership of the Borrower. Quest Diagnostics owns, directly or indirectly, all the issued and outstanding Equity Interests of the Borrower, and all of such Equity Interests are fully paid and non-assessable and are free and clear of any Liens. (b) Existence; Due Qualification; Permits. Each of the Loan Parties: (i) is a corporation duly organized, validly existing and in good standing under the laws of the jurisdiction of its organization; (ii) has all requisite corporate power and authority necessary to own its Property and carry on its business as now being conducted; (iii) is qualified to do business and is in good standing in all jurisdictions in which the nature of the business conducted by it makes such qualification necessary; and (iv) is in compliance with all Requirements of Law, except in the case of clauses (i), (ii), (iii) and (iv) where the failure thereof individually or in the aggregate could not reasonably be expected to have a Material Adverse Effect. The Loan Parties hold all governmental permits, licenses, authorizations, consents and approvals necessary for the Loan Parties to own, lease, and operate their respective Properties and to operate their respective businesses as now being conducted (collectively, the “Permits”), except for Permits the failure to obtain which would not have a Material Adverse Effect. None of the Permits has been modified in any way that is reasonably likely to have a Material Adverse Effect. All Permits are in full force and effect except where the failure of such to be in full force and effect would not have a Material Adverse Effect. (c) Action. Each Loan Party has all necessary corporate or other entity power, authority and legal right to execute, deliver and perform its obligations under each Transaction Document to which it is a party and to consummate the transactions herein and therein contemplated; the execution, delivery and performance by each Loan Party of each Transaction Document to which it is a party and the consummation of the transactions herein and therein contemplated have been duly authorized by all necessary corporate action on its part; and this Agreement has been duly and validly executed and delivered by each Loan Party and constitutes, and each of the other Transaction Documents to which it is a party when executed and delivered by such Loan Party will constitute, its legal, valid and binding obligation, enforceable against each Loan Party in accordance with its terms, except as such enforceability may be limited by (i) bankruptcy, insolvency, fraudulent conveyance, reorganization, moratorium or similar laws of general applicability from time to time in effect affecting the enforcement of creditors’ rights and remedies and (ii) the application of general principles of equity (regardless of whether such enforceability is considered in a proceeding in equity or at law). (d) Absence of Default. No Unmatured Default or Event of Default has occurred and is continuing. (e) Noncontravention. (i) None of the execution, delivery and performance by a Loan Party of any Transaction Document to which it is a party nor the consummation of the transactions herein and therein contemplated will (A) conflict with or result in a breach of, or require any consent (which has


 
not been obtained and is in full force and effect) under, an Organic Document of such Loan Party or any applicable Requirement of Law or any order, writ, injunction or decree of any Governmental Authority binding on such Loan Party, or any term or provision of any Contractual Obligation of such Loan Party or (B) constitute (with due notice or lapse of time or both) a default under any such Contractual Obligation, or (C) result in the creation or imposition of any Lien (except for the Liens created pursuant to the Transaction Documents) upon any Property of such Loan Party pursuant to the terms of any such Contractual Obligation, except with respect to each of the foregoing which could not reasonably be expected to have a Material Adverse Effect and which would not subject any Lender to any material risk of damages or liability to third parties. (ii) No Loan Party is in default under any material contract or agreement to which it is a party or by which it is bound, nor, to such Loan Party’s knowledge, does any condition exist that, with notice or lapse of time or both, would constitute such default, excluding in any case such defaults that are not reasonably likely to have a Material Adverse Effect. (f) No Proceedings. Except as described in Quest Diagnostics’ Form 10-K for the fiscal year ended December 31, 20232024 and all filings made with the SEC under the Exchange Act by any Loan Party subsequent thereto prior to the Eighth Amendment Effective Date (copies of which have been provided to each of the Co-Agents or made available on EDGAR): (i) There is no Proceeding (other than any qui tam Proceeding, to which this Section is limited to the best of each Loan Party’s knowledge) pending against, or, to the knowledge of either Loan Party, threatened in writing against or affecting, any Loan Party or any of its respective Properties before any Governmental Authority that, if determined or resolved adversely to such Loan Party, could reasonably be expected to have a Material Adverse Effect. (ii) There is (A) no unfair labor practice complaint pending against any Loan Party or, to the best knowledge of each Loan Party, threatened against such Loan Party, before the National Labor Relations Board or any other Governmental Authority, and no grievance or arbitration proceeding arising out of or under any collective bargaining agreement is so pending against such Loan Party or, to the best knowledge of such Loan Party after due inquiry, threatened against such Loan Party, (B) no strike, labor dispute, slowdown or stoppage pending against such Loan Party or, to the best knowledge of Borrower, after due inquiry, threatened against such Loan Party and (C) to the best knowledge of Borrower after due inquiry, no union representation question existing with respect to the employees of such Loan Party and, to the best knowledge of such Loan Party, no union organizing activities are taking place, except such as would not, with respect to any matter specified in clause (A), (B) or (C) above, individually or in the aggregate, have a Material Adverse Effect. (g) Taxes. (i) Except as would not have a Material Adverse Effect: (A) all tax returns, statements, reports and forms (including estimated Tax or information returns) (collectively, the “Tax Returns”) required to be filed with any taxing authority by, or with respect to, each Loan Party have been timely filed in accordance with all applicable laws; (B) each Loan Party has timely paid or made adequate provision for payment of all Taxes shown as due and payable on Tax Returns that have been so filed, and, as of the time of filing, each Tax Return was accurate and complete and correctly reflected the facts regarding income, business, assets, operations, activities and the status of each Loan Party (other than Taxes which are being contested in good faith and for which adequate reserves are


 
reflected on the financial statements delivered hereunder); and (C) each Loan Party has made adequate provision for all Taxes payable by such Loan Party for which no Tax Return has yet been filed. (ii) Except as set forth in Quest Diagnostics’ Annual Report on Form 10-K for the year ended December 31, 20232024 and all filings made with the SEC under the Exchange Act by any Loan Party subsequent thereto prior to the Eighth Amendment Effective Date (copies of which have been provided to each of the Co-Agents or made available on EDGAR): (A) as of the Eighth Amendment Effective Date no Loan Party is a member of an affiliated group of corporations within the meaning of Section 1504 of the Code other than an affiliated group of corporations of which Quest Diagnostics is the common parent; and (B) there are no material tax sharing or tax indemnification agreements under which Borrower is required to indemnify another party for a material amount of Taxes. (h) Government Approvals. No authorizations, approvals or consents of, and no filings or registrations with, any Governmental Authority or any securities exchange are necessary for the execution, delivery or performance by any Loan Party of the Transaction Documents to which it is a party or for the legality, validity or enforceability hereof or thereof or for the consummation of the transactions herein and therein contemplated, except for filings and recordings in respect of the Liens created pursuant to the Transaction Documents (all of which have been duly made or delivered to the Administrative Agent’s counsel for filing or may be prepared by the Administrative Agent for filing in accordance with the terms of this Agreement) and except for consents, authorizations and filings that have been obtained or made and are in full force and effect or the failure of which to obtain would not have a Material Adverse Effect. (i) Financial Statements and Absence of Certain Material Adverse Changes. (i) The information, reports, financial statements, exhibits and schedules furnished in writing by either of the Loan Parties to each of the Co-Agents or Lenders in connection with the negotiation, preparation or delivery of the Transaction Documents, including Quest Diagnostics’ Annual Report on Form 10-K for the year ended December 31, 20232024, but in each case excluding all projections, whether prior to or after the Eighth Amendment Effective Date, when taken as a whole, do not, as of the date such information was furnished, contain any untrue statement of material fact or omit to state a material fact necessary in order to make the statements herein or therein, in light of the circumstances under which they were made, not materially misleading; it being understood that certain financial information so furnished, including without limitation information contained in the Weekly Reports and Monthly Reports, has not been prepared in accordance with GAAP and might vary materially from information prepared and presented in accordance with GAAP on the same subject matter. Each Loan Party understands that all such statements, representations and warranties shall be deemed to have been relied upon by the Lenders as a material inducement to make each extension of credit hereunder. (ii) From December 31, 2023 through and including the Eighth Amendment Effective Date2024, there has been no material adverse change in Quest Diagnostics’ consolidated financial condition, business or operations. Since December 31, 20232024, there has been no material adverse change in Quest Diagnostics’ consolidated financial condition, business or operations that has had, or would reasonably be expected to have, a material adverse effect upon its ability to perform its obligations, as an Originator or as Servicer, under the Transaction Documents when and as required, and no material adverse effect on the collectability of any material portion of the Receivables.


 
(iii) Since the date hereof, no event has occurred which would have a Material Adverse Effect. (j) Nature of Receivables. Each Receivable constitutes an Account or a Payment Intangible. (k) Margin Regulations. The use of all funds obtained by such Loan Party under this Agreement or any other Transaction Document will not conflict with or contravene any of Regulation T, U or X. (l) Title to Purchased Assets and Quality of Title. (i) Each Purchased Asset has been acquired by the Borrower from an Originator in accordance with the terms of the Sale Agreement, and the Borrower has thereby irrevocably obtained good title to such Purchased Asset and its Related Assets, free and clear of all Adverse Claims (except as created under the Transaction Documents), and the Borrower has the legal right to sell and encumber, such Purchased Asset and the Related Assets. Without limiting the foregoing, there have been duly filed or delivered to the Administrative Agent’s counsel in form suitable for filing, all financing statements and financing statements amendments or other similar instruments or documents necessary under the UCC of all appropriate jurisdictions to perfect the Borrower’s ownership interest in such Purchased Asset. (ii) This Agreement creates a valid security interest in the Collateral in favor of the Administrative Agent, for the benefit of the Secured Parties, and, upon filing of the financing statements and amendments described in clause (i), together with UCC termination statements delivered under the Sale Agreement, such security interest will be a first priority perfected security interest. (iii) No financing statement executed or otherwise authorized by any Originator or Loan Party or other instrument similar in effect covering any portion of the Collateral is on file in any recording office except such as may be filed (A) in favor of an Originator in accordance with the Contracts, (B) in favor of the Borrower and its assigns in connection with the Sale Agreement, (C) in favor of the Administrative Agent in accordance with this Agreement, (D) in connection with any Lien arising solely as the result of any action taken by the Administrative Agent or one of the Secured Parties, or (E) which shall have been terminated or amended pursuant to UCC financing statements delivered to or prepared by the Administrative Agent hereunder in form suitable for filing in all applicable jurisdictions. (m) Accurate Reports. No Monthly Report, Weekly Report or computation of Cash Collateral Payment (in each case, if prepared by such Loan Party, or to the extent information therein was supplied by such Loan Party), no other information, exhibit, schedule or information concerning the Collateral furnished or to be furnished verbally or in writing before or after the date of this Agreement, by or on behalf of such Loan Party to each of the Co-Agents or Lenders pursuant to this Agreement was inaccurate in any material respect as of the date it was dated or (except as otherwise disclosed to each of the Co-Agents or the Lenders at such time) as of the date so furnished, or contained or (in the case of information or other materials to be furnished in the future) will contain any material misstatement of fact or omitted or (in the case of information or other materials to be furnished in the future) will omit to state a material fact or any fact necessary to make the statements


 
contained therein not materially misleading in light of the circumstances made or presented (it being understood that the Monthly Reports and Weekly Reports are not prepared in accordance with GAAP and that reports prepared in accordance with GAAP on the same subject matter might vary materially; and certain reconciling information with respect to Purchased Assets will be set forth in the Monthly Report). (n) Jurisdiction of Organization; Offices. Each Loan Party’s jurisdiction of organization is correctly set forth after its name in the preamble to this Agreement. The principal places of business and chief executive office of the Borrower is located at the addresses set forth on Schedule 6.1(n), and the offices where the Servicer and the Borrower keep all their Records and material Contracts are located at the addresses specified in Schedule 6.1(n) (or at such other locations, notified to each of the Co-Agents in accordance with Section 7.1(f), in jurisdictions where all action required by Section 8.5 has been taken and completed). (o) Lockboxes and Collection Accounts. (i) One of the Loan Parties or the applicable Originator has instructed all Obligors of Private Receivables to pay all Collections thereon either (A) by wire transfer, ACH or other electronic funds transfer directly to a Collection Account in the name of the Borrower that at all times after December 31, 2016 is subject to a Collection Account Agreement, or (B) by mail addressed to a Lockbox that clears each Business Day through a Collection Account in the name of the Borrower that meets the requirements of the preceding clause (A). One of the Loan Parties or the applicable Originator has instructed all Obligors of Specified Government Receivables to pay all Collections thereon either (X) by wire transfer, ACH or other electronic funds transfer directly to a Collection Account in the name, and under the control, of the Originator whose services gave rise thereto which is swept each Business Day into a Collection Account in the name of the Borrower that meets the requirements of clause (A) above, or (Y) by mail addressed to a Lockbox that clears each Business Day through a Collection Account in the name, and under the control, of the Originator whose services gave rise thereto which is swept each Business Day into a Collection Account in the name of the Borrower that meets the requirements of clause (A) above. Each of the agreements establishing and governing the maintenance of the Lockboxes and Collection Accounts is in full force and effect, and at all times after December 31, 2016, each of the Collection Accounts in the name of the Borrower is subject to a Collection Account Agreement that is in full force and effect. (ii) The Borrower has not granted any Person other than the Administrative Agent, control of any Collection Account or any Lockbox, or the right to take control of any of the foregoing at a future time or upon the occurrence of a future event. (p) Eligible Receivables. Each Receivable included as an Eligible Receivable in the Net Pool Balance in connection with any computation or recomputation of the Borrowing Base is an Eligible Receivable on such date, and each Participation Interest included as an Eligible Participation Interest in the Net Pool Balance in connection with any computation or recomputation of the Borrowing Base is an Eligible Participation Interest on such date. (q) ERISA. No ERISA Event has occurred or is reasonably expected to occur which could have a Material Adverse Effect. The present value of all accumulated benefit obligations of all underfunded Pension Plans (based on the assumptions used for purposes of Statement of Financial Accounting Standards No. 87) did not, as of the date of the most recent financial statements reflecting


 
such amounts, exceed by more than $20.0 million the fair market value of the assets of all such underfunded Pension Plans. Each ERISA Entity is in compliance in all material respects with the presently applicable provisions of ERISA and the Code with respect to each Employee Benefit Plan. Using actuarial assumptions and computation methods consistent with subpart 1 of subtitle E of Title IV of ERISA, the aggregate liabilities of any of each ERISA Entity to all Multiemployer Plans in the event of a complete withdrawal therefrom, as of the close of the most recent fiscal year of each such Multiemployer Plan, would not result in a Material Adverse Effect. All Foreign Plans are in substantial compliance with all Requirements of Law (other than to the extent such failure to comply would not reasonably be expected to have a Material Adverse Effect). (r) Names. Since its incorporation, the Borrower has not used any legal names, trade names or assumed names other than (i) the name in which it has executed this Agreement, and (ii) any other name to which the Administrative Agent gives its prior written consent (which consent will not be unreasonably withheld or delayed). (s) Credit and Collection Policy. With respect to the Receivables originated by each of the Originators, each of the applicable Originator, the Borrower and the Servicer has complied in all material respects with the applicable Credit and Collection Policy, and no change has been made to such Credit and Collection Policy since the date of this Agreement which would be reasonably likely to materially and adversely affect the collectability of the Receivables or decrease the credit quality of any newly created Receivables except for such changes as to which each of the Co-Agents has received the notice required under Section 7.2(h) and has given its prior written consent thereto (which consent shall not be unreasonably withheld or delayed). (t) Payments to Applicable Originator. With respect to each Purchased Asset sold or contributed to the Borrower by any Originator under the Sale Agreement, the Borrower has given reasonably equivalent value to such Originator in consideration for such Purchased Asset and the Related Assets with respect thereto and no such transfer is or may be voidable under any Section of the Bankruptcy Reform Act of 1978 (11 U.S.C. §§101 et seq.), as amended (the “Bankruptcy Code”). (u) Volcker Rule; Investment Company Act; Other Restrictions. Such Loan Party (i) is not a “covered fund” under the Volcker Rule and (ii) is not required to register as, an “investment company” within the meaning of the Investment Company Act of 1940, as amended, or any successor statute. In determining that such Loan Party is not a covered fund, such Loan Party does not rely solely on the exemption from the definition of “investment company” set forth in Section 3(c)(1) and/or 3(c)(7) of the Investment Company Act of 1940. Such Loan Party is not subject to regulation under any law or regulation which limits its ability to incur Indebtedness, other than Regulation X of the Board of Governors of the Federal Reserve System. (v) Borrowing Base; Solvency. The Borrowing Base is at all times at least equal to the aggregate outstanding Principal balance of the Advances. As of each Borrowing Date, after giving effect to any Loans to be borrowed on such date, the Borrower is and will be Solvent. (w) Transaction Information. Such Loan Party and its Affiliates (or any third party with which such Loan Party or any Affiliate thereof has contracted) has not delivered, in writing or orally, to any Rating Agency, any Transaction Information without providing such Transaction Information to the applicable Co-Agent prior to delivery to such Rating Agency and has not participated in any oral


 
communications with respect to Transaction Information with any Rating Agency without the participation of such Co-Agent. (x) Risk Retention. The Originators, individually or through related entities, have collectively retained a material net economic interest in the Receivables in an amount at least equal to the percentage required under, and in a manner permitted by, Paragraph 1 of Article 405 of the European Union Capital Requirements Regulation by reference to the portion of Receivables for which each is the applicable Originator, and have not entered into any credit risk mitigation or any short positions or any other hedge in a manner with respect to such net economic interest, except to the extent permitted by the European Union Risk Retention Requirements. (y) Anti-Corruption Laws and Sanctions. Each Loan Party has implemented and maintains in effect policies and procedures designed to ensure compliance by such Loan Party, its Subsidiaries and their respective directors, officers, employees and agents with Anti-Corruption Laws and applicable Sanctions, and each Loan Party, its Subsidiaries and their respective officers and employees and to the knowledge of such Loan Party its directors and agents are in compliance with Anti- Corruption Laws and applicable Sanctions in all material respects. None of (a) any Loan Party, any Subsidiary or, to the knowledge of such Loan Party, any of their respective directors, officers or employees, or (b) to the knowledge of such Loan Party, any agent of such Loan Party or any Subsidiary that will act in any capacity in connection with or benefit from the credit facility established hereby, is a Sanctioned Person. No Loan or Letter of Credit, use of the proceeds of any Loan or any Letter of Credit or other transaction contemplated by this Agreement will result in a violation by any party hereto of Anti-Corruption Laws or applicable Sanctions. (z) Anti-Corruption Laws. No part of the proceeds of any Loan hereunder will be used directly or indirectly to fund any operations in, finance any investments or activities in or make any payments to, a Sanctioned Person or in any Sanctioned Country in violation of Anti-Corruption Laws or applicable Sanctions. (aa) Liquidity Coverage Ratio. The Borrower has not issued, does not issue and will not issue during the term of this Agreement (i) any obligations that (A) constitute asset-backed commercial paper, or (B) are securities required to be registered under the Securities Act of 1933 (the “33 Act”) or that may be offered for sale under Rule 144A or a similar exemption from registration under the 33 Act or the rules promulgated thereunder, or (ii) any other debt obligations or equity interests other than debt obligations substantially similar to the obligations of the Borrower under this Agreement that are (A) issued to other banks or asset-backed commercial paper conduits in privately negotiated transactions, and (B) subject to transfer restrictions substantially similar to the restrictions on assignment set forth in this Agreement. The Borrower further represents and warrants that its assets and liabilities are consolidated with the assets and liabilities of Quest Diagnostics for purposes of GAAP. (ab) Beneficial Ownership Rule. The Borrower is an entity that is organized under the laws of the United States or of any state thereof and at least 51 percent of whose common stock or analogous equity interest is owned by a Person whose common stock or analogous equity interests are listed on the New York Stock Exchange or the American Stock Exchange or has been designated as a NASDAQ National Market Security listed on the NASDAQ stock exchange and is excluded on that basis from the definition of “Legal Entity Customer” as defined in the Beneficial Ownership Rule.


 
ARTICLE VII. GENERAL COVENANTS OF LOAN PARTIES Section 7.1 Affirmative Covenants of Loan Parties. From the date hereof until the Final Payout Date, unless each of the Co-Agents shall otherwise consent in writing: (a) Compliance With Laws, Etc. Each Loan Party will comply with all applicable laws, rules, regulations and orders, including those with respect to the Receivables and related Contracts and Invoices, except, in each of the foregoing cases, where the failure to so comply would not individually or in the aggregate have a Material Adverse Effect. (b) Preservation of Existence. Each Loan Party will preserve and maintain its existence, rights, franchises and privileges in the jurisdiction of its incorporation, and qualify and remain qualified in good standing as a foreign corporation in each jurisdiction where the failure to preserve and maintain such existence, rights, franchises, privileges and qualification would have a Material Adverse Effect. (c) Audits. Each Loan Party will, subject to compliance with applicable law: (i) at any time and from time to time upon not less than ten (10) Business Days’ notice (unless an Unmatured Default or Event of Default has occurred and is continuing, in which case, not more than one (1) Business Day’s notice shall be required) during regular business hours, permit each of the Agents or any of its agents or representatives: (A) to examine and make copies of and abstracts from all Records, Contracts and Invoices in the possession or under the control of such Loan Party, and (B) to visit the offices and properties of such Loan Party for the purpose of examining such Records, Contracts and Invoices and to discuss matters relating to Receivables or such Loan Party’s performance hereunder with any of the officers or employees of such Loan Party having knowledge of such matters; and (ii) without limiting the provisions of clause (i) above, from time to time, at the expense of such Loan Party, permit certified public accountants or auditors acceptable to each of the Co-Agents to conduct a review of such Loan Party’s Contracts, Invoices and Records (each, a “Review”); provided, however, that (x) so long as no Event of Default has occurred and is continuing, the Loan Parties shall only be responsible for the costs and expenses of one (1) such Review in any calendar year hereafter unless the first such Review in a calendar year resulted in negative findings (in which case the Loan Parties shall be responsible for the costs and expenses of two (2) such Reviews in such calendar year). Notwithstanding the foregoing, if (x) any Loan Party requests the approval of a new Eligible Originator who is a Material Proposed Addition or (y) any Material Acquisition is consummated, the Loan Parties shall be responsible for the costs and expenses of one additional Review per proposed Material Proposed Addition or per Material Acquisition in the calendar year in which such Material Proposed Addition is expected to occur or such Material Acquisition is expected to be consummated if such additional Review is requested by any of the Co-Agents. (d) Keeping of Records and Books of Account. The Servicer will maintain and implement administrative and operating procedures (including, without limitation, an ability to recreate essential Records evidencing the Receivables in the event of the destruction of the originals thereof), and keep and maintain, all Contracts, Records and other information necessary or reasonably advisable for the collection of all Receivables (including, without limitation, Records adequate to permit the identification as of any Business Day when required of outstanding Unpaid Net Balances by Obligor and related debit and credit details of the Receivables). Each of the Borrower and the Servicer shall


 
post all Demand Advances to its respective books in accordance with GAAP on or before each Settlement Date. (e) Performance and Compliance with Receivables, Invoices and Contracts. Each Loan Party will, at its expense, timely and fully perform and comply with all provisions, covenants and other promises, if any, required to be observed by it under the Contracts and/or Invoices related to the Receivables except for such failures to fully perform and comply as would not, individually or in the aggregate, have a Material Adverse Effect. (f) Jurisdiction of Organization; Location of Records. Each Loan Party will keep its jurisdiction of organization, chief place of business and (at any time while the location of its chief executive office remains germane to perfection of any of the security interests or ownership interests purported to be conveyed pursuant to the Transaction Documents) its chief executive office, and the offices where it keeps its Records and material Contracts (and, to the extent that any of the foregoing constitute instruments, chattel paper or negotiable documents, all originals thereof), at the address (es) of the Servicer and the Borrower referred to in Section 6.1(n) or, upon 15 days’ prior written notice to the Administrative Agent, at such other locations in jurisdictions where all action required by Section 8.5 shall have been taken and completed. (g) Credit and Collection Policies. Each Loan Party will comply in all material respects with its Credit and Collection Policy in regard to the Receivables and the related Contracts and Invoices. (h) Sale Agreement. The Borrower will perform and comply in all material respects with all of its covenants and agreements set forth in the Sale Agreement, and will enforce the performance by each Originator of its respective obligations thereunder. (i) Collections. (i) Each of the Loan Parties will instruct all Obligors to make all payments on Receivables to a Lockbox or Collection Account meeting the requirements of Section 6.1(o)(i). (ii) If, notwithstanding the foregoing clause (i) above, any Collections are paid directly to any Loan Party, such Loan Party shall deposit the same (with any necessary indorsements) to a Collection Account within one (1) Business Day after receipt thereof. (iii) Upon demand of any of the Agents at any time following the occurrence of any Unmatured Default or Event of Default, the Borrower or the Servicer shall establish a segregated account at PNC which is subject to a perfected security interest in favor of the Administrative Agent, for the benefit of the Secured Parties (the “Collateral Account”), into which all deposits from time to time in the Collection Accounts, and all other Collections, are concentrated pending application in accordance with the terms of this Agreement to the Obligations. (j) Anti-Money Laundering; Know Your Customer. Upon the reasonable request of any Agent, the Borrower shall provide to such Agent the documentation and other information so requested in connection with applicable “know your customer” and anti-money-laundering and counter-terrorist financing laws, rules, and regulations. The Borrower shall promptly notify each Agent of any change(s) to beneficial ownership or control party information.


 
(k) Use of Proceeds. (i) The Borrower will use the proceeds of the Advances and will request the issuance of the Letters of Credit solely for working capital and other general corporate purposes of the Loan Parties and their respective Subsidiaries, including acquisitions. (ii) The Borrower will not request any Advance or Letter of Credit, and the Loan Parties and their respective Subsidiaries shall not use, and shall procure that their respective directors, officers, employees and agents shall not use, the proceeds of any Advance or Letter of Credit (A) in furtherance of an offer, payment, promise to pay, or authorization of the payment or giving of money, or anything else of value, to any Person in violation of any Anti-Corruption Laws, (B) for the purpose of funding, financing or facilitating any activities, business or transaction of or with any Sanctioned Person, or in any Sanctioned Country, or (C) in any manner that would result in the violation of any Sanctions applicable to any party hereto. (l) Further Assurances. Each of the Loan Parties shall take all necessary action to establish and maintain (i) in favor of the Borrower, a valid and perfected ownership interest in the Purchased Assets and Related Assets, and (ii) in favor of the Administrative Agent for the benefit of the Secured Parties, a valid and perfected first priority security interest in the Collateral, including, without limitation, taking such action to perfect, protect or more fully evidence the security interests of the Administrative Agent as the Administrative Agent may reasonably request. Section 7.2 Reporting Requirements of Loan Parties. From the date hereof until the Final Payout Date, unless each of the Co-Agents shall otherwise consent in writing: (a) Quarterly Financial Statements. Quest Diagnostics will furnish to each of the Co-Agents or make publicly available through EDGAR, as soon as available and in any event within 60 days after the end of each of the first three quarters of each of its fiscal years, copies of its report on SEC Form 10-Q as of the close of such fiscal quarter. (b) Annual Financial Statements. Quest Diagnostics will furnish to each of the Co-Agents or make publicly available through EDGAR, as soon as available and in any event within 120 days after the end of each fiscal year of Quest Diagnostics, copies of its annual report on SEC Form 10-K for such year, and the Borrower will furnish to each of the Co-Agents as soon as available and in any event within 120 days after the end of each fiscal year of the Borrower, an unaudited balance sheet and income statement of the Borrower as of the close of such fiscal year, prepared in accordance with GAAP and certified in a manner reasonably acceptable to each of the Co-Agents by the Borrower’s chief executive officer, chief financial officer, treasurer or assistant treasurer (or an officer acting in a similar capacity to any of the foregoing). (c) Reports to SEC and Exchanges. In addition to the reports required by subsections (a) and (b) next above, promptly upon filing any report on SEC Form 8-K with the SEC, Quest Diagnostics shall deliver copies thereof to each of the Co-Agents or make them publicly available through EDGAR.


 
(d) ERISA. Promptly after the filing or receiving thereof, each Loan Party will furnish to each of the Co-Agents copies of all reports and notices with respect to any Reportable Event which any Loan Party files under ERISA with the Internal Revenue Service, the PBGC or the U.S. Department of Labor or which such Loan Party receives from the PBGC. (e) Events of Default, Etc. As soon as possible and in any event within five (5) Business Days after any Authorized Officer of either Loan Party obtains knowledge of the occurrence of any Event of Default or any Unmatured Default, each Loan Party will furnish to each of the Co-Agents a written statement of an Authorized Officer of such Loan Party setting forth details of such event and the action that such Loan Party will take with respect thereto. (f) Litigation. As soon as possible and in any event within ten Business Days after any Authorized Officer of either Loan Party obtains knowledge thereof, such Loan Party will furnish to each of the Co-Agents notice of (i) any litigation, investigation or proceeding which may exist at any time which would reasonably be expected to have a Material Adverse Effect and (ii) any development in previously disclosed litigation which development would reasonably be expected to have a Material Adverse Effect. (g) Reviews of Receivables. As soon as available and in any event within 30 days after each Review referenced in Section 7.1(c), the Borrower will deliver to each of the Co-Agents a written report on the results of such Review prepared by accountants or auditors selected as specified therein and reasonably acceptable to each of the Co-Agents, substantially in the form of the report delivered for the prior Review, and covering such other matters as any of the Agents may reasonably request in order to protect the interests of the Administrative Agent, for the benefit of the Secured Parties, under or as contemplated by this Agreement. (h) Change in Business or Credit and Collection Policy. Each Loan Party will furnish to each of the Co-Agents prompt written notice of any material change in the character of such Loan Party’s business prior to the occurrence of such change, and each Loan Party will provide each of the Co- Agents with not less than 15 Business Days’ prior written notice of any material change in the Credit and Collection Policy (together with a copy of such proposed change). (i) Downgrade. Promptly after receipt of notice of any downgrade of any Indebtedness of Quest Diagnostics by Moody’s or S&P, Quest Diagnostics shall furnish to each of the Co-Agents a notice of such downgrade setting forth the Indebtedness affected and the nature of such change in rating. (j) Anti-Money Laundering, Know Your Customer; Etc. Promptly, from time to time, each Loan Party will furnish to each of the Agents such other information (including nonfinancial information), documents, Records or reports respecting the Receivables or the condition or operations, financial or otherwise, of such Loan Party as any of the Agents may from time to time reasonably request in order to protect the interests of the Administrative Agent, for the benefit of the Secured Parties, under or as contemplated by this Agreement, or to assist any Lender (or its related Liquidity Bank(s)) in complying with the requirements of Article 122a(4) and (5) of the European Union Capital Requirements Directive if applicable to such Lender or its Liquidity Bank(s), the Beneficial Ownership Rule and other applicable “know your customer” and anti-money laundering and counter- terrorist financing laws, rules, and regulations, including the PATRIOT Act. Promptly following any change that would result in a change to the status of the Borrower as an excluded “Legal Entity


 
Customer” under the Beneficial Ownership Rule, the Borrower shall execute and deliver to the Administrative Agent for delivery to each of the Lenders, a Certification of Beneficial Owner(s) complying with the Beneficial Ownership Rule, in form and substance reasonably acceptable to the Administrative Agent. (k) Updated Schedule 6.1(n). Promptly after any Authorized Officer of either Loan Party obtains knowledge that the information set forth on Schedule 6.1(n) is inaccurate or incomplete or has changed, the Borrower will furnish to each of the Co-Agents a written statement of such inaccuracy, omission or change, together with an updated version of Schedule 6.1(n), whereupon Schedule 6.1(n) attached to this Agreement will be automatically deemed amended and restated to conform to such updated version. Section 7.3 Negative Covenants of Loan Parties. From the date hereof until the Final Payout Date, without the prior written consent of each of the Co-Agents: (a) Sales, Liens, Etc. (i) The Borrower will not, except as otherwise provided herein and in the other Transaction Documents, sell, assign (by operation of law or otherwise) or otherwise dispose of, or create or suffer to exist any Lien upon or with respect to, any Collateral, or any account to which any Collections are sent, or any right to receive income or proceeds from or in respect of any of the foregoing (except, prior to the execution of Collection Account Agreements, set-off rights of any bank at which any such account is maintained), and (ii) the Servicer will not assert any interest in the Purchased Assets, except as the Servicer. (b) Extension or Amendment of Receivables. No Loan Party will, except as otherwise permitted in Section 8.2(c), extend, amend or otherwise modify the terms of any Receivable, or amend, modify or waive any term or condition of any Contract or Invoice related thereto in any way that adversely affects the collectability of the Receivables originated by any Originator (taken as a whole), or any material part thereof, or the rights of the Borrower or the Administrative Agent (for the benefit of the Secured Parties) therein. (c) Change in Business or Credit and Collection Policy. No Loan Party will make or permit to be made any change in the character of its business or Credit and Collection Policy, which change would, in either case, impair the collectability of any significant portion of the Receivables or otherwise materially and adversely affect the interests or remedies of Lender under this Agreement or any other Transaction Document. (d) Change in Payment Instructions to Obligors. No Loan Party will after the Collateral Account has been established pursuant to Section 7.1(i), make any change in its instructions to Obligors regarding payments to be made to any Collection Account or Lockbox (except for a change in instructions solely for the purpose of directing Obligors to make such payments to another existing Collection Account or Lockbox, as applicable, and where such change is immaterial and does not adversely affect the interests of the Administrative Agent, on behalf of the Secured Parties, in any respect), unless (i) the Co-Agents shall have received prior written notice of such addition, termination or change and (ii) the Administrative Agent shall have received duly executed copies of appropriate Collection Account Agreements, in a form reasonably acceptable to the Administrative Agent with each new Collection Bank.


 
(e) Deposits to Accounts. Each Loan Party will establish reasonable procedures designed to ensure that no Loan Party will deposit or authorize the deposit to any Collection Account of any cash or cash proceeds other than Collections of Receivables and of certain of the Excluded JV Receivables. (f) Changes to Other Documents. The Borrower will not enter into any amendment or modification of, or supplement to, the Borrower’s Organic Documents without the prior written consent of the Administrative Agent. Neither the Borrower nor Quest Diagnostics will permit or enter into any amendment to or modification of, or supplement to, the Sale Agreement or the Subordinated Notes, except that they may enter into Joinder Agreements to add Eligible Originators as sellers thereunder. (g) Restricted Payments by the Borrower. The Borrower will not: (i) Purchase or redeem any shares of the capital stock of the Borrower, declare or pay any dividends thereon (other than stock dividends), make any distribution to stockholders or set aside any funds for any such purpose, unless, in each of the foregoing cases: (A) such purchase, redemption, payment or distribution is made on, or immediately following, a Settlement Date after payment of all Obligations due and owing on such Settlement Date, and (B) after giving effect to such purchase, redemption, payment or distribution, the Borrower’s net worth (determined in accordance with GAAP) will at all times be at least 10% of the greater of the Aggregate Commitment or the aggregate outstanding Principal amount of the Advances; or (ii) Make any payment of principal or interest on the Subordinated Notes if any Event of Default exists or would result therefrom or if such payment would result in the Borrower’s having insufficient cash on hand to pay all Obligations that will be due and owing on the next succeeding Settlement Date. (h) Borrower Indebtedness. The Borrower will not incur or permit to exist any Indebtedness or liability on account of deposits except: (A) as provided in the Transaction Documents and (B) other current accounts payable arising in the ordinary course of business and not overdue in any material respect. (i) Prohibition on Additional Negative Pledges. No Loan Party will enter into or assume any agreement (other than this Agreement and the other Transaction Documents) prohibiting the creation or assumption of any Lien upon the Purchased Assets or Related Assets, whether now owned or hereafter acquired, except as contemplated by the Transaction Documents, or otherwise prohibiting or restricting any transaction contemplated hereby or by the other Transaction Documents, and no Loan Party will enter into or assume any agreement creating any Lien upon the Subordinated Notes. (j) Name Change, Offices, Records and Books of Accounts. The Borrower will not change its name, identity or structure (within the meaning of Article 9 of any applicable enactment of the UCC) or relocate its chief executive office or any office where Records are kept unless it shall have: (i) given the Co-Agents at least 15 days’ prior notice thereof and (ii) prior to effectiveness of such change, delivered to the Administrative Agent all financing statements, instruments and other documents requested by the Administrative Agent in connection with such change or relocation.


 
(k) Mergers, Consolidations and Acquisitions. The Borrower will not merge into or consolidate with any other Person, or permit any other Person to merge into or consolidate with it, or purchase, lease or otherwise acquire (in one transaction or a series of transactions) all or substantially all of the assets of any other Person (whether directly by purchase, lease or other acquisition of all or substantially all of the assets of such Person or indirectly by purchase or other acquisition of all or substantially all of the capital stock of such other Person) other than the acquisition of the Purchased Assets and Related Assets pursuant to the Sale Agreement. (l) Disposition of Purchased Assets and Related Assets. Except pursuant to this Agreement, the Borrower will not sell, lease, transfer, assign, pledge or otherwise dispose of or encumber (in one transaction or in a series of transactions) any Purchased Assets and Related Assets. (m) Borrowing Base. The Borrower will not request any Advance if, after giving effect thereto, the aggregate outstanding Principal balance of the Loans would exceed the Borrowing Base. (n) Anti-Corruption Laws and Sanctions. The Loan Parties will maintain by or on behalf of each Loan Party policies and procedures that are designed to ensure compliance by such Loan Party, its Subsidiaries (if any), and such Loan Party’s or Subsidiary’s respective directors, officers, employees and agents with Anti-Corruption Laws and applicable Sanctions, and each Loan Party and its Subsidiaries (if any) will, and will require their respective directors, officers, employees and agents to, comply with Anti-Corruption Laws and applicable Sanctions, in each case in all material respects. No Loan Party will, nor will it permit any of its Subsidiaries (if any) to, use or permit any other Loan Party to use the proceeds of any Loan hereunder, directly or indirectly, to fund any operations in, finance any investments or activities in, or make any payments to, a Sanctioned Person or in any Sanctioned Country in violation of Anti-Corruption Laws or applicable Sanctions. Section 7.4 Separate Existence of the Borrower. Each Loan Party hereby acknowledges that Lenders and the Agents are entering into the transactions contemplated hereby in reliance upon the Borrower’s identity as a legal entity separate from the Servicer and its other Affiliates. Therefore, each Loan Party shall take all steps specifically required by this Agreement or reasonably required by any of the Agents to continue the Borrower’s identity as a separate legal entity and to make it apparent to third Persons that the Borrower is an entity with assets and liabilities distinct from those of its Affiliates, and is not a division of Quest Diagnostics or any other Person. Without limiting the foregoing, each Loan Party will take such actions as shall be required in order that: (a) The Borrower will be a limited purpose corporation whose primary activities are restricted in its Certificate of Incorporation to purchasing or otherwise acquiring from the Originators and owning, holding, granting security interests in the Collateral, entering into agreements for the financing and servicing of the Receivables, and conducting such other activities as it deems necessary or appropriate to carry out its primary activities; (b) Not less than one member of the Borrower’s Board of Directors (the “Independent Director”) shall be an individual who is not, and never has been, a direct, indirect or beneficial stockholder, officer, director, employee, affiliate, associate, material supplier or material customer of Quest Diagnostics or any of its Affiliates (other than an Affiliate organized with a limited purpose charter for the purpose of acquiring receivables or other financial assets or intangible property). The certificate of incorporation of the Borrower shall provide that (i) at least one member of the Borrower’s Board of Directors shall be an Independent Director, (ii) the Borrower’s Board of Directors


 
shall not approve, or take any other action to cause the filing of, a voluntary bankruptcy petition with respect to the Borrower unless the Independent Director shall approve the taking of such action in writing prior to the taking of such action and (iii) the provisions requiring an independent director and the provision described in clauses (i) and (ii) of this paragraph (b) cannot be amended without the prior written consent of the Independent Director; (c) The Independent Director shall not at any time serve as a trustee in bankruptcy for the Borrower or any Affiliate thereof; (d) Any director, employee, consultant or agent of the Borrower will be compensated from the Borrower’s funds for services provided to the Borrower. The Borrower will not engage any agents (other than its attorneys, auditors and other professionals) and will not engage any Person other than the Servicer to deal with the Collateral as contemplated by the Transaction Documents; (e) The Borrower will contract with the Servicer to perform for the Borrower all operations required on a daily basis to service the Collateral. The Borrower will pay the Servicer the Servicer’s Fee pursuant hereto. The Borrower will not incur any material indirect or overhead expenses for items shared with Quest Diagnostics (or any other Affiliate thereof) which are not reflected in the Servicer’s Fee. To the extent, if any, that the Borrower (or any other Affiliate thereof) shares items of expenses not reflected in the Servicer’s Fee, for legal, auditing and other professional services and directors’ fees, such expenses will be allocated to the extent practical on the basis of actual use or the value of services rendered, and otherwise on a basis reasonably related to the actual use or the value of services rendered, it being understood that Quest Diagnostics shall pay all expenses of the Borrower and, to the extent provided in this Agreement, the Agents relating to the preparation, negotiation, execution and delivery of the Transaction Documents, including, without limitation, legal, rating agency and other fees; (f) The Borrower’s operating expenses will not be paid by any other Loan Party or other Affiliate of the Borrower; (g) The Borrower will have its own stationery; (h) The books of account, financial reports and records of the Borrower will be maintained separately from those of Quest Diagnostics and each other Affiliate of the Borrower although they may appear in Quest Diagnostics’ consolidated general ledger; (i) Any financial statements of any Loan Party or Affiliate thereof which are consolidated to include the Borrower will contain detailed notes clearly stating that (A) all of the Borrower’s assets are owned by the Borrower, and (B) the Borrower is a separate legal entity with its own separate creditors that will be entitled to be satisfied out of the Borrower’s assets prior to any value in the Borrower becoming available to the Borrower’s equity holders; and the accounting records and any published financial statements of each of the Originators will clearly show that, for accounting purposes, the Purchased Assets and Related Assets have been sold by such Originator to the Borrower; (j) The Borrower’s assets will be maintained in a manner that facilitates their identification and segregation from those of the Servicer and the other Affiliates;


 
(k) Each Affiliate of the Borrower will strictly observe organizational formalities in its dealings with the Borrower, and, except as permitted pursuant to this Agreement with respect to Collections, funds or other assets of the Borrower will not be commingled with those of any of its Affiliates; (l) No Affiliate of the Borrower will maintain joint bank accounts with the Borrower or other depository accounts with the Borrower to which any such Affiliate (other than in the Borrower’s or such Affiliate’s existing or future capacity as the Servicer hereunder or under the Sale Agreement) has independent access, provided that prior to demand by any of the Agents pursuant to Section 7.1(i) to establish a segregated Collateral Account, Collections may be deposited into general accounts of Quest Diagnostics, subject to the obligations of the Servicer hereunder; (m) Each Affiliate of the Borrower will maintain arm’s length relationships with the Borrower, and each Affiliate of the Borrower that renders or otherwise furnishes services or merchandise to the Borrower will be compensated by the Borrower at market rates for such services or merchandise; (n) No Affiliate of the Borrower will be, nor will it hold itself out to be, responsible for the debts of the Borrower or the decisions or actions in respect of the daily business and affairs of the Borrower. Quest Diagnostics and the Borrower will immediately correct any known misrepresentation with respect to the foregoing and they will not operate or purport to operate as an integrated single economic unit with respect to each other or in their dealing with any other entity; (o) The Borrower will keep correct and complete books and records of account and minutes of the meetings and other proceedings of its stockholder and board of directors, as applicable, and the resolutions, agreements and other instruments of the Borrower will be continuously maintained as official records by the Borrower; and (p) The Borrower will conduct its business solely in its own legal name and in a manner separate from the Originators so as not to mislead others with whom they are dealing. ARTICLE VIII. ADMINISTRATION AND COLLECTION Section 8.1 Designation of Servicer. (a) Quest Diagnostics as Initial Servicer. The servicing, administering and collection of the Receivables shall be conducted by the Person designated as Servicer hereunder from time to time in accordance with this Section 8.1. Until all of the Co-Agents give to Quest Diagnostics a Successor Notice (as defined in Section 8.1(b)), Quest Diagnostics is hereby designated as, and hereby agrees to perform the duties and obligations of, Servicer pursuant to the terms hereof. (b) Successor Notice; Servicer Transfer Events. Upon Quest Diagnostics’ receipt of a notice from all of the Co-Agents following a Servicer Transfer Event of the designation of a new Servicer (a “Successor Notice”), Quest Diagnostics agrees that it will terminate its activities as Servicer hereunder in a manner that will facilitate the transition of the performance of such activities to the new Servicer, and, after agreeing in writing to be bound by the terms of this Agreement (including, without limitation, the provisions of Section 14.14), the Co-Agents’ designee shall assume each and all of Quest


 
Diagnostics’ obligations to service and administer such Receivables, on the terms and subject to the conditions herein set forth, and Quest Diagnostics shall use its reasonable best efforts to assist the Co- Agents’ designee in assuming such obligations. Without limiting the foregoing, Quest Diagnostics agrees, at its expense, to take all actions necessary to provide the new Servicer with access to all computer software necessary to generate reports useful in collecting or billing Receivables, solely for use in collecting and billing Receivables. If Quest Diagnostics disputes the occurrence of a Servicer Transfer Event, Quest Diagnostics may take appropriate action to resolve such dispute; provided that Quest Diagnostics must terminate its activities hereunder as Servicer and allow the newly designated Servicer to perform such activities on the date specified by the Co-Agents as described above, notwithstanding the commencement or continuation of any proceeding to resolve the aforementioned dispute, if all of the Co-Agents reasonably determines, in good faith, that such termination is necessary or advisable to protect the Secured Parties’ interests hereunder. (c) Subcontracts. So long as Quest Diagnostics (or any of its existing or hereafter arising Affiliates approved by the Co-Agents at the request of Quest Diagnostics or the Borrower subject to satisfaction of the Rating Agency Condition) is acting as the Servicer, it may subcontract with any other Originator or other direct or indirect Subsidiary of Quest Diagnostics and with OPTUM360, for servicing, administering or collecting all or any portion of the Receivables, provided, however, that no such subcontract shall relieve Quest Diagnostics (or such approved affiliated substitute Servicer, if such approval is not conditioned upon Quest Diagnostics’ issuance of a performance guaranty with respect to such affiliated substitute Servicer) of its primary liability for performance of its duties as Servicer pursuant to the terms hereof and any such sub-servicing arrangement may be terminated at the request of any of the Agents at any time after a Successor Notice has been given. In addition to the foregoing, with the prior written consent of the Co-Agents (which consent shall not be unreasonably withheld or delayed), any Servicer may subcontract with other Persons for servicing, administering or collecting all or any portion of the Receivables, provided, however, that no such subcontract shall relieve such Servicer of its primary liability for performance of its duties as Servicer pursuant to the terms hereof and any such sub-servicing arrangement may be terminated at the request of any of the Agents at any time that the Co-Agents reasonably determine that such sub-servicer is not performing adequately. (d) Expense Indemnity after a Servicer Transfer Event. In addition to, and not in lieu of the Servicer’s Fee, if Quest Diagnostics or one of its Affiliates is replaced as Servicer following a Servicer Transfer Event, the Borrower shall reimburse the Servicer within 10 Business Days after receipt of a written invoice, any and all reasonable costs and expenses of the Servicer incurred in connection with its servicing of the Receivables for the benefit of the Secured Parties. Section 8.2 Duties of Servicer. (a) Appointment; Duties in General. Each of the Borrower, the Lenders, the LC Issuer and the Agents hereby appoints as its agent, the Servicer, as from time to time designated pursuant to Section 8.1, to enforce its rights and interests in and under the Collateral. The Servicer shall take or cause to be taken all such actions as may be necessary or advisable to collect each Receivable from time to time, all in accordance with applicable laws, rules and regulations, with reasonable care and diligence, and in accordance with the Credit and Collection Policy. (b) Segregation of Collections. The Servicer shall not be required (unless otherwise requested by any of the Agents) to segregate the funds constituting Collections prior to the remittance


 
thereof in accordance with Article III. If instructed by any of the Agents, the Servicer shall segregate Collections and deposit them into the Collateral Account not later than the first Business Day following receipt by the Servicer of such Collections in immediately available funds. (c) Modification of Receivables. Quest Diagnostics, while it is the Servicer, may, in accordance with the Credit and Collection Policy, so long as no Event of Default shall have occurred and be continuing, extend the maturity or adjust the Unpaid Net Balance of any Receivable as Quest Diagnostics may reasonably determine to be appropriate to maximize Collections of the Receivables taken as a whole in a manner consistent with the Credit and Collection Policy (although no such extension or adjustment shall alter the status of such Receivable as a Defaulted Receivable or a Delinquent Receivable or, in the case of an adjustment, limit the rights of the Agents or the Lenders under Section 3.4). (d) Contracts and Records. Each Loan Party shall deliver to the Servicer, and the Servicer shall, or shall direct the Originators as sub-servicers to, hold in trust for the Borrower and the Secured Parties, all Contracts and Records. (e) Certain Duties to the Borrower. The Servicer shall, as soon as practicable following receipt, turn over to the Borrower (i) that portion of the Collections which are not required to be turned over to each of the Co-Agents, less the Servicer’s Fee and all reasonable and appropriate out-of- pocket costs and expenses of the Servicer of servicing, collecting and administering the Receivables to the extent not covered by the Servicer’s Fee received by it, and (ii) the Collections of any receivable which is not a Receivable. The Servicer, if other than Quest Diagnostics or any other Loan Party or Affiliate thereof, shall, as soon as practicable upon demand, deliver to the Borrower all Contracts and other Records in its possession that evidence or relate to receivables of the Borrower other than Receivables, and copies of all Contracts and other Records in its possession that evidence or relate to Receivables, Obligors or Related Assets. (f) Termination. The Servicer’s authorization under this Agreement shall terminate upon the Final Payout Date. (g) Power of Attorney. The Borrower hereby grants to the Servicer an irrevocable power of attorney, with full power of substitution, coupled with an interest, to take in the name of the Borrower all steps which are necessary or advisable to endorse, negotiate or otherwise realize on any writing or other right of any kind held or transmitted by the Borrower or transmitted or received by any Agent or any Lender in connection with any Receivable. This power of attorney shall automatically terminate as to any Servicer replaced in accordance with Section 8.1(b) and shall automatically transfer to its successor. Section 8.3 Rights of the Agents. (a) Notice to Obligors. At any time when an Event of Default has occurred and is continuing, any of the Agents may notify the Obligors of Purchased Assets, or any of them, of the Borrower’s ownership of the Purchased Assets, and the Administrative Agent’s security interest, for the benefit of the Secured Parties, in the Collateral. (b) Notice to Collection Banks. At any time when an Event of Default has occurred and is continuing, the Administrative Agent is hereby authorized to give notice to the Collection Banks, as


 
provided in the Collection Account Agreements, of the transfer to the Administrative Agent of dominion and control over the Lockboxes and the Collection Accounts, and the Administrative Agent hereby agrees to give such notice upon request of any of the Co-Agents. The Borrower and the Servicer hereby transfer to the Administrative Agent, effective when the Administrative Agent shall give notice to the Collection Banks as provided in the Collection Account Agreements, the exclusive dominion and control over the Lockboxes and the Collection Accounts, and shall take any further action that the Administrative Agent may reasonably request to effect such transfer. (c) Rights on Servicer Transfer Event. At any time following the designation of a Servicer other than Quest Diagnostics (or one of its approved Affiliates) pursuant to Section 8.1: (i) Any of the Agents may direct the Obligors of Receivables, or any of them, to pay all amounts payable under any Receivable directly to the Administrative Agent or its designee. (ii) Any Loan Party shall, at any Agent’s request and at such Loan Party’s expense, give notice of the Administrative Agent’s security interest in the Collateral to each Obligor of Receivables and direct that payments be made directly to the Administrative Agent or its designee. (iii) Each Loan Party shall, at any Agent’s request: (A) assemble and make available all of the Contracts and Records which are necessary or reasonably desirable to collect the Collateral, and make the same available to the successor Servicer at such place or places as the Administrative Agent may reasonably request, and (B) segregate all cash, checks and other instruments received by it from time to time constituting Collections in a manner acceptable to the Agents and promptly upon receipt, remit all such cash, checks and instruments, duly endorsed or with duly executed instruments of transfer, to the successor Servicer. (iv) Each of the Loan Parties, the Co-Agents and the Lenders hereby authorizes the Administrative Agent and grants to the Administrative Agent an irrevocable power of attorney (which shall terminate on the Final Payout Date), to take any and all steps in such Person’s name and on behalf of such Person which are necessary or desirable, in the determination of the Administrative Agent, to collect all amounts due under any and all Receivables, including, without limitation, endorsing any Loan Party’s name on checks and other instruments representing Collections and enforcing such Receivables and the related Contracts and Invoices. Section 8.4 Responsibilities of Loan Parties. Anything herein to the contrary notwithstanding: (a) Contracts. Each Originator shall remain responsible for performing all of its obligations (if any) under each Contract to the same extent as if no ownership interest or security interests had been conveyed under the Transactions Documents, and the exercise by the Administrative Agent or its designee of its rights and remedies hereunder shall not relieve such Originator from such obligations. (b) Limitation of Liability. The Secured Parties shall not have any obligation or liability with respect to any Receivables, Invoices or Contracts, nor shall any of them be obligated to perform any of the obligations of any Loan Party or any Originator thereunder.


 
Section 8.5 Further Action Evidencing the Security Interest. Each Loan Party agrees that from time to time, at its expense, it will promptly execute (if legally required) and deliver all further instruments and documents, and take all further action that the Administrative Agent or its designee may reasonably request in order to perfect, protect or more fully evidence the Administrative Agent’s security interest, on behalf of the Secured Parties, in the Collateral, or to enable the Administrative Agent or its designee to exercise or enforce any of the Secured Parties’ respective rights hereunder or under any Transaction Document in respect thereof. In furtherance of the foregoing, to the maximum extent permitted by applicable law, each Loan Party (i) authorizes the Agent to execute any such agreements, instruments or other documents in such Loan Party’s name and to file such agreements, instruments or other documents in any appropriate filing office, (ii) authorizes the Administrative Agent to file any financing statement required hereunder or under any other Transaction Document, and any continuation statement or amendment with respect thereto, in any appropriate filing office without the signature of such Loan Party (including, without limitation, in the case of the Borrower, any such financing statements that indicate the Collateral as “all assets” or words of similar import), and (iii) ratifies the filing of any financing statement, and any continuation statement or amendment with respect thereto, filed without the signature of such Loan Party prior to the date hereof; provided that the Administrative Agent shall provide prompt written notice to such Loan Party after filing any such record without the signature of such Loan Party. Section 8.6 Application of Collections. Except as otherwise specified by such Obligor or required by the underlying Contract or law, any payment by an Obligor in respect of any indebtedness owed by it to an Originator or to the Borrower shall be applied first, as a Collection of any Receivable or Receivables then outstanding of such Obligor in the order of the age of such Receivables, starting with the oldest of such Receivables (unless another reasonable basis for allocation of such payments to the Receivables of such Obligor exists), and second, to any other indebtedness of such Obligor. ARTICLE IX. SECURITY INTEREST Section 9.1 Grant of Security Interest. To secure the due and punctual payment of the Obligations, whether now or hereafter existing, due or to become due, direct or indirect, or absolute or contingent, including, without limitation, all Indemnified Amounts, in each case pro rata according to the respective amounts thereof, the Borrower hereby pledges to the Administrative Agent, for the benefit of the Secured Parties, and hereby grants to the Administrative Agent, for the benefit of the Secured Parties, a security interest in, all of the Borrower’s right, title and interest now or hereafter existing in, to and under (a) all the Purchased Assets and Related Assets, (b) the Sale Agreement, (c) the rights to demand and receive payment of the Demand Advances, (d) the Cash Collateral Payments, (e) the LC Collateral Account and all balances from time to time therein, and (f) all proceeds of any of the foregoing (collectively, the “Collateral”). Section 9.2 Termination after Final Payout Date. Each of the Secured Parties hereby authorizes the Administrative Agent, and the Administrative Agent hereby agrees, promptly after the Final Payout Date to execute and deliver to the Borrower such UCC-3 termination statements as may be necessary to terminate the Administrative Agent’s security interest in and Lien upon the Collateral, all at the Borrower’s expense. Upon the Final Payout Date, all right, title and interest of the Administrative Agent and the other Secured Parties in and to the Collateral shall terminate.


 
Section 9.3 Limitation on Rights to Collateral Proceeds. Nothing in this Agreement shall entitle the Secured Parties to receive or retain proceeds of the Collateral in excess of the aggregate amount of the Obligations owing to such Secured Party (or to any Indemnified Party claiming through such Secured Party). ARTICLE X. EVENTS OF DEFAULT Section 10.1 Events of Default. The occurrence of any of the following events shall constitute an “Event of Default” hereunder: (a) The Servicer or the Borrower shall fail to make (i) when and as required to be made by it herein, any payment, prepayment or deposit of any amount of Principal of any Loan, or any Letter of Credit is drawn upon and is not fully reimbursed by the Borrower, or funded by LC Advances as required pursuant to Section 2.8(b), or (ii) within three (3) days after the same becomes due, any payment of any amount of Interest, fees or other Obligations payable hereunder or under any other Transaction Document; provided that any Interest, fees or other amounts which are not paid on the due date shall bear Interest at the Default Rate after such due date. (b) Any representation or warranty made or deemed to be made by any Loan Party (or any of its officers) under this Agreement or any other Transaction Document or in any Monthly Report, Weekly Report, computation of Cash Collateral Payment or other information or report delivered pursuant hereto shall prove to have been false or incorrect in any material adverse respect when made, provided that the materiality threshold in this subsection shall not be applicable with respect to any representation or warranty which itself contains a materiality threshold. (c) Any Loan Party fails to perform or observe any other term or covenant contained in this Agreement or any other Transaction Document, and such default shall continue unremedied for a period of 5 days (in the case of nonperformance or nonobservance by the Servicer) or 10 days (in the case of nonperformance or nonobservance by the Borrower) after the earlier to occur of (i) the date upon which written notice thereof is given to such Loan Party by the Administrative Agent and (ii) the date the applicable Loan Party becomes aware thereof. (d) (i) The Borrower shall (A) fail to pay any principal or interest, regardless of amount, due in respect of any Indebtedness of which the aggregate unpaid principal amount is in excess of $18,600] (as such amount may be adjusted under Section 104 of the Bankruptcy Code), when and as the same shall become due and payable (after expiration of any applicable grace period) or (B) fail to observe or perform any other term, covenant, condition or agreement (after expiration of any applicable grace period) contained in any agreement or instrument evidencing or governing any such Indebtedness if the effect of any failure referred to in this clause (B) is to cause, or permit the holder or holders of such Indebtedness or a trustee on its or their behalf (with or without the giving of notice, the lapse of time or both) to cause, such Indebtedness to become due prior to its stated maturity; or (ii) any of the Originators (A) shall fail to pay any principal or interest, regardless of amount, due in respect of any Indebtedness of which the aggregate unpaid principal amount is in excess of the lesser of (1) $200,000,000 or (2) the amount that is currently set forth in the comparable provision of the Credit Agreement, in each case, when and as the same shall become due and payable (after expiration of any applicable grace period) or (B) shall fail to observe or perform any other term,


 
covenant, condition or agreement (after expiration of any applicable grace period) contained in any agreement or instrument evidencing or governing any Indebtedness of the Originators in excess of the lesser of (1) $200,000,000, or (2) the amount currently set forth in the comparable provision of the Credit Agreement in aggregate principal amount, in each case, if, as a result of such failure, the holder or holders of the Indebtedness outstanding thereunder cause (or an agent or a trustee on their behalf cause) such Indebtedness to become due prior to its stated maturity. (e) An Event of Bankruptcy shall have occurred and remain continuing with respect to the Borrower or the Servicer. (f) The three-calendar month rolling average Dilution Ratio at any Cut-Off Date exceeds 6.00%. (g) The three-calendar month rolling average Default Trigger Ratio at any Cut-Off Date exceeds 14.00%. (h) The three-calendar month rolling average Delinquency Ratio at any Cut-Off Date exceeds 9.00%. (i) The occurrence of any Missing Information Trigger Event[Reserved]. (j) The three-calendar month rolling average Collections Ratio at any Cut-Off Date is less than 32.00%. (k) On any Settlement Date, after giving effect to the payments made under Article II or Article III, the aggregate outstanding Principal balances of the Advances exceed the Allocation Limit. (l) A Change in Control shall occur. (m) The Internal Revenue Service shall file notice of a lien pursuant to Section 6323 of the Internal Revenue Code with regard to any of the Purchased Assets or Related Assets and such lien shall not have been released within seven (7) days, or the PBGC shall, or shall indicate its intention to, file notice of a lien pursuant to Section 4068 of ERISA with regard to any of the Purchased Assets or Related Assets. (n) The Administrative Agent, on behalf of the Secured Parties, for any reason, does not have a valid, perfected first priority security interest in the Purchased Assets and the Related Assets. (o) (i) A final judgment or judgments for the payment of money in excess of $18,600 (as such amount may be adjusted under Section 104 of the Bankruptcy Code) in the aggregate (exclusive of judgment amounts to the extent covered by insurance or indemnity payments) shall be rendered by one or more courts, administrative tribunals or other bodies having jurisdiction against the Borrower and the same shall not be discharged (or provision which results in a stay of execution shall not be made for such discharge), vacated or bonded pending appeal, or a stay of execution thereof shall not be procured, within 60 days from the date of entry thereof and the Borrower shall not, within said period of 60 days, or such longer period during which execution of the same shall have been stayed, appeal therefrom and cause the execution thereof to be stayed during such appeal; or (ii) a final judgment or judgments for the payment of money in excess of the lesser of (A) $200,000,000 or (B) the amount currently set forth in the comparable provision of the Credit Agreement in the aggregate


 
(exclusive of judgment amounts to the extent covered by insurance or indemnity payments) shall be rendered by one or more courts, administrative tribunals or other bodies having jurisdiction against any Originator and the same shall not be discharged (or provision which results in a stay of execution shall not be made for such discharge), vacated or bonded pending appeal, or a stay of execution thereof shall not be procured, within 60 days from the date of entry thereof and such Originator shall not, within said period of 60 days, or such longer period during which execution of the same shall have been stayed, appeal therefrom and cause the execution thereof to be stayed during such appeal. (p) An ERISA Event or noncompliance with respect to Foreign Plans shall have occurred that when taken together with all other ERISA Events and noncompliance with respect to Foreign Plans that have occurred, is reasonably likely to result in liability of any Originator or Loan Party in an aggregate amount exceeding $100,000,000 (or such other amount as may be set forth in the comparable provision of the Credit Agreement). (q) Quest Diagnostics shall fail to comply with any of the financial covenants set forth in Sections 7.2 (or analogous successor provisions) of the Credit Agreement; provided, however, that if (i) all of the Agents under this Agreement are also parties to the Credit Agreement and waive compliance with one or both of such provisions and (ii) the requisite number of lenders (including the Agents) party to the Credit Agreement waive compliance with such provision or provisions under the Credit Agreement, then, upon receipt of notice to such effect from Quest Diagnostics, the applicable provision or provisions shall also be deemed waived for purposes of this Agreement without the need for further vote or documentation under this Agreement. (r) The occurrence of the Sale Termination Date under and as defined in the Sale Agreement. (s) [Reserved]. Section 10.2 Remedies. (a) Optional Acceleration. Upon the occurrence of an Event of Default (other than an Event of Default described in Section 10.1(e) with respect to the Borrower), the Administrative Agent may by notice to the Borrower, declare the Termination Date to have occurred and the Obligations to be immediately due and payable, whereupon the Aggregate Commitment shall terminate and all Obligations shall become immediately due and payable. (b) Automatic Acceleration. Upon the occurrence of an Event of Default described in Section 10.1(e) with respect to the Borrower, the Termination Date shall automatically occur and the Obligations shall be immediately due and payable. (c) Additional Remedies. Upon the Termination Date pursuant to this Section 10.2, the Aggregate Commitment will terminate, no Loans or Advances thereafter will be made, and the Administrative Agent, on behalf of the Secured Parties, shall have, in addition to all other rights and remedies under this Agreement or otherwise, all other rights and remedies provided to a secured party upon default under the UCC of each applicable jurisdiction and other applicable laws, which rights shall be cumulative.


 
Section 10.3 Amortization Waterfall. From and after the Termination Date, all Collections shall be paid to the Administrative Agent and distributed for application to the Obligations in the following order: First, to the Administrative Agent, in payment of its reasonable out-of-pocket expenses incurred in connection with collecting and enforcing the Obligations or realizing on the Collateral; Second, to the Servicer, in payment of its accrued and unpaid Servicer’s Fee that is then due and owing; Third, to each of the Co-Agents, in payment of accrued and unpaid Interest and fees due and owing to the Lenders in its Group pursuant to this Agreement and the Fee Letter, ratably in accordance with their respective amounts thereof; Fourth, to the LC Collateral Account and to each of the Co-Agents, as applicable, to Cash-Collateralize the LC Obligations in full and pay off the Principal of the Loans of the Lenders in such Co-Agent’s Group, ratably in accordance with their respective amounts thereof; and Fifth, to the Co-Agents, in payment of any other Obligations owing to such Co-Agent or the members of its Group, ratably in accordance with their respective amounts thereof. After termination of the Commitments, payment in full of the Obligations and 100% Cash-Collateralization of the LC Obligations and Expected LC Fees, any remaining Collections shall be paid to the Borrower. ARTICLE XI. THE AGENTS Section 11.1 Appointment. (a) Each member of the PNC Group hereby irrevocably designates and appoints PNC Bank, National Association as PNC Group Agent hereunder and under the other Transaction Documents to which the PNC Group Agent is a party, and authorizes the PNC Group Agent to take such action on its behalf under the provisions of the Transaction Documents and to exercise such powers and perform such duties as are expressly delegated to the PNC Group Agent by the terms of the Transaction Documents, together with such other powers as are reasonably incidental thereto. Each member of the Atlantic Group hereby irrevocably designates and appoints Crédit Agricole Corporate and Investment Bank as Atlantic Group Agent hereunder and under the other Transaction Documents to which the Atlantic Group Agent is a party, and authorizes the Atlantic Group Agent to take such action on its behalf under the provisions of the Transaction Documents and to exercise such powers and perform such duties as are expressly delegated to the Atlantic Group Agent by the terms of the Transaction Documents, together with such other powers as are reasonably incidental thereto. Each member of the Gotham Group hereby irrevocably designates and appoints MUFG as Gotham Agent hereunder and under the other Transaction Documents to which the Gotham Agent is a party , and authorizes the Gotham Agent to take such action on its behalf under the provisions of the Transaction Documents and to exercise such powers and perform such duties as are expressly delegated to the Gotham Agent by the terms of the Transaction Documents, together with such other powers as are reasonably incidental thereto. Each of the Lenders, the LC Issuer and the Co-Agents hereby


 
irrevocably designates and appoints PNC as Administrative Agent hereunder and under the Transaction Documents to which the Administrative Agent is a party, and authorizes the Administrative Agent to take such action on its behalf under the provisions of the Transaction Documents and to exercise such powers and perform such duties as are expressly delegated to the Administrative Agent by the terms of the Transaction Documents, together with such other powers as are reasonably incidental thereto. Notwithstanding any provision to the contrary elsewhere in this Agreement, none of the Agents shall have any duties or responsibilities, except those expressly set forth in the Transaction Documents to which it is a party, or any fiduciary relationship with any Lender or the LC Issuer, and no implied covenants, functions, responsibilities, duties, obligations or liabilities on the part of such Agent shall be read into any Transaction Document or otherwise exist against such Agent. (b) The provisions of this Article XI are solely for the benefit of the Agents, the LC Issuer and the Lenders, and neither of the Loan Parties shall have any rights as a third-party beneficiary or otherwise under any of the provisions of this Article XI, except that this Article XI shall not affect any obligations which any of the Agents, the LC Issuer or any of the Lenders may have to either of the Loan Parties under the other provisions of this Agreement. (c) In performing its functions and duties hereunder, (i) the PNC Group Agent shall act solely as the agent of the members of the PNC Group and does not assume nor shall be deemed to have assumed any obligation or relationship of trust or agency with or for either of the Loan Parties or any of their respective successors and assigns, (ii) the Gotham Agent shall act solely as the agent of the members of the Gotham Group and does not assume nor shall be deemed to have assumed any obligation or relationship of trust or agency with or for either of the Loan Parties or any of their respective successors and assigns, (iii) the Atlantic Group Agent shall act solely as the agent of the members of the Atlantic Group and does not assume nor shall be deemed to have assumed any obligation or relationship of trust or agency with or for either of the Loan Parties or any of their respective successors and assigns, and (iv) the Administrative Agent shall act solely as the agent of the Secured Parties and does not assume nor shall be deemed to have assumed any obligation or relationship of trust or agency with or for either of the Loan Parties or any of their respective successors and assigns.


 
Section 11.2 Delegation of Duties. Each Agent may execute any of its duties under the applicable Transaction Documents by or through agents or attorneys-in-fact and shall be entitled to advice of counsel concerning all matters pertaining to such duties. No Agent shall be responsible for the negligence or misconduct of any agents or attorneys-in-fact selected by it with reasonable care except for agents and attorneys-in fact to which any Agent delegates all or substantially all of its duties as an Agent which are not approved by S&P, Moody’s and, so long as applicable, Fitch. No Agent shall be responsible for the negligence or misconduct of agents or attorneys-in-fact selected by it with reasonable care for due diligence and audit matters and attorneys selected with reasonable care for legal matters. Section 11.3 Exculpatory Provisions. None of the Agents nor any of its directors, officers, agents or employees shall be (i) liable for any action lawfully taken or omitted to be taken by it or them or any Person described in Section 11.2 under or in connection with this Agreement (except for its, their or such Person’s own bad faith, gross negligence or willful misconduct), or (ii) responsible in any manner to any of the Lenders or other Agents for any recitals, statements, representations or warranties made by the Borrower contained in this Agreement or in any certificate, report, statement or other document referred to or provided for in, or received under or in connection with, this Agreement or for the value, validity, effectiveness, genuineness, enforceability or sufficiency of this Agreement or any other document furnished in connection herewith, or for any failure of either of the Loan Parties to perform its respective obligations hereunder, or for the satisfaction of any condition specified in Article V, except receipt of items required to be delivered to such Agent. None of the Agents shall be under any obligation to any other Agent or any Lender to ascertain or to inquire as to the observance or performance of any of the agreements or covenants contained in, or conditions of, this Agreement, or to inspect the properties, books or records of the Loan Parties. This Section 11.3 is intended solely to govern the relationship between the Agents, on the one hand, and the Lenders and their respective Liquidity Banks, on the other. Section 11.4 Reliance by Agents. (a) Each of the Agents shall in all cases be entitled to rely, and shall be fully protected in relying, upon any note, writing, resolution, notice, consent, certificate, affidavit, letter, telegram, telecopy or telex message, statement, order or other document or conversation believed by it to be genuine and correct and to have been signed, sent or made by the proper Person or Persons and upon advice and statements of legal counsel (including, without limitation, counsel to the Loan Parties), independent accountants and other experts selected by such Agent. Each of the Agents shall in all cases be fully justified in failing or refusing to take any action under this Agreement or any other document furnished in connection herewith unless it shall first receive such advice or concurrence of such of its Lenders and Liquidity Banks, as it shall determine to be appropriate under the relevant circumstances, or it shall first be indemnified to its satisfaction by its Constituent Liquidity Banks against any and all liability, cost and expense which may be incurred by it by reason of taking or continuing to take any such action. (b) Any action taken by any of the Agents in accordance with Section 11.4(a) shall be binding upon all of the Agents and the Lenders.


 
Section 11.5 Notice of Events of Default. None of the Agents shall be deemed to have knowledge or notice of the occurrence of any Event of Default or Unmatured Default unless such Agent has received notice from another Agent, a Lender or a Loan Party referring to this Agreement, stating that an Event of Default or Unmatured Default has occurred hereunder and describing such Event of Default or Unmatured Default. In the event that any of the Agents receives such a notice, it shall promptly give notice thereof to the Lenders and the other Agents. The Administrative Agent shall take such action with respect to such Event of Default or Unmatured Default as shall be directed by any of the Co-Agents provided that the Administrative Agent is indemnified to its satisfaction by such Co-Agent and its Constituent Liquidity Banks against any and all liability, cost and expense which may be incurred by it by reason of taking any such action. Section 11.6 Non-Reliance on Other Agents and Lenders. Each of the Lenders expressly acknowledges that none of the Agents, the Structuring Agent nor any of the Agents’ or the Structuring Agent’s respective officers, directors, employees, agents, attorneys-in-fact or affiliates has made any representations or warranties to it and that no act by any of the Agents or the Structuring Agent hereafter taken, including, without limitation, any review of the affairs of the Loan Parties, shall be deemed to constitute any representation or warranty by such Agent or such Structuring Agent, as the case may be. Each of the Lenders also represents and warrants to the Agents, the Structuring Agent and the other Lenders that it has, independently and without reliance upon any such Person (or any of their Affiliates) and based on such documents and information as it has deemed appropriate, made its own appraisal of and investigation into the business, operations, property, prospects, financial and other conditions and creditworthiness of the Loan Parties and made its own decision to enter into this Agreement. Each of the Lenders also represents that it will, independently and without reliance upon the Agents, the Structuring Agent or any other Liquidity Bank or Lender, and based on such documents and information as it shall deem appropriate at the time, continue to make its own credit analysis, appraisals and decisions in taking or not taking action under this Agreement, and to make such investigation as it deems necessary to inform itself as to the business, operations, property, prospects, financial and other condition and creditworthiness of the Loan Parties. The Agents, the Structuring Agent, the Lenders and their respective Affiliates, shall have no duty or responsibility to provide any party to this Agreement with any credit or other information concerning the business, operations, property, prospects, financial and other condition or creditworthiness of the Loan Parties which may come into the possession of such Person or any of its respective officers, directors, employees, agents, attorneys-in-fact or affiliates, except that each of the Agents and the Structuring Agent shall promptly distribute to the other Agents, Structuring Agent and the Lenders, copies of financial and other information expressly provided to it by either of the Loan Parties pursuant to this Agreement.


 
Section 11.7 Indemnification of Agents. Each Liquidity Bank agrees to indemnify (a) its applicable Co-Agent, (b) the Administrative Agent, and (c) the officers, directors, employees, representatives and agents of each of the foregoing (to the extent not reimbursed by the Loan Parties and without limiting the obligation of the Loan Parties to do so), ratably in accordance with their respective Loans, from and against any and all liabilities, obligations, losses, damages, penalties, actions, judgments, suits, costs, expenses or disbursements of any kind or nature whatsoever (including, without limitation, the reasonable fees and disbursements of counsel for such Co-Agent, the Administrative Agent or such Person in connection with any investigative, administrative or judicial proceeding commenced or threatened, whether or not such Co-Agent or the Administrative Agent or such Person shall be designated a party thereto) that may at any time be imposed on, incurred by or asserted against such Co-Agent, the Administrative Agent or such Person as a result of, or arising out of, or in any way related to or by reason of, any of the transactions contemplated hereunder or the execution, delivery or performance of this Agreement or any other document furnished in connection herewith (but excluding any such liabilities, obligations, losses, damages, penalties, actions, judgments, suits, costs, expenses or disbursements resulting solely from the bad faith, gross negligence or willful misconduct of such Co-Agent, the Administrative Agent or such Person as finally determined by a court of competent jurisdiction). Section 11.8 Agents and LC Issuer in their Individual Capacities. Each of the Agents and the LC Issuer in their respective individual capacities and its affiliates may make loans to, accept deposits from and generally engage in any kind of business with the Loan Parties and their Affiliates as though such Person were not an Agent or the LC Issuer hereunder. With respect to its Loans, if any, pursuant to this Agreement, each of the Agents and the LC Issuer shall have the same rights and powers under this Agreement as any Lender and may exercise the same as though it were not an Agent or the LC Issuer, as the case may be, and the terms “Lender” and “Lenders” shall include each of the Agents and the LC Issuer in their individual capacities. Section 11.9 No Other Duties of Structuring Agent. Anything in this Agreement to the contrary notwithstanding, the Structuring Agent shall have no powers, duties or responsibilities under this Agreement or any of the other Transaction Documents. Section 11.10 Conflict Waivers. (a) CACIB acts, or may in the future act: (i) as administrator of Atlantic, (ii) to provide credit or liquidity enhancement for the timely payment for Atlantic’s Commercial Paper Notes and (iii) to provide other services from time to time for Atlantic (collectively, the “CACIB Roles”). Without limiting the generality of Sections 11.1 and 11.8, each of the Agents and the Lenders hereby acknowledges and consents to any and all CACIB Roles and agrees that in connection with any CACIB Role, CACIB may take, or refrain from taking, any action which it, in its discretion, deems appropriate, , including, without limitation, in its role as administrator of Atlantic, the giving of notice to the Atlantic Liquidity Banks of a mandatory purchase pursuant to the Atlantic Liquidity Agreement, and hereby acknowledges that neither CACIB nor any of its Affiliates has any fiduciary duties hereunder to any Lender (other than Atlantic) arising out of any of the CACIB Roles. (b) MUFG acts, or may in the future act: (i) as administrator of Gotham, (ii) to provide credit or liquidity enhancement for the timely payment for Gotham’s Commercial Paper Notes and (iii) to provide other services from time to time for Gotham (collectively, the “MUFG Roles”). Without limiting the generality of Sections 11.1 and 11.8, each of the Agents and the Lenders hereby


 
acknowledges and consents to any and all MUFG Roles and agrees that in connection with any MUFG Role, MUFG may take, or refrain from taking, any action which it, in its discretion, deems appropriate, including, without limitation, in its role as administrator of Gotham, the giving of notice to the Gotham Liquidity Banks of a mandatory purchase pursuant to the Gotham Liquidity Agreement, and hereby acknowledges that neither MUFG nor any of its Affiliates has any fiduciary duties hereunder to any Lender (other than Gotham) arising out of any of the MUFG Roles. Section 11.11 UCC Filings. Each of the Secured Parties hereby expressly recognizes and agrees that the Administrative Agent may be listed as the assignee or secured party of record on the various UCC filings required to be made under the Transaction Documents in order to perfect their respective interests in the Collateral, that such listing shall be for administrative convenience only in creating a record or nominee holder to take certain actions hereunder on behalf of the Secured Parties and that such listing will not affect in any way the status of the Secured Parties as the true parties in interest with respect to the Collateral. In addition, such listing shall impose no duties on the Administrative Agent other than those expressly and specifically undertaken in accordance with this Article XI. Section 11.12 Erroneous Payments. (a) If the Administrative Agent notifies a Lender or any Person who has received funds on behalf of a Lender (any such Lender or Person, a “Payment Recipient”) that the Administrative Agent has determined in its sole discretion (whether or not after receipt of any notice under immediately succeeding clause (b)) that any funds received by such Payment Recipient from the Administrative Agent or any of its Affiliates were erroneously transmitted to, or otherwise erroneously or mistakenly received by, such Payment Recipient (whether or not known to such Lender or other Payment Recipient on its behalf) (any such funds, whether received as a payment, prepayment or repayment of principal, interest, fees, distribution or otherwise, individually and collectively, an “Erroneous Payment”) and demands the return of such Erroneous Payment (or a portion thereof) in writing (provided that, without limiting any other rights or remedies (whether at law or in equity), the Administrative Agent may not make any such demand under this clause (a) with respect to an Erroneous Payment unless such demand is made within 30 days of the date of receipt of such Erroneous Payment by the applicable Payment Recipient), such Erroneous Payment shall at all times remain the property of the Administrative Agent and shall be segregated by the Payment Recipient and held in trust for the benefit of the Administrative Agent, and such Lender shall (or, with respect to any Payment Recipient who received such funds on its behalf, shall cause such Payment Recipient to) promptly, but in no event later than two (2) Business Days thereafter, return to the Administrative Agent the amount of any such Erroneous Payment (or portion thereof) as to which such a demand was made, in same day funds (in the currency so received), together with interest thereon in respect of each day from and including the date such Erroneous Payment (or portion thereof) was received by such Payment Recipient to the date such amount is repaid to the Administrative Agent in same day funds at the greater of the Federal Funds Rate and a rate determined by the Administrative Agent in accordance with banking industry rules on interbank compensation from time to time in effect. A notice of the Administrative Agent to any Payment Recipient under this clause (a) shall be conclusive, absent manifest error. (b) Without limiting the immediately preceding clause (a), each Lender, or any Person who has received funds on behalf of a Lender, hereby further agrees that if it receives a payment, prepayment or repayment (whether received as a payment, prepayment or repayment of principal, interest, fees, distribution or otherwise) from the Administrative Agent (or any of its Affiliates) (x) that


 
is in a different amount than, or on a different date from, that specified in a notice of payment, prepayment or repayment sent by the Administrative Agent (or any of its Affiliates) with respect to such payment, prepayment or repayment, (y) that was not preceded or accompanied by a notice of payment, prepayment or repayment sent by the Administrative Agent (or any of its Affiliates), or (z) that such Lender, or other such recipient, otherwise becomes aware was transmitted, or received, in error or by mistake (in whole or in part) in each case: (i) (A) in the case of immediately preceding clauses (x) or (y), an error shall be presumed to have been made (absent written confirmation from the Administrative Agent to the contrary) or (B) an error has been made (in the case of immediately preceding clause (z)), in each case, with respect to such payment, prepayment or repayment; and (ii) such Lender shall (and shall cause any other recipient that receives funds on its respective behalf to) promptly (and, in all events, within one Business Day of its knowledge of such error) notify the Administrative Agent of its receipt of such payment, prepayment or repayment, the details thereof (in reasonable detail) and that it is so notifying the Administrative Agent pursuant to this Section 11.12(b). (c) Each Lender hereby authorizes the Administrative Agent to set-off, net and apply any and all amounts at any time owing to such Lender under any Transaction Document, or otherwise payable or distributable by the Administrative Agent to such Lender from any source, against any amount due to the Administrative Agent under Section 11.12(a) or under the indemnification provisions of this Agreement. (d) In the event that an Erroneous Payment (or portion thereof) is not recovered by the Administrative Agent for any reason, after demand therefor by the Administrative Agent in accordance with Section 11.12(a), from any Lender that has received such Erroneous Payment (or portion thereof) and/or from any Payment Recipient who received such Erroneous Payment (or portion thereof) on its respective behalf (such unrecovered amount, an “Erroneous Payment Return Deficiency”), upon the Administrative Agent’s notice to such Lender at any time, (i) such Lender shall be deemed to have assigned its Loans, as applicable (but not its corresponding Commitment) with respect to which such Erroneous Payment was made (the “Erroneous Payment Impacted Class”) in an amount equal to the Erroneous Payment Return Deficiency (or such lesser amount as the Administrative Agent may specify) (such assignment of Loans (but not Commitments) of the Erroneous Payment Impacted Class, the “Erroneous Payment Deficiency Assignment”) at par plus any accrued and unpaid interest (with the assignment fee to be waived by the Administrative Agent in such instance), and is hereby (together with the Borrower) deemed to execute and deliver assignment and assumption documentation with respect to such Erroneous Payment Deficiency Assignment, (ii) the Administrative Agent as the assignee Lender shall be deemed to acquire the Erroneous Payment Deficiency Assignment, (iii) upon such deemed acquisition, the Administrative Agent as the assignee Lender shall become a Lender hereunder with respect to such Erroneous Payment Deficiency Assignment and the assigning Lender shall cease to be a Lender hereunder with respect to such Erroneous Payment Deficiency Assignment, excluding, for the avoidance of doubt, its obligations under the indemnification provisions of this Agreement and its applicable Commitment(s) which shall survive as to such assigning Lender and (iv) the Administrative Agent may reflect in the Register its ownership interest in the Loans subject to the Erroneous Payment Deficiency Assignment. The Administrative Agent may, in its discretion, sell any Loans acquired pursuant to an Erroneous Payment Deficiency Assignment to an Eligible Assignee at par subject to the terms and conditions with respect to assignment of Loans set forth herein and upon


 
receipt of the proceeds of such sale, the Erroneous Payment Return Deficiency owing by the applicable Lender shall be reduced by the net proceeds of the sale of such Loan (or portion thereof), and the Administrative Agent shall retain all other rights, remedies and claims against such Lender (and/or against any recipient that receives funds on its respective behalf). For the avoidance of doubt, no Erroneous Payment Deficiency Assignment will reduce the Commitment(s) of any Lender and such Commitment(s) shall remain available in accordance with the terms of this Agreement. (e) The parties hereto agree that an Erroneous Payment shall not pay, prepay, repay, discharge or otherwise satisfy any Obligations owed by the Borrower or any other Loan Party, except, in each case, to the extent such Erroneous Payment is, and solely with respect to the amount of such Erroneous Payment that is, comprised of funds received by the Administrative Agent from the Borrower or any other Loan Party for the purpose of reducing the Obligations. (f) To the extent permitted by applicable law, no Payment Recipient shall assert any right or claim to an Erroneous Payment, and hereby waives, and is deemed to waive, any claim, counterclaim, defense or right of set-off or recoupment with respect to any demand, claim or counterclaim by the Administrative Agent for the return of any Erroneous Payment received, including without limitation waiver of any defense based on “discharge for value” or any similar doctrine. (g) Each party’s obligations, agreements and waivers under this Section 11.12 shall survive the resignation or replacement of the Administrative Agent, any transfer of rights or obligations by, or the replacement of, a Lender, the termination of the Commitments and/or the repayment, satisfaction or discharge of all Obligations (or any portion thereof) under any Transaction Document. (h) Nothing referenced in this Section 11.12, including the payment of an Erroneous Payment and the rights and obligations of the parties related thereto under this Section 11.12, shall trigger the Loan Parties’ indemnification obligations hereunder including under Article XIII. ARTICLE XII. ASSIGNMENTS AND PARTICIPATIONS Section 12.1 Restrictions on Assignments, Etc.. (a) No Loan Party may assign its rights, or delegate its duties hereunder or any interest herein without the prior written consent of each of the Agents and satisfaction of the Rating Agency Condition; provided, however, that the foregoing shall not be deemed to restrict Quest Diagnostics’ right, prior to delivery of a Successor Notice, to request the Agents’ consent to the appointment of an Affiliate as replacement Servicer (subject to satisfaction of the Rating Agency Condition) or to delegate all or any portion of its duties as Servicer to other Originators, as sub-servicers, so long as Quest Diagnostics remains primarily liable for the performance or non-performance of such duties. (b) Each of the Conduits may, at any time, assign all or any portion of any of its Loans and interests in the Letters of Credit, or sell participations therein, to its Constituent Liquidity Banks (or to its Co-Agent for the ratable benefit of its Constituent Liquidity Banks). (c) In addition to, and not in limitation of, assignments and participations described in Section 12.1(b):


 
(i) In the event that PNC or any of the Liquidity Banks suffers a Downgrading Event, the applicable Co-Agent shall notify the Borrower thereof, and, within 5 Business Days after the Borrower’s receipt of such notice, the Borrower may advise such Co-Agent whether the Borrower intends to replace such Co-Agent’s Group (the “Affected Group”) with a new Group of one or more Eligible Assignees. If the Borrower notifies such Co-Agent that it wishes to effect a replacement, (1) the Lenders in the Affected Group shall promptly execute such assignments as may be reasonably necessary to transfer their rights and obligations to the members of the replacement Group against payment in full of the Affected Group’s Obligations, or (2) if an assignment is not practicable, the parties hereto shall promptly enter into such joinders and amendments to this Agreement as may be reasonably necessary to effect the replacement of the Affected Group with the new Group of one or more Eligible Assignees; (ii) Each of the Lenders may assign all or any portion of its Loans and, if applicable, its Commitment and Liquidity Commitment, to any Eligible Assignee with the prior written consent of (A) the Borrower and (B) such Lender’s applicable Co-Agent, which consents shall not be unreasonably withheld or delayed; (iii) Notwithstanding any other provision of this Agreement to the contrary, each of the Lenders may at any time pledge or grant a security interest in all or any portion of its rights (including, without limitation, rights to payment of Principal and Interest) under this Agreement to secure obligations of such Person to a Federal Reserve Bank located in the United States of America, without notice to or consent of any other party hereto; provided that no such pledge or grant of a security interest shall release such Lender from any of its obligations hereunder or substitute any such pledgee or grantee for such Lender as a party hereto; and (iv) Each of the Lenders may, without the prior written consent of the Borrower or any of the Agents, sell participations in all or any portion of their respective rights and obligations in, to and under the Transaction Documents and the Obligations in accordance with Sections 12.2 and 14.7. (d) The Administrative Agent, acting solely for this purpose as an agent of the Borrower, shall maintain a copy of each assignment and assumption delivered to it and a register for the recordation of the names and addresses of the Lenders, and the Commitments of, and principal amounts (and stated interest) of the Loans owing to, each Lender pursuant to the terms hereof from time to time (the “Register”). The entries in the Register shall be conclusive (absent manifest error), and the Borrower, the Administrative Agent and the Lenders may treat each Person whose name is recorded in the Register pursuant to the terms hereof as a Lender hereunder for all purposes of this Agreement, notwithstanding notice to the contrary. The Register shall be available for inspection by the Borrower, at any reasonable time and from time to time upon reasonable prior notice. In addition, the Register shall be available for inspection by any Lender as to entries pertaining to it at any reasonable time and from time to time upon reasonable prior notice. Each Lender that sells a participation pursuant to this Agreement shall, acting as a non-fiduciary agent of the Borrower solely for the purpose of maintaining a register in order to satisfy the requirements of Section 5f.103-1(c) of the United States Treasury Regulations, maintain a register on which it records the name and address of each participant to which it has sold a participation and the principal amounts (and stated interest) of each such participant’s interest in the Loans or other rights and obligations of such Lender under this Agreement (the “Participant Register”); provided that no Lender shall have any obligation to disclose all or any portion of the Participant Register to any Person (including the identity of any participant or any information relating to a participant’s interest in any Commitments, Liquidity


 
Commitments, Loans, Letters of Credit or its other obligations under any Transaction Document) except to the extent that such disclosure is necessary to establish that such Commitment, Liquidity Commitment, Loan, Letter of Credit or other obligation is in registered form under Section 5f.103-1(c) of the United States Treasury Regulations. The entries in the Participant Register shall be conclusive absent manifest error. Section 12.2 Rights of Assignees and Participants. (a) Upon the assignment by a Lender in accordance with Section 12.1(b) or (c), the Eligible Assignee(s) receiving such assignment shall have all of the rights and obligations of such Lender with respect to the Transaction Documents and the Obligations (or such portion thereof as has been assigned). (b) In no event will the sale of any participation interest in any Lender’s or any Eligible Assignee’s rights under the Transaction Documents or in the Obligations relieve the seller of such participation interest of its obligations, if any, hereunder or, if applicable, under the Liquidity Agreement to which it is a party. Section 12.3 Terms and Evidence of Assignment. Any assignment to any Eligible Assignee(s) pursuant to Section 1.2(c), 12.1(b) or 12.1(c) shall be upon such terms and conditions as the assigning Lender and the applicable Co-Agent, on the one hand, and the Eligible Assignee, on the other, may mutually agree, and shall be evidenced by such instrument(s) or document(s) as may be satisfactory to such Lender, the applicable Co-Agent and the Eligible Assignee(s). Any assignment made in accordance with the terms of this Article XII shall relieve the assigning Lender of its obligations, if any, under this Agreement (and, if applicable, the Liquidity Agreement to which it is a party) to the extent assigned and no Lender may assign or otherwise transfer any of its rights and obligations hereunder except in accordance with the terms of this Article XII. ARTICLE XIII. INDEMNIFICATION Section 13.1 Indemnities by the Borrower. (a) General Indemnity. Without limiting any other rights which any such Person may have hereunder or under applicable law, the Borrower hereby agrees to indemnify each of the Affected Parties, each of their respective Affiliates, and all successors, transferees, participants and assigns and all officers, directors, shareholders, controlling persons, employees and agents of any of the foregoing (each, an “Indemnified Party”), forthwith on demand, from and against any and all damages, losses, claims, liabilities and reasonable related out-of-pocket costs and expenses, including reasonable attorneys’ fees and disbursements (all of the foregoing being collectively referred to as “Indemnified Amounts”) awarded against or incurred by any of them arising out of or relating to the Transaction Documents or the transactions contemplated thereby (including the issuance or Modification of, the fronting for, or any drawing under, any Letter of Credit), the LC Collateral Account, the Obligations or the Collateral, excluding, however: (i) Indemnified Amounts to the extent determined by a court of competent jurisdiction to have resulted from bad faith, gross negligence or willful misconduct on the part of such Indemnified Party, and (ii) recourse (except as otherwise specifically provided in this Agreement) for Indemnified Amounts to the extent the same includes losses in respect of Receivables which are uncollectible on account of the insolvency, bankruptcy or lack of creditworthiness of the


 
related Obligor or the related Obligor’s refusal to pay; provided, however, that prior to the occurrence of an Event of Default, the Indemnified Parties shall only be entitled to seek indemnity for the reasonable fees and disbursements of a single law firm as special counsel to all such Indemnified Parties (and, if required, a single law firm as local counsel to all such Indemnified Parties in each relevant jurisdiction where the law firm acting as special counsel is not licensed to practice). Without limiting the foregoing, the Borrower shall indemnify each Indemnified Party for Indemnified Amounts arising out of or relating to: (A) the creation of any Lien on, or transfer by any Loan Party of any interest in, the Collateral other than as provided in the Transaction Documents; (B) any representation or warranty made by any Originator or Loan Party (or any of its officers) under or in connection with any Transaction Document, any Monthly Report, Weekly Report, computation of Cash Collateral Payment or any other information or report delivered by or on behalf of any Originator or Loan Party pursuant thereto, which shall have been false, incorrect or misleading in any respect when made or deemed made or delivered, as the case may be; (C) the failure by any Loan Party to comply with any applicable law, rule or regulation with respect to any Receivable or the related Contract and/or Invoice, including, without limitation, any state or local assignment of claims act or similar legislation prohibiting or imposing notice and acknowledgement requirements or other limitations or conditions on the sale of participations in a Specified Government Receivable, or the nonconformity of any Receivable or the related Contract and/or Invoice with any such applicable law, rule or regulation; (D) the failure to vest and maintain vested in the Borrower a perfected ownership interest in all Collateral; or the failure to vest and maintain vested in the Administrative Agent, for the benefit of the Secured Parties, a valid and perfected first priority security interest in the Collateral, free and clear of any other Lien, other than a Lien arising solely as a result of an act of one of the Secured Parties, now or at any time thereafter; (E) unless the Borrower has actual knowledge that the Administrative Agent has prepared a financing statement, amendment or similar instrument or document under the UCC of any applicable jurisdiction or other applicable laws with respect to any Collateral, the failure to deliver to the Administrative Agent on a timely basis any such financing statement, amendment or similar instrument or document or to authorize its filing on a timely basis; (F) any dispute, claim, offset or defense (other than discharge in bankruptcy) of the Obligor to the payment of any Receivable (including, without limitation, a defense based on such Receivables or the related Contract and/or Invoice not being a legal, valid and binding obligation of such Obligor enforceable against it in accordance with its terms), or any other claim resulting from the sale of the services related to such Receivable or the furnishing or failure to furnish such services;


 
(G) any matter described in Section 3.4; (H) any failure of any Loan Party, as the Borrower, the Servicer or otherwise, to perform its duties or obligations in accordance with the provisions of this Agreement or the other Transaction Documents to which it is a party; (I) any claim of breach by any Loan Party of any related Contract and/or Invoice with respect to any Receivable; (J) any Other Taxes (and all interest and penalties thereon or with respect thereto, and all out-of-pocket costs and expenses, including the reasonable fees and expenses of counsel in defending against the same), which may arise by reason of the Administrative Agent’s security interest in the Collateral; (K) the commingling of Collections of Receivables at any time with other funds; (L) any investigation, litigation or proceeding related to or arising from this Agreement or any other Transaction Document, the transactions contemplated hereby or thereby, the use of the proceeds of any Loan, the issuance of any Letter of Credit, the security interest in the Purchased Assets and Related Assets or any other investigation, litigation or proceeding relating to the Borrower or any of the Originators in which any Indemnified Party becomes involved as a result of any of the transactions contemplated hereby or thereby (other than an investigation, litigation or proceeding (1) relating to a dispute solely amongst the Lenders (or certain Lenders) and the Administrative Agent or (2) excluded by Section 13.1(a)); (M) any products or professional liability, personal injury or damage suit, or other similar claim arising out of or in connection with merchandise, insurance or services that are the subject of any Contract, Invoice or any Purchased Asset; (N) any inability to litigate any claim against any Obligor in respect of any Receivable as a result of such Obligor being immune from civil and commercial law and suit on the grounds of sovereignty or otherwise from any legal action, suit or proceeding; (O) the occurrence of any Event of Default of the type described in Section 10.1(e); (P) any loss incurred by any of the Secured Parties as a result of the inclusion in the Borrowing Base of Private Receivables owing from any single Obligor and its Affiliated Obligors which causes the aggregate Unpaid Net Balance of all such Private Receivables to exceed the applicable Obligor Concentration Limit; or (Q) any amount that the Administrative Agent is required to pay to any Collection Bank pursuant to the terms of a Collection Account Agreement because of the Borrower’s failure to make such payment.


 
(b) Contest of Tax Claim; After-Tax Basis. If any Indemnified Party shall have notice of any attempt to impose or collect any Tax or governmental fee or charge for which indemnification will be sought from any Loan Party under Section 13.1(a)(J), such Indemnified Party shall give prompt and timely notice of such attempt to the Borrower and the Borrower shall have the right, at its expense, to participate in any proceedings resisting or objecting to the imposition or collection of any such Tax, governmental fee or charge. Indemnification hereunder shall be in an amount necessary to make the Indemnified Party whole after taking into account any tax consequences when actually realized by the Indemnified Party of the payment of any of the aforesaid taxes or payments of amounts indemnified against hereunder (including any deduction) and the receipt of the indemnity payment provided hereunder or of any refund of any such tax previously indemnified hereunder, including the effect of such tax, amount indemnified against, deduction or refund on the amount of tax measured by net income or profits which is or was payable by the Indemnified Party. For purposes of this Agreement, an Indemnified Party shall be deemed to have “actually realized” tax consequences to the extent that, and at such time as, the amount of Taxes payable (including Taxes payable on an estimated basis) by such Indemnified Party is increased above or reduced below, as the case may be, the amount of Taxes that such Indemnified Party would be required to pay but for receipt or accrual of the indemnity payment or the incurrence or payment of such indemnified amount, as the case may be. (c) Contribution. If for any reason the indemnification provided above in this Section 13.1 (and subject to the exceptions set forth therein) is unavailable to an Indemnified Party or is insufficient to hold an Indemnified Party harmless, then the Borrower shall contribute to the amount paid or payable by such Indemnified Party as a result of such loss, claim, damage or liability in such proportion as is appropriate to reflect not only the relative benefits received by such Indemnified Party on the one hand and the Borrower on the other hand but also the relative fault of such Indemnified Party as well as any other relevant equitable considerations. Section 13.2 Indemnities by Servicer. Without limiting any other rights which any Indemnified Party may have hereunder or under applicable law, the Servicer hereby agrees to indemnify each of the Indemnified Parties forthwith on demand, from and against any and all Indemnified Amounts awarded against or incurred by any of them arising out of or relating to the Servicer’s performance of, or failure to perform, any of its obligations under or in connection with any Transaction Document, or any representation or warranty made by the Servicer (or any of its officers) under or in connection with any Transaction Document, any Monthly Report, Weekly Report, computation of Cash Collateral Payment or any other information or report delivered by or on behalf of the Servicer, which shall have been false, incorrect or misleading in any material respect when made or deemed made or delivered, as the case may be, or the failure of the Servicer to comply with any applicable law, rule or regulation with respect to any Receivable or the related Contract and Invoice. Notwithstanding the foregoing, in no event shall any Indemnified Party be awarded any Indemnified Amounts (a) to the extent determined by a court of competent jurisdiction to have resulted from gross negligence or willful misconduct on the part of such Indemnified Party or (b) as recourse for Indemnified Amounts to the extent the same includes losses in respect of Receivables which are uncollectible on account of the insolvency, bankruptcy or lack of creditworthiness of the related Obligor. If for any reason the indemnification provided above in this Section 13.2 (and subject to the exceptions set forth therein) is unavailable to an Indemnified Party or is insufficient to hold an Indemnified Party harmless, then the Servicer shall contribute to the amount paid or payable by such Indemnified Party as a result of such loss, claim, damage or liability in such proportion as is appropriate


 
to reflect not only the relative benefits received by such Indemnified Party on the one hand and the Servicer on the other hand but also the relative fault of such Indemnified Party as well as any other relevant equitable considerations. Section 13.3 FATCA. If a payment made to any Agent or any Lender hereunder would be subject to U.S. federal withholding Tax imposed by FATCA if such payee were to fail to comply with the applicable reporting requirements of FATCA (including those contained in Section 1471(b) or 1472(b) of the Internal Revenue Code, as applicable), such payee shall deliver to the Borrower at the time or times prescribed by law and at such time or times reasonably requested by the Borrower, such documentation prescribed by applicable law (including as prescribed by Section 1471(b)(3)(C)(i) of the Internal Revenue Code) and such additional documentation reasonably requested by the Borrower as may be necessary for the Borrower to comply with its obligations under FATCA and to determine that such payee has complied with such payee’s obligations under FATCA or to determine the amount to deduct and withhold from such payment. Solely for purposes of this Section 13.3, the term “FATCA” shall include any amendments made to FATCA after the date of this Agreement. ARTICLE XIV. MISCELLANEOUS Section 14.1 Amendments, Etc. Except as otherwise expressly provided in this Agreement (including, without limitation, Section 4.6), no amendment or waiver of any provision of this Agreement nor consent to any departure by any Loan Party therefrom shall in any event be effective unless the same shall be in writing and signed by each of the Loan Parties and the Co-Agents, and any such waiver or consent shall be effective only in the specific instance and for the specific purpose for which given; provided, however, that: (a) Before any of the Co-Agents enters into such an amendment or grants such a waiver or consent that is deemed to be material by S&P, Moody’s or, at any time while it is rating any Conduit’s Commercial Paper Notes, Fitch, the Rating Agency Condition (if applicable to such Co-Agent’s Conduit) must be satisfied with respect to each of such Conduits, (b) Without the prior written consent of all Liquidity Banks in a Co-Agent’s Group, such Co-Agent will not amend, modify or waive any provision of this Agreement which (i) would reduce or subordinate, or would have the effect of reducing or subordinating, the amount of any Principal or Interest that is payable on account of its Conduit’s Loans or would delay any scheduled date for payment thereof; (ii) would or would have the effect of subordinating all or the Administrative Agent’s Lien on all or any substantial portion of the Collateral; (iii) would decrease or would have the effect of decreasing the Required Reserve or the spread included in any Interest Rate, or would change the amount of the Servicer’s Fee; (iv) would modify or have the effect of modifying any provision of this Agreement that provides for the Groups or certain of each Group’s members to participate in any Advance or payment on a ratable basis; (v) would modify or circumvent or would have the effect of modifying or circumventing any provision of this Section 14.1; (vi) would modify or have the effect of modifying any yield protection or indemnity provision which expressly inures to the benefit of assignees or participants of such Co-Agent’s Conduit; or (vi) would increase any such Liquidity Bank’s Commitment, (c) Without the prior written consent of each Agent affected thereby, no such amendment, waiver or consent shall amend, modify, terminate or waive any provision of Article XI as the same


 
applies to any Agent, or any other provision hereof as the same applies to the rights or obligations of any Agent, in each case without the consent of such Agent, (d) If less than all of the Co-Agents decline to approve a requested amendment and within 90 days after the Borrower’s request for approval of such amendment, and either (i) the Borrower prepays the Obligations of the dissenting Co-Agent’s (or Co-Agents’) Group in full or (ii) finds one or more Eligible Assignees to replace each such Co-Agent’s Group, then the requested amendment shall become effective on the effective date of such prepayment or assignment as to the remaining Lenders (and, if applicable, as to any replacement Lenders), and (e) If less than all of the Co-Agents decline to approve a requested waiver and (i) the Borrower either (A) identifies one or more Eligible Assignee(s) to accept immediate written assignments of such Co-Agent’s Group’s Commitment(s) and outstanding Obligations, or (B) immediately pays all Obligations owing to the members of such Co-Agent’s (or Co-Agents’) Group(s) in full, and (ii) the Administrative Agent has not already declared the Termination Date to have occurred, such waiver shall become effective as to the remaining Lenders on the effective date of such assignment or repayment.


 
Section 14.2 Notices, Etc. All notices and other communications provided for hereunder shall, unless otherwise stated herein, be in writing and shall be personally delivered or sent by express mail or courier or by certified mail, postage prepaid, or by e-mail (if an e-mail address is provided), to the intended party at such address or e-mail address as shall be designated by such party in a written notice to the other parties hereto. All such notices and communications shall be effective, if personally delivered or sent by express mail or courier or if sent by certified mail or by e-mail, when received. Section 14.3 No Waiver; Remedies. No failure on the part of the Administrative Agent or any of the other Secured Parties to exercise, and no delay in exercising, any right hereunder shall operate as a waiver thereof; nor shall any single or partial exercise of any right hereunder preclude any other or further exercise thereof or the exercise of any other right. The remedies herein provided are cumulative and not exclusive of any remedies provided by law. Without limiting the foregoing, each of the Administrative Agent and the Lenders is hereby authorized by the Borrower at any time and from time to time, to the fullest extent permitted by law, to set off and apply to payment of any Obligations that are then due and owing any and all deposits (general or special, time or demand provisional or final) at any time held and other indebtedness at any time owing by such Person to or for the credit or the account of the Borrower. Section 14.4 Binding Effect; Survival. This Agreement shall be binding upon and inure to the benefit of each the Loan Parties, the Administrative Agent, the Lenders and their respective successors and assigns, and the provisions of Section 4.2 and Article XIII shall inure to the benefit of the Affected Parties and the Indemnified Parties, respectively, and their respective successors and assigns; provided, however, nothing in the foregoing shall be deemed to authorize any assignment not permitted by Section 12.1. This Agreement shall create and constitute the continuing obligations of the parties hereto in accordance with its terms, and shall remain in full force and effect until the Final Payout Date. The rights and remedies with respect to any breach of any representation and warranty made by the Borrower pursuant to Article VI and the indemnification and payment provisions of Article XIII and Sections 4.2, 14.5, 14.6, 14.7, 14.8, 14.14 and 14.16 shall be continuing and shall survive any termination of this Agreement. Section 14.5 Costs, Expenses and Stamp Taxes. In addition to their obligations under the other provisions of this Agreement, the Loan Parties jointly and severally agree to pay: (a) within 30 days after receipt of a written invoice therefor: all reasonable out-of-pocket costs and expenses incurred by the Administrative Agent, in connection with (i) the negotiation, preparation, execution and delivery of this Agreement, the other Transaction Documents or the Liquidity Agreement, or (ii) the administration of the Transaction Documents prior to an Event of Default including, without limitation, (A) the reasonable fees and expenses of a single law firm acting as counsel to the Administrative Agent and the Lenders incurred in connection with any of the foregoing, and (B) subject to the limitations set forth in Section 7.1(c), the reasonable fees and expenses of independent accountants incurred in connection with any review of any Loan Party’s books and records either prior to or after the execution and delivery hereof; (b) within 30 days after receipt of a written invoice therefor: all reasonable out-of-pocket costs and expenses (including, without limitation, the reasonable fees and expenses of counsel and independent accountants) incurred by each of the Lenders, the Administrative Agent and the Liquidity Banks in connection with the negotiation, preparation, execution and delivery of any amendment or consent to, or waiver of, any provision of the Transaction Documents which is requested or proposed


 
by any Loan Party (whether or not consummated), the administration of the Transaction Documents following an Event of Default (or following a waiver of or consent to any Event of Default), or the enforcement by any of the foregoing Persons of, or any actual or claimed breach of, this Agreement or any of the other Transaction Documents, including, without limitation, (i) the reasonable fees and expenses of counsel to any of such Persons incurred in connection with any of the foregoing or in advising such Persons as to their respective rights and remedies under any of the Transaction Documents in connection with any of the foregoing, and (ii) the reasonable fees and expenses of independent accountants incurred in connection with any review of any Loan Party’s books and records or valuation of the Purchased Assets and Related Assets; and (c) upon demand: all stamp and other similar or recording taxes and fees payable in connection with the execution, delivery, filing and recording of this Agreement or the other Transaction Documents (“Other Taxes”) (and Loan Parties jointly and severally agree to indemnify each Indemnified Party against any liabilities with respect to or resulting from any unreasonable delay in the payment of such taxes and fees by the Loan Parties or any omission by the Loan Parties to pay such taxes and fees upon demand).


 
Section 14.6 No Proceedings. Each of the parties hereto hereby agrees that it will not institute against the Borrower or any Conduit, or join any Person in instituting against the Borrower or any Conduit, any insolvency proceeding (namely, any proceeding of the type referred to in the definition of Event of Bankruptcy) so long as any Obligations (in the case of the Borrower) or any Commercial Paper Notes or other senior Indebtedness issued by such Conduit, as the case may be, shall be outstanding or there shall not have elapsed one year plus one day since the last day on which any such Obligations and Commercial Paper Notes or other senior Indebtedness shall have been outstanding. The parties’ obligations under this Section 14.6 shall survive termination of this Agreement.


 
Section 14.7 Confidentiality of Borrower Information. Each of the Agents and the Lenders agrees to keep information obtained by it pursuant to the Transaction Documents confidential in accordance with such Agent’s or Lender’s customary practices and in accordance with applicable law and agrees that it will only use such information in connection with the transactions contemplated hereby and not disclose any of such information other than (a) to such Agent’s or Lender’s employees, representatives, directors, attorneys, auditors, agents, professional advisors, trustees or affiliates who are advised of the confidential nature thereof it solely for the purposes of evaluating, administering and enforcing the transactions contemplated by the Transaction Documents and making any necessary business judgments with respect thereto, or to any direct or indirect contractual counterparty in swap agreements or such contractual counterparty’s professional advisor (so long as such contractual counterparty or professional advisor to such contractual counterparty agrees to be bound by the provision of this Section 14.7, such Agent or Lender being liable for any breach of confidentiality by any Person described in this clause (a) and with respect to disclosures to an Affiliate to the extent disclosed by such Agent or Lender to such Affiliate), (b) to the extent such information presently is or hereafter becomes available to such Agent or Lender on a non-confidential basis from a Person not an Affiliate of such Agent or Lender not known to such Lender to be violating a confidentiality obligation by such disclosure, (c) to the extent disclosure is required by any Law, subpoena or judicial order or process (provided that notice of such requirement or order shall be promptly furnished to the applicable Loan Party unless such notice is legally prohibited) or requested or required by bank, securities, insurance or investment company regulations or auditors or any administrative body or commission to whose jurisdiction such Agent or Lender may be subject, (d) to any rating agency to the extent required in connection with any rating to be assigned to such Lender, (e) to assignees or participants or prospective assignees or participants who agree to be bound by the provisions of this Section 14.7, (f) to the extent required in connection with any litigation between any Loan Party and any Lender with respect to the Loans or any Transaction Document, (g) to any dealer or placement agent for such party’s Commercial Paper Notes, who (i) in the good faith belief of such party, has a need to know such confidential information, (ii) is informed by such party of the confidential nature of such information and the terms of this Section 14.7 and (iii) has agreed in writing to be bound by the provisions of this Section 14.7, (h) to any Liquidity Bank (whether or not on the date of disclosure, such Liquidity Bank continues to be an Eligible Assignee), or to any other actual or potential permitted assignee or participant permitted under Section 12.1 who has agreed to be bound by the provisions of this Section 14.7, (i) to any rating agency that maintains a rating for such party’s Commercial Paper Notes or is considering the issuance of such a rating, for the purposes of reviewing the credit of any Lender in connection with such rating, (j) to any other party to this Agreement (and any independent attorneys and auditors of such party), for the purposes contemplated hereby, (k) to any entity that provides a surety bond or other credit enhancement to any Conduit solely for the purpose of providing such surety bond or other credit enhancement and not for any other purpose, provided that such entity has agreed to be bound by the provisions of this Section 14.7 or by a confidentiality or non-disclosure agreement containing similar terms, (l) in connection with the enforcement of this Agreement or any other Transaction Document to the extent required to exercise rights against the Collateral, or (m) with the applicable Loan Party’s prior written consent. In addition, each of the Lenders and the Agents may disclose on a “no name” basis to any actual or potential investor in Commercial Paper Notes information regarding the nature of this Agreement, the basic terms hereof (including without limitation the amount and nature of the Aggregate Commitment and the Advances), the nature, amount and status of the Receivables, and the current and/or historical ratios of losses to liquidations and/or outstandings with respect to the Receivables. This Section 14.7 shall survive termination of this Agreement.


 
Section 14.8 Confidentiality of Program Information. (a) Confidential Information. Each party hereto acknowledges that the Conduits and the Agents regard the structure of the transactions contemplated by this Agreement to be proprietary, and each such party agrees that: (i) it will not disclose without the prior consent of each Conduit or each Agent (other than to the directors, employees, auditors, counsel or affiliates (collectively, “representatives”) of such party, each of whom shall be informed by such party of the confidential nature of the Program Information (as defined below) and of the terms of this Section 14.8): (A) any information regarding the pricing in, or copies of, the Liquidity Agreements or the Fee Letter, or (B) any information which is furnished by any Conduit or any Agent to such party and which is designated by such Conduit or such Agent to such party in writing or otherwise as confidential or not otherwise available to the general public (the information referred to in clauses (A) and (B) is collectively referred to as the “Program Information”); provided, however, that such party may disclose any such Program Information (1) as may be required by any municipal, state, federal or other regulatory body having or claiming to have jurisdiction over such party, including, without limitation, the SEC, (2) in order to comply with any law, order, regulation, regulatory request or ruling applicable to such party, (3) subject to subsection (c) below, in the event such party is legally compelled (by interrogatories, requests for information or copies, subpoena, civil investigative demand or similar process) to disclose any such Program Information, or (4) in financial statements as required by GAAP; (ii) it will use the Program Information solely for the purposes of evaluating, administering and enforcing the transactions contemplated by the Transaction Documents and making any necessary business judgments with respect thereto; and (iii) it will, upon demand, return (and cause each of its representatives to return) to the applicable Co-Agent, all documents or other written material received from any Conduit in connection with (a)(i)(B) above and all copies thereof made by such party which contain the Program Information. (b) Availability of Confidential Information. This Section 14.8 shall be inoperative as to such portions of the Program Information which are or become generally available to the public or such party on a nonconfidential basis from a source other than the Administrative Agent or were known to such party on a nonconfidential basis prior to its disclosure by the Administrative Agent. (c) Legal Compulsion to Disclose. In the event that any party or anyone to whom such party or its representatives transmits the Program Information is requested or becomes legally compelled (by interrogatories, requests for information or documents, subpoena, civil investigative demand or similar process) to disclose any of the Program Information, such party will provide the Administrative Agent with prompt written notice so that the Administrative Agent may seek a protective order or other appropriate remedy and/or, if it so chooses, agree that such party may disclose such Program Information pursuant to such request or legal compulsion. In the event that such protective order or other remedy is not obtained, or the Administrative Agent agrees that such Program Information may be disclosed, such party will furnish only that portion of the Program Information which (in such party’s good faith judgment) is legally required to be furnished and will


 
exercise reasonable efforts to obtain reliable assurance that confidential treatment will be accorded the Program Information. (d) Survival. This Section 14.8 shall survive termination of this Agreement. Section 14.9 Captions and Cross References. The various captions (including, without limitation, the table of contents) in this Agreement are provided solely for convenience of reference and shall not affect the meaning or interpretation of any provision of this Agreement. Unless otherwise indicated, references in this Agreement to any Section, Annex, Schedule or Exhibit are to such Section of or Annex, Schedule or Exhibit to this Agreement, as the case may be, and references in any Section, subsection, or clause to any subsection, clause or subclause are to such subsection, clause or subclause of such Section, subsection or clause. Section 14.10 Integration. This Agreement and the other Transaction Documents contain a final and complete integration of all prior expressions by the parties hereto with respect to the subject matter hereof and shall constitute the entire understanding among the parties hereto with respect to the subject matter hereof, superseding all prior oral or written understandings. Section 14.11 Governing Law. EACH TRANSACTION DOCUMENT SHALL BE GOVERNED BY, AND CONSTRUED IN ACCORDANCE WITH, THE LAW OF THE STATE OF NEW YORK, WITHOUT REGARD TO THE PRINCIPLES OF CONFLICTS OF LAWS THEREOF OTHER THAN SECTION 5-1401 OF THE GENERAL OBLIGATIONS LAW (EXCEPT IN THE CASE OF THE OTHER TRANSACTION DOCUMENTS, TO THE EXTENT OTHERWISE EXPRESSLY STATED THEREIN) AND EXCEPT TO THE EXTENT THAT THE PERFECTION OF THE OWNERSHIP INTERESTS OR SECURITY INTERESTS OF THE BORROWER OR THE ADMINISTRATIVE AGENT, ON BEHALF OF THE SECURED PARTIES, IN ANY OF THE COLLATERAL IS GOVERNED BY THE LAWS OF A JURISDICTION OTHER THAN THE STATE OF NEW YORK. Section 14.12 Waiver Of Jury Trial. EACH PARTY HERETO HEREBY EXPRESSLY WAIVES ANY RIGHT TO A TRIAL BY JURY IN ANY ACTION OR PROCEEDING TO ENFORCE OR DEFEND ANY RIGHTS UNDER THIS AGREEMENT, ANY OTHER TRANSACTION DOCUMENT OR UNDER ANY AMENDMENT, INSTRUMENT OR DOCUMENT DELIVERED OR WHICH MAY IN THE FUTURE BE DELIVERED IN CONNECTION HEREWITH OR ARISING FROM ANY BANKING OR OTHER RELATIONSHIP EXISTING IN CONNECTION WITH THIS AGREEMENT OR ANY OTHER TRANSACTION DOCUMENT AND AGREES THAT ANY SUCH ACTION OR PROCEEDING SHALL NOT BE TRIED BEFORE A JURY. Section 14.13 Consent To Jurisdiction; Waiver Of Immunities. EACH PARTY HERETO HEREBY ACKNOWLEDGES AND AGREES THAT: (a) IT IRREVOCABLY (i) SUBMITS TO THE NON-EXCLUSIVE JURISDICTION, FIRST, OF ANY UNITED STATES FEDERAL COURT, AND SECOND, IF FEDERAL JURISDICTION IS NOT AVAILABLE, OF ANY NEW YORK STATE COURT, IN EITHER CASE SITTING IN NEW YORK COUNTY, NEW YORK, IN ANY ACTION OR PROCEEDING ARISING OUT OF OR RELATING TO THIS AGREEMENT, AND (ii) WAIVES, TO THE FULLEST EXTENT IT MAY EFFECTIVELY DO SO, THE DEFENSE OF AN INCONVENIENT FORUM TO THE MAINTENANCE OF AN ACTION OR PROCEEDING IN SUCH COURTS. (b) TO THE EXTENT THAT IT HAS OR HEREAFTER MAY ACQUIRE ANY IMMUNITY FROM THE JURISDICTION OF ANY COURT OR FROM ANY LEGAL PROCESS (WHETHER THROUGH SERVICE OR NOTICE, ATTACHMENT PRIOR TO JUDGMENT, ATTACHMENT IN AID TO EXECUTION, EXECUTION OR


 
OTHERWISE) WITH RESPECT TO ITSELF OR ITS PROPERTY, IT HEREBY IRREVOCABLY WAIVES SUCH IMMUNITY IN RESPECT OF ITS OBLIGATIONS UNDER OR IN CONNECTION WITH THIS AGREEMENT. Section 14.14 Business Associate Agreement; Health Care Data Privacy and Security Requirements. (a) Definitions. “HIPAA” means the Health Insurance Portability and Accountability Act of 1996. The terms “EDI Rule,” “Privacy Regulations” and “Security Regulations” refer to all of the rules and regulations in effect from time to time issued pursuant to HIPAA and applicable to (respectively) the electronic data interchange, privacy and security of Individually Identifiable Health Information (found at Title 45, Code of Federal Regulations (CFR) Parts 160, 162, and 164). “Business Associate” refers to each of the Agents, the Borrower and any successor Servicer to Quest Diagnostics appointed by the Agents pursuant to this Agreement, severally and not jointly. All other terms used, but not otherwise defined in this Section, shall have the same meaning as those terms defined in the Title 45 of the Code of Federal Regulations applicable to HIPAA or any successor statute. (b) Privacy. In accordance with the purposes of this Agreement, Quest Diagnostics will disclose to each Business Associate, and each Business Associate will use, disclose, and/or create Protected Health Information (hereinafter called “PHI”) only on behalf of Quest Diagnostics for the specific purposes set forth in this Agreement. Each Business Associate agrees not to use or further disclose any PHI or Individually Identifiable Health Information received from Quest Diagnostics or created by any Business Associate other than as permitted by this Agreement or as required by applicable law or regulations, including the Privacy Regulations and the Security Regulations. Each Business Associate will only use or disclose the Minimum Necessary PHI to accomplish the intended purpose of its uses or disclosures. Each Business Associate will implement appropriate safeguards to prevent the use or disclosure of an Individual’s PHI other than as provided for by this Agreement or in accordance with law and shall document its safeguards. Each Business Associate will provide access to an Individual’s PHI upon the reasonable request of Quest Diagnostics, will make any amendments to an Individual’s PHI as directed by Quest Diagnostics, and will maintain a record of disclosures of PHI as required for Quest Diagnostics to make an accounting to the Individual as required by the Privacy Regulations. Each Business Associate will promptly report to Quest Diagnostics any use or disclosure of an Individual’s PHI not provided for by this Agreement or any security incident (as that term is defined in the Security Regulations) of which such Business Associate becomes aware. In the event any Business Associate contracts with any sub-contractors or agents and provides them with an Individual’s PHI, such Business Associate shall include provisions in its agreements whereby the sub-contractor or agent agrees to the same privacy and security requirements and restrictions and conditions that apply to such Business Associate with respect to the Individual’s PHI. Each Business Associate will, upon reasonable notice, make its internal practices, books, and records relating to the use and disclosure of an Individual’s PHI available to the Secretary of Health and Human Services and to Quest Diagnostics to the extent required for determining compliance with this Section, the Privacy Regulations, and the Security Regulations. Notwithstanding the foregoing, no legal privilege shall be deemed waived by any Business Associate or Quest Diagnostics by virtue of this clause (b) of this Section. Quest Diagnostics may terminate this Agreement without penalty or recourse if it determines that any Business Associate has violated a material term of this Section or applicable law that is not cured within thirty (30) calendar days after delivery of the notice of violation to all of the Business Associates or, in lieu of termination, Quest Diagnostics, in its sole discretion, may report the breach to the Secretary. Upon termination of this Agreement for any reason, each Business Associate and its sub-contractors or agents agree to return or to destroy all PHI and retain no copies (and to certify to


 
such actions) unless otherwise agreed by Quest Diagnostics or such return or disclosure is not reasonably feasible (in which case, at no additional cost to Quest Diagnostics, each Business Associate will extend the protections of this Section to the PHI that such Business Associate maintains and limit any further uses and disclosures of the PHI to the purposes that make the return or destruction of the PHI not feasible). (c) Security. Each Business Associate shall adopt, implement and maintain throughout the term of this Agreement security policies, procedures, and practices, administrative, physical and technical safeguards, and security mechanisms that reasonably and adequately protect the confidentiality, integrity, and availability of the PHI that it creates, receives, maintains, or transmits on behalf of Quest Diagnostics (“Business Associate Safeguards”), and each Business Associate shall require its sub-contractors or agents to adopt Business Associate Safeguards that are equally appropriate and adequate. Quest Diagnostics may terminate this Agreement at any time, without penalty, if it determines, in its sole discretion, that the Business Associate Safeguards are unsatisfactory. (d) EDI. If Business Associate conducts all or any portion of its business or pays any claim in a transaction covered by the Electronic Data Interchange (“EDI”) Rule on behalf of Quest Diagnostics, then Business Associate covenants and warrants that it shall and shall require its agents and/or subcontractors to comply with the requirements of the EDI Rule that are applicable to Quest Diagnostics. (e) Benefit. This Section is not intended to create any right in or obligations to any Person that is not a party to this Agreement, including Individuals. (f) Mitigation. In addition to any rights of indemnification contained in this Agreement, each Business Associate will take commercially reasonable steps to mitigate any harm caused by its breach of this Section and/or reimburse Quest Diagnostics for the cost of commercially reasonable mitigation based upon, arising out of or attributable to the acts or omissions of such Business Associate, its employees, officers, directors, agents, or sub-contractors for uses or disclosures in violation of this Section. (g) Amendment. Each of the Business Associates and Quest Diagnostics agree to amend this Section in such manner as is reasonably necessary to comply with any amendment of (i) HIPAA or other applicable law, (ii) the Privacy Regulations, the Security Regulations, or other applicable regulations, or (iii) any applicable court decision or binding governmental policy. If the parties are unable to agree on an amendment within 30 days of notice from Quest Diagnostics to each Business Associate of the requirement to amend this Section, Quest Diagnostics may, at its option, terminate this Agreement upon written notice to the Business Associates. (h) Survival. This Section and the confidentiality, privacy, security, and other requirements established herein shall survive termination of this Agreement. (i) Interpretation. Any ambiguity in this Section shall be resolved in favor of a meaning that permits Quest Diagnostics to comply with the Privacy Regulations, the Security Regulations and the EDI Rule.


 
(j) Several Liability of Business Associates. No Business Associate shall have any liability to Quest Diagnostics or any third party of any kind or nature, whether such liability is asserted on the basis of contract, tort (including negligence or strict liability), or otherwise, arising from the failure of any other Business Associate to fulfill its obligations under this Section. Section 14.15 Execution in Counterparts. This Agreement may be executed in any number of counterparts and by the different parties hereto in separate counterparts, each of which when so executed shall be deemed to be an original and all of which when taken together shall constitute one and the same Agreement. Section 14.16 No Recourse Against Other Parties. The several obligations of the Lenders under this Agreement are solely the corporate obligations of such Lender. No recourse shall be had for the payment of any amount owing by such Lender under this Agreement or for the payment by such Lender of any fee in respect hereof or any other obligation or claim of or against such Lender arising out of or based upon this Agreement, against any employee, officer, director, incorporator or stockholder of such Lender. Each of the Borrower, the Servicer and the Administrative Agent agrees that each of the Conduits shall be liable for any claims that such party may have against such Conduit only to the extent that such Conduit has excess funds and to the extent such assets are insufficient to satisfy the obligations of such Conduit hereunder, such Conduit shall have no liability with respect to any amount of such obligations remaining unpaid and such unpaid amount shall not constitute a claim against such Conduit. Any and all claims against any of the Conduits or any of the Agents shall be subordinate to the claims against such Persons of the holders of such Conduit’s Commercial Paper Notes and other senior Indebtedness and its Liquidity Banks. Section 14.17 PATRIOT Act. Each Lender that is subject to the requirements of the Act hereby notifies the Loan Parties that pursuant to the requirements of the Act, it is required to obtain, verify and record information that identifies the Loan Parties, the Originators and their respective Subsidiaries, which information includes the name and address of the Loan Parties, the Originators and their respective Subsidiaries and other information that will allow such Lenders to identify such parties in accordance with the Act. Section 14.18 Defaulting Lenders. (a) If any Committed Lender becomes a Defaulting Lender at any time when there are undrawn Letters of Credit outstanding, then all or any part of such Defaulting Lender’s participation in such Letters of Credit shall be reallocated among the Committed Lenders that are not Defaulting Lenders in accordance with their respective Ratable Shares (calculated without regard to such Defaulting Lender’s Commitment) but only to the extent that (i) the conditions precedent to Credit Events are satisfied at the time of such reallocation (and, unless the Borrower shall have otherwise notified the Administrative Agent at such time, the Borrower shall be deemed to have represented and warranted that such conditions are satisfied at such time), and (ii) such reallocation does not cause the Credit Exposure of any Lender to exceed such Lender’s applicable Commitment. Subject to Section 1.9, no such reallocation shall constitute a waiver or release of any claim of any party against a Defaulting Lender arising from that Lender having become a Defaulting Lender, including any claim of any other Lender as a result of such other Lender’s increased Credit Exposure following such reallocation.


 
(b) If any Committed Lender becomes a Defaulting Lender at any time when there are Advances outstanding, then all or any part of such Defaulting Lender’s Loans shall be reallocated among the Committed Lenders that are not Defaulting Lenders in accordance with their respective Ratable Shares (calculated without regard to such Defaulting Lender’s Commitment) but only to the extent that (i) the conditions precedent to Credit Events are satisfied at the time of such reallocation (and, unless the Borrower shall have otherwise notified the Administrative Agent at such time, the Borrower shall be deemed to have represented and warranted that such conditions are satisfied at such time), and (ii) such reallocation does not cause the Credit Exposure of any Lender to exceed such Lender’s Commitment. No such reallocation shall constitute a waiver or release of any claim of any party against a Defaulting Lender arising from that Lender having become a Defaulting Lender, including any claim of any other Lender as a result of such other Lender’s increased Credit Exposure following such reallocation. (c) If any Committed Lender becomes a Defaulting Lender at any time when there are undrawn Letters of Credit or Advances outstanding and the reallocation described in the paragraph above cannot, or can only partially, be effected, then the Borrower shall (i) within two (2) Business Days following notice by the LC Issuer or the Administrative Agent, (A) cash collateralize for the benefit of the LC Issuer a portion of the amount of the then outstanding Letters of Credit equal to such Defaulting Lender’s Ratable Share (determined after giving effect to any reallocation of its participation in Letters of Credit pursuant to clause (a) above) of such undrawn stated amount of outstanding Letters of Credit by depositing such amount into the LC Collateral Account, and/or (B) reduce the outstanding Principal balance of the Loans of the other Lenders in an aggregate amount, and (ii) maintain funds in the LC Collateral Account to cash collateralize such Defaulting Lender’s Ratable Share (determined after giving effect to any reallocation of its participation in Letters of Credit pursuant to clause (a) above) of undrawn stated amount of outstanding Letters of Credit. The Administrative Agent shall apply funds deposited into the LC Collateral Account to satisfy a Defaulting Lender’s obligation to fund its portion of a Reimbursement Advance requested or deemed requested by the Borrower and to fund any LC Advance required to be made by such Defaulting Lender. (d) The Borrower shall not be required to pay such Defaulting Lender any fees payable with respect to the amount of the undrawn Letters of Credit that is so Cash Collateralized by the Borrower. (e) No amount payable by the Borrower for the account of a Defaulting Lender (whether on account of Principal, Interest, indemnity payments or other amounts) shall be paid or distributed to such Defaulting Lender (or its Co-Agent), but instead shall be deposited to the LC Collateral Account until the amount therein is equal to the amount of such Defaulting Lender’s Pro Rata Share of the stated amount of the undrawn Letters of Credit that is not cash collateralized, and to the extent of any remaining amounts, to pay to such Defaulting Lender amounts owed to it. (f) No Defaulting Lender shall have any right to approve or disapprove any amendment, waiver or consent under this Agreement (and any amendment, waiver or consent which by its terms requires the consent of all Lenders or each affected Lender may be effected with the consent of the applicable Lenders other than Defaulting Lenders), except that (x) the Commitment of any Defaulting Lender may not be increased or extended without the consent of such Lender and (y) any waiver, amendment or modification requiring the consent of all Lenders or each affected Lender that by its terms affects any Defaulting Lender more adversely than other affected Lenders shall require the consent of such Defaulting Lender.


 
<Signature pages have been moved from this document to Amendment No. 10>


 
ANNEX A DEFINITIONS A. Certain Defined Terms. As used in this Agreement: “Account” shall have the meaning specified in Article 9 of the UCC. “Accrual Period” means each calendar month, provided that the initial Accrual Period hereunder means the period from (and including) the date of the initial Loan hereunder to (and including) the last day of the calendar month thereafter. “Ad Hoc Reserve” means 0% or such higher percentage as the Servicer and the Agents may agree upon in writing from time to time; provided, however, that in the event Quest Diagnostics is downgraded by both S&P and Moody’s below BBB- and Baa3, respectively, the agreement of the Servicer to the higher percentage will not be required so long as such percentage does not exceed 1.5 times the Dilution Reserve. “Adjusted Daily One Month Term SOFR” means, for purposes of any calculation, the rate per annum equal to the sum of (a) the Daily One Month Term SOFR for such day, plus (b) the Term SOFR Adjustment. “Adjusted Daily Three Month Term SOFR” means, for purposes of any calculation, the rate per annum equal to the sum of (a) the Daily Three Month Term SOFR for such day, plus (b) the Term SOFR Adjustment. “Adjusted Dilution Ratio” means, at any time, the rolling average of the Dilution Ratio for the 12 months then most recently ended. “Adjusted Term SOFR” means, for purposes of any calculation, the rate per annum equal to the sum of (a) the applicable Term SOFR for such Interest Period, plus (b) the Term SOFR Adjustment. “Administrative Agent” has the meaning provided in the preamble of this Agreement. “Advance” means a borrowing under Section 1.1.1 hereunder consisting of the aggregate amount of the several Loans made on the same Borrowing Date. “Affected Party” means the LC Issuer and each of the Lenders and the Agents. “Affiliate” means, as to any Person, any other Person which, directly or indirectly, is in control of, is controlled by, or is under common control with, such Person. A Person shall be deemed to control another Person if the controlling Person possesses, directly or indirectly, the power to direct or cause the direction of the management and policies of the other Person, whether through the ownership of voting securities, membership interests, by contract, or otherwise. “Affiliated Obligor” in relation to any Obligor means an Obligor that is an Affiliate of such Obligor.


 
“Agents” means the Administrative Agent and the Co-Agents. “Aggregate Commitment” means, on any date of determination, the aggregate of the Commitments then in effect. “Aggregate Credit Exposure” means, as to all Lenders on any date of determination, the sum of (a) aggregate Principal balance of the Advances outstanding on such date, plus (b) the LC Obligations on such date. “Aggregate Principal” means, on any date of determination, the aggregate outstanding Principal amount of the Advances at such time. “Agreement” means this Sixth Amended and Restated Credit and Security Agreement, as it may be amended or modified and in effect from time to time. “Allocation Limit” means the sum of the PNC Allocation Limit, the Atlantic Allocation Limit and the Gotham Allocation Limit. “Alternate Base Rate” means, for any day, a rate per annum equal to the highest of (a) the Prime Rate in effect on such day, (b) the greater of (i) the Federal Funds Rate in effect on such day plus 0.50%, and (ii) the Floor, and (c) the greater of (i) Term SOFR for a one-month tenor in effect on such day plus the Term SOFR Adjustment, and (ii) the Floor. Any change in the Alternate Base Rate due to a change in the Prime Rate, the Federal Funds Rate or Term SOFR shall be effective from and including the effective date of such change in the Prime Rate, the Federal Funds Rate or Term SOFR, respectively. “Alternate Base Rate Loan” means a Loan which bears interest at the Alternate Base Rate or the Default Rate. “Anti-Corruption Laws” means all laws, rules, and regulations of any jurisdiction applicable to the Originators or their respective Subsidiaries from time to time concerning or relating to bribery or corruption including the U.S. Foreign Corrupt Practices Act of 1977, as amended, the U.K. Bribery Act 2010, and any applicable law or regulation implementing the OECD Convention on Combating Bribery of Foreign Public Officials in International Business Transactions. “Approved Amendment” means any of the following amendments and waivers, to the Credit Agreement, howsoever evidenced: (a) until such time (if any) that Quest Diagnostics’ long-term senior unsecured debt rating from Moody’s is raised above Ba1, and for so long as Quest Diagnostics’ long-term senior unsecured debt ratings remain at BBB- or higher from S&P and at (but not below) Ba1 from Moody’s, any amendment to or waiver of the Credit Agreement to which the requisite banks under the Credit Agreement consent, (b) after the time (if any) that Quest Diagnostics’ long-term senior unsecured debt rating from Moody’s is raised to Baa3 or higher, and for so long as Quest Diagnostics’ long-term senior unsecured debt ratings remain at BBB- or higher from S&P and at Baa3 or higher from


 
Moody’s, any amendment to or waiver of the Credit Agreement to which the requisite banks under the Credit Agreement consent, and (c) at any time while Quest Diagnostics’ long-term senior unsecured debt rating from either S&P or Moody’s fails to meet the applicable minimum level set forth in (a) or (b) above or any such minimum rating is classified as being on “negative watch” or the equivalent, any amendment to or waiver of the Credit Agreement approved by the requisite banks under the Credit Agreement and to which either (x) each of the Co-Agents (acting in its capacity as such under this Agreement) gives its written consent on or within 30 days after receipt of a copy of the proposed amendment or waiver, or (y) one or two of the Co-Agents but not all of the Co-Agents gives its written consent on or within 30 days after receipt of a copy of the proposed amendment (but not waiver) and the Obligations owing each dissenting Co-Agent’s Group are paid in full on or within 60 days after such 30th day. “Article” means an article of this Agreement unless another document is specifically referenced. “Atlantic” has the meaning provided in the preamble of this Agreement. “Atlantic Allocation Limit” has the meaning set forth in Section 1.1.1(c). “Atlantic Group” has the meaning provided in the preamble of this Agreement. “Atlantic Group Agent” has the meaning provided in the preamble of this Agreement. “Atlantic Liquidity Agreement” means, collectively, any liquidity agreement pursuant to which any of the Atlantic Liquidity Banks provides liquidity to Atlantic and any related asset purchase agreement, as each may be amended, restated, supplemented, replaced or otherwise modified from time to time. “Atlantic Liquidity Bank” means any Liquidity Bank that now or hereafter enters into this Agreement and the Atlantic Liquidity Agreement. “Authorized Officer” means with respect to either Loan Party, any of the following, acting singly: its chief executive officer, its president, its vice president-finance, its treasurer, its assistant treasurer or its secretary. “Available Tenor” means, as of any date of determination and with respect to the then-current Benchmark, as applicable, (x) if such Benchmark is a term rate, any tenor for such Benchmark (or component thereof) that is or may be used for determining the length of an interest period pursuant to this Agreement or (y) otherwise, any payment period for interest calculated with reference to such Benchmark (or component thereof) that is or may be used for determining any frequency of making payments of interest calculated with reference to such Benchmark, in each case, as of such date and not including, for the avoidance of doubt, any tenor for such Benchmark that is then-removed from the definition of “Interest Period”, “Daily One Month Term SOFR” or “Daily Three Month Term SOFR” pursuant to Section 4.6(d).


 
“Bail-In Action” means the exercise of any Write-Down and Conversion Powers by the applicable EEA Resolution Authority in respect of any liability of an EEA Financial Institution. “Bail-In Legislation” means, with respect to any EEA Member Country implementing Article 55 of Directive 2014/59/EU of the European Parliament and of the Council of the European Union, the implementing law for such EEA Member Country from time to time which is described in the EU Bail-In Legislation Schedule. “Benchmark” means, initially, the Term SOFR Reference Rate; provided that if a Benchmark Transition Event has occurred with respect to the Term SOFR Reference Rate or the then-current Benchmark, then “Benchmark” means the applicable Benchmark Replacement to the extent that such Benchmark Replacement has replaced such prior benchmark rate pursuant to Section 4.6(a). “Benchmark Replacement” means with respect to any Benchmark Transition Event, the sum of: (a) the alternate benchmark rate that has been selected by the Administrative Agent and the Borrower giving due consideration to (i) any selection or recommendation of a replacement benchmark rate or the mechanism for determining such a rate by the Relevant Governmental Body or (ii) any evolving or then-prevailing market convention for determining a benchmark rate as a replacement to the then-current Benchmark for Dollar-denominated syndicated credit facilities and (b) the related Benchmark Replacement Adjustment; provided that, if such Benchmark Replacement as so determined would be less than the Floor, such Benchmark Replacement will be deemed to be the Floor for the purposes of this Agreement and the other Transaction Documents. “Benchmark Replacement Adjustment” means, with respect to any replacement of the then-current Benchmark with an Unadjusted Benchmark Replacement, the spread adjustment, or method for calculating or determining such spread adjustment, (which may be a positive or negative value or zero) that has been selected by the Administrative Agent and the Borrower giving due consideration to (a) any selection or recommendation of a spread adjustment, or method for calculating or determining such spread adjustment, for the replacement of such Benchmark with the applicable Unadjusted Benchmark Replacement by the Relevant Governmental Body or (b) any evolving or then-prevailing market convention for determining a spread adjustment, or method for calculating or determining such spread adjustment, for the replacement of such Benchmark with the applicable Unadjusted Benchmark Replacement for Dollar-denominated syndicated credit facilities. “Benchmark Replacement Date” means the earliest to occur of the following events with respect to the then-current Benchmark: (a) in the case of clause (a) or (b) of the definition of “Benchmark Transition Event,” the later of (i) the date of the public statement or publication of information referenced therein and (ii) the date on which the administrator of such Benchmark (or the published component used in the calculation thereof) permanently or indefinitely ceases to provide all Available Tenors of such Benchmark (or such component thereof); or (b) in the case of clause (c) of the definition of “Benchmark Transition Event”, the first date on which such Benchmark (or the published component used in the calculation thereof) has been determined and announced by or on behalf of the administrator of such Benchmark (or such component thereof) or the regulatory supervisor for the administrator of such Benchmark (or


 
such component thereof) to be non-representative or non-compliant with or non-aligned with the International Organization of Securities Commissions (IOSCO) Principles for Financial Benchmarks; provided that such non-representativeness, non-compliance or non-alignment will be determined by reference to the most recent statement or publication referenced in such clause (c) and even if any Available Tenor of such Benchmark (or such component thereof) continues to be provided on such date. For the avoidance of doubt, the “Benchmark Replacement Date” will be deemed to have occurred in the case of clause (a) or (b) with respect to any Benchmark upon the occurrence of the applicable event or events set forth therein with respect to all then-current Available Tenors of such Benchmark (or the published component used in the calculation thereof). “Benchmark Transition Event” means the occurrence of one or more of the following events with respect to the then-current Benchmark: (a) a public statement or publication of information by or on behalf of the administrator of such Benchmark (or the published component used in the calculation thereof) announcing that such administrator has ceased or will cease to provide all Available Tenors of such Benchmark (or such component thereof), permanently or indefinitely; provided that, at the time of such statement or publication, there is no successor administrator that will continue to provide any Available Tenor of such Benchmark (or such component thereof); (b) a public statement or publication of information by the regulatory supervisor for the administrator of such Benchmark (or the published component used in the calculation thereof), the Federal Reserve Board, the Federal Reserve Bank of New York, an insolvency official with jurisdiction over the administrator for such Benchmark (or such component), a resolution authority with jurisdiction over the administrator for such Benchmark (or such component) or a court or an entity with similar insolvency or resolution authority over the administrator for such Benchmark (or such component), which states that the administrator of such Benchmark (or such component) has ceased or will cease to provide all Available Tenors of such Benchmark (or such component thereof) permanently or indefinitely; provided that, at the time of such statement or publication, there is no successor administrator that will continue to provide any Available Tenor of such Benchmark (or such component thereof); or (c) a public statement or publication of information by or on behalf of the administrator of such Benchmark (or the published component used in the calculation thereof) or the regulatory supervisor for the administrator of such Benchmark (or such component thereof) announcing that all Available Tenors of such Benchmark (or such component thereof) are not, or as of a specified future date will not be, representative or in compliance with or aligned with the International Organization of Securities Commissions (IOSCO) Principles for Financial Benchmarks. For the avoidance of doubt, a “Benchmark Transition Event” will be deemed to have occurred with respect to any Benchmark if a public statement or publication of information set forth above has occurred with respect to each then-current Available Tenor of such Benchmark (or the published component used in the calculation thereof). “Benchmark Transition Start Date” means, in the case of a Benchmark Transition Event, the earlier of (a) the applicable Benchmark Replacement Date and (b) if such Benchmark


 
Transition Event is a public statement or publication of information of a prospective event, the 30th day prior to the expected date of such event as of such public statement or publication of information (or if the expected date of such prospective event is fewer than 30 days after such statement or publication, the date of such statement or publication). “Benchmark Unavailability Period” means, the period (if any) (a) beginning at the time that a Benchmark Replacement Date has occurred if, at such time, no Benchmark Replacement has replaced the then-current Benchmark for all purposes hereunder and under any Transaction Document in accordance with Section 4.6 and (b) ending at the time that a Benchmark Replacement has replaced the then-current Benchmark for all purposes hereunder and under any Transaction Document in accordance with Section 4.6. “Beneficial Ownership Rule” means 31 C.F.R. § 1010.230. “Borrower” has the meaning provided in the preamble of this Agreement. “Borrowing Base” means, on any date of determination, the Net Pool Balance as of the last day of the period covered by the most recent Monthly Report, minus the Required Reserve as of the last day of the period covered by the most recent Monthly Report. “Borrowing Date” means a date on which a Credit Event occurs. “Borrowing Request” is defined in Section 2.1. “Broken Funding Costs” means, for any CP Rate Loan which: (a) has its Principal reduced without compliance by the Borrower with the notice requirements hereunder or (b) is not prepaid in the amount specified in a Prepayment Notice on the date specified therein or (c) is assigned or otherwise transferred by the applicable Conduit to its respective Liquidity Banks under its respective Liquidity Agreement or terminated prior to the date on which it was originally scheduled to end or (d) in the case of Gotham while it is not a Pool Funded Conduit, is prepaid in an aggregate principal amount in excess of the aggregate Face Value of Gotham’s Commercial Paper Notes issued to fund its CP Rate Loan which matures on the date of prepayment, an amount equal to: (i) in the case of any Pool Funded Conduit, the excess, if any, of (A) the CP Costs that would have accrued during the remainder of the applicable commercial paper tranche periods determined by the applicable Co-Agent to relate to such Loan subsequent to the date of such reduction, assignment or termination (or in respect of clause (b) above, the date such prepayment was designated to occur pursuant to the applicable Prepayment Notice) of the Principal of such CP Rate Loan if such reduction, assignment or termination had not occurred or such Prepayment Notice had not been delivered, over (B) the sum of (x) to the extent all or a portion of such Principal is allocated to another CP Rate Loan, the amount of CP Costs actually accrued during the remainder of such period on such Principal for the new Loan, and (y) to the extent such Principal is not allocated to another CP Rate Loan, the income, if any, actually received during the remainder of such period by the holder of such Loan from investing the portion of such Principal not so allocated; and (ii) in the case of Gotham when it is not acting as a Pool Funded Conduit, the excess, if any, of (A) the Interest at the CP Rate that would have accrued during the remainder of the applicable CP Tranche Periods as determined by the Gotham Agent to relate to such CP Rate Loan


 
subsequent to the date of such reduction, assignment or termination (or in respect of clause (b) above, the date such prepayment was designated to occur pursuant to the applicable Prepayment Notice) of the Principal of such CP Rate Loan if such reduction, assignment or termination had not occurred or such Prepayment Notice had not been delivered, over (B) the sum of (x) to the extent all or a portion of such Principal is allocated to another CP Rate Loan, the amount of Interest at the CP Rate actually accrued during the remainder of such period on such Principal for the new Loan, and (y) to the extent such Principal is not allocated to another CP Rate Loan, the income, if any, actually received during the remainder of such period by the holder of such Loan from investing the portion of such Principal not so allocated. “Business Associate” has the meaning set forth in Section 14.14(a). “Business Associate Safeguards” has the meaning set forth in Section 14.14(c). “Business Day” means any day on which banks are not authorized or required to close in New York, New York, Pittsburgh, Pennsylvania or Secaucus, New Jersey, and The Depository Trust Company of New York is open for business, and if the applicable Business Day relates to any computation or payment to be made with respect to a Daily Term SOFR rate or an Adjusted Term SOFR rate, a U.S. Government Securities Business Day. “CACIB” has the meaning provided in the preamble of this Agreement. “CACIB Roles” has the meaning set forth in Section 11.10(a). “Cash Collateral Payment” means, on any date of determination, the dollar amount resulting from the product of (i) the arithmetic average of the dollar amount of cash collections from the 4 immediately preceding Report Weeks and (ii) the result of dividing (a) the then aggregate outstanding Principal balance of the Advances by (b) the aggregate Unpaid Net Balance of all Receivables, as reflected on the most recent prior Monthly Report. “Cash-Collateralize” means to pledge and deposit into the LC Collateral Account at PNC, for the benefit of the LC Issuer, as collateral for the LC Obligations, immediately available funds pursuant to documentation in form and substance satisfactory to the Administrative Agent and the LC Issuer. The term, “Cash Collateralization” shall have a correlative meaning. “Certificate of Non-Bank Status for Foreign Entities” has the meaning set forth in Section 2.5(g)(ii)(B)(3). “Change in Control” means: (a) the failure of Quest Diagnostics to own (directly or through one or more wholly-owned Subsidiaries of Quest Diagnostics) 100% of the issued and outstanding Equity Interests (including all Equity Rights) of the Borrower; (b) the failure of Quest Diagnostics to own (directly or through one or more wholly-owned Subsidiaries of Quest Diagnostics) at least 80%, on a fully-diluted basis, of the issued and outstanding Equity Interests (including all Equity Rights) of each of the other Originators; provided, however, that no Change in Control shall be deemed to have occurred under this clause (b) if, in any calendar year, Quest Diagnostics ceases to beneficially own (directly or through one or more


 
wholly-owned Subsidiaries of Quest Diagnostics) 80%, on a fully diluted basis, of the issued and outstanding Equity Interests (including all Equity Rights) of any Originator or Originators whose Net Receivables as of the last day of the prior calendar year did not represent more than 10% of the Net Receivables of all Originators as of the last day of such prior calendar year; or (c) (i) any Person or any group shall (A) beneficially own (directly or indirectly) in the aggregate Equity Interests of Quest Diagnostics having 35% or more of the aggregate voting power of all Equity Interests of Quest Diagnostics at the time outstanding or (B) have the right or power to appoint a majority of the board of directors of Quest Diagnostics; or (ii) during any period of two consecutive years, individuals who at the beginning of such period constituted the board of directors of Quest Diagnostics (together with any new directors whose election by such board of directors or whose nomination for election by the shareholders of Quest Diagnostics was approved by a vote of a majority of the directors of Quest Diagnostics then still in office who were either directors at the beginning of such period or whose election or nomination for election was previously so approved) cease for any reason to constitute at least a majority of the board of directors of Quest Diagnostics then in office. For purposes of this definition, the terms “beneficially own” and “group” shall have the respective meanings ascribed to them pursuant to Section 13(d) of the Exchange Act, except that a Person or group shall be deemed to “beneficially own” all securities that such Person or group has the right to acquire, whether such right is exercisable immediately or only after the passage of time. “Client-Billed Receivable” means a Receivable booked in the “client-billed receivables” category of accounts receivable in the billing and accounting process of the applicable Originator owing from a physician, hospital or other institutional Obligor (including a Governmental Authority or affiliated Obligor) which is billed monthly in arrears for the services provided with pricing typically based on a negotiated fee schedule. For the avoidance of doubt, no Client-Billed Receivable would be (a) a “Specified Government Receivable,” or (b) owing from another payor type such as an individual “self-pay” patient or an insurance company or managed care plan. “Client-Billed Receivable Percentage” means, at any time, the percentage equal to (a) the Unpaid Net Balance of all Client-Billed Receivables, divided by (b) the reported Unpaid Net Balance of all Receivables, in each of the foregoing cases, determined as of the last day of the calendar month then most recently ended. “Client-Billed Receivables for the Reserve Computation” means, at any time, an amount determined by multiplying the Client-Billed Receivables Percentage by Net Receivables. “Clinical Laboratory Services” means clinical laboratory, anatomic pathology or other diagnostics testing services (including, without limitation, routine and esoteric clinical laboratory services (including genetics testing), clinical laboratory services involved with clinical trials, point-of-care testing, clinical laboratory services involving corporate healthcare and services involved with managing hospital laboratories), health screening and risk assessment services, and information services involving the provision of data or information programs, services or products which substantially consists of laboratory or other medical data. “Co-Agents” means Gotham Agent, the Atlantic Agent and the PNC Group Agent.


 
“Code” means the Internal Revenue Code of 1986, as the same may be amended from time to time. “Collateral” has the meaning set forth in Section 9.1. “Collateral Account” has the meaning set forth in Section 7.1(i)(iii). “Collection Account” means each concentration account, depositary account, lockbox account or similar account into which proceeds of Receivables are deposited. “Collection Account Agreement” means an agreement by and among a Collection Bank, the Borrower and the Administrative Agent giving the Administrative Agent “control” (as defined in the applicable UCC) over one or more of the Borrower’s Collection Accounts. “Collection Bank” means any of the banks holding one or more Collection Accounts or Lockboxes. “Collections” means, (a) with respect to any Receivable, all funds which either (i) are received from or on behalf of the related Obligor in payment of any amounts owed (including, without limitation, purchase prices, finance charges, interest and all other charges) in respect of such Receivable, or applied to such amounts owed by such Obligor (including, without limitation, payments that the Borrower, any Originator or the Servicer receives from third party payors and applies in the ordinary course of its business to amounts owed in respect of such Receivable and net proceeds of sale or other disposition of repossessed goods or other collateral or property of the Obligor or any other party directly or indirectly liable for payment of such Receivable and available to be applied thereon), or (ii) are Deemed Collections, and (b) with respect to any Demand Advance, any payment of principal or interest in respect thereof and any Permitted Investments and the proceeds thereof made with any such payment. “Collections Ratio” means Collections divided by the reported Unpaid Net Balance of all Receivables determined as of the last day of the calendar month then most recently ended. “Commercial Paper Notes” means the commercial paper promissory notes, if any, issued by or on behalf of any of the Conduits to fund, in whole or in part, any of its CP Rate Loans. “Commitment” means, for each Committed Lender, its obligation to make Loans not exceeding the amount set forth next to its name on Annex B hereto under the column entitled “Commitment,” as such amount may be modified from time to time pursuant to the terms hereof. “Commitment Expiry Date” means, as to each Group, November 2019, 20262027. “Commitment Percentage” means, for each Group on any date of determination, the ratio which the sum the Commitments of the Committed Lender(s) in such Group bears to the Aggregate Commitment. “Commitment Reduction Notice” has the meaning set forth in Section 1.6. “Committed Lender” means each Lender that is not a Conduit.


 
“Concentration Reserve Percentage” means, on any date of determination, the largest of: (i) the sum of the four (4) largest Obligor Percentages of the Group D Obligors at such time, (ii) the sum of the two (2) largest Obligor Percentages of the Group C Obligors at such time, and (iii) the single largest Obligor Percentage of the Group B Obligors at such time. The group to which each Obligor belongs is specified in the first column in the table set forth in the definition of “Obligor Concentration Limit” and is based on such Obligor’s ratings as reflected in such table.. “Conduit” means Atlantic or Gotham. “Conforming Changes” means, with respect to either the use or administration of Term SOFR, Daily One Month Term SOFR or Daily Three Month Term SOFR or the use, administration, adoption or implementation of any Benchmark Replacement, any technical, administrative or operational changes (including changes to the definition of “Alternate Base Rate,” the definition of “Business Day,” the definition of “U.S. Government Securities Business Day,” the definition of “Interest Period” or any similar or analogous definition (or the addition of a concept of “interest period”), timing and frequency of determining rates and making payments of interest, timing of borrowing requests or prepayment, conversion or continuation notices, the applicability and length of lookback periods, the applicability of Section 4.3 and other technical, administrative or operational matters) that the Administrative Agent in consultation with the Borrower decides may be appropriate to reflect the adoption and implementation of any such rate or to permit the use and administration thereof by the Administrative Agent in a manner substantially consistent with market practice (or, if the Administrative Agent decides that adoption of any portion of such market practice is not administratively feasible or if the Administrative Agent determines that no market practice for the administration of any such rate exists, in such other manner of administration as the Administrative Agent decides is reasonably necessary in connection with the administration of this Agreement and the other Transaction Documents). “Constituent” means (a) as to the Gotham Agent, any member of the Gotham Group from time to time party hereto, (b) as to the Atlantic Agent, any member of the Atlantic Group from time to time party hereto, and (c) as to the PNC Group Agent, PNC, and when used as an adjective, “Constituent” shall have a correlative meaning. “Contract” means, with respect to any Receivable, any requisition, purchase order, agreement, contract or other writing with respect to the provision of services by an Originator to an Obligor other than (i) an Invoice, and (ii) any confidential patient information including, without limitation, test results. “Contractual Disallowance” means an amount which represents the amount by which a Receivable is, consistent with usage and practices in the applicable Originator’s industry, expected to be reduced prior to payment by the Obligor thereon. “Contractual Obligation” means, as to any Person, any provision of any security issued by such Person or of any agreement, undertaking, contract, indenture, mortgage, deed of or other instrument, document or agreement to which such Person is a party or by which it or any of its property is bound. “CP Costs” means, for each day for any Pool Funded Conduit, the sum of (i) discount or interest accrued on such Conduit’s Pooled Commercial Paper on such day, plus (ii) any and all


 
accrued commissions in respect of its placement agents and its commercial paper dealers, and issuing and paying agent fees incurred, in respect of such Conduit’s Pooled Commercial Paper for such day, plus (iii) other costs associated with funding small or odd-lot amounts with respect to all receivable purchase or financing facilities which are funded by such Conduit’s Pooled Commercial Paper for such day, minus (iv) any accrual of income net of expenses received by or on behalf of such Conduit on such day from investment of collections received under all receivable purchase or financing facilities funded substantially with such Conduit’s Pooled Commercial Paper, minus (v) any payment received on such day net of expenses in respect of such Conduit’s Broken Funding Costs related to the prepayment of any investment of such Pool Funded Conduit pursuant to the terms of any receivable purchase or financing facilities funded substantially with its Pooled Commercial Paper. In addition to the foregoing costs, if the Borrower (or the Servicer, on the Borrower’s behalf) shall request any Advance during any period of time determined by the applicable Co-Agent in its sole discretion to result in incrementally higher CP Costs applicable to such Pool Funded Conduit’s Loan included in such Advance, the Principal associated with any such Loan of such Pool Funded Conduit shall, during such period, be deemed to be funded by such Pool Funded Conduit in a special pool (which may include capital associated with other receivable purchase or financing facilities) for purposes of determining such additional CP Costs applicable only to such special pool and charged each day during such period against such Principal. Notwithstanding the foregoing, in no event shall “CP Costs” be less than $0.00. “CP Rate” means: (a) with respect to each of the Pool Funded Conduits for any CP Tranche Period, the per annum interest rate that, when applied to the outstanding Principal balance of such Pool Funded Conduits’ CP Rate Loans for the actual number of days elapsed in such CP Tranche Period, would result in an amount of accrued interest equivalent to such Pool Funded Conduits’ CP Costs for such CP Tranche Period; and (b) with respect to Gotham, unless it has notified the Loan Parties that it will be pool funding its Loans, for any CP Tranche Period and with respect to any Loan (or portion thereof) funded by Commercial Paper Notes issued by Gotham, a rate per annum calculated by the Gotham Agent to reflect Gotham’s cost of funding such Loan (or portion thereof), taking into account the weighted daily average interest rate payable in respect of such Commercial Paper Notes during such CP Tranche Period (determined in the case of discount commercial paper by converting the discount to an interest-bearing equivalent rate per annum), applicable placement fees and commissions, and such other costs and expenses as the Gotham Agent in good faith deems appropriate. Such Commercial Paper Notes may be issued in such maturities as the Gotham Agent may choose in accordance with Article II hereof. Gotham’s CP Rate shall be determined by the Gotham Agent, in its sole discretion; provided, however, if the CP Rate determined, as applicable pursuant to clause (a) or clause (b) above would be less than the Floor, such CP Rate shall, for all purposes of this Agreement, be deemed to equal the Floor. “CP Rate Loan” means a Loan made by any of the Conduits which bears interest at a CP Rate.


 
“CP Tranche Period” means: (a) with respect to each Pool Funded Conduit, an Accrual Period, and (b) with respect to Gotham while it is not acting as a Pool Funded Conduit, a period selected by the Gotham Agent pursuant to Section 2.2; provided, however, that if any such CP Tranche Period would end on a day which is not a Business Day, such CP Tranche Period shall end on the preceding Business Day. “Credit Agreement” means that certain ThirdFourth Amended and Restated Credit Agreement dated as of November 23, 2021April 30, 2025 among Quest Diagnostics, as borrower, certain of its Subsidiaries, as guarantors, the lenders from time to time party thereto, and JPMorgan Chase Bank, N.A., as administrative agent and Morgan Stanley Senior Funding, Inc., as syndication agent, as it may be further amended, restated or further modified from time to time by one or more Approved Amendments. “Credit and Collection Policy” means those credit and collection policies and practices of the Originators relating to Contracts and Receivables, copies or summaries of which are attached as Exhibit C to the Sale Agreement, as the same may be modified from time to time without violating Section 7.3(c) of this Agreement. “Credit Event” means the (i) issuance of a Letter of Credit, (ii) the Modification of a Letter of Credit, or (iii) the making of any Advance. “Credit Exposure” means, as to any Lender on any date of determination, the sum of (a) the aggregate Principal of such Lender’s Loans outstanding on such date, plus (b) such Lender’s aggregate participation interest, if any, of the LC Obligations on such date. “Cut-Off Date” means the last day of each calendar month. “Daily One Month Term SOFR” means, for any day, the Term SOFR Reference Rate for a tenor of one-month on such day, or if such day is not a U.S. Government Securities Business Day, the immediately preceding U.S. Government Securities Business Day (such day, the “Daily One Month Term SOFR Determination Day”), as such rate is published by the Term SOFR Administrator; provided, however, that if as of 5:00 p.m. (New York City time) on any Daily One Month Term SOFR Determination Day, the Term SOFR Reference Rate for a tenor of one-month has not been published by the Term SOFR Administrator and a Benchmark Replacement Date with respect to the Term SOFR Reference Rate has not occurred, then Daily One Month Term SOFR will be the Term SOFR Reference Rate for a tenor of one-month as published by the Term SOFR Administrator on the first preceding U.S. Government Securities Business Day for which such Term SOFR Reference Rate for a tenor of one-month was published by the Term SOFR Administrator so long as such first preceding U.S. Government Securities Business Day is not more than three (3) U.S. Government Securities Business Days prior to such Daily One Month Term SOFR Determination Day; provided, further, that if Daily One Month Term SOFR determined as provided above (including pursuant to the proviso above) shall ever be less than the Floor, then Daily One Month Term SOFR shall be deemed to be the Floor.


 
“Daily Term SOFR Determination Day” has the meaning specified in the definition of “Term SOFR.” “Daily Three Month Term SOFR” means, for any day, the Term SOFR Reference Rate for a tenor of three-months on such day, or if such day is not a U.S. Government Securities Business Day, the immediately preceding U.S. Government Securities Business Day (such day, the “Daily Three Month Term SOFR Determination Day”), as such rate is published by the Term SOFR Administrator; provided, however, that if as of 5:00 p.m. (New York City time) on any Daily Three Month Term SOFR Determination Day, the Term SOFR Reference Rate for a tenor of three-months has not been published by the Term SOFR Administrator and a Benchmark Replacement Date with respect to the Term SOFR Reference Rate has not occurred, then Daily Three Month Term SOFR will be the Term SOFR Reference Rate for a tenor of three-months as published by the Term SOFR Administrator on the first preceding U.S. Government Securities Business Day for which such Term SOFR Reference Rate for a tenor of three-months was published by the Term SOFR Administrator so long as such first preceding U.S. Government Securities Business Day is not more than three (3) U.S. Government Securities Business Days prior to such Daily Three Month Term SOFR Determination Day; provided, further, that if Daily Three Month Term SOFR determined as provided above (including pursuant to the proviso above) shall ever be less than the Floor, then Daily Three Month Term SOFR shall be deemed to be the Floor. “Daily Term SOFR” means either or both of the Adjusted Daily One Month Term SOFR or the Adjusted Daily Three Month Term SOFR. “Daily Term SOFR Loan” means a Loan that bears interest at a Daily Term SOFR rate. “Days Sales Outstanding” means, as of any day, an amount equal to the product of (x) 91, multiplied by (y) the amount obtained by dividing (i) the reported aggregate Unpaid Net Balance of Receivables as of the most recent Cut-Off Date, by (ii) the aggregate Net Revenues generated by the Originators during the three calendar months including and immediately preceding such Cut-Off Date. “Deemed Collections” means Collections deemed received by the Borrower under Section 3.4. “Default Rate” means a rate per annum equal to the sum of (i) the Alternate Base Rate plus (ii) 2.00%, changing when and as the Alternate Base Rate changes. “Default Horizon Ratio” means, as of any Cut-Off Date, the ratio (expressed as a decimal) computed by dividing (i) the aggregate amount of Net Revenues generated by the Originators during the five months ending on such Cut-Off Date, by (ii) the Net Pool Balance as of such Cut-Off Date. “Default Ratio” means, as of any Cut-Off Date, the ratio (expressed as a percentage) computed by dividing (i) the total amount of Receivables that became Defaulted Receivables (151-180 days past invoice) during the month that includes such Cut-Off Date, by (ii) the aggregate amount of Net Revenues generated by the Originators during the month occurring five months prior to the month ending on such Cut-Off Date.


 
“Default Trigger Ratio” means, as of any Cut-Off Date, the ratio (expressed as a percentage) computed by dividing (i)(a) the total amount of receivables 151-180 days past invoice, (b) as to which the obligor thereof has suffered an event of bankruptcy or (c) which, consistent with the Originators’ billing systems’ procedures, should be written off as uncollectible, by (ii)the aggregate amount of Net Revenues generated by the Originators during the month occurring five months prior to the month ending on such Cut-Off Date. “Defaulted Receivable” means a Receivable: (i) as to which the obligor thereof has suffered an event of bankruptcy; (ii) which, consistent with the Originators’ billing systems’ procedures, should be written off as uncollectible; or (iii) as to which any payment, or part thereof, remains unpaid for 151 days or more from the original invoice date for such payment. “Defaulting Lender” means any Committed Lender that (a) has failed to (i) perform its obligation to fund any portion of its Purchases or LC Loans or (ii) pay over to the Administrative Agent or any Lender any other amount within two Business Days of the date required to be funded or paid by it hereunder, unless, in the case of clause (i) above, such Committed Lender notifies the Administrative Agent and the Borrower in writing that such failure is the result of such Committed Lender’s good faith determination that a condition precedent to funding (specifically identified and including the particular default, if any) has not been satisfied, (b) has notified the Borrower, the Administrative Agent, the LC Issuer or any other Lender in writing, or has made a public statement to the effect, that it does not intend to comply with any of its funding obligations under the Agreement or any other Transaction Document or generally under other agreements in which it commits or extends credit (unless such writing or public statement relates to such Committed Lender’s obligation to fund any portion of its Loans or LC Loans and states that such position is based on such Committed Lender’s good faith determination that a condition precedent to funding (specifically identified and including the particular default, if any) has not been satisfied), (c) has failed, within three Business Days after written request by the Administrative Agent or the Borrower, to confirm in writing in a manner satisfactory to the Administrative Agent and the Borrower, that it will comply with the terms of the Agreement and the other Transaction Documents relating to its obligations to fund prospective Purchases and LC Loans under the Agreement (provided that such Committed Lender shall cease to be a Defaulting Lender pursuant to this clause (c) upon receipt of such written confirmation by the Administrative Agent and the Borrower), or (d) has, or has a direct or indirect parent company that has, (i) become the subject of a proceeding under any bankruptcy or insolvency proceeding, (ii) had appointed for it a receiver, custodian, conservator, trustee, administrator, assignee for the benefit of creditors or similar Person charged with reorganization or liquidation of its business or assets, including the Federal Deposit Insurance Corporation or any other state or federal regulatory authority acting in such capacity, or (iii) become the subject of a Bail-in Action; provided that, for the avoidance of doubt, a Committed Lender shall not be a Defaulting Lender solely by virtue of the ownership or acquisition of any equity interest in such Committed Lender or any direct or indirect parent company thereof by a Governmental Authority so long as such ownership interest does not result in or provide such Committed Lender with immunity from the jurisdiction of courts within the United States or from the enforcement of judgments or writs of attachment on its assets or permit such Committed Lender (or such Governmental Authority) to reject, repudiate, disavow or disaffirm any contracts or agreements made with such Committed Lender. Any determination by the Administrative Agent that a Lender is a Defaulting Lender under any one or more of clauses (a) through (d) above shall be conclusive and binding absent manifest error, and such Lender shall be deemed to be a Defaulting


 
Lender upon delivery of written notice of such determination to the Borrower, the LC Issuer and each Agent. “Delinquency Ratio” means, at any time, a percentage equal to (i) Delinquent Receivables at such time divided by (ii) the reported aggregate Unpaid Net Balance of Receivables at such time. “Delinquent Receivable” means a Receivable as to which any payment, or part thereof, remains unpaid for 121-150 days from the original invoice date for such payment. “Demand Advance” means an advance made by the Borrower to Quest Diagnostics on any day prior to the Termination Date which is not a Settlement Date on which no Event of Default or Unmatured Default exists and is continuing, which advance (a) is payable upon demand, (b) is not evidenced by an instrument, chattel paper or a certificated security, (c) bears interest at a market rate determined by the Borrower and the Servicer from time to time, (d) is not subordinated to any other Indebtedness or obligation of Quest Diagnostics, and (e) may not be offset by Quest Diagnostics against amounts due and owing from the Borrower to Quest Diagnostics under its Subordinated Note. “Designated Government Ineligibles” means, on any date of determination, an amount equal to 5% of the Client-Billed Receivables for the Reserve Computation as of the last day of the calendar month then most recently ended. “Designated Government Receivable” means a Government Receivable as to which the Obligor is a state or local Governmental Authority (other than a Receivable arising under any state’s Medicaid statutes and regulations for services rendered to eligible beneficiaries thereunder). “Dilution” means, total Net Revenues multiplied by the three month average calculated quarterly of (i)(a) for Originators on the QBS an amount equal to the dollar amount of adjustments measured by QBS adjustment codes 66, 70, 71, 72, 74, 75, 76, 83, 85 for client and patient Receivables, plus (b) an amount equal to 0.30 times the dollar amount of adjustments measured by the QBS adjustment codes 66, 70, 71, 72, 74, 75, 76, 83, 85 for third party Receivables, plus (c) 0.70 multiplied by the dollar amount of adjustments measured by QBS adjustment code 68 for client and patient Receivables, excluding transfers between client and patient billing categories, divided by (ii) the Net Revenues generated by Originators on QBS. “Dilution Horizon Ratio” means, as of any Cut-Off Date, a ratio (expressed as a decimal), computed by dividing (i) the aggregate Net Revenues generated by the Originators during the one month ending on such Cut-Off Date, by (ii) the Net Pool Balance as of such Cut-Off Date. “Dilution Ratio” means, as of any Cut-Off Date, a ratio (expressed as a percentage), computed by dividing (i) the total amount of decreases in outstanding Principal balances due to Dilution during the month ending on such Cut-Off Date, by (ii) the aggregate Net Revenues generated by the Originators ending on such Cut-Off Date one month prior. “Dilution Reserve” means, for any month, the product (expressed as a percentage) of: (a) the sum of (i) 2.0 times the Adjusted Dilution Ratio as of the immediately preceding Cut-Off


 
Date, plus (ii) the Dilution Volatility Component as of the immediately preceding Cut-Off Date, times (b) the Dilution Horizon Ratio as of the immediately preceding Cut-Off Date. “Dilution Volatility Component” means the product (expressed as a percentage) of (i) the difference between (a) the highest three (3)-month rolling average Dilution Ratio over the past 12 months and (b) the Adjusted Dilution Ratio, and (ii) a fraction, the numerator of which is equal to the amount calculated in (i)(a) of this definition and the denominator of which is equal to the amount calculated in (i)(b) of this definition. “Disallowed Receivable” means a Receivable for which payment is not expected to be received by the applicable Originator. “Dollars” means dollars in lawful money of the United States of America. “Downgrading Event” with respect to any Person means the lowering of the rating with regard to the short-term securities of such Person to below (i) A-1 by S&P, (ii) P-1 by Moody’s, or (if applicable) (iii) F1 by Fitch. “Draw Notice” has the meaning specified in Section 2.8(a). “EEA Financial Institution” means (a) any credit institution or investment firm established in any EEA Member Country which is subject to the supervision of an EEA Resolution Authority, (b) any entity established in an EEA Member Country which is a parent of an institution described in clause (a) of this definition, or (c) any financial institution established in an EEA Member Country which is a subsidiary of an institution described in clauses (a) or (b) of this definition and is subject to consolidated supervision with its parent. “EEA Member Country” means any of the member states of the European Union, Iceland, Liechtenstein, and Norway. “EEA Resolution Authority” means any public administrative authority or any person entrusted with public administrative authority of any EEA Member Country (including any delegee) having responsibility for the resolution of any EEA Financial Institution. “Eighth Amendment Effective Date” means October 19, 2023. “Eligible Assignee” means (a) any “bankruptcy remote” special purpose entity which is administered by CACIB, PNC or MUFG (or any Affiliate of CACIB, PNC or MUFG) or any Qualifying Liquidity Bank (or any Affiliate of a Qualifying Liquidity Bank) that is in the business of acquiring or financing receivables, securities and/or other financial assets and which issues commercial paper notes that are rated at least A-1 by S&P, P-1 by Moody’s and, if applicable, F1 by Fitch, or (b) any Qualifying Liquidity Bank. “Eligible Originator” means any of (a) Quest Diagnostics, (b) Quest Diagnostics Nichols Institute, a California corporation, Quest Diagnostics Incorporated, a Michigan corporation, Quest Diagnostics Incorporated, a Maryland corporation, Quest Diagnostics LLC, a Connecticut limited liability company, Quest Diagnostics LLC, a Massachusetts limited liability company, Quest Diagnostics of Pennsylvania Inc., a Delaware corporation, MetWest Inc., a Delaware corporation which was merged into QDCL on November 11, 2017), Quest Diagnostics LLC, an Illinois limited liability


 
company, Quest Diagnostics Clinical Laboratories, Inc., a Delaware corporation (“QDCL”), Unilab Corporation, a Delaware corporation, Quest Diagnostics Nichols Institute, Inc., a Virginia corporation, Quest Diagnostics Incorporated, a Nevada corporation, LabOne, LLC, a Missouri limited liability company, ExamOne World Wide, Inc., a Pennsylvania corporation, LabOne of Ohio, Inc., a Delaware corporation, Specialty Laboratories, Inc., a California corporation, Solstas Lab Partners, LLC, a Virginia limited liability company, Solstas Lab Partners Group, LLC, a North Carolina limited liability company, Summit Health, Inc., a Michigan corporation, Athena Diagnostics, Inc., a Delaware corporation, and Quest Diagnostics Infectious Disease, Inc. (f/k/a Focus Diagnostics Inc.), a Delaware corporation, , and (c) each of the other direct or indirect, wholly-owned Subsidiaries of Quest Diagnostics who (with the consent of the Co-Agents if such Subsidiary constitutes a Material Proposed Addition) becomes a “seller” party to the Sale Agreement by executing a Joinder Agreement and complying with the conditions set forth in Article V of the Sale Agreement. “Eligible Participation Interest” means a Participation Interest in a Specified Government Receivable that meets the following criteria and which Participation Interest has been transferred to the Borrower pursuant to the Sale Agreement in a “true participation” transaction: (a) a Specified Government Receivable which arises out of the provision or sale of Clinical Laboratory Services by an Eligible Originator in the ordinary course of its business; (b) a Specified Government Receivable as to which the perfection of the Administrative Agent’s security interest, on behalf of the Secured Parties, in the applicable Participation Interest is governed by the laws of a jurisdiction where the Uniform Commercial Code-Secured Transactions is in force; (c) a Specified Government Receivable constitutes an “account” or a “payment intangible” (each as defined in the Uniform Commercial Code as in effect in any relevant jurisdiction); (d) a Specified Government Receivable the Obligor of which is a Governmental Authority of the United States or any of its states, possessions or territories; (e) a Specified Government Receivable which is not a Disallowed Receivable at such time; (f) the portion of a Specified Government Receivable which is not an Ineligible Defaulted Receivable at such time; (g) a Specified Government Receivable with regard to which the representations and warranties of the Borrower in Sections 6.1(j), (l) and (o) are true and correct; (h) a Specified Government Receivable with regard to which the granting of a Participation Interest therein does not contravene or conflict with any law; (i) a Specified Government Receivable which is denominated and payable only in Dollars in the United States; (j) a Specified Government Receivable which constitutes the legal, valid and binding obligation of the Obligor thereof enforceable against such Obligor in accordance with its terms and is not subject to any actual or reasonably expected dispute, offset (except as provided


 
below), counterclaim or defense whatsoever; provided, however, that if such dispute, offset, counterclaim or defense affects only a portion of the Unpaid Net Balance of such Specified Government Receivable, then such Specified Government Receivable may be deemed an Eligible Specified Government Receivable to the extent of the portion of such Unpaid Net Balance which is not so affected; (k) a Specified Government Receivable which, together with any Contract related thereto, does not contravene in any material respect any laws, rules or regulations applicable thereto (including, without limitation, laws, rules and regulations relating to usury, truth in lending, fair credit billing, fair credit reporting, equal credit opportunity, fair debt collection practices and privacy) and with respect to which no party to the Contract related thereto is in violation of any such law, rule or regulation in any material respect if such violation would impair the collectability of such Specified Government Receivable; (l) a Specified Government Receivable which satisfies in all material respects all applicable requirements of the applicable Eligible Originator’s Credit and Collection Policy; (m) a Specified Government Receivable which is due and payable within 60 days from the invoice date of such Specified Government Receivable; (n) a Specified Government Receivable the original term of which has not been extended (except as permitted in Section 8.2(c)); (o) a Specified Government Receivable which has not been identified, either specifically or as a member of a class, in a notice by any of the Agents, in the exercise of its commercially reasonable credit judgment, as a Specified Government Receivable that is not acceptable, including, without limitation, because such Specified Government Receivables arises under an unreasonable Contract that is not acceptable to such Agent; and (p) if the applicable Eligible Originator acquired such Specified Government Receivable through a Material Acquisition as to which the Administrative Agent is permitted to and has, in fact, conducted, a Review in accordance with Section 7.1(c), the Administrative Agent has notified the Borrower in writing that (i) such Specified Government Receivable is (and other similarly- acquired Specified Government Receivables are) acceptable to the Agents based on the satisfactory outcome of such Review, and (ii) each Conduit’s Rating Agency Condition has been satisfied. “Eligible Receivable” means, at any time: (a) a Receivable which arises out of the provision or sale of Clinical Laboratory Services by an Eligible Originator in the ordinary course of its business that has been sold or contributed by such Originator to the Borrower pursuant to the Sale Agreement in a “true sale” or “true contribution” transaction; (b) a Receivable as to which the perfection of the Administrative Agent’s security interest, on behalf of the Secured Parties, is governed by the laws of a jurisdiction where the Uniform


 
Commercial Code-Secured Transactions is in force, and which constitutes an “account” or a “payment intangible” (each as defined in the Uniform Commercial Code as in effect in any relevant jurisdiction); (c) a Receivable the Obligor of which (i) is resident of the United States or any of its possessions or territories, (ii) is not an Affiliate of any Loan Party or Originator, and (iii) is not a Sanctioned Person; (d) a Receivable which is not a Disallowed Receivable at such time; (e) the portion of a Receivable which is not an Ineligible Defaulted Receivable at such time; (f) a Receivable with regard to which the representations and warranties of the Borrower in Sections 6.1(j), (l) and (o) are true and correct; (g) a Receivable with regard to which the granting of a security interest therein does not contravene or conflict with any law; (h) a Receivable which is denominated and payable only in Dollars in the United States; (i) a Receivable which constitutes the legal, valid and binding obligation of the Obligor of such Receivable enforceable against such Obligor in accordance with its terms and is not subject to any actual or reasonably expected dispute, offset (except as provided below), counterclaim or defense whatsoever; provided, however, that if such dispute, offset, counterclaim or defense affects only a portion of the Unpaid Net Balance of such Receivable, then such Receivable may be deemed an Eligible Receivable to the extent of the portion of such Unpaid Net Balance which is not so affected; (j) a Receivable which, together with any Contract related thereto, does not contravene in any material respect any laws, rules or regulations applicable thereto (including, without limitation, laws, rules and regulations relating to usury, truth in lending, fair credit billing, fair credit reporting, equal credit opportunity, fair debt collection practices and privacy) and with respect to which no party to the Contract related thereto is in violation of any such law, rule or regulation in any material respect if such violation would impair the collectability of such Receivable; (k) a Receivable which satisfies in all material respects all applicable requirements of the applicable Eligible Originator’s Credit and Collection Policy; (l) a Receivable which is due and payable within 60 days from the invoice date of such Receivable; (m) a Receivable (i) other than one with respect to which the United States (or an agency or fiscal intermediary thereof) is obligated to pay, pursuant to federal statutes and regulations applicable to TRICARE, for services rendered thereunder, (ii) other than one with respect to which the Obligor is any Person (other than a Governmental Authority) who enters into a contract with the United States for the provision of health care services rendered under TRICARE, and (iii) other than one that is the subject of a Participation Interest;


 
(n) a Receivable the original term of which has not been extended (except as permitted in Section 8.2(c)); (o) a Receivable which has not been identified, either specifically or as a member of a class, in a notice by any of the Agents, in the exercise of its commercially reasonable credit judgment, as a Receivable that is not acceptable, including, without limitation, because such Receivables arises under an unreasonable Contract that is not acceptable to such Agent; and (p) if the applicable Eligible Originator acquired such Receivable through a Material Acquisition as to which the Administrative Agent is permitted to and has, in fact, conducted, a Review in accordance with Section 7.1(c), the Administrative Agent has notified the Borrower in writing that (i) such Receivable is (and other similarly-acquired Receivables are) acceptable to the Agents based on the satisfactory outcome of such Review, and (ii) each Conduit’s Rating Agency Condition has been satisfied. “Employee Benefit Plan” means an employee benefit plan (as defined in Section 3(3) of ERISA) that is maintained or contributed to by any ERISA Entity or with respect to which Quest Diagnostics or a Subsidiary could incur liability. “Equity Interests” means, with respect to any Person, any and all shares, interests, participations or other equivalents, including membership interests (however designated, whether voting or non-voting), of capital of such Person, including, if such Person is a partnership, partnership interests (whether general or limited) and any other interest or participation that confers on a Person the right to receive a share of the profits and losses of, or distributions of assets of, such partnership, whether outstanding on the date hereof or issued after the date of this Agreement. “Equity Rights” means, with respect to any Person, any outstanding subscriptions, options, warrants, commitments, preemptive rights or agreements of any kind (including any stockholders’ or voting trust agreements) for the issuance, sale, registration or voting of, or outstanding securities convertible into, any additional shares of Equity Interests of any class, or partnership or other ownership interests of any type in, such Person. “ERISA” means the United States Employee Retirement Income Security Act of 1974, as amended. “ERISA Entity” means any member of an ERISA Group. “ERISA Event” means (a) any Reportable Event with respect to a Pension Plan; (b) with respect to any Pension Plan of a failure to meet the applicable minimum funding standard (as defined in Section 412 of the Code or Section 302 of ERISA), whether or not waived, the failure to make by its due date a required installment under Section 303(j) of ERISA with respect to any Pension Plan or the failure to make any required contribution to a Multiemployer Plan; (c) the filing pursuant to Section 412(c) of the Code or Section 302(c) of ERISA of an application for a waiver of the minimum funding standard with respect to any Pension Plan; (d) the incurrence by any ERISA Entity of any liability under Title IV of ERISA with respect to the termination of any Pension Plan; (e) the receipt by any ERISA Entity from the PBGC or a plan administrator of any notice relating to an intention to terminate any Pension Plan or to appoint a trustee to administer any Pension Plan, or the occurrence of any event or condition which could constitute grounds under ERISA for the termination of, or the


 
appointment of a trustee to administer, any Pension Plan; (f) the incurrence by any ERISA Entity of any liability with respect to the withdrawal or partial withdrawal from any Pension Plan or Multiemployer Plan; (g) the receipt by an ERISA Entity of any notice, or the receipt by any Multiemployer Plan from any ERISA Entity of any notice, concerning the imposition of Withdrawal Liability or a determination that a Multiemployer Plan is, or is expected to be, insolvent or in reorganization, within the meaning of Title IV of ERISA; (h) the making of any amendment to any Pension Plan which could result in the imposition of a lien or the posting of a bond or other security; or (i) the occurrence of a nonexempt prohibited transaction (within the meaning of Section 4975 of the Code or Section 406 of ERISA) which could result in liability to any Loan Party. “ERISA Group” means any Loan Party and all members of a controlled group of corporations and all trades or businesses (whether or not incorporated) under common control which, together with such Loan Party, are treated as a single employer under Section 414 of the Code. “EU Bail-In Legislation Schedule” means the EU Bail-In Legislation Schedule published by the Loan Market Association (or any successor person), as in effect from time to time. “European Union Risk Retention Requirements” means Part 5 (Articles 404-410) of the European Union Capital Requirements Regulation, Commission Delegated Regulation (EU) No 625/2014 of 13 March 2014 and Commission Delegated Regulation (EU) No 602/2014 of 4 June 2014, as the same may be amended or re-enacted from time to time and any guidelines or related documents published from time to time in relation thereto by the European Banking Authority (or any predecessor or successor agency or authority) and the European Commission. References herein to the European Union Risk Retention Requirements or to any Article or other provision thereof shall include (i) any corresponding law or rule in effect in any country in the European Economic Area and applicable (directly or indirectly) to CACIB (and, for the avoidance of doubt, references thereto shall also include any related direction given by an applicable Governmental Authority to CACIB or any Affiliate thereof in relation to any investments or exposures to risk in connection with the transactions contemplated by the Transaction Documents), and (ii) any amendments to the foregoing and any applicable order, instrument or regulation made or issued under the European Union Capital Requirements Regulation Directive (Directive 2013/36 (EU). “European Union Capital Requirements Regulation” means the European Union Capital Requirements Regulation (Regulation (EU) No 575/2013). “Event of Default” means an event described in Section 10.1. “Event of Bankruptcy” shall be deemed to have occurred with respect to a Person if either: (a) a case or other proceeding shall be commenced, without the application or consent of such Person, in any court, seeking the liquidation, reorganization, debt arrangement, dissolution, winding up, or composition or readjustment of debts of such Person, the appointment of a trustee, receiver, custodian, liquidator, assignee, sequestrator or the like for such Person or all or substantially all of its assets, or any similar action with respect to such Person under any law relating to bankruptcy, insolvency, reorganization, winding up or composition or adjustment of debts, and such case or proceeding shall continue undismissed, or unstayed and in effect, for a period of 60


 
consecutive days; or an order for relief in respect of such Person shall be entered in an involuntary case under the federal bankruptcy laws or other similar laws now or hereafter in effect; or (b) such Person shall commence a voluntary case or other proceeding under any applicable bankruptcy, insolvency, reorganization, debt arrangement, dissolution or other similar law now or hereafter in effect, or shall consent to the appointment of or taking possession by a receiver, liquidator, assignee, trustee, custodian, sequestrator (or other similar official) for, such Person or for all or substantially all of its property, or shall make any general assignment for the benefit of creditors, or shall be adjudicated insolvent, or admit in writing its inability to, pay its debts generally as they become due, or, if a corporation or similar entity, its board of directors shall vote to implement any of the foregoing. “Excess Concentration Amount” means, as of any date, the sum of the amounts by which the aggregate Unpaid Net Balance of Receivables of each Obligor exceeds the Obligor Concentration Limit for such Obligor. “Excess Other Patient Pay Amounts” means, at any time, the Proxy Value of Eligible Other Patient Pay Amounts in excess of 50% of the total outstanding balance of all Eligible Receivables and all Eligible Participation Interests. “Excess Participation Interests” means, at any time, an amount equal to the excess, if any, of the aggregate outstanding balance of all Eligible Participation Interests over 17.5% of the outstanding balance of all Eligible Receivables and all Eligible Participation Interests. “Excess Rollforward Difference” means, at any time, an amount equal to the Rollforward Difference greater than 3% of the reported aggregate Unpaid Net Balance of all Receivables. “Excess Uninsured Receivables” means the Proxy Value of Eligible Uninsured Receivables in excess of 5% of the outstanding balance of all Eligible Receivables and all Eligible Participation Interests. “Exchange Act” means the Securities Exchange Act of 1934, as amended. “Excluded JV Receivable” means any account receivable (and proceeds thereof) that Quest Diagnostics of Pennsylvania Inc. (“Quest Pennsylvania”) bills in its own name and collects through its own accounts arising from services for which revenues belong to Quest Diagnostics Venture LLC under that certain Sharing and General Allocation Agreement dated as of November 1, 1998 by and among Quest Diagnostics Venture LLC, a Pennsylvania limited liability company, Quest Pennsylvania and UPMC Health System Diversified Services, Inc., as amended or modified from time to time. “Excluded Taxes” means any of the following Taxes imposed on or with respect to a Recipient or required to be withheld or deducted from a payment to a Recipient, (a) any branch profit taxes or Taxes imposed on or measured by its net income, (b) franchise taxes imposed on it (in lieu of net income Taxes), in each case by the jurisdiction (or any political subdivision thereof) under the laws of which such Recipient is organized or maintains its applicable lending office, (c) Taxes attributable to such Recipient’s failure to comply with paragraphs (i) or (ii) of Section 2.5(g) (Taxes –


 
Status of Lenders; Refunds), (d) the amount of withholding taxes, if any, that imposed under the laws of the United States of America as of the date of this Agreement upon the Recipient or if the Recipient is an Eligible Assignee or successor-in-interest, upon the original Recipient as of the date hereof from whom the Eligible Assignee or successor-in-interest ultimately derives its rights hereunder, (e) the amount of withholding taxes, if any, imposed under the laws of the United States of America immediately following any assignment to an Eligible Assignee which exceeds the amount of any withholding taxes imposed on payments to the assignor under the laws of the United States of America immediately prior to such assignment and (f) any Taxes imposed by FATCA. “Exhibit” refers to an exhibit to this Agreement unless another document is specifically referenced. “Existing Agreement” has the meaning set forth in the preamble to this Agreement. “Expected LC Fees” means, on any day, the aggregate amount of all LC Fees and LC Fronting Fees that are scheduled to accrue on all outstanding Letters of Credit over the period beginning on such day and ending for each Letter of Credit on the date that such Letter of Credit is scheduled to have expired in accordance with its terms (assuming that no such Letter of Credit will be drawn or extended, except to the extent already extended or required to be extended in accordance with its terms). “Face Value” means, when used with reference to any Commercial Paper Notes issued by Gotham that are not Pooled Commercial Paper, the face amount stated therein in the case of any Commercial Paper Note issued on a discount basis, and the principal amount stated therein plus the amount of all interest accruing on such Commercial Paper Note from the date of its issue to its stated maturity date in the case of any Commercial Paper Note issued on an interest-bearing basis. “Facility” means the $600,000,000.00 facility under this Agreement for Loans and Letters of Credit which facility expires on the Commitment Expiry Date. “FATCA” means Sections 1471 through 1474 of the Code (or any amended or successor version that is substantially comparable thereto) any current or future regulations or official interpretations thereof and any agreements entered into pursuant to Section 1471(b)(1) of the Code or any intergovernmental agreement entered into by the United States in connection with the implementation of such Sections of the Code. “Federal Funds Rate” means, for any day, the rate per annum (rounded upwards, if necessary, to the next higher 1/100th of 1%) equal to the greater of (a) the rate calculated by the Federal Reserve Bank of New York based on such day’s Federal funds transactions by depositary institutions (as determined in such manner as the Federal Reserve Bank of New York shall set forth on its public website from time to time) and published on the next succeeding Business Day by the Federal Reserve Bank of New York as the Federal funds effective rate and (b) 0%. “Federal Reserve Board” means the Board of Governors of the Federal Reserve System, or any successor thereto or to the functions thereof.


 
“Fee Letter” means that certain Fee Letter dated as of November 20, 20242025 by and among the Borrower, the LC Issuer, PNCCM and the Agents, as the same may be amended, restated, supplemented, replaced or otherwise modified from time to time. “Final Payout Date” means the date on or following the Termination Date on which (a) the amount on deposit in the LC Collateral Account is at least equal to the then aggregate Outstanding Face Amount of all Letters of Credit plus the Expected LC Fees, (b) the Aggregate Principal is reduced to zero, and (c) all other amounts and Obligations under the Transaction Documents shall have been paid in full. “Fitch” means Fitch Ratings, Inc. “Floor” means a rate of interest equal to 0.00%. “Foreign Lender” means a Lender that is not a U.S. Person. “Foreign Plan” means any employee benefit plan, program, policy, arrangement or agreement maintained or contributed to by, or entered into with, Quest Diagnostics or any of its Subsidiaries with respect to employees employed outside the United States. “GAAP” means generally accepted accounting principles set forth in the opinions and pronouncements of the Accounting Principles Board of the American Institute of Certified Public Accountants and statements and pronouncements of the Financial Accounting Standards Board or in such other statements by such accounting profession, which are applicable to the circumstances as of the date of determination. “General Intangible” shall have the meaning specified in Article 9 of the UCC. “Gotham” has the meaning provided in the preamble of this Agreement. “Gotham Agent” has the meaning provided in the preamble of this Agreement. “Gotham Allocation Limit” has the meaning set forth in Section 1.1.1(b). “Gotham Group” has the meaning provided in the preamble of this Agreement. “Gotham Liquidity Agreement” means, collectively, any liquidity agreement pursuant to which any of the Gotham Liquidity Banks provides liquidity to Gotham and any related asset purchase agreement, as each may be amended, restated, supplemented, replaced or otherwise modified from time to time. “Gotham Liquidity Bank” means any Liquidity Bank that now or hereafter enters into this Agreement and the Gotham Liquidity Agreement.


 
“Government Receivable” means: (i) any Receivable with respect to which the United States (or an agency or intermediary thereof) is obligated to pay, pursuant to federal Medicare statutes and regulations, for services rendered to eligible beneficiaries thereunder, (ii) any Receivable arising under any state’s Medicaid statutes and regulations, for services rendered to eligible beneficiaries thereunder, (iii) (A) any Receivable with respect to which the United States (or an agency or fiscal intermediary thereof) is obligated to pay, pursuant to federal statutes and regulations applicable to TRICARE, for services rendered to eligible beneficiaries thereunder and not in contravention of any statute or regulation applicable thereto and (B) any Receivable with respect to which the Obligor is any Person (other than a Governmental Authority) who enters into a contract with the United States for the provision of health care services rendered to eligible beneficiaries under TRICARE, (iv) any Receivable with respect to which the United States (or an agency or fiscal intermediary thereof) is obligated to pay, pursuant to federal statutes and regulations applicable to The Civilian Health and Medical Program of Veterans Affairs, for services rendered to eligible beneficiaries thereunder and not in contravention of any statute or regulation applicable thereto, (v) any other Receivable as to which the Obligor is a Governmental Authority, (vi) any other Receivable as to which payment is required by law to be made directly to the provider of the services giving rise thereto or to an account under such provider’s exclusive dominion and control, or (vii) any other Receivable requiring compliance with the Federal Assignment of Claims Act or any similar state legislation. “Governmental Authority” means any Federal, state, local, provincial or foreign court or governmental agency, authority (including executive authority), instrumentality or regulatory body (including any other governmental entity exercising executive, legislative, judicial, taxing, regulatory or administrative powers or function of or pertaining to the implemental of the Dodd-Frank Wall Street Reform and Consumer Protection Act. “Group” means the PNC Group, the Atlantic Group or the Gotham Group, as the case may be. “Guarantee” of or by any Person means any obligation, contingent or otherwise, of such Person guaranteeing or having the economic effect of guaranteeing any Indebtedness of any other Person (the “primary obligor”) in any manner, whether directly or indirectly, and including any obligation of such Person, direct or indirect, (a) to purchase or pay (or advance or supply funds for the purchase or payment of) such Indebtedness or to purchase (or to advance or supply funds for the purchase of) any security for the payment of such Indebtedness, (b) to purchase property, securities or services for the purpose of assuring the owner of such Indebtedness of the payment of such Indebtedness or (c) to maintain working capital, equity capital or other financial statement condition


 
or liquidity of the primary obligor so as to enable the primary obligor to pay such Indebtedness; provided however that the term Guarantee shall not include endorsements for collection or deposit, in either case, in the ordinary course of business. “HIPAA” has the meaning set forth in Section 14.14. “Indebtedness” of any Person means, without duplication, (a) all obligations of such Person for borrowed money or with respect to deposits or advances of any kind, (b) all obligations of such Person evidenced by bonds, debentures, notes or similar instruments, (c) all obligations of such Person upon which interest charges are customarily paid, (d) all obligations of such Person under conditional sale or other title retention agreements relating to property or assets purchased by such Person, (e) all obligations of such Person issued or assumed as the deferred purchase price of property or services (other than trade payables incurred in the ordinary course of business), (f) all Indebtedness of others secured by (or for which the holder of such Indebtedness has an existing right, contingent or otherwise, to be secured by) any Lien on property owned or acquired by such Person, whether or not the obligations secured thereby have been assumed, but limited, if such obligations are without recourse to such Person, to the lesser of the principal amount of such Indebtedness or the fair market value of such property, (g) all Guarantees by such Person of Indebtedness of others, (h) all Capital Lease Obligations of such Person, (i) all obligations of such Person in respect of interest rate protection agreements, foreign currency exchange agreements or other interest or exchange rate hedging arrangements (the amount of any such obligation to be the amount that would be payable upon the acceleration, termination or liquidation thereof) and (j) all obligations of such Person as an account party in respect of Letters of Credit and bankers’ acceptances. The Indebtedness of any Person shall include the Indebtedness of any partnership in which such Person is a general partner. “Indemnified Amounts” has the meaning set forth in Section 13.1(a). “Indemnified Party” has the meaning set forth in Section 13.1(a). “Independent Director” has the meaning set forth in Section 7.4(b). “Ineligible Defaulted Receivable” means, on any date of determination, the outstanding balance of a Defaulted Receivable multiplied by 1 minus the Recovery Rate. “Interest” means, in respect to any Advance or Loan, the accrued and unpaid interest thereon. “Interest Payment Date” means each Settlement Date and the date on which any Loan is prepaid, in whole or in part. “Interest Period” means, as to any Term SOFR Loan, the period commencing on the date such Term SOFR Loan is funded and ending on the numerically corresponding day in the calendar month that is one or three months thereafter (in each case, subject to the availability thereof), as specified in the applicable Borrowing Request; provided that (i) if any Interest Period would end on a day other than a Business Day, such Interest Period shall be extended to the next succeeding Business Day unless such next succeeding Business Day would fall in the next calendar month, in which case such Interest Period shall end on the immediately preceding Business Day, (ii) any Interest Period that


 
commences on the last Business Day of a calendar month (or on a day for which there is no numerically corresponding day in the last calendar month of such Interest Period) shall end on the last Business Day of the last calendar month of such Interest Period, (iii) no Interest Period shall extend beyond the Scheduled Termination Date and (iv) no tenor that has been removed from this definition pursuant to Section 4.6(d) shall be available for specification in such Borrowing Request. “Interest Rate” means, as applicable, (a) the applicable Daily Term SOFR rate, (b) the applicable Adjusted Term SOFR rate , (c) the applicable CP Rate, (d) the Alternate Base Rate or (e) the Default Rate. “Invoice” means, with respect to any Receivable, any paper or electronic bill, statement or invoice for services rendered by an Originator to an Obligor. “Joinder Agreement” has the meaning set forth in the Sale Agreement. “LabOne Receivable,” means a Receivable that arises out of a sale of goods or services by any of LabOne, Inc., ExamOne World Wide, Inc., Central Plains Laboratories, LLC, LabOne of Ohio, Inc., and Systematic Business Services, Inc. “Laws” means, collectively, all common law and all international, foreign, federal, state and local statutes, treaties, rules, guidelines, regulations, ordinances, codes and administrative or judicial precedents or authorities, including the interpretation or administration thereof by any Governmental Authority charged with the enforcement, interpretation or administration thereof, and all applicable administrative orders, directed duties, requests, licenses, authorizations and permits of, and agreements with, any Governmental Authority, in each case whether or not having the force of law. “LC Advance” has the meaning specified in Section 2.8(a). “LC Advance Notice” has the meaning specified in Section 2.8(a). “LC Application” means the LC Issuer’s standard form of application for irrevocable standby Letter of Credit in substantially the form of Exhibit 1.2.2 hereto, with appropriate insertions. “LC Collateral Account” means a segregated cash collateral account at PNC in the LC Issuer’s name established at any time after the date of this Agreement at the LC Issuer’s request that is under the exclusive control of the Administrative Agent (for the benefit of the LC Issuer). “LC Fee” has the meaning set forth in the Fee Letter. “LC Fronting Fee” has the meaning set forth in the Fee Letter. “LC Issuer” means PNC and its successors. “LC Loan” means any loan made by a Lender to the Borrower pursuant to Sections 1.1.2 and 2.8 of this Agreement. Each LC Loan shall either be a CP Rate Loan, an Alternate Base Rate Loan, a Daily Term SOFR Loan or a Term SOFR Loan, selected in accordance with the terms of this Agreement.


 
“LC Obligations” means, at any time, the sum, without duplication, of (a) the aggregate Outstanding Face Amount at such time plus (b) the aggregate unpaid amount at such time of all LC Reimbursement Obligations. “LC Processing Fees” means any reasonable and customary issuance, presentation, amendment and other processing fees, and other standard costs and charges, of the LC Issuer relating to Letters of Credit as from time to time in effect. “LC Reimbursement Obligations” means, at any time, the aggregate of all obligations of Borrower then outstanding under Section 2.8(b) to reimburse the LC Issuer for amounts paid by the LC Issuer in respect of any one or more drawings under Letters of Credit. “LC Sublimit” means a portion of the Aggregate Commitment under this Agreement for the issuance or Modification of Letters of Credit not to exceed $150,000,000.00 at any one time outstanding. “LC Sublimit Percentage” means, as to each Committed Lender, the percentage that appears next to its name on Annex B hereto under an amount equal to its Ratable Share of the LC Sublimit. “Lender” means any of the persons identified as a “Lender” on the signature pages hereto, and shall include such Person’s respective successors and permitted assigns. “Letter of Credit” means a stand-by Letter of Credit issued by the LC Issuer in Dollars upon application pursuant to Section 2.7, as modified from time to time in accordance with this Agreement. “Lenders” means, collectively, (a) PNC, (b) the Conduits, (c) at such time as they make a Liquidity Funding, each of the Atlantic Liquidity Banks and the Gotham Liquidity Banks, and (d) the respective successors and permitted assigns of the foregoing. “Lien” means any security interest, lien, encumbrance, pledge, assignment, title retention, similar claim, right or interest. “Liquidity Agreement” means the Gotham Liquidity Agreement or the Atlantic Liquidity Agreement. “Liquidity Bank” means (a) with respect to Gotham, MUFG or any Eligible Assignee of MUFG’s Commitments and Liquidity Commitment, and (b) with respect to Atlantic, CACIB or any Eligible Assignee of CACIB’s Commitments and Liquidity Commitment in each of the foregoing cases, to which the Borrower has consented if required under Section 12.1. A Liquidity Bank will become a “Lender” hereunder at such time as it makes any Liquidity Funding. “Liquidity Commitment” means, with respect to each Liquidity Bank, its commitment to make Liquidity Fundings pursuant to the Liquidity Agreement to which it is a party. “Liquidity Funding” means (a) a purchase made by any Liquidity Bank pursuant to its Liquidity Commitment of all or any portion of, or any undivided interest in, a Loan of its applicable


 
Conduit, or (b) any Loan made by the applicable Liquidity Banks in lieu of a Conduit pursuant to Section 1.1.1 or 2.8. “Loan” means any loan made by a Lender to the Borrower pursuant to this Agreement. Each Loan shall either be a CP Rate Loan, an Alternate Base Rate Loan, a Daily Term SOFR Loan or a Term SOFR Loan, selected in accordance with the terms of this Agreement. “Loan Parties” means, collectively, (i) the Borrower, and (ii) Quest Diagnostics so long as it is acting as the Servicer (or as a sub-servicer) hereunder. “Lockbox” means any post office box maintained by an Originator on behalf of the Borrower to which payments on certain Receivables are mailed. “Loss Reserve” means, for any month, the product (expressed as a percentage) of (i) 2.00, times (ii) the highest three-month rolling average Default Ratio during the 12 months ending on the immediately preceding Cut-Off Date, times (iii) the Default Horizon Ratio as of the immediately preceding Cut-Off Date, times (iv) one minus the Recovery Rate. “Material Acquisition” means that any existing Originator acquires the Unpaid Net Balance of Receivables of one or more other Persons who are not existing Eligible Originators, whether by purchase, merger, consolidation or otherwise, if (i) the aggregate Unpaid Net Balance of receivables so acquired from any one such Person exceeds 10% of the Allocation Limit in effect on the date of acquisition, merger or consolidation, or (ii) the aggregate Unpaid Net Balance of receivables so acquired from all Persons in any calendar year exceeds (or from all such Persons in any calendar year) exceeds 10% of the weighted average Allocation Limit in effect during such calendar year. “Material Adverse Effect” means an event, circumstance, occurrence, or condition which has caused as of any date of determination any of (a) a material adverse effect, or any condition or event that has resulted in a material adverse effect, on the business, operations, financial condition or assets of (i) the Originators taken as a whole (after taking into account indemnification obligations by third parties that are Solvent to the extent that such third party has not disputed (after notice of claim in accordance with the applicable agreement therefor) liability to make such indemnification payment), (ii) the Servicer, or (iii) the Borrower, (b) a material adverse effect on the ability of the Originators, the Servicer or the Borrower to perform when and as due any of their material obligations under any Transaction Document to which they are parties, (c) a material adverse effect on the legality, binding effect or enforceability of any Transaction Document or any of the material rights and remedies of any of the Agents or Lenders thereunder or the legality, priority, or enforceability of the Lien on a material portion of the Collateral, or (d) a material adverse effect upon the validity, enforceability or collectability of a material portion of the Receivables; provided, however, that during the period beginning with the declaration on March 13, 2020 of the national emergency relating to COVID-19 and ending on April 30, 2021 or such later date, not to extend beyond October 22, 2021, as agreed to by the Administrative Agent (with the consent of the Lenders) and the Borrower, no event, circumstance, development, change, occurrence or effect (as is reasonably identifiable and factually supportable) related to the COVID-19 pandemic and the resulting work-at-home orders, travel restrictions and quarantine orders that ensued, shall be deemed to constitute, or shall be taken into account in determining whether there has been, a Material Adverse Effect of the type described in the preceding clause (a).


 
“Material Proposed Addition” means a Person whom any Loan Party proposes to add as a “seller” under the Sale Agreement if either (i) the aggregate Unpaid Net Balance of such Person’s receivables (on the proposal date) exceeds 10% of the weighted average Allocation Limit in effect on the proposal date, or (ii) the Unpaid Net Balance of such Person’s receivables (on such proposal date), when aggregated with the receivables of all other Persons added as “sellers” under the Sale Agreement in the same calendar year (measured on the respective dates such other Persons became “sellers” under the Sale Agreement) exceeds 10% of the weighted average Allocation Limit in effect during such calendar year. “Medicaid” means the medical assistance program established by Title XIX of the Social Security Act (42 U.S.C. Secs. 1396 et seq.) and any statutes succeeding thereto. “Medicare” means the health insurance program for the aged and disabled established by Title XVIII of the Social Security Act (42 U.S.C. Secs. 1395 et seq.) and any statutes succeeding thereto. “Missing Information Percentage” means the percentage equal to the ratio of (a) the total number of incomplete requisitions received in any month by the Originators, to (b) the total number of requisitions resulted in such month by the Originators. For this purpose, a requisition (whether in paper or electronic format) is incomplete if at the time that the test results of a specimen are reported, the Originator has not been provided sufficient information (whether from the requisition or otherwise) to bill the appropriate Person for the test or other service being performed. As used herein, a “resulted” requisition is one which is processed and on which its results have been reported. “Missing Information Trigger Event” means that the most recent three-calendar month rolling average Missing Information Percentage at any Cut-Off Date exceeds 9.00% (it being understood that if a private carrier or government action imposes any change expected to have an adverse impact on the information gathering process of the Originators, this percentage will not be utilized in the calculation of a Missing Information Trigger Event for the 3 Accrual Periods immediately following such change). “Monthly Report” means a report in the form of Exhibit 3.1(a). “Monthly Reporting Date” means the 22nd day of each calendar month; provided, however, that if any such day is not a Business Day, then the Monthly Reporting Date shall occur on the next succeeding Business Day. “Moody’s” means Moody’s Investors Service, Inc. “MUFG” has the meaning provided in the preamble of this Agreement. “MUFG Roles” has the meaning set forth in Section 11.10(b). “Multiemployer Plan” means a multiemployer plan within the meaning of Section 4001(a)(3) of ERISA (a) to which any ERISA Entity is then making or accruing an obligation to make contributions, (b) to which any ERISA Entity has within the preceding five plan years made


 
contributions, including any Person which ceased to be an ERISA Entity during such five year period, or (c) with respect to which any Loan Party could incur liability. “Net Pool Balance” means, at any time, an amount equal to (i) Net Receivables, minus (ii) Designated Government Ineligibles, minus (iii) Excess Participation Interests, minus (iv) Excess Uninsured Receivables, and minus (v) Excess Other Patient Pay Amounts. “Net Receivables” means, at any time, an amount equal to the reported aggregate Unpaid Net Balance of all Receivables (including the Specified Government Receivables the subject of Participation Interests) at such time, minus (i) the aggregate Unpaid Net Balance of all Receivables (including the Specified Government Receivables the subject of Participation Interests) that are not Eligible Receivables or the subject of Eligible Participation Interests, as applicable, at such time, minus (ii) Receivables (other than those covered by any other clause of this definition) that are not yet Defaulted Receivables which are owing from any Top 10 Obligor as to which more than 50% of the aggregate Unpaid Net Balance of all Receivables owing from such Top 10 Obligor are Defaulted Receivables, minus (iii) the Excess Concentration Amount at such time, and minus (iv) the Excess Rollforward Difference. “Net Revenues” means, for any calendar month of determination, the gross amount of Receivables generated by the Originators from Clinical Laboratory Services during such calendar month less the associated Contractual Disallowances but before accruals for and write-offs of bad debts. “Non-Approving Group” means any Group containing a Non-Approving Lender. “Non-Approving Lender” means any Lender that does not approve (a) a requested waiver to this Agreement or the Credit Agreement, or (b) a requested amendment to this Agreement or the Credit Agreement. “Non-Renewing Lender” means any Lender that elects not to extend the Scheduled Termination Date of its Commitment except to the extent a new or another existing Lender agrees to assume such Commitment. “Non-Renewing Lender’s Share” means any Non-Renewing Lender’s Percentage of the LC Obligations. “Obligations” means the Aggregate Credit Exposure and all accrued and unpaid Interest, fees, expenses, reimbursements, indemnities and other obligations of the Borrower to the Lenders (or any Lender), the LC Issuer, any of the Agents or any Indemnified Party arising under the Transaction Documents. “Obligor” means a Person obligated to make payments with respect to a Receivable, including any guarantor thereof. “Obligor Concentration Limit” means, at any time, in relation to the aggregate Unpaid Net Balance of Private Receivables owed by any single Obligor and its Affiliated Obligors (if any), the applicable concentration limit shall (unless each Co-Agent from time to time upon the Borrower’s request agrees to a higher percentage of Eligible Receivables for a particular Obligor and


 
its Affiliates, which agreement may be conditioned upon an increase in the percentage set forth in clause (A)(i) of the definition of “Required Reserve” or upon satisfaction of the Rating Agency Condition) be determined as follows for Obligors who have short term unsecured debt ratings currently assigned to them by S&P and Moody’s, the applicable concentration limit shall be determined according to the following table; provided, however, that if such Obligor has a split rating between S&P and Moody’s, the applicable concentration limit shall be determined by the higher of the two debt ratings or if such Obligor has a single rating from either S&P or Moody’s, the applicable concentration limit shall be determined by such single rating; provided further that if the two debt ratings are more than one level apart, the applicable concentration limit shall be determined by the debt rating which is one level higherlower than the lowerhigher debt rating: Obligor Group D “Obligor Percentage” means, for any calendar month, for each Obligor, a fraction, expressed as a percentage, computed as of the last day of such month, (a) the numerator of which is the aggregate Outstanding Balance of the Eligible Receivables of such Obligor and its Affiliates at such time and (b) the denominator of which is the aggregate Outstanding Balance of all Eligible Receivables at such time. “Organic Document” means, relative to any Person, its certificate of incorporation, its by-laws, its partnership agreement, its memorandum and articles of association, its limited liability company agreement and/or operating agreement, share designations or similar organization documents and all shareholder agreements, voting trusts and similar arrangements applicable to any of its authorized Equity Interests. “Originator” means Quest Diagnostics or any its direct or indirect Subsidiaries who is or becomes a “seller” under the Sale Agreement. “Other Patient Pay Amounts” means any portion of a Receivable that is not covered by insurance whether by reason of deductibles or co-insurance agreements or arrangements or otherwise. “Other Patient Pay Ineligible Defaulted Receivables” means, on any date of determination, the product of (a) the difference between (i) the aggregate Unpaid Net Balance of Patient Pay Receivables greater than 150 days past due as of the last day of the month then most recently ended, minus (ii) the Proxy Value of Uninsured Receivables greater than 150 days past due as of the last day of the month then most recently ended, multiplied by (b) one minus the Recovery Rate. “Other Taxes” has the meaning set forth in Section 14.5(c). S&P Rating Moody’s Rating Allowable % of Eligible Receivables A+ A-1+ P-1 13.00% A A-1 P-1 13.00% B A-2 P-2 13.00% C A-3 P-3 6.507.50% Below A-3 or Not Rated Below P-3 or Not Rated 3.255.00%


 
“Outstanding Face Amount” means, on any date of determination, the aggregate amount available to be drawn under all Letters of Credit then outstanding. “Participation Interest” means a 100% beneficial interest in the applicable Originator’s right, title and interest, whether now owned or hereafter arising and wherever located, in, to and under each of such Originator’s Specified Government Receivables. “Participant Register” has the meaning set forth in Section 12.1(d). “Patient Pay Receivable” means (a) an Uninsured Receivable, or (b) a Receivable (or the portion thereof) that represents Other Patient Pay Amounts. “Payment Intangible” shall have the meaning specified in Article 9 of the UCC. “PBGC” means the Pension Benefit Guaranty Corporation, or any successor thereto. “Pension Plan” means an employee pension benefit plan (other than a Multiemployer Plan) which is covered by Title IV of ERISA or subject to the minimum funding standards under Section 412 of the Code or Section 302 of ERISA and is maintained or contributed to by any ERISA Entity or with respect to which any Loan Party could incur liability. “Percentage” means, for each Group on any date of determination, the ratio which the sum the outstanding Principal balance of such Group’s Loans bears to the Aggregate Principal. “Periodic Term SOFR Determination Day” has the meaning specified in the definition of “Term SOFR.” “Permitted Investments” means, on any date, any one or more of the following types of investments, provided that they mature on or prior to the next Settlement Date: (a) marketable obligations of the United States of America, the full and timely payment of which are backed by the full faith and credit of the United States of America and which have a maturity of not more than 270 days from the date of acquisition; (b) marketable obligations, the full and timely payment of which are directly and fully guaranteed by the full faith and credit of the United States of America and which have a maturity of not more than 270 days from the date of acquisition; (c) bankers’ acceptances and certificates of deposit and other interest-bearing obligations (in each case having a maturity of not more than 270 days from the date of acquisition) denominated in dollars and issued by any bank with capital, surplus and undivided profits aggregating at least $50,000,000, the short-term obligations of which are rated at least A-1 by S&P and P-1 by Moody’s; (d) repurchase obligations with a term of not more than ten days for underlying securities of the types described in clauses (a), (b) and (c) above entered into with any bank of the type described in clause (c) above;


 
(e) commercial paper rated at least A-1 by S&P and P-1 by Moody’s; and, (f) demand deposits, time deposits or certificates of deposit (having original maturities of no more than 365 days) of depository institutions or trust companies incorporated under the laws of the United States of America or any state thereof (or domestic branches of any foreign bank) and subject to supervision and examination by federal or state banking or depository institution authorities; provided, however, that at the time such investment, or the commitment to make such investment, is entered into, the short-term debt rating of such depository institution or trust company shall be at least A-1 by S&P and P-1 by Moody’s. “Person” means any natural person, corporation, firm, joint venture, partnership, limited liability company, association, enterprise, trust or other entity or organization, or any government or political subdivision or any agency, department or instrumentality thereof. “PHI” has the meaning set forth in Section 14.14. “PNC” has the meaning provided in the preamble of this Agreement. “PNCCM” means PNC Capital Markets LLC. “PNC Group Agent” means PNC in its capacity as agent for the PNC Group. “PNC Allocation Limit” has the meaning specified in Section 1.1.1(a). “PNC Group” means PNC. “Pooled Commercial Paper” means for each of the Pool Funded Conduits the Commercial Paper Notes of such Pool Funded Conduit subject to any particular pooling arrangement by such Conduit, but excluding Commercial Paper Notes issued by the Pool Funded Conduits for a tenor and in an amount specifically requested by any Person in connection with any agreement effected by such Pool Funded Conduit. “Pool Funded Conduits” means (a) Atlantic, and (b) during any time as to which Gotham has notified the Loan Parties that it will be pool funding its Loans, Gotham. “Prepayment Notice” has the meaning set forth in Section 1.5(a). “Prime Rate” means the interest rate per annum publicly announced from time to time by the Administrative Agent at its main offices in Pittsburgh, Pennsylvania as its then prime rate, which rate may not be the lowest or most favorable rate then being charged to commercial borrowers or others by the Administrative Agent and may not be tied to any external rate of interest or index. Any change in the Prime Rate shall take effect at the opening of business on the day such change is publicly announced. “Principal” means, in respect of any Advance or Loan, the outstanding principal amount thereof.


 
“Principal Amount” means the actual net cash proceeds received by a Conduit upon issuance by it of a Commercial Paper Note. “Privacy Regulations” has the meaning set forth in Section 14.14(a). “Private Receivable” means any Receivable other than a Government Receivable. “Pro Rata Share” means, with respect to any Committed Lender, the ratio which its Commitment bears to the aggregate of the Commitments of all Committed Lenders in its Group. “Proceedings” means, collectively, lawsuits, arbitrations, mediations and Congressional or regulatory hearings. “Program Information” has the meaning set forth in Section 14.8(a)(i) “Proxy Value of Eligible Other Patient Pay Amounts” means, on any date of determination, (a) the Proxy Value of Other Patient Pay Amounts as of the last day of the month then most recently ended, minus (b) Other Patient Pay Ineligible Defaulted Receivables as of the last day of the month then most recent ended. “Proxy Value of Eligible Uninsured Receivables” means, on any date of determination, the product of (a) the percentage equal to the quotient of (i) the aggregate Unpaid Net Balance of QDCL’s Uninsured Receivables as of the last day of the calendar month then most recently ended, divided by the total Unpaid Net Balance of all of QDCL’s Receivables as of the last day of the calendar month then most recently ended, multiplied by (b) the Unpaid Net Balance of all Eligible Receivables and Eligible Participation Interests as of the last day of the calendar month then most recently ended. “Proxy Value of Other Patient Pay Amounts” means, on any date of determination, (a) the aggregate Unpaid Net Balance of Patient Pay Receivables minus (b) the Proxy Value of Uninsured Receivables. “Proxy Value of Uninsured Receivables” means, on any date of determination, the product of (a) the percentage equal to the quotient of (i) the aggregate Unpaid Net Balance of QDCL’s Uninsured Receivables as of the last day of the calendar month then most recently ended, divided by the total Unpaid Net Balance of all of QDCL’s Receivables as of the last day of the calendar month then most recently ended, multiplied by (b) the aggregate Unpaid Net Balance of Receivables and Participation Interests as of the last day of the calendar month then most recently ended. “Property” of a Person means any right, title or interest in or to property or assets of any kind whatsoever, whether real, personal or mixed and whether tangible or intangible and including Equity Interests or other ownership interests of any Person. “Purchased Asset” means each Private Receivable and each Participation Interest acquired by the Borrower pursuant to the Sale Agreement. “QBS” means the Quest Billing System.


 
“QDCL” means Quest Diagnostics Clinical Laboratories, Inc., a Delaware corporation, and its successors. “Qualifying Liquidity Bank” means a commercial bank having a combined capital and surplus of at least $250,000,000 with a rating of its (or its parent holding company’s) short-term securities equal to or higher than (i) A-1 by S&P, (ii) P-1 by Moody’s and (if applicable) (iii) F1 by Fitch. “Quest Diagnostics” has the meaning set forth in the preamble of this Agreement. “Ratable Share” means with respect to any Committed Lender, the ratio which its Commitment bears to the Aggregate Commitment. “Rating Agency” means S&P, Moody’s, Fitch and any other nationally recognized agency or Person in the business of rating, inter alia, debt and equity instruments and securities. “Rating Agency Condition” means that, if required under a Conduit’s program documents, each such Conduit has received written notice from S&P, Moody’s and, at any time while Fitch is rating such Conduit’s Commercial Paper, Fitch, that an amendment, a change or a waiver will not result in a withdrawal or downgrade of the then current ratings on such Conduit’s Commercial Paper Notes. “Receivable” means any Account or Payment Intangible arising from the sale of Clinical Laboratory Services by an Originator, including, without limitation, the right to payment of any interest or finance charges and other amounts with respect thereto, which is sold or contributed to the Borrower under the Sale Agreement; provided, however, that the term “Receivable” shall not include any Excluded JV Receivable. Rights to payment arising from any one transaction, including, without limitation, rights to payment represented by an individual invoice, shall constitute a Receivable separate from a Receivable consisting of the rights to payment arising from any other transaction. “Recipient” means the Administrative Agent, any Co-Agent or any Lender. “Records” means, collectively, all Invoices and all other documents, books, records and other information (including, without limitation, computer programs, tapes, disks, punch cards, data processing software and related property and rights) evidencing, governing the payment terms or payment status of, or identifying the Obligor on, any Receivable or Related Asset, other than (i) any Contract related thereto, and (ii) any confidential patient information including, without limitation, test results. “Recovery Rate” means at any time 60%. “Register” has the meaning set forth in Section 12.1(d). “Regulation D” means Regulation D of the Board of Governors of the Federal Reserve System as from time to time in effect and any successor thereto or other regulation or official interpretation of said Board of Governors relating to reserve requirements applicable to member banks of the Federal Reserve System.


 
“Regulation T, U or X” means Regulation T, U or X of the Board of Governors of the Federal Reserve System as from time to time in effect and any successor or other regulation or official interpretation of said Board of Governors relating to the extension of credit for the purpose of purchasing or carrying margin stocks. “Regulatory Change” means the occurrence, after the date of this Agreement, of any of the following: (a) the adoption or taking effect of any law, rule, regulation or treaty, (b) any change in any law, rule, regulation (including Regulation D) or treaty or in the administration, interpretation, implementation or application thereof by any Governmental Authority or (c) the making or issuance of any request, rule, guideline or directive (whether or not having the force of law) by any Governmental Authority; provided that notwithstanding anything herein to the contrary, (x) the Dodd-Frank Wall Street Reform and Consumer Protection Act and all requests, rules, guidelines or directives thereunder or issued in connection therewith, and (y) all requests, rules, guidelines or directives promulgated by the Bank for International Settlements, the Basel Committee on Banking Supervision (or any successor or similar authority) or the United States or foreign regulatory authorities, in each case pursuant to Basel III, shall in each case be deemed to be a “Regulatory Change”, regardless of the date enacted, adopted or issued. “Reimbursement Date” has the meaning specified in Section 2.8(a). “Related Assets” means all of the Borrower’s right, title and interest in and to the following: (a) the Related Security, (b) the Sale Agreement, (c) the Collateral Account (if any) and the balances and instruments from time to time therein, (d) the Lockboxes and Collection Accounts, all balances and instruments from time to time therein, and any and all Collection Account Agreements with respect thereto that may exist in favor of the Borrower, (e) payments due in respect of the Demand Advances, and (f) all proceeds and insurance proceeds of any of the foregoing. “Related Security” means, with respect to each Receivable, all right, title and interest in and to the following: (a) (i) all Collections; (ii) all Records; (iii) all Collection Accounts and all cash, balances and instruments therein from time to time therein; (iv) the goods (including returned or repossessed goods), if any, the sale of which by an Originator gave rise to such Receivable; (v) all supporting obligations; and (vi) all liens and security interests, if any, securing payment of such Receivable, whether pursuant to the Contract related to such Receivable or otherwise; and (b) all proceeds and insurance proceeds of the foregoing. “Relevant Governmental Body” means the Federal Reserve Board or the Federal Reserve Bank of New York, or a committee officially endorsed or convened by the Federal Reserve Board or the Federal Reserve Bank of New York, or any successor thereto. “Reportable Event” means any of the events set forth in Section 4043(c) of ERISA or the regulations thereunder, other than any such event for which the 30-day notice requirement under ERISA has been waived in regulations issued by the PBGC. “Reporting Date” means a Weekly Reporting Date or a Monthly Reporting Date.


 
“Required Amounts” has the meaning set forth in Section 3.2. “Required Day” means, with respect to any event, the Business Day preceding such event by the Required Notice Period. “Required Notice Period” means the number of days required notice set forth below applicable to the Aggregate Principal reduction indicated below: AGGREGATE REDUCTION REQUIRED NOTICE PERIOD < 25% of the Aggregate Commitment 2 Business Days ≥ 25%-50 up to and including 50% of the Aggregate Commitment 5 Business Days > 50% of Aggregate Commitment 10 Business Days “Requirement of Law” means as to any Person, the Organic Documents of such Person, and any Law or determination of an arbitrator or any Governmental Authority, in each case applicable to or binding upon such Person or any of its Property or to which such Person or any of its Property is subject. “Required Reserve” means, on any day during a month, an amount equal to the product of (i) the greater of (a) the Required Reserve Factor Floor and (b) the sum of the Loss Reserve, the Yield Reserve, the Dilution Reserve, the Ad Hoc Reserve and the Servicing Reserve, times (ii) the Net Pool Balance as of the Cut-Off Date immediately preceding such month. “Required Reserve Factor Floor” means, for any month, the sum (expressed as a percentage) of (i) 13%the Concentration Reserve Percentage for such month, plus (ii) the product of the Adjusted Dilution Ratio and the Dilution Horizon Ratio, in each case, as of the immediately preceding Cut-Off Date. “Review” has the meaning set forth in Section 7.1(c). “Rollforward Difference” means, at any time, an amount equal to absolute value of the reported aggregate Unpaid Net Balance of all Receivables minus the calculated Unpaid Net Balance of all Receivables. “S&P” means Standard and Poor’s Ratings Services, a division of The McGraw-Hill Companies, Inc. “Sale Agreement” means the Fourth Amended and Restated Receivables Sale Agreement dated as of October 28, 2015 between each of the Originators, as a seller and/or contributor, and the Borrower, as purchaser and contributee, as it may be amended, supplemented or otherwise modified in accordance with Section 7.3(f). “Sanctioned Country” means, at any time, a country or territory which is the target of any countrywide or territory-wide Sanctions.


 
“Sanctioned Person” means, at any time, (a) any Person listed in any Sanctions-related list of designated Persons maintained by the Office of Foreign Assets Control of the U.S. Department of the Treasury, the U.S. Department of State or by the United Nations Security Council, the European Union or His Majesty’s Treasury of the United Kingdom, (b) any Person operating, organized or resident in a Sanctioned Country or (c) any Person owned by or controlled by any such Person described in the foregoing clause (a) or (b). “Sanctions” means economic or financial sanctions or trade embargoes imposed, administered or enforced from time to time by (a) the Office of Foreign Assets Control of the U.S. Department of the Treasury or the U.S. Department of State, (b) the United Nations Security Council, (c) the European Union or (d) His Majesty’s Treasury of the United Kingdom. “Schedule” refers to a specific schedule to this Agreement unless another document is specifically referenced. “Scheduled Termination Date” means November 2019, 20262027. “SEC” means the Securities and Exchange Commission. “Section” means a numbered section of this Agreement unless another document or a statute is specifically referenced. “Secured Parties” means the Indemnified Parties. “Security Regulations” has the meaning set forth in Section 14.14. “Servicer” has the meaning set forth in the preamble of this Agreement. “Servicer Transfer Event” means the occurrence of any Event of Default. “Servicer’s Fee” accrued for any day in an Accrual Period means: (a) an amount equal to (x) 5.0% per annum (or, at any time while Quest Diagnostics is the Servicer, such lesser percentage as may be agreed between the Borrower and the Servicer on an arms’ length basis based on then prevailing market terms for similar services), times (y) the reported aggregate Unpaid Net Balance of the Receivables at the close of business on the first day of such Accrual Period, times (z) 1/360; or (b) on and after the Servicer’s reasonable request made at any time when Quest Diagnostics shall no longer be the Servicer, an alternative amount specified by the Servicer not exceeding (x) 110% of the Servicer’s costs and expenses of performing its obligations under this Agreement during the Accrual Period when such day occurs, divided by (y) the number of days in such Accrual Period. “Servicing Reserve” means the product of 3.0% and a fraction, the numerator of which is the highest Days Sales Outstanding calculated for each of the most recent 12 calendar months and the denominator of which is 360.


 
“Settlement Date” means (a) the second Business Day after each Monthly Reporting Date, (b) such other Business Days as the Co-Agents may specify by written notice to the Lenders, the Borrower and the Servicer, (c) each of the Commitment Expiry Dates, and (d) the Termination Date. “Settlement Period” means, for purposes of the Sale Agreement, an Accrual Period. “Share of LC Sublimit” means, as to each Committed Lender, an amount equal to its Ratable Share of the LC Sublimit. “SOFR” means, with respect to any Business Day, a rate per annum equal to the secured overnight financing rate for such Business Day published by the SOFR Administrator on the SOFR Administrator’s Website on the immediately succeeding Business Day. “SOFR Administrator” means the Federal Reserve Bank of New York (or a successor administrator of the secured overnight financing rate). “SOFR Administrator’s Website” means the Federal Reserve Bank of New York’s website, currently at http://www.newyorkfed.org, or any successor source for the secured overnight financing rate identified as such by the SOFR Administrator from time to time. “Solvent” and “Solvency” means, for any Person on a particular date, that on such date (a) the fair value of the Property of such Person is greater than the total amount of liabilities, including, without limitation, contingent liabilities, of such Person, (b) the present fair salable value of the assets of such Person is not less than the amount that will be required to pay the probable liability of such Person on its debts as they become absolute and matured, (c) such Person does not intend to, and does not believe that it will, incur debts and liabilities beyond such Person’s ability to pay such debts and liabilities as they mature and (d) such Person is not engaged in a business or a transaction, and is not about to engage in a business or a transaction, for which such Person’s Property would constitute an unreasonably small capital. “Specified Government Receivable” means a Government Receivable arising under Medicare or Medicaid for covered services rendered to eligible beneficiaries thereunder. “Structuring Agent” means PNCCM in its capacity as structuring agent. “Subordinated Loan” has the meaning set forth in the Sale Agreement. “Subordinated Note” has the meaning set forth in the Sale Agreement. “Subsidiary” means, with respect to any Person, any corporation, partnership or other entity of which at least a majority of the securities or other ownership interests having by the terms thereof ordinary voting power to elect a majority of the board of directors or other persons performing similar functions of such corporation, partnership or other entity (irrespective of whether or not at the time securities or other ownership interests of any other class or classes of such corporation, partnership or other entity shall have or might have voting power by reason of the


 
happening of any contingency) is at the time directly or indirectly owned or controlled by such Person and/or one or more Subsidiaries of such Person. “Successor Notice” has the meaning set forth in Section 8.1(b). “Taxes” means any and all taxes, imposts, duties, charges, fees, levies or other similar charges or assessments, including income, gross receipts, excise, real or personal property, sales, withholding, social security, retirement, unemployment, occupation, use, service, license, net worth, payroll, franchise, and transfer and recording, imposed by the Internal Revenue Service or any taxing authority (whether domestic or foreign, including any federal, state, U.S. possession, county, local or foreign government or any subdivision or taxing agency thereof), whether computed on a separate, consolidated, unitary, combined or any other basis, including interest, fines, penalties or additions to tax attributable to or imposed on or with respect to any such taxes, charges, fees, levies or other assessments. “Term SOFR” means: (a) for any calculation with respect to a Term SOFR Loan, the Term SOFR Reference Rate for a tenor comparable to the applicable Interest Period on the day (such day, the “Periodic Term SOFR Determination Day”) that is two (2) U.S. Government Securities Business Days prior to the first day of such Interest Period, as such rate is published by the Term SOFR Administrator; provided, however, that if as of 5:00 p.m. (New York City time) on any Periodic Term SOFR Determination Day, the Term SOFR Reference Rate for the applicable tenor has not been published by the Term SOFR Administrator and a Benchmark Replacement Date with respect to the Term SOFR Reference Rate has not occurred, then Term SOFR will be the Term SOFR Reference Rate for such tenor as published by the Term SOFR Administrator on the first preceding U.S. Government Securities Business Day for which such Term SOFR Reference Rate for such tenor was published by the Term SOFR Administrator so long as such first preceding U.S. Government Securities Business Day is not more than three (3) U.S. Government Securities Business Days prior to such Periodic Term SOFR Determination Day; and (b) for any calculation with respect to an Alternate Base Rate Loan on any day, the Term SOFR Reference Rate for a tenor of one month on the day (such day, the “Daily Term SOFR Determination Day”) that is two (2) U.S. Government Securities Business Days prior to such day, as such rate is published by the Term SOFR Administrator; provided, however, that if as of 5:00 p.m. (New York City time) on any Daily Term SOFR Determination Day, the Term SOFR Reference Rate for the applicable tenor has not been published by the Term SOFR Administrator and a Benchmark Replacement Date with respect to the Term SOFR Reference Rate has not occurred, then Term SOFR will be the Term SOFR Reference Rate for such tenor as published by the Term SOFR Administrator on the first preceding U.S. Government Securities Business Day for which such Term SOFR Reference Rate for such tenor was published by the Term SOFR Administrator so long as such first preceding U.S. Government Securities Business Day is not more than three (3) U.S. Government Securities Business Days prior to such Daily Term SOFR Determination Day; provided, further, that if Term SOFR determined as provided above (including pursuant to the proviso under clause (a) or clause (b) above) shall ever be less than the Floor, then Term SOFR shall be deemed to be the Floor.


 
“Term SOFR Adjustment” means, for any calculation with respect to any Daily Term SOFR Loan, Term SOFR Loan or, solely to the extent that clause (c) of the definition of “Alternate Base Rate” is then applicable, any ABR Loan, a percentage per annum equal to 0.10%. “Term SOFR Administrator” means CME Group Benchmark Administration Limited (CBA) (or a successor administrator of the Term SOFR Reference Rate selected by the Administrative Agent in its reasonable discretion). “Term SOFR Loan” means a Loan (other than an Alternate Base Rate Loan or a Daily Term SOFR Loan) that bears interest for a particular Interest Period at a fixed rate equal to the applicable Adjusted Term SOFR rate. “Term SOFR Reference Rate” means the forward-looking term rate based on SOFR. “Termination Date” means the earliest to occur of: (a) the Scheduled Termination Date; (b) the date designated by the Borrower as the “Termination Date” on not less than fifteen (15) Business Days’ notice to the Co-Agents, provided that on such date the Obligations have been paid in full; and (c) the date specified in Section 10.2(a) or Section 10.2(b) (including, without limitation, any such specified date following any Co-Agent’s failure to approve a requested waiver hereunder). “Top 10 Obligor” means any of the following and its Affiliates considered as if it and its Affiliates were one and the same entity: (1) Aetna, (2) United Healthcare, (3) Anthem Health, (4) CIGNA, (5) Blue Cross/Blue Shield Florida, (6) Humana, (7) Group Health Incorporated, (8) Blue Cross/ Blue Shield of Texas, (9) Private Health Care Systems (PHCS), and (10) Blue Shield of California, with such changes to the foregoing list as may be agreed upon from time to time by the Borrower and the Administrative Agent. “Tranched Loan Lender” means Atlantic, CACIB and any other Person from time to time a “Lender” in the Atlantic Group. “Transaction Information” means any information provided to any Rating Agency, in each case, to the extent related to such Rating Agency providing or proposing to provide a rating of any Commercial Paper Notes or monitoring such rating including, without limitation, information in connection with the Loan Parties, the Originators or the Receivables; provided that, for the avoidance of doubt, “Transaction Information” shall not include any information provided by Quest Diagnostics Incorporated or any of its Affiliates to any nationally recognized statistical rating organization (other than information solely related to the Receivables subject to this Agreement) in connection with such rating organization providing a rating or proposing to provide a rating to, or monitoring an existing rating of Quest Diagnostics Incorporated or any of its Affiliates or any debt securities of any of the foregoing. “Transaction Documents” means this Agreement, the Collection Account Agreements, the Sale Agreement, the Fee Letter, each LC Application, the Subordinated Notes and the other documents to be executed and delivered in connection herewith or therewith. “UCC” means the Uniform Commercial Code as from time to time in effect in the applicable jurisdiction or jurisdictions.


 
“Unadjusted Benchmark Replacement” means the applicable Benchmark Replacement excluding the related Benchmark Replacement Adjustment. “Uninsured Receivables” means Receivables owing from Obligors without health insurance. “Unmatured Default” means an event which but for the lapse of time or the giving of notice, or both, would constitute an Event of Default. “Unpaid Net Balance” of any Receivable means at any time (i) the unpaid amount thereof, but excluding all late payment charges, delinquency charges and extension or collection fees, minus (ii) Contractual Disallowances. “Unused Fee” has the meaning set forth in the Fee Letter. “U.S. Government Securities Business Day” means any day except for (a) a Saturday, (b) a Sunday or (c) a day on which the Securities Industry and Financial Markets Association recommends that the fixed income departments of its members be closed for the entire day for purposes of trading in United States government securities. “US Person” means any Person that is a “United States Person” as defined in Section 7701(a)(30) of the Code. “Usage Fee” has the meaning set forth in each of the Fee Letter. “Volcker Rule” means Section 13 of the U.S. Bank Holding Company Act of 1956, as amended, and the applicable rules and regulations thereunder. “Weekly Report” means a report in the form of Exhibit 3.1(b). “Weekly Reporting Date” means Monday of any week in which Weekly Reports are required to be delivered hereunder; provided, however, that if any such Monday is not a Business Day, then the Weekly Reporting Date shall be the next succeeding Business Day. “Write-Down and Conversion Powers” means, with respect to any EEA Resolution Authority, the write-down and conversion powers of such EEA Resolution Authority from time to time under the Bail-In Legislation for the applicable EEA Member Country, which write-down and conversion powers are described in the EU Bail-In Legislation Schedule. “Yield Reserve” means, for any month, the product (expressed as a percentage) of (i) 1.5 times (ii) the Alternate Base Rate as of the immediately preceding Cut-Off Date times (iii) a fraction the numerator of which is the highest Days Sales Outstanding for the most recent 12 months and the denominator of which is 360. The foregoing definitions shall be equally applicable to both the singular and plural forms of the defined terms.


 
B. Other Terms. All accounting terms not specifically defined herein shall be construed in accordance with GAAP. All terms used in Article 9 of the UCC in the State of New York, and not specifically defined herein, are used herein as defined in such Article 9. C. Computation of Time Periods. Unless otherwise stated in this Agreement, in the computation of a period of time from a specified date to a later specified date, the word “from” means “from and including” and the words “to” and “until” each mean “to but excluding.”


 
ANNEX B COMMITMENTS AND SHARE OF LC SUBLIMIT COMMITTED LENDER A COMMITMENT B RATABLE SHARE C SHARE OF LC SUBLIMIT D LC SUBLIMIT PERCENTAGE PNC Bank, National Association $300,000,000.0 0 50.00% $ 75,000,000.00 50.00% MUFG Bank, Ltd. $150,000,000.0 0 25.00% $ 37,500,000.00 25.00% Crédit Agricole Corporate and Investment Bank $150,000,000.0 0 25.00% $ 37,500,000.00 25.00% TOTAL $600,000,000.00 100.00 % $150,000,000.0 0 100.00%


 
ANNEX C TRANCHED LOAN LENDERS Reference is hereby made to that certain Sixth Amended and Restated Credit and Security Agreement, dated as of October 27, 2017, by and among Quest Diagnostics Receivables Inc., as Borrower, Quest Diagnostics Incorporation, as initial Servicer, the Lenders and Co-Agents from time to time party thereto, PNC Bank, National Association, as LC Issuer, and PNC Bank, National Association, as Administrative Agent (as amended, restated or otherwise modified from time to time, the “Credit and Security Agreement”). Capitalized terms used and not otherwise defined herein are used with the meanings attributed thereto in the Credit and Security Agreement. Each of the Tranched Loan Lenders will divide each of its Loans and each of its participation interests in the LC Obligations (collectively, its “Credit Extensions”) into a “Class A” interest and a “Class B” interest, with the Class B interest in a Credit Extension being subordinate to the Class A interest therein. A Tranched Loan Lender’s (i) Class A interest shall initially consist of 80% of the Credit Extensions made by it hereunder and (ii) Class B interest shall initially consist of 20% of the Credit Extensions made by it hereunder; provided that any Tranched Loan Lender may, upon notice to its Co-Agent, unilaterally modify the percentages of its Credit Extensions constituting Class A interests and Class B interests, respectively, so long as the respective percentages equal 100% of such Tranched Loan Lender’s Credit Extensions. In no event will the division of Credit Extensions into Class A and Class B interests have any impact on, or create any additional obligations of, any party to the Credit and Security Agreement other than the applicable Tranched Loan Lender and the Atlantic Group Co-Agent. Each Tranched Loan Lender will allocate (i) all payments of the portion of Aggregate Principal owing to such Tranched Loan Lender on each Settlement Date (A) first to such Tranched Loan Lender’s Class A interest, until the principal amount of the Class A interest is reduced to zero and (B) second to such Tranched Loan Lender’s Class B interest, until the Class B interest is reduced to zero, and (ii) all payments constituting Interest made to such Tranched Loan Lender on each Settlement Date to such Tranched Loan Lender’s Class A and Class B interests, pro rata, based on the outstanding principal amount thereof on such Settlement Date. It is understood and agreed that, notwithstanding anything in the Credit and Security Agreement to the contrary, (i) none of the Borrower, the Servicer, the Administrative Agent or any other Secured Party shall be responsible for the calculation of any amounts due to any Tranched Loan Lender’s Class A interest or Class B interest, or the outstanding amount of any Tranched Loan Lender’s Class A interest or Class B interest, and such amounts shall not appear on any Weekly Report, Monthly Report or other report provided by the Administrative Agent, the Servicer or the Borrower and (ii) the Servicer shall send one combined payment to the Atlantic Group Agent for all amounts due to any Lender in the Atlantic Group in accordance with the Credit and Security Agreement.


 
EXHIBIT 1.2.2 FORM OF LC APPLICATION


 


 


 


 
EXHIBIT 2.1 FORM OF BORROWING REQUEST Quest Diagnostics Receivables Inc. BORROWING REQUEST For Borrowing of an-Advance on __________________ PNC Bank, National Association, as PNC Group Agent The Towers at PNC Plaza 300 5th Avenue Pittsburgh, PA 15222 Attention: abfadmin@pnc.com and MUFG Bank, Ltd. (f/k/a The Bank of Tokyo-Mitsubishi UFJ, Ltd.), as Gotham Agent 1221 Avenue of the Americas New York, New York 10020-1104 USA Attention: Securitization Group, Email: Securitization_reporting@us.mufg.jp and Crédit Agricole Corporate and Investment Bank, as Atlantic Agent 1301 Avenue of the Americas – 17th Floor New York, NY 10019 Attention: DCM Securitization - Americas Email: Conduitsec@ca-cib.com; Conduit.funding@ca-cib.com Ladies and Gentlemen: Reference is made to the Sixth Amended and Restated Credit and Security Agreement dated as of October 27, 2017 (as amended, supplemented or otherwise modified from time to time, the “Credit Agreement”) among Quest Diagnostics Receivables Inc. (the “Borrower”), Quest Diagnostics Incorporated, as initial Servicer, the Lenders, the LC Issuer and Co-Agents from time to time party thereto, and PNC Bank, National Association, as Administrative Agent. Capitalized terms defined in the Credit Agreement are used herein with the same meanings. 1. The [Servicer, on behalf of the] Borrower hereby certifies, represents and warrants to the Agents and the Lenders that on and as of the Borrowing Date (as hereinafter defined): (a) all applicable conditions precedent set forth in Section 5 of the Credit Agreement have been satisfied; (b) each of its representations and warranties contained in Section 6 of the Credit Agreement will be true and correct, in all material respects, as if made on and as of the Borrowing Date; [Different first page link-to-previous setting changed from on in original to off in modified.].


 
(c) no event will have occurred and is continuing, or would result from the requested Advance, that constitutes an Event of Default or Unmatured Default; (d) the Termination Date has not occurred; and (e) after giving effect to the Loans comprising the Advance requested below, PNC’s Loans at any one time outstanding will not exceed the PNC Allocation Limit, the Atlantic Group’s Loan at any one time outstanding will not exceed the Atlantic Allocation Limit and the Gotham Group’s Loans at any one time outstanding will not exceed the Gotham Allocation Limit. 2. The [Servicer, on behalf of the] Borrower hereby requests that the Conduits (or their respective Liquidity Banks) make an Advance on _________, _____ (the “Borrowing Date”) as follows: (a) Aggregate Amount of such Advance: $___________ (i) PNC Group’s Commitment Percentage of Advance: $___________ (ii) Atlantic Group’s Commitment Percentage of Advance: $___________ (iii) Gotham Group’s Commitment Percentage of Advance: $___________ (b) Interest Rate Requested: [Adjusted Daily One Month Term SOFR][Adjusted Daily Three Month Term SOFR] (for PNC) and CP Rate (unless you advise the Borrower that a Liquidity Funding will be made for any Conduit, in which case the [Servicer on behalf of the] Borrower requests that the applicable Liquidity Banks make an Alternate Base Rate Loan that converts into a Term SOFR Loan with an Interest Period approximately equal to the CP Tranche Period specified below on the third Business Day after the Borrowing Date). (c) CP Tranche Period Requested: Accrual Period for Pool Funded Conduits; otherwise, ________ days 3. Please disburse the proceeds of the Loans as follows: (i) PNC Group: [Apply $________ to payment of Principal and Interest of existing Loans due on the Borrowing Date]. [Apply $______ to payment of fees due on the Borrowing Date]. [Wire transfer $________ to account no. ________ at ___________ Bank, in [city, state], ABA No. ________, Reference: ________]; (ii) Atlantic Group: [Apply $________ to payment of Principal and Interest of existing Loans due on the Borrowing Date]. [Apply $______ to payment of fees due on the Borrowing Date]. [Wire transfer $________ to account no. ________ at ___________ Bank, in [city, state], ABA No. ________, Reference: ________]; and (iii) Gotham Group: [Apply $________ to payment of Principal and Interest of existing Loans due on the Borrowing Date]. [Apply $______ to payment of fees due on the Borrowing Date]. [Wire transfer $________ to account no. ________ at ___________ Bank, in [city, state], ABA No. ________, Reference: ________].


 
IN WITNESS WHEREOF, the [Servicer, on behalf of the] Borrower has caused this Borrowing Request to be executed and delivered as of this ____ day of _________, _____. [_____________________, as Servicer, on behalf of:] QUEST DIAGNOSTICS RECEIVABLES INC., as Borrower By: Name: Title:


 
EXHIBIT 2.5(G) FORM OF TAX CERTIFICATE Reference is hereby made to [the Sixth Amended and Restated Credit and Security Agreement] ( “Credit and Security Agreement”). Pursuant to the provisions of Section 2.5(g) of the Credit and Security Agreement, the undersigned hereby certifies that: (A) [in the case of a foreign Lender that is not a partnership for U.S. Federal income tax purposes, (i) it is the sole record and beneficial owner of the Loan(s) (as well as any note(s) evidencing such Loan(s)) in respect of which it is providing this certificate, (ii) it is not a bank within the meaning of Section 881(c)(3)(A) of the Code, (iii) it is not a ten percent shareholder of the Borrower within the meaning of Section 871(h)(3)(B) of the Code, (iv) it is not a controlled foreign corporation related to the Borrower as described in Section 881(c)(3)(C) of the Code and (v) the interest payments in question are not effectively connected with the undersigned’s conduct of a U.S. trade or business.] (B) [in the case of a foreign Lender that is a partnership for U.S. Federal income tax purposes, (i) it is the sole record owner of the Loan(s) (as well as any note(s) evidencing such Loan(s)) in respect of which it is providing this certificate, (ii) its partners/members are the sole beneficial owners of the Loan(s) (as well as any note(s) evidencing such Loan(s)), (iii) with respect to the extension of credit pursuant to this Agreement, neither the undersigned nor any of its partners/members is a bank extending credit pursuant to a loan agreement entered into in the ordinary course of its trade or business within the meaning of Section 881(c)(3)(A) of the Code, (iv) none of its partners/member is a ten percent shareholder of the Borrower within the meaning of Section 871(h)(3)(B) of the Code, (v) none of its partners/members is a controlled foreign corporation related to the Borrower as described in Section 881(c)(3)(C) of the Code and (vi) the interest payments in question are not effectively connected with the undersigned’s or its partners/members’ conduct of a U.S. trade or business.] The undersigned has furnished the Administrative Agent with a certificate of its non-U.S. person status on IRS Form W-8BEN or IRS Form W-8BEN-E, as applicable, or, in the case of a foreign Lender that is a partnership, an IRS Form W-8IMY accompanied by an IRS Form W-8BEN or IRS Form W-8BEN-E, as applicable, from each of its partners/members claiming the portfolio interest exemption. By executing this certificate, the undersigned agrees that if the information provided on this certificate changes, the undersigned shall promptly so inform the Administrative Agent. Unless otherwise defined herein, terms defined in the Credit and Security Agreement and used herein shall have the meanings given to them in the Credit and Security Agreement. [SIGNATURE BLOCK]


 
EXHIBIT 2.8(a)-1 FORM OF DRAW NOTICE NOTICE OF LC DRAWING [Date] Quest Diagnostics Receivables, Inc. 500 Plaza Drive Secaucus, NJ 07094 Attention: Re: PNC Bank, National Association’s Standby Letter of Credit No. __________, dated ______________, issued for your account in favor of _____________________________ (the “Letter of Credit”) Ladies and Gentlemen: Reference is hereby made to the Sixth Amended and Restated Credit and Security Agreement dated as of October 27, 2017 (as amended, supplemented or otherwise modified from time to time, the “Credit Agreement”) among Quest Diagnostics Receivables Inc. (the “Borrower”), Quest Diagnostics Incorporated, as initial Servicer, the Lenders and Co-Agents from time to time party thereto, PNC Bank, National Association, as LC Issuer (the “LC Issuer”) and PNC Bank, National Association, as Administrative Agent. Capitalized terms defined in the Credit Agreement are used herein with the same meanings. 1. The LC Issuer hereby advises you that the above-described Letter of Credit was drawn in the amount of $_____________ (the “Drawing Amount”) on ___________, 20__ (the “Drawing”). The LC Issuer intends to honor the Drawing on _____________________, 20__. 2. The LC Issuer hereby demands reimbursement of the Drawing Amount by not later than 10:00 a.m. (New York City time) on _____________________, 20__ (the “Reimbursement Date”) by wire transfer of immediately available funds to account no. _______________ in the name of ________________, at PNC Bank, National Association, in [city, state], ABA No. ________________, Ref: Standby LC No. ___________________, Quest Diagnostics Receivables, Inc.


 
Very truly yours, PNC BANK, NATIONAL ASSOCIATION, as LC Issuer By: ______________________________________________ Name: Title: cc: Co-Agents


 
EXHIBIT 2.8(a)-2 FORM OF LC ADVANCE NOTICE LC ADVANCE NOTICE [Date] PNC Bank, National Association, as PNC Group Agent The Towers at PNC Plaza 300 5th Avenue Pittsburgh, PA 15222 Attention: abfadmin@pnc.com and MUFG Bank, Ltd. (f/k/a The Bank of Tokyo-Mitsubishi UFJ, Ltd.), as Gotham Agent 1221 Avenue of the Americas New York, New York 10020-1104 USA Attention: Securitization Group, Email: Securitization_reporting@us.mufg.jp and Crédit Agricole Corporate and Investment Bank, as Atlantic Agent 1301 Avenue of the Americas – 17th Floor New York, NY 10019 Attention: DCM Securitization - Americas Email: Conduitsec@ca-cib.com; Conduit.funding@ca-cib.com Ladies and Gentlemen: Reference is hereby made to the Sixth Amended and Restated Credit and Security Agreement dated as of October 27, 2017 (as amended, supplemented or otherwise modified from time to time, the “Credit Agreement”) among Quest Diagnostics Receivables Inc. (the “Borrower”), Quest Diagnostics Incorporated, as initial Servicer, the Lenders and Co-Agents from time to time party thereto, PNC Bank, National Association, as LC Issuer (the “LC Issuer”) and PNC Bank, National Association, as Administrative Agent. Capitalized terms defined in the Credit Agreement are used herein with the same meanings. 1. The LC Issuer hereby advises you that its Standby Letter of Credit No. __________, dated ______________, issued for the account of the Borrower in favor of _____________________________ (the “Letter of Credit”) was drawn in the amount of $_____________ on ___________, 20__ (the “Drawing”). 2. The Drawing has not been reimbursed by the Borrower.


 
3. Accordingly, you are hereby requested to fund the following LC Advance on _________, _____ (the “Borrowing Date”) as follows: (a) Aggregate Amount of such LC Advance: $_____________ (i) PNC Group’s LC Sublimit Percentage of LC Advance: $___________ (ii) Atlantic Group’s LC Sublimit Percentage of LC Advance: $___________ (iii) Gotham Group’s LC Sublimit Percentage of LC Advance: $___________ (b) Interest Rate Requested: [Adjusted Daily One Month Term SOFR][Adjusted Daily Three Month Term SOFR] (for PNC) and CP Rate (unless you advise the Borrower that a Liquidity Funding will be made for any Conduit, in which case the LC Issuer requests that the applicable Liquidity Banks make an Alternate Base Rate Loan that converts into a Term SOFR Loan with an Interest Period approximately equal to the CP Tranche Period specified below on the third Business Day after the Borrowing Date). (c) CP Tranche Period Requested: Accrual Period for Pool Funded Conduits; otherwise, ________ days. 4. Please disburse the proceeds of your LC Loans directly to account no. _______________ in the name of ________________, at PNC Bank, National Association, in [city, state], ABA No. ________________, Ref: Standby LC No. ___________________, Quest Diagnostics Receivables, Inc. Very truly yours, PNC BANK, NATIONAL ASSOCIATION, as LC Issuer By: ______________________________________________ Name: Title: cc: Quest Diagnostics Receivables, Inc.


 
EXHIBIT 3.1(A) FORM OF MONTHLY REPORT


 


 


 
EXHIBIT 3.1(b) FORM OF WEEKLY REPORT WEEK ENDED CASH COLLECTIONS REQUISITIONS RECEIVED


 
SCHEDULE 6.1(N)1 FEDERAL TAXPAYER ID NUMBER, CHIEF EXECUTIVE OFFICE, PRINCIPAL PLACE(S) OF BUSINESS AND OTHER RECORDS LOCATION(S) A. Borrower’s FEIN, Chief Executive Office, Principal Place of Place of Business Federal Taxpayer I.D. No.: 22-3695703 Chief Executive Office: 500 Plaza Drive Secaucus, NJ 07094 Principal Place of Business: 500 Plaza Drive Secaucus, NJ 07094 Records Locations: Above addresses plus the Originators’ addresses listed in Part B below. B. Originators’ Prior and DBA Names, FEINs and Locations of Records 1 The companies may also utilize other third-party secured warehouse facilities and digital record keeping capabilities in accordance with the company’s document retention and security policies.


 
Location of Records Federal EIN Legal Name of Seller/Originatori Fictitious Name Prior Legal Nameii (DBA) 27027 Tourney Road Valencia, CA 913558401 Fallbrook Avenue West Hills, CA 91304 8401 Fallbrook Avenue West Hills, CA 91304 95-2701802 Quest Diagnostics Nichols Institute (CA) 71-0897031 Unilab Corporation (DE) Nichols Institute Quest Diagnostics Infectious Disease, Inc. (DE)—merged into Quest Diagnostics Nichols Institute (CA) Quest Diagnostics N/A 27027 Tourney Road Valencia, CA 91355- 53868401 Fallbrook Avenue West Hills, CA 91304 95-2961036 Specialty Laboratories, Inc. (CA) Quest Diagnostics N/A Nichols Institute of Valencia, Inc. 200 Forest Street Marlborough, MA 01752 1001 Adams Avenue Norristown, PA 19403 1355 Mittel Blvd. Wood Dale, IL 60191 06-1460613 Quest Diagnostics LLC (CT) 38-2084239 Quest Diagnostics Clinical Laboratories, Inc. (DE) 36-4257926 Quest Diagnostics LLC (IL) N/A N/A N/A N/A N/A N/A 10101 Renner Blvd. Lenexa, KS 66219 43-1039532 LabOne, LLC (MO) Quest Diagnostics 304126645v2


 
Location of Records Federal EIN Legal Name of Seller/Originatoriii Fictitious Name Prior Legal Nameiv (DBA) 200 Forest Street Marlborough, MA 01752 31-1805826 Blueprint Genetics Inc. (DE) Athena Diagnostics Athena Diagnostics, Inc. (name change after Blueprint Genetics Inc.v merged into Athena) 200 Forest Street Marlborough, MA 01752 04-3248020 Quest Diagnostics LLC (MA) Quest Diagnostics N/A of Connecticut LLC 1 Insights Drive Clifton, NJ 07012 1355 Mittel Blvd Wood Dale, IL 60191 10101 Renner Blvd. Lenexa, KS 66219 52-0890739 Quest Diagnostics Incorporated (MD) 38-2084239 Quest Diagnostics Clinical Laboratories, Inc. (DE) 20-1908041 Quest Diagnostics Health and Wellness LLC (DE) N/A N/A N/A Quest Diagnostics Incorporated (MI) (merged into QDCL) Summit Health, Inc. (this was a change of name and entity type) 1 Insights Drive Clifton, NJ 07012 4380 Federal Drive, Suite 100 Greensboro, NC 27410 4230 Burnham Avenue Las Vegas, NV 89119 1355 Mittel Blvd Wood Dale, IL 60191 4690 Parkway Drive Mason, OH 45040 16-1387862 Quest Diagnostics Incorporated (DE) vi 38-2084239 Quest Diagnostics Clinical Laboratories, Inc. (DE) 88-0099333 Quest Diagnostics Incorporated (NV) 20-0310967 LabOne of Ohio, Inc. (DE) 38-2084239 Quest Diagnostics Clinical Laboratories, Inc. (DE) QDI Delaware Incorporated Solstas Lab Partners Solstas Lab Partners Group Quest Diagnostics Incorporated of Nevada Quest Diagnostics LabOne Quest Diagnostics N/A Solstas Lab Partners, LLC and Solstas Lab Partners Group, LLC (merged into QDCL) N/A N/A MedPlus, Inc. (OH) (merged into QDCL) 4 Parkway Center 875 Greentree Road Pittsburgh, PA 15220 22-3137283 Quest Diagnostics N/A N/A of Pennsylvania Inc. (DE) 14225 Newbrook Drive Chantilly, VA 20153 54-0854787 Quest Diagnostics Nichols Institute, Inc. (VA) Nichols Institute N/A 2 304126645v2


 
10101 Renner Blvd. 23-2057350 Lenexa, KS 66219 ExamOne World N/A N/A Wide, Inc. (PA) 2560 N. Shadeland Avenue Indianapolis, IN 46219 1355 Mittel Blvd Wood Dale, IL 60191 200 Forest Street Marlborough, MA 01752 38-2084239 Quest Diagnostics Clinical Laboratories, Inc. (DE) 26-2679473 Reprosource Fertility Diagnostics, Inc. (MA) N/A Mid America Clinical Laboratories, LLC (IN) (merged into QDCL) i State designations represent the states in which entity is incorporated or organized. These designations are not part of the legal corporate name, but are included here for reference purposes only. ii No prior legal names within the past five years. iii State designations represent the states in which entity is incorporated or organized. These designations are not part of the legal corporate name, but are included here for reference purposes only. iv No prior legal names within the past five years. v Upon merger of Blueprint Genetics, Inc. (FEIN: 37-1768269) into Athena Diagnostics, Inc., Seattle location closed. vi Corporate office located at 500 Plaza Drive, Secaucus, NJ 07094. 3 304126645v2


 


 
EXHIBIT B TO AMENDMENT NO. 12 SIXTH AMENDED AND RESTATED CREDIT AND SECURITY AGREEMENT DATED AS OF OCTOBER 27, 2017 (AS AMENDED BY THAT CERTAIN AMENDMENT NO. 1 TO SIXTH AMENDED AND RESTATED CREDIT AND SECURITY AGREEMENT, DATED AS OF OCTOBER 26, 2018, THAT CERTAIN AMENDMENT NO. 2 TO SIXTH AMENDED AND RESTATED CREDIT AND SECURITY AGREEMENT, DATED AS OF JUNE 14, 2019, THAT CERTAIN AMENDMENT NO. 3 TO SIXTH AMENDED AND RESTATED CREDIT AND SECURITY AGREEMENT, DATED AS OF OCTOBER 25, 2019, THAT CERTAIN AMENDMENT NO. 4 TO SIXTH AMENDED AND RESTATED CREDIT AND SECURITY AGREEMENT, DATED AS OF OCTOBER 22, 2020, AMENDMENT NO. 5 DATED AS OF AUGUST 13, 2021, AMENDMENT NO. 6 DATED AS OF OCTOBER 21, 2021, AMENDMENT NO. 7 DATED AS OF OCTOBER 20, 2022, AMENDMENT NO. 8 DATED AS OF OCTOBER 19, 2023, AMENDMENT NO. 9 DATED AS OF AUGUST 8, 2024, AMENDMENT NO. 10 DATED AS OF NOVEMBER 20, 2024, AND AMENDMENT NO. 11 DATED AS OF APRIL 30, 2025) AMONG QUEST DIAGNOSTICS RECEIVABLES INC., AS BORROWER, QUEST DIAGNOSTICS INCORPORATED, AS INITIAL SERVICER, GOTHAM FUNDING CORPORATION, ATLANTIC ASSET SECURITIZATION LLC, CRÉDIT AGRICOLE CORPORATE AND INVESTMENT BANK, INDIVIDUALLY AND AS ATLANTIC GROUP AGENT, MUFG BANK, LTD., INDIVIDUALLY AND AS GOTHAM AGENT PNC BANK, NATIONAL ASSOCIATION, INDIVIDUALLY, AS PNC GROUP AGENT, AS LC ISSUER AND AS ADMINISTRATIVE AGENT AND PNC CAPITAL MARKETS LLC, AS STRUCTURING AGENT


 
TABLE OF CONTENTS Page ARTICLE I. THE CREDIT Section 1.1 The Facility .......................................................................................................................... 2 Section 1.2 Funding Mechanics; Liquidity Fundings .............................................................................. 4 Section 1.3 Interest ................................................................................................................................ 5 Section 1.4 Repayment of the Advances ............................................................................................... 6 Section 1.5 Voluntary and Mandatory Prepayments ............................................................................ 6 Section 1.6 Reductions in Commitments............................................................................................... 7 Section 1.7 Distribution of Certain Notices; Notification of Interest Rates .......................................... 8 Section 1.8 Absence of Notes ................................................................................................................ 8 Section 1.9 Acknowledgement and Consent to Bail-In of EEA Financial Institutions ............................ 8 Section 1.10 Rates ................................................................................................................................... 9 ARTICLE II. BORROWING, LETTER OF CREDIT AND PAYMENT MECHANICS; CERTAIN COMPUTATIONS Section 2.1 Method of Borrowing ......................................................................................................... 9 Section 2.2 Selection of CP Tranche Periods and Interest Periods ...................................................... 10 Section 2.3 Computation of Concentration Limits and Unpaid Net Balance ...................................... 11 Section 2.4 Maximum Interest Rate .................................................................................................... 11 Section 2.5 Payments and Computations, Etc ..................................................................................... 11 Section 2.6 Non-Receipt of Funds by the Co-Agents ........................................................................... 14 Section 2.7 Letters of Credit ................................................................................................................ 14 Section 2.8 Disbursements, Reimbursements and LC Advances ......................................................... 16 Section 2.9 Additional Letter of Credit Provisions; LC Collateral Account .......................................... 17 Section 2.10 Documentation and LC Processing Fees ........................................................................... 17 Section 2.11 Determination to Honor Drawing Request ....................................................................... 18 Section 2.12 Nature of Participation and LC Reimbursement Obligations............................................ 18 Section 2.13 Liability for Acts and Omissions ........................................................................................ 19 Section 2.14 Intended Tax Treatment ................................................................................................... 21 ARTICLE III. SETTLEMENTS Section 3.1 Reporting .......................................................................................................................... 21 Section 3.2 Turnover of Collections; Pre-Termination Waterfall ........................................................ 21 Section 3.3 Non-Distribution of Servicer’s Fee .................................................................................... 23 Section 3.4 Deemed Collections .......................................................................................................... 23 Section 3.5 Release of Excess Cash Collateral ..................................................................................... 24


 
ARTICLE IV. FEES AND YIELD PROTECTION Section 4.1 Fees ................................................................................................................................... 24 Section 4.2 Yield Protection ................................................................................................................. 24 Section 4.3 Funding Losses .................................................................................................................. 26 Section 4.4 Inability to Determine Rates ............................................................................................. 26 Section 4.5 Illegality ............................................................................................................................. 27 Section 4.6 Benchmark Setting ............................................................................................................ 28 ARTICLE V. CONDITIONS PRECEDENT Section 5.1 [Intentionally Deleted] ...................................................................................................... 29 Section 5.2 Conditions Precedent to All Credit Events ........................................................................ 29 ARTICLE VI. REPRESENTATIONS AND WARRANTIES Section 6.1 Representations and Warranties of Loan Parties ............................................................. 30 ARTICLE VII. GENERAL COVENANTS OF LOAN PARTIES Section 7.1 Affirmative Covenants of Loan Parties ............................................................................. 37 Section 7.2 Reporting Requirements of Loan Parties .......................................................................... 39 Section 7.3 Negative Covenants of Loan Parties ................................................................................. 41 Section 7.4 Separate Existence of the Borrower ................................................................................. 43 ARTICLE VIII. ADMINISTRATION AND COLLECTION Section 8.1 Designation of Servicer ..................................................................................................... 45 Section 8.2 Duties of Servicer .............................................................................................................. 46 Section 8.3 Rights of the Agents .......................................................................................................... 47 Section 8.4 Responsibilities of Loan Parties ........................................................................................ 48 Section 8.5 Further Action Evidencing the Security Interest ............................................................... 48 Section 8.6 Application of Collections ................................................................................................. 49 ARTICLE IX. SECURITY INTEREST Section 9.1 Grant of Security Interest ................................................................................................. 49 Section 9.2 Termination after Final Payout Date ................................................................................ 49 Section 9.3 Limitation on Rights to Collateral Proceeds...................................................................... 49 ii


 
ARTICLE X. EVENTS OF DEFAULT Section 10.1 Events of Default ............................................................................................................... 49 Section 10.2 Remedies .......................................................................................................................... 52 Section 10.3 Amortization Waterfall ..................................................................................................... 52 ARTICLE XI. THE AGENTS Section 11.1 Appointment ..................................................................................................................... 53 Section 11.2 Delegation of Duties ......................................................................................................... 54 Section 11.3 Exculpatory Provisions ...................................................................................................... 54 Section 11.4 Reliance by Agents ............................................................................................................ 54 Section 11.5 Notice of Events of Default ............................................................................................... 55 Section 11.6 Non-Reliance on Other Agents and Lenders ..................................................................... 55 Section 11.7 Indemnification of Agents................................................................................................. 55 Section 11.8 Agents and LC Issuer in their Individual Capacities .......................................................... 56 Section 11.9 No Other Duties of Structuring Agent. ............................................................................. 56 Section 11.10 Conflict Waivers. ............................................................................................................... 56 Section 11.11 UCC Filings......................................................................................................................... 56 Section 11.12 Erroneous Payments ......................................................................................................... 57 ARTICLE XII. ASSIGNMENTS AND PARTICIPATIONS Section 12.1 Restrictions on Assignments, Etc ...................................................................................... 59 Section 12.2 Rights of Assignees and Participants ................................................................................ 60 Section 12.3 Terms and Evidence of Assignment .................................................................................. 61 ARTICLE XIII. INDEMNIFICATION Section 13.1 Indemnities by the Borrower ............................................................................................ 61 Section 13.2 Indemnities by Servicer..................................................................................................... 64 Section 13.3 FATCA ................................................................................................................................ 64 ARTICLE XIV. MISCELLANEOUS Section 14.1 Amendments, Etc. ............................................................................................................. 65 Section 14.2 Notices, Etc. ...................................................................................................................... 66 Section 14.3 No Waiver; Remedies ....................................................................................................... 66 Section 14.4 Binding Effect; Survival ..................................................................................................... 66 Section 14.5 Costs, Expenses and Stamp Taxes ..................................................................................... 66 Section 14.6 No Proceedings ................................................................................................................. 67 Section 14.7 Confidentiality of Borrower Information .......................................................................... 67 Section 14.8 Confidentiality of Program Information ........................................................................... 68 Section 14.9 Captions and Cross References ......................................................................................... 69 iii


 
Section 14.10 Integration ........................................................................................................................ 69 Section 14.11 Governing Law .................................................................................................................. 69 Section 14.12 Waiver Of Jury Trial ........................................................................................................... 70 Section 14.13 Consent To Jurisdiction; Waiver Of Immunities ............................................................... 70 Section 14.14 Business Associate Agreement; Health Care Data Privacy and Security Requirements .................................................................................................................... 70 Section 14.15 Execution in Counterparts ................................................................................................ 72 Section 14.16 No Recourse Against Other Parties................................................................................... 72 Section 14.17 PATRIOT Act ...................................................................................................................... 72 Section 14.18 Defaulting Lenders ............................................................................................................ 73 ANNEXES, EXHIBITS AND SCHEDULES ANNEX A DEFINITIONS ANNEX B COMMITMENTS AND SHARES OF LC SUBLIMIT ANNEX C TRANCHED LOAN LENDERS EXHIBIT 1.2.2 FORM OF LC APPLICATION EXHIBIT 2.1 FORM OF BORROWING REQUEST Exhibit 2.5(g) FORM OF TAX CERTIFICATE Exhibit 2.8(a)-1 FORM OF DRAW NOTICE Exhibit 2.8(a)-2 FORM OF LC ADVANCE NOTICE EXHIBIT 3.1(a) FORM OF MONTHLY REPORT SCHEDULE 6.1(n) FEDERAL TAXPAYER ID NUMBER, CHIEF EXECUTIVE OFFICE, PRINCIPAL PLACE(S) OF BUSINESS AND OTHER RECORDS LOCATION(S) iv


 
SIXTH AMENDED AND RESTATED CREDIT AND SECURITY AGREEMENT THIS SIXTH AMENDED AND RESTATED CREDIT AND SECURITY AGREEMENT is entered into as of October 27, 2017, by and among: (1) QUEST DIAGNOSTICS RECEIVABLES INC., a Delaware corporation (together with its successors and permitted assigns, the “Borrower”), (2) QUEST DIAGNOSTICS INCORPORATED, a Delaware corporation (together with its successors, “Quest Diagnostics”), as initial servicer hereunder (in such capacity, together with any successor servicer or sub-servicer appointed pursuant to Section 8.1, the “Servicer”), (3) PNC BANK, NATIONAL ASSOCIATION, in its individual capacity as a Lender (together with its successors, “PNC” or the “PNC Group”), (4) GOTHAM FUNDING CORPORATION, a Delaware corporation (together with its successors, “Gotham”), and MUFG BANK, LTD., in its capacity as a Liquidity Bank to Gotham (together with its successors, “MUFG” and, together with Gotham, the “Gotham Group”), (5) ATLANTIC ASSET SECURITIZATION LLC, a Delaware limited liability company (together with its successors, “Atlantic”), and CRÉDIT AGRICOLE CORPORATE AND INVESTMENT BANK, in its capacity as a Liquidity Bank to Atlantic (together with its successors, “CACIB” and, together with Atlantic, the “Atlantic Group”), (6) PNC BANK, NATIONAL ASSOCIATION, in its capacity as agent for the PNC Group (together with its successors in such capacity, the “PNC Group Agent” or a “Co-Agent”), CRÉDIT AGRICOLE CORPORATE AND INVESTMENT BANK, in its capacity as agent for the Atlantic Group (together with its successors in such capacity, the “Atlantic Group Agent” or a “Co-Agent”), and MUFG BANK, LTD., in its capacity as agent for the Gotham Group (together with its successors in such capacity, the “Gotham Agent” or a “Co- Agent”), (7) PNC BANK, NATIONAL ASSOCIATION, in its capacity as Letter of Credit issuer (together with its successors in such capacity, the “LC Issuer”), (8) PNC CAPITAL MARKETS LLC (“PNCCM”), in its capacity as structuring agent for this Amendment (in such capacity, the “Structuring Agent”), and (9) PNC BANK, NATIONAL ASSOCIATION, as successor administrative agent for the Atlantic Group, the PNC Group, the Gotham Group, the LC Issuer and the Co-Agents (in such capacity, together with any successors thereto in such capacity, the “Administrative Agent” and together with each of the Co-Agents, the “Agents”), and amends and restates in its entirety that certain Fifth Amended and Restated Credit and Security Agreement dated as of October 28, 2015 by and among the parties hereto (other than the LC Issuer), as amended from time to time prior to the date hereof (the “Existing Agreement”). Unless otherwise indicated, capitalized terms used in this Agreement are defined in Annex A. 1


 
W I T N E S S E T H : WHEREAS, the Borrower is a wholly-owned direct subsidiary of Quest Diagnostics; WHEREAS, Quest Diagnostics and certain of its Subsidiaries as Originators and the Borrower have entered into the Sale Agreement pursuant to which each of the Originators has sold and/or contributed, and hereafter will sell to the Borrower, Participation Interests in all of such Originator’s right title and interest in and to its Specified Government Receivables, all of such Originator’s right, title and interest in and to its Private Receivables and certain related rights; WHEREAS, pursuant to the Existing Agreement, the Groups committed to make Loans to the Borrower from time to time secured by the Collateral, and Quest Diagnostics agreed to act as Servicer; WHEREAS, in addition to the Loans, the Borrower may from time to time hereafter request the LC Issuer to issue Letters of Credit, and the LC Issuer has agreed, subject to the terms and conditions contained in this Agreement, to issue such Letters of Credit; and WHEREAS, the parties wish to amend and restate the Existing Agreement in its entirety, on the terms and subject to the conditions hereinafter set forth; NOW, THEREFORE, in consideration of the premises and the mutual agreements herein contained, the parties hereto agree as follows: ARTICLE I. THE CREDIT Section 1.1 The Facility.¶ 1.1.1. Advances. On the terms and subject to the conditions set forth in this Agreement, the Borrower (or the Servicer, on the Borrower’s behalf) may from time to time prior to the Commitment Expiry Date request Advances by delivering a Borrowing Request to the Co-Agents in accordance with Section 2.1. Upon receipt of a copy of each Borrowing Request from the Borrower or Servicer, each applicable Co-Agent shall determine whether its Conduit will fund a Loan in an amount equal to the portion of the requested Advance specified in such Borrowing Request, and (a) PNC severally agrees to make a Loan to the Borrower in an amount equal to its Group’s Commitment Percentage of the requested Advance on the terms and subject to the conditions hereof, provided that at no time may the aggregate Principal amount of PNC’s Credit Exposure at any one time outstanding exceed the amount of PNC’s Commitment, and (ii) the PNC Group’s Commitment Percentage of the Borrowing Base (such lesser amount, the “PNC Allocation Limit”); (b) in the event that Gotham elects not to make a Loan to the Borrower in an amount equal to its Group’s Commitment Percentage of the requested Advance, the Gotham Agent shall promptly notify the Borrower and, unless the Borrower cancels its Borrowing Request, each of the Liquidity Banks in the Gotham Group severally agrees to make its Pro Rata Share of such Loan to the Borrower on the terms and subject to the conditions hereof, provided that at no time may the aggregate Principal amount of Gotham’s and its Liquidity Banks’ Credit Exposure at any one time outstanding exceed the lesser of (i) the 2


 
aggregate amount of the Gotham Liquidity Banks’ Commitments, and (ii) the Gotham Group’s Commitment Percentage of the Borrowing Base (such lesser amount, the “Gotham Allocation Limit”); and (c) in the event that Atlantic elects not to make a Loan to the Borrower in an amount equal to its Group’s Commitment Percentage of the requested Advance, the Atlantic Agent shall promptly notify the Borrower and, unless the Borrower cancels its Borrowing Request, each of the Liquidity Banks in the Atlantic Group severally agrees to make its Pro Rata Share of such Loan to the Borrower on the terms and subject to the conditions hereof, provided that at no time may the aggregate Principal amount of Atlantic’s and its Liquidity Banks’ Credit Exposure at any one time outstanding exceed the lesser of (i) the aggregate amount of the Atlantic Liquidity Banks’ Commitments, and (ii) the Atlantic Group’s Commitment Percentage of the Borrowing Base (such lesser amount, the “Atlantic Allocation Limit”); Each Loan (other than an LC Loan) shall be in the minimum amount of $1,000,000 or a larger integral multiple of $500,000. 1.1.2. Letters of Credit. On the terms and subject to the conditions set forth in this Agreement, the Borrower (or the Servicer, on the Borrower’s behalf) may from time to time prior to the Commitment Expiry Date request that the LC Issuer issue Letters of Credit for the account of the Borrower, and from time to time upon receipt of a duly executed and completed LC Application, the LC Issuer hereby agrees to issue Letters of Credit and to renew, extend, increase, decrease or otherwise modify each Letter of Credit (“Modify,” and each such action a “Modification”); provided that no Letter of Credit shall be issued or Modified by the LC Issuer if, after giving effect thereto, (a) the LC Obligations would exceed the LC Sublimit, or (b) the Aggregate Credit Exposure would exceed the lesser of (i) the Aggregate Commitment and (ii) the Borrowing Base; and provided, further, that each Letter of Credit issued pursuant to this Section 1.1.2 shall have a face amount of not less than $5,000. On any date of determination, the LC Obligations, whether still contingent or due and payable but unpaid, will constitute usage of the LC Sublimit and, accordingly, the Aggregate Commitment. 1.1.3. Aggregate Credit Exposure; Termination of Commitments; Uncommitted Accordion; Collateral. (a) In no event may the Aggregate Credit Exposure hereunder exceed the lesser of (i) the Aggregate Commitment, or (ii) the Borrowing Base. (b) Each Commitment shall terminate on the earlier to occur of (i) the Commitment Expiry Date and (ii) the Termination Date. (c) Not more than twice during the period from and after November 20, 2025 and prior to the earlier to occur of the Commitment Expiry Date and the Termination Date, provided that no Event of Default or Unmatured Default exists and is continuing, the Borrower (or the Servicer, on the Borrower’s behalf) may request an increase in the Aggregate Commitment in an aggregate amount during such period not to exceed $200,000,000 across all Groups by delivering not less than three (3) weeks’ prior written notice to the Co-Agents specifying (i) the aggregate amount of the requested increase (the “Aggregate Requested Increase”), (ii) each Group’s Commitment Percentage of the Aggregate Requested Increase (each, a “Group’s Requested Increase”), and (iii) each Committed Lender’s Pro Rata Share of its Group’s Requested Increase (each, a “Committed Lender’s 3


 
Increase Amount”). Upon receipt of a written request complying with the preceding sentence, each of the Co-Agents will promptly deliver a copy of such request to the Committed Lender(s) in its Group, and each such Committed Lender will promptly seek credit approval to increase its Commitment in an amount equal to such Committed Lender’s Increase Amount; provided, however, that nothing herein shall be deemed to constitute a commitment by any Lender to provide, or to obtain credit approval to provide, all or any portion of the Aggregate Requested Increase. If any Co-Agent notifies the Loan Parties and the Administrative Agent that any Committed Lender in its Group has obtained credit approval to increase its Commitment by an amount equal to such Committed Lender’s Increase Amount, such Committed Lender’s Commitment and the Aggregate Commitment will automatically increase by such Committed Lender’s Increase Amount on the Business Day at least five (5) Business Days but in any event no more than three (3) weeks after delivery of the request for such increase (unless otherwise approved by the Co-Agents) and at least 30 days prior to the Scheduled Termination Date. In no event will any increase in the Aggregate Commitment pursuant to this Section 1.1.3(c) result in any change to the LC Sublimit. If any Committed Lender declines to agree to increase its Commitment by its Committed Lender’s Increase Amount: (i) the Borrower may ask the Committed Lenders in the other Groups if they would like to increase their respective Committed Lender’s Increase Amounts by all or any portion of the declined amount; or (ii) the Borrower, upon notice to and consent of the Administrative Agent and the LC Issuer (which consent shall not be unreasonably withheld or delayed), may add a new Group that consists of at least one new Committed Lender willing to provide the declining Committed Lender’s Group Requested Increase, and/or replace the declining Committed Lender’s Group in its entirety with a new Group that consists of at least one new Committed Lender willing to provide a replacement Commitment equal to the sum of the replaced Group’s existing Commitment plus its Group Requested Amount. Any change in the Commitments or Groups pursuant to clause (i) or (ii) above will become effective on the first day of the calendar month following confirmation by the Administrative Agent that all documentation necessary to evidence such changes has been executed and delivered. (d) Each of the Loans, the LC Obligations and all other Obligations of the Borrower shall be secured by the Collateral as provided in Article IX. Section 1.2 Funding Mechanics; Liquidity Fundings¶. (a) Each Advance hereunder shall consist of Loans made by (i) Gotham and/or its Liquidity Bank(s), (ii) Atlantic and/or its Liquidity Bank(s), and (iii) PNC, and (except for any Advance which does not increase Aggregate Principal) shall be made in such proportions by each Group such that, after giving effect thereto, the aggregate outstanding Principal balance of the Loans outstanding from each Group shall be in proportion to such Group’s Commitment Percentage. Any Advance which does not increase the aggregate Principal amount outstanding may be funded solely by one or more of the members of each Group. (b) Each Lender funding any Loan (or portion thereof) shall wire transfer the Principal amount thereof to its applicable Co-Agent in immediately available funds not later than 12:00 noon (New York City time) on the applicable Borrowing Date and, subject to its receipt of such Loan proceeds, such Co- Agent shall wire transfer such funds (i) in the case of the proceeds of an LC Loan, to the account specified 4


 
by the LC Issuer, and (ii) in the case of the proceeds of a Loan, to the account specified by the Borrower in its Borrowing Request, in each of the foregoing cases, not later than 2:00 p.m. (New York City time) on such Borrowing Date. (c) While it is the intent of each of the Conduits to fund its respective Loans through the issuance of Commercial Paper Notes, the parties acknowledge that if any Conduit is unable, or determines that it is undesirable, to issue Commercial Paper Notes to fund all or any portion of its Loans at a CP Rate, or is unable to repay such Commercial Paper Notes upon the maturity thereof, such Conduit may sell all or any portion of its Loans (or interests therein) to its Liquidity Banks at any time pursuant to its Liquidity Agreement to finance or refinance the necessary portion of its Loans through a Liquidity Funding to the extent available. The Liquidity Fundings may be Alternate Base Rate Loans or Term SOFR Loans, or a combination thereof, selected by the Borrower in accordance with Article II. In addition, the parties acknowledge that Commercial Paper Notes are issued at a discount and at varying discount rates; accordingly, it may not be possible for all CP Rate Loans to be made in amounts precisely equal to the amounts specified in a Borrowing Request. Regardless of whether a Liquidity Funding constitutes an assignment of a Loan or the sale of one or more participations therein, each Liquidity Bank participating in a Liquidity Funding shall have the rights of a “Lender” hereunder with the same force and effect as if it had directly made a Loan to the Borrower in the amount of its Liquidity Funding. (d) Nothing herein shall be deemed to commit any Lender to make CP Rate Loans. Section 1.3 Interest¶. (a) Prior to the occurrence of an Event of Default and during the continuance thereof, each Loan shall bear interest at the applicable Interest Rate, payable in arrears on each Settlement Date. Notwithstanding the foregoing, upon the occurrence of an Event of Default and during the continuance thereof, all Obligations shall bear Interest, payable upon demand, at the Default Rate; provided that no Interest at the Default Rate shall accrue or be payable to a Defaulting Lender so long as such Lender shall be a Defaulting Lender. (b) Each Term SOFR Loan shall bear Interest on the outstanding Principal amount thereof from and including the first day of the Interest Period applicable thereto selected in accordance with Article II of this Agreement to (but not including) the last day of such Interest Period at a rate per annum equal to the applicable Adjusted Term SOFR rate for such Interest Period. (c) Each CP Rate Loan shall bear Interest on the outstanding Principal amount thereof from and including the first day of the CP Tranche Period applicable thereto selected in accordance with Article II of this Agreement to (but not including) the last day of such CP Tranche Period at the applicable CP Rate. On the 5th Business Day immediately preceding each Settlement Date, each Pool Funded Conduit shall calculate the aggregate amount of CP Costs for the applicable Accrual Period and shall notify the Borrower of its aggregate amount of such CP Costs which shall be payable on such Settlement Date. At any time while Gotham is not acting as Pool Funded Conduit, on the 5th Business Day immediately preceding each Settlement Date, the Gotham Agent shall calculate Gotham’s CP Rate and each shall notify Borrower of the aggregate amount of CP Costs which shall be payable on such Settlement Date. (d) Each Alternate Base Rate Loan and each Daily Term SOFR Loan, respectively, shall bear Interest on the outstanding Principal amount thereof, for each day from and including the date such Loan is made to but excluding the date it is paid at a rate per annum equal to the Alternate Base Rate or the applicable Daily Term SOFR rate, respectively, for such day. Changes in the rate of Interest on Alternate 5


 
Base Rate Loans and Daily Term SOFR Loans will take effect simultaneously with each change in the Alternate Base Rate or the applicable Daily Term SOFR rate, respectively. (e) Interest shall be payable for the day a Loan is made but not for the day of any payment on the amount paid if payment is received prior to 1:00 p.m. (local time) at the place of payment. If any payment of Principal of or Interest on a Loan shall become due on a day which is not a Business Day, such payment shall be made on the next succeeding Business Day and, in the case of a Principal payment, such extension of time shall be included in computing Interest in connection with such payment. Section 1.4 Repayment of the Advances.¶ (a) [Reserved]. (b) Unless the Termination Date has earlier occurred, on the Commitment Expiry Date, the Advances and LC Advances shall become due and will be payable on Settlement Dates to the extent of Collections received on the Commitment Expiry Date and each Business Day thereafter until paid in full, together with all accrued and unpaid Interest thereon. In addition to the foregoing, unless the Termination Date has earlier occurred, on the Commitment Expiry Date and on each Settlement Date thereafter, the LC Obligations shall be required to be Cash Collateralized to the extent of Collections received on the Commitment Expiry Date and each Business Day thereafter until paid or Cash Collateralized in full, together with all Expected LC Fees. (c) All payments and Cash Collateral Payments required under Section 1.4(b) shall be made on Settlement Dates occurring on or after the Commitment Expiry Date in the order of priority specified in Section 3.2(d). (d) The Borrower promises to pay the LC Obligations, together with all LC Fees, LC Processing Fees, LC Fronting Fees and, if applicable, Interest thereon, in accordance with the terms of the Fee Letter and Sections 2.8 and 2.10 of this Agreement. Section 1.5 Voluntary and Mandatory Prepayments¶. Subject, in the case of CP Rate Loans and Term SOFR Loans, to the funding indemnification provisions of Section 4.3: (a) The Borrower may from time to time voluntarily prepay, without penalty or premium, all outstanding Advances, or, in a minimum aggregate amount of $2,000,000 (or a larger integral multiple of $1,000,000), any portion of the outstanding Advances by giving prior written notice to the Co-Agents: (i) given within the Required Notice Period with respect to each Pool Funded Conduit’s Loans so prepaid, (ii) at any time while Gotham is not a Pool Funded Conduit, providing for such prepayment to occur on the last day of the CP Tranche Period with respect to Gotham’s CP Rate Loans so prepaid, and (iii) given at least one (1) U.S. Government Securities Business Day prior to the proposed prepayment date, in the case of any Term SOFR Loan or Daily Term SOFR Loan (each, a “Prepayment Notice”); provided that each such prepayment of Principal is accompanied by a payment of all accrued and unpaid Interest on the amount prepaid, together with all amounts (if any) due under Section 4.3, and except as provided in Section 14.1(c) and in the definitions of “Approved Amendment” and “Termination Date,” is made among the Groups in such proportions so that after giving effect thereto, the aggregate outstanding Principal balance of the Loans outstanding from each Group shall be in proportion to the Groups’ respective Commitment Percentages. 6


 
(b) If, on any Business Day, the aggregate outstanding Principal amount of the Credit Exposure of the PNC Group exceeds the PNC Group Allocation Limit, not later than 12:00 noon (New York City time) on the first Business Day thereafter, (i) the Borrower shall prepay the PNC Group’s Loans by wire transfer to the PNC Group Agent in an aggregate amount sufficient to eliminate such excess, together with accrued and unpaid Interest on the amount of Loans prepaid, and (ii) if there are insufficient Loans be so prepaid, the Borrower will Cash-Collateralize the LC Obligations by wire transfer to the LC Collateral Account in an aggregate amount sufficient to eliminate the remainder of such excess. (c) (i) If, on any Business Day, the aggregate outstanding Principal amount of the Credit Exposure of the Gotham Group exceeds the Gotham Allocation Limit, not later than 12:00 noon (New York City time) on the first Business Day thereafter, (i) the Borrower shall prepay the Gotham Group’s Loans by wire transfer to the Gotham Group Agent in an aggregate amount sufficient to eliminate such excess, together with accrued and unpaid Interest on the amount of Loans prepaid, and (ii) if there are insufficient Loans be so prepaid, the Borrower will Cash-Collateralize the LC Obligations by wire transfer to the LC Collateral Account in an aggregate amount sufficient to eliminate the remainder of such excess. (ii) If, on any Business Day, the aggregate outstanding Principal amount of the Credit Exposure of the Atlantic Group exceeds the Atlantic Allocation Limit, not later than 12:00 noon (New York City time) on the first Business Day thereafter, (i) the Borrower shall prepay the Atlantic Group’s Loans by wire transfer to the Atlantic Group Agent in an aggregate amount sufficient to eliminate such excess, together with accrued and unpaid Interest on the amount of Loans prepaid, and (ii) if there are insufficient Loans be so prepaid, the Borrower will Cash-Collateralize the LC Obligations by wire transfer to the LC Collateral Account in an aggregate amount sufficient to eliminate the remainder of such excess. (d) Upon receipt of any wire transfer pursuant to Section 1.5(a), (b) or (c), the applicable Co- Agent shall wire transfer to each of its Constituents their respective shares (if any) thereof not later than 1:00 p.m. (New York City time) on the date when received. Any prepayment or Loans made pursuant to Section 1.5(b) or (c) shall be applied first, to the ratable reduction of the applicable Group’s Alternate Base Rate Loans outstanding, second, to the ratable reduction of the applicable Group’s Term SOFR Loans and Daily Term SOFR Loans outstanding, and lastly, to the reduction of the applicable Group’s CP Rate Loans selected by the Borrower (or the Servicer, on the Borrower’s behalf). (e) If, on any Business Day, the aggregate of the LC Obligations exceeds the LC Sublimit or any LC Processing Fees are due and owing pursuant to Section 2.10 and are not paid when due (payable on the Settlement Date as invoiced by the LC Issuer pursuant to Section 3.1(c)), not later than 12:00 noon (New York City time) on the first Business Day thereafter, the Borrower shall Cash-Collateralize the LC Obligations in the amount of such excess and/or LC Processing Fees, as the case may be, by wire transfer to the LC Collateral Account. (f) Unless each of the Co-Agents in its sole discretion shall otherwise agree, not more than three (3) Advances and/or prepayments pursuant to Section 1.5(a) may occur, in the aggregate, in any calendar week. Section 1.6 Reductions in Commitments¶. Subject to the limitations set forth below, the Borrower may permanently reduce the aggregate Commitments, in whole, or ratably among the Groups, in part, in a minimum amount of $10,000,000 (or a larger integral multiple of $1,000,000), upon at least fifteen (15) Business Days’ written notice to the Co-Agents (each, a “Commitment Reduction Notice”), which notice shall specify the aggregate amount of any such reduction of the aggregate Commitments 7


 
and the Committed Lenders’ respective Ratable Shares thereof. Notwithstanding the foregoing, no Commitment may be reduced below the aggregate outstanding Credit Exposure thereunder unless accompanied by a simultaneous prepayment of Principal or pledge and deposit of cash collateral into the LC Collateral Account in an aggregate amount equal to such excess Credit Exposure. In addition to and without limiting any other requirements for termination, prepayment and/or the funding of the LC Collateral Account hereunder, no termination of the Administrative Agent’s security interest in the Collateral shall be effective unless and until (x) the amount on deposit in the LC Collateral Account is at least equal to the then Outstanding Face Amount plus the Expected LC Fees, (y) the Aggregate Principal is reduced to zero and (z) all accrued and unpaid fees and all other amounts owed to the Agents, the LC Issuer or the Lenders under this Agreement and each of the other Transaction Documents have been paid or Cash Collateralized in full. Each Commitment Reduction Notice shall be irrevocable once delivered to the Co-Agents and, as applicable, the LC Issuer. Section 1.7 Distribution of Certain Notices; Notification of Interest Rates¶. Promptly after receipt thereof, (a) the LC Issuer will notify the each of the Co-Agents of the contents of each LC Application, and the PNC Group Agent will notify the PNC Group, the Atlantic Agent will notify the Atlantic Group and the Gotham Agent will notify the Gotham Group, of the contents of each Monthly Report, Borrowing Request, Draw Notice, LC Application, LC Advance Notice, Commitment Reduction Notice, Prepayment Notice or notice of default received by it from the Borrower or the Servicer hereunder. In addition, each of the Co-Agents shall promptly notify its Constituents and the Borrower of each determination of and change in Interest Rates. Section 1.8 Absence of Notes.¶ The LC Issuer and each Lender shall maintain in accordance with its usual practice and Section 5f.103-1(c) of the United States Treasury Regulations an account or accounts evidencing the indebtedness of the Borrower to such Person resulting from each Letter of Credit issued by the LC Issuer, or, as applicable, each Loan made by such Lender from time to time, including the amounts of Principal and Interest payable and paid to such Person from time to time hereunder. Upon request of the Borrower, the LC Issuer or, as applicable, each Lender’s Co-Agent or the Administrative Agent, will confirm the outstanding Principal balances of its Credit Extensions and the amount of any accrued and unpaid Interest thereon. The entries maintained in the accounts maintained pursuant to this Section shall be prima facie evidence of the existence and amounts of the Obligations therein recorded; provided, however, that the failure of the LC Issuer or any Lender to maintain such accounts or any error therein shall not in any manner affect the obligation of the Borrower to repay the Obligations in accordance with their terms. Section 1.9 Acknowledgement and Consent to Bail-In of EEA Financial Institutions¶. Notwithstanding anything to the contrary in any Transaction Document or in any other agreement, arrangement or understanding among any such parties, each party hereto acknowledges that any liability of any EEA Financial Institution arising under any Transaction Document, to the extent such liability is unsecured, may be subject to the write-down and conversion powers of an EEA Resolution Authority and agrees and consents to, and acknowledges and agrees to be bound by: (a) the application of any Write-Down and Conversion Powers by an EEA Resolution Authority to any such liabilities arising hereunder which may be payable to it by any party hereto that is an EEA Financial Institution; and (b) the effects of any Bail-in Action on any such liability, including, if applicable: (i) a reduction in full or in part or cancellation of any such liability; (ii) a conversion of all, or a portion of, such liability 8


 
into shares or other instruments of ownership in such EEA Financial Institution, its parent undertaking, or a bridge institution that may be issued to it or otherwise conferred on it, and that such shares or other instruments of ownership will be accepted by it in lieu of any rights with respect to any such liability under this Agreement or any other Transaction Document; or (iii) the variation of the terms of such liability in connection with the exercise of the write-down and conversion powers of any EEA Resolution Authority. Section 1.10 Rates.¶ The Administrative Agent does not warrant or accept responsibility for, and shall not have any liability with respect to (a) the continuation of, administration of, submission of, calculation of or any other matter related to the Alternate Base Rate, the Term SOFR Reference Rate, Term SOFR, Daily One Month Term SOFR or Daily Three Month Term SOFR, or any component definition thereof or rates referred to in the definition thereof, or any alternative, successor or replacement rate thereto (including any Benchmark Replacement), including whether the composition or characteristics of any such alternative, successor or replacement rate (including any Benchmark Replacement) will be similar to, or produce the same value or economic equivalence of, or have the same volume or liquidity as, the Alternate Base Rate, the Term SOFR Reference Rate, Term SOFR, Daily One Month Term SOFR, Daily Three Month Term SOFR or any other Benchmark prior to its discontinuance or unavailability, or (b) the effect, implementation or composition of any Conforming Changes. The Administrative Agent and its affiliates or other related entities may engage in transactions that affect the calculation of the Alternate Base Rate, the Term SOFR Reference Rate, Term SOFR, Daily One Month Term SOFR, Daily Three Month Term SOFR, any alternative, successor or replacement rate (including any Benchmark Replacement) or any relevant adjustments thereto, in each case, in a manner adverse to the Borrower. The Administrative Agent may select information sources or services in its reasonable discretion to ascertain the Alternate Base Rate, the Term SOFR Reference Rate, Term SOFR, Daily One Month Term SOFR, Daily Three Month Term SOFR or any other Benchmark, in each case pursuant to the terms of this Agreement, and shall have no liability to the Borrower, any Lender or any other person or entity for damages of any kind, including direct or indirect, special, punitive, incidental or consequential damages, costs, losses or expenses (whether in tort, contract or otherwise and whether at law or in equity), for any error or calculation of any such rate (or component thereof) provided by any such information source or service. ARTICLE II. BORROWING, LETTER OF CREDIT AND PAYMENT MECHANICS; CERTAIN COMPUTATIONS Section 2.1 Method of Borrowing¶. The Borrower (or the Servicer, on the Borrower’s behalf) shall give the Co-Agents irrevocable notice in the form of Exhibit 2.1 hereto (each, a “Borrowing Request”) not later than 2:00 p.m. (New York City time) at least one (1) Business Day before the Borrowing Date of each Advance that will bear interest at a CP Rate, and not later than 2:00 p.m. (New York City Time) at least one (1) U.S. Government Securities Business Day before the Borrowing Date of each Advance that will bear interest at an Adjusted Term SOFR rate or a Daily Term SOFR rate. On each Borrowing Date, each applicable Lender shall make available its Loan in immediately available funds to its Co-Agent by wire transfer of such amount received not later than 1:00 p.m. (New York City time). Subject to its receipt of such wire transfers, each Co-Agent will wire transfer the funds so received from its Constituents to the Borrower at the account specified in its Borrowing Request not later than 2:00 p.m. (New York City time) on the applicable Borrowing Date. Unless each of the Co-Agents in its sole discretion shall otherwise 9


 
agree, not more than three (3) Advances and/or prepayments pursuant to Section 1.5 may occur, in the aggregate, in any calendar week. Section 2.2 Selection of CP Tranche Periods and Interest Periods¶. (a) Except upon the occurrence and during the continuance of an Event of Default or when Gotham is a Pool Funded Conduit, the Borrower (or the Servicer, on the Borrower’s behalf) in its Borrowing Request may request CP Tranche Periods from time to time to apply to Gotham’s CP Rate Loans, whether they are Loans or LC Loans; provided, however, that (i) at any time while Gotham has CP Rate Loans outstanding, at least one CP Tranche Period of Gotham shall mature on each Settlement Date and (ii) no CP Tranche Period of Gotham may extend beyond the applicable Commitment Expiry Date. In addition to the foregoing, except upon the occurrence and during the continuance of an Event of Default, the Borrower (or the Servicer, on the Borrower’s behalf) in its Borrowing Request (A) may request Interest Periods from time to time to apply to the Term SOFR Loans; provided, however, that (x) at any time while any Lender has Term SOFR Loans outstanding, at least one Interest Period of such Lender shall mature on each Settlement Date and (y) no Interest Period of any Lender’s Loan which began prior to the applicable Commitment Expiry Date shall extend beyond such Commitment Expiry Date; and (B) shall specify whether Daily Term SOFR Loans will bear interest based on Adjusted Daily One Month Term SOFR or Adjusted Daily Three Month Term SOFR. (b) While the Gotham Agent will use reasonable efforts to accommodate the Borrower’s or the Servicer’s requests for CP Tranche Periods except during the continuance of an Event of Default or when Gotham is acting as Pool Funded Conduit, the Gotham Agent shall have the right to subdivide any requested CP Rate Loan into one or more CP Rate Loans of different CP Tranche Periods, or, if the requested period is not feasible, to suggest an alternative CP Tranche Period. While each of the Co- Agents will use reasonable efforts to accommodate the Borrower’s or the Servicer’s requests for Interest Periods for Term SOFR Loans except during the continuance of an Event of Default, each of the Co-Agents shall have the right to subdivide any requested Term SOFR Loan into one or more Term SOFR Loans with different Interest Periods, or, if the requested period is not feasible, to suggest an alternative Interest Period. Notwithstanding the foregoing, not less than $1,000,000 of Principal may be allocated to any CP Tranche Period or Interest Period of any Lender, and no Alternate Base Rate Loan may have a Principal amount of less than $1,000,000. (c) The Borrower (or the Servicer, on the Borrower’s behalf) may not request an Interest Period for a Term SOFR Loan unless it shall have given each of the applicable Co-Agent(s) written notice of its desire therefor not later than 2:00 p.m. (New York City time) at least one (1) U.S. Government Securities Business Day prior to the first day of the desired Interest Period. Accordingly, all Liquidity Fundings shall initially be Alternate Base Rate Loans. (d) Unless each Co-Agent shall have received written notice by 2:00 p.m. (New York City time) on the Required Day prior to the last day of a CP Tranche Period that the Borrower intends to reduce the aggregate Principal amount of the CP Rate Loans outstanding, each of the Co-Agents and the Conduits shall be entitled to assume that the Borrower desires to refinance the Principal and Interest of each maturing CP Rate Loan on the last day of its CP Tranche Period with new CP Rate Loans having substantially similar CP Tranche Periods; provided, however, that the Borrower shall remain liable to pay in cash any portion of the Principal or Interest on the maturing CP Rate Loan when due to the extent that the applicable Conduit cannot issue Commercial Paper Notes or avail itself of a Liquidity Funding, in either 10


 
case, in the precise amount necessary to refinance the maturing CP Rate Loan and the accrued and unpaid Interest thereon. (e) Unless the Co-Agents shall have received written notice by 2:00 p.m. (New York City time) on the first (1st) Business Day prior to the last day of an Interest Period that the Borrower intends to reduce the aggregate Principal amount of the Term SOFR Loans outstanding from the Liquidity Banks, each of the Liquidity Banks shall be entitled to assume that the Borrower desires to refinance its maturing Term SOFR Loans on the last day of such Interest Period with Alternate Base Rate Loans. Section 2.3 Computation of Concentration Limits and Unpaid Net Balance¶. The Obligor Concentration Limits and the aggregate Unpaid Net Balance of Private Receivables (as defined in the Sale Agreement) of each Obligor and its Affiliated Obligors (if any) shall be calculated as if each such Obligor and its Affiliated Obligors were one Obligor. Section 2.4 Maximum Interest Rate.¶ No provision of the Transaction Documents shall require the payment or permit the collection of Interest in excess of the maximum permitted by applicable law. Section 2.5 Payments and Computations, Etc..¶ (a) Payments. All amounts to be paid or deposited by the Borrower or the Servicer (on the Borrower’s behalf) to any of the Agents or Lenders (other than amounts payable under Section 4.2 and other than the proceeds of LC Loans which shall be paid directly to the LC Issuer) shall be paid by wire or electronic transfer of immediately available funds received not later than 1:00 p.m. (New York City time) on the day when due in lawful money of the United States of America to the applicable Co-Agent at its address specified in Schedule 14.2, and, to the extent such payment is for the account of any Lender, the applicable Co-Agent shall promptly disburse such funds to the appropriate Lender(s) in its Group. (b) Late Payments. To the extent permitted by law, upon demand, the Borrower or the Servicer (on the Borrower’s behalf), as applicable, shall pay to the applicable Co-Agent for the account of each Person in its Group to whom payment of any Obligation is due, Interest on all amounts not paid or deposited by 1:00 p.m. (New York City time) on the date when due (without taking into account any applicable grace period) at the Default Rate. (c) Method of Computation. All computations of Interest at the Alternate Base Rate or the Default Rate shall be made on the basis of a year of 365 (or, when appropriate, 366) days for the actual number of days (including the first day but excluding the last day) elapsed. All other computations of Interest, and all computations of Servicer’s Fee, any per annum fees payable under Section 4.1 and any other per annum fees payable by the Borrower to the Lenders, the Servicer or any of the Agents under the Transaction Documents shall be made on the basis of a year of 360 days for the actual number of days (including the first day but excluding the last day) elapsed. (d) Avoidance or Rescission of Payments. To the maximum extent permitted by applicable law, no payment of any Obligation shall be considered to have been paid if at any time such payment is rescinded or must be returned for any reason. (e) No Deduction. All payments to be made by a Loan Party hereunder shall be made without condition or deduction for any counterclaim, defense, recoupment or setoff. 11


 
(f) Gross-Up. If a Loan Party shall be required by any Requirement of Law to deduct any Taxes from or in respect of any sum payable under any Transaction Document to any Agent or any Lender, (i) in the case of any Taxes other than Excluded Taxes, the sum payable shall be increased as necessary so that after making all required deductions, such Agent or such Lender, as the case may be, receives an amount equal to the sum it would have received had no such deductions been made, (ii) such Loan Party shall make such deductions, (iii) such Loan Party shall pay the full amount deducted to the relevant taxation authority or other Governmental Authority in accordance with applicable Requirements of Law, and (iv) within 30 days after the date of such payment, such Loan Party shall furnish to the Administrative Agent (which shall forward the same to such Agent or such Lender) the original or a certified copy of a receipt evidencing payment thereof, to the extent such receipt is issued therefor, or other written proof of payment thereof that is reasonably satisfactory to the Administrative Agent. (g) Taxes – Status of Lenders; Refunds. (i) Any Lender that is entitled to an exemption from or reduction of withholding Tax with respect to payments made under any Transaction Document shall deliver to the Borrower and the Administrative Agent, at the time or times reasonably requested by the Borrower or the Administrative Agent, such properly completed and executed documentation reasonably requested by the Borrower or the Administrative Agent as will permit such payments to be made without withholding or at a reduced rate of withholding. In addition, any Lender, if reasonably requested by the Borrower or the Administrative Agent, shall deliver such other documentation prescribed by applicable law or reasonably requested by the Borrower or the Administrative Agent as will enable the Borrower or the Administrative Agent to determine whether or not such Lender is subject to backup withholding or information reporting requirements. (ii) Without limiting the generality of the foregoing, (A) any Lender that is a US Person shall deliver to the Borrower and the Administrative Agent on or prior to the date on which such Lender becomes a Lender under this Agreement (and from time to time thereafter upon the reasonable request of the Borrower or the Administrative Agent), executed copies of IRS Form W-9 certifying that such Lender is exempt from U.S. federal backup withholding tax; (B) any Foreign Lender shall, to the extent it is legally entitled to do so, deliver to the Borrower and the Administrative Agent (in such number of copies as shall be requested by the recipient) on or prior to the date on which such Foreign Lender becomes a Lender under this Agreement (and from time to time thereafter upon the reasonable request of the Borrower or the Administrative Agent), whichever of the following is applicable: (1) in the case of a Foreign Lender claiming the benefits of an income tax treaty to which the United States is a party (x) with respect to payments of interest under any Transaction Document, executed copies of IRS Form W-8BEN-E establishing an exemption from, or reduction of, U.S. federal withholding Tax pursuant to the “interest” article of such tax treaty and (y) with respect to any other applicable payments under any Transaction Document, IRS Form W-8BEN-E establishing an exemption from, or reduction of, U.S. federal withholding Tax pursuant to the “business profits” or “other income” article of such tax treaty; (2) executed copies of IRS Form W-8ECI; 12


 
(3) in the case of a Foreign Lender claiming the benefits of the exemption for portfolio interest under Section 871(h) or Section 881(c) of the Code, (x) a “Certificate of Non-Bank Status for Foreign Entities” substantially in the form of Exhibit 3.13(f) to the effect that such Foreign Lender is not a “bank” within the meaning of Section 881(c)(3)(A) of the Code, a “10 percent shareholder” of the Borrower within the meaning of Section 881(c)(3)(B) of the Code, or a “controlled foreign corporation” described in Section 881(c)(3)(C) of the Code and (y) executed copies of IRS Form W- 8BEN-E; or (4) to the extent a Foreign Lender is not the beneficial owner, executed copies of IRS Form W-8IMY, accompanied by IRS Form W-8ECI, IRS Form W-8BEN, IRS Form W- 8BEN-E, a Certificate of Non-Bank Status for Foreign Entities, IRS Form W-9, and/or other certification documents from each beneficial owner, as applicable; provided that if the Foreign Lender is a partnership and one or more direct or indirect partners of such Foreign Lender are claiming the portfolio interest exemption, such Foreign Lender may provide a Certificate of Non-Bank Status for Foreign Entities on behalf of each such direct and indirect partner; (C) any Foreign Lender shall, to the extent it is legally entitled to do so, deliver to the Borrower and the Administrative Agent (in such number of copies as shall be requested by the recipient) on or prior to the date on which such Foreign Lender becomes a Lender under this Agreement (and from time to time thereafter upon the reasonable request of the Borrower or the Administrative Agent), executed copies of any other form prescribed by applicable law as a basis for claiming exemption from or a reduction in U.S. federal withholding Tax, duly completed, together with such supplementary documentation as may be prescribed by applicable law to permit the Borrower or the Administrative Agent to determine the withholding or deduction required to be made; and (D) any Foreign Lender shall, to the extent it is legally entitled to do so, deliver to the Borrower and the Administrative Agent (in such number of copies as shall be requested by the recipient) on or prior to the date on which such Foreign Lender becomes a Lender under this Agreement (and from time to time thereafter upon the reasonable request of the Borrower or the Administrative Agent), executed copies of any other form prescribed by applicable law as a basis for claiming exemption from or a reduction in U.S. federal withholding Tax, duly completed, together with such supplementary documentation as may be prescribed by applicable law to permit the Borrower or the Administrative Agent to determine the withholding or deduction required to be made; and (E) on or prior to the execution of this Agreement, and thereafter upon the reasonable request of the Borrower, each Agent (in its capacity as such) shall provide to the Borrower an IRS Form W-8IMY certifying (I) its status as a qualified intermediary, (II) its assumption of primary U.S. federal income tax withholding responsibility for purposes of chapter 3 and chapter 4 of the Code and (III) its assumption of primary IRS Form 1099 reporting and U.S. federal income backup withholding responsibility. Each Lender and Agent agrees that if any form or certification it previously delivered expires or becomes obsolete or inaccurate in any respect, it shall update such form or certification or promptly notify the Borrower and the Administrative Agent in writing of its legal inability to do so. (iii) In the event that an additional payment is made under Section 2.5(f) for the account of any Recipient and such Recipient, in its reasonable judgment, determines that it has finally and irrevocably received or been granted a credit against or release or remission for, or repayment of, any tax 13


 
paid or payable by it in respect of or calculated with reference to the deduction or withholding giving rise to such payment, such Recipient shall, to the extent that it determines that it can do so without prejudice to the retention of the amount of such credit, relief, remission or repayment, pay to the Borrower such amount as such Recipient shall, in its reasonable judgment, have determined to be attributable to such deduction or withholding and which will leave such Recipient (after such payment) in no worse position than it would have been in if the Borrower had not been required to make such deduction or withholding. Nothing herein contained shall interfere with the right of a Recipient to arrange its tax affairs in whatever manner it thinks fit nor oblige any Recipient to claim any tax credit or to disclose any information relating to its tax affairs or any computations in respect thereof or require any Recipient to do anything that would prejudice its ability to benefit from any other credits, reliefs, remissions or repayments to which it may be entitled. Section 2.6 Non-Receipt of Funds by the Co-Agents.¶ Unless a Lender notifies its Co-Agent prior to the date and time on which it is scheduled to fund a Loan that it does not intend to fund, such Co- Agent may assume that such funding will be made and may, but shall not be obligated to, make the amount of such Loan available to the intended recipient in reliance upon such assumption. If such Lender has not in fact funded its Loan proceeds to the applicable Co-Agent, the recipient of such payment shall, on demand by such Co-Agent, repay to such Co-Agent the amount so made available together with Interest thereon in respect of each day during the period commencing on the date such amount was so made available by such Co-Agent until the date such Co-Agent recovers such amount at a rate per annum equal to the Federal Funds Rate for such day. Section 2.7 Letters of Credit¶. (a) Request for LC Issuance or Modification. Subject to Section 1.1.2, the Borrower shall give the LC Issuer notice prior to 2:00 p.m. (New York City time) at least three (3) Business Days (or such shorter period as may be reasonably acceptable to the LC Issuer) prior to the proposed date of issuance or Modification of each Letter of Credit, by delivering a signed copy of the related LC Application, with appropriate insertions. The issuance or Modification by the LC Issuer of any Letter of Credit shall, in addition to the conditions precedent set forth in Article IV, be subject to the conditions precedent that such Letter of Credit shall be reasonably satisfactory to the LC Issuer and that the Borrower shall have executed and delivered the LC Application and/or such other instruments and agreements relating to such Letter of Credit as the LC Issuer shall have reasonably requested. The LC Issuer shall promptly notify each of the Co-Agents of the request by the Borrower for issuance or Modification of a Letter of Credit hereunder. (b) Letter of Credit Terms. (i) Each Letter of Credit will, among other things, (A) provide for the payment of sight drafts or other written demands for payment when presented for honor thereunder in accordance with the terms thereof and when accompanied by the documents described therein, and (B) have an expiry date not later than twelve (12) months after such Letter of Credit’s date of issuance, extension or renewal, as the case may be, and in no event later than twelve (12) months after the Scheduled Termination Date (or such longer period of time as may be approved in an Email or other writing by each of the LC Issuer and each Group). If the Borrower so requests in any LC Application, the terms of the related Letter of Credit may include customary “evergreen” provisions providing that such Letter of Credit’s expiry date shall automatically be extended for additional periods not to exceed twelve (12) months unless, not less than thirty (30) days (or such longer period as may be specified in such Letter of Credit) (the “Notice Date”) 14


 
prior to the applicable expiry date, the LC Issuer delivers written notice to the Borrower and the beneficiary thereof declining such extension; provided, however, that if (1) any such extension would cause the expiry date of such Letter of Credit to occur after the date that is twelve (12) months after the Commitment Expiry Date (or such longer period of time as may be approved in an Email or other writing by each of the LC Issuer and the Co-Agents) or (2) the LC Issuer determines that any condition precedent (including, without limitation, those referenced in Section 2.7(a) hereof) to issuing such Letter of Credit hereunder (as if such Letter of Credit were then being first issued) are not satisfied (other than any such condition requiring the Borrower to submit an LC Application in respect thereof), then the LC Issuer, in the case of clause (1) above, may (or, at the written direction of any Committed Lender, shall) or, in the case of clause (2) above, shall, use reasonable efforts in accordance with (and to the extent permitted by) the terms of such Letter of Credit to prevent the extension of such expiry date (including notifying the Borrower and the beneficiary of such Letter of Credit in writing prior to the Notice Date that such expiry date will not be so extended). (ii) Unless the LC Issuer and the Borrower otherwise agree, when a Letter of Credit is issued, it shall be subject to the version of the Uniform Customs and Practice for Documentary Credits in effect at the time of issuance (UCP), or International Standby Practices 1998 (ISP98), at the LC Issuer’s discretion. If such Letter of Credit includes any provision that does not conform to standard Letter of Credit practice, all provisions of this Agreement, including without limitation those relating to reimbursement and indemnification, shall apply to such Letter of Credit. (iii) Notwithstanding anything to the contrary set forth in this Agreement, at the request of the Borrower, a Letter of Credit issued hereunder may contain a statement to the effect that such Letter of Credit is issued for the account of the Servicer or an Affiliate of the Servicer; provided that notwithstanding such statement, the Borrower shall be the actual account party for all purposes of this Agreement for such Letter of Credit, and such statement shall not affect the Borrower’s reimbursement obligations hereunder with respect to such Letter of Credit. (c) Notice of Letter of Credit Request. The Administrative Agent shall promptly notify the LC Issuer and each Committed Lender of the request by the Borrower for a Letter of Credit hereunder. (d) Participations. Immediately upon the issuance by the LC Issuer of any Letter of Credit (or any Modification of a Letter of Credit increasing the amount thereof), the LC Issuer shall be deemed to have sold and transferred to each Committed Lender, and each Committed Lender shall be deemed irrevocably and unconditionally to have purchased and received from the LC Issuer, without recourse or warranty, an undivided interest and participation, to the extent of such Committed Lender’s Ratable Share, in such Letter of Credit, each drawing made thereunder and the obligations of the Borrower hereunder with respect thereto, and any security therefor or guaranty pertaining thereto. Upon any change in the Commitments or Ratable Shares of the Committed Lenders pursuant to this Agreement, it is hereby agreed that, with respect to all outstanding Letters of Credit and unreimbursed drawings thereunder, there shall be an automatic adjustment to the participations pursuant to this Section 2.7(d) to reflect the new Ratable Shares of the assignor and assignee Committed Lender or of all Committed Lenders with Commitments, as the case may be. The Committed Lenders or their Groups will satisfy their funding obligations under this Section 2.7(d) by funding LC Loans pursuant to Section 2.8(a). 15


 
Section 2.8 Disbursements, Reimbursements and LC Advances.¶ (a) Notice of Drawings; Reimbursement by the Borrower; LC Advances. In the event of any drawing under a Letter of Credit by the beneficiary or transferee thereof that the LC Issuer determines it is legally obligated to honor, the LC Issuer will promptly notify the Borrower and each Co-Agent of such drawing by written notice in the form of Exhibit 2.8(a)-1 (each, a “Draw Notice”). The Borrower shall reimburse the LC Issuer not later than 10:00 a.m. (New York City time) on the Business Day following its receipt of a Draw Notice (such next Business Day, the “Reimbursement Date”) in an amount equal to the amount so paid by the LC Issuer. In the event the Borrower fails to reimburse the LC Issuer for the full amount of any drawing under a Letter of Credit by 10:00 a.m. (New York City time) on the Reimbursement Date, the Borrower will be deemed to have requested that an Advance be made on the Business Day following the applicable Reimbursement Date in a Principal amount equal to such LC Reimbursement Obligation (each such Advance, an “LC Advance”) regardless of whether the Commitment Expiry Date or Termination Date has previously occurred, and the LC Issuer will promptly notify each Co-Agent of such deemed request in writing in the form of Exhibit 2.8(a)-2 hereto (each, an “LC Advance Notice”). (b) LC Advances. Upon receipt of an LC Advance Notice, each applicable Co-Agent shall determine whether its Conduit will fund an LC Loan in an amount equal to the portion of the LC Advance specified in such LC Advance Notice, and (i) PNC severally agrees to make an LC Loan in an amount equal to its Group’s Commitment Percentage of the specified the LC Reimbursement Obligation, on the terms and subject to the conditions hereof, provided that at no time may the aggregate Principal amount of PNC’s Credit Exposure at any one time outstanding exceed the PNC Allocation Limit; (ii) in the event that Gotham elects not to make an LC Loan in an amount equal to its Group’s Commitment Percentage of the specified the LC Reimbursement Obligation, the Gotham Agent shall promptly notify the Borrower and each of the Liquidity Banks in the Gotham Group, and each of such Liquidity Banks severally agrees to make its Pro Rata Share of such LC Loan to the Borrower, on the terms and subject to the conditions hereof, provided that at no time may the aggregate Principal amount of Gotham’s and its Liquidity Banks’ Credit Exposure at any one time outstanding exceed the Gotham Allocation Limit; and (iii) in the event that Atlantic elects not to make an LC Loan in an amount equal to its Group’s Commitment Percentage of the specified the LC Reimbursement Obligation, the Atlantic Agent shall promptly notify the Borrower and each of the Liquidity Banks in the Atlantic Group, and each of such Liquidity Banks severally agrees to make its Pro Rata Share of such LC Loan to the Borrower, on the terms and subject to the conditions hereof, provided that at no time may the aggregate Principal amount of Gotham’s and its Liquidity Banks’ Credit Exposure at any one time outstanding exceed the Atlantic Allocation Limit. Notwithstanding the fact that LC Loans are being made to the Borrower, all LC Loans shall be disbursed directly to the LC Issuer for application to the specified LC Reimbursement Obligation on the Borrower’s behalf. If any Group fails to make available to the LC Issuer its LC Loan(s) by 10:00am (NY time) on the Business Day after the Reimbursement Date, then Interest shall accrue on the deficient amount from the Reimbursement Date to the date on which such Group fully-funds its LC Loan(s) (i) at a rate per annum equal to the Federal Funds Rate during the first three days following the Reimbursement Date and (ii) at a rate per annum equal to the rate applicable to PNC’s Loans on and after the fourth day following the 16


 
Reimbursement Date. Each Committed Lender’s obligation to reimburse the LC Issuer for such Committed Lender’s Ratable Share of any drawing under a Letter of Credit issued in accordance with this Agreement shall continue until the last to occur of any of the following events: (A) the occurrence of the Commitment Expiry Date or the LC Issuer otherwise ceases to be obligated to issue or cause to be issued Letters of Credit hereunder; (B) no Letter of Credit issued hereunder remains outstanding and effective; or (C) all Persons (other than the Borrower) have been fully reimbursed for all payments made under or relating to Letters of Credit. Section 2.9 Additional Letter of Credit Provisions; LC Collateral Account¶. (a) The Borrower promises to pay the LC Obligations, together with all LC Fees, LC Fronting Fees and, if applicable, Interest thereon, in accordance with the terms of the Fee Letter and this Section 2.9. (b) Upon receipt by the LC Issuer for its account of immediately available funds from or for the account of the Borrower in excess of PNC’s LC Sublimit Percentage thereof, the LC Issuer shall promptly distribute any excess to the other Co-Agents. (c) If the LC Issuer is required at any time to return to the Borrower, or to a trustee, receiver, liquidator, custodian, or any official in any insolvency proceeding, any portion of the payments made by the Borrower to the LC Issuer pursuant to this Agreement in reimbursement of a payment made under the Letter of Credit or Interest or fee thereon, each Committed Lender shall, on demand of the LC Issuer, forthwith return to the LC Issuer the amount of its Ratable Share of any amounts so returned by the LC Issuer plus Interest at the Federal Funds Rate, from the date the payment was first made to such Committed Lender through, but not including, the date the payment is returned by such Committed Lender. (d) If any Letters of Credit are outstanding and undrawn on the Termination Date, the LC Collateral Account shall be funded from Collections (or by other funds available to the Borrower) in an amount equal to the sum of the Outstanding Face Amount of such Letters of Credit plus Expected LC Fees. (e) Funds in the LC Collateral Account will be used to reimburse the LC Issuer and (to the extent they have unreimbursed LC Advances) the applicable Lenders for due and payable fees related to the Letters of Credit and for any draws on the Letters of Credit and LC Advances which have not reimbursed by the Borrower or repaid from Collections. Any funds on deposit in the LC Cash Collateral Account after all Letters of Credit have expired or have been terminated in accordance with their respective terms, all draws on the Letters of Credit have been reimbursed, all LC Advances have been repaid, all fees due and payable with respect to the Letters of Credit have been paid in full, and the Aggregate Commitment has been terminated, shall be remitted to the Borrower. Section 2.10 Documentation and LC Processing Fees¶. The Borrower agrees to be bound by the terms of the LC Application, by the LC Issuer’s commercially reasonable interpretation of any Letter of Credit issued for the Borrower and by the LC Issuer’s customary practices relating to Letters of Credit, though the LC Issuer’s interpretation of such practices may be different from the Borrower’s own. In the event of a conflict between the LC Application and this Agreement, this Agreement shall govern. It is understood and agreed that, except in the case of gross negligence or willful misconduct by the LC Issuer, the LC Issuer shall not be liable for any error, negligence and/or mistakes, whether of omission or commission, in following the Borrower’s instructions or those contained in the Letters of Credit or any 17


 
modifications, amendments or supplements thereto. In addition to any other fees or expenses owing under the Fee Letter or any other Transaction Documents or otherwise pursuant to any LC Application, the Borrower shall pay to the LC Issuer for its own account any LC Processing Fees. LC Processing Fees shall be due and payable upon demand and shall be nonrefundable. Section 2.11 Determination to Honor Drawing Request¶. In determining whether to honor any request for drawing under any Letter of Credit by the beneficiary thereof, the LC Issuer shall be responsible only to determine that the documents and certificates required to be delivered under such Letter of Credit have been delivered and that they comply on their face with the requirements of such Letter of Credit and that any other drawing condition appearing on the face of such Letter of Credit has been satisfied in the manner so set forth. Section 2.12 Nature of Participation and LC Reimbursement Obligations¶. Each Committed Lender’s obligation in accordance with this Agreement to make LC Loans as a result of an unreimbursed drawing under a Letter of Credit, and the obligations of the Borrower to reimburse the LC Issuer upon a draw under a Letter of Credit, shall be absolute, unconditional and irrevocable, and shall be performed strictly in accordance with the terms of this Article II under all circumstances, including the following circumstances: (i) any set-off, counterclaim, recoupment, defense or other right which such Committed Lender may have against the LC Issuer, the Administrative Agent, the Co-Agents, the Lenders, the Borrower or any other Person for any reason whatsoever; (ii) the failure of the Borrower or any other Person to comply with the conditions set forth in this Agreement for the making of a purchase, reinvestments, requests for Letters of Credit or otherwise, it being acknowledged that such conditions are not required for the making of LC Advances hereunder; (iii) any lack of validity or enforceability of any Letter of Credit or any set-off, counterclaim, recoupment, defense or other right which Borrower, an Originator or any Affiliate thereof on behalf of which a Letter of Credit has been issued may have against the LC Issuer, the Administrative Agent, any Lender, any Co-Agent or any other Person for any reason whatsoever; (iv) any claim of breach of warranty that might be made by the Borrower, the LC Issuer or any Committed Lender against the beneficiary of a Letter of Credit, or the existence of any claim, set-off, defense or other right which the Borrower, the LC Issuer or any Committed Lender may have at any time against a beneficiary, any successor beneficiary or any transferee of any Letter of Credit or the proceeds thereof (or any Persons for whom any such transferee may be acting), the LC Issuer, any Committed Lender, the Administrative Agent, any Lender or any Co-Agent or any other Person, whether in connection with this Agreement, the transactions contemplated herein or any unrelated transaction (including any underlying transaction between the Borrower or any Subsidiaries of the Borrower or any Affiliates of the Borrower and the beneficiary for which any Letter of Credit was procured); (v) except if the LC Issuer shall have actual knowledge to the contrary: (A) the lack of power or authority of any signer of, or lack of validity, sufficiency, accuracy, enforceability or genuineness of, any draft, demand, instrument, certificate or other document presented under any Letter of Credit, or (B) any such draft, demand, instrument, certificate or other document proving to be forged, fraudulent, invalid, defective or insufficient in any respect or any statement therein being untrue or inaccurate in any respect; 18


 
(vi) payment by the LC Issuer under any Letter of Credit against presentation of a demand, draft or certificate or other document which does not strictly comply with the terms of such Letter of Credit other than as a result of the gross negligence or willful misconduct of the LC Issuer; (vii) the solvency of, or any acts or omissions by, any beneficiary of any Letter of Credit, or any other Person having a role in any transaction or obligation relating to a Letter of Credit, or the existence, nature, quality, quantity, condition, value or other characteristic of any property or services relating to a Letter of Credit; (viii) any failure by the LC Issuer or any of the LC Issuer’s Affiliates to issue any Letter of Credit in the form requested by the Borrower, unless the LC Issuer has received written notice from the Borrower of such failure within five (5) Business Days after the LC Issuer shall have furnished the Borrower a copy of such Letter of Credit and such error is material and no drawing has been made thereon prior to receipt of such notice; (ix) any Material Adverse Effect; (x) any breach of this Agreement or any Transaction Document by any party thereto; (xi) the occurrence or continuance of an Event of Bankruptcy with respect to the Borrower, any Originator or the Servicer; (xii) the fact that an Event of Default or an Unmatured Default shall have occurred and be continuing; (xiii) the fact that this Agreement or the obligations of the Borrower or Servicer hereunder shall have been terminated; and (xiv) any other circumstances or happening whatsoever, whether or not similar to any of the foregoing, that might otherwise constitute a suretyship defense. Nothing contained in this Section 2.12 shall be deemed to relieve the LC Issuer or the Administrative Agent from any claim by the Borrower for the gross negligence or willful misconduct of the LC Issuer in respect of honoring or failing to honor any drawing under any Letter of Credit or otherwise in respect of any Letter of Credit, but any such claim may not be used as a defense to the Borrower’s obligation to reimburse the LC Issuer for such drawing. Section 2.13 Liability for Acts and Omissions¶. As between the Borrower, on the one hand, and the Administrative Agent, the LC Issuer, the Co-Agents and the Lenders, on the other, the Borrower assumes all risks of the acts and omissions of, or misuse of any Letter of Credit by, the respective beneficiaries of such Letter of Credit. In furtherance and not in limitation of the foregoing, none of the Administrative Agent, the LC Issuer, the Co-Agents or the Lenders shall be responsible for: (i) the form, validity, sufficiency, accuracy, genuineness or legal effect of any document submitted by any party in connection with the application for an issuance of any such Letter of Credit, even if it should in fact prove to be in any or all respects invalid, insufficient, inaccurate, fraudulent or forged (even if the LC Issuer or any Committed Lender shall have been notified thereof); (ii) the validity or sufficiency of any instrument transferring or assigning or purporting to transfer or assign any such Letter of Credit or the rights or benefits thereunder or proceeds thereof, in whole or in part, which may prove to be invalid or ineffective for any reason; (iii) the failure of the beneficiary of any such Letter of Credit, or any other party to which 19


 
such Letter of Credit may be transferred, to comply fully with any conditions required in order to draw upon such Letter of Credit or any other claim of the Borrower against any beneficiary of such Letter of Credit, or any such transferee, or any dispute between or among the Borrower and any beneficiary of any Letter of Credit or any such transferee; (iv) errors, omissions, interruptions or delays in transmission or delivery of any messages, by mail, electronic mail, cable, telegraph, telex, facsimile or otherwise, whether or not they be in cipher; (v) errors in interpretation of technical terms; (vi) any loss or delay in the transmission or otherwise of any document required in order to make a drawing under any such Letter of Credit or of the proceeds thereof; (vii) the misapplication by the beneficiary of any such Letter of Credit of the proceeds of any drawing under such Letter of Credit; or (viii) any consequences arising from causes beyond the control of the Administrative Agent, the LC Issuer, the Committed Lenders, the Co-Agents and the Lenders, including any Governmental Acts, and none of the above shall affect or impair, or prevent the vesting of, any of the LC Issuer’s rights or powers hereunder. Nothing contained in the preceding sentence shall relieve the LC Issuer, the Administrative Agent, the Co-Agents or any Lender for such party’s gross negligence, willful misconduct or bad faith (as determined by a court of competent jurisdiction in a final non-appealable judgment) in connection with the actions or omissions described in clauses (i) through (viii) of such sentence, but in no event shall the Administrative Agent, the LC Issuer, the Committed Lenders, the Co-Agents or the Lenders or their respective Affiliates, be liable to the Borrower or any other Person for any indirect, consequential, incidental, punitive, exemplary or special damages or expenses (including without limitation attorneys’ fees), or for any damages resulting from any change in the value of any property relating to a Letter of Credit. Without limiting the generality of the foregoing, the Administrative Agent, the LC Issuer, the Committed Lenders, the Co-Agents and the Lenders and each of its Affiliates (i) may rely on any written communication believed in good faith by such Person to have been authorized or given by or on behalf of the applicant for a Letter of Credit; (ii) may honor any presentation if the documents presented appear on their face to comply with the terms and conditions of the relevant Letter of Credit; (iii) may honor a previously dishonored presentation under a Letter of Credit, whether such dishonor was pursuant to a court order, to settle or compromise any claim of wrongful dishonor, or otherwise, and shall be entitled to reimbursement to the same extent as if such presentation had initially been honored, together with any Interest paid by the LC Issuer or its Affiliates; (iv) may honor any drawing that is payable upon presentation of a statement advising negotiation or payment, upon receipt of such statement (even if such statement indicates that a draft or other document is being delivered separately), and shall not be liable for any failure of any such draft or other document to arrive, or to conform in any way with the relevant Letter of Credit; (v) may pay any paying or negotiating bank claiming that it rightfully honored under the laws or practices of the place where such bank is located; and (vi) may settle or adjust any claim or demand made on the Administrative Agent, the LC Issuer, the Committed Lenders, the Co-Agents or the Lenders or their respective Affiliates, in any way related to any order issued at the applicant’s request to an air carrier, a letter of guarantee or of indemnity issued to a carrier or any similar document (each, an “Order”) and may honor any drawing in connection with any Letter of Credit that is the subject of such Order, notwithstanding that any drafts or other documents presented in connection with such Letter of Credit fail to conform in any way with such Letter of Credit. In furtherance and extension and not in limitation of the specific provisions set forth above, any action taken or omitted by the LC Issuer under or in connection with any Letter of Credit issued by it or any documents and certificates delivered thereunder, if taken or omitted in good faith and without gross negligence or willful misconduct, as determined by a final non-appealable judgment of a court of competent jurisdiction, shall not put the LC Issuer under any resulting liability to the Borrower, any Committed Lender or any other Person. 20


 
Section 2.14 Intended Tax Treatment¶. All parties to this Agreement covenant and agree to treat any Advance and any drawing on a Letter of Credit under this Agreement as debt for all U.S. federal income tax purposes and to not take any position on any tax return inconsistent with the foregoing, except as otherwise required pursuant to a “determination” within the meaning of Section 1313(a) of the Code (or any comparable provision of any state, local or foreign law). ARTICLE III. SETTLEMENTS Section 3.1 Reporting.¶ (a) Monthly Reports.¶ Not later than the Monthly Reporting Date in each calendar month hereafter, the Servicer shall deliver to each of the Co-Agents, a Monthly Report accompanied by an electronic file in a form reasonably satisfactory to each of the Co-Agents; provided, however, that if an Unmatured Default or an Event of Default shall exist and be continuing, each of the Co-Agents may request that a computation of the Borrowing Base also be made on a date that is not a Monthly Reporting Date and, so long as such request is not made on or within 5 Business Days prior to the last day of any calendar month, the Servicer agrees to provide such computation within 3 Business Days after such request. (b) [Reserved].¶ (c) Interest; Other Amounts Due¶. At or before 12:00 noon (New York City time) on the Business Day before each Settlement Date, each of the Co-Agents shall notify the Borrower and the Servicer of (i) the aggregate Principal balance of all Loans that are then outstanding from its Constituents, (ii) its Constituents’ LC Sublimit Percentage of the LC Reimbursement Obligations that are then outstanding, and (iii) the aggregate amount of all Principal, Interest and fees that will be due and payable by the Borrower to such Co-Agent for the account of such Co-Agent or its Constituents on such Settlement Date. Section 3.2 Turnover of Collections; Pre-Termination Waterfall¶. Without limiting any Agent’s or Lender’s recourse to the Borrower for payment of any and all Obligations: (a) If any Monthly Report reveals that a mandatory prepayment or Cash Collateral Payment is required under Section 1.5(b), (c), (d) or (e), not later than the 1:00 p.m. (New York City time) on the next succeeding Settlement Date, the Servicer shall turn over to each applicable Co-Agent, for distribution to its Constituents, a portion of the Collections equal to the amount of such required mandatory prepayment and shall turn over to the LC Issuer for deposit into the LC Collateral Account a portion of the Collections equal to the amount of such required Cash Collateral. (b) If, on any Settlement Date, any Loans are to be voluntarily prepaid in accordance with Section 1.5(a), or if the aggregate Principal amount of the Advances outstanding is to be reduced, the Servicer shall turn over to each of the Co-Agents, for distribution to its Constituents, a portion of the Collections equal to the Groups’ respective Percentages of the aggregate amount of such voluntary prepayment or reduction. (c) In addition to, but without duplication of, the foregoing, on (i) each Settlement Date and (ii) each other date on which any Principal of or Interest on any of the Obligations becomes due (whether by acceleration or otherwise) and, in the case of Principal, has not been reborrowed pursuant to Section 21


 
1.1 (if permitted), the Servicer shall turn over to each of the Co-Agents, for distribution to their respective Constituents, the Groups’ respective Percentages of a portion of the Collections equal to the aggregate amount of all other Obligations that are due and owing on such date. If the Collections and proceeds of new Loans are insufficient to make all payments required under clauses (a), (b) and (c) and to pay the Servicer’s Fees and, if applicable, all expenses due and owing to any replacement Servicer under Section 8.1(d) (all of the foregoing, collectively, the “Required Amounts”) and the Borrower has made any Demand Advances, the Borrower shall make demand upon Quest Diagnostics for payment of the Demand Advances in an amount equal to the lesser of the Required Amounts or the aggregate outstanding Principal balance of such Demand Advances (plus any accrued and unpaid Interest thereon) and, upon receipt of any such amounts, the Borrower shall pay them to each of the Co-Agents, ratably in accordance with their respective Groups’ Percentages, for distribution in accordance with this Section 3.2. (d) If the aggregate amount of Collections and payments on Demand Advances received by the Co-Agents on any Settlement Date are insufficient to pay all Required Amounts, the aggregate amount received shall be applied to the items specified in the subclauses below, in the order of priority of such subclauses: (i) to any accrued and unpaid Interest on the Loans that is then due and owing, including any previously accrued Interest which was not paid on its applicable due date; (ii) if the Servicer is not the Borrower or an Affiliate thereof, to any accrued and unpaid Servicer’s Fee that is then due and owing to such Servicer, together with any invoiced expenses of the Servicer due and owing pursuant to Section 8.1(d); (iii) to the Unused Fee and the Usage Fee accrued during such Accrual Period, plus any previously accrued Unused Fee and Usage Fee not paid on a prior Settlement Date; (iv) ratably to the payment of the Principal of any Loans that are then due and owing and to the Cash Collateralization of any Non-Renewing Lender’s Share of the LC Obligations; (v) to the payment of LC Processing Fees that are then due and owing. (vi) to other Obligations that are then due and owing; (vii) if the Servicer is the Borrower, Quest Diagnostics or one of their respective Affiliates, to the accrued and unpaid Servicer’s Fee; and (viii) the balance, if any, to the Borrower. (e) If the Servicer is ever required to deliver a computation of the Cash Collateral Payment pursuant to Section 3.1(b), not later than one (1) Business Day after delivery of such computation, the Borrower shall pay to the applicable Co-Agent an amount equal to its Group’s Percentage of the Cash Collateral Payment to be invested in Permitted Investments selected by such Co-Agent but held as Collateral for the Obligations until the next Settlement Date pending distribution in accordance with Section 3.2(d). If the Borrower lacks sufficient funds to make any such Cash Collateral Payment, in whole or in part, the Borrower shall make immediate demand upon Quest Diagnostics for payment of any Demand Advances that are then outstanding, and, upon receipt of any such shortfall amount, the Borrower shall pay each Group’s Percentage of such shortfall amount to the applicable Co-Agent for 22


 
deposit into a cash collateral account to be invested in Permitted Investments selected by the applicable Co-Agent but held as Collateral for the Obligations until the next Settlement Date pending distribution in accordance with Section 3.2(d). All payments of Principal and Interest made to the Atlantic Group Agent for the account of any Tranched Loan Lender shall be allocated by such Tranched Loan Lender in accordance with Annex C to this Agreement. (f) In addition to, but without duplication of, the foregoing, on (i) each Settlement Date and (ii) each other date on which any Principal of or Interest on any of the Loans becomes due (whether by acceleration pursuant to Section 10.2(a) or 10.2(b) or otherwise), the Servicer shall turn over to each of the Co-Agents, for distribution to the Lenders, a portion of the Collections equal to the aggregate amount of all Obligations that are due and owing on such date. Section 3.3 Non-Distribution of Servicer’s Fee¶. Each of the Agents and the other Secured Parties hereby consents to the retention by the Servicer of a portion of the Collections equal to the Servicer’s Fee (and, if applicable, any invoiced expenses of such Servicer that are due and owing pursuant to Section 8.1(d)) so long as the Collections received by the Servicer are sufficient to pay all amounts pursuant to Section 3.2 of a higher priority as specified in such Section. Section 3.4 Deemed Collections¶. If as of the last day of any Accrual Period: (a) the outstanding aggregate balance of the Net Receivables as reflected in the preceding Monthly Report (net of any positive adjustments) has been reduced for any of the following reasons: (i) as a result of any rejected services, any cash discount or any other adjustment by the applicable Originator or any Affiliate thereof (regardless of whether the same is treated by such Originator or Affiliate as a write-off), or as a result of any surcharge or other governmental or regulatory action, or (ii) as a result of any setoff or breach of the underlying agreement in respect of any claim by the Obligor thereof (whether such claim arises out of the same or a related or an unrelated transaction), or (iii) on account of the obligation of the applicable Originator or any Affiliate thereof to pay to the related Obligor any rebate or refund, or (iv) the Unpaid Net Balance of any Receivable is less than the amount included in calculating the Net Pool Balance for purposes of any Monthly Report (for any reason other than such Receivable becoming a Defaulted Receivable), or (b) any of the representations or warranties of the Borrower set forth in Section 6.1(j), (l) or (p) was not true when made with respect to any Receivable, or any of the representations or warranties of the Borrower set forth in Section 6.1(l) is no longer true with respect to any Receivable, then, in such event, the Borrower shall be deemed to have received a Collection in an amount equal to (A) the amount of such reduction, cancellation or overstatement, in the case of the preceding clauses (a) (i), (a)(ii), (a)(iii) and (a)(iv), and (B) in the full amount of the Unpaid Net Balance of such Receivable in the case of the preceding clause (b). 23


 
Section 3.5 Release of Excess Cash Collateral¶. If on any Settlement Date, the balance in the LC Collateral Account exceeds the amount required, unless an Event of Default or an Unmatured Default Event shall exist and be continuing, the LC Issuer shall release the excess cash collateral to the Borrower. ARTICLE IV. FEES AND YIELD PROTECTION Section 4.1 Fees.¶ Quest Diagnostics or the Borrower, as applicable, shall pay to each of the Agents, the LC Issuer and the Lenders certain fees from time to time in amounts and payable on such dates as are set forth in the Fee Letter. Section 4.2 Yield Protection.¶ (a) If any Regulatory Change occurring after the date hereof: (i) shall subject an Affected Party to any Tax, duty or other charge with respect to its Obligations or, as applicable, its Commitment or its Liquidity Commitment, payments to the Affected Party of any Obligations, owed to or funded in whole or in part by it or any other amounts due under this Agreement in respect of its Obligations or, as applicable, its Commitment or its Liquidity Commitment except, in each case, for Taxes other than capital taxes imposed on such Affected Party’s loans, loan principal, Letters of Credit, commitments, or other obligations, or its deposits, reserves, other liabilities or capital attributable thereto; or (ii) shall impose, modify or deem applicable any reserve that was not included in the computation of the applicable Interest Rate, or any special deposit or similar requirement against assets of any Affected Party, deposits or obligations with or for the account of any Affected Party or with or for the account of any affiliate (or entity deemed by the Federal Reserve Board to be an affiliate) of any Affected Party, or credit extended by any Affected Party; or (iii) shall affect the amount of capital required or expected to be maintained by any Affected Party; or (iv) shall impose any other condition affecting any Obligation owned or funded in whole or in part by any Affected Party, or its rights or obligations, if any, to make Loans or Liquidity Fundings or to issue or participate in Letters of Credit; or (v) shall change the rate for, or the manner in which the Federal Deposit Insurance Corporation (or a successor thereto) assesses deposit insurance premiums or similar charges; or (vi) shall require any Conduit to be consolidated for financial accounting purposes with any other Person; and the result of any of the foregoing is or would be: (x) to increase the cost to or to impose a cost on (I) an Affected Party funding or making or maintaining any Loan, any Liquidity Funding, any Letter of Credit or participation therein, or any commitment of such Affected Party with respect to any of the foregoing, or (II) the LC Issuer, any of the Agents for continuing its or the Borrower’s relationship with any Affected Party, in each case, in an amount deemed to be material by such Affected Party, 24


 
(y) to reduce the amount of any sum received or receivable by an Affected Party under this Agreement or under the Liquidity Agreement, or (z) to reduce the rate of return on such Affected Party’s capital as a consequence of its Commitment, its Liquidity Commitment, the Letters of Credit or such Affected Party’s participation therein, or the Loans made by it to a level below that which such Affected Party could have achieved but for the occurrence of such circumstances, then, within thirty days after demand by such Affected Party (which demand shall be made not more than 90 days after the date on which the Affected Party obtains actual knowledge of such Regulatory Change and shall be accompanied by a certificate setting forth, in reasonable detail, the basis of such demand and the methodology for calculating, and the calculation of, the amounts claimed by the Affected Party), the Borrower shall pay directly to such Affected Party such additional amount or amounts as will compensate such Affected Party for such actual additional cost, actual increased cost or actual reduction. (b) Each Affected Party will promptly notify the Borrower, the Administrative Agent, the LC Issuer and the applicable Co-Agent of any event of which it has knowledge (including any future event that, in the judgment of such Affected Party, is reasonably certain to occur) which will entitle such Affected Party to compensation pursuant to this Section 4.2; provided, however, no failure to give or delay in giving such notification shall adversely affect the rights of any Affected Party to such compensation unless such notification is given more than 90 days after the Affected Party becomes aware of such Regulatory Change. (c) In determining any amount provided for or referred to in this Section 4.2, an Affected Party may use any reasonable averaging and attribution methods (consistent with its ordinary business practices) that it (in its reasonable discretion) shall deem applicable. Any Affected Party when making a claim under this Section 4.2 shall submit to the Borrower the above-referenced certificate as to such actual increased cost or actual reduced return (including calculation thereof in reasonable detail), which statement shall, in the absence of demonstrable error, be conclusive and binding upon the Borrower. (d) Each of the Lenders agrees, and shall require each Affected Party to agree that, with reasonable promptness after an officer of such Lender or such Affected Party responsible for administering the Transaction Documents becomes aware that it (x) has become an Affected Party under this Section 4.2, (y) is entitled to receive payments under this Section 4.2, or (z) is or has become subject to U.S. withholding Taxes payable by any Loan Party in respect of its investment hereunder, it will, to the extent not inconsistent with any internal policy of such Person or any applicable legal or regulatory restriction, (i) use all reasonable efforts to make, fund or maintain its commitment or investment hereunder through another branch or office of such Affected Party, or (ii) take such other reasonable measures, if, as a result thereof, the circumstances which would cause such Person to be an Affected Party under this Section 4.2 would cease to exist, or the additional amounts which would otherwise be required to be paid to such Person pursuant to this Section 4.2 would be reduced, or such withholding Taxes would be reduced, and if the making, funding or maintaining of such commitment or investment through such other office or in accordance with such other measures, as the case may be, would not otherwise adversely affect such commitment or investment or the interests of such Person; provided that such Person will not be obligated to utilize such other lending office pursuant to this Section 4.2 unless the Borrower agrees to pay all incremental out-of-pocket expenses incurred by such Person as a result of utilizing such other office as described in clause (i) above. 25


 
(e) If any Lender makes a claim for compensation under this Section 4.2, the Borrower may propose an Eligible Assignee to the applicable Co-Agent who is willing to accept an assignment of such Lender’s Commitment, Liquidity Commitment, outstanding Loans and interests in the Letters of Credit, as applicable, together with each of its other rights and obligations under the Transaction Documents; provided that any expenses or other amounts which would be owing to such Lender pursuant to any indemnification provision hereof (including, if applicable, Section 4.3) shall be payable by the Borrower as if the Borrower had prepaid the Loans of the assigning Lenders rather than such assigning Lenders having assigned their respective interests hereunder. If such proposed Eligible Assignee is acceptable to the applicable Co-Agent (who shall not unreasonably withhold or delay its approval), the claiming Lender will be obligated to assign all of its rights and obligations to such proposed Eligible Assignee within ten (10) Business Days after such Co-Agent gives its consent to such proposed Eligible Assignee. In addition, if one or more Affected Parties in one of the Groups (but not all of the Groups) requests compensation under Section 4.2(a), the Borrower shall have the right to (i) require all members of the Group to which such claiming part to assign all, but not less than all, of their Commitment(s) and outstanding Obligations, as applicable, by entering into written assignments with one or more Eligible Assignees identified by the Borrower, or (ii) to pay in full of all Obligations (if any) owing to such Group and terminate its Commitment(s) (as applicable). Each assignment pursuant to clause (i) above to an Eligible Assignee (which may include a Constituent of the other Co-Agent) shall become effective on the date specified therein subject to receipt of payment in full on such date for all Obligations, if any, owing to the Group being replaced, and the Group being replaced shall make the requested assignments; provided that any expenses or other amounts which would be owing to such Group pursuant to any indemnification provision hereof shall be payable by the Borrower as if the Borrower had prepaid the Loans of the assigning Group rather than the members of such Group having assigned their respective interests hereunder. Section 4.3 Funding Losses.¶ In the event that any Lender shall actually incur any actual loss or expense (including any actual loss or expense incurred by reason of the liquidation or reemployment of deposits or other funds acquired by such Lender to make or maintain any Loan or Liquidity Funding) as a result of (i) any payment of Principal with respect to such Lender’s Loan or Liquidity Funding being made on any day other than the scheduled last day of an applicable CP Tranche Period or Interest Period with respect thereto, including, without limitation, because of a payment required by Section 1.4 or a prepayment required by Section 1.5(b), (c) or (d) (it being understood that the foregoing shall not apply to any Alternate Base Rate Loans or Daily Term SOFR Loans), or (ii) any Loan not being made in accordance with a request therefor under Section 2.1, then, upon written notice from the applicable Co-Agent to the Administrative Agent, the Borrower and the Servicer, the Borrower shall pay to the Servicer, and the Servicer shall pay to the applicable Co-Agent for the account of such Lender, the amount of such actual loss or expense; provided, however, that in the case of any Pool Funded Conduit, nothing in this Section 4.3 shall duplicate any amount paid to it as Broken Funding Costs. Such written notice (which shall include the methodology for calculating, and the calculation of, the amount of such actual loss or expense, in reasonable detail) shall, in the absence of demonstrable error, be conclusive and binding upon the Borrower and the Servicer. Section 4.4 Inability to Determine Rates¶. Subject to Section 4.6, if, prior to the first day of any Interest Period for any Term SOFR Loan or on any day for any Daily Term SOFR Loan: 26


 
(i) any applicable Co-Agent determines (which determination shall be conclusive and binding absent manifest error) that “Term SOFR,” “Daily One Month Term SOFR” or “Daily Three Month Term SOFR,” as applicable, cannot be determined pursuant to the applicable definition thereof, or (ii) any applicable Co-Agent determines that for any reason in connection with (x) any request for a Term SOFR Loan or a Daily Term SOFR Loan or a conversion thereto or a continuation thereof or (y) the maintenance of a Daily Term SOFR Loan, that Adjusted Term SOFR for any requested Interest Period with respect to a proposed Term SOFR Loan or the applicable Daily Term SOFR for any day with respect to a Daily Term SOFR Loan does not adequately and fairly reflect the cost to the applicable Lender(s) in its Group of funding such Term SOFR Loan or Daily Term SOFR Loan or maintaining such Daily Term SOFR Loan, as applicable, and such Co-Agent has provided notice of such determination to the Administrative Agent, the Administrative Agent will promptly so notify the Borrower and each Co-Agent. Upon notice thereof by the Administrative Agent to the Borrower, any obligation of the Lenders in such Group to make Term SOFR Loans or to make or maintain Daily Term SOFR Loans, as applicable, and any right of the Borrower to continue Term SOFR Loans or Daily Term SOFR Loans or to convert Alternate Base Rate Loans to Term SOFR Loans or Daily Term SOFR Loans, shall be suspended (to the extent of the affected Term SOFR Loans or affected Interest Periods or affected Daily Term SOFR Loans, as applicable) until the Administrative Agent (with respect to clause (ii), at the instruction of the applicable Co-Agent) revokes such notice. Upon receipt of such notice, (i) the Borrower may revoke any pending request for a borrowing of, conversion to or continuation of Term SOFR Loans or Daily Term SOFR Loans (to the extent of the affected Term SOFR Loans or affected Interest Periods or affected Daily Term SOFR Loans) or, failing that, the Borrower will be deemed to have converted any such request into a request for a Borrowing of or conversion to Alternate Base Rate Loans in the amount specified therein and (ii) any outstanding affected Term SOFR Loans and Daily Term SOFR Loans, as applicable, will be deemed to have been converted into Alternate Base Rate Loans at the end of the applicable Interest Period, in the case of affected Term SOFR Loans, or immediately, in the case of affected Daily Term SOFR Loans. Upon any such conversion, the Borrower shall also pay accrued interest on the amount so converted, together with any additional amounts required pursuant to Section 4.3. Subject to Section 4.6, if an applicable Co-Agent determines (which determination shall be conclusive and binding absent manifest error) that “Term SOFR” cannot be determined pursuant to the definition thereof on any given day, the interest rate on Alternate Base Rate Loans shall be determined by the Administrative Agent without reference to clause (c) of the definition of “Alternate Base Rate” until the Administrative Agent revokes such determination. Section 4.5 Illegality¶. If any Lender determines that any Law has made it unlawful, or that any Governmental Authority has asserted that it is unlawful, for any Lender or its applicable lending office to make, maintain or fund Loans whose interest is determined by reference to SOFR, the Term SOFR Reference Rate, Term SOFR, Daily One Month Term SOFR or Daily Three Month Term SOFR (each such Loan, a “SOFR Loan”), or to determine or charge interest rates based upon SOFR, the Term SOFR Reference Rate, Term SOFR, Daily One Month Term SOFR or Daily Three Month Term SOFR, then, upon notice thereof by such Lender to the Borrower (through such Lender’s Co-Agent), (a) any obligation of such Lender to make or maintain a SOFR Loan, and any right of the Borrower to continue SOFR Loans or to convert Alternate Base Rate Loans to SOFR Loans, shall be suspended, and (b) the Alternate Base Rate shall, if necessary to avoid such illegality, be determined by the Administrative Agent without reference to clause (c) of the definition of “Alternate Base Rate”, in each case until such Lender notifies the Agents and the Borrower that the circumstances giving rise to such determination no longer exist. Upon receipt 27


 
of such notice, (i) the Borrower shall, if necessary to avoid such illegality, upon demand from any Lender (with a copy to the Administrative Agent), prepay or, if applicable, convert all SOFR Loans to Alternate Base Rate Loans (and the Alternate Base Rate shall, if necessary to avoid such illegality, be determined by the Administrative Agent without reference to clause (c) of the definition of “Alternate Base Rate”), on the last day of the Interest Period therefor with respect to Term SOFR Loans, if all affected Lenders may lawfully continue to maintain such Term SOFR Loans to such day, or immediately, in the case of Daily Term SOFR Loans or if any Lender may not lawfully continue to maintain such Term SOFR Loans to such day, and (ii) if necessary to avoid such illegality, the Administrative Agent shall during the period of such suspension compute the Alternate Base Rate without reference to clause (c) of the definition of “Alternate Base Rate,” in each case until the Administrative Agent is advised in writing by each affected Lender or its Co-Agent that it is no longer illegal for such Lender to determine or charge interest rates based upon SOFR, the Term SOFR Reference Rate, Term SOFR, Daily One Month Term SOFR or Daily Three Month Term SOFR. Upon any such prepayment or conversion, the Borrower shall also pay accrued interest on the amount so prepaid or converted, together with any additional amounts required pursuant to Section 4.3. Section 4.6 Benchmark Setting¶. (a) Benchmark Replacement. Notwithstanding anything to the contrary herein or in any other Transaction Document, upon the occurrence of a Benchmark Transition Event, the Administrative Agent (after consultation with the Co-Agents) and the Borrower may amend this Agreement to replace the then-current Benchmark with a Benchmark Replacement. Any such amendment with respect to a Benchmark Transition Event will become effective at 5:00 p.m. (New York City time) on the fifth (5th) Business Day after the Administrative Agent has posted such proposed amendment to all Co-Agents and the Borrower so long as the Administrative Agent has not received, by such time, written notice of objection to such amendment from any Co-Agent. No replacement of a Benchmark with a Benchmark Replacement pursuant to this Section 4.6(a) will occur prior to the applicable Benchmark Transition Start Date. (b) Benchmark Replacement Conforming Changes. In connection with the use, administration, adoption or implementation of a Benchmark Replacement, the Administrative Agent will have the right to make Conforming Changes from time to time and, notwithstanding anything to the contrary herein or in any other Transaction Document, any amendments implementing such Conforming Changes will become effective without any further action or consent of any other party to this Agreement or any other Transaction Document. (c) Notices; Standards for Decisions and Determinations. The Administrative Agent will promptly notify the Borrower and the Lenders of (i) the implementation of any Benchmark Replacement and (ii) the effectiveness of any Conforming Changes in connection with the use, administration, adoption or implementation of a Benchmark Replacement. The Administrative Agent will promptly notify the Borrower of the removal or reinstatement of any tenor of a Benchmark pursuant to Section 4.6(d). Any determination, decision or election that may be made by the Administrative Agent or, if applicable, any Lender (or group of Lenders) pursuant to this Section 4.6, including any determination with respect to a tenor, rate or adjustment or of the occurrence or non-occurrence of an event, circumstance or date and any decision to take or refrain from taking any action or any selection, will be conclusive and binding absent manifest error and may be made in its or their sole discretion and without consent from any other party to this Agreement or any other Transaction Document, except, in each case, as expressly required pursuant to this Section 4.6. 28


 
(d) Unavailability of Tenor of Benchmark. Notwithstanding anything to the contrary herein or in any other Transaction Document, at any time (including in connection with the implementation of a Benchmark Replacement), (i) if the then-current Benchmark is a term rate (including the Term SOFR Reference Rate) and either (A) any tenor for such Benchmark is not displayed on a screen or other information service that publishes such rate from time to time as selected by the Administrative Agent in its reasonable discretion or (B) the administrator of such Benchmark or the regulatory supervisor for the administrator of such Benchmark has provided a public statement or publication of information announcing that any tenor for such Benchmark is not or will not be representative or in compliance with or aligned with the International Organization of Securities Commissions (IOSCO) Principles for Financial Benchmarks, then the Administrative Agent may modify the definition of “Interest Period”, “Daily One Month Term SOFR” or “Daily Three Month Term SOFR” (or any similar or analogous definition) for any Benchmark settings at or after such time to remove such unavailable, non-representative, non-compliant or non-aligned tenor and (ii) if a tenor that was removed pursuant to clause (i) above either (A) is subsequently displayed on a screen or information service for a Benchmark (including a Benchmark Replacement) or (B) is not, or is no longer, subject to an announcement that it is not or will not be representative or in compliance with or aligned with the International Organization of Securities Commissions (IOSCO) Principles for Financial Benchmarks for a Benchmark (including a Benchmark Replacement), then the Administrative Agent (in consultation with the Borrower) may modify the definition of “Interest Period”, “Daily One Month Term SOFR” or “Daily Three Month Term SOFR” (or any similar or analogous definition) for all Benchmark settings at or after such time to reinstate such previously removed tenor. (e) Benchmark Unavailability Period. Upon the Borrower’s receipt of notice of the commencement of a Benchmark Unavailability Period, the Borrower may revoke any pending request for a borrowing of, conversion to or continuation of SOFR Loans to be made, converted or continued during any Benchmark Unavailability Period and, failing that, the Borrower will be deemed to have converted any such request into a request for a borrowing of or conversion to Alternate Base Rate Loans. For the avoidance of doubt, upon the commencement of a Benchmark Unavailability Period, all outstanding Daily Term SOFR Loans shall be automatically and immediately converted to Alternate Base Rate Loans. During a Benchmark Unavailability Period or at any time that a tenor for the then-current Benchmark is not an Available Tenor, the component of the Alternate Base Rate based upon the then- current Benchmark or such tenor for such Benchmark, as applicable, will not be used in any determination of the Alternate Base Rate. ARTICLE V. CONDITIONS PRECEDENT Section 5.1 [Intentionally Deleted]¶. Section 5.2 Conditions Precedent to All Credit Events¶. Each Credit Event (including the initial Credit Event under this Agreement but excluding the funding of an LC Advance) shall be subject to the conditions precedent that on the applicable Borrowing Date, each of the following statements shall be true (and the Borrower, by accepting the proceeds of any Advance comprising such Credit Event, and each other Loan Party, upon such acceptance by the Borrower, shall be deemed to have certified that): (a) the representations and warranties contained in Section 6.1 are correct in all respects on and as of the date of such Advance as though made on and as of such day and shall be deemed to have been made on such day (except for such representations which speak only as of an earlier date), 29


 
(b) no event has occurred and is continuing, or would result from such Advance, that constitutes an Event of Default or Unmatured Default, (c) the Termination Date shall not have occurred, (d) if such Advance is to be funded, in whole or in part, by any Conduit’s Liquidity Banks, such Conduit shall have Liquidity Banks in its Group with sufficient undrawn Commitments in an aggregate amount sufficient to fund the requisite portion of such Advance, and (e) each of the Co-Agents shall have received (with such receipt to be determined in accordance with Section 14.2 of this Agreement) a timely Borrowing Request in accordance with Section 2.1; provided, however, the absence of the occurrence and continuance of an Unmatured Default shall not be a condition precedent to any Advance which does not increase the aggregate Principal amount of all Advances outstanding over the aggregate outstanding Principal balance of the Advances as of the opening of business on such day. ARTICLE VI. REPRESENTATIONS AND WARRANTIES Section 6.1 Representations and Warranties of Loan Parties.¶ As of the date hereof and as of the date of each Credit Event, each Loan Party, as to itself, represents and warrants to the Agents and the Lenders as follows: (a) Ownership of the Borrower. Quest Diagnostics owns, directly or indirectly, all the issued and outstanding Equity Interests of the Borrower, and all of such Equity Interests are fully paid and non- assessable and are free and clear of any Liens. (b) Existence; Due Qualification; Permits. Each of the Loan Parties: (i) is a corporation duly organized, validly existing and in good standing under the laws of the jurisdiction of its organization; (ii) has all requisite corporate power and authority necessary to own its Property and carry on its business as now being conducted; (iii) is qualified to do business and is in good standing in all jurisdictions in which the nature of the business conducted by it makes such qualification necessary; and (iv) is in compliance with all Requirements of Law, except in the case of clauses (i), (ii), (iii) and (iv) where the failure thereof individually or in the aggregate could not reasonably be expected to have a Material Adverse Effect. The Loan Parties hold all governmental permits, licenses, authorizations, consents and approvals necessary for the Loan Parties to own, lease, and operate their respective Properties and to operate their respective businesses as now being conducted (collectively, the “Permits”), except for Permits the failure to obtain which would not have a Material Adverse Effect. None of the Permits has been modified in any way that is reasonably likely to have a Material Adverse Effect. All Permits are in full force and effect except where the failure of such to be in full force and effect would not have a Material Adverse Effect. (c) Action. Each Loan Party has all necessary corporate or other entity power, authority and legal right to execute, deliver and perform its obligations under each Transaction Document to which it is a party and to consummate the transactions herein and therein contemplated; the execution, delivery and performance by each Loan Party of each Transaction Document to which it is a party and the consummation of the transactions herein and therein contemplated have been duly authorized by all necessary corporate action on its part; and this Agreement has been duly and validly executed and 30


 
delivered by each Loan Party and constitutes, and each of the other Transaction Documents to which it is a party when executed and delivered by such Loan Party will constitute, its legal, valid and binding obligation, enforceable against each Loan Party in accordance with its terms, except as such enforceability may be limited by (i) bankruptcy, insolvency, fraudulent conveyance, reorganization, moratorium or similar laws of general applicability from time to time in effect affecting the enforcement of creditors’ rights and remedies and (ii) the application of general principles of equity (regardless of whether such enforceability is considered in a proceeding in equity or at law). (d) Absence of Default. No Unmatured Default or Event of Default has occurred and is continuing. (e) Noncontravention. (i) None of the execution, delivery and performance by a Loan Party of any Transaction Document to which it is a party nor the consummation of the transactions herein and therein contemplated will (A) conflict with or result in a breach of, or require any consent (which has not been obtained and is in full force and effect) under, an Organic Document of such Loan Party or any applicable Requirement of Law or any order, writ, injunction or decree of any Governmental Authority binding on such Loan Party, or any term or provision of any Contractual Obligation of such Loan Party or (B) constitute (with due notice or lapse of time or both) a default under any such Contractual Obligation, or (C) result in the creation or imposition of any Lien (except for the Liens created pursuant to the Transaction Documents) upon any Property of such Loan Party pursuant to the terms of any such Contractual Obligation, except with respect to each of the foregoing which could not reasonably be expected to have a Material Adverse Effect and which would not subject any Lender to any material risk of damages or liability to third parties. (ii) No Loan Party is in default under any material contract or agreement to which it is a party or by which it is bound, nor, to such Loan Party’s knowledge, does any condition exist that, with notice or lapse of time or both, would constitute such default, excluding in any case such defaults that are not reasonably likely to have a Material Adverse Effect. (f) No Proceedings. Except as described in Quest Diagnostics’ Form 10-K for the fiscal year ended December 31, 2024 and all filings made with the SEC under the Exchange Act by any Loan Party subsequent thereto prior to the Eighth Amendment Effective Date (copies of which have been provided to each of the Co-Agents or made available on EDGAR): (i) There is no Proceeding (other than any qui tam Proceeding, to which this Section is limited to the best of each Loan Party’s knowledge) pending against, or, to the knowledge of either Loan Party, threatened in writing against or affecting, any Loan Party or any of its respective Properties before any Governmental Authority that, if determined or resolved adversely to such Loan Party, could reasonably be expected to have a Material Adverse Effect. (ii) There is (A) no unfair labor practice complaint pending against any Loan Party or, to the best knowledge of each Loan Party, threatened against such Loan Party, before the National Labor Relations Board or any other Governmental Authority, and no grievance or arbitration proceeding arising out of or under any collective bargaining agreement is so pending against such Loan Party or, to the best knowledge of such Loan Party after due inquiry, threatened against such Loan Party, (B) no strike, labor dispute, slowdown or stoppage pending against such Loan Party or, to the best knowledge of Borrower, after due inquiry, threatened against such Loan Party and (C) to the best knowledge of Borrower after due 31


 
inquiry, no union representation question existing with respect to the employees of such Loan Party and, to the best knowledge of such Loan Party, no union organizing activities are taking place, except such as would not, with respect to any matter specified in clause (A), (B) or (C) above, individually or in the aggregate, have a Material Adverse Effect. (g) Taxes. (i) Except as would not have a Material Adverse Effect: (A) all tax returns, statements, reports and forms (including estimated Tax or information returns) (collectively, the “Tax Returns”) required to be filed with any taxing authority by, or with respect to, each Loan Party have been timely filed in accordance with all applicable laws; (B) each Loan Party has timely paid or made adequate provision for payment of all Taxes shown as due and payable on Tax Returns that have been so filed, and, as of the time of filing, each Tax Return was accurate and complete and correctly reflected the facts regarding income, business, assets, operations, activities and the status of each Loan Party (other than Taxes which are being contested in good faith and for which adequate reserves are reflected on the financial statements delivered hereunder); and (C) each Loan Party has made adequate provision for all Taxes payable by such Loan Party for which no Tax Return has yet been filed. (ii) Except as set forth in Quest Diagnostics’ Annual Report on Form 10-K for the year ended December 31, 2024 and all filings made with the SEC under the Exchange Act by any Loan Party subsequent thereto prior to the Eighth Amendment Effective Date (copies of which have been provided to each of the Co-Agents or made available on EDGAR): (A) as of the Eighth Amendment Effective Date no Loan Party is a member of an affiliated group of corporations within the meaning of Section 1504 of the Code other than an affiliated group of corporations of which Quest Diagnostics is the common parent; and (B) there are no material tax sharing or tax indemnification agreements under which Borrower is required to indemnify another party for a material amount of Taxes. (h) Government Approvals. No authorizations, approvals or consents of, and no filings or registrations with, any Governmental Authority or any securities exchange are necessary for the execution, delivery or performance by any Loan Party of the Transaction Documents to which it is a party or for the legality, validity or enforceability hereof or thereof or for the consummation of the transactions herein and therein contemplated, except for filings and recordings in respect of the Liens created pursuant to the Transaction Documents (all of which have been duly made or delivered to the Administrative Agent’s counsel for filing or may be prepared by the Administrative Agent for filing in accordance with the terms of this Agreement) and except for consents, authorizations and filings that have been obtained or made and are in full force and effect or the failure of which to obtain would not have a Material Adverse Effect. (i) Financial Statements and Absence of Certain Material Adverse Changes. (i) The information, reports, financial statements, exhibits and schedules furnished in writing by either of the Loan Parties to each of the Co-Agents or Lenders in connection with the negotiation, preparation or delivery of the Transaction Documents, including Quest Diagnostics’ Annual Report on Form 10-K for the year ended December 31, 2024, but in each case excluding all projections, whether prior to or after the Eighth Amendment Effective Date, when taken as a whole, do not, as of the date such information was furnished, contain any untrue statement of material fact or omit to state a material fact necessary in order to make the statements herein or therein, in light of the circumstances under which they were made, not materially misleading; it being understood that certain financial 32


 
information so furnished, including without limitation information contained in the Monthly Reports, has not been prepared in accordance with GAAP and might vary materially from information prepared and presented in accordance with GAAP on the same subject matter. Each Loan Party understands that all such statements, representations and warranties shall be deemed to have been relied upon by the Lenders as a material inducement to make each extension of credit hereunder. (ii) From December 31, 2024, there has been no material adverse change in Quest Diagnostics’ consolidated financial condition, business or operations. Since December 31, 2024, there has been no material adverse change in Quest Diagnostics’ consolidated financial condition, business or operations that has had, or would reasonably be expected to have, a material adverse effect upon its ability to perform its obligations, as an Originator or as Servicer, under the Transaction Documents when and as required, and no material adverse effect on the collectability of any material portion of the Receivables. (iii) Since the date hereof, no event has occurred which would have a Material Adverse Effect. (j) Nature of Receivables. Each Receivable constitutes an Account or a Payment Intangible. (k) Margin Regulations. The use of all funds obtained by such Loan Party under this Agreement or any other Transaction Document will not conflict with or contravene any of Regulation T, U or X. (l) Title to Purchased Assets and Quality of Title. (i) Each Purchased Asset has been acquired by the Borrower from an Originator in accordance with the terms of the Sale Agreement, and the Borrower has thereby irrevocably obtained good title to such Purchased Asset and its Related Assets, free and clear of all Adverse Claims (except as created under the Transaction Documents), and the Borrower has the legal right to sell and encumber, such Purchased Asset and the Related Assets. Without limiting the foregoing, there have been duly filed or delivered to the Administrative Agent’s counsel in form suitable for filing, all financing statements and financing statements amendments or other similar instruments or documents necessary under the UCC of all appropriate jurisdictions to perfect the Borrower’s ownership interest in such Purchased Asset. (ii) This Agreement creates a valid security interest in the Collateral in favor of the Administrative Agent, for the benefit of the Secured Parties, and, upon filing of the financing statements and amendments described in clause (i), together with UCC termination statements delivered under the Sale Agreement, such security interest will be a first priority perfected security interest. (iii) No financing statement executed or otherwise authorized by any Originator or Loan Party or other instrument similar in effect covering any portion of the Collateral is on file in any recording office except such as may be filed (A) in favor of an Originator in accordance with the Contracts, (B) in favor of the Borrower and its assigns in connection with the Sale Agreement, (C) in favor of the Administrative Agent in accordance with this Agreement, (D) in connection with any Lien arising solely as the result of any action taken by the Administrative Agent or one of the Secured Parties, or (E) which shall have been terminated or amended pursuant to UCC financing statements delivered to or prepared by the Administrative Agent hereunder in form suitable for filing in all applicable jurisdictions. 33


 
(m) Accurate Reports. No Monthly Report, if prepared by such Loan Party, or to the extent information therein was supplied by such Loan Party, no other information, exhibit, schedule or information concerning the Collateral furnished or to be furnished verbally or in writing before or after the date of this Agreement, by or on behalf of such Loan Party to each of the Co-Agents or Lenders pursuant to this Agreement was inaccurate in any material respect as of the date it was dated or (except as otherwise disclosed to each of the Co-Agents or the Lenders at such time) as of the date so furnished, or contained or (in the case of information or other materials to be furnished in the future) will contain any material misstatement of fact or omitted or (in the case of information or other materials to be furnished in the future) will omit to state a material fact or any fact necessary to make the statements contained therein not materially misleading in light of the circumstances made or presented (it being understood that the Monthly Reports are not prepared in accordance with GAAP and that reports prepared in accordance with GAAP on the same subject matter might vary materially; and certain reconciling information with respect to Purchased Assets will be set forth in the Monthly Report). (n) Jurisdiction of Organization; Offices. Each Loan Party’s jurisdiction of organization is correctly set forth after its name in the preamble to this Agreement. The principal places of business and chief executive office of the Borrower is located at the addresses set forth on Schedule 6.1(n), and the offices where the Servicer and the Borrower keep all their Records and material Contracts are located at the addresses specified in Schedule 6.1(n) (or at such other locations, notified to each of the Co-Agents in accordance with Section 7.1(f), in jurisdictions where all action required by Section 8.5 has been taken and completed). (o) Lockboxes and Collection Accounts. (i) One of the Loan Parties or the applicable Originator has instructed all Obligors of Private Receivables to pay all Collections thereon either (A) by wire transfer, ACH or other electronic funds transfer directly to a Collection Account in the name of the Borrower that at all times after December 31, 2016 is subject to a Collection Account Agreement, or (B) by mail addressed to a Lockbox that clears each Business Day through a Collection Account in the name of the Borrower that meets the requirements of the preceding clause (A). One of the Loan Parties or the applicable Originator has instructed all Obligors of Specified Government Receivables to pay all Collections thereon either (X) by wire transfer, ACH or other electronic funds transfer directly to a Collection Account in the name, and under the control, of the Originator whose services gave rise thereto which is swept each Business Day into a Collection Account in the name of the Borrower that meets the requirements of clause (A) above, or (Y) by mail addressed to a Lockbox that clears each Business Day through a Collection Account in the name, and under the control, of the Originator whose services gave rise thereto which is swept each Business Day into a Collection Account in the name of the Borrower that meets the requirements of clause (A) above. Each of the agreements establishing and governing the maintenance of the Lockboxes and Collection Accounts is in full force and effect, and at all times after December 31, 2016, each of the Collection Accounts in the name of the Borrower is subject to a Collection Account Agreement that is in full force and effect. (ii) The Borrower has not granted any Person other than the Administrative Agent, control of any Collection Account or any Lockbox, or the right to take control of any of the foregoing at a future time or upon the occurrence of a future event. (p) Eligible Receivables. Each Receivable included as an Eligible Receivable in the Net Pool Balance in connection with any computation or recomputation of the Borrowing Base is an Eligible Receivable on such date, and each Participation Interest included as an Eligible Participation Interest in 34


 
the Net Pool Balance in connection with any computation or recomputation of the Borrowing Base is an Eligible Participation Interest on such date. (q) ERISA. No ERISA Event has occurred or is reasonably expected to occur which could have a Material Adverse Effect. The present value of all accumulated benefit obligations of all underfunded Pension Plans (based on the assumptions used for purposes of Statement of Financial Accounting Standards No. 87) did not, as of the date of the most recent financial statements reflecting such amounts, exceed by more than $20.0 million the fair market value of the assets of all such underfunded Pension Plans. Each ERISA Entity is in compliance in all material respects with the presently applicable provisions of ERISA and the Code with respect to each Employee Benefit Plan. Using actuarial assumptions and computation methods consistent with subpart 1 of subtitle E of Title IV of ERISA, the aggregate liabilities of any of each ERISA Entity to all Multiemployer Plans in the event of a complete withdrawal therefrom, as of the close of the most recent fiscal year of each such Multiemployer Plan, would not result in a Material Adverse Effect. All Foreign Plans are in substantial compliance with all Requirements of Law (other than to the extent such failure to comply would not reasonably be expected to have a Material Adverse Effect). (r) Names. Since its incorporation, the Borrower has not used any legal names, trade names or assumed names other than (i) the name in which it has executed this Agreement, and (ii) any other name to which the Administrative Agent gives its prior written consent (which consent will not be unreasonably withheld or delayed). (s) Credit and Collection Policy. With respect to the Receivables originated by each of the Originators, each of the applicable Originator, the Borrower and the Servicer has complied in all material respects with the applicable Credit and Collection Policy, and no change has been made to such Credit and Collection Policy since the date of this Agreement which would be reasonably likely to materially and adversely affect the collectability of the Receivables or decrease the credit quality of any newly created Receivables except for such changes as to which each of the Co-Agents has received the notice required under Section 7.2(h) and has given its prior written consent thereto (which consent shall not be unreasonably withheld or delayed). (t) Payments to Applicable Originator. With respect to each Purchased Asset sold or contributed to the Borrower by any Originator under the Sale Agreement, the Borrower has given reasonably equivalent value to such Originator in consideration for such Purchased Asset and the Related Assets with respect thereto and no such transfer is or may be voidable under any Section of the Bankruptcy Reform Act of 1978 (11 U.S.C. §§101 et seq.), as amended (the “Bankruptcy Code”). (u) Volcker Rule; Investment Company Act; Other Restrictions. Such Loan Party (i) is not a “covered fund” under the Volcker Rule and (ii) is not required to register as, an “investment company” within the meaning of the Investment Company Act of 1940, as amended, or any successor statute. In determining that such Loan Party is not a covered fund, such Loan Party does not rely solely on the exemption from the definition of “investment company” set forth in Section 3(c)(1) and/or 3(c)(7) of the Investment Company Act of 1940. Such Loan Party is not subject to regulation under any law or regulation which limits its ability to incur Indebtedness, other than Regulation X of the Board of Governors of the Federal Reserve System. 35


 
(v) Borrowing Base; Solvency. The Borrowing Base is at all times at least equal to the aggregate outstanding Principal balance of the Advances. As of each Borrowing Date, after giving effect to any Loans to be borrowed on such date, the Borrower is and will be Solvent. (w) Transaction Information. Such Loan Party and its Affiliates (or any third party with which such Loan Party or any Affiliate thereof has contracted) has not delivered, in writing or orally, to any Rating Agency, any Transaction Information without providing such Transaction Information to the applicable Co-Agent prior to delivery to such Rating Agency and has not participated in any oral communications with respect to Transaction Information with any Rating Agency without the participation of such Co-Agent. (x) Risk Retention. The Originators, individually or through related entities, have collectively retained a material net economic interest in the Receivables in an amount at least equal to the percentage required under, and in a manner permitted by, Paragraph 1 of Article 405 of the European Union Capital Requirements Regulation by reference to the portion of Receivables for which each is the applicable Originator, and have not entered into any credit risk mitigation or any short positions or any other hedge in a manner with respect to such net economic interest, except to the extent permitted by the European Union Risk Retention Requirements. (y) Anti-Corruption Laws and Sanctions. Each Loan Party has implemented and maintains in effect policies and procedures designed to ensure compliance by such Loan Party, its Subsidiaries and their respective directors, officers, employees and agents with Anti-Corruption Laws and applicable Sanctions, and each Loan Party, its Subsidiaries and their respective officers and employees and to the knowledge of such Loan Party its directors and agents are in compliance with Anti-Corruption Laws and applicable Sanctions in all material respects. None of (a) any Loan Party, any Subsidiary or, to the knowledge of such Loan Party, any of their respective directors, officers or employees, or (b) to the knowledge of such Loan Party, any agent of such Loan Party or any Subsidiary that will act in any capacity in connection with or benefit from the credit facility established hereby, is a Sanctioned Person. No Loan or Letter of Credit, use of the proceeds of any Loan or any Letter of Credit or other transaction contemplated by this Agreement will result in a violation by any party hereto of Anti-Corruption Laws or applicable Sanctions. (z) Anti-Corruption Laws. No part of the proceeds of any Loan hereunder will be used directly or indirectly to fund any operations in, finance any investments or activities in or make any payments to, a Sanctioned Person or in any Sanctioned Country in violation of Anti-Corruption Laws or applicable Sanctions. (aa) Liquidity Coverage Ratio. The Borrower has not issued, does not issue and will not issue during the term of this Agreement (i) any obligations that (A) constitute asset-backed commercial paper, or (B) are securities required to be registered under the Securities Act of 1933 (the “33 Act”) or that may be offered for sale under Rule 144A or a similar exemption from registration under the 33 Act or the rules promulgated thereunder, or (ii) any other debt obligations or equity interests other than debt obligations substantially similar to the obligations of the Borrower under this Agreement that are (A) issued to other banks or asset-backed commercial paper conduits in privately negotiated transactions, and (B) subject to transfer restrictions substantially similar to the restrictions on assignment set forth in this Agreement. The Borrower further represents and warrants that its assets and liabilities are consolidated with the assets and liabilities of Quest Diagnostics for purposes of GAAP. 36


 
(bb) Beneficial Ownership Rule. The Borrower is an entity that is organized under the laws of the United States or of any state thereof and at least 51 percent of whose common stock or analogous equity interest is owned by a Person whose common stock or analogous equity interests are listed on the New York Stock Exchange or the American Stock Exchange or has been designated as a NASDAQ National Market Security listed on the NASDAQ stock exchange and is excluded on that basis from the definition of “Legal Entity Customer” as defined in the Beneficial Ownership Rule. ARTICLE VII. GENERAL COVENANTS OF LOAN PARTIES Section 7.1 Affirmative Covenants of Loan Parties¶. From the date hereof until the Final Payout Date, unless each of the Co-Agents shall otherwise consent in writing: (a) Compliance With Laws, Etc. Each Loan Party will comply with all applicable laws, rules, regulations and orders, including those with respect to the Receivables and related Contracts and Invoices, except, in each of the foregoing cases, where the failure to so comply would not individually or in the aggregate have a Material Adverse Effect. (b) Preservation of Existence. Each Loan Party will preserve and maintain its existence, rights, franchises and privileges in the jurisdiction of its incorporation, and qualify and remain qualified in good standing as a foreign corporation in each jurisdiction where the failure to preserve and maintain such existence, rights, franchises, privileges and qualification would have a Material Adverse Effect. (c) Audits. Each Loan Party will, subject to compliance with applicable law: (i) at any time and from time to time upon not less than ten (10) Business Days’ notice (unless an Unmatured Default or Event of Default has occurred and is continuing, in which case, not more than one (1) Business Day’s notice shall be required) during regular business hours, permit each of the Agents or any of its agents or representatives: (A) to examine and make copies of and abstracts from all Records, Contracts and Invoices in the possession or under the control of such Loan Party, and (B) to visit the offices and properties of such Loan Party for the purpose of examining such Records, Contracts and Invoices and to discuss matters relating to Receivables or such Loan Party’s performance hereunder with any of the officers or employees of such Loan Party having knowledge of such matters; and (ii) without limiting the provisions of clause (i) above, from time to time, at the expense of such Loan Party, permit certified public accountants or auditors acceptable to each of the Co-Agents to conduct a review of such Loan Party’s Contracts, Invoices and Records (each, a “Review”); provided, however, that (x) so long as no Event of Default has occurred and is continuing, the Loan Parties shall only be responsible for the costs and expenses of one (1) such Review in any calendar year hereafter unless the first such Review in a calendar year resulted in negative findings (in which case the Loan Parties shall be responsible for the costs and expenses of two (2) such Reviews in such calendar year). Notwithstanding the foregoing, if (x) any Loan Party requests the approval of a new Eligible Originator who is a Material Proposed Addition or (y) any Material Acquisition is consummated, the Loan Parties shall be responsible for the costs and expenses of one additional Review per proposed Material Proposed Addition or per Material Acquisition in the calendar year in which such Material Proposed Addition is expected to occur or such Material Acquisition is expected to be consummated if such additional Review is requested by any of the Co- Agents. (d) Keeping of Records and Books of Account. The Servicer will maintain and implement administrative and operating procedures (including, without limitation, an ability to recreate essential 37


 
Records evidencing the Receivables in the event of the destruction of the originals thereof), and keep and maintain, all Contracts, Records and other information necessary or reasonably advisable for the collection of all Receivables (including, without limitation, Records adequate to permit the identification as of any Business Day when required of outstanding Unpaid Net Balances by Obligor and related debit and credit details of the Receivables). Each of the Borrower and the Servicer shall post all Demand Advances to its respective books in accordance with GAAP on or before each Settlement Date. (e) Performance and Compliance with Receivables, Invoices and Contracts. Each Loan Party will, at its expense, timely and fully perform and comply with all provisions, covenants and other promises, if any, required to be observed by it under the Contracts and/or Invoices related to the Receivables except for such failures to fully perform and comply as would not, individually or in the aggregate, have a Material Adverse Effect. (f) Jurisdiction of Organization; Location of Records. Each Loan Party will keep its jurisdiction of organization, chief place of business and (at any time while the location of its chief executive office remains germane to perfection of any of the security interests or ownership interests purported to be conveyed pursuant to the Transaction Documents) its chief executive office, and the offices where it keeps its Records and material Contracts (and, to the extent that any of the foregoing constitute instruments, chattel paper or negotiable documents, all originals thereof), at the address(es) of the Servicer and the Borrower referred to in Section 6.1(n) or, upon 15 days’ prior written notice to the Administrative Agent, at such other locations in jurisdictions where all action required by Section 8.5 shall have been taken and completed. (g) Credit and Collection Policies. Each Loan Party will comply in all material respects with its Credit and Collection Policy in regard to the Receivables and the related Contracts and Invoices. (h) Sale Agreement. The Borrower will perform and comply in all material respects with all of its covenants and agreements set forth in the Sale Agreement, and will enforce the performance by each Originator of its respective obligations thereunder. (i) Collections. (i) Each of the Loan Parties will instruct all Obligors to make all payments on Receivables to a Lockbox or Collection Account meeting the requirements of Section 6.1(o)(i). (ii) If, notwithstanding the foregoing clause (i) above, any Collections are paid directly to any Loan Party, such Loan Party shall deposit the same (with any necessary indorsements) to a Collection Account within one (1) Business Day after receipt thereof. (iii) Upon demand of any of the Agents at any time following the occurrence of any Unmatured Default or Event of Default, the Borrower or the Servicer shall establish a segregated account at PNC which is subject to a perfected security interest in favor of the Administrative Agent, for the benefit of the Secured Parties (the “Collateral Account”), into which all deposits from time to time in the Collection Accounts, and all other Collections, are concentrated pending application in accordance with the terms of this Agreement to the Obligations. (j) Anti-Money Laundering; Know Your Customer. Upon the reasonable request of any Agent, the Borrower shall provide to such Agent the documentation and other information so requested in connection with applicable “know your customer” and anti-money-laundering and counter-terrorist 38


 
financing laws, rules, and regulations. The Borrower shall promptly notify each Agent of any change(s) to beneficial ownership or control party information. (k) Use of Proceeds. (i) The Borrower will use the proceeds of the Advances and will request the issuance of the Letters of Credit solely for working capital and other general corporate purposes of the Loan Parties and their respective Subsidiaries, including acquisitions. (ii) The Borrower will not request any Advance or Letter of Credit, and the Loan Parties and their respective Subsidiaries shall not use, and shall procure that their respective directors, officers, employees and agents shall not use, the proceeds of any Advance or Letter of Credit (A) in furtherance of an offer, payment, promise to pay, or authorization of the payment or giving of money, or anything else of value, to any Person in violation of any Anti-Corruption Laws, (B) for the purpose of funding, financing or facilitating any activities, business or transaction of or with any Sanctioned Person, or in any Sanctioned Country, or (C) in any manner that would result in the violation of any Sanctions applicable to any party hereto. (l) Further Assurances. Each of the Loan Parties shall take all necessary action to establish and maintain (i) in favor of the Borrower, a valid and perfected ownership interest in the Purchased Assets and Related Assets, and (ii) in favor of the Administrative Agent for the benefit of the Secured Parties, a valid and perfected first priority security interest in the Collateral, including, without limitation, taking such action to perfect, protect or more fully evidence the security interests of the Administrative Agent as the Administrative Agent may reasonably request. Section 7.2 Reporting Requirements of Loan Parties¶. From the date hereof until the Final Payout Date, unless each of the Co-Agents shall otherwise consent in writing: (a) Quarterly Financial Statements. Quest Diagnostics will furnish to each of the Co-Agents or make publicly available through EDGAR, as soon as available and in any event within 60 days after the end of each of the first three quarters of each of its fiscal years, copies of its report on SEC Form 10-Q as of the close of such fiscal quarter. (b) Annual Financial Statements. Quest Diagnostics will furnish to each of the Co-Agents or make publicly available through EDGAR, as soon as available and in any event within 120 days after the end of each fiscal year of Quest Diagnostics, copies of its annual report on SEC Form 10-K for such year, and the Borrower will furnish to each of the Co-Agents as soon as available and in any event within 120 days after the end of each fiscal year of the Borrower, an unaudited balance sheet and income statement of the Borrower as of the close of such fiscal year, prepared in accordance with GAAP and certified in a manner reasonably acceptable to each of the Co-Agents by the Borrower’s chief executive officer, chief financial officer, treasurer or assistant treasurer (or an officer acting in a similar capacity to any of the foregoing). (c) Reports to SEC and Exchanges. In addition to the reports required by subsections (a) and (b) next above, promptly upon filing any report on SEC Form 8-K with the SEC, Quest Diagnostics shall deliver copies thereof to each of the Co-Agents or make them publicly available through EDGAR. 39


 
(d) ERISA. Promptly after the filing or receiving thereof, each Loan Party will furnish to each of the Co-Agents copies of all reports and notices with respect to any Reportable Event which any Loan Party files under ERISA with the Internal Revenue Service, the PBGC or the U.S. Department of Labor or which such Loan Party receives from the PBGC. (e) Events of Default, Etc. As soon as possible and in any event within five (5) Business Days after any Authorized Officer of either Loan Party obtains knowledge of the occurrence of any Event of Default or any Unmatured Default, each Loan Party will furnish to each of the Co-Agents a written statement of an Authorized Officer of such Loan Party setting forth details of such event and the action that such Loan Party will take with respect thereto. (f) Litigation. As soon as possible and in any event within ten Business Days after any Authorized Officer of either Loan Party obtains knowledge thereof, such Loan Party will furnish to each of the Co-Agents notice of (i) any litigation, investigation or proceeding which may exist at any time which would reasonably be expected to have a Material Adverse Effect and (ii) any development in previously disclosed litigation which development would reasonably be expected to have a Material Adverse Effect. (g) Reviews of Receivables. As soon as available and in any event within 30 days after each Review referenced in Section 7.1(c), the Borrower will deliver to each of the Co-Agents a written report on the results of such Review prepared by accountants or auditors selected as specified therein and reasonably acceptable to each of the Co-Agents, substantially in the form of the report delivered for the prior Review, and covering such other matters as any of the Agents may reasonably request in order to protect the interests of the Administrative Agent, for the benefit of the Secured Parties, under or as contemplated by this Agreement. (h) Change in Business or Credit and Collection Policy. Each Loan Party will furnish to each of the Co-Agents prompt written notice of any material change in the character of such Loan Party’s business prior to the occurrence of such change, and each Loan Party will provide each of the Co-Agents with not less than 15 Business Days’ prior written notice of any material change in the Credit and Collection Policy (together with a copy of such proposed change). (i) Downgrade. Promptly after receipt of notice of any downgrade of any Indebtedness of Quest Diagnostics by Moody’s or S&P, Quest Diagnostics shall furnish to each of the Co-Agents a notice of such downgrade setting forth the Indebtedness affected and the nature of such change in rating. (j) Anti-Money Laundering, Know Your Customer; Etc. Promptly, from time to time, each Loan Party will furnish to each of the Agents such other information (including nonfinancial information), documents, Records or reports respecting the Receivables or the condition or operations, financial or otherwise, of such Loan Party as any of the Agents may from time to time reasonably request in order to protect the interests of the Administrative Agent, for the benefit of the Secured Parties, under or as contemplated by this Agreement, or to assist any Lender (or its related Liquidity Bank(s)) in complying with the requirements of Article 122a(4) and (5) of the European Union Capital Requirements Directive if applicable to such Lender or its Liquidity Bank(s), the Beneficial Ownership Rule and other applicable “know your customer” and anti-money laundering and counter-terrorist financing laws, rules, and regulations, including the PATRIOT Act. Promptly following any change that would result in a change to the status of the Borrower as an excluded “Legal Entity Customer” under the Beneficial Ownership Rule, the Borrower shall execute and deliver to the Administrative Agent for delivery to each of the Lenders, a 40


 
Certification of Beneficial Owner(s) complying with the Beneficial Ownership Rule, in form and substance reasonably acceptable to the Administrative Agent. (k) Updated Schedule 6.1(n). Promptly after any Authorized Officer of either Loan Party obtains knowledge that the information set forth on Schedule 6.1(n) is inaccurate or incomplete or has changed, the Borrower will furnish to each of the Co-Agents a written statement of such inaccuracy, omission or change, together with an updated version of Schedule 6.1(n), whereupon Schedule 6.1(n) attached to this Agreement will be automatically deemed amended and restated to conform to such updated version. Section 7.3 Negative Covenants of Loan Parties¶. From the date hereof until the Final Payout Date, without the prior written consent of each of the Co-Agents: (a) Sales, Liens, Etc. (i) The Borrower will not, except as otherwise provided herein and in the other Transaction Documents, sell, assign (by operation of law or otherwise) or otherwise dispose of, or create or suffer to exist any Lien upon or with respect to, any Collateral, or any account to which any Collections are sent, or any right to receive income or proceeds from or in respect of any of the foregoing (except, prior to the execution of Collection Account Agreements, set-off rights of any bank at which any such account is maintained), and (ii) the Servicer will not assert any interest in the Purchased Assets, except as the Servicer. (b) Extension or Amendment of Receivables. No Loan Party will, except as otherwise permitted in Section 8.2(c), extend, amend or otherwise modify the terms of any Receivable, or amend, modify or waive any term or condition of any Contract or Invoice related thereto in any way that adversely affects the collectability of the Receivables originated by any Originator (taken as a whole), or any material part thereof, or the rights of the Borrower or the Administrative Agent (for the benefit of the Secured Parties) therein. (c) Change in Business or Credit and Collection Policy. No Loan Party will make or permit to be made any change in the character of its business or Credit and Collection Policy, which change would, in either case, impair the collectability of any significant portion of the Receivables or otherwise materially and adversely affect the interests or remedies of Lender under this Agreement or any other Transaction Document. (d) Change in Payment Instructions to Obligors. No Loan Party will after the Collateral Account has been established pursuant to Section 7.1(i), make any change in its instructions to Obligors regarding payments to be made to any Collection Account or Lockbox (except for a change in instructions solely for the purpose of directing Obligors to make such payments to another existing Collection Account or Lockbox, as applicable, and where such change is immaterial and does not adversely affect the interests of the Administrative Agent, on behalf of the Secured Parties, in any respect), unless (i) the Co- Agents shall have received prior written notice of such addition, termination or change and (ii) the Administrative Agent shall have received duly executed copies of appropriate Collection Account Agreements, in a form reasonably acceptable to the Administrative Agent with each new Collection Bank. (e) Deposits to Accounts. Each Loan Party will establish reasonable procedures designed to ensure that no Loan Party will deposit or authorize the deposit to any Collection Account of any cash or cash proceeds other than Collections of Receivables and of certain of the Excluded JV Receivables. 41


 
(f) Changes to Other Documents. The Borrower will not enter into any amendment or modification of, or supplement to, the Borrower’s Organic Documents without the prior written consent of the Administrative Agent. Neither the Borrower nor Quest Diagnostics will permit or enter into any amendment to or modification of, or supplement to, the Sale Agreement or the Subordinated Notes, except that they may enter into Joinder Agreements to add Eligible Originators as sellers thereunder. (g) Restricted Payments by the Borrower. The Borrower will not: (i) Purchase or redeem any shares of the capital stock of the Borrower, declare or pay any dividends thereon (other than stock dividends), make any distribution to stockholders or set aside any funds for any such purpose, unless, in each of the foregoing cases: (A) such purchase, redemption, payment or distribution is made on, or immediately following, a Settlement Date after payment of all Obligations due and owing on such Settlement Date, and (B) after giving effect to such purchase, redemption, payment or distribution, the Borrower’s net worth (determined in accordance with GAAP) will at all times be at least 10% of the greater of the Aggregate Commitment or the aggregate outstanding Principal amount of the Advances; or (ii) Make any payment of principal or interest on the Subordinated Notes if any Event of Default exists or would result therefrom or if such payment would result in the Borrower’s having insufficient cash on hand to pay all Obligations that will be due and owing on the next succeeding Settlement Date. (h) Borrower Indebtedness. The Borrower will not incur or permit to exist any Indebtedness or liability on account of deposits except: (A) as provided in the Transaction Documents and (B) other current accounts payable arising in the ordinary course of business and not overdue in any material respect. (i) Prohibition on Additional Negative Pledges. No Loan Party will enter into or assume any agreement (other than this Agreement and the other Transaction Documents) prohibiting the creation or assumption of any Lien upon the Purchased Assets or Related Assets, whether now owned or hereafter acquired, except as contemplated by the Transaction Documents, or otherwise prohibiting or restricting any transaction contemplated hereby or by the other Transaction Documents, and no Loan Party will enter into or assume any agreement creating any Lien upon the Subordinated Notes. (j) Name Change, Offices, Records and Books of Accounts. The Borrower will not change its name, identity or structure (within the meaning of Article 9 of any applicable enactment of the UCC) or relocate its chief executive office or any office where Records are kept unless it shall have: (i) given the Co-Agents at least 15 days’ prior notice thereof and (ii) prior to effectiveness of such change, delivered to the Administrative Agent all financing statements, instruments and other documents requested by the Administrative Agent in connection with such change or relocation. (k) Mergers, Consolidations and Acquisitions. The Borrower will not merge into or consolidate with any other Person, or permit any other Person to merge into or consolidate with it, or purchase, lease or otherwise acquire (in one transaction or a series of transactions) all or substantially all of the assets of any other Person (whether directly by purchase, lease or other acquisition of all or substantially all of the assets of such Person or indirectly by purchase or other acquisition of all or substantially all of the capital stock of such other Person) other than the acquisition of the Purchased Assets and Related Assets pursuant to the Sale Agreement. 42


 
(l) Disposition of Purchased Assets and Related Assets. Except pursuant to this Agreement, the Borrower will not sell, lease, transfer, assign, pledge or otherwise dispose of or encumber (in one transaction or in a series of transactions) any Purchased Assets and Related Assets. (m) Borrowing Base. The Borrower will not request any Advance if, after giving effect thereto, the aggregate outstanding Principal balance of the Loans would exceed the Borrowing Base. (n) Anti-Corruption Laws and Sanctions. The Loan Parties will maintain by or on behalf of each Loan Party policies and procedures that are designed to ensure compliance by such Loan Party, its Subsidiaries (if any), and such Loan Party’s or Subsidiary’s respective directors, officers, employees and agents with Anti-Corruption Laws and applicable Sanctions, and each Loan Party and its Subsidiaries (if any) will, and will require their respective directors, officers, employees and agents to, comply with Anti- Corruption Laws and applicable Sanctions, in each case in all material respects. No Loan Party will, nor will it permit any of its Subsidiaries (if any) to, use or permit any other Loan Party to use the proceeds of any Loan hereunder, directly or indirectly, to fund any operations in, finance any investments or activities in, or make any payments to, a Sanctioned Person or in any Sanctioned Country in violation of Anti- Corruption Laws or applicable Sanctions. Section 7.4 Separate Existence of the Borrower¶. Each Loan Party hereby acknowledges that Lenders and the Agents are entering into the transactions contemplated hereby in reliance upon the Borrower’s identity as a legal entity separate from the Servicer and its other Affiliates. Therefore, each Loan Party shall take all steps specifically required by this Agreement or reasonably required by any of the Agents to continue the Borrower’s identity as a separate legal entity and to make it apparent to third Persons that the Borrower is an entity with assets and liabilities distinct from those of its Affiliates, and is not a division of Quest Diagnostics or any other Person. Without limiting the foregoing, each Loan Party will take such actions as shall be required in order that: (a) The Borrower will be a limited purpose corporation whose primary activities are restricted in its Certificate of Incorporation to purchasing or otherwise acquiring from the Originators and owning, holding, granting security interests in the Collateral, entering into agreements for the financing and servicing of the Receivables, and conducting such other activities as it deems necessary or appropriate to carry out its primary activities; (b) Not less than one member of the Borrower’s Board of Directors (the “Independent Director”) shall be an individual who is not, and never has been, a direct, indirect or beneficial stockholder, officer, director, employee, affiliate, associate, material supplier or material customer of Quest Diagnostics or any of its Affiliates (other than an Affiliate organized with a limited purpose charter for the purpose of acquiring receivables or other financial assets or intangible property). The certificate of incorporation of the Borrower shall provide that (i) at least one member of the Borrower’s Board of Directors shall be an Independent Director, (ii) the Borrower’s Board of Directors shall not approve, or take any other action to cause the filing of, a voluntary bankruptcy petition with respect to the Borrower unless the Independent Director shall approve the taking of such action in writing prior to the taking of such action and (iii) the provisions requiring an independent director and the provision described in clauses (i) and (ii) of this paragraph (b) cannot be amended without the prior written consent of the Independent Director; (c) The Independent Director shall not at any time serve as a trustee in bankruptcy for the Borrower or any Affiliate thereof; 43


 
(d) Any director, employee, consultant or agent of the Borrower will be compensated from the Borrower’s funds for services provided to the Borrower. The Borrower will not engage any agents (other than its attorneys, auditors and other professionals) and will not engage any Person other than the Servicer to deal with the Collateral as contemplated by the Transaction Documents; (e) The Borrower will contract with the Servicer to perform for the Borrower all operations required on a daily basis to service the Collateral. The Borrower will pay the Servicer the Servicer’s Fee pursuant hereto. The Borrower will not incur any material indirect or overhead expenses for items shared with Quest Diagnostics (or any other Affiliate thereof) which are not reflected in the Servicer’s Fee. To the extent, if any, that the Borrower (or any other Affiliate thereof) shares items of expenses not reflected in the Servicer’s Fee, for legal, auditing and other professional services and directors’ fees, such expenses will be allocated to the extent practical on the basis of actual use or the value of services rendered, and otherwise on a basis reasonably related to the actual use or the value of services rendered, it being understood that Quest Diagnostics shall pay all expenses of the Borrower and, to the extent provided in this Agreement, the Agents relating to the preparation, negotiation, execution and delivery of the Transaction Documents, including, without limitation, legal, rating agency and other fees; (f) The Borrower’s operating expenses will not be paid by any other Loan Party or other Affiliate of the Borrower; (g) The Borrower will have its own stationery; (h) The books of account, financial reports and records of the Borrower will be maintained separately from those of Quest Diagnostics and each other Affiliate of the Borrower although they may appear in Quest Diagnostics’ consolidated general ledger; (i) Any financial statements of any Loan Party or Affiliate thereof which are consolidated to include the Borrower will contain detailed notes clearly stating that (A) all of the Borrower’s assets are owned by the Borrower, and (B) the Borrower is a separate legal entity with its own separate creditors that will be entitled to be satisfied out of the Borrower’s assets prior to any value in the Borrower becoming available to the Borrower’s equity holders; and the accounting records and any published financial statements of each of the Originators will clearly show that, for accounting purposes, the Purchased Assets and Related Assets have been sold by such Originator to the Borrower; (j) The Borrower’s assets will be maintained in a manner that facilitates their identification and segregation from those of the Servicer and the other Affiliates; (k) Each Affiliate of the Borrower will strictly observe organizational formalities in its dealings with the Borrower, and, except as permitted pursuant to this Agreement with respect to Collections, funds or other assets of the Borrower will not be commingled with those of any of its Affiliates; (l) No Affiliate of the Borrower will maintain joint bank accounts with the Borrower or other depository accounts with the Borrower to which any such Affiliate (other than in the Borrower’s or such Affiliate’s existing or future capacity as the Servicer hereunder or under the Sale Agreement) has independent access, provided that prior to demand by any of the Agents pursuant to Section 7.1(i) to establish a segregated Collateral Account, Collections may be deposited into general accounts of Quest Diagnostics, subject to the obligations of the Servicer hereunder; 44


 
(m) Each Affiliate of the Borrower will maintain arm’s length relationships with the Borrower, and each Affiliate of the Borrower that renders or otherwise furnishes services or merchandise to the Borrower will be compensated by the Borrower at market rates for such services or merchandise; (n) No Affiliate of the Borrower will be, nor will it hold itself out to be, responsible for the debts of the Borrower or the decisions or actions in respect of the daily business and affairs of the Borrower. Quest Diagnostics and the Borrower will immediately correct any known misrepresentation with respect to the foregoing and they will not operate or purport to operate as an integrated single economic unit with respect to each other or in their dealing with any other entity; (o) The Borrower will keep correct and complete books and records of account and minutes of the meetings and other proceedings of its stockholder and board of directors, as applicable, and the resolutions, agreements and other instruments of the Borrower will be continuously maintained as official records by the Borrower; and (p) The Borrower will conduct its business solely in its own legal name and in a manner separate from the Originators so as not to mislead others with whom they are dealing. ARTICLE VIII. ADMINISTRATION AND COLLECTION Section 8.1 Designation of Servicer.¶ (a) Quest Diagnostics as Initial Servicer. The servicing, administering and collection of the Receivables shall be conducted by the Person designated as Servicer hereunder from time to time in accordance with this Section 8.1. Until all of the Co-Agents give to Quest Diagnostics a Successor Notice (as defined in Section 8.1(b)), Quest Diagnostics is hereby designated as, and hereby agrees to perform the duties and obligations of, Servicer pursuant to the terms hereof. (b) Successor Notice; Servicer Transfer Events. Upon Quest Diagnostics’ receipt of a notice from all of the Co-Agents following a Servicer Transfer Event of the designation of a new Servicer (a “Successor Notice”), Quest Diagnostics agrees that it will terminate its activities as Servicer hereunder in a manner that will facilitate the transition of the performance of such activities to the new Servicer, and, after agreeing in writing to be bound by the terms of this Agreement (including, without limitation, the provisions of Section 14.14), the Co-Agents’ designee shall assume each and all of Quest Diagnostics’ obligations to service and administer such Receivables, on the terms and subject to the conditions herein set forth, and Quest Diagnostics shall use its reasonable best efforts to assist the Co-Agents’ designee in assuming such obligations. Without limiting the foregoing, Quest Diagnostics agrees, at its expense, to take all actions necessary to provide the new Servicer with access to all computer software necessary to generate reports useful in collecting or billing Receivables, solely for use in collecting and billing Receivables. If Quest Diagnostics disputes the occurrence of a Servicer Transfer Event, Quest Diagnostics may take appropriate action to resolve such dispute; provided that Quest Diagnostics must terminate its activities hereunder as Servicer and allow the newly designated Servicer to perform such activities on the date specified by the Co-Agents as described above, notwithstanding the commencement or continuation of any proceeding to resolve the aforementioned dispute, if all of the Co-Agents reasonably determines, in good faith, that such termination is necessary or advisable to protect the Secured Parties’ interests hereunder. 45


 
(c) Subcontracts. So long as Quest Diagnostics (or any of its existing or hereafter arising Affiliates approved by the Co-Agents at the request of Quest Diagnostics or the Borrower subject to satisfaction of the Rating Agency Condition) is acting as the Servicer, it may subcontract with any other Originator or other direct or indirect Subsidiary of Quest Diagnostics and with OPTUM360, for servicing, administering or collecting all or any portion of the Receivables, provided, however, that no such subcontract shall relieve Quest Diagnostics (or such approved affiliated substitute Servicer, if such approval is not conditioned upon Quest Diagnostics’ issuance of a performance guaranty with respect to such affiliated substitute Servicer) of its primary liability for performance of its duties as Servicer pursuant to the terms hereof and any such sub-servicing arrangement may be terminated at the request of any of the Agents at any time after a Successor Notice has been given. In addition to the foregoing, with the prior written consent of the Co-Agents (which consent shall not be unreasonably withheld or delayed), any Servicer may subcontract with other Persons for servicing, administering or collecting all or any portion of the Receivables, provided, however, that no such subcontract shall relieve such Servicer of its primary liability for performance of its duties as Servicer pursuant to the terms hereof and any such sub- servicing arrangement may be terminated at the request of any of the Agents at any time that the Co- Agents reasonably determine that such sub-servicer is not performing adequately. (d) Expense Indemnity after a Servicer Transfer Event¶. In addition to, and not in lieu of the Servicer’s Fee, if Quest Diagnostics or one of its Affiliates is replaced as Servicer following a Servicer Transfer Event, the Borrower shall reimburse the Servicer within 10 Business Days after receipt of a written invoice, any and all reasonable costs and expenses of the Servicer incurred in connection with its servicing of the Receivables for the benefit of the Secured Parties. Section 8.2 Duties of Servicer¶. (a) Appointment; Duties in General. Each of the Borrower, the Lenders, the LC Issuer and the Agents hereby appoints as its agent, the Servicer, as from time to time designated pursuant to Section 8.1, to enforce its rights and interests in and under the Collateral. The Servicer shall take or cause to be taken all such actions as may be necessary or advisable to collect each Receivable from time to time, all in accordance with applicable laws, rules and regulations, with reasonable care and diligence, and in accordance with the Credit and Collection Policy. (b) Segregation of Collections. The Servicer shall not be required (unless otherwise requested by any of the Agents) to segregate the funds constituting Collections prior to the remittance thereof in accordance with Article III. If instructed by any of the Agents, the Servicer shall segregate Collections and deposit them into the Collateral Account not later than the first Business Day following receipt by the Servicer of such Collections in immediately available funds. (c) Modification of Receivables. Quest Diagnostics, while it is the Servicer, may, in accordance with the Credit and Collection Policy, so long as no Event of Default shall have occurred and be continuing, extend the maturity or adjust the Unpaid Net Balance of any Receivable as Quest Diagnostics may reasonably determine to be appropriate to maximize Collections of the Receivables taken as a whole in a manner consistent with the Credit and Collection Policy (although no such extension or adjustment shall alter the status of such Receivable as a Defaulted Receivable or a Delinquent Receivable or, in the case of an adjustment, limit the rights of the Agents or the Lenders under Section 3.4). 46


 
(d) Contracts and Records. Each Loan Party shall deliver to the Servicer, and the Servicer shall, or shall direct the Originators as sub-servicers to, hold in trust for the Borrower and the Secured Parties, all Contracts and Records. (e) Certain Duties to the Borrower. The Servicer shall, as soon as practicable following receipt, turn over to the Borrower (i) that portion of the Collections which are not required to be turned over to each of the Co-Agents, less the Servicer’s Fee and all reasonable and appropriate out-of-pocket costs and expenses of the Servicer of servicing, collecting and administering the Receivables to the extent not covered by the Servicer’s Fee received by it, and (ii) the Collections of any receivable which is not a Receivable. The Servicer, if other than Quest Diagnostics or any other Loan Party or Affiliate thereof, shall, as soon as practicable upon demand, deliver to the Borrower all Contracts and other Records in its possession that evidence or relate to receivables of the Borrower other than Receivables, and copies of all Contracts and other Records in its possession that evidence or relate to Receivables, Obligors or Related Assets. (f) Termination. The Servicer’s authorization under this Agreement shall terminate upon the Final Payout Date. (g) Power of Attorney. The Borrower hereby grants to the Servicer an irrevocable power of attorney, with full power of substitution, coupled with an interest, to take in the name of the Borrower all steps which are necessary or advisable to endorse, negotiate or otherwise realize on any writing or other right of any kind held or transmitted by the Borrower or transmitted or received by any Agent or any Lender in connection with any Receivable. This power of attorney shall automatically terminate as to any Servicer replaced in accordance with Section 8.1(b) and shall automatically transfer to its successor. Section 8.3 Rights of the Agents.¶ (a) Notice to Obligors. At any time when an Event of Default has occurred and is continuing, any of the Agents may notify the Obligors of Purchased Assets, or any of them, of the Borrower’s ownership of the Purchased Assets, and the Administrative Agent’s security interest, for the benefit of the Secured Parties, in the Collateral. (b) Notice to Collection Banks. At any time when an Event of Default has occurred and is continuing, the Administrative Agent is hereby authorized to give notice to the Collection Banks, as provided in the Collection Account Agreements, of the transfer to the Administrative Agent of dominion and control over the Lockboxes and the Collection Accounts, and the Administrative Agent hereby agrees to give such notice upon request of any of the Co-Agents. The Borrower and the Servicer hereby transfer to the Administrative Agent, effective when the Administrative Agent shall give notice to the Collection Banks as provided in the Collection Account Agreements, the exclusive dominion and control over the Lockboxes and the Collection Accounts, and shall take any further action that the Administrative Agent may reasonably request to effect such transfer. (c) Rights on Servicer Transfer Event. At any time following the designation of a Servicer other than Quest Diagnostics (or one of its approved Affiliates) pursuant to Section 8.1: (i) Any of the Agents may direct the Obligors of Receivables, or any of them, to pay all amounts payable under any Receivable directly to the Administrative Agent or its designee. 47


 
(ii) Any Loan Party shall, at any Agent’s request and at such Loan Party’s expense, give notice of the Administrative Agent’s security interest in the Collateral to each Obligor of Receivables and direct that payments be made directly to the Administrative Agent or its designee. (iii) Each Loan Party shall, at any Agent’s request: (A) assemble and make available all of the Contracts and Records which are necessary or reasonably desirable to collect the Collateral, and make the same available to the successor Servicer at such place or places as the Administrative Agent may reasonably request, and (B) segregate all cash, checks and other instruments received by it from time to time constituting Collections in a manner acceptable to the Agents and promptly upon receipt, remit all such cash, checks and instruments, duly endorsed or with duly executed instruments of transfer, to the successor Servicer. (iv) Each of the Loan Parties, the Co-Agents and the Lenders hereby authorizes the Administrative Agent and grants to the Administrative Agent an irrevocable power of attorney (which shall terminate on the Final Payout Date), to take any and all steps in such Person’s name and on behalf of such Person which are necessary or desirable, in the determination of the Administrative Agent, to collect all amounts due under any and all Receivables, including, without limitation, endorsing any Loan Party’s name on checks and other instruments representing Collections and enforcing such Receivables and the related Contracts and Invoices. Section 8.4 Responsibilities of Loan Parties.¶ Anything herein to the contrary notwithstanding: (a) Contracts. Each Originator shall remain responsible for performing all of its obligations (if any) under each Contract to the same extent as if no ownership interest or security interests had been conveyed under the Transactions Documents, and the exercise by the Administrative Agent or its designee of its rights and remedies hereunder shall not relieve such Originator from such obligations. (b) Limitation of Liability. The Secured Parties shall not have any obligation or liability with respect to any Receivables, Invoices or Contracts, nor shall any of them be obligated to perform any of the obligations of any Loan Party or any Originator thereunder. Section 8.5 Further Action Evidencing the Security Interest¶. Each Loan Party agrees that from time to time, at its expense, it will promptly execute (if legally required) and deliver all further instruments and documents, and take all further action that the Administrative Agent or its designee may reasonably request in order to perfect, protect or more fully evidence the Administrative Agent’s security interest, on behalf of the Secured Parties, in the Collateral, or to enable the Administrative Agent or its designee to exercise or enforce any of the Secured Parties’ respective rights hereunder or under any Transaction Document in respect thereof. In furtherance of the foregoing, to the maximum extent permitted by applicable law, each Loan Party (i) authorizes the Agent to execute any such agreements, instruments or other documents in such Loan Party’s name and to file such agreements, instruments or other documents in any appropriate filing office, (ii) authorizes the Administrative Agent to file any financing statement required hereunder or under any other Transaction Document, and any continuation statement or amendment with respect thereto, in any appropriate filing office without the signature of such Loan Party (including, without limitation, in the case of the Borrower, any such financing statements that indicate the Collateral as “all assets” or words of similar import), and (iii) ratifies the filing of any financing statement, and any continuation statement or amendment with respect thereto, filed without the signature of such 48


 
Loan Party prior to the date hereof; provided that the Administrative Agent shall provide prompt written notice to such Loan Party after filing any such record without the signature of such Loan Party. Section 8.6 Application of Collections¶. Except as otherwise specified by such Obligor or required by the underlying Contract or law, any payment by an Obligor in respect of any indebtedness owed by it to an Originator or to the Borrower shall be applied first, as a Collection of any Receivable or Receivables then outstanding of such Obligor in the order of the age of such Receivables, starting with the oldest of such Receivables (unless another reasonable basis for allocation of such payments to the Receivables of such Obligor exists), and second, to any other indebtedness of such Obligor. ARTICLE IX. SECURITY INTEREST Section 9.1 Grant of Security Interest¶. To secure the due and punctual payment of the Obligations, whether now or hereafter existing, due or to become due, direct or indirect, or absolute or contingent, including, without limitation, all Indemnified Amounts, in each case pro rata according to the respective amounts thereof, the Borrower hereby pledges to the Administrative Agent, for the benefit of the Secured Parties, and hereby grants to the Administrative Agent, for the benefit of the Secured Parties, a security interest in, all of the Borrower’s right, title and interest now or hereafter existing in, to and under (a) all the Purchased Assets and Related Assets, (b) the Sale Agreement, (c) the rights to demand and receive payment of the Demand Advances, (d) the Cash Collateral Payments, (e) the LC Collateral Account and all balances from time to time therein, and (f) all proceeds of any of the foregoing (collectively, the “Collateral”). Section 9.2 Termination after Final Payout Date.¶ Each of the Secured Parties hereby authorizes the Administrative Agent, and the Administrative Agent hereby agrees, promptly after the Final Payout Date to execute and deliver to the Borrower such UCC-3 termination statements as may be necessary to terminate the Administrative Agent’s security interest in and Lien upon the Collateral, all at the Borrower’s expense. Upon the Final Payout Date, all right, title and interest of the Administrative Agent and the other Secured Parties in and to the Collateral shall terminate. Section 9.3 Limitation on Rights to Collateral Proceeds.¶ Nothing in this Agreement shall entitle the Secured Parties to receive or retain proceeds of the Collateral in excess of the aggregate amount of the Obligations owing to such Secured Party (or to any Indemnified Party claiming through such Secured Party). ARTICLE X. EVENTS OF DEFAULT Section 10.1 Events of Default.¶ The occurrence of any of the following events shall constitute an “Event of Default” hereunder: (a) The Servicer or the Borrower shall fail to make (i) when and as required to be made by it herein, any payment, prepayment or deposit of any amount of Principal of any Loan, or any Letter of Credit is drawn upon and is not fully reimbursed by the Borrower, or funded by LC Advances as required pursuant to Section 2.8(b), or (ii) within three (3) days after the same becomes due, any payment of any amount of Interest, fees or other Obligations payable hereunder or under any other Transaction Document; provided that any Interest, fees or other amounts which are not paid on the due date shall bear Interest at the Default Rate after such due date. 49


 
(b) Any representation or warranty made or deemed to be made by any Loan Party (or any of its officers) under this Agreement or any other Transaction Document or in any Monthly Report, or other information or report delivered pursuant hereto shall prove to have been false or incorrect in any material adverse respect when made, provided that the materiality threshold in this subsection shall not be applicable with respect to any representation or warranty which itself contains a materiality threshold. (c) Any Loan Party fails to perform or observe any other term or covenant contained in this Agreement or any other Transaction Document, and such default shall continue unremedied for a period of 5 days (in the case of nonperformance or nonobservance by the Servicer) or 10 days (in the case of nonperformance or nonobservance by the Borrower) after the earlier to occur of (i) the date upon which written notice thereof is given to such Loan Party by the Administrative Agent and (ii) the date the applicable Loan Party becomes aware thereof. (d) (i) The Borrower shall (A) fail to pay any principal or interest, regardless of amount, due in respect of any Indebtedness of which the aggregate unpaid principal amount is in excess of $18,600] (as such amount may be adjusted under Section 104 of the Bankruptcy Code), when and as the same shall become due and payable (after expiration of any applicable grace period) or (B) fail to observe or perform any other term, covenant, condition or agreement (after expiration of any applicable grace period) contained in any agreement or instrument evidencing or governing any such Indebtedness if the effect of any failure referred to in this clause (B) is to cause, or permit the holder or holders of such Indebtedness or a trustee on its or their behalf (with or without the giving of notice, the lapse of time or both) to cause, such Indebtedness to become due prior to its stated maturity; or (ii) any of the Originators (A) shall fail to pay any principal or interest, regardless of amount, due in respect of any Indebtedness of which the aggregate unpaid principal amount is in excess of the lesser of (1) $200,000,000 or (2) the amount that is currently set forth in the comparable provision of the Credit Agreement, in each case, when and as the same shall become due and payable (after expiration of any applicable grace period) or (B) shall fail to observe or perform any other term, covenant, condition or agreement (after expiration of any applicable grace period) contained in any agreement or instrument evidencing or governing any Indebtedness of the Originators in excess of the lesser of (1) $200,000,000, or (2) the amount currently set forth in the comparable provision of the Credit Agreement in aggregate principal amount, in each case, if, as a result of such failure, the holder or holders of the Indebtedness outstanding thereunder cause (or an agent or a trustee on their behalf cause) such Indebtedness to become due prior to its stated maturity. (e) An Event of Bankruptcy shall have occurred and remain continuing with respect to the Borrower or the Servicer. (f) The three-calendar month rolling average Dilution Ratio at any Cut-Off Date exceeds 6.00%. (g) The three-calendar month rolling average Default Trigger Ratio at any Cut-Off Date exceeds 14.00%. (h) The three-calendar month rolling average Delinquency Ratio at any Cut-Off Date exceeds 9.00%. (i) [Reserved]. 50


 
(j) The three-calendar month rolling average Collections Ratio at any Cut-Off Date is less than 32.00%. (k) On any Settlement Date, after giving effect to the payments made under Article II or Article III, the aggregate outstanding Principal balances of the Advances exceed the Allocation Limit. (l) A Change in Control shall occur. (m) The Internal Revenue Service shall file notice of a lien pursuant to Section 6323 of the Internal Revenue Code with regard to any of the Purchased Assets or Related Assets and such lien shall not have been released within seven (7) days, or the PBGC shall, or shall indicate its intention to, file notice of a lien pursuant to Section 4068 of ERISA with regard to any of the Purchased Assets or Related Assets. (n) The Administrative Agent, on behalf of the Secured Parties, for any reason, does not have a valid, perfected first priority security interest in the Purchased Assets and the Related Assets. (o) (i) A final judgment or judgments for the payment of money in excess of $18,600 (as such amount may be adjusted under Section 104 of the Bankruptcy Code) in the aggregate (exclusive of judgment amounts to the extent covered by insurance or indemnity payments) shall be rendered by one or more courts, administrative tribunals or other bodies having jurisdiction against the Borrower and the same shall not be discharged (or provision which results in a stay of execution shall not be made for such discharge), vacated or bonded pending appeal, or a stay of execution thereof shall not be procured, within 60 days from the date of entry thereof and the Borrower shall not, within said period of 60 days, or such longer period during which execution of the same shall have been stayed, appeal therefrom and cause the execution thereof to be stayed during such appeal; or (ii) a final judgment or judgments for the payment of money in excess of the lesser of (A) $200,000,000 or (B) the amount currently set forth in the comparable provision of the Credit Agreement in the aggregate (exclusive of judgment amounts to the extent covered by insurance or indemnity payments) shall be rendered by one or more courts, administrative tribunals or other bodies having jurisdiction against any Originator and the same shall not be discharged (or provision which results in a stay of execution shall not be made for such discharge), vacated or bonded pending appeal, or a stay of execution thereof shall not be procured, within 60 days from the date of entry thereof and such Originator shall not, within said period of 60 days, or such longer period during which execution of the same shall have been stayed, appeal therefrom and cause the execution thereof to be stayed during such appeal. (p) An ERISA Event or noncompliance with respect to Foreign Plans shall have occurred that when taken together with all other ERISA Events and noncompliance with respect to Foreign Plans that have occurred, is reasonably likely to result in liability of any Originator or Loan Party in an aggregate amount exceeding $100,000,000 (or such other amount as may be set forth in the comparable provision of the Credit Agreement). (q) Quest Diagnostics shall fail to comply with any of the financial covenants set forth in Sections 7.2 (or analogous successor provisions) of the Credit Agreement; provided, however, that if (i) all of the Agents under this Agreement are also parties to the Credit Agreement and waive compliance with one or both of such provisions and (ii) the requisite number of lenders (including the Agents) party to the Credit Agreement waive compliance with such provision or provisions under the Credit Agreement, then, upon receipt of notice to such effect from Quest Diagnostics, the applicable provision 51


 
or provisions shall also be deemed waived for purposes of this Agreement without the need for further vote or documentation under this Agreement. (r) The occurrence of the Sale Termination Date under and as defined in the Sale Agreement. (s) [Reserved]. Section 10.2 Remedies.¶ (a) Optional Acceleration¶. Upon the occurrence of an Event of Default (other than an Event of Default described in Section 10.1(e) with respect to the Borrower), the Administrative Agent may by notice to the Borrower, declare the Termination Date to have occurred and the Obligations to be immediately due and payable, whereupon the Aggregate Commitment shall terminate and all Obligations shall become immediately due and payable. (b) Automatic Acceleration¶. Upon the occurrence of an Event of Default described in Section 10.1(e) with respect to the Borrower, the Termination Date shall automatically occur and the Obligations shall be immediately due and payable. (c) Additional Remedies. Upon the Termination Date pursuant to this Section 10.2, the Aggregate Commitment will terminate, no Loans or Advances thereafter will be made, and the Administrative Agent, on behalf of the Secured Parties, shall have, in addition to all other rights and remedies under this Agreement or otherwise, all other rights and remedies provided to a secured party upon default under the UCC of each applicable jurisdiction and other applicable laws, which rights shall be cumulative. Section 10.3 Amortization Waterfall¶. From and after the Termination Date, all Collections shall be paid to the Administrative Agent and distributed for application to the Obligations in the following order: First, to the Administrative Agent, in payment of its reasonable out-of-pocket expenses incurred in connection with collecting and enforcing the Obligations or realizing on the Collateral; Second, to the Servicer, in payment of its accrued and unpaid Servicer’s Fee that is then due and owing; Third, to each of the Co-Agents, in payment of accrued and unpaid Interest and fees due and owing to the Lenders in its Group pursuant to this Agreement and the Fee Letter, ratably in accordance with their respective amounts thereof; Fourth, to the LC Collateral Account and to each of the Co-Agents, as applicable, to Cash- Collateralize the LC Obligations in full and pay off the Principal of the Loans of the Lenders in such Co- Agent’s Group, ratably in accordance with their respective amounts thereof; and Fifth, to the Co-Agents, in payment of any other Obligations owing to such Co-Agent or the members of its Group, ratably in accordance with their respective amounts thereof. After termination of the Commitments, payment in full of the Obligations and 100% Cash-Collateralization of the LC Obligations and Expected LC Fees, any remaining Collections shall be paid to the Borrower. 52


 
ARTICLE XI. THE AGENTS Section 11.1 Appointment¶. (a) Each member of the PNC Group hereby irrevocably designates and appoints PNC Bank, National Association as PNC Group Agent hereunder and under the other Transaction Documents to which the PNC Group Agent is a party, and authorizes the PNC Group Agent to take such action on its behalf under the provisions of the Transaction Documents and to exercise such powers and perform such duties as are expressly delegated to the PNC Group Agent by the terms of the Transaction Documents, together with such other powers as are reasonably incidental thereto. Each member of the Atlantic Group hereby irrevocably designates and appoints Crédit Agricole Corporate and Investment Bank as Atlantic Group Agent hereunder and under the other Transaction Documents to which the Atlantic Group Agent is a party, and authorizes the Atlantic Group Agent to take such action on its behalf under the provisions of the Transaction Documents and to exercise such powers and perform such duties as are expressly delegated to the Atlantic Group Agent by the terms of the Transaction Documents, together with such other powers as are reasonably incidental thereto. Each member of the Gotham Group hereby irrevocably designates and appoints MUFG as Gotham Agent hereunder and under the other Transaction Documents to which the Gotham Agent is a party , and authorizes the Gotham Agent to take such action on its behalf under the provisions of the Transaction Documents and to exercise such powers and perform such duties as are expressly delegated to the Gotham Agent by the terms of the Transaction Documents, together with such other powers as are reasonably incidental thereto. Each of the Lenders, the LC Issuer and the Co-Agents hereby irrevocably designates and appoints PNC as Administrative Agent hereunder and under the Transaction Documents to which the Administrative Agent is a party, and authorizes the Administrative Agent to take such action on its behalf under the provisions of the Transaction Documents and to exercise such powers and perform such duties as are expressly delegated to the Administrative Agent by the terms of the Transaction Documents, together with such other powers as are reasonably incidental thereto. Notwithstanding any provision to the contrary elsewhere in this Agreement, none of the Agents shall have any duties or responsibilities, except those expressly set forth in the Transaction Documents to which it is a party, or any fiduciary relationship with any Lender or the LC Issuer, and no implied covenants, functions, responsibilities, duties, obligations or liabilities on the part of such Agent shall be read into any Transaction Document or otherwise exist against such Agent. (b) The provisions of this Article XI are solely for the benefit of the Agents, the LC Issuer and the Lenders, and neither of the Loan Parties shall have any rights as a third-party beneficiary or otherwise under any of the provisions of this Article XI, except that this Article XI shall not affect any obligations which any of the Agents, the LC Issuer or any of the Lenders may have to either of the Loan Parties under the other provisions of this Agreement. (c) In performing its functions and duties hereunder, (i) the PNC Group Agent shall act solely as the agent of the members of the PNC Group and does not assume nor shall be deemed to have assumed any obligation or relationship of trust or agency with or for either of the Loan Parties or any of their respective successors and assigns, (ii) the Gotham Agent shall act solely as the agent of the members of the Gotham Group and does not assume nor shall be deemed to have assumed any obligation or relationship of trust or agency with or for either of the Loan Parties or any of their respective successors and assigns, (iii) the Atlantic Group Agent shall act solely as the agent of the members of the Atlantic Group and does not assume nor shall be deemed to have assumed any obligation or relationship of trust or agency with or for either of the Loan Parties or any of their respective successors and assigns, and (iv) 53


 
the Administrative Agent shall act solely as the agent of the Secured Parties and does not assume nor shall be deemed to have assumed any obligation or relationship of trust or agency with or for either of the Loan Parties or any of their respective successors and assigns. Section 11.2 Delegation of Duties¶. Each Agent may execute any of its duties under the applicable Transaction Documents by or through agents or attorneys-in-fact and shall be entitled to advice of counsel concerning all matters pertaining to such duties. No Agent shall be responsible for the negligence or misconduct of any agents or attorneys-in-fact selected by it with reasonable care except for agents and attorneys-in fact to which any Agent delegates all or substantially all of its duties as an Agent which are not approved by S&P, Moody’s and, so long as applicable, Fitch. No Agent shall be responsible for the negligence or misconduct of agents or attorneys-in-fact selected by it with reasonable care for due diligence and audit matters and attorneys selected with reasonable care for legal matters. Section 11.3 Exculpatory Provisions¶. None of the Agents nor any of its directors, officers, agents or employees shall be (i) liable for any action lawfully taken or omitted to be taken by it or them or any Person described in Section 11.2 under or in connection with this Agreement (except for its, their or such Person’s own bad faith, gross negligence or willful misconduct), or (ii) responsible in any manner to any of the Lenders or other Agents for any recitals, statements, representations or warranties made by the Borrower contained in this Agreement or in any certificate, report, statement or other document referred to or provided for in, or received under or in connection with, this Agreement or for the value, validity, effectiveness, genuineness, enforceability or sufficiency of this Agreement or any other document furnished in connection herewith, or for any failure of either of the Loan Parties to perform its respective obligations hereunder, or for the satisfaction of any condition specified in Article V, except receipt of items required to be delivered to such Agent. None of the Agents shall be under any obligation to any other Agent or any Lender to ascertain or to inquire as to the observance or performance of any of the agreements or covenants contained in, or conditions of, this Agreement, or to inspect the properties, books or records of the Loan Parties. This Section 11.3 is intended solely to govern the relationship between the Agents, on the one hand, and the Lenders and their respective Liquidity Banks, on the other. Section 11.4 Reliance by Agents¶. (a) Each of the Agents shall in all cases be entitled to rely, and shall be fully protected in relying, upon any note, writing, resolution, notice, consent, certificate, affidavit, letter, telegram, telecopy or telex message, statement, order or other document or conversation believed by it to be genuine and correct and to have been signed, sent or made by the proper Person or Persons and upon advice and statements of legal counsel (including, without limitation, counsel to the Loan Parties), independent accountants and other experts selected by such Agent. Each of the Agents shall in all cases be fully justified in failing or refusing to take any action under this Agreement or any other document furnished in connection herewith unless it shall first receive such advice or concurrence of such of its Lenders and Liquidity Banks, as it shall determine to be appropriate under the relevant circumstances, or it shall first be indemnified to its satisfaction by its Constituent Liquidity Banks against any and all liability, cost and expense which may be incurred by it by reason of taking or continuing to take any such action. (b) Any action taken by any of the Agents in accordance with Section 11.4(a) shall be binding upon all of the Agents and the Lenders. 54


 
Section 11.5 Notice of Events of Default.¶ None of the Agents shall be deemed to have knowledge or notice of the occurrence of any Event of Default or Unmatured Default unless such Agent has received notice from another Agent, a Lender or a Loan Party referring to this Agreement, stating that an Event of Default or Unmatured Default has occurred hereunder and describing such Event of Default or Unmatured Default. In the event that any of the Agents receives such a notice, it shall promptly give notice thereof to the Lenders and the other Agents. The Administrative Agent shall take such action with respect to such Event of Default or Unmatured Default as shall be directed by any of the Co-Agents provided that the Administrative Agent is indemnified to its satisfaction by such Co-Agent and its Constituent Liquidity Banks against any and all liability, cost and expense which may be incurred by it by reason of taking any such action. Section 11.6 Non-Reliance on Other Agents and Lenders¶. Each of the Lenders expressly acknowledges that none of the Agents, the Structuring Agent nor any of the Agents’ or the Structuring Agent’s respective officers, directors, employees, agents, attorneys-in-fact or affiliates has made any representations or warranties to it and that no act by any of the Agents or the Structuring Agent hereafter taken, including, without limitation, any review of the affairs of the Loan Parties, shall be deemed to constitute any representation or warranty by such Agent or such Structuring Agent, as the case may be. Each of the Lenders also represents and warrants to the Agents, the Structuring Agent and the other Lenders that it has, independently and without reliance upon any such Person (or any of their Affiliates) and based on such documents and information as it has deemed appropriate, made its own appraisal of and investigation into the business, operations, property, prospects, financial and other conditions and creditworthiness of the Loan Parties and made its own decision to enter into this Agreement. Each of the Lenders also represents that it will, independently and without reliance upon the Agents, the Structuring Agent or any other Liquidity Bank or Lender, and based on such documents and information as it shall deem appropriate at the time, continue to make its own credit analysis, appraisals and decisions in taking or not taking action under this Agreement, and to make such investigation as it deems necessary to inform itself as to the business, operations, property, prospects, financial and other condition and creditworthiness of the Loan Parties. The Agents, the Structuring Agent, the Lenders and their respective Affiliates, shall have no duty or responsibility to provide any party to this Agreement with any credit or other information concerning the business, operations, property, prospects, financial and other condition or creditworthiness of the Loan Parties which may come into the possession of such Person or any of its respective officers, directors, employees, agents, attorneys-in-fact or affiliates, except that each of the Agents and the Structuring Agent shall promptly distribute to the other Agents, Structuring Agent and the Lenders, copies of financial and other information expressly provided to it by either of the Loan Parties pursuant to this Agreement. Section 11.7 Indemnification of Agents¶. Each Liquidity Bank agrees to indemnify (a) its applicable Co-Agent, (b) the Administrative Agent, and (c) the officers, directors, employees, representatives and agents of each of the foregoing (to the extent not reimbursed by the Loan Parties and without limiting the obligation of the Loan Parties to do so), ratably in accordance with their respective Loans, from and against any and all liabilities, obligations, losses, damages, penalties, actions, judgments, suits, costs, expenses or disbursements of any kind or nature whatsoever (including, without limitation, the reasonable fees and disbursements of counsel for such Co-Agent, the Administrative Agent or such Person in connection with any investigative, administrative or judicial proceeding commenced or threatened, whether or not such Co-Agent or the Administrative Agent or such Person shall be designated a party thereto) that may at any time be imposed on, incurred by or asserted against such Co-Agent, the Administrative Agent or such Person as a result of, or arising out of, or in any way related to or by reason of, any of the transactions contemplated hereunder or the execution, delivery or performance of this 55


 
Agreement or any other document furnished in connection herewith (but excluding any such liabilities, obligations, losses, damages, penalties, actions, judgments, suits, costs, expenses or disbursements resulting solely from the bad faith, gross negligence or willful misconduct of such Co-Agent, the Administrative Agent or such Person as finally determined by a court of competent jurisdiction). Section 11.8 Agents and LC Issuer in their Individual Capacities¶. Each of the Agents and the LC Issuer in their respective individual capacities and its affiliates may make loans to, accept deposits from and generally engage in any kind of business with the Loan Parties and their Affiliates as though such Person were not an Agent or the LC Issuer hereunder. With respect to its Loans, if any, pursuant to this Agreement, each of the Agents and the LC Issuer shall have the same rights and powers under this Agreement as any Lender and may exercise the same as though it were not an Agent or the LC Issuer, as the case may be, and the terms “Lender” and “Lenders” shall include each of the Agents and the LC Issuer in their individual capacities. Section 11.9 No Other Duties of Structuring Agent. Anything in this Agreement to the contrary notwithstanding, the Structuring Agent shall have no powers, duties or responsibilities under this Agreement or any of the other Transaction Documents. Section 11.10 Conflict Waivers. (a) CACIB acts, or may in the future act: (i) as administrator of Atlantic, (ii) to provide credit or liquidity enhancement for the timely payment for Atlantic’s Commercial Paper Notes and (iii) to provide other services from time to time for Atlantic (collectively, the “CACIB Roles”). Without limiting the generality of Sections 11.1 and 11.8, each of the Agents and the Lenders hereby acknowledges and consents to any and all CACIB Roles and agrees that in connection with any CACIB Role, CACIB may take, or refrain from taking, any action which it, in its discretion, deems appropriate, , including, without limitation, in its role as administrator of Atlantic, the giving of notice to the Atlantic Liquidity Banks of a mandatory purchase pursuant to the Atlantic Liquidity Agreement, and hereby acknowledges that neither CACIB nor any of its Affiliates has any fiduciary duties hereunder to any Lender (other than Atlantic) arising out of any of the CACIB Roles. (b) MUFG acts, or may in the future act: (i) as administrator of Gotham, (ii) to provide credit or liquidity enhancement for the timely payment for Gotham’s Commercial Paper Notes and (iii) to provide other services from time to time for Gotham (collectively, the “MUFG Roles”). Without limiting the generality of Sections 11.1 and 11.8, each of the Agents and the Lenders hereby acknowledges and consents to any and all MUFG Roles and agrees that in connection with any MUFG Role, MUFG may take, or refrain from taking, any action which it, in its discretion, deems appropriate, including, without limitation, in its role as administrator of Gotham, the giving of notice to the Gotham Liquidity Banks of a mandatory purchase pursuant to the Gotham Liquidity Agreement, and hereby acknowledges that neither MUFG nor any of its Affiliates has any fiduciary duties hereunder to any Lender (other than Gotham) arising out of any of the MUFG Roles. Section 11.11 UCC Filings¶. Each of the Secured Parties hereby expressly recognizes and agrees that the Administrative Agent may be listed as the assignee or secured party of record on the various UCC filings required to be made under the Transaction Documents in order to perfect their respective interests in the Collateral, that such listing shall be for administrative convenience only in creating a record or nominee holder to take certain actions hereunder on behalf of the Secured Parties and that such listing will not affect in any way the status of the Secured Parties as the true parties in interest with respect to 56


 
the Collateral. In addition, such listing shall impose no duties on the Administrative Agent other than those expressly and specifically undertaken in accordance with this Article XI. Section 11.12 Erroneous Payments¶. (a) If the Administrative Agent notifies a Lender or any Person who has received funds on behalf of a Lender (any such Lender or Person, a “Payment Recipient”) that the Administrative Agent has determined in its sole discretion (whether or not after receipt of any notice under immediately succeeding clause (b)) that any funds received by such Payment Recipient from the Administrative Agent or any of its Affiliates were erroneously transmitted to, or otherwise erroneously or mistakenly received by, such Payment Recipient (whether or not known to such Lender or other Payment Recipient on its behalf) (any such funds, whether received as a payment, prepayment or repayment of principal, interest, fees, distribution or otherwise, individually and collectively, an “Erroneous Payment”) and demands the return of such Erroneous Payment (or a portion thereof) in writing (provided that, without limiting any other rights or remedies (whether at law or in equity), the Administrative Agent may not make any such demand under this clause (a) with respect to an Erroneous Payment unless such demand is made within 30 days of the date of receipt of such Erroneous Payment by the applicable Payment Recipient), such Erroneous Payment shall at all times remain the property of the Administrative Agent and shall be segregated by the Payment Recipient and held in trust for the benefit of the Administrative Agent, and such Lender shall (or, with respect to any Payment Recipient who received such funds on its behalf, shall cause such Payment Recipient to) promptly, but in no event later than two (2) Business Days thereafter, return to the Administrative Agent the amount of any such Erroneous Payment (or portion thereof) as to which such a demand was made, in same day funds (in the currency so received), together with interest thereon in respect of each day from and including the date such Erroneous Payment (or portion thereof) was received by such Payment Recipient to the date such amount is repaid to the Administrative Agent in same day funds at the greater of the Federal Funds Rate and a rate determined by the Administrative Agent in accordance with banking industry rules on interbank compensation from time to time in effect. A notice of the Administrative Agent to any Payment Recipient under this clause (a) shall be conclusive, absent manifest error. (b) Without limiting the immediately preceding clause (a), each Lender, or any Person who has received funds on behalf of a Lender, hereby further agrees that if it receives a payment, prepayment or repayment (whether received as a payment, prepayment or repayment of principal, interest, fees, distribution or otherwise) from the Administrative Agent (or any of its Affiliates) (x) that is in a different amount than, or on a different date from, that specified in a notice of payment, prepayment or repayment sent by the Administrative Agent (or any of its Affiliates) with respect to such payment, prepayment or repayment, (y) that was not preceded or accompanied by a notice of payment, prepayment or repayment sent by the Administrative Agent (or any of its Affiliates), or (z) that such Lender, or other such recipient, otherwise becomes aware was transmitted, or received, in error or by mistake (in whole or in part) in each case: (i) (A) in the case of immediately preceding clauses (x) or (y), an error shall be presumed to have been made (absent written confirmation from the Administrative Agent to the contrary) or (B) an error has been made (in the case of immediately preceding clause (z)), in each case, with respect to such payment, prepayment or repayment; and (ii) such Lender shall (and shall cause any other recipient that receives funds on its respective behalf to) promptly (and, in all events, within one Business Day of its knowledge of such error) 57


 
notify the Administrative Agent of its receipt of such payment, prepayment or repayment, the details thereof (in reasonable detail) and that it is so notifying the Administrative Agent pursuant to this Section 11.12(b). (c) Each Lender hereby authorizes the Administrative Agent to set-off, net and apply any and all amounts at any time owing to such Lender under any Transaction Document, or otherwise payable or distributable by the Administrative Agent to such Lender from any source, against any amount due to the Administrative Agent under Section 11.12(a) or under the indemnification provisions of this Agreement. (d) In the event that an Erroneous Payment (or portion thereof) is not recovered by the Administrative Agent for any reason, after demand therefor by the Administrative Agent in accordance with Section 11.12(a), from any Lender that has received such Erroneous Payment (or portion thereof) and/or from any Payment Recipient who received such Erroneous Payment (or portion thereof) on its respective behalf (such unrecovered amount, an “Erroneous Payment Return Deficiency”), upon the Administrative Agent’s notice to such Lender at any time, (i) such Lender shall be deemed to have assigned its Loans, as applicable (but not its corresponding Commitment) with respect to which such Erroneous Payment was made (the “Erroneous Payment Impacted Class”) in an amount equal to the Erroneous Payment Return Deficiency (or such lesser amount as the Administrative Agent may specify) (such assignment of Loans (but not Commitments) of the Erroneous Payment Impacted Class, the “Erroneous Payment Deficiency Assignment”) at par plus any accrued and unpaid interest (with the assignment fee to be waived by the Administrative Agent in such instance), and is hereby (together with the Borrower) deemed to execute and deliver assignment and assumption documentation with respect to such Erroneous Payment Deficiency Assignment, (ii) the Administrative Agent as the assignee Lender shall be deemed to acquire the Erroneous Payment Deficiency Assignment, (iii) upon such deemed acquisition, the Administrative Agent as the assignee Lender shall become a Lender hereunder with respect to such Erroneous Payment Deficiency Assignment and the assigning Lender shall cease to be a Lender hereunder with respect to such Erroneous Payment Deficiency Assignment, excluding, for the avoidance of doubt, its obligations under the indemnification provisions of this Agreement and its applicable Commitment(s) which shall survive as to such assigning Lender and (iv) the Administrative Agent may reflect in the Register its ownership interest in the Loans subject to the Erroneous Payment Deficiency Assignment. The Administrative Agent may, in its discretion, sell any Loans acquired pursuant to an Erroneous Payment Deficiency Assignment to an Eligible Assignee at par subject to the terms and conditions with respect to assignment of Loans set forth herein and upon receipt of the proceeds of such sale, the Erroneous Payment Return Deficiency owing by the applicable Lender shall be reduced by the net proceeds of the sale of such Loan (or portion thereof), and the Administrative Agent shall retain all other rights, remedies and claims against such Lender (and/or against any recipient that receives funds on its respective behalf). For the avoidance of doubt, no Erroneous Payment Deficiency Assignment will reduce the Commitment(s) of any Lender and such Commitment(s) shall remain available in accordance with the terms of this Agreement. (e) The parties hereto agree that an Erroneous Payment shall not pay, prepay, repay, discharge or otherwise satisfy any Obligations owed by the Borrower or any other Loan Party, except, in each case, to the extent such Erroneous Payment is, and solely with respect to the amount of such Erroneous Payment that is, comprised of funds received by the Administrative Agent from the Borrower or any other Loan Party for the purpose of reducing the Obligations. 58


 
(f) To the extent permitted by applicable law, no Payment Recipient shall assert any right or claim to an Erroneous Payment, and hereby waives, and is deemed to waive, any claim, counterclaim, defense or right of set-off or recoupment with respect to any demand, claim or counterclaim by the Administrative Agent for the return of any Erroneous Payment received, including without limitation waiver of any defense based on “discharge for value” or any similar doctrine. (g) Each party’s obligations, agreements and waivers under this Section 11.12 shall survive the resignation or replacement of the Administrative Agent, any transfer of rights or obligations by, or the replacement of, a Lender, the termination of the Commitments and/or the repayment, satisfaction or discharge of all Obligations (or any portion thereof) under any Transaction Document. (h) Nothing referenced in this Section 11.12, including the payment of an Erroneous Payment and the rights and obligations of the parties related thereto under this Section 11.12, shall trigger the Loan Parties’ indemnification obligations hereunder including under Article XIII. ARTICLE XII. ASSIGNMENTS AND PARTICIPATIONS Section 12.1 Restrictions on Assignments, Etc..¶ (a) No Loan Party may assign its rights, or delegate its duties hereunder or any interest herein without the prior written consent of each of the Agents and satisfaction of the Rating Agency Condition; provided, however, that the foregoing shall not be deemed to restrict Quest Diagnostics’ right, prior to delivery of a Successor Notice, to request the Agents’ consent to the appointment of an Affiliate as replacement Servicer (subject to satisfaction of the Rating Agency Condition) or to delegate all or any portion of its duties as Servicer to other Originators, as sub-servicers, so long as Quest Diagnostics remains primarily liable for the performance or non-performance of such duties. (b) Each of the Conduits may, at any time, assign all or any portion of any of its Loans and interests in the Letters of Credit, or sell participations therein, to its Constituent Liquidity Banks (or to its Co-Agent for the ratable benefit of its Constituent Liquidity Banks). (c) In addition to, and not in limitation of, assignments and participations described in Section 12.1(b): (i) In the event that PNC or any of the Liquidity Banks suffers a Downgrading Event, the applicable Co-Agent shall notify the Borrower thereof, and, within 5 Business Days after the Borrower’s receipt of such notice, the Borrower may advise such Co-Agent whether the Borrower intends to replace such Co-Agent’s Group (the “Affected Group”) with a new Group of one or more Eligible Assignees. If the Borrower notifies such Co-Agent that it wishes to effect a replacement, (1) the Lenders in the Affected Group shall promptly execute such assignments as may be reasonably necessary to transfer their rights and obligations to the members of the replacement Group against payment in full of the Affected Group’s Obligations, or (2) if an assignment is not practicable, the parties hereto shall promptly enter into such joinders and amendments to this Agreement as may be reasonably necessary to effect the replacement of the Affected Group with the new Group of one or more Eligible Assignees; (ii) Each of the Lenders may assign all or any portion of its Loans and, if applicable, its Commitment and Liquidity Commitment, to any Eligible Assignee with the prior written consent of (A) 59


 
the Borrower and (B) such Lender’s applicable Co-Agent, which consents shall not be unreasonably withheld or delayed; (iii) Notwithstanding any other provision of this Agreement to the contrary, each of the Lenders may at any time pledge or grant a security interest in all or any portion of its rights (including, without limitation, rights to payment of Principal and Interest) under this Agreement to secure obligations of such Person to a Federal Reserve Bank located in the United States of America, without notice to or consent of any other party hereto; provided that no such pledge or grant of a security interest shall release such Lender from any of its obligations hereunder or substitute any such pledgee or grantee for such Lender as a party hereto; and (iv) Each of the Lenders may, without the prior written consent of the Borrower or any of the Agents, sell participations in all or any portion of their respective rights and obligations in, to and under the Transaction Documents and the Obligations in accordance with Sections 12.2 and 14.7. (d) The Administrative Agent, acting solely for this purpose as an agent of the Borrower, shall maintain a copy of each assignment and assumption delivered to it and a register for the recordation of the names and addresses of the Lenders, and the Commitments of, and principal amounts (and stated interest) of the Loans owing to, each Lender pursuant to the terms hereof from time to time (the “Register”). The entries in the Register shall be conclusive (absent manifest error), and the Borrower, the Administrative Agent and the Lenders may treat each Person whose name is recorded in the Register pursuant to the terms hereof as a Lender hereunder for all purposes of this Agreement, notwithstanding notice to the contrary. The Register shall be available for inspection by the Borrower, at any reasonable time and from time to time upon reasonable prior notice. In addition, the Register shall be available for inspection by any Lender as to entries pertaining to it at any reasonable time and from time to time upon reasonable prior notice. Each Lender that sells a participation pursuant to this Agreement shall, acting as a non-fiduciary agent of the Borrower solely for the purpose of maintaining a register in order to satisfy the requirements of Section 5f.103-1(c) of the United States Treasury Regulations, maintain a register on which it records the name and address of each participant to which it has sold a participation and the principal amounts (and stated interest) of each such participant’s interest in the Loans or other rights and obligations of such Lender under this Agreement (the “Participant Register”); provided that no Lender shall have any obligation to disclose all or any portion of the Participant Register to any Person (including the identity of any participant or any information relating to a participant’s interest in any Commitments, Liquidity Commitments, Loans, Letters of Credit or its other obligations under any Transaction Document) except to the extent that such disclosure is necessary to establish that such Commitment, Liquidity Commitment, Loan, Letter of Credit or other obligation is in registered form under Section 5f.103-1(c) of the United States Treasury Regulations. The entries in the Participant Register shall be conclusive absent manifest error. Section 12.2 Rights of Assignees and Participants.¶ (a) Upon the assignment by a Lender in accordance with Section 12.1(b) or (c), the Eligible Assignee(s) receiving such assignment shall have all of the rights and obligations of such Lender with respect to the Transaction Documents and the Obligations (or such portion thereof as has been assigned). (b) In no event will the sale of any participation interest in any Lender’s or any Eligible Assignee’s rights under the Transaction Documents or in the Obligations relieve the seller of such 60


 
participation interest of its obligations, if any, hereunder or, if applicable, under the Liquidity Agreement to which it is a party. Section 12.3 Terms and Evidence of Assignment.¶ Any assignment to any Eligible Assignee(s) pursuant to Section 1.2(c), 12.1(b) or 12.1(c) shall be upon such terms and conditions as the assigning Lender and the applicable Co-Agent, on the one hand, and the Eligible Assignee, on the other, may mutually agree, and shall be evidenced by such instrument(s) or document(s) as may be satisfactory to such Lender, the applicable Co-Agent and the Eligible Assignee(s). Any assignment made in accordance with the terms of this Article XII shall relieve the assigning Lender of its obligations, if any, under this Agreement (and, if applicable, the Liquidity Agreement to which it is a party) to the extent assigned and no Lender may assign or otherwise transfer any of its rights and obligations hereunder except in accordance with the terms of this Article XII. ARTICLE XIII. INDEMNIFICATION Section 13.1 Indemnities by the Borrower.¶ (a) General Indemnity. Without limiting any other rights which any such Person may have hereunder or under applicable law, the Borrower hereby agrees to indemnify each of the Affected Parties, each of their respective Affiliates, and all successors, transferees, participants and assigns and all officers, directors, shareholders, controlling persons, employees and agents of any of the foregoing (each, an “Indemnified Party”), forthwith on demand, from and against any and all damages, losses, claims, liabilities and reasonable related out-of-pocket costs and expenses, including reasonable attorneys’ fees and disbursements (all of the foregoing being collectively referred to as “Indemnified Amounts”) awarded against or incurred by any of them arising out of or relating to the Transaction Documents or the transactions contemplated thereby (including the issuance or Modification of, the fronting for, or any drawing under, any Letter of Credit), the LC Collateral Account, the Obligations or the Collateral, excluding, however: (i) Indemnified Amounts to the extent determined by a court of competent jurisdiction to have resulted from bad faith, gross negligence or willful misconduct on the part of such Indemnified Party, and (ii) recourse (except as otherwise specifically provided in this Agreement) for Indemnified Amounts to the extent the same includes losses in respect of Receivables which are uncollectible on account of the insolvency, bankruptcy or lack of creditworthiness of the related Obligor or the related Obligor’s refusal to pay; provided, however, that prior to the occurrence of an Event of Default, the Indemnified Parties shall only be entitled to seek indemnity for the reasonable fees and disbursements of a single law firm as special counsel to all such Indemnified Parties (and, if required, a single law firm as local counsel to all such Indemnified Parties in each relevant jurisdiction where the law firm acting as special counsel is not licensed to practice). Without limiting the foregoing, the Borrower shall indemnify each Indemnified Party for Indemnified Amounts arising out of or relating to: (A) the creation of any Lien on, or transfer by any Loan Party of any interest in, the Collateral other than as provided in the Transaction Documents; (B) any representation or warranty made by any Originator or Loan Party (or any of its officers) under or in connection with any Transaction Document, any Monthly Report or any other information or report delivered by or on behalf of any Originator or 61


 
Loan Party pursuant thereto, which shall have been false, incorrect or misleading in any respect when made or deemed made or delivered, as the case may be; (C) the failure by any Loan Party to comply with any applicable law, rule or regulation with respect to any Receivable or the related Contract and/or Invoice, including, without limitation, any state or local assignment of claims act or similar legislation prohibiting or imposing notice and acknowledgement requirements or other limitations or conditions on the sale of participations in a Specified Government Receivable, or the nonconformity of any Receivable or the related Contract and/or Invoice with any such applicable law, rule or regulation; (D) the failure to vest and maintain vested in the Borrower a perfected ownership interest in all Collateral; or the failure to vest and maintain vested in the Administrative Agent, for the benefit of the Secured Parties, a valid and perfected first priority security interest in the Collateral, free and clear of any other Lien, other than a Lien arising solely as a result of an act of one of the Secured Parties, now or at any time thereafter; (E) unless the Borrower has actual knowledge that the Administrative Agent has prepared a financing statement, amendment or similar instrument or document under the UCC of any applicable jurisdiction or other applicable laws with respect to any Collateral, the failure to deliver to the Administrative Agent on a timely basis any such financing statement, amendment or similar instrument or document or to authorize its filing on a timely basis; (F) any dispute, claim, offset or defense (other than discharge in bankruptcy) of the Obligor to the payment of any Receivable (including, without limitation, a defense based on such Receivables or the related Contract and/or Invoice not being a legal, valid and binding obligation of such Obligor enforceable against it in accordance with its terms), or any other claim resulting from the sale of the services related to such Receivable or the furnishing or failure to furnish such services; (G) any matter described in Section 3.4; (H) any failure of any Loan Party, as the Borrower, the Servicer or otherwise, to perform its duties or obligations in accordance with the provisions of this Agreement or the other Transaction Documents to which it is a party; (I) any claim of breach by any Loan Party of any related Contract and/or Invoice with respect to any Receivable; (J) any Other Taxes (and all interest and penalties thereon or with respect thereto, and all out-of-pocket costs and expenses, including the reasonable fees and expenses of counsel in defending against the same), which may arise by reason of the Administrative Agent’s security interest in the Collateral; (K) the commingling of Collections of Receivables at any time with other funds; 62


 
(L) any investigation, litigation or proceeding related to or arising from this Agreement or any other Transaction Document, the transactions contemplated hereby or thereby, the use of the proceeds of any Loan, the issuance of any Letter of Credit, the security interest in the Purchased Assets and Related Assets or any other investigation, litigation or proceeding relating to the Borrower or any of the Originators in which any Indemnified Party becomes involved as a result of any of the transactions contemplated hereby or thereby (other than an investigation, litigation or proceeding (1) relating to a dispute solely amongst the Lenders (or certain Lenders) and the Administrative Agent or (2) excluded by Section 13.1(a)); (M) any products or professional liability, personal injury or damage suit, or other similar claim arising out of or in connection with merchandise, insurance or services that are the subject of any Contract, Invoice or any Purchased Asset; (N) any inability to litigate any claim against any Obligor in respect of any Receivable as a result of such Obligor being immune from civil and commercial law and suit on the grounds of sovereignty or otherwise from any legal action, suit or proceeding; (O) the occurrence of any Event of Default of the type described in Section 10.1(e); (P) any loss incurred by any of the Secured Parties as a result of the inclusion in the Borrowing Base of Private Receivables owing from any single Obligor and its Affiliated Obligors which causes the aggregate Unpaid Net Balance of all such Private Receivables to exceed the applicable Obligor Concentration Limit; or (Q) any amount that the Administrative Agent is required to pay to any Collection Bank pursuant to the terms of a Collection Account Agreement because of the Borrower’s failure to make such payment. (b) Contest of Tax Claim; After-Tax Basis¶. If any Indemnified Party shall have notice of any attempt to impose or collect any Tax or governmental fee or charge for which indemnification will be sought from any Loan Party under Section 13.1(a)(J), such Indemnified Party shall give prompt and timely notice of such attempt to the Borrower and the Borrower shall have the right, at its expense, to participate in any proceedings resisting or objecting to the imposition or collection of any such Tax, governmental fee or charge. Indemnification hereunder shall be in an amount necessary to make the Indemnified Party whole after taking into account any tax consequences when actually realized by the Indemnified Party of the payment of any of the aforesaid taxes or payments of amounts indemnified against hereunder (including any deduction) and the receipt of the indemnity payment provided hereunder or of any refund of any such tax previously indemnified hereunder, including the effect of such tax, amount indemnified against, deduction or refund on the amount of tax measured by net income or profits which is or was payable by the Indemnified Party. For purposes of this Agreement, an Indemnified Party shall be deemed to have “actually realized” tax consequences to the extent that, and at such time as, the amount of Taxes payable (including Taxes payable on an estimated basis) by such Indemnified Party is increased above or reduced below, as the case may be, the amount of Taxes that such Indemnified Party would be required to pay but for receipt or accrual of the indemnity payment or the incurrence or payment of such indemnified amount, as the case may be. 63


 
(c) Contribution. If for any reason the indemnification provided above in this Section 13.1 (and subject to the exceptions set forth therein) is unavailable to an Indemnified Party or is insufficient to hold an Indemnified Party harmless, then the Borrower shall contribute to the amount paid or payable by such Indemnified Party as a result of such loss, claim, damage or liability in such proportion as is appropriate to reflect not only the relative benefits received by such Indemnified Party on the one hand and the Borrower on the other hand but also the relative fault of such Indemnified Party as well as any other relevant equitable considerations. Section 13.2 Indemnities by Servicer¶. Without limiting any other rights which any Indemnified Party may have hereunder or under applicable law, the Servicer hereby agrees to indemnify each of the Indemnified Parties forthwith on demand, from and against any and all Indemnified Amounts awarded against or incurred by any of them arising out of or relating to the Servicer’s performance of, or failure to perform, any of its obligations under or in connection with any Transaction Document, or any representation or warranty made by the Servicer (or any of its officers) under or in connection with any Transaction Document, any Monthly Report or any other information or report delivered by or on behalf of the Servicer, which shall have been false, incorrect or misleading in any material respect when made or deemed made or delivered, as the case may be, or the failure of the Servicer to comply with any applicable law, rule or regulation with respect to any Receivable or the related Contract and Invoice. Notwithstanding the foregoing, in no event shall any Indemnified Party be awarded any Indemnified Amounts (a) to the extent determined by a court of competent jurisdiction to have resulted from gross negligence or willful misconduct on the part of such Indemnified Party or (b) as recourse for Indemnified Amounts to the extent the same includes losses in respect of Receivables which are uncollectible on account of the insolvency, bankruptcy or lack of creditworthiness of the related Obligor. If for any reason the indemnification provided above in this Section 13.2 (and subject to the exceptions set forth therein) is unavailable to an Indemnified Party or is insufficient to hold an Indemnified Party harmless, then the Servicer shall contribute to the amount paid or payable by such Indemnified Party as a result of such loss, claim, damage or liability in such proportion as is appropriate to reflect not only the relative benefits received by such Indemnified Party on the one hand and the Servicer on the other hand but also the relative fault of such Indemnified Party as well as any other relevant equitable considerations. Section 13.3 FATCA¶. If a payment made to any Agent or any Lender hereunder would be subject to U.S. federal withholding Tax imposed by FATCA if such payee were to fail to comply with the applicable reporting requirements of FATCA (including those contained in Section 1471(b) or 1472(b) of the Internal Revenue Code, as applicable), such payee shall deliver to the Borrower at the time or times prescribed by law and at such time or times reasonably requested by the Borrower, such documentation prescribed by applicable law (including as prescribed by Section 1471(b)(3)(C)(i) of the Internal Revenue Code) and such additional documentation reasonably requested by the Borrower as may be necessary for the Borrower to comply with its obligations under FATCA and to determine that such payee has complied with such payee’s obligations under FATCA or to determine the amount to deduct and withhold from such 64


 
payment. Solely for purposes of this Section 13.3, the term “FATCA” shall include any amendments made to FATCA after the date of this Agreement. ARTICLE XIV. MISCELLANEOUS Section 14.1 Amendments, Etc. ¶ Except as otherwise expressly provided in this Agreement (including, without limitation, Section 4.6), no amendment or waiver of any provision of this Agreement nor consent to any departure by any Loan Party therefrom shall in any event be effective unless the same shall be in writing and signed by each of the Loan Parties and the Co-Agents, and any such waiver or consent shall be effective only in the specific instance and for the specific purpose for which given; provided, however, that: (a) Before any of the Co-Agents enters into such an amendment or grants such a waiver or consent that is deemed to be material by S&P, Moody’s or, at any time while it is rating any Conduit’s Commercial Paper Notes, Fitch, the Rating Agency Condition (if applicable to such Co-Agent’s Conduit) must be satisfied with respect to each of such Conduits, (b) Without the prior written consent of all Liquidity Banks in a Co-Agent’s Group, such Co- Agent will not amend, modify or waive any provision of this Agreement which (i) would reduce or subordinate, or would have the effect of reducing or subordinating, the amount of any Principal or Interest that is payable on account of its Conduit’s Loans or would delay any scheduled date for payment thereof; (ii) would or would have the effect of subordinating all or the Administrative Agent’s Lien on all or any substantial portion of the Collateral; (iii) would decrease or would have the effect of decreasing the Required Reserve or the spread included in any Interest Rate, or would change the amount of the Servicer’s Fee; (iv) would modify or have the effect of modifying any provision of this Agreement that provides for the Groups or certain of each Group’s members to participate in any Advance or payment on a ratable basis; (v) would modify or circumvent or would have the effect of modifying or circumventing any provision of this Section 14.1; (vi) would modify or have the effect of modifying any yield protection or indemnity provision which expressly inures to the benefit of assignees or participants of such Co- Agent’s Conduit; or (vi) would increase any such Liquidity Bank’s Commitment, (c) Without the prior written consent of each Agent affected thereby, no such amendment, waiver or consent shall amend, modify, terminate or waive any provision of Article XI as the same applies to any Agent, or any other provision hereof as the same applies to the rights or obligations of any Agent, in each case without the consent of such Agent, (d) If less than all of the Co-Agents decline to approve a requested amendment and within 90 days after the Borrower’s request for approval of such amendment, and either (i) the Borrower prepays the Obligations of the dissenting Co-Agent’s (or Co-Agents’) Group in full or (ii) finds one or more Eligible Assignees to replace each such Co-Agent’s Group, then the requested amendment shall become effective on the effective date of such prepayment or assignment as to the remaining Lenders (and, if applicable, as to any replacement Lenders), and (e) If less than all of the Co-Agents decline to approve a requested waiver and (i) the Borrower either (A) identifies one or more Eligible Assignee(s) to accept immediate written assignments of such Co-Agent’s Group’s Commitment(s) and outstanding Obligations, or (B) immediately pays all Obligations owing to the members of such Co-Agent’s (or Co-Agents’) Group(s) in full, and (ii) the 65


 
Administrative Agent has not already declared the Termination Date to have occurred, such waiver shall become effective as to the remaining Lenders on the effective date of such assignment or repayment. Section 14.2 Notices, Etc. ¶ All notices and other communications provided for hereunder shall, unless otherwise stated herein, be in writing and shall be personally delivered or sent by express mail or courier or by certified mail, postage prepaid, or by e-mail (if an e-mail address is provided), to the intended party at such address or e-mail address as shall be designated by such party in a written notice to the other parties hereto. All such notices and communications shall be effective, if personally delivered or sent by express mail or courier or if sent by certified mail or by e-mail, when received. Section 14.3 No Waiver; Remedies¶. No failure on the part of the Administrative Agent or any of the other Secured Parties to exercise, and no delay in exercising, any right hereunder shall operate as a waiver thereof; nor shall any single or partial exercise of any right hereunder preclude any other or further exercise thereof or the exercise of any other right. The remedies herein provided are cumulative and not exclusive of any remedies provided by law. Without limiting the foregoing, each of the Administrative Agent and the Lenders is hereby authorized by the Borrower at any time and from time to time, to the fullest extent permitted by law, to set off and apply to payment of any Obligations that are then due and owing any and all deposits (general or special, time or demand provisional or final) at any time held and other indebtedness at any time owing by such Person to or for the credit or the account of the Borrower. Section 14.4 Binding Effect; Survival.¶ This Agreement shall be binding upon and inure to the benefit of each the Loan Parties, the Administrative Agent, the Lenders and their respective successors and assigns, and the provisions of Section 4.2 and Article XIII shall inure to the benefit of the Affected Parties and the Indemnified Parties, respectively, and their respective successors and assigns; provided, however, nothing in the foregoing shall be deemed to authorize any assignment not permitted by Section 12.1. This Agreement shall create and constitute the continuing obligations of the parties hereto in accordance with its terms, and shall remain in full force and effect until the Final Payout Date. The rights and remedies with respect to any breach of any representation and warranty made by the Borrower pursuant to Article VI and the indemnification and payment provisions of Article XIII and Sections 4.2, 14.5, 14.6, 14.7, 14.8, 14.14 and 14.16 shall be continuing and shall survive any termination of this Agreement. Section 14.5 Costs, Expenses and Stamp Taxes¶. In addition to their obligations under the other provisions of this Agreement, the Loan Parties jointly and severally agree to pay: (a) within 30 days after receipt of a written invoice therefor: all reasonable out-of-pocket costs and expenses incurred by the Administrative Agent, in connection with (i) the negotiation, preparation, execution and delivery of this Agreement, the other Transaction Documents or the Liquidity Agreement, or (ii) the administration of the Transaction Documents prior to an Event of Default including, without limitation, (A) the reasonable fees and expenses of a single law firm acting as counsel to the Administrative Agent and the Lenders incurred in connection with any of the foregoing, and (B) subject to the limitations set forth in Section 7.1(c), the reasonable fees and expenses of independent accountants incurred in connection with any review of any Loan Party’s books and records either prior to or after the execution and delivery hereof; (b) within 30 days after receipt of a written invoice therefor: all reasonable out-of-pocket costs and expenses (including, without limitation, the reasonable fees and expenses of counsel and 66


 
independent accountants) incurred by each of the Lenders, the Administrative Agent and the Liquidity Banks in connection with the negotiation, preparation, execution and delivery of any amendment or consent to, or waiver of, any provision of the Transaction Documents which is requested or proposed by any Loan Party (whether or not consummated), the administration of the Transaction Documents following an Event of Default (or following a waiver of or consent to any Event of Default), or the enforcement by any of the foregoing Persons of, or any actual or claimed breach of, this Agreement or any of the other Transaction Documents, including, without limitation, (i) the reasonable fees and expenses of counsel to any of such Persons incurred in connection with any of the foregoing or in advising such Persons as to their respective rights and remedies under any of the Transaction Documents in connection with any of the foregoing, and (ii) the reasonable fees and expenses of independent accountants incurred in connection with any review of any Loan Party’s books and records or valuation of the Purchased Assets and Related Assets; and (c) upon demand: all stamp and other similar or recording taxes and fees payable in connection with the execution, delivery, filing and recording of this Agreement or the other Transaction Documents (“Other Taxes”) (and Loan Parties jointly and severally agree to indemnify each Indemnified Party against any liabilities with respect to or resulting from any unreasonable delay in the payment of such taxes and fees by the Loan Parties or any omission by the Loan Parties to pay such taxes and fees upon demand). Section 14.6 No Proceedings¶. Each of the parties hereto hereby agrees that it will not institute against the Borrower or any Conduit, or join any Person in instituting against the Borrower or any Conduit, any insolvency proceeding (namely, any proceeding of the type referred to in the definition of Event of Bankruptcy) so long as any Obligations (in the case of the Borrower) or any Commercial Paper Notes or other senior Indebtedness issued by such Conduit, as the case may be, shall be outstanding or there shall not have elapsed one year plus one day since the last day on which any such Obligations and Commercial Paper Notes or other senior Indebtedness shall have been outstanding. The parties’ obligations under this Section 14.6 shall survive termination of this Agreement. Section 14.7 Confidentiality of Borrower Information¶. Each of the Agents and the Lenders agrees to keep information obtained by it pursuant to the Transaction Documents confidential in accordance with such Agent’s or Lender’s customary practices and in accordance with applicable law and agrees that it will only use such information in connection with the transactions contemplated hereby and not disclose any of such information other than (a) to such Agent’s or Lender’s employees, representatives, directors, attorneys, auditors, agents, professional advisors, trustees or affiliates who are advised of the confidential nature thereof it solely for the purposes of evaluating, administering and enforcing the transactions contemplated by the Transaction Documents and making any necessary business judgments with respect thereto, or to any direct or indirect contractual counterparty in swap agreements or such contractual counterparty’s professional advisor (so long as such contractual counterparty or professional advisor to such contractual counterparty agrees to be bound by the provision of this Section 14.7, such Agent or Lender being liable for any breach of confidentiality by any Person described in this clause (a) and with respect to disclosures to an Affiliate to the extent disclosed by such Agent or Lender to such Affiliate), (b) to the extent such information presently is or hereafter becomes available to such Agent or Lender on a non-confidential basis from a Person not an Affiliate of such Agent or Lender not known to such Lender to be violating a confidentiality obligation by such disclosure, (c) to the extent disclosure is required by any Law, subpoena or judicial order or process (provided that notice of such requirement or order shall be promptly furnished to the applicable Loan Party unless such notice is legally prohibited) or requested or required by bank, securities, insurance or investment company 67


 
regulations or auditors or any administrative body or commission to whose jurisdiction such Agent or Lender may be subject, (d) to any rating agency to the extent required in connection with any rating to be assigned to such Lender, (e) to assignees or participants or prospective assignees or participants who agree to be bound by the provisions of this Section 14.7, (f) to the extent required in connection with any litigation between any Loan Party and any Lender with respect to the Loans or any Transaction Document, (g) to any dealer or placement agent for such party’s Commercial Paper Notes, who (i) in the good faith belief of such party, has a need to know such confidential information, (ii) is informed by such party of the confidential nature of such information and the terms of this Section 14.7 and (iii) has agreed in writing to be bound by the provisions of this Section 14.7, (h) to any Liquidity Bank (whether or not on the date of disclosure, such Liquidity Bank continues to be an Eligible Assignee), or to any other actual or potential permitted assignee or participant permitted under Section 12.1 who has agreed to be bound by the provisions of this Section 14.7, (i) to any rating agency that maintains a rating for such party’s Commercial Paper Notes or is considering the issuance of such a rating, for the purposes of reviewing the credit of any Lender in connection with such rating, (j) to any other party to this Agreement (and any independent attorneys and auditors of such party), for the purposes contemplated hereby, (k) to any entity that provides a surety bond or other credit enhancement to any Conduit solely for the purpose of providing such surety bond or other credit enhancement and not for any other purpose, provided that such entity has agreed to be bound by the provisions of this Section 14.7 or by a confidentiality or non-disclosure agreement containing similar terms, (l) in connection with the enforcement of this Agreement or any other Transaction Document to the extent required to exercise rights against the Collateral, or (m) with the applicable Loan Party’s prior written consent. In addition, each of the Lenders and the Agents may disclose on a “no name” basis to any actual or potential investor in Commercial Paper Notes information regarding the nature of this Agreement, the basic terms hereof (including without limitation the amount and nature of the Aggregate Commitment and the Advances), the nature, amount and status of the Receivables, and the current and/or historical ratios of losses to liquidations and/or outstandings with respect to the Receivables. This Section 14.7 shall survive termination of this Agreement. Section 14.8 Confidentiality of Program Information¶. (a) Confidential Information. Each party hereto acknowledges that the Conduits and the Agents regard the structure of the transactions contemplated by this Agreement to be proprietary, and each such party agrees that: (i) it will not disclose without the prior consent of each Conduit or each Agent (other than to the directors, employees, auditors, counsel or affiliates (collectively, “representatives”) of such party, each of whom shall be informed by such party of the confidential nature of the Program Information (as defined below) and of the terms of this Section 14.8): (A) any information regarding the pricing in, or copies of, the Liquidity Agreements or the Fee Letter, or (B) any information which is furnished by any Conduit or any Agent to such party and which is designated by such Conduit or such Agent to such party in writing or otherwise as confidential or not otherwise available to the general public (the information referred to in clauses (A) and (B) is collectively referred to as the “Program Information”); provided, however, that such party may disclose any such Program Information (1) as may be required by any municipal, state, federal or other regulatory body having or claiming to have jurisdiction over such party, including, without limitation, the SEC, (2) in order to comply with any law, order, regulation, regulatory request or ruling applicable to such party, (3) subject to subsection (c) below, in the event such party is legally compelled (by interrogatories, requests for information or copies, subpoena, civil investigative demand or similar process) to disclose any such Program Information, or (4) in financial statements as required by GAAP; 68


 
(ii) it will use the Program Information solely for the purposes of evaluating, administering and enforcing the transactions contemplated by the Transaction Documents and making any necessary business judgments with respect thereto; and (iii) it will, upon demand, return (and cause each of its representatives to return) to the applicable Co-Agent, all documents or other written material received from any Conduit in connection with (a)(i)(B) above and all copies thereof made by such party which contain the Program Information. (b) Availability of Confidential Information. This Section 14.8 shall be inoperative as to such portions of the Program Information which are or become generally available to the public or such party on a nonconfidential basis from a source other than the Administrative Agent or were known to such party on a nonconfidential basis prior to its disclosure by the Administrative Agent. (c) Legal Compulsion to Disclose. In the event that any party or anyone to whom such party or its representatives transmits the Program Information is requested or becomes legally compelled (by interrogatories, requests for information or documents, subpoena, civil investigative demand or similar process) to disclose any of the Program Information, such party will provide the Administrative Agent with prompt written notice so that the Administrative Agent may seek a protective order or other appropriate remedy and/or, if it so chooses, agree that such party may disclose such Program Information pursuant to such request or legal compulsion. In the event that such protective order or other remedy is not obtained, or the Administrative Agent agrees that such Program Information may be disclosed, such party will furnish only that portion of the Program Information which (in such party’s good faith judgment) is legally required to be furnished and will exercise reasonable efforts to obtain reliable assurance that confidential treatment will be accorded the Program Information. (d) Survival. This Section 14.8 shall survive termination of this Agreement. Section 14.9 Captions and Cross References¶. The various captions (including, without limitation, the table of contents) in this Agreement are provided solely for convenience of reference and shall not affect the meaning or interpretation of any provision of this Agreement. Unless otherwise indicated, references in this Agreement to any Section, Annex, Schedule or Exhibit are to such Section of or Annex, Schedule or Exhibit to this Agreement, as the case may be, and references in any Section, subsection, or clause to any subsection, clause or subclause are to such subsection, clause or subclause of such Section, subsection or clause. Section 14.10 Integration¶. This Agreement and the other Transaction Documents contain a final and complete integration of all prior expressions by the parties hereto with respect to the subject matter hereof and shall constitute the entire understanding among the parties hereto with respect to the subject matter hereof, superseding all prior oral or written understandings. Section 14.11 Governing Law¶. EACH TRANSACTION DOCUMENT SHALL BE GOVERNED BY, AND CONSTRUED IN ACCORDANCE WITH, THE LAW OF THE STATE OF NEW YORK, WITHOUT REGARD TO THE PRINCIPLES OF CONFLICTS OF LAWS THEREOF OTHER THAN SECTION 5-1401 OF THE GENERAL OBLIGATIONS LAW (EXCEPT IN THE CASE OF THE OTHER TRANSACTION DOCUMENTS, TO THE EXTENT OTHERWISE EXPRESSLY STATED THEREIN) AND EXCEPT TO THE EXTENT THAT THE PERFECTION OF THE OWNERSHIP INTERESTS OR SECURITY INTERESTS OF THE BORROWER OR THE ADMINISTRATIVE AGENT, 69


 
ON BEHALF OF THE SECURED PARTIES, IN ANY OF THE COLLATERAL IS GOVERNED BY THE LAWS OF A JURISDICTION OTHER THAN THE STATE OF NEW YORK. Section 14.12 Waiver Of Jury Trial¶. EACH PARTY HERETO HEREBY EXPRESSLY WAIVES ANY RIGHT TO A TRIAL BY JURY IN ANY ACTION OR PROCEEDING TO ENFORCE OR DEFEND ANY RIGHTS UNDER THIS AGREEMENT, ANY OTHER TRANSACTION DOCUMENT OR UNDER ANY AMENDMENT, INSTRUMENT OR DOCUMENT DELIVERED OR WHICH MAY IN THE FUTURE BE DELIVERED IN CONNECTION HEREWITH OR ARISING FROM ANY BANKING OR OTHER RELATIONSHIP EXISTING IN CONNECTION WITH THIS AGREEMENT OR ANY OTHER TRANSACTION DOCUMENT AND AGREES THAT ANY SUCH ACTION OR PROCEEDING SHALL NOT BE TRIED BEFORE A JURY. Section 14.13 Consent To Jurisdiction; Waiver Of Immunities¶. EACH PARTY HERETO HEREBY ACKNOWLEDGES AND AGREES THAT: (a) IT IRREVOCABLY (i) SUBMITS TO THE NON-EXCLUSIVE JURISDICTION, FIRST, OF ANY UNITED STATES FEDERAL COURT, AND SECOND, IF FEDERAL JURISDICTION IS NOT AVAILABLE, OF ANY NEW YORK STATE COURT, IN EITHER CASE SITTING IN NEW YORK COUNTY, NEW YORK, IN ANY ACTION OR PROCEEDING ARISING OUT OF OR RELATING TO THIS AGREEMENT, AND (ii) WAIVES, TO THE FULLEST EXTENT IT MAY EFFECTIVELY DO SO, THE DEFENSE OF AN INCONVENIENT FORUM TO THE MAINTENANCE OF AN ACTION OR PROCEEDING IN SUCH COURTS. (b) TO THE EXTENT THAT IT HAS OR HEREAFTER MAY ACQUIRE ANY IMMUNITY FROM THE JURISDICTION OF ANY COURT OR FROM ANY LEGAL PROCESS (WHETHER THROUGH SERVICE OR NOTICE, ATTACHMENT PRIOR TO JUDGMENT, ATTACHMENT IN AID TO EXECUTION, EXECUTION OR OTHERWISE) WITH RESPECT TO ITSELF OR ITS PROPERTY, IT HEREBY IRREVOCABLY WAIVES SUCH IMMUNITY IN RESPECT OF ITS OBLIGATIONS UNDER OR IN CONNECTION WITH THIS AGREEMENT. Section 14.14 Business Associate Agreement; Health Care Data Privacy and Security Requirements.¶ (a) Definitions. “HIPAA” means the Health Insurance Portability and Accountability Act of 1996. The terms “EDI Rule,” “Privacy Regulations” and “Security Regulations” refer to all of the rules and regulations in effect from time to time issued pursuant to HIPAA and applicable to (respectively) the electronic data interchange, privacy and security of Individually Identifiable Health Information (found at Title 45, Code of Federal Regulations (CFR) Parts 160, 162, and 164). “Business Associate” refers to each of the Agents, the Borrower and any successor Servicer to Quest Diagnostics appointed by the Agents pursuant to this Agreement, severally and not jointly. All other terms used, but not otherwise defined in this Section, shall have the same meaning as those terms defined in the Title 45 of the Code of Federal Regulations applicable to HIPAA or any successor statute. (b) Privacy. In accordance with the purposes of this Agreement, Quest Diagnostics will disclose to each Business Associate, and each Business Associate will use, disclose, and/or create Protected Health Information (hereinafter called “PHI”) only on behalf of Quest Diagnostics for the specific purposes set forth in this Agreement. Each Business Associate agrees not to use or further disclose any PHI or Individually Identifiable Health Information received from Quest Diagnostics or created by any Business Associate other than as permitted by this Agreement or as required by applicable law or regulations, including the Privacy Regulations and the Security Regulations. Each Business Associate will only use or disclose the Minimum Necessary PHI to accomplish the intended purpose of its uses or disclosures. Each Business Associate will implement appropriate safeguards to prevent the use 70


 
or disclosure of an Individual’s PHI other than as provided for by this Agreement or in accordance with law and shall document its safeguards. Each Business Associate will provide access to an Individual’s PHI upon the reasonable request of Quest Diagnostics, will make any amendments to an Individual’s PHI as directed by Quest Diagnostics, and will maintain a record of disclosures of PHI as required for Quest Diagnostics to make an accounting to the Individual as required by the Privacy Regulations. Each Business Associate will promptly report to Quest Diagnostics any use or disclosure of an Individual’s PHI not provided for by this Agreement or any security incident (as that term is defined in the Security Regulations) of which such Business Associate becomes aware. In the event any Business Associate contracts with any sub-contractors or agents and provides them with an Individual’s PHI, such Business Associate shall include provisions in its agreements whereby the sub-contractor or agent agrees to the same privacy and security requirements and restrictions and conditions that apply to such Business Associate with respect to the Individual’s PHI. Each Business Associate will, upon reasonable notice, make its internal practices, books, and records relating to the use and disclosure of an Individual’s PHI available to the Secretary of Health and Human Services and to Quest Diagnostics to the extent required for determining compliance with this Section, the Privacy Regulations, and the Security Regulations. Notwithstanding the foregoing, no legal privilege shall be deemed waived by any Business Associate or Quest Diagnostics by virtue of this clause (b) of this Section. Quest Diagnostics may terminate this Agreement without penalty or recourse if it determines that any Business Associate has violated a material term of this Section or applicable law that is not cured within thirty (30) calendar days after delivery of the notice of violation to all of the Business Associates or, in lieu of termination, Quest Diagnostics, in its sole discretion, may report the breach to the Secretary. Upon termination of this Agreement for any reason, each Business Associate and its sub-contractors or agents agree to return or to destroy all PHI and retain no copies (and to certify to such actions) unless otherwise agreed by Quest Diagnostics or such return or disclosure is not reasonably feasible (in which case, at no additional cost to Quest Diagnostics, each Business Associate will extend the protections of this Section to the PHI that such Business Associate maintains and limit any further uses and disclosures of the PHI to the purposes that make the return or destruction of the PHI not feasible). (c) Security. Each Business Associate shall adopt, implement and maintain throughout the term of this Agreement security policies, procedures, and practices, administrative, physical and technical safeguards, and security mechanisms that reasonably and adequately protect the confidentiality, integrity, and availability of the PHI that it creates, receives, maintains, or transmits on behalf of Quest Diagnostics (“Business Associate Safeguards”), and each Business Associate shall require its sub-contractors or agents to adopt Business Associate Safeguards that are equally appropriate and adequate. Quest Diagnostics may terminate this Agreement at any time, without penalty, if it determines, in its sole discretion, that the Business Associate Safeguards are unsatisfactory. (d) EDI. If Business Associate conducts all or any portion of its business or pays any claim in a transaction covered by the Electronic Data Interchange (“EDI”) Rule on behalf of Quest Diagnostics, then Business Associate covenants and warrants that it shall and shall require its agents and/or subcontractors to comply with the requirements of the EDI Rule that are applicable to Quest Diagnostics. (e) Benefit. This Section is not intended to create any right in or obligations to any Person that is not a party to this Agreement, including Individuals. (f) Mitigation. In addition to any rights of indemnification contained in this Agreement, each Business Associate will take commercially reasonable steps to mitigate any harm caused by its breach of this Section and/or reimburse Quest Diagnostics for the cost of commercially reasonable mitigation 71


 
based upon, arising out of or attributable to the acts or omissions of such Business Associate, its employees, officers, directors, agents, or sub-contractors for uses or disclosures in violation of this Section. (g) Amendment. Each of the Business Associates and Quest Diagnostics agree to amend this Section in such manner as is reasonably necessary to comply with any amendment of (i) HIPAA or other applicable law, (ii) the Privacy Regulations, the Security Regulations, or other applicable regulations, or (iii) any applicable court decision or binding governmental policy. If the parties are unable to agree on an amendment within 30 days of notice from Quest Diagnostics to each Business Associate of the requirement to amend this Section, Quest Diagnostics may, at its option, terminate this Agreement upon written notice to the Business Associates. (h) Survival. This Section and the confidentiality, privacy, security, and other requirements established herein shall survive termination of this Agreement. (i) Interpretation. Any ambiguity in this Section shall be resolved in favor of a meaning that permits Quest Diagnostics to comply with the Privacy Regulations, the Security Regulations and the EDI Rule. (j) Several Liability of Business Associates. No Business Associate shall have any liability to Quest Diagnostics or any third party of any kind or nature, whether such liability is asserted on the basis of contract, tort (including negligence or strict liability), or otherwise, arising from the failure of any other Business Associate to fulfill its obligations under this Section. Section 14.15 Execution in Counterparts¶. This Agreement may be executed in any number of counterparts and by the different parties hereto in separate counterparts, each of which when so executed shall be deemed to be an original and all of which when taken together shall constitute one and the same Agreement. Section 14.16 No Recourse Against Other Parties¶. The several obligations of the Lenders under this Agreement are solely the corporate obligations of such Lender. No recourse shall be had for the payment of any amount owing by such Lender under this Agreement or for the payment by such Lender of any fee in respect hereof or any other obligation or claim of or against such Lender arising out of or based upon this Agreement, against any employee, officer, director, incorporator or stockholder of such Lender. Each of the Borrower, the Servicer and the Administrative Agent agrees that each of the Conduits shall be liable for any claims that such party may have against such Conduit only to the extent that such Conduit has excess funds and to the extent such assets are insufficient to satisfy the obligations of such Conduit hereunder, such Conduit shall have no liability with respect to any amount of such obligations remaining unpaid and such unpaid amount shall not constitute a claim against such Conduit. Any and all claims against any of the Conduits or any of the Agents shall be subordinate to the claims against such Persons of the holders of such Conduit’s Commercial Paper Notes and other senior Indebtedness and its Liquidity Banks. Section 14.17 PATRIOT Act.¶ Each Lender that is subject to the requirements of the Act hereby notifies the Loan Parties that pursuant to the requirements of the Act, it is required to obtain, verify and record information that identifies the Loan Parties, the Originators and their respective Subsidiaries, which information includes the name and address of the Loan Parties, the Originators and their respective 72


 
Subsidiaries and other information that will allow such Lenders to identify such parties in accordance with the Act. Section 14.18 Defaulting Lenders¶. (a) If any Committed Lender becomes a Defaulting Lender at any time when there are undrawn Letters of Credit outstanding, then all or any part of such Defaulting Lender’s participation in such Letters of Credit shall be reallocated among the Committed Lenders that are not Defaulting Lenders in accordance with their respective Ratable Shares (calculated without regard to such Defaulting Lender’s Commitment) but only to the extent that (i) the conditions precedent to Credit Events are satisfied at the time of such reallocation (and, unless the Borrower shall have otherwise notified the Administrative Agent at such time, the Borrower shall be deemed to have represented and warranted that such conditions are satisfied at such time), and (ii) such reallocation does not cause the Credit Exposure of any Lender to exceed such Lender’s applicable Commitment. Subject to Section 1.9, no such reallocation shall constitute a waiver or release of any claim of any party against a Defaulting Lender arising from that Lender having become a Defaulting Lender, including any claim of any other Lender as a result of such other Lender’s increased Credit Exposure following such reallocation. (b) If any Committed Lender becomes a Defaulting Lender at any time when there are Advances outstanding, then all or any part of such Defaulting Lender’s Loans shall be reallocated among the Committed Lenders that are not Defaulting Lenders in accordance with their respective Ratable Shares (calculated without regard to such Defaulting Lender’s Commitment) but only to the extent that (i) the conditions precedent to Credit Events are satisfied at the time of such reallocation (and, unless the Borrower shall have otherwise notified the Administrative Agent at such time, the Borrower shall be deemed to have represented and warranted that such conditions are satisfied at such time), and (ii) such reallocation does not cause the Credit Exposure of any Lender to exceed such Lender’s Commitment. No such reallocation shall constitute a waiver or release of any claim of any party against a Defaulting Lender arising from that Lender having become a Defaulting Lender, including any claim of any other Lender as a result of such other Lender’s increased Credit Exposure following such reallocation. (c) If any Committed Lender becomes a Defaulting Lender at any time when there are undrawn Letters of Credit or Advances outstanding and the reallocation described in the paragraph above cannot, or can only partially, be effected, then the Borrower shall (i) within two (2) Business Days following notice by the LC Issuer or the Administrative Agent, (A) cash collateralize for the benefit of the LC Issuer a portion of the amount of the then outstanding Letters of Credit equal to such Defaulting Lender’s Ratable Share (determined after giving effect to any reallocation of its participation in Letters of Credit pursuant to clause (a) above) of such undrawn stated amount of outstanding Letters of Credit by depositing such amount into the LC Collateral Account, and/or (B) reduce the outstanding Principal balance of the Loans of the other Lenders in an aggregate amount, and (ii) maintain funds in the LC Collateral Account to cash collateralize such Defaulting Lender’s Ratable Share (determined after giving effect to any reallocation of its participation in Letters of Credit pursuant to clause (a) above) of undrawn stated amount of outstanding Letters of Credit. The Administrative Agent shall apply funds deposited into the LC Collateral Account to satisfy a Defaulting Lender’s obligation to fund its portion of a Reimbursement Advance requested or deemed requested by the Borrower and to fund any LC Advance required to be made by such Defaulting Lender. (d) The Borrower shall not be required to pay such Defaulting Lender any fees payable with respect to the amount of the undrawn Letters of Credit that is so Cash Collateralized by the Borrower. 73


 
(e) No amount payable by the Borrower for the account of a Defaulting Lender (whether on account of Principal, Interest, indemnity payments or other amounts) shall be paid or distributed to such Defaulting Lender (or its Co-Agent), but instead shall be deposited to the LC Collateral Account until the amount therein is equal to the amount of such Defaulting Lender’s Pro Rata Share of the stated amount of the undrawn Letters of Credit that is not cash collateralized, and to the extent of any remaining amounts, to pay to such Defaulting Lender amounts owed to it. (f) No Defaulting Lender shall have any right to approve or disapprove any amendment, waiver or consent under this Agreement (and any amendment, waiver or consent which by its terms requires the consent of all Lenders or each affected Lender may be effected with the consent of the applicable Lenders other than Defaulting Lenders), except that (x) the Commitment of any Defaulting Lender may not be increased or extended without the consent of such Lender and (y) any waiver, amendment or modification requiring the consent of all Lenders or each affected Lender that by its terms affects any Defaulting Lender more adversely than other affected Lenders shall require the consent of such Defaulting Lender. <Signature pages have been moved from this document to Amendment No. 10> 74


 
ANNEX A DEFINITIONS A. Certain Defined Terms. As used in this Agreement: “Account” shall have the meaning specified in Article 9 of the UCC. “Accrual Period” means each calendar month, provided that the initial Accrual Period hereunder means the period from (and including) the date of the initial Loan hereunder to (and including) the last day of the calendar month thereafter. “Ad Hoc Reserve” means 0% or such higher percentage as the Servicer and the Agents may agree upon in writing from time to time; provided, however, that in the event Quest Diagnostics is downgraded by both S&P and Moody’s below BBB- and Baa3, respectively, the agreement of the Servicer to the higher percentage will not be required so long as such percentage does not exceed 1.5 times the Dilution Reserve. “Adjusted Daily One Month Term SOFR” means, for purposes of any calculation, the rate per annum equal to the sum of (a) the Daily One Month Term SOFR for such day, plus (b) the Term SOFR Adjustment. “Adjusted Daily Three Month Term SOFR” means, for purposes of any calculation, the rate per annum equal to the sum of (a) the Daily Three Month Term SOFR for such day, plus (b) the Term SOFR Adjustment. “Adjusted Dilution Ratio” means, at any time, the rolling average of the Dilution Ratio for the 12 months then most recently ended. “Adjusted Term SOFR” means, for purposes of any calculation, the rate per annum equal to the sum of (a) the applicable Term SOFR for such Interest Period, plus (b) the Term SOFR Adjustment. “Administrative Agent” has the meaning provided in the preamble of this Agreement. “Advance” means a borrowing under Section 1.1.1 hereunder consisting of the aggregate amount of the several Loans made on the same Borrowing Date. “Affected Party” means the LC Issuer and each of the Lenders and the Agents. “Affiliate” means, as to any Person, any other Person which, directly or indirectly, is in control of, is controlled by, or is under common control with, such Person. A Person shall be deemed to control another Person if the controlling Person possesses, directly or indirectly, the power to direct or cause the direction of the management and policies of the other Person, whether through the ownership of voting securities, membership interests, by contract, or otherwise. “Affiliated Obligor” in relation to any Obligor means an Obligor that is an Affiliate of such Obligor. “Agents” means the Administrative Agent and the Co-Agents. 75


 
“Aggregate Commitment” means, on any date of determination, the aggregate of the Commitments then in effect. “Aggregate Credit Exposure” means, as to all Lenders on any date of determination, the sum of (a) aggregate Principal balance of the Advances outstanding on such date, plus (b) the LC Obligations on such date. “Aggregate Principal” means, on any date of determination, the aggregate outstanding Principal amount of the Advances at such time. “Agreement” means this Sixth Amended and Restated Credit and Security Agreement, as it may be amended or modified and in effect from time to time. “Allocation Limit” means the sum of the PNC Allocation Limit, the Atlantic Allocation Limit and the Gotham Allocation Limit. “Alternate Base Rate” means, for any day, a rate per annum equal to the highest of (a) the Prime Rate in effect on such day, (b) the greater of (i) the Federal Funds Rate in effect on such day plus 0.50%, and (ii) the Floor, and (c) the greater of (i) Term SOFR for a one-month tenor in effect on such day plus the Term SOFR Adjustment, and (ii) the Floor. Any change in the Alternate Base Rate due to a change in the Prime Rate, the Federal Funds Rate or Term SOFR shall be effective from and including the effective date of such change in the Prime Rate, the Federal Funds Rate or Term SOFR, respectively. “Alternate Base Rate Loan” means a Loan which bears interest at the Alternate Base Rate or the Default Rate. “Anti-Corruption Laws” means all laws, rules, and regulations of any jurisdiction applicable to the Originators or their respective Subsidiaries from time to time concerning or relating to bribery or corruption including the U.S. Foreign Corrupt Practices Act of 1977, as amended, the U.K. Bribery Act 2010, and any applicable law or regulation implementing the OECD Convention on Combating Bribery of Foreign Public Officials in International Business Transactions. “Approved Amendment” means any of the following amendments and waivers, to the Credit Agreement, howsoever evidenced: (a) until such time (if any) that Quest Diagnostics’ long-term senior unsecured debt rating from Moody’s is raised above Ba1, and for so long as Quest Diagnostics’ long-term senior unsecured debt ratings remain at BBB- or higher from S&P and at (but not below) Ba1 from Moody’s, any amendment to or waiver of the Credit Agreement to which the requisite banks under the Credit Agreement consent, (b) after the time (if any) that Quest Diagnostics’ long-term senior unsecured debt rating from Moody’s is raised to Baa3 or higher, and for so long as Quest Diagnostics’ long-term senior unsecured debt ratings remain at BBB- or higher from S&P and at Baa3 or higher from Moody’s, any amendment to or waiver of the Credit Agreement to which the requisite banks under the Credit Agreement consent, and 76


 
(c) at any time while Quest Diagnostics’ long-term senior unsecured debt rating from either S&P or Moody’s fails to meet the applicable minimum level set forth in (a) or (b) above or any such minimum rating is classified as being on “negative watch” or the equivalent, any amendment to or waiver of the Credit Agreement approved by the requisite banks under the Credit Agreement and to which either (x) each of the Co-Agents (acting in its capacity as such under this Agreement) gives its written consent on or within 30 days after receipt of a copy of the proposed amendment or waiver, or (y) one or two of the Co-Agents but not all of the Co-Agents gives its written consent on or within 30 days after receipt of a copy of the proposed amendment (but not waiver) and the Obligations owing each dissenting Co-Agent’s Group are paid in full on or within 60 days after such 30th day. “Article” means an article of this Agreement unless another document is specifically referenced. “Atlantic” has the meaning provided in the preamble of this Agreement. “Atlantic Allocation Limit” has the meaning set forth in Section 1.1.1(c). “Atlantic Group” has the meaning provided in the preamble of this Agreement. “Atlantic Group Agent” has the meaning provided in the preamble of this Agreement. “Atlantic Liquidity Agreement” means, collectively, any liquidity agreement pursuant to which any of the Atlantic Liquidity Banks provides liquidity to Atlantic and any related asset purchase agreement, as each may be amended, restated, supplemented, replaced or otherwise modified from time to time. “Atlantic Liquidity Bank” means any Liquidity Bank that now or hereafter enters into this Agreement and the Atlantic Liquidity Agreement. “Authorized Officer” means with respect to either Loan Party, any of the following, acting singly: its chief executive officer, its president, its vice president-finance, its treasurer, its assistant treasurer or its secretary. “Available Tenor” means, as of any date of determination and with respect to the then- current Benchmark, as applicable, (x) if such Benchmark is a term rate, any tenor for such Benchmark (or component thereof) that is or may be used for determining the length of an interest period pursuant to this Agreement or (y) otherwise, any payment period for interest calculated with reference to such Benchmark (or component thereof) that is or may be used for determining any frequency of making payments of interest calculated with reference to such Benchmark, in each case, as of such date and not including, for the avoidance of doubt, any tenor for such Benchmark that is then-removed from the definition of “Interest Period”, “Daily One Month Term SOFR” or “Daily Three Month Term SOFR” pursuant to Section 4.6(d). “Bail-In Action” means the exercise of any Write-Down and Conversion Powers by the applicable EEA Resolution Authority in respect of any liability of an EEA Financial Institution. “Bail-In Legislation” means, with respect to any EEA Member Country implementing Article 55 of Directive 2014/59/EU of the European Parliament and of the Council of the European 77


 
Union, the implementing law for such EEA Member Country from time to time which is described in the EU Bail-In Legislation Schedule. “Benchmark” means, initially, the Term SOFR Reference Rate; provided that if a Benchmark Transition Event has occurred with respect to the Term SOFR Reference Rate or the then- current Benchmark, then “Benchmark” means the applicable Benchmark Replacement to the extent that such Benchmark Replacement has replaced such prior benchmark rate pursuant to Section 4.6(a). “Benchmark Replacement” means with respect to any Benchmark Transition Event, the sum of: (a) the alternate benchmark rate that has been selected by the Administrative Agent and the Borrower giving due consideration to (i) any selection or recommendation of a replacement benchmark rate or the mechanism for determining such a rate by the Relevant Governmental Body or (ii) any evolving or then-prevailing market convention for determining a benchmark rate as a replacement to the then-current Benchmark for Dollar-denominated syndicated credit facilities and (b) the related Benchmark Replacement Adjustment; provided that, if such Benchmark Replacement as so determined would be less than the Floor, such Benchmark Replacement will be deemed to be the Floor for the purposes of this Agreement and the other Transaction Documents. “Benchmark Replacement Adjustment” means, with respect to any replacement of the then-current Benchmark with an Unadjusted Benchmark Replacement, the spread adjustment, or method for calculating or determining such spread adjustment, (which may be a positive or negative value or zero) that has been selected by the Administrative Agent and the Borrower giving due consideration to (a) any selection or recommendation of a spread adjustment, or method for calculating or determining such spread adjustment, for the replacement of such Benchmark with the applicable Unadjusted Benchmark Replacement by the Relevant Governmental Body or (b) any evolving or then- prevailing market convention for determining a spread adjustment, or method for calculating or determining such spread adjustment, for the replacement of such Benchmark with the applicable Unadjusted Benchmark Replacement for Dollar-denominated syndicated credit facilities. “Benchmark Replacement Date” means the earliest to occur of the following events with respect to the then-current Benchmark: (a) in the case of clause (a) or (b) of the definition of “Benchmark Transition Event,” the later of (i) the date of the public statement or publication of information referenced therein and (ii) the date on which the administrator of such Benchmark (or the published component used in the calculation thereof) permanently or indefinitely ceases to provide all Available Tenors of such Benchmark (or such component thereof); or (b) in the case of clause (c) of the definition of “Benchmark Transition Event”, the first date on which such Benchmark (or the published component used in the calculation thereof) has been determined and announced by or on behalf of the administrator of such Benchmark (or such component thereof) or the regulatory supervisor for the administrator of such Benchmark (or such component thereof) to be non-representative or non-compliant with or non-aligned with the International Organization of Securities Commissions (IOSCO) Principles for Financial Benchmarks; provided that such non-representativeness, non-compliance or non-alignment will be determined by reference to the most recent statement or publication referenced in such clause (c) and even if any Available Tenor of such Benchmark (or such component thereof) continues to be provided on such date. 78


 
For the avoidance of doubt, the “Benchmark Replacement Date” will be deemed to have occurred in the case of clause (a) or (b) with respect to any Benchmark upon the occurrence of the applicable event or events set forth therein with respect to all then-current Available Tenors of such Benchmark (or the published component used in the calculation thereof). “Benchmark Transition Event” means the occurrence of one or more of the following events with respect to the then-current Benchmark: (a) a public statement or publication of information by or on behalf of the administrator of such Benchmark (or the published component used in the calculation thereof) announcing that such administrator has ceased or will cease to provide all Available Tenors of such Benchmark (or such component thereof), permanently or indefinitely; provided that, at the time of such statement or publication, there is no successor administrator that will continue to provide any Available Tenor of such Benchmark (or such component thereof); (b) a public statement or publication of information by the regulatory supervisor for the administrator of such Benchmark (or the published component used in the calculation thereof), the Federal Reserve Board, the Federal Reserve Bank of New York, an insolvency official with jurisdiction over the administrator for such Benchmark (or such component), a resolution authority with jurisdiction over the administrator for such Benchmark (or such component) or a court or an entity with similar insolvency or resolution authority over the administrator for such Benchmark (or such component), which states that the administrator of such Benchmark (or such component) has ceased or will cease to provide all Available Tenors of such Benchmark (or such component thereof) permanently or indefinitely; provided that, at the time of such statement or publication, there is no successor administrator that will continue to provide any Available Tenor of such Benchmark (or such component thereof); or (c) a public statement or publication of information by or on behalf of the administrator of such Benchmark (or the published component used in the calculation thereof) or the regulatory supervisor for the administrator of such Benchmark (or such component thereof) announcing that all Available Tenors of such Benchmark (or such component thereof) are not, or as of a specified future date will not be, representative or in compliance with or aligned with the International Organization of Securities Commissions (IOSCO) Principles for Financial Benchmarks. For the avoidance of doubt, a “Benchmark Transition Event” will be deemed to have occurred with respect to any Benchmark if a public statement or publication of information set forth above has occurred with respect to each then-current Available Tenor of such Benchmark (or the published component used in the calculation thereof). “Benchmark Transition Start Date” means, in the case of a Benchmark Transition Event, the earlier of (a) the applicable Benchmark Replacement Date and (b) if such Benchmark Transition Event is a public statement or publication of information of a prospective event, the 30th day prior to the expected date of such event as of such public statement or publication of information (or if the expected date of such prospective event is fewer than 30 days after such statement or publication, the date of such statement or publication). “Benchmark Unavailability Period” means, the period (if any) (a) beginning at the time that a Benchmark Replacement Date has occurred if, at such time, no Benchmark Replacement has replaced the then-current Benchmark for all purposes hereunder and under any Transaction Document 79


 
in accordance with Section 4.6 and (b) ending at the time that a Benchmark Replacement has replaced the then-current Benchmark for all purposes hereunder and under any Transaction Document in accordance with Section 4.6. “Beneficial Ownership Rule” means 31 C.F.R. § 1010.230. “Borrower” has the meaning provided in the preamble of this Agreement. “Borrowing Base” means, on any date of determination, the Net Pool Balance as of the last day of the period covered by the most recent Monthly Report, minus the Required Reserve as of the last day of the period covered by the most recent Monthly Report. “Borrowing Date” means a date on which a Credit Event occurs. “Borrowing Request” is defined in Section 2.1. “Broken Funding Costs” means, for any CP Rate Loan which: (a) has its Principal reduced without compliance by the Borrower with the notice requirements hereunder or (b) is not prepaid in the amount specified in a Prepayment Notice on the date specified therein or (c) is assigned or otherwise transferred by the applicable Conduit to its respective Liquidity Banks under its respective Liquidity Agreement or terminated prior to the date on which it was originally scheduled to end or (d) in the case of Gotham while it is not a Pool Funded Conduit, is prepaid in an aggregate principal amount in excess of the aggregate Face Value of Gotham’s Commercial Paper Notes issued to fund its CP Rate Loan which matures on the date of prepayment, an amount equal to: (i) in the case of any Pool Funded Conduit, the excess, if any, of (A) the CP Costs that would have accrued during the remainder of the applicable commercial paper tranche periods determined by the applicable Co-Agent to relate to such Loan subsequent to the date of such reduction, assignment or termination (or in respect of clause (b) above, the date such prepayment was designated to occur pursuant to the applicable Prepayment Notice) of the Principal of such CP Rate Loan if such reduction, assignment or termination had not occurred or such Prepayment Notice had not been delivered, over (B) the sum of (x) to the extent all or a portion of such Principal is allocated to another CP Rate Loan, the amount of CP Costs actually accrued during the remainder of such period on such Principal for the new Loan, and (y) to the extent such Principal is not allocated to another CP Rate Loan, the income, if any, actually received during the remainder of such period by the holder of such Loan from investing the portion of such Principal not so allocated; and (ii) in the case of Gotham when it is not acting as a Pool Funded Conduit, the excess, if any, of (A) the Interest at the CP Rate that would have accrued during the remainder of the applicable CP Tranche Periods as determined by the Gotham Agent to relate to such CP Rate Loan subsequent to the date of such reduction, assignment or termination (or in respect of clause (b) above, the date such prepayment was designated to occur pursuant to the applicable Prepayment Notice) of the Principal of such CP Rate Loan if such reduction, assignment or termination had not occurred or such Prepayment Notice had not been delivered, over (B) the sum of (x) to the extent all or a portion of such Principal is allocated to another CP Rate Loan, the amount of Interest at the CP Rate actually accrued during the remainder of such period on such Principal for the new Loan, and (y) to the extent such Principal is not allocated to another CP Rate Loan, the income, if any, actually received during the remainder of such period by the holder of such Loan from investing the portion of such Principal not so allocated. 80


 
“Business Associate” has the meaning set forth in Section 14.14(a). “Business Associate Safeguards” has the meaning set forth in Section 14.14(c). “Business Day” means any day on which banks are not authorized or required to close in New York, New York, Pittsburgh, Pennsylvania or Secaucus, New Jersey, and The Depository Trust Company of New York is open for business, and if the applicable Business Day relates to any computation or payment to be made with respect to a Daily Term SOFR rate or an Adjusted Term SOFR rate, a U.S. Government Securities Business Day. “CACIB” has the meaning provided in the preamble of this Agreement. “CACIB Roles” has the meaning set forth in Section 11.10(a). “Cash Collateral Payment” means, on any date of determination, the dollar amount resulting from the product of (i) the arithmetic average of the dollar amount of cash collections from the 4 immediately preceding Report Weeks and (ii) the result of dividing (a) the then aggregate outstanding Principal balance of the Advances by (b) the aggregate Unpaid Net Balance of all Receivables, as reflected on the most recent prior Monthly Report. “Cash-Collateralize” means to pledge and deposit into the LC Collateral Account at PNC, for the benefit of the LC Issuer, as collateral for the LC Obligations, immediately available funds pursuant to documentation in form and substance satisfactory to the Administrative Agent and the LC Issuer. The term, “Cash Collateralization” shall have a correlative meaning. “Certificate of Non-Bank Status for Foreign Entities” has the meaning set forth in Section 2.5(g)(ii)(B)(3). “Change in Control” means: (a) the failure of Quest Diagnostics to own (directly or through one or more wholly- owned Subsidiaries of Quest Diagnostics) 100% of the issued and outstanding Equity Interests (including all Equity Rights) of the Borrower; (b) the failure of Quest Diagnostics to own (directly or through one or more wholly- owned Subsidiaries of Quest Diagnostics) at least 80%, on a fully-diluted basis, of the issued and outstanding Equity Interests (including all Equity Rights) of each of the other Originators; provided, however, that no Change in Control shall be deemed to have occurred under this clause (b) if, in any calendar year, Quest Diagnostics ceases to beneficially own (directly or through one or more wholly- owned Subsidiaries of Quest Diagnostics) 80%, on a fully diluted basis, of the issued and outstanding Equity Interests (including all Equity Rights) of any Originator or Originators whose Net Receivables as of the last day of the prior calendar year did not represent more than 10% of the Net Receivables of all Originators as of the last day of such prior calendar year; or (c) (i) any Person or any group shall (A) beneficially own (directly or indirectly) in the aggregate Equity Interests of Quest Diagnostics having 35% or more of the aggregate voting power of all Equity Interests of Quest Diagnostics at the time outstanding or (B) have the right or power to appoint a majority of the board of directors of Quest Diagnostics; or (ii) during any period of two consecutive years, individuals who at the beginning of such period constituted the board of directors of 81


 
Quest Diagnostics (together with any new directors whose election by such board of directors or whose nomination for election by the shareholders of Quest Diagnostics was approved by a vote of a majority of the directors of Quest Diagnostics then still in office who were either directors at the beginning of such period or whose election or nomination for election was previously so approved) cease for any reason to constitute at least a majority of the board of directors of Quest Diagnostics then in office. For purposes of this definition, the terms “beneficially own” and “group” shall have the respective meanings ascribed to them pursuant to Section 13(d) of the Exchange Act, except that a Person or group shall be deemed to “beneficially own” all securities that such Person or group has the right to acquire, whether such right is exercisable immediately or only after the passage of time. “Client-Billed Receivable” means a Receivable booked in the “client-billed receivables” category of accounts receivable in the billing and accounting process of the applicable Originator owing from a physician, hospital or other institutional Obligor (including a Governmental Authority or affiliated Obligor) which is billed monthly in arrears for the services provided with pricing typically based on a negotiated fee schedule. For the avoidance of doubt, no Client-Billed Receivable would be (a) a “Specified Government Receivable,” or (b) owing from another payor type such as an individual “self- pay” patient or an insurance company or managed care plan. “Client-Billed Receivable Percentage” means, at any time, the percentage equal to (a) the Unpaid Net Balance of all Client-Billed Receivables, divided by (b) the reported Unpaid Net Balance of all Receivables, in each of the foregoing cases, determined as of the last day of the calendar month then most recently ended. “Client-Billed Receivables for the Reserve Computation” means, at any time, an amount determined by multiplying the Client-Billed Receivables Percentage by Net Receivables. “Clinical Laboratory Services” means clinical laboratory, anatomic pathology or other diagnostics testing services (including, without limitation, routine and esoteric clinical laboratory services (including genetics testing), clinical laboratory services involved with clinical trials, point-of-care testing, clinical laboratory services involving corporate healthcare and services involved with managing hospital laboratories), health screening and risk assessment services, and information services involving the provision of data or information programs, services or products which substantially consists of laboratory or other medical data. “Co-Agents” means Gotham Agent, the Atlantic Agent and the PNC Group Agent. “Code” means the Internal Revenue Code of 1986, as the same may be amended from time to time. “Collateral” has the meaning set forth in Section 9.1. “Collateral Account” has the meaning set forth in Section 7.1(i)(iii). “Collection Account” means each concentration account, depositary account, lockbox account or similar account into which proceeds of Receivables are deposited. 82


 
“Collection Account Agreement” means an agreement by and among a Collection Bank, the Borrower and the Administrative Agent giving the Administrative Agent “control” (as defined in the applicable UCC) over one or more of the Borrower’s Collection Accounts. “Collection Bank” means any of the banks holding one or more Collection Accounts or Lockboxes. “Collections” means, (a) with respect to any Receivable, all funds which either (i) are received from or on behalf of the related Obligor in payment of any amounts owed (including, without limitation, purchase prices, finance charges, interest and all other charges) in respect of such Receivable, or applied to such amounts owed by such Obligor (including, without limitation, payments that the Borrower, any Originator or the Servicer receives from third party payors and applies in the ordinary course of its business to amounts owed in respect of such Receivable and net proceeds of sale or other disposition of repossessed goods or other collateral or property of the Obligor or any other party directly or indirectly liable for payment of such Receivable and available to be applied thereon), or (ii) are Deemed Collections, and (b) with respect to any Demand Advance, any payment of principal or interest in respect thereof and any Permitted Investments and the proceeds thereof made with any such payment. “Collections Ratio” means Collections divided by the reported Unpaid Net Balance of all Receivables determined as of the last day of the calendar month then most recently ended. “Commercial Paper Notes” means the commercial paper promissory notes, if any, issued by or on behalf of any of the Conduits to fund, in whole or in part, any of its CP Rate Loans. “Commitment” means, for each Committed Lender, its obligation to make Loans not exceeding the amount set forth next to its name on Annex B hereto under the column entitled “Commitment,” as such amount may be modified from time to time pursuant to the terms hereof. “Commitment Expiry Date” means, as to each Group, November 19, 2027. “Commitment Percentage” means, for each Group on any date of determination, the ratio which the sum the Commitments of the Committed Lender(s) in such Group bears to the Aggregate Commitment. “Commitment Reduction Notice” has the meaning set forth in Section 1.6. “Committed Lender” means each Lender that is not a Conduit. “Concentration Reserve Percentage” means, on any date of determination, the largest of: (i) the sum of the four (4) largest Obligor Percentages of the Group D Obligors at such time, (ii) the sum of the two (2) largest Obligor Percentages of the Group C Obligors at such time, and (iii) the single largest Obligor Percentage of the Group B Obligors at such time. The group to which each Obligor belongs is specified in the first column in the table set forth in the definition of “Obligor Concentration Limit” and is based on such Obligor’s ratings as reflected in such table.. “Conduit” means Atlantic or Gotham. 83


 
“Conforming Changes” means, with respect to either the use or administration of Term SOFR, Daily One Month Term SOFR or Daily Three Month Term SOFR or the use, administration, adoption or implementation of any Benchmark Replacement, any technical, administrative or operational changes (including changes to the definition of “Alternate Base Rate,” the definition of “Business Day,” the definition of “U.S. Government Securities Business Day,” the definition of “Interest Period” or any similar or analogous definition (or the addition of a concept of “interest period”), timing and frequency of determining rates and making payments of interest, timing of borrowing requests or prepayment, conversion or continuation notices, the applicability and length of lookback periods, the applicability of Section 4.3 and other technical, administrative or operational matters) that the Administrative Agent in consultation with the Borrower decides may be appropriate to reflect the adoption and implementation of any such rate or to permit the use and administration thereof by the Administrative Agent in a manner substantially consistent with market practice (or, if the Administrative Agent decides that adoption of any portion of such market practice is not administratively feasible or if the Administrative Agent determines that no market practice for the administration of any such rate exists, in such other manner of administration as the Administrative Agent decides is reasonably necessary in connection with the administration of this Agreement and the other Transaction Documents). “Constituent” means (a) as to the Gotham Agent, any member of the Gotham Group from time to time party hereto, (b) as to the Atlantic Agent, any member of the Atlantic Group from time to time party hereto, and (c) as to the PNC Group Agent, PNC, and when used as an adjective, “Constituent” shall have a correlative meaning. “Contract” means, with respect to any Receivable, any requisition, purchase order, agreement, contract or other writing with respect to the provision of services by an Originator to an Obligor other than (i) an Invoice, and (ii) any confidential patient information including, without limitation, test results. “Contractual Disallowance” means an amount which represents the amount by which a Receivable is, consistent with usage and practices in the applicable Originator’s industry, expected to be reduced prior to payment by the Obligor thereon. “Contractual Obligation” means, as to any Person, any provision of any security issued by such Person or of any agreement, undertaking, contract, indenture, mortgage, deed of or other instrument, document or agreement to which such Person is a party or by which it or any of its property is bound. “CP Costs” means, for each day for any Pool Funded Conduit, the sum of (i) discount or interest accrued on such Conduit’s Pooled Commercial Paper on such day, plus (ii) any and all accrued commissions in respect of its placement agents and its commercial paper dealers, and issuing and paying agent fees incurred, in respect of such Conduit’s Pooled Commercial Paper for such day, plus (iii) other costs associated with funding small or odd-lot amounts with respect to all receivable purchase or financing facilities which are funded by such Conduit’s Pooled Commercial Paper for such day, minus (iv) any accrual of income net of expenses received by or on behalf of such Conduit on such day from investment of collections received under all receivable purchase or financing facilities funded substantially with such Conduit’s Pooled Commercial Paper, minus (v) any payment received on such day net of expenses in respect of such Conduit’s Broken Funding Costs related to the prepayment of any investment of such Pool Funded Conduit pursuant to the terms of any receivable purchase or financing 84


 
facilities funded substantially with its Pooled Commercial Paper. In addition to the foregoing costs, if the Borrower (or the Servicer, on the Borrower’s behalf) shall request any Advance during any period of time determined by the applicable Co-Agent in its sole discretion to result in incrementally higher CP Costs applicable to such Pool Funded Conduit’s Loan included in such Advance, the Principal associated with any such Loan of such Pool Funded Conduit shall, during such period, be deemed to be funded by such Pool Funded Conduit in a special pool (which may include capital associated with other receivable purchase or financing facilities) for purposes of determining such additional CP Costs applicable only to such special pool and charged each day during such period against such Principal. Notwithstanding the foregoing, in no event shall “CP Costs” be less than $0.00. “CP Rate” means: (a) with respect to each of the Pool Funded Conduits for any CP Tranche Period, the per annum interest rate that, when applied to the outstanding Principal balance of such Pool Funded Conduits’ CP Rate Loans for the actual number of days elapsed in such CP Tranche Period, would result in an amount of accrued interest equivalent to such Pool Funded Conduits’ CP Costs for such CP Tranche Period; and (b) with respect to Gotham, unless it has notified the Loan Parties that it will be pool funding its Loans, for any CP Tranche Period and with respect to any Loan (or portion thereof) funded by Commercial Paper Notes issued by Gotham, a rate per annum calculated by the Gotham Agent to reflect Gotham’s cost of funding such Loan (or portion thereof), taking into account the weighted daily average interest rate payable in respect of such Commercial Paper Notes during such CP Tranche Period (determined in the case of discount commercial paper by converting the discount to an interest-bearing equivalent rate per annum), applicable placement fees and commissions, and such other costs and expenses as the Gotham Agent in good faith deems appropriate. Such Commercial Paper Notes may be issued in such maturities as the Gotham Agent may choose in accordance with Article II hereof. Gotham’s CP Rate shall be determined by the Gotham Agent, in its sole discretion; provided, however, if the CP Rate determined, as applicable pursuant to clause (a) or clause (b) above would be less than the Floor, such CP Rate shall, for all purposes of this Agreement, be deemed to equal the Floor. “CP Rate Loan” means a Loan made by any of the Conduits which bears interest at a CP Rate. “CP Tranche Period” means: (a) with respect to each Pool Funded Conduit, an Accrual Period, and (b) with respect to Gotham while it is not acting as a Pool Funded Conduit, a period selected by the Gotham Agent pursuant to Section 2.2; provided, however, that if any such CP Tranche Period would end on a day which is not a Business Day, such CP Tranche Period shall end on the preceding Business Day. “Credit Agreement” means that certain Fourth Amended and Restated Credit Agreement dated as of April 30, 2025 among Quest Diagnostics, as borrower, certain of its Subsidiaries, as guarantors, the lenders from time to time party thereto, and JPMorgan Chase Bank, N.A., as 85


 
administrative agent and Morgan Stanley Senior Funding, Inc., as syndication agent, as it may be further amended, restated or modified from time to time by one or more Approved Amendments. “Credit and Collection Policy” means those credit and collection policies and practices of the Originators relating to Contracts and Receivables, copies or summaries of which are attached as Exhibit C to the Sale Agreement, as the same may be modified from time to time without violating Section 7.3(c) of this Agreement. “Credit Event” means the (i) issuance of a Letter of Credit, (ii) the Modification of a Letter of Credit, or (iii) the making of any Advance. “Credit Exposure” means, as to any Lender on any date of determination, the sum of (a) the aggregate Principal of such Lender’s Loans outstanding on such date, plus (b) such Lender’s aggregate participation interest, if any, of the LC Obligations on such date. “Cut-Off Date” means the last day of each calendar month. “Daily One Month Term SOFR” means, for any day, the Term SOFR Reference Rate for a tenor of one-month on such day, or if such day is not a U.S. Government Securities Business Day, the immediately preceding U.S. Government Securities Business Day (such day, the “Daily One Month Term SOFR Determination Day”), as such rate is published by the Term SOFR Administrator; provided, however, that if as of 5:00 p.m. (New York City time) on any Daily One Month Term SOFR Determination Day, the Term SOFR Reference Rate for a tenor of one-month has not been published by the Term SOFR Administrator and a Benchmark Replacement Date with respect to the Term SOFR Reference Rate has not occurred, then Daily One Month Term SOFR will be the Term SOFR Reference Rate for a tenor of one-month as published by the Term SOFR Administrator on the first preceding U.S. Government Securities Business Day for which such Term SOFR Reference Rate for a tenor of one-month was published by the Term SOFR Administrator so long as such first preceding U.S. Government Securities Business Day is not more than three (3) U.S. Government Securities Business Days prior to such Daily One Month Term SOFR Determination Day; provided, further, that if Daily One Month Term SOFR determined as provided above (including pursuant to the proviso above) shall ever be less than the Floor, then Daily One Month Term SOFR shall be deemed to be the Floor. “Daily Term SOFR Determination Day” has the meaning specified in the definition of “Term SOFR.” “Daily Three Month Term SOFR” means, for any day, the Term SOFR Reference Rate for a tenor of three-months on such day, or if such day is not a U.S. Government Securities Business Day, the immediately preceding U.S. Government Securities Business Day (such day, the “Daily Three Month Term SOFR Determination Day”), as such rate is published by the Term SOFR Administrator; provided, however, that if as of 5:00 p.m. (New York City time) on any Daily Three Month Term SOFR Determination Day, the Term SOFR Reference Rate for a tenor of three-months has not been published by the Term SOFR Administrator and a Benchmark Replacement Date with respect to the Term SOFR Reference Rate has not occurred, then Daily Three Month Term SOFR will be the Term SOFR Reference Rate for a tenor of three-months as published by the Term SOFR Administrator on the first preceding U.S. Government Securities Business Day for which such Term SOFR Reference Rate for a tenor of three- months was published by the Term SOFR Administrator so long as such first preceding U.S. Government Securities Business Day is not more than three (3) U.S. Government Securities Business Days prior to such Daily Three Month Term SOFR Determination Day; provided, further, that if Daily Three Month 86


 
Term SOFR determined as provided above (including pursuant to the proviso above) shall ever be less than the Floor, then Daily Three Month Term SOFR shall be deemed to be the Floor. “Daily Term SOFR” means either or both of the Adjusted Daily One Month Term SOFR or the Adjusted Daily Three Month Term SOFR. “Daily Term SOFR Loan” means a Loan that bears interest at a Daily Term SOFR rate. “Days Sales Outstanding” means, as of any day, an amount equal to the product of (x) 91, multiplied by (y) the amount obtained by dividing (i) the reported aggregate Unpaid Net Balance of Receivables as of the most recent Cut-Off Date, by (ii) the aggregate Net Revenues generated by the Originators during the three calendar months including and immediately preceding such Cut-Off Date. “Deemed Collections” means Collections deemed received by the Borrower under Section 3.4. “Default Rate” means a rate per annum equal to the sum of (i) the Alternate Base Rate plus (ii) 2.00%, changing when and as the Alternate Base Rate changes. “Default Horizon Ratio” means, as of any Cut-Off Date, the ratio (expressed as a decimal) computed by dividing (i) the aggregate amount of Net Revenues generated by the Originators during the five months ending on such Cut-Off Date, by (ii) the Net Pool Balance as of such Cut-Off Date. “Default Ratio” means, as of any Cut-Off Date, the ratio (expressed as a percentage) computed by dividing (i) the total amount of Receivables that became Defaulted Receivables (151-180 days past invoice) during the month that includes such Cut-Off Date, by (ii) the aggregate amount of Net Revenues generated by the Originators during the month occurring five months prior to the month ending on such Cut-Off Date. “Default Trigger Ratio” means, as of any Cut-Off Date, the ratio (expressed as a percentage) computed by dividing (i)(a) the total amount of receivables 151-180 days past invoice, (b) as to which the obligor thereof has suffered an event of bankruptcy or (c) which, consistent with the Originators’ billing systems’ procedures, should be written off as uncollectible, by (ii)the aggregate amount of Net Revenues generated by the Originators during the month occurring five months prior to the month ending on such Cut-Off Date. “Defaulted Receivable” means a Receivable: (i) as to which the obligor thereof has suffered an event of bankruptcy; (ii) which, consistent with the Originators’ billing systems’ procedures, should be written off as uncollectible; or (iii) as to which any payment, or part thereof, remains unpaid for 151 days or more from the original invoice date for such payment. “Defaulting Lender” means any Committed Lender that (a) has failed to (i) perform its obligation to fund any portion of its Purchases or LC Loans or (ii) pay over to the Administrative Agent or any Lender any other amount within two Business Days of the date required to be funded or paid by it hereunder, unless, in the case of clause (i) above, such Committed Lender notifies the Administrative Agent and the Borrower in writing that such failure is the result of such Committed Lender’s good faith determination that a condition precedent to funding (specifically identified and including the particular default, if any) has not been satisfied, (b) has notified the Borrower, the Administrative Agent, the LC Issuer or any other Lender in writing, or has made a public statement to the effect, that it does not 87


 
intend to comply with any of its funding obligations under the Agreement or any other Transaction Document or generally under other agreements in which it commits or extends credit (unless such writing or public statement relates to such Committed Lender’s obligation to fund any portion of its Loans or LC Loans and states that such position is based on such Committed Lender’s good faith determination that a condition precedent to funding (specifically identified and including the particular default, if any) has not been satisfied), (c) has failed, within three Business Days after written request by the Administrative Agent or the Borrower, to confirm in writing in a manner satisfactory to the Administrative Agent and the Borrower, that it will comply with the terms of the Agreement and the other Transaction Documents relating to its obligations to fund prospective Purchases and LC Loans under the Agreement (provided that such Committed Lender shall cease to be a Defaulting Lender pursuant to this clause (c) upon receipt of such written confirmation by the Administrative Agent and the Borrower), or (d) has, or has a direct or indirect parent company that has, (i) become the subject of a proceeding under any bankruptcy or insolvency proceeding, (ii) had appointed for it a receiver, custodian, conservator, trustee, administrator, assignee for the benefit of creditors or similar Person charged with reorganization or liquidation of its business or assets, including the Federal Deposit Insurance Corporation or any other state or federal regulatory authority acting in such capacity, or (iii) become the subject of a Bail-in Action; provided that, for the avoidance of doubt, a Committed Lender shall not be a Defaulting Lender solely by virtue of the ownership or acquisition of any equity interest in such Committed Lender or any direct or indirect parent company thereof by a Governmental Authority so long as such ownership interest does not result in or provide such Committed Lender with immunity from the jurisdiction of courts within the United States or from the enforcement of judgments or writs of attachment on its assets or permit such Committed Lender (or such Governmental Authority) to reject, repudiate, disavow or disaffirm any contracts or agreements made with such Committed Lender. Any determination by the Administrative Agent that a Lender is a Defaulting Lender under any one or more of clauses (a) through (d) above shall be conclusive and binding absent manifest error, and such Lender shall be deemed to be a Defaulting Lender upon delivery of written notice of such determination to the Borrower, the LC Issuer and each Agent. “Delinquency Ratio” means, at any time, a percentage equal to (i) Delinquent Receivables at such time divided by (ii) the reported aggregate Unpaid Net Balance of Receivables at such time. “Delinquent Receivable” means a Receivable as to which any payment, or part thereof, remains unpaid for 121-150 days from the original invoice date for such payment. “Demand Advance” means an advance made by the Borrower to Quest Diagnostics on any day prior to the Termination Date which is not a Settlement Date on which no Event of Default or Unmatured Default exists and is continuing, which advance (a) is payable upon demand, (b) is not evidenced by an instrument, chattel paper or a certificated security, (c) bears interest at a market rate determined by the Borrower and the Servicer from time to time, (d) is not subordinated to any other Indebtedness or obligation of Quest Diagnostics, and (e) may not be offset by Quest Diagnostics against amounts due and owing from the Borrower to Quest Diagnostics under its Subordinated Note. “Designated Government Ineligibles” means, on any date of determination, an amount equal to 5% of the Client-Billed Receivables for the Reserve Computation as of the last day of the calendar month then most recently ended. 88


 
“Designated Government Receivable” means a Government Receivable as to which the Obligor is a state or local Governmental Authority (other than a Receivable arising under any state’s Medicaid statutes and regulations for services rendered to eligible beneficiaries thereunder). “Dilution” means, total Net Revenues multiplied by the three month average calculated quarterly of (i)(a) for Originators on the QBS an amount equal to the dollar amount of adjustments measured by QBS adjustment codes 66, 70, 71, 72, 74, 75, 76, 83, 85 for client and patient Receivables, plus (b) an amount equal to 0.30 times the dollar amount of adjustments measured by the QBS adjustment codes 66, 70, 71, 72, 74, 75, 76, 83, 85 for third party Receivables, plus (c) 0.70 multiplied by the dollar amount of adjustments measured by QBS adjustment code 68 for client and patient Receivables, excluding transfers between client and patient billing categories, divided by (ii) the Net Revenues generated by Originators on QBS. “Dilution Horizon Ratio” means, as of any Cut-Off Date, a ratio (expressed as a decimal), computed by dividing (i) the aggregate Net Revenues generated by the Originators during the one month ending on such Cut-Off Date, by (ii) the Net Pool Balance as of such Cut-Off Date. “Dilution Ratio” means, as of any Cut-Off Date, a ratio (expressed as a percentage), computed by dividing (i) the total amount of decreases in outstanding Principal balances due to Dilution during the month ending on such Cut-Off Date, by (ii) the aggregate Net Revenues generated by the Originators ending on such Cut-Off Date one month prior. “Dilution Reserve” means, for any month, the product (expressed as a percentage) of: (a) the sum of (i) 2.0 times the Adjusted Dilution Ratio as of the immediately preceding Cut-Off Date, plus (ii) the Dilution Volatility Component as of the immediately preceding Cut-Off Date, times (b) the Dilution Horizon Ratio as of the immediately preceding Cut-Off Date. “Dilution Volatility Component” means the product (expressed as a percentage) of (i) the difference between (a) the highest three (3)-month rolling average Dilution Ratio over the past 12 months and (b) the Adjusted Dilution Ratio, and (ii) a fraction, the numerator of which is equal to the amount calculated in (i)(a) of this definition and the denominator of which is equal to the amount calculated in (i)(b) of this definition. “Disallowed Receivable” means a Receivable for which payment is not expected to be received by the applicable Originator. “Dollars” means dollars in lawful money of the United States of America. “Downgrading Event” with respect to any Person means the lowering of the rating with regard to the short-term securities of such Person to below (i) A-1 by S&P, (ii) P-1 by Moody’s, or (if applicable) (iii) F1 by Fitch. “Draw Notice” has the meaning specified in Section 2.8(a). “EEA Financial Institution” means (a) any credit institution or investment firm established in any EEA Member Country which is subject to the supervision of an EEA Resolution Authority, (b) any entity established in an EEA Member Country which is a parent of an institution described in clause (a) of this definition, or (c) any financial institution established in an EEA Member 89


 
Country which is a subsidiary of an institution described in clauses (a) or (b) of this definition and is subject to consolidated supervision with its parent. “EEA Member Country” means any of the member states of the European Union, Iceland, Liechtenstein, and Norway. “EEA Resolution Authority” means any public administrative authority or any person entrusted with public administrative authority of any EEA Member Country (including any delegee) having responsibility for the resolution of any EEA Financial Institution. “Eighth Amendment Effective Date” means October 19, 2023. “Eligible Assignee” means (a) any “bankruptcy remote” special purpose entity which is administered by CACIB, PNC or MUFG (or any Affiliate of CACIB, PNC or MUFG) or any Qualifying Liquidity Bank (or any Affiliate of a Qualifying Liquidity Bank) that is in the business of acquiring or financing receivables, securities and/or other financial assets and which issues commercial paper notes that are rated at least A-1 by S&P, P-1 by Moody’s and, if applicable, F1 by Fitch, or (b) any Qualifying Liquidity Bank. “Eligible Originator” means any of (a) Quest Diagnostics, (b) Quest Diagnostics Nichols Institute, a California corporation, Quest Diagnostics Incorporated, a Michigan corporation, Quest Diagnostics Incorporated, a Maryland corporation, Quest Diagnostics LLC, a Connecticut limited liability company, Quest Diagnostics LLC, a Massachusetts limited liability company, Quest Diagnostics of Pennsylvania Inc., a Delaware corporation, MetWest Inc., a Delaware corporation which was merged into QDCL on November 11, 2017), Quest Diagnostics LLC, an Illinois limited liability company, Quest Diagnostics Clinical Laboratories, Inc., a Delaware corporation (“QDCL”), Unilab Corporation, a Delaware corporation, Quest Diagnostics Nichols Institute, Inc., a Virginia corporation, Quest Diagnostics Incorporated, a Nevada corporation, LabOne, LLC, a Missouri limited liability company, ExamOne World Wide, Inc., a Pennsylvania corporation, LabOne of Ohio, Inc., a Delaware corporation, Specialty Laboratories, Inc., a California corporation, Solstas Lab Partners, LLC, a Virginia limited liability company, Solstas Lab Partners Group, LLC, a North Carolina limited liability company, Summit Health, Inc., a Michigan corporation, Athena Diagnostics, Inc., a Delaware corporation, and Quest Diagnostics Infectious Disease, Inc. (f/k/a Focus Diagnostics Inc.), a Delaware corporation, , and (c) each of the other direct or indirect, wholly-owned Subsidiaries of Quest Diagnostics who (with the consent of the Co- Agents if such Subsidiary constitutes a Material Proposed Addition) becomes a “seller” party to the Sale Agreement by executing a Joinder Agreement and complying with the conditions set forth in Article V of the Sale Agreement. “Eligible Participation Interest” means a Participation Interest in a Specified Government Receivable that meets the following criteria and which Participation Interest has been transferred to the Borrower pursuant to the Sale Agreement in a “true participation” transaction: (a) a Specified Government Receivable which arises out of the provision or sale of Clinical Laboratory Services by an Eligible Originator in the ordinary course of its business; (b) a Specified Government Receivable as to which the perfection of the Administrative Agent’s security interest, on behalf of the Secured Parties, in the applicable Participation Interest is governed by the laws of a jurisdiction where the Uniform Commercial Code-Secured Transactions is in force; 90


 
(c) a Specified Government Receivable constitutes an “account” or a “payment intangible” (each as defined in the Uniform Commercial Code as in effect in any relevant jurisdiction); (d) a Specified Government Receivable the Obligor of which is a Governmental Authority of the United States or any of its states, possessions or territories; (e) a Specified Government Receivable which is not a Disallowed Receivable at such time; (f) the portion of a Specified Government Receivable which is not an Ineligible Defaulted Receivable at such time; (g) a Specified Government Receivable with regard to which the representations and warranties of the Borrower in Sections 6.1(j), (l) and (o) are true and correct; (h) a Specified Government Receivable with regard to which the granting of a Participation Interest therein does not contravene or conflict with any law; (i) a Specified Government Receivable which is denominated and payable only in Dollars in the United States; (j) a Specified Government Receivable which constitutes the legal, valid and binding obligation of the Obligor thereof enforceable against such Obligor in accordance with its terms and is not subject to any actual or reasonably expected dispute, offset (except as provided below), counterclaim or defense whatsoever; provided, however, that if such dispute, offset, counterclaim or defense affects only a portion of the Unpaid Net Balance of such Specified Government Receivable, then such Specified Government Receivable may be deemed an Eligible Specified Government Receivable to the extent of the portion of such Unpaid Net Balance which is not so affected; (k) a Specified Government Receivable which, together with any Contract related thereto, does not contravene in any material respect any laws, rules or regulations applicable thereto (including, without limitation, laws, rules and regulations relating to usury, truth in lending, fair credit billing, fair credit reporting, equal credit opportunity, fair debt collection practices and privacy) and with respect to which no party to the Contract related thereto is in violation of any such law, rule or regulation in any material respect if such violation would impair the collectability of such Specified Government Receivable; (l) a Specified Government Receivable which satisfies in all material respects all applicable requirements of the applicable Eligible Originator’s Credit and Collection Policy; (m) a Specified Government Receivable which is due and payable within 60 days from the invoice date of such Specified Government Receivable; (n) a Specified Government Receivable the original term of which has not been extended (except as permitted in Section 8.2(c)); (o) a Specified Government Receivable which has not been identified, either specifically or as a member of a class, in a notice by any of the Agents, in the exercise of its commercially reasonable credit judgment, as a Specified Government Receivable that is not acceptable, including, 91


 
without limitation, because such Specified Government Receivables arises under an unreasonable Contract that is not acceptable to such Agent; and (p) if the applicable Eligible Originator acquired such Specified Government Receivable through a Material Acquisition as to which the Administrative Agent is permitted to and has, in fact, conducted, a Review in accordance with Section 7.1(c), the Administrative Agent has notified the Borrower in writing that (i) such Specified Government Receivable is (and other similarly-acquired Specified Government Receivables are) acceptable to the Agents based on the satisfactory outcome of such Review, and (ii) each Conduit’s Rating Agency Condition has been satisfied. “Eligible Receivable” means, at any time: (a) a Receivable which arises out of the provision or sale of Clinical Laboratory Services by an Eligible Originator in the ordinary course of its business that has been sold or contributed by such Originator to the Borrower pursuant to the Sale Agreement in a “true sale” or “true contribution” transaction; (b) a Receivable as to which the perfection of the Administrative Agent’s security interest, on behalf of the Secured Parties, is governed by the laws of a jurisdiction where the Uniform Commercial Code-Secured Transactions is in force, and which constitutes an “account” or a “payment intangible” (each as defined in the Uniform Commercial Code as in effect in any relevant jurisdiction); (c) a Receivable the Obligor of which (i) is resident of the United States or any of its possessions or territories, (ii) is not an Affiliate of any Loan Party or Originator, and (iii) is not a Sanctioned Person; (d) a Receivable which is not a Disallowed Receivable at such time; (e) the portion of a Receivable which is not an Ineligible Defaulted Receivable at such time; (f) a Receivable with regard to which the representations and warranties of the Borrower in Sections 6.1(j), (l) and (o) are true and correct; (g) a Receivable with regard to which the granting of a security interest therein does not contravene or conflict with any law; (h) a Receivable which is denominated and payable only in Dollars in the United States; (i) a Receivable which constitutes the legal, valid and binding obligation of the Obligor of such Receivable enforceable against such Obligor in accordance with its terms and is not subject to any actual or reasonably expected dispute, offset (except as provided below), counterclaim or defense whatsoever; provided, however, that if such dispute, offset, counterclaim or defense affects only a portion of the Unpaid Net Balance of such Receivable, then such Receivable may be deemed an Eligible Receivable to the extent of the portion of such Unpaid Net Balance which is not so affected; (j) a Receivable which, together with any Contract related thereto, does not contravene in any material respect any laws, rules or regulations applicable thereto (including, without 92


 
limitation, laws, rules and regulations relating to usury, truth in lending, fair credit billing, fair credit reporting, equal credit opportunity, fair debt collection practices and privacy) and with respect to which no party to the Contract related thereto is in violation of any such law, rule or regulation in any material respect if such violation would impair the collectability of such Receivable; (k) a Receivable which satisfies in all material respects all applicable requirements of the applicable Eligible Originator’s Credit and Collection Policy; (l) a Receivable which is due and payable within 60 days from the invoice date of such Receivable; (m) a Receivable (i) other than one with respect to which the United States (or an agency or fiscal intermediary thereof) is obligated to pay, pursuant to federal statutes and regulations applicable to TRICARE, for services rendered thereunder, (ii) other than one with respect to which the Obligor is any Person (other than a Governmental Authority) who enters into a contract with the United States for the provision of health care services rendered under TRICARE, and (iii) other than one that is the subject of a Participation Interest; (n) a Receivable the original term of which has not been extended (except as permitted in Section 8.2(c)); (o) a Receivable which has not been identified, either specifically or as a member of a class, in a notice by any of the Agents, in the exercise of its commercially reasonable credit judgment, as a Receivable that is not acceptable, including, without limitation, because such Receivables arises under an unreasonable Contract that is not acceptable to such Agent; and (p) if the applicable Eligible Originator acquired such Receivable through a Material Acquisition as to which the Administrative Agent is permitted to and has, in fact, conducted, a Review in accordance with Section 7.1(c), the Administrative Agent has notified the Borrower in writing that (i) such Receivable is (and other similarly-acquired Receivables are) acceptable to the Agents based on the satisfactory outcome of such Review, and (ii) each Conduit’s Rating Agency Condition has been satisfied. “Employee Benefit Plan” means an employee benefit plan (as defined in Section 3(3) of ERISA) that is maintained or contributed to by any ERISA Entity or with respect to which Quest Diagnostics or a Subsidiary could incur liability. “Equity Interests” means, with respect to any Person, any and all shares, interests, participations or other equivalents, including membership interests (however designated, whether voting or non-voting), of capital of such Person, including, if such Person is a partnership, partnership interests (whether general or limited) and any other interest or participation that confers on a Person the right to receive a share of the profits and losses of, or distributions of assets of, such partnership, whether outstanding on the date hereof or issued after the date of this Agreement. “Equity Rights” means, with respect to any Person, any outstanding subscriptions, options, warrants, commitments, preemptive rights or agreements of any kind (including any stockholders’ or voting trust agreements) for the issuance, sale, registration or voting of, or outstanding securities convertible into, any additional shares of Equity Interests of any class, or partnership or other ownership interests of any type in, such Person. 93


 
“ERISA” means the United States Employee Retirement Income Security Act of 1974, as amended. “ERISA Entity” means any member of an ERISA Group. “ERISA Event” means (a) any Reportable Event with respect to a Pension Plan; (b) with respect to any Pension Plan of a failure to meet the applicable minimum funding standard (as defined in Section 412 of the Code or Section 302 of ERISA), whether or not waived, the failure to make by its due date a required installment under Section 303(j) of ERISA with respect to any Pension Plan or the failure to make any required contribution to a Multiemployer Plan; (c) the filing pursuant to Section 412(c) of the Code or Section 302(c) of ERISA of an application for a waiver of the minimum funding standard with respect to any Pension Plan; (d) the incurrence by any ERISA Entity of any liability under Title IV of ERISA with respect to the termination of any Pension Plan; (e) the receipt by any ERISA Entity from the PBGC or a plan administrator of any notice relating to an intention to terminate any Pension Plan or to appoint a trustee to administer any Pension Plan, or the occurrence of any event or condition which could constitute grounds under ERISA for the termination of, or the appointment of a trustee to administer, any Pension Plan; (f) the incurrence by any ERISA Entity of any liability with respect to the withdrawal or partial withdrawal from any Pension Plan or Multiemployer Plan; (g) the receipt by an ERISA Entity of any notice, or the receipt by any Multiemployer Plan from any ERISA Entity of any notice, concerning the imposition of Withdrawal Liability or a determination that a Multiemployer Plan is, or is expected to be, insolvent or in reorganization, within the meaning of Title IV of ERISA; (h) the making of any amendment to any Pension Plan which could result in the imposition of a lien or the posting of a bond or other security; or (i) the occurrence of a nonexempt prohibited transaction (within the meaning of Section 4975 of the Code or Section 406 of ERISA) which could result in liability to any Loan Party. “ERISA Group” means any Loan Party and all members of a controlled group of corporations and all trades or businesses (whether or not incorporated) under common control which, together with such Loan Party, are treated as a single employer under Section 414 of the Code. “EU Bail-In Legislation Schedule” means the EU Bail-In Legislation Schedule published by the Loan Market Association (or any successor person), as in effect from time to time. “European Union Risk Retention Requirements” means Part 5 (Articles 404-410) of the European Union Capital Requirements Regulation, Commission Delegated Regulation (EU) No 625/2014 of 13 March 2014 and Commission Delegated Regulation (EU) No 602/2014 of 4 June 2014, as the same may be amended or re-enacted from time to time and any guidelines or related documents published from time to time in relation thereto by the European Banking Authority (or any predecessor or successor agency or authority) and the European Commission. References herein to the European Union Risk Retention Requirements or to any Article or other provision thereof shall include (i) any corresponding law or rule in effect in any country in the European Economic Area and applicable (directly or indirectly) to CACIB (and, for the avoidance of doubt, references thereto shall also include any related direction given by an applicable Governmental Authority to CACIB or any Affiliate thereof in relation to any investments or exposures to risk in connection with the transactions contemplated by the Transaction Documents), and (ii) any amendments to the foregoing and any applicable order, instrument or regulation made or issued under the European Union Capital Requirements Regulation Directive (Directive 2013/36 (EU). 94


 
“European Union Capital Requirements Regulation” means the European Union Capital Requirements Regulation (Regulation (EU) No 575/2013). “Event of Default” means an event described in Section 10.1. “Event of Bankruptcy” shall be deemed to have occurred with respect to a Person if either: (a) a case or other proceeding shall be commenced, without the application or consent of such Person, in any court, seeking the liquidation, reorganization, debt arrangement, dissolution, winding up, or composition or readjustment of debts of such Person, the appointment of a trustee, receiver, custodian, liquidator, assignee, sequestrator or the like for such Person or all or substantially all of its assets, or any similar action with respect to such Person under any law relating to bankruptcy, insolvency, reorganization, winding up or composition or adjustment of debts, and such case or proceeding shall continue undismissed, or unstayed and in effect, for a period of 60 consecutive days; or an order for relief in respect of such Person shall be entered in an involuntary case under the federal bankruptcy laws or other similar laws now or hereafter in effect; or (b) such Person shall commence a voluntary case or other proceeding under any applicable bankruptcy, insolvency, reorganization, debt arrangement, dissolution or other similar law now or hereafter in effect, or shall consent to the appointment of or taking possession by a receiver, liquidator, assignee, trustee, custodian, sequestrator (or other similar official) for, such Person or for all or substantially all of its property, or shall make any general assignment for the benefit of creditors, or shall be adjudicated insolvent, or admit in writing its inability to, pay its debts generally as they become due, or, if a corporation or similar entity, its board of directors shall vote to implement any of the foregoing. “Excess Concentration Amount” means, as of any date, the sum of the amounts by which the aggregate Unpaid Net Balance of Receivables of each Obligor exceeds the Obligor Concentration Limit for such Obligor. “Excess Other Patient Pay Amounts” means, at any time, the Proxy Value of Eligible Other Patient Pay Amounts in excess of 50% of the total outstanding balance of all Eligible Receivables and all Eligible Participation Interests. “Excess Participation Interests” means, at any time, an amount equal to the excess, if any, of the aggregate outstanding balance of all Eligible Participation Interests over 17.5% of the outstanding balance of all Eligible Receivables and all Eligible Participation Interests. “Excess Rollforward Difference” means, at any time, an amount equal to the Rollforward Difference greater than 3% of the reported aggregate Unpaid Net Balance of all Receivables. “Excess Uninsured Receivables” means the Proxy Value of Eligible Uninsured Receivables in excess of 5% of the outstanding balance of all Eligible Receivables and all Eligible Participation Interests. “Exchange Act” means the Securities Exchange Act of 1934, as amended. 95


 
“Excluded JV Receivable” means any account receivable (and proceeds thereof) that Quest Diagnostics of Pennsylvania Inc. (“Quest Pennsylvania”) bills in its own name and collects through its own accounts arising from services for which revenues belong to Quest Diagnostics Venture LLC under that certain Sharing and General Allocation Agreement dated as of November 1, 1998 by and among Quest Diagnostics Venture LLC, a Pennsylvania limited liability company, Quest Pennsylvania and UPMC Health System Diversified Services, Inc., as amended or modified from time to time. “Excluded Taxes” means any of the following Taxes imposed on or with respect to a Recipient or required to be withheld or deducted from a payment to a Recipient, (a) any branch profit taxes or Taxes imposed on or measured by its net income, (b) franchise taxes imposed on it (in lieu of net income Taxes), in each case by the jurisdiction (or any political subdivision thereof) under the laws of which such Recipient is organized or maintains its applicable lending office, (c) Taxes attributable to such Recipient’s failure to comply with paragraphs (i) or (ii) of Section 2.5(g) (Taxes – Status of Lenders; Refunds), (d) the amount of withholding taxes, if any, that imposed under the laws of the United States of America as of the date of this Agreement upon the Recipient or if the Recipient is an Eligible Assignee or successor-in-interest, upon the original Recipient as of the date hereof from whom the Eligible Assignee or successor-in-interest ultimately derives its rights hereunder, (e) the amount of withholding taxes, if any, imposed under the laws of the United States of America immediately following any assignment to an Eligible Assignee which exceeds the amount of any withholding taxes imposed on payments to the assignor under the laws of the United States of America immediately prior to such assignment and (f) any Taxes imposed by FATCA. “Exhibit” refers to an exhibit to this Agreement unless another document is specifically referenced. “Existing Agreement” has the meaning set forth in the preamble to this Agreement. “Expected LC Fees” means, on any day, the aggregate amount of all LC Fees and LC Fronting Fees that are scheduled to accrue on all outstanding Letters of Credit over the period beginning on such day and ending for each Letter of Credit on the date that such Letter of Credit is scheduled to have expired in accordance with its terms (assuming that no such Letter of Credit will be drawn or extended, except to the extent already extended or required to be extended in accordance with its terms). “Face Value” means, when used with reference to any Commercial Paper Notes issued by Gotham that are not Pooled Commercial Paper, the face amount stated therein in the case of any Commercial Paper Note issued on a discount basis, and the principal amount stated therein plus the amount of all interest accruing on such Commercial Paper Note from the date of its issue to its stated maturity date in the case of any Commercial Paper Note issued on an interest-bearing basis. “Facility” means the $600,000,000.00 facility under this Agreement for Loans and Letters of Credit which facility expires on the Commitment Expiry Date. “FATCA” means Sections 1471 through 1474 of the Code (or any amended or successor version that is substantially comparable thereto) any current or future regulations or official interpretations thereof and any agreements entered into pursuant to Section 1471(b)(1) of the Code or any intergovernmental agreement entered into by the United States in connection with the implementation of such Sections of the Code. 96


 
“Federal Funds Rate” means, for any day, the rate per annum (rounded upwards, if necessary, to the next higher 1/100th of 1%) equal to the greater of (a) the rate calculated by the Federal Reserve Bank of New York based on such day’s Federal funds transactions by depositary institutions (as determined in such manner as the Federal Reserve Bank of New York shall set forth on its public website from time to time) and published on the next succeeding Business Day by the Federal Reserve Bank of New York as the Federal funds effective rate and (b) 0%. “Federal Reserve Board” means the Board of Governors of the Federal Reserve System, or any successor thereto or to the functions thereof. “Fee Letter” means that certain Fee Letter dated as of November 20, 2025 by and among the Borrower, the LC Issuer, PNCCM and the Agents, as the same may be amended, restated, supplemented, replaced or otherwise modified from time to time. “Final Payout Date” means the date on or following the Termination Date on which (a) the amount on deposit in the LC Collateral Account is at least equal to the then aggregate Outstanding Face Amount of all Letters of Credit plus the Expected LC Fees, (b) the Aggregate Principal is reduced to zero, and (c) all other amounts and Obligations under the Transaction Documents shall have been paid in full. “Fitch” means Fitch Ratings, Inc. “Floor” means a rate of interest equal to 0.00%. “Foreign Lender” means a Lender that is not a U.S. Person. “Foreign Plan” means any employee benefit plan, program, policy, arrangement or agreement maintained or contributed to by, or entered into with, Quest Diagnostics or any of its Subsidiaries with respect to employees employed outside the United States. “GAAP” means generally accepted accounting principles set forth in the opinions and pronouncements of the Accounting Principles Board of the American Institute of Certified Public Accountants and statements and pronouncements of the Financial Accounting Standards Board or in such other statements by such accounting profession, which are applicable to the circumstances as of the date of determination. “General Intangible” shall have the meaning specified in Article 9 of the UCC. “Gotham” has the meaning provided in the preamble of this Agreement. “Gotham Agent” has the meaning provided in the preamble of this Agreement. “Gotham Allocation Limit” has the meaning set forth in Section 1.1.1(b). “Gotham Group” has the meaning provided in the preamble of this Agreement. “Gotham Liquidity Agreement” means, collectively, any liquidity agreement pursuant to which any of the Gotham Liquidity Banks provides liquidity to Gotham and any related asset purchase 97


 
agreement, as each may be amended, restated, supplemented, replaced or otherwise modified from time to time. “Gotham Liquidity Bank” means any Liquidity Bank that now or hereafter enters into this Agreement and the Gotham Liquidity Agreement. “Government Receivable” means: (i) any Receivable with respect to which the United States (or an agency or intermediary thereof) is obligated to pay, pursuant to federal Medicare statutes and regulations, for services rendered to eligible beneficiaries thereunder, (ii) any Receivable arising under any state’s Medicaid statutes and regulations, for services rendered to eligible beneficiaries thereunder, (iii) (A) any Receivable with respect to which the United States (or an agency or fiscal intermediary thereof) is obligated to pay, pursuant to federal statutes and regulations applicable to TRICARE, for services rendered to eligible beneficiaries thereunder and not in contravention of any statute or regulation applicable thereto and (B) any Receivable with respect to which the Obligor is any Person (other than a Governmental Authority) who enters into a contract with the United States for the provision of health care services rendered to eligible beneficiaries under TRICARE, (iv) any Receivable with respect to which the United States (or an agency or fiscal intermediary thereof) is obligated to pay, pursuant to federal statutes and regulations applicable to The Civilian Health and Medical Program of Veterans Affairs, for services rendered to eligible beneficiaries thereunder and not in contravention of any statute or regulation applicable thereto, (v) any other Receivable as to which the Obligor is a Governmental Authority, (vi) any other Receivable as to which payment is required by law to be made directly to the provider of the services giving rise thereto or to an account under such provider’s exclusive dominion and control, or (vii) any other Receivable requiring compliance with the Federal Assignment of Claims Act or any similar state legislation. “Governmental Authority” means any Federal, state, local, provincial or foreign court or governmental agency, authority (including executive authority), instrumentality or regulatory body (including any other governmental entity exercising executive, legislative, judicial, taxing, regulatory or administrative powers or function of or pertaining to the implemental of the Dodd-Frank Wall Street Reform and Consumer Protection Act. “Group” means the PNC Group, the Atlantic Group or the Gotham Group, as the case may be. “Guarantee” of or by any Person means any obligation, contingent or otherwise, of such Person guaranteeing or having the economic effect of guaranteeing any Indebtedness of any other Person (the “primary obligor”) in any manner, whether directly or indirectly, and including any obligation of such Person, direct or indirect, (a) to purchase or pay (or advance or supply funds for the 98


 
purchase or payment of) such Indebtedness or to purchase (or to advance or supply funds for the purchase of) any security for the payment of such Indebtedness, (b) to purchase property, securities or services for the purpose of assuring the owner of such Indebtedness of the payment of such Indebtedness or (c) to maintain working capital, equity capital or other financial statement condition or liquidity of the primary obligor so as to enable the primary obligor to pay such Indebtedness; provided however that the term Guarantee shall not include endorsements for collection or deposit, in either case, in the ordinary course of business. “HIPAA” has the meaning set forth in Section 14.14. “Indebtedness” of any Person means, without duplication, (a) all obligations of such Person for borrowed money or with respect to deposits or advances of any kind, (b) all obligations of such Person evidenced by bonds, debentures, notes or similar instruments, (c) all obligations of such Person upon which interest charges are customarily paid, (d) all obligations of such Person under conditional sale or other title retention agreements relating to property or assets purchased by such Person, (e) all obligations of such Person issued or assumed as the deferred purchase price of property or services (other than trade payables incurred in the ordinary course of business), (f) all Indebtedness of others secured by (or for which the holder of such Indebtedness has an existing right, contingent or otherwise, to be secured by) any Lien on property owned or acquired by such Person, whether or not the obligations secured thereby have been assumed, but limited, if such obligations are without recourse to such Person, to the lesser of the principal amount of such Indebtedness or the fair market value of such property, (g) all Guarantees by such Person of Indebtedness of others, (h) all Capital Lease Obligations of such Person, (i) all obligations of such Person in respect of interest rate protection agreements, foreign currency exchange agreements or other interest or exchange rate hedging arrangements (the amount of any such obligation to be the amount that would be payable upon the acceleration, termination or liquidation thereof) and (j) all obligations of such Person as an account party in respect of Letters of Credit and bankers’ acceptances. The Indebtedness of any Person shall include the Indebtedness of any partnership in which such Person is a general partner. “Indemnified Amounts” has the meaning set forth in Section 13.1(a). “Indemnified Party” has the meaning set forth in Section 13.1(a). “Independent Director” has the meaning set forth in Section 7.4(b). “Ineligible Defaulted Receivable” means, on any date of determination, the outstanding balance of a Defaulted Receivable multiplied by 1 minus the Recovery Rate. “Interest” means, in respect to any Advance or Loan, the accrued and unpaid interest thereon. “Interest Payment Date” means each Settlement Date and the date on which any Loan is prepaid, in whole or in part. “Interest Period” means, as to any Term SOFR Loan, the period commencing on the date such Term SOFR Loan is funded and ending on the numerically corresponding day in the calendar month that is one or three months thereafter (in each case, subject to the availability thereof), as specified in the applicable Borrowing Request; provided that (i) if any Interest Period would end on a day other than a Business Day, such Interest Period shall be extended to the next succeeding Business 99


 
Day unless such next succeeding Business Day would fall in the next calendar month, in which case such Interest Period shall end on the immediately preceding Business Day, (ii) any Interest Period that commences on the last Business Day of a calendar month (or on a day for which there is no numerically corresponding day in the last calendar month of such Interest Period) shall end on the last Business Day of the last calendar month of such Interest Period, (iii) no Interest Period shall extend beyond the Scheduled Termination Date and (iv) no tenor that has been removed from this definition pursuant to Section 4.6(d) shall be available for specification in such Borrowing Request. “Interest Rate” means, as applicable, (a) the applicable Daily Term SOFR rate, (b) the applicable Adjusted Term SOFR rate , (c) the applicable CP Rate, (d) the Alternate Base Rate or (e) the Default Rate. “Invoice” means, with respect to any Receivable, any paper or electronic bill, statement or invoice for services rendered by an Originator to an Obligor. “Joinder Agreement” has the meaning set forth in the Sale Agreement. “LabOne Receivable,” means a Receivable that arises out of a sale of goods or services by any of LabOne, Inc., ExamOne World Wide, Inc., Central Plains Laboratories, LLC, LabOne of Ohio, Inc., and Systematic Business Services, Inc. “Laws” means, collectively, all common law and all international, foreign, federal, state and local statutes, treaties, rules, guidelines, regulations, ordinances, codes and administrative or judicial precedents or authorities, including the interpretation or administration thereof by any Governmental Authority charged with the enforcement, interpretation or administration thereof, and all applicable administrative orders, directed duties, requests, licenses, authorizations and permits of, and agreements with, any Governmental Authority, in each case whether or not having the force of law. “LC Advance” has the meaning specified in Section 2.8(a). “LC Advance Notice” has the meaning specified in Section 2.8(a). “LC Application” means the LC Issuer’s standard form of application for irrevocable standby Letter of Credit in substantially the form of Exhibit 1.2.2 hereto, with appropriate insertions. “LC Collateral Account” means a segregated cash collateral account at PNC in the LC Issuer’s name established at any time after the date of this Agreement at the LC Issuer’s request that is under the exclusive control of the Administrative Agent (for the benefit of the LC Issuer). “LC Fee” has the meaning set forth in the Fee Letter. “LC Fronting Fee” has the meaning set forth in the Fee Letter. “LC Issuer” means PNC and its successors. “LC Loan” means any loan made by a Lender to the Borrower pursuant to Sections 1.1.2 and 2.8 of this Agreement. Each LC Loan shall either be a CP Rate Loan, an Alternate Base Rate Loan, a Daily Term SOFR Loan or a Term SOFR Loan, selected in accordance with the terms of this Agreement. 100


 
“LC Obligations” means, at any time, the sum, without duplication, of (a) the aggregate Outstanding Face Amount at such time plus (b) the aggregate unpaid amount at such time of all LC Reimbursement Obligations. “LC Processing Fees” means any reasonable and customary issuance, presentation, amendment and other processing fees, and other standard costs and charges, of the LC Issuer relating to Letters of Credit as from time to time in effect. “LC Reimbursement Obligations” means, at any time, the aggregate of all obligations of Borrower then outstanding under Section 2.8(b) to reimburse the LC Issuer for amounts paid by the LC Issuer in respect of any one or more drawings under Letters of Credit. “LC Sublimit” means a portion of the Aggregate Commitment under this Agreement for the issuance or Modification of Letters of Credit not to exceed $150,000,000.00 at any one time outstanding. “LC Sublimit Percentage” means, as to each Committed Lender, the percentage that appears next to its name on Annex B hereto under an amount equal to its Ratable Share of the LC Sublimit. “Lender” means any of the persons identified as a “Lender” on the signature pages hereto, and shall include such Person’s respective successors and permitted assigns. “Letter of Credit” means a stand-by Letter of Credit issued by the LC Issuer in Dollars upon application pursuant to Section 2.7, as modified from time to time in accordance with this Agreement. “Lenders” means, collectively, (a) PNC, (b) the Conduits, (c) at such time as they make a Liquidity Funding, each of the Atlantic Liquidity Banks and the Gotham Liquidity Banks, and (d) the respective successors and permitted assigns of the foregoing. “Lien” means any security interest, lien, encumbrance, pledge, assignment, title retention, similar claim, right or interest. “Liquidity Agreement” means the Gotham Liquidity Agreement or the Atlantic Liquidity Agreement. “Liquidity Bank” means (a) with respect to Gotham, MUFG or any Eligible Assignee of MUFG’s Commitments and Liquidity Commitment, and (b) with respect to Atlantic, CACIB or any Eligible Assignee of CACIB’s Commitments and Liquidity Commitment in each of the foregoing cases, to which the Borrower has consented if required under Section 12.1. A Liquidity Bank will become a “Lender” hereunder at such time as it makes any Liquidity Funding. “Liquidity Commitment” means, with respect to each Liquidity Bank, its commitment to make Liquidity Fundings pursuant to the Liquidity Agreement to which it is a party. “Liquidity Funding” means (a) a purchase made by any Liquidity Bank pursuant to its Liquidity Commitment of all or any portion of, or any undivided interest in, a Loan of its applicable 101


 
Conduit, or (b) any Loan made by the applicable Liquidity Banks in lieu of a Conduit pursuant to Section 1.1.1 or 2.8. “Loan” means any loan made by a Lender to the Borrower pursuant to this Agreement. Each Loan shall either be a CP Rate Loan, an Alternate Base Rate Loan, a Daily Term SOFR Loan or a Term SOFR Loan, selected in accordance with the terms of this Agreement. “Loan Parties” means, collectively, (i) the Borrower, and (ii) Quest Diagnostics so long as it is acting as the Servicer (or as a sub-servicer) hereunder. “Lockbox” means any post office box maintained by an Originator on behalf of the Borrower to which payments on certain Receivables are mailed. “Loss Reserve” means, for any month, the product (expressed as a percentage) of (i) 2.00, times (ii) the highest three-month rolling average Default Ratio during the 12 months ending on the immediately preceding Cut-Off Date, times (iii) the Default Horizon Ratio as of the immediately preceding Cut-Off Date, times (iv) one minus the Recovery Rate. “Material Acquisition” means that any existing Originator acquires the Unpaid Net Balance of Receivables of one or more other Persons who are not existing Eligible Originators, whether by purchase, merger, consolidation or otherwise, if (i) the aggregate Unpaid Net Balance of receivables so acquired from any one such Person exceeds 10% of the Allocation Limit in effect on the date of acquisition, merger or consolidation, or (ii) the aggregate Unpaid Net Balance of receivables so acquired from all Persons in any calendar year exceeds (or from all such Persons in any calendar year) exceeds 10% of the weighted average Allocation Limit in effect during such calendar year. “Material Adverse Effect” means an event, circumstance, occurrence, or condition which has caused as of any date of determination any of (a) a material adverse effect, or any condition or event that has resulted in a material adverse effect, on the business, operations, financial condition or assets of (i) the Originators taken as a whole (after taking into account indemnification obligations by third parties that are Solvent to the extent that such third party has not disputed (after notice of claim in accordance with the applicable agreement therefor) liability to make such indemnification payment), (ii) the Servicer, or (iii) the Borrower, (b) a material adverse effect on the ability of the Originators, the Servicer or the Borrower to perform when and as due any of their material obligations under any Transaction Document to which they are parties, (c) a material adverse effect on the legality, binding effect or enforceability of any Transaction Document or any of the material rights and remedies of any of the Agents or Lenders thereunder or the legality, priority, or enforceability of the Lien on a material portion of the Collateral, or (d) a material adverse effect upon the validity, enforceability or collectability of a material portion of the Receivables; provided, however, that during the period beginning with the declaration on March 13, 2020 of the national emergency relating to COVID-19 and ending on April 30, 2021 or such later date, not to extend beyond October 22, 2021, as agreed to by the Administrative Agent (with the consent of the Lenders) and the Borrower, no event, circumstance, development, change, occurrence or effect (as is reasonably identifiable and factually supportable) related to the COVID-19 pandemic and the resulting work-at-home orders, travel restrictions and quarantine orders that ensued, shall be deemed to constitute, or shall be taken into account in determining whether there has been, a Material Adverse Effect of the type described in the preceding clause (a). “Material Proposed Addition” means a Person whom any Loan Party proposes to add as a “seller” under the Sale Agreement if either (i) the aggregate Unpaid Net Balance of such Person’s 102


 
receivables (on the proposal date) exceeds 10% of the weighted average Allocation Limit in effect on the proposal date, or (ii) the Unpaid Net Balance of such Person’s receivables (on such proposal date), when aggregated with the receivables of all other Persons added as “sellers” under the Sale Agreement in the same calendar year (measured on the respective dates such other Persons became “sellers” under the Sale Agreement) exceeds 10% of the weighted average Allocation Limit in effect during such calendar year. “Medicaid” means the medical assistance program established by Title XIX of the Social Security Act (42 U.S.C. Secs. 1396 et seq.) and any statutes succeeding thereto. “Medicare” means the health insurance program for the aged and disabled established by Title XVIII of the Social Security Act (42 U.S.C. Secs. 1395 et seq.) and any statutes succeeding thereto. “Monthly Report” means a report in the form of Exhibit 3.1(a). “Monthly Reporting Date” means the 22nd day of each calendar month; provided, however, that if any such day is not a Business Day, then the Monthly Reporting Date shall occur on the next succeeding Business Day. “Moody’s” means Moody’s Investors Service, Inc. “MUFG” has the meaning provided in the preamble of this Agreement. “MUFG Roles” has the meaning set forth in Section 11.10(b). “Multiemployer Plan” means a multiemployer plan within the meaning of Section 4001(a)(3) of ERISA (a) to which any ERISA Entity is then making or accruing an obligation to make contributions, (b) to which any ERISA Entity has within the preceding five plan years made contributions, including any Person which ceased to be an ERISA Entity during such five year period, or (c) with respect to which any Loan Party could incur liability. “Net Pool Balance” means, at any time, an amount equal to (i) Net Receivables, minus (ii) Designated Government Ineligibles, minus (iii) Excess Participation Interests, minus (iv) Excess Uninsured Receivables, and minus (v) Excess Other Patient Pay Amounts. “Net Receivables” means, at any time, an amount equal to the reported aggregate Unpaid Net Balance of all Receivables (including the Specified Government Receivables the subject of Participation Interests) at such time, minus (i) the aggregate Unpaid Net Balance of all Receivables (including the Specified Government Receivables the subject of Participation Interests) that are not Eligible Receivables or the subject of Eligible Participation Interests, as applicable, at such time, minus (ii) Receivables (other than those covered by any other clause of this definition) that are not yet Defaulted Receivables which are owing from any Top 10 Obligor as to which more than 50% of the aggregate Unpaid Net Balance of all Receivables owing from such Top 10 Obligor are Defaulted Receivables, minus (iii) the Excess Concentration Amount at such time, and minus (iv) the Excess Rollforward Difference. “Net Revenues” means, for any calendar month of determination, the gross amount of Receivables generated by the Originators from Clinical Laboratory Services during such calendar month less the associated Contractual Disallowances but before accruals for and write-offs of bad debts. 103


 
“Non-Approving Group” means any Group containing a Non-Approving Lender. “Non-Approving Lender” means any Lender that does not approve (a) a requested waiver to this Agreement or the Credit Agreement, or (b) a requested amendment to this Agreement or the Credit Agreement. “Non-Renewing Lender” means any Lender that elects not to extend the Scheduled Termination Date of its Commitment except to the extent a new or another existing Lender agrees to assume such Commitment. “Non-Renewing Lender’s Share” means any Non-Renewing Lender’s Percentage of the LC Obligations. “Obligations” means the Aggregate Credit Exposure and all accrued and unpaid Interest, fees, expenses, reimbursements, indemnities and other obligations of the Borrower to the Lenders (or any Lender), the LC Issuer, any of the Agents or any Indemnified Party arising under the Transaction Documents. “Obligor” means a Person obligated to make payments with respect to a Receivable, including any guarantor thereof. “Obligor Concentration Limit” means, at any time, in relation to the aggregate Unpaid Net Balance of Private Receivables owed by any single Obligor and its Affiliated Obligors (if any), the applicable concentration limit shall (unless each Co-Agent from time to time upon the Borrower’s request agrees to a higher percentage of Eligible Receivables for a particular Obligor and its Affiliates, which agreement may be conditioned upon an increase in the percentage set forth in clause (A)(i) of the definition of “Required Reserve” or upon satisfaction of the Rating Agency Condition) be determined as follows for Obligors who have short term unsecured debt ratings currently assigned to them by S&P and Moody’s, the applicable concentration limit shall be determined according to the following table; provided, however, that if such Obligor has a split rating between S&P and Moody’s, the applicable concentration limit shall be determined by the higher of the two debt ratings or if such Obligor has a single rating from either S&P or Moody’s, the applicable concentration limit shall be determined by such single rating; provided further that if the two debt ratings are more than one level apart, the applicable concentration limit shall be determined by the debt rating which is one level lower than the higher debt rating: Obligor Group S&P Rating Moody’s Rating Allowable % of Eligible Receivables A+ A-1+ P-1 13.00% A A-1 P-1 13.00% B A-2 P-2 13.00% C A-3 P-3 7.50% D Below A-3 or Not Rated Below P-3 or Not Rated 5.00% “Obligor Percentage” means, for any calendar month, for each Obligor, a fraction, expressed as a percentage, computed as of the last day of such month, (a) the numerator of which is the aggregate Outstanding Balance of the Eligible Receivables of such Obligor and its Affiliates at such 104


 
time and (b) the denominator of which is the aggregate Outstanding Balance of all Eligible Receivables at such time. “Organic Document” means, relative to any Person, its certificate of incorporation, its by-laws, its partnership agreement, its memorandum and articles of association, its limited liability company agreement and/or operating agreement, share designations or similar organization documents and all shareholder agreements, voting trusts and similar arrangements applicable to any of its authorized Equity Interests. “Originator” means Quest Diagnostics or any its direct or indirect Subsidiaries who is or becomes a “seller” under the Sale Agreement. “Other Patient Pay Amounts” means any portion of a Receivable that is not covered by insurance whether by reason of deductibles or co-insurance agreements or arrangements or otherwise. “Other Patient Pay Ineligible Defaulted Receivables” means, on any date of determination, the product of (a) the difference between (i) the aggregate Unpaid Net Balance of Patient Pay Receivables greater than 150 days past due as of the last day of the month then most recently ended, minus (ii) the Proxy Value of Uninsured Receivables greater than 150 days past due as of the last day of the month then most recently ended, multiplied by (b) one minus the Recovery Rate. “Other Taxes” has the meaning set forth in Section 14.5(c). “Outstanding Face Amount” means, on any date of determination, the aggregate amount available to be drawn under all Letters of Credit then outstanding. “Participation Interest” means a 100% beneficial interest in the applicable Originator’s right, title and interest, whether now owned or hereafter arising and wherever located, in, to and under each of such Originator’s Specified Government Receivables. “Participant Register” has the meaning set forth in Section 12.1(d). “Patient Pay Receivable” means (a) an Uninsured Receivable, or (b) a Receivable (or the portion thereof) that represents Other Patient Pay Amounts. “Payment Intangible” shall have the meaning specified in Article 9 of the UCC. “PBGC” means the Pension Benefit Guaranty Corporation, or any successor thereto. “Pension Plan” means an employee pension benefit plan (other than a Multiemployer Plan) which is covered by Title IV of ERISA or subject to the minimum funding standards under Section 412 of the Code or Section 302 of ERISA and is maintained or contributed to by any ERISA Entity or with respect to which any Loan Party could incur liability. “Percentage” means, for each Group on any date of determination, the ratio which the sum the outstanding Principal balance of such Group’s Loans bears to the Aggregate Principal. “Periodic Term SOFR Determination Day” has the meaning specified in the definition of “Term SOFR.” 105


 
“Permitted Investments” means, on any date, any one or more of the following types of investments, provided that they mature on or prior to the next Settlement Date: (a) marketable obligations of the United States of America, the full and timely payment of which are backed by the full faith and credit of the United States of America and which have a maturity of not more than 270 days from the date of acquisition; (b) marketable obligations, the full and timely payment of which are directly and fully guaranteed by the full faith and credit of the United States of America and which have a maturity of not more than 270 days from the date of acquisition; (c) bankers’ acceptances and certificates of deposit and other interest-bearing obligations (in each case having a maturity of not more than 270 days from the date of acquisition) denominated in dollars and issued by any bank with capital, surplus and undivided profits aggregating at least $50,000,000, the short-term obligations of which are rated at least A-1 by S&P and P-1 by Moody’s; (d) repurchase obligations with a term of not more than ten days for underlying securities of the types described in clauses (a), (b) and (c) above entered into with any bank of the type described in clause (c) above; (e) commercial paper rated at least A-1 by S&P and P-1 by Moody’s; and, (f) demand deposits, time deposits or certificates of deposit (having original maturities of no more than 365 days) of depository institutions or trust companies incorporated under the laws of the United States of America or any state thereof (or domestic branches of any foreign bank) and subject to supervision and examination by federal or state banking or depository institution authorities; provided, however, that at the time such investment, or the commitment to make such investment, is entered into, the short-term debt rating of such depository institution or trust company shall be at least A-1 by S&P and P-1 by Moody’s. “Person” means any natural person, corporation, firm, joint venture, partnership, limited liability company, association, enterprise, trust or other entity or organization, or any government or political subdivision or any agency, department or instrumentality thereof. “PHI” has the meaning set forth in Section 14.14. “PNC” has the meaning provided in the preamble of this Agreement. “PNCCM” means PNC Capital Markets LLC. “PNC Group Agent” means PNC in its capacity as agent for the PNC Group. “PNC Allocation Limit” has the meaning specified in Section 1.1.1(a). “PNC Group” means PNC. “Pooled Commercial Paper” means for each of the Pool Funded Conduits the Commercial Paper Notes of such Pool Funded Conduit subject to any particular pooling arrangement by 106


 
such Conduit, but excluding Commercial Paper Notes issued by the Pool Funded Conduits for a tenor and in an amount specifically requested by any Person in connection with any agreement effected by such Pool Funded Conduit. “Pool Funded Conduits” means (a) Atlantic, and (b) during any time as to which Gotham has notified the Loan Parties that it will be pool funding its Loans, Gotham. “Prepayment Notice” has the meaning set forth in Section 1.5(a). “Prime Rate” means the interest rate per annum publicly announced from time to time by the Administrative Agent at its main offices in Pittsburgh, Pennsylvania as its then prime rate, which rate may not be the lowest or most favorable rate then being charged to commercial borrowers or others by the Administrative Agent and may not be tied to any external rate of interest or index. Any change in the Prime Rate shall take effect at the opening of business on the day such change is publicly announced. “Principal” means, in respect of any Advance or Loan, the outstanding principal amount thereof. “Principal Amount” means the actual net cash proceeds received by a Conduit upon issuance by it of a Commercial Paper Note. “Privacy Regulations” has the meaning set forth in Section 14.14(a). “Private Receivable” means any Receivable other than a Government Receivable. “Pro Rata Share” means, with respect to any Committed Lender, the ratio which its Commitment bears to the aggregate of the Commitments of all Committed Lenders in its Group. “Proceedings” means, collectively, lawsuits, arbitrations, mediations and Congressional or regulatory hearings. “Program Information” has the meaning set forth in Section 14.8(a)(i) “Proxy Value of Eligible Other Patient Pay Amounts” means, on any date of determination, (a) the Proxy Value of Other Patient Pay Amounts as of the last day of the month then most recently ended, minus (b) Other Patient Pay Ineligible Defaulted Receivables as of the last day of the month then most recent ended. “Proxy Value of Eligible Uninsured Receivables” means, on any date of determination, the product of (a) the percentage equal to the quotient of (i) the aggregate Unpaid Net Balance of QDCL’s Uninsured Receivables as of the last day of the calendar month then most recently ended, divided by the total Unpaid Net Balance of all of QDCL’s Receivables as of the last day of the calendar month then most recently ended, multiplied by (b) the Unpaid Net Balance of all Eligible Receivables and Eligible Participation Interests as of the last day of the calendar month then most recently ended. “Proxy Value of Other Patient Pay Amounts” means, on any date of determination, (a) the aggregate Unpaid Net Balance of Patient Pay Receivables minus (b) the Proxy Value of Uninsured Receivables. 107


 
“Proxy Value of Uninsured Receivables” means, on any date of determination, the product of (a) the percentage equal to the quotient of (i) the aggregate Unpaid Net Balance of QDCL’s Uninsured Receivables as of the last day of the calendar month then most recently ended, divided by the total Unpaid Net Balance of all of QDCL’s Receivables as of the last day of the calendar month then most recently ended, multiplied by (b) the aggregate Unpaid Net Balance of Receivables and Participation Interests as of the last day of the calendar month then most recently ended. “Property” of a Person means any right, title or interest in or to property or assets of any kind whatsoever, whether real, personal or mixed and whether tangible or intangible and including Equity Interests or other ownership interests of any Person. “Purchased Asset” means each Private Receivable and each Participation Interest acquired by the Borrower pursuant to the Sale Agreement. “QBS” means the Quest Billing System. “QDCL” means Quest Diagnostics Clinical Laboratories, Inc., a Delaware corporation, and its successors. “Qualifying Liquidity Bank” means a commercial bank having a combined capital and surplus of at least $250,000,000 with a rating of its (or its parent holding company’s) short-term securities equal to or higher than (i) A-1 by S&P, (ii) P-1 by Moody’s and (if applicable) (iii) F1 by Fitch. “Quest Diagnostics” has the meaning set forth in the preamble of this Agreement. “Ratable Share” means with respect to any Committed Lender, the ratio which its Commitment bears to the Aggregate Commitment. “Rating Agency” means S&P, Moody’s, Fitch and any other nationally recognized agency or Person in the business of rating, inter alia, debt and equity instruments and securities. “Rating Agency Condition” means that, if required under a Conduit’s program documents, each such Conduit has received written notice from S&P, Moody’s and, at any time while Fitch is rating such Conduit’s Commercial Paper, Fitch, that an amendment, a change or a waiver will not result in a withdrawal or downgrade of the then current ratings on such Conduit’s Commercial Paper Notes. “Receivable” means any Account or Payment Intangible arising from the sale of Clinical Laboratory Services by an Originator, including, without limitation, the right to payment of any interest or finance charges and other amounts with respect thereto, which is sold or contributed to the Borrower under the Sale Agreement; provided, however, that the term “Receivable” shall not include any Excluded JV Receivable. Rights to payment arising from any one transaction, including, without limitation, rights to payment represented by an individual invoice, shall constitute a Receivable separate from a Receivable consisting of the rights to payment arising from any other transaction. “Recipient” means the Administrative Agent, any Co-Agent or any Lender. “Records” means, collectively, all Invoices and all other documents, books, records and other information (including, without limitation, computer programs, tapes, disks, punch cards, data 108


 
processing software and related property and rights) evidencing, governing the payment terms or payment status of, or identifying the Obligor on, any Receivable or Related Asset, other than (i) any Contract related thereto, and (ii) any confidential patient information including, without limitation, test results. “Recovery Rate” means at any time 60%. “Register” has the meaning set forth in Section 12.1(d). “Regulation D” means Regulation D of the Board of Governors of the Federal Reserve System as from time to time in effect and any successor thereto or other regulation or official interpretation of said Board of Governors relating to reserve requirements applicable to member banks of the Federal Reserve System. “Regulation T, U or X” means Regulation T, U or X of the Board of Governors of the Federal Reserve System as from time to time in effect and any successor or other regulation or official interpretation of said Board of Governors relating to the extension of credit for the purpose of purchasing or carrying margin stocks. “Regulatory Change” means the occurrence, after the date of this Agreement, of any of the following: (a) the adoption or taking effect of any law, rule, regulation or treaty, (b) any change in any law, rule, regulation (including Regulation D) or treaty or in the administration, interpretation, implementation or application thereof by any Governmental Authority or (c) the making or issuance of any request, rule, guideline or directive (whether or not having the force of law) by any Governmental Authority; provided that notwithstanding anything herein to the contrary, (x) the Dodd-Frank Wall Street Reform and Consumer Protection Act and all requests, rules, guidelines or directives thereunder or issued in connection therewith, and (y) all requests, rules, guidelines or directives promulgated by the Bank for International Settlements, the Basel Committee on Banking Supervision (or any successor or similar authority) or the United States or foreign regulatory authorities, in each case pursuant to Basel III, shall in each case be deemed to be a “Regulatory Change”, regardless of the date enacted, adopted or issued. “Reimbursement Date” has the meaning specified in Section 2.8(a). “Related Assets” means all of the Borrower’s right, title and interest in and to the following: (a) the Related Security, (b) the Sale Agreement, (c) the Collateral Account (if any) and the balances and instruments from time to time therein, (d) the Lockboxes and Collection Accounts, all balances and instruments from time to time therein, and any and all Collection Account Agreements with respect thereto that may exist in favor of the Borrower, (e) payments due in respect of the Demand Advances, and (f) all proceeds and insurance proceeds of any of the foregoing. “Related Security” means, with respect to each Receivable, all right, title and interest in and to the following: (a) (i) all Collections; (ii) all Records; (iii) all Collection Accounts and all cash, balances and instruments therein from time to time therein; (iv) the goods (including returned or repossessed goods), if any, the sale of which by an Originator gave rise to such Receivable; (v) all supporting obligations; and (vi) all liens and security interests, if any, securing payment of such Receivable, whether pursuant to the Contract related to such Receivable or otherwise; and 109


 
(b) all proceeds and insurance proceeds of the foregoing. “Relevant Governmental Body” means the Federal Reserve Board or the Federal Reserve Bank of New York, or a committee officially endorsed or convened by the Federal Reserve Board or the Federal Reserve Bank of New York, or any successor thereto. “Reportable Event” means any of the events set forth in Section 4043(c) of ERISA or the regulations thereunder, other than any such event for which the 30-day notice requirement under ERISA has been waived in regulations issued by the PBGC. “Reporting Date” means a Monthly Reporting Date. “Required Amounts” has the meaning set forth in Section 3.2. “Required Day” means, with respect to any event, the Business Day preceding such event by the Required Notice Period. “Required Notice Period” means the number of days required notice set forth below applicable to the Aggregate Principal reduction indicated below: AGGREGATE REDUCTION REQUIRED NOTICE PERIOD < 25% of the Aggregate Commitment 2 Business Days ≥ 25% up to and including 50% of the Aggregate Commitment 5 Business Days > 50% of Aggregate Commitment 10 Business Days “Requirement of Law” means as to any Person, the Organic Documents of such Person, and any Law or determination of an arbitrator or any Governmental Authority, in each case applicable to or binding upon such Person or any of its Property or to which such Person or any of its Property is subject. “Required Reserve” means, on any day during a month, an amount equal to the product of (i) the greater of (a) the Required Reserve Factor Floor and (b) the sum of the Loss Reserve, the Yield Reserve, the Dilution Reserve, the Ad Hoc Reserve and the Servicing Reserve, times (ii) the Net Pool Balance as of the Cut-Off Date immediately preceding such month. “Required Reserve Factor Floor” means, for any month, the sum (expressed as a percentage) of (i) the Concentration Reserve Percentage for such month, plus (ii) the product of the Adjusted Dilution Ratio and the Dilution Horizon Ratio, in each case, as of the immediately preceding Cut-Off Date. “Review” has the meaning set forth in Section 7.1(c). “Rollforward Difference” means, at any time, an amount equal to absolute value of the reported aggregate Unpaid Net Balance of all Receivables minus the calculated Unpaid Net Balance of all Receivables. 110


 
“S&P” means Standard and Poor’s Ratings Services, a division of The McGraw-Hill Companies, Inc. “Sale Agreement” means the Fourth Amended and Restated Receivables Sale Agreement dated as of October 28, 2015 between each of the Originators, as a seller and/or contributor, and the Borrower, as purchaser and contributee, as it may be amended, supplemented or otherwise modified in accordance with Section 7.3(f). “Sanctioned Country” means, at any time, a country or territory which is the target of any countrywide or territory-wide Sanctions. “Sanctioned Person” means, at any time, (a) any Person listed in any Sanctions-related list of designated Persons maintained by the Office of Foreign Assets Control of the U.S. Department of the Treasury, the U.S. Department of State or by the United Nations Security Council, the European Union or His Majesty’s Treasury of the United Kingdom, (b) any Person operating, organized or resident in a Sanctioned Country or (c) any Person owned by or controlled by any such Person described in the foregoing clause (a) or (b). “Sanctions” means economic or financial sanctions or trade embargoes imposed, administered or enforced from time to time by (a) the Office of Foreign Assets Control of the U.S. Department of the Treasury or the U.S. Department of State, (b) the United Nations Security Council, (c) the European Union or (d) His Majesty’s Treasury of the United Kingdom. “Schedule” refers to a specific schedule to this Agreement unless another document is specifically referenced. “Scheduled Termination Date” means November 19, 2027. “SEC” means the Securities and Exchange Commission. “Section” means a numbered section of this Agreement unless another document or a statute is specifically referenced. “Secured Parties” means the Indemnified Parties. “Security Regulations” has the meaning set forth in Section 14.14. “Servicer” has the meaning set forth in the preamble of this Agreement. “Servicer Transfer Event” means the occurrence of any Event of Default. “Servicer’s Fee” accrued for any day in an Accrual Period means: (a) an amount equal to (x) 5.0% per annum (or, at any time while Quest Diagnostics is the Servicer, such lesser percentage as may be agreed between the Borrower and the Servicer on an arms’ length basis based on then prevailing market terms for similar services), times (y) the reported aggregate Unpaid Net Balance of the Receivables at the close of business on the first day of such Accrual Period, times (z) 1/360; or 111


 
(b) on and after the Servicer’s reasonable request made at any time when Quest Diagnostics shall no longer be the Servicer, an alternative amount specified by the Servicer not exceeding (x) 110% of the Servicer’s costs and expenses of performing its obligations under this Agreement during the Accrual Period when such day occurs, divided by (y) the number of days in such Accrual Period. “Servicing Reserve” means the product of 3.0% and a fraction, the numerator of which is the highest Days Sales Outstanding calculated for each of the most recent 12 calendar months and the denominator of which is 360. “Settlement Date” means (a) the second Business Day after each Monthly Reporting Date, (b) such other Business Days as the Co-Agents may specify by written notice to the Lenders, the Borrower and the Servicer, (c) each of the Commitment Expiry Dates, and (d) the Termination Date. “Settlement Period” means, for purposes of the Sale Agreement, an Accrual Period. “Share of LC Sublimit” means, as to each Committed Lender, an amount equal to its Ratable Share of the LC Sublimit. “SOFR” means, with respect to any Business Day, a rate per annum equal to the secured overnight financing rate for such Business Day published by the SOFR Administrator on the SOFR Administrator’s Website on the immediately succeeding Business Day. “SOFR Administrator” means the Federal Reserve Bank of New York (or a successor administrator of the secured overnight financing rate). “SOFR Administrator’s Website” means the Federal Reserve Bank of New York’s website, currently at http://www.newyorkfed.org, or any successor source for the secured overnight financing rate identified as such by the SOFR Administrator from time to time. “Solvent” and “Solvency” means, for any Person on a particular date, that on such date (a) the fair value of the Property of such Person is greater than the total amount of liabilities, including, without limitation, contingent liabilities, of such Person, (b) the present fair salable value of the assets of such Person is not less than the amount that will be required to pay the probable liability of such Person on its debts as they become absolute and matured, (c) such Person does not intend to, and does not believe that it will, incur debts and liabilities beyond such Person’s ability to pay such debts and liabilities as they mature and (d) such Person is not engaged in a business or a transaction, and is not about to engage in a business or a transaction, for which such Person’s Property would constitute an unreasonably small capital. “Specified Government Receivable” means a Government Receivable arising under Medicare or Medicaid for covered services rendered to eligible beneficiaries thereunder. “Structuring Agent” means PNCCM in its capacity as structuring agent. “Subordinated Loan” has the meaning set forth in the Sale Agreement. 112


 
“Subordinated Note” has the meaning set forth in the Sale Agreement. “Subsidiary” means, with respect to any Person, any corporation, partnership or other entity of which at least a majority of the securities or other ownership interests having by the terms thereof ordinary voting power to elect a majority of the board of directors or other persons performing similar functions of such corporation, partnership or other entity (irrespective of whether or not at the time securities or other ownership interests of any other class or classes of such corporation, partnership or other entity shall have or might have voting power by reason of the happening of any contingency) is at the time directly or indirectly owned or controlled by such Person and/or one or more Subsidiaries of such Person. “Successor Notice” has the meaning set forth in Section 8.1(b). “Taxes” means any and all taxes, imposts, duties, charges, fees, levies or other similar charges or assessments, including income, gross receipts, excise, real or personal property, sales, withholding, social security, retirement, unemployment, occupation, use, service, license, net worth, payroll, franchise, and transfer and recording, imposed by the Internal Revenue Service or any taxing authority (whether domestic or foreign, including any federal, state, U.S. possession, county, local or foreign government or any subdivision or taxing agency thereof), whether computed on a separate, consolidated, unitary, combined or any other basis, including interest, fines, penalties or additions to tax attributable to or imposed on or with respect to any such taxes, charges, fees, levies or other assessments. “Term SOFR” means: (a) for any calculation with respect to a Term SOFR Loan, the Term SOFR Reference Rate for a tenor comparable to the applicable Interest Period on the day (such day, the “Periodic Term SOFR Determination Day”) that is two (2) U.S. Government Securities Business Days prior to the first day of such Interest Period, as such rate is published by the Term SOFR Administrator; provided, however, that if as of 5:00 p.m. (New York City time) on any Periodic Term SOFR Determination Day, the Term SOFR Reference Rate for the applicable tenor has not been published by the Term SOFR Administrator and a Benchmark Replacement Date with respect to the Term SOFR Reference Rate has not occurred, then Term SOFR will be the Term SOFR Reference Rate for such tenor as published by the Term SOFR Administrator on the first preceding U.S. Government Securities Business Day for which such Term SOFR Reference Rate for such tenor was published by the Term SOFR Administrator so long as such first preceding U.S. Government Securities Business Day is not more than three (3) U.S. Government Securities Business Days prior to such Periodic Term SOFR Determination Day; and (b) for any calculation with respect to an Alternate Base Rate Loan on any day, the Term SOFR Reference Rate for a tenor of one month on the day (such day, the “Daily Term SOFR Determination Day”) that is two (2) U.S. Government Securities Business Days prior to such day, as such rate is published by the Term SOFR Administrator; provided, however, that if as of 5:00 p.m. (New York City time) on any Daily Term SOFR Determination Day, the Term SOFR Reference Rate for the applicable tenor has not been published by the Term SOFR Administrator and a Benchmark Replacement Date with respect to the Term SOFR Reference Rate has not occurred, then Term SOFR will be the Term SOFR Reference Rate for such tenor as published by the Term SOFR Administrator on the first preceding U.S. Government Securities Business Day for which such Term SOFR Reference Rate for such tenor was published by the Term SOFR Administrator so long as such first preceding U.S. Government Securities 113


 
Business Day is not more than three (3) U.S. Government Securities Business Days prior to such Daily Term SOFR Determination Day; provided, further, that if Term SOFR determined as provided above (including pursuant to the proviso under clause (a) or clause (b) above) shall ever be less than the Floor, then Term SOFR shall be deemed to be the Floor. “Term SOFR Adjustment” means, for any calculation with respect to any Daily Term SOFR Loan, Term SOFR Loan or, solely to the extent that clause (c) of the definition of “Alternate Base Rate” is then applicable, any ABR Loan, a percentage per annum equal to 0.10%. “Term SOFR Administrator” means CME Group Benchmark Administration Limited (CBA) (or a successor administrator of the Term SOFR Reference Rate selected by the Administrative Agent in its reasonable discretion). “Term SOFR Loan” means a Loan (other than an Alternate Base Rate Loan or a Daily Term SOFR Loan) that bears interest for a particular Interest Period at a fixed rate equal to the applicable Adjusted Term SOFR rate. “Term SOFR Reference Rate” means the forward-looking term rate based on SOFR. “Termination Date” means the earliest to occur of: (a) the Scheduled Termination Date; (b) the date designated by the Borrower as the “Termination Date” on not less than fifteen (15) Business Days’ notice to the Co-Agents, provided that on such date the Obligations have been paid in full; and (c) the date specified in Section 10.2(a) or Section 10.2(b) (including, without limitation, any such specified date following any Co-Agent’s failure to approve a requested waiver hereunder). “Top 10 Obligor” means any of the following and its Affiliates considered as if it and its Affiliates were one and the same entity: (1) Aetna, (2) United Healthcare, (3) Anthem Health, (4) CIGNA, (5) Blue Cross/Blue Shield Florida, (6) Humana, (7) Group Health Incorporated, (8) Blue Cross/Blue Shield of Texas, (9) Private Health Care Systems (PHCS), and (10) Blue Shield of California, with such changes to the foregoing list as may be agreed upon from time to time by the Borrower and the Administrative Agent. “Tranched Loan Lender” means Atlantic, CACIB and any other Person from time to time a “Lender” in the Atlantic Group. “Transaction Information” means any information provided to any Rating Agency, in each case, to the extent related to such Rating Agency providing or proposing to provide a rating of any Commercial Paper Notes or monitoring such rating including, without limitation, information in connection with the Loan Parties, the Originators or the Receivables; provided that, for the avoidance of doubt, “Transaction Information” shall not include any information provided by Quest Diagnostics Incorporated or any of its Affiliates to any nationally recognized statistical rating organization (other than information solely related to the Receivables subject to this Agreement) in connection with such rating organization providing a rating or proposing to provide a rating to, or monitoring an existing rating of Quest Diagnostics Incorporated or any of its Affiliates or any debt securities of any of the foregoing. “Transaction Documents” means this Agreement, the Collection Account Agreements, the Sale Agreement, the Fee Letter, each LC Application, the Subordinated Notes and the other documents to be executed and delivered in connection herewith or therewith. 114


 
“UCC” means the Uniform Commercial Code as from time to time in effect in the applicable jurisdiction or jurisdictions. “Unadjusted Benchmark Replacement” means the applicable Benchmark Replacement excluding the related Benchmark Replacement Adjustment. “Uninsured Receivables” means Receivables owing from Obligors without health insurance. “Unmatured Default” means an event which but for the lapse of time or the giving of notice, or both, would constitute an Event of Default. “Unpaid Net Balance” of any Receivable means at any time (i) the unpaid amount thereof, but excluding all late payment charges, delinquency charges and extension or collection fees, minus (ii) Contractual Disallowances. “Unused Fee” has the meaning set forth in the Fee Letter. “U.S. Government Securities Business Day” means any day except for (a) a Saturday, (b) a Sunday or (c) a day on which the Securities Industry and Financial Markets Association recommends that the fixed income departments of its members be closed for the entire day for purposes of trading in United States government securities. “US Person” means any Person that is a “United States Person” as defined in Section 7701(a)(30) of the Code. “Usage Fee” has the meaning set forth in each of the Fee Letter. “Volcker Rule” means Section 13 of the U.S. Bank Holding Company Act of 1956, as amended, and the applicable rules and regulations thereunder. “Write-Down and Conversion Powers” means, with respect to any EEA Resolution Authority, the write-down and conversion powers of such EEA Resolution Authority from time to time under the Bail-In Legislation for the applicable EEA Member Country, which write-down and conversion powers are described in the EU Bail-In Legislation Schedule. “Yield Reserve” means, for any month, the product (expressed as a percentage) of (i) 1.5 times (ii) the Alternate Base Rate as of the immediately preceding Cut-Off Date times (iii) a fraction the numerator of which is the highest Days Sales Outstanding for the most recent 12 months and the denominator of which is 360. The foregoing definitions shall be equally applicable to both the singular and plural forms of the defined terms. B. Other Terms. All accounting terms not specifically defined herein shall be construed in accordance with GAAP. All terms used in Article 9 of the UCC in the State of New York, and not specifically defined herein, are used herein as defined in such Article 9. 115


 
C. Computation of Time Periods. Unless otherwise stated in this Agreement, in the computation of a period of time from a specified date to a later specified date, the word “from” means “from and including” and the words “to” and “until” each mean “to but excluding.” 116


 
ANNEX B COMMITMENTS AND SHARE OF LC SUBLIMIT COMMITTED LENDER A COMMITMENT B RATABLE SHARE C SHARE OF LC SUBLIMIT D LC SUBLIMIT PERCENTAGE PNC Bank, National Association $300,000,000.00 50.00% $ 75,000,000.00 50.00% MUFG Bank, Ltd. $150,000,000.00 25.00% $ 37,500,000.00 25.00% Crédit Agricole Corporate and Investment Bank $150,000,000.00 25.00% $ 37,500,000.00 25.00% TOTAL $600,000,000.00 100.00% $150,000,000.00 100.00% 117


 
ANNEX C TRANCHED LOAN LENDERS Reference is hereby made to that certain Sixth Amended and Restated Credit and Security Agreement, dated as of October 27, 2017, by and among Quest Diagnostics Receivables Inc., as Borrower, Quest Diagnostics Incorporation, as initial Servicer, the Lenders and Co-Agents from time to time party thereto, PNC Bank, National Association, as LC Issuer, and PNC Bank, National Association, as Administrative Agent (as amended, restated or otherwise modified from time to time, the “Credit and Security Agreement”). Capitalized terms used and not otherwise defined herein are used with the meanings attributed thereto in the Credit and Security Agreement. Each of the Tranched Loan Lenders will divide each of its Loans and each of its participation interests in the LC Obligations (collectively, its “Credit Extensions”) into a “Class A” interest and a “Class B” interest, with the Class B interest in a Credit Extension being subordinate to the Class A interest therein. A Tranched Loan Lender’s (i) Class A interest shall initially consist of 80% of the Credit Extensions made by it hereunder and (ii) Class B interest shall initially consist of 20% of the Credit Extensions made by it hereunder; provided that any Tranched Loan Lender may, upon notice to its Co-Agent, unilaterally modify the percentages of its Credit Extensions constituting Class A interests and Class B interests, respectively, so long as the respective percentages equal 100% of such Tranched Loan Lender’s Credit Extensions. In no event will the division of Credit Extensions into Class A and Class B interests have any impact on, or create any additional obligations of, any party to the Credit and Security Agreement other than the applicable Tranched Loan Lender and the Atlantic Group Co-Agent. Each Tranched Loan Lender will allocate (i) all payments of the portion of Aggregate Principal owing to such Tranched Loan Lender on each Settlement Date (A) first to such Tranched Loan Lender’s Class A interest, until the principal amount of the Class A interest is reduced to zero and (B) second to such Tranched Loan Lender’s Class B interest, until the Class B interest is reduced to zero, and (ii) all payments constituting Interest made to such Tranched Loan Lender on each Settlement Date to such Tranched Loan Lender’s Class A and Class B interests, pro rata, based on the outstanding principal amount thereof on such Settlement Date. It is understood and agreed that, notwithstanding anything in the Credit and Security Agreement to the contrary, (i) none of the Borrower, the Servicer, the Administrative Agent or any other Secured Party shall be responsible for the calculation of any amounts due to any Tranched Loan Lender’s Class A interest or Class B interest, or the outstanding amount of any Tranched Loan Lender’s Class A interest or Class B interest, and such amounts shall not appear on any Monthly Report or other report provided by the Administrative Agent, the Servicer or the Borrower and (ii) the Servicer shall send one combined payment to the Atlantic Group Agent for all amounts due to any Lender in the Atlantic Group in accordance with the Credit and Security Agreement. 118


 
EXHIBIT 1.2.2 FORM OF LC APPLICATION 119


 
120


 
121


 
EXHIBIT 2.1 FORM OF BORROWING REQUEST Quest Diagnostics Receivables Inc. BORROWING REQUEST For Borrowing of an-Advance on __________________ PNC Bank, National Association, as PNC Group Agent The Towers at PNC Plaza 300 5th Avenue Pittsburgh, PA 15222 Attention: abfadmin@pnc.com and MUFG Bank, Ltd. (f/k/a The Bank of Tokyo-Mitsubishi UFJ, Ltd.), as Gotham Agent 1221 Avenue of the Americas New York, New York 10020-1104 USA Attention: Securitization Group, Email: Securitization_reporting@us.mufg.jp and Crédit Agricole Corporate and Investment Bank, as Atlantic Agent 1301 Avenue of the Americas – 17th Floor New York, NY 10019 Attention: DCM Securitization - Americas Email: Conduitsec@ca-cib.com; Conduit.funding@ca-cib.com Ladies and Gentlemen: Reference is made to the Sixth Amended and Restated Credit and Security Agreement dated as of October 27, 2017 (as amended, supplemented or otherwise modified from time to time, the “Credit Agreement”) among Quest Diagnostics Receivables Inc. (the “Borrower”), Quest Diagnostics Incorporated, as initial Servicer, the Lenders, the LC Issuer and Co-Agents from time to time party thereto, and PNC Bank, National Association, as Administrative Agent. Capitalized terms defined in the Credit Agreement are used herein with the same meanings. 1. The [Servicer, on behalf of the] Borrower hereby certifies, represents and warrants to the Agents and the Lenders that on and as of the Borrowing Date (as hereinafter defined): (a) all applicable conditions precedent set forth in Section 5 of the Credit Agreement have been satisfied; (b) each of its representations and warranties contained in Section 6 of the Credit Agreement will be true and correct, in all material respects, as if made on and as of the Borrowing Date; 122


 
(c) no event will have occurred and is continuing, or would result from the requested Advance, that constitutes an Event of Default or Unmatured Default; (d) the Termination Date has not occurred; and (e) after giving effect to the Loans comprising the Advance requested below, PNC’s Loans at any one time outstanding will not exceed the PNC Allocation Limit, the Atlantic Group’s Loan at any one time outstanding will not exceed the Atlantic Allocation Limit and the Gotham Group’s Loans at any one time outstanding will not exceed the Gotham Allocation Limit. 2. The [Servicer, on behalf of the] Borrower hereby requests that the Conduits (or their respective Liquidity Banks) make an Advance on _________, _____ (the “Borrowing Date”) as follows: (a) Aggregate Amount of such Advance: $___________ (i) PNC Group’s Commitment Percentage of Advance: $___________ (ii) Atlantic Group’s Commitment Percentage of Advance: $___________ (iii) Gotham Group’s Commitment Percentage of Advance: $___________ (b) Interest Rate Requested: [Adjusted Daily One Month Term SOFR][Adjusted Daily Three Month Term SOFR] (for PNC) and CP Rate (unless you advise the Borrower that a Liquidity Funding will be made for any Conduit, in which case the [Servicer on behalf of the] Borrower requests that the applicable Liquidity Banks make an Alternate Base Rate Loan that converts into a Term SOFR Loan with an Interest Period approximately equal to the CP Tranche Period specified below on the third Business Day after the Borrowing Date). (c) CP Tranche Period Requested: Accrual Period for Pool Funded Conduits; otherwise, ________ days 3. Please disburse the proceeds of the Loans as follows: (i) PNC Group: [Apply $________ to payment of Principal and Interest of existing Loans due on the Borrowing Date]. [Apply $______ to payment of fees due on the Borrowing Date]. [Wire transfer $________ to account no. ________ at ___________ Bank, in [city, state], ABA No. ________, Reference: ________]; (ii) Atlantic Group: [Apply $________ to payment of Principal and Interest of existing Loans due on the Borrowing Date]. [Apply $______ to payment of fees due on the Borrowing Date]. [Wire transfer $________ to account no. ________ at ___________ Bank, in [city, state], ABA No. ________, Reference: ________]; and (iii) Gotham Group: [Apply $________ to payment of Principal and Interest of existing Loans due on the Borrowing Date]. [Apply $______ to payment of fees due on the Borrowing Date]. [Wire transfer $________ to account no. ________ at ___________ Bank, in [city, state], ABA No. ________, Reference: ________]. 123


 
IN WITNESS WHEREOF, the [Servicer, on behalf of the] Borrower has caused this Borrowing Request to be executed and delivered as of this ____ day of _________, _____. [_____________________, as Servicer, on behalf of:] QUEST DIAGNOSTICS RECEIVABLES INC., as Borrower By: Name: Title: 124


 
EXHIBIT 2.5(G) FORM OF TAX CERTIFICATE Reference is hereby made to [the Sixth Amended and Restated Credit and Security Agreement] ( “Credit and Security Agreement”). Pursuant to the provisions of Section 2.5(g) of the Credit and Security Agreement, the undersigned hereby certifies that: (A) [in the case of a foreign Lender that is not a partnership for U.S. Federal income tax purposes, (i) it is the sole record and beneficial owner of the Loan(s) (as well as any note(s) evidencing such Loan(s)) in respect of which it is providing this certificate, (ii) it is not a bank within the meaning of Section 881(c)(3)(A) of the Code, (iii) it is not a ten percent shareholder of the Borrower within the meaning of Section 871(h)(3)(B) of the Code, (iv) it is not a controlled foreign corporation related to the Borrower as described in Section 881(c)(3)(C) of the Code and (v) the interest payments in question are not effectively connected with the undersigned’s conduct of a U.S. trade or business.] (B) [in the case of a foreign Lender that is a partnership for U.S. Federal income tax purposes, (i) it is the sole record owner of the Loan(s) (as well as any note(s) evidencing such Loan(s)) in respect of which it is providing this certificate, (ii) its partners/members are the sole beneficial owners of the Loan(s) (as well as any note(s) evidencing such Loan(s)), (iii) with respect to the extension of credit pursuant to this Agreement, neither the undersigned nor any of its partners/members is a bank extending credit pursuant to a loan agreement entered into in the ordinary course of its trade or business within the meaning of Section 881(c)(3)(A) of the Code, (iv) none of its partners/member is a ten percent shareholder of the Borrower within the meaning of Section 871(h)(3)(B) of the Code, (v) none of its partners/members is a controlled foreign corporation related to the Borrower as described in Section 881(c)(3)(C) of the Code and (vi) the interest payments in question are not effectively connected with the undersigned’s or its partners/members’ conduct of a U.S. trade or business.] The undersigned has furnished the Administrative Agent with a certificate of its non-U.S. person status on IRS Form W-8BEN or IRS Form W-8BEN-E, as applicable, or, in the case of a foreign Lender that is a partnership, an IRS Form W-8IMY accompanied by an IRS Form W-8BEN or IRS Form W-8BEN-E, as applicable, from each of its partners/members claiming the portfolio interest exemption. By executing this certificate, the undersigned agrees that if the information provided on this certificate changes, the undersigned shall promptly so inform the Administrative Agent. Unless otherwise defined herein, terms defined in the Credit and Security Agreement and used herein shall have the meanings given to them in the Credit and Security Agreement. [SIGNATURE BLOCK] 125


 
EXHIBIT 2.8(a)-1 FORM OF DRAW NOTICE NOTICE OF LC DRAWING [Date] Quest Diagnostics Receivables, Inc. 500 Plaza Drive Secaucus, NJ 07094 Attention: Re: PNC Bank, National Association’s Standby Letter of Credit No. __________, dated ______________, issued for your account in favor of _____________________________ (the “Letter of Credit”) Ladies and Gentlemen: Reference is hereby made to the Sixth Amended and Restated Credit and Security Agreement dated as of October 27, 2017 (as amended, supplemented or otherwise modified from time to time, the “Credit Agreement”) among Quest Diagnostics Receivables Inc. (the “Borrower”), Quest Diagnostics Incorporated, as initial Servicer, the Lenders and Co-Agents from time to time party thereto, PNC Bank, National Association, as LC Issuer (the “LC Issuer”) and PNC Bank, National Association, as Administrative Agent. Capitalized terms defined in the Credit Agreement are used herein with the same meanings. 1. The LC Issuer hereby advises you that the above-described Letter of Credit was drawn in the amount of $_____________ (the “Drawing Amount”) on ___________, 20__ (the “Drawing”). The LC Issuer intends to honor the Drawing on _____________________, 20__. 2. The LC Issuer hereby demands reimbursement of the Drawing Amount by not later than 10:00 a.m. (New York City time) on _____________________, 20__ (the “Reimbursement Date”) by wire transfer of immediately available funds to account no. _______________ in the name of ________________, at PNC Bank, National Association, in [city, state], ABA No. ________________, Ref: Standby LC No. ___________________, Quest Diagnostics Receivables, Inc. 126


 
Very truly yours, PNC BANK, NATIONAL ASSOCIATION, as LC Issuer By: ______________________________________________ Name: Title: cc: Co-Agents 127


 
EXHIBIT 2.8(a)-2 FORM OF LC ADVANCE NOTICE LC ADVANCE NOTICE [Date] PNC Bank, National Association, as PNC Group Agent The Towers at PNC Plaza 300 5th Avenue Pittsburgh, PA 15222 Attention: abfadmin@pnc.com and MUFG Bank, Ltd. (f/k/a The Bank of Tokyo-Mitsubishi UFJ, Ltd.), as Gotham Agent 1221 Avenue of the Americas New York, New York 10020-1104 USA Attention: Securitization Group, Email: Securitization_reporting@us.mufg.jp and Crédit Agricole Corporate and Investment Bank, as Atlantic Agent 1301 Avenue of the Americas – 17th Floor New York, NY 10019 Attention: DCM Securitization - Americas Email: Conduitsec@ca-cib.com; Conduit.funding@ca-cib.com Ladies and Gentlemen: Reference is hereby made to the Sixth Amended and Restated Credit and Security Agreement dated as of October 27, 2017 (as amended, supplemented or otherwise modified from time to time, the “Credit Agreement”) among Quest Diagnostics Receivables Inc. (the “Borrower”), Quest Diagnostics Incorporated, as initial Servicer, the Lenders and Co-Agents from time to time party thereto, PNC Bank, National Association, as LC Issuer (the “LC Issuer”) and PNC Bank, National Association, as Administrative Agent. Capitalized terms defined in the Credit Agreement are used herein with the same meanings. 1. The LC Issuer hereby advises you that its Standby Letter of Credit No. __________, dated ______________, issued for the account of the Borrower in favor of _____________________________ (the “Letter of Credit”) was drawn in the amount of $_____________ on ___________, 20__ (the “Drawing”). 2. The Drawing has not been reimbursed by the Borrower. 3. Accordingly, you are hereby requested to fund the following LC Advance on _________, _____ (the “Borrowing Date”) as follows: 128


 
(a) Aggregate Amount of such LC Advance: $_____________ (i) PNC Group’s LC Sublimit Percentage of LC Advance: $___________ (ii) Atlantic Group’s LC Sublimit Percentage of LC Advance: $___________ (iii) Gotham Group’s LC Sublimit Percentage of LC Advance: $___________ (b) Interest Rate Requested: [Adjusted Daily One Month Term SOFR][Adjusted Daily Three Month Term SOFR] (for PNC) and CP Rate (unless you advise the Borrower that a Liquidity Funding will be made for any Conduit, in which case the LC Issuer requests that the applicable Liquidity Banks make an Alternate Base Rate Loan that converts into a Term SOFR Loan with an Interest Period approximately equal to the CP Tranche Period specified below on the third Business Day after the Borrowing Date). (c) CP Tranche Period Requested: Accrual Period for Pool Funded Conduits; otherwise, ________ days. 4. Please disburse the proceeds of your LC Loans directly to account no. _______________ in the name of ________________, at PNC Bank, National Association, in [city, state], ABA No. ________________, Ref: Standby LC No. ___________________, Quest Diagnostics Receivables, Inc. Very truly yours, PNC BANK, NATIONAL ASSOCIATION, as LC Issuer By: ______________________________________________ Name: Title: cc: Quest Diagnostics Receivables, Inc. 129


 
EXHIBIT 3.1(A) FORM OF MONTHLY REPORT 130


 
131


 
Receivables Receivables Receivables Quest Diagnostics Receivables Inc. IV. Excess Concentration: (Calculation) Eligible Receivables Allowable Percentage 3.3% 6.5% 13.0% 13.0% 13.0% For the Month Ended: XX/XX/XXXX (Page 3) Max. Allowable Balance Credit Rating NR/NR A3/P3 A2/P2 A1/P1 A1+/P1 Largest Obligors Short-Term Debt Rating Allowable Percentage Total Allowable Excess 1 2 3 4 5 6 7 8 9 10 11 12 13 14 15 16 17 18 19 20 21 22 23 24 25 Total The undersigned hereby represents and warrants that the foregoing is a true and accurate accounting with respect to outstanding receivables as of XXX XX, XXXX in accordance with the Sixth Amended and Restated Credit and Security Agreement dated October 27, 2017 (as amended, supplemented or otherwise modified from time to time) and that all representations and warranties related to such Agreements are restated and reaffirmed. Signed: ______________________________________________________________ Date: Title: VP and Treasurer 132


 
SCHEDULE 6.1(N)1 FEDERAL TAXPAYER ID NUMBER, CHIEF EXECUTIVE OFFICE, PRINCIPAL PLACE(S) OF BUSINESS AND OTHER RECORDS LOCATION(S) A. Borrower’s FEIN, Chief Executive Office, Principal Place of Place of Business Federal Taxpayer I.D. No.: 22-3695703 Chief Executive Office: 500 Plaza Drive Secaucus, NJ 07094 Principal Place of Business: 500 Plaza Drive Secaucus, NJ 07094 Records Locations: Above addresses plus the Originators’ addresses listed in Part B below. [continued on next page] 1 The companies may also utilize other third-party secured warehouse facilities and digital record keeping capabilities in accordance with the company’s document retention and security policies. 133


 
B. Originators’ Prior and DBA Names, FEINs and Locations of Records Location of Records Federal EIN Legal Name of Seller/Originatori Fictitious Name (DBA) Prior Legal Nameii 8401 Fallbrook Avenue West Hills, CA 91304 95-2701802 Quest Diagnostics Nichols Institute (CA) Nichols Institute Quest Diagnostics Infectious Disease, Inc. (DE)—merged into Quest Diagnostics Nichols Institute (CA) 8401 Fallbrook Avenue West Hills, CA 91304 71-0897031 Unilab Corporation (DE) Quest Diagnostics N/A 8401 Fallbrook Avenue West Hills, CA 91304 95-2961036 Specialty Laboratories, Inc. (CA) Quest Diagnostics Nichols Institute of Valencia, Inc. N/A 200 Forest Street Marlborough, MA 01752 06-1460613 Quest Diagnostics LLC (CT) N/A N/A 1001 Adams Avenue Norristown, PA 19403 38-2084239 Quest Diagnostics Clinical Laboratories, Inc. (DE) N/A N/A 1355 Mittel Blvd. Wood Dale, IL 60191 36-4257926 Quest Diagnostics LLC (IL) N/A N/A 10101 Renner Blvd. Lenexa, KS 66219 43-1039532 LabOne, LLC (MO) Quest Diagnostics 134


 
Location of Records Federal EIN Legal Name of Seller/Originatoriii Fictitious Name (DBA) Prior Legal Nameiv 200 Forest Street Marlborough, MA 01752 31-1805826 Blueprint Genetics Inc. (DE) Athena Diagnostics Athena Diagnostics, Inc. (name change after Blueprint Genetics Inc.v merged into Athena) 200 Forest Street Marlborough, MA 01752 04-3248020 Quest Diagnostics LLC (MA) Quest Diagnostics of Connecticut LLC N/A 1 Insights Drive Clifton, NJ 07012 52-0890739 Quest Diagnostics Incorporated (MD) N/A N/A 1355 Mittel Blvd Wood Dale, IL 60191 38-2084239 Quest Diagnostics Clinical Laboratories, Inc. (DE) N/A Quest Diagnostics Incorporated (MI) (merged into QDCL) 10101 Renner Blvd. Lenexa, KS 66219 20-1908041 Quest Diagnostics Health and Wellness LLC (DE) Summit Health, Inc. (this was a change of name and entity type) 1 Insights Drive Clifton, NJ 07012 16-1387862 Quest Diagnostics Incorporated (DE) vi QDI Delaware Incorporated N/A 4380 Federal Drive, Suite 100 Greensboro, NC 27410 38-2084239 Quest Diagnostics Clinical Laboratories, Inc. (DE) Solstas Lab Partners Solstas Lab Partners Group Solstas Lab Partners, LLC and Solstas Lab Partners Group, LLC (merged into QDCL) 4230 Burnham Avenue Las Vegas, NV 89119 88-0099333 Quest Diagnostics Incorporated (NV) Quest Diagnostics Incorporated of Nevada Quest Diagnostics N/A 1355 Mittel Blvd Wood Dale, IL 60191 20-0310967 LabOne of Ohio, Inc. (DE) LabOne Quest Diagnostics N/A 4690 Parkway Drive Mason, OH 45040 38-2084239 Quest Diagnostics Clinical Laboratories, Inc. (DE) MedPlus, Inc. (OH) (merged into QDCL) 4 Parkway Center 875 Greentree Road Pittsburgh, PA 15220 22-3137283 Quest Diagnostics of Pennsylvania Inc. (DE) N/A N/A 14225 Newbrook Drive Chantilly, VA 20153 54-0854787 Quest Diagnostics Nichols Institute, Inc. (VA) Nichols Institute N/A 135


 
10101 Renner Blvd. Lenexa, KS 66219 23-2057350 ExamOne World Wide, Inc. (PA) N/A N/A 1355 Mittel Blvd Wood Dale, IL 60191 38-2084239 Quest Diagnostics Clinical Laboratories, Inc. (DE) N/A Mid America Clinical Laboratories, LLC (IN) (merged into QDCL) 200 Forest Street Marlborough, MA 01752 26-2679473 Reprosource Fertility Diagnostics, Inc. (MA) i State designations represent the states in which entity is incorporated or organized. These designations are not part of the legal corporate name, but are included here for reference purposes only. ii No prior legal names within the past five years. iii State designations represent the states in which entity is incorporated or organized. These designations are not part of the legal corporate name, but are included here for reference purposes only. iv No prior legal names within the past five years. v Upon merger of Blueprint Genetics, Inc. (FEIN: 37-1768269) into Athena Diagnostics, Inc., Seattle location closed. vi Corporate office located at 500 Plaza Drive, Secaucus, NJ 07094. 136