Please wait
law | tax | forensics | IP Edward Nathan Sonnenbergs Incorporated registration number 2006/018200/21 EXECUTION VERSION ENS The MARC Tower 1 129 Rivonia Road Sandton Johannesburg South Africa 2196 P O Box 783347 Sandton South Africa 2146 Docex 152 Randburg tel +2711 269 7600 info@ENSafrica.com ENSafrica.com <ENS>#0537844 CP2.1 Facility Agreement - Nedbank – DRDGOLD EXT3 ZAR1,000,000,000 REVOLVING CREDIT FACILITY AGREEMENT WITH ZAR500,000,000 ACCORDION entered into between: DRDGOLD LIMITED (as Borrower) THE ENTITIES LISTED IN PART II of SCHEDULE 1 (ORIGINAL GUARANTORS) (as Original Guarantor) NEDBANK LIMITED (ACTING THROUGH ITS NEDBANK CORPORATE AND INVESTMENT BANKING DIVISION) (as Original Lender) and NEDBANK LIMITED (ACTING THROUGH ITS NEDBANK CORPORATE AND INVESTMENT BANKING DIVISION) (as Agent) Exhibit 4.11


 
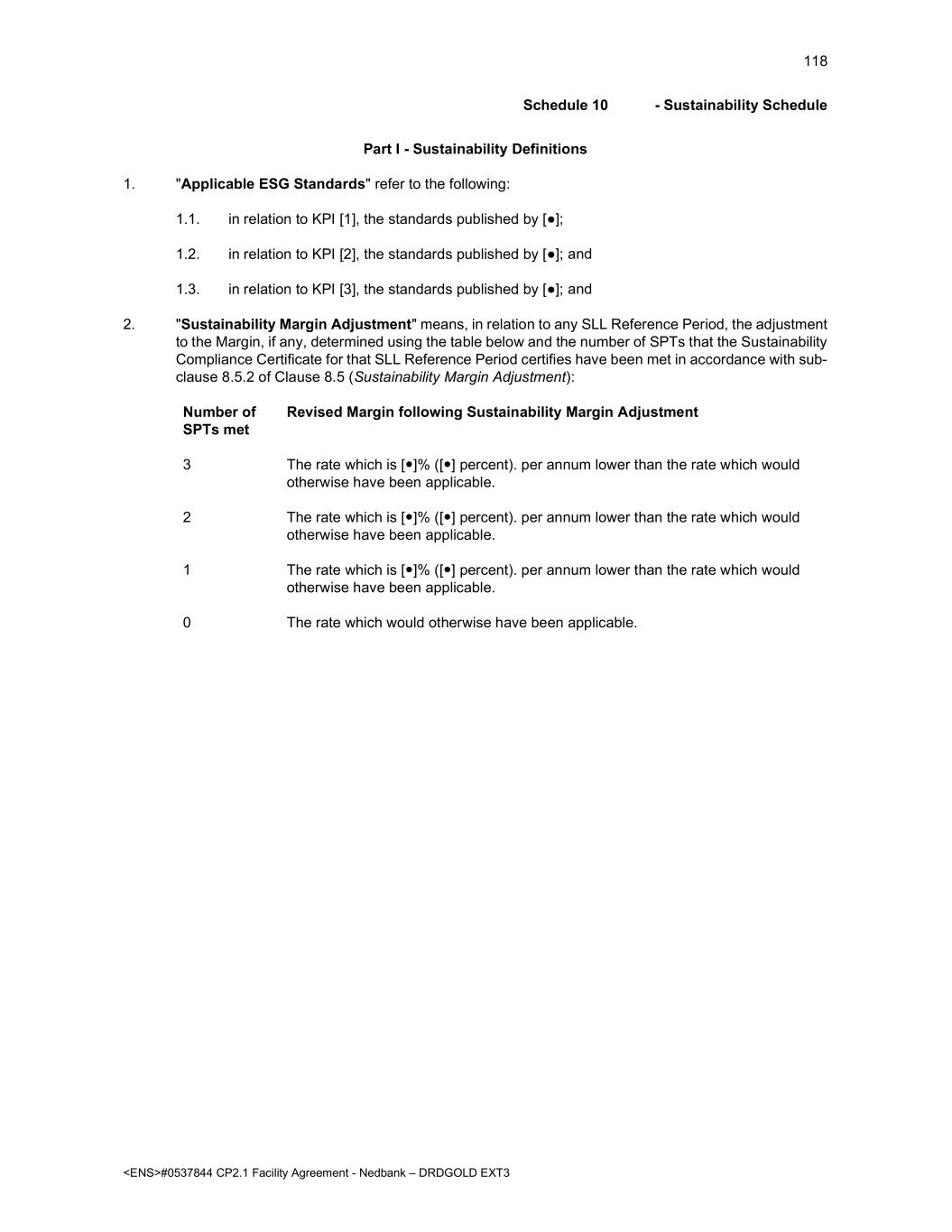
2 <ENS>#0537844 CP2.1 Facility Agreement - Nedbank – DRDGOLD EXT3 TABLE OF CONTENTS Clause number and description Page 1. DEFINITIONS AND INTERPRETATION ................................................................................................ 4 2. THE FACILITY ...................................................................................................................................... 26 3. PURPOSE ............................................................................................................................................ 30 4. CONDITIONS OF UTILISATION .......................................................................................................... 30 5. UTILISATION ........................................................................................................................................ 31 6. REPAYMENT ........................................................................................................................................ 32 7. PREPAYMENT AND CANCELLATION ................................................................................................ 33 8. INTEREST ............................................................................................................................................ 39 9. INTEREST PERIODS ........................................................................................................................... 41 10. CHANGES TO THE CALCULATION OF INTEREST ........................................................................... 42 11. FEES ..................................................................................................................................................... 43 12. TAX GROSS UP AND INDEMNITIES .................................................................................................. 44 13. INCREASED COSTS............................................................................................................................ 47 14. OTHER INDEMNITIES ......................................................................................................................... 48 15. MITIGATION BY THE LENDERS ......................................................................................................... 49 16. COSTS AND EXPENSES .................................................................................................................... 50 17. GUARANTEE AND INDEMNITY .......................................................................................................... 50 18. REPRESENTATIONS .......................................................................................................................... 53 19. INFORMATION UNDERTAKINGS ....................................................................................................... 57 20. FINANCIAL COVENANTS .................................................................................................................... 63 21. GENERAL UNDERTAKINGS ............................................................................................................... 65 22. EVENTS OF DEFAULT ........................................................................................................................ 72 23. CHANGES TO THE OBLIGORS .......................................................................................................... 76 24. CHANGES TO THE LENDERS ............................................................................................................ 77 25. ROLE OF THE AGENT ........................................................................................................................ 79 26. CONDUCT OF BUSINESS BY THE FINANCE PARTIES ................................................................... 87 27. SHARING AMONG THE FINANCE PARTIES ..................................................................................... 87 28. PAYMENT MECHANICS ...................................................................................................................... 88


 
3 <ENS>#0537844 CP2.1 Facility Agreement - Nedbank – DRDGOLD EXT3 29. SET-OFF ............................................................................................................................................... 91 30. NOTICES .............................................................................................................................................. 91 31. CALCULATIONS AND CERTIFICATES............................................................................................... 93 32. PARTIAL INVALIDITY .......................................................................................................................... 94 33. REMEDIES AND WAIVERS ................................................................................................................. 94 34. AMENDMENTS AND WAIVERS .......................................................................................................... 94 35. CONFIDENTIAL INFORMATION ......................................................................................................... 98 36. CONFIDENTIALITY OF FUNDING RATES ....................................................................................... 101 37. COUNTERPARTS .............................................................................................................................. 102 38. WAIVER OF IMMUNITY ..................................................................................................................... 102 39. SOLE AGREEMENT........................................................................................................................... 102 40. GOVERNING LAW ............................................................................................................................. 103 41. JURISDICTION ................................................................................................................................... 103 Schedule 1 - Original Guarantors ............................................................................................................ 104 Schedule 2 - Conditions Precedent ......................................................................................................... 105 Schedule 3 - Utilisation Request ............................................................................................................. 108 Schedule 4 - Form of Accession Letter ................................................................................................... 109 Schedule 5 - Form of Resignation Letter................................................................................................. 110 Schedule 6 - Form of Compliance Certificate.......................................................................................... 111 Schedule 7 - Accordion Increase Documents ......................................................................................... 112 Schedule 8 - Form of Transfer Certificate ............................................................................................... 114 Schedule 9 - Permitted Transferees ........................................................................................................ 117 Schedule 10 - Sustainability Schedule ...................................................................................................... 118


 
4 <ENS>#0537844 CP2.1 Facility Agreement - Nedbank – DRDGOLD EXT3 This Agreement is made between: A. DRDGOLD Limited (Registration Number 1895/000926/06), a public company incorporated and existing in accordance with the laws of South Africa having its registered address at Constantia Office Park Cycad House, Cnr 14th Avenue and Hendrik Potgieter, Weltevreden Park, Gauteng, 1709, as borrower (the "Borrower"); B. each person listed in Schedule 1 (Original Guarantors), as original guarantors (the "Original Guarantors"); C. Nedbank Limited (acting through its Nedbank Corporate and Investment Banking division) (Registration No. 1951/000009/06), a public company and registered bank duly incorporated under the laws of South Africa, as lender (the "Original Lender"); and D. Nedbank Limited (acting through its Nedbank Corporate and Investment Banking division) (Registration No. 1951/000009/06), a public company and registered bank duly incorporated under the laws of South Africa, as agent of the other Finance Parties (the "Agent"). It is agreed as follows: 1. DEFINITIONS AND INTERPRETATION 1.1. Definitions In this Agreement: 1.1.1. "Accession Letter" means a document substantially in the form set out in Schedule 4 (Form of Accession Letter); 1.1.2. "Accordion Increase Confirmation" means a confirmation delivered by the Agent to the Borrower under Clause 2.2 (Accordion increase option), substantially in the form annexed as Part II (Form of Accordion Increase Confirmation) of Schedule 7 (Accordion Increase Documents); 1.1.3. "Accordion Increase Effective Date" has the meaning given to this term in Clause 2.2.2.7; 1.1.4. "Accordion Increase Request" means a request delivered by the Borrower to the Agent under Clause 2.2 (Accordion increase option), substantially in the form annexed as Part I (Form of Accordion Increase Request) of Schedule 7 (Accordion Increase Documents); 1.1.5. "Accounting Reference Date" means 30 June of each year; 1.1.6. "Additional Guarantor" means a company which becomes an Additional Guarantor in accordance with Clause 23.2 (Additional Guarantors); 1.1.7. "Affiliate" means, in relation to any person, a Subsidiary of that person or a Holding Company of that person or any other Subsidiary of that Holding Company; 1.1.8. "Aggregate Accordion Increase Amount" has the meaning given to this term in Clause 2.2.1; 1.1.9. "Agreement" means this Agreement and its Schedules;


 
5 <ENS>#0537844 CP2.1 Facility Agreement - Nedbank – DRDGOLD EXT3 1.1.10. "Anti-Corruption Laws" all laws, rules, and regulations of any jurisdiction applicable from time to time concerning or relating to bribery, corruption or money laundering, which includes but is not limited to: 1.1.10.1. the following South African laws: 1.1.10.1.1. the Financial Intelligence Centre Act, 2001; 1.1.10.1.2. the Prevention and Combating of Corrupt Activities Act, 2004; and 1.1.10.1.3. the Prevention of Organised Crime Act, 1998; and 1.1.10.1.4. the Protection of Constitutional Democracy Against Terrorist Related Activities Act, 2004; 1.1.10.2. any other applicable law in any applicable jurisdiction (including any (i) statute, ordinance, rule or regulation; (ii) order of any court, tribunal or any other judicial body; and (iii) rule, regulation, guideline or order of any public body, or any other administrative requirement) which: 1.1.10.2.1. prohibits the conferring of any gift, payment or other benefit on any person or any officer, employee, agent or adviser of such person; and/or 1.1.10.2.2. was intended to enact the provisions of the OECD Convention on Combating Bribery of Foreign Public Officials in International Business Transactions, 1997 or which has as its objective the prevention of corruption; 1.1.11. "Applicable ESG Standards" referenced throughout this Agreement from or after the SLL Classification Date, refers to the standards applicable to each KPI, if any, identified as such in Part I (Sustainability definitions) of Schedule 10 (Sustainability Schedule), as such standards may be amended or supplemented from time to time after the SLL Classification Date; 1.1.12. "Auditors" means BDO South Africa Inc, KPMG Inc, Ernst & Young Inc, PwC Inc or Deloitte Inc, or any other firm approved in advance by the Majority Lenders (such approval not to be unreasonably withheld or delayed); 1.1.13. "Authorisation" means an authorisation, consent, approval, resolution, licence, permit, exemption, filing, notarisation, lodgement or registration; 1.1.14. "Availability Period" means: 1.1.14.1. in respect of the Facility, the period from and including the Effective Date to and including the earlier of (i) the date falling 1 (one) Month (or such shorter period as the Agent (acting on the instructions of the Majority Lenders) may agree in writing) before the Termination Date; and (ii) the date on which the Facility is cancelled in full in terms of this Agreement; and 1.1.14.2. in respect of an Increased Commitment, the period commencing on (and including) the relevant Accordion Increase Effective Date and ending on (and including) the earlier of (i) the date which is 1 (one) Month (or such shorter period as the Agent (acting on the instructions of the Majority Lenders) may agree in writing) before the Termination Date and (ii) the date on which the Facility is cancelled in full in terms of this Agreement;


 
6 <ENS>#0537844 CP2.1 Facility Agreement - Nedbank – DRDGOLD EXT3 1.1.15. "Available Commitment" means a Lender's Commitment under the Facility minus: 1.1.15.1. the amount of its participation in any outstanding Loans; and 1.1.15.2. in relation to any proposed Utilisation, the amount of its participation in any Loans that are due to be made on or before the proposed Utilisation Date, other than that Lender's participation in any Loans that are due to be repaid or prepaid on or before the proposed Utilisation Date; 1.1.16. "Available Facility" means the aggregate for the time being of each Lender's Available Commitment; 1.1.17. "Baseline" means, in relation to a KPI, the baseline performance of the Group for such KPI and period as is set out in Part II (Sustainability Calculations) of Schedule 10 (Sustainability Schedule); 1.1.18. "Break Costs" means the amount (if any) by which: 1.1.18.1. the interest (excluding the Margin) which a Lender should have received for the period from the date of receipt of all or any part of its participation in a Loan or Unpaid Sum to the last day of the current Interest Period in respect of that Loan or Unpaid Sum, had the principal amount or Unpaid Sum received been paid on the last day of that Interest Period, exceeds: 1.1.18.2. the amount which that Lender would be able to obtain by placing an amount equal to the principal amount or Unpaid Sum received by it on deposit with a leading bank in the Johannesburg Market for a period starting on the Business Day following receipt or recovery and ending on the last day of the current Interest Period; 1.1.19. "Break Gains" means the amount (if any) by which the amount referred to in in sub-clause 1.1.18.2 of the definition of Break Costs exceeds the amount referred to in sub-clause 1.1.18.1 of the definition of Break Costs; 1.1.20. "Business Day" means a day (other than a Saturday, a Sunday or an official public holiday in South Africa within the meaning of the Public Holidays Act 1994) on which banks are open for general business in South Africa; 1.1.21. "Calculation Methodology" means, in relation to a KPI, the calculation methodology applicable to that KPI as set out in Part II (Sustainability Calculations) of Schedule 10 (Sustainability Schedule); 1.1.22. "Commitment" means: 1.1.22.1. in relation to the Original Lender, ZAR1,000,000,000 (one billion Rand) and the amount of any other Commitment assumed by it in accordance with Clause 2.2 (Accordion increase option); and 1.1.22.2. in relation to any other Lender, the amount of any Commitment transferred to it under this Agreement or assumed by it in accordance with Clause 2.2 (Accordion increase option), to the extent not cancelled, reduced or transferred in accordance with the terms of this Agreement;


 
7 <ENS>#0537844 CP2.1 Facility Agreement - Nedbank – DRDGOLD EXT3 1.1.23. "Compliance Certificate" means a certificate substantially in the form set out in Schedule 6 (Form of Compliance Certificate); 1.1.24. "Confidential Information" means all information relating to the Borrower, any Obligor, the Group, the Finance Documents or the Facility of which a Finance Party becomes aware in its capacity as a Finance Party, or for the purpose of becoming, a Finance Party or which is received by a Finance Party in relation to, or for the purpose of becoming a Finance Party under, the Finance Documents or the Facility from either: 1.1.24.1. any member of the Group or any of its advisers; or 1.1.24.2. another Finance Party, if the information was obtained by that Finance Party directly or indirectly from any member of the Group or any of its advisers, in whatever form, and includes information given orally and any document, electronic file or any other way of representing or recording information which contains or is derived or copied from such information but excludes: 1.1.24.2.1. information that: 1.1.24.2.1.1. is or becomes public information other than as a direct or indirect result of any breach by that Finance Party of Clause 35 (Confidential Information); or 1.1.24.2.1.2. is identified in writing at the time of delivery as non-confidential by any member of the Group or any of its advisers; or 1.1.24.2.1.3. is known by that Finance Party before the date the information is disclosed to it in accordance with sub-clauses 1.1.24.2.1.1 or 1.1.24.2.1.2 above or is lawfully obtained by that Finance Party after that date, from a source which is, as far as that Finance Party is aware, unconnected with the Group and which, in either case, as far as that Finance Party is aware, has not been obtained in breach of, and is not otherwise subject to, any obligation of confidentiality; and 1.1.24.2.1.4. any Funding Rate; 1.1.25. "Confidentiality Undertaking" means a confidentiality undertaking substantially in the recommended form of the LMA or in any other form agreed between the Obligors' Agent and the Agent; 1.1.26. "Declassification Date" means the date on which the Agent (acting on the instructions of the Majority Lenders) exercises its right to declassify the Facility as "sustainability-linked" in accordance with sub-clause 21.22.1 of Clause 21.18 (Declassification Event and consequences);


 
8 <ENS>#0537844 CP2.1 Facility Agreement - Nedbank – DRDGOLD EXT3 1.1.27. "Declassification Event" means a failure by the relevant Parties to, agree the amendments referred to in sub-clause 34.4.2 of Clause 34.4 (Sustainability amendments) following the occurrence of a Sustainability Amendment Event, within the time periods, and otherwise in the manner, in each case, set out in that Clause; 1.1.28. "Default" means an Event of Default or any event or circumstance specified in Clause 22 (Events of Default) which would (with the expiry of any applicable grace period, the giving of notice, the making of any determination under the Finance Documents or any combination of any of the foregoing) be an Event of Default; 1.1.29. "Disruption Event" means either or both of: 1.1.29.1. a material disruption to those payment or communications systems or to those financial markets which are, in each case, required to operate in order for payments to be made in connection with the Facility (or otherwise in order for the transactions contemplated by the Finance Documents to be carried out) which disruption is not caused by, and is beyond the control of, any of the Parties; or 1.1.29.2. the occurrence of any other event which results in a disruption (of a technical or systems-related nature) to the treasury or payments operations of a Party preventing that, or any other Party: 1.1.29.2.1. from performing its payment obligations under the Finance Documents; or 1.1.29.2.2. from communicating with other Parties in accordance with the terms of the Finance Documents, 1.1.29.2.3. and which (in either such case) is not caused by, and is beyond the control of, the Party whose operations are disrupted; 1.1.30. "Effective Date" means the date on which the Agent gives the Borrower the written notice contemplated in clause 4.1 (Initial Conditions Precedent); 1.1.31. "Eligible Institution" means the Original Lender or other bank, financial institution, trust, fund or other entity selected by the Borrower and which, in each case, is not a member of the Group; 1.1.32. "Environment" means humans, animals, plants and all other living organisms including the ecological systems of which they form part and the following media: 1.1.32.1. air (including, without limitation, air within natural or man-made structures, whether above or below ground); 1.1.32.2. water (including, without limitation, territorial, coastal and inland waters, water under or within land and water in drains and sewers); and 1.1.32.3. land (including, without limitation, land under water); 1.1.33. "Environmental Claim" means any claim, proceeding, formal notice or investigation by any person in respect of any Environmental Law;


 
9 <ENS>#0537844 CP2.1 Facility Agreement - Nedbank – DRDGOLD EXT3 1.1.34. "Environmental Law" means any applicable law or regulation which relates to: 1.1.34.1. the pollution or protection of the Environment; 1.1.34.2. harm to or the protection of human health; 1.1.34.3. the conditions of the workplace; or 1.1.34.4. the generation, handling, storage, use, release, emission or spillage of any substance which, alone or in combination with any other, is capable of causing harm to the Environment, including, without limitation, any waste; 1.1.35. "Environmental Permits" means any permit, license and other Authorisation and the filing of any notification, report or assessment required under any Environmental Law for the operation of the business of any Obligor conducted on or from the properties owned or used by any Obligor; 1.1.36. "Event of Default" means any event or circumstance specified as such in Clause 21.25 (Events of Default); 1.1.37. "External Reviewer" means any external reviewer as may be appointed from time to time by (and at the cost of) the Borrower, provided that it is: 1.1.37.1. a reputable and qualified external firm of independent auditors or environmental or other independent consultants with relevant expertise, which is licensed to practice in South Africa; and 1.1.37.2. not an Affiliate of the Borrower; 1.1.38. "Facility" means the revolving credit facility made available under this Agreement as described in Clause 2 (The Facility); 1.1.39. "Fee Letter" means: 1.1.39.1. any letter or letters dated on or about the Signature Date between the Original Lender and the Borrower setting out any of the fees referred to in Clause 11 (Fees); or 1.1.39.2. any agreement setting out fees payable to a Lender referred to in Clause 2.2 (Accordion increase option) or under any other Finance Document; 1.1.40. "Final Discharge Date" means the date on which all amounts of whatsoever nature under the Finance Documents are fully, finally and irrevocably discharged and the Lenders are under no obligation to provide finance or extend any other form of credit or financial accommodation to any person under the Finance Documents, as certified in writing by the Agent within 5 (five) Business Days of receipt of a request for confirmation from the Obligors’ Agent, if all the requirements above have in fact been met; 1.1.41. "Finance Document" means this Agreement, any Fee Letter, any Utilisation Request, any Accession Letter, any Resignation Letter, the Overdraft Facility Letter, any Accordion Increase Request, any Accordion Increase Confirmation and any other document designated as such by the Agent and the Obligors' Agent; 1.1.42. "Finance Party" means the Agent or a Lender;


 
10 <ENS>#0537844 CP2.1 Facility Agreement - Nedbank – DRDGOLD EXT3 1.1.43. "Financial Indebtedness" means any indebtedness for or in respect of: 1.1.43.1. moneys borrowed; 1.1.43.2. any amount raised by acceptance under any acceptance credit facility or dematerialised equivalent; 1.1.43.3. any amount raised pursuant to any note purchase facility or the issue of bonds, notes, debentures, loan stock or any similar instrument; 1.1.43.4. the amount of any liability in respect of any lease or hire purchase contract which would, in accordance with IFRS, be treated as a balance sheet liability (other than any liability in respect of a lease or hire purchase contract which would in accordance with IFRS in force prior to 1 January 2019, have been treated as an operating lease); 1.1.43.5. receivables sold or discounted (other than any receivables to the extent they are sold on a non-recourse basis); 1.1.43.6. any amount raised under any other transaction (including any forward sale or purchase agreement) of a type not referred to in any other clause of this definition having the commercial effect of a borrowing; 1.1.43.7. any Treasury Transaction entered into in connection with protection against or benefit from fluctuation in any rate or price (and, when calculating the value of that derivative transaction, only the marked to market value (or, if any actual amount is due as a result of the termination or close-out of that derivative transaction, that amount) shall be taken into account); 1.1.43.8. any derivative transaction entered into in connection with protection against or benefit from fluctuation in any rate or price (and, when calculating the value of any derivative transaction, only the marked to market value (or, if any actual amount is due as a result of the termination or close-out of that derivative transaction, that amount) shall be taken into account); 1.1.43.9. any amount raised by the issue of shares which are redeemable; 1.1.43.10. any counter-indemnity obligation in respect of a guarantee, indemnity, bond, standby or documentary letter of credit or any other instrument issued by a bank or financial institution; and 1.1.43.11. the amount of any liability in respect of any guarantee or indemnity for any of the items referred to in Clauses 1.1.43.1 to 1.1.43.10 above; 1.1.44. "Funding Rate" means any individual rate notified by a Lender to the Agent pursuant to Clause 10.3.1.2 of Clause 10.3 (Cost of Funds); 1.1.45. "Group" means the Borrower and each of its Subsidiaries for the time being; 1.1.46. "Group Structure Chart" means the diagram, in agreed form, reflecting the capital structure of the Group as at the Signature Date and delivered on or before the Effective Date; 1.1.47. "Guarantor" means an Original Guarantor or an Additional Guarantor, unless it has ceased to be a Guarantor in accordance with Clause 23 (Changes to the Obligors);


 
11 <ENS>#0537844 CP2.1 Facility Agreement - Nedbank – DRDGOLD EXT3 1.1.48. “Guardrisk Cell Captive A170” means Guardrisk Insurance Company Limited (registration number 1992/001639/06), a company duly registered and incorporated with limited liability in accordance with laws of South Africa; 1.1.49. "HMT" means HM Treasury of the United Kingdom; 1.1.50. "Holding Company" means, in relation to a person, any other person in respect of which it is a Subsidiary; 1.1.51. "IFRS" means international accounting standards within the meaning of the IAS Regulation 1606/2002 to the extent applicable to the relevant financial statements; 1.1.52. "Increase Confirmation" means a confirmation substantially in the form set out in Part II of Schedule 7 (Form of Increase Confirmation); 1.1.53. "Increased Commitment" has the meaning given to this term in Clause 2.2.2; 1.1.54. "Interest Period" means, in relation to a Loan, each period determined in accordance with Clause 9 (Interest Periods) and, in relation to an Unpaid Sum, each period determined in accordance with Clause 8.3 (Default interest); 1.1.55. "Interpolated Screen Rate" means, in relation to any Loan, the rate (rounded to the same number of decimal places as the Screen Rate) which results from interpolating on a linear basis between: 1.1.55.1. the Screen Rate for the longest period (for which the Screen Rate is available) which is less than the Interest Period of that Loan; and 1.1.55.2. the Screen Rate for the shortest period (for which the Screen Rate is available) which exceeds the Interest Period of that Loan, each as of the 11am (Johannesburg time) for ZAR on the Quotation Date; 1.1.56. "JIBAR" means, in relation to any Loan the applicable Screen Rate: 1.1.56.1. as of the 11am (Johannesburg time) on the Quotation Date for the offering of deposits in ZAR for a period equal in length to the Interest Period of the relevant Loan; or 1.1.56.2. as otherwise determined pursuant to Clause 10.1 (Unavailability of Screen Rate); and if, in either case, that rate is less than zero, then JIBAR shall be deemed to be zero; 1.1.57. "Johannesburg Market" means the South African interbank market; 1.1.58. "Joint Venture" means any joint venture entity, whether a company, unincorporated firm, undertaking, association, joint venture or partnership or any other entity comprising an association of two or more persons to undertake a business enterprise through a combination of assets and/or expertise; 1.1.59. "JSE Limited" means the Johannesburg Stock Exchange Limited (Registration No. 2005/022939/06) a public company with limited liability incorporated in accordance with the company laws of South Africa and a licensed financial exchange in terms of the Financial Markets Act, 2012; 1.1.60. "JSE Listings Requirements" means the listings requirements published by the JSE Limited, as amended from time to time;


 
12 <ENS>#0537844 CP2.1 Facility Agreement - Nedbank – DRDGOLD EXT3 1.1.61. "KPI" means a key performance indicator calculated in accordance with the relevant Calculation Methodology, outlined in Part II (Sustainability Calculations) of Schedule 10 (Sustainability Schedule); 1.1.62. "Lender" means: 1.1.62.1. the Original Lender; and 1.1.62.2. any other entity which has become a Party as a "Lender" in accordance with Clause 24 (Changes to the Lenders), which in each case has not ceased to be a Party as such in accordance with the terms of this Agreement; 1.1.63. "LMA" means the Loan Market Association; 1.1.64. "Loan" means a loan made or to be made under the Facility or the principal amount outstanding for the time being of that loan; 1.1.65. "Majority Lenders" means a Lender or Lenders whose Commitments aggregate more than 662/3% of the Commitments (or, if the Commitments have been reduced to zero, aggregated more than 662/3% of the Commitments immediately prior to that reduction); 1.1.66. "Margin" means, subject to adjustment in accordance with Clause 8.4 (Margin adjustment) and Clause 8.5 (Sustainability Margin Adjustment); 1.1.66.1. in relation to any Loan with an Interest Period of 1 (one) Month, 1.5779% (one point five seven seven nine percent) per annum; 1.1.66.2. in relation to any Loan with an Interest Period of 3 (three) Months, 1.58% (one point five eight percent) per annum; 1.1.67. "Material Adverse Effect" means a material adverse effect on: 1.1.67.1. the business, operations, property, condition (financial or otherwise) or prospects of the Borrower or the Group as a whole; 1.1.67.2. the ability of any Obligor to perform any of its obligations under the Finance Documents; or 1.1.67.3. the validity or enforceability of any of the Finance Documents or the rights or remedies of any Finance Party under any of the Finance Documents; 1.1.68. "Material Company" means, at any time: 1.1.68.1. the Borrower; 1.1.68.2. an Original Guarantor; or 1.1.68.3. a Material Subsidiary; 1.1.69. "Material Subsidiary" means, at any time, a Subsidiary of the Borrower which has: 1.1.69.1. earnings before interest, tax, depreciation and amortisation (calculated on the same basis as EBITDA) representing 10% of more of the EBITDA; or


 
13 <ENS>#0537844 CP2.1 Facility Agreement - Nedbank – DRDGOLD EXT3 1.1.69.2. gross tangible assets (excluding intra-group items) representing 10% (ten percent) or more of the gross tangible assets of the Group, calculated on a consolidated basis; 1.1.70. "Month" means a period starting on one day in a calendar month and ending on the numerically corresponding day in the next calendar month, except that: 1.1.70.1. (subject to Clause 1.1.70.3 below) if the numerically corresponding day is not a Business Day, that period shall end on the next Business Day in that calendar month in which that period is to end if there is one, or if there is not, on the immediately preceding Business Day; 1.1.70.2. if there is no numerically corresponding day in the calendar month in which that period is to end, that period shall end on the last Business Day in that calendar month; and 1.1.70.3. if an Interest Period begins on the last Business Day of a calendar month, that Interest Period shall end on the last Business Day in the calendar month in which that Interest Period is to end; The above rules will only apply to the last Month of any period; 1.1.71. "NYSE" means the New York Stock Exchange; 1.1.72. "Obligor" means the Borrower or a Guarantor and "Obligors" means, as the context requires, all of them; 1.1.73. "Obligors’ Agent" means the Borrower, appointed to act on behalf of each Obligor in relation to the Finance Documents pursuant to Clause 2.3 (Obligors’ Agent); 1.1.74. "OFAC" means the Department of the Treasury's Office of Foreign Assets Control of the United States of America; 1.1.75. "Original Financial Statements" means: 1.1.75.1. in relation to the Borrower, the audited consolidated financial statements of the Group for the financial year ended 2023; and 1.1.75.2. in relation to each Original Obligor other than the Borrower, its audited financial statements for its financial year ended 2023; 1.1.76. "Original Jurisdiction" means, in relation to an Obligor, the jurisdiction under whose laws that Obligor is incorporated as at the Signature Date, or, in the case of an Additional Guarantor, as at the date on which that Additional Guarantor becomes Party as a Guarantor; 1.1.77. "Original Obligor" means the Borrower or an Original Guarantor; 1.1.78. "Overdraft Facility Letter" means the letter agreement entered into on 28 June 2024, pursuant to which the Original Lender makes an unsecured overdraft facility in an aggregate principal amount of ZAR500,000,000 (five hundred million Rand) available to the Borrower; 1.1.79. "Party" means a party to this Agreement; 1.1.80. "Permitted Acquisition" means: 1.1.80.1. an acquisition by any member of the Group that is not an Obligor from another member of the Group that is not an Obligor;


 
14 <ENS>#0537844 CP2.1 Facility Agreement - Nedbank – DRDGOLD EXT3 1.1.80.2. an acquisition by any Obligor from any other Obligor; 1.1.80.3. an acquisition conducted in the ordinary course of trading by any member of the Group; 1.1.80.4. any other acquisition which is not classified as a "Category 1 Transaction" in relation to the Borrower in terms of the JSE Listings Requirements; or 1.1.80.5. any acquisition in respect of which the prior written consent of the Majority Lenders has been obtained; 1.1.81. "Permitted Disposal" means any sale, lease, licence, transfer or other disposal: 1.1.81.1. of trading stock or cash made by any member of the Group in the ordinary course of trading of the disposing party; 1.1.81.2. as a result of the enforcement of Permitted Security; 1.1.81.3. of assets in exchange for other assets comparable or superior as to type, value and quality; 1.1.81.4. of obsolete or redundant vehicles, property, plant and equipment for cash; 1.1.81.5. by any member of the Group that is not an Obligor to another member of the Group that is not an Obligor; 1.1.81.6. by any Obligor to any other Obligor; 1.1.81.7. of assets (other than shares) for cash where the higher of the market/book value and net consideration receivable (when aggregated with the higher of the market/book value and net consideration receivable for any other sale, lease, license, transfer or other disposal not allowed under the preceding clauses) does not exceed ZAR250,000,000 (two hundred and fifty million Rand) (or its equivalent) in any financial year; or 1.1.81.8. made with the prior written consent of the Majority Lenders; 1.1.82. "Permitted Financial Indebtedness" means any Financial Indebtedness: 1.1.82.1. arising under any Finance Document; 1.1.82.2. arising under a Permitted Loan, a Permitted Guarantee or a Permitted Treasury Transaction; 1.1.82.3. of any entity acquired by a member of the Group pursuant to a Permitted Acquisition after the Effective Date which is incurred under arrangements in existence at the date of acquisition, but not incurred or increased or having its maturity date extended in contemplation of, or since, that acquisition, and outstanding only for a period of 3 (three) Months following the date of acquisition; 1.1.82.4. arising under operating leases of buildings which are entered into in the ordinary course of business and are classified as Finance Leases under IFRS;


 
15 <ENS>#0537844 CP2.1 Facility Agreement - Nedbank – DRDGOLD EXT3 1.1.82.5. arising in respect of any deposits or prepayments received by a member of the Group from one of its customers in respect of services provided or to be provided or goods supplied or to be supplied by that member of the Group to that customer; 1.1.82.6. arising under Finance Leases of vehicles, plant, equipment or computers; provided that the aggregate capital value of all such items so leased under outstanding leases by members of the Group does not exceed ZAR50,000,000 (fifty million Rand) (or its equivalent in any other currencies) at any time before the Final Discharge Date; 1.1.82.7. arising under any trade credit in the ordinary course of trading activities, on the creditor’s standard or usual terms and which has a credit term of not more than 90 (ninety) days; 1.1.82.8. not permitted by the preceding paragraphs of this definition, the outstanding principal amount of which does not exceed ZAR250,000,000 (two hundred and fifty million Rand) (or its equivalent in any other currencies) in aggregate for the Group at any time; or 1.1.82.9. not permitted by the preceding paragraphs of this definition and incurred with the prior written consent of the Majority Lenders; 1.1.83. "Permitted Guarantee" means: 1.1.83.1. the endorsement of negotiable instruments in the ordinary course of trade; 1.1.83.2. any guarantee, standby letters of credit, bonds or other like instruments (or any indemnities given to an issuing bank in connection with such guarantees, standby letters of credit, bonds or other like instruments) arising under the Finance Documents; 1.1.83.3. any performance or similar bond, indemnity or counter guarantee guaranteeing performance by a member of the Group under any contract entered into in the ordinary course of trade by another member of the Group; 1.1.83.4. any indemnity or counter-indemnity given by the Borrower or any Obligor to Guardrisk Cell Captive A170, The Standard Bank of South Africa Limited or the Original Lender in respect to any guarantee that Guardrisk Cell Captive A170, The Standard Bank of South Africa Limited or the Original Lender has issued or may issue in the future in respect of actual or potential environmental claims against the Group; 1.1.83.5. any guarantee, standby letter of credit, bonds or other like instruments permitted under sub-clause 21.12.2 of Clause 21.12 (Financial Indebtedness); 1.1.83.6. any guarantee comprising a netting or set-off arrangement entered into by an Obligor with any bank or financial institution in the ordinary course of its banking arrangements for the purposes of netting debit and credit balances of other members of the Group with that bank or financial institution; or 1.1.83.7. any other guarantee not permitted by the preceding paragraphs of this definition and issued with the prior written consent of the Majority Lenders;


 
16 <ENS>#0537844 CP2.1 Facility Agreement - Nedbank – DRDGOLD EXT3 1.1.84. "Permitted Joint Venture" means any investment in any Joint Venture: 1.1.84.1. to which any member of the Group is a member as at the Signature Date; 1.1.84.2. that is incorporated or established after the Signature Date, provided that it carries on its principle business in South Africa and any Financial Indebtedness incurred, loan made or guarantee issued in relation thereto is Permitted Financial Indebtedness, a Permitted Loan or a Permitted Guarantee, as applicable; or 1.1.84.3. in respect of which the prior written consent of the Majority Lenders has been obtained; 1.1.85. "Permitted Loan" means: 1.1.85.1. any loan made by an Obligor to another Obligors; 1.1.85.2. any loan made by a member of the Group that is not an Obligor to another member of the Group that is not an Obligor; 1.1.85.3. any credit balance held in the ordinary course of a member of the Group’s banking arrangements with any bank listed under the heading "South African banks" in Schedule 9 (Permitted transferees); 1.1.85.4. any loan made that may result from the sweeping of internally generated cash, Excluded Disposal Proceeds or Excluded Insurance Proceeds to the central treasury function of the Group; 1.1.85.5. any trade credit extended by any Obligor to its customers on normal commercial terms and in the ordinary course of its trading activities and which has a credit term of not more than 90 (ninety) days; and 1.1.85.6. deposits required to be made with any municipality, utility provider or other supplier of goods or services, and made by a member of the Group in the regular and ordinary course of business; 1.1.85.7. any loan not permitted by the preceding paragraphs of this definition, the outstanding principal amount of which does not exceed ZAR250,000,000 (two hundred and fifty million Rand) (or its equivalent in any other currencies) in aggregate for Obligors at any time before the Final Discharge Date 1.1.85.8. any loans or credit not permitted by the preceding paragraphs of this definition in respect of which the prior written consent of the Majority Lenders has been obtained writing; 1.1.86. "Permitted Security" means any of the following Security or (as the case may be) Quasi-Security listed below: 1.1.86.1. any Security or Quasi-Security created pursuant to any Finance Document; 1.1.86.2. any Security created prior to the Signature Date which: 1.1.86.2.1. is disclosed in the Original Financial Statements of the Borrower delivered to the Majority Lenders prior to the Signature Date; and


 
17 <ENS>#0537844 CP2.1 Facility Agreement - Nedbank – DRDGOLD EXT3 1.1.86.2.2. in all circumstances secures only indebtedness outstanding or a facility available at the Signature Date if the principal amount or original facility thereby secured is not increased after the Signature Date; 1.1.86.3. any netting or set-off arrangement entered into by any member of the Group in the ordinary course of its banking arrangements for the purpose of netting debit and credit balances; 1.1.86.4. any lien arising by operation of law and in the ordinary course of trading and not as a result of any default or omission by any member of the Group; 1.1.86.5. any payment or close-out netting or set-off arrangement pursuant to any Treasury Transaction or foreign exchange transaction entered into by a member of the Group which constitutes Permitted Financial Indebtedness or a Permitted Treasury Transaction; 1.1.86.6. any Security or Quasi-Security arising under: 1.1.86.6.1. any lease or hire purchase contract, a liability under which would, in accordance with IFRS, be treated as a balance sheet liability other than a lease or hire purchase contract which would, in accordance with IFRS in force prior to 1 January 2019, have been treated as an operating lease; 1.1.86.6.2. any retention of title, hire purchase or conditional sale arrangement or arrangements having a similar effect in respect of goods supplied to an Obligor in the ordinary course of trading and on the supplier's standard or usual terms, and not as a result of any default or omission by that Obligor, which, in each case, qualifies as Permitted Financial Indebtedness; 1.1.86.7. any Security over goods and documents of title to goods under documentary credit transactions entered into in the ordinary course of trading; 1.1.86.8. any Security over or affecting any asset acquired by a member of the Group after the Signature Date if: 1.1.86.8.1. the Security was not created in contemplation of the acquisition of that asset by a member of the Group; 1.1.86.8.2. the principal amount secured has not been increased in contemplation of, or since the acquisition of that asset by a member of the Group; and 1.1.86.8.3. the Security is removed or discharged within 3 (three) Months of the date of acquisition of such asset;


 
18 <ENS>#0537844 CP2.1 Facility Agreement - Nedbank – DRDGOLD EXT3 1.1.86.9. any Security or Quasi-Security over or affecting any asset of any company which becomes a member of the Group after the Signature Date, where the Security or Quasi-Security is created prior to the date on which that company becomes a member of the Group, if: 1.1.86.9.1. the Security or Quasi-Security was not created in contemplation of the acquisition of that company; 1.1.86.9.2. the principal amount secured has not increased in contemplation of or since the acquisition of that company; and 1.1.86.9.3. the Security or Quasi-Security is removed or discharged within 3 (three) Months of that company becoming a member of the Group; 1.1.86.10. all amounts secured in favour of Guardrisk Cell Captive A170 from time to time for guarantees issued on behalf of any member of the Group by Guardrisk Cell Captive A170 related to environmental claims; 1.1.86.11. all amounts standing to the credit of a trust account or in respect of disputes secured in favour of Guardrisk Cell Captive A170, The Standard Bank of South Africa Limited or the Original Lender from time to time for guarantees issued by Guardrisk Cell Captive A170, The Standard Bank of South Africa Limited or the Original Lender on behalf of any member of the Group; or 1.1.86.12. any Security or Quasi-Security securing indebtedness the principal amount of which (when aggregated with the principal amount of any other indebtedness which has the benefit of Security or Quasi- Security given by any member of the Group other than any permitted under sub-clauses 1.1.86.1 to 1.1.86.10) does not exceed ZAR250,000,000 (two hundred and fifty million Rand) (or its equivalent in another currency or currencies); 1.1.87. "Permitted Transferee" means a persons identified in Schedule 9 (Permitted Transferees); 1.1.88. "Permitted Treasury Transaction" means: 1.1.88.1. any Treasury Transaction entered into for the hedging of actual or projected real exposures arising in the ordinary course of trading activities of a member of the Group and not for speculative purposes; and 1.1.88.2. any other Treasury Transaction entered into with the prior written consent of the Majority Lenders; 1.1.89. "Quasi-Security" means any arrangement or transaction described in Clause 21.3.2; 1.1.90. "Quotation Day" means, in relation to any period for which an interest rate is to be determined, the first day of that period unless market practice differs in the Johannesburg Market, in which case the Quotation Day will be determined by the Agent in accordance with market practice in the Johannesburg Market (and if quotations would normally be given on more than one day, the Quotation Day will be the last of those days);


 
19 <ENS>#0537844 CP2.1 Facility Agreement - Nedbank – DRDGOLD EXT3 1.1.91. "Related Fund" in relation to a fund (the "first fund"), means a fund which is managed or advised by the same investment manager or investment adviser as the first fund or, if it is managed by a different investment manager or investment adviser, a fund whose investment manager or investment adviser is an Affiliate of the investment manager or investment adviser of the first fund; 1.1.92. "Relevant Jurisdiction" means, in relation to an Obligor: 1.1.92.1. its Original Jurisdiction; and 1.1.92.2. any jurisdiction where it conducts its business; 1.1.93. "Repeating Representations" means each of the representations set out in Clause 18.1 (Status) to Clause 18.6 (Governing law and enforcement), Clause 18.9 (No default), Clause 18.10.3 of Clause 18.10 (No misleading information), Clause 18.11 (Financial Statements), Clause 18.12 (Pari passu ranking); 1.1.94. "Representative" means any delegate, agent, manager, administrator, nominee, attorney, trustee or custodian appointed by the Agent; 1.1.95. "Resignation Letter" means a letter substantially in the form set out in Schedule 5 (Form of Resignation Letter); 1.1.96. "Rollover Loan" means one or more Loans: 1.1.96.1. made or to be made on the same day that a maturing Loan is due to be repaid; 1.1.96.2. the aggregate amount of which is equal to or less than the amount of the maturing Loan; and 1.1.96.3. for the purpose of refinancing a maturing Loan; 1.1.97. "Sanctionable Activity" means any activity that, if engaged in by a person, could result in that person breaching, or a designation of that person under, any Sanctions; 1.1.98. "Sanctioned Territory" means a country, region or territory that is the subject of country-wide, region-wide or territory-wide Sanctions; 1.1.99. "Sanctions" means the economic or financial sanctions laws, regulations, trade embargoes or other restrictive measures enacted, administered, implemented and/or enforced from time to time by any of the following (and including through any relevant Sanctions Authority): 1.1.99.1. the United Nations; 1.1.99.2. the European Union; 1.1.99.3. the government of the United States of America; 1.1.99.4. the government of the United Kingdom; 1.1.99.5. the government of South Africa; and 1.1.99.6. any country in which any member of the Group is incorporated or in, from or to which it conducts its business;


 
20 <ENS>#0537844 CP2.1 Facility Agreement - Nedbank – DRDGOLD EXT3 1.1.100. "Sanctions Authority" means any agency or person which is duly appointed, empowered or authorised to enact, administer, implement and/or enforce Sanctions, including (without limitation): 1.1.100.1. OFAC; 1.1.100.2. the United States Department of State or the United States Department of Commerce; and 1.1.100.3. HMT; 1.1.101. "Sanctions List" means any of the lists of designated sanctions targets maintained by a Sanctions Authority from time to time, including (without limitation) as at the date of this Agreement: 1.1.101.1. in the case of OFAC: 1.1.101.1.1. the Specially Designated Nationals and Blocked Persons List; and 1.1.101.1.2. the Consolidated Sanctions List; and 1.1.101.2. in the case of the United States Department of State or the United States Department of Commerce: 1.1.101.2.1. the Denied Persons List; 1.1.101.2.2. the List of Statutorily Debarred Parties; 1.1.101.2.3. the Entity List; and 1.1.101.2.4. the Terrorist Exclusion List; 1.1.101.3. in the case of HMT: 1.1.101.3.1. the Consolidated List of Financial Sanctions Targets; and 1.1.101.3.2. the List of Persons Subject to Restrictive Measures in View of Russia's Actions Destabilising the Situation in Ukraine; and 1.1.101.4. in the case of the European Union, the Consolidated List of Persons, Groups and Entities Subject to EU Financial Sanctions; 1.1.102. "Sanctions Restricted Person" means a person that is: 1.1.102.1. listed on a Sanctions List, or directly or indirectly owned, or otherwise controlled by any one or more persons listed on a Sanctions List; 1.1.102.2. located or resident in, or incorporated or organised under the laws of, a Sanctioned Territory; or 1.1.102.3. otherwise a subject of Sanctions (where "subject to Sanctions" includes any person with whom a US national or other person who is subject to the authority of a Sanctions Authority would be prohibited or restricted by law from engaging in trade, business or other activities);


 
21 <ENS>#0537844 CP2.1 Facility Agreement - Nedbank – DRDGOLD EXT3 1.1.103. "Screen Rate" means the mid market rate for deposits in ZAR for the relevant period before any correction, recalculation or republication by the administrator which appears on the Reuters Screen SAFEY Page alongside the caption “YIELD” at the applicable time (or any replacement Reuters page which displays that rate, or on the appropriate page of such other information service which publishes that rate from time to time in place of Reuters). If such page or service ceases to be available, the Agent may specify another page or service displaying the appropriate rate after consultation with the Borrower; 1.1.104. "Security" means a mortgage bond, notarial bond, cession in security, charge, pledge, hypothec, lien or other security interest securing any obligation of any person or any other agreement or arrangement having a similar effect; 1.1.105. "Signature Date" means the date of the signature of the Party last signing this Agreement in time; 1.1.106. "SLL Classification Date" has the meaning given to this term in Clause 2.3.2; 1.1.107. "SLL Reference Period" means each financial year of the Borrower, being each period of 12 (twelve) calendar months ending on 30 June in any year that ends after the SLL Classification Date; 1.1.108. "SLLP" means the Sustainability-Linked Loan Principles published by the LMA from time to time; 1.1.109. "South Africa" means the Republic of South Africa; 1.1.110. "SPT" means, in relation to each KPI and each SLL Reference Period, the sustainability performance target set out under the heading SPTs in Part III (Sustainability Calculations) of Schedule 10 (Sustainability Schedule); 1.1.111. "Subsidiary" means a “subsidiary” as defined in the Companies Act 2008 and shall include any person who would, but for not being a “company” under the Companies Act 2008, qualify as a “subsidiary” as defined in the Companies Act 2008; 1.1.112. "Sustainability Amendment Event" means any of the following: 1.1.112.1. the: 1.1.112.1.1. sale, lease, transfer or other disposal of an asset; 1.1.112.1.2. acquisition of a company or any shares or securities or a business or undertaking (or, in each case, any interest in any of them); or 1.1.112.1.3. entry into of any amalgamation, demerger, merger, consolidation or corporate restructuring, by a member of the Group which, in each case, could reasonably be expected to materially affect any KPI and/or any SPT; 1.1.112.2. the delivery of a Verification Report for any SLL Reference Period that includes details of any information and/or changes referred to in sub-clause 19.10.3.2 of Clause 19.10 (Sustainability Compliance Certificate, Sustainability Report and Verification Report) as a result of which a KPI or SPT can no longer be calculated;


 
22 <ENS>#0537844 CP2.1 Facility Agreement - Nedbank – DRDGOLD EXT3 1.1.112.3. the Agent (acting on the instructions of the Majority Lenders) or the Borrower, in each case, acting reasonably and having regard to the Group’s business lines and the then current market standards and best industry practice, determines that any KPI is no longer or will in future no longer be appropriate for the purpose of defining and steering the sustainability strategy of the Group; 1.1.112.4. the Borrower notifies the Agent that one or more of the SPTs can, at the time of the determination or will in future, no longer be measured or reported and provides supporting evidence to the Agent to demonstrate such determination; 1.1.112.5. the Borrower notifies the Agent of the introduction of or any change in (or in the interpretation, administration or application of) any law or regulation made after the Signature Date, compliance with which will materially impact the ability of the Borrower to measure, report on or comply with any KPI ro SPT; 1.1.112.6. the Borrower, acting reasonably and having regard to the Group’s business lines and the then current market standards and best industry practice, determines that the methodology for calculating, assuring or reporting of the performance of any SPT has materially changed or will materially change, or the ability to report on the SPT is impaired or will be impaired and provides supporting evidence to the Agent to demonstrate such determination; and/or 1.1.112.7. the occurrence of any other external event which, in the view of the Agent (acting on the instructions of the Lenders) or the Borrower, in each case, acting reasonably, could lead to a result that materially differs from the performance of any SPTs at the end of the most recent SLL Reference Period, when applying the same methodology for calculating the performance of that SPT; 1.1.113. "Sustainability Breach" means: 1.1.113.1. an Obligor does not comply with any Sustainability Provision, provided that no Sustainability Breach will occur under this sub- clause 1.1.113.1 if the failure to comply is capable of remedy and is remedied within 20 (twenty) Business Days of the earlier of: (i) the Agent giving notice to the Borrower or relevant Obligor and (ii) the Borrower or an Obligor becoming aware of the failure to comply; or 1.1.113.2. the representation made by an Obligor in relation to Sustainability Information pursuant to subclause 18.10.4 of Clause 18.10 (No misleading information) is or proves to have been incorrect or misleading when made or deemed to be made and, if the non- compliance or circumstances giving rise to the misrepresentation are capable of remedy, it is not remedied within 20 (twenty) Business Days of the earlier of: (i) the Agent giving notice to the Borrower or relevant Obligor and (ii) the Borrower or an Obligor becoming aware of the misrepresentation; 1.1.114. "Sustainability Compliance Certificate" means a certificate substantially in the form set out in Part III (Form of Sustainability Compliance Certificate) of Schedule 10 (Sustainability Schedule); 1.1.115. "Sustainability Compliance Certificate Inaccuracy" has the meaning given to that term in 19.11 (Sustainability Compliance Certificate Inaccuracy);


 
23 <ENS>#0537844 CP2.1 Facility Agreement - Nedbank – DRDGOLD EXT3 1.1.116. "Sustainability Framework" means a framework document that sets out specified key performance indicators with respect to certain environmental, social and governance goals and objectives of the Group and which includes the specific KPIs and SPTs and which framework has been adopted by the board of directors of the Borrower; 1.1.117. "Sustainability Information" means all information (including sustainability performance projections and forecasts) which has been: 1.1.117.1. provided by or on behalf of a member of the Group to a Finance Party; or 1.1.117.2. approved by any member of the Group, solely in connection with, and to the extent it relates to, any Sustainability Compliance Certificate, any Sustainability Report, any Verification Report, a KPI, a SPT, a Calculation Methodology, a Baseline, the development of the Sustainability Framework; 1.1.118. "Sustainability Margin Adjustment" has the meaning given to that term in Clause 8.5 (Sustainability Margin Adjustment); 1.1.119. "Sustainability Margin Adjustment Date" has the meaning given to that term in Clause 8.5 (Sustainability Margin Adjustment); 1.1.120. "Sustainability Provisions" means each of subclause 18.10.4 of Clause 18.10 (No misleading information), Clause 19.10 (Sustainability Compliance Certificate, Sustainability Report and Verification Report) to Clause 19.12 (Sustainability Information) (inclusive) and Clause 34.4 (Sustainability amendments). 1.1.121. "Sustainability Report" has the meaning given to that term in Clause 19.10 (Sustainability Compliance Certificate, Sustainability Report and Verification Report); 1.1.122. "Verification Report" has the meaning given to that term in Clause 19.10 (Sustainability Compliance Certificate, Sustainability Report and Verification Report); 1.1.123. "Tax" means any tax, levy, impost, duty or other charge or withholding of a similar nature (including any penalty or interest payable in connection with any failure to pay or any delay in paying any of the same); 1.1.124. "Treasury Transaction" means any derivative transaction entered into by any member of the Group in connection with protection against or benefit from fluctuations in any rate, price, index or credit rating (including, without limitation, in relation to commodities and currency); 1.1.125. "Termination Date" means the date falling 60 (sixty) Months after the Effective Date (or such later date as the Agent and the Borrower may agree in writing); 1.1.126. "Transfer" has the meaning given to this term in Clause 24.1.1; 1.1.127. "Unpaid Sum" means any sum due and payable but unpaid by an Obligor under the Finance Documents; 1.1.128. "Utilisation" means a utilisation of the Facility; 1.1.129. "Utilisation Date" means the date of a Utilisation, being the date on which the relevant Loan is to be made;


 
24 <ENS>#0537844 CP2.1 Facility Agreement - Nedbank – DRDGOLD EXT3 1.1.130. "Utilisation Request" means a notice substantially in the form set out in Schedule 3 (Requests); 1.1.131. "VAT" means (i) any value added tax as provided for in the Value Added Tax Act, 1991, (ii) any general service tax and (iii) any other tax of a similar nature; and 1.1.132. "ZAR" or "Rand" means South African Rand, the lawful currency of South Africa. 1.2. Construction 1.2.1. Unless a contrary indication appears, any reference in this Agreement to: 1.2.1.1. the "Agent", any "Finance Party", any "Lender", any "Obligor" or any "Party", or any other person shall be construed so as to include its successors in title, permitted cessionaries and permitted transferees to, or of, its rights and/or obligations under the Finance Documents; 1.2.1.2. a document in "agreed form" is a document which is previously agreed in writing by or on behalf of the Obligors' Agent and the Agent or, if not so agreed, is in the form specified by the Agent; 1.2.1.3. "assets" includes present and future properties, revenues and rights of every description; 1.2.1.4. "authority" includes any court or any governmental, intergovernmental or supranational body, agency, department or any regulatory, self-regulatory or other authority; 1.2.1.5. a "Finance Document" or any other agreement or instrument is a reference to that Finance Document or other agreement or instrument as amended, novated, supplemented, extended or restated; 1.2.1.6. a "group of Lenders" includes all the Lenders; 1.2.1.7. "guarantee" means (other than in Clause 17 (Guarantee and indemnity)) any guarantee, letter of credit, bond, indemnity or similar assurance against loss, or any obligation, direct or indirect, actual or contingent, to purchase or assume any indebtedness of any person or to make an investment or loan to any person or to purchase assets of any person where, in each case, such obligation is assumed in order to maintain or assist the ability of such person to meet its indebtedness; 1.2.1.8. the use of the word "including" followed by specific examples will not be construed as limiting the meaning of the general wording preceding it, and the eiusdem generis rule must not be applied in the interpretation of such general wording or such specific examples; 1.2.1.9. "indebtedness" includes any obligation (whether incurred as principal or as surety) for the payment or repayment of money, whether present or future, actual or contingent; 1.2.1.10. a "person" includes any individual, firm, company, corporation, government, state or agency of a state or any association, trust, joint venture, consortium, partnership or other entity (whether or not having separate legal personality);


 
25 <ENS>#0537844 CP2.1 Facility Agreement - Nedbank – DRDGOLD EXT3 1.2.1.11. a "regulation" includes any regulation, rule, official directive, request or guideline (whether or not having the force of law) of any governmental, intergovernmental or supranational body, agency, department or of any regulatory, self-regulatory or other authority or organisation; 1.2.1.12. a provision of law is a reference to that provision as amended or re- enacted; and 1.2.1.13. a time of day is a reference to Johannesburg time. 1.2.2. The determination of the extent to which a rate is "for a period equal in length" to an Interest Period shall disregard any inconsistency arising from the last day of that Interest Period being determined pursuant to the terms of this Agreement. 1.2.3. Section, Clause and Schedule headings are for ease of reference only. 1.2.4. Unless a contrary indication appears, a term used in any other Finance Document or in any notice given under or in connection with any Finance Document has the same meaning in that Finance Document or notice as in this Agreement. 1.2.5. A Default (other than an Event of Default) is "continuing" if it has not been remedied or waived and an Event of Default is "continuing" if it has not been waived. 1.2.6. A Sustainability Breach is "continuing" if it has not been remedied or waived. 1.2.7. If any provision in a definition is a substantive provision conferring rights or imposing obligations on any Party, notwithstanding that it appears only in an interpretation clause, effect shall be given to it as if it were a substantive provision of the relevant Finance Document. 1.2.8. Unless inconsistent with the context, an expression in any Finance Document which denotes the singular includes the plural and vice versa. 1.2.9. The Schedules to any Finance Document form an integral part thereof and a reference to a "Clause" or a "Schedule" is a reference to a clause of, or a schedule to, this Agreement. 1.2.10. The rule of construction that, in the event of ambiguity, a contract shall be interpreted against the party responsible for the drafting thereof, shall not apply in the interpretation of the Finance Documents. 1.2.11. The expiry or termination of any Finance Documents shall not affect those provisions of the Finance Documents that expressly provide that they will operate after any such expiry or termination or which of necessity must continue to have effect after such expiry or termination, notwithstanding that the clauses themselves do not expressly provide for this. 1.2.12. The Finance Documents shall to the extent permitted by applicable law be binding on and enforceable by the administrators, trustees, permitted cessionaries, business rescue practitioners or liquidators of the Parties as fully and effectually as if they had signed the Finance Documents in the first instance and reference to any Party shall be deemed to include such Party’s administrators, trustees, permitted cessionaries, business rescue practitioners or liquidators, as the case may be. 1.2.13. Where figures are referred to in numerals and in words in any Finance Document, if there is any conflict between the two, the words shall prevail.


 
26 <ENS>#0537844 CP2.1 Facility Agreement - Nedbank – DRDGOLD EXT3 1.2.14. Notwithstanding anything to the contrary contained in this Agreement or any other Finance Document, until the date of the first Transfer (if applicable): 1.2.14.1. all references to the Agent shall be read and construed as references to the Original Lender; and 1.2.14.2. all duties, obligations and responsibilities of the Agent in terms of the Finance Documents shall be performed by the Original Lender and all rights, powers, authorities and discretions of the Agent shall be exercised by the Original Lender. 1.2.15. Unless a contrary indication appears, where any number of days is to be calculated from a particular day, such number shall be calculated as including that particular day and excluding the last day of such period. 1.3. Third party rights 1.3.1. Except as expressly provided for in this Agreement or in any other Finance Document, no provision of any Finance Document constitutes a stipulation for the benefit of any person who is not a party to that Finance Document. 1.3.2. Notwithstanding any term of any Finance Document, the consent of any person who is not a party to that Finance Document is not required to rescind or vary that Finance Document at any time except to the extent that the relevant variation or rescission (as the case may be) relates directly to the right conferred upon any applicable third party under a stipulation for the benefit of that party that has been accepted by that third party. 1.4. Conflicts between Finance Documents The terms of the Finance Documents are subject to the terms of this Agreement and, in the event of any conflict between any provision of this Agreement and any provision of any other Finance Document, the provisions of this Agreement shall prevail. 2. THE FACILITY 2.1. The Facility Subject to the terms of this Agreement, the Lenders make available to the Borrower a ZAR revolving credit facility in an aggregate amount equal to the Commitment. 2.2. Accordion increase option 2.2.1. The Borrower may by giving prior notice to the Agent at any time during the Availability Period, request that the Commitments be increased by an aggregate amount of up to ZAR500,000,000 (five hundred million Rand) (the "Aggregate Accordion Increase Amount") by delivering an Accordion Increase Request to the Agent (which Accordion Increase Request shall be notified to the Lenders) and each Lender shall: 2.2.1.1. be entitled, but not obliged, to make the increased Commitment requested available; and 2.2.1.2. be obliged to facilitate an accession by an Eligible Institution solicited by the Borrower, to the extent it does not wish to make the Increased Commitment available, in each case, on the terms set out in this Clause 2.2.


 
27 <ENS>#0537844 CP2.1 Facility Agreement - Nedbank – DRDGOLD EXT3 2.2.2. Any increase in the Commitments made available by one or more Eligible Institutions (each, an "Increased Commitment") is subject to the following conditions being met: 2.2.2.1. the increased Commitments will be assumed by one or more Eligible Institutions (each an "Increase Lender") each of which confirms, in writing, (whether in the relevant Increase Confirmation or otherwise) the extent of its willingness to assume the obligations of a Lender corresponding to the Increased Commitment which it is to assume, as if it had been an Original Lender in respect of the Increased Commitment; 2.2.2.2. each of the Obligors and any Increase Lender shall assume such obligations towards one another and/or acquire such rights against one another as they would have assumed and/or acquired had the Increase Lender been an Original Lender in respect of that part of the Increased Commitments which it is to assume; 2.2.2.3. each Increase Lender shall become a Party as a "Lender" and any Increase Lender and each of the other Finance Parties shall assume obligations towards one another and acquire rights against one another as they would have assumed and/or acquired had the Increase Lender been an Original Lender in respect of that part of the increased Commitments which it is to assume; 2.2.2.4. the existing Commitment of the other Lenders (or in the case of the Original Lender, its existing Commitment) shall continue in full force and effect; 2.2.2.5. the Agent receives the Accordion Increase Request no less than 20 (twenty) Business Days before the proposed Accordion Increase Effective Date; 2.2.2.6. no Default or Event of Default has occurred and is continuing or would result from the proposed increase in the Facility; and 2.2.2.7. any Increased Commitment relating to the Facility shall, subject to payment of (or an undertaking by the Borrower to pay) the costs, expenses and fees applicable to the Increased Commitment, take effect on the date specified by the Borrower in the notice referred to above or any later date on which the Agent and the Borrower executes an otherwise duly completed Increase Confirmation delivered to it by the relevant Increase Lender (each, an "Accordion Increase Effective Date"). 2.2.3. The Agent shall, subject to Clause 2.2.4 below, as soon as reasonably practicable after receipt by it of a duly completed Increase Confirmation appearing on its face to comply with the terms of this Agreement and delivered in accordance with the terms of this Agreement, execute that Increase Confirmation. 2.2.4. The Agent shall only be obliged to execute an Increase Confirmation delivered to it by an Increase Lender once it is satisfied it has complied with all necessary "know your customer" or other similar checks under all applicable laws and regulations in relation to the assumption of the increased Commitments by that Increase Lender.


 
28 <ENS>#0537844 CP2.1 Facility Agreement - Nedbank – DRDGOLD EXT3 2.2.5. Each Increase Lender, by executing the Increase Confirmation, confirms (for the avoidance of doubt) that the Agent has authority to execute on its behalf any amendment or waiver that has been approved by or on behalf of the requisite Lender or Lenders in accordance with this Agreement on or prior to the Accordion Increase Effective Date and that it is bound by that decision to the same extent as it would have been had it been an Original Lender. 2.2.6. No Lender shall have any obligation to make any Increased Commitment available. 2.2.7. The Borrower shall pay (i) promptly on demand, the Agent the amount of all costs and expenses (including legal fees) reasonably incurred in relation to the Increased Commitment; and (ii) the fee payable in accordance with Clause 11.4 at the time and in the manner provided in that clause. 2.2.8. Neither the Agent nor any Lender shall have any obligation to find an Increase Lender and in no event shall any Lender whose Commitment is replaced by an Increase Lender be required to pay or surrender any of the fees received by such Lender pursuant to the Finance Documents. 2.2.9. Provided the Increased Commitment requested does not, in aggregate exceed the Aggregate Accordion Increase Amount, the Borrower may exercise the option in this Clause 2.2 twice, provided that the it shall not be entitled to exercise the option in this Clause 2.2 at any time after the date that is 6 (six) Months before the Termination Date or more than once in any period of 6 (six) Months. 2.2.10. Clause 24.3 (Limitation of responsibility of Existing Lenders) shall apply mutatis mutandis in this Clause 2.2 in relation to an Increase Lender as if references in that Clause to: 2.2.10.1. an "Existing Lender" were references to all the Lenders immediately prior to the relevant increase; 2.2.10.2. the "New Lender" were references to that "Increase Lender"; and 2.2.10.3. a "re-Transfer" is a reference to a "transfer". 2.3. Option for future implementation of "sustainability-linked" provisions 2.3.1. At any time prior to the date that falls 18 (eighteen) Months after the Effective Date, the Borrower (having consulted with the Agent) may propose an amendment to this Agreement (such amendment, the "ESG Amendment") solely for the purpose of incorporating specific KPIs, SPTs, Sustainability Margin Adjustments and other related provisions aimed at incentivising the Group (and/or penalising failure by the Group) to measure and comply with Applicable ESG Standards into this Agreement). 2.3.2. As soon as possible after the date on which the Agent (acting on the instruction of all the Lenders) and the Borrower have agreed the ESG Amendment and recorded the ESG Amendment in an updated form of Schedule 10 (Sustainability Schedule), the Agent shall (i) issue the updated and agreed form of Schedule 10 (Sustainability Schedule) to all the Parties; and (ii) confirm in writing that the Facility is classified as "sustainability-linked" (the date of such confirmation, the "SLL Classification Date"). 2.3.3. With effect from the SLL Classification Date the ESG Amendment shall be incorporated in and form part of this Agreement.


 
29 <ENS>#0537844 CP2.1 Facility Agreement - Nedbank – DRDGOLD EXT3 2.3.4. Each party to this Agreement agrees and confirms that the Facility is not and shall not be a "sustainability-linked" credit instrument, unless and until the SLL Classification Date. 2.4. Obligors’ Agent 2.4.1. Each Obligor (other than the Borrower) by its execution of this Agreement or an Accession Letter irrevocably appoints the Borrower (acting through one or more authorised signatories) to act on its behalf as its agent in relation to the Finance Documents and irrevocably authorises: 2.4.1.1. the Borrower on its behalf to supply all information concerning itself contemplated by this Agreement to the Agent and to give all notices and instructions (including, in the case of the Borrower, the Utilisation Requests), to execute on its behalf any Accession Letter, to make such agreements and to effect the relevant amendments, supplements and variations capable of being given, made or effected by any Obligor notwithstanding that they may affect the Obligor, without further reference to or the consent of that Obligor; and 2.4.1.2. the Agent to give any notice, demand or other communication to that Obligor pursuant to the Finance Documents to the Borrower, and in each case the Obligor shall be bound as though the Obligor itself had given the notices and instructions (including, without limitation, the Utilisation Requests) or executed or made the agreements or effected the amendments, supplements or variations, or received the relevant notice, demand or other communication. 2.4.2. Every act, omission, agreement, undertaking, settlement, waiver, amendment, supplement, variation, notice or other communication given or made by the Obligors’ Agent or given to the Obligors’ Agent under any Finance Document on behalf of another Obligor or in connection with any Finance Document (whether or not known to any other Obligor and whether occurring before or after such other Obligor became an Obligor under any Finance Document) shall be binding for all purposes on that Obligor as if that Obligor had expressly made, given or concurred with it. In the event of any conflict between any notices or other communications of the Obligors’ Agent and any other Obligor, those of the Obligors’ Agent shall prevail. 2.4.3. The respective liabilities of each of Obligor under the Finance Documents shall not be in any way affected by: 2.4.3.1. any actual or purported irregularity in any act done, or failure to act, by the Obligors’ Agent; 2.4.3.2. the Obligors’ Agent acting (or purporting to act) in any respect outside any authority conferred upon it by any Obligor; or 2.4.3.3. any actual or purported failure by, or inability of, the Obligors’ Agent to inform any Obligor of receipt by it of any notification under the Finance Documents. 2.5. Finance Parties' rights and obligations 2.5.1. The obligations of each Finance Party under the Finance Documents are separate and independent. Failure by a Finance Party to perform its obligations under the Finance Documents does not affect the obligations of any other Party under the Finance Documents. No Finance Party is responsible for the obligations of any other Finance Party under the Finance Documents.


 
30 <ENS>#0537844 CP2.1 Facility Agreement - Nedbank – DRDGOLD EXT3 2.5.2. The rights of each Finance Party under or in connection with the Finance Documents are separate and independent rights and any debt arising under the Finance Documents to a Finance Party from an Obligor is a separate and independent debt in respect of which a Finance Party shall be entitled to enforce its rights in accordance with Clause 2.5.3 below. The rights of each Finance Party include any debt owing to that Finance Party under the Finance Documents and, for the avoidance of doubt, any part of a Loan or any other amount owed by an Obligor which relates to a Finance Party’s participation in the Facility or its role under a Finance Document (including any such amount payable to the Agent on its behalf) is a debt owing to that Finance Party by that Obligor. 2.5.3. A Finance Party may, except as specifically provided in the Finance Documents, separately enforce its rights under or in connection with the Finance Documents. 3. PURPOSE 3.1. Purpose The Borrower shall apply all amounts borrowed by it under the Facility towards: 3.1.1. funding the general corporate and working capital requirements of the Group; 3.1.2. funding the capital expenditure of the Group; and 3.1.3. payment of any fees, costs and expenses (including legal fees) then due and payable by the Borrower under this Agreement. 3.2. Monitoring No Finance Party shall be bound to monitor or verify the application of any amount borrowed pursuant to this Agreement. 4. CONDITIONS OF UTILISATION 4.1. Initial conditions precedent The Borrower may not deliver a Utilisation Request unless the Agent has received all of the documents and other evidence listed in Part I of Schedule 2 (Conditions precedent) in form and substance satisfactory to the Agent. The Agent shall notify the Borrower and the Lenders promptly upon being so satisfied. 4.2. Further conditions precedent The Lenders will only be obliged to comply with Clause 5.4 (Lenders' participation) if on the date of the Utilisation Request and on the proposed Utilisation Date: 4.2.1. in the case of a Rollover Loan, no Event of Default has occurred and is continuing or would result from the proposed Loan and, in the case of any other Loan, no Default has occurred and is continuing or would result from the proposed Loan; and 4.2.2. the Repeating Representations to be made by each Obligor are true in all material respects.


 
31 <ENS>#0537844 CP2.1 Facility Agreement - Nedbank – DRDGOLD EXT3 5. UTILISATION 5.1. Delivery of a Utilisation Request The Borrower may utilise the Facility by delivery to the Agent of a duly completed Utilisation Request not later than noon (Johannesburg time) on the date that is 3 (three) Business Days before the proposed Utilisation Date. 5.2. Completion of a Utilisation Request 5.2.1. Subject to Clause 10.5 (Utilisation Requests), each Utilisation Request is irrevocable and will not be regarded as having been duly completed unless: 5.2.1.1. the proposed Utilisation Date is a Business Day within the Availability Period; 5.2.1.2. the currency and amount of the Utilisation comply with Clause 5.3 (Currency and amount); and 5.2.1.3. it identifies the proposed first Interest Period and that Interest Period complies with Clause 9 (Interest Periods). 5.2.2. Only one Loan may be requested in each Utilisation Request. 5.3. Currency and amount 5.3.1. The currency specified in a Utilisation Request must be ZAR. 5.3.2. The amount of the proposed Loan must be an amount which is not more than the Available Facility and which is a minimum of ZAR50,000,000 (fifty million Rand) or, if less, the Available Facility. 5.4. Lenders' participation 5.4.1. If the conditions set out in this Agreement have been met, and subject to Clause 6.1 (Repayment of Loans) each Lender shall make its participation in each Loan available by the Utilisation Date. 5.4.2. The amount of each Lender's participation in each Loan will be equal to the proportion borne by its Available Commitment to the Available Facility immediately prior to making the Loan. 5.4.3. The Agent shall notify each Lender of the amount of each Loan and the amount of its participation in that Loan by not later than noon (Johannesburg time) on the date that is 3 (three) Business Days before the proposed Utilisation Date. 5.5. Maximum number of Loans The Borrower may not deliver a Utilisation Request if as a result of the proposed Utilisation 10 (ten) or more Loans would be outstanding. 5.6. Cancellation of Commitment The Commitments which, at that time, are unutilised shall be immediately cancelled at the end of the Availability Period.


 
32 <ENS>#0537844 CP2.1 Facility Agreement - Nedbank – DRDGOLD EXT3 6. REPAYMENT 6.1. Repayment of Loans 6.1.1. The Borrower shall repay each Loan on the last day of its Interest Period or, if earlier, the Termination Date. 6.1.2. Without prejudice to the Borrower's obligation under Clause 6.1.1 above, if: 6.1.2.1. one or more Loans are to be made available to the Borrower: 6.1.2.1.1. on the same day that a maturing Loan is due to be repaid by the Borrower; and 6.1.2.1.2. in whole or in part for the purpose of refinancing the maturing Loan; and 6.1.2.2. the proportion borne by each Lender’s participation in the maturing Loan to the amount of that maturing Loan is the same as the proportion borne by that Lender’s participation in the new Loans to the aggregate amount of those new Loans, the aggregate amount of the new Loans shall, unless the Borrower notifies the Agent to the contrary in the relevant Utilisation Request, be treated as if applied in or towards repayment of the maturing Loan so that: 6.1.2.2.1. if the amount of the maturing Loan exceeds the aggregate amount of the new Loans: 6.1.2.2.1.1. the Borrower will only be required to make a payment under Clause 28.1 (Payments to the Agent) in an amount in the relevant currency equal to that excess; and 6.1.2.2.1.2. each Lender's participation (if any) in the new Loans shall be treated as having been made available and applied by the Borrower in or towards repayment of that Lender's participation (if any) in the maturing Loan and that Lender will not be required to make a payment under Clause 28.1 (Payments to the Agent) in respect of its participation in the new Loans; and 6.1.2.2.1.3. if the amount of the maturing Loan is equal to or less than the aggregate amount of the new Loans: 6.1.2.2.1.3.1. the Borrower will not be required to make a payment under Clause 28.1 (Payments to the Agent); and


 
33 <ENS>#0537844 CP2.1 Facility Agreement - Nedbank – DRDGOLD EXT3 6.1.2.2.1.3.2. each Lender will be required to make a payment under Clause 28.1 (Payments to the Agent) in respect of its participation (if any) in the new Loans only to the extent that its participation in the new Loans exceeds its participation (if any) in the maturing Loan and the remainder of that Lender's participation in the new Loans shall be treated as having been made available and applied by the Borrower in or towards repayment of that Lender's participation in the maturing Loan. 7. PREPAYMENT AND CANCELLATION 7.1. Mandatory prepayment - Illegality If it becomes unlawful in any applicable jurisdiction for a Lender to perform any of its obligations as contemplated by this Agreement or to fund or maintain any Loan or it becomes unlawful for any Affiliate of a Lender for that Lender to do so: 7.1.1. that Lender shall promptly notify the Agent upon becoming aware of that event; 7.1.2. upon the Agent notifying the Borrower, the Available Commitment of that Lender will be immediately cancelled; and 7.1.3. the Borrower shall repay that Lender's participation in the Loans on the last day of the Interest Period for each Loan occurring after the Agent has notified the Borrower or, if earlier, the date specified by the Lender in the notice delivered to the Agent (being no earlier than the last day of any applicable grace period permitted by law) and that Lender's corresponding Commitment shall be cancelled in the amount of the participations repaid. 7.2. Mandatory Prepayment - Change of Control 7.2.1. If a Change of Control occurs: 7.2.1.1. the Borrower shall promptly notify the Agent upon becoming aware of that event; 7.2.1.2. a Lender shall not be obliged to fund a Utilisation (except for a Rollover Loan); and 7.2.1.3. if the Majority Lenders so require, the Agent shall, by not less than 10 (ten) Business Days notice to the Borrower, cancel the Commitment and declare all outstanding Loans, together with accrued interest, and all other amounts accrued under the Finance Documents immediately due and payable, whereupon the Commitment will be cancelled and all such outstanding Loans and amounts will become immediately due and payable.


 
34 <ENS>#0537844 CP2.1 Facility Agreement - Nedbank – DRDGOLD EXT3 7.2.2. For the purpose of Clause 7.2 "Change of Control" means: 7.2.2.1. in respect of the Borrower, Sibanye Stillwater Limited ceases directly or indirectly to: 7.2.2.1.1. have the power (whether by way of ownership of shares, proxy, contract, agency or otherwise) to appoint or remove all, or the majority, of the directors or other equivalent officers of the Borrower; and/or 7.2.2.1.2. hold beneficially and legally more than 50% (fifty percent) of the issued ordinary share capital of the Borrower (excluding any part of that issued share capital that carries no right to participate beyond a specified amount in a distribution of either profits or capital); or 7.2.2.1.3. for so long as the Borrower's shares are listed, unless another person or group of persons acting in concert has the power to cast or control the power of casting a higher percentage of such votes, exercise more than 35% (thirty-five percent) of the maximum number of votes that might be cast at a general meeting of the Borrower 7.2.2.2. in respect of any Guarantor, the Borrower ceases directly or indirectly to: 7.2.2.2.1. have the power (whether by way of ownership of shares, proxy, contract, agency or otherwise) to appoint or remove all, or the majority, of the directors or other equivalent officers of the Borrower; or 7.2.2.2.2. hold beneficially and legally more than 50% (fifty percent) of the issued ordinary share capital of a Guarantor (excluding any part of that issued share capital that carries no right to participate beyond a specified amount in a distribution of either profits or capital); or 7.2.2.3. any person or group of persons acting in concert gains direct or indirect control of the Borrower or any Guarantor. 7.2.3. For the purpose of Clause 7.2 above "acting in concert" means, a group of persons who, pursuant to an agreement or understanding (whether formal or informal), actively co-operate, through the acquisition directly or indirectly of shares in the Borrower by any of them, either directly or indirectly, to obtain or consolidate control of the Borrower. 7.3. Mandatory Prepayment - Breach of Sanctions and Anti-Corruption Laws 7.3.1. Upon the occurrence of any breach of Clauses 18.18 (Anti-Corruption Laws and Sanctions) or Clause 21.16 (Anti-Corruption Laws and Sanctions) the Borrower shall promptly notify the Agent (or the Agent shall notify the Borrower, as the case may be) in writing upon becoming aware of the occurrence of such breach or that such event will occur (whether or not the Agent has been notified of such event by the Borrower) then: 7.3.1.1. a Lender shall not be obliged to fund a Utilisation; and


 
35 <ENS>#0537844 CP2.1 Facility Agreement - Nedbank – DRDGOLD EXT3 7.3.1.2. if a Lender so requires, the Agent shall, by not less than 15 (fifteen) Business Days' notice to the Borrower, cancel that Lender's Commitments and declare that Lender's participation in all Loans immediately due and payable whereupon that Lender's corresponding Commitments will be cancelled and that Lender's participation in the Loans will become immediately due and payable. 7.3.2. In the event of a Lender or an Affiliate of a Lender becoming, or threatened with becoming, a Sanctioned Entity or committing, or threatened with committing, a Sanctioned Transaction by virtue of advancing the Facility to the Borrower, then the provisions of Clause 7.3.1 shall apply mutatis mutandis. 7.4. Mandatory prepayment - Disposal and Insurance Proceeds The Obligors shall ensure that 100% (one hundred percent) of: 7.4.1. the amount of Disposal Proceeds (other than Excluded Disposal Proceeds); and 7.4.2. the amount of Insurance Proceeds (other than Excluded Insurance Proceeds) received by any member or members of the Group after deducting any reasonable expenses in relation to that claim which are properly evidenced and incurred by any member of the Group to persons who are not members of the Group, are applied in pro rata prepayment of the Loans under the Facility and for this purpose: 7.4.2.1. "Disposal Proceeds" means the cash consideration received (including any amount owing to and set off by any purchaser) by any Obligor for any Disposal made by that Obligor to any person who is not an Obligor and after deducting: 7.4.2.1.1. any reasonable expenses which are properly evidenced and incurred by that Obligor with respect to that Disposal to persons who are not members of the Group; and 7.4.2.1.2. any Tax incurred and required to be paid by the seller in connection with that Disposal (as reasonably determined by the Obligors’ Agent, on the basis of professional advice and existing rates and taking account of any available credit, deduction or allowance); 7.4.2.2. "Excluded Disposal Proceeds" means: 7.4.2.2.1. any Disposal Proceeds of a Permitted Disposal; and 7.4.2.2.2. any Disposal Proceeds (other than any Disposal Proceeds arising from any Disposal referred to in sub-clause 7.4.2.2.1): 7.4.2.2.2.1. which, when aggregated with the Disposal Proceeds of all other Disposals of assets by Obligors made at any time prior to the Final Discharge Date, do not exceed ZAR500,000,000 (five hundred million Rand); and


 
36 <ENS>#0537844 CP2.1 Facility Agreement - Nedbank – DRDGOLD EXT3 7.4.2.2.2.2. which do exceed the amounts in sub-clause 7.4.2.2.2.1, the extent that those Disposal Proceeds are reinvested in an Obligor within 90 (ninety) days of receipt or are committed for reinvestment in an Obligor within 90 (ninety) days of receipt (as evidenced by a resolution of the board of directors of the relevant Obligor); 7.4.2.3. "Excluded Insurance Proceeds" means any Insurance Proceeds which the Obligors’ Agent notifies the Agent are, or are to be, applied: 7.4.2.3.1. to meet a third party claim against any Obligor or any employee, director or officer of an Obligor; 7.4.2.3.2. to cover operating losses of the Obligor in respect of which the relevant insurance claim was made; 7.4.2.3.3. in the replacement, reinstatement and/or repair of the assets of the Obligor or otherwise in amelioration of the loss in respect of which the relevant insurance claim was made (or to reimburse an Obligor for any amount applied in replacing, reinstating and/or repairing such assets), if: 7.4.2.3.3.1. such Insurance Proceeds are so applied within 90 (ninety) days of receipt or are committed for such application within 90 (ninety)days of receipt (as evidenced by (i) a resolution of the board of directors of the relevant Obligor; or (ii) such other evidence as may be available that details the manner in which such Insurance Proceeds are to be applied) or, in the case of sub- clause 7.4.2.3.3, such longer period as may reasonably be required to replace, reinstate and/or repair the relevant asset (as reasonably determined by the relevant Obligor, on the basis of professional advice and as evidenced by (i) a resolution of the board of directors of the relevant Obligor (if applicable); or (ii) such other evidence as may be available that details the manner in which such Insurance Proceeds are to be applied), of receipt; and 7.4.2.3.3.2. the aggregate amount of all such Insurance Proceeds received by the Obligors since the Effective Date do not exceed ZAR250,000,000 (two hundred and fifty million Rand); and


 
37 <ENS>#0537844 CP2.1 Facility Agreement - Nedbank – DRDGOLD EXT3 7.4.2.4. "Insurance Proceeds" means the proceeds of any insurance claim under any insurance maintained by any Obligor. 7.5. Mandatory prepayment - De-listing 7.5.1. If: 7.5.1.1. trading in any of the securities issued by the Borrower ("Borrower Securities") listed on any securities exchange operated by the JSE Limited or the NYSE is suspended for a period exceeding 5 (five) Business Days (other than a suspension in trading which affects the trading of some or all of the shares traded on the JSE Limited or the NYSE generally); 7.5.1.2. the Borrower Securities cease to be listed on a securities exchange operated by the JSE Limited or the NYSE or any action is taken by the Borrower, the JSE Limited or the NYSE to de-list the Borrower Securities; 7.5.1.3. a shareholder (or any of their respective shareholders) takes any action whatsoever to delist its shares, or cease to have such shares traded or publicly quoted on the main board of the JSE Limited or the NYSE, for any reason; 7.5.1.4. the JSE announces that, pursuant to the JSE or NYSE Listings Requirements, the shares of either Shareholder have ceased (or will cease) to be listed, traded or publicly quoted on the main board of the JSE or NYSE for any reason; or 7.5.1.5. the JSE or NYSE announces that, pursuant to the JSE or NYSE Listings Requirements, the listing of either Shareholder's shares are suspended and that suspension is not lifted within a period of 3 (three) Business Days after that announcement, the Borrower shall promptly notify the Agent upon becoming aware of that event, and: 7.5.1.5.1. a Lender shall not be obliged to fund any Utilisation; and 7.5.1.5.2. if the Majority Lenders so require, the Agent shall, by not less than 10 (ten) Business Days notice to the Borrower, cancel the Commitment and declare all outstanding Loans, together with accrued interest, and all other amounts accrued under the Finance Documents immediately due and payable, whereupon the Commitment will be cancelled and all such outstanding Loans and amounts will become immediately due and payable. 7.6. Voluntary cancellation The Borrower may, if it gives the Agent not less than 10 (ten) Business Days' (or such shorter period as the Majority Lenders may agree) prior notice, cancel the whole or any part (being a minimum amount of ZAR50,000,000 (fifty million Rand)) of the Available Facility. Any cancellation under this Clause 7.6 shall reduce the Commitments of the Lenders rateably under the Facility.


 
38 <ENS>#0537844 CP2.1 Facility Agreement - Nedbank – DRDGOLD EXT3 7.7. Voluntary prepayment The Borrower may, if it gives the Agent not less than 5 (five) Business Days' (or such shorter period as the Majority Lenders may agree) prior notice, prepay the whole or any part of a Loan. 7.8. Voluntary prepayment – Increase Costs, Gross up and Tax Indemnity 7.8.1. If: 7.8.1.1. any sum payable to any Lender by an Obligor is required to be increased under sub-clause 12.2.3 of Clause 12.2 (Tax gross-up); or 7.8.1.2. any Lender claims indemnification from the Obligors under Clause 12.3 (Tax indemnity) or Clause 13 (Increased Costs), the Borrower may, whilst the circumstance giving rise to the requirement for that increase or indemnification continues, give the Agent notice of cancellation of the Commitment of that Lender and its intention to procure the repayment of that Lender's participation in the Loans or give the Agent notice of its intention to replace that Lender in accordance with Clause 7.8.4 below. 7.8.2. On receipt of a notice of cancellation referred to in sub-clause 7.8.1.2, the Available Commitment of that Lender shall be immediately reduced to zero. 7.8.3. On the last day of each Interest Period which ends after the Borrower has given notice of cancellation under sub-clause 7.8.1 (or, if earlier, the date specified by the Borrower in that notice), the Borrower shall repay that Lender's participation in that Loan and that Lender's corresponding Commitment shall be immediately cancelled in the amount of the repayment. 7.8.4. If: 7.8.4.1. any of the circumstances set out in Clause 7.8.1 above apply to the Lender; or 7.8.4.2. an Obligor becomes obliged to pay any amount in accordance with Clause 7.1 (Mandatory prepayment - Illegality), the Borrower may, in the circumstances set out in Clause 7.8.1 above, on 5 (five) Business Days' prior notice to the Agent and that Lender, replace that Lender by requiring that Lender to (and, to the extent permitted by law, that Lender shall transfer pursuant to Clause 24 (Changes to the Lenders) all (and not part only) of its rights and obligations under this Agreement to an Eligible Institution which confirms its willingness to assume and does assume all the obligations of the transferring Lender in accordance with Clause 24 (Changes to the Lenders) for a purchase price in cash or other cash payment payable at the time of the transfer equal to the outstanding principal amount of such Lender's participation in the outstanding Loans and all accrued interest, Break Costs and other amounts payable in relation thereto under the Finance Documents. 7.9. Restrictions 7.9.1. Any notice of cancellation or prepayment given by any Party under this Clause 7 shall be irrevocable and, unless a contrary indication appears in this Agreement, shall specify the date or dates upon which the relevant cancellation or prepayment is to be made and the amount of that cancellation or prepayment. 7.9.2. Any prepayment under this Agreement shall be made together with accrued interest on the amount prepaid, without premium or penalty.


 
39 <ENS>#0537844 CP2.1 Facility Agreement - Nedbank – DRDGOLD EXT3 7.9.3. Unless a contrary indication appears in this Agreement, any part of the Facility which is prepaid or repaid may be reborrowed in accordance with the terms of this Agreement, other than, in circumstances where the prepayment or repayment has been made pursuant to Clause 7.1 (Mandatory prepayment - Illegality), Clause 7.2 (Mandatory Prepayment – Change of Control) Clause 7.3 (Mandatory Prepayment – Breach of Sanctions and Anti-Corruption Laws), Clause 7.4 (Mandatory prepayment – Insurance and Disposal Proceeds), Clause 7.5 (Mandatory Prepayment – De-listing), Clause 7.8 (Voluntary prepayment – Increased Costs, Gross up and Tax Indemnity), in which event the Commitments shall be reduced by the amount prepaid or repaid. 7.9.4. The Borrower shall not repay or prepay all or any part of the Loans or cancel all or any part of the Commitments except at the times and in the manner expressly provided for in this Agreement. 7.9.5. Subject to Clause 2.2 (Accordion increase option), no amount of the Commitment cancelled under this Agreement may be subsequently reinstated. 7.9.6. If the Agent receives a notice under this Clause 7 it shall promptly forward a copy of that notice to either the Borrower or the affected Lender, as appropriate. 7.9.7. If all or part of any Lender’s participation in a Loan under a Facility is repaid or prepaid and is not available for redrawing (other than by operation of Clause 4.2 (Further conditions precedent)), an amount of that Lender’s Commitments (equal to the amount of the participation which is repaid or prepaid) in respect of that Facility will be deemed to be cancelled on the date of repayment or prepayment. 8. INTEREST 8.1. Calculation of interest The rate of interest on each Loan for each Interest Period is the percentage rate per annum which is the aggregate of the applicable: 8.1.1. Margin; and 8.1.2. JIBAR. 8.2. Payment of interest The Borrower shall pay accrued interest on each Loan on the last day of each Interest Period. 8.3. Default interest 8.3.1. If an Obligor fails to pay any amount payable by it under a Finance Document on its due date, interest shall accrue on the overdue amount from the due date up to the date of actual payment (both before and after judgment) at a rate which, subject to Clause 8.3.2 below, is 2% (two percent) per annum higher than the rate which would have been payable if the overdue amount had, during the period of non-payment, constituted a Loan in the currency of that Unpaid Sum for successive Interest Periods, each of a duration selected by the Agent (acting reasonably). Any interest accruing under this Clause 8.3 shall be immediately payable by the Obligor on demand by the Agent. 8.3.2. If any overdue amount consists of all or part of a Loan which became due on a day which was not the last day of an Interest Period relating to that Loan: 8.3.2.1. the first Interest Period for that overdue amount shall have a duration equal to the unexpired portion of the current Interest Period relating to that Loan; and


 
40 <ENS>#0537844 CP2.1 Facility Agreement - Nedbank – DRDGOLD EXT3 8.3.2.2. the rate of interest applying to the overdue amount during that first Interest Period shall be 2% (two percent) per annum higher than the rate which would have applied if the overdue amount had not become due. 8.3.3. Default interest (if unpaid) arising on any overdue amount will be compounded with the overdue amount at the end of each Interest Period applicable to that overdue amount but will remain immediately due and payable. 8.4. Margin adjustment If, at any time before the end of the Availability Period, the Borrower mandates the Original Lender to be its main provider of traditional transactional banking services required for the conduct of each Obligor's business and operations (which shall, for the avoidance of doubt, exclude gold sales and forward sales of gold and settlement services in relation thereto), the Margin in respect of every Loan (including every Rollover Loan) advanced after the date on which such mandate is granted, shall be reduced by 10 (ten) basis points. 8.5. Sustainability Margin Adjustment 8.5.1. This Clause 8.5.1 shall apply with effect from the SLL Classification Date. 8.5.2. Subject to Clause 21.22 (Declassification Event and consequences) and the other provisions of this Clause 8.5, following the receipt by the Agent of the Sustainability Compliance Certificate in respect of a SLL Reference Period in accordance with Clause 19.10 (Sustainability Compliance Certificate, Sustainability Report and Verification Report), the Margin applicable to each Loan shall be adjusted (or not adjusted, as the case may be) to the applicable rate determined using the table in paragraph 2 of Part I (Sustainability Definitions) of Schedule 10 (Sustainability Schedule) and the number of SPTs that the Sustainability Compliance Certificate for that SLL Reference Period certifies have been met (a "Sustainability Margin Adjustment"). 8.5.3. Subject to sub-clause 8.5.6 below, any Sustainability Margin Adjustment in respect of the Margin for a Loan shall take effect on the first day of the next Interest Period for that Loan following after receipt by the Agent of the Sustainability Compliance Certificate for the most recently completed SLL Reference Period pursuant to Clause 19.10 (Sustainability Compliance Certificate, Sustainability Report and Verification Report) (the "Sustainability Margin Adjustment Date"). 8.5.4. Subject to sub-clause 8.5.6 below and to Clause 19.11 (Sustainability Compliance Certificate Inaccuracy), only one Sustainability Compliance Certificate may be delivered in respect of any SLL Reference Period, and any Sustainability Margin Adjustment made by reference to that SLL Reference Period shall only apply until the earlier of: 8.5.4.1. the date on which the Sustainability Compliance Certificate is required to be delivered for the following SLL Reference Period pursuant to Clause 19.10 (Sustainability Compliance Certificate, Sustainability Report and Verification Report); or 8.5.4.2. where a Sustainability Compliance Certificate has been delivered for the following SLL Reference Period pursuant to Clause 19.10 (Sustainability Compliance Certificate, Sustainability Report and Verification Report), the relevant Sustainability Margin Adjustment Date.


 
41 <ENS>#0537844 CP2.1 Facility Agreement - Nedbank – DRDGOLD EXT3 8.5.5. For the avoidance of doubt: 8.5.5.1. the calculation of any Sustainability Margin Adjustment which is applied to the Margin in respect of any SLL Reference Period shall disregard any Sustainability Margin Adjustment which was applied to the Margin in respect of the preceding SLL Reference Period; and 8.5.5.2. no Sustainability Margin Adjustment shall result in the Margin applicable to any Loan exceeding the Margin applicable to a Loan with that Interest Period, as at the Signature Date. 8.5.6. If a revised Sustainability Compliance Certificate is received by the Agent in respect of any SLL Reference Period pursuant to Clause 19.11 (Sustainability Compliance Certificate Inaccuracy), any Sustainability Margin Adjustment which is applied to the Margin for a Loan by reference to that SLL Reference Period shall: 8.5.6.1. be recalculated in accordance with the revised Sustainability Compliance Certificate; and 8.5.6.2. take effect on the first day of the next Interest Period for that Loan after receipt by the Agent of the revised Sustainability Compliance Certificate for the relevant SLL Reference Period pursuant to 19.11 (Sustainability Compliance Certificate Inaccuracy). 8.5.7. If a revised Sustainability Compliance Certificate received by the Agent pursuant to Clause 19.11 (Sustainability Compliance Certificate Inaccuracy) shows that a higher Margin should have applied during a certain period, then the Borrower shall, subject only to sub-clause 8.5.5.2, promptly pay to the Agent any amounts necessary to put the Agent and the Lenders in the position they would have been in had the appropriate rate of the Margin applied during such period. 8.5.8. For so long as a Sustainability Breach is continuing the SPTs will, for the purposes of this Clause 8.5, be deemed not to have been met for the applicable SLL Reference Period. 8.6. Notification of rates of interest 8.6.1. The Agent shall promptly notify the Lenders and the Borrower of the determination of a rate of interest under this Agreement, including pursuant to an adjustment in accordance with sub-clause 8.5.3 of Clause 8.5 (Sustainability Margin Adjustment). 8.6.2. The Agent shall promptly notify the Borrower of each Funding Rate relating to a Loan. 9. INTEREST PERIODS 9.1. Selection of Interest Periods 9.1.1. Subject to the remainder of this Clause 9, the Borrower may select an Interest Period of 1 (one) or 3 (three) Months (or any other period agreed between the Borrower, the Agent and all the Lenders) for a Loan in the Utilisation Request for that Loan. 9.1.2. An Interest Period for a Loan shall not extend beyond the Termination Date. 9.1.3. A Loan has one Interest Period only.


 
42 <ENS>#0537844 CP2.1 Facility Agreement - Nedbank – DRDGOLD EXT3 9.2. Non-Business Days If an Interest Period would otherwise end on a day which is not a Business Day, that Interest Period will instead end on the next Business Day in that calendar month (if there is one) or the preceding Business Day (if there is not). 10. CHANGES TO THE CALCULATION OF INTEREST 10.1. Unavailability of Screen Rate 10.1.1. Interpolated Screen Rate: If no Screen Rate is available for JIBAR for the Interest Period of a Loan, the applicable JIBAR shall be the Interpolated Screen Rate for a period equal in length to the Interest Period of that Loan. 10.1.2. Cost of funds: If no Screen Rate is available for JIBAR for (i) ZAR; or (ii) the Interest Period of a Loan and it is not possible to calculate the Interpolated Screen Rate, there shall be no JIBAR for that Loan and Clause 10.3 (Cost of funds) shall apply to that Loan for that Interest Period. 10.2. Market disruption If before close of business in Johannesburg on the Quotation Day the Borrower receives notifications from a Lender or Lenders that the cost to it of funding its participation in that Loan from the wholesale market for ZAR would be in excess of JIBAR then Clause 10.3 (Cost of funds) shall apply to that Loan for the relevant Interest Period. 10.3. Cost of funds 10.3.1. If this Clause 10.3 applies, the rate of interest on the relevant Loan for the relevant Interest Period shall be the percentage rate per annum which is the sum of: 10.3.1.1. the Margin; and 10.3.1.2. the rate notified to the Agent by that Lender as soon as practicable and in any event within 5 (five) Business Days of the first day of that Interest Period (or, if earlier, on the date falling 10 (ten) Business Days before the date on which interest is due to be paid in respect of that Interest Period), to be that which expresses as a percentage rate per annum the cost to the relevant Lender of funding its participation in that Loan from whatever source it may reasonably select. 10.3.2. If this Clause 10.3 applies and the Agent or the Borrower so requires, the Agent and the Borrower shall enter into negotiations (for a period of not more than thirty days) with a view to agreeing a substitute basis for determining the rate of interest. 10.3.3. Any alternative basis agreed pursuant to Clause 10.3.2 above shall, with the prior consent of all the Lenders and the Borrower, be binding on all Parties. 10.3.4. If this Clause 10.3 applies pursuant to Clause 10.2 (Market disruption) and: 10.3.4.1. a Lender's Funding Rate is less than JIBAR; or


 
43 <ENS>#0537844 CP2.1 Facility Agreement - Nedbank – DRDGOLD EXT3 10.3.4.2. a Lender does not supply a quotation by the time specified in Clause 10.3.1.2 above, the cost to that Lender of funding its participation in that Loan for that Interest Period shall be deemed, for the purposes of Clause 10.3.1 above, to be JIBAR. 10.4. Notification to Borrower If Clause 10.3 (Cost of funds) applies the Agent shall, as soon as is practicable, notify the Borrower. 10.5. Utilisation Requests If Clause 10.3 (Cost of funds) applies, the Borrower shall be entitled to revoke a Utilisation Request relating to a Loan in respect of which Clause 10.3 (Cost of funds) would apply. 10.6. Break Costs and Break Gains 10.6.1. The Borrower shall, within 5 (five) Business Days of demand by a Finance Party, pay to that Finance Party its Break Costs attributable to all or any part of a Loan or Unpaid Sum being paid by the Borrower on a day other than the last day of an Interest Period for that Loan or Unpaid Sum. 10.6.2. A Finance Party shall, within 5 (five) Business Days of demand by the Borrower, pay to the Borrower the amount of any Break Gain which is attributable to all or any part of any Loan advanced under the Facility being repaid or prepaid on a day other than the last day of an Interest Period for that Loan. 10.6.3. Each Lender shall, as soon as reasonably practicable after a demand by an Obligor, provide a certificate confirming the amount of its Break Costs or Break Gains (as applicable) for any Interest Period in which they accrue and setting out in reasonable detail the calculation thereof. 11. FEES 11.1. Commitment fee 11.1.1. The Borrower shall pay to the Agent (for the account of each Lender) a fee computed as 30% (thirty percent) of the Margin that applies to Loans with an Interest Period of 3 (three) Months, per annum, on that Lender's Available Commitment for the Availability Period. 11.1.2. The accrued commitment fee is payable on the last day of each successive period of 3 (three) Months which ends during the Availability Period, on the last day of the Availability Period and, if cancelled in full, on the cancelled amount of the relevant Lender's Commitment at the time the cancellation is effective. 11.2. Upfront fee The Borrower shall pay to the Agent (for the account of the Original Lender) an upfront fee in an amount and at the times agreed in a Fee Letter.


 
44 <ENS>#0537844 CP2.1 Facility Agreement - Nedbank – DRDGOLD EXT3 11.3. Utilisation fees 11.3.1. The Borrower shall pay to the Agent (for the account of each Lender) a utilisation fee computed at the following rate: 11.3.1.1. 0.1% (zero point one percent) per annum on each Loan for each day that the aggregate of the Loans is more than 33.33% (thirty three point three three percent) but less than 66.67% (sixty six point six seven percent) of the Commitment; and 11.3.1.2. 0.2% (zero point two percent) per annum on each Loan for each day that the aggregate of the Loans is equal to or more than 66.67% (sixty six point six seven percent) of the Commitment. 11.3.2. The accrued utilisation fee is due and payable on the last day of each Interest Period (including the Termination Date). 11.4. Accordion increase fee 11.4.1. The Borrower shall, in relation to each Increase Commitment under Clause 2.2 (Accordion increase option), pay to the Agent (for the account of an Increase Lender) an accordion increase fee in an amount computed at the rate of 0.25% (zero point two five percent) of the Increased Commitment. 11.4.2. The accordion increase fee shall become due on the Accordion Increase Effective Date and shall become payable on the Accordion Increase Effective Date (or such later date as any Increase Lender may agree in writing). 11.5. No Agency fee The Agent hereby waives any right to claim a fee in relation to the performance of its duties, obligations and responsibilities or the exercise of its rights, powers, authorities and discretions under the Finance Documents. 12. TAX GROSS UP AND INDEMNITIES 12.1. Definitions In this Agreement: 12.1.1. "Protected Party" means a Finance Party which is or will be subject to any liability, or required to make any payment, for or on account of Tax in relation to a sum received or receivable (or any sum deemed for the purposes of Tax to be received or receivable) under a Finance Document. 12.1.2. "Tax Credit" means a credit against, relief or remission for, or repayment of any Tax. 12.1.3. "Tax Deduction" means a deduction or withholding for or on account of Tax from a payment under a Finance Document. 12.1.4. "Tax Payment" means either the increase in a payment made by an Obligor to a Finance Party under Clause 12.2 (Tax gross-up) or a payment under Clause 12.3 (Tax indemnity). 12.1.5. Unless a contrary indication appears, in this Clause 12 a reference to "determines" or "determined" means a determination made in the absolute discretion of the person making the determination.


 
45 <ENS>#0537844 CP2.1 Facility Agreement - Nedbank – DRDGOLD EXT3 12.2. Tax gross-up 12.2.1. Each Obligor shall make all payments to be made by it without any Tax Deduction, unless a Tax Deduction is required by law. 12.2.2. The Borrower shall promptly upon becoming aware that an Obligor must make a Tax Deduction (or that there is any change in the rate or the basis of a Tax Deduction) notify the Agent accordingly. Similarly, a Lender shall notify the Agent on becoming so aware in respect of a payment payable to that Lender. If the Agent receives such notification from a Lender it shall notify the Borrower and that Obligor. 12.2.3. If a Tax Deduction is required by law to be made by an Obligor, the amount of the payment due from that Obligor shall be increased to an amount which (after making any Tax Deduction) leaves an amount equal to the payment which would have been due if no Tax Deduction had been required. 12.2.4. If an Obligor is required to make a Tax Deduction, that Obligor shall make that Tax Deduction and any payment required in connection with that Tax Deduction within the time allowed and in the minimum amount required by law. 12.2.5. Within 30 (thirty) days of making either a Tax Deduction or any payment required in connection with that Tax Deduction, the Obligor making that Tax Deduction shall deliver to the Agent for the Finance Party entitled to the payment evidence reasonably satisfactory to that Finance Party that the Tax Deduction has been made or (as applicable) any appropriate payment paid to the relevant taxing authority. 12.3. Tax indemnity 12.3.1. The Borrower shall (within 3 (three) Business Days of demand by the Agent) pay to a Protected Party an amount equal to the loss, liability or cost which that Protected Party determines will be or has been (directly or indirectly) suffered for or on account of Tax by that Protected Party in respect of a Finance Document. 12.3.2. Clause 12.3.1 above shall not apply: 12.3.2.1. with respect to any Tax assessed on a Finance Party: 12.3.2.1.1. under the law of the jurisdiction in which that Finance Party is incorporated or, if different, the jurisdiction (or jurisdictions) in which that Finance Party is treated as resident for tax purposes; or 12.3.2.1.2. under the law of the jurisdiction in which that Finance Party is located in respect of amounts received or receivable in that jurisdiction, if that Tax is imposed on or calculated by reference to the net income received or receivable (but not any sum deemed to be received or receivable) by that Finance Party; or 12.3.2.2. to the extent a loss, liability or cost is compensated for by an increased payment under Clause 12.2 (Tax gross-up). 12.3.3. A Protected Party making, or intending to make, a claim under Clause 12.3.1 above shall promptly notify the Agent of the event which will give, or has given, rise to the claim, following which the Agent shall notify the Borrower. 12.3.4. A Protected Party shall, on receiving a payment from an Obligor under this Clause 12.3, notify the Agent.


 
46 <ENS>#0537844 CP2.1 Facility Agreement - Nedbank – DRDGOLD EXT3 12.4. Tax Credit If an Obligor makes a Tax Payment and the relevant Finance Party determines that: 12.4.1. a Tax Credit is attributable to an increased payment of which that Tax Payment forms part, or to that Tax Payment or to a Tax Deduction in consequence of which that Tax Payment was required; and 12.4.2. that Finance Party has obtained, utilised and retained that Tax Credit, the Finance Party shall pay an amount to the Obligor which that Finance Party determines will leave it (after that payment) in the same after-Tax position as it would have been in had the Tax Payment not been required to be made by the Obligor. 12.5. Stamp taxes The Borrower shall (within 3 (three) Business Days of demand) indemnify each Finance Party against, and shall pay to the relevant Finance Party, any cost, loss or liability that Finance Party incurs in relation to all stamp duty, registration and other similar Taxes payable in respect of any Finance Document. 12.6. Value added tax 12.6.1. All amounts set out or expressed to be payable under a Finance Document by any Party to a Finance Party which (in whole or in part) constitute the consideration for a supply or supplies for VAT purposes shall be deemed to be exclusive of any VAT which is chargeable on such supply or supplies, and accordingly, subject to Clause 12.6.2 below, if VAT is or becomes chargeable on any supply made by any Finance Party to any Party under a Finance Document and such Finance Party is required to account to the relevant tax authority for the VAT, that Party must pay to such Finance Party (in addition to and at the same time as paying any other consideration for such supply) an amount equal to the amount of the VAT (and such Finance Party must promptly provide an appropriate VAT invoice to that Party). 12.6.2. If VAT is or becomes chargeable on any supply made by any Finance Party (the "Supplier") to any other Finance Party (the "Recipient") under a Finance Document, and any Party other than the Recipient (the "Relevant Party") is required by the terms of any Finance Document to pay an amount equal to the consideration for that supply to the Supplier (rather than being required to reimburse or indemnify the Recipient in respect of that consideration): 12.6.2.1. (where the Supplier is the person required to account to the relevant tax authority for the VAT) the Relevant Party must also pay to the Supplier (at the same time as paying that amount) an additional amount equal to the amount of the VAT. The Recipient must (where this Clause 12.6.2.1 applies) promptly pay the Relevant Party an amount equal to any credit or repayment the Recipient receives from the relevant tax authority which the Recipient reasonably determines relates to the VAT chargeable on that supply; and 12.6.2.2. (where the Recipient is the person required to account to the relevant tax authority for the VAT) the Relevant Party must promptly, following demand from the Recipient, pay to the Recipient an amount equal to the VAT chargeable on that supply but only to the extent that the Recipient reasonably determines that it is not entitled to credit or repayment from the relevant tax authority in respect of the VAT.


 
47 <ENS>#0537844 CP2.1 Facility Agreement - Nedbank – DRDGOLD EXT3 12.6.3. Where a Finance Document requires any Party to reimburse or indemnify a Finance Party for any costs or expenses, that Party shall reimburse or indemnify (as the case may be) such Finance Party for the full amount of such cost or expense, including such part thereof as represents VAT, save to the extent that such Finance Party reasonably determines that it is entitled to credit or repayment in respect of such VAT from the relevant tax authority. 13. INCREASED COSTS 13.1. Increased costs 13.1.1. Subject to Clause 13.3 (Exceptions) the Borrower shall, within 3 (three) Business Days of a demand by the Agent, pay for the account of a Finance Party the amount of any Increased Costs incurred by that Finance Party or any of its Affiliates as a result of (i) the introduction of or any change in (or in the interpretation, administration or application of) any law or regulation or (ii) compliance with any law or regulation made after the Signature Date. 13.1.2. In this Agreement "Increased Costs" means: 13.1.2.1. a reduction in the rate of return from the Facility or on a Finance Party's (or its Affiliate's) overall capital; 13.1.2.2. an additional or increased cost; or 13.1.2.3. a reduction of any amount due and payable under any Finance Document, which is incurred or suffered by a Finance Party or any of its Affiliates to the extent that it is attributable to that Finance Party having entered into its Commitment or funding or performing its obligations under any Finance Document. 13.2. Increased cost claims 13.2.1. A Finance Party intending to make a claim pursuant to Clause 13.1 (Increased costs) shall notify the Agent of the event giving rise to the claim, following which the Agent shall promptly notify the Borrower. 13.2.2. Each Finance Party shall, as soon as practicable after a demand by the Agent, provide a certificate confirming the amount of its Increased Costs. 13.3. Exceptions 13.3.1. Clause 13.1 (Increased costs) does not apply to the extent any Increased Cost is: 13.3.1.1. attributable to a Tax Deduction required by law to be made by an Obligor; 13.3.1.2. compensated for by Clause 12.3 (Tax indemnity) (or would have been compensated for under Clause 12.3 (Tax indemnity) but was not so compensated solely because any of the exclusions in Clause 12.3.1 of Clause 12.3 (Tax indemnity) applied); or 13.3.1.3. attributable to the wilful breach by the relevant Finance Party or its Affiliates of any law or regulation. 13.3.2. In this Clause 13.3, a reference to a "Tax Deduction" has the same meaning given to that term in Clause 12.1 (Definitions).


 
48 <ENS>#0537844 CP2.1 Facility Agreement - Nedbank – DRDGOLD EXT3 14. OTHER INDEMNITIES 14.1. Currency indemnity 14.1.1. If any sum due from an Obligor under the Finance Documents (a "Sum"), or any order, judgment or award given or made in relation to a Sum, has to be converted from the currency (the "First Currency") in which that Sum is payable into another currency (the "Second Currency") for the purpose of: 14.1.1.1. making or filing a claim or proof against that Obligor; or 14.1.1.2. obtaining or enforcing an order, judgment or award in relation to any litigation or arbitration proceedings, that Obligor shall as an independent obligation, within 3 (three) Business Days of demand, indemnify each Finance Party to whom that Sum is due against and shall pay to each such Finance Party any cost, loss or liability arising out of or as a result of the conversion including any discrepancy between (A) the rate of exchange used to convert that Sum from the First Currency into the Second Currency and (B) the rate or rates of exchange available to that person at the time of its receipt of that Sum. 14.1.2. Each Obligor waives any right it may have in any jurisdiction to pay any amount under the Finance Documents in a currency or currency unit other than that in which it is expressed to be payable. 14.2. Environmental indemnity 14.2.1. Each Obligor hereby indemnifies each Finance Party, each Affiliate of a Finance Party and each officer, director, employee, agent, advisor, and representative of a Finance Party (together, the "Indemnified Parties") on demand against any losses, claims, damages, liabilities or other costs or expenses suffered or incurred by that Indemnified Party (except to the extent solely caused by such Indemnified Party’s own gross negligence or wilful default) as a result of: 14.2.1.1. any breach of any Environmental Law (whether by an Obligor or any other member of the Group (the "Defaulting Party")); 14.2.1.2. an Environmental Claim; or 14.2.1.3. any enquiry, investigation, subpoena (or similar order) or litigation with respect to any Environmental Claim and any other enquiry, investigation, subpoena (or similar order) or litigation in respect of any breach of any Environmental Law that has or is reasonably likely to give rise to a liability for any Finance Party, which relates to any Defaulting Party, any assets of any Defaulting Party or the operation of all or part of the business of any Defaulting Party and which would not have arisen if the Finance Documents or any of them had not been executed by that Finance Party. Any Indemnified Party may rely on this Clause 14.2 as a stipulation for its or his benefit, capable of acceptance at any time. 14.3. Other indemnities 14.3.1. The Borrower shall (or shall procure that an Obligor will), within 3 (three) Business Days of demand, indemnify each Finance Party against and shall pay to each such Finance Party any cost, loss or liability incurred by that Finance Party as a result of: 14.3.1.1. the occurrence of any Default;


 
49 <ENS>#0537844 CP2.1 Facility Agreement - Nedbank – DRDGOLD EXT3 14.3.1.2. a failure by an Obligor to pay any amount due under a Finance Document on its due date, including without limitation, any cost, loss or liability arising as a result of Clause 27 (Sharing among the Finance Parties); 14.3.1.3. funding, or making arrangements to fund, its participation in a Loan requested by the Borrower in a Utilisation Request but not made by reason of the operation of any one or more of the provisions of this Agreement (other than by reason of default or negligence by that Finance Party alone); or 14.3.1.4. a Loan (or part of a Loan) not being prepaid in accordance with a notice of prepayment given by the Borrower. 14.4. Indemnity to the Agent The Borrower shall promptly indemnify the Agent against and shall pay to the Agent any cost, loss or liability incurred by the Agent (acting reasonably) as a result of: 14.4.1. investigating or taking any other action in connection with any event which it reasonably believes is a Default; 14.4.2. any failure by the Borrower to comply with its obligations under Clause 16 (Costs and expenses); 14.4.3. any default by any Obligor in the performance of any of the other obligations expressed to be assumed by it in the Finance Documents; 14.4.4. the exercise of any of the rights, powers, discretions, authorities and remedies vested in the Agent by the Finance Documents or by law; 14.4.5. instructing lawyers, accountants, tax advisers, surveyors or other professional advisers or experts as permitted under this Agreement; or 14.4.6. acting or relying on any notice, request or instruction which it reasonably believes to be genuine, correct and appropriately authorised. 15. MITIGATION BY THE LENDERS 15.1. Mitigation 15.1.1. Each Finance Party shall, in consultation with the Borrower, take all reasonable steps to mitigate any circumstances which arise and which would result in any amount becoming payable under or pursuant to, or cancelled pursuant to, any of Clause 7.1 (Mandatory prepayment - Illegality), Clause 12 (Tax gross-up and indemnities) or Clause 13 (Increased costs) including (but not limited to) transferring its rights and obligations under the Finance Documents to an Affiliate. 15.1.2. Clause 15.1.1 above does not in any way limit the obligations of any Obligor under the Finance Documents. 15.2. Limitation of liability 15.2.1. The Borrower shall promptly indemnify each Finance Party against and shall pay to each such Finance Party all costs and expenses reasonably incurred by that Finance Party as a result of steps taken by it under Clause 15.1 (Mitigation). 15.2.2. A Finance Party is not obliged to take any steps under Clause 15.1 (Mitigation) if, in the opinion of that Finance Party (acting reasonably), to do so might be prejudicial to it.


 
50 <ENS>#0537844 CP2.1 Facility Agreement - Nedbank – DRDGOLD EXT3 16. COSTS AND EXPENSES 16.1. Transaction expenses The Borrower shall promptly on demand pay the Agent the amount of all costs and expenses (including legal fees) reasonably incurred by the Agent in connection with the negotiation, preparation, printing, execution and syndication of: 16.1.1. this Agreement and any other documents referred to in this Agreement; and 16.1.2. any other Finance Documents executed after the Signature Date. 16.2. Amendment costs If: 16.2.1. an Obligor requests an amendment, waiver or consent; 16.2.2. there is any change in law or any regulation which requires an amendment, waiver or consent under the Finance Documents; or 16.2.3. an amendment is required pursuant to Clause 34.4 (Sustainability amendments), the Borrower shall, within 3 (three) Business Days of demand, reimburse each Finance Party for the amount of all costs and expenses (including legal fees) reasonably incurred by that Finance Party in connection with evaluating, negotiating or complying with any such request or requirement. 16.3. Enforcement costs The Borrower shall, within 3 (three) Business Days of demand, pay to each Finance Party the amount of all costs and expenses (including legal fees on the scale as between attorney and own client whether incurred before or after judgement) incurred by that Finance Party in connection with the enforcement of, or the preservation of any rights under, any Finance Document. 17. GUARANTEE AND INDEMNITY 17.1. Guarantee and indemnity Each Guarantor irrevocably and unconditionally jointly and severally, as a principal obligor and not merely as a surety and on the basis of discrete obligations enforceable against it: 17.1.1. guarantees to each Finance Party punctual performance by each other Obligor of all that Obligor's obligations under the Finance Documents; 17.1.2. undertakes with each Finance Party that whenever an Obligor does not pay any amount when due under or in connection with any Finance Document, that Guarantor shall immediately on demand pay that amount as if it was the principal obligor; and 17.1.3. agrees with each Finance Party that if any obligation guaranteed by it is or becomes unenforceable, invalid or illegal, it will, as an independent and primary obligation, indemnify that Finance Party immediately on demand against any cost, loss or liability it incurs as a result of an Obligor not paying any amount which would, but for such unenforceability, invalidity or illegality, have been payable by it under any Finance Document on the date when it would have been due. The amount payable by a Guarantor under this indemnity will not exceed the amount it would have had to pay under this Clause 17 if the amount claimed had been recoverable on the basis of a guarantee.


 
51 <ENS>#0537844 CP2.1 Facility Agreement - Nedbank – DRDGOLD EXT3 17.2. Continuing guarantee This guarantee is a continuing guarantee and will extend to the ultimate balance of sums payable by any Obligor under the Finance Documents, regardless of any intermediate payment or discharge in whole or in part. 17.3. Reinstatement If any discharge, release or arrangement (whether in respect of the obligations of any Obligor or any security for those obligations or otherwise) is made by a Finance Party in whole or in part on the basis of any payment, security or other disposition which is avoided or must be restored in insolvency, business rescue proceedings, liquidation, winding-up or otherwise, without limitation, then the liability of each Obligor under this Clause 17 will continue or to be reinstated as if the discharge, release or arrangement had not occurred. 17.4. Waiver of defences The obligations of each Guarantor under this Clause 17 will not be affected by any act, omission, matter or thing which, but for this Clause 17, would reduce, release or prejudice any of its obligations under this Clause 17 (without limitation and whether or not known to it or any Finance Party) including: 17.4.1. any time, waiver or consent granted to, or composition with, any Obligor or other person; 17.4.2. the release of any other Obligor or any other person under the terms of any composition or arrangement with any creditor of any member of the Group; 17.4.3. the taking, variation, compromise, exchange, renewal or release of, or refusal or neglect to perfect, take up or enforce, any rights against, or security over assets of, any Obligor or other person or any non-presentation or non-observance of any formality or other requirement in respect of any instrument or any failure to realise the full value of any security; 17.4.4. any incapacity or lack of power, authority or legal personality of or dissolution or change in the members or status of an Obligor or any other person; 17.4.5. any amendment, novation, supplement, extension restatement (however fundamental and whether or not more onerous) or replacement of any Finance Document or any other document including without limitation any change in the purpose of, any extension of or any increase in any facility or the addition of any new facility under any Finance Document or other document; 17.4.6. any unenforceability, illegality, invalidity suspension or cancellation of any obligation of any person under any Finance Document or any other document; 17.4.7. any insolvency, liquidation, winding-up, business rescue or similar proceedings (including, but not limited to, receipt of any distribution made under or in connection with those proceedings); 17.4.8. any other Finance Document not being executed by or binding against any other Guarantor or any other party; or 17.4.9. any other fact or circumstance arising on which a Guarantor might otherwise be able to rely on a defence based on prejudice, waiver or estoppel.


 
52 <ENS>#0537844 CP2.1 Facility Agreement - Nedbank – DRDGOLD EXT3 17.5. Immediate recourse Each Guarantor waives any right it may have of first requiring any Finance Party (or any trustee or agent on its behalf) to proceed against or enforce any other rights or claim payment from any person before claiming from that Guarantor under this Clause 17. This waiver applies irrespective of any law or any provision of a Finance Document to the contrary. 17.6. Appropriations Until all amounts which may be or become payable by the Obligors under or in connection with the Finance Documents have been irrevocably paid in full, each Finance Party may: 17.6.1. refrain from applying or enforcing any other moneys, security or rights held or received by that Finance Party in respect of those amounts, or apply and enforce the same in such manner and order as it sees fit (whether against those amounts or otherwise) and no Guarantor shall be entitled to the benefit of the same; and 17.6.2. hold in an interest-bearing suspense account any moneys received from any Guarantor or on account of any Guarantor's liability under this Clause 17. 17.7. Deferral of Guarantors' rights 17.7.1. Until all amounts which may be or become payable by the Obligors under or in connection with the Finance Documents have been irrevocably paid in full and unless the Agent otherwise directs, no Guarantor will exercise any rights which it may have by reason of performance by it of its obligations under the Finance Documents or by reason of any amount being payable, or liability arising, under this Clause 17: 17.7.1.1. to be indemnified by an Obligor; 17.7.1.2. to claim any contribution from any other guarantor of or provider of security for any Obligor's obligations under the Finance Documents; 17.7.1.3. to take the benefit (in whole or in part and whether by way of subrogation, cession of action or otherwise) of any rights of the Finance Parties under the Finance Documents or of any other guarantee; 17.7.1.4. to bring legal or other proceedings for an order requiring any Obligor to make any payment, or perform any obligation, in respect of which any Guarantor has given a guarantee, undertaking or indemnity under Clause 17.1 (Guarantee and indemnity); 17.7.1.5. to exercise any right of set-off against any Obligor; and/or 17.7.1.6. to claim, rank, prove or vote as a creditor or shareholder of any Obligor in competition with any Finance Party. 17.7.2. If a Guarantor receives any benefit, payment or distribution in relation to such rights, it shall hold that benefit, payment or distribution to the extent necessary to enable all amounts which may be or become payable to the Finance Parties by the Obligors under or in connection with the Finance Documents to be repaid in full on trust for, or otherwise for the benefit of, the Finance Parties and shall promptly pay or transfer the same to the Agent or as the Agent may direct for application in accordance with Clause 27 (Payment mechanics).


 
53 <ENS>#0537844 CP2.1 Facility Agreement - Nedbank – DRDGOLD EXT3 17.8. Release of Guarantors' right of contribution If any Guarantor (a "Retiring Guarantor") ceases to be a Guarantor in accordance with the terms of the Finance Documents for the purpose of any sale or other disposal of that Retiring Guarantor then on the date such Retiring Guarantor ceases to be a Guarantor: 17.8.1. that Retiring Guarantor is released by each other Guarantor from any liability (whether past, present or future and whether actual or contingent) to make a contribution to any other Guarantor arising by reason of the performance by any other Guarantor of its obligations under the Finance Documents; and 17.8.2. each other Guarantor waives any rights it may have by reason of the performance of its obligations under the Finance Documents to take the benefit (in whole or in part and whether by way of subrogation or otherwise) of any rights of the Finance Parties under any Finance Document where such rights are granted by or in relation to the assets of the Retiring Guarantor. 17.9. Additional security This guarantee is in addition to and is not in any way prejudiced by any other guarantee or security now or subsequently held by any Finance Party. 18. REPRESENTATIONS Each Obligor makes the representations and warranties set out in this Clause 18 to each Finance Party on the Signature Date and on the Effective Date. 18.1. Status 18.1.1. It is a corporation, duly incorporated and validly existing under the laws of its Original Jurisdiction. 18.1.2. It and each of its Subsidiaries has the power to own its assets and carry on its business as it is being conducted. 18.2. Binding obligations The obligations expressed to be assumed by it in each Finance Document to which it is a party are legal, valid, binding and enforceable obligations. 18.3. Non-conflict with other obligations The entry into and performance by it of, and the transactions contemplated by, the Finance Documents do not and will not conflict with: 18.3.1. any law or regulation applicable to it; 18.3.2. its or any of its Subsidiaries' constitutional documents; or 18.3.3. any agreement or instrument binding upon it or any of its Subsidiaries or any of its or any of its Subsidiaries' assets to an extent or in a manner which has a Material Adverse Effect. 18.4. Power and authority 18.4.1. It has the power to enter into, perform and deliver, and has taken all necessary action to authorise its entry into, performance and delivery of, the Finance Documents to which it is a party and the transactions contemplated by those Finance Documents.


 
54 <ENS>#0537844 CP2.1 Facility Agreement - Nedbank – DRDGOLD EXT3 18.4.2. No limit on its powers will be exceeded as a result of the borrowing or giving of guarantees or indemnities contemplated by the Finance Documents to which it is a party. 18.5. Validity and admissibility in evidence All Authorisations required or desirable: 18.5.1. to enable it lawfully to enter into, exercise its rights and comply with its obligations in the Finance Documents to which it is a party; and 18.5.2. to make the Finance Documents to which it is a party admissible in evidence in its Original Jurisdiction; and have been obtained or effected and are in full force and effect. 18.6. Governing law and enforcement 18.6.1. The choice of South African law as the governing law of the Finance Documents will be recognised and enforced in its Relevant Jurisdictions. 18.6.2. Any judgment obtained in South Africa in relation to a Finance Document will be recognised and enforced in its Relevant Jurisdictions. 18.7. Deduction of Tax It is not required to make any deduction for or on account of Tax from any payment it may make under any Finance Document. 18.8. No filing or stamp taxes Under the law of its jurisdiction of incorporation it is not necessary that the Finance Documents be filed, recorded or enrolled with any court or other authority in that jurisdiction or that any stamp, registration or similar tax be paid on or in relation to the Finance Documents or the transactions contemplated by the Finance Documents. 18.9. No default 18.9.1. No Event of Default is continuing or might reasonably be expected to result from the entry into, or the performance of any transaction contemplated by, the Finance Documents. 18.9.2. No other event or circumstance is outstanding which constitutes a default under any other agreement or instrument which is binding on it or any of its Subsidiaries or to which its (or any of its Subsidiaries') assets are subject which might, in the reasonable opinion of all the Lenders, have a Material Adverse Effect. 18.10. No misleading information 18.10.1. Any factual information provided by any member of the Group for the purposes of the Finance Documents was true and accurate in all material respects as at the date it was provided or as at the date (if any) at which it is stated. 18.10.2. The financial projections provided in relation to the Finance Documents have been prepared on the basis of recent historical information and on the basis of reasonable assumptions.


 
55 <ENS>#0537844 CP2.1 Facility Agreement - Nedbank – DRDGOLD EXT3 18.10.3. No other written information was withheld or provided by any member of the Group (including its advisors) to the Finance Parties under or in connection with the Finance Documents that results in the information or projections referred to in this Clause 18.10 being untrue or misleading in any material respect. 18.10.4. All Sustainability Information was true, complete and accurate in all material respects as at the date it was provided and is not misleading in any respect. 18.11. Financial statements 18.11.1. Its Original Financial Statements were prepared in accordance with IFRS consistently applied unless expressly disclosed to the Agent in writing to the contrary before the Signature Date. 18.11.2. Its Original Financial Statements fairly present its financial condition as at the end of the relevant financial year and its results of operations during the relevant financial year (consolidated in the case of the Borrower) unless expressly disclosed to the Agent in writing to the contrary before the Signature Date. 18.11.3. There has been no material adverse change in its business or financial condition since the last day of the period in respect of which its Original Financial Statements were prepared. 18.12. Pari passu ranking Its payment obligations under the Finance Documents rank at least pari passu with the claims of all its other unsecured and unsubordinated creditors, except for obligations mandatorily preferred by law applying to companies generally. 18.13. No proceedings 18.13.1. No litigation, arbitration or administrative proceedings of or before any court, arbitral body or agency which, if adversely determined, might reasonably be expected to have a Material Adverse Effect has or have (to the best of its knowledge and belief) been started or threatened against it or any of its Subsidiaries. 18.13.2. No judgment or order of a court, arbitral body or agency which might reasonably be expected to have a Material Adverse Effect has (to the best of its knowledge and belief) been made against it or any of its Subsidiaries. 18.14. Insolvency and Financial Distress 18.14.1. No: 18.14.1.1. corporate action, legal proceeding or other procedure or step described in Clause 22.7 (Insolvency and business rescue proceedings); or 18.14.1.2. creditors' process described in Clause 22.8 (Creditors' process), has been taken or threatened in relation to it or (to the best of its knowledge) any other member of the Group; and none of the circumstances described in Clause 22.6 (Insolvency) applies to a member of the Group. 18.14.2. Neither it nor any member of the Group is Financially Distressed (as defined in the Companies Act 2008).


 
56 <ENS>#0537844 CP2.1 Facility Agreement - Nedbank – DRDGOLD EXT3 18.15. No breach of laws 18.15.1. It has not (and none of its Subsidiaries have) breached any law or regulation which breach has or is reasonably likely to have a Material Adverse Effect. 18.15.2. No labour disputes are current or, to the best of its knowledge and belief, threatened against any member of the Group which have or are reasonably likely to have a Material Adverse Effect. 18.16. Environmental laws 18.16.1. Each member of the Group is in compliance with Clause 21.11 (Environmental compliance) and to the best of its knowledge and belief no circumstances have occurred which would prevent such compliance in a manner or to an extent which has or is reasonably likely to have a Material Adverse Effect. 18.16.2. No Environmental Claim has been commenced or (to the best of its knowledge and belief) is threatened against any member of the Group where that claim has or is reasonably likely, if determined against that member of the Group, to have a Material Adverse Effect. 18.17. Accounting reference date The Accounting Reference Date of each member of the Group is 30 June. 18.18. Anti-corruption Laws and Sanctions 18.18.1. It is not (and the Borrower represents that no Subsidiary of the Borrower is, to the best of its knowledge and belief, having made due and careful enquiry): 18.18.1.1. using nor will it use the proceeds of any Facility for the purpose of financing or making funds available directly or indirectly to any person or entity which is currently a Sanctioned Entity or as part of a Sanctioned Transaction, to the extent such financing or provision of funds would currently be prohibited by Sanctions or would otherwise cause any person to be in breach of Sanctions; 18.18.1.2. is contributing nor will it contribute or otherwise make available the proceeds of any Facility to any other person or entity for the purpose of financing the activities of any person or entity which is currently listed on a Sanctions List, to the extent such contribution or provision of proceeds would currently be prohibited by Sanctions or would otherwise cause any person to be in breach of Sanctions; 18.18.1.3. has been, nor is targeted under any Sanctions; 18.18.1.4. has participated in and is not participating in any Sanctioned Transaction in any manner; and/or 18.18.1.5. has violated nor is violating any applicable Sanctions. 18.18.2. It has (and the Borrower represents that each Subsidiary of the Borrower has, to the best of its knowledge and belief, having made due and careful enquiry) conducted its businesses in compliance with applicable Anti-Corruption Laws and has instituted and maintained policies and procedures designed to promote and achieve compliance with such laws.


 
57 <ENS>#0537844 CP2.1 Facility Agreement - Nedbank – DRDGOLD EXT3 18.19. Group Structure Chart The Group Structure Chart is true, complete and accurate in all material respects and shows the following information: 18.19.1. each member of the Group, including current name and company registration number, its jurisdiction of incorporation, a list of shareholders and indicating whether a company is a dormant Subsidiary or is not a company with limited liability; and 18.19.2. all minority interests in any member of the Group and any person in which any member of the Group holds shares in its issued share capital or equivalent ownership interest of such person. 18.20. No adverse consequences 18.20.1. It is not necessary under the laws of its Relevant Jurisdiction: 18.20.1.1. in order to enable any Finance Party to enforce its rights under any Finance Document; or 18.20.1.2. by reason of the execution of any Finance Document or the performance by it of its obligations under any Finance Document, that any Finance Party should be licensed, qualified or otherwise entitled to carry on business in that jurisdiction. 18.20.2. No Finance Party is or will be deemed to be resident, domiciled or carrying on business in any Relevant Jurisdiction by reason only of the execution, performance and/or enforcement of any Finance Document. 18.21. Repetition 18.21.1. The Repeating Representations (other than the representation in sub- clause 18.10.4 of Clause 18.10 (No misleading information)) are deemed to be made by each Obligor by reference to the facts and circumstances then existing on: 18.21.1.1. the date of each Utilisation Request and the first day of each Interest Period; 18.21.1.2. in the case of an Additional Guarantor, the day on which it becomes (or it is proposed that it becomes) an Additional Guarantor; and 18.21.1.3. when the representation and warranty in Clause 18.9.1 (No default) is repeated on the date of a Utilisation Request for a Rollover Loan, the reference to a Default must be construed as a reference to an Event of Default. 18.21.2. The representation in sub-clause 18.10.4 of Clause 18.10 (No misleading information) is deemed to be made by each Obligor on the date of each Sustainability Compliance Certificate. 19. INFORMATION UNDERTAKINGS The undertakings in this Clause 19 remain in force from the Signature Date until the Final Discharge Date.


 
58 <ENS>#0537844 CP2.1 Facility Agreement - Nedbank – DRDGOLD EXT3 19.1. Financial statements The Borrower shall supply to the Agent in sufficient copies for all the Lenders: 19.1.1. as soon as the same become available, but in any event within 180 (one hundred and eighty) days after the end of each of its financial years: 19.1.1.1. its audited consolidated financial statements for that financial year; and 19.1.1.2. the audited financial statements of each Obligor for that financial year; and 19.1.2. as soon as the same become available, but in any event within 180 (one hundred and eighty) days after the end of each half of each of its financial years its unaudited consolidated financial statements for that financial half year. 19.2. Compliance Certificate 19.2.1. The Borrower shall supply to the Agent, with each set of financial statements delivered by it pursuant to Clause 19.1.1 and Clause 19.1.2 of Clause 19.1 (Financial statements), a Compliance Certificate setting out (in reasonable detail) computations as to compliance with Clause 20 (Financial Covenants) as at the date as at which those financial statements were drawn up. 19.2.2. Each Compliance Certificate shall be signed by 2 (two) directors of the Borrower. 19.3. Requirements as to financial statements Each set of financial statements delivered by the Borrower pursuant to Clause 19.1 (Financial statements) shall be certified by a director of the relevant company as fairly presenting its financial condition as at the date as at which those financial statements were drawn up. 19.4. Group companies At the request of the Agent, the Borrower shall, when it delivers a Compliance Certificate, include a report certified by the Chief Financial Officer of the Group, confirm which of its Subsidiaries is a Material Company and confirming compliance with Clause 21.17 (Guarantor coverage) in any Compliance Certificate as at the last day of the Measurement Period to which the Compliance Certificate relates. 19.5. Year-end The Borrower shall not change its Accounting Reference Date. 19.6. Information: miscellaneous The Borrower shall supply to the Agent (in sufficient copies for all the Lenders, if the Agent so requests): 19.6.1. all documents dispatched by the Borrower to its shareholders (or any class of them) or its creditors generally (or any class of them) at the same time as they are dispatched; 19.6.2. promptly upon becoming aware of them, the details of any litigation, arbitration, administrative proceedings, liquidation applications, winding up applications or business rescue applications which are current, threatened or pending against it or any other member of the Group, and which might, if adversely determined, have a Material Adverse Effect;


 
59 <ENS>#0537844 CP2.1 Facility Agreement - Nedbank – DRDGOLD EXT3 19.6.3. promptly upon becoming aware of them, the details of any judgment or order of a court, arbitral body or agency which is made against any member of the Group, and which might have a Material Adverse Effect; 19.6.4. promptly, such further information regarding the financial condition, business and operations of any member of the Group as any Finance Party (through the Agent) may reasonably request; 19.6.5. promptly, notice of any change in authorised signatories of it or any other Obligor signed by a director or company secretary of it or such other Obligor (as the case may be) accompanied by specimen signatures of any new authorised signatories; and 19.6.6. promptly upon request, such additional information or documentation as the Agent may require in order to verify that any signatory referred to in Clause 19.6.4 above has been duly authorised. 19.7. Notification of default 19.7.1. Each Obligor shall notify the Agent of any Default (and the steps, if any, being taken to remedy it) promptly upon becoming aware of its occurrence (unless that Obligor is aware that a notification has already been provided by another Obligor). 19.7.2. Promptly upon a request by the Agent, the Borrower shall supply to the Agent a certificate signed by two of its directors or senior officers on its behalf certifying that no Default is continuing (or if a Default is continuing, specifying the Default and the steps, if any, being taken to remedy it). 19.8. Use of websites 19.8.1. The Borrower may satisfy its obligation under this Agreement to deliver any information in relation to those Lenders (the "Website Lenders") who accept this method of communication by posting this information onto an electronic website designated by the Borrower and the Agent (the "Designated Website") if: 19.8.1.1. the Agent expressly agrees (after consultation with each of the Lenders) that it will accept communication of the information by this method; 19.8.1.2. both the Borrower and the Agent are aware of the address of and any relevant password specifications for the Designated Website; and 19.8.1.3. the information is in a format previously agreed between the Borrower and the Agent. 19.8.2. If any Lender (a "Paper Form Lender") does not agree to the delivery of information electronically then the Agent shall notify the Borrower accordingly and the Borrower shall supply the information to the Agent (in sufficient copies for each Paper Form Lender) in paper form. In any event the Borrower shall supply the Agent with at least one copy in paper form of any information required to be provided by it. 19.8.3. The Agent shall supply each Website Lender with the address of and any relevant password specifications for the Designated Website following designation of that website by the Borrower and the Agent. 19.8.4. The Borrower shall promptly upon becoming aware of its occurrence notify the Agent if: 19.8.4.1. the Designated Website cannot be accessed due to technical failure;


 
60 <ENS>#0537844 CP2.1 Facility Agreement - Nedbank – DRDGOLD EXT3 19.8.4.2. the password specifications for the Designated Website change; 19.8.4.3. any new information which is required to be provided under this Agreement is posted onto the Designated Website; 19.8.4.4. any existing information which has been provided under this Agreement and posted onto the Designated Website is amended; or 19.8.4.5. the Borrower becomes aware that the Designated Website or any information posted onto the Designated Website is or has been infected by any electronic virus or similar software. 19.8.5. If the Borrower notifies the Agent under Clause 19.8.4.1 or Clause 19.8.4.5 above, all information to be provided by the Borrower under this Agreement after the date of that notice shall be supplied in paper form unless and until the Agent and each Website Lender is satisfied that the circumstances giving rise to the notification are no longer continuing. 19.8.6. Any Website Lender may request, through the Agent, one paper copy of any information required to be provided under this Agreement which is posted onto the Designated Website. The Borrower shall comply with any such request within 10 (ten) Business Days. 19.9. "Know your customer" checks 19.9.1. If: 19.9.1.1. the introduction of or any change in (or in the interpretation, administration or application of) any law or regulation made after the Signature Date; 19.9.1.2. any change in the status of an Obligor (or of a Holding Company of an Obligor) after the Signature Date; or 19.9.1.3. a proposed assignment or transfer by a Lender of any of its rights and obligations under this Agreement to a party that is not a Lender prior to such assignment or transfer, obliges the Agent or any Lender (or, in the case of sub-clause 19.9.1.3 above, any prospective new Lender) to comply with "know your customer" or similar identification procedures (whether in terms of the Financial Intelligence Centre Act, 2001 or otherwise) in circumstances where the necessary information is not already available to it, each Obligor shall promptly upon the request of the Agent or any Lender supply, or procure the supply of, such documentation and other evidence as is reasonably requested by the Agent (for itself or on behalf of any Lender) or any Lender (for itself or, in the case of the event described in sub- clause 19.9.1.3, on behalf of any prospective new Lender) in order for the Agent, such Lender or, in the case of the event described in sub-clause 19.9.1.3, any prospective new Lender to carry out and be satisfied it has complied with all necessary "know your customer" or other similar checks under all applicable laws and regulations pursuant to the transactions contemplated in the Finance Documents. Each Lender shall promptly upon the request of the Agent supply, or procure the supply of, such documentation and other evidence as is reasonably requested by the Agent (for itself) in order for the Agent to carry out and be satisfied it has complied with all necessary "know your customer" or other similar checks under all applicable laws and regulations pursuant to the transactions contemplated in the Finance Documents.


 
61 <ENS>#0537844 CP2.1 Facility Agreement - Nedbank – DRDGOLD EXT3 19.9.2. The Borrower shall, by not less than 10 (ten) Business Days' prior written notice to the Agent, notify the Agent (which shall promptly notify the Lenders) of its intention to request that one of its Subsidiaries becomes an Additional Guarantor pursuant to Clause 23 (Changes to the Obligors). 19.9.3. Following the giving of any notice pursuant to Clause 19.9.2 above, if the accession of such Additional Guarantor obliges the Agent or any Lender to comply with "know your customer" or similar identification procedures in circumstances where the necessary information is not already available to it, the Borrower shall promptly upon the request of the Agent or any Lender supply, or procure the supply of, such documentation and other evidence as is reasonably requested by the Agent (for itself or on behalf of any Lender) or any Lender (for itself or, in the case of the event described in Clause 19.9.2 above, on behalf of any prospective new Lender) in order for the Agent or such Lender or any prospective new Lender to carry out and be satisfied it has complied with all necessary “know your customer” or other similar checks under all applicable laws and regulations pursuant to the accession of such Subsidiary to this Agreement as an Additional Guarantor. 19.10. Sustainability Compliance Certificate, Sustainability Report and Verification Report 19.10.1. The Borrower shall procure that the Agent receives, in sufficient copies for all the Lenders, as soon as the same becomes available but, subject to sub- clause 19.10.2, in any event within 180 (one hundred and eighty) days after the end of each SLL Reference Period, the Sustainability Compliance Certificate for that SLL Reference Period. 19.10.2. The Sustainability Compliance Certificate shall: 19.10.2.1. set out (in reasonable detail): 19.10.2.1.1. the Group's performance (in accordance with the relevant Calculation Methodology) in respect of each SPT for each KPI for the relevant SLL Reference Period, together with the relevant calculations; and 19.10.2.1.2. any Sustainability Margin Adjustment to be applied in accordance with Clause 8.5 (Sustainability Margin Adjustment) and the applicable Margin following application of such Sustainability Margin Adjustment (if any); 19.10.2.2. attaching the Group's sustainability-related information for each KPI for the relevant SLL Reference Period in sufficient detail for the Lenders to assess whether the SPTs have been met during that SLL Reference Period, which may comprise the Group's publicly available annual sustainability report (with or without additions and/or clarifications) (a "Sustainability Report"); 19.10.2.3. attach a correct and complete copy of the verification report prepared for that SLL Reference Period by an External Reviewer in respect of each KPI that such External Reviewer has been appointed to review which satisfies the requirements of sub-clause 19.10.3 below (a "Verification Report"); and 19.10.2.4. confirm that the Sustainability Report and the Verification Report relating to the relevant SLL Reference Period and attached to the Sustainability Compliance Certificate is a correct and complete copy of the original and has not been amended or superseded as at the date of the Sustainability Compliance Certificate.


 
62 <ENS>#0537844 CP2.1 Facility Agreement - Nedbank – DRDGOLD EXT3 19.10.3. The Borrower shall procure that each Verification Report: 19.10.3.1. measures, calculates and verifies each KPI (in accordance with the relevant Calculation Methodology) for the applicable SLL Reference Period and confirms whether or not the applicable SPT for that SLL Reference Period has been met; and 19.10.3.2. refers to any Sustainability Information and/or sets out details of any changes to the Calculation Methodology and/or any Applicable ESG Standard since delivery of the last Sustainability Compliance Certificate (or, in relation to the first Verification Report, since the date of this Agreement) which, in each case, could reasonably be expected to materially affect any KPI and/or any SPT. 19.10.4. Each Sustainability Compliance Certificate shall be signed by 2 (two) directors of the Borrower. 19.11. Sustainability Compliance Certificate Inaccuracy 19.11.1. The Borrower shall notify the Agent upon becoming aware of any inaccuracy in a Sustainability Compliance Certificate (a "Sustainability Compliance Certificate Inaccuracy"). Such notice shall be provided together with: 19.11.1.1. a description (in reasonable detail) of the relevant Sustainability Compliance Certificate Inaccuracy; and 19.11.1.2. a revised Sustainability Compliance Certificate which complies with the requirements of 19.10.2 (Sustainability Compliance Certificate, Sustainability Report and Verification Report) and which corrects the relevant Sustainability Compliance Certificate Inaccuracy. 19.11.2. Notwithstanding any other provision of this Clause 19.11, a Sustainability Compliance Certificate Inaccuracy shall not constitute a Sustainability Breach, a Default or an Event of Default. 19.12. Sustainability Information 19.12.1. The Borrower shall procure that the Agent receives, promptly upon request, any additional information which any Lender (through the Agent) may reasonably request in order to: 19.12.1.1. determine and confirm if any SPT has been met; or 19.12.1.2. otherwise determine a member of the Group's compliance with its obligations under any Sustainability Provision. 19.12.2. Each Obligor shall notify the Agent of any Sustainability Breach (and the steps, if any, being taken to remedy it) promptly upon becoming aware of its occurrence (unless that Obligor is aware that a notification has already been provided by another Obligor). 19.12.3. The Borrower shall promptly notify the Agent: 19.12.3.1. upon becoming aware that an External Reviewer has threatened to terminate its appointment, or that an External Reviewer's appointment has been terminated; and 19.12.3.2. of the appointment of any successor External Reviewer.


 
63 <ENS>#0537844 CP2.1 Facility Agreement - Nedbank – DRDGOLD EXT3 19.12.4. The Parties acknowledge and agree that the Agent and the Lenders may rely, without independent verification, upon the accuracy, adequacy and completeness of the Sustainability Information, and that neither the Agent nor any Lender: 19.12.4.1. assumes any responsibility or has any liability for the Sustainability Information; or 19.12.4.2. has an obligation to conduct any appraisal of any Sustainability Information. 20. FINANCIAL COVENANTS 20.1. Financial definitions in this Agreement: 20.1.1. "Borrowings" means, in relation to any member of the Group at any time, the aggregate outstanding principal, capital or nominal amount (and any fixed or minimum premium payable on prepayment or redemption) of any indebtedness of that person for or in respect of: 20.1.1.1. moneys borrowed and debit balances at banks or other financial institutions; 20.1.1.2. any acceptances under any acceptance credit or bill discount facility (or dematerialised equivalent); 20.1.1.3. any note purchase facility or the issue of bonds, notes, debentures, loan stock or any similar instrument; 20.1.1.4. any Finance Lease; 20.1.1.5. receivables sold or discounted (other than any receivables to the extent they are sold on a non-recourse basis); 20.1.1.6. any amount raised by the issue of shares which are redeemable (other than at the option of the issuer) before the Termination Date; 20.1.1.7. any amount of any liability under an advance or deferred purchase agreement if (i) one of the primary reasons behind the entry into the agreement is to raise finance or to finance the acquisition or construction of the asset or service in question or (ii) the agreement is in respect of the supply of assets or services and payment is due more than 90 (ninety) days after the date of supply; 20.1.1.8. any amount raised under any other transaction (including any forward sale or purchase agreement, sale and sale back or sale and leaseback agreement) having the commercial effect of a borrowing; and 20.1.1.9. (without double counting) the amount of any liability in respect of any guarantee or indemnity for any of the items referred to in Clauses 20.1.1.1 to 20.1.1.8 above. 20.1.2. "Cash" means in respect of any Measurement Period, cash as defined in accordance with IFRS, excluding restricted cash.


 
64 <ENS>#0537844 CP2.1 Facility Agreement - Nedbank – DRDGOLD EXT3 20.1.3. "EBITDA" means, in respect of any Measurement Period, the consolidated net operating profit of the Group (as determined in accordance with IFRS in each case during such Measurement Period) before taxation (excluding the results from discontinued operations): 20.1.3.1. before deducting any interest (including interest related to the unwinding of any provision), commission, fees, discounts, prepayment fees, premiums or charges and other finance payments whether paid, payable or capitalised by any member of the Group (calculated on a consolidated basis); 20.1.3.2. not including any accrued interest owing to any member of the Group; 20.1.3.3. before taking into account any Exceptional Items; 20.1.3.4. before deducting any acquisition costs; 20.1.3.5. before taking into account any unrealised gains or losses on any financial instrument (other than any derivative instrument which is accounted for on a hedge accounting basis); 20.1.3.6. after adding back any amount attributable to the amortisation, depreciation or impairment of assets of members of the Group (and taking no account of the reversal of any previous impairment charge made in that Measurement Period). 20.1.4. "Exceptional Items" means any exceptional, once-off, nonrecurring or extraordinary items. 20.1.5. "Finance Charges" means, for any Measurement Period, the aggregate amount of the accrued interest, commission, fees, discounts, prepayment fees, premiums or charges and other finance payments paid or payable by an Obligor in cash or capitalised in respect of that Measurement Period under the Finance Documents: 20.1.5.1. including any upfront fees or costs (including agreed legal fees); and 20.1.5.2. including the interest (but not the capital) element of payments in respect of Finance Leases, and so that no amount shall be added (or deducted) more than once. 20.1.6. "Finance Lease" means any lease or hire purchase contract, a liability under which would, in accordance with the IFRS, be treated as a balance sheet liability (other than a lease or hire purchase contract which would, in accordance with the Accounting Principles in force prior to 1 January 2019 (namely before implementation of IFRS16), have been treated as an operating lease); 20.1.7. "Interest Cover Ratio" means the ratio of EBITDA to Net Finance Charges in respect of any Measurement Period; 20.1.8. "Leverage Ratio" means the ratio of Total Net Debt to EBITDA in respect of any Measurement Period; 20.1.9. "Measurement Date" means the last day of each Measurement Period; 20.1.10. "Measurement Period" means each rolling period of 12 (twelve) Months ending on 30 June or 31 December;


 
65 <ENS>#0537844 CP2.1 Facility Agreement - Nedbank – DRDGOLD EXT3 20.1.11. "Net Finance Charge" means Finance Charges after deducting interest earned on Cash and cash equivalents; 20.1.12. "Total Debt" means the aggregate amount of all Borrowings (but excluding any Borrowings owed to any other member of the Group), provided that no amount shall be included more than once; and 20.1.13. "Total Net Debt" means Total Debt after deducting Cash and cash equivalents. 20.2. Financial condition The Borrower shall ensure that as at each Measurement Date and for the Measurement Period to which such Measurement Date relates: 20.2.1. the Interest Cover Ratio shall not be less than 4.00 x; and 20.2.2. the Leverage Ratio shall not exceed 2.00 x. 20.3. Financial testing 20.3.1. The financial covenants set out in Clause 20.3 (Financial condition) shall be calculated in accordance with IFRS and tested by reference to each of the financial statements delivered pursuant to Clauses 19.1.1 and 19.1.2 of Clause 19.1 (Financial Statements) and/or each Compliance Certificate delivered pursuant to Clause 19.2 (Compliance Certificate). 20.3.2. If the annual financial statements are not available when any covenant referred to in Clause 20.2 (Financial condition) is tested and where relevant information cannot be readily extracted when requested by the Agent, the Borrower shall with 5 (five) Business Days following a request by the Agent, provide additional supporting schedules signed by two directors of the Borrower, in order to verify the accuracy of the information thus provided. 21. GENERAL UNDERTAKINGS The undertakings in this Clause 21 remain in force from the Signature Date until the Final Discharge Date. 21.1. Authorisations Each Obligor shall promptly: 21.1.1. obtain, comply with and do all that is necessary to maintain in full force and effect; and 21.1.2. supply certified copies to the Agent of, any Authorisation required under any law or regulation of a Relevant Jurisdiction to enable it to perform its obligations under the Finance Documents and to ensure the legality, validity, enforceability or admissibility in evidence in its jurisdiction of incorporation of any Finance Document. 21.2. Compliance with laws Each Obligor shall (and the Borrower shall ensure that each other member of the Group will) comply in all respects with all laws that are material to which it may be subject.


 
66 <ENS>#0537844 CP2.1 Facility Agreement - Nedbank – DRDGOLD EXT3 21.3. Negative pledge 21.3.1. No Obligor shall (and the Borrower shall ensure that no other member of the Group will) create or permit to subsist any Security over any of its assets. 21.3.2. No Obligor shall (and the Borrower shall ensure that no other member of the Group will): 21.3.2.1. sell, transfer or otherwise dispose of any of its assets on terms whereby they are or may be leased to or re-acquired by an Obligor or any other member of the Group; 21.3.2.2. sell, transfer or otherwise dispose of any of its receivables on recourse terms; 21.3.2.3. enter into or permit to subsist any title retention arrangement; 21.3.2.4. enter into or permit to subsist any arrangement under which money or the benefit of a bank or other account may be applied, set-off or made subject to a combination of accounts; or 21.3.2.5. enter into or permit to subsist any other preferential arrangement having a similar effect, in circumstances where the arrangement or transaction is entered into primarily as a method of raising Financial Indebtedness or of financing the acquisition of an asset. 21.3.3. Clauses 21.3.1 and 21.3.2 above do not apply to any Permitted Security. 21.4. Disposals 21.4.1. No Obligor shall (and the Borrower shall ensure that no other member of the Group will) enter into a single transaction or a series of transactions (whether related or not) and whether voluntary or involuntary to sell, lease, transfer or otherwise dispose of any asset. 21.4.2. Clause 21.4.1 above does not apply to any sale, lease, transfer or other disposal which is a Permitted Disposal. 21.5. Merger 21.5.1. No Obligor shall (and the Borrower shall ensure that no other member of the Group will) enter into any amalgamation, demerger, merger or corporate reconstruction. 21.5.2. Clause 21.5.1 above does not apply to any sale, lease, transfer or other disposal permitted pursuant to Clause 21.4 (Disposals). 21.6. Acquisitions 21.6.1. No Obligor shall and the Borrower shall ensure that no other member of the Group will) acquire a company or any shares or securities or a business or undertaking (or, in each case, any interest in any of them). 21.6.2. Clause 21.6.1 above does not apply to an acquisition of a company, of shares, securities or a business or undertaking (or, in each case, any interest in any of them) or the incorporation of a company which is pursuant to a Permitted Acquisition.


 
67 <ENS>#0537844 CP2.1 Facility Agreement - Nedbank – DRDGOLD EXT3 21.7. Change of business Each Obligor shall procure that no substantial change is made to the general nature of its business or to the general nature of the business of the Group taken as a whole from that carried on as at the Signature Date, without the prior written consent of the Majority Lenders. 21.8. Joint ventures 21.8.1. Except as permitted under clause 21.8.2, no Obligor shall (and the Borrower shall ensure that no other member of the Group will): 21.8.1.1. enter into, invest in or acquire (or agree to acquire) any shares, stocks, securities or other interest in any Joint Venture; or 21.8.1.2. transfer any assets or lend to or guarantee or give an indemnity for or give Security for the obligations of a Joint Venture or maintain the solvency of or provide working capital to any Joint Venture (or agree to do any of the foregoing). 21.8.2. Clause 21.8.1 does not apply to any acquisition of (or agreement to acquire) any interest in a Joint Venture or transfer of assets (or agreement to transfer assets) to a Joint Venture or loan made to or guarantee given in respect of the obligations of a Joint Venture if such transaction is a Permitted Acquisition, a Permitted Disposal, a Permitted Loan, a Permitted Guarantee or a Permitted Joint Venture. 21.9. Arm's length basis 21.9.1. Except as permitted by clause 21.9.2, no Obligor shall (and the Borrower shall ensure that no other member of the Group will) enter into any transaction with any person except on arm's length terms and for full market value. 21.9.2. Clause 21.10.1 above does not apply to any intra-Group loans permitted under clause 21.10 (Loans or credit). 21.10. Loans or credit 21.10.1. Except as permitted under Clause 21.10.2 below, no Obligor shall (and the Borrower shall ensure that no other member of the Group will) be a creditor in respect of any Financial Indebtedness. 21.10.2. Clause 21.10.1 above does not apply to any Permitted Loan. 21.11. No Guarantees or indemnities 21.11.1. Except as permitted under Clause 21.11.2 below, no Obligor shall (and the Borrower shall ensure that no other member of the Group will) incur or allow to remain outstanding any guarantee in respect of any obligation of any person. 21.11.2. Clause 21.11.1 does not apply to a guarantee which is a Permitted Guarantee. 21.12. Financial Indebtedness 21.12.1. Except as permitted under Clause 21.12.2 below, no Obligor shall (and the Borrower shall ensure that no other member of the Group will) incur or allow to remain outstanding any Financial Indebtedness.


 
68 <ENS>#0537844 CP2.1 Facility Agreement - Nedbank – DRDGOLD EXT3 21.12.2. Clause 21.12.1 above does not apply to Financial Indebtedness which is Permitted Financial Indebtedness. 21.13. Treasury Transactions 21.13.1. Except as permitted under Clause 21.13.2, no Obligor shall (and the Borrower shall ensure that no other member of the Group will) enter into a Treasury Transaction. 21.13.2. Clause 21.13.1 does not apply to a Treasury Transaction which is a Permitted Treasury Transaction 21.14. Environmental compliance Each Obligor (and the Borrower shall ensure that every other member of the Group will) shall: 21.14.1. comply with all Environmental Law; 21.14.2. obtain, maintain and ensure compliance with all requisite Environmental Permits; 21.14.3. implement procedures to monitor compliance with and to prevent liability under any Environmental Law, where failure to do so has or is reasonably likely to have a Material Adverse Effect. 21.15. Environmental claims Each Obligor shall (and the Borrower shall ensure that every other member of the Group will), promptly upon becoming aware of the same, inform the Agent in writing of: 21.15.1. any Environmental Claim against it or any other member of the Group which is current, pending or threatened; and 21.15.2. any facts or circumstances which are reasonably likely to result in any Environmental Claim being commenced or threatened against it or any member of the Group, where the claim, if determined against that member of the Group, has or is reasonably likely to have a Material Adverse Effect. 21.16. Sanctions and Anti-corruption Laws 21.16.1. Each Obligor will (and the Borrower shall ensure that every other member of the Group will): 21.16.1.1. take all reasonable steps to ensure that appropriate controls and safeguards are in place, designed to prevent it from being or becoming involved in a Sanctioned Transaction; and 21.16.1.2. conduct its businesses in compliance with applicable Anti-Corruption Laws and maintain policies and procedures designed to promote and achieve compliance with such laws. 21.16.2. No Obligor shall (and the Borrower shall ensure that none of its Subsidiaries will) directly or indirectly use the proceeds of the Facility for any purpose which would constitute a breach any Anti-Corruption Law.


 
69 <ENS>#0537844 CP2.1 Facility Agreement - Nedbank – DRDGOLD EXT3 21.16.3. Each Obligor shall (and the Borrower shall ensure that none of its Subsidiaries will): 21.16.3.1. conduct its businesses in compliance with applicable Anti-Corruption Laws; and 21.16.3.2. maintain policies and procedures designed to promote and achieve compliance with such laws. 21.17. Guarantor Coverage 21.17.1. Each Obligor shall ensure that: 21.17.1.1. any member of the Group which is a Material Company as at the Effective Date, is a Guarantor; and 21.17.1.2. any member of the Group which becomes a Material Company after the Effective Date becomes a Guarantor in accordance with Clause 23.2 (Additional Guarantors). 21.17.2. Each Obligor shall ensure that: 21.17.2.1. the aggregate earnings before interest, tax, depreciation and amortisation (calculated on the same basis as EBITDA) of the Obligors and represents not less than 80% (eighty percent) of EBITDA; and 21.17.2.2. the aggregate gross tangible assets (calculated on an unconsolidated basis and excluding all intra-group items and investments in Subsidiaries of any member of the Group) of the Obligors represents not less than 80% (eighty percent) of consolidated gross tangible assets of the Group. 21.17.2.3. The Borrower shall measure and confirm its compliance with this Clause 21.16 whenever it delivers a Compliance Certificate. 21.18. Insurances Each Obligor shall maintain insurances in relation to its business and assets with reputable underwriters or insurance companies against those risks and to the extent as is usual for companies carrying on the same or substantially similar business. 21.19. Constitutional Documents Each Obligor shall procure that no change is made to its constitutional documents in a manner or to an extent which is reasonably likely to adversely affect the interests of the Lenders under the Finance Documents. 21.20. Taxation Each Obligor shall duly and punctually pay and discharge all Taxes imposed upon it or its assets within the time period allowed without incurring material penalties, except to the extent: 21.20.1. that such payment is being contested in good faith; 21.20.2. adequate reserves are being maintained for those Taxes; and 21.20.3. where such payment can be lawfully withheld.


 
70 <ENS>#0537844 CP2.1 Facility Agreement - Nedbank – DRDGOLD EXT3 21.21. Assets 21.21.1. Each Obligor shall ensure that it has good title to, or validly leases or licences, all of the assets necessary to carry on its business. 21.21.2. Each Obligor shall maintain in good working order and condition (ordinary wear and tear excepted) all of its assets necessary or desirable in the conduct of its business 21.22. Declassification Event and consequences 21.22.1. On and at any time after the occurrence of a Declassification Event the Agent may, and shall if so directed by the Majority Lenders, by no less than 30 (thirty) Business Days' notice to the Borrower, declassify the Facility as "sustainability- linked". 21.22.2. With effect from the Declassification Date: 21.22.2.1. Clause 8.5 (Sustainability Margin Adjustment) and each Sustainability Provision shall cease to apply; and 21.22.2.2. no Sustainability Margin Adjustment will apply to any Utilisation. 21.22.3. The Facility may not be re-classified as "sustainability-linked" on or after the Declassification Date. 21.22.4. No Obligor shall (and the Borrower shall ensure that no other member of the Group will) make any disclosure that references the Facility or any Utilisation as "sustainability-linked" at any time on or after the Declassification Date. 21.23. Sustainability Framework and publicity 21.23.1. The Borrower shall finalise, adopt and publish a Sustainability Framework by no later than the date that falls 18 (eighteen) Months after the Effective Date. 21.23.2. No Obligor shall (and the Borrower shall ensure that no other member of the Group will) make any disclosure that references the Facility or any Utilisation under the Facility as “sustainability-linked” at any time: 21.23.2.1. prior to the publication of the Sustainability Framework and the occurrence of the SLL Classification Date; or 21.23.2.2. after the Declassification Date. 21.24. Subordination by Obligors 21.24.1. Subject to clause 21.24.2, each Obligor unconditionally and irrevocably subordinates its claims against any other Obligor in favour of any claims of the Finance Parties under the Finance Documents. 21.24.2. Until the Final Discharge Date: 21.24.2.1. no Obligor shall call an event of default or redemption event (or other analogous event however described) against any other Obligor and/or accelerate any indebtedness or other amount owing by any other Obligor to it;


 
71 <ENS>#0537844 CP2.1 Facility Agreement - Nedbank – DRDGOLD EXT3 21.24.2.2. no payment (whether directly or indirectly) of any amount payable (whether it be in whole or in part) by an Obligor to any other Obligor in respect of or arising from any claims shall be made or accepted by the Obligors at any time following the occurrence of an Event of Default under the Finance Documents that is continuing; 21.24.2.3. the Obligors shall not take, accept or receive the benefit of any security from any other Obligor; 21.24.2.4. no Obligor shall dispose of or encumber its shares in or claims against any other Obligor; 21.24.2.5. no Obligor shall obtain or enforce any judgment against any other Obligor arising from or in connection with the Finance Parties’ claims; 21.24.2.6. no Obligor shall, in relation to any liability arising out of or in connection with the Finance Parties’ claims, petition or apply for or vote in favour of any resolution for the winding up, dissolution, sequestration or administration, or the commencement of business rescue proceedings, or any analogous or similar processes in relation to any other Obligor; 21.24.2.7. if an Obligor is placed in liquidation (whether provisional or final), or effects a composition, compromise, or rescheduling with any of its creditors or if a proposal and sanction of a scheme of arrangement in respect of an Obligor occurs or if an Obligor commences business rescue proceedings, then the other Obligors undertake in respect of any claim proved by any of them that they shall hold any money received by them in trust on behalf of and to the order of the Agent and shall pay any such amounts to the Agent immediately on written demand by the Agent to the extent required in order to pro tanto discharge the aforesaid claims in respect of the Finance Parties; 21.24.2.8. no Obligor shall be entitled to pledge, assign, cede or otherwise encumber or transfer its claims against any other Obligor to any person unless and until it has procured that the pledgee, assignee or cessionary (as applicable) subordinates such claims in writing in favour of the claims of the Finance Parties on the same terms and conditions as are contained in this Agreement and such person so subordinates such claims (in a form and substance acceptable to the Agent); 21.24.2.9. without limiting the Finance Parties’ rights in any way, any payment accepted by an Obligor from any other Obligor in contravention, whether intentional or unintentional, of the terms of the Finance Documents, shall be repaid by that Obligor to the other Obligor immediately on written demand by the Agent and until so repaid shall be held in trust for and to the order of the Agent; 21.24.2.10. no Obligor shall enforce any judgment against any other Obligor nor make any application for the liquidation, composition, compromise, administration, commencement of business rescue proceedings or any analogous or similar process or the proposal of a scheme of arrangement in respect of any other Obligor, or collaborate with any other creditors of any other Obligor in the making of such application; and


 
72 <ENS>#0537844 CP2.1 Facility Agreement - Nedbank – DRDGOLD EXT3 21.24.2.11. no Obligor shall, in the event that business rescue proceedings have commenced in relation to any other Obligor in accordance with the provisions of Chapter 6 of the Companies Act, (in its capacity as shareholder and/or creditor of the other Obligor (as the case may be)): 21.24.2.11.1. vote to approve or oppose a proposed business rescue plan in relation to such business rescue proceedings in the manner contemplated in section 152(3)(c) of the Companies Act; and/or 21.24.2.11.2. provide, or call for, a vote of approval for the preparation and publication of a revised business rescue plan as contemplated in section 153(1) of the Companies Act; and/or 21.24.2.11.3. make a binding offer to purchase the voting interests of one or more persons who opposed adoption of the business rescue plan in the manner contemplated in section 153(1)(b)(ii) of the Companies Act, if such vote, provision or offer would reduce the amounts payable to the Finance Parties under the Finance Documents, unless, in each case, it has obtained the prior written consent of the Agent. 21.25. Reciprocal undertaking The Parties shall amend the Overdraft Facility Letter in the manner required under Clause 3.1.2 of Schedule 1 (General Provisions) thereof (and the Borrower shall use its best endeavours to ensure that such amendments are effected) by no later than 8 August 2024 (or such later date as the lender under the Overdraft Facility Letter may permit in writing). 22. EVENTS OF DEFAULT Each of the events or circumstances set out in this Clause 21.25 is an Event of Default (save for Clause 22.16 (Acceleration)). 22.1. Non-payment An Obligor does not pay on the due date any amount payable pursuant to a Finance Document at the place and in the currency in which it is expressed to be payable unless: 22.1.1. its failure to pay is caused by: 22.1.1.1. administrative or technical error; or 22.1.1.2. a Disruption Event; and 22.1.2. payment is made within 5 (five) Business Days of its due date. 22.2. Financial covenants Any requirement of Clause 20 (Financial covenants) is not satisfied.


 
73 <ENS>#0537844 CP2.1 Facility Agreement - Nedbank – DRDGOLD EXT3 22.3. Other obligations 22.3.1. An Obligor does not comply with any provision of the Finance Documents (other than those referred to in Clause 22.1 (Non-payment) and Clause 22.2 (Financial covenants)). 22.3.2. No Event of Default under Clause 22.3.1 above will occur if the failure to comply is capable of remedy and is remedied within 15 (fifteen) Business Days of the Agent giving notice to the Borrower. 22.3.3. No Event of Default will occur under this Clause 22.3 by reason only of an Obligor's failure to comply with a Sustainability Provision. 22.4. Misrepresentation 22.4.1. Any representation or statement made or deemed to be made by an Obligor in the Finance Documents or any other document delivered by or on behalf of any Obligor under or in connection with any Finance Document is or proves to have been incorrect or misleading in any material respect when made or deemed to be made, provided that if it is capable of remedy, no Event of Default will occur if the same is remedied within 10 (ten) Business Days of the Agent giving notice to the Borrower. 22.4.2. No Event of Default will occur under this Clause 22.4 to the extent that the representation or statement concerns, or the document consists of, Sustainability Information. 22.5. Cross default 22.5.1. Any Financial Indebtedness of an Obligor is not paid when due nor within any originally applicable grace period. 22.5.2. Any Financial Indebtedness of an Obligor is declared to be or otherwise becomes due and payable prior to its specified maturity as a result of an event of default (however described). 22.5.3. Any commitment for any Financial Indebtedness of an Obligor is cancelled or suspended by a creditor of any member of the Group as a result of an event of default (however described). 22.5.4. Any creditor of an Obligor becomes entitled to declare any Financial Indebtedness of an Obligor due and payable prior to its specified maturity as a result of an event of default (however described). 22.5.5. No Event of Default will occur under this Clause 22.5 if the aggregate amount of Financial Indebtedness or commitment for Financial Indebtedness falling within Clauses 22.5.1 to 22.5.4 above is less than ZAR100,000,000 (one hundred million Rand) (or its equivalent in any other currency or currencies). 22.6. Insolvency 22.6.1. A member of the Group is or is deemed by any authority or legislation to be: 22.6.1.1. unable or admits inability to pay its debts as they fall due; 22.6.1.2. suspends making payments on any of its debts; or


 
74 <ENS>#0537844 CP2.1 Facility Agreement - Nedbank – DRDGOLD EXT3 22.6.1.3. by reason of actual or anticipated financial difficulties, commences negotiations with one or more of its creditors (excluding any Finance Party in its capacity as such) with a view to rescheduling any of its indebtedness. 22.6.2. A member of the Group is or is deemed by any authority or legislation to be Financially Distressed (as defined in the Companies Act 2008). 22.6.3. The value of the assets of any member of the Group is less than its liabilities (taking into account contingent and prospective liabilities). 22.6.4. A moratorium is declared in respect of any indebtedness of any member of the Group. 22.7. Insolvency and business rescue proceedings 22.7.1. Any corporate action, legal proceedings or other procedure or step is taken in relation to: 22.7.1.1. the suspension of payments, a moratorium of any indebtedness, liquidation, winding-up, dissolution, administration, judicial management, business rescue or reorganisation (by way of voluntary arrangement, scheme of arrangement or otherwise) of any member of the Group other than a solvent liquidation or reorganisation of any member of the Group which is not an Obligor; 22.7.1.2. a composition, compromise, assignment or arrangement with any creditor of any member of the Group; 22.7.1.3. the appointment of a liquidator (other than in respect of a solvent liquidation of a member of the Group which is not an Obligor), receiver, administrative receiver, administrator, compulsory manager, judicial manager, business rescue practitioner or other similar officer in respect of any member of the Group or any of its assets; or 22.7.1.4. enforcement of any Security over any assets of any member of the Group, or any analogous procedure or step is taken in any jurisdiction. This Clause 22.7 shall not apply to any winding-up petition which is frivolous or vexatious and is discharged, stayed or dismissed within 60 (sixty) days of commencement. 22.7.2. A meeting is proposed or convened by the directors of any member of the Group, a resolution is proposed or passed, application is made or an order is applied for or granted, to authorise the entry into or implementation of any business rescue proceedings (or any similar proceedings) in respect of any member of the Group or any analogous procedure or step is taken in any jurisdiction. 22.8. Creditors' process Any expropriation, attachment, sequestration, implementation of any business rescue plan, distress or execution affects any asset or assets of a member of the Group having an aggregate value of in excess of ZAR100,000,000 (one hundred million Rand). 22.9. Ownership of the Obligors An Obligor (other than the Borrower) is not or ceases to be a Subsidiary of the Borrower


 
75 <ENS>#0537844 CP2.1 Facility Agreement - Nedbank – DRDGOLD EXT3 22.10. Unlawfulness It is or becomes unlawful for an Obligor to perform any of its obligations under the Finance Documents. 22.11. Cessation of business Any Obligor suspends or ceases to carry on all or a substantial part of its business or substantially changes the nature of the business undertaken by it as at the Signature Date, except pursuant to a Permitted Disposal. 22.12. Audit qualification 22.12.1. The Auditors of the Borrower qualify the audited annual consolidated financial statements of the Group in any material respect. 22.12.2. The Auditors of any Obligor qualifies the financial statements of that Obligor, with a negative opinion or a negative disclaimer, or withhold their opinion entirely. 22.13. Expropriation 22.13.1. The authority or ability of any Obligor to conduct its business is limited or wholly or substantially curtailed by any seizure, expropriation, nationalisation, compulsory acquisition, intervention, restriction or other action by or on behalf of any governmental, regulatory or other authority or other person. 22.13.2. By the authority of any governmental, regulatory or other authority or other person: 22.13.2.1. the management of any Obligor is wholly or substantially replaced; or 22.13.2.2. all or a majority of the shares of an Obligor or the whole or any part of its assets or revenues is seized, expropriated or compulsorily acquired. 22.14. Repudiation An Obligor (or any other relevant party) repudiates a Finance Document or purports to repudiate a Finance Document or evidences an intention to repudiate a Finance Document. 22.15. Material adverse change Any event or circumstance occurs which has or is reasonably likely to have a Material Adverse Effect. 22.16. Acceleration On and at any time after the occurrence of an Event of Default the Agent may by notice to the Borrower: 22.16.1. cancel the entire Commitments whereupon they shall immediately be cancelled; 22.16.2. declare that all or part of the Loans, together with accrued interest, and all other amounts accrued or outstanding under the Finance Documents be immediately due and payable, whereupon they shall become immediately due and payable; and/or 22.16.3. declare that all or part of the Loans be payable on demand, whereupon they shall immediately become payable on demand by the Agent on the instructions of the Majority Lenders.


 
76 <ENS>#0537844 CP2.1 Facility Agreement - Nedbank – DRDGOLD EXT3 23. CHANGES TO THE OBLIGORS 23.1. Cessions and delegations by Obligors No Obligor may cede any of its rights or delegate any of its obligations under the Finance Documents. 23.2. Additional Guarantors 23.2.1. Subject to sub-clauses 19.9.2 and 19.9.3 of Clause 19.9 ("Know your customer" checks), each Obligor shall procure that any member of the Group which becomes a Material Company after the Effective Date shall as soon as possible, but in any event within 20 (twenty) Business Days of becoming a Material Company, become an Additional Guarantor. 23.2.2. If a member of the Group is required to accede and become an Additional Guarantor in order in order to comply with Clause 21.17.2 of Clause 21.17 (Guarantor Coverage), that member shall do so by no later than 20 (twenty) Business Days after the Borrower or a Lender became aware that an accession was required to ensure compliance Clause 21.17.2 of Clause 21.17 (Guarantor Coverage). 23.2.3. Subject to compliance with the provisions of Clauses 19.9.2 and 19.9.3 of Clause 19.8 ("Know your customer" checks), the Borrower may request that any of its wholly owned Subsidiaries become an Additional Guarantor. 23.2.4. A member of the Group shall become an Additional Guarantor if: 23.2.4.1. the Borrower and the proposed Additional Guarantor deliver to the Agent a duly completed and executed Accession Letter; and 23.2.4.2. the Agent has received all of the documents and other evidence listed in Part II (Conditions Precedent to be delivered by an Additional Guarantor) of Schedule 2 (Conditions precedent) in relation to that Additional Guarantor, each in form and substance satisfactory to the Agent. 23.2.5. The Agent shall notify the Borrower promptly upon being satisfied that it has received (in form and substance satisfactory to it) all the documents and other evidence listed in Part II (Conditions Precedent to be delivered by an Additional Guarantor) of Schedule 2 (Conditions precedent). 23.3. Repetition of Representations Delivery of an Accession Letter constitutes confirmation by the relevant Subsidiary that the Repeating Representations are true and correct in relation to it as at the date of delivery as if made by reference to the facts and circumstances then existing. 23.4. Resignation of a Guarantor 23.4.1. The Borrower may request that a Guarantor (other than the Borrower) ceases to be a Guarantor by delivering to the Agent a Resignation Letter.


 
77 <ENS>#0537844 CP2.1 Facility Agreement - Nedbank – DRDGOLD EXT3 23.4.2. The Agent shall (on the instructions of the Majority Lenders) accept a Resignation Letter and notify the Borrower and the Lenders of its acceptance if no Default is continuing or would result from the acceptance of the Resignation Letter (and the Borrower has confirmed this is the case). 24. CHANGES TO THE LENDERS 24.1. Cessions and delegations by the Lenders 24.1.1. Subject to the provisions of this Clause 24, a Lender (the "Existing Lender") may cede and/or delegate (a "Transfer") any or all of its rights and/or obligations under this Agreement to a Permitted Transferee (a "New Lender"). 24.1.2. The Borrower consents to any splitting of claims which may arise as a result of a Transfer implemented under this Agreement. 24.2. Conditions of Transfer 24.2.1. The consent of the Borrower is not required for a Transfer by an Existing Lender if: 24.2.1.1. the New Lender is any entity listed in Schedule 9 (Permitted Transferees) 24.2.1.2. the New Lender is another Lender or an Affiliate of a Lender; or 24.2.1.3. such Transfer is made at a time when a Default is continuing. 24.2.2. Except as detailed above and subject to Clause 24.2.3 below, the express consent of the Borrower is required for a Transfer to a prospective New Lender. 24.2.3. A Transfer of a part of its Commitment or part of its rights and obligations under this Agreement and the Finance Documents by an Existing Lender to a New Lender shall not be permitted if: 24.2.3.1. it results in more than 4 (four) Lenders holding Commitments under this Agreement at any time; or 24.2.3.2. the amount of the Commitment being transferred is less than ZAR250,000,000 (two hundred and fifty million Rand). 24.2.4. Except as detailed in  Clause 24.2.1, the express consent of the Borrower is required for a Transfer to which the further restrictions in Clause 24.2.3 apply. If no express consent has been granted, the Borrower will be deemed to have refused its consent in respect of a Transfer to which the further restrictions in Clause 24.2.3 apply 7 (seven) Business Days after the Agent has requested such consent in writing. 24.2.5. A Transfer will only be effective if the procedure set out in Clause 24.4 is complied with. 24.3. Limitation of responsibility of Existing Lenders 24.3.1. Unless expressly agreed to the contrary, an Existing Lender makes no representation or warranty and assumes no responsibility to a New Lender for: 24.3.1.1. the legality, validity, effectiveness, adequacy or enforceability of the Finance Documents or any other documents; 24.3.1.2. the financial condition of the Borrower;


 
78 <ENS>#0537844 CP2.1 Facility Agreement - Nedbank – DRDGOLD EXT3 24.3.1.3. the performance and observance by the Borrower of its obligations under the Finance Documents or any other documents; or 24.3.1.4. the accuracy of any statements (whether written or oral) made in or in connection with any Finance Document or any other document, and any representations or warranties implied by law are excluded. 24.3.2. Each New Lender confirms to the Existing Lender and the other Finance Parties that it: 24.3.2.1. has made (and shall continue to make) its own independent investigation and assessment of the financial condition and affairs of the Borrower and its related entities in connection with its participation in this Agreement and has not relied exclusively on any information provided to it by the Existing Lender in connection with any Finance Document; and 24.3.2.2. will continue to make its own independent appraisal of the creditworthiness of the Borrower and its related entities whilst any amount is or may be outstanding under the Finance Documents or any Commitment is in force. 24.3.3. Nothing in any Finance Document obliges an Existing Lender to: 24.3.3.1. accept a re-Transfer from a New Lender of any of the rights and obligations Transferred under this Clause 24; or 24.3.3.2. support any losses directly or indirectly incurred by the New Lender by reason of the non-performance by the Borrower of its obligations under the Finance Documents or otherwise. 24.3.4. If: 24.3.4.1. a Lender Transfers any of its rights or obligations under the Finance Documents; and 24.3.4.2. as a result of circumstances existing at the date the Transfer occurs, an Obligor would be obliged to make a payment to the New Lender under Clause 12 (Tax gross-up and indemnities) or Clause 13 (Increased Costs), then the New Lender is only entitled to receive payment under those Clauses to the same extent as the Existing Lender would have been if the Transfer had not occurred. 24.4. Procedure for transfer 24.4.1. Subject to the conditions set out in Clause 24.2, a Transfer is effected in accordance with Clause 24.4.3 when the Agent execute an otherwise duly completed Transfer Certificate delivered to it by the Borrower and the New Lender. The Agent shall, subject to Clause 24.4.2, as soon as reasonably practicable after receipt by it of a duly completed Transfer Certificate appearing on its face to comply with the terms of this Agreement and delivered in accordance with the terms of this Agreement, execute that Transfer Certificate. 24.4.2. The Agent shall only be obliged to execute a Transfer Certificate delivered to it by the New Lender once it is satisfied it has complied with all necessary know your customer or other similar checks under all applicable laws and regulations that apply to it (if any) in relation to the transfer to such New Lender.


 
79 <ENS>#0537844 CP2.1 Facility Agreement - Nedbank – DRDGOLD EXT3 24.4.3. On the Transfer Date: 24.4.3.1. the Transfer shall take effect under the Finance Documents so that the rights and/or obligations which are the subject of the Transfer shall be ceded and delegated by the Existing Lender to the New Lender (being the "Transferred Rights and Obligations"); 24.4.3.2. the Obligors shall perform their obligations and exercise their rights in relation to the Transferred Rights and Obligations in favour of or against the New Lender, as the case may be; 24.4.3.3. the New Lender and other Lenders shall acquire the same rights and assume the same obligations between themselves as they would have acquired and assumed had the New Lender been a Lender from the Signature Date with the rights and/or obligations comprising the Transferred Rights and Obligations; 24.4.3.4. the Existing Lender shall be released from further obligations to each other Lender under the Finance Documents to the extent of the Transferred Rights and Obligations; and 24.4.3.5. the New Lender shall become a Party as a "Lender". 24.5. Costs resulting from a change of Lender If: 24.5.1. a Lender Transfers any of its rights or obligations under the Finance Documents; and 24.5.2. as a result of circumstances existing at the date the Transfer occurs, the Borrower would be obliged to make a payment to the New Lender under Clause 12 (Tax Gross-up and Indemnities)) or Clause 13 (Increased Costs), then, the New Lender is only entitled to receive payment under those clauses to the same extent as the Existing Lender would have been if the Transfer or change had not occurred. 24.6. Copy of Transfer Certificate to Company The Agent shall send to the Borrower a copy of each Transfer Certificate executed by it in accordance with Clause 24.4.1 as soon as reasonably practicable after it has executed any such Transfer Certificate. 25. ROLE OF THE AGENT 25.1. Appointment of the Agent 25.1.1. Each other Finance Party appoints the Agent to act as its agent under and in connection with the Finance Documents. 25.1.2. Each other Finance Party authorises the Agent to perform the duties, obligations and responsibilities and exercise the rights, powers, authorities and discretions specifically given to the Agent under or in connection with the Finance Documents together with any other incidental rights, powers, authorities and discretions.


 
80 <ENS>#0537844 CP2.1 Facility Agreement - Nedbank – DRDGOLD EXT3 25.2. Instructions 25.2.1. The Agent shall: 25.2.1.1. unless a contrary indication appears in a Finance Document, exercise or refrain from exercising any right, power, authority or discretion vested in it as Agent in accordance with any instructions given to it by: 25.2.1.1.1. all Lenders if the relevant Finance Document stipulates the matter is an all Lender decision; and 25.2.1.1.2. in all other cases, the Majority Lenders; and 25.2.1.2. not be liable for any act (or omission) if it acts (or refrains from acting) in accordance with Clause 25.2.1.1 above. 25.2.2. The Agent shall be entitled to request instructions, or clarification of any instruction, from the Majority Lenders (or, if the relevant Finance Document stipulates the matter is a decision for any other Lender or group of Lenders, from that Lender or group of Lenders) as to whether, and in what manner, it should exercise or refrain from exercising any right, power, authority or discretion. The Agent may refrain from acting unless and until it receives any such instructions or clarification that it has requested. 25.2.3. Save in the case of decisions stipulated to be a matter for any other Lender or group of Lenders under the relevant Finance Document and unless a contrary indication appears in a Finance Document, any instructions given to the Agent by the Majority Lenders shall override any conflicting instructions given by any other Parties and will be binding on all Finance Parties. 25.2.4. The Agent may refrain from acting in accordance with any instructions of any Lender or group of Lenders until it has received any indemnification and/or security that it may in its discretion require (which may be greater in extent than that contained in the Finance Documents and which may include payment in advance) for any cost, loss or liability which it may incur in complying with those instructions. 25.2.5. In the absence of instructions, the Agent may act (or refrain from acting) as it considers to be in the best interest of the Lenders. 25.2.6. The Agent is not authorised to act on behalf of a Lender (without first obtaining that Lender's consent) in any legal or arbitration proceedings relating to any Finance Document. 25.3. Duties of the Agent 25.3.1. The Agent's duties under the Finance Documents are solely mechanical and administrative in nature. 25.3.2. Subject to Clause 25.3.3 below, the Agent shall forward to a Party the original or a copy of any document which is delivered to the Agent for that Party by any other Party as soon as reasonably practicable after having received that original or copy document as the case may be. 25.3.3. Without prejudice to Clause 24.6 (Copy of Transfer Certificate to Company), Clause 25.3.2 above shall not apply to any Transfer Certificate.


 
81 <ENS>#0537844 CP2.1 Facility Agreement - Nedbank – DRDGOLD EXT3 25.3.4. Except where a Finance Document specifically provides otherwise, the Agent is not obliged to review or check the adequacy, accuracy or completeness of any document it forwards to another Party. 25.3.5. If the Agent receives notice from a Party referring to this Agreement, describing a Default and stating that the circumstance described is a Default, it shall promptly notify the other Finance Parties. 25.3.6. If the Agent is aware of the non-payment of any principal, interest, commitment fee or other fee payable to a Finance Party (other than the Agent) under this Agreement it shall promptly notify the other Finance Parties. 25.3.7. The Agent shall have only those duties, obligations and responsibilities expressly specified in the Finance Documents to which it is expressed to be a party (and no other shall be implied). 25.4. No fiduciary duties 25.4.1. Nothing in any Finance Document constitutes the Agent as a trustee or fiduciary of any other person. 25.4.2. The Agent shall not be bound to account to any Lender for any sum or the profit element of any sum received by it for its own account. 25.5. Business with the Group The Agent may accept deposits from, lend money to and generally engage in any kind of banking or other business with any member of the Group. 25.6. Rights and discretions of the Agent 25.6.1. The Agent may: 25.6.1.1. rely on any representation, communication, notice or document believed by it to be genuine, correct and appropriately authorised; 25.6.1.2. assume that: 25.6.1.2.1. any instructions received by it from the Majority Lenders, any Lender or any group of Lender are duly given in accordance with the terms of the Finance Documents; and 25.6.1.2.2. unless it has received notice of revocation, that those instructions have not been revoked; and 25.6.1.3. rely on a certificate from any person: 25.6.1.3.1. as to any matter of fact or circumstance which might reasonably be expected to be within the knowledge of that person; or 25.6.1.3.2. to the effect that such person approves of any particular dealing, transaction, step, action or thing, as sufficient evidence that that is the case and, in the case of Clause 25.6.1 above, may assume the truth and accuracy of that certificate.


 
82 <ENS>#0537844 CP2.1 Facility Agreement - Nedbank – DRDGOLD EXT3 25.6.2. The Agent may assume (unless it has received notice to the contrary in its capacity as agent for the Lenders) that: 25.6.2.1. no Default has occurred (unless it has actual knowledge of a Default arising under Clause 22.1 (Non-payment)); 25.6.2.2. any right, power, authority or discretion vested in any Party or any group of Lenders has not been exercised; and 25.6.2.3. any notice or request made by the Borrower (other than a Utilisation Request) is made on behalf of and with the consent and knowledge of all the Obligors. 25.6.3. The Agent may engage and pay for the advice or services of any lawyers, accountants, tax advisers, surveyors or other professional advisers or experts. 25.6.4. Without prejudice to the generality of Clause 25.6.3 above or Clause 25.6.5 below, the Agent may at any time engage and pay for the services of any lawyers to act as independent counsel to the Agent (and so separate from any lawyers instructed by the Lenders) if the Agent in its reasonable opinion deems this to be necessary. 25.6.5. The Agent may rely on the advice or services of any lawyers, accountants, tax advisers, surveyors or other professional advisers or experts (whether obtained by the Agent or by any other Party) and shall not be liable for any damages, costs or losses to any person, any diminution in value or any liability whatsoever arising as a result of its so relying. 25.6.6. The Agent may act in relation to the Finance Documents through its officers, employees and agents. 25.6.7. Unless a Finance Document expressly provides otherwise, the Agent may disclose to any other Party any information it reasonably believes it has received as agent under this Agreement. 25.6.8. Notwithstanding any other provision of any Finance Document to the contrary, the Agent is not obliged to do or omit to do anything if it would, or might in its reasonable opinion, constitute a breach of any law or regulation or a breach of a fiduciary duty or duty of confidentiality. 25.6.9. Notwithstanding any provision of any Finance Document to the contrary, the Agent is not obliged to expend or risk its own funds or otherwise incur any financial liability in the performance of its duties, obligations or responsibilities or the exercise of any right, power, authority or discretion if it has grounds for believing the repayment of such funds or adequate indemnity against, or security for, such risk or liability is not reasonably assured to it. 25.7. Responsibility for documentation The Agent is not responsible or liable for: 25.7.1. the adequacy, accuracy or completeness of any information (whether oral or written) supplied by the Agent, an Obligor or any other person in connection with any Finance Document or the transactions contemplated in the Finance Documents or any other agreement, arrangement or document entered into, made or executed in anticipation of, under or in connection with any Finance Document;


 
83 <ENS>#0537844 CP2.1 Facility Agreement - Nedbank – DRDGOLD EXT3 25.7.2. the legality, validity, effectiveness, adequacy or enforceability of any Finance Document or any other agreement, arrangement or document entered into, made or executed in anticipation of, under or in connection with any Finance Document; 25.7.3. any determination as to whether any information provided or to be provided to any Finance Party is non-public information the use of which may be regulated or prohibited by applicable law or regulation relating to insider dealing or otherwise; or 25.7.4. the adequacy, accuracy or completeness of any Sustainability Information (whether oral or written) supplied by (or on behalf of) the Borrower, any member of the Group, the External Reviewer or any other person in or in connection with any Sustainability Report, any Verification Report and/or any sustainability provisions contemplated in this Agreement or any other agreement, arrangement or document entered into, made or executed in anticipation of, under or in connection with the Facility. 25.8. No duty to monitor The Agent shall not be bound to enquire: 25.8.1. whether or not any Default has occurred; 25.8.2. as to the performance, default or any breach by any Party of its obligations under any Finance Document; 25.8.3. whether any other event specified in any Finance Document has occurred; or 25.8.4. whether or not any Declassification Event, Sustainability Breach, Sustainability Amendment Event or a Sustainability Compliance Certificate Inaccuracy has occurred; or 25.8.5. as to the performance, default or any breach by any Obligor of its obligations under any Sustainability Provision. 25.9. Exclusion of liability 25.9.1. Without limiting Clause 25.9.2 below (and without prejudice to any other provision of any Finance Document excluding or limiting the liability of the Agent), the Agent will not be liable for: 25.9.1.1. any damages, costs or losses to any person, any diminution in value, or any liability whatsoever or arising as a result of taking or not taking any action under or in connection with any Finance Document unless directly caused by its gross negligence or wilful misconduct; 25.9.1.2. exercising, or not exercising, any right, power, authority or discretion given to it by, or in connection with, any Finance Document or any other agreement, arrangement or document entered into, made or executed in anticipation of, under or in connection with, any Finance Document, other than by reason of its gross negligence or wilful misconduct; or 25.9.1.3. without prejudice to the generality of Clauses 25.9.1.1 and 25.9.1.2 above, any damages, costs or losses to any person, any diminution in value or any liability whatsoever (including, without limitation, for negligence or any other category of liability whatsoever but not including any claim based on the fraud of the Agent) arising as a result of:


 
84 <ENS>#0537844 CP2.1 Facility Agreement - Nedbank – DRDGOLD EXT3 25.9.1.3.1. any act, event or circumstance not reasonably within its control; or 25.9.1.3.2. the general risks of investment in, or the holding of assets in, any jurisdiction, including (in each case and without limitation) such damages, costs, losses, diminution in value or liability arising as a result of: nationalisation, expropriation or other governmental actions; any regulation, currency restriction, devaluation or fluctuation; market conditions affecting the execution or settlement of transactions or the value of assets (including any Disruption Event); breakdown, failure or malfunction of any third party transport, telecommunications, computer services or systems; natural disasters or acts of God; war, terrorism, insurrection or revolution; or strikes or industrial action. 25.9.2. No Party (other than the Agent) may take any proceedings against any officer, employee or agent of the Agent in respect of any claim it might have against the Agent or in respect of any act or omission of any kind by that officer, employee or agent in relation to any Finance Document and any officer, employee or agent of the Agent may rely on this Clause subject to Clause 1.3 (Third party rights). 25.9.3. The Agent will not be liable for any delay (or any related consequences) in crediting an account with an amount required under the Finance Documents to be paid by the Agent if the Agent has taken all necessary steps as soon as reasonably practicable to comply with the regulations or operating procedures of any recognised clearing or settlement system used by the Agent for that purpose. 25.9.4. Nothing in this Agreement shall oblige the Agent to carry out: 25.9.4.1. any "know your customer" or other checks in relation to any person: or 25.9.4.2. any check on the extent to which any transaction contemplated by this Agreement might be unlawful for any Lender or for any Affiliate of any Lender, on behalf of any Lender and each Lender confirms to the Agent that it is solely responsible for any such checks it is required to carry out and that it may not rely on any statement in relation to such checks made by the Agent. 25.9.5. Without prejudice to any provision of any Finance Document excluding or limiting the Agent's liability, any liability of the Agent arising under or in connection with any Finance Document shall be limited to the amount of actual loss which has been suffered (as determined by reference to the date of default of the Agent or, if later, the date on which the loss arises as a result of such default) but without reference to any special conditions or circumstances known to the Agent at any time which increase the amount of that loss. In no event shall the Agent be liable for any loss of profits, goodwill, reputation, business opportunity or anticipated saving, or for special, punitive, indirect or consequential damages, whether or not the Agent has been advised of the possibility of such loss or damages. 25.9.6. The Agent is not acting in an advisory capacity to any person in respect of the SLLP nor will the Agent be obliged to verify whether the Facility will comply with the SLLP on behalf of any of the Finance Parties and each Finance Party is solely responsible at all times for making its own independent appraisal of, and analysis in relation to, each KPI, each SPT, the Sustainability Information and any other sustainability-linked provision of this Agreement.


 
85 <ENS>#0537844 CP2.1 Facility Agreement - Nedbank – DRDGOLD EXT3 25.10. Lenders' indemnity to the Agent Each Lender shall (in proportion to its share of the Commitments or, if the Commitments are then zero, to its share of the Commitments immediately prior to their reduction to zero) indemnify the Agent, within 3 (three) Business Days of demand, against, and pay to the Agent, any cost, loss or liability (including, without limitation, for negligence or any other category of liability whatsoever) incurred by the Agent (otherwise than by reason of the Agent's gross negligence or wilful misconduct) (or, in the case of any cost, loss or liability pursuant to Clause 28.9 (Disruption to Payment Systems etc.) notwithstanding the Agent's negligence, gross negligence or any other category of liability whatsoever but not including any claim based on the fraud of the Agent) in acting as Agent under the Finance Documents (unless the Agent has been reimbursed by an Obligor pursuant to a Finance Document). 25.11. Resignation of the Agent 25.11.1. The Agent may resign and appoint one of its Affiliates acting through an office in South Africa as successor by giving notice to the Lenders and the Borrower. 25.11.2. Alternatively the Agent may resign by giving 30 (thirty) days' notice to the Lenders and the Borrower, in which case the Majority Lenders (after consultation with the Borrower) may appoint a successor Agent. 25.11.3. If the Majority Lenders have not appointed a successor Agent in accordance with sub-clause 25.11.2 within 30 (thirty) days after notice of resignation was given, the retiring Agent (after consultation with the Borrower) may appoint a successor Agent (acting through an office in South Africa). 25.11.4. The retiring Agent shall, at its own cost make available to the successor Agent such documents and records and provide such assistance as the successor Agent may reasonably request for the purposes of performing its functions as Agent under the Finance Documents. 25.11.5. The Agent's resignation notice shall only take effect upon the appointment of a successor. 25.11.6. Upon the appointment of a successor, the retiring Agent shall be discharged from any further obligation in respect of the Finance Documents (other than its obligations under sub-clause 25.11.4) but shall remain entitled to the benefit of Clause 14.3 (Indemnity to the Agent) and this Clause 25 (and any agency fees for the account of the retiring Agent shall cease to accrue from (and shall be payable on) that date). Any successor and each of the other Parties shall have the same rights and obligations amongst themselves as they would have had if such successor had been an original Party. 25.11.7. After consultation with the Borrower, the Majority Lenders may, by notice to the Agent, require it to resign in accordance with Clause 25.11.2 above. In this event, the Agent shall resign in accordance with Clause 25.11.2 above. 25.12. Confidentiality 25.12.1. In acting as agent for the Finance Parties, the Agent shall be regarded as acting through its agency division which shall be treated as a separate entity from any other of its divisions or departments. 25.12.2. If information is received by another division or department of the Agent, it may be treated as confidential to that division or department and the Agent shall not be deemed to have notice of it.


 
86 <ENS>#0537844 CP2.1 Facility Agreement - Nedbank – DRDGOLD EXT3 25.13. Relationship with the Lenders 25.13.1. The Agent may treat the person shown in its records as Lender at the opening of business (in the place of the Agent's principal office as notified to the Finance Parties from time to time) as the Lender: 25.13.1.1. entitled to or liable for any payment due under any Finance Document on that day; and 25.13.1.2. entitled to receive and act upon any notice, request, document or communication or make any decision or determination under any Finance Document made or delivered on that day, unless it has received not less than 5 (five) Business Days prior notice from that Lender to the contrary in accordance with the terms of this Agreement. 25.13.2. Any Lender may by notice to the Agent appoint a person to receive on its behalf all notices, communications, information and documents to be made or despatched to that Lender under the Finance Documents. Such notice shall contain the address and (where communication by electronic mail or other electronic means is permitted under Clause 30.6 (Electronic communication)) electronic mail address and/or any other information required to enable the transmission of information by that means (and, in each case, the department or officer, if any, for whose attention communication is to be made) and be treated as a notification of a substitute address, electronic mail address, department and officer by that Lender for the purposes of Clause 30.2 (Addresses) and sub- clause 30.6.1 of Clause 30.6 (Electronic communication) and the Agent shall be entitled to treat such person as the person entitled to receive all such notices, communications, information and documents as though that person were that Lender. 25.14. Credit appraisal by the Lenders Without affecting the responsibility of any Obligor for information supplied by it or on its behalf in connection with any Finance Document, each Lender confirms to the Agent that it has been, and will continue to be, solely responsible for making its own independent appraisal and investigation of all risks arising under or in connection with any Finance Document including but not limited to: 25.14.1. the financial condition, status and nature of each member of the Group; 25.14.2. the legality, validity, effectiveness, adequacy or enforceability of any Finance Document and any other agreement, arrangement or document entered into, made or executed in anticipation of, under or in connection with any Finance Document; 25.14.3. whether that Lender has recourse, and the nature and extent of that recourse, against any Party or any of its respective assets under or in connection with any Finance Document, the transactions contemplated by the Finance Documents or any other agreement, arrangement or document entered into, made or executed in anticipation of, under or in connection with any Finance Document; and 25.14.4. the adequacy, accuracy or completeness of any information provided by the Agent, any Party or by any other person under or in connection with any Finance Document, the transactions contemplated by any Finance Document or any other agreement, arrangement or document entered into, made or executed in anticipation of, under or in connection with any Finance Document.


 
87 <ENS>#0537844 CP2.1 Facility Agreement - Nedbank – DRDGOLD EXT3 25.15. Deduction from amounts payable by the Agent If any Party owes an amount to the Agent under the Finance Documents the Agent may, after giving notice to that Party, deduct an amount not exceeding that amount from any payment to that Party which the Agent would otherwise be obliged to make under the Finance Documents and apply the amount deducted in or towards satisfaction of the amount owed. For the purposes of the Finance Documents that Party shall be regarded as having received any amount so deducted. 26. CONDUCT OF BUSINESS BY THE FINANCE PARTIES No provision of this Agreement will: 26.1. interfere with the right of any Finance Party to arrange its affairs (tax or otherwise) in whatever manner it thinks fit; 26.2. oblige any Finance Party to investigate or claim any credit, relief, remission or repayment available to it or the extent, order and manner of any claim; or 26.3. oblige any Finance Party to disclose any information relating to its affairs (tax or otherwise) or any computations in respect of Tax. 27. SHARING AMONG THE FINANCE PARTIES 27.1. Payments to Finance Parties If a Finance Party (a "Recovering Finance Party") receives or recovers any amount from an Obligor other than in accordance with Clause 27 (Payment mechanics) (a "Recovered Amount") and applies that amount to a payment due under the Finance Documents then: 27.1.1. the Recovering Finance Party shall, within 3 (three) Business Days, notify details of the receipt or recovery, to the Agent; 27.1.2. the Agent shall determine whether the receipt or recovery is in excess of the amount the Recovering Finance Party would have been paid had the receipt or recovery been received or made by the Agent and distributed in accordance with Clause 27 (Payment mechanics), without taking account of any Tax which would be imposed on the Agent in relation to the receipt, recovery or distribution; and 27.1.3. the Recovering Finance Party shall, within 3 (three) Business Days of demand by the Agent, pay to the Agent an amount (the "Sharing Payment") equal to such receipt or recovery less any amount which the Agent determines may be retained by the Recovering Finance Party as its share of any payment to be made, in accordance with Clause 28.4 (Partial payments). 27.2. Redistribution of payments The Agent shall treat the Sharing Payment as if it had been paid by the relevant Obligor and distribute it between the Finance Parties (other than the Recovering Finance Party) (the "Sharing Finance Parties") in accordance with Clause 28.4 (Partial payments) towards the obligations of that Obligor to the Sharing Finance Parties. 27.3. Recovering Finance Party's rights 27.3.1. On a distribution by the Agent under Clause 27.2 (Redistribution of payments) of a payment received by a Recovering Finance Party from an Obligor, as between the relevant Obligor and the Recovering Finance Party, an amount of the Recovered Amount equal to the Sharing Payment will be treated as not having been paid by that Obligor.


 
88 <ENS>#0537844 CP2.1 Facility Agreement - Nedbank – DRDGOLD EXT3 27.3.2. If and to the extent that the Recovering Finance Party is not able to rely on its rights under Clause 27.3.1 above, the relevant Obligor shall be liable to the Recovering Finance Party for a debt equal to the Sharing Payment which is immediately due and payable. 27.4. Reversal of redistribution If any part of the Sharing Payment received or recovered by a Recovering Finance Party becomes repayable and is repaid by that Recovering Finance Party, then: 27.4.1. each Sharing Finance Party shall, upon request of the Agent, pay to the Agent for the account of that Recovering Finance Party an amount equal to the appropriate part of its share of the Sharing Payment (together with an amount as is necessary to reimburse that Recovering Finance Party for its proportion of any interest on the Sharing Payment which that Recovering Finance Party is required to pay) (the "Redistributed Amount"); and 27.4.2. as between the relevant Obligor and each relevant Sharing Finance Party, an amount equal to the relevant Redistributed Amount will be treated as not having been paid by that Obligor. 27.5. Exceptions 27.5.1. This Clause 27 shall not apply to the extent that the Recovering Finance Party would not, after making any payment pursuant to this Clause, have a valid and enforceable claim against the relevant Obligor. 27.5.2. A Recovering Finance Party is not obliged to share with any other Finance Party any amount which the Recovering Finance Party has received or recovered as a result of taking legal or arbitration proceedings, if: 27.5.2.1. it notified that other Finance Party of the legal or arbitration proceedings; and 27.5.2.2. that other Finance Party had an opportunity to participate in those legal or arbitration proceedings but did not do so as soon as reasonably practicable having received notice and did not take separate legal or arbitration proceedings. 28. PAYMENT MECHANICS 28.1. Payments to the Agent 28.1.1. On each date on which an Obligor is required to make a payment under a Finance Document, that Obligor shall make the same available to the Agent (unless a contrary indication appears in a Finance Document) in ZAR for value by no later than 12h00 (Johannesburg time) on the due date and in such funds specified by the Agent by way of a funds flow schedule or otherwise. 28.1.2. Payment shall be made to such account in South Africa with such bank as the Agent specifies. 28.2. Distributions by the Agent Each payment received by the Agent under the Finance Documents for another Party shall, subject to Clause 28.3 (Distributions to an Obligor) and Clause 28.4 (Clawback and pre- funding) be made available by the Agent as soon as practicable after receipt to the Party entitled to receive payment in accordance with this Agreement to such account as that Party may notify to the Agent by not less than 5 (five) Business Days' notice with a bank in South Africa in writing.


 
89 <ENS>#0537844 CP2.1 Facility Agreement - Nedbank – DRDGOLD EXT3 28.3. Distributions to an Obligor The Agent may (with the consent of the Obligor or in accordance with Clause 29 (Set-off)) apply any amount received by it for that Obligor in or towards payment (on the date and in the currency and funds of receipt) of any amount due from that Obligor under the Finance Documents or in or towards purchase of any amount of any currency to be so applied. 28.4. Clawback and pre-funding 28.4.1. Where a sum is to be paid to the Agent under the Finance Documents for another Party, the Agent is not obliged to pay that sum to that other Party (or to enter into or perform any related exchange contract) until it has been able to establish to its satisfaction that it has actually received that sum. 28.4.2. Unless sub-clause 28.4.1 applies, if the Agent pays an amount to another Party and it proves to be the case that the Agent had not actually received that amount, then the Party to whom that amount (or the proceeds of any related exchange contract) was paid by the Agent shall on demand refund the same to the Agent together with interest on that amount from the date of payment to the date of receipt by the Agent, calculated by the Agent to reflect its cost of funds. 28.4.3. If the Agent is willing to make available amounts for the account of the Borrower before receiving funds from the Lenders then if and to the extent that the Agent does so but it proves to be the case that it does not then receive funds from a Lender in respect of a sum which it paid to the Borrower: 28.4.3.1. the Agent shall notify the Borrower of that Lender's identity and the Borrower to whom that sum was made available shall on demand refund it to the Agent; and 28.4.3.2. the Lender by whom those funds should have been made available or, if that Lender fails to do so, the Borrower, shall on demand pay to the Agent the amount (as certified by the Agent) which will indemnify the Agent against any funding cost incurred by it as a result of paying out that sum before receiving those funds from that Lender. 28.5. Partial payments 28.5.1. If the Agent receives a payment that is insufficient to discharge all the amounts then due and payable by an Obligor under the Finance Documents, the Agent shall apply that payment towards the obligations of that Obligor under the Finance Documents in the following order: 28.5.1.1. first, in or towards payment pro rata of any unpaid fees, costs and expenses of the Agent under the Finance Documents; 28.5.1.2. secondly, in or towards payment pro rata of any accrued interest, fees or commission due but unpaid under this Agreement; 28.5.1.3. thirdly, in or towards payment pro rata of any principal due but unpaid under this Agreement; and 28.5.1.4. fourthly, in or towards payment pro rata of any other sum due but unpaid under the Finance Documents. 28.5.2. The Agent shall, if so directed by the Majority Lenders, vary the order set out in sub-clauses 28.5.1.1 to 28.5.1.4 above. 28.5.3. Clauses 28.5.1 and 28.5.2 above will override any appropriation made by an Obligor.


 
90 <ENS>#0537844 CP2.1 Facility Agreement - Nedbank – DRDGOLD EXT3 28.6. No set-off by Obligors All payments to be made by an Obligor under the Finance Documents shall be calculated and be made without (and free and clear of any deduction for) set-off or counterclaim. 28.7. Business Days 28.7.1. Any payment under the Finance Documents which is due to be made on a day that is not a Business Day shall be made on the next Business Day in the same calendar month (if there is one) or the preceding Business Day (if there is not). In the event that the day for performance of any obligation to be performed in terms of any Finance Document should fall on a day which is not a Business Day, the relevant day for performance shall be the succeeding Business Day. 28.7.2. During any extension of the due date for payment of any principal or Unpaid Sum under this Agreement interest is payable on the principal or Unpaid Sum at the rate payable on the original due date. 28.8. Currency of account 28.8.1. ZAR is the currency of account and payment for any sum due from an Obligor under any Finance Document. 28.8.2. Each payment in respect of costs, expenses or Taxes shall be made in the currency in which the costs, expenses or Taxes are incurred. 28.9. Disruption to payment systems etc. If either the Agent determines (in its discretion) that a Disruption Event has occurred or the Agent is notified by the Borrower that a Disruption Event has occurred: 28.9.1. the Agent may, and shall if requested to do so by the Borrower, consult with the Borrower with a view to agreeing with the Borrower such changes to the operation or administration of the Facility as the Agent may deem necessary in the circumstances; 28.9.2. the Agent shall not be obliged to consult with the Borrower in relation to any changes mentioned in Clause 28.9.1 above if, in its opinion, it is not practicable to do so in the circumstances and, in any event, shall have no obligation to agree to such changes; 28.9.3. the Agent may consult with the Finance Parties in relation to any changes mentioned in Clause 28.9.1 but shall not be obliged to do so if, in its opinion, it is not practicable to do so in the circumstances; 28.9.4. any such changes agreed upon by the Agent (acting on the instruction of the Majority Lenders) and the Borrower shall (whether or not it is finally determined that a Disruption Event has occurred) be binding upon the Parties as an amendment to (or, as the case may be, waiver of) the terms of the Finance Documents notwithstanding the provisions of Clause 34 (Amendments and waivers);


 
91 <ENS>#0537844 CP2.1 Facility Agreement - Nedbank – DRDGOLD EXT3 28.9.5. the Agent shall not be liable for any damages, costs or losses whatsoever (including, without limitation for negligence, gross negligence or any other category of liability whatsoever but not including any claim based on the fraud of the Agent) arising as a result of its taking, or failing to take, any actions pursuant to or in connection with this Clause 28.9; and 28.9.6. the Agent shall notify the Finance Parties of all changes agreed pursuant to Clause 28.9.3. 29. SET-OFF A Finance Party may set off any matured obligation due from an Obligor under the Finance Documents (to the extent beneficially owned by that Finance Party) against any matured obligation owed by that Finance Party to that Obligor, regardless of the place of payment, booking branch or currency of either obligation. If the obligations are in different currencies, the Finance Party may convert either obligation at a market rate of exchange in its usual course of business for the purpose of the set-off. 30. NOTICES 30.1. Communications in writing Any communication to be made under or in connection with the Finance Documents shall be made in writing and, unless otherwise stated, may be made by letter. 30.2. Addresses The address (and the department or officer, if any, for whose attention the communication is to be made) of each Party for any communication or document to be made or delivered under or in connection with the Finance Documents is: 30.2.1. in the case of the Borrower: Address: Constantia Office Park Cycad House, Cnr 14th Avenue and Hendrik Potgieter, Weltevreden Park, Gauteng, 1709, South Africa; E-mail: mpho.mashatola@drdgold.com; Attention: Mpho Mashatola; 30.2.2. in the case of an Original Guarantor, the address and other details identified with its name in Schedule 1 (Original Guarantors); 30.2.3. in the case of the Original Lender: Address: 135 Rivonia Road, Sandown, Sandton, 2196; E-mail: miningfinance1@nedbank.co.za; Attention: Lending Middle Office; 30.2.4. in the case of the Agent: 30.2.4.1. until (and including) the date of the first Transfer (if applicable), the details in sub-clause 30.2.3; 30.2.4.2. thereafter: Address: 135 Rivonia Road, Sandown, Sandton, 2196;


 
92 <ENS>#0537844 CP2.1 Facility Agreement - Nedbank – DRDGOLD EXT3 E-mail: agencynedbank@nedbank.co.za; Attention: Facility Agent, or any substitute address or department or officer as a Party may notify to the Agent (or the Agent may notify to the other Parties, if a change is made by the Agent) by not less than 5 (five) Business Days' notice. 30.3. Domicilia 30.3.1. Each of the Parties chooses its physical address provided under or in connection with Clause 30.2 (Addresses) as its domicilium citandi et executandi at which documents in legal proceedings in connection with this Agreement or any other Finance Document may be served. 30.3.2. Any Party may by written notice to the other Parties change its domicilium from time to time to another address, not being a post office box or a poste restante, in South Africa, provided that any such change shall only be effective on the fourteenth day after deemed receipt of the notice by the other Parties pursuant to Clause 30.4 (Delivery). 30.4. Delivery 30.4.1. Any communication or document made or delivered by one person to another under or in connection with the Finance Documents will only be effective when received by the recipient and, unless the contrary is proved, shall be deemed to be received: 30.4.1.1. if delivered by hand, be deemed to have been received at the time of delivery; and 30.4.1.2. if by way of courier service, be deemed to have been received on the seventh Business Day following the date of such sending, and if a particular department or officer is specified as part of its address details provided under Clause 30.2 (Addresses), if addressed to that department or officer. 30.4.2. Any communication or document to be made or delivered to the Agent will be effective only when actually received by the Agent and then only if it is expressly marked for the attention of the department or officer identified with the Agent's signature below (or any substitute department or officer as the Agent shall specify for this purpose). 30.4.3. All notices from or to an Obligor shall be sent through the Agent. 30.4.4. Any communication or document made or delivered to the Borrower in accordance with this Clause will be deemed to have been made or delivered to each of the Obligors. 30.4.5. Any communication or document which becomes effective, in accordance with Clauses 30.4.1 to 30.4.3 above, after 5pm in the place of receipt shall be deemed only to become effective on the following day. 30.5. Notification of address Promptly upon changing its address, the Agent shall notify the other Parties.


 
93 <ENS>#0537844 CP2.1 Facility Agreement - Nedbank – DRDGOLD EXT3 30.6. Electronic communication 30.6.1. Any communication to be made between any two Parties under or in connection with the Finance Documents may be made by electronic mail or other electronic means (including without limitation, by way of posting to a secure website) if those two Parties: 30.6.1.1. notify each other in writing of their electronic mail address and/or any other information required to enable the transmission of information by that means; and 30.6.1.2. notify each other of any change to their address or any other such information supplied by them by not less than 5 (five) Business Days’ notice. 30.6.2. Any electronic communication as specified in Clause 30.6.1 above to be made between and Obligor and a Finance Party may only be made in that way to the extent that those two Parties agree that, unless and until notified to the contrary, this is to be an accepted form of communication, 30.6.3. Any electronic communication as specified in Clause 30.6.1 above made between any two Parties will be effective only when actually received (or made available) in readable form and in the case of any electronic communication made by a Party to the Agent only if it is addressed in such a manner as the Agent shall specify for this purpose. 30.6.4. Any electronic communication which becomes effective, in accordance with Clause 30.6.3 above, after 5pm in the place in which the Party to whom the relevant communication is sent or made available has its address for the purpose of this Agreement shall be deemed only to become effective on the following day. 30.6.5. Any reference in a Finance Document to a communication being sent or received shall be construed to include that communication being made available in accordance with this Clause 30.6. 30.7. English language Any notice or other document given under or in connection with any Finance Document must be in English. 31. CALCULATIONS AND CERTIFICATES 31.1. Accounts In any litigation or arbitration proceedings arising out of or in connection with a Finance Document, the entries made in the accounts maintained by a Finance Party are prima facie evidence of the matters to which they relate. 31.2. Certificates and Determinations Any certification or determination by a Finance Party of a rate or amount under any Finance Document is, in the absence of manifest error, prima facie evidence of the matters to which it relates. 31.3. Day count convention Any interest, commission or fee accruing under a Finance Document will accrue from day to day and is calculated on the basis of the actual number of days elapsed and a year of 365 (three hundred and sixty five) days (irrespective of whether the year in question is a leap year).


 
94 <ENS>#0537844 CP2.1 Facility Agreement - Nedbank – DRDGOLD EXT3 32. PARTIAL INVALIDITY If, at any time, any provision of a Finance Document is or becomes illegal, invalid, unenforceable or inoperable in any respect under any law of any jurisdiction, neither the legality, validity, enforceability or operation of the remaining provisions nor the legality, validity, enforceability or operation of such provision under the law of any other jurisdiction will in any way be affected or impaired. The term “inoperable” in this Clause 32 shall include, without limitation, inoperable by way of suspension or cancellation. 33. REMEDIES AND WAIVERS No failure to exercise, nor any delay in exercising, on the part of any Finance Party, any right or remedy under a Finance Document or other document or other indulgence shall operate as a waiver, nor shall any single or partial exercise of any right or remedy otherwise affect any of that Party’s rights in terms of or arising from any Finance Document or estop such Party from enforcing, at any time and without notice, strict and punctual compliance with each and every provision or term of any Finance Document. No consent to any waiver or novation of a Party’s rights in terms of or arising from any Finance Document shall be effective unless it is in writing. No single or partial exercise of any right or remedy shall prevent any further or other exercise or the exercise of any other right or remedy. The rights and remedies provided in each Finance Document are cumulative and not exclusive of any rights or remedies provided by law. 34. AMENDMENTS AND WAIVERS 34.1. Required consents 34.1.1. Subject to Clause 34.2 (Exceptions) any term of the Finance Documents may be amended or waived only with the consent of the Majority Lenders and the Obligors and any such amendment or waiver will be binding on all Parties. 34.1.2. The Agent may effect, on behalf of any Finance Party, any amendment or waiver permitted by this Clause. 34.1.3. Save as otherwise provided in this Clause 34, no amendment or waiver contemplated by this Clause 34 shall be of any force or effect unless in writing and signed by or on behalf of the relevant Parties. 34.2. Exceptions 34.2.1. Subject to Clause 34.3 (Replacement of Screen Rate) an amendment or waiver of any term of any Finance Document that has the effect of changing or which relates to: 34.2.1.1. this Clause 34; 34.2.1.2. the definition of "Majority Lenders" in Clause 1.1 (Definitions); 34.2.1.3. a change to the date of payment of any amount under the Finance Documents; 34.2.1.4. a reduction in the Margin or a reduction in the amount of any payment of principal, interest, fees or commission payable; 34.2.1.5. an increase in or an extension of any Commitment, an extension of the Availability Period or any requirement that a cancellation of Commitments reduces the Commitments of the Lenders rateably under the Facility; 34.2.1.6. a change to the Borrower or Guarantors other than in accordance with Clause 23 (Changes to the Obligors);


 
95 <ENS>#0537844 CP2.1 Facility Agreement - Nedbank – DRDGOLD EXT3 34.2.1.7. any provision which expressly requires the consent of all the Lenders; 34.2.1.8. the nature and scope of Clause 2.5 (Finance Parties' rights and obligations), Clause 7.1 (Mandatory prepayment - Illegality), Clause 24 (Changes to the Lenders), Clause 23 (Changes to the Obligors), this Clause 34, the governing law of any Finance Document, Clause 40 (Governing Law), or Clause 41 (Jurisdiction); 34.2.1.9. the nature or scope of the guarantee and indemnity granted under Clause 17 (Guarantee and Indemnity), shall not be made without the prior consent of all the Lenders. 34.2.2. An amendment or waiver which relates to the rights or obligations of the Agent (in its capacity as such) may not be effected without the consent of the Agent. 34.3. Replacement of Screen Rate 34.3.1. Any amendment or waiver which relates to: 34.3.1.1. providing for the use of a Replacement Benchmark; and 34.3.1.2. aligning any provision of any Finance Document to the use of that Replacement Benchmark; 34.3.1.3. enabling that Replacement Benchmark to be used for the calculation of interest under this Agreement (including, without limitation, any consequential changes required to enable that Replacement Benchmark to be used for the purposes of this Agreement); 34.3.1.4. implementing market conventions applicable to that Replacement Benchmark; 34.3.1.5. providing for appropriate fallback (and market disruption) provisions for that Replacement Benchmark; or 34.3.1.6. adjusting the pricing to reduce or eliminate, to the extent reasonably practicable, any transfer of economic value from one Party to another as a result of the application of that Replacement Benchmark (and if any adjustment or method for calculating any adjustment has been formally designated, nominated or recommended by the Relevant Nominating Body, the adjustment shall be determined on the basis of that designation, nomination or recommendation), may be made with the consent of the Agent (acting on the instructions of the Majority Lenders) and the Obligors. 34.3.2. If any event of circumstance in Clause 34.3.1 has occurred and there is no consensus between the Agent and the Obligors, as contemplated in this Clause 34.3.1 as to any matter set out in such Clause, the provisions of Clause 10.3 (Cost of funding) shall apply until such consensus is reached. 34.3.3. In this Clause 34.2 (Replacement of Screen Rate): 34.3.3.1. "Relevant Nominating Body" means any applicable central bank, regulator or other supervisory authority or a group of them, or any working group or committee sponsored or chaired by, or constituted at the request of, any of them.


 
96 <ENS>#0537844 CP2.1 Facility Agreement - Nedbank – DRDGOLD EXT3 34.3.3.2. "Replacement Benchmark" means a benchmark rate which is: 34.3.3.2.1. formally designated, nominated or recommended as the replacement for a Screen Rate by: 34.3.3.2.1.1. the administrator of that Screen Rate (provided that the market or economic reality that such benchmark rate measures is the same as that measured by that Screen Rate); or 34.3.3.2.1.2. any Relevant Nominating Body, and if replacements have, at the relevant time, been formally designated, nominated or recommended under both paragraphs, the "Replacement Benchmark" will be the replacement under sub- clause 34.3.3.2.1.2 above; 34.3.3.2.2. in the opinion of the Majority Lenders and the Obligors, generally accepted in the international or any relevant domestic syndicated loan markets as the appropriate successor to a Screen Rate; or 34.3.3.2.3. in the opinion of the Majority Lenders and the Obligors, an appropriate successor to a Screen Rate. 34.3.3.3. "Screen Rate Replacement Event" means, in relation to a Screen Rate: 34.3.3.3.1. the methodology, formula or other means of determining that Screen Rate has, in the opinion of the Majority Lenders and the Obligors, materially changed; 34.3.3.3.2. the following has occurred: 34.3.3.3.2.1. either the administrator of that Screen Rate or its supervisor publicly announces that such administrator is insolvent; or 34.3.3.3.2.2. information is published in any order, decree, notice, petition or filing, however described, of or filed with a court, tribunal, exchange, regulatory authority or similar administrative, regulatory or judicial body which reasonably confirms that the administrator of that Screen Rate is insolvent, provided that, in each case, at that time, there is no successor administrator to continue to provide that Screen Rate;


 
97 <ENS>#0537844 CP2.1 Facility Agreement - Nedbank – DRDGOLD EXT3 34.3.3.3.3. the administrator of that Screen Rate publicly announces that it has ceased or will cease, to provide that Screen Rate permanently or indefinitely and, at that time, there is no successor administrator to continue to provide that Screen Rate; 34.3.3.3.4. the supervisor of the administrator of that Screen Rate publicly announces that such Screen Rate has been or will be permanently or indefinitely discontinued; 34.3.3.3.5. the administrator of that Screen Rate or its supervisor or any relevant regulatory or legislative authority announces that that Screen Rate may no longer be used; 34.3.3.3.6. the supervisor of the administrator of that Screen Rate makes a public announcement or publishes information stating that that Screen Rate is no longer or, as of a specified future date will no longer be, representative of the underlying market or economic reality that it is intended to measure and that representativeness will not be restored (as determined by such supervisor); 34.3.3.3.7. the administrator of that Screen Rate determines that that Screen Rate should be calculated in accordance with its reduced submissions or other contingency or fallback policies or arrangements and the circumstance(s) or event(s) leading to such determination are not (in the opinion of the Agent and the Obligors) temporary; 34.3.3.3.8. any Relevant Nominating Body formally designates, nominates or recommends a replacement for a Screen Rate which has become available for general use; or 34.3.3.3.9. in the opinion of the Majority Lenders and the Obligors, that Screen Rate is otherwise no longer appropriate for the purposes of calculating interest under this Agreement. 34.4. Sustainability amendments 34.4.1. The Borrower shall, as soon as reasonably practicable after a Sustainability Amendment Event (and in any event within 10(ten) Business Days following the occurrence of that Sustainability Amendment Event), provide details to the Agent of the effect such event could reasonably be expected to have on any KPI, SPT and/or the Sustainability Information and, if relevant, propose amendments to any Calculation Methodology, KPI, SPT and/or to any related term of this Agreement, to eliminate, accommodate or otherwise take into account the effect of the relevant Sustainability Amendment Event on the terms of this Agreement.


 
98 <ENS>#0537844 CP2.1 Facility Agreement - Nedbank – DRDGOLD EXT3 34.4.2. If a Sustainability Amendment Event has occurred, the Borrower and the Agent (acting on the instructions of all the Lenders) shall enter into negotiations in good faith for a period of up to 30 (thirty) Business Days (a "Sustainability Amendment Event Consultation Period") with a view to agreeing such amendments to any Calculation Methodology, KPI, SPT and/or any related terms of this Agreement, as are necessary for the purposes of eliminating, accommodating or otherwise taking into account the effect of the relevant Sustainability Amendment Event on the terms of this Agreement. 34.4.3. Any amendment to this Agreement agreed during a Sustainability Amendment Event Consultation Period shall be made with the consent of the Agent (acting on the instructions of the Lenders) and the Borrower. 34.4.4. If no amendment is agreed during a Sustainability Amendment Event Consultation Period, a Declassification Event to which the provisions of Clause 21.22 (Declassification Event and consequences) applies, shall occur on the Business Day after the expiration of the Sustainability Amendment Event Consultation Period. 34.4.5. The occurrence of a Sustainability Amendment Event, a Declassification Event or any failure to comply with the provisions of this Clause 34.4 will not constitute an Event of Default. 35. CONFIDENTIAL INFORMATION 35.1. Confidential Information Each Finance Party agrees to keep all Confidential Information confidential and not to disclose it to anyone, save to the extent permitted by Clause 35.2 (Disclosure of Confidential Information), and to ensure that all Confidential Information is protected with security measures and a degree of care that would apply to its own confidential information. 35.2. Disclosure of Confidential Information Any Finance Party may disclose: 35.2.1. to any of its Affiliates and Related Funds and any of its or their officers, directors, employees, professional advisers, auditors, partners and Representatives such Confidential Information as that Finance Party shall consider appropriate if any person to whom the Confidential Information is to be given pursuant to this Clause 35.2.1 is informed in writing of its confidential nature and that some or all of such Confidential Information may be price-sensitive information except that there shall be no such requirement to so inform if the recipient is subject to professional obligations to maintain the confidentiality of the information or is otherwise bound by requirements of confidentiality in relation to the Confidential Information; 35.2.2. to any other person: 35.2.2.1. to (or through) whom it Transfers (or may potentially Transfer) all or any of its rights and obligations under one or more Finance Documents or which succeeds (or which may potentially succeed) it as Agent and in each case, to any of that person's Affiliates, Related Funds, Representatives and professional advisers;


 
99 <ENS>#0537844 CP2.1 Facility Agreement - Nedbank – DRDGOLD EXT3 35.2.2.2. with (or through) whom it enters into (or may potentially enter into), whether directly or indirectly, any sub-participation or other credit participation in relation to, or any other transaction under which payments are to be made or may be made by reference to, one or more Finance Documents and/or one or more Obligors and to any of that person's Affiliates, Related Funds, Representatives and professional advisers; 35.2.2.3. appointed by any Finance Party or by a person to whom sub- clause 35.2.2.1 or 35.2.2.3 applies to receive communications, notices, information or documents delivered pursuant to the Finance Documents on its behalf, (including, without limitation, any person appointed under sub-clause 25.13.2 of Clause 25.13 (Relationship with the Lenders)); 35.2.2.4. who invests in or otherwise finances (or may potentially invest in or otherwise finance), directly or indirectly, any transaction referred to in sub-clause 35.2.2.1 or 35.2.2.3; 35.2.2.5. to whom information is required or requested to be disclosed by any court of competent jurisdiction or any governmental, banking, taxation or other regulatory authority or similar body, the rules of any relevant stock exchange or pursuant to any applicable law or regulation; 35.2.2.6. to whom information is required to be disclosed in connection with, and for the purposes of, any litigation, arbitration, administrative or other investigations, proceedings or disputes; 35.2.2.7. who is a Party; or 35.2.2.8. with the consent of the Borrower; in each case, such Confidential Information as that Finance Party shall consider appropriate if: 35.2.2.8.1. in relation to sub-clauses 35.2.2.1 and 35.2.2.3, the person to whom the Confidential Information is to be given has entered into a Confidentiality Undertaking except that there shall be no requirement for a Confidentiality Undertaking if the recipient is a professional adviser and is subject to professional obligations to maintain the confidentiality of the Confidential Information; 35.2.2.8.2. in relation to sub-clause 35.2.2.4, the person to whom the Confidential Information is to be given has entered into a Confidentiality Undertaking or is otherwise bound by requirements of confidentiality in relation to the Confidential Information they receive and is informed that some or all of such Confidential Information may be price-sensitive information;


 
100 <ENS>#0537844 CP2.1 Facility Agreement - Nedbank – DRDGOLD EXT3 35.2.2.8.3. in relation to sub-clauses 35.2.2.5, 35.2.2.6 and 35.2.2.7, the person to whom the Confidential Information is to be given is informed of its confidential nature and that some or all of such Confidential Information may be price-sensitive information except that there shall be no requirement to so inform if, in the opinion of that Finance Party, it is not practicable so to do in the circumstances; and 35.2.2.8.4. to any person appointed by that Finance Party or by a person to whom sub-clause 35.2.2.1 or 35.2.2.3 applies to provide administration or settlement services in respect of one or more of the Finance Documents including without limitation, in relation to the trading of participations in respect of the Finance Documents, such Confidential Information as may be required to be disclosed to enable such service provider to provide any of the services referred to in this sub-clause 35.2.2.8.4 if the service provider to whom the Confidential Information is to be given has entered into a confidentiality agreement substantially in the form of the LMA Master Confidentiality Undertaking for Use With Administration/Settlement Service Providers or such other form of confidentiality undertaking agreed between the Borrower and the relevant Finance Party. 35.3. Entire agreement This Clause 35 (Confidentiality) constitutes the entire agreement between the Parties in relation to the obligations of the Finance Parties under the Finance Documents regarding Confidential Information and supersedes any previous agreement, whether express or implied, regarding Confidential Information. 35.4. Inside information Each of the Finance Parties acknowledges that some or all of the Confidential Information is or may be price-sensitive information and that the use of such information may be regulated or prohibited by applicable legislation including securities law relating to insider dealing and market abuse and each of the Finance Parties undertakes not to use any Confidential Information for any unlawful purpose. 35.5. Notification of disclosure Each of the Finance Parties agrees (to the extent permitted by law and regulation) to inform the Borrower: 35.5.1. of the circumstances of any disclosure of Confidential Information made pursuant to sub-clause 35.2.2.5 of Clause 35.2 (Disclosure of Confidential Information) except where such disclosure is made to any of the persons referred to in that clause during the ordinary course of its supervisory or regulatory function; and 35.5.2. upon becoming aware that Confidential Information has been disclosed in breach of this Clause 35 (Confidentiality).


 
101 <ENS>#0537844 CP2.1 Facility Agreement - Nedbank – DRDGOLD EXT3 35.6. Continuing obligations The obligations in this Clause 35 (Confidentiality) are continuing and, in particular, shall survive and remain binding on each Finance Party for a period of twelve months from the earlier of: 35.6.1. the date on which all amounts payable by the Obligors under or in connection with this Agreement have been paid in full and all Commitments have been cancelled or otherwise cease to be available; and 35.6.2. the date on which such Finance Party otherwise ceases to be a Finance Party. 36. CONFIDENTIALITY OF FUNDING RATES 36.1. Confidentiality and disclosure 36.1.1. The Agent and each Obligor agree to keep each Funding Rate confidential and not to disclose it to anyone, save to the extent permitted by Clause 36.1.2 and 36.1.3. 36.1.2. The Agent may disclose: 36.1.2.1. any Funding Rate to the Borrower pursuant to Clause 8.4 (Notification of rates of interest); and 36.1.2.2. any Funding Rate to any person appointed by it to provide administration services in respect of one or more of the Finance Documents to the extent necessary to enable such service provider to provide those services if the service provider to whom that information is to be given has entered into a confidentiality agreement substantially in the form of the LMA Master Confidentiality Undertaking for Use With Administration /Settlement Service Provider or such other form of confidentiality undertaking agreed between the Agent, the relevant Lender and the Obligors. 36.1.3. The Agent may disclose any Funding Rate and each Obligor may disclose any Funding Rate, to: 36.1.3.1. any of its Affiliates and any of its or their officers, directors, employees, professional advisers, auditors, partners and Representatives if any person to whom that Funding Rate s to be given pursuant to this sub-clause 36.1.3.1 is informed in writing of its confidential nature and that it may be price-sensitive information except that there shall be no such requirement to so inform if the recipient is subject to professional obligations to maintain the confidentiality of that Funding Rate or is otherwise bound by requirements of confidentiality in relation to it; 36.1.3.2. any person to whom information is required or requested to be disclosed by any court of competent jurisdiction or any governmental, banking, taxation or other regulatory authority or similar body, the rules of any relevant stock exchange or pursuant to any applicable law or regulation if the person to whom that Funding Rate is to be given is informed in writing of its confidential nature and that it may be price-sensitive information except that there shall be no requirement to so inform if, in the opinion of the Agent or the relevant Obligor, as the case may be, it is not practicable to do so in the circumstances;


 
102 <ENS>#0537844 CP2.1 Facility Agreement - Nedbank – DRDGOLD EXT3 36.1.3.3. any person to whom information is required to be disclosed in connection with, and for the purposes of, any litigation, arbitration, administrative or other investigation, proceedings or disputes if the person to whom that Funding Rate is to be given is informed in writing of its confidential nature and that it may be price-sensitive information except that there shall be no requirement to so inform if, in the opinion of the Agent or the relevant Obligor, as the case may be, it is not practicable to do so in the circumstances; and 36.1.3.4. any person with the consent of the relevant Lender, as the case may be. 36.2. Related obligations 36.2.1. The Agent and each Obligor acknowledge that each Funding Rate is or may be price-sensitive information and that its use may be regulated or prohibited by applicable legislation including, securities law relating to insider dealing and market abuse and the Agent and each Obligor undertake not to use any Funding Rate. 36.2.2. The Agent and each Obligor agree (to the extent permitted by law and regulation) to inform the relevant Lender: 36.2.2.1. of the circumstances of any disclosure made pursuant to sub- clause 36.1.3.1 of Clause 36.1 (Confidentiality and disclosure) except where such disclosure is made to any of the persons referred to in that clause during the ordinary course of its supervisory or regulatory function; and 36.2.2.2. upon becoming aware that any information has been disclosed in breach of this Clause 36. 36.3. No Event of Default No Event of Default will occur under Clause 22.3 (Other obligations) by reason only of an Obligor’s failure to comply with this Clause 36. 37. COUNTERPARTS Each Finance Document may be executed in any number of counterparts, and this has the same effect as if the signatures on the counterparts were on a single copy of the Finance Document. 38. WAIVER OF IMMUNITY Each Obligor waives generally all immunity it or its assets or revenues may otherwise have in any jurisdiction, including immunity in respect of: 38.1. the giving of any relief by way of an interdict or order for specific performance or for the recovery of assets or revenues; and 38.2. the issue of any process against its assets or revenues for the enforcement of a judgment or, in an action in rem, for the arrest, detention or sale of any of its assets and revenues. 39. SOLE AGREEMENT The Finance Documents constitute the sole record of the agreement between the Parties in regard to the subject matter thereof.


 
103 <ENS>#0537844 CP2.1 Facility Agreement - Nedbank – DRDGOLD EXT3 40. GOVERNING LAW This Agreement and any non-contractual obligations arising out of or in connection with it are governed by South African law. 41. JURISDICTION 41.1. The Parties hereby irrevocably and unconditionally consent to the non-exclusive jurisdiction of the High Court of South Africa, Gauteng Local Division, Johannesburg (or any successor to that division) in regard to all matters arising from the Finance Documents (including a dispute relating to the existence, validity or termination of this Agreement or any non- contractual obligation arising out of or in connection with this Agreement) (a "Dispute"). 41.2. The Parties agree that the courts of South Africa are the most appropriate and convenient courts to settle Disputes and accordingly no Party will argue to the contrary. 41.3. Notwithstanding Clause 41.1 above, no Finance Party shall be prevented from taking proceedings relating to a Dispute in any other courts with jurisdiction. To the extent allowed by law, the Finance Parties may take concurrent proceedings in any number of jurisdictions. [SIGNATURE PAGES FOLLOW AFTER SCHEDULES]


 
104 <ENS>#0537844 CP2.1 Facility Agreement - Nedbank – DRDGOLD EXT3 Schedule 1 - Original Guarantors Name of Original Guarantor Registration No. Ergo Mining Proprietary Limited, a limited liability company incorporated and existing in accordance with the laws of South Africa Address: Constantia Office Park Cycad House, cnr 14th Avenue and Hendrik Potgieter, Weltevreden Park, Gauteng, 1709, south Africa E-mail: mpho.mashatola@drdgold.com Attention: Mpho Mashatola 2007/004886/07 Far West Gold Recoveries Proprietary Limited, a limited liability company incorporated and existing in accordance with the laws of South Africa Address: Constantia Office Park Cycad House, cnr 14th Avenue and Hendrik Potgieter, Weltevreden Park, Gauteng, 1709, south Africa E-mail: mpho.mashatola@drdgold.com Attention: Mpho Mashatola 2017/449061/07


 
105 <ENS>#0537844 CP2.1 Facility Agreement - Nedbank – DRDGOLD EXT3 Schedule 2 - Conditions Precedent PART I Conditions Precedent to Initial Utilisation 1. Original Obligors 1.1. A copy of the constitutional documents of each Original Obligor. 1.2. A copy of a resolution of the board of directors of each Original Obligor: 1.2.1. approving the terms of, and the transactions contemplated by, the Finance Documents to which it is a party and resolving that it execute the Finance Documents to which it is a party; 1.2.2. authorising a specified person or persons to execute the Finance Documents to which it is a party on its behalf; and 1.2.3. authorising a specified person or persons, on its behalf, to sign and/or despatch all documents and notices (including any Utilisation Request) to be signed and/or despatched by it under or in connection with the Finance Documents to which it is a party. 1.3. A specimen of the signature of each person authorised by the resolution referred to in paragraph 1.2 above. 1.4. To the extent required by the Companies Act 2008 or other applicable law, and with reference to the constitutional documents of an Obligor, a copy of a resolution duly passed by the holders of the issued shares of that Obligor, approving the terms of, and the transactions contemplated by, the Finance Documents to which that Obligor is a party. 1.5. A certificate of the Borrower and each other Original Obligor (signed by a director) confirming that borrowing or guaranteeing, as appropriate, the Commitment would not cause any borrowing, guaranteeing or similar limit binding on it to be exceeded. 1.6. A certified copy of the register of members/shareholders of each Original Obligor. 1.7. A certificate of an authorised signatory of the Borrower and each other Original Obligor certifying that each copy document relating to it specified in this Part I of Schedule 2 is correct, complete and in full force and effect as at a date no earlier than the Signature Date. 2. Finance Documents 2.1. This Agreement duly executed by the members of the Group expressed to be a party to this Agreement. 2.2. The Overdraft Facility Letter, duly executed by the parties thereto. 2.3. A Fee Letter in relation to the upfront fee payable under Clause 11.2, duly executed by the parties thereto. 3. Legal opinions A legal opinion of Edward Nathan Sonnenbergs Inc. (t/a ENS), legal advisers to the Obligors in South Africa, substantially in the form distributed to the Original Lenders prior to signing this Agreement.


 
106 <ENS>#0537844 CP2.1 Facility Agreement - Nedbank – DRDGOLD EXT3 4. Other documents and evidence 4.1. A copy of any other Authorisation or other document, opinion or assurance which the Agent considers to be necessary or desirable (if it has notified the Borrower accordingly) in connection with the entry into and performance of the transactions contemplated by any Finance Document or for the validity and enforceability of any Finance Document. 4.2. The Original Financial Statements of each Original Obligor. 4.3. The Group Structure Chart. 4.4. Evidence that the fees, costs and expenses then due from the Borrower pursuant to Clause 11 (Fees) and Clause 16 (Costs and expenses) have been paid or will be paid by the first Utilisation Date. 4.5. Such documentation and other evidence as is reasonably requested by the Agent (for itself or on behalf of any other Finance Party) in order for the Agent and each other Finance Party to carry out and be satisfied it has complied with all necessary "know your customer" or similar identification procedures under applicable laws and regulations (including the Financial Intelligence Centre Act, 2001) pursuant to the transactions contemplated in the Finance Documents.


 
107 <ENS>#0537844 CP2.1 Facility Agreement - Nedbank – DRDGOLD EXT3 PART II Conditions Precedent to be delivered by an Additional Guarantor 1. An Accession Letter, duly executed by the Additional Guarantor and the Borrower. 2. A copy of the constitutional documents of the Additional Guarantor. 3. A copy of a resolution of the board of directors of the Additional Guarantor: 3.1. approving the terms of, and the transactions contemplated by, the Accession Letter and the Finance Documents and resolving that it execute the Accession Letter; 3.2. authorising a specified person or persons to execute the Accession Letter on its behalf; and 3.3. authorising a specified person or persons, on its behalf, to sign and/or despatch all other documents and notices to be signed and/or despatched by it under or in connection with the Finance Documents. 4. A specimen of the signature of each person authorised by the resolution referred to in paragraph 3 above. 5. [To the extent required by the Companies Act 2008 or other applicable law, with reference to the constitutional documents of an Additional Guarantor, a copy of a resolution duly passed by the holders of the issued shares of that Additional Guarantor, approving the terms of, and the transactions contemplated by, the Finance Documents to which that Additional Guarantor is a party.] 6. A certificate of the Additional Guarantor (signed by a director) confirming that guaranteeing the Commitment would not cause any guaranteeing or similar limit binding on it to be exceeded. 7. A certificate of an authorised signatory of the Additional Guarantor that each copy document listed in this Part II (Conditions Precedent to be delivered by an Additional Guarantor) of Schedule 2 (Conditions precedent) is correct, complete and in full force and effect as at a date no earlier than the date of the Accession Letter. 8. A copy of any other Authorisation or other document, opinion or assurance which the Agent considers to be necessary or desirable in connection with the entry into and performance of the transactions contemplated by the Accession Letter or for the validity and enforceability of any Finance Document. 9. If available, the latest audited financial statements of the Additional Guarantor. 10. A legal opinion of the legal advisers to the Agent in South Africa. 11. A legal opinion of the legal advisers to the Obligors in South Africa. 12. If the Additional Guarantor is incorporated in a jurisdiction other than South Africa, a legal opinion of the legal advisers to the Agent in the jurisdiction in which the Additional Guarantor is incorporated.


 
108 <ENS>#0537844 CP2.1 Facility Agreement - Nedbank – DRDGOLD EXT3 Schedule 3 - Utilisation Request From: DRDGOLD Limited, as Borrower and Obligors' Agent (the "Borrower") To: Nedbank Limited (acting through its Nedbank Corporate and Investment Banking division) (the "Agent") Dated: [] Dear Sirs, DRDGOLD Limited – ZAR1,000,000,000 Revolving Credit Facility Agreement dated [] with ZAR500,000,000 Accordion (the "Agreement") 1. We refer to the Agreement. This is a Utilisation Request. Terms defined in the Agreement have the same meaning in this Utilisation Request unless given a different meaning in this Utilisation Request. 2. We wish to borrow a Loan on the following terms: Proposed Utilisation Date: [] (or, if that is not a Business Day, the next Business Day) Amount: ZAR[] or, if less, the Available Facility Interest Period: [] 3. We confirm that each condition specified in Clause 4.2 (Further conditions precedent) of the Agreement is satisfied on the date of this Utilisation Request. 4. The proceeds of this Loan should, as to: 4.1. [an amount of ZAR[] be applied in direct settlement of the fees payable to each Finance Party under Clause 11.2 ( Upfront fee);]1 4.2. the balance, be credited to [insert Borrower account details]. 5. Subject to Clause 10.5 (Utilisation Requests) of the Agreement, this Utilisation Request is irrevocable. Yours faithfully ………………………………… authorised signatory for DRDGOLD Limited 1 Only include in first Utilsiation Request.


 
109 <ENS>#0537844 CP2.1 Facility Agreement - Nedbank – DRDGOLD EXT3 Schedule 4 - Form of Accession Letter From: [Acceding Guarantor] (the "Acceding Guarantor") and DRDGOLD Limited, as Borrower and Obligors' Agent (the "Borrower") To: Nedbank Limited (acting through its Nedbank Corporate and Investment Banking division) (the "Agent") Dated: [] Dear Sirs, DRDGOLD Limited – ZAR1,000,000,000 Revolving Credit Facility Agreement dated []with ZAR500,000,000 Accordion (the "Agreement") 1. We refer to the Agreement. This is an Accession Letter. Terms defined in the Agreement have the same meaning in this Accession Letter unless given a different meaning in this Accession Letter. 2. [Acceding Guarantor ] agrees to become an Additional Guarantor and to be bound by the terms of the Agreement as an Additional Guarantor pursuant to Clause 23.2 (Additional Guarantors) of the Agreement. [Acceding Guarantor ] is a company duly incorporated under the laws of [name of relevant jurisdiction]. 3. [Acceding Guarantor's] administrative details are as follows: Address: Email: Attention: 4. This Accession Letter and any non-contractual obligations arising out of or in connection with it are governed by South African law. DRDGOLD Limited [Acceding Guarantor] By: By:


 
110 <ENS>#0537844 CP2.1 Facility Agreement - Nedbank – DRDGOLD EXT3 Schedule 5 - Form of Resignation Letter To: Nedbank Limited (acting through its Nedbank Corporate and Investment Banking division) (the "Agent") From: [Resigning Guarantor] and DRDGOLD Limited, as Borrower and Obligors' Agent (the "Borrower") Dated: [] Dear Sirs, DRDGOLD Limited – ZAR1,000,000,000 Revolving Credit Facility Agreement dated []with ZAR500,000,000 Accordion (the "Agreement") 1. We refer to the Agreement. This is a Resignation Letter. Terms defined in the Agreement have the same meaning in this Resignation Letter unless given a different meaning in this Resignation Letter. 2. Pursuant to [Clause 23.4 (Resignation of a Guarantor)] of the Agreement, we request that [resigning Guarantor] be released from its obligations as a Guarantor under the Agreement. 3. We confirm that no Default is continuing or would result from the acceptance of this request. 4. This Resignation Letter and any non-contractual obligations arising out of or in connection with it are governed by South African law . Signed for: …........................................................... …..................................................... DRDGOLD Limited [Subsidiary] Name: Name: Capacity: Capacity:


 
111 <ENS>#0537844 CP2.1 Facility Agreement - Nedbank – DRDGOLD EXT3 Schedule 6 - Form of Compliance Certificate To: Nedbank Limited (acting through its Nedbank Corporate and Investment Banking division) (the "Agent") From: DRDGOLD Limited, as Borrower and Obligors' Agent (the "Borrower") Dated: [] Dear Sirs, DRDGOLD Limited – ZAR1,000,000,000 Revolving Credit Facility Agreement dated [] with ZAR500,000,000 Accordion (the "Agreement") 1. We refer to the Agreement. This is a Compliance Certificate. Terms defined in the Agreement have the same meaning when used in this Compliance Certificate unless given a different meaning in this Compliance Certificate. 2. This Compliance Certificate is delivered in relation to the Measurement Period ended [] (the "Measurement Date") 3. We confirm that, as at the Measurement Date, the following Financial Covenants referred to in Clause 20.2 (Financial condition) of Clause 20 (Financial Covenants) of the Agreement were: Ratio description As calculated Required Compliance Y/N 3.1. Interest Cover Ratio > 4.00 times 3.2. Leverage Ratio < 2.00 times 4. We confirm that the, on the basis of the calculations annexed hereto as Annexure A, each Financial Covenants in Clause 20.2 (Financial condition) of Clause 20 (Financial Covenants) of the Agreement has been complied with.2 5. We further confirm that, as at the Measurement Date, the following Subsidiaries are Material Companies and we are in compliance with Clause 21.16 (Guarantor Coverage). 6. [We confirm that no Default is continuing.]3 Signed for: …........................................... …............................................ DRDGOLD Limited Name: Capacity: Director DRDGOLD Limited Name: Capacity: Director 2 If this statement cannot be made, the Compliance Certificate should identify any non compliance with any Financial Covenants and the steps, if any, being taken to remedy such non-compliance. 3 Note: If this statement cannot be made, the Compliance Certificate should identify any Default that is continuing and the steps, if any, being taken to remedy it


 
112 <ENS>#0537844 CP2.1 Facility Agreement - Nedbank – DRDGOLD EXT3 Schedule 7 - Accordion Increase Documents PART I - Form of Accordion Increase Request To: Nedbank Limited (acting through its Nedbank Corporate and Investment Banking division) (the "Agent") From: DRDGOLD Limited, as Borrower and Obligors' Agent (the "Borrower") Dated: [] Dear Sirs, DRDGOLD Limited – ZAR1,000,000,000 Revolving Credit Facility Agreement dated [] with ZAR500,000,000 Accordion (the "Agreement") 1. We refer to the Agreement. This is an Accordion Increase Request. Terms defined in the Agreement have the same meaning in this Accordion Increase Request unless given a different meaning in this Accordion Increase Request. 2. We refer to Clause 2.2 (Accordion increase option) of the Agreement. 3. The Borrower hereby requests an Increased Commitment in an amount of ZAR[] ([] Rand). 4. The Borrower confirms that the Increased Commitment, if confirmed by the Agent, will not result in the aggregate Increased Commitments confirmed under Clause 2.2 (Accordion increase option) of the Agreement exceeding the Aggregate Accordion Increase Amount. 5. The proposed date on which the Increased Commitment is to take effect is [] or such later date as the Agent may stipulate in an Accordion Increase Confirmation (the "Accordion Increase Effective Date"). 6. This Accordion Increase Request and any non-contractual obligations arising out of or in connection with it are governed by South African law . 7. This Accordion Increase Request has been entered into on the date stated at the beginning of this Increase Confirmation. Yours sincerely, Signed for: …................................................................. …............................................................... DRDGOLD Limited Name: Capacity: DRDGOLD Limited Name: Capacity:


 
113 <ENS>#0537844 CP2.1 Facility Agreement - Nedbank – DRDGOLD EXT3 PART II - Form of Accordion Increase Confirmation To: DRDGOLD Limited, as Borrower and Obligors' Agent (the "Borrower") From: Nedbank Limited (acting through its Nedbank Corporate and Investment Banking division) (the "Agent") Dated: [] Dear Sirs, DRDGOLD Limited – ZAR1,000,000,000 Revolving Credit Facility Agreement dated [] with ZAR500,000,000 Accordion (the "Agreement") 1. We refer to the Agreement. This is an Accordion Increase Confirmation. Terms defined in the Agreement have the same meaning in this Accordion Increase Confirmation unless given a different meaning in this Accordion Increase Confirmation. 2. We refer to Clause 2.2 (Accordion increase option) of the Agreement and to the Accordion Increase Request received from the Borrower on [] (the "Accordion Increase Request"). 3. The Lender: 3.1. confirms that it has obtained all internal approvals required in relation to the Accordion Increase Request; and 3.2. agrees to assume and will assume all of the obligations corresponding to the Commitment in an amount of ZAR[] ([] Rand) (the "Increased Commitment") as if it had been the Lender in respect thereof under the Agreement from the Signature Date. 4. The proposed date on which the Increased Commitment is to take effect is [the date of this Accordion Increase Confirmation / [increase later date, if applicable] (the "Accordion Increase Effective Date"). 5. This Increase Confirmation and any non-contractual obligations arising out of or in connection with it are governed by South African law . 6. This Increase Confirmation has been entered into on the date stated at the beginning of this Increase Confirmation. Yours sincerely, Signed for: ….............................................................. …........................................................... Nedbank Limited (acting through its Nedbank Corporate and Investment Banking division) Name: Capacity: Nedbank Limited (acting through its Nedbank Corporate and Investment Banking division) Name: Capacity:


 
114 <ENS>#0537844 CP2.1 Facility Agreement - Nedbank – DRDGOLD EXT3 Schedule 8 - Form of Transfer Certificate To: Nedbank Limited (acting through its Nedbank Corporate and Investment Banking division) (the "Agent") From: [details of new Lender] (the "New Lender") Dated: [] Dear Sirs, DRDGOLD Limited – ZAR1,000,000,000 Revolving Credit Facility Agreement dated [] with ZAR500,000,000 Accordion (the "Agreement") 1. We refer to the Agreement. This is a Transfer Certificate. Terms defined in the Agreement have the same meaning in this Transfer Certificate unless given a different meaning in this Transfer Certificate. 2. We refer to Clause 24.4 (Procedure for Transfer) of the Agreement. 2.1. The New Lender agrees to the Existing Lender transferring to the New Lender by cession and delegation all or part of the Existing Lender's Commitment, rights and obligations under the Agreement and other Finance Documents which relation to that that portion of the Existing Lender's Commitment and participations in Loans under the Agreement referred to in this Schedule in accordance with Clause 24.4 (Procedure for transfer). 2.2. The proposed Transfer Date is []. 3. The address of the New Lender and attention details for notices of the New Lender for the purposes of Clause 30.2 (Addresses) are set out in the Schedule. 4. On and with effect from the Transfer Date the New Lender: 4.1. becomes party to the Agreement as a Lender; 4.2. undertakes to perform all the obligations expressed in the Agreement and other applicable Finance Documents to be assumed by a Lender; and 4.3. agrees that it shall be bound by all the provisions of the Agreement and other applicable Finance Documents as if it had been an original party to those Finance Documents as a Lender. 5. The New Lender expressly acknowledges the limitations on the Existing Lender's obligations set out in Clause 24.3 (Limitation of responsibility of Existing Lender). 6. The New Lender agrees that it shall assume the same obligations towards each other Finance Party under the Finance Documents as if it had been an Original Lender. 7. This Transfer Certificate and any non-contractual obligations arising out of or in connection with it are governed by South African law. 8. This Transfer Certificate has been entered into on the date stated at the beginning of this Increase Confirmation. 9. By counter-signing this Transfer Certificate, it is accepted by the Agent and the Transfer Date is confirmed as [].


 
115 <ENS>#0537844 CP2.1 Facility Agreement - Nedbank – DRDGOLD EXT3 Yours sincerely, Signed for: …................................................................. …............................................................... DRDGOLD Limited Name: Capacity: [details of new Lender] Name: Capacity: Signed for: …................................................................. Nedbank Limited (acting through its Nedbank Corporate and Investment Banking division) (as Agent Name: Capacity:


 
116 <ENS>#0537844 CP2.1 Facility Agreement - Nedbank – DRDGOLD EXT3 THE SCHEDULE Commitment/rights and obligations to be transferred [insert relevant details, including applicable Commitment (or part) and participation in Loan] Part 1 Commitment [●] Part 2 Participations In Loan [●] Part 3 Administrative Details of the New Lender [Insert details of address for notices and payment details, etc.]


 
117 <ENS>#0537844 CP2.1 Facility Agreement - Nedbank – DRDGOLD EXT3 Schedule 9 - Permitted Transferees South African Banks Absa Bank Limited The Standard Bank of South Africa Limited Investec Bank Limited FirstRand Limited Nedbank Group Limited Non South African Banks Barclays plc Citibank, N.A. HSBC Bank plc Standard Chartered plc Affiliates Any affiliate, subsidiary or holding company of the banks and financial institutions listed in this Schedule 9, and any fund or entity managed by any of them or any of their affiliates


 
118 <ENS>#0537844 CP2.1 Facility Agreement - Nedbank – DRDGOLD EXT3 Schedule 10 - Sustainability Schedule Part I - Sustainability Definitions 1. "Applicable ESG Standards" refer to the following: 1.1. in relation to KPI [1], the standards published by [●]; 1.2. in relation to KPI [2], the standards published by [●]; and 1.3. in relation to KPI [3], the standards published by [●]; and 2. "Sustainability Margin Adjustment" means, in relation to any SLL Reference Period, the adjustment to the Margin, if any, determined using the table below and the number of SPTs that the Sustainability Compliance Certificate for that SLL Reference Period certifies have been met in accordance with sub- clause 8.5.2 of Clause 8.5 (Sustainability Margin Adjustment): Number of SPTs met Revised Margin following Sustainability Margin Adjustment 3 The rate which is []% ([] percent). per annum lower than the rate which would otherwise have been applicable. 2 The rate which is []% ([] percent). per annum lower than the rate which would otherwise have been applicable. 1 The rate which is []% ([] percent). per annum lower than the rate which would otherwise have been applicable. 0 The rate which would otherwise have been applicable.


 
119 <ENS>#0537844 CP2.1 Facility Agreement - Nedbank – DRDGOLD EXT3 Part II - Sustainability Calculations 1. KPI [1] [Description of KPI] 1.1. Applicable ESG Standards (if applicable) [] 1.2. Calculation Methodology []] 1.3. Baseline [] 1.4. SPTs SLL Reference Period ending [] SLL Reference Period ending [] SLL Reference Period ending [] SLL Reference Period ending [] SLL Reference Period ending [] SPTs [] [] [] [] [] 2. KPI [2] [Description of KPI] 2.1. Applicable ESG Standards (if applicable) [] 2.2. Calculation Methodology [] 2.3. Baseline [] 2.4. SPTs SLL Reference Period ending [] SLL Reference Period ending [] SLL Reference Period ending [] SLL Reference Period ending [] SLL Reference Period ending [] SPTs [] [] [] [] []


 
120 <ENS>#0537844 CP2.1 Facility Agreement - Nedbank – DRDGOLD EXT3 3. KPI [3] [Description of KPI] 3.1. Applicable ESG Standards (if applicable) [] 3.2. Calculation Methodology [] 3.3. Baseline [] 3.4. SPTs SLL Reference Period ending [] SLL Reference Period ending [] SLL Reference Period ending [] SLL Reference Period ending [] SLL Reference Period ending [] SPTs [] [] [] [] []


 
121 <ENS>#0537844 CP2.1 Facility Agreement - Nedbank – DRDGOLD EXT3 Part III - -Form of Sustainability Compliance Certificate To: Nedbank Limited (acting through its Nedbank Corporate and Investment Banking division) (the "Agent") From: DRDGOLD Limited (the "Borrower") Dated: [] Dear Sirs, DRDGOLD Limited – ZAR1,000,000,000 Revolving Credit Facility Agreement dated [] with ZAR500,000,000 Accordion (the "Agreement") 1. We refer to the Facility Agreement. This is a Sustainability Compliance Certificate. Terms defined in the Facility Agreement have the same meaning when used in this Sustainability Compliance Certificate unless given a different meaning in this Sustainability Compliance Certificate. 2. This Sustainability Compliance Certificate is delivered with respect to the SLL Reference Period ending [] (the "Relevant SLL Reference Period"). 3. We confirm that the results (in accordance with the applicable Calculation Methodology) for the SPT for each KPI for the Relevant SLL Reference Period as verified in [the]/[each] applicable Verification Report are as follows: KPI SPT Performance SPT met? KPI [1] [Yes]/[No] KPI [2] [Yes]/[No] KPI [3] [Yes]/[No] 4. As shown above, [] SPTs were met and [] were not met. Accordingly: 4.1 [the applicable Sustainability Margin Adjustment is an [increase]/[decrease] to the Margin of [] percent. per annum]/[there is no Sustainability Margin Adjustment]; 4.2 the Margin applicable to the Facility following the Sustainability Margin Adjustment is [] percent. per annum. [Set out relevant calculations in reasonable detail] 5. We confirm that the Sustainability Report and the Verification Report relating to the Relevant SLL Reference Period and attached hereto is a correct and complete copy of the original and has not been amended or superseded as at the date of this Sustainability Compliance Certificate. Yours sincerely, Signed for: …........................................... …............................................ DRDGOLD Limited (as Borrower) Name: Capacity: Director DRDGOLD Limited (as Borrower) Name: Capacity: Director


 
i <ENS>#0537844 CP2.1 Facility Agreement - Nedbank – DRDGOLD EXT3 SIGNATURE PAGE (1/5) BORROWER For" DRDGOLD LIMITED Signature: /s/ Adriaan Jacobus Davel who warrants that he / she is duly authorised thereto Name: Adriaan Jacobus Davel Capacity: Director Date: July 31, 2024


 
ii <ENS>#0537844 CP2.1 Facility Agreement - Nedbank – DRDGOLD EXT3 SIGNATURE PAGE (2/5) GUARANTOR For" ERGO MINING PROPRIETARY LIMITED Signature: /s/ Henry Gouws who warrants that he / she is duly authorised thereto Name: Henry Gouws Capacity: Director Date: July 31, 2024


 
iii <ENS>#0537844 CP2.1 Facility Agreement - Nedbank – DRDGOLD EXT3 SIGNATURE PAGE (3/5) GUARANTOR For" FAR WEST GOLD RECOVERIES PROPRIETARY LIMITED Signature: /s/ Henriette Hooijer who warrants that he / she is duly authorised thereto Name: Henriette Hooijer Capacity: Director Date: July 31, 2024


 
iv <ENS>#0537844 CP2.1 Facility Agreement - Nedbank – DRDGOLD EXT3 SIGNATURE PAGE (4/5) AGENT For: NEDBANK LIMITED (ACTING THROUGH ITS NEDBANK CORPORATE AND INVESTMENT BANKING DIVISION) NEDBANK LIMITED (ACTING THROUGH ITS NEDBANK CORPORATE AND INVESTMENT BANKING DIVISION) Signature: /s/ GL Webber /s/ NJ Singh who warrants that he / she is duly authorised thereto who warrants that he / she is duly authorised thereto Name: GL Webber NJ Singh Capacity: Authorised Signatory Authorised Signatory Date: July 31, 2024 July 31, 2024


 
v <ENS>#0537844 CP2.1 Facility Agreement - Nedbank – DRDGOLD EXT3 SIGNATURE PAGE (5/5) ORIGINAL LENDER For: NEDBANK LIMITED (ACTING THROUGH ITS NEDBANK CORPORATE AND INVESTMENT BANKING DIVISION) NEDBANK LIMITED (ACTING THROUGH ITS NEDBANK CORPORATE AND INVESTMENT BANKING DIVISION) Signature: /s/ GL Webber /s/ NJ Singh who warrants that he / she is duly authorised thereto who warrants that he / she is duly authorised thereto Name: GL Webber NJ Singh Capacity: Authorised Signatory Authorised Signatory Date: July 31, 2024 July 31, 2024