Please wait
Table of Contents

 

 

UNITED STATES

SECURITIES AND EXCHANGE COMMISSION

Washington, D.C. 20549

 

 

SCHEDULE 14A INFORMATION

Proxy Statement Pursuant to Section 14(a) of the

Securities Exchange Act of 1934

(Amendment No.    )

 

 

Filed by the Registrant  ☒

Filed by a Party other than the Registrant  ☐

Check the appropriate box:

 

  Preliminary Proxy Statement
  Confidential, for Use of the Commission Only (as permitted by Rule 14a-6(e)(2))
  Definitive Proxy Statement
  Definitive Additional Materials
  Soliciting Material under § 240.14a-12

EPR Properties

(Name of Registrant as Specified In Its Charter)

(Name of Person(s) Filing Proxy Statement, if other than the Registrant)

Payment of Filing Fee (Check the appropriate box):

 

  No fee required.
  Fee computed on table below per Exchange Act Rules 14a-6(i)(1) and 0-11.
  Fee paid previously with preliminary materials.

 

 

 


Table of Contents

LOGO

EPR Properties® The Diversified Experiential REIT SM VOTE 000004 ENDORSEMENT LINE SACKPACK MR A SAMPLE DESIGNATION (IF ANY) ADD 1 ADD 2 ADD 3 ADD 4 ADD 5 ADD 6 C 1234567890 Online Go to www.envisionreports.com/EPR or scan the QR code — login details are located in the shaded bar below. Votes submitted electronically must be received by 1:00 a.m., Central Time, on May 24, 2023. Shareholder Meeting Notice 1234 5678 9012 345 Important Notice Regarding the Availability of Proxy Materials for the EPR Properties Shareholder Meeting to be Held on May 24, 2023 Under Securities and Exchange Commission rules, you are receiving this notice that the proxy materials for the annual shareholders’ meeting are available on the Internet. Follow the instructions below to view the materials and vote online or request a copy. The items to be voted on and location of the annual meeting are on the reverse side. Your vote is important! This communication presents only an overview of the more complete proxy materials that are available to you on the Internet. We encourage you to access and review all of the important information contained in the proxy materials before voting. The proxy statement and annual report to shareholders are available at: www.envisionreports.com/EPR Easy Online Access — View your proxy materials and vote. Step 1: Go to www.envisionreports.com/EPR. Step 2: Click on Cast Your Vote or Request Materials. Step 3: Follow the instructions on the screen to log in. Step 4: Make your selections as instructed on each screen for your delivery preferences. Step 5: Vote your shares. When you go online, you can also help the environment by consenting to receive electronic delivery of future materials. Obtaining a Copy of the Proxy Materials – If you want to receive a copy of the proxy materials, you must request one. There is no charge to you for requesting a copy. Please make your request as instructed on the reverse side on or before May 12, 2023 to facilitate timely delivery. 2 N O T C O Y + 03S1WD


Table of Contents

LOGO

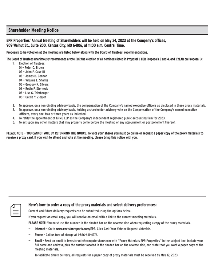
Shareholder Meeting Notice EPR Properties’ Annual Meeting of Shareholders will be held on May 24, 2023 at the Company’s offices, 909 Walnut St., Suite 200, Kansas City, MO 64106, at 11:00 a.m. Central Time. Proposals to be voted on at the meeting are listed below along with the Board of Trustees’ recommendations. The Board of Trustees unanimously recommends a vote FOR the election of all nominees listed in Proposal 1, FOR Proposals 2 and 4, and 1 YEAR on Proposal 3: 1. Election of Trustees: 01 – Peter C. Brown 02 – John P. Case III 03 – James B. Connor 04 – Virginia E. Shanks 05 – Gregory K. Silvers 06 – Robin P. Sterneck 07 – Lisa G. Trimberger 08 – Caixia Y. Ziegler 2. To approve, on a non-binding advisory basis, the compensation of the Company’s named executive officers as disclosed in these proxy materials. 3. To approve, on a non-binding advisory basis, holding a shareholder advisory vote on the Compensation of the Company’s named executive officers, every one, two or three years as indicated. 4. To ratify the appointment of KPMG LLP as the Company’s independent registered public accounting firm for 2023. 5. To act upon any other matters that may properly come before the meeting or any adjournment or postponement thereof. PLEASE NOTE – YOU CANNOT VOTE BY RETURNING THIS NOTICE. To vote your shares you must go online or request a paper copy of the proxy materials to receive a proxy card. If you wish to attend and vote at the meeting, please bring this notice with you. Here’s how to order a copy of the proxy materials and select delivery preferences: Current and future delivery requests can be submitted using the options below. If you request an email copy, you will receive an email with a link to the current meeting materials. PLEASE NOTE: You must use the number in the shaded bar on the reverse side when requesting a copy of the proxy materials. — Internet – Go to www.envisionreports.com/EPR. Click Cast Your Vote or Request Materials. — Phone – Call us free of charge at 1-866-641-4276. — Email – Send an email to investorvote@computershare.com with “Proxy Materials EPR Properties” in the subject line. Include your full name and address, plus the number located in the shaded bar on the reverse side, and state that you want a paper copy of the meeting materials. To facilitate timely delivery, all requests for a paper copy of proxy materials must be received by May 12, 2023.