Please wait
TABLE OF CONTENTS
UNITED STATES
SECURITIES AND EXCHANGE COMMISSION
Washington, D.C. 20549
SCHEDULE 14A
Proxy Statement Pursuant to Section 14(a) of
the Securities Exchange Act of 1934
Filed by the Registrant ☒
Filed by a Party other than the Registrant ☐
Check the appropriate box:

Preliminary Proxy Statement

Confidential, for Use of the Commission Only (as permitted by Rule 14a-6(e)(2))

Definitive Proxy Statement

Definitive Additional Materials

Soliciting Material under §240.14a-12
iStar Inc.
(Name of Registrant as Specified In Its Charter)
 
(Name of Person(s) Filing Proxy Statement, if other than the Registrant)
Payment of Filing Fee (Check the appropriate box):

No fee required.

Fee computed on table below per Exchange Act Rules 14a-6(i)(1) and 0-11.
(1)
Title of each class of securities to which transaction applies:
 
(2)
Aggregate number of securities to which transaction applies:
 
(3)
Per unit price or other underlying value of transaction computed pursuant to Exchange Act Rule 0-11 (set forth the amount on which the filing fee is calculated and state how it was determined):
 
(4)
Proposed maximum aggregate value of transaction:
 
(5)
Total fee paid:
 

Fee paid previously with preliminary materials.

Check box if any part of the fee is offset as provided by Exchange Act Rule 0-11(a)(2) and identify the filing for which the offsetting fee was paid previously. Identify the previous filing by registration statement number, or the Form or Schedule and the date of its filing.
(1)
Amount Previously Paid:
 
(2)
Form, Schedule or Registration Statement No.:
 
(3)
Filing Party:
 
(4)
Date Filed:
 

TABLE OF CONTENTS
[MISSING IMAGE: tm212491d1-cov_ofcbw.jpg]

TABLE OF CONTENTS
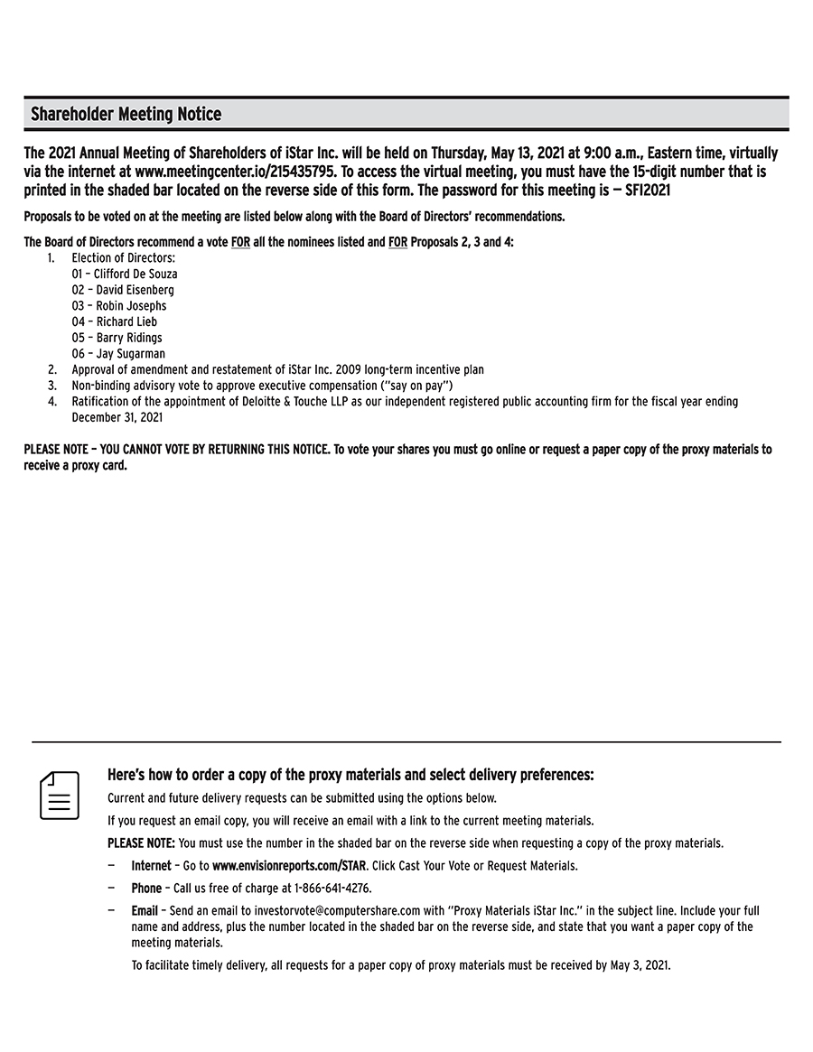
Notice of 2021 Annual Meeting of
Shareholders
Items of Business
Proposal 1
Election of six directors
Proposal 2
Approval of proposed amendment and restatement of iStar Inc. 2009 Long Term Incentive Plan
Proposal 3
Non-binding, advisory vote to approve executive compensation (“Say-on-Pay”)
Proposal 4
Ratification of the appointment of Deloitte & Touche LLP as our independent registered public accounting firm for the fiscal year ending December 31, 2021
In addition, we will transact such other business as may properly come before the annual meeting or any postponement or adjournment of the meeting.
[MISSING IMAGE: ic_when-bw.jpg]
Thursday, May 13, 20219:00 a.m. Eastern time
[MISSING IMAGE: ic_where-bw.jpg]
A virtual meeting via the internet at
www.meetingcenter.io/215435795.
[MISSING IMAGE: ic_recorddate-bw.jpg]
Shareholders of record at the close of business on March  17, 2021 are entitled to notice of and to vote
Record Date
The Board has fixed the close of business on March 17, 2021 as the record date for the determination of shareholders entitled to receive notice of and to vote at the annual meeting or any postponement or adjournment of the meeting. Only holders of record of our common stock and 8.00% Series D preferred stock at the close of business on that date will be entitled to vote at the annual meeting.
How to Vote
In order to vote online or by telephone, you must have the shareholder identification number that appears on the
enclosed Notice of Internet Availability of Proxy Materials.
By internet
[MISSING IMAGE: tm212491d1-icon_internetbw.jpg]
By phone
[MISSING IMAGE: tm212491d1-icon_phonebw.jpg]
By mobile device
[MISSING IMAGE: tm212491d1-icon_mobiledevbw.jpg]
By mail
[MISSING IMAGE: tm212491d1-icon_bymailbw.jpg]
Registered
Holders
www.envisionreports.com/STAR
In the U.S. or Canada dial toll-free, 24/7
1-800-652-8683
Scan the QR code
[MISSING IMAGE: tm212491d1-qr_codeenvisbw.jpg]
Complete, sign, date and return your proxy card in our prepaid envelope
Beneficial
Owners
www.proxyvote.com
In the U.S. or Canada dial toll-free, 24/7
1-800-690-6903
[MISSING IMAGE: tm212491d1-qr_codeproxybw.jpg]
Complete, sign, date and return your voting instruction form in our prepaid envelope
 
Even if you expect to participate in the annual
meeting, please
vote your proxy in advance to
ensure that your shares will be
counted.
IMPORTANT NOTICE REGARDING THE AVAILABILITY OF PROXY MATERIALS FOR THE ANNUAL MEETING OF SHAREHOLDERS TO BE HELD ON MAY 13, 2021
We make proxy materials available to our shareholders online. You can access proxy materials including our 2020 annual report to shareholders at http://www.envisionreports.com/STAR. You also may request a paper or an e-mail copy of our proxy materials and a paper proxy card by following the instructions included in the Notice of Internet Availability of Proxy Materials.
By Order of the Board of Directors,
[MISSING IMAGE: sg_geoffreydugan.jpg]

Geoffrey M. Dugan
General Counsel, Corporate and Secretary
New York, New York
April 2, 2021
Notice of 2021 Annual Meeting of ShareholdersItems of Business
iStar Inc. 2021 Proxy Statement

TABLE OF CONTENTS
[MISSING IMAGE: lg_istargrey.jpg]
 
Proxy Statement
Contents
[MISSING IMAGE: ic_dottedrule-pn.jpg]
Proxy Summary
1
Proposal 1—Election of Directors
8
Candidates for Election as Director
10
Corporate Governance
16
Board Leadership Structure
16
Board Refreshment
17
Director Independence
18
Nominations for the Board
18
Board’s Role in Risk Oversight
19
Board Evaluation Process
20
20
Executive Sessions
20
Service on Other Boards
20
Director Resignation Policy
21
Defensive Measures Profile
21
“Whistleblower Policy”
21
Governing Documents
22
Disclosure Committee
22
Succession Planning
22
Communications with the Board
23
24
Cybersecurity
25
Board Committees
26
Audit Committee
27
Compensation Committee
28
Nominating and Governance Committee
29
Investment Committee
29
Director Compensation
30
Indemnification
32
Proposal 2—Approval of Proposed Amendment and Restatement of iStar Inc. 2009 Long Term Incentive Plan
33
Proposal 3—Advisory Vote to Approve Executive Compensation
42
43
Compensation Discussion and Analysis
44
44
46
Compensation Committee Report
58
Chief Executive Officer Pay Ratio
59
Executive Compensation Tables
60
Proposal 4—Ratification of the Appointment of Independent Registered Accounting Firm
66
Accounting Fees and Services
66
Report of the Audit Committee
68
Stock Ownership Information
70
70
71
Certain Relationship and Related Party Transactions
72
Information about the Annual Meeting of Shareholders
74
Exhibit A—Non-GAAP Reconciliations
A-1
B-1
[MISSING IMAGE: ic_dottedrule-pn.jpg]
iStar Inc. 2021 Proxy Statement
[MISSING IMAGE: lg_istar-bw.jpg]

TABLE OF CONTENTS
Proxy Summary
This summary highlights information contained elsewhere in this proxy statement, but does not contain all of the information that you should consider. Please read the entire proxy statement carefully before voting.
Voting Matters
Agenda Item
Voting Recommendation
More
Information
Proposal
1
Elect six directors nominated by iStar’s Board
[MISSING IMAGE: ic_checkmark-pn.jpg]
FOR each
Nominee
Page 8
Proposal
2
Approve proposed amendment and restatement of the iStar Inc. 2009 Long-Term Incentive Plan
[MISSING IMAGE: ic_checkmark-pn.jpg]
FOR
Page 33
Proposal
3
Approve, on an advisory basis, executive compensation
[MISSING IMAGE: ic_checkmark-pn.jpg]
FOR
Page 42
Proposal
4
Ratify the selection of the independent auditors
[MISSING IMAGE: ic_checkmark-pn.jpg]
FOR
Page 66
Overview of Our Business
Who We Are

iStar (NYSE: STAR) is a real estate investment trust (REIT) that finances, invests in and develops real estate and real estate related projects.

iStar is focused on reinventing the ground lease sector and unlocking value for real estate owners throughout the country by providing modern, more efficient ground leases on all types of institutional quality properties.

iStar is the founder and largest shareholder of Safehold (NYSE: SAFE), the first publicly traded company to focus on modern ground leases.

Through our significant ownership stake in SAFE, together with our legacy portfolio and historical strengths in finance and net lease, iStar delivers a unique and innovative business platform.
Proxy SummaryOverview of Our Business
iStar Inc. 2021 Proxy Statement | 1

TABLE OF CONTENTS
[MISSING IMAGE: lg_istargrey.jpg]
 
What We Do
iStar currently operates through four primary business lines:
I.
Safehold and Net Lease

Ground lease strategy operated through Safehold Inc. (NYSE: SAFE) and traditional net lease strategy

Safehold is a separate, externally managed, “pure play” public company with iStar as its largest shareholder and investment manager

Safehold is the first nationally-scaled, customer-focused platform for ground leases
II.
Real Estate Finance

Senior and mezzanine real estate loans
III.
Operating Properties

Commercial assets across a broad range of geographies and property types
IV.
Land & Development

Land entitled for master planned communities and other development projects
[MISSING IMAGE: tm212491d1-pc_portbreakpn.jpg]
Note: $ in millions unless otherwise specified. Figures based on Gross Book Value of the Company’s total investment portfolio and includes 100% of the assets of iStar’s consolidated joint ventures and the carrying value of iStar’s investment in non-consolidated joint ventures and affiliates.
(1)
Based on market value of SAFE as of December 31, 2020 of  $72.49 per share with 34.8 m shares.
2 | iStar Inc. 2021 Proxy Statement
[MISSING IMAGE: lg_istar-bw.jpg]

TABLE OF CONTENTS
2020 Business Highlights and Performance
At the beginning of 2019 we announced our new three-pronged business strategy to (1) scale our ground lease business, through the Safehold Inc. platform, (2) simplify our portfolio, and (3) strengthen our balance sheet. We are pleased to have made excellent progress since then. Overall, our 2020 results have been strong, despite the devastating impact of the Covid-19 pandemic during 2020 throughout the United States and the world, including many parts of our business and the communities in which we work and live.
Specific highlights of our 2020 performance include:

Scaling and building on Safehold’s recent success:

Safehold’s portfolio of ground lease assets has grown to $3.2 billion (over $2 billion growth over the past two years)

For the second consecutive year, Safehold was the best-performing NAREIT member stock in 2020, achieving total shareholder return of 82%. iStar’s investment in Safehold has increased, through additional investments and stock price appreciation, from $1.3b at 12/31/19 to $2.7b at 2/26/21.

Safehold has now achieved investment grade credit ratings from Moody’s and Fitch

Simplifying iStar’s business by accelerating the monetization of legacy assets:

We have sold legacy assets for $191 million of proceeds, bringing the balance down to less than 15% of our overall portfolio

Strengthening iStar’s balance sheet, including increasing our unencumbered asset base to $5.0 billion and extending our weighted average debt maturities to 4.3 years.
These successes have helped fuel iStar’s strong recent performance, with total shareholder return (TSR) for 2020 of 6%, outperforming benchmarks such as MSCI US REIT Index/RMZ (-8%) and mortgage REITs generally (-24%) and compared to TSR of 20% for Russell 2000.
Proxy Summary2020 Business Highlights and Performance
iStar Inc. 2021 Proxy Statement | 3

TABLE OF CONTENTS
[MISSING IMAGE: lg_istargrey.jpg]
 
Current Board and Nominees
The following table provides summary information about each current director and director nominee. Detailed information about each nominee’s background, skill set, and areas of experience can be found beginning on page 9.
Our Nominees
[MISSING IMAGE: tm212491d1-tb_curnompn.jpg]
4 | iStar Inc. 2021 Proxy Statement
[MISSING IMAGE: lg_istar-bw.jpg]

TABLE OF CONTENTS
Board Highlights
[MISSING IMAGE: tm212491d1-pc_highlightspn.jpg]
Highly Skilled Directors
[MISSING IMAGE: tm212491d1-bc_directorsbw.jpg]
Shareholder Engagement
Why We Engage
Shareholder engagement is key to management and the Board’s ongoing review and analysis of iStar’s strategy, compensation program and corporate governance policies. These shareholder discussions provide valuable feedback and enable us to address shareholder feedback and interests in designing and implementing our programs and practices.
Proxy SummaryShareholder Engagement
iStar Inc. 2021 Proxy Statement | 5

TABLE OF CONTENTS
[MISSING IMAGE: lg_istargrey.jpg]
 
How We Engage
Investor outreach is a year-round process that involves both iStar’s Board and management team.
Proxy Season (March—May)
Off-Season (September—February)

Every year we reach out to our largest institutional shareholders and engage directly with all who respond affirmatively, both in person and by teleconference

Any feedback from these discussions is shared with the full Board and management team ahead of the Annual Meeting

Each year, members of our management team and the Board engage with shareholders to discuss strategy, performance, executive compensation, Board composition and other ESG topics

Feedback from these discussions is shared with the full Board and management team and ultimately informs the Board’s decision-making process
Scope of Recent Engagement
This year, we reached out to holders representing approximately 80% of our outstanding shares and held discussions with all shareholders who responded positively to the outreach and requested an opportunity to speak with us.
The priority topics for our shareholder outreach this year were to report on iStar’s business performance and the evolution of iStar’s business strategy, changes to our executive compensation program and disclosure implemented in 2020, recent ESG initiatives, and other matters of interest to our investors. Our Lead Director and the Chairman of our Compensation Committee participated in these outreach activities. Throughout the year, our senior management team communicates regularly with our shareholders through individual calls or meetings and presentations at investor conferences.
6 | iStar Inc. 2021 Proxy Statement
[MISSING IMAGE: lg_istar-bw.jpg]

TABLE OF CONTENTS
Corporate Governance Best Practices
iStar’s corporate governance policies and practices support our business and align with best practices.
What we do
[MISSING IMAGE: ic_checkmark-pn.jpg]
Lead Independent Director with robust role and responsibilities
[MISSING IMAGE: ic_checkmark-pn.jpg]
Annual election of Board members
[MISSING IMAGE: ic_checkmark-pn.jpg]
Supermajority Independent Board
[MISSING IMAGE: ic_checkmark-pn.jpg]
Board committees comprised of independent Directors
[MISSING IMAGE: ic_checkmark-pn.jpg]
Shareholders can call special meetings and amend bylaws
[MISSING IMAGE: ic_checkmark-pn.jpg]
Whistleblower policy
[MISSING IMAGE: ic_checkmark-pn.jpg]
Majority voting provisions
[MISSING IMAGE: ic_checkmark-pn.jpg]
Robust Director and Committee evaluation process
[MISSING IMAGE: ic_checkmark-pn.jpg]
Annual ESG Report
[MISSING IMAGE: ic_checkmark-pn.jpg]
ESG Advisory Council and Cultural Equity Council
Proxy SummaryCorporate Governance Best Practices
iStar Inc. 2021 Proxy Statement | 7

TABLE OF CONTENTS
[MISSING IMAGE: lg_istargrey.jpg]
 
Proposal 1—Election of Directors
The Board of Directors has nominated six current directors for election at the 2021 Annual Meeting to serve until the 2022 Annual Meeting and until their respective successors have been elected and qualified. All current directors were elected at the 2020 Annual Meeting, with the exception of David Eisenberg, who was appointed to fill a vacancy on our Board in August 2020 and is a nominee for election by the shareholders for the first time.
Each of the nominees has consented to serve as a director if elected. If, at the time of the Annual Meeting, any nominee is unable or declines to serve as a director, the discretionary authority provided in the enclosed proxy will be exercised to vote for a substitute candidate designated by the Board of Directors, unless the Board chooses to reduce its own size. The Board of Directors has no reason to believe that any of the nominees will be unable or will decline to serve if elected. Proxies cannot be voted for more than six persons.
We believe that our directors should satisfy several qualifications, including demonstrated integrity, a record of personal accomplishments, a commitment to participation in Board activities and other attributes discussed below in “Director Nominations and Qualifications.” We also endeavor to have a Board that represents a range of qualities, skills, diverse perspectives and depth of experience in areas that are relevant to and contribute to the Board’s oversight of the Company’s business activities. In addition to the qualities described above under the heading “Board Highlights,” we describe below the key experiences, qualifications, skills and attributes the director nominees bring to the Board that, for reasons discussed below, are important considering iStar’s business and structure. The Board considered these key experiences, qualifications, skills and attributes and the nominees’ other qualifications in determining to recommend that they be nominated for election.
Ms. Anita Sands, a current director, has advised us that she will not stand for re-election at the 2021 annual meeting. Among her other commitments, Ms. Sands will be assuming a teaching position at Princeton University. She will continue to serve as a director until her term expires at the 2021 annual meeting. In view of Ms. Sands’ decision, the board has taken action to reduce the size of the board to six directors when Ms. Sands’ term expires.
All of the nominees, other than Mr. Sugarman, are independent under the standards prescribed by the New York Stock Exchange.
Director Nominations and Qualifications
The Nominating and Governance Committee (the “Committee”) is charged with identifying potential Board members and recommending qualified individuals to the Board for its consideration. The Committee is authorized to employ third-party search firms to identify potential candidates. In evaluating candidates, the Committee considers, among other things:

Education, background, skills, and experience that provide knowledge of business, financial, governmental, or legal matters relevant to our business or to our status as a public company

The Board’s objective to have members who represent diversity in gender, race, ethnicity and perspective

A high level of personal and professional ethics, integrity, and values

A reputation for exercising good business judgment

Commitment to representing the long-term interests of our shareholders

The fit of the individual’s skills and personality with those of other directors and potential directors in building a Board that is effective, collegial and responsive to our needs

Sufficient available time to fulfill the responsibilities of a member of iStar’s Board
The Committee also considers whether individuals satisfy the independence criteria set forth in the NYSE listing standards, as well as any special criteria applicable to service on various standing committees of the Board.
8 | iStar Inc. 2021 Proxy Statement
[MISSING IMAGE: lg_istar-bw.jpg]

TABLE OF CONTENTS
The Committee generally identifies nominees by first assessing whether the current members of the Board continue to provide the appropriate mix of knowledge, skills, judgment, experience, diversity and other qualities necessary to the Board’s ability to oversee and guide the business and affairs of the organization. The Board generally nominates for re-election current members of the Board who are willing to continue in service, collectively satisfy the criteria listed above and are available to devote enough time and attention to the affairs of the organization. When the Committee seeks new candidates for director roles, it seeks individuals with qualifications that will complement or enhance the experience, skills, diversity and perspectives of the other members of the Board. The full Board (1) considers candidates that the Committee recommends; (2) considers the optimum size of the Board; (3) determines how to address any vacancies on the Board; and (4) determines the composition of all Board committees.
We believe our director nominees are well-equipped to oversee management and address the complex issues confronting iStar as it continues to focus on key strategic objectives, including:

sustaining and increasing our market leadership of the ground lease sector

increasing the pace at which we monetize our legacy assets

continuing to invest our capital where we believe we can capture appropriate risk-adjusted returns
Since the 2020 annual meeting, we added a new director, David Eisenberg, who joined our Board in August 2020 and is a nominee for election by our shareholders at the annual meeting. Mr. Eisenberg’s addition to the Board resulted from our ongoing evaluation of potential Board candidates who would bring diversity and skills valuable to help us execute on our go-forward strategy.
Proposal 1 — Election of DirectorsDirector Nominations and
Qualifications
iStar Inc. 2021 Proxy Statement | 9

TABLE OF CONTENTS
[MISSING IMAGE: lg_istargrey.jpg]
 
Candidates for Election as Director
[MISSING IMAGE: ph_jaysugarman-bw.jpg]
Jay Sugarman
Chairman and Chief Executive Officer,
iStar Inc. and Safehold Inc.
Chairman and Director since 1996
Age 59
iStar Board Leadership Roles
Chairman
Education:
Princeton University, B.A.

Paul Volcker Award in Economics; summa cum laude; valedictorian nominee
Harvard Business School, M.B.A.

Baker Scholar; Loeb Award in Finance; Copeland Award and Gillette Prize in Marketing
Other Public Company Boards

Safehold Inc.
Select Business Experience
iStar Inc.

Executive Chairman
Safehold Inc., the first public company focused on ground lease investments

Chairman & CEO, June 2017 to present
Select Skills and Qualifications
Business Development & Strategy

Experience building two public companies from inception as founder and chief executive officer of both iStar and Safehold
Senior Leadership

Serves as CEO of iStar and Safehold, bringing financial, operational and real estate expertise to the Board
Investing

Prior to founding iStar, managed private investment funds on behalf of several high net worth families
10 | iStar Inc. 2021 Proxy Statement
[MISSING IMAGE: lg_istar-bw.jpg]

TABLE OF CONTENTS
[MISSING IMAGE: ph_cliffdesouza-bw.jpg]
Clifford De Souza
Retired Chief Executive Officer,
MUFG Securities International
Independent Director since 2015
Age 59
iStar Board Leadership Roles
[MISSING IMAGE: ic_audit-bw.jpg]  Audit Committee Chair [MISSING IMAGE: ic_chairdir-pn.jpg]
[MISSING IMAGE: ic_nominating-bw.jpg] Nominating and Governance Committee Member
Education:
Cambridge University, B.A.
University of Maryland, Ph.D.
Other Public Company Boards

None
Select Business Experience
MUFG Securities International

Chairman & Head of International Business London, NY, HK, Singapore,

CEO London
Citigroup Alternative Investments

CIO Multi Strategy Hedge Fund Group

Leadership Team -Hedge Fund, Private Equity, Real Estate, and Structured Products
UBS/SBC Warburg Dillon Read

Global Head Emerging Markets
Select Skills and Qualifications
Capital Markets, Business Development, Strategy and Risk Management

At MUFG Securities International, responsible for all international securities and investment banking operations including Capital Markets, Secondary Trading, Technology and Operations

At Citigroup, managed over $40 billion in private equity, real estate, structured product, and hedge fund assets
Public Company Executive and Director/Senior Leadership Experience

Chairman—New York, Hong Kong and London MUFG Securities International entities, Director NY entity

CEO—London and New York entities
Finance/Accounting

All senior roles required experience with balance sheets, finance and accounting practice
Proposal 1 — Election of DirectorsCandidates for Election as Director
iStar Inc. 2021 Proxy Statement | 11

TABLE OF CONTENTS
[MISSING IMAGE: lg_istargrey.jpg]
 
[MISSING IMAGE: ph_davideisenberg-bwlr.jpg]
David Eisenberg
Founder and Managing Director,
Zigg Capital
Independent Director since 2020
Age 36
iStar Board Leadership Roles
[MISSING IMAGE: ic_investment-bw.jpg] Investment Committee member
Education:
Harvard University, A.B.
Select Business Experience
Zigg Capital, a venture capital fund focused on the real estate and construction industries

Founder & Managing Director, since 2018
CBRE

Global SVP of Technology, 2017-2018
Floored

Founder and Chief Executive Officer, 2012-2017
Select Skills and Qualifications
Business Development & Strategy

Founding member and member of senior leadership of several technology, real estate and investment firms
Senior Leadership

Founder and Managing Director of venture capital fund

Senior technology executive of global full-service real estate services and investment firm

CEO of technology company
Investing

Experienced investor in real estate and construction industries since 2010
12 | iStar Inc. 2021 Proxy Statement
[MISSING IMAGE: lg_istar-bw.jpg]

TABLE OF CONTENTS
[MISSING IMAGE: ph_robinjosephs-bw.jpg]
Robin Josephs
Former Managing Director, Starwood
Capital Group
[MISSING IMAGE: ic_leaddir-pn.jpg]Lead Independent Director
Independent Director since 1998
Age 61
iStar Board Leadership Roles
[MISSING IMAGE: ic_nominating-bw.jpg]  Nominating and Governance Committee Chair [MISSING IMAGE: ic_chairdir-pn.jpg]
[MISSING IMAGE: ic_compensation-bw.jpg] Compensation Committee Member
Education:
The Wharton School at the University of Pennsylvania, B.S.

Phi Beta Kappa; magna cum laude
Columbia Business School, M.B.A
Other Public Company Boards

Safehold Inc.

MFA Financial, Inc.

QuinStreet, Inc.
Select Business Experience
Starwood Capital Group, a private equity firm specializing in real estate

Managing Director, 2005 to 2007
Goldman Sachs & Co.

Vice President, Real Estate and Equity Capital Markets, 1986 to 1996
Select Skills and Qualifications
Finance / Accounting

Investment banking and private equity background from roles at Goldman Sachs and Starwood Capital
Capital Markets

Experience as VP of Capital Markets at Goldman Sachs
Real Estate

At Starwood Capital Group, evaluated and managed numerous real estate investments
Proposal 1 — Election of DirectorsCandidates for Election as Director
iStar Inc. 2021 Proxy Statement | 13

TABLE OF CONTENTS
[MISSING IMAGE: lg_istargrey.jpg]
 
[MISSING IMAGE: ph_richardleib-bw.jpg]
Richard Lieb
Senior Advisor, Greenhill & Co., LLC
Independent Director since 2019
Age 61
iStar Board Leadership Roles
[MISSING IMAGE: ic_investment-bw.jpg]  Investment Committee Chair [MISSING IMAGE: ic_chairdir-pn.jpg]
[MISSING IMAGE: ic_compensation-bw.jpg] Audit Committee Member
Education:
Wesleyan University, B.A.

Phi Beta Kappa
Harvard Business School, M.B.A
Other Public Company Boards

VEREIT, Inc.

AvalonBay Communities, Inc.

CBL Properties, Inc.
Select Business Experience
Greenhill & Co.

Senior Advisor, 2018 to Present

CFO, 2008 to 2012

Chairman of Real Estate, 2005 to 2018
Goldman Sachs & Co.

Head of Real Estate Investment Banking, 2000 to 2005
Select Skills and Qualifications
Finance / Accounting

Served as Greenhill’s CFO from 2008 to 2012
Real Estate

More than 30 years of experience focusing on advisory opportunities in the real estate industry

Work has covered the full range of investment banking services for nearly all property sectors, including strategic advisories, IPOs and other securities offerings, asset purchases and sales, property financings, restructurings and M&A
14 | iStar Inc. 2021 Proxy Statement
[MISSING IMAGE: lg_istar-bw.jpg]

TABLE OF CONTENTS
[MISSING IMAGE: ph_barryridings-bw.jpg]
Barry Ridings
Senior Advisor, Lazard Frères & Co. LLC and Chairman, LMDC Holdings LLC
Independent Director since 2011
Age 69
iStar Board Leadership Roles
[MISSING IMAGE: ic_compensation-bw.jpg]  Compensation Committee Chair [MISSING IMAGE: ic_chairdir-pn.jpg]
[MISSING IMAGE: ic_audit-bw.jpg] Audit Committee Member
Education:
Colgate University, B.A.
Cornell University, Johnson Graduate
School of Management, M.B.A
Other Public Company Boards

Siem Industries, Inc.
Select Business Experience
Lazard Frères & Co.

Senior Advisor, 2015 to Present

Chairman and CEO of LMDC Holdings, 2006 to Present

Chairman and CEO of Lazard Capital Markets, 2006 to 2014

Chairman of LAI Holdings (private equity, technology and real estate funds), 2006 to Present

Vice Chairman of U.S. Investment Banking, 2005 to 2015

Co-head of Restructuring, 1999 to 2015

Chairman of Lazard Middle Market LLC, 2007 to 2019

Fairness Opinion Committee member, 1999 to 2015
Other Current Engagements

Chairman of the Advisory Council, Cornell University Johnson Graduate School of Management

Director, Catholic Charities of the Archdiocese of New York
Select Skills and Qualifications
Finance / Accounting

Over 40 years of experience in investment banking and restructuring at Lazard and BT Alex Brown
Capital Markets

As former Chairman of Lazard Capital Markets, advised on the underwriting of equity and debt offerings, as well as securities trading

Extensive experience in initial public offerings, secondary stock offerings, debt offerings, opinion letters and mergers and acquisitions
[MISSING IMAGE: tm212491d1-fc_forfivepn.jpg]
Proposal 1 — Election of DirectorsCandidates for Election as Director
iStar Inc. 2021 Proxy Statement | 15

TABLE OF CONTENTS
[MISSING IMAGE: lg_istargrey.jpg]
 
Corporate Governance
Board Leadership Structure
In determining the appropriate Board leadership structure it believes will be in the best interests of the organization and shareholders, the Board takes into account a variety of factors, including the business circumstances and needs at a given time. These positions may be held by one individual or by two different individuals. If the Chairman is not an independent director, the Board will designate a lead independent director.
Our current leadership structure consists of a combined Chairman of the Board and Chief Executive Officer position, an independent lead director, an active, involved and independent set of directors, and board committees chaired by independent directors.
Role of the Chairman
Our Board of Directors continues to believe it is in our best interests to have Mr. Sugarman serve as Chairman of our Board of Directors and Chief Executive Officer. When combined with the current composition of the Board, the use of a lead independent director, and the other elements of our corporate governance structure, the combined CEO and Chairman position strikes an appropriate balance between strong and consistent leadership and independent and effective oversight of our business and affairs.
Mr. Sugarman is an experienced real estate executive and long-time employee with years of board experience. As CEO he has the primary responsibility of developing corporate strategy and managing our day-to-day business operations. As a Board member, he understands the responsibilities and duties of a director and is well positioned to (1) chair regular Board meetings; (2) provide direction to management regarding the needs, interests and opinions of the Board; and (3) help ensure that key business issues and shareholder matters are brought to the attention of the Board. As both CEO and Chairman, Mr. Sugarman promotes unified leadership and direction for the Board and management. In addition, strong corporate governance structure and process ensures our independent directors will continue to effectively oversee management and key issues such as strategy, risk and integrity. Board committees are comprised solely of independent directors. As such, independent directors oversee critical matters, including the integrity of our financial statements, the compensation of our CEO and management executives, management succession planning, financial commitments for capital projects, the selection and annual evaluation of directors, and the development and implementation of corporate governance and corporate responsibility programs.
Our Board and each Board committee have complete and open access to any member of management and the authority to retain independent legal, financial and other advisors as appropriate. The non-employee directors, all of whom are independent, meet in executive session without management either before or after regularly scheduled Board and Board committee meetings to discuss various issues and matters including the effectiveness of management, as well as our performance and strategic plans.
16 | iStar Inc. 2021 Proxy Statement
[MISSING IMAGE: lg_istar-bw.jpg]

TABLE OF CONTENTS
Role of the Lead Director
Every year, the independent members of the board elect an independent lead director. Robin Josephs is currently designated as our lead independent director and, in that role, is responsible for the following duties:

Presides at all meetings of the Board at which the Chairman
is not present and all executive sessions of the independent directors

Acts as advisor to CEO and direct liaison between CEO
and independent directors

Plans, reviews, and approves Board meeting agendas and information presented to the Board

Calls meetings of the independent directors as appropriate

Contributes to annual CEO performance review and assists with succession planning

Consults the Nominating and Governance Committee on the Board’s evaluation process

Participates in consultations and direct communication with major shareholders and their representatives when appropriate

Performs such other duties as the Board may determine from time to time
The lead independent director is selected from among the non-employee directors. The Nominating and Governance Committee and management discuss candidates for the lead independent director position, and consider many of the same types of criteria as candidates for the chair of other Board committees including:

Tenure

Previous service as a Board committee chair

Diverse experience

Participation in and contributions to activities of the Board

Ability and willingness to commit adequate time to the role
Board Refreshment
The Nominating and Governance Committee believes it is important to have a mix of experienced directors with a deep understanding of our business and others who bring fresh perspectives. The committee discusses board refreshment on an ongoing basis. In addition, the Nominating and Governance Committee regularly assesses the size and composition of our Board to help ensure that the Board functions effectively given the size, diversity and complexity of our business and the range of business segments and markets in which we operate. The committee believes the current size and balance of tenure (see “Board Highlights” above) of the Board are appropriate considering the need for our directors to communicate and act efficiently, the time commitment required of our directors and the nature of our strategic plans.
We recognize the value of nominating individuals who will bring a variety of diverse opinions, perspectives, skills, experiences, backgrounds and orientations to the Board’s discussions and decision-making processes. An overriding principle is that all nominations to the Board should be based on merit and suitability of the candidate. Subject to those considerations, the Board recognizes the need to consider director candidates from different backgrounds. The charter of the Nominating and Governance Committee identifies diversity as one factor the committee may consider when nominating a candidate for election to the Board. To that end, the committee strives for diversity not just in terms of innate factors like gender, race and age, but also in the categories of background, experience, skills, accomplishments, personal qualities and specific traits that would contribute to our Board.
Corporate GovernanceBoard Refreshment
iStar Inc. 2021 Proxy Statement | 17

TABLE OF CONTENTS
[MISSING IMAGE: lg_istargrey.jpg]
 
Director Independence
Our Corporate Governance Guidelines require that a majority of the Board consist of directors who the Board has determined are independent. Our Board has determined that all of our current directors, other than our Chairman and Chief Executive Officer, are independent. Specifically, each of the following non-employee director nominees qualifies as independent under NYSE rules and satisfies our independence standards: Clifford De Souza, David Eisenberg, Robin Josephs, Richard Lieb and Barry Ridings.
In determining director independence, the Board considers all relevant facts and circumstances, as well as New York Stock Exchange (NYSE) listing standards. Under the NYSE listing standards, no director qualifies as independent unless the Board affirmatively determines that the director has no material relationship with iStar, either directly or as a partner, stockholder, or officer of an organization that has a relationship with us. In addition, the Board has adopted the following standards to assist them in determining director independence:

The director is not an iStar employee and no member of the director’s immediate family is an executive officer of iStar, currently or within the preceding 36 months. For purposes of these standards, “immediate family” includes a person’s spouse, parents, children, siblings, mothers and fathers-in-law, sons and daughters-in-law, brothers and sisters-in-law, and anyone (other than domestic employees) who shares the person’s home.

The director is not a current partner or employee of a firm that is iStar’s internal or external auditor. No member of the director’s immediate family is a current partner of such firm, or an employee of such a firm and personally works on the iStar audit. Neither the director nor any member of his or her immediate family was within the last three years a partner or employee of such a firm and personally worked on iStar’s audit within that time.

The director does not serve as an executive officer of a charitable or non-profit organization to which iStar has made contributions that, in any of the last three fiscal years, exceed the greater of  $1 million or 2% of the charitable or non-profit organization’s consolidated gross revenues.

Neither the director nor a member of the director’s immediate family is employed as an executive officer (and has not been employed for the preceding 36 months) by another company where any of iStar’s present executive officers serves or served on that company’s compensation committee.
The Nominating and Governance Committee ensures that there is a review of each director’s employment status and other board commitments and, where applicable, each director’s (and his or her immediate family members’) affiliation with consultants, service providers or suppliers of the organization. With respect to each non-employee director, the Committee has determined that either the director was not providing goods or services to us or the amounts involved were below the monetary thresholds set forth in the independence standards noted above.
No arrangement or understanding exists between any director and any other person or entity pursuant to which any director was, or is, to be selected as a director or nominee.
Nominations by Shareholders
The Nominating and Governance Committee is responsible for recruiting new directors. To contribute to that process, the committee may solicit and consider suggestions regarding possible nominees from current directors, management, or shareholders. In addition, we may retain professional search firms or consultants to help us identify potential directors with desired skills and disciplines.
Shareholder nominations for election to the Board should be sent to the attention of our Corporate Secretary at the address provided under “Communications with the Board.” This correspondence should describe the candidate’s qualifications and include the candidate’s written statement of willingness and affirmative desire to serve as a director and to represent the interests of all shareholders. Shareholders also may nominate candidates directly by following the procedures specified in our bylaws for nominations and other shareholder proposals. See “When are shareholder proposals due for the 2022 annual meeting?” in this proxy statement.
Candidates proposed by shareholders will be considered in the same manner and using the same criteria as candidates identified by the Nominating and Governance Committee.
18 | iStar Inc. 2021 Proxy Statement
[MISSING IMAGE: lg_istar-bw.jpg]

TABLE OF CONTENTS
Board’s Role in Risk Oversight
Due to the nature of our business, it is not possible or desirable to eliminate risk from our activities. Instead, we believe our focus should be on identifying, pricing, managing and monitoring risk, with the objective of achieving attractive, long-term, risk-adjusted returns. We have robust internal processes and a strong internal control environment designed to identify, manage, and mitigate material risks and to keep the Board and its committees informed with respect to risk management matters.
The Board’s role in risk oversight is consistent with our leadership structure generally.
[MISSING IMAGE: tm212491d1-fc_oversightpn.jpg]
The Board and its committees receive regular reports from members of senior management, outside auditors and internal audit firm on areas of material risk—including operational, IT, ESG compliance, financial, legal, regulatory, strategic and reputational risk—in order to review and understand risk identification, risk management and risk mitigation strategies.
The Board and management are focused on risk management issues pertaining to our information systems and technology, including cybersecurity. Management is pursuing initiatives intended to identify and, if necessary, remediate weaknesses in our information security; enhance our internal cyber awareness training programs; and improve access to key information for the purpose of promoting operational efficiencies in data management. Management reports regularly to the Board on the status of these initiatives.
The Board and management are also focused on risk management pertaining to environmental, social and governance issues, including human capital issues. At the management level, we have formed an ESG Advisory
Corporate GovernanceBoard’s Role in Risk Oversight
iStar Inc. 2021 Proxy Statement | 19

TABLE OF CONTENTS
[MISSING IMAGE: lg_istargrey.jpg]
 
Council and a Cultural Equity Council, each of which is designed to guide our development of policies, initiatives and objectives in these areas and monitor our progress in achieving our objectives. Our management is responsible for identifying and reporting material ESG and human capital risks to the Board. The Board, through the Nominating and Governance Committee and our Compensation Committee, exercises oversight of our identification, monitoring and management of material ESG and human capital risks.
Board Evaluation Process
To ensure the effectiveness of the Board as a whole and its committees, our directors engage in an annual assessment of Board and committee performance. For the purpose of ensuring the effectiveness of the Board as a whole and its committees, an independent third-party interviews each director individually on a wide range of topics including:

the involvement of the Board in issues material to the company

board and committee structure and composition

communications between management, the Board, and its committees

information furnished to the Board

the Board’s relationship with management

the effectiveness of the Board and its committees.
The independent third-party then summarizes the individual comments and assessments in an oral report to the Board in executive session. The Board utilizes the results of this process to help refine and improve the operations of the Board and its committees. In 2020, the annual assessment occurred in the fourth quarter of 2020.
Areas in which the recent Board and committee evaluations have led to further focus and enhancement include: additional presentations on various topics, improved organization of board materials for greater efficiency and effectiveness, continued focus on risk management with an emphasis on forward looking issues and continued focus on human capital.
Board Meetings Held during 2020
During 2020, the board held nine meetings, either in person or by telephone conference call. Directors are expected to attend a majority of the Board meetings. All directors attended at least 92% of all Board meetings and applicable committee meetings, and five directors attended 100% of all Board meetings and applicable committee meetings, held during 2020. The Board also acts by unanimous written consent in appropriate circumstances. All of our current directors were present at the 2020 annual meeting and were re-elected at that meeting (other than Mr. Eisenberg, who joined the Board after the 2020 annual meeting and is a nominee for the first time in 2020).
Executive Sessions
Our Board of Directors meet in executive session at least quarterly without management present. The Audit Committee also meets in executive session at least quarterly, without management present, with representatives of our independent registered public accounting firm and with representatives with the accounting firm engaged to assist us in the preparation of our documentation, testing, and evaluation of internal controls over financial reporting.
Service on Other Boards
In view of the commitment of time and effort that is required of a director of a public company, our board has established a guideline that its non-employee directors should not serve on the boards of more than four public companies, including iStar, and that our chief executive officer should not serve on the boards of more than two other public companies.
20 | iStar Inc. 2021 Proxy Statement
[MISSING IMAGE: lg_istar-bw.jpg]

TABLE OF CONTENTS
Director Resignation Policy
In an uncontested election, an incumbent nominee for director who fails to receive the requisite majority of votes cast for his or her election must offer to resign from the Board promptly following certification of the voting results. The Nominating and Governance Committee will consider any such resignation offer, determine whether to recommend acceptance of that resignation, and submit its recommendation for consideration by the Board. The director whose offer to resign is under consideration may not participate in any deliberation or vote of the Nominating and Governance Committee or the Board regarding the proposed resignation. The Nominating and Governance Committee and the board may consider any factors they deem relevant in deciding whether to accept a director’s resignation.
Within 90 days after the results of the shareholder vote are certified, the Board will disclose its decision in a press release, filing with the SEC, or by other public announcement. If an incumbent director’s offer to resign is not accepted by the Board, such director will continue to serve until a successor is elected and qualifies, or until the director dies, resigns, retires, or is removed, whichever shall occur first. If a director’s offer to resign is accepted by the board, then the board, in its sole discretion, may fill the resulting vacancy pursuant to iStar’s Bylaws.
Defensive Measures Profile
Opt-Out from MUTA Provisions
Subtitle 8, Title 3 of the Maryland General Corporation Law—commonly referred to as the Maryland Unsolicited Takeover Act, or MUTA—permits companies to unilaterally classify their boards into staggered classes and adopt certain other takeover defense measures. Under an amendment to our charter approved by the board in 2015, iStar is prohibited from electing to be subject to those provisions, meaning we cannot implement the takeover defense measures they describe. Our decision to opt out from the MUTA may not be repealed without the approval of a majority of our shareholders.
Shareholder Rights Plan
We do not have a shareholder rights plan, commonly known as a “poison pill,” in effect.
“Whistleblower” Policy
Our Code of Conduct includes a policy on reporting suspected misconduct (a “whistleblower” policy) that describes how employees can report any concerns or suspected violations of our standards of conduct, policies, or laws and regulations to a named Compliance Officer, any other member of our Compliance Committee, our chief executive officer, or the chair of the Audit Committee. This reporting may be done on an anonymous basis. We also have established an independent “hotline” telephone service that may be used by employees who wish to report concerns or suspected violations, on an anonymous basis or otherwise. We prohibit retaliation against employees who report actual or suspected violations; anyone who attempts to retaliate will be subject to disciplinary action, up to and including termination. Reports of misconduct made in bad faith and false or misleading information provided in the course of an investigation will be subject to disciplinary action, up to and including termination.
Corporate Governance“Whistleblower” Policy
iStar Inc. 2021 Proxy Statement | 21

TABLE OF CONTENTS
[MISSING IMAGE: lg_istargrey.jpg]
 
Governing Documents
The documents described below are available on our website at ir.istar.com/corporate-governance/highlights. We will provide paper copies to our shareholders, without charge, on request.
Corporate Governance Guidelines Code of Conduct 2021 Proxy Statement
Audit Committee Charter Compensation Committee Charter Nominating and Governance Committee Charter
Disclosure Committee Charter
Corporate Governance Guidelines
Our Board has approved a set of general guidelines that provide the framework for our corporate governance. The Board reviews these guidelines and other aspects of our governance annually or as needed.
Code of Conduct
Our Code of Conduct documents the principles of conduct and ethics to be followed by our directors, officers, and employees. The purpose of the Code of Conduct is to promote honest and ethical conduct; compliance with applicable governmental rules and regulations; full, fair, accurate, timely and understandable disclosure in periodic reports; prompt internal reporting of violations of the Code of Conduct; and a culture of honesty and accountability. All of our directors, officers and employees are required to acknowledge that they have received and will comply with the Code of Conduct. We will disclose any material changes to the Code of Conduct, and any waivers that are approved for directors or executive officers, in our public SEC filings and on our website within four business days of any such event.
Disclosure Committee
iStar’s Disclosure Committee is made up of members of our executive management and senior staff. The purpose of the Disclosure Committee is to oversee our system of disclosure controls and to assist and advise the chief executive officer and chief financial officer in making the required certifications in SEC reports. The Disclosure Committee was established to bring together on a regular basis representatives from our core business lines and employees involved in the preparation of our financial statements. These individuals meet quarterly, or otherwise as needed, to discuss any issues or matters they believe should be considered for disclosure in our public SEC filings, and to review our draft periodic SEC reports before they are filed. The Disclosure Committee reports to our Chief Executive Officer and, as appropriate, to our Audit Committee.
The Disclosure Committee has adopted a written charter to memorialize the committee’s purpose and procedures. A copy of the charter will be provided, without charge, to any shareholder who requests one.
Succession Planning
Our Compensation Committee, pursuant to its charter, annually reviews and discusses with the independent directors of the Board the performance of our CEO and certain other senior officers and the succession plans for each management position, including recommendations and evaluations of potential successors to fill these positions. The Compensation Committee also reviews annually our management development and succession planning practices and strategies.
22 | iStar Inc. 2021 Proxy Statement
[MISSING IMAGE: lg_istar-bw.jpg]

TABLE OF CONTENTS
Our Chairman and CEO provides an annual review to the Board of Directors assessing the members of the executive leadership team. This review, which is developed in consultation with Compensation Committee, includes a discussion about development plans for the Company’s executive officers and senior officers to help prepare them for future succession and contingency plans. The full board has the primary responsibility to develop succession plans for the Chairman and CEO position.
Communications with the Board
Interested parties, including shareholders, are welcome to communicate with our lead director, the other independent board members or the Chair of any committee of the Board, by e-mail or regular mail. All communications should be sent to:
[MISSING IMAGE: tm212491d1-icon_atbw.jpg]
By e-mail to:
CorporateSecretary@istar.com
[MISSING IMAGE: tm212491d1-icon_envelopebw.jpg]
By regular mail, addressed to the particular director or directors desired, to:
iStar Inc.
c/o Corporate Secretary
1114 Avenue of the Americas
39th Floor
New York, NY 10036
Our Chief Legal Officer and our Corporate Secretary will review each communication directed to the Board or individual directors. These officers will forward all appropriate communications received, or a summary of such communications, to the appropriate board member(s). Our Chief Legal Officer and Corporate Secretary have the authority to disregard any inappropriate communications or to take other appropriate actions with respect to inappropriate communications including abusive, repetitive, or in bad taste communications or communications that present safety or security concerns. Communications we receive that relate to accounting, internal accounting controls or auditing matters will be referred to the Audit Committee unless the communication is directed otherwise. You may communicate anonymously and/or confidentially.
Corporate GovernanceCommunications with the Board
iStar Inc. 2021 Proxy Statement | 23

TABLE OF CONTENTS
[MISSING IMAGE: lg_istargrey.jpg]
 
Environmental, Social & Governance (ESG) Program
We have published an ESG report that may be found on our website at https://www.istar.com/sustainability/​. Our inaugural 2020 ESG report provides an overview of the sustainability and ESG issues that we prioritize. Our 2021 ESG report, due to be published in April, will describe the progress we have made and our efforts to infuse corporate social responsibility throughout our business—from formalizing our approach to ESG oversight, to reducing our environmental impact, to building on our commitment to create a more rewarding, diverse and inclusive workplace culture.

We appointed an ESG Advisory Council, including key members of senior management, to guide our organization on ESG issues. Near-term priorities include identifying gaps in our current ESG approach; identifying and managing ESG-related risks, engaging with ESG ratings groups and ESG-conscious investors; and intensifying ESG data collection processes. A representative of the ESG Advisory Council reports to our Nominating and Governance Committee, and/or the full Board, periodically on the activities of the council

We conduct a materiality assessment process to help us identify the environmental, social and governance issues and possible risks that are most critical to our business and stakeholders. This information helps us decide what to report and where to focus our internal resources.

The nature of our business as a capital provider/net lease owner limits our day-to-day influence over environmental factors affecting our tenants and borrowers; however, we do consider environmental factors when underwriting potential investments. In the near term, we are focused on the areas we do control—our corporate operations and the flagship assets we manage. We took steps toward reducing iStar’s environmental impact in 2020, such as implementing projects to improve stormwater management and reduce flood risk at our Asbury Park, New Jersey master development property; continuing stormwater treatment and stream restoration measures at our Magnolia Green, Virginia master development community; and pursuing strategies in our internal operations to reduce energy consumption, by migrating our server infrastructure to the cloud and replacing laptop and desktop computers with newer, more energy-efficient models, reduce paper consumption, and eliminate plastic use. As we look to the future, we are evaluating new, more ambitious strategies to reduce our operational carbon footprint, starting with exploring methods of creating a structured carbon accounting process.

We are working hard to support the people in our workforce and our communities. From health and wellness programs to professional development opportunities to cultivating a culture of inclusiveness, we partner with our employees to build a talented, diverse and fully engaged workforce.

A 12-member Cultural Equity Council, including key members of senior management, sets and oversees our Diversity, Equity and Inclusion (DEI) agenda and goals, provides governance and oversight on our diversity initiatives, creates strategic accountability for results, and communicates our progress both internally and externally. A representative of the Cultural Equity Council reports to our Nominating and Governance Committee, and/or the full Board, periodically on the activities of the council

We are committed to engaging with the communities within which we operate, ensuring their priorities are heard and working to enhance community well-being. We regularly engage with local government officials, community groups and our tenants and customers to understand their priorities and seek their input.

Governance and business ethics at iStar are focused on meeting and exceeding legal requirements, staying in alignment with corporate best practices and remaining actively engaged with stakeholders. Our approach to governance is guided by our investment, financing and corporate governance policies—​including conflicts of interest policies—that are managed under the ultimate supervision of our board of directors.
Our Board of Directors, acting primarily through the Nominating and Governance Committee, has responsibility for oversight of our ESG program. Management provides periodic reports to the Board of Directors, at its regular meetings throughout the year, on relevant ESG initiatives and related issues.
24 | iStar Inc. 2021 Proxy Statement
[MISSING IMAGE: lg_istar-bw.jpg]

TABLE OF CONTENTS
Cybersecurity
To protect our internal and our customers’ data, we continued to pursue initiatives in 2020 to identify and, if necessary, remediate potential weaknesses in our information security; enhance our internal cyber awareness training programs; and improve access to key information for the purpose of promoting operational efficiencies in data management. Our recent cybersecurity initiatives include:

Data migration. We migrated all company data and on-premise infrastructure to the cloud, allowing us to take advantage of cloud providers’ security innovations against malware and DDoS (distributed denial of service) attacks. Our employees working from home are required to connect through a VPN (virtual private network).

Cyber training. Our workforce participated in two mandatory cyber awareness trainings using an independent third-party security training provider. After each training was complete, we performed monthly penetration and phishing tests to keep our workers sharp.

Communications plan. We created a cyber breach communications plan using protocols from our cybersecurity consultants. The plan offers defined crisis guidelines for communicating a security breach to affected stakeholders, so we can answer questions and respond to concerns quickly, accurately and transparently.

Authorization. iStar uses Multiple Factor Authentication (MFA) for ensuring that only authorized individuals can access our network, as well as password protection and other protective measures.
Our Board exercises its oversight of cybersecurity risk management primarily through the Audit Committee. Management provides periodic reports to the Audit Committee, at regular Committee meetings throughout the year, on relevant cybersecurity issues. We have not experienced any material cybersecurity or information security breaches and, accordingly, have not incurred any expenses due to information security breach penalties or settlements. We maintain cyber liability insurance coverage to mitigate against risks of cyber attacks and other information security breaches.
Corporate GovernanceCybersecurity
iStar Inc. 2021 Proxy Statement | 25

TABLE OF CONTENTS
[MISSING IMAGE: lg_istargrey.jpg]
 
Board Committees
Our Board has four standing committees—Audit, Compensation, Nominating and Governance and Investment—​made up entirely of independent directors. The Audit, Compensation, and Nominating and Governance Committees have adopted charters that meet applicable standards prescribed by the NYSE. These charters are available on our website at https://ir.istar.com/corporate-governance/board-of-directors, and will be provided in print, without charge, to any shareholder who requests copies.
Our Board appoints special committees from time to time, as necessary.
26 | iStar Inc. 2021 Proxy Statement
[MISSING IMAGE: lg_istar-bw.jpg]

TABLE OF CONTENTS
[MISSING IMAGE: ph_cliffdesouza-bw.jpg]
Audit Committee
Meetings in 2020: 6
   Clifford De Souza[MISSING IMAGE: ic_chairdir-pn.jpg][MISSING IMAGE: ic_auditcalc-bw.jpg]
   Richard Lieb [MISSING IMAGE: ic_auditcalc-bw.jpg]
   Barry W. Ridings [MISSING IMAGE: ic_auditcalc-bw.jpg]
Each member of the Audit Committee is independent, as defined by the Audit Committee’s charter and the NYSE listing standards.
The Board has determined that each member also qualifies as an “audit committee financial expert” as defined by SEC rules.
Principal Responsibilities
The Audit Committee is responsible, among other things, for the following matters:

appoints, compensates, retains, and oversees the work of our independent registered public accounting firm

ensures that procedures are established for handling complaints regarding accounting, internal accounting controls or auditing matters, including the confidential and anonymous submission of  “whistleblower” reports by our employees regarding questionable accounting or auditing matters

meets periodically with management and our independent registered public accounting firm to review and discuss iStar’s annual audited financial statements and quarterly financial statements

meets separately, on a periodic basis, with management, internal auditors, or our personnel responsible for the internal audit function, and with our independent registered public accounting firm

receives reports from management of  (i) any significant deficiencies in the design or operation of our internal controls and (ii) any fraud involving management or other employees who have a significant role in our internal controls

reviews analyses of significant financial reporting issues and judgments made in connection with the preparation of iStar’s financial statements

reviews any accounting adjustments, any communications between the audit team and the audit firm’s national office respecting auditing or accounting, and any “management” or “internal control” letter issued, or proposed to be issued, by the auditing firm

reviews our hedging policy and the status of hedging transactions on a quarterly basis

reviews our credit loss reserve policy and establishment of reserves on a quarterly basis

discusses policies with respect to risk assessment and risk management

discusses any material legal matters with senior management and the Board

ensures that policies are established regarding hiring employees or former employees of the independent auditors

reviews annually internal and external audits, if any, of our employee benefit plans and pension plans

reviews annually the adequacy of our insurance, management information systems, internal accounting and financial controls, protection of technology and proprietary information, and policies and procedures relating to compliance with legal and regulatory requirements
The Report of the Audit Committee is on page 68 of this proxy statement.
Board Committees  
iStar Inc. 2021 Proxy Statement | 27

TABLE OF CONTENTS
[MISSING IMAGE: lg_istargrey.jpg]
 
[MISSING IMAGE: ph_barryridings-bw.jpg]
Compensation Committee
Meetings in 2020: 7
   Barry W. Ridings[MISSING IMAGE: ic_chairdir-pn.jpg]
   Robin Josephs
   Anita Sands
Each member of the Compensation Committee is independent as defined by the Compensation Committee’s charter and the NYSE listing standards.
No member of the Compensation Committee is or was formerly an officer or an employee of iStar.
No executive officer serves as a member of the board of directors or compensation committee of any entity that has one or more executive officers serving as a member of our board, nor has such an interlocking relationship existed in the past.
Principal Responsibilities
The Compensation Committee is responsible for overseeing our executive compensation programs. The principal responsibilities of the committee include:

approves performance objectives for our senior executives and evaluates the performance of such executives relative to these objectives

approves, either as a committee or together with the other independent directors based on a Compensation Committee recommendation, the base salary, annual incentive awards, long-term incentive awards, and other compensation for our Chief Executive Officer

approves base salaries, annual incentive awards, long-term incentive awards, and other compensation for our other senior officers and highly compensated employees

reviews management’s recommendations and advises management and the Board on compensation programs and policies, such as salary ranges, annual incentive bonuses, long-term incentive plans, equity-based compensation programs, and other group benefit programs offered to employees generally

administers the issuance of any award under our long-term incentive plans and other equity compensation programs

retains and oversees third party consultants as needed to assist with the Committee’s activities

considers and evaluates “Say-on-Pay” voting results and recommends to the Board the frequency with which “Say-on-Pay” resolutions should be presented to the shareholders

performs such other duties and responsibilities pertaining to compensation matters as may be assigned by the Board

reviews the Compensation Discussion and Analysis and recommends to the full Board that it be included in our proxy statement
The Compensation Committee Report is on page 58 of this proxy statement.
28 | iStar Inc. 2021 Proxy Statement
[MISSING IMAGE: lg_istar-bw.jpg]

TABLE OF CONTENTS
[MISSING IMAGE: ph_robinjosephs-bw.jpg]
Nominating and Governance Committee
Meetings in 2020: 3
   Robin Josephs[MISSING IMAGE: ic_chairdir-pn.jpg]
   Clifford De Souza
Each member of the Nominating and Governance Committee is independent as defined by the applicable NYSE listing standards.
Principal Responsibilities
The Nominating and Governance Committee is responsible, among other things, for the following matters:

provides counsel to the Board of Directors with respect to the organization, function, and composition of the Board of Directors and its committees

oversees the annual self-evaluation of our Board of Directors and its committees, and the Board’s annual evaluation of management, and report about those reviews to the Board

periodically reviews and, if appropriate, recommends to the full Board changes to our corporate governance policies and procedures

identifies and recommends to our full Board potential director candidates for nomination

recommends to the full Board the appointment of each of our executive officers

oversees our ESG programs and ESG risk management
[MISSING IMAGE: ph_richardleib-bw.jpg]
Investment Committee
Meetings in 2020: 0
   Richard Lieb[MISSING IMAGE: ic_chairdir-pn.jpg]
   David Eisenberg
Each member of the Investment Committee is independent as defined by the applicable NYSE listing standards.
Principal Responsibilities
The Investment Committee was recently reconstituted for the purpose of considering and, if appropriate, making recommendations to the Board of Directors regarding any “related party” transactions in which both we and Safehold Inc. (“SAFE”) are participants. Prior to November 2020, such “related party” transactions were evaluated by the Board as a whole, acting through its directors who are not otherwise affiliated with iStar or SAFE. No such transactions were considered by the Investment Committee during 2020. Such related party transactions are subject to approval by a majority of the Board’s independent directors who are not otherwise affiliated with iStar or SAFE.
Board CommitteesCompensation Committee
iStar Inc. 2021 Proxy Statement | 29

TABLE OF CONTENTS
[MISSING IMAGE: lg_istargrey.jpg]
 
Director Compensation
The compensation program for our non-employee directors provides for the following annual payments:
Role
Cash Retainer,
Paid in Quarterly
Installments
($)
Common Stock Equivalents (CSEs)
or Restricted Shares of
Common Stock, at the
Director’s Option(1)
($)
Non-Employee Directors $ 100,000 $ 125,000
Committee Chairs:

Audit
40,000

Compensation
40,000

Nominating and Governance
16,000
Committee Members:

Audit
15,000

Compensation
15,000

Investment
10,000

Nominating and Governance
10,000
Lead Director 75,000
(1)
The number of CSEs or restricted shares is based on the average NYSE closing price for our common stock for the twenty days prior to the date of the annual shareholders meeting.
Directors do not receive additional fees for attending board or committee meetings.
CSEs and restricted shares are granted effective on the date of the annual shareholders meeting and generally vest after one year, on the date of the next annual shareholders meeting. Dividends will accrue in respect of the CSEs and restricted shares from the date of grant as and when dividends are paid on the common stock, but such dividends will not be paid unless and until the associated CSEs or restricted shares vest. Dividends on CSEs are paid in the form of additional CSEs credited to the directors’ accounts, based on the amount of the dividend and the value of a share of our common stock on the dividend payment date.
Under the Non-Employee Directors’ Deferral Plan, directors may defer the receipt of some or all of their compensation.
30 | iStar Inc. 2021 Proxy Statement
[MISSING IMAGE: lg_istar-bw.jpg]

TABLE OF CONTENTS
The table below summarizes the compensation information for our non-employee directors for the fiscal year ended December 31, 2020. Jay Sugarman is not included in this table as he is our employee and receives no additional compensation for his services as a director.
Name
Fees Earned or
Paid in Cash
($)
Stock Awards(1)
($)
All Other
Compensation(2)
($)
Total
($)
Clifford De Souza $ 153,750 $ 131,898 $ $ 285,648
David Eisenberg(3) 43,333 123,379 166,713
Robin Josephs 136,625 211,029 347,654
Richard Lieb 123,667 131,898 255,565
Barry W. Ridings 155,000 131,898 5,000 291,898
Anita Sands(3) 96,875 164,873 261,748
(1)
Amounts included in the “Stock Awards” column reflect the grant date fair value of restricted share awards made to directors in 2020 computed in accordance with FASB ASC Topic 718 (without regard to forfeitures). These awards were made to the directors under the Non-Employee Directors’ Deferral Plan. Directors may elect to receive these awards in the form of CSEs or restricted shares. No directors have presently elected to receive CSEs. The CSEs or restricted share awards are valued using the closing price of our common stock on the date of grant. Restricted shares are subject to a one-year vesting period from the grant date.
 
As of December 31, 2020, the directors held the following aggregate amounts of previously-awarded CSEs and restricted shares:
Clifford
De Souza
David
Eisenberg
Robin
Josephs
Richard
Lieb
Barry W.
Ridings
Anita
Sands
CSEs 82,391 7,283
Restricted shares 13,528 10,710 21,644 13,528 13,528 16,910
(2)
Our directors are eligible to participate in our broad-based matching gifts program under which we will donate funds equal to contributions made by directors or employees to qualified nonprofit organizations, up to a maximum annual matching contribution per individual of  $5,000 for directors and senior officers, $2,500 for other officers, and $1,500 for other employees. Our directors also are eligible for reimbursement of the costs of attending continuing director education programs. Amounts included in the “All Other Compensation” column include any matching gifts made by us on behalf of the director and any education costs reimbursed by us to the director.
(3)
Ms. Sands has advised us she will not stand for re-election at the 2021 annual meeting. Mr. Eisenberg was elected to our Board by action of the Directors in August 2020.
Director Compensation  
iStar Inc. 2021 Proxy Statement | 31

TABLE OF CONTENTS
[MISSING IMAGE: lg_istargrey.jpg]
 
Indemnification
Our charter provides that we will indemnify and advance expenses to our directors and officers to the full extent required or permitted by Maryland law. In addition, we have entered into indemnification agreements with each of our directors and executive officers. These agreements provide that we will indemnify our directors and executive officers to the fullest extent permitted by our charter and Maryland law against certain liabilities (including settlements) and expenses actually and reasonably incurred by them in connection with any threatened or pending legal action, proceeding, or investigation to which any of them is, or is threatened to be, made a party because of their status as our director, officer or agent, or because they serve as a director, officer or agent of another company at our request.
To supplement these indemnification provisions, we have obtained directors and officers liability insurance, which covers our directors and executive officers.
32 | iStar Inc. 2021 Proxy Statement
[MISSING IMAGE: lg_istar-bw.jpg]

TABLE OF CONTENTS
Proposal 2—Approval of Proposed Amendment and Restatement of iStar Inc. 2009 Long-Term Incentive Plan
Our 2009 Long-Term Incentive Plan (2009 LTIP) was adopted by our board and approved by our shareholders, in 2009, and has been amended with shareholder approval in 2014 and 2019. The 2009 LTIP has been an important factor in attracting, retaining, motivating, and rewarding certain employees, officers, directors, and consultants by aligning the interests of such individuals with those of our shareholders. On March 30, 2021, our Compensation Committee approved an amendment and restatement of the 2009 LTIP, subject to approval by our shareholders. We are asking our shareholders to approve the amendment and restatement of the 2009 LTIP that would:

Increase the number of shares of common stock reserved for issuance by 1,000,000, from 2,099,266 (which is the number remaining available for grants under the 2009 LTIP on March 17, 2021) to 3,099,266, subject to adjustment as provided in the 2009 LTIP, with an equivalent increase to the number of shares of common stock available for grant pursuant to incentive stock options.

Extend the expiration date of the 2009 LTIP from May 16, 2029 to May 13, 2031

Clarify Compensation Committee powers and prerogatives under the 2009 LTIP, including granting procedures under the 2009 LTIP

Add an annual total equity and cash fee limit for our non-employee directors

Reflect amendments previously adopted and approved

Update the administrative provisions of the 2009 LTIP
We believe that increasing the share reserve and amending other provisions of the 2009 LTIP as proposed will facilitate continued use of the 2009 LTIP and is in the best interest of iStar and our shareholders. Approval of this proposal will enable us to continue to motivate outstanding performance by our employees, officers, directors, and consultants.
In considering the proposed share increase to the 2009 LTIP, the Board and the Compensation Committee considered various factors, including potential dilution and potential burn rate. As of March 17, 2021, 2,099,266 shares of common stock remained available for issuance under the 2009 Plan, and the Company has 73,950,152 shares of common stock outstanding. The following table provides information regarding our annual burn rate over the past three fiscal years:
Burn Rate
(shares in millions)
Year
Awards
Granted(1)
Weighted
Average
Basic Shares
Outstanding
Burn Rate(2)
2020
512,881
75,684,334
0.007
2019
1,302,881
64,696,178
0.020
2018
1,245,320
67,958,008
0.018
(1)
Includes restricted stock, restricted stock units and performance units. For performance units, includes the number of shares actually vested and delivered upon achievement of the applicable performance goals.
(2)
Burn rate is calculated by dividing the number of awards granted by our weighted average basic shares outstanding.
Proposal 2—Approval of Proposed Amendment and Restatement of iStar
Inc. 2009 Long-Term Incentive Plan  
iStar Inc. 2021 Proxy Statement | 33

TABLE OF CONTENTS
[MISSING IMAGE: lg_istargrey.jpg]
 
If our shareholders approve this proposal, the amendment and restatement of the 2009 LTIP will become effective as of the date of shareholder approval. If our shareholders do not approve this proposal, the amendments described in this proposal will not take effect and our capacity to make future awards under the 2009 LTIP will be impacted. As a result, our ability to attract, reward and retain valuable employees will be constrained and a larger proportion of our incentive awards may need to be cash-based awards.
Summary of the 2009 LTIP
The following is a summary of the material features of the 2009 LTIP assuming the proposed amendment and restatement is approved by shareholders at the annual meeting. This summary of the 2009 LTIP is qualified in its entirety by reference to the full text of the proposed amendment and restatement, a copy of which is attached to this proxy statement as Exhibit B. To the extent there is a conflict between this summary and the 2009 LTIP, the 2009 LTIP will govern. Capitalized terms used but not defined herein have the meanings ascribed to them in the 2009 LTIP.
Purpose
The purpose of the 2009 LTIP is to provide incentives (which may be equity-based or cash-based) as a means of attracting and retaining qualified key employees, directors, officers, advisors, consultants, and other personnel and encouraging those individuals to increase their efforts to make our business more successful—whether directly or through our subsidiaries or other affiliates. Awards under the 2009 LTIP may be in the form of options, restricted stock, restricted stock units (referred to as “phantom shares”), dividend equivalent rights, and other forms of equity-based compensation, or cash-based compensation. We will consider awards pursuant to the 2009 LTIP in light of our overall compensation philosophy and competitive conditions in the marketplace.
Duration
If the proposed amendment and restatement is approved by shareholders, awards may be granted under the 2009 LTIP until May 13, 2031, which will be the 10th anniversary of such approval. However, the 2009 LTIP may be terminated by the board at any time before that date.
Administration
The 2009 LTIP will be administered by the Compensation Committee of our board. If no committee exists, the functions of the Compensation Committee will be exercised by the board. Nevertheless, any grants to members of the Compensation Committee will be made and administered by the board rather than the Compensation Committee.
The Compensation Committee has broad discretion and full authority to administer and interpret the 2009 LTIP. The Compensation Committee’s powers include but are not limited to the granting of awards, making eligibility determinations under the 2009 LTIP, determining the sizes of Awards, the forms of Awards, the properties of Awards, and determining the number of shares of common stock to be covered by each award (subject to the individual participant limitations provided in the 2009 LTIP). Each award agreement will contain other terms, provisions and conditions consistent with the 2009 LTIP, as determined by the Compensation Committee. The Compensation Committee may (subject to such considerations as may arise under Section 16 of the Securities Exchange Act of 1934, or under other corporate, securities, or tax laws) take any steps it deems appropriate, that are not inconsistent with the purposes and intent of the 2009 LTIP, to establish performance-based criteria applicable to awards otherwise permitted to be granted under the 2009 LTIP.
The Compensation Committee, in its discretion, may delegate to our chief executive officer all or part of the Compensation Committee’s authority and duties with respect to awards. However, the Compensation Committee may not delegate its authority and duties with respect to awards that have been, or will be, granted to our chief executive officer, our directors, or are granted to Section 16 officers. Any other delegation by the Compensation Committee may, in the sole discretion of the Compensation Committee, include a limitation as to the number of
34 | iStar Inc. 2021 Proxy Statement
[MISSING IMAGE: lg_istar-bw.jpg]

TABLE OF CONTENTS
awards that may be granted during the period of the delegation and guidelines as to the determination of the option exercise price (or price of other awards) and the vesting criteria. The Compensation Committee may revoke or amend the terms of a delegation at any time but such action will not invalidate any prior actions of the Compensation Committee’s delegate that were consistent with the terms of the 2009 LTIP.
Eligibility
Persons who are eligible to be granted awards under the 2009 LTIP are our officers, our directors, our and our subsidiaries’ key employees, consultants, or advisers to us or our subsidiaries, or any other person expected to provide significant services (of a type expressly approved by the Compensation Committee as covered services for these purposes) to us, our subsidiaries, or certain of our affiliates. Anyone who would receive an Award under the 2009 LTIP must be someone who may be offered our securities and whose offers and sales may be registered on Form S-8.
Available Shares
If the proposed amendments are approved by shareholders, and subject to adjustment upon certain corporate transactions or events, a maximum of 3,099,266 shares of common stock may be issued (or deemed issued) under the 2009 LTIP in connection with awards of stock options, shares of restricted stock, restricted stock units and phantom shares, dividend equivalent rights, and other equity-based or cash-based awards. The maximum number of shares of common stock issuable under the 2009 LTIP reflects the number of shares that may actually be issued (or deemed issued) in connection with awards under the 2009 LTIP, after required settlement of tax withholding obligations. Awards granted under the 2009 LTIP will be settled on a net, after-tax basis, after deducting shares for taxes and other applicable withholdings. In addition, subject to adjustment upon certain corporate transactions or events, a maximum of 3,099,266 shares of common stock may underlie awards of incentive stock options. In the event an option or other award granted under the 2009 LTIP is forfeited or canceled, is settled in cash, or otherwise expires or terminates, or if shares of common stock are delivered in full or partial payment of the exercise price in connection with an option, or if tax withholding obligations are satisfied by using shares of common stock on settlement of an award, the shares subject to any portion of such award will again become available for the issuance of additional awards.
The maximum number of shares subject to Awards granted during a single fiscal year to any non-employee director under the 2009 LTIP, taken together with any cash fees paid to such director during the fiscal year, will not exceed $500,000 in total value (calculating the value of any such Awards based on the grant date fair value of such Awards for financial reporting purposes).
Types of Awards
Stock Options
Other than as specifically set forth under the terms of the 2009 LTIP, the Compensation Committee will determine the terms of specific options, including whether options will constitute incentive stock options. The award agreement evidencing an award of options will specify the extent to which, and period during which, an option may be exercised after termination of employment. Generally, an option cannot be exercised after a termination of employment (or other service) to the extent it was not exercisable at the time of termination.
The exercise price of an option will be determined by the Compensation Committee and reflected in the applicable award agreement, but unless otherwise determined by the Compensation Committee, the exercise price must be at least equal to the fair market value of a share of common stock on the date of grant. The exercise price with respect to incentive stock options may not be lower than 100%, or 110% in the case of an incentive stock option granted to a 10% shareholder, of the fair market value of our common stock on the date of grant. The aggregate fair market value (determined as of the date an option is granted) of the shares for which any option holder may be awarded incentive stock options that become exercisable for the first time during any calendar year (under the 2009 LTIP or any other stock option plan required to be taken into account under Section 422(d) of the Code) may not exceed $100,000.
Proposal 2—Approval of Proposed Amendment and Restatement of iStar
Inc. 2009 Long-Term Incentive PlanTypes of Awards
iStar Inc. 2021 Proxy Statement | 35

TABLE OF CONTENTS
[MISSING IMAGE: lg_istargrey.jpg]
 
Each option will be exercisable for the period or periods specified in the applicable award agreement, which will generally not exceed ten years from the date of grant (or five years in the case of an incentive stock option granted to a 10% shareholder). The Compensation Committee will determine the time or times at which an option may be exercised in whole or in part, and the method or methods by which, and the form or forms in which, payment of the option price with respect thereto may be made or deemed to have been made (including by cash, loans or third-party sale programs, or by the tender of previously-owned shares).
Options granted under the 2009 LTIP generally will not be transferable except by will or the laws of descent and distribution. The Compensation Committee may establish a program under which participants will have phantom shares credited upon their exercise of options rather than receiving shares at that time.
Restricted Stock
Restricted stock is an award of common stock that is subject to restrictions (such as limitations on transferability or the right to vote) as the Compensation Committee may determine. Subject to the other terms of the 2009 LTIP, the Compensation Committee may provide a specified purchase price for restricted stock, determine the restrictions applicable to restricted stock, and determine or impose other conditions to the grant of restricted stock under the 2009 LTIP as it may deem appropriate.
Unless otherwise provided in the applicable award agreement, dividends paid on shares of restricted stock before the shares vest will be held by iStar until the shares vest, and paid to the grantee as soon as practicable after vesting.
Restrictions on the shares will lapse in accordance with the terms of the applicable award agreement, as determined by the Compensation Committee. Unless otherwise provided in the applicable award agreement, upon a termination of employment or other service for cause or by the grantee for any reason other than death, disability or retirement, all shares of restricted stock still subject to restrictions will be forfeited to us and we will pay an amount equal to the lesser of the amount paid by the grantee for such shares and the fair market value on the date of forfeiture. It is generally expected that, upon a termination of employment or other service on account of death, disability or retirement of a grantee, or if the grantee’s service is terminated by us for any reason other than cause, in each case during the applicable restricted period, then restrictions under the 2009 LTIP will immediately lapse on all restricted stock granted to such individual.
Restricted Stock Units and Phantom Shares
A restricted stock unit or phantom share represents a right to receive the fair market value of a share of our common stock, or, if provided by the Compensation Committee, the right to receive the fair market value of a share of our common stock in excess of a base value established by the Compensation Committee at the time of grant. The Compensation Committee may provide in an award agreement that any particular unit or phantom share will expire at the end of a specified term.
Units and phantom shares will vest as provided in the applicable award agreement. Unless otherwise determined by the Compensation Committee at the time of the grant, units and phantom shares will be settled in shares of common stock. Ordinarily, units and phantom shares will be settled with a single distribution, but the Compensation Committee may, in its discretion and under certain circumstances, permit a participant to instead receive installments over a period not to exceed ten years. Unless otherwise provided in the applicable award agreement, the settlement date with respect to a unit or phantom share is the first day of the month to follow the date on which the restrictions lapse or the phantom share vests. However, in accordance with procedures to be established by the Compensation Committee, a grantee may elect that such settlement date will follow the grantee’s termination of service, or such other time as may be permitted by the Compensation Committee.
Dividend Equivalents
A dividend equivalent is a right to receive (or have credited) the equivalent value (in cash or shares of common stock) of dividends declared on shares of common stock otherwise subject to an award. The Compensation
36 | iStar Inc. 2021 Proxy Statement
[MISSING IMAGE: lg_istar-bw.jpg]

TABLE OF CONTENTS
Committee may provide that amounts payable with respect to dividend equivalents will be converted into cash or additional shares of our common stock provided that dividend or dividend equivalents will not be paid on unvested awards and will only be paid if the underlying award vests. The Compensation Committee will establish all other limitations and conditions of awards of dividend equivalents.
Other Awards
The 2009 LTIP authorizes the making of cash awards and the granting of other awards based upon the common stock (including the grant of securities convertible into our common stock and stock appreciation rights), and subject to terms and conditions established by the board.
Performance Goals
The Compensation Committee may, in its discretion, establish one or more performance goals as a precondition to the issuance or vesting of awards, and also provide for predetermined awards to those participants with respect to whom the applicable performance goals are satisfied. The performance goals may be based upon one or more of the following criteria: pre-tax income; after tax income; net income; operating income; cash flow; earnings per share; return on equity; return on invested capital or assets; cash and/or funds available for distribution; appreciation in the fair market value of the common stock; return on investment; shareholder return; net earnings growth; stock appreciation; related return ratios; increase in revenues; net earnings; changes in the per share or aggregate market price of our common stock; number of securities sold; earnings before any one or more of the following: interest, taxes, depreciation or amortization for the applicable period, as reflected in our financial reports for the applicable period; total revenue growth; changes in our book value; changes in our general and administrative expenses; our published ranking against a peer group of real estate investment trusts based on total shareholder return; and funds from operations.
Special Rules Upon Reorganizations, Changes in Control, Etc.
If iStar or its subsidiaries is involved in a merger, consolidation, dissolution, liquidation, reorganization, exchange of shares, sale of all or substantially all of the assets or stock of iStar or its subsidiaries or a similar transaction, any stock dividend, stock split, reverse stock split, stock combination, reclassification, recapitalization or other similar change in the capital structure of iStar or its subsidiaries, or if there is any distribution to shareholders other than cash dividends or any other event which in the judgment of the Compensation Committee necessitates adjustments to the terms of the outstanding Awards, then the maximum aggregate number and kind of shares which may be made subject to options and dividend equivalent rights under the 2009 LTIP, the maximum aggregate number and kind of shares of restricted stock that may be granted under the 2009 LTIP, and the maximum aggregate number of phantom shares and other Awards which may be granted under the 2009 LTIP may be appropriately adjusted by the Compensation Committee in its discretion.
The Committee will take any such action as it determines necessary to maintain each participant’s rights so that each participant’s rights with respect to his or her respective options, phantom shares and dividend equivalent rights are substantially proportionate to the rights existing in such options, phantom shares and dividend equivalent rights before the event, including, without limitation, adjustments in the number of options, phantom shares and dividend equivalent rights granted, the number and kind of shares or other property to be distributed in respect of options, phantom shares and dividend equivalent rights (and other Awards as applicable), the option price and phantom share value, and any performance-based criteria established in connection with Awards.
In the case of any “equity restructuring” ​(within the meaning of the Financial Accounting Standards Board Accounting Standards Codification Topic 718 (or any successor pronouncement thereto)), the Compensation Committee will make an equitable or proportionate adjustment to outstanding Awards to reflect such equity restructuring.
If a Change in Control does occur, then the Compensation Committee, as constituted immediately before such Change in Control, may in its sole discretion, provide for any one or more of the following:
Proposal 2—Approval of Proposed Amendment and Restatement of iStar
Inc. 2009 Long-Term Incentive PlanSpecial Rules Upon Reorganizations,
Changes in Control, Etc.
iStar Inc. 2021 Proxy Statement | 37

TABLE OF CONTENTS
[MISSING IMAGE: lg_istargrey.jpg]
 
A.
Substitution or assumption of Awards, or to the extent that the surviving entity (or affiliate thereof) of such Change in Control does not substitute or assume the Awards, full acceleration of vesting of, exercisability of, or lapse of restrictions on, as applicable, any Awards; and
B.
Cancellation of any one or more outstanding Awards and payment to the holders of such Awards that are vested as of such cancellation (including, without limitation, any Awards that would vest as a result of the occurrence of such event but for such cancellation or for which vesting is accelerated by the Committee in connection with such event pursuant to the preceding clause), the value of such Awards, if any, as determined by the Committee (which value, if applicable, may be based upon the price per share of Common Stock received or to be received by other stockholders of iStar in such event), including, without limitation, in the case of an outstanding Option, a cash payment in an amount equal to the excess, if any, of the fair market value (as of a date specified by the Compensation Committee) of the shares of Common Stock subject to the option over the aggregate option price of such option (any option having a per share option price equal to, or in excess of, the fair market value of a Share subject thereto may be canceled and terminated without any payment or consideration).
Annual Grants to Independent Directors
Annual awards of common stock equivalents to our non-employee directors under the Non-Employee Directors’ Deferral Plan are counted as awards under the 2009 LTIP.
Amendment and Termination
The board may amend the 2009 LTIP as it deems advisable, except that it may not amend the 2009 LTIP in any way that would adversely affect a participant with respect to an award previously granted unless the amendment is required in order to comply with applicable laws.
Prohibition on Re-Pricing
The 2009 LTIP provides that no option or stock appreciation right issued under the 2009 LTIP may be amended to reduce the exercise price below the exercise price assigned on the date of grant. In addition, no option or stock appreciation right may be granted in exchange for, or in connection with, the cancellation or surrender of an option, stock appreciation right, or other award having a lower exercise price.
Prohibition on Loans to Executives
The 2009 LTIP prohibits the extension of any loans by us to any officer in respect of the exercise of options or with respect to any other award granted under the 2009 LTIP.
Certain U.S. Federal Income Tax Consequences
The following is a general summary of the material U.S. federal income tax consequences of the grant, exercise and vesting of awards under the 2009 Plan and the disposition of shares acquired pursuant to the exercise or settlement of such awards and is intended to reflect the current provisions of the Code and the regulations thereunder. This summary is not intended to be a complete statement of applicable law, nor does it address foreign, state, local or payroll tax considerations. This summary assumes that all awards described in the summary are exempt from, or comply with, the requirement of Section 409A of the Code. Moreover, the U.S. federal income tax consequences to any particular participant may differ from those described herein by reason of, among other things, the particular circumstances of such participant.
Non-Qualified Stock Options
No income will be recognized by an option holder at the time a non-qualified stock option is granted. Ordinary income generally will be recognized by an option holder at the time a non-qualified stock option is exercised, in an
38 | iStar Inc. 2021 Proxy Statement
[MISSING IMAGE: lg_istar-bw.jpg]

TABLE OF CONTENTS
amount equal to the excess of the fair market value of the underlying common stock on the exercise date over the exercise price. iStar generally will be entitled to a deduction for federal income tax purposes in the same amount as the amount included in ordinary income by the option holder with respect to a non-qualified stock option. Gain or loss on a subsequent sale or other disposition of the shares acquired upon the exercise of a non-qualified stock option will be measured by the difference between the amount realized on the disposition and the tax basis of such shares, and generally will be long-term or short-term capital gain, depending on the holding period involved. The tax basis of the shares acquired upon the exercise of any non-qualified stock option will be equal to the sum of the exercise price of the non-qualified stock option and the amount included in income with respect to the option. If exercise of an option is permitted other than by cash payment of the exercise price, various special tax rules may apply.
Incentive Stock Options
In general, neither the grant nor the exercise of an incentive stock option will result in taxable income to an option holder or a deduction for us. To receive special tax treatment under the Code as to shares acquired upon exercise of an incentive stock option, an option holder cannot dispose of the shares within two years after the incentive stock option is granted, nor within one year after the transfer of the shares to the option holder pursuant to exercise of the option. In addition, the option holder must be an employee of iStar or a qualified subsidiary at all times between the date of grant and the date three months (one year in the case of disability) before exercise of the option. (Special rules apply in the case of the death of the option holder.)
In the event of a sale of shares of our common stock received upon the exercise of an incentive stock option, the Code generally allows any gain to be treated as a capital gain to the option holder, but iStar will not be entitled to a tax deduction. The exercise of an incentive stock option (if the holding period rules described above are satisfied) will give rise to income includable by the option holder in alternative minimum taxable income in an amount equal to the excess of the fair market value of the stock acquired on the date of the exercise over the exercise price.
If the holding period rules noted above are not satisfied, gain recognized on the disposition of the shares acquired upon the exercise of an incentive stock option will be characterized as ordinary income. This gain will be equal to the difference between the exercise price and the fair market value of the shares at the time of exercise. (Special rules may apply to disqualifying dispositions where the amount realized is less than the value at exercise.) iStar generally will be entitled to a deduction equal to the amount of such gain included by an option holder as ordinary income. Any excess of the amount realized upon such disposition over the fair market value at exercise generally will be long-term or short-term capital gain, depending on the holding period involved. If exercise of an option is permitted other than by cash payment of the exercise price, various special tax rules may apply.
Restricted Stock
Unless a holder of restricted stock makes an “83(b) election” ​(as discussed below), there generally will be no tax consequences as a result of the grant of restricted stock until the restricted stock is no longer subject to a substantial risk of forfeiture or is transferable (free of the risk). Dividends paid on unvested shares, if retained by the grantee, generally will be treated as ordinary compensation income for U.S. federal income tax purposes (unless an 83(b) election has been made). Generally, when the restrictions are lifted, the holder will recognize ordinary compensation income, and iStar will be entitled to a deduction, equal to the difference between the fair market value of the stock at the time restrictions are lifted and the amount, if any, paid by the holder for the restricted stock, subject to any limitations under Section 162(m). Subsequently realized changes in the value of the stock generally will be treated as long-term or short-term capital gain or loss, depending on the length of time the shares were held.
In general terms, if a holder makes an election under Section 83(b) of the Code upon the award of restricted stock, the holder will recognize ordinary compensation income on the date of the award, and iStar will be entitled to a deduction, equal to (i) the fair market value of the restricted stock as though the stock were (A) not subject to a substantial risk of forfeiture or (B) transferable, minus (ii) the amount, if any, paid for the restricted stock. If a holder makes an 83(b) election, there generally will be no tax consequences to the holder when restrictions are lifted, and all subsequent appreciation in the restricted stock generally would be eligible for capital gains treatment. In the
Proposal 2—Approval of Proposed Amendment and Restatement of iStar
Inc. 2009 Long-Term Incentive PlanCertain U.S. Federal Income Tax
Consequences
iStar Inc. 2021 Proxy Statement | 39

TABLE OF CONTENTS
[MISSING IMAGE: lg_istargrey.jpg]
 
event of a forfeiture after an 83(b) election is made, no deduction or loss will be available, other than with respect to amounts actually paid for the stock.
Phantom Shares and Restricted Stock Units
It is generally expected that phantom shares will be designed with the intention there are no tax consequences as a result of the grant of a phantom share until the associated payment is made. When payment is made, the grantee generally will recognize ordinary income, and iStar generally will be entitled to a deduction, equal to the fair market value of the common stock and cash, as applicable, received upon payment, subject to any limitations under Section 162(m).
Dividend Equivalents
There generally will be no tax consequences as a result of the award of a dividend equivalent. When payment is made, the holder of the dividend equivalent generally will recognize ordinary income, and iStar will be entitled to a deduction, equal to the amount received, subject to any limitations under Section 162(m).
Cash Bonuses
When a cash bonus payment is made, the participant generally will recognize ordinary income, and iStar will be entitled to a deduction, equal to the amount of such payment, subject to any limitations under Section 162(m).
New Plan Benefits Table
It is not possible to determine the benefits or amounts that will be received by or allocated to participants under the 2009 LTIP or would have been received by or allocated to participants for the last completed year because awards under the 2009 LTIP will be made at the discretion of the Compensation Committee.
Required Vote
The approval of the 2009 LTIP amendment requires the affirmative vote of the holders of a majority of our common stock represented and entitled to vote thereon at the meeting. Abstentions are deemed entitled to vote on the incentive plan proposal; therefore, they have the same effect as a vote against the incentive plan proposal. Broker non-votes are not deemed entitled to vote on the proposal and, therefore, they will have no effect on the vote.
[MISSING IMAGE: tm212491d1-fc_proposal2.jpg]
40 | iStar Inc. 2021 Proxy Statement
[MISSING IMAGE: lg_istar-bw.jpg]

TABLE OF CONTENTS
Disclosure of Equity Compensation Plan Information
Plans Category
(a)
Number of securities to
be issued upon exercise
of outstanding options,
warrants and rights
(b)
Weighted-average
exercise price of
outstanding options,
warrants and rights
(c)
Number of securities
remaining available for
future issuance under
equity compensation plans
(excluding securities
reflected in column (a))
Equity compensation plans approved by security holders-restricted stock awards(1)(2)(3)
710,467 N/A 2,411,963
(1)
Restricted Stock — The amount shown in column (a) includes 530,945 unvested restricted stock units which may vest in the future based on the employees’ continued service to the Company (see Note 15 of our consolidated financial statements in our 2020 10-K Report for further details of the Company’s restricted stock grants). All of the unvested restricted stock units included in column (a) are required to be settled on a net, after-tax basis (after deducting shares for minimum required statutory withholdings); therefore, the actual number of shares issued will be less than the gross amount of the awards. The amount shown in column (a) also includes 179,522 of common stock equivalents and restricted stock awarded to our non-employee directors in consideration of their service to the Company as directors. Common stock equivalents represent rights to receive shares of common stock at the date the common stock equivalents are settled. Common stock equivalents have dividend equivalent rights beginning on the date of grant. The amount in column (c) represents the aggregate amount of stock options, shares of restricted stock units or other performance awards that could be granted under compensation plans approved by the Company’s security holders after giving effect to previously issued awards of stock options, shares of restricted stock units and other performance awards (see Note 15 of our consolidated financial statements in our 2020 10-K Report for further details).
(2)
The amount shown in column (a) does not include a currently indeterminable number of shares that may be issued upon the satisfaction of performance and vesting conditions of awards made under the Company’s Performance Incentive Plan (“iPIP”) approved by shareholders. In no event may the number of shares issued exceed the amount available in column (c) unless shareholders authorize additional shares (see Note 15 of our consolidated financial statements in our 2020 10-K Report for further details).
(3)
The data in this table is as of December 31, 2020. Based on awards granted under the 2009 LTIP since December 31, 2020, as of March 17, 2021, the number of securities to be issued upon exercise of outstanding options, warrants and rights, as reported in column (a) is equal to 931,333, and the number of securities remaining available for future issuance under equity compensation plans (excluding securities reflected in column (a)), as reported in column (c) is 2,099,266.
Proposal 2—Approval of Proposed Amendment and Restatement of iStar
Inc. 2009 Long-Term Incentive PlanDisclosure of Equity Compensation
Plan Information
iStar Inc. 2021 Proxy Statement | 41

TABLE OF CONTENTS
[MISSING IMAGE: lg_istargrey.jpg]
 
Proposal 3—Advisory Resolution to Approve Executive Compensation
We are asking shareholders to approve, on an advisory basis, the Company’s executive compensation as reported in this proxy statement. Although this advisory vote is non-binding upon the Company, the Board and the Compensation Committee will review and consider the voting results when making future decisions regarding our executive compensation program.
We encourage shareholders to read the entire Compensation Discussion and Analysis section of this proxy statement, which describes how our executive compensation policies and procedures operate and are designed to achieve our compensation objectives, as well as the Summary Compensation Table and other related compensation tables and narrative, which provide detailed information on the compensation of our named executive officers.
The Compensation Committee and the Board of Directors believe that the policies and procedures articulated in the Compensation Discussion and Analysis are effective in achieving our goals and that the compensation of our named executive officers reported in this proxy statement has contributed to the Company’s recent and sustainable long-term success.
RESOLVED, that the shareholders of iStar Inc. approve, on an advisory basis, the compensation of the Company’s named executive officers disclosed in the Compensation Discussion and Analysis, the Summary Compensation Table and the related compensation tables, notes and narrative in the proxy statement for the Company’s Annual Meeting of Shareholders.
[MISSING IMAGE: tm212491d1-fc_forsaypn.jpg]
42 | iStar Inc. 2021 Proxy Statement
[MISSING IMAGE: lg_istar-bw.jpg]

TABLE OF CONTENTS
Compensation Discussion and Analysis Contents
[MISSING IMAGE: ic_dottedrule-pn.jpg]
Overview
44
Shareholder Engagement
45
2020 Compensation Program
46
Base Salaries
47
Annual Incentive Plan
47
Long-Term Incentive Compensation—iPIP
49
53
Risk and Compensation
54
Compensation Governance
54
56
      Compensation Committee
56
      Independent Compensation Consultant
56
      Chief Executive Officer
56
[MISSING IMAGE: ic_dottedrule-pn.jpg]
Proposal 2—Advisory Resolution to Approve Executive
CompensationCD&A Contents
iStar Inc. 2021 Proxy Statement | 43

TABLE OF CONTENTS
[MISSING IMAGE: lg_istargrey.jpg]
 
Compensation Discussion and Analysis
Overview
In 2019-2020, the Compensation Committee conducted a comprehensive review of iStar’s existing compensation program and engaged in extensive shareholder outreach seeking feedback and input, to identify any appropriate changes to ensure that our compensation program is aligned with shareholders interests and concerns.
During that engagement process, shareholders told us they were generally comfortable with the core structure of our long-term performance program and recognized the merit in linking executive compensation with Company returns on specific assets and overall market performance. However, they consistently expressed a desire for greater detail and transparency around our program and the process we use to determine payouts.
Following our outreach conversations and its review of the compensation program, in 2020 the Committee made several significant changes to our program structure and design. These changes are set forth in the table on page 46, under “Shareholder Engagement”, and described elsewhere in this CD&A.
These changes were meaningful and reflective of our shareholders’ suggestions. We believe they better align our compensation with shareholder interests, by further linking pay with performance and increasing transparency and disclosure. We were very pleased when our shareholders overwhelmingly supported our 2020 Say on Pay vote. As time and circumstances shift, we will continue to seek feedback from our shareholders so their interests and iStar’s executive compensation program are aligned.
This CD&A details how our executive compensation programs are designed and operate for our named executive officers (“NEOs”), who in 2020 included:
Jay Sugarman
Chairman and Chief Executive Officer
Marcos Alvarado
President and Chief Investment Officer
Jeremy Fox-Geen
Chief Financial Officer (since March 2020)
.
Compensation Philosophy and Guiding Principles
Our compensation programs are designed to foster a strong pay-for-performance culture by ensuring we balance emphasis on near-term and long-term performance. The Compensation Committee, and the Board as a whole, believe this approach is essential given the nature of our portfolio of assets and investment opportunities.
We strive to provide our employees with meaningful reward opportunities while maintaining alignment with shareholder interests and business imperatives. In setting and overseeing the compensation of our executive officers, the Compensation Committee believes our compensation philosophy is best enacted by designing programs and policies to achieve three core objectives:
[MISSING IMAGE: tm212491d1-fc_philosophypn.jpg]
44 | iStar Inc. 2021 Proxy Statement
[MISSING IMAGE: lg_istar-bw.jpg]

TABLE OF CONTENTS
Shareholder Engagement
Following disappointing say-on-pay votes in 2018 and 2019, the Compensation Committee conducted a thorough evaluation of iStar’s compensation program with a focus on identifying the aspects of the program believed to cause concern for shareholders. The Compensation Committee then engaged in extensive dialogue with shareholders to understand their perspectives as well as to seek feedback on potential areas of change. As a result of the feedback received in these discussions, the Compensation Committee made meaningful changes to the executive compensation program effective in 2020.
[MISSING IMAGE: tm212491d1-tb_hearddidpn.jpg]
CD&AOverview
iStar Inc. 2021 Proxy Statement | 45

TABLE OF CONTENTS
[MISSING IMAGE: lg_istargrey.jpg]
 
The strong shareholder support received in the 2020 Say on Pay vote, with 98% of shares voting “FOR” our compensation program, indicated to us that we had addressed shareholders’ expressed concerns and utilize a program that shareholders view as strongly aligned with their interests. Going forward, the Compensation Committee and full Board are committed to ensuring iStar’s pay program aligns with shareholders’ interests and supports long-term, sustainable value creation.
2020 Compensation Program
Our executive compensation program for 2020 consisted of three primary components:
[MISSING IMAGE: tm212491d1-tb_compprogpn.jpg]
For the named executive officers, the Compensation Committee determines the amounts of these compensation components annually after considering:

Each executive’s experience, knowledge, skills and personal contributions

iStar’s performance relative to pre-established goals

Individual executives’ accomplishments and performance relative to pre-established goals

Real estate industry performance, general economic conditions and other macroeconomic factors
Each compensation component is discussed below.
46 | iStar Inc. 2021 Proxy Statement
[MISSING IMAGE: lg_istar-bw.jpg]

TABLE OF CONTENTS
Base Salaries
The Compensation Committee reviews the annual base salaries of our named executive officers every year. Salaries of our current NEOs for 2019 and 2020 are shown below. In 2020, the Compensation Committee reduced the CEO’s base salary and included him as a participant in the AIP, increasing the portion of his pay that is at risk and aligning him with the rest of the management team. Base salary for Mr. Fox- Geen is shown at an annualized rate of base salary, as Mr. Fox-Geen’s employment commenced in March 2020
Named Executive Officer
2019 Base Salary
($)
2020 Base Salary
($)
Jay Sugarman 1,000,000 600,000
Marcos Alvarado 500,000 550,000
Jeremy Fox-Geen NA 500,000
Annual Incentive Plan (AIP)
Our named executive officers, as well as our other employees, are eligible to earn an annual incentive award under the AIP if we achieve financial performance goals approved by the Compensation Committee.
Each year, the Committee discusses and approves performance and payout levels under the AIP after a multi-step process of reviewing our current strategy, business plans and budgets, headcount and roles, and other relevant factors. As described elsewhere, our business strategy has evolved in recent years as we focus on scaling the ground lease platform, simplifying our balance sheet, and accelerating the disposition of legacy assets. Consequently, our prior results are not necessarily indicative of our future results. Our projected financial performance in 2020 was highly variable and based on a wide range of assumptions and uncertainties.
In the beginning of 2020, and prior to the onset of the COVID-19 pandemic in the United States, the Committee approved two performance metrics to determine 2020 AIP funding: (1) Adjusted Earnings Per Share, and (2) Adjusted Book Value Per Share:

Adjusted Earnings Per Share measures the quality of the earnings we are generating. We believe our ability to generate high quality earnings directly impacts share price and shareholder value creation.

Adjusted Book Value Per Share was added as a second performance metric, based on the Committee’s conclusion that Adjusted Earnings Per Share, which is based on GAAP earnings and profitability, alone does not adequately take into consideration several of the business’ key performance indicators.
For each metric, the Compensation Committee approved performance requirements and corresponding AIP pool funding levels for 2020, to be assessed based on actual performance achieved during 2020.
Starting in March 2020, our business was impacted by the COVID-19 pandemic, as was virtually every other business. While we have a diversified portfolio of loans, net leases and operating and development properties, many of our tenants, borrowers and other customers experienced significant economic challenges as the lockdowns commenced and continued, especially in the entertainment, hotel, and land categories. In addition, our ability to execute our strategy of monetizing legacy assets was affected as overall transaction activity diminished significantly.
As the pandemic continued, with great uncertainty as to how and when economic activity would recover, the Committee began a process of reevaluating our financial results and forecasts, and the resulting impact on AIP performance metrics and funding levels. The Committee considered our revised forecasts, which indicated our Adjusted Book Value Per Share was tracking at or around target and Adjusted Earnings Per Share was unlikely to achieve the threshold performance level. The Committee also considered that, under the circumstances of the pandemic, our ability to achieve cost savings and efficiencies in our business operations had taken on increased importance.
CD&A2020 Compensation Program
iStar Inc. 2021 Proxy Statement | 47

TABLE OF CONTENTS
[MISSING IMAGE: lg_istargrey.jpg]
 
After extensive deliberation and consultation with management and the Committee’s consultants, the Committee elected not to modify any aspects of the outstanding performance metrics or targets. However, the Committee determined it was appropriate to establish an additional performance metric under the AIP to recognize specific actions that became more critical in the current environment. Specifically, the Committee approved adding Core G&A (net of Safehold management fee income) as a third AIP performance metric, in addition to Adjusted Earnings Per Share and Adjusted Book Value Per Share. The Committee established threshold and target performance requirements, and associated AIP funding levels, if we achieved Core G&A that was below the specified threshold and target levels, and concluded that no additional AIP funding would be authorized for achieving Core G&A savings beyond the target level, as follows:
Performance Metric
Below
Threshold
Threshold
Target
Maximum
2020 Core G&A, net of Safehold management fee ($mil) >$ 55.0 $ 55.0 $ 51.5 N/A
2020 AIP pool funding ($mil) $ 0 $ 2.5 $ 5.0
Promptly following year-end 2020, in connection with its consideration of annual compensation determinations, the Committee reviewed our 2020 financial results relative to the three performance metrics that had been established under the AIP for 2020 and the funding levels associated with those performance results. Based on its consideration of these results, the Committee approved funding the AIP pool as follows:
Performance Metric
Below
Threshold
Threshold
Target
Maximum
2020 Actual
Results
1. Adjusted Earnings per Share <$ 0.70 $ 0.70 $ 1.00 $ 1.30 $ 0.54
AIP pool funding for performance metric 1 ($mil)
$ 0 $ 8.5 $ 10.0 $ 11.5 $ 0
2. Adjusted Book Value Per Share <$ 20.00 $ 20.00 $ 22.50 $ 25.00 $ 33.75
AIP pool funding for performance metric 2 ($mil)
$ 0 $ 8.5 $ 10.0 $ 11.5 $ 11.5
3. 2020 Core G&A, net of Safehold management fee ($mil)
>$ 55.0 $ 55.0 $ 51.5 N/A $ 48.9
AIP pool funding for performance metric 3 ($mil)
$ 0 $ 2.5 $ 5.0 N/A $ 5.0
TOTAL APPROVED FUNDING FOR 2020 AIP POOL $ 16.5
NOTES:
(1)
See Exhibit A to this proxy statement for our methodology and calculations of Adjusted Earnings, Adjusted Book Value and Core G&A.
(2)
A linear scale of performance targets and payout levels is utilized to determine performance and funding for results that fall between the specified amounts.
Under the terms of the AIP, if our TSR is negative for the year, AIP pool funding is capped at the threshold level, regardless of level of performance achieved under the established performance metrics. Due to our positive TSR performance during 2020, the cap did not apply, and no adjustments were made to the AIP pool for 2020.
To account for unanticipated circumstances and external economic factors, including the impact of shifts in timing of our asset transactions, the Compensation Committee has discretion to adjust the size of the total AIP bonus pool by up to 25% (up or down) based on its assessment of our overall performance; factors relevant to how the performance results were achieved; our financial condition, including liquidity; and other relevant considerations. However, the Committee does not have discretion to override the impact of the TSR modifier when it caps the AIP pool funding amount at the threshold level. The Committee made no discretionary adjustments to the AIP pool for 2020.
AIP Awards for 2020 (Approved and Paid in February 2021)
For services during 2020, 81% of our AIP pool was awarded to employees other than our NEOs. AIP awards for our current NEOs for 2019 and 2020 are shown below. The AIP awards shown for 2019 were approved and paid in
48 | iStar Inc. 2021 Proxy Statement
[MISSING IMAGE: lg_istar-bw.jpg]

TABLE OF CONTENTS
February 2020 for services performed in 2019. The AIP awards shown for 2020 were approved and paid in February 2021 for services performed in 2020. 80% of the award shown was paid in cash and 20% was paid in the form of fully-vested shares of our Common Stock, subject to transfer restrictions for 18 months, with the exception of the 2020 award to Mr. Fox-Geen, which was paid all in cash in accordance with the terms of his employment offer. In accordance with SEC disclosure rules, the cash portion of the AIP awards is reported in the Summary Compensation Table on page 60 as compensation for the year in which the services were performed and the shares portion is reported as compensation in the following year in which the shares are granted.
In approving individual AIP awards to our NEOs for services in 2020, the Committee took into consideration the contributions and accomplishments of each NEO, including their performance with reference to specific individual goals developed for each executive, including the following:

For Mr. Sugarman, goals based on increasing our adjusted book value, increasing our dividend, increasing our share price, achieving adjusted earnings per share in excess of a stated target, hiring and successfully integrating a new chief financial officer, and continuing the scaling of our ground lease business

For Mr. Alvarado, goals based on originating ground lease investments in excess of a stated target, leading and enabling our key business functions to achieve a specified level of operating framework targets, and improving our employee engagement scores in excess of stated target.

For. Mr. Fox-Geen, who was hired after 2020 goals had been set for the other NEOs, goals relating to his integration into the role of chief financial officer, the effectiveness of his leadership of the finance and accounting functions, and other contributions to the executive leadership team.
Named Executive Officer
2019 AIP Award
($)
2020 Award
($)
Jay Sugarman None 400,000
Marcos Alvarado 2,750,000 2,150,000
Jeremy Fox-Geen NA 600,000
Long-Term Incentive Compensation—iPIP
Long-term incentive compensation for our NEOs is delivered primarily through the iPIP. The ultimate value of awards, if any, under the iPIP is directly tied to the performance of our assets and investments, as well as our relative TSR performance. Commencing in 2019, with awards of points in the 2019-2020 iPIP pool, and going forward, iPIP awards are granted biennially. Accordingly, our NEOs who received grants of iPIP points in the 2019-2020 iPIP pools in 2019 did not receive grants of any iPIP points in 2020. Mr. Fox-Geen, who was hired as our Chief Financial Officer in March 2020, received an award of 2.0 iPIP points in the 2019-2020 iPIP pools in connection with the commencement of his employment.
The following table shows awards of iPIP points made during 2020 to our NEOs:
Executive
Points Awarded in
2019-2020 iPIP Pool
in 2020
Grant Date
Value(1)
Jay Sugarman
0.00 $ 0
Marcos Alvarado
0.00 $ 0
Jeremy Fox-Geen
2.00 $ 1,442,766
Why We Created iPIP
iPIP is the primary form of performance-based incentive compensation for our NEOs, as well as other executives, investment professionals and select other employees. iPIP was implemented in 2013 and approved by our shareholders in 2014. iPIP has been designed to incentivize executives and other investment professionals to participate in the long-term financial success of iStar by directly linking their pay with the performance of our portfolio assets.
CD&A2020 Compensation Program
iStar Inc. 2021 Proxy Statement | 49

TABLE OF CONTENTS
[MISSING IMAGE: lg_istargrey.jpg]
 

iStar’s compensation program is intentionally unique because of our differentiated and unique asset mix and business platform

iPIP provides a compensation opportunity consistent with expectations of top-tier executives in other high-caliber, investment-based organizations with whom we compete for talent

Payout is not guaranteed, is subject to long vesting requirements, and is contingent upon strict performance criteria being met, incentivizing executives to drive the performance of portfolio assets over the long-term
How iPIP Works
One consistent piece of feedback iStar received during shareholder engagement efforts was the request for more transparency on the iPIP program and how it pays out. Below is a graphic illustrating the principles that govern the determination of payouts, if any, to iPIP participants. For more complete description of the iPIP, including the complete iPIP document, see our Definitive Proxy Statement filed on April 11, 2014, incorporated by reference as Exhibit 10.2 to our 2020 annual report on Form 10-K. Historically, there have been no payouts to management prior to the fifth year after an iPIP pool is established.
[MISSING IMAGE: tm212491d1-tb_ipipasspn.jpg]
(1)
Net cash proceeds means cash proceeds net of asset-level debt costs.
(2)
The FTSE NAREIT REITs Index and the Russell 2000 Index.
The ultimate value of awards under iPIP is directly tied to the performance of iStar’s portfolio assets and investments over the long-term and is subject to reduction based on our TSR. If iStar’s total shareholder return (TSR) for the period commencing January 1, 2013, when the iPIP was first adopted, and ending on the date an iPIP payout is calculated, is below the average of the median TSR of the select indices on that date, the amount paid out to iPIP participants from an iPIP pool will be reduced by the percentage difference of such underperformance. For the 2021-2022 pools and all future pools, this negative TSR modifier for iPIP payouts has been toughened and that penalty for TSR performance vs. index is doubled.
50 | iStar Inc. 2021 Proxy Statement
[MISSING IMAGE: lg_istar-bw.jpg]

TABLE OF CONTENTS
iPIP Investment Periods and Pools
Every other year, we establish two iPIP pools tied to investments we make during that year and the following year. One pool, a “short-term pool,” includes investments that we generally expect, as of the origination date, should have a realization date that is six years or less from the origination date. A second pool, a “long-term pool,” includes investments that we generally expect, as of the origination date, should have a realization date that is more than six years from the origination date. The performance of each pool is tracked separately and payouts, if any, to participants are solely based on the performance of each pool. For purposes of allocating certain types of investments between short-term and long-term pools, the Compensation Committee has adopted policies that, unless the committee approves otherwise, all net lease investments will be allocated to the long-term pool, and investments in SAFE securities will be allocated 50% to the short-term pool and 50% to the long-term pool, in effect when the investments are made. Shares of SAFE common stock are included in each of the 2017-2018 and 2019-2020 short-term and long-term pools and may also be included in the 2021-2022 pools. The Compensation Committee retains the final authority to exclude certain assets as investments that will be allocated to an iPIP pool and has determined, for example, that iStar equity and debt securities that are repurchased by the company and certain additional investments in pre-existing assets will be excluded.
Since the iPIP program was initially adopted, we have established and awarded points in short-term and long-term pools for each of 2013-2014, 2015-2016, 2017-2018, 2019-2020 and 2021-2022. We grant participation interests, or points, in each iPIP pool, primarily to senior executives and select professionals engaged in our investment activities. As noted above, beginning with the iPIP awards made in 2019, awards of iPIP points are being granted biennially.
Vesting of iPIP Points
iPIP points vest over a six-year period—40% after the initial two years, and 15% at the end of each of the next four years, provided the recipient is still employed at iStar. Vesting occurs even if the pools have not yet reached the payout stage (described below). However, no payouts are made from an iPIP pool on vested points unless and until the performance criteria for that pool have been met.
The values of iPIP points shown in the Summary Compensation Table are based upon the fair value on the date the points are granted, but for participants, the realizable value of iPIP points at the time they are granted is zero. The ultimate value participants may realize from their iPIP points, if any, depends on how well the investments in an iPIP pool perform over time, and that depends on a number of performance factors, including the amount investments originated, realization on those investments, asset-specific leverage, corporate leverage, credit losses, and other relevant factors.
The below flow chart details the timeline from a short-term iPIP pool investment period to payout:
[MISSING IMAGE: tm212491d1-fc_ipipoppn.jpg]
CD&A2020 Compensation Program
iStar Inc. 2021 Proxy Statement | 51

TABLE OF CONTENTS
[MISSING IMAGE: lg_istargrey.jpg]
 
iPIP Fundings and Distributions
Under the iPIP, management calculates the performance of the investments in the iPIP pools on a quarterly basis. These calculations, together with supporting materials, are furnished to our independent registered public accounting firm as part of the overall audit process. If it is determined that the performance of the investments in an iPIP pool has achieved sufficient net cash to provide for funding and payouts from the iPIP pool, a negative TSR modifier is applied to determine if iStar’s relative TSR is below the average of the medians of the FTSE NAREIT REITs Index & the Russell 2000 Index. An independent valuation consultant performs the necessary TSR calculations to determine the extent to which reductions in iPIP pool fundings are required based on TSR performance. Management’s calculations, supporting materials, and the TSR calculations are reviewed by the Compensation Committee before payout distributions are made to iPlP participants.
Illustration of 2013-2014 iPIP Short-Term Pool
CEO Award and Payouts
For purposes of illustration, the following table sets forth information on our CEO’s award and payouts from the 2013-2014 short-term iPIP pool through December 31, 2020. No assets in the 2013-2014 long-term iPIP pool have yet been monetized and no payouts have yet been paid to participants in that pool.
2013-14 short-term iPIP—CEO-Specific Data ($000)(1)
Year
2013
2014
2015
2016
2017
2018
2019
2020
Total
Annual
Average
2013-2020
Vesting Schedule 0% 40% 55% 70% 85% 100% 100% 100%
Grant Date Value (short-term and long-term awards)
N/A $ 5,500 $ 0 $ 0 $ 0 $ 0 $ 0 $ 0
Realized Value $ 0 $ 0 $ 0 $ 0 $ 0 $ 7,903(3) 3,982(3) $ 0 11,885(3) $ 1,486(3)
Total Cumulative Realized Value as % of
Grant Date Value(2)
0% 0% 0% 0% 0% 144% 72% 0% 216%

Each year, profits from the short-term iPIP pool were directly invested back into iStar’s business

CEO payout did not occur until 2018

Round-trip calculated profit to iStar from the 2013-14 short-term pool (through 2020) was $140 million

Calculated IRR for the 2013-14 short-term pool was approximately 22% per year
(1)
Dollars in thousands
(2)
Equals total realized value as a percentage of total grant date value
(3)
Realized value paid 50% in our stock and 50% in cash.
iPIP Distributions Paid in 2020
The initial payouts from the 2013-2014 short-term iPIP pool were first made during 2018 to participants holding vested points and additional payouts were made in 2019, based upon determinations that the performance of the investments in the 2013-2014 short-term iPIP pool had achieved sufficient net cash to provide for funding and payouts from this short-term iPIP pool, after appropriate adjustments based on application of the negative TSR modifier, in accordance with the terms of the iPIP. No payouts were made from the 2013-2014 short-term pool in 2020. No payouts have yet been made from the 2013-2014 long-term iPIP pool.
52 | iStar Inc. 2021 Proxy Statement
[MISSING IMAGE: lg_istar-bw.jpg]

TABLE OF CONTENTS
The initial payouts from the 2015-2016 short-term iPIP pool were first made during 2019 to participants holding vested points and additional payouts were made in 2020, based upon determinations that the performance of the investments in the 2015-2016 short-term iPIP pool had achieved sufficient net cash to provide for funding and payouts from this short-term iPIP pool, after appropriate adjustments based on application of the negative TSR modifier, in accordance with the terms of the iPIP. No payouts have yet been paid to participants in the 2015-2016 long-term iPIP pool.
Total distributions in respect of vested
iPIP points during 2020(1)
Average
Annualized
Rate of Total
Distribution
($)(2)
Executive
Shares($)
Cash($)
Jay Sugarman
2013-2014 iPIP short-term pool
0 0 0
2015-2016 iPIP short-term pool
420,853 420,853 140,284
(1)
These distributions were paid 50% in cash and 50% in shares of our common stock, net of applicable tax withholdings.
(2)
Calculated from date of inception of short-term iPIP pool through December 31, 2020.
Advantages of the iPIP Structure
iPIP’s features foster strong alignment with shareholder interests.
First, the assets and investments in an iPIP pool must perform well before our executives receive any payout for their points. Even if the assets and investments do perform well, payouts will be reduced if iStar’s TSR underperforms benchmark indices.
Second, the iPIP instills a long-term mindset. Points vest over the course of six years, and iPIP pools must perform successfully over the long term to satisfy the performance tests that are preconditions to any payout.
Third, to further align our executives’ interests with those of our shareholders, iPIP payouts are divided equally between shares of our common stock and cash, rather than all-cash payouts. (However, if there happen to be insufficient shares available for issuance under shareholder-approved plans, iPIP payouts may be made in cash.)
Finally, the iPIP program is structured to be similar to executive compensation programs offered by other investment platforms with whom we compete for talent (including real estate funds, hedge funds, and private equity firms). We can only compete for the best executive talent if we offer market competitive incentive opportunities.
Long-Term Incentive Compensation—Legacy 2009 LTIP
As noted above, the iPIP is intended to serve as the primary vehicle for providing long-term incentive compensation to our named executive officers, other senior executives, and investment professionals. However, as deemed appropriate, we will also grant equity-based awards under the 2009 LTIP. These awards typically are in the form of restricted stock units (Units) that entitle the holder to receive an equivalent number of shares of our common stock if and when the Units vest.
During 2020, the Compensation Committee granted LTIP awards to our NEOs as shown in the table below. The LTIP award to Mr. Alvarado was granted in February 2020 in recognition of his service and performance during 2019, in the form of Units that cliff vest in one installment in January 2023. The LTIP award to Mr. Fox-Geen was granted in March 2020 in connection with the commencement of his employment, in the form of Units that vest in equal annual installments over a three-year period ending in January 2023. On vesting, the Units entitle the holder to receive an equivalent number of shares of our Common Stock, net of applicable tax withholdings.
Executive
LTIP Awards (Units)
Awarded in 2020 (#)
Grant Date
Value ($)
Marcos Alvarado
16,523 250,000
Jeremy Fox-Geen
10,000 70,800
CD&A2020 Compensation Program
iStar Inc. 2021 Proxy Statement | 53

TABLE OF CONTENTS
[MISSING IMAGE: lg_istargrey.jpg]
 
Risk and Compensation
We believe that both the company and our individual employees should focus on identifying, pricing, managing, and monitoring risk, with the objective of achieving attractive, long-term, risk-adjusted returns for our shareholders. Our compensation program is designed to support and motivate our employees in achieving this objective without encouraging excessive risk-taking. We believe the following attributes contribute to an executive compensation program that does not create risks that are reasonably likely to have a material adverse effect on iStar.
Appropriate pay mix. We rely on an assortment of compensation elements—both fixed and variable, cash and equity-based, and short- and long-term—to ensure our executives focus on objectives that help us achieve our business plans and create alignment with long-term shareholder interests.
Focus on long-term performance-based compensation. A significant portion of the compensation we pay our senior executives consists of long-term incentive awards that vest over multiple years. These awards will not pay out until iStar earns a complete return of our invested capital, as well as actual or imputed interest and a preferred return hurdle rate, and any payouts are subject to reduction if our total shareholder return is below market.
iStar executives are also shareholders. Our NEOs, other executive officers, and directors must comply with rigorous stock ownership guidelines.
Reduced incentive for misconduct. Our clawback policy allows us to recover incentive compensation paid to an executive in the event such executive’s fraud, willful misconduct, or violation of a company policy leads to a restatement of our financial statements or negative revision of a financial measure used to determine that incentive compensation.
No hedging or pledging. Our executives and directors are prohibited from engaging in transactions that hedge the risk of owning iStar common stock. In addition, directors, officers, and other employees may not pledge our securities as collateral for a loan or hold iStar securities in a margin account except with prior approval in accordance with guidelines approved by our board from time to time.
No guaranteed employment. We have no employment agreements with executive officers. All of our executives are employed on an “at will” basis and may be terminated with or without cause at any time. Similarly, our executives have no “golden parachute” or “golden coffin” arrangements. Taken as a whole, our compensation arrangements reward executives for appropriately identifying and managing risks, but provide no guaranteed “safety net” if they are ineffective in doing so. Moreover, the structure of our incentive compensation program ensures that any loss of value to our shareholders is shared by management.
Compensation Governance
In addition to structuring our compensation programs with objective, predetermined goals, and providing for direct oversight by our Compensation Committee, we employ a number of features to enhance our compensation governance, as described below.
Stock Ownership Guidelines
Our non-employee directors, executive officers, and other senior officers are expected to maintain equity ownership interests having at least minimum prescribed values. Our ownership guidelines are as follows:
5x 10x 6x 3x
Annual cash retainer ($500,000) Non-Employee Director Base salary ($6 million) Chairman and Chief Executive Officer (CEO) Base salary ($3.3 million) President and Chief Investment Officer Base salary ($1.5 million) Chief Financial Officer and other CEO direct reports
54 | iStar Inc. 2021 Proxy Statement
[MISSING IMAGE: lg_istar-bw.jpg]

TABLE OF CONTENTS
Non-employee directors and officers have five years from the date they are elected to the board or appointed to an officer position, as the case may be, to satisfy the ownership guidelines. All of our non-employee directors and named executive officers are currently in compliance with the guidelines.
Clawback Policy
We have a “clawback” policy that is reflected in the provisions of our incentive compensation awards. If we determine that an employee has engaged in fraud, willful misconduct, or violation of a company policy, and we further determine that misconduct caused or contributed to a material restatement or adjustment of iStar’s financial results within two years after the period presented, or caused a material negative revision of a financial measure used to determine incentive compensation, the Compensation Committee will review performance-based compensation awarded to that employee and, if appropriate, seek recoupment of an appropriate portion of such award.
Insider Trading Policies and Procedures
The federal securities laws prohibit a company’s directors, officers, employees and other “insiders” from engaging in securities trading on the basis of material, non-public information. It is our policy, without exception, to comply with all applicable laws and regulations in conducting our business. Accordingly, iStar has adopted an insider trading policy that prohibits each member of our Board of Directors and each of our officers and other employees from buying or selling our securities on the basis of material, non-public information, and from assisting or working in concert with others to do so. We impose “blackout periods” on a quarterly basis, and otherwise as appropriate, that prohibit insiders from trading in our securities, and require that any trading by an insider must be approved in advance by our compliance officer.
“Double Trigger” Change-in-Control Provision for Long-Term Incentive Compensation
All long-term incentive compensation awards for our executive officers include a “double trigger” change-in-control provision, meaning that a change in control of iStar will not alone cause any acceleration of vesting of those awards. Only if a change-in-control transaction is followed by termination of employment (or effective termination due to a material reduction in position, responsibilities, compensation, or other significant terms of employment), will the incentive compensation awards continue to vest, either in full or on a prorated basis.
Tax Considerations
Section 162(m) of the Internal Revenue Code generally limits tax deductibility of compensation paid by a public company to its chief executive officer and certain other highly compensated executive officers to $1 million annually. Prior to enactment of the Tax Cuts and Jobs Act in November 2017, Section 162(m) included an exception for performance-based compensation that meets specific requirements. This exception has now been repealed, subject to certain grandfathered exceptions, which means employers generally lose the deduction for compensation to covered executives in excess of  $1 million. Notwithstanding the loss of the exception for performance-based compensation, the Compensation Committee generally intends to continue to utilize the grandfathering rule under the Tax Cuts and Jobs Act where available. However, the Compensation Committee reserves the right to pay nondeductible compensation.
CD&A2020 Compensation Program
iStar Inc. 2021 Proxy Statement | 55

TABLE OF CONTENTS
[MISSING IMAGE: lg_istargrey.jpg]
 
Roles and Responsibilities in Setting Named Executive Officer Compensation
Compensation Committee
The Committee is currently made up of three independent directors and reports to the Board.
The Compensation Committee reviews and approves overall compensation philosophy and strategy, as well as the compensation programs in which executive officers participate. Ultimately, the Compensation Committee is responsible for:

approving specific compensation for the executive officers

determining the form and amount of that compensation

aligning executive compensation with shareholders’ interests
To that end, at the beginning of each year the Compensation Committee works with the CEO to set company performance goals and benchmarks for individual executive performance that we expect will positively influence shareholder value. At the end of each year, the Compensation Committee, taking into consideration the CEO’s recommendations for his direct reports, determines and approves specific compensation amounts for our executive officers.
With respect to the CEO, the Compensation Committee annually:

reviews and approves objectives

evaluates the CEO’s performance against those objectives and iStar’s overall performance

determines the CEO’s compensation level based on that evaluation
When appropriate, members of the Compensation Committee engage with shareholders and other stakeholders to seek input on executive compensation matters.
The Compensation Committee has authority to retain independent compensation consultants and legal counsel to assist it in fulfilling its obligations.
Independent Compensation Consultant
Pay Governance, an independent executive compensation consultant, has been retained by the Committee since 2012 to provide consulting advice on matters of governance and executive compensation.
As requested by the Compensation Committee, Pay Governance:

provides advice and opinion on the appropriateness and competitiveness of our executive compensation programs relative to market practice

provides advice on our compensation strategy and our internal compensation-setting processes and governance

attends Compensation Committee meetings
Chief Executive Officer
The CEO is supported by other members of the senior management team in setting goals and measuring company and individual performance.
56 | iStar Inc. 2021 Proxy Statement
[MISSING IMAGE: lg_istar-bw.jpg]

TABLE OF CONTENTS
The CEO works with iStar’s other executive officers to set performance goals for the company and individual executives, as appropriate, at the beginning of each year. Using that collective insight, the CEO recommends incentive plan designs and goals for the Compensation Committee’s review and approval.
The CEO makes recommendations to the Compensation Committee regarding compensation for the NEOs after reviewing iStar’s overall performance and each executive’s personal contributions. The CEO incorporates numerous qualitative factors into his recommendations. The CEO does not participate in the Committee’s executive session discussions or deliberations related to his own compensation.
CD&A2020 Compensation Program
iStar Inc. 2021 Proxy Statement | 57

TABLE OF CONTENTS
[MISSING IMAGE: lg_istargrey.jpg]
 
Compensation Committee Report
In connection with our oversight of the compensation programs of iStar Inc., we, the members of the Compensation Committee listed below, have reviewed and discussed with management the Compensation Discussion and Analysis set forth in this proxy statement. Based upon this review and discussion, the Compensation Committee has recommended to iStar’s board of directors that the Compensation Discussion and Analysis be included in this proxy statement and incorporated by reference in iStar’s 2020 annual report on Form 10-K.
Submitted by the Compensation Committee
Barry W. Ridings (Chairman)
Robin Josephs
Anita Sands
58 | iStar Inc. 2021 Proxy Statement
[MISSING IMAGE: lg_istar-bw.jpg]

TABLE OF CONTENTS
Chief Executive Officer Pay Ratio
For 2020, the ratio of the annual total compensation of Mr. Sugarman, our CEO, to the median of the annual total compensation of all of our employees other than our CEO (“Median Annual Compensation”) was 5 to 1. This ratio is a reasonable estimate calculated in a manner consistent with Item 402(u) of SEC Regulation S-K using the data summarized below. For purposes of this disclosure, we refer to the employee who received Median Annual Compensation as the “Median Employee.” The date used to identify the Median Employee was December 31, 2020.
To identify the Median Employee, we first determined our employee population as of December 31, 2020. On that date, iStar and our consolidated subsidiaries collectively had 146 employees. This number includes both full-time and part-time employees, but not independent contractors or “leased” workers. We then measured compensation for the period beginning on January 1, 2020, and ending on December 31, 2020, for these employees. This compensation measurement was calculated by totaling, for each employee, gross taxable earnings, including salary and bonuses as shown in our payroll and human resources records for 2020. We annualized compensation for any employee who worked for less than the full year.
For purposes of calculating this ratio, we used the total compensation of  $935,522 reported for Mr. Sugarman in the Summary Compensation Table for 2020. Median Annual Compensation for 2020 was $195,530. This amount was calculated by totaling all applicable elements of compensation for our Median Employee for 2020 in accordance with Item 402(c)(2)(x) of Regulation S-K.
Chief Executive Officer Pay Ratio  
iStar Inc. 2021 Proxy Statement | 59

TABLE OF CONTENTS
[MISSING IMAGE: lg_istargrey.jpg]
 
Executive Compensation Tables
Summary Compensation Table
The following table and the accompanying footnotes set forth compensation information for the past three years for our named executive officers who served during 2020
Name and Principal Position
Year
Salary
($)
Bonus
($)
Stock
Awards
($)(1)
Non-Equity
Incentive Plan
Compensation
($)(2)
All Other
Compensation
($)(3)
Total
($)
Jay Sugarman
Chairman and Chief Executive Officer
2020 600,000 320,000 15,522 $ 935,522
2019 1,000,000 3,344,788 (4) 22,599 4,367,387
2018 1,000,000 5,000,000 (4) 11,793 6,011,793
Marcos Alvarado
President and Chief Investment Officer
2020 550,000 800,000(5) 1,720,000 15,498 3,085,498
2019 500,000 2,190,493(5) 2,200,000 11,463 4,901,955
2018 490,530 3,125,000 1,900,000 10,470 5,526,000
Jeremy Fox-Geen
Chief Financial Officer (since March 2020)
2020 387,153 1,513,566(5) 600,000 11,024 2,511,742
2019
2018
(1)
Amounts reported in the “Stock Awards” column include our performance-based iPIP awards, which vest over six years. Amounts reported in this column include the dollar value of iPIP points granted in the year listed. The executives realized no value and did not receive income at the time these awards were granted. Actual payments will be made to the executives in respect of these awards only if meaningful performance hurdles are achieved by iStar’s investments and long vesting periods are satisfied. In addition, iPIP payouts will be reduced if our TSR underperforms. See “Compensation Discussion and Analysis—iPIP distributions paid in 2020,” for a discussion of payouts made to our NEOs in 2020.
 
The values of the iPIP awards are based on the grant date fair value calculated in accordance with FASB ASC Topic 718 (without regard to forfeitures) based on various assumptions with respect to forecasted investment originations, expected realization dates of investments (including maturities or sale dates), asset-specific leverage, corporate leverage, investment returns, credit losses, and other relevant factors. These assumptions are subject to risks and uncertainties that may cause actual results or outcomes to differ materially. Refer to Note 15 of our consolidated financial statements in our 2020 10-K Report for further details.
 
Amounts reported in the “Stock Awards” column for 2019 include the dollar value of iPIP points granted in 2019 to our named executive officers in the 2019-2020 iPIP pools. Amounts reported in the “Stock Awards” column for 2018 include the dollar value of iPIP points granted in 2018 to our named executive officers in the 2017-2018 iPIP pools. Starting in 2019, awards of iPIP points are intended as two-year awards; accordingly, no iPIP points were awarded in 2020, except for an award made to Mr. Fox-Geen on commencement of his employment. See Note (5) below.
(2)
Amounts reported in the “Non-Equity Incentive Plan Compensation” column include cash awards paid under our AIP to our named executive officers. Pursuant to the SEC’s disclosure rules and regulations, cash bonuses paid under the AIP are reported under the “Non-Equity Incentive Plan Compensation” column for the year in which services were performed.
(3)
Amounts reported in the “All Other Compensation” column include our matching contributions to the accounts of our named executive officers in our 401(k) Plan, additional compensation attributable to certain life and disability insurance premiums, and accrued dividend equivalents paid upon the vesting of our long-term incentive awards.
(4)
No annual incentive awards were paid to Mr. Sugarman under our AIP for services in 2019 and 2018.
(5)
Amounts reported in the “Stock Awards” column for 2020 for Mr. Alvarado include the dollar value of  (a) shares of our common stock issued in February 2020 as part of his annual incentive awards for services rendered in 2019, which
60 | iStar Inc. 2021 Proxy Statement
[MISSING IMAGE: lg_istar-bw.jpg]

TABLE OF CONTENTS
shares were fully vested but subject to sales restrictions for specified periods, and (b) LTIP awards in the form of restricted stock units (Units) granted in February 2020, which Units vest at the end of three years, based on the grant date fair value of such awards calculated in accordance with FASB ASC Topic 718. The fair value of the time-based Units was calculated based upon the share price of our common stock at the date of grant.
 
Amounts reported in the “Stock Awards” column for 2020 for Mr. Fox-Geen include the dollar value of LTIP awards in the form of Units and the dollar value of points in the 2019-2020 iPIP pool granted to Mr. Fox-Geen on commencement of his employment on March 23, 2020, based on the grant date fair value of such awards calculated in accordance with FASB ASC Topic 718. The fair value of the time-based Units was calculated based upon the share price of our common stock at the date of grant.
 
Amounts reported in the “Stock Awards” column for 2019 for Mr. Alvarado include the dollar value of LTIP awards granted in February 2019, which Units vest in annual installments vest over three years, based on the grant date fair value of such awards calculated in accordance with FASB ASC Topic 718. The fair value of the time-based Units was calculated based upon the share price of our common stock at the date of grant.
Executive Compensation TablesSummary Compensation Table
iStar Inc. 2021 Proxy Statement | 61

TABLE OF CONTENTS
[MISSING IMAGE: lg_istargrey.jpg]
 
Grants of Plan-Based Awards
The following table includes information on plan-based awards granted to our named executive officers who served during 2020.
Grant
Date
Estimated
Future
Payouts Under
Non-Equity
Incentive
Plan Awards
Estimated Future Payouts Under Equity
Incentive Plan Awards
All Other
Stock Awards:
Number of
Shares of
Stock or
Units (#)
Grant Date
Fair Value ($)
Name
Target (#)
Threshold (#)
Target (#)
(#)
Jay Sugarman
(1)
(1)
Marcos Alvarado
2/28/20
(1)
(1)
36,352 550,000(4)
2/28/20 16,523 250,000(4)
Jeremy Fox-Geen
3/23/20
(1)
(1)(2)
(2)
1,442,766(3)
3/23/20 10,000 70,800(4)
(1)
As described more fully in “Compensation Discussion and Analysis-Annual Incentive Awards,” each year, the Compensation Committee establishes a performance measure and determines the target amount for our total annual incentive pool. The total annual incentive pool is funded after year-end based on how we perform compared to the designated performance measure. Individual employees’ payouts from the pool are determined on a discretionary basis by the Compensation Committee. During 2020, there were no Threshold, Target or Maximum amounts established for individual employees’ payouts under the annual incentive award program. Individual performance goals have been established for 2021.
(2)
Mr. Fox-Geen was granted 2.0 points in the 2019-2020 iPIP pools (2% of the authorized points) on commencement of his employment on March 23, 2020. There are no Threshold, Target or Maximum amounts established for individual employees’ payouts under the iPIP.
(3)
Amounts reported in the “Grant Date Fair Value” column include the dollar values of iPIP points granted to our named executive officers based on the grant date fair value as determined for accounting purposes. As described elsewhere in this proxy statement, the executives realized no value and did not receive income at the time these awards were granted. Payouts from an iPIP pool to iPIP participants are not expected to commence for several years, and depend on many unknown variables. Further, iPIP participants generally are subject to a six-year vesting period. The fair values of the iPIP points were calculated as of the grant date based on various assumptions with respect to forecasted investment originations, expected realization dates of investments (including maturities or sale dates), asset-specific leverage, corporate leverage, investment returns, credit losses, and other relevant factors. These assumptions are subject to risks and uncertainties that may cause actual results or outcomes to differ materially. Refer to Note 15 of our consolidated financial statements in our 2020 10-K Report for further details.
(4)
Amounts reported in the “Grant Date Fair Value” column also include the dollar value of LTIP awards granted to our named executive officers based on the grant date fair value of such awards calculated in accordance with FASB ASC Topic 718 (without regard to forfeitures). The fair values of the time-based Units were calculated based upon the share price at the date of grant. Refer to Note 15 of our consolidated financial statements in our 2020 10-K Report for further details.
62 | iStar Inc. 2021 Proxy Statement
[MISSING IMAGE: lg_istar-bw.jpg]

TABLE OF CONTENTS
Outstanding Equity Awards
The following table shows all outstanding equity awards at the end of 2020 held by our named executive officers who served during 2020, which include unvested iPIP points and unvested Units.
Outstanding Equity Awards at Fiscal 2020 Year-End
Stock Awards
Name
Number of
Shares or Units of
Stock That Have
Not Vested (#)
Market Value of
Shares or Units
of Stock That
Have Not Vested
($)(1)
Equity Incentive
Plan Awards:
Number of
Unearned
Shares, Units or
Other Rights That
Have Not Vested (#)
Equity Incentive
Plan Awards:
Market or Payout Value of
Unearned Shares, Units or
Other Rights That Have Not
Vested ($)
Jay Sugarman
(2)
101,692,298(2)
Marcos Alvarado
24,142(3) 358,514
(2)
48,112,500(2)
Jeremy Fox-Geen
10,000(4) 148,500
(2)
3,074,000(2)
(1)
The market value of unvested Units is calculated by multiplying the number of Units by $14.85, the closing market price of our common stock on December 31,2020.
(2)
The terms of the iPIP, including compensation benefits that may be payable to participants, are described elsewhere in this proxy statement in “Compensation Discussion and Analysis—Long-Term Incentive Compensation—iPIP.” The estimated fair values of iPIP Points were calculated as of December 31, 2020, based on various assumptions with respect to forecasted investment originations, expected realization dates of investments (including maturities or sale dates), asset-specific leverage, corporate leverage, investment returns, credit losses, and other relevant factors. These assumptions are subject to risks and uncertainties that may cause actual results or outcomes to differ materially. Refer to Note 15 of our consolidated financial statements in our 2020 10-K Report for further details. Amounts shown for Mr. Sugarman represent estimated fair values of Points in the 2013-2014 iPIP pools and the 2015-2016 iPIP pools are net of amounts distributed to him in respect of vested points in 2013-2014 short-term iPIP pool and 2015-2016 short-term iPIP pool, which were paid 50% in cash and 50% in shares of our common stock, net of applicable tax withholdings.
(3)
In February 2019 and 2020, Mr. Alvarado was granted LTIP awards in the form of Units that will vest over a three-year vesting period and, on vesting, entitle the holder to receive an equivalent number of shares of our Common Stock, net of applicable tax withholdings. These LTIP awards were granted in recognition of his service and performance during 2018 and 2019.
(4)
In March 2020, Mr. Fox-Geen was granted LTIP awards in the form of Units that will vest over a three-year vesting period and, on vesting entitle the holder to receive an equivalent number of shares of our Common Stock, net of applicable tax withholdings. This LTIP award was granted on commencement of his employment on March 23, 2020.
Executive Compensation TablesOutstanding Equity Awards
iStar Inc. 2021 Proxy Statement | 63

TABLE OF CONTENTS
[MISSING IMAGE: lg_istargrey.jpg]
 
Stock Vested in Fiscal 2020
The following table presents information for our named executive officers relating to stock awards that vested during 2020.
Stock Awards
Name
Number of
Shares Acquired
on Vesting (#)
Value Realized on
Vesting ($)
Marcos Alvarado(1)
40,162 604,940
(1)
Mr. Alvarado received 19,148 net shares of our common stock upon vesting of this award of Units, after deduction of shares for applicable tax withholdings.
No Pension or Deferred Compensation
We do not maintain any tax-qualified defined benefit plans, supplemental executive retirement plans, or similar plans for which information is required to be reported in a pension benefits table. Similarly, we do not maintain any non-qualified deferred compensation plans for which information is required to be reported.
Employment Agreements with Executive Officers
We do not have employment agreements with any of our named executive officers.
Change-in-Control or Similar Arrangements
None of our named executive officers are party to any “single trigger” change-in-control arrangements that provide for compensation (including accelerated vesting of stock awards) in the event of a change in control. All long-term incentive compensation awards, including iPIP, equity incentive awards and other arrangements for our named executive officers, include a “double trigger” change-in-control provision, meaning that a change in control of iStar will not alone cause any acceleration of vesting of the incentive compensation awards. Vesting and payment of incentive compensation awards will not change unless the recipient’s employment is terminated or effectively terminated in connection with a change-in-control transaction, An effective termination would include circumstances including, without limitation, material reduction in position, responsibilities, compensation, or other significant terms of employment.
The iPIP and the terms of applicable award agreements granted to our named executive officers include certain provisions relating to a termination of employment. Except as described below, all unvested iPIP points will be forfeited upon a termination of employment.
Termination for cause. If a participant’s employment is terminated for “cause” ​(as defined in the iPIP), then all iPIP points, whether vested or unvested, will be forfeited.
Termination due to death or disability. If a participant’s employment is terminated due to death or disability, then the participant’s number of vested iPIP points will be increased as of the date of such termination to the next vesting level. For example, if the participant was not yet vested in any points at the time of such termination, the participant’s vested points will be increased to 40%. If there had been such a termination due to death or disability on December 31, 2020, the vested points of our named executive officers would have increased to the following amounts: Mr. Sugarman—39.925 points in the 2015-2016 iPIP pools, 28.00 points in the 2017-2018 iPIP pools, 16.00 points in the 2019-2020 iPIP pools; Mr. Alvarado—8.25 points in the 2017-2018 iPIP pools and 10.00 points in the
2019-2020 iPIP pools; and Mr. Fox-Geen—0.80 points in the 2019-2020 iPIP pools..
64 | iStar Inc. 2021 Proxy Statement
[MISSING IMAGE: lg_istar-bw.jpg]

TABLE OF CONTENTS
Retirement. If a participant’s employment is terminated as a result of the participant’s “retirement” ​(defined in the iPIP and described below) prior to the first anniversary of the commencement of an iPIP pool, the unvested points are forfeited. If a participant’s employment is terminated as a result of the participant’s “retirement” following the first anniversary of the commencement of an iPIP pool, then 50% of the participant’s unvested points in that pool are forfeited and the remaining 50% will continue to vest, pro rata, on the same schedule as if the participant had not retired. Any such points that vest following retirement will be forfeited if the participant competes with iStar, but the participant will not be required to repay any amounts previously received unless the board exercises its authority under our “clawback” policy, described on page 46. For purposes of this partial vesting, “retirement” is defined in the iPIP to mean retirement from iStar after age 60, and with a sum of age plus years of service equal to at least 70.
Termination after a change in control. If, after a change in control, a participant’s employment is terminated by iStar (or its successor) without cause or by the participant for “good reason,” ​(as defined in the iPIP) then the participant’s unvested iPIP points will continue to vest on the same schedule as if the participant had not incurred such termination.
Following a formal determination by the board to proceed with a liquidation of the company, all participants will become 100% vested in their respective iPIP points if their employment is terminated thereafter by us without cause or by the participant for good reason.
The iStar Inc. Severance Plan provides separation benefits in the event an employee is terminated without cause, on terms that are available generally to all salaried employees.
Executive Compensation TablesChange-in-Control or Similar
Arrangements
iStar Inc. 2021 Proxy Statement | 65

TABLE OF CONTENTS
[MISSING IMAGE: lg_istargrey.jpg]
 
Proposal 4—Ratification of the Appointment of Independent Registered Public Accounting Firm
The Audit Committee of the board of directors, with the concurrence of the board, has selected Deloitte & Touche LLP, an independent registered public accounting firm, to be our auditors for the fiscal year ending December 31, 2021, subject to ratification by our shareholders. We expect a representative of Deloitte & Touche LLP to attend the annual meeting. The representative may make a statement, and will respond to appropriate questions.
Accounting Fees and Services
Fees paid to Deloitte & Touche LLP, or Deloitte, our independent registered public accounting firm for the fiscal year ended December 31, 2020 and 2019, and to PricewaterhouseCoopers LLP, or PwC, our independent registered public accounting firm for the fiscal year ended December 31, 2017, were as follows:
Type of fee
2020
(Deloitte)
2019
(Deloitte)
2020
(PwC)
2019
(PwC)
Audit fees
$ 1,166,892 $ 1,293,500 $ $ 57,500
Audit-related fees
10,500 30,000 120,000 $ 290,000
Tax fees
272,927 888,860
All other fees
3,000 24,256
Total fees
$ 1,450,319 $ 2,215,360 $ 120,000 $ 371,756
Audit Fees. These fees were incurred for professional services rendered in connection with integrated audits of our consolidated financial statements and our internal control over financial reporting, limited reviews of our unaudited consolidated interim financial statements and comfort letters. PwC’s fees for 2019 relate to work associated with the issuance of the 2017 consolidated financial statements included in our 2019 Form 10-K.
Audit-Related Fees. These fees were incurred for assurance and related services that are reasonably related to the performance of the audit or review of our financial statements and are not disclosed under “Audit Fees.” These audit-related fees included fees related to Deloitte and PwC’s review of SEC filings.
Tax Fees. These fees were incurred for professional services rendered in connection with tax compliance, tax advice, and tax planning. These services included income tax compliance and related tax services.
All Other Fees. The 2019 fees were incurred for professional services rendered by PwC in connection with insurance claims.
Our Audit Committee is responsible for retaining and terminating our independent registered public accounting firm (subject, if applicable, to shareholder ratification) and for approving the performance of any non-audit services by the independent registered public accounting firm. In addition, the Audit Committee is responsible for reviewing and evaluating the qualifications, performance, and independence of the lead partner of the independent registered public accounting firm and for presenting its conclusions on those matters to the full board.
66 | iStar Inc. 2021 Proxy Statement
[MISSING IMAGE: lg_istar-bw.jpg]

TABLE OF CONTENTS
The Audit Committee has the sole authority to approve all audit engagement fees and terms, as well as significant non-audit services, involving the independent registered public accounting firm. During fiscal 2020, the Audit Committee approved all audit engagement fees and terms involving Deloitte, as well as all significant non-audit services performed by Deloitte.
[MISSING IMAGE: tm212491d1-fc_forratpn.jpg]
Proposal 4—Ratification of the Appointment of Independent Registered
Public Accounting FirmAccounting Fees and Services
iStar Inc. 2021 Proxy Statement | 67

TABLE OF CONTENTS
[MISSING IMAGE: lg_istargrey.jpg]
 
Report of the Audit Committee
The Audit Committee oversees the financial reporting process of iStar Inc. on behalf of the board of directors in accordance with our charter. The board has determined that all members of the Audit Committee meet the independence requirements of both the Securities and Exchange Commission, or SEC, and the New York Stock Exchange, or NYSE. The board also has determined that all members of the Audit Committee are “audit committee financial experts” within the meaning of the SEC rules, and are financially literate and have accounting or related financial management expertise, as such qualifications are defined under NYSE rules. We operate under a written charter approved by the board, consistent with the corporate governance rules issued by the SEC and the NYSE. Our charter is available on iStar’s website at www.istar.com (under “Investors” and then “Governance & Proxy”) and will be provided in print, without charge, to any shareholder who requests a copy.
iStar’s management is responsible for executing the financial reporting process and preparing the quarterly and annual consolidated financial statements, including maintaining a system of internal controls over financial reporting, as well as disclosure controls and procedures.
We are directly responsible for the appointment, compensation, retention, oversight, and termination of the external auditors. We have appointed Deloitte & Touche LLP, or Deloitte, an independent registered public accounting firm, to audit iStar’s consolidated financial statements for the year ending December 31, 2021.
The independent registered public accounting firm is responsible for auditing the effectiveness of iStar’s internal controls over financial reporting and for expressing its opinion thereon, in addition to auditing the annual consolidated financial statements and expressing an opinion whether those financial statements conform to generally accepted accounting principles in the United States. We also approve the engagement of an accounting firm to assist management in preparing documentation, testing and evaluating internal controls over financial reporting, and reviewing the performance of those controls. We do not prepare financial statements or conduct audits.
In its capacity as iStar’s independent registered public accounting firm for 2020, Deloitte issued a report on the consolidated financial statements as of and for the year ended December 31, 2020. In connection with the December 31, 2020, audited consolidated financial statements, we have:

reviewed and discussed with management and the independent registered public accounting firm iStar’s internal controls over financial reporting, including a review of management’s and the independent registered public accounting firm’s assessments of and reports on the effectiveness of internal controls over financial reporting and any significant deficiencies or material weaknesses;

reviewed and discussed with management and the independent registered public accounting firm iStar’s audited financial statements, including discussions regarding critical accounting policies, other appropriate financial accounting and reporting principles and practices, the quality of such principles and practices, and the reasonableness of significant judgments;

discussed with the independent registered public accounting firm the items that are required to be discussed by Statement on Auditing Standards No. 61, Communication with Audit Committees, as amended by Statement on Auditing Standards No. 90, Audit Committee Communications; and

reviewed and considered the written disclosures in the letter received from Deloitte, as required by the Public Company Accounting Oversight Board, regarding the independent accountant’s communications with the Audit Committee regarding independence, including a discussion about its independence from iStar and management.
68 | iStar Inc. 2021 Proxy Statement
[MISSING IMAGE: lg_istar-bw.jpg]

TABLE OF CONTENTS
Based on the reviews and discussions above, and subject to the limitations on the role and responsibilities of the Audit Committee referred to above and in the Audit Committee charter in effect in 2020, we recommended to the board that the audited consolidated financial statements for 2020 be included in iStar’s Annual Report on Form 10-K for the year ended December 31, 2020, for filing with the SEC. The board approved our recommendation.
Submitted by the Audit Committee
Clifford De Souza (Chairman)
Richard Lieb
Barry W. Ridings
The above report will not be deemed to be incorporated by reference into any filing by us under the Securities Act of 1933 or the Securities Exchange Act of 1934 except to the extent that we specifically incorporate the same by reference.
Report of the Audit Committee  
iStar Inc. 2021 Proxy Statement | 69

TABLE OF CONTENTS
[MISSING IMAGE: lg_istargrey.jpg]
 
Stock Ownership Information
Security Ownership of Certain Beneficial Owners and Management
The following table sets forth information available to us with respect to any common stock and Series D preferred stock owned by our directors, nominees for director, executive officers, and any individual or group of shareholders known to be the beneficial owner of more than 5% of our issued and outstanding common stock and Series D preferred stock as of March 17, 2021. This table includes options, if any, that are currently exercisable or exercisable within 60 days of the date of this proxy statement, and CSEs and restricted shares of our common stock awarded to non-employee directors under the iStar Inc. Non-Employee Directors’ Deferral Plan that are or will be fully vested within 60 days.
Name and Address of
Beneficial Owners(1)
Common Stock
Beneficially Owned(1)
% of Basic
Common Stock
Outstanding(2)
Series D
Preferred Stock
Beneficially
Owned(1)
% of Series D
Preferred
Stock
Outstanding(2)
Jay Sugarman(3) 2,584,535(8) 3.49% 2,000 0.05%
Marcos Alvarado(3) 51,448(4) *
Clifford De Souza(3) 70,532(5) *
David Eisenberg(3) 12,984(6) *
Jeremy Fox-Geen(3) 1,867(7) *
Robin Josephs(3) 255,389(9) *
Barry W. Ridings(3) 105,304(10) *
Anita Sands(3) 16,910(11
BlackRock, Inc.
55 E. 52nd Street
New York, New York 10055
13,273,083(12) 17.95%
FMR LLC
245 Summer Street
Boston, Massachusetts 02210
5,910,226(13) 7.99%
Hudson Bay Capital Management L.P.
777 Third Avenue, 30th Floor
New York, New York 10017
5,412,688(14) 7.32%
UBS Group AG
Bahnhofstrasse 45
PO Box CH-8021
Zurich, Switzerland
7,525,645(15) 10.18%
The Vanguard Group
100 Vanguard Blvd., Malvern,
Pennsylvania 19355
10,981,620(16) 14.85%
All executive officers, directors and nominees
for director as a group (9 persons)
3,126,831 4.23% 2,000 0.05%
*
Less than 1%.
(1)
Except as otherwise indicated and subject to applicable community property laws and similar statutes, the person listed as the beneficial owner of shares has sole voting power and dispositive power with respect to the shares.
(2)
As of March 17, 2021, 73,950,152 shares of common stock were deemed outstanding for purposes of this table, of which 73,939,071 were entitled to vote, and 4,000,000 shares of Series D preferred stock were outstanding and entitled to vote..
(3)
c/o iStar Inc., 1114 Avenue of the Americas, 39th Floor, New York, NY 10036.
70 | iStar Inc. 2021 Proxy Statement
[MISSING IMAGE: lg_istar-bw.jpg]

TABLE OF CONTENTS
(4)
Includes 51,448 shares owned directly by Mr. Alvarado.
(5)
Includes 57,004 shares owned directly by Mr. De Souza and 13,528 restricted shares of common stock owned directly by Mr. De Souza that are or will be fully vested within 60 days.
(6)
Includes 2,274 shares owned directly by Mr. Eisenberg and 10,710 restricted shares of common stock owned directly by Mr. Eisenberg that are or will be fully vested within 60 days.
(7)
Includes 1,867 shares owned directly by Mr. Fox-Geen.
(8)
Includes 2,543,991 shares of common stock owned directly by Mr. Sugarman and 40,544 shares owned indirectly through Mr. Sugarman’s spouse.
(9)
Includes 137,714 shares of common stock owned indirectly by Ms. Josephs through a family trust, 13,140 shares owned indirectly through an Individual Retirement Account, 21,644 restricted shares of common stock that are or will be fully vested within 60 days, and 82,891 CSEs held under the iStar Inc. Non-Employee Directors’ Deferral Plan that are fully vested.
(10)
Includes 84,448 shares held directly by Mr. Ridings and 13,825 restricted shares of common stock that are or will be fully vested within 60 days, and 7,328 CSEs held under the iStar Inc. Non-Employee Directors’ Deferral Plan that are fully vested.
(11)
Includes 16,910 restricted shares of common stock owned directly by Ms. Sands that are or will be fully vested within 60 days.
(12)
This beneficial ownership information is based solely on a Schedule 13G, dated December 31, 2020, as amended, filed with the SEC by BlackRock, Inc. and a review of public filings by the funds reported as beneficial owners in that Schedule 13G.
(13)
This beneficial ownership information is based solely on a Schedule 13G, dated December 31, 2020, as amended, filed with the SEC by FMR LLC.
(14)
This beneficial ownership information is based solely on a Schedule 13G, dated December 31, 2020, filed with the SEC by Hudson Bay Capital Management LP and Mr. Sander Gerber, reporting holdings of debt securities that are convertible into shares of iStar common stock.
(15)
This beneficial ownership information is based solely on a Schedule 13G, dated January 29, 2021, filed with the SEC by UBS Group AG.
(16)
This beneficial ownership information is based solely on a Schedule 13G, dated December 31, 2020, as amended, filed with the SEC by The Vanguard Group.
Section 16(a) Beneficial Ownership Reporting Compliance
Section 16(a) of the Securities Exchange Act of 1934 requires our directors, executive officers, and persons who own more than 10% of a registered class of our equity securities to file with the SEC initial reports of ownership and reports of changes in ownership of common stock and our other equity securities. Directors, officers, and greater than 10% shareholders are required to furnish us with copies of all Section 16(a) forms they file. To our knowledge, based solely on a review of the copies of such reports furnished to us, during the fiscal year ended December 31, 2020, all Section 16(a) filing requirements applicable to our directors, officers, and greater than 10% beneficial owners were met.
Stock Ownership InformationSection 16(a) Beneficial Ownership
Reporting Compliance
iStar Inc. 2021 Proxy Statement | 71

TABLE OF CONTENTS
[MISSING IMAGE: lg_istargrey.jpg]
 
Certain Relationships and Related Party Transactions
It is the policy of our Board of Directors that all transactions between iStar and a “related party” must be approved or ratified by at least a majority of the members of the Board who have no financial or other interest in the transaction. For this purpose, a related party includes any director or executive officer, any nominee for director, any shareholder owning 5% of more of our outstanding shares, and any immediate family member of any such person.
In determining whether to approve or ratify a related party transaction, the Board will take into account, among other factors it deems appropriate, whether the transaction is on terms no less favorable than terms generally available to an unaffiliated third party under the same or similar circumstances, and the extent of the related party’s interest in the transaction. No director will participate in any discussion or approval of a related party transaction for which such director is a related party, except that such a director will provide all material information concerning the related party transaction to our board.
If a related party transaction will be ongoing, the board may establish guidelines for management to follow in its ongoing dealings with the related party. The Board may delegate to our Nominating and Governance Committee the authority to review and assess, on at least an annual basis, any such ongoing relationships with the related party to confirm they are in compliance with the board’s guidelines.
All related party transactions will be disclosed in our applicable filings with the SEC as required under SEC rules.
Our subsidiary is the external manager of Safehold Inc. (“SAFE”) pursuant to a management agreement, which is publicly available on the SEC’s website as an exhibit to our Annual Report on Form 10-K for the fiscal year ended December 31, 2020. We are also SAFE’s largest shareholder. Our Board has adopted specific procedures with respect to transactions in which SAFE is also a participant: such transactions must be approved by majority of our independent directors on our Board.
We have participated in certain of SAFE’s ground lease investment transactions, as a seller of land or by providing financing to SAFE’s ground lease tenants. These transactions were approved in accordance with our policy with respect to transactions in which SAFE is also a participant, described above. Here is a summary of these transactions:

In October 2020, SAFE acquired land and simultaneously structured and entered into a ground lease as part of the ground lease tenant’s recapitalization of an existing multi-family property. We provided a $22.5 million loan to the company’s ground lease tenant for the recapitalization of the leasehold. SAFE paid us $2.3 million of additional consideration in connection with this investment.

In September 2020, SAFE closed on the acquisition of a ground lease pursuant to a purchase agreement that it entered into in October 2017 with us to acquire land subject to a ground lease on which a luxury multi-family project is currently being constructed for a purchase price of  $34.0 million. We committed to provide a $80.5 million construction loan to the ground lease tenant.

In June 2020, SAFE acquired the fee interest in an office condominium and simultaneously structured and entered into a ground lease with the condominium’s tenant. The tenant simultaneously acquired the leasehold interest in the office condominium. The ground lease has a term of 99 years. The tenant is a venture in which we own a 51.9% equity interest.

In October 2019, SAFE acquired land and simultaneously structured and entered into a ground lease as part of the ground lease tenant’s acquisition of an existing multi-family property located in Sarasota, FL. SAFE acquired the land and the ground lease tenant acquired the leasehold from a venture in which we have a 50% ownership interest. In addition, we provided a $22.0 million loan to the ground lease tenant for the acquisition of the leasehold. We subsequently sold the loan at par to a third party.
72 | iStar Inc. 2021 Proxy Statement
[MISSING IMAGE: lg_istar-bw.jpg]

TABLE OF CONTENTS

In August 2019, SAFE and we closed on the acquisition of a 310,000 square foot Class-A office building located in Austin, TX. We acquired the leasehold interest and SAFE simultaneously acquired the fee interest and entered into a new 99-year ground lease with us.

In February 2019, SAFE and we closed on the acquisition of a 420,000 square foot office building located in Jersey City, NJ. We acquired the leasehold interest and SAFE simultaneously acquired the fee interest and entered into a new 98-year ground lease with us.

In January 2019, SAFE acquired land and simultaneously structured and entered into a ground lease as part of the ground lease tenant’s acquisition of an existing office building located in Washington, DC that is to be converted into a multi-family building. The ground lease has a term of 99 years. SAFE also committed to provide the ground lease tenant a $10.5 million leasehold improvement allowance that will be funded upon the completion of certain conditions. In addition, we provided a $13.3 million loan to the ground lease tenant with an initial term of 21 months for the acquisition of the property.

In May 2018, SAFE acquired land and simultaneously structured and entered into a ground lease as part of the ground lease tenant’s acquisition of two multi-tenant office buildings located in Atlanta, GA. We provided a $19.9 million loan to the ground lease tenant for the acquisition of the property and the loan was repaid in December 2019.

In August 2017, SAFE acquired land and simultaneously structured and entered into a ground lease in Atlanta, GA and accounted for the transaction as an asset acquisition. The ground lease has a term of 99 years. In addition, the ground lease tenant constructed a 185-space parking deck adjacent to the building engineered to accommodate future development of the site. SAFE has a right of first refusal to provide funding for up to 30.0% of the construction cost of an additional 160,000 square feet of development on terms consistent with the ground lease. We committed to provide a $24.0 million construction loan to the ground lease tenant for the renovation of the property. The loan was repaid in August 2019.
As previously reported in our SEC filings during 2020, concurrent with SAFE’s public offerings of shares of its common stock, we purchased 2.78 million shares of SAFE common stock in private placement transactions from SAFE for an aggregate purchase price of  $145 million.
Certain Relationships and Related Party Transactions  
iStar Inc. 2021 Proxy Statement | 73

TABLE OF CONTENTS
[MISSING IMAGE: lg_istargrey.jpg]
 
Information about the Annual Meeting of
Shareholders | To Be Held May 13, 2021
We are making this proxy statement available to holders of our common stock and holders of our 8.00% Series D preferred stock on or about April 2, 2021, in connection with the solicitation by our board of directors of proxies to be voted at our 2021 annual meeting of shareholders or at any postponement or adjournment of the annual meeting.
This proxy statement is accompanied by our Annual Report for the year ended December 31, 2020. The Annual Report, including our financial statements at December 31, 2020, is available on our website at www.istar.com by choosing “Investors” and then “Governance & Proxy,” or you can obtain a print copy, without charge, by contacting Investor Relations at:
[MISSING IMAGE: tm212491d1-icon_mobilebw.jpg]
(212) 930-9400
[MISSING IMAGE: tm212491d1-icon_envelopebw.jpg]
iStar Inc.
Attention: Investor Relations
1114 Avenue of the Americas
39th Floor
New York, NY 10036
The information found on, or accessible through, our website is not incorporated into, and does not form a part of, this proxy statement or any other report or document we file with or furnish to the SEC. We urge you to authorize a proxy to vote your shares—either by mail, by telephone, or online—at your earliest convenience, even if you plan to attend the annual meeting in person.
[MISSING IMAGE: tm212491d1-icon_qpn.jpg]   Who is entitled to vote at the meeting?
Only holders of record of our common stock and our Series D preferred stock at the close of business on March 17, 2021, are entitled to receive notice of and to vote at the annual meeting or at any postponement or adjournment of the meeting. On the record date, there were 73,939,071 shares of common stock and 4,000,000 shares of Series D preferred stock outstanding and entitled to vote.
[MISSING IMAGE: tm212491d1-icon_qpn.jpg]   What constitutes a quorum?
In order to have a quorum at the annual meeting, we need the presence, either in person or by proxy, of the holders of enough outstanding common stock and Series D preferred stock, in the aggregate, to cast a majority of the votes entitled to be cast at the meeting.
[MISSING IMAGE: tm212491d1-icon_qpn.jpg]    What are the voting rights of shareholders?
Each shareholder is entitled to one vote for each share of common stock owned, and 0.25 votes for each share of Series D preferred stock owned, on the record date.
74 | iStar Inc. 2021 Proxy Statement
[MISSING IMAGE: lg_istar-bw.jpg]

TABLE OF CONTENTS
[MISSING IMAGE: tm212491d1-icon_qpn.jpg]   What vote is needed to approve each proposal?
Assuming a quorum is present in person or by proxy at the annual meeting, the proposals require the following votes:
Proposal
Votes Needed to Pass
Effect of Abstentions and
Broker Non-Votes
1
Election of six directors
Each nominee must receive a plurality of the votes cast by the holders of our common stock and Series D preferred stock, all voting as one class
Counted toward a quorum but no effect on the vote results
2
Approval of proposed amendment and restatement of iStar Inc. 2009 Long-Term Incentive Plan
The affirmative vote of a majority of the votes cast by the holders of our common stock and Series D preferred stock, all voting as one class
Counted toward a quorum but no effect on the vote results
3
Non-binding advisory vote to approve executive compensation
The affirmative vote of a majority of the votes cast by the holders of our common stock and Series D preferred stock, all voting as one class
Counted toward a quorum but no effect on the vote results
4
Ratification of the appointment of Deloitte & Touche LLP as our independent registered public accounting firm
The affirmative vote of a majority of the votes cast by the holders of our common stock and Series D preferred stock, all voting as one class
Abstentions will be counted toward a quorum but will have no effect on the vote results. There should not be any broker non-votes
For the approval of any other matters properly presented at the meeting for shareholder approval, the affirmative vote of a majority of the votes cast by the holders of our common stock and Series D preferred stock, all voting as one class, is required.
[MISSING IMAGE: tm212491d1-icon_qpn.jpg]   How can I attend the annual meeting?
The annual meeting will be a completely virtual meeting of shareholders, which will be conducted exclusively by webcast. You are entitled to participate in the annual meeting only if you were a shareholder of the Company as of the close of business on the record date, March 17, 2021, or if you hold a valid proxy for the annual meeting. No physical meeting will be held. You will be able to attend the annual meeting online and submit your questions during the meeting by visiting www.meetingcenter.io/215435795. You also will be able to vote your shares online by attending the annual meeting by webcast.
To participate in the annual meeting, you will need to review the information included on your Notice, on your proxy card or on the instructions that accompanied your proxy materials. The password for the meeting is SFI2021.
If you hold your shares through an intermediary, such as a bank or broker, you must register in advance using the instructions below.
The online meeting will begin promptly at 9:00 a.m., Eastern Time. We encourage you to access the meeting prior to the start time leaving ample time for the check in. Please follow the registration instructions as outlined in this proxy statement.
Information about the Annual Meeting of Shareholders  
iStar Inc. 2021 Proxy Statement | 75

TABLE OF CONTENTS
[MISSING IMAGE: lg_istargrey.jpg]
 
[MISSING IMAGE: tm212491d1-icon_qpn.jpg]   How do I register to attend the Annual Meeting virtually on the Internet?
If you are a registered shareholder (i.e., you hold your shares through our transfer agent, Computershare), you do not need to register to attend the Annual Meeting virtually on the Internet. Please follow the instructions on the notice or proxy card that you received. If you hold your shares through an intermediary, such as a bank or broker, you must register in advance to attend the Annual Meeting virtually on the Internet.
To register to attend the Annual Meeting online by webcast you must submit proof of your proxy power (legal proxy) reflecting your iStar holdings along with your name and email address to Computershare. Requests for registration should be directed to:
Computershare
iStar Legal Proxy
P.O. Box 43001
Providence, RI 02940-3001
Requests for registration must be labeled as “Legal Proxy” and be received no later than 5:00 p.m., Eastern Time, on April 30, 2021.
You will receive a confirmation of your registration by email after we receive your registration materials.
[MISSING IMAGE: tm212491d1-icon_qpn.jpg]   Why are you holding a virtual meeting instead of a physical meeting?
In light of health, transportation, and other logistical issues raised by the spread of coronavirus, or COVID-19, under the current circumstances we have no assurance that we would be able to hold a physical meeting that is safe for our participants. We believe that hosting a virtual meeting will enable more of our shareholders to participate in the meeting since our shareholders can participate from any location with Internet access.
[MISSING IMAGE: tm212491d1-icon_qpn.jpg]   What are broker non-votes?
A “broker non-vote” occurs when a broker, bank, or other nominee does not have discretionary authority as to certain shares to vote on a particular matter, and has not received voting instructions on that matter from the beneficial owner of those shares. Under current NYSE rules, a broker, bank, or other nominee does not have discretionary authority to vote shares without specific voting instructions from the beneficial owner in an election of directors, or on a resolution to approve executive compensation. Brokers, banks, and other nominees do have discretionary authority to vote shares without specific voting instructions on the ratification of the appointment of an independent registered public accounting firm.
[MISSING IMAGE: tm212491d1-icon_qpn.jpg]    How is my vote counted?
If you properly vote your proxy prior to the annual meeting, the shares that the proxy represents will be voted in the manner you direct. If your proxy does not specify a choice regarding one or more proposals, your shares will be voted FOR the election of directors, FOR the resolution to approve, on a non-binding, advisory basis, executive compensation, and FOR the ratification of the appointment of the independent registered public accounting firm.
Votes cast in person or by proxy at the annual meeting will be tabulated by the election inspectors appointed for the meeting, who also will determine whether a quorum is present. If your shares are held by a broker, bank, or other nominee (i.e., in “street name”), you will receive instructions from your nominee that you must follow in order to have your shares voted. Street name shareholders who wish to vote in person at the meeting will need to obtain a proxy from the broker, bank, or other nominee that holds their shares of record.
76 | iStar Inc. 2021 Proxy Statement
[MISSING IMAGE: lg_istar-bw.jpg]

TABLE OF CONTENTS
[MISSING IMAGE: tm212491d1-icon_qpn.jpg]   Can I change my vote after I submit my proxy card or vote electronically?
If you authorize a proxy to vote your shares, you may revoke it at any time before it is voted by:

submitting voting instructions at a later time via the Internet or by telephone before those voting facilities close;

giving written notice bearing a date later than the date of the proxy to our Secretary expressly revoking the proxy;

signing and forwarding to us a proxy dated later; or

attending the annual meeting and personally voting the common stock or Series D preferred stock that you own of record. Merely attending the annual meeting will not revoke a proxy.
[MISSING IMAGE: tm212491d1-icon_qpn.jpg]   Who pays the costs of solicitation?
We will pay the costs of soliciting proxies from our shareholders. In addition to solicitation by mail, certain of our directors, officers, and employees may solicit the return of proxies by telephone, fax, personal interview, or otherwise without being paid additional compensation. We will reimburse brokerage firms and other persons representing the beneficial owners of our shares for their reasonable expenses in forwarding proxy solicitation materials to the beneficial owners in accordance with the proxy solicitation rules and regulations of the SEC and the NYSE. We have engaged Alliance Advisors LLC to solicit proxies on our behalf in connection with our 2021 annual meeting of shareholders and to provide other advisory services for a fee of  $17,500, plus expenses.
[MISSING IMAGE: tm212491d1-icon_qpn.jpg]   When are shareholder proposals due for the 2022 annual meeting?
Shareholder proposals intended to be included in our proxy materials and presented at the 2022 annual meeting must be sent in writing, by certified mail, return receipt requested, to us at our principal office, addressed to our Secretary. Such proposals must be received by us no later than December 4, 2021.
If you wish to submit a shareholder proposal to be considered at our 2022 annual meeting but not included in our proxy materials, the proposal must contain the information required by our bylaws. Such proposals must be submitted between November 4, 2021, and December 4, 2021. However, if the date of the 2022 annual meeting is advanced more than 30 days prior to, or delayed more than 30 days after, May 13, 2022, such proposals must be delivered between the 150th day prior to the date of the 2022 annual meeting and the later of  (i) the 120th day prior to the date of the 2022 annual meeting or (ii) the tenth day following the date on which public announcement of the date of the 2022 annual meeting of shareholders is first made.
[MISSING IMAGE: tm212491d1-icon_qpn.jpg]   What is householding of proxy materials?
The SEC has adopted rules that permit companies and intermediaries (such as banks and brokers) to satisfy the delivery requirements for proxy statements and annual reports with respect to two or more shareholders sharing the same address by delivering a single set of proxy materials to that address. This process, which is commonly referred to as “householding,” potentially means extra convenience for stockholders (less bulk mail) and cost savings for companies.
A number of brokers with account holders who are our shareholders intend to “household” our proxy materials. A single proxy statement will be delivered to multiple shareholders sharing an address unless contrary instructions have been received from the affected shareholders. Once you receive notice that your broker will be householding communications to your address, householding will continue until you are notified otherwise or until you revoke your consent. If, at any time, you no longer wish to participate in householding and would prefer to receive a separate proxy statement and annual report, please notify us by contacting our Investor Relations department at:
Information about the Annual Meeting of Shareholders  
iStar Inc. 2021 Proxy Statement | 77

TABLE OF CONTENTS
[MISSING IMAGE: lg_istargrey.jpg]
 
[MISSING IMAGE: tm212491d1-icon_mobilebw.jpg]
(212) 930-9400
[MISSING IMAGE: tm212491d1-icon_envelopebw.jpg]
iStar Inc.
Attention: Investor Relations
1114 Avenue of the Americas
39th Floor
New York, NY 10036
Shareholders who currently receive multiple copies of the proxy statement at their address and would like to request householding of their communications should contact us as specified above.
[MISSING IMAGE: tm212491d1-icon_qpn.jpg]   Are there any other matters coming before the 2021 Annual Meeting?
Management does not intend to bring any other matters before the annual meeting and knows of no other matters that are likely to come before the meeting. In the event any other matters properly come before the annual meeting or any postponement of the meeting, the individuals named in the accompanying proxy will vote the shares represented by your proxy in accordance with their discretion.
Additional Information
The Securities and Exchange Commission allows us to “incorporate by reference” information into this proxy statement. That means we can disclose important information to you by referring you to another document filed separately with the SEC. The information incorporated by reference is considered to be part of this proxy statement, except to the extent the information is superseded by information in this proxy statement.
This proxy statement incorporates by reference: (a) the information contained in our Annual Report on Form 10-K for the year ended December 31, 2020; and (b) the information contained in all other documents we file with the SEC after the date of this proxy statement and prior to the annual meeting of stockholders. The information contained in any of these documents will be considered part of this proxy statement from the date these documents are filed.
Any statement contained in this proxy statement or in a document incorporated or deemed to be incorporated by reference herein will be deemed to be modified or superseded for purposes of this proxy statement to the extent that a statement contained herein or in any other subsequently filed document which also is or is deemed to be incorporated by reference herein modifies or supersedes such statement. Any statement so modified or superseded will not be deemed, except as so modified or superseded, to constitute a part of this proxy statement.
You may obtain, without charge, a copy of any of the documents incorporated by reference herein by:
[MISSING IMAGE: tm212491d1-icon_envelopebw.jpg]
by writing to:
iStar Inc.
Attention: Investor Relations
1114 Avenue of the Americas
39th Floor
New York, NY 10036
[MISSING IMAGE: tm212491d1-icon_cloudbw.jpg]
by visiting our website:
www.istar.com
By Order of the Board of Directors,
[MISSING IMAGE: sg_geoffreydugan-bw.jpg]
Geoffrey M. Dugan
General Counsel and Corporate Secretary
New York, New York
April 2, 2021
78 | iStar Inc. 2021 Proxy Statement
[MISSING IMAGE: lg_istar-bw.jpg]

TABLE OF CONTENTS
Exhibit A—Non-GAAP Reconciliations
Adjusted Earnings
In 2019, we announced a new business strategy that would focus our management personnel and our investment resources primarily on scaling our Ground Lease platform. As part of this strategy, we accelerated the monetization of legacy assets, reducing our legacy portfolio to approximately 15% of our overall portfolio as of December 31, 2020, and deployed a substantial portion of the proceeds into additional investments in SAFE and new loan and net lease originations relating to the Ground Lease business. Management has determined that, effective for the first quarter 2020, a modified non-GAAP earnings metric, designated “adjusted earnings,” is the metric it uses to assess our execution of this strategy and the performance of our operations. Adjusted earnings reflects impairment charges and loan provisions in the same period in which they are recognized in net income (loss) prepared in conformity with generally accepted accounting principles in the United States of America (“GAAP”), rather than in a later period when the asset is sold. We believe this change is appropriate as legacy asset sales have become less central to our business, even though sales may be material to particular periods when they occur.
Adjusted earnings is used internally as a supplemental performance measure which adjusts for certain items to give management a view of income more directly derived from operating activities in the period in which they occur. Adjusted earnings is calculated as net income (loss) allocable to common shareholders, prior to the effect of depreciation and amortization, including our proportionate share of depreciation and amortization from equity method investments and excluding depreciation and amortization allocable to noncontrolling interests, stock-based compensation expense, the non-cash portion of loss on early extinguishment of debt and the liquidation preference recorded as a premium above book value on the redemption of preferred stock (“Adjusted Earnings”). All prior periods have been calculated in accordance with this definition.
Adjusted Earnings should be examined in conjunction with net income (loss) as shown in our consolidated statements of operations. Adjusted Earnings should not be considered as an alternative to net income (loss) (determined in accordance with GAAP), or to cash flows from operating activities (determined in accordance with GAAP), as a measure of our liquidity, nor is Adjusted Earnings indicative of funds available to fund our cash needs or available for distribution to shareholders. Rather, Adjusted Earnings is an additional measure we use to analyze our business performance because it excludes the effects of certain non-cash charges that we believe are not necessarily indicative of our operating performance. It should be noted that our manner of calculating Adjusted Earnings may differ from the calculations of similarly-titled measures by other companies.
For the Years Ended December 31,
2020
2019
2018
Adjusted Earnings
Net income (loss) allocable to common shareholders
$ (65,937) $ 291,547 $ (64,757)
Add: Depreciation and amortization
63,882 58,925 68,056
Add: Stock-based compensation expense
39,354 30,436 17,563
Add: Non-cash portion of loss on early extinguishment of debt
3,470 7,118 4,318
Adjusted earnings allocable to common shareholders $ 40,769 $ 388,026 $ 25,180
Exhibit A—Non-GAAP ReconciliationsAdjusted Earnings
iStar Inc. 2021 Proxy Statement | A-1

TABLE OF CONTENTS
[MISSING IMAGE: lg_istargrey.jpg]
 
Adjusted Book Value
Adjusted Common Equity Reconciliation
2020 2019
Total shareholders’ equity 870,969 1,040,422
Less: Liquidation preference of preferred stock
(305,000) (305,000)
Common shareholders equity 565,969 735,422
Add: Accumulated depreciation and amortization(1)
298,180 266,951
Add: Proportionate share of depreciation and amortization within equity method investments
49,640 28,105
Add: CECL allowance (December 31, 2019 balance represents general reserves)
24,326 6,933
Adjusted common equity $ 938,115 $ 1,037,411
Adjusted common equity per share $ 12.68 $ 13.33
Adjusted common equity per share with SAFE MTM $ 33.75 $ 19.89
Note: Amounts in thousands, except for per share data. Q4 ‘20 SAFE mark-to-market value of iStar’s investment in Safehold is $2,521m, calculated as iStar’s ownership of 34.8m shares of SAFE at the December 31, 2020 closing stock price of  $72.49. Q4 ‘19 SAFE mark-to-market value of iStar’s investment in Safehold is $1,256m calculated as iStar’s ownership of 31.2m shares of SAFE at the December 31, 2019 closing stock price of  $40.30. We use adjusted common equity, a non-GAAP financial measure, as a supplemental measure to give management a view of equity allocable to common shareholders prior to the impact of certain non-cash GAAP measures. Management believes that adjusted common equity provides a useful measure for investors to consider in addition to total shareholders equity because cumulative effect of depreciation and amortization expenses and CECL allowances calculated under GAAP may not necessarily reflect an actual reduction in the value of the Company’s assets. Adjusted common equity should be examined in conjunction with total shareholders’ equity as shown on the Company’s consolidated balance sheet. Adjusted common equity should not be considered an alternative to total shareholders’ equity (determined in accordance with GAAP), nor is adjusted common equity indicative of funds available for distribution to shareholders. It should be noted that our manner of calculating adjusted common equity may differ from the calculations of similarly-titled measures by other companies.
(1) Net of amounts allocable to non-controlling interests and includes accumulated depreciation and amortization associated with real estate available and held for sale.
Core G&A
2020
General and administrative expenses $ 100,879
Less:
Stock-Based Compensation expense
(39,354)
Safehold Management Fee
(12,625)
Core G&A $ 48,900
A-2 | iStar Inc. 2021 Proxy Statement
[MISSING IMAGE: lg_istar-bw.jpg]

TABLE OF CONTENTS
Exhibit B—Proposed Amendments to iStar Inc. 2009 Long-Term Incentive Plan
iStar Inc., a Maryland corporation, wishes to attract officers, key employees, Directors, consultants and advisers to the Company and its Subsidiaries and induce officers, key employees, Directors, consultants and advisers to remain with the Company and its Subsidiaries, and encourage them to increase their efforts to make the Company’s business more successful whether directly or through its Subsidiaries and its Affiliates. In furtherance thereof, the iStar Inc. 2009 Long-Term Incentive Plan is designed to provide equity-based and cash-based incentives to officers, key employees, Directors, consultants and advisers of the Company and its Subsidiaries and certain of its affiliates. Awards under the Plan may be made to selected officers, key employees, Directors, consultants and advisers of the Company and its Subsidiaries in the form of Options, Restricted Stock, Phantom Shares, Dividend Equivalent Rights, other forms of equity-based compensation, or cash-based compensation. The Plan was originally adopted effective May 27, 2009. The Plan is further amended and restated as of March [ ], 2021 to incorporate intervening amendments previously adopted and to make additional changes that the Company deems appropriate. The Plan reads as follows:
1.
DEFINITIONS.
Whenever used herein, the following terms shall have the meanings set forth below:
Affiliate” means any Person that directly or indirectly controls, is controlled by or is under common control with the Company. The term “control” ​(including, with correlative meaning, the terms “controlled by” and “under common control with”), as applied to any Person, means the possession, directly or indirectly, of the power to direct or cause the direction of the management and policies of such Person, whether through the ownership of voting or other securities, by contract or otherwise.
Award,” except where referring to a particular category of grant under the Plan, shall include Incentive Stock Options, Non-Qualified Stock Options, Restricted Stock, Phantom Shares, Dividend Equivalent Rights and other Awards as contemplated herein.
Award Agreement” means a written agreement in a form approved by the Committee to be entered into between the Company and the Participant as provided in Section 3. An Award Agreement may be, without limitation, an employment or other similar agreement containing provisions governing grants hereunder, if approved by the Committee for use under the Plan.
Board” means the Board of Directors of the Company.
Cause” means, unless otherwise provided in the Participant’s Award Agreement: (i) a Participant engaging in (A) willful or gross misconduct or (B) willful or gross neglect; (ii) a Participant repeatedly failing to adhere to the directions of superiors or the Board or the written policies and practices of the Company or its Subsidiaries or its Affiliates; (iii) a Participant’s commission of a felony or a crime of moral turpitude, dishonesty, breach of trust or unethical business conduct, or any crime involving the Company or its Subsidiaries, or any Affiliate thereof; (iv) a Participant engaging in fraud, misappropriation or embezzlement of the Company’s funds or other assets or other acts deemed by the Committee in the good faith exercise of its sole discretion to be an act of dishonesty in respect to the Company; (v) a Participant’s material violation of any statutory or common law duty of loyalty to the Company; (vi) a Participant’s material breach of such Participant’s employment agreement (if any) with the Company or its Subsidiaries or its Affiliates (subject to any cure period therein provided); (vii) a Participant willfully and repeatedly refusing to perform or substantially disregarding the duties properly assigned to such Participant by the Company (other than as a result of Disability); (viii) a Participant engaging in any activities materially harmful to the reputation of the Company or its Subsidiaries or its Affiliates; or (ix) a Participant’s repeated failure to devote substantially all of such Participant’s business time and efforts to the Company, or as otherwise required by Participant’s employment agreement; provided, however, that, if at any particular time the Participant is subject to an effective employment
Exhibit B—Proposed Amendments to iStar Inc. 2009 Long-Term Incentive
Plan  
iStar Inc. 2021 Proxy Statement | B-1

TABLE OF CONTENTS
[MISSING IMAGE: lg_istargrey.jpg]
 
agreement with the Company, then, in lieu of the foregoing definition, “Cause” shall at that time have such meaning as may be specified in such employment agreement.
Change in Control” means the happening of any of the following events:1
(i)
the acquisition by any Person of beneficial ownership within the meaning of the Rule 13d-3 promulgated under the Exchange Act, of more than 50.0% of either (A) the then outstanding Shares, (collectively, the “Outstanding Shares”) or (B) the combined voting power of the then outstanding securities of the Company entitled to vote generally in the election of Directors (the “Outstanding Voting Securities”); provided however that, the following events shall not constitute a Change in Control under this subsection (i): (1) any acquisition by the Company; (2) any acquisition by an employee benefit plan (or related trust) sponsored or maintained by the Company or any corporation or trust controlled by the Company; or (3) any acquisition by any corporation or trust pursuant to a transaction which complies with clause (A), (B) or (C) of subsection (iii) of this definition;
(ii)
individuals who, as of the Effective Date, constitute the Board (the “Incumbent Board”) cease for any reason to constitute at least a majority of such Board; provided that any individual who becomes a Director of the Company subsequent to the Effective Date whose election or nomination for election by the Company’s shareholders was approved (other than in connection with a material transaction relating to the Company or its assets or the Shares or the Class B Shares of the Company) by the vote of at least a majority of the Directors then comprising the Incumbent Board shall be deemed a member of the Incumbent Board; and provided further, that any individual who was initially elected as a Director of the Company as a result of an actual or threatened election contest, as such terms are used in Rule 14a-11 of Regulation 14A promulgated under the Exchange Act, or any other actual or threatened solicitation of proxies or consent by or on behalf of any Person other than the Board shall not be deemed a member of the Incumbent Board;
(iii)
consummation by the Company of a reorganization, merger or consolidation or sale or other disposition of all or substantially all of the assets of the Company (a “Corporate Transaction”); provided, however, that, a Change in Control shall not result from a Corporate Transaction pursuant to which (A) all or substantially all of the individuals or entities who are the beneficial owners, respectively, of the Outstanding Shares and the Outstanding Voting Securities immediately prior to such Corporate Transaction will beneficially own, directly or indirectly, more than 66 2/3% of, respectively, the outstanding shares of beneficial interest or common stock, and the combined voting power of the outstanding securities of such trust or corporation entitled to vote generally in the election of Directors or directors, as the case may be, of the trust or corporation resulting from such Corporate Transaction (including, without limitation, an entity which as a result of such transaction owns the Company or all or substantially all of the Company’s assets either directly or indirectly in substantially the same proportions relative to each other as their ownership, immediately prior to such Corporate Transaction, of the Outstanding Shares and the Outstanding Voting Securities as the case may be); (B) no Person (other than: the Company; any employee benefit plan (or related trust) sponsored or maintained by the Company or any trust or corporation controlled by the Company, the trust or corporation resulting from such Corporate Transaction, and any Person which beneficially owned, immediately prior to such Corporate Transaction, directly or indirectly, 33 1/3% or more of the Outstanding Shares or the Outstanding Voting Securities, as the case may be) will beneficially own, directly or indirectly, 33 1/3% or more of, respectively, the outstanding shares of beneficial interest or common stock of the trust or corporation resulting from such Corporate Transaction or the combined voting power of the outstanding securities of such trust or corporation entitled to vote generally in the election of Directors or directors; or (C) individuals who were members of the Incumbent Board will constitute at least a majority of the members of the board of Directors or directors of the trust or corporation resulting from such Corporate Transaction; or
(iv)
approval by the shareholders of the Company of a plan of complete liquidation or dissolution of the Company.
B-2 | iStar Inc. 2021 Proxy Statement
[MISSING IMAGE: lg_istar-bw.jpg]

TABLE OF CONTENTS
Notwithstanding the foregoing, no event or condition shall constitute a Change in Control to the extent that, if it were, a 20% tax would be imposed upon or with respect to any Award under Section 409A of the Code; provided that, in such a case, the event or condition shall continue to constitute a Change in Control to the maximum extent possible (e.g., if applicable, in respect of vesting without an acceleration of distribution) without causing the imposition of such 20% tax.
Code” means the Internal Revenue Code of 1986, as amended, and the regulations promulgated thereunder.
Committee” means the committee appointed by the Board under Section 3.
Common Stock” means the Company’s common stock, par value $.001 per share, either currently existing or authorized hereafter.
Company” means iStar Inc., a Maryland corporation.
Director” means a member of the Board who is not an employee of the Company or any Subsidiary.
Disability” means, unless otherwise provided by the Committee in the Participant’s Award Agreement, a disability which renders the Participant incapable of performing all of his or her material duties for a period of at least 180 consecutive or non-consecutive days during any consecutive twelve-month period. Notwithstanding the foregoing, no circumstances or condition shall constitute a Disability to the extent that, if it were, a 20% tax would be imposed upon or with respect to any Award under Section 409A of the Code; provided that, in such a case, the event or condition shall continue to constitute a Disability to the maximum extent possible (e.g., if applicable, in respect of vesting without an acceleration of distribution) without causing the imposition of such 20% tax.
Dividend Equivalent Right” means a right awarded under Section 8 of the Plan to receive (or have credited) the equivalent value of dividends paid on Common Stock.
Effective Date” means [•], 2021.
Eligible Person” means an (i) officer, (ii) Director, (iii) key employee of the Company or its Subsidiaries, (iv) consultant or adviser to any of the Company or its Subsidiaries, (v) or other person expected to provide significant services (of a type expressly approved by the Committee as covered services for these purposes) to the Company, its Subsidiaries or certain of its Affiliates, who in the case of each of clauses (i) through (v) above may be offered securities registrable pursuant to a registration statement on Form S-8 under the Securities Act and in each case has entered into an Award Agreement or who has received written notification from the Committee or its designee that they have been selected to participate in the Plan.
Exchange Act” means the Securities Exchange Act of 1934, as amended.
Fair Market Value” per Share as of a particular date means the closing transaction price of a Share as reported in the New York Stock Exchange on the first business day immediately preceding the date as of which such value is being determined, or, if there shall be no reported transaction on such day, on the next preceding business day for which a transaction was reported; provided that if the Fair Market Value of a Share for any date cannot be determined as above provided, Fair Market Value of a Share shall be determined by the Committee by whatever means or method as to which the Committee, in the good faith exercise of its discretion, shall at such time deem appropriate. Notwithstanding the foregoing, with respect to any “exempt stock right” within the meaning of Section 409A of the Code, Fair Market Value shall not be less than the “fair market value” of the Shares determined in accordance with Treasury Regulation 1.409A-1(b)(iv).
Grantee” means an Eligible Person granted Restricted Stock, Phantom Shares, Dividend Equivalent Rights or other Awards (other than an Option) as may be granted pursuant to Section 9.
Incentive Stock Option” means an Option which is designated by the Committee as an “incentive stock option” within the meaning of Section 422(b) of the Code.
Exhibit B—Proposed Amendments to iStar Inc. 2009 Long-Term Incentive
Plan  
iStar Inc. 2021 Proxy Statement | B-3

TABLE OF CONTENTS
[MISSING IMAGE: lg_istargrey.jpg]
 
Non-Qualified Stock Option” means an Option which is not an Incentive Stock Option.
Option” means the right to purchase, at a price and for the term fixed by the Committee in accordance with the Plan, and subject to such other limitations and restrictions in the Plan and the applicable Award Agreement, a number of Shares determined by the Committee.
Optionee” means an Eligible Person to whom an Option is granted, or any Successor of the Optionee, as the context so requires.
Option Price” means the price per share of Common Stock, determined by the Board or the Committee, at which an Option may be exercised.
Participant” means a Grantee or Optionee.
Performance Goals” have the meaning set forth in Section 10.
Performance Period” means any period designated by the Committee for which the Performance Criteria (as defined in Exhibit A) shall be calculated.
Permanent and Total Disability” means the “permanent and total disability” within the meaning of Section 22(e)(3) of the Code.
Person” means any individual, entity or group within the meaning of Section 13(d)(3) or 14(d)(2) of the Exchange Act.
Phantom Share” means a right, pursuant to the Plan, of the Grantee to payment of the Phantom Share Value.
Phantom Share Value,” per Phantom Share, means the Fair Market Value of a Share or, if so provided by the Committee, such Fair Market Value to the extent in excess of a base value established by the Committee at the time of grant.
Plan” means the Company’s 2009 Long-Term Incentive Plan, as set forth herein and as the same may from time to time be amended.
Prior 2009 Plan” means the Company’s 2009 Long-Term Incentive Plan, as in effect before the Restatement Effective Date.
Prior 1996 Plan” means the Company’s 1996 Long-Term Incentive Plan, as amended and restated as of April 7, 2005.
Prior Plans” means the Prior 2009 Plan and the Prior 1996 Plan.
REIT Requirements” means the requirements to qualify as a real estate investment trust under the Code and the rules and regulations promulgated thereunder.
Restatement Effective Date” means the date in 2021 on which this amendment and restatement has been approved by the stockholders of the Company and has become effective.
Restricted Stock” means an award of Shares that are subject to restrictions hereunder.
Securities Act” means the Securities Act of 1933, as amended.
Settlement Date” means the date determined under Section 7.4(c).
B-4 | iStar Inc. 2021 Proxy Statement
[MISSING IMAGE: lg_istar-bw.jpg]

TABLE OF CONTENTS
Shares” means shares of Common Stock of the Company.
Subsidiary” means any corporation (other than the Company) that is a “subsidiary corporation” with respect to the Company under Section 424(f) of the Code. In the event the Company becomes a subsidiary of another company, the provisions hereof applicable to subsidiaries shall, unless otherwise determined by the Committee, also be applicable to any company that is a “parent corporation” with respect to the Company under Section 424(e) of the Code, any corporation, partnership or other entity at least 50% of the economic interest in the equity of which is owned by the Company or by another subsidiary.
Successor of the Optionee” means the legal representative of the estate of a deceased Optionee or the person or persons who shall acquire the right to exercise an Option by bequest or inheritance or by reason of the death of such deceased Optionee.
Termination of Service” means a Participant’s termination of employment or other service, as applicable, with the Company and its Subsidiaries. Unless otherwise provided in the Award Agreement, cessation of service as an officer, employee, Director or consultant, or other covered positions shall not be treated as a Termination of Service if the Participant continues without interruption to serve thereafter in another one (or more) of such other capacities, and Termination of Service shall be deemed to have occurred when service in the final covered capacity ceases. Notwithstanding the foregoing, with respect to any Award that is subject to Section 409A of the Code, Termination of Service shall be interpreted within the meaning of Section 409A of the Code and Treasury Regulation 1.409A-1(h).
2.
EFFECTIVE DATE AND TERMINATION OF PLAN.
The Restatement Effective Date is [•], 2021. The Plan shall not become effective unless and until it is approved by the requisite percentage of the holders of the Common Stock of the Company. Subject to the approval of the Company’s shareholders at the 2031 annual meeting, the Plan shall terminate on, and no Award shall be granted hereunder on or after, the 10-year anniversary of  [•], 2031, provided, however, that the Board may at any time prior to that date terminate the Plan.
3.
ADMINISTRATION OF PLAN.
(a)
The Plan shall be administered by the Committee appointed by the Board. The Committee shall consist of at least two individuals each of whom shall be a “nonemployee director” as defined in Rule 16b-3 as promulgated by the Securities and Exchange Commission (“Rule 16b-3”) under the Exchange Act and shall, at such times as an outstanding grandfathered Award remains eligible for relief from the deduction limitation of Section 162(m) of the Code under the so-called performance-based exception in effect before November 2, 2017), qualify as “outside directors” for purposes of Section 162(m) of the Code. The acts of a majority of the members present at any meeting of the Committee at which a quorum is present, or acts approved in writing by a majority of the entire Committee, shall be the acts of the Committee for purposes of the Plan. If and to the extent applicable, no member of the Committee may act as to matters under the Plan specifically relating to such member. Notwithstanding the other foregoing provisions of this Section 3(a), any Award under the Plan to a person who is a member of the Committee shall be made and administered by the Board. If no Committee is designated by the Board to act for these purposes, the Board shall have the rights and responsibilities of the Committee hereunder and under the Award Agreements. In furtherance of the foregoing, the Board may, in its sole discretion, at any time and from time to time, grant Awards and administer the Plan with respect to any Awards. Any such actions by the Board shall be subject to the applicable rules of the securities exchange on which the Shares are listed or quoted. In any such case, the Board shall have all the authority granted to the Committee under the Plan.
(b)
Subject to the provisions of the Plan, the Committee shall have the discretion and authority to (i) authorize the granting of Awards to Eligible Persons; and (ii) determine the eligibility of Eligible Persons to receive an Award; (iii) designate Participants; (iv) determine the type or types of Awards to be granted to a Participant; (iii) determine the number of Shares to be covered by, or with respect to which payments, rights, or other matters are to be calculated in connection with, Awards; (v) determine the terms and conditions of any Award; (vi) determine whether, to what extent, and under what circumstances Awards may be settled in, or exercised
Exhibit B—Proposed Amendments to iStar Inc. 2009 Long-Term Incentive
Plan  
iStar Inc. 2021 Proxy Statement | B-5

TABLE OF CONTENTS
[MISSING IMAGE: lg_istargrey.jpg]
 
for, cash, Shares, other securities, other Awards or other property, or canceled, forfeited, or suspended and the method or methods by which Awards may be settled, exercised, canceled, forfeited, or suspended; (vii) determine whether, to what extent, and under what circumstances the delivery of cash, Shares, other securities, other Awards or other property and other amounts payable with respect to an Award shall be deferred either automatically or at the election of the Participant or of the Committee; (viii) interpret, administer, reconcile any inconsistency in, correct any defect in and/or supply any omission in the Plan and any instrument or agreement relating to, or Award granted under, the Plan; (ix) establish, amend, suspend, or waive any rules and regulations and appoint such agents as the Committee shall deem appropriate for the proper administration of the Plan; and (x) make any other determination and take any other action that the Committee deems necessary or desirable for the administration of the Plan. Notwithstanding the foregoing, to the extent permitted by applicable law, except with respect to grants of Awards to individuals covered by Section 16 of the Exchange Act, grants to Directors and Awards issued to the Chief Executive Officer of the Company, the Committee may delegate all or part of its authority and duties with respect to Awards issued under the Plan to the Chief Executive Officer, including without limitation the authority to make grants of Awards.
(c)
The Award Agreement shall contain such other terms, provisions and conditions not inconsistent herewith as shall be determined by the Committee. In the event that any Award Agreement or other agreement hereunder provides (without regard to this sentence) for the obligation of the Company or any Affiliate thereof to purchase or repurchase Shares from a Participant or any other person, then, notwithstanding the provisions of the Award Agreement or such other agreement, such obligation shall not apply to the extent that the purchase or repurchase would not be permitted under New York law. The Participant shall take whatever additional actions and execute whatever additional documents the Committee may in its reasonable judgment deem necessary or advisable in order to carry out or effect one or more of the obligations or restrictions imposed on the Participant pursuant to the express provisions of the Plan and the Award Agreement.
4.
SHARES AND UNITS SUBJECT TO THE PLAN.
4.1
In General.
(a)
Subject to adjustments as provided in Section 14, the total number of Shares available for Awards under the Plan on and after the Restatement Effective Date shall be 3,099,266 (the “Absolute Share Limit”), and which shall include all Shares that remain available for grants under the Prior 2009 Plan immediately before the Restatement Effective Date. Subject to Section 14 of the Plan, no more than the number of Shares equal to /​the Absolute Share Limit may be issued in the aggregate pursuant to the exercise of Incentive Stock Options granted under the Plan and the maximum number of Shares subject to Awards granted during a single fiscal year to any Director, taken together with any cash fees paid to such Director during the fiscal year, shall not exceed $500,000 in total value (calculating the value of any such Awards based on the grant date fair value of such Awards for financial reporting purposes). Shares used under the Plan in settlement of Awards may be treasury Shares or authorized but unissued Shares, Shares purchased on the open market or by private purchase or a combination of the foregoing. Any Shares that have been granted as Restricted Stock or that have been reserved for distribution in payment for Options, Phantom Shares or other equity-based Awards but are later forfeited or for any other reason are not payable or otherwise not made available for payment under the Plan may again be made the subject of Awards under the Plan. Any Shares covered by an Award (or portion of an Award) granted under the Plan, which is forfeited or cancelled, expires or is settled in cash, including the settlement of tax-withholding obligations using Shares, shall be deemed not to have been issued for purposes of determining the maximum number of Shares available for delivery under the Plan. Notwithstanding the preceding sentence, in no event shall shares tendered or withheld on the exercise of an Option in respect of the payment of the applicable Option Price or withholding taxes become available, and such Shares shall be deemed to have been issued for purposes of determining the maximum number of Shares available for delivery under the Plan. This Section 4.1(a) shall apply to the Share limit imposed to conform to Section 422(b)(1) of the Code (and the regulations issued thereunder) only to the extent consistent with applicable regulations relating to Incentive Stock Options.
(b)
Shares subject to Dividend Equivalent Rights, other than Dividend Equivalent Rights based directly
B-6 | iStar Inc. 2021 Proxy Statement
[MISSING IMAGE: lg_istar-bw.jpg]

TABLE OF CONTENTS
on the dividends payable with respect to Shares subject to Options or the dividends payable on a number of Shares corresponding to the number of Phantom Shares awarded, shall be subject to the limitation of Section 4.1(a). Notwithstanding Section 4.1(a), there shall be no limit on the number of Phantom Shares or Dividend Equivalent Rights that may be granted under the Plan to the extent they are paid out in cash. If any Phantom Shares, Dividend Equivalent Rights or other equity-based Awards under Section 9 are paid out in cash, then, notwithstanding the first sentence of Section 4.1(a) above (but subject to the second sentence thereof) the underlying Shares may again be made the subject of Awards under the Plan.
(c)
Notwithstanding any provision hereunder, no Award hereunder shall be exercisable or eligible for settlement if, as a result of either the ability to exercise or settle, or the exercise or settlement of such Award, the Company would not satisfy the REIT Requirements in any respect.
5.
PROVISIONS APPLICABLE TO STOCK OPTIONS.
5.1
Grant of Option.
Subject to the other terms of the Plan, the Committee shall, in its discretion as reflected by the terms of the applicable Award Agreement: (i) determine and designate from time to time those Eligible Persons to whom Options are to be granted and the number of Shares to be optioned to each Eligible Person; (ii) determine whether to grant Options intended to be Incentive Stock Options, or to grant Non-Qualified Stock Options, or both (to the extent that any Option does not qualify as an Incentive Stock Option, it shall constitute a separate Non-Qualified Stock Option); provided that Incentive Stock Options may only be granted to employees; (iii) determine the time or times when and the manner and condition in which each Option shall be exercisable and the duration of the exercise period; (iv) designate each Option as one intended to be an Incentive Stock Option or as a Non-Qualified Stock Option; and (v) determine or impose other conditions to the grant or exercise of Options under the Plan as it may deem appropriate.
5.2
Option Price.
The Option Price with respect to an Option shall be determined by the Committee on the date such Option is granted and reflected in an Award Agreement, as the same may be amended from time to time. Any particular Award Agreement may provide for different Option Prices for specified amounts of Shares subject to an Option. Unless otherwise permitted by the Committee, the Option Price with respect to each Option shall not be less than 100% of the Fair Market Value of a Share on the day such Option is granted.
5.3
Period of Option and Vesting.
(a)
Unless earlier expired, forfeited or otherwise terminated, each Option shall expire in its entirety upon the 10th anniversary of the date of grant or shall have such other term (which may be shorter, but not longer, in the case of Incentive Stock Options) as is set forth in the applicable Award Agreement (except that, in the case of an individual described in Section 422(b)(6) of the Code (relating to certain 10% owners) who is granted an Incentive Stock Option, the term of such Option shall be no more than five years from the date of grant). An Option shall also expire, be forfeited and terminate at such times and in such circumstances as otherwise provided hereunder or under an applicable Award Agreement.
(b)
An Option, to the extent that the applicable Optionee has not had a Termination of Service and such Option has not otherwise lapsed, expired, terminated or been forfeited, shall first become exercisable according to the terms and conditions set forth in an applicable Award Agreement, as determined by the Committee at the time of grant. Unless otherwise provided in an Award Agreement or herein, no Option (or portion thereof) shall ever be exercisable if the applicable Optionee has a Termination of Service before the time at which such Option (or portion thereof)
Exhibit B—Proposed Amendments to iStar Inc. 2009 Long-Term Incentive
Plan  
iStar Inc. 2021 Proxy Statement | B-7

TABLE OF CONTENTS
[MISSING IMAGE: lg_istargrey.jpg]
 
would otherwise have become exercisable, and any Option that would otherwise become exercisable after such Termination of Service shall not become exercisable and shall be forfeited upon such termination. Notwithstanding the foregoing provisions of this Section 5.3(b), Options exercisable pursuant to the schedule set forth by the Committee at the time of grant may be fully or more rapidly exercisable or otherwise vested at any time in the discretion of the Committee. Upon and after the death of an Optionee, such Optionee’s Options, if and to the extent otherwise exercisable hereunder or under an applicable Award Agreement after the Optionee’s death, may be exercised by the Successors of the Optionee.
5.4
Exercisability Upon and After Termination of Optionee.
(a)
Subject to the terms and provisions of an applicable Award Agreement, if an Optionee has a Termination of Service other than by the Company or its Subsidiaries for Cause and other than by reason of death, or Disability, then no exercise of such Optionee’s Options may occur after the expiration of the three-month period to follow such termination, or if earlier, the expiration of the term of such Options as provided under Section 5.3(a). If an Optionee should die during the three-month period after a Termination of Service for any reason other than Disability or Cause, such Optionee’s Options (if and to the extent otherwise exercisable by such Optionee at the time of death) may be exercised until the earlier of  (i) the date which is three months from the date of death of such Optionee, or (ii) the date on which the term of such Options expire in accordance with Section 5.3(a).
(b)
Subject to provisions of an applicable Award Agreement, in the event an Optionee has a Termination of Service on account of death or Disability, such Optionee’s Options (whether or not otherwise exercisable) may be exercised until the earlier of  (i) one year from the date of the Termination of Service of such Optionee, or (ii) the date on which the term of such Options expire in accordance with Section 5.3(a). If an Optionee should die during the one-year period following a Termination of Service due to Disability, but while such Optionee’s Options are still in effect, such Options (if and to the extent otherwise exercisable by such Optionee at the time of death) may be exercised until the earlier of  (i) the date which is one year from the date of death of such Optionee, or (ii) the date on which the term of such Options expire in accordance with Section 5.3(a).
(c)
Notwithstanding any other provision hereof, unless otherwise provided in an applicable Award Agreement, if an Optionee has a Termination of Service by the Company for Cause, then such Optionee’s Options, to the extent then unexercised, shall thereupon cease to be exercisable and shall be forfeited forthwith.
5.5
Exercise of Options.
(a)
Subject to vesting, restrictions on exercisability and other restrictions provided for hereunder or otherwise imposed in accordance herewith, an Option may be exercised by, and payment in full of the aggregate Option Price with respect to such Option may be made by, an Optionee only by written notice (in the form prescribed by the Committee) to the Company specifying the number of Shares to be purchased.
(b)
Without limiting the scope of the Committee’s discretion hereunder, the Committee may impose such other restrictions on the exercise of Incentive Stock Options (whether or not in the nature of the foregoing restrictions) as it may deem necessary or appropriate.
(c)
Notwithstanding any other provision of this Section 5, in the event of a Change in Control, each Option shall become immediately exercisable for the full amount of Shares subject thereto and shall be exercisable until expiration of the term of such Option.
5.6
Payment.
(a)
The aggregate Option Price with respect to an Option shall be paid in full upon the exercise of such Option. Payment by an Optionee must be made by one of the following methods:
B-8 | iStar Inc. 2021 Proxy Statement
[MISSING IMAGE: lg_istar-bw.jpg]

TABLE OF CONTENTS
(i)
cash or a certified or bank cashier’s check;
(ii)
shares of previously owned Common Stock, which have been previously owned for more than six months or which were purchased on the open market and for which the Optionee has good title, free and clear of all liens and encumbrances, having an aggregate Fair Market Value on the date of exercise equal to the aggregate Option Price;
(iii)
cash by a broker-dealer acceptable to the Company to whom the Optionee has submitted an irrevocable notice of exercise;
(iv)
a combination of  (i) and (ii);
(v)
subject to Section 12(e), the proceeds of a Company loan program or third-party sale program or a notice acceptable to the Committee given as consideration under such a program, in each case if permitted by the Committee in its discretion, if such a program has been established and the Optionee is eligible to participate therein;
(vi)
if approved by the Committee in its discretion, through the written election of the Optionee to have Shares withheld by the Company from the Shares otherwise to be received, with such withheld Shares having an aggregate Fair Market Value on the date of exercise equal to the aggregate Option Price; or
(vii)
by any combination of such methods of payment or any other method acceptable to the Committee in its discretion.
(b)
Except in the case of Options exercised by certified or bank cashier’s check, the Committee may impose limitations and prohibitions on the exercise of Options as it deems appropriate, including, without limitation, any limitation or prohibition designed to avoid accounting consequences which may result from the use of Common Stock as payment upon exercise of an Option.
(c)
No Option may be exercised with respect to any fractional Share. Any fractional Shares resulting from an Optionee’s exercise that is accepted by the Company shall be paid in cash.
5.7
Stock Appreciation Rights.
The Committee, in its discretion, may also permit (taking into account, without limitation, the application of Section 409A of the Code, as the Committee may deem appropriate) an Optionee to elect to exercise an Option by receiving a combination of Shares and cash, or, in the discretion of the Committee, either solely Shares or solely cash, with an aggregate Fair Market Value (or, to the extent of payment in cash, in an amount) equal to the excess of the Fair Market Value of the Shares with respect to which such Option is being exercised over the aggregate Option Price of such Option, as determined as of the day such Option is exercised.
5.8
Exercise by Successors.
An Option may be exercised by, and payment in full of the aggregate Option Price of such Option may be made by, Successors of the Optionee only by written notice (in the form prescribed by the Committee) to the Company specifying the number of Shares to be purchased. Such notice shall state that the aggregate Option Price will be paid in full, or that, subject to the consent of the Company or the Committee, such Option will be exercised through such other method as otherwise provided hereunder.
5.9
Nontransferability of Option.
Each Option granted under the Plan shall be nontransferable by the applicable Optionee except by will or the laws of descent and distribution of the state wherein such Optionee is domiciled at the time of his or her death.
Exhibit B—Proposed Amendments to iStar Inc. 2009 Long-Term Incentive
Plan  
iStar Inc. 2021 Proxy Statement | B-9

TABLE OF CONTENTS
[MISSING IMAGE: lg_istargrey.jpg]
 
5.10
Certain Incentive Stock Option Provisions.
(a)
The aggregate Fair Market Value, determined as of the date an Option is granted, of the Common Stock for which any Optionee may be awarded Incentive Stock Options which are first exercisable by such Optionee during any calendar year under the Plan (or any other stock option plan required to be taken into account under Section 422(d) of the Code) shall not exceed $100,000.
(b)
If Shares acquired upon exercise of an Incentive Stock Option are disposed of in a disqualifying disposition within the meaning of Section 422 of the Code by an Optionee prior to the expiration of either two years from the date of grant of such Option or one year from the transfer of Shares to the Optionee pursuant to the exercise of such Option, or in any other disqualifying disposition within the meaning of Section 422 of the Code, such Optionee shall notify the Company in writing as soon as practicable thereafter of the date and terms of such disposition and, if the Company (or any Affiliate thereof) thereupon has a tax-withholding obligation, shall pay to the Company (or such Affiliate) an amount equal to any withholding tax the Company (or Affiliate) is required to pay as a result of the disqualifying disposition.
(c)
The Option Price with respect to an Incentive Stock Option shall not be less than 100%, or 110% in the case of an individual described in Section 422(b)(6) of the Code (relating to certain 10% owners), of the Fair Market Value of a Share on the day such Incentive Stock Option is granted. In the case of an Incentive Stock Option granted to an individual described in Section 422(b)(6) of the Code, the term of such Incentive Stock Option shall be no more than five years from the date of grant.
(d)
Subject to provisions of an applicable Award Agreement, if an Optionee has a Termination of Service other than by the Company or its Subsidiaries for Cause and other than by reason of death or Permanent and Total Disability, then no exercise of an Incentive Stock Option held by such Optionee may occur after the expiration of the three-month period to follow such termination, or if earlier, the expiration of the term of such Incentive Stock Option as provided under Section 5.3(a); provided that, if such Optionee should die during the one-year period following a Termination of Service due to Permanent and Total Disability or if such Optionee should die during the three-month period following a Termination of Service for any reason other than Permanent and Total Disability or Cause, but while such Incentive Stock Option is still in effect, such Incentive Stock Option (if and to the extent otherwise exercisable by such Optionee at the time of death) may be exercised until the earlier of  (i) the date which is three months from the date of death of such Optionee, or (ii) the date on which the term of such Incentive Stock Option expires in accordance with Section 5.3(a).
(e)
Subject to provisions of an applicable Award Agreement, in the event an Optionee has a Termination of Service on account of death or Permanent and Total Disability, an Incentive Stock Option held by such Optionee (whether or not otherwise exercisable) may be exercised until the earlier of  (i) one year from the date of the Termination of Service of such Optionee, or (ii) the date on which the term of such Incentive Stock Option expires in accordance with Section 5.3(a).
(f)
Notwithstanding any other provision hereof, unless otherwise provided in the Award Agreement, if an Optionee has a Termination of Service by the Company for Cause, then any Incentive Stock Options held by such Optionee, to the extent then unexercised, shall thereupon cease to be exercisable and shall be forfeited forthwith.
6.
PROVISIONS APPLICABLE TO RESTRICTED STOCK.
6.1
Grant of Restricted Stock.
(a)
In connection with the grant of Restricted Stock, whether or not any Performance Goals (as provided for under Section 10) apply thereto, the Committee shall establish one or more vesting periods with respect to the shares of Restricted Stock granted, the length of which shall be determined in the discretion of the Committee. A grant of Restricted Stock shall vest in accordance with the
B-10 | iStar Inc. 2021 Proxy
Statement
[MISSING IMAGE: lg_istar-bw.jpg]

TABLE OF CONTENTS
terms and conditions set forth in an applicable Award Agreement and be subject to the provisions of this Section 6 and the other provisions of the Plan.
(b)
Subject to the other terms of the Plan, the Committee may, in its discretion as reflected by the terms of an applicable Award Agreement: (i) authorize the granting of Restricted Stock to Eligible Persons; (ii) provide a specified purchase price for the Restricted Stock (whether or not the payment of a purchase price is required by any state law applicable to the Company); (iii) determine the restrictions applicable to Restricted Stock and (iv) determine or impose other conditions, including any applicable Performance Goals, to any grant of Restricted Stock under the Plan as it may deem appropriate.
6.2
Certificates.
(a)
Upon the grant of Restricted Stock, the Committee shall cause a stock certificate registered in the name of the Participant to be issued as discussed in detail below or shall cause Share(s) to be registered in the name of the Participant and held in book-entry form subject to the Company’s directions. Notwithstanding the foregoing, in the discretion of the Committee, each Grantee of Restricted Stock awarded under the Plan may be issued a stock certificate in respect of Shares subject to such Grantee’s Restricted Stock. Each such certificate shall be registered in the name of the Grantee. Such stock certificates for Shares of Restricted Stock issued hereunder may include any legend which the Committee deems appropriate to reflect any restrictions on transfer hereunder or under the Award Agreement, or as the Committee may otherwise deem appropriate, and, without limiting the generality of the foregoing, shall bear a legend referring to the terms, conditions, and restrictions applicable to such Award, substantially in the following form:
THE TRANSFERABILITY OF THIS CERTIFICATE AND THE SHARES OF STOCK REPRESENTED HEREBY ARE SUBJECT TO THE TERMS AND CONDITIONS (INCLUDING FORFEITURE) OF THE iSTAR INC. 2009 LONG-TERM INCENTIVE PLAN AND AN AWARD AGREEMENT ENTERED INTO BETWEEN THE REGISTERED OWNER AND iSTAR INC. COPIES OF SUCH PLAN AND AWARD AGREEMENT ARE ON FILE IN THE OFFICES OF iSTAR INC. AT 1114 AVENUE OF THE AMERICAS, 27TH FLOOR, NEW YORK, NEW YORK 10036.
(b)
The Committee may require that any stock certificates evidencing such Shares be held in custody by the Company until the restrictions hereunder shall have lapsed, and that, as a condition of any Award of Restricted Stock, a Grantee have delivered to the Company a stock power, endorsed in blank, relating to the stock covered by such Award. If and when such restrictions so lapse, the stock certificates shall be delivered by the Company to the Grantee or his or her designee as provided in Section 6.3.
6.3
Restrictions and Conditions.
Unless otherwise provided by the Committee, each Award of Restricted Stock shall be subject to the following restrictions and conditions:
(i)
Subject to the provisions of the Plan and the applicable Award Agreement, during a period commencing with the date of such Award and ending on the date the period of forfeiture with respect to such Restricted Stock lapses, the applicable Grantee shall not be permitted voluntarily or involuntarily to sell, transfer, pledge, anticipate, alienate, encumber or assign Shares of Restricted Stock awarded under the Plan (or have such Shares attached or garnished). Subject to clauses (iii) and (iv) below, the period of forfeiture with respect to an Award of Restricted Stock granted hereunder shall lapse as provided in an applicable Award Agreement. Notwithstanding the foregoing, unless otherwise expressly provided by the Committee, the period of forfeiture with respect to such Restricted Stock shall only lapse as to whole Shares.
(ii)
Except as provided in the foregoing clause (i), below in this clause (ii) or in Section 14, or as otherwise provided in an applicable Award Agreement, a Grantee shall have, in respect of the Shares
Exhibit B—Proposed Amendments to iStar Inc. 2009 Long-Term Incentive
Plan  
iStar Inc. 2021 Proxy Statement | B-11

TABLE OF CONTENTS
[MISSING IMAGE: lg_istargrey.jpg]
 
subject to such Grantee’s Award of Restricted Stock, all of the rights of a shareholder of the Company, including the right to vote such Shares and the right to receive any cash dividends; provided, however that cash dividends on such Shares shall, unless otherwise provided by the Committee, be held by the Company (unsegregated as a part of its general assets) until the period of forfeiture with respect to such Grantee’s Award of Restricted Stock lapses, and paid over to the Grantee (without interest) as soon as practicable after such period lapses (if not forfeited) (and such cash dividends shall be forfeited if the underlying Shares subject to such Award of Restricted Stock are forfeited). Certificates for Shares (not subject to restrictions) shall be delivered to a Grantee or his or her designee promptly after, and only after, the period of forfeiture with respect to such Grantee’s Award of Restricted Stock shall lapse without forfeiture.
(iii)
Except as otherwise provided in an applicable Award Agreement, and subject to clause (iv) below, if a Grantee has a Termination of Service for any reason other than death or Disability during the applicable period of forfeiture with respect to such Grantee’s Award of Restricted Stock, then (A) the portion of such Award of Restricted Stock still subject to restriction shall thereupon, and with no further action, be forfeited by the Grantee, and (B) the Company shall pay to the Grantee as soon as practicable (and in no event more than 30 days) after such termination an amount equal to the lesser of  (x) the amount paid by the Grantee for such forfeited Restricted Stock as contemplated by Section 6.1, and (y) the Fair Market Value on the date of termination of the forfeited Restricted Stock.
(iv)
Subject to the provisions of an applicable Award Agreement, in the event a Grantee has a Termination of Service on account of death or Disability, or in the event of a Change in Control (regardless of whether a termination follows thereafter), during the applicable period of forfeiture with respect to a Grantee’s Award of Restricted Stock, then restrictions on such Grantee’s Award of Restricted Stock under the Plan will immediately lapse.
7.
PROVISIONS APPLICABLE TO PHANTOM SHARES.
7.1
Grant of Phantom Shares.
Subject to the other terms of the Plan, the Committee shall, in its discretion and as reflected by the terms of the applicable Award Agreement: (i) authorize the granting of Phantom Shares to Eligible Persons and (ii) impose such conditions to the grant of Phantom Shares under the Plan as it may deem appropriate.
7.2
Term.
The Committee may provide in an Award Agreement that any particular Phantom Share shall expire at the end of a specified term.
7.3
Vesting.
(a)
Subject to the provisions of the applicable Award Agreements and Section 7.3(b), Phantom Shares shall vest as provided in the applicable Award Agreement.
(b)
Unless otherwise determined by the Committee at the time of grant, Phantom Shares granted pursuant to the Plan shall be subject to the following vesting conditions:
(i)
Subject to the provisions of an applicable Award Agreement and clause (ii) below, if a Grantee has a Termination of Service by the Company and its Subsidiaries for Cause, all of such Grantee’s Phantom Shares (whether or not such Phantom Shares are otherwise vested) shall thereupon, and with no further action, be forfeited and cease to be outstanding, and no payments shall be made with respect to such forfeited Phantom Shares.
(ii)
Subject to the provisions of an applicable Award Agreement, in the event a Grantee has a
B-12 | iStar Inc. 2021 Proxy
Statement
[MISSING IMAGE: lg_istar-bw.jpg]

TABLE OF CONTENTS
Termination of Service on account of death or Disability, or a Grantee has a Termination of Service by the Company and its Subsidiaries for any reason other than Cause, or in the event of a Change in Control (regardless of whether a termination follows thereafter), all outstanding Phantom Shares granted to such Grantee shall become immediately vested.
(iii)
Other than as provided in this Section 7.3, in the event that a Grantee has a Termination of Service, any and all of such Grantee’s Phantom Shares which have not vested prior to or as of such termination shall thereupon, and with no further action, be forfeited and cease to be outstanding and such Grantee’s vested Phantom Shares shall be settled as set forth in Section 7.4.
7.4
Settlement of Phantom Shares.
(a)
Each vested and outstanding Phantom Share held by a Grantee shall be settled by the Company by transferring, in exchange for each such vested and outstanding Phantom Share, one Share to such Grantee; provided that, the Committee at the time of grant (or, in the appropriate case, as determined by the Committee, thereafter) may provide that a Phantom Share may be settled (i) in cash at the applicable Phantom Share Value, (ii) in cash or by transfer of Shares as elected by the Grantee in accordance with procedures established by the Committee, or (iii) in cash or by transfer of Shares as elected by the Company.
(b)
Payment (whether of cash or Shares) in respect of Phantom Shares shall be made in a single sum; provided that, with respect to Phantom Shares of a Grantee which have a common Settlement Date, the Committee may permit the Grantee to elect in accordance with procedures established by the Committee (taking into account, without limitation, Section 409A of the Code, as the Committee may deem appropriate) to receive installment payments over a period not to exceed 10 years. If payment with respect to a Grantee’s Phantom Shares is paid out in installment payments, such installment payments shall be treated as a series of separate payments for purposes of Section 409A of the Code.
(c)
(i)
Unless otherwise provided in an applicable Award Agreement, the “Settlement Date” with respect to a Phantom Share is the first day of the month that follows the month during which the Phantom Share vests; provided that a Grantee may elect, in accordance with procedures to be established by the Committee, that such Settlement Date will be deferred as elected by such Grantee to the first day of the month that follows the month during which such Grantee’s Termination of Service occurs, or such other time as may be permitted by the Committee. Notwithstanding the prior sentence, all initial elections to defer the Settlement Date shall be made in accordance with the requirements of Section 409A of the Code. In addition, unless otherwise determined by the Committee, any subsequent elections under this Section 7.4(c)(i) must, except as may otherwise be permitted under the rules applicable under Section 409A of the Code, (A) not be effective for at least one year after they are made, or, in the case of payments to commence at a specific time, be made at least one year before the first scheduled payment and (B) defer the commencement of distributions (and each affected distribution) for at least five years.
(ii)
Notwithstanding Section 7.4(c)(i), the Committee may provide that distributions of Phantom Shares can be elected at any time in those cases in which the Phantom Share Value is determined by reference to Fair Market Value to the extent in excess of a base value, rather than by reference to unreduced Fair Market Value.
(iii)
Notwithstanding the foregoing, the Settlement Date with respect to a Phantom Share, if not earlier pursuant to this Section 7.4(c), shall be the date of the death of the Grantee who holds such Phantom Share.
(d)
Notwithstanding the other provisions of this Section 7, in the event of a Change in Control, the
Exhibit B—Proposed Amendments to iStar Inc. 2009 Long-Term Incentive
Plan  
iStar Inc. 2021 Proxy Statement | B-13

TABLE OF CONTENTS
[MISSING IMAGE: lg_istargrey.jpg]
 
Settlement Date shall be the date of such Change in Control and all amounts due with respect to Phantom Shares to a Grantee hereunder shall be paid as soon as practicable (but in no event more than 30 days) after such Change in Control, unless such Grantee elects otherwise in accordance with procedures established by the Committee.
(e)
Notwithstanding any other provision of the Plan, a Grantee may receive any amounts to be paid in installments as provided in Section 7.4(b) or deferred by such Grantee as provided in Section 7.4(c) in the event of an “Unforeseeable Emergency.” For these purposes, an “Unforeseeable Emergency,” as determined by the Committee in its sole discretion, is (i) a severe financial hardship to a Grantee resulting from a sudden and unexpected illness or accident of such Grantee or such Grantee’s “dependent,” as defined in Section 152(a) of the Code, (ii) the loss of a Grantee’s property due to casualty, or (iii) such other similar extraordinary and unforeseeable circumstances arising as a result of events beyond the control of a Grantee. The circumstances that will constitute an Unforeseeable Emergency will depend upon the facts of each case, but, in any case, payment may not be made to the extent that such hardship is or may be relieved:
(i)
through reimbursement or compensation by insurance or otherwise,
(ii)
by liquidation of a Grantee’s assets, to the extent the liquidation of such assets would not itself cause severe financial hardship, or
(iii)
by future cessation of the making of additional deferrals under Section 7.4 (b) and (c).
Without limitation, the need to send a Grantee’s child to college or the desire to purchase a home shall not constitute an Unforeseeable Emergency. Distributions of amounts because of an Unforeseeable Emergency shall be permitted to the extent reasonably needed to satisfy the emergency need.
7.5
Other Phantom Share Provisions.
(a)
Rights to payments with respect to Phantom Shares granted under the Plan shall not be subject in any manner to anticipation, alienation, sale, transfer, assignment, pledge, encumbrance, attachment, garnishment, levy, execution, or other legal or equitable process, either voluntary or involuntary; and any attempt to anticipate, alienate, sell, transfer, assign, pledge, encumber, attach or garnish, or levy or execute on any right to payments or other benefits payable hereunder, shall be void.
(b)
A Grantee may designate in writing, on forms to be prescribed by the Committee, a beneficiary or beneficiaries to receive any payments payable after his or her death and may amend or revoke such designation at any time. If no beneficiary designation is in effect at the time of a Grantee’s death, payments hereunder shall be made to such Grantee’s estate. If a Grantee with a vested Phantom Share dies, such Grantee’s Phantom Share shall be settled and the Phantom Share Value in respect of such Phantom Shares paid, and any payments deferred pursuant to an election under Section 7.4(c) shall be accelerated and paid to such Grantee’s beneficiary or estate, as applicable as soon as practicable (but no later than 60 days) after the date of such Grantee’s death.
(c)
The Committee may establish a program (taking into account, without limitation, the application of Section 409A of the Code, as the Committee may deem appropriate) under which distributions with respect to Phantom Shares may be deferred for periods in addition to those otherwise contemplated by the foregoing provisions of this Section 7. Such program may include, without limitation, provisions for the crediting of earnings and losses on unpaid amounts, and, if permitted by the Committee, provisions under which Participants may select from among hypothetical investment alternatives for such deferred amounts in accordance with procedures established by the Committee.
B-14 | iStar Inc. 2021 Proxy
Statement
[MISSING IMAGE: lg_istar-bw.jpg]

TABLE OF CONTENTS
(d)
Notwithstanding any other provision of this Section 7, any fractional vested Phantom Share will be paid out in cash at the applicable Phantom Share Value as of the Settlement Date.
(e)
No Phantom Share shall be construed to give any Grantee any rights with respect to Shares or any ownership interest in the Company. Except as may be provided in accordance with Section 8, no provision of the Plan shall be interpreted to confer upon any Grantee any voting, dividend or derivative or other similar rights with respect to any Phantom Share.
7.6
Claims Procedures.
(a)
To the extent that the Plan is determined by the Committee to be subject to the Employee Retirement Income Security Act of 1974, as amended, the Grantee, or his or her beneficiary hereunder or authorized representative, may file a claim for payments with respect to Phantom Shares under the Plan by written communication to the Committee or its designee. A claim is not considered filed until such communication is actually received. Within 90 days (or, if special circumstances require an extension of time for processing, 180 days, in which case notice of such special circumstances should be provided within the initial 90-day period) after the filing of the claim, the Committee will either:
(i)
approve the claim and take appropriate steps for satisfaction of the claim; or
(ii)
if the claim is wholly or partially denied, advise the claimant of such denial by furnishing to him or her a written notice of such denial setting forth (A) the specific reason or reasons for the denial; (B) specific reference to pertinent provisions of the Plan on which the denial is based and, if the denial is based in whole or in part on any rule of construction or interpretation adopted by the Committee, a reference to such rule, a copy of which shall be provided to the claimant; (C) a description of any additional material or information necessary for the claimant to perfect the claim and an explanation of the reasons why such material or information is necessary; and (D) a reference to this Section 7.6 as the provision setting forth the claims procedure under the Plan.
(b)
The claimant may request a review of any denial of his or her claim by written application to the Committee within 60 days after receipt of the notice of denial of such claim. Within 60 days (or, if special circumstances require an extension of time for processing, 120 days, in which case notice of such special circumstances should be provided within the initial 60-day period) after receipt of written application for review, the Committee will provide the claimant with its decision in writing, including, if the claimant’s claim is not approved, specific reasons for the decision and specific references to the Plan provisions on which the decision is based.
8.
PROVISIONS APPLICABLE TO DIVIDEND EQUIVALENT RIGHTS.
8.1
Grant of Dividend Equivalent Rights.
Subject to the other terms of the Plan, the Committee shall, in its discretion as reflected by the terms of the Award Agreements, authorize the granting of Dividend Equivalent Rights to Eligible Persons based on the regular cash dividends declared on Common Stock, to be credited as of the dividend payment dates, during the period between the date an Award is granted, and the date such Award is exercised, vests or expires, as determined by the Committee. Such Dividend Equivalent Rights shall be converted to cash or additional Shares by such formula and at such time and subject to such limitation as may be determined by the Committee. With respect to Dividend Equivalent Rights granted with respect to Options intended to be qualified performance-based compensation for purposes of Section 162(m) of the Code, such Dividend Equivalent Rights shall be payable regardless of whether such Option is exercised. If a Dividend Equivalent Right is granted in respect of another Award hereunder, then, unless otherwise stated in the Award Agreement, in no event shall the Dividend Equivalent Right be in effect for a period beyond the time during which the applicable portion of the underlying Award is in effect.
Exhibit B—Proposed Amendments to iStar Inc. 2009 Long-Term Incentive
Plan  
iStar Inc. 2021 Proxy Statement | B-15

TABLE OF CONTENTS
[MISSING IMAGE: lg_istargrey.jpg]
 
8.2
Certain Terms.
(a)
The term of a Dividend Equivalent Right shall be set by the Committee in its discretion.
(b)
Unless otherwise determined by the Committee, except as contemplated by Section 8.4, a Dividend Equivalent Right is exercisable or payable only while the Participant is an Eligible Person.
(c)
Payment of the amount determined in accordance with Section 8.1 shall be in cash, in Common Stock or a combination of the both, as determined by the Committee.
(d)
The Committee may impose such employment-related conditions on the grant of a Dividend Equivalent Right as it deems appropriate in its discretion.
8.3
Other Types of Dividend Equivalent Rights.
The Committee may establish a program under which Dividend Equivalent Rights of a type whether or not described in the foregoing provisions of this Section 8 may be granted to Participants. For example, and without limitation, the Committee may grant a Dividend Equivalent Right in respect of each Share subject to an Option or with respect to a Phantom Share, which right would consist of the right (subject to Section 8.4) to receive a cash payment in an amount equal to the dividend distributions paid on a Share from time to time. Notwithstanding anything in the Plan to the contrary, no dividend equivalents or Dividend Equivalent Rights shall be payable in respect of outstanding Options or unvested awards (provided that dividend equivalents may be accumulated in respect of unvested Awards and paid within 30 days after such Awards are earned and become payable or distributable).
8.4
Deferral.
The Committee may establish a program (taking into account, without limitation, the possible application of Section 409A of the Code, as the Committee may deem appropriate) under which Participants (i) will have Phantom Shares credited, subject to the terms of Sections 7.4 and 7.5 as though directly applicable with respect thereto, upon the granting of Dividend Equivalent Rights, or (ii) will have payments with respect to Dividend Equivalent Rights deferred. In the case of the foregoing clause (ii), such program may include, without limitation, provisions for the crediting of earnings and losses on unpaid amounts, and, if permitted by the Committee, provisions under which Participants may select from among hypothetical investment alternatives for such deferred amounts in accordance with procedures established by the Committee.
9.
OTHER AWARDS.
The Committee shall have the right to grant other Awards based upon the Common Stock having such terms and conditions as the Committee may determine, including, without limitation, the grant of Shares based upon certain conditions, the grant of securities convertible into Common Stock and the grant of stock appreciation rights. Other Awards shall also include cash payments (including the cash payment of Dividend Equivalent Rights) under the Plan having such terms and conditions as the Committee may determine. Such cash payments may be based on one or more criteria determined by the Committee which are unrelated to the value of Shares and which may be granted in tandem with, or independent of, other Awards under the Plan.
10.
PERFORMANCE GOALS.
The Committee, in its discretion, may, in the case of Awards (“Performance-Based Awards”), (i) establish one or more performance goals (“Performance Goals”) as a precondition to the issuance or vesting of Awards, and (ii) provide, in connection with the establishment of the Performance Goals, for predetermined Awards to those Participants (who continue to meet all applicable eligibility requirements) with respect to whom the applicable Performance Goals are satisfied. The Performance Goals shall be based upon the criteria set forth in Exhibit A hereto which is hereby incorporated herein by reference as though set forth in full.
B-16 | iStar Inc. 2021 Proxy
Statement
[MISSING IMAGE: lg_istar-bw.jpg]

TABLE OF CONTENTS
11.
TAX WITHHOLDING.
11.1
In General.
The Company shall be entitled to withhold from any payments or deemed payments any amount of tax withholding determined by the Committee to be required by law. Without limiting the generality of the foregoing, the Committee may, in its discretion, require the Participant to pay to the Company at such time as the Committee determines the amount that the Committee deems necessary to satisfy the Company’s obligation to withhold federal, state or local income or other taxes incurred by reason of  (i) the exercise of any Option, (ii) the lapsing of any restrictions applicable to any Restricted Stock, (iii) the receipt of a distribution in respect of Phantom Shares or Dividend Equivalent Rights or (iv) any other applicable income-recognition event (for example, an election under Section 83(b) of the Code).
11.2
Share Withholding.
(a)
Upon exercise of an Option, an Optionee may, if approved by the Committee in its discretion, make a written election to have Shares then issued withheld by the Company from the Shares otherwise to be received, or to deliver previously owned whole Shares (which such holder has held for at least six months prior to the delivery of such Shares or which such holder purchased on the open market and for which such holder has good title, free and clear of all liens and encumbrances), in order to satisfy the liability for such withholding taxes. In the event that an Optionee makes, and the Committee permits, such an election, the number of Shares so withheld or delivered shall have an aggregate Fair Market Value on the date of exercise sufficient to satisfy the applicable withholding taxes. Where the exercise of an Option does not give rise to an obligation by the Company to withhold federal, state or local income or other taxes on the date of exercise, but may give rise to such an obligation in the future, the Committee may, in its discretion, make such arrangements and impose such requirements as it deems necessary or appropriate.
(b)
Upon lapsing of restrictions on Restricted Stock (or other income-recognition event), a Grantee may, if approved by the Committee in its discretion, make a written election to have Shares withheld by the Company from the Shares otherwise to be released from restriction, or to deliver previously owned whole Shares (not subject to restrictions hereunder) (which such holder has held for at least six months prior to the delivery of such Shares or which such holder purchased on the open market and for which such holder has good title, free and clear of all liens and encumbrances), in order to satisfy the liability for such withholding taxes. In the event that a Grantee makes, and the Committee permits, such an election, the number of Shares so withheld or delivered shall have an aggregate Fair Market Value on the date of exercise sufficient to satisfy the applicable withholding taxes.
(c)
Upon the making of a distribution in respect of Phantom Shares or Dividend Equivalent Rights, a Grantee may, if approved by the Committee in its discretion, make a written election to have amounts (which may include Shares) withheld by the Company from the distribution otherwise to be made, or to deliver previously owned whole Shares (not subject to restrictions hereunder) (which such holder has held for at least six months prior to the delivery of such Shares or which such holder purchased on the open market and for which such holder has good title, free and clear of all liens and encumbrances), in order to satisfy the liability for such withholding taxes. In the event that a Grantee makes, and the Committee permits, such an election, any Shares so withheld or delivered shall have an aggregate Fair Market Value on the date of exercise sufficient to satisfy the applicable withholding taxes.
11.3
Withholding Required.
Notwithstanding anything contained in the Plan or the Award Agreement to the contrary, a Participant’s satisfaction of any tax-withholding requirements imposed by the Committee shall be a condition precedent to the Company’s obligation as may otherwise be provided hereunder to provide Shares to
Exhibit B—Proposed Amendments to iStar Inc. 2009 Long-Term Incentive
Plan  
iStar Inc. 2021 Proxy Statement | B-17

TABLE OF CONTENTS
[MISSING IMAGE: lg_istargrey.jpg]
 
such Participant and to the release of any restrictions as may otherwise be provided hereunder, as applicable; and all applicable Options, Restricted Stock, Phantom Shares and Dividend Equivalent Rights shall be forfeited upon the failure of a Participant to satisfy such requirements with respect to, as applicable, (i) the exercise of any Options, (ii) the lapsing of restrictions on the Restricted Stock (or other income-recognition event) or (iii) distributions in respect of any Phantom Shares or Dividend Equivalent Rights.
An Award Agreement may provide that a Participant may satisfy any such obligation by any of the following means: (A) a cash payment to the Company, (B) delivery to the Company of previously owned whole Shares (which such Participant has held for at least six months prior to the delivery of such Shares or which such Participant purchased on the open market and for which such Participant has good title, free and clear of all liens and encumbrances) having an aggregate Fair Market Value, determined as of the date the obligation to withhold or pay taxes arises in connection with an Award (the “Tax Date”), equal to the amount necessary to satisfy any such obligation, (C) in the case of the exercise of an Option, a cash payment by a broker-dealer acceptable to the Company to whom a Participant has submitted an irrevocable notice of exercise, or (D) any combination of  (A) and (B), in each case to the extent set forth in an applicable Award Agreement; provided however, that the Committee shall have the sole discretion to disapprove of an election pursuant to any of the foregoing clauses (B) through (D). An Award Agreement may provide for Shares to be delivered having a Fair Market Value in excess of the minimum amount required to be withheld, but not in excess of the amount determined by applying a Participant’s maximum marginal tax rate. Any fraction of a Share which would be required to satisfy such an obligation shall be disregarded and the remaining amount due shall be paid in cash by such Participant.
12.
REGULATIONS AND APPROVALS.
(a)
The obligation of the Company to sell Shares with respect to an Award granted under the Plan shall be subject to all applicable laws, rules and regulations, including all applicable federal and state securities laws, and the obtaining of all such approvals by governmental agencies as may be deemed necessary or appropriate by the Committee.
(b)
The Committee may make such changes to the Plan as may be necessary or appropriate to comply with the rules and regulations of any government authority or to obtain tax benefits applicable to an Award.
(c)
Each grant of Options, Restricted Stock, Phantom Shares (or issuance of Shares in respect thereof) or Dividend Equivalent Rights (or issuance of Shares in respect thereof), or other Award under Section 9 (or issuance of Shares in respect thereof), is subject to the requirement that, if at any time the Committee determines, in its discretion, that the listing, registration or qualification of Shares issuable pursuant to the Plan is required by any securities exchange or under any state or federal law, or the consent or approval of any governmental regulatory body is necessary or desirable as a condition of, or in connection with, the issuance of Options, Shares of Restricted Stock, Phantom Shares, Dividend Equivalent Rights, other Awards or other Shares, no payment shall be made, or Phantom Shares or Shares issued or grant of Restricted Stock or other Award made, in whole or in part, unless listing, registration, qualification, consent or approval has been effected or obtained free of any conditions in a manner acceptable to the Committee.
(d)
In the event that the disposition of stock acquired pursuant to the Plan is not covered by a then current registration statement under the Securities Act, and is not otherwise exempt from such registration, such Shares shall be restricted against transfer to the extent required under the Securities Act, and the Committee may require any individual receiving Shares pursuant to the Plan, as a condition precedent to receipt of such Shares, to represent to the Company in writing that such Shares are acquired for investment only and not with a view to distribution and that such Shares will be disposed of only if registered for sale under the Securities Act or if there is an available exemption for such disposition.
(e)
Notwithstanding any other provision of the Plan, the Company shall not be required to take or permit
B-18 | iStar Inc. 2021 Proxy
Statement
[MISSING IMAGE: lg_istar-bw.jpg]

TABLE OF CONTENTS
any action under the Plan or any Award Agreement which, in the good-faith determination of the Company, would result in a material risk of a violation by the Company of Section 13(k) of the Exchange Act.
13.
INTERPRETATION AND AMENDMENTS; OTHER RULES.
The Committee may make such rules and regulations and establish such procedures for the administration of the Plan as it deems appropriate. Without limiting the generality of the foregoing, the Committee may (i) determine the extent, if any, to which Options, Phantom Shares or Shares (whether or not Shares of Restricted Stock), Dividend Equivalent Rights, or other Awards shall be forfeited (whether or not such forfeiture is expressly contemplated hereunder); (ii) interpret the Plan and any Award Agreement entered into hereunder, with such interpretations to be conclusive and binding on all persons and otherwise accorded the maximum deference permitted by law, provided that the Committee’s interpretation shall not be entitled to deference on and after a Change in Control except to the extent that such interpretations are made exclusively by members of the Committee who are individuals who served as Committee members before the Change in Control; and (iii) take any other actions and make any other determinations or decisions that it deems necessary or appropriate in connection with the Plan or the administration or interpretation thereof. In the event of any dispute or disagreement as to the interpretation of the Plan or of any rule, regulation or procedure, or as to any question, right or obligation arising from or related to the Plan, the decision of the Committee, except as provided in clause (ii) of the foregoing sentence, shall be final and binding upon all persons. Unless otherwise expressly provided hereunder, the Committee, with respect to any grant of an Award, may exercise its discretion hereunder at the time of such grant of such Award or thereafter. Notwithstanding any provision in the Plan to the contrary, no Option or stock appreciation right (granted pursuant to Section 5.7) issued under the Plan may be amended to reduce the Option Price or the exercise price of such stock appreciation right below the Option Price or exercise price as of the date the Option or stock appreciation right was granted. In addition, no Option or stock appreciation right may be granted in exchange for, or in connection with, the cancellation or surrender of an Option, stock appreciation right or other Award having a lower exercise price. The Board may amend the Plan as it shall deem advisable, except that no amendment may adversely affect a Participant with respect to an Award previously granted unless such amendments are required in order to comply with applicable laws; provided, however, that the Plan may not be amended without shareholder approval in any case in which amendment in the absence of shareholder approval would cause the Plan to fail to comply with any applicable legal requirement or applicable exchange or similar rule.
14.
CHANGES IN CAPITAL STRUCTURE.
(a)
If  (i) the Company or its Subsidiaries shall at any time be involved in a merger, consolidation, dissolution, liquidation, reorganization, exchange of shares, sale of all or substantially all of the assets or stock of the Company or its Subsidiaries or a transaction similar thereto, (ii) any stock dividend, stock split, reverse stock split, stock combination, reclassification, recapitalization or other similar change in the capital structure of the Company or its Subsidiaries, or any distribution to holders of Shares other than cash dividends, shall occur or (iii) any other event shall occur which in the judgment of the Committee necessitates action by way of adjusting the terms of the outstanding Awards, then:
(x)
the maximum aggregate number and kind of Shares which may be made subject to Options and Dividend Equivalent Rights under the Plan, the maximum aggregate number and kind of Shares of Restricted Stock that may be granted under the Plan, the maximum aggregate number of Phantom Shares and other Awards which may be granted under the Plan may be appropriately adjusted by the Committee in its discretion; and
(y)
the Committee shall take any such action as in its discretion shall be necessary to maintain each Participant’s rights hereunder (including under their Award Agreements) so that each such Participant’s rights with respect to his or her respective Options, Phantom Shares and Dividend Equivalent Rights are substantially proportionate to the rights existing in such Options, Phantom Shares and Dividend Equivalent Rights prior to such event, including, without limitation, adjustments in (A) the number of Options, Phantom Shares and Dividend Equivalent Rights (and other Awards under Section 9) granted, (B) the number and kind of shares or other property to be distributed in respect of Options, Phantom Shares and Dividend Equivalent Rights (and other Awards under
Exhibit B—Proposed Amendments to iStar Inc. 2009 Long-Term Incentive
Plan  
iStar Inc. 2021 Proxy Statement | B-19

TABLE OF CONTENTS
[MISSING IMAGE: lg_istargrey.jpg]
 
Section 9 as applicable), (C) the Option Price and Phantom Share Value, and (D) any performance-based criteria established in connection with Awards; provided that, in the discretion of the Committee, the foregoing clause (D) may also be applied in the case of any event relating to a Subsidiary if the event would have been covered under this Section 14(a) had the event related to the Company.
Notwithstanding the foregoing, in the case of any “equity restructuring” ​(within the meaning of the Financial Accounting Standards Board Accounting Standards Codification Topic 718 (or any successor pronouncement thereto)), the Committee shall make an equitable or proportionate adjustment to outstanding Awards to reflect such equity restructuring.
To the extent that such action shall include an increase or decrease in the number of Shares (or units of other property then available) subject to all outstanding Awards, the number of Shares (or units) available under Section 4 shall be increased or decreased, as the case may be, proportionately, as may be determined by the Committee in its discretion.
(b)
Any Shares or other securities distributed to a Grantee with respect to Restricted Stock or otherwise issued in substitution of Restricted Stock shall be subject to the restrictions and requirements imposed by Section 6, including depositing the certificates therefor with the Company together with a stock power and bearing a legend as provided in Section 6.2(a).
(c)
If the Company shall be consolidated or merged with another corporation or other entity, each Grantee who has received Restricted Stock that is then subject to restrictions imposed by Section 6.3(a) may be required to deposit with the successor corporation the certificates, if any, for the stock or securities or the other property that such Grantee is entitled to receive by reason of ownership of Restricted Stock in a manner consistent with Section 6.2(b), and such stock, securities or other property shall become subject to the restrictions and requirements imposed by Section 6.3(a), and the certificates therefor or other evidence thereof shall bear a legend similar in form and substance to the legend set forth in Section 6.2(a).
(d)
If a Change in Control shall occur, then the Committee, as constituted immediately before such Change in Control, may in its sole discretion, provide for any one or more of the following:
A.
Substitution or assumption of Awards, or to the extent that the surviving entity (or Affiliate thereof) of such Change in Control does not substitute or assume the Awards, full acceleration of vesting of, exercisability of, or lapse of restrictions on, as applicable, any Awards; and
B.
Cancellation of any one or more outstanding Awards and payment to the holders of such Awards that are vested as of such cancellation (including, without limitation, any Awards that would vest as a result of the occurrence of such event but for such cancellation or for which vesting is accelerated by the Committee in connection with such event pursuant to clause (i) above), the value of such Awards, if any, as determined by the Committee (which value, if applicable, may be based upon the price per share of Common Stock received or to be received by other stockholders of the Company in such event), including, without limitation, in the case of an outstanding Option, a cash payment in an amount equal to the excess, if any, of the Fair Market Value (as of a date specified by the Committee) of the Shares subject to such Option over the aggregate Option Price of such Option (it being understood that, in such event, any Option having a per share Option Price equal to, or in excess of, the Fair Market Value of a Share subject thereto may be canceled and terminated without any payment or consideration therefor).
(e)
make such adjustments as it, in its discretion, determines are necessary or appropriate in light of such Change in Control, provided that the Committee determines that such adjustments do not have an adverse economic impact on any Participant as determined at the time of the adjustments.
B-20 | iStar Inc. 2021 Proxy
Statement
[MISSING IMAGE: lg_istar-bw.jpg]

TABLE OF CONTENTS
(f)
The judgment of the Committee with respect to any matter referred to in this Section 14 shall be conclusive and binding upon each Participant without the need for any amendment to the Plan.
15.
MISCELLANEOUS.
15.1
No Rights to Employment or Other Service.
Nothing in the Plan or in any grant made pursuant to the Plan shall confer on any individual any right to continue in the employ or other service of the Company or its Subsidiaries or interfere in any way with the right of the Company or its Subsidiaries and its shareholders to terminate the individual’s employment or other service at any time.
15.2
No Fiduciary Relationship.
Nothing contained in the Plan (including without limitation Sections 7.5(c) and 8.4), and no action taken pursuant to the provisions of the Plan, shall create or shall be construed to create a trust of any kind, or a fiduciary relationship between the Company or its Subsidiaries, or their officers or the Committee, on the one hand, and the Participant, the Company, its Subsidiaries or any other person or entity, on the other.
15.3
Compliance With Section 409A Of The Code.
(a)
Any Award Agreement issued under the Plan that is subject to Section 409A of the Code shall include such additional terms and conditions as may be required to satisfy the requirements thereof.
(b)
With respect to any Award issued under the Plan that is subject to Section 409A of the Code, and with respect to which a payment or distribution is to be made upon a Termination of Service, if a Grantee who holds such an Award is determined by the Company to be a “specified employee” within the meaning of Section 409A(a)(2)(B)(i) of the Code and any of the Company’s stock is publicly traded on an established securities market or otherwise, such payment or distribution may not be made before the date which is six months after the date of Termination of Service of such Grantee (to the extent required under Section 409A of the Code). Any payments or distributions delayed in accordance with the prior sentence shall be paid to such Grantee on the first day of the seventh month following such Grantee’s Termination of Service.
(c)
Notwithstanding any other provision of the Plan, the Board and the Committee shall administer the Plan, and exercise authority and discretion under the Plan, to satisfy the requirements of Section 409A of the Code or any exemption thereto.
15.4
No Fund Created.
Any and all payments hereunder to any Grantee under the Plan shall be made from the general funds of the Company (or, if applicable, a Participating Company). No special or separate fund shall be established or other segregation of assets made to assure such payments. Phantom Shares (including for purposes of this Section 15.4 any accounts established to facilitate the implementation of Section 7.4(c)) and any other similar devices issued hereunder to account for Plan obligations do not constitute Common Stock and shall not be treated as (or as giving rise to) property or as a trust fund of any kind; provided, however, that the Company may establish a mere bookkeeping reserve to meet its obligations hereunder or a trust or other funding vehicle that would not cause the Plan to be deemed to be funded for tax purposes or for purposes of Title I of the Employee Retirement Income Security Act of 1974, as amended. The obligations of the Company under the Plan are unsecured and constitute a mere promise by the Company to make benefit payments in the future and, to the extent that any person acquires a right to receive payments under the Plan from the Company, such right shall be no greater than the right of a general unsecured creditor of the Company. If any Affiliate of the Company is or is made responsible with respect to any Awards, the foregoing sentence shall apply with respect to such Affiliate. Without
Exhibit B—Proposed Amendments to iStar Inc. 2009 Long-Term Incentive
Plan  
iStar Inc. 2021 Proxy Statement | B-21

TABLE OF CONTENTS
[MISSING IMAGE: lg_istargrey.jpg]
 
limiting the foregoing, Phantom Shares and any other similar devices issued hereunder to account for Plan obligations are solely a device for the measurement and determination of the amounts to be paid to a Grantee under the Plan, and any Grantee’s rights with respect to any Phantom Shares and any such other devices is limited to the right to receive payment, if any, as may herein be provided.
15.5
Notices.
All notices under the Plan shall be in writing, and if to the Company, shall be delivered to the Board or mailed to its principal office, addressed to the attention of the Board; and if to a Participant, shall be delivered personally, sent by facsimile transmission or mailed to such Participant at the address appearing in the records of the Company. Such addresses may be changed at any time by written notice to the other party given in accordance with this Section 15.5.
15.6
Exculpation and Indemnification.
The Company shall indemnify and hold harmless the members of the Board and the members of the Committee from and against any and all liabilities, costs and expenses incurred by such persons as a result of any act or omission to act in connection with the performance of such person’s duties, responsibilities and obligations under the Plan, except in circumstances involving bad faith.
15.7
Captions.
The use of captions in this Plan is for convenience. The captions are not intended to provide substantive rights.
15.8
Governing Law.
THIS PLAN SHALL BE GOVERNED BY AND CONSTRUED IN ACCORDANCE WITH THE LAWS OF THE STATE OF NEW YORK WITHOUT REGARD TO ANY PRINCIPLES OF CONFLICTS OF LAW WHICH COULD CAUSE THE APPLICATION OF THE LAWS OF ANY JURISDICTION OTHER THAN THE STATE OF NEW YORK.
B-22 | iStar Inc. 2021 Proxy
Statement
[MISSING IMAGE: lg_istar-bw.jpg]

TABLE OF CONTENTS
EXHIBIT A
PERFORMANCE CRITERIA
Performance-Based Awards may be payable upon the attainment of objective performance goals that are established by the Committee and relate to one or more Performance Criteria, in each case on specified date or over any period, as determined by the Committee. Performance Criteria may (but need not) be based on the achievement of the specified levels of performance under one or more of the measures set out below relative to the performance of one or more other corporations or indices.
“Performance Criteria” means the following business criteria (or any combination thereof) with respect to one or more of the Company, any Participating Company or any division or operating unit thereof:
(i)
pre-tax income,
(ii)
after-tax income,
(iii)
net income (meaning net income as reflected in the Company’s financial reports for the applicable period, on an aggregate, diluted and/or per share basis),
(iv)
operating income,
(v)
cash flow,
(vi)
earnings per share,
(vii)
return on equity,
(viii)
return on invested capital or assets,
(ix)
cash and/or funds available for distribution,
(x)
appreciation in the fair market value of the Common Stock,
(xi)
return on investment,
(xii)
shareholder return (meaning the per annum compounded rate of increase in the Fair Market Value of an investment in Shares on the first day of the Performance Period (assuming purchase of Shares at their Fair Market Value on such day) through the last day of the Performance Period, plus all dividends or distributions paid with respect to such Shares during the Performance Period, and assuming reinvestment in Shares of all such dividends and distributions, adjusted to give effect to Section 14 of the Plan).
(xiii)
net earnings growth,
(xiv)
stock appreciation (meaning an increase in the price or value of the Common Stock after the date of grant of an award and during the applicable period),
(xv)
related return ratios,
(xvi)
increase in revenues,
EXHIBIT A
PERFORMANCE CRITERIA  
iStar Inc. 2021 Proxy Statement | B-23

TABLE OF CONTENTS
[MISSING IMAGE: lg_istargrey.jpg]
 
(xvii)
net earnings,
(xviii)
changes (or the absence of changes) in the per share or aggregate market price of the Company’s Common Stock,
(xix)
number of securities sold,
(xx)
earnings before any one or more of the following items: interest, taxes, depreciation or amortization for the applicable period, as reflected in the Company’s financial reports for the applicable period,
(xxi)
total revenue growth (meaning the increase in total revenues after the date of grant of an award and during the applicable period, as reflected in the Company’s financial reports for the applicable period),
(xxii)
the Company’s published ranking against its peer group of real estate investment trusts based on total shareholder return,
(xxiii)
adjusted income or earnings,
(xxiv)
adjusted book value,
(xxv)
core general and administrative expenses, and
(xxvi)
funds from operations.
Performance Goals may be absolute amounts or percentages of amounts, may be used on an adjusted basis, may be relative to the performance of other companies or of indexes or may be based upon absolute values or values determined on a per-share basis.
Except for non-GAAP metrics, all financial terms are used as defined under Generally Accepted Accounting Principles (“GAAP”) and all determinations shall be made in accordance with GAAP, as applied by the Company in the preparation of its periodic reports to shareholders.
Unless the Committee provides otherwise at the time of establishing the Performance Goals, for each fiscal year of the Company, there shall be objectively determinable adjustments, as determined in accordance with GAAP, to any of the Performance Criteria described above for one or more of the items of gain, loss, profit or expense: (A) determined to be extraordinary or unusual in nature or infrequent in occurrence, (B) related to the disposal of a segment of a business, (C) related to a change in accounting principle under GAAP, (D) related to discontinued operations that do not qualify as a segment of a business under GAAP, and (E) attributable to the business operations of any entity acquired by the Company during the fiscal year; and, the Committee may make objectively determinable adjustments, as determined in accordance with GAAP, to any of the Performance Criteria described above, to reflect any of the following events not otherwise described in clauses (A) through (E) above: (i) asset write-downs; (ii) litigation or claim judgments or settlements; (iii) the effect of changes in tax laws, accounting principles, or other laws or regulatory rules affecting reported results; (iv) any reorganization and restructuring programs; (v) extraordinary nonrecurring items as described in Accounting Standards Codification Topic 225-20 (or any successor pronouncement thereto) and/or in management’s discussion and analysis of financial condition and results of operations appearing in the Company’s annual report to shareholders for the applicable year; (vi) acquisitions or divestitures; (vii) any other specific unusual or nonrecurring events, or objectively determinable category thereof; (viii) foreign exchange gains and losses; (ix) discontinued operations and nonrecurring charges; and (x) a change in the Company’s fiscal year.
B-24 | iStar Inc. 2021 Proxy
Statement
[MISSING IMAGE: lg_istar-bw.jpg]

TABLE OF CONTENTS
[MISSING IMAGE: lg_istar-pn.jpg]
iStar Inc.
1114 Avenue of the Americas
39th Floor
New York, New York 10036
www.istar.com

TABLE OF CONTENTS
[MISSING IMAGE: tm212491d1_pc1.jpg]

TABLE OF CONTENTS
[MISSING IMAGE: tm212491d1_pc2.jpg]

TABLE OF CONTENTS
[MISSING IMAGE: tm212491d1_pc3.jpg]

TABLE OF CONTENTS
[MISSING IMAGE: tm212491d1_pc4.jpg]