Please wait


SCHEDULE 14A INFORMATION
PROXY STATEMENT PURSUANT TO SECTION 14(a) OF THE SECURITIES
EXCHANGE ACT OF 1934
Filed by the Registrant ý
Filed by a Party other than the Registrant ¨
Check the appropriate box:
¨    Preliminary Proxy Statement
¨    Confidential, for Use of the Commission Only (as permitted by Rule 14a-6(e)(2))
¨    Definitive Proxy Statement
ý    Definitive Additional Materials
¨    Soliciting Material under §240.14a-12
ALIGN TECHNOLOGY, INC.
(Name of Registrant as Specified In Its Charter)
 
(Name of Person(s) Filing Proxy Statement, if other than the Registrant)
Payment of Filing Fee (Check all boxes that apply):
ý    No fee required
¨    Fee paid previously with preliminary materials
¨    Fee computed on table in exhibit required by Item 25(b) per Exchange Act Rules 14a-6(i)(1) and 0-11





defa14a.jpg



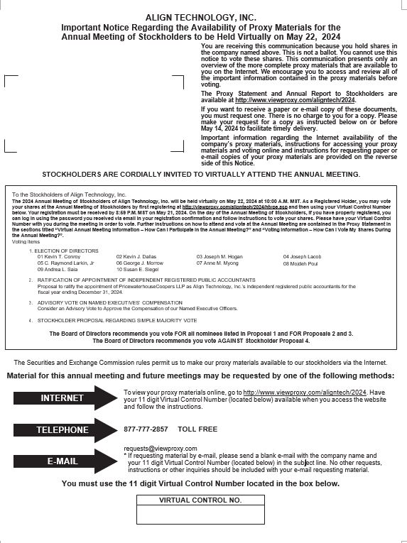
ALIGN TECHNOLOGY, INC.
410 North Scottsdale Road, Suite 1300
Tempe, AZ 85288



PROXY MATERIALS AVAILABLE TO VIEW OR RECEIVE

The following proxy materials are available to you for review at: http://www.viewproxy.com/aligntech/2024
Proxy Statement and 2023 Annual Report



ACCESSING YOUR PROXY MATERIALS ONLINE
Have this notice available when you request a paper copy of the proxy materials or
to vote your proxy electronically. You must reference your Virtual Control Number to vote by Internet or request a paper copy of the proxy materials.



You May Vote Your Proxy When You View The Materials On The Internet.
You Will Be Asked To Follow The Prompts To Vote Your Shares.
Your electronic vote authorizes the named proxies to vote your shares in the same manner as if you marked, signed, dated and returned the proxy card.



REQUESTING A PAPER COPY OF THE PROXY MATERIALS

By telephone please call 1-877-777-2857
or
By logging onto http://www.viewproxy.com/aligntech/2024
or
By email at requests@viewproxy.com

Please include the company name and your Virtual Control Number in the e-mail subject line.