Please wait

UNITED STATES
SECURITIES AND EXCHANGE COMMISSION
Washington, D.C. 20549
(Rule 14a-101)
SCHEDULE 14A
Proxy Statement Pursuant to Section 14(a) of the
Securities Exchange Act of 1934 (Amendment No.__ )
þFiled by the Registrant¨Filed by a Party other than the Registrant
CHECK THE APPROPRIATE BOX:
¨Preliminary Proxy Statement
¨Confidential, For Use of the Commission Only (as permitted by Rule 14a-6(e)(2))
¨Definitive Proxy Statement
þDefinitive Additional Materials
¨Soliciting Material Pursuant to Section 240.14a-12
footer_logoa.jpg
IPG Photonics Corporation
(Name of Registrant as Specified In Its Charter)
(Name of Person(s) Filing Proxy Statement, if Other Than the Registrant)
Payment of Filing Fee (Check all boxes that apply):
þ No fee required.
¨Fee paid previously with preliminary materials.
¨Fee computed on table in exhibit required by Item 25(b) per Exchange Act Rules 14a-6(i)(1) and 0-11






















broadridgenoticeforinclusib.jpg



broadridgenoticeforinclusic.jpg



noticeforinclusionindefa14c.jpg



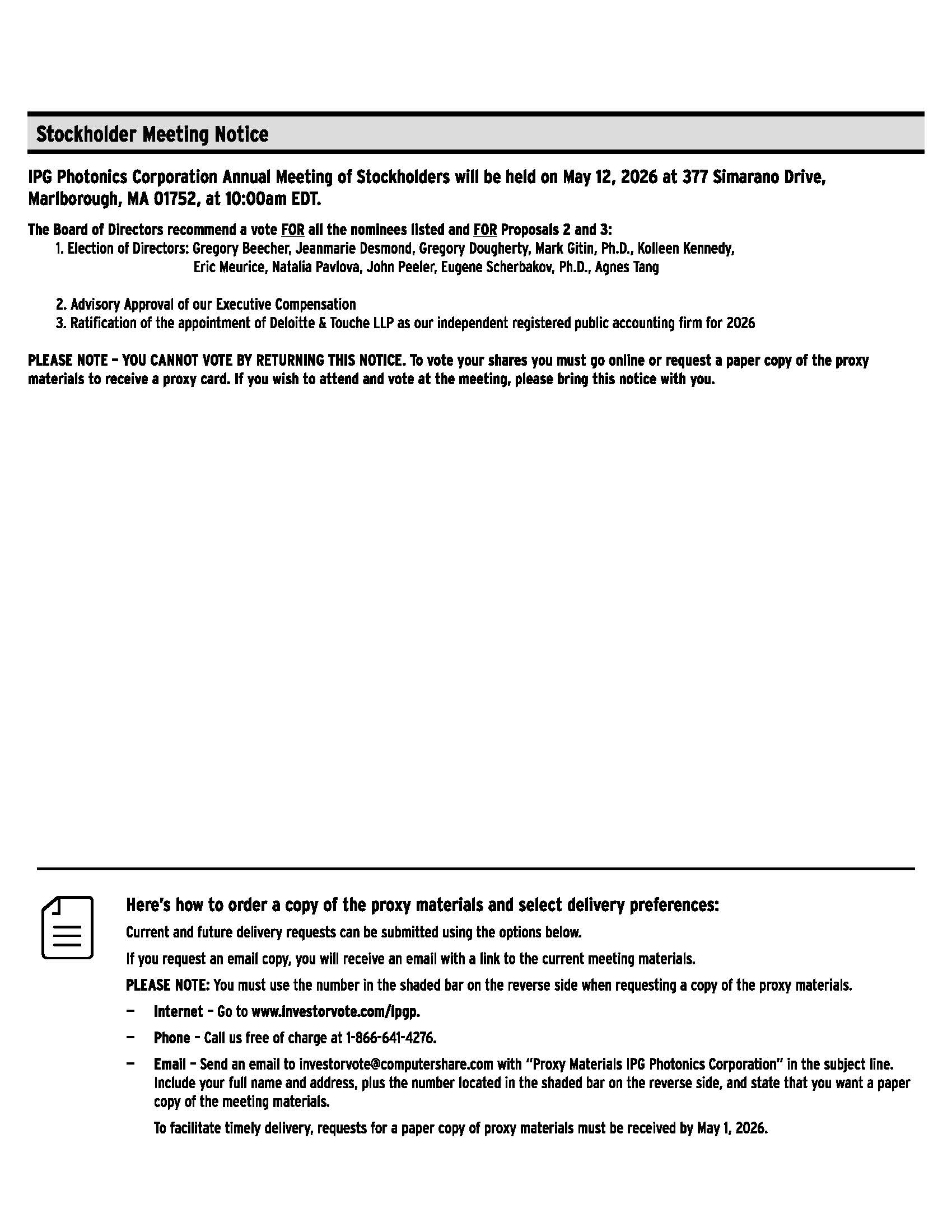
noticeforinclusionindefa14b.jpg