Please wait
Exhibit 10.48
Executive Version

AMN HEALTHCARE
EQUITY PLAN
PERFORMANCE RESTRICTED STOCK UNIT AGREEMENT
(TOTAL SHAREHOLDER RETURN)
Grant Date:
  
Grantee:    
  
Units Granted:   
  
THIS PERFORMANCE STOCK UNIT AGREEMENT (the “Agreement”), made as of the Grant Date (as defined herein) by and between AMN Healthcare Services, Inc. (the “Company”), a Delaware corporation, and the Grantee.   

W I T N E S S E T H:
WHEREAS, the Company sponsors the AMN Healthcare 2025 Equity Plan, (as may be amended from time to time, the “Plan”), and desires to afford the Grantee the opportunity to share in the appreciation of the Company’s common stock, par value $.01 per share (“Stock”), thereunder, thereby strengthening the Grantee’s commitment to the welfare of the Company and Affiliates and promoting an identity of interest between stockholders and the Grantee.
NOW THEREFORE, in consideration of the covenants and agreements herein contained, the parties hereto hereby agree as follows:
1.Definitions.
The following definitions shall be applicable throughout the Agreement. Where capitalized terms are used but not defined herein, their meaning shall be that set forth in the Plan (unless the context indicates otherwise).
(a)Accumulated Shares” means, for a given day, and for a given Peer Company or the Company, the sum of (i) one share of common stock of the applicable company (as included on the Russell 2000), plus (ii) a cumulative number of shares of common stock purchased with dividends declared on the common stock, assuming same day reinvestment of the dividends into shares of common stock at the closing price on the ex-dividend date, for ex-dividend dates during the Opening Average Period or for the period between January 1, 2026 and the last day of the Closing Average Period, as the case may be.
(b)Affiliate” means (i) any entity that directly or indirectly is controlled by, or is under common control with, the Company and (ii) any entity in which the Company has a significant equity interest, in either case, as determined by the Committee.
(c)Cause” means (i) the definition of “cause” provided in the employment or severance agreement in effect between the Grantee and the Company or any Affiliate or (ii) if no such agreement exists, then the occurrence of any of the following: (A) Grantee’s failure to perform in any material respect his or her duties as an employee of the Company, (B) Grantee’s violation of the Company’s Code of Business Conduct, Code of Ethics for Senior Financial Officers and Principal Executive Officer, and/or Securities Trading Policy, (C) the engaging by Grantee in willful misconduct or gross negligence which is injurious to the Company or any of its affiliates, monetarily or otherwise,
1

Exhibit 10.48
Executive Version
(D) the commission by the Grantee of an act of fraud or embezzlement against the Company or any of its affiliates, (E) the conviction of the Grantee of a crime which constitutes a felony or any lesser crime that involves Company property or a pleading of guilty or nolo contendere with respect to a crime which constitutes a felony or any lesser crime that involves Company property, or (F) violation of any of the restrictive covenants in Section 9 hereof.
(d)Change in Control” means:
(i)the acquisition by any individual, entity or group (within the meaning of Section 13(d)(3) or 14(d)(2) of the Securities Exchange Act of 1934, as amended (the “Exchange Act”)) (a “Person”) of beneficial ownership (within the meaning of Rule 13d-3 promulgated under the Exchange Act) of a majority of the combined voting power of the then outstanding voting securities of the Company entitled to vote generally in the election of directors;
(ii)the sale of all or substantially all of the business or assets of the Company; or
(iii)the consummation of a merger, consolidation or similar form of corporate transaction involving the Company that requires the approval of the Company’s stockholders, whether for such transaction or the issuance of securities in the transaction (a “Business Combination”), if immediately following such Business Combination: (A) a Person is or becomes the beneficial owner, directly or indirectly, of a majority of the combined voting power of the outstanding voting securities eligible to elect directors of the Parent Corporation (or, if there is no Parent Corporation, the Surviving Corporation), or (B) the Company’s stockholders prior to the Business Combination thereafter cease to beneficially own, directly or indirectly, a majority of the combined voting power of the outstanding voting securities eligible to elect directors of the Parent Corporation (or, if there is no Parent Corporation, the Surviving Corporation), counting for this purpose only voting securities of the Parent Corporation (or, if there is no Parent Corporation, the Surviving Corporation) received by such stockholders in connection with the Business Combination. “Surviving Corporation” shall mean the corporation resulting from a Business Combination, and “Parent Corporation” shall mean the ultimate parent corporation that directly or indirectly has beneficial ownership of a majority of the combined voting power of the then outstanding voting securities of the Surviving Corporation entitled to vote generally in the election of directors.
(e)Change in Control Termination” means the occurrence of either of the following events during the Protection Period: (i) the Company’s termination of the Grantee’s Service without Cause (other than due to death or Disability) or (ii) the Grantee’s termination of his or her Service with Good Reason at a time when the Grantee could not have been terminated for Cause.
(f)Closing Average Period” means the ninety (90)-day period ending on the last day of the Performance Period.
(g)Closing Average Share Value” means, for each of the Peer Companies and the Company, the average, over the days in the Closing Average Period, of the closing price of its common stock multiplied by the Accumulated Shares for each day during the Closing Average Period.
(h)Disabled” has the meaning set forth in Section 13(c)(ii) of the Plan.
(i)Good Reason” means (i) the definition of “good reason” provided in the employment or severance agreement in effect between the Grantee and the Company or any Affiliate or (ii) if no such agreement exists, then the occurrence of any of the following events without the Grantee’s express written consent: (A) a material reduction in the Grantee’s base salary or target annual bonus compensation as in effect on the date immediately prior to a Change in Control, (B) the Company’s assignment to the Grantee without the Grantee’s consent of duties materially and adversely inconsistent with the Grantee’s position, duties or responsibilities as in effect immediately before the Change in Control, including, but not limited to, any material reduction in such position, duties or
2

Exhibit 10.48
Executive Version
responsibilities, or a change in the Grantee’s title or office, as then in effect, or any removal of the Grantee from any of such positions, titles or offices, or (C) the Company’s relocation of the Grantee’s principal place of employment to a locale that is more than fifty (50) miles from the Grantee’s principal place of employment immediately prior to the Change in Control.
(j)Grant Date” is the date the Committee authorized this PSU grant as set forth above. 
(k)NQDC Plan” means the Company’s 2005 Amended and Restated Executive Nonqualified Excess Plan, as may be amended from time to time.
(l)Opening Average Period” means the ninety (90)-day period ended on December 31, 2025.
(m)Opening Average Share Value” means, for each of the Peer Companies and the Company, the average during the Opening Average Period of the closing price of its common stock multiplied by the Accumulated Shares for each trading day during the Opening Average Period.
(n)Peer Companies” means the companies included in the Russell 2000 on December 31, 2025. In the event of a merger, acquisition or business combination transaction of a Peer Company with or by another Peer Company, the surviving entity shall remain a Peer Company. In the event of a merger of a Peer Company with an entity that is not a Peer Company, or the acquisition or business combination transaction by or with a Peer Company, or with an entity that is not a Peer Company, in each case, where the Peer Company is the surviving entity and remains publicly traded, the surviving entity shall remain a Peer Company. In the event of a merger or acquisition or business combination transaction of a Peer Company by or with an entity that is not a Peer Company, a “going private” transaction involving a Peer Company or the liquidation of a Peer Company, where the Peer Company is not the surviving entity or is otherwise no longer publicly traded, the company shall no longer be a Peer Company. In the event of a bankruptcy of a Peer Company, such company shall remain a Peer Company.
(o)Performance Period” means January 1, 2026 through December 31, 2028.
(p)Performance Restricted Stock Unit(s)” or “PRSU(s)” means the performance restricted stock units granted under Section 2.
(q)Protection Period” means the period beginning on the date that is six (6) months before the effective date of a Change in Control and ending on the second anniversary of the effective date of the Change in Control.
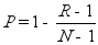
(r)Relative Total Shareholder Return” or “Relative TSR” means the Company’s TSR relative to the TSR of the Peer Companies. Following the calculation of the TSR of the Company and each Peer Company for the Performance Period, the Company and each Peer Company will be ranked in order of maximum to minimum according to their respective TSR for the Performance Period. After this ranking, the percentile performance of the Company relative to the Peer Companies will be determined as follows:
image_0a.jpg
where:    “P” represents the percentile performance, which will be rounded, if necessary, to the nearest half percentile by application of standard scientific rounding conventions.
“N” represents the number of Peer Companies, plus one (i.e., the Company).
3

Exhibit 10.48
Executive Version
“R” represents the Company’s ranking versus the Peer Companies.
Example: If there are 1000 Peer Companies, and the Company ranked 501st out of 1001 (i.e., 1000 Peer Companies, plus the Company), the performance would be at the 50th percentile: .50 = 1 – ((501-1)/(1001-1)).
(s)Retirement” means termination of Grantee’s Service (other than for Cause or due to a Change in Control Termination) on or after attainment of age 55 with at least 15 full years of aggregate Service and provided further that the Grantee does not subsequently obtain employment with another employer. For clarity, only twelve (12) months of continuous Service shall count as a full year of Service for purposes of determining if Grantee is eligible for Retirement.
(t)Service” means the performance of services for the Company (or any Affiliate) by a person in the capacity of an officer or other employee or key person (including consultants).
(u)Total Shareholder Return” or “TSR” means for each of the Company and the Peer Companies, the company’s total shareholder return, which will be calculated by dividing (i) the Closing Average Share Value by (ii) the Opening Average Share Value, and then subtracting one (1).
(v)Vesting Date” means the date on which the Committee determines the TSR and Relative TSR.
2.Grant of Performance Restricted Stock Units. Subject to the terms and conditions set forth herein, the Company hereby grants to the Grantee PRSUs, which shall be the target number. The actual number of PRSUs that can vest may be more or less than the target number, as determined in accordance with the table (the “Vesting Table”) set forth on Schedule I.
3.Vesting Schedule. No PRSUs may be settled until they have vested, which shall occur, if at all, on the Vesting Date. Except as otherwise set forth in this Agreement or in the Plan, the PRSUs shall only vest on the Vesting Date if the Grantee has provided Service to the Company continuously from the Grant Date through the Vesting Date. Except as otherwise set forth in this Agreement or in the Plan, the number of PRSU’s that shall vest on the Vesting Date will be determined in accordance with the Vesting Table, based on the Company’s achievement of Total Shareholder Return and Relative Total Shareholder Return for the Performance Period. Any fractional share resulting from the application of the percentages in the Vesting Table shall be rounded to the nearest whole number of shares. The Committee shall determine the Total Shareholder Return and Relative TSR, if any, within 60 days after the end of the Performance Period. On the Vesting Date, all PRSUs that do not vest shall be automatically cancelled and the right to receive any PRSUs that do not vest hereunder shall automatically expire.
4.Settlement and Deferral of PRSUs.
(a)Each vested PRSU entitles the Grantee to receive one share of Stock on the “Settlement Date,” which shall be the later of (i) the Vesting Date, and (ii) the end of the deferral period specified by the Grantee. The deferral period shall be no less than four (4) years and five (5) days from the Grant Date. Such deferral election shall be made within 30 days of the Grant Date. Any deferral of the PRSUs shall be subject to the NQDC Plan and the applicable deferral election form.
(b)Shares of Stock underlying the PRSUs shall be issued and delivered to the Grantee in accordance with paragraph (a) and upon compliance to the satisfaction of the Committee with all requirements under applicable laws or regulations in connection with such issuance and with the requirements hereof and of the Plan. The determination of the Committee as to such compliance shall be final and binding on the Grantee. The shares of Stock delivered to the Grantee pursuant to this
4

Exhibit 10.48
Executive Version
Section 4 shall be free and clear of all liens, fully paid and non-assessable. In no event shall fractional shares of Stock be issued.
(c)Until such time as shares of Stock have been issued to the Grantee pursuant to paragraph (b) above, and except as set forth in Section 5 below regarding dividend equivalents, the Grantee shall not have any rights as a holder of the shares of Stock underlying this Grant including but not limited to voting rights.
(d)The Grantee may be required to pay to the Company or any Affiliate, and the Company or any Affiliate shall have the right and is hereby authorized to withhold from any shares of Stock or other property deliverable under the PRSU or from any compensation or other amounts owing to the Grantee the amount (in cash, Stock or other property) of any required tax withholding and payroll taxes in respect of a PRSU vesting or settlement and to take such other action as may be necessary in the opinion of the Company to satisfy all obligations for the payment of such taxes.
(e)Without limiting the generality of clause (d) above, in the Committee’s sole discretion the Grantee may satisfy, in whole or in part, the foregoing withholding liability by having the Company withhold from the number of shares of Stock otherwise issuable pursuant to the settlement of the PRSU a number of shares with a Fair Market Value equal to such withholding liability.
5.Dividend Equivalents. If on any date the Company shall pay any cash dividend on shares of Stock of the Company, the number of PRSUs credited to the Grantee pursuant to the Vesting Table shall, as of such date, be increased by an amount determined by the following formula:
W = (X multiplied by Y) divided by Z, where:
W = the number of additional PRSUs to be credited to the Grantee on such dividend payment date;
X = the aggregate number of PRSUs (whether vested or unvested) credited to the Grantee as of the record date of the dividend;
Y = the cash dividend per share amount; and
Z = the Fair Market Value per share of Stock (as determined under the Plan) on the dividend payment date.
For the avoidance of doubt, no dividend equivalents shall be credited to PRSUs prior to the Committee determining the Total Shareholder Return and Relative TSR (and thus the actual number of PRSUs subject to vesting).
6.Termination of Service.
(a)Except as provided below, if the Grantee’s Service terminates for any reason prior to the Settlement Date, then all unvested PRSUs shall be forfeited.
(b)If the Grantee’s Service terminates due to Retirement at any time after six (6) months from the Grant Date but before the Settlement Date, then provided that the Grantee continuously remains in Retirement status after termination of Service, the Grantee shall continue to vest in all of the Grantee’s unvested PRSUs according to the terms of this Agreement as though the Grantee’s Service had not terminated. For clarity, the actual number of PRSUs that shall vest shall be
5

Exhibit 10.48
Executive Version
determined at the end of the Performance Period according to the Vesting Table based on actual performance, and such vested PRSUs shall be settled at the time specified in Section 4 hereof.
(c)If the Grantee’s Service terminates due to a Change in Control Termination after the Grant Date but before the end of the Performance Period, then on the date of the Grantee’s termination (or, if later, on the effective date of the Change in Control), 100% of the target number of PRSUs shall become immediately vested and settled according to Section 4 hereof, and any PRSUs in excess of the target number shall be forfeited. If the Grantee’s Service terminates due to a Change in Control Termination after the end of the Performance Period but before the Settlement Date, then on the date of the Grantee’s termination (or, if later, on the effective date of the Change in Control), the number of PRSUs that were earned based on actual performance according to the Vesting Table shall become immediately vested and settled according to Section 4 hereof.
(d)In the event of the Grantee’s death or if the Committee determines, in its sole discretion, that the Grantee has become Disabled, in each case, after the Grant Date and prior to the end of the Performance Period, (i) 100% of the target number of PRSUs shall become immediately vested and, regardless of the Grantee’s deferral election, the Company, as soon as reasonably practicable, shall issue shares of Stock to the Grantee (or the Grantee’s designated beneficiary or estate executor in the event of the Grantee’s death) with respect to the target number of PRSUs and (ii) any PRSUs in excess of the target number shall be forfeited. In the event the Grantee dies or becomes Disabled (as determined by the Committee in its sole discretion) on or after the end of the Performance Period and prior to (or on) the Settlement Date, the Grantee shall be entitled to receive shares of Stock underlying all vested PRSUs, and regardless of the Grantee’s deferral election, the Company, as soon as reasonably practicable, shall issue the applicable number of shares of Stock to the Grantee (or the Grantee’s designated beneficiary or estate executor in the event of the Grantee’s death).
(e)If the Grantee’s Service is terminated by the Company without Cause or by the Grantee for Good Reason, in each case after the Grant Date but before the end of the Performance Period (other than due to a Change in Control Termination), then a pro-rata portion of the PRSUs based on a fraction equal to the number of full calendar months that have elapsed from the first day of the Performance Period through and inclusive of the termination date divided by 36 shall remain eligible to vest at the end of the Performance Period according to the Vesting Table based on actual performance, and such vested PRSUs shall be settled at the time specified in Section 4 hereof.
(f)If the Grantee’s employment is terminated due to a reason specified in (b)-(d) above but, after such termination, the Committee determines that it would have had Cause to terminate the Grantee’s Service if all the relevant facts had been known to the Committee as of the date of the Grantee’s termination, then all PRSUs and Actual PRSUs shall immediately be forfeited and cancelled, whether or not vested, as of the date of the Committee’s determination.
7.Company; Grantee.
(a)The term “Company” as used in this Agreement with reference to employment shall include the Company, its Subsidiaries and its Affiliates, as appropriate.
(b)Whenever the word “Grantee” is used in any provision of this Agreement under circumstances where the provision should logically be construed to apply to the beneficiaries, the executors, the administrators, or the person or persons to whom the PRSUs may be transferred by will or by the laws of descent and distribution, the word “Grantee” shall be deemed to include such person or persons.
8.Non-Transferability.  The PRSUs granted herein are not transferable by the Grantee other than to a designated beneficiary upon death, by will or the laws of descent and distribution, to a trust solely for the benefit of the Grantee or his/her immediate family or, in the case of the PRSUs being held by such a trust, by the trustee.
6

Exhibit 10.48
Executive Version
9.Forfeiture for Violation of Restrictive Covenants.
(a)        Confidential and Proprietary Information. The Grantee agrees that the Grantee will not, at any time make use of or divulge to any other person, firm or corporation any confidential or proprietary information concerning the business or policies of the Company (which includes, for the avoidance of doubt, any and all of its divisions, Affiliates or Subsidiaries). For purposes of this Agreement, any confidential information shall constitute any information designated as confidential or proprietary by the Company or otherwise known by the Grantee to be confidential or proprietary information including, without limitation, customer information. The Grantee acknowledges and agrees that for purposes of this Agreement, “customer information” includes without limitation, customer lists, all lists of professional personnel, names, addresses, phone numbers, contact persons, preferences, pricing arrangements, requirements and practices. The Grantee’s obligation under this Section 9(c) shall not apply to any information that (i) is known publicly; (ii) is in the public domain or hereafter enters the public domain without the fault of the Grantee; or (iii) is hereafter disclosed to the Grantee by a third party not under an obligation of confidence to the Company. The Grantee agrees not to remove from the premises of the Company, except as an employee of the Company in pursuit of the business of the Company or except as specifically permitted in writing by the Company, any document or other object containing or reflecting any such confidential or proprietary information. The Grantee recognizes that all such information, whether developed by the Grantee or by someone else, will be the sole exclusive property of the Company. Upon termination of employment, the Grantee shall forthwith deliver to the Company all such confidential or proprietary information, including without limitation all lists of customers, pricing methods, financial structures, correspondence, accounts, records and any other documents, computer disks, computer programs, software, laptops, modems or property made or held by the Grantee or under the Grantee’s control in relation to the business or affairs of the Company, and no copy of any such confidential or proprietary information shall be retained by the Grantee.
(b)    Forfeiture for Violations. If the Grantee shall at any time violate the provisions of Section 9(a), (b), or (c), the Grantee shall immediately forfeit his/her PRSUs (whether vested or unvested) and any issuance of shares of Stock that occurs after (or within six (6) months before) any such violation shall be void ab initio.
(c)    Additional Agreement. For the avoidance of doubt, this Section 9 shall be in addition to and shall not supersede (or be superseded by) any other agreements related to the subject matter of this Section 9 contained in any confidentiality agreement, noncompetition agreement or any other agreement between the Grantee and the Company.
(d) Other. Nothing contained in this Agreement shall prevent Employee from exercising Employee’s rights under applicable law to discuss wages, hours, working conditions, unionization, or the like, including any concerted activities for the purpose of collective bargaining or other mutual aid or protection. Additionally, nothing contained in this Agreement prohibits or prevents Employee from filing a charge with or participating, testifying, or assisting in any investigation, hearing, whistleblowing proceeding or other proceeding before any federal, state, or local government agency (e.g., EEOC, NLRB, SEC, etc.).
10.Rights as Stockholder.  The Grantee or a transferee of the PRSUs shall have no rights as a stockholder with respect to any share of Stock covered by the PRSUs until the Grantee shall have become the holder of record of such share of Stock and no adjustment shall be made for
7

Exhibit 10.48
Executive Version
dividends or distributions or other rights in respect of such share of Stock for which the record date is prior to the date upon which Grantee shall become the holder of record thereof.
11.Successor. The obligations of the Company under this Agreement shall be binding upon any successor corporation or organization resulting from the merger, consolidation or other reorganization of the Company, or upon any successor corporation or organization succeeding to substantially all of the assets and business of the Company. The Company agrees that it will make appropriate provisions for the preservation of the Grantee’s rights under this Agreement in any agreement or plan that it may enter into or adopt to effect any such merger, consolidation, reorganization or transfer of assets.
12.Notice. Every notice or other communication relating to this Agreement shall be in writing, and shall be mailed to or delivered by hand, by mail or electronic transmission (with confirmation of transmission) to the party for whom it is intended at such address as may from time to time be designated by it in a notice mailed or delivered to the other party as herein provided, provided that, unless and until some other address be so designated, all notices or communications by the Grantee to the Company shall be mailed or delivered to the Company at its principal executive office, and all notices or communications by the Company to the Grantee may be given to the Grantee personally or may be mailed or e-mailed to the Grantee at the Grantee’s address or e-mail as recorded in the records of the Company.
13.No Right to Continued Employment.  This Agreement shall not be construed as giving the Grantee the right to be retained in the employ or service of the Company, a Subsidiary or an Affiliate. Further, the Company or an Affiliate may at any time dismiss the Grantee or discontinue any consulting relationship, free from any liability or any claim under this Agreement, except as otherwise expressly provided herein.
14.Binding Effect. Subject to Section 8 hereof, this Agreement shall be binding upon the heirs, executors, administrators and successors of the parties hereto.
15.Amendment of Agreement. The Committee may, to the extent consistent with the terms of this Agreement, waive any conditions or rights under, amend any terms of, or alter, suspend, discontinue, cancel or terminate, any portion of the PRSUs heretofore granted, prospectively or retroactively; provided that any such waiver, amendment, alteration, suspension, discontinuance, cancellation or termination that would adversely impair the rights of the Grantee in respect of any PRSUs already granted shall not to that extent be effective without the consent of the Grantee.
16.PRSUs Subject to Plan and NQDC Plan. By entering into this Agreement, the Grantee agrees and acknowledges that the Grantee has received and read a copy of the Plan and a copy of the NQDC Plan. The PRSUs are subject to the terms of Plan, and the NQDC Plan if the PRSUs are deferred under the NQDC Plan. The terms and provisions of the plans as they may be amended from time to time are hereby incorporated herein by reference. In the event of a conflict between any term or provision contained herein and a term or provision of either the Plan or the NQDC Plan, the applicable terms and provisions of the applicable plan will govern and prevail.
17.Governing Law.  This Agreement shall be construed and interpreted in accordance with the internal laws of the State of Delaware without regard to the principles of conflicts of law thereof, or principles of conflicts of laws of any other jurisdiction that could cause the application of the laws of any jurisdiction other than the State of Delaware.
8

Exhibit 10.48
Executive Version
IN WITNESS WHEREOF, the parties hereto have executed this Agreement as of the day and year first above written.


AMN Healthcare Services, Inc.
By: _________________________________
Cary Grace
President & Chief Executive Officer

GRANTEE
By:____________________________________

9

Exhibit 10.48
Executive Version
SCHEDULE I
TSR VESTING TABLE


10