Please wait

 
 

 GLOBAL NOTES AND STATEMENTS OF LIMITATIONS AND DISCLAIMERS REGARDING THE DEBTORS’ MONTHLY OPERATING REPORTS  On May 4, 2016 (the “Commencement Date”), Aéropostale, Inc. and its subsidiaries (collectively,the “Debtors”),1 each commenced a voluntary case under chapter 11 of the Bankruptcy Code in the United StatesBankruptcy Court for the Southern District of New York. The Debtors are authorized to operate their businessesand manage their properties as debtors in possession pursuant to sections 1107(a) and 1108 of the BankruptcyCode. On May 5, 2016, the Bankruptcy Court entered an order authorizing the joint administration of these casespursuant to Bankruptcy Rule 1015(b). On May 11, 2016, the United States Trustee for Region2 (the “U.S.Trustee”) appointed an official committee of unsecured creditors pursuant to section 1102(a)(1) of the BankruptcyCode (the “Creditors’ Committee”).  The Debtors are filing their consolidated monthly operating report (the “MOR”) solely for purposes ofcomplying with the monthly operating requirements applicable in the Debtors’ chapter 11 cases. The MOR is in aformat acceptable to the U.S. Trustee. The MOR should not be relied upon by any persons for information relatingto current or future financial conditions, events, or performance of any of the Debtors or their affiliates.  These following notes and statements and limitations should be referred to, and referenced in connectionwith, any review of the MOR.  1. Basis of Presentation. For financial reporting purposes, the Debtors generally prepare consolidated  financial statements, which include information for Aéropostale, Inc. and its Debtor affiliates. Thefinancial statements and information contained herein are unaudited and preliminary. The Debtors aremaintaining their books and records in accordance with generally accepted accounting principles(“GAAP”) and the information furnished in this MOR uses the companies’ normal accrual method ofaccounting. In preparing the MOR, the Debtors relied on financial data derived from their books andrecords that was available at the time of preparation. Subsequent information or discovery may result inmaterial changes to the MOR and errors or omissions may exist. Notwithstanding any such discovery,new information, or errors or omissions, the Debtors do not undertake any obligation or commitment toupdate the MOR.  2. Reporting Period. Unless otherwise noted herein, the MOR generally reflects the Debtors’ books and  records and financial activity occurring during the applicable reporting period. Except as otherwise noted,no adjustments have been made for activity occurring after the close of the reporting period.  3. Consolidated Entity Accounts Payable and Disbursement Systems. As described in the Cash  Management Motion,2 the Debtors utilize an integrated, centralized cash management system, in theordinary course of business, to collect, concentrate, and disburse funds generated by their operations (the“Cash Management System”). The Debtors maintain a consolidated accounts payable and disbursementssystem to pay operating and administrative expenses through various disbursement accounts. In theordinary course of business, the Debtors maintain business relationships among each other, which result in  intercompany receivables and payables  (the  “Intercompany Claims”) arising from intercompany  transactions  (the  “Intercompany Transactions”). As set forth more fully in the Debtors’ Cash  Management Motion, the primary Intercompany Transactions giving rise to Intercompany Claims are cash  1 The Debtors in these chapter 11 cases and the last four digits of each Debtor’s federal tax identification number, as applicable, are as follows:Aéropostale, Inc. (3880); Aéropostale West, Inc. (7013); Jimmy’Z Surf Co., LLC (0461); Aero GC Management LLC (4257); Aeropostale  Procurement Company, Inc. (8518); Aeropostale Licensing, Inc. (8124); P.S. from Aeropostale, Inc. (5900); GoJane LLC (4923);Aeropostale Holdings, Inc. (7729); and Aeropostale Puerto Rico, Inc. (6477). The Debtors’ corporate headquarters is located at 125 ChubbAvenue, 5th Floor, Lyndhurst, NJ 07071.  2 Motion of Debtors Pursuant to 11 U.S.C. §§ 105(a), 363, 364, 503, and 507 for Interim and Final Authority to (I) Continue Using Existing CashManagement System, Bank Accounts, and Business Forms, (II) Implement Changes to the Cash Management System in the Ordinary Course ofBusiness, (III) Continue Intercompany Transactions, (IV) Provide Administrative Expense Priority for Postpetition Intercompany Claims and forRelated Relief [ECF No. 7] (the “Cash Management Motion”). 
 

 receipts activities, disbursement activities, inventory purchases, and expense allocations. Historically,Intercompany Claims are not settled by actual transfers of cash among the Debtors. Instead, the Debtorstrack all Intercompany Transactions in their accounting system, which concurrently are recorded on theapplicable Debtors’ balance sheets. The Debtors have attempted to identify disbursements on an individualDebtor basis. However, because the Debtors generally track and report their financial information on aconsolidated basis some errors may exist and adjustments in future reporting may be necessary.  4. Accuracy. The financial information disclosed herein was not prepared in accordance with federal or state  securities laws or other applicable non-bankruptcy law or in lieu of complying with any periodic reportingrequirements thereunder. Persons and entities trading in or otherwise purchasing, selling, or transferringthe claims against or equity interests in the Debtors should evaluate this financial information in light of thepurposes for which it was prepared. The Debtors are not liable for and undertake no responsibility toindicate variations from securities laws or for any evaluations of the Debtors based on this financialinformation or any other information.  5. Debtor in Possession Financing. On June 13, 2016, the Bankruptcy Court entered the Final Order  Pursuant to 11 U.S.C. §§ 105, 361, 362, 363 and 364 and Rules 2002, 4001, and 9014 of the Federal Rulesof Bankruptcy Procedure (I) Authorizing Incurrence by the Debtors of Postpetition Secured Indebtedness,  (II) Granting Liens, and (III) Authorizing Use of Cash Collateral by the Debtors and Providingfor Adequate Protection, and (IV) Modifying the Stay [ECF No. 298] (the “DIP Order”), which approvedand authorized the Debtors to access up to $160,000,000 in postpetition financing and to provide the Debtors’prepetition secured parties adequate protection on the terms and conditions set forth in the DIP Order. Pleasesee the DIP Order for additional detail. Descriptions of the Debtors’ prepetition debt structure and thecollateral relating to the bank debt are contained in the Declaration of David J. Dick Pursuant to Local Rule1007-2 for the Southern District of New York [ECF No. 4]. Reference to the applicable loan agreementsand related documents is necessary for a complete description of the collateral and the nature, extent, andpriority of liens. On Septembe 15, 2016, the Debtors indefeasibly paid in full the DIP obligations.  6. Payment of Prepetition Claims Pursuant to First Day Orders. Within the first two days of the Debtors’  chapter 11 cases, the Bankruptcy Court entered orders (the “First-Day Orders”) authorizing, but notdirecting, the Debtors to, among other things, pay certain prepetition (a) service fees and charges assessedby the Debtors’ banks and debit and credit card companies; (b) claims of warehousemen and miscellaneouslien claimants;(c) certain insurance obligations;(d) obligations to“critical vendors”;(e) customerprograms obligations; (f) employee wages, salaries, and related items, including employee benefit programsand independent contractor obligations; and (g) taxes and assessments. To the extent any payments weremade on account of such claims following the commencement of these chapter 11 cases pursuant to theauthority granted to the Debtors by the Bankruptcy Court under the First Day Orders, such paymentshave been included in the MOR unless otherwise noted.  7. Liabilities Subject to Compromise. Any amount classified as liabilities subject to compromise are estimates  and are subject to future change and adjustment.  8. Reservation of Rights. The Debtors reserve all rights to amend or supplement the MOR in all respects, as  may be necessary or appropriate. Nothing contained in this MOR shall constitute a waiver of any of theDebtors’ rights or an admission with respect to their chapter 11 cases. 
 

 In re Aéropostale, Inc., et al.  Case No. 16-11275  Debtors  Reporting Period:  10/02/16 - 10/29/16  Disbursements for the period 10/2/16 through 10/29/16  MOR-1  ($ in 000's)  Total for  Case  Debtor  Reporting Period  Quarter to Date  16-11275  Aéropostale, Inc.  $ 24,633  $ 24,633  16-11276  Aéropostale Procurement Co, Inc.  991  $ 991  16-11277  Aéropostale West, Inc.  2,419  $ 2,419  16-11278  Jimmy'Z Surf Co. LLC  0  $ -  16-11279  Aéro GC Management LLC  0  $ -  16-11280  Aéropostale Licensing, Inc.  3  $ 3  16-11281  GoJane LLC  260  $ 260  16-11282  P.S. from Aéropostale, Inc.  78  $ 78  16-11283  Aéropostale Puerto Rico, Inc.  239  $ 239  16-11285  Aéropostale Holdings, Inc.  0  $ -  $ 28,621  $ 28,621  Note: A portion of the disbursements from certain Debtors may be subject to allocations to, or reimbursementfrom, other Debtors. 
 

 In re Aéropostale, Inc., et al.  Case No: Case No. 16-11275  Debtors  Reporting Period:  10/02/16 - 10/29/16  Bank Account Reconciliations  MOR-1  (Unaudited)  Case No.  Debtor  Bank Name  Account No.  Bank Balance 10/28/16  GL Balance 10/29/16  16-11275  Aéropostale Inc.  Bank of America Utility Deposits  ***0747  415,567.00  44,034,522.49  16-11275  Aéropostale Inc.  Bank of America Texas Escrow  ***7404  220,205.35  16-11275  Aéropostale Inc.  Bank of America FFE  ***7572  32,813,332.85  16-11275  Aéropostale Inc.  Bank of America Profesional Fees Acquisition  ***7857  48,770.79  16-11275  Aéropostale Inc.  Bank of America Concentration Reconciliation  ***8175  12,152,160.31  16-11276  Aéropostale Inc.  Wells Fargo - Zumiez Escro  ***7900  1,231,390.66  1,229,302.84  16-11277  Aéropostale Inc.  Citibank  ***1768  18,300,000.00  18,300,000.00  16-11278  Aéropostale Inc.  Citibank  ***2768  15,734,769.84  15,734,769.84  Corporate Account Subtotal Cash and Cash Equivalents  $ 80,916,196.80  $ 79,298,595.17  Non-Corporate Account Subtotal Cash and Cash Equivalents (a)  $ -  $ -  Total Cash and Cash Equivalents  $ 80,916,196.80  $ 79,298,595.17  Note:  a) Non-Corporate Accounts include store depository accounts.  All bank accounts are reconciled each period when statements are received. Difference between the GL and bank balances are either outstanding checks or reconciling itemstypically cleared in the following period. Copies of bank statements, disbursement journals and reconciliations are not attached to this Monthly Operating Report; however,the Debtors will provide further information to the U.S. Trustee upon request.  Cash and Cash Equivalents in this MOR-1 represents cash held in restricted accounts and reported as Restricted Cash on the Balance Sheet. 
 

 In re Aéropostale, Inc., et al.  Case No. 16-11275  Debtors  Reporting Period:  10/02/16 - 10/29/16  CONSOLIDATED STATEMENT OF OPERATIONS (Income Statement)  MOR-2  (Unaudited - $ in 000's)  Net sales  $ 89,914  Cost of sales (including certain buying, occupancy and warehousing  expenses)  83,414  Gross profit  6,500  Selling, general and administrative expenses  (1,681)  Profit (Loss) from operations  8,181  Interest expense  8,350  Profit (Loss) before income taxes  (168)  Income tax expense  81  Net income (loss)  $ (250) 
 

 In re Aéropostale, Inc., et al.  o. 16-11275  Debtors  d:  10/02/16 - 10/29/16  STATEMENT OF OPERATIONS BY LEGAL ENTITY (Income Statement)  MOR-2  (Unaudited - $ in 000's)  Aero GC  Aéropostale  Consolidated  Management Aéropostale Aéropostale  PS from  Procurement Jimmy'Z Surf  Aéropostale  Aéropostale Elimination  U.S.  Aéropostale, Inc.  LLC  West  Puerto Rico Aéropostale  Co.  Co., LLC  Licensing  GoJane LLC  Holdings Company (a)  Companies  Net sales  Cost of sales (including certain buying, occupancy andwarehousing expenses)  1 2 3  $ 70,289 $ - $ 16,243  59,358 0 15,221  4 5 6  $ 1,560 $ 770 $ 86,283  2,817 1,258 88,671  7 9 10 78 98  $ - $ 175 $ 878 $ - $ (86,283) $ 89,914  0 139 2,234 0 (86,283) $ 83,414  Gross profit  10,931  0  1,021  (1,257)  (488)  (2,388)  0  37  (1,356)  0  0  $ 6,500  Selling, general and administrative expenses  (589)  5  (776)  (73)  424  (522)  0  (107)  (44)  0  0  $ (1,681)  Profit (Loss) from operations  11,520  (5)  1,798  (1,184)  (913)  (1,866)  0  143  (1,312)  0  0  $ 8,181  Interest expense  8,350  0  0  0  0  0  0  0  0  0  0  $ 8,350  Profit (Loss) before income taxes  3,170  (5)  1,798  (1,184)  (913)  (1,866)  0  143  (1,312)  0  0  $ (168)  Income tax expense  80  0  0  0  0  0  0  1  0  0  0  $ 81  Net income (loss)  $ 3,090  $ (5)  $ 1,798  $ (1,184)  $ (913)  $ (1,866)  $0  $ 142  $ (1,312)  $0  $ -  $ (250)  (a) Elimination Company is not a legal entity. It is included in the balance sheet to reflect entries to eliminate intercompany transactions to produce accurate consolidated financial statements. 
 

 In re Aéropostale, Inc., et al.  Case No.  16-11275  Debtors  Reporting Period:  10/02/16 - 10/29/16  BALANCE SHEET  MOR-3  (Unaudited - $ in 000's)  ASSETS  CURRENT ASSETS  Cash and Cash Equivalents  $ 79,299  Merchandise Inventory  72,829  Prepaid Expenses  14,222  Tax Refunds Receivable  3,521  Other Current Assets  10,297  TOTAL CURRENT ASSETS  $ 180,168  Fixtures, Equipment & Improvements  (161)  Intangibles  21,762  Investment in Subsidiary  92,733  Restricted Cash Non-Current  -  Deferred Financing  3,398  Other Assets  1,593  TOTAL ASSETS  $ 299,493  LIABILITIES & SHAREHOLDERS' EQUITY  CURRENT LIABILITIES  Accounts Payable  $ 45,215  Accrued Expense  212,681  Current Loan Payable  81,427  Crystal Loan Payble  -  Intercompany  (1,819)  TOTAL CURRENT LIABILITIES  $ 337,504  Deferred Rent,Tenant Allowance  1,512  Retirement Benefit Plan Liability  6,219  Uncertain Tax Liability Reserves  2,093  Unearned Vendor Rebate  9,617  Other Non Current Liabilities  1,557  Non-Current Loan Payable  0  TOTAL LIABILTIES  $ 358,502  SHAREHOLDERS' EQUITY  Common Stock  $ 817  Additional Paid-in-Capital  257,687  Other Comprehensive Income  1,182  Retained Earnings  (314,930)  Treasury Stock  (3,765)  TOTAL SHAREHOLDERS' EQUITY  $ (59,009)  TOTAL LIABILTIES & SHAREHOLDER EQUITY  $ 299,493 
 

 In re Aéropostale, Inc., et al.  Case No. 16-11275  Debtors  Reporting Period:  10/02/16 - 10/29/16  BALANCE SHEET  MOR-3  (Unaudited - $ in 000's)  Aéropostale  Aero GC  Aéropostale  Aéropostale  PS from  Procurement  Jimmy'Z Surf  Aéropostale  GoJane  Aéropostale  Elimination  Consolidated  Aéropostale, Inc.  Management LLC  West  Puerto Rico  Aéropostale  Co.  Co., LLC  Licensing  LLC  Holdings  Company (a)  U.S. Companies  1  2  3  4  5  6  7  9  10  78  98  ASSETS  CURRENT ASSETS  Cash and Cash Equivalents  $ 79,299  $ -  $ -  $ -  $ -  $ -  $ -  $ 79,299  Merchandise Inventory  144,737  31,117  2,511  2,642  (109,444)  1  1,256  9  $ 72,829  Prepaid Expenses  12,123  228  36  12  512  1,311  $ 14,222  Prepaid Taxes  3,402  119  $ 3,521  Other Current Assets  (35,700)  467  34,092  365  1,382  609  6,852  2,230  $ 10,297  TOTAL CURRENT ASSETS  $ 203,861  $ 695  $ 65,209  $ 3,031  $ 4,036  $ (108,323)  $ 1  $ 8,163  $ 3,486  $ 9  $ 180,168  Fixtures, Equipment & Improvements  (95)  (2)  (66)  2  $ (161)  Intangibles  21,762  $ 21,762  Investment in Subsidiary  153,447  23,145  32,575  92,733  (209,167)  $ 92,733  Restricted Cash Non-Current  $ -  Deferred Financing  3,398  $ 3,398  Other Assets  1,294  25  37  12  225  $ 1,593  TOTAL ASSETS  $ 361,905  $ 695  $ 88,377  $ 3,068  $ 36,557  $ (108,098)  $ 1  $ 8,163  $ 25,250  $ 92,733  $ (209,158)  $ 299,493  LIABILITIES & SHAREHOLDERS' EQUITY  CURRENT LIABILITIES  Accounts Payable  32,756  234  12,034  191  $ 45,215  Accrued Expense  188,078  13,190  2,894  618  834  6,037  70  347  557  56  $ 212,681  Current Loan Payable  81,427  $ 81,427  Crystal Loan Payble  $ -  Intercompany  828,925  (45,276)  (482,603)  2,560  222,197  (460,508)  59,127  (116,877)  (9,365)  1  $ (1,819)  TOTAL CURRENT LIABILITIES  $ 1,131,186  $ (32,086)  $ (479,709)  $ 3,178  $ 223,265  $ (442,437)  $ 59,197  $ (116,530)  $ (8,617)  $ 1  $ 56  $ 337,504  Deferred Rent,Tenant Allowance  1,259  (330)  2  581  $ 1,512  Retirement Benefit Plan Liabilities  6,219  $ 6,219  Uncertain Tax Liability Reserves  76  2,017  $ 2,093  Unearned Vendor Rebate  9,617  $ 9,617  Other Non Current Liabilities  61,009  (59,628)  176  $ 1,557  Non-Current Loan Payable  0  TOTAL LIABILTIES  $ 1,199,749  $ (32,086)  $ (537,650)  $ 3,178  $ 223,267  $ (432,820)  $ 59,197  $ (116,354)  $ (8,036)  $ 1  $ 56  $ 358,502  SHAREHOLDERS' EQUITY  Common Stock  816  1  $ 817  Additional Paid-in-Capital  257,688  25,134  3,001  32,576  23,145  1  1  32,575  92,733  (209,167)  $ 257,687  Other Comprehensive Income  1,182  $ 1,182  Retained Earnings  (1,093,765)  32,781  600,892  (3,111)  (219,286)  301,577  (59,197)  124,516  711  (1)  (47)  $ (314,930)  Treasury Stock  (3,765)  $ (3,765)  TOTAL SHAREHOLDERS' EQUITY  $ (837,844)  $ 32,781  $ 626,027  $ (110)  $ (186,710)  $ 324,722  $ (59,196)  $ 124,517  $ 33,286  $ 92,732  $ (209,214)  $ (59,009)  TOTAL LIABILTIES & SHAREHLD EQUITY  $ 361,905  $ 695  $ 88,377  $ 3,068  $ 36,557  $ (108,098)  $ 1  $ 8,163  $ 25,250  $ 92,733  $ (209,158)  $ 299,493  -  -  -  -  -  -  -  -  -  -  -  -  (a) Elimination Company is not a legal entity. It is included in the balance sheet to reflect entries to eliminate intercompany transactions to produce accurate consolidated financial statements. 
 

 In re Aeropostale, Inc., et al.  Case No. 16-11275  Debtors  Reporting Period:  10/02/16 - 10/29/16  STATEMENT OF CASH FLOWS  MOR-3  Due to the complexity of the sale of substantially all of the Debtors’ assets, the Debtors continue to reconcile the generalledger accounts and update the financial reporting. The Debtors will modify the financial statements as needed. 
 

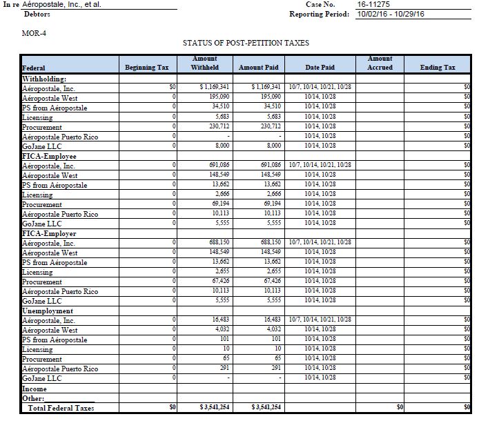
 In re Aéropostale, Inc., et al.  Case No.  16-11275  Debtors  Reporting Period:  10/02/16 - 10/29/16  MOR-4  STATUS OF POST-PETITION TAXES  Amount  Amount  Federal  Beginning Tax  Withheld  Amount Paid  Date Paid  Accrued  Ending Tax  Withholding:  Aéropostale, Inc.  $0  $ 1,169,341  $ 1,169,341  10/7, 10/14, 10/21, 10/28  $0  Aéropostale West  0  195,090  195,090  10/14, 10/28  $0  PS from Aéropostale  0  34,510  34,510  10/14, 10/28  $0  Licensing  0  5,683  5,683  10/14, 10/28  $0  Procurement  0  230,712  230,712  10/14, 10/28  $0  Aéropostale Puerto Rico  0  -  -  10/14, 10/28  $0  GoJane LLC  0  8,000  8,000  10/14, 10/28  $0  FICA-Employee  Aéropostale, Inc.  0  691,086  691,086  10/7, 10/14, 10/21, 10/28  $0  Aéropostale West  0  148,549  148,549  10/14, 10/28  $0  PS from Aéropostale  0  13,662  13,662  10/14, 10/28  $0  Licensing  0  2,666  2,666  10/14, 10/28  $0  Procurement  0  69,194  69,194  10/14, 10/28  $0  Aéropostale Puerto Rico  0  10,113  10,113  10/14, 10/28  $0  GoJane LLC  0  5,555  5,555  10/14, 10/28  $0  FICA-Employer  Aéropostale, Inc.  0  688,150  688,150  10/7, 10/14, 10/21, 10/28  $0  Aéropostale West  0  148,549  148,549  10/14, 10/28  $0  PS from Aéropostale  0  13,662  13,662  10/14, 10/28  $0  Licensing  0  2,655  2,655  10/14, 10/28  $0  Procurement  0  67,426  67,426  10/14, 10/28  $0  Aéropostale Puerto Rico  0  10,113  10,113  10/14, 10/28  $0  GoJane LLC  0  5,555  5,555  10/14, 10/28  $0  Unemployment  Aéropostale, Inc.  0  16,483  16,483  10/7, 10/14, 10/21, 10/28  $0  Aéropostale West  0  4,032  4,032  10/14, 10/28  $0  PS from Aéropostale  0  101  101  10/14, 10/28  $0  Licensing  0  10  10  10/14, 10/28  $0  Procurement  0  65  65  10/14, 10/28  $0  Aéropostale Puerto Rico  0  291  291  10/14, 10/28  $0  GoJane LLC  0  -  -  10/14, 10/28  $0  Income  Other:_____________  Total Federal Taxes  $0  $ 3,541,254  $ 3,541,254  $0  $0 
 

 In re Aéropostale, Inc., et al.  Case No.  16-11275  Debtors  Reporting Period:  10/02/16 - 10/29/16  MOR-4  STATUS OF POST-PETITION TAXES  Amount  Amount  State and Local  Beginning Tax  Withheld  Amount Paid  Date Paid  Accrued  Ending Tax  Withholding - Employee  Aéropostale, Inc.  0  306,101  306,101  10/7, 10/14, 10/21, 10/28  $0  Aéropostale West  0  56,157  56,157  10/14, 10/28  $0  PS from Aéropostale  0  7,029  7,029  10/14, 10/28  $0  Licensing  0  2,348  2,348  10/14, 10/28  $0  Procurement  0  87,621  87,621  10/14, 10/28  $0  Aéropostale Puerto Rico  0  6,141  6,141  10/14, 10/28  $0  GoJane LLC  0  2,558  2,558  10/14, 10/28  $0  Withholding - Employer  Aéropostale, Inc.  0  49,921  49,921  10/7, 10/14, 10/21, 10/28  $0  Aéropostale West  0  21,328  21,328  10/14, 10/28  $0  PS from Aéropostale  0  687  687  10/14, 10/28  $0  Licensing  0  307  307  10/14, 10/28  $0  Procurement  0  7,052  7,052  10/14, 10/28  $0  Aéropostale Puerto Rico  0  2,142  2,142  10/14, 10/28  $0  GoJane LLC  0  -  -  10/14, 10/28  $0  Sales Tax:  Aéropostale, Inc.  2,726,823  3,816,820  3,608,498  10/18  10,218  $ 2,945,363  Aéropostale West  -  1,322,500  1,322,500  10/18  $ -  Aéropostale Puerto Rico  126,965  179,161  126,965  10/18  $ 179,161  PS from Aéropostale  131,161  36,047  167,209  10/18  -  $ (0)  GoJane LLC  14,650  4,557  14,650  10/18  $ 4,557  Excise  Unemployment (a)Real Property (b)Personal Property  Aéropostale, Inc.  767,369  79,120  43,402  $ 731,651  Aéropostale West  2,088  16,108  14,019  $ (0)  Aéropostale Puerto Rico  108,043  $ 108,043  PS from Aéropostale  68,036  2,527  $ 65,509  Other:_____________  Total State and Local  $3,945,134  $ 5,908,478  $ 5,886,968  $213,305  $67,639  $ 4,034,283  Total Taxes  $ 3,945,134  $ 9,449,732  $ 9,428,223  $ 213,305  $ 67,639  $ 4,034,283  Note: Postpetition taxes for the Debtors, which are not subject to dispute or reconciliation, and are authorized to bepaid under the relief granted by the Bankruptcy Court are current. There are no national tax disputes or reconciliations.  (a) Included with State Withholding  (b) Debtor does not own any real property 
 

 In re Aéropostale, Inc., et al.  Case No.  16-11275  Debtors  Reporting Period:  10/02/16 - 10/29/16  MOR-4  SUMMARY OF UNPAID POST-PETITION DEBTS  Number of Days Past Due  Current  0-30  31-60  61-90  Over 91  Total  Accounts Payable  $ 385,887  $1,917,973  $6,238,146  $387,965  $564,321  $ 9,494,292  Wages Payable  0  0  0  0  0  $ -  Taxes Payable  4,034,283  0  0  0  0  $ 4,034,283  Rent/Leases Building  0  0  0  0  $ -  Rent/Leases Equipment  0  0  0  0  0  $0  Secured Debt/Adequate  0  0  0  0  0  $0  Protection Payments  0  0  0  0  0  $0  Professional Fees (a)  Amounts Due to Insiders  0  0  0  0  0  $0  Other:______________  0  0  0  0  0  $0  Total Post-petition Debts  $ 4,420,170  $1,917,973  $6,238,146  $387,965  $564,321  $ 13,528,575 
 

 In re Aéropostale, Inc., et al.  Case No. 16-11275  Debtors  Reporting Period:  10/02/16 - 10/29/16  MOR-5  Unaudited  ACCOUNTS RECEIVABLE RECONCILIATION AND AGING  Accounts Receivable Reconcilation  Amount  9.00  2.00  Total Accounts Receivable at the beginning of reporting period  $ 10,649,441  7748694.00  452772.00  Plus: Amounts billed during the period  (3,613,719)  1086364.00  451814.00  Less: Amounts collected during the period  (3,514)  -692702.00  -494478.00  Total Accounts Receivable at the end of the reporting period  $ 7,032,208  8142355.00  410108.00  Accounts Receivable Aging  0-30  31-60  61-90  Over 91  Total  0 - 30 days old  4,980,983  4,980,983  31 - 60 days old  485,665  485,665  61 - 90 days old  673,021  673,021  91+ days old  1,681,827  1,681,827  Total Accounts Receivable  0  Less: Bad Debts (Amounts considered uncollectible)  (784,371)  (784,371)  Net Accounts Receivable  $4,980,983  $485,665  $673,021  $897,456  $7,037,125  Note: Credit card receivables are recorded in MOR-1 with cash and cash-equivalent balance.  TAXES RECONCILIATION AND AGING  Taxes Payable  0-30  31-60  61-90  Over 91  Total  Total Taxes Payable  $ 4,034,283  $ 4,034,283 
 

 In re Aéropostale, Inc., et al.  Case No. 16-11275  Debtors  Reporting Period:  10/02/16 - 10/29/16  PAYMENTS TO INSIDERS AND PROFESSIONALS  MOR-6  INSIDERS1,2  NAME  TYPE OF PAYMENT  AMOUNT PAID  TOTAL PAID TO DATE  Multiple  Salary  229,615  1,492,500  Multiple  Auto Allowance  2,615  17,000  TOTAL PAYMENTS TO INSIDERS  $232,231  $1,509,500  PROFESSIONALS3  DATE OF COURT  ORDER  AUTHORIZING  TOTAL PAID TO  TOTAL INCURRED &  NAME  PAYMENT  AMOUNT APPROVED  AMOUNT PAID  DATE  UNPAID*  Weil, Gotshal & Manges  6/13/2016  $ 5,602,299  $ 4,537,432  $ 10,045,168  $ 2,396,739  Prime Clerk  6/13/2016  424,913  417,623  1,100,125  7,290  Stifel  6/13/2016  3,460,743  2,770,743  4,254,287  1,040,000  Province  6/13/2016  572,060  458,983  967,159  239,042  FTI  6/13/2016  -  -  1,342,970  323,030  Pachuslski Stang Ziehl & Jones  6/13/2016  1,177,764  962,657  962,657  215,107  Deloitte  6/13/2016  38,197  30,651  30,651  7,546  Hilco IP Services  6/13/2016  105,167  100,000  100,000  5,167  Development Specialists, Inc.  6/13/2016  217,913  217,913  217,913  -  TOTAL PAYMENTS TO PROFESSIONALS  $ 11,599,056  $ 9,496,001  $ 19,020,930  $ 4,233,922  DIP FINANCING  ADDITIONAL  NAME OF CREDITOR  INITIAL DRAW  DRAWS  PAID DOWN  ENDING BALANCE  FEES PAID  Crystal Finance (DIP Agent)  $ 84,247,910  $ 494,973,406  $ (579,221,316)  $ -  $ 9,924,086  Schulte Roth (DIP Legal)  236,350  Proskauer (DIP Legal)  2,241,498  TOTAL  $ 84,247,910  $ 494,973,406  $ (579,221,316)  $ -  $ 12,401,934  1Represents payments made by the Debtors to persons considered to be "insiders" under the Bankruptcy Code during the reporting period.The total is shown on a cash basis, reflecting the actual amounts received, net of any applicable taxes, withholdings or other deductions.The total includes regular payroll, fees and expense reimbursements.  2Persons included as "insiders" have been included for informational purposes only. The Debtors do not concede or take any position with respect to:  (a) such person's influence over the control of the Debtors; (b) the management responsibilities or functions of such individual; (c) the decision-makingor corporate authority of such individual; or (d) whether such individual could successfully argue that he or she is not an "insider" under applicablelaw, including, without limitation, the federal securities laws or with respect to any theories of liability or for any other purpose. Further, the inclusionof a party as an "insider" is not an acknowledgement or concession that such party is an "insider" under applicable bankruptcy law.  3On June 3, 2016, the Bankruptcy Court entered the order establishing procedures for interim compensation and reimbursement ofexpenses of professionals (ECF No. 251). Any payments made by the Debtors to estate professionals will be in accordancewith the terms and conditions set forth therein. 
 

 In re Aéropostale, Inc., et al.  Case No.  16-11275  Debtors  Reporting Period:  10/02/16 - 10/29/16  DEBTOR QUESTIONNAIRE  MOR-7  Must be completed each month. If the answer to any of the  Yes  No  questions is “Yes”, provide a detailed explanation of each item.Attach additional sheets if necessary.  1  2  3  Have any assets been sold or transferred outside the normal course of Xbusiness this reporting period?  Have any funds been disbursed from any account other than a debtor in Xpossession account this reporting period?  Is the Debtor delinquent in the timely filing of any post-petition taxreturns? X  Are workers compensation, general liability or other necessary insurance  X  4  coverages expired or cancelled, or has the debtor received notice of  expiration or cancellation of such policies?  5  6  7  X  Is the Debtor delinquent in paying any insurance premium payment?Have any payments been made on pre-petition liabilities this reporting  period? X  Are any post petition receivables (accounts, notes or loans) due from X (a)related parties?  8  Are any post petition payroll taxes past due?  X  9  Are any post petition State or Federal income taxes past due?  X  10  Are any post petition real estate taxes past due?  X  11  Are any other post petition taxes past due?  X  12  Have any pre-petition taxes been paid during this reporting period? X  13  Are any amounts owed to post petition creditors delinquent?  x ( b )  14  Are any wage payments past due?  X  15  Have any post petition loans been been received by the Debtor from anyparty? X  16  Is the Debtor delinquent in paying any U.S. Trustee fees?  X (c)  17  18  Is the Debtor delinquent with any court ordered payments to attorneys or  other professionals? XHave the owners or shareholders received any compensation outside of  the normal course of business? X  a) Intercompany accounts are maintained in accordance with the order approving the Debtors' cash managementsystem.  b) The Debtors’ continue to analyze the outstanding accounts payable. Since the end of the reporting period, theDebtors’ continued to make payments based on the interim order approving cash collateral [ECF No. 910].  c) On December 13, 2016, the Debtors were advised by the Office of the UST that one Debtor may have feesoutstanding. The Debtors are researching the matter. To the extent that such fees are owed, the Debtors willpromptly pay the outstanding balance.