Please wait
Exhibit T3 E-1
UNITED STATES BANKRUPTCY COURT
SOUTHERN DISTRICT OF NEW YORK
             
 
           
 
    )      
In re
    )     Chapter 11
 
    )      
CHARTER COMMUNICATIONS, INC., et al.,1
    )     Case No. 09-11435 (JMP)
 
    )      
Debtors.
    )     Jointly Administered
 
    )      
 
           
DEBTORS’ DISCLOSURE STATEMENT PURSUANT
TO CHAPTER 11 OF THE BANKRUPTCY CODE
WITH RESPECT TO THE DEBTORS’ JOINT PLAN OF REORGANIZATION

THIS IS NOT A SOLICITATION OF ACCEPTANCE OR REJECTION OF THE PLAN. ACCEPTANCES OR REJECTIONS MAY NOT BE SOLICITED UNTIL A DISCLOSURE STATEMENT HAS BEEN APPROVED BY THE BANKRUPTCY COURT. THIS DISCLOSURE STATEMENT IS BEING SUBMITTED FOR APPROVAL BUT HAS NOT BEEN APPROVED BY THE BANKRUPTCY COURT. THE INFORMATION IN THIS DISCLOSURE STATEMENT IS SUBJECT TO CHANGE. THIS DISCLOSURE STATEMENT IS NOT AN OFFER TO SELL ANY SECURITIES AND IS NOT SOLICITING AN OFFER TO BUY ANY SECURITIES.
     
KIRKLAND & ELLIS LLP
  KIRKLAND & ELLIS LLP
Citigroup Center
  200 East Randolph Drive
153 East 53rd Street
  Chicago, Illinois 60601-6636
New York, New York 10022-4611
  Telephone: (312) 861-2000
Telephone: (212) 446-4800
  Facsimile: (312) 851-2200
Facsimile: (212) 446-4900
  Ray C. Schrock
Richard M. Cieri
   
Paul M. Basta
   
Stephen E. Hessler
   
 
   
 
  Counsel to the Debtors and Debtors in Possession
(other than Charter Investment, Inc.)
TOGUT, SEGAL & SEGAL LLP
   
One Penn Plaza
   
New York, New York 10119
   
Telephone: (212) 594-5000
   
Facsimile: (212) 967-4258
   
Albert Togut
   
Frank A. Oswald
   
 
  Counsel to the Debtor and Debtor in Possession Charter Investment, Inc.
 
1   The Debtors in these cases include: Ausable Cable TV, Inc.; Hometown TV, Inc.; Plattsburgh Cablevision, Inc.; Charter Communications Entertainment, LLC; Falcon First Cable of New York, Inc.; Charter Communications, Inc.; Charter Communications Holding Company, LLC; CCHC, LLC; Charter Communications Holdings, LLC; CCH I Holdings, LLC; CCH I, LLC; CCH II, LLC; CCO Holdings, LLC; Charter Communications Operating, LLC; American Cable Entertainment Company, LLC; Athens Cablevision, Inc.; Cable Equities Colorado, LLC; Cable Equities of Colorado Management Corp.; CC 10, LLC; CC Fiberlink, LLC; CC Michigan, LLC; CC Systems, LLC; CC V Holdings, LLC; CC VI Fiberlink, LLC; CC VI Operating, LLC; CC VII Fiberlink, LLC; CC VIII Fiberlink, LLC; CC VIII Holdings, LLC; CC VIII Leasing of Wisconsin, LLC; CC VIII Operating, LLC; CC VIII, LLC; CCH I Capital Corp.; CCH I Holdings Capital Corp.; CCH II Capital Corp.; CCO Fiberlink, LLC; CCO Holdings Capital Corp.; CCO NR Holdings, LLC; CCO Purchasing, LLC; Charter Advertising of Saint Louis, LLC; Charter Cable Leasing of Wisconsin, LLC; Charter Cable Operating Company, L.L.C.; Charter Cable Partners, L.L.C.; Charter Communications Entertainment I, DST; Charter Communications Entertainment I, LLC; Charter Communications Entertainment II, LLC; Charter Communications Holdings Capital Corporation; Charter Communications Operating Capital Corp.; Charter Communications Properties LLC; Charter Communications V, LLC; Charter Communications Ventures, LLC; Charter Communications VI, LLC; Charter Communications VII, LLC; Charter Communications, LLC; Charter Distribution, LLC; Charter Fiberlink — Alabama, LLC; Charter Fiberlink AR-CCVII, LLC; Charter Fiberlink AZ-CCVII, LLC; Charter Fiberlink CA-CCO, LLC; Charter Fiberlink CA-CCVII, LLC; Charter Fiberlink CC VIII, LLC; Charter Fiberlink CCO, LLC; Charter Fiberlink CT-CCO, LLC; (continued on next page)

 


 

(continued)
 
    Charter Fiberlink — Georgia, LLC; Charter Fiberlink ID-CCVII, LLC; Charter Fiberlink — Illinois, LLC; Charter Fiberlink IN-CCO, LLC; Charter Fiberlink KS-CCO, LLC; Charter Fiberlink LA-CCO, LLC; Charter Fiberlink MA-CCO, LLC; Charter Fiberlink — Michigan, LLC; Charter Fiberlink — Missouri, LLC; Charter Fiberlink MS-CCVI, LLC; Charter Fiberlink NC-CCO, LLC; Charter Fiberlink NC-CCVII, LLC; Charter Fiberlink — Nebraska, LLC; Charter Fiberlink NH-CCO, LLC; Charter Fiberlink NM-CCO, LLC; Charter Fiberlink NV-CCVII, LLC; Charter Fiberlink NY-CCO, LLC; Charter Fiberlink NY-CCVII, LLC; Charter Fiberlink OH-CCO, LLC; Charter Fiberlink OK-CCVII, LLC; Charter Fiberlink OR-CCVII, LLC; Charter Fiberlink SC-CCO, LLC; Charter Fiberlink SC-CCVII, LLC; Charter Fiberlink — Tennessee, LLC; Charter Fiberlink TX-CCO, LLC; Charter Fiberlink UT-CCVII, LLC; Charter Fiberlink VA-CCO, LLC; Charter Fiberlink VT-CCO, LLC; Charter Fiberlink WA-CCVII, LLC; Charter Fiberlink — Wisconsin, LLC; Charter Fiberlink WV-CCO, LLC; Charter Fiberlink, LLC; Charter Gateway, LLC; Charter Helicon, LLC; Charter Investment, Inc.; Charter RMG, LLC; Charter Stores FCN, LLC; Charter Video Electronics, Inc.; Dalton Cablevision, Inc.; Enstar Communications Corporation; Falcon Cable Communications, LLC; Falcon Cable Media, a California Limited Partnership; Falcon Cable Systems Company II, L.P.; Falcon Cablevision, a California Limited Partnership; Falcon Community Cable, L.P.; Falcon Community Ventures I, LP; Falcon First Cable of the Southeast, Inc.; Falcon First, Inc.; Falcon Telecable, a California Limited Partnership; Falcon Video Communications, L.P.; Helicon Partners I, L.P.; HPI Acquisition Co., L.L.C.; Interlink Communications Partners, LLC; Long Beach, LLC; Marcus Cable Associates, L.L.C.; Marcus Cable of Alabama, L.L.C.; Marcus Cable, Inc.; Midwest Cable Communications, Inc.; Pacific Microwave; Peachtree Cable TV, L.P.; Peachtree Cable T.V., LLC; Renaissance Media LLC; Rifkin Acquisition Partners, LLC; Robin Media Group, Inc.; Scottsboro TV Cable, Inc.; Tennessee, LLC; The Helicon Group, L.P.; Tioga Cable Company, Inc.; and Vista Broadband Communications, LLC.

 


 

TABLE OF CONTENTS
         
    Page  
Important Information About This Disclosure Statement
    1  
 
Questions and Answers Regarding this Disclosure Statement and the Plan
    4  
 
Our History and Our Chapter 11 Cases
    14  
 
Important Aspects of the Plan
    24  
 
Treatment of Claims Against and Interests in the Debtors
    32  
 
Management of the Company After the Effective Date
    56  
 
Composition of New Board of Directors After the Effective Date
    57  
 
The Reorganized Debtors Upon Emergence
    58  
 
The Reorganized Company’s Capitalization Upon Consummation of the Plan
    59  
 
Description of the New CCH II Notes
    62  
 
Description of Capital Stock
    64  
 
Reorganized Company’s Ownership Upon Emergence
    67  
 
Summary of Legal Proceedings
    68  
 
Projected Financial Information
    75  
 
Risk Factors
    76  
 
Confirmation Of The Plan
    90  
 
Effect Of Confirmation Of The Plan
    94  
 
Important Securities Law Disclosure
    98  
 
Voting Instructions
    99  
 
Certain U.S. Federal Income Tax Consequences Of The Plan
    102  
 
Recommendation
    110  

i


 

EXHIBITS
     
EXHIBIT A
  Joint Plan of Reorganization
 
   
EXHIBIT B
  Disclosure Statement Order
 
   
EXHIBIT C
  Reorganized Debtors’ Financial Projections
 
   
EXHIBIT D
  Reorganized Debtors’ Valuation Analysis
 
   
EXHIBIT E
  Liquidation Analysis
 
   
EXHIBIT F
  Reconciliation of Non-GAAP Measures

ii


 

Important Information About This Disclosure Statement
          This Disclosure Statement provides information regarding the Plan of Reorganization that the Debtors are seeking to have confirmed by the Bankruptcy Court. The Debtors believe that the Plan is in the best interests of all creditors. The Debtors urge all holders of Claims and Interests entitled to vote on the Plan to vote in favor of the Plan.
           References to “New Class A Stock” in this Disclosure Statement are to the new Class A common stock, par value $0.001 per share, references to “New Class B Stock” in this Disclosure Statement are to the new Class B common stock, par value $0.001 per share, and references to “New Preferred Stock” in this Disclosure Statement are to the Series A 15% Pay-In-Kind Preferred Stock, par value $.001 per share, in each case that reorganized Charter Communications, Inc. (the “Reorganized Company”) will issue upon emergence as described in this Disclosure Statement and in accordance with the Plan. References to “New Common Stock” in this Disclosure Statement are to the New Class A Stock and New Class B Stock, collectively.
          References to the New CCH II Notes are to the 13.5% Senior Notes due 2016 that CCH II, LLC and CCH II Capital Corp. will issue upon emergence as described in this Disclosure Statement and in accordance with the Plan.
          References to the “Plan” are to the Joint Plan of Reorganization attached as Exhibit A hereto. All capitalized terms used but not otherwise defined herein will have the meaning ascribed to them in the Plan.
          References to the “Bankruptcy Court” are to the United States Bankruptcy Court for the Southern District of New York, the court in which Charter Communications, Inc. (“CCI”) and its direct and indirect subsidiaries and certain of its affiliates (collectively, the “Debtors”) filed voluntary petitions seeking reorganization relief under the provisions of Chapter 11 of the Bankruptcy Code. References to the “Petition Date” are to March 27, 2009.
          Unless the context requires otherwise, reference to “we,” “our,” and “us” are to the Debtors.
          The confirmation of the Plan and effectiveness of the Plan are subject to certain material conditions precedent described herein. There is no assurance that the Plan will be confirmed, or if confirmed, that the conditions required to be satisfied will be satisfied or waived.
          You are encouraged to read this Disclosure Statement in its entirety, including without limitation, the Plan, which is annexed as Exhibit A hereto, and the section entitled “Risk Factors,” prior to submitting your ballot to vote on the Plan.
          The Bankruptcy Court’s approval of this Disclosure Statement does not constitute a guarantee of the accuracy or completeness of the information contained herein or an endorsement of the merits of the Plan by the Bankruptcy Court.
          Summaries of the Plan and statements made in this Disclosure Statement are qualified in their entirety by reference to the Plan, the exhibits and schedules attached to the Plan and this Disclosure Statement and the Plan Supplement. The statements contained in this Disclosure Statement are made only as of the date of this Disclosure Statement, and there is no assurance that the statements contained herein will be correct at any time after such date. Except as otherwise provided in the Plan or in accordance with applicable law, the Debtors are under no duty to update or supplement this Disclosure Statement.
          The information contained in this Disclosure Statement is included for purposes of soliciting acceptances to, and confirmation of, the Plan and may not be relied on for any other purpose. The Debtors believe that the summary of certain provisions of the Plan and certain other documents and financial information contained or referenced in this Disclosure Statement is fair and accurate. The summaries of the financial information and the documents annexed to this Disclosure Statement, including, but not limited to, the Plan and the Plan Documents, or otherwise incorporated herein by reference, are qualified in their entirety by reference to those documents. In the

1


 

event of any inconsistency between this Disclosure Statement and the Plan, the relevant provision of the Plan, as it relates to such inconsistency, will govern.
          No representations concerning the Debtors or the value of the Debtors’ property have been authorized by the Debtors other than as set forth in this Disclosure Statement. Any information, representations or inducements made to obtain acceptance of the Plan, which are other than or inconsistent with the information contained in this Disclosure Statement and in the Plan, should not be relied on by any claim holder entitled to vote on the Plan.
          This Disclosure Statement has not been approved or disapproved by the United States Securities and Exchange Commission (the “SEC”) or any similar federal, state, local or foreign regulatory agency, nor has the SEC or any other such agency passed upon the accuracy or adequacy of the statements contained in this Disclosure Statement.
          The Debtors have sought to ensure the accuracy of the financial information provided in this Disclosure Statement, but the financial information contained in, or incorporated by reference into, this Disclosure Statement has not been and will not be audited or reviewed by the Debtors’ independent auditors unless explicitly provided otherwise.
          Some of the securities described in this Disclosure Statement will be issued without registration under the Securities Act of 1933, as amended (the “Securities Act”), or similar federal, state, local or foreign laws, in reliance on the exemption set forth in section 1145 of the Bankruptcy Code. Other securities may be issued pursuant to other applicable exemptions under the federal securities laws. To the extent exemptions from registration, other than section 1145, apply, such securities may not be offered or sold except pursuant to a valid exemption or upon registration under the Securities Act.
          The Debtors make statements in this Disclosure Statement that are considered forward-looking statements under the federal securities laws. The Debtors consider all statements regarding anticipated or future matters, including the following, to be forward-looking statements:
  any future effects as a result of the pendency of the Chapter 11 Cases;
  the Debtors’ expected future financial position, liquidity, results of operations, profitability and cash flows;
  projected dividends
  competitive position;
  business strategy;
  budgets;
  projected cost reductions;
  projected and estimated liability costs, including pension, retiree, tort and environmental costs and costs of environmental remediation;
  results of litigation;
  disruption of operations;
  plans and objectives of management for future operations;
  contractual obligations;
  off-balance sheet arrangements;
  growth opportunities for existing products and services;
  projected price increases;
  projected general market conditions;
  benefits from new technology; and
  effect of changes in accounting due to recently issued accounting standards.

2


 

          Statements concerning these and other matters are not guarantees of the Debtors’ future performance. Such statements represent the Debtors’ estimates and assumptions only as of the date such statements were made. There are risks, uncertainties and other important factors that could cause the Debtors’ actual performance or achievements to be materially different from those they may project and the Debtors undertake no obligation to update any such statement. These risks, uncertainties and factors include:
  the Debtors’ ability to confirm and consummate the Plan;
  the Debtors’ ability to reduce their overall financial leverage;
  the potential adverse impact of the Chapter 11 Cases on the Debtors’ operations, management and employees, and the risks associated with operating businesses in the Chapter 11 Cases;
  customer response to the Chapter 11 Cases;
  inability to have Claims discharged/settled during the Chapter 11 proceedings;
  the reinstatement and unimpairment of certain credit facilities, indentures and notes may be challenged by the banks and/or other interested parties;
  our ability to comply with all covenants in our indentures and credit facilities, any violation of which, if not cured in a timely manner, could trigger defaults under and acceleration of our indebtedness and our other obligations under cross-default provisions;
  the availability and access, in general, of funds to meet interest payment obligations under our debt and to fund our operations and necessary capital expenditures, either through cash on hand, cash flows from operating activities, further borrowings or other sources and, in particular, our ability to fund debt obligations (by dividend, investment or otherwise) to the applicable obligor of such debt;
  our ability to repay debt prior to or when it becomes due and/or successfully access the capital or credit markets to refinance that debt through new issuances, exchange offers or otherwise, including restructuring our balance sheet and leverage position, especially given recent volatility and disruption in the capital and credit markets;
  the impact of competition from other distributors, including, but not limited to, incumbent telephone companies, direct broadcast satellite operators, wireless broadband providers, and digital subscriber line (“DSL”) providers;
  difficulties in growing and operating our telephone services, while adequately meeting customer expectations for the reliability of voice services;
  our ability to adequately meet demand for installations and customer service;
  our ability to sustain and grow revenues and cash flows from operating activities by offering video, high-speed Internet, telephone and other services, and to maintain and grow our customer base, particularly in the face of increasingly aggressive competition;
  our ability to obtain programming at reasonable prices or to adequately raise prices to offset the effects of higher programming costs;
  general business conditions, economic uncertainty or downturn, including the recent volatility and disruption in the capital and credit markets and the significant downturn in the housing sector and overall economy; and
  the effects of governmental regulation on our business.
          Additional factors that could cause actual results to differ materially from the forward-looking statements we make in this Disclosure Statement are set forth in the reports or documents that we file from time to time with the SEC, including our most recent Annual Report on Form 10-K filed with the SEC on March 16, 2009 (File No. 001-33664), including any amendments thereto, each of which is hereby incorporated by reference herein.

3


 

Questions and Answers Regarding this Disclosure Statement and the Plan
Why are the Debtors sending me this Disclosure Statement?
          The Debtors are seeking to obtain Bankruptcy Court approval of the Plan. Prior to soliciting acceptances of the Plan, section 1125 of the Bankruptcy Code requires the Debtors to prepare a Disclosure Statement containing adequate information of a kind, and in sufficient detail, to enable a hypothetical reasonable investor to make an informed judgment regarding acceptance of the Plan. This Disclosure Statement is being submitted in accordance with such requirements.
Am I entitled to vote on the Plan? What will I receive from the Debtors if the Plan is consummated?
          Your ability to vote and your distribution under the Plan, if any, depend on what kind of Claim or Interest you hold. A summary of the classes of Claims and Interests and their respective voting statuses and anticipated recoveries is set forth below.
          The following chart is a summary of the classification and treatment of Claims and Interests and the potential distributions under the Plan. Any estimates of Claims or Interests in this Disclosure Statement may vary from the final amounts allowed by the Bankruptcy Court. As a result of the foregoing and other uncertainties which are inherent in the estimates, the estimated recoveries in this Disclosure Statement may vary from the actual recoveries received. In addition, your ability to receive distributions under the Plan depends upon the ability of the Debtors to obtain Confirmation of the Plan and meet the conditions to the Effective Date of the Plan. See “Confirmation of the Plan,” which begins on page 90, for a discussion of the conditions to the Effectiveness of the Plan. The recoveries set forth below are projected recoveries only and may change based upon changes in the amount of Allowed Claims as well as other factors related to the Debtors’ business operations and general economic conditions. Reference should be made to this entire Disclosure Statement and the Plan for a complete description of the classification and treatment of Allowed Claims against and Interests in each of the Debtors.
                     
                Estimated
                Recovery
                Under the
Class   Claims and Interests   Status   Voting Rights   Plan
CCI
   
 
               
A-1  
Priority Non-Tax Claims against CCI
  Unimpaired   Not Entitled to Vote (Deemed to Accept)     100 %
   
 
               
A-2  
Secured Claims against CCI
  Unimpaired   Not Entitled to Vote (Deemed to Accept)     100 %
   
 
               
A-3  
General Unsecured Claims against CCI (other than all General Unsecured Claims against CCI held by any CII Settlement Claim Party)
  Impaired   Entitled to Vote     100 %
   
 
               
A-4  
CCI Notes Claims
  Impaired   Entitled to Vote     19.4 %
   
 
               
A-5  
Section 510(b) Claims against CCI (other than all Section 510(b) Claims against CCI held by any CII Settlement Claim Party)
  Impaired   Not Entitled to Vote (Deemed to Reject)     0 %
   
 
               
A-6  
Interests in CCI (other than all Interests in CCI held by any CII Settlement Claim Party)
  Impaired   Not Entitled to Vote (Deemed to Reject)     0 %
   
 
               
CII
   
 
               
B-1  
Priority Non-Tax Claims against CII
  Unimpaired   Not Entitled to Vote (Deemed to Accept)     100 %

4


 

                     
                Estimated
                Recovery
                Under the
Class   Claims and Interests   Status   Voting Rights   Plan
B-2  
Secured Claims against CII
  Unimpaired   Not Entitled to Vote (Deemed to Accept)     100 %
   
 
               
B-3  
General Unsecured Claims against CII
  Impaired   Entitled to Vote     100 %
   
 
               
B-4  
CII Shareholder Claims
  Impaired   Entitled to Vote        
   
 
               
Holdco, Enstar Communications Corporation, and Charter Gateway, LLC
   
 
               
C-1  
Priority Non-Tax Claims against Holdco, Enstar Communications Corporation, and Charter Gateway, LLC
  Unimpaired   Not Entitled to Vote (Deemed to Accept)     100 %
   
 
               
C-2  
Secured Claims against Holdco, Enstar Communications Corporation, and Charter Gateway, LLC
  Unimpaired   Not Entitled to Vote (Deemed to Accept)     100 %
   
 
               
C-3  
General Unsecured Claims against Holdco, Enstar Communications Corporation, and Charter Gateway, LLC
  Impaired   Entitled to Vote     100 %
   
 
               
C-4  
Holdco Notes Claims
  Impaired   Entitled to Vote     3.9 %
   
 
               
C-5  
Section 510(b) Claims against Holdco, Enstar Communications Corporation, and Charter Gateway, LLC
  Impaired   Not Entitled to Vote (Deemed to Reject)     0 %
   
 
               
C-6  
Interests in Holdco, Enstar Communications Corporation, and Charter Gateway, LLC (other than all Interests in Holdco held by any CII Settlement Claim Party)
  Impaired   Not Entitled to Vote (Deemed to Reject)     0 %
   
 
               
CCHC
   
 
               
D-1  
Priority Non-Tax Claims against CCHC
  Unimpaired   Not Entitled to Vote (Deemed to Accept)     100 %
   
 
               
D-2  
Secured Claims against CCHC
  Unimpaired   Not Entitled to Vote (Deemed to Accept)     100 %
   
 
               
D-3  
General Unsecured Claims against CCHC (other than all General Unsecured Claims against CCHC held by any CII Settlement Claim Party)
  Impaired   Entitled to Vote     100 %
   
 
               
D-4  
Section 510(b) Claims against CCHC
  Impaired   Not Entitled to Vote (Deemed to Reject)     0 %
   
 
               
D-5  
Interests in CCHC
  Impaired   Not Entitled to Vote (Deemed to Reject)     0 %
   
 
               
CCH and Charter Communications Holdings Capital Corp.

5


 

                     
                Estimated
                Recovery
                Under the
Class   Claims and Interests   Status   Voting Rights   Plan
E-1  
Priority Non-Tax Claims against CCH and Charter Communications Holdings Capital Corp.
  Unimpaired   Not Entitled to Vote (Deemed to Accept)     100 %
   
 
               
E-2  
Secured Claims against CCH and Charter Communications Holdings Capital Corp.
  Unimpaired   Not Entitled to Vote (Deemed to Accept)     100 %
   
 
               
E-3  
General Unsecured Claims against CCH and Charter Communications Holdings Capital Corp.
  Impaired   Entitled to Vote     100 %
   
 
               
E-4  
CCH Notes Claims
  Impaired   Entitled to Vote     0.4 %
   
 
               
E-5  
Section 510(b) Claims against CCH and Charter Communications Holdings Capital Corp.
  Impaired   Not Entitled to Vote (Deemed to Reject)     0 %
   
 
               
E-6  
Interests in CCH and Charter Communications Holdings Capital Corp.
  Impaired   Not Entitled to Vote (Deemed to Reject)     0 %
   
 
               
CIH and CCH I Holdings Capital Corp.
   
 
               
F-1  
Priority Non-Tax Claims against CIH and CCH I Holdings Capital Corp.
  Unimpaired   Not Entitled to Vote (Deemed to Accept)     100 %
   
 
               
F-2  
Secured Claims against CIH and CCH I Holdings Capital Corp.
  Unimpaired   Not Entitled to Vote (Deemed to Accept)     100 %
   
 
               
F-3  
General Unsecured Claims against CIH and CCH I Holdings Capital Corp.
  Impaired   Entitled to Vote     100 %
   
 
               
F-4  
CIH Notes Claims
  Impaired   Entitled to Vote     0.5 %
   
 
               
F-5  
Section 510(b) Claims against CIH and CCH I Holdings Capital Corp.
  Impaired   Not Entitled to Vote (Deemed to Reject)     0 %
   
 
               
F-6  
Interests in CIH and CCH I Holdings Capital Corp.
  Impaired   Not Entitled to Vote (Deemed to Reject)     0 %
   
 
               
CCH I and CCH I Capital Corp.
   
 
               
G-1  
Priority Non-Tax Claims against CCH I and CCH I Capital Corp.
  Unimpaired   Not Entitled to Vote (Deemed to Accept)     100 %
   
 
               
G-2  
Secured Claims against CCH I and CCH I Capital Corp.
  Unimpaired   Not Entitled to Vote (Deemed to Accept)     100 %
   
 
               
G-3  
General Unsecured Claims against CCH I and CCH I Capital Corp.
  Impaired   Entitled to Vote     100 %
   
 
               
G-4  
CCH I Notes Claims
  Impaired   Entitled to Vote     12.7 %
   
 
               
G-5  
Section 510(b) Claims against CCH I and CCH I Capital Corp.
  Impaired   Not Entitled to Vote (Deemed to Reject)     0 %

6


 

                     
                Estimated
                Recovery
                Under the
Class   Claims and Interests   Status   Voting Rights   Plan
G-6  
Interests in CCH I and CCH I Capital Corp.
  Impaired   Not Entitled to Vote (Deemed to Reject)     0 %
   
 
               
CCH II and CCH II Capital Corp.
   
 
               
H-1  
Priority Non-Tax Claims against CCH II and CCH II Capital Corp.
  Unimpaired   Not Entitled to Vote (Deemed to Accept)     100 %
   
 
               
H-2  
Secured Claims against CCH II and CCH II Capital Corp.
  Unimpaired   Not Entitled to Vote (Deemed to Accept)     100 %
   
 
               
H-3  
General Unsecured Claims against CCH II and CCH II Capital Corp.
  Impaired   Entitled to Vote     100 %
   
 
               
H-4  
CCH II Notes Claims
  Impaired   Entitled to Vote     100 %
   
 
               
H-5  
Section 510(b) Claims against CCH II and CCH II Capital Corp.
  Impaired   Not Entitled to Vote (Deemed to Reject)     0 %
   
 
               
H-6  
Interests in CCH II and CCH II Capital Corp.
  Impaired   Not Entitled to Vote (Deemed to Reject)     0 %
   
 
               
CCOH and CCO Holdings Capital Corp.            
   
 
               
I-1  
CCOH Credit Facility Claims
  Unimpaired   Not Entitled to Vote (Deemed to Accept)     100 %
   
 
               
I-2  
CCOH Notes Claims
  Unimpaired   Not Entitled to Vote (Deemed to Accept)     100 %
   
 
               
I-3  
Priority Non-Tax Claims against CCOH and CCO Holdings Capital Corp.
  Unimpaired   Not Entitled to Vote (Deemed to Accept)     100 %
   
 
               
I-4  
Secured Claims against CCOH and CCO Holdings Capital Corp.
  Unimpaired   Not Entitled to Vote (Deemed to Accept)     100 %
   
 
               
I-5  
General Unsecured Claims against CCOH and CCO Holdings Capital Corp.
  Impaired   Entitled to Vote     100 %
   
 
               
I-6  
Interests in CCOH and CCO Holdings Capital Corp.
  Unimpaired   Not Entitled to Vote (Deemed to Accept)     N/A  
   
 
               
CCO and its direct and indirect subsidiaries (other than the CC VIII Preferred Units held by Holders of CII Settlement Claims)
   
 
               
J-1  
CCO Credit Facility Claims
  Unimpaired   Not Entitled to Vote (Deemed to Accept)     100 %
   
 
               
J-2  
CCO Swap Agreements Claims
  Impaired   Entitled to Vote     100 %
   
 
               
J-3  
CCO Notes Claims
  Unimpaired   Not Entitled to Vote (Deemed to Accept)     100 %
   
 
               
J-4  
Priority Non-Tax Claims against CCO and its direct and indirect subsidiaries
  Unimpaired   Not Entitled to Vote (Deemed to Accept)     100 %
   
 
               
J-5  
Secured Claims against CCO and its direct and indirect subsidiaries
  Unimpaired   Not Entitled to Vote (Deemed to Accept)     100 %
   
 
               
J-6  
General Unsecured Claims against CCO and its direct and indirect subsidiaries
  Impaired   Entitled to Vote     100 %

7


 

                 
                Estimated
                Recovery
                Under the
Class   Claims and Interests   Status   Voting Rights   Plan
J-7  
Interests in CCO and its direct and indirect subsidiaries (other than CC VIII Preferred Units held by a CII Settlement Claim Party)
  Unimpaired   Not Entitled to Vote (Deemed to Accept)   N/A
          In the ordinary course of the Debtors’ business, certain of the Debtors hold Claims or other Interests in the form of intercompany Claims or Interests (the “Intercompany Claims or Interests”). The summary above includes Intercompany Claims or Interests between certain Debtors, which may or may not be impaired depending on which Debtors such Claims or Interests are against.
          For more information about the treatment of Claims and Interests see “Treatment of Claims Against and Interests in the Debtors,” which begins on page 32.
What happens to my recovery if the Plan is not confirmed, or does not go effective?
          In the event that the Plan is not confirmed, there is no assurance that the Debtors will be able to reorganize their business. If the Plan is not confirmed in a timely manner, it is unclear whether the transactions contemplated thereby could be implemented and what Holders of Claims and Interests would ultimately receive in respect of their Claims and Interests. It is possible that any alternative may provide Holders of Claims or Interests with less than they would have received pursuant to the Plan. Moreover, nonconfirmation of the Plan may result in an extended Chapter 11 proceeding. For a more detailed description of the consequences of this or of a liquidation scenario, see “Confirmation of the Plan — Best Interests of Creditors/Liquidation Analysis,” which begins on page 91, and the Liquidation Analysis attached as Exhibit E to this Disclosure Statement.
If the Plan provides that I get a distribution, do I get it upon Confirmation or when the Plan goes effective, and what do you mean when you refer to “Confirmation,” “Effective Date” and “consummation?”
          “Confirmation” of the Plan refers to the approval of the Plan by the Bankruptcy Court. Confirmation of the Plan does not guarantee that you will receive the distribution indicated under the Plan. After Confirmation of the Plan by the Bankruptcy Court, there are conditions that need to be satisfied or waived so that the Plan can be consummated and go effective. References to the “Effective Date” mean the date that all conditions to the Plan have been satisfied or waived and the Plan has been fully consummated. Distributions will only be made on the Effective Date or as soon as practicable thereafter. See “Confirmation of the Plan,” which begins on page 90, for a discussion of the conditions to consummation.
Where is the cash required to fund the Plan coming from?
          The cash required to fund the Plan will come from cash from operations, the sale and issuance of up to $267 million aggregate principal amount of additional New CCH II Notes and the proceeds of an offering of rights (the “Rights”) to holders, as of the close of business on April 17, 2009, which is the date that is 12 days prior to the date for which the Disclosure Statement hearing was originally scheduled (the “Rights Offering Record Date”), of senior notes of CCH I (“CCH I Notes”), or transferees of such holders, that have completed and delivered an investor certification by May 11, 2009 and are accredited investors (as defined under Rule 501 of the Securities Act) or qualified institutional buyers (as defined in Rule 144A under the Securities Act) (together, the “Eligible CCH I Notes Claim Holders”), to purchase shares of New Class A Stock along with the issuance of shares of New Class A Stock to existing holders of CCH I Notes as of such date and that have timely and affirmatively demonstrated that they are not Eligible CCH I Notes Claim Holders (such offering of Rights and issuance of shares, together, the “Rights Offering”). Specifically, up to approximately $1.6 billion in cash proceeds will be raised through the Rights Offering and up to an additional $400 million in cash proceeds may be raised through the Overallotment Option. Certain holders of approximately $4.1 billion in aggregate principal amount of notes issued by CCH I and CCH II (the “Committed Parties”) have agreed to fully backstop the Rights Offering and have committed to purchase the

8


 

additional New CCH II Notes as described above (the “New CCH II Notes Commitment”). See “Important Aspects of the Plan,” which begins on page 24.
Are there risks to owning an interest in the Debtors upon emergence from bankruptcy?
          Yes, please see “Risk Factors,” which begins on page 76.
What are the terms of the New CCH II Notes?
          The terms of the New CCH II Notes are described in “Description of the New CCH II Notes,” which begins on page 62.
Is there potential litigation related to the Plan?
          Yes, in the event it becomes necessary to confirm the Plan over the objection of certain Classes, the Debtors may seek confirmation of the Plan notwithstanding the dissent of certain Classes of Claims. The Bankruptcy Court may confirm the Plan pursuant to the “cramdown” provisions of the Bankruptcy Code, which allow the Bankruptcy Court to confirm a plan that has been rejected by an impaired Class of Claims if it determines that the Plan satisfies section 1129(b) of the Bankruptcy Code.
          In addition, certain creditors have challenged the reinstatement and unimpairment of certain credit facilities, indentures and notes under, and other aspects of, the Plan. See “Summary of Legal Proceedings — Legal Proceedings in Bankruptcy Court — Challenges to the Plan” which begins on page 68 and “Risk Factors — Risks Relating to Bankruptcy — The Debtors May Not Be Able to Obtain Confirmation of the Plan,” which begins on page 76.
Will CCI, during the Chapter 11 Cases, and the Reorganized Company thereafter, continue filing reports with the SEC?
          Yes, it is expected that CCI and the Reorganized Company will continue to file periodic and other reports with the SEC.
Will the New Class A Stock be listed on any stock exchange?
          The Reorganized Company will cause the New Class A Stock to be listed on the NASDAQ Global Select Market as promptly as practicable but in no event prior to the later of (x) the 46th day following the Effective Date and (y) October 15, 2009 (unless Paul G. Allen and the Reorganized Company agree to an earlier date), and the Reorganized Company will maintain such listing thereafter.
Who will receive the Reorganized Company’s capital stock and what rights will the Reorganized Company’s new stockholders have?
          New Class A Stock. Shares of New Class A Stock will be issued to (a) participants in the Rights Offering (in the case of an Eligible CCH I Notes Claim Holder, upon the exercise of its Rights), (b) Equity Backstop Parties upon the exercise of the Overallotment Option, (c) Holders of Claims with respect to the CCH I Notes, (d) the Allen Entities upon exchange of their Reorganized Holdco equity pursuant to the reorganized Holdco Exchange Agreement, to be entered into by the Reorganized Company, reorganized Holdco, reorganized CII and Mr. Allen (the “Reorganized Holdco Exchange Agreement”), (e) holders of Warrants upon any exercise of such Warrants, and (f) holders of equity-based awards issued under the Management Incentive Plan, in each case in the respective amounts described in the Plan. Under the Plan, approximately 19.5% of the New Class A Stock will be distributed to CCH I Notes Claim Holders and approximately 80.5% of the New Class A Stock will be sold pursuant to the Rights Offering (which percentages do not give effect to any exercise of the CCH Warrants, CIH Warrants, or CII Settlement Claim Warrants or the Overallotment Option). See “The Reorganized Company’s Ownership Upon Emergence,” which begins on page 67. Except as otherwise provided in the Reorganized Company’s amended and restated certificate of incorporation (the “Amended and Restated Certificate of Incorporation”), each share of New Class A Stock will be entitled to one vote.

9


 

          New Class B Stock. The New Class B Stock will be identical to the New Class A Stock except with respect to certain voting, transfer and conversion rights. Each share of New Class B Stock will be entitled to a number of votes such that the aggregate number of votes attributable to the shares of New Class B Stock will at all times equal 35% of the combined voting power of the capital stock of the Reorganized Company. Subject to the Lock-Up Agreement, each share of New Class B Stock will be convertible into one share of New Class A Stock at the option of the Holder. In addition, each share of New Class B Stock will be convertible into one share of New Class A Stock (i) at any time on or after January 1, 2011 and until September 15, 2014, at the election of a majority of the disinterested members of the Board of Directors, and (ii) at any time on or after September 15, 2014 at the election of a majority of the members of the Board of Directors (other than members of the Board of Directors elected by the holders of New Class B Stock). New Class B Stock will only be issued to and can only be held by the Authorized Class B Holders. New Class B Stock will be subject to restrictions on conversion and transfer as set forth in the Lock-Up Agreement to be entered into between the Reorganized Company and Mr. Allen (the “Lock-Up Agreement”). See “Important Aspects of the Plan — Lock-Up Agreement” on page 28.
          New Preferred Stock. Shares of New Preferred Stock will be issued to Holders of CCI Notes in the respective amounts described in the Plan. The New Preferred Stock will not be publicly listed or traded.
          Warrants. Warrants to be issued pursuant to the Plan will consist solely of CIH Warrants, CCH Warrants and CII Settlement Claim Warrants.
          See “Description of Capital Stock,” which begins on page 64.
Will there be releases granted to parties in interest as part of the Plan?
          Yes, see “Releases,” which begins on page 96.
What are the contents of the solicitation packages to be sent to creditors who are eligible to vote on the Plan?
          In accordance with the terms of the Bankruptcy Court order approving this Disclosure Statement, all parties in interest will receive a notice of the hearing on the Confirmation of the Plan. Additionally, holders of Claims who are eligible to vote on the Plan will receive this Disclosure Statement, including the exhibits attached hereto, and ballots to vote in respect of their Claims. In addition, Eligible CCH I Notes Claim Holders will receive a separate solicitation package, which will contain the Rights Offering Documents.
          The notices sent to parties in interest will indicate that this Disclosure Statement, the Plan (including the Plan Supplement) and all of the exhibits thereto are (and in the case of any other supplement to the Plan will be) available for viewing by any party at: www.kccllc.net/charter.
How do I vote for or against the Plan?
          This Disclosure Statement, accompanied by a ballot or ballots to be used for voting on the Plan, is being distributed to the holders of Claims and Interests entitled to vote on the Plan. If you are a holder of Claims or Interests in the following classes (collectively, the “Voting Classes”), you may vote for or against the Plan by completing the ballot and returning it in the envelope provided:
                    Class A-3 (General Unsecured Claims against CCI)
                    Class A-4 (CCI Notes Claims)
                    Class B-3 (General Unsecured Claims against CII)
                    Class B-4 (CII Shareholder Claims)
                    Class C-3 (General Unsecured Claims against Holdco, Enstar Communications Corporation, and Charter Gateway LLC)
                    Class C-4 (Holdco Notes Claims)
                    Class D-3 (General Unsecured Claims against CCHC)
                    Class E-3 (General Unsecured Claims against CCH and Charter Communications Holdings Capital Corp.)
                    Class E-4 (CCH Notes Claims)
                    Class F-3 (General Unsecured Claims against CIH and CCH I Holdings Capital Corp.)

10


 

                    Class F-4 (CIH Notes Claims)
                    Class G-3 (General Unsecured Claims against CCH I and CCH I Capital Corp.)
                    Class G-4 (CCH I Notes Claims)
                    Class H-3 (General Unsecured Claims against CCH II and CCH II Capital Corp.)
                    Class H-4 (CCH II Notes Claims)
                    Class I-5 (General Unsecured Claims against CCOH and CCO Holdings Capital Corp.)
                    Class J-2 (CCO Swap Agreements Claims)
                    Class J-6 (General Unsecured Claims against CCO and its direct and indirect subsidiaries)
          The Debtors, with the approval of the Bankruptcy Court, have engaged Financial Balloting Group, LLC to serve as the voting agent for Claims in respect of debt securities and to assist CCI with the subscription process in connection with the Rights Offering (the “Securities Voting Agent” or “Subscription Agent,” as applicable), and Kurtzman Carson Consultants LLC to serve as the voting agent with respect to any other Claims (the “Claims Voting Agent”) and to assist in the solicitation process. The Claims Voting Agent and the Securities Voting Agent will, among other things, answer questions, provide additional copies of all solicitation materials, and generally oversee the solicitation process for their assigned Claims. The Claims Voting Agent and the Securities Voting Agent will also process and tabulate ballots for each of their respective Classes that are entitled to vote to accept or reject the Plan and will file a voting report as soon as practicable before the Confirmation Hearing.
          Detailed instructions regarding how to vote on the Plan are contained on the ballots and related voting instructions distributed to Holders of Claims that are entitled to vote on the Plan. In addition, see “Voting Instructions,” which begins on page 99.
What is the deadline to vote on the Plan?
          All ballots or master ballots must be received on or before 5:00 p.m. (Eastern Time) on June 15, 2009 (the “Voting Deadline”) by:
          The Securities Voting Agent for Claims in respect of debt securities; and
          The Claims Voting Agent for any other Claims.
Who can participate in the Rights Offering?
          Pursuant to the rights offering procedures that are a part of the Rights Offering Documents Eligible CCH I Notes Claim Holders will have the opportunity to purchase their pro rata share of Rights to purchase New Class A Stock.
How do I elect to participate in the Rights Offering?
          An investor certification is being distributed to the Holders of CCH I Notes Claims as of as the Rights Offering Record Date. Only Holders of CCH I Notes Claims that timely complete the certification and are otherwise Eligible CCH I Notes Claim Holders, which includes certain eligible transferees, will be entitled to participate in the Rights Offering. If it is determined that you are an Eligible CCH I Notes Claim Holder, you will receive additional materials instructing you how to participate in the Rights Offering.

11


 

What is the deadline to submit an election to participate in the Rights Offering?
          All rights exercise forms, which will be included in the packages of additional materials to be sent to Eligible CCH I Notes Claim Holders must be received by the Securities Voting Agent on or before 5:00 p.m. (Eastern Time) on June 11, 2009, which date is subject to an extension of up to 5 Business Days following the notification of the non exercise of the applicable right of first refusal to allow the completion of necessary documentation, under certain circumstances (as detailed in the Rights Offering Documents).
What will holders of CCH I Notes Claims that are not Eligible CCH I Notes Claim Holders receive in respect of their CCH I Notes Claims?
          Each Holder of CCH I Notes Claims that affirmatively represents it is not an Eligible CCH I Notes Claim Holder on a timely submitted investor certification shall receive an amount of New Class A Stock equal to the value of the Rights that such Holder would have been offered if it were an accredited investor or qualified institutional buyer participating in the Rights Offering. The value of a Right will be determined (based on the difference between the aggregate equity purchase price of New Class A Stock embedded in a Right and the value of New Class A Stock at the termination of the Rights Offering (assuming that the Overallotment Option is exercised in full and subject to subsequent upward adjustment to the extent not exercised in full) that can be purchased upon exercise of a Right) by CCI in good faith and in consultation with its financial advisor. The value determination will be filed within 10 days of the termination of the Rights Offering with the Bankruptcy Court (assuming that the Overallotment Option is exercised in full and subject to subsequent upward adjustment to the extent not exercised in full), and notice thereof (which shall include the value of each Right so determined) shall be delivered to each such Holder that timely certified it is not an Eligible CCH I Notes Claim Holder within five days of CCI’s determination. Holders receiving notice shall have 10 days following receipt of such notice to file a challenge to such notice with the Bankruptcy Court, whose determination of such value shall be binding.
Why is the Bankruptcy Court holding a confirmation hearing?
          Section 1128(a) of the Bankruptcy Code requires the Bankruptcy Court to hold a hearing on confirmation of the Plan. Section 1128(b) of the Bankruptcy Code provides that any party in interest may object to confirmation of the Plan.
When is the confirmation hearing set to occur?
          The Bankruptcy Court has scheduled the confirmation hearing for July 20, 2009 to take place at 10:00 a.m. (Eastern Time) before the Honorable James M. Peck, United States Bankruptcy Judge, in the United States Bankruptcy Court for the Southern District of New York, located at Alexander Hamilton Custom House, One Bowling Green, New York, New York, 10004. The confirmation hearing may be adjourned from time to time without further notice except for an announcement of the adjourned date made at the confirmation hearing or any adjournment thereof.
          Objections to Confirmation of the Plan must be filed and served on the Debtors, and certain other parties, by no later than July 13, 2009 at 4:00 p.m. (Eastern Time) in accordance with the notice of the confirmation hearing that accompanies this Disclosure Statement. Unless objections to Confirmation of the Plan are timely served and filed in compliance with the disclosure statement order, which is attached to this Disclosure Statement as Exhibit B, they might not be considered by the Bankruptcy Court.
          The Debtors will publish the notice of the confirmation hearing, which will contain the deadline for objections to the Plan and the date and time of the confirmation hearing, in the national edition of The Wall Street Journal, USA Today and the St. Louis Post-Dispatch to provide notification to those persons who may not receive notice by mail.
What is the purpose of the confirmation hearing?
          The consummation of a plan of reorganization is the principal objective of a Chapter 11 case. The confirmation of a plan of reorganization by the Bankruptcy Court binds the debtor, any issuer of securities under the plan of reorganization, any person acquiring property under the plan of reorganization, any creditor or equity interest

12


 

holder of a debtor and any other person or entity as may be ordered by the Bankruptcy Court in accordance with the applicable provisions of the Bankruptcy Code. Subject to certain limited exceptions, the order issued by the Bankruptcy Court confirming a plan of reorganization discharges a debtor from any debt that arose prior to the confirmation of the plan of reorganization and provides for the treatment of such debt in accordance with the terms of the confirmed plan of reorganization.
What role does the Bankruptcy Court play after the confirmation hearing?
          After the Plan is confirmed, the Bankruptcy Court will still have exclusive jurisdiction over all matters arising out of, or related to, the Chapter 11 Cases and the Plan, including disputes over any Claims or Interests arising under the Chapter 11 Cases. In addition, the Bankruptcy Court will have exclusive jurisdiction to ensure that distributions to holders of Claims are accomplished pursuant to the Plan. See “Effects of Confirmation of the Plan — Retention of Jurisdiction by the Bankruptcy Court,” which begins on page 94 for a further description of the matters over which the Bankruptcy Court will retain jurisdiction following the confirmation of the Plan.
What is the effect of the Plan on the Debtors’ ongoing business?
          The Debtors are reorganizing pursuant to Chapter 11 of the Bankruptcy Code. As a result, the confirmation of the Plan means that the Debtors will not be liquidated or forced to go out of business. As more fully described in “The Reorganized Debtors Upon Emergence,” beginning on page 58, the Debtors will continue to operate their businesses going forward utilizing cash from operations and cash received from the restructuring transactions described in this Disclosure Statement and the Plan.
Will Any Party Have Significant Influence Over the Corporate Governance and Operations of the Reorganized Company?
          Yes. After the Effective Date, Mr. Allen and entities affiliated with Mr. Allen, will hold 35% of the combined voting power of the capital stock of the Reorganized Company and will have the right to elect four of 11 members of the Board of Directors. There may be additional holders of significant voting power in the Reorganized Company, though pursuant to the Amended and Restated Certificate of Incorporation, prior to September 15, 2014, the votes attributable to each share of New Class A Stock held by any holder (other than Mr. Allen and certain of his affiliates) will be automatically reduced pro rata among all shares of New Class A Stock held by such holder and (if applicable) shares of New Class A Stock held by any other holder (other than Mr. Allen and certain of his affiliates) included in any “person” or “group” with such holder so that no “person” or “group” (other than Mr. Allen and certain of his affiliates) is or becomes the holder or beneficial owner (as such term is used in Rule 13d-3 and Rule 13d-5 under the Exchange Act, except that in calculating the beneficial ownership of any particular “person” (as such term is used in Section 13(d) of the Exchange Act) such “person” shall be deemed to have beneficial ownership of all securities that such “person” has the right to acquire, whether such right is currently exercisable or is exercisable only upon the occurrence of a subsequent condition), directly or indirectly, of more than 34.9% of the combined voting power of the capital stock of the Reorganized Company, subject to waiver by the disinterested members of the Board of Directors as provided in the Amended and Restated Certificate of Incorporation. We refer to this voting power limitation as the “Voting Threshold.”
Does the Company recommend voting in favor of the Plan?
          Yes. In the opinion of the Debtors, the Plan is preferable to liquidation under Chapter 7 of the Bankruptcy Code, as described in this Disclosure Statement, and any other reasonably available alternative because the Debtors believe the Plan provides for a larger distribution to the Debtors’ creditors than would otherwise result from a liquidation or any other reasonably available alternative. In the event of a liquidation, recoveries for Holders of Allowed Claims would be significantly reduced, if not eliminated, and no recovery would be expected for Holders of General Unsecured Claims. Accordingly, the Debtors recommend that holders of Claims and Interests who are entitled to vote on the Plan support Confirmation of the Plan and vote to accept the Plan.

13


 

Our History and Our Chapter 11 Cases
The Debtors’ Business
          The Debtors operate broadband communications businesses in the United States with approximately 5.5 million customers at December 31, 2008. The Debtors offer to residential and commercial customers traditional cable video programming (basic and digital video), high-speed Internet services, and telephone services, as well as advanced broadband services such as high definition television, Charter OnDemand™, and digital video recorder (“DVR”) service. The Debtors sell their cable video programming, high-speed Internet, telephone, and advanced broadband services primarily on a subscription basis. They also sell advertising to national and local clients on advertising supported cable networks.
          As of December 31, 2008, the Debtors served approximately 5.0 million video customers, of which approximately 3.1 million were also digital video customers. The Debtors also served approximately 2.9 million high-speed Internet customers and provided telephone service to approximately 1.3 million customers.
          The Debtors’ customers are served through a hybrid fiber and coaxial cable network with 95% of homes passed at 550 MHZ or greater and 95% of plant miles two-way active. The Debtors provide scalable, tailored broadband communications solutions to business organizations, such as business-to-business Internet access, data networking, video and music entertainment services, and business telephone. The Debtors also provide advertising solutions to local, national, and regional businesses that target video customers.
          The Debtors’ corporate office, which includes employees of CCI, is responsible for coordinating and overseeing overall operations, including establishing company-wide policies and procedures. The corporate office performs certain financial and administrative functions on a centralized basis and performs these services on a cost reimbursement basis pursuant to a management services agreement between CCO and CCI, which entitles CCI to payment for its performance of various personnel, operational and financial functions. The Debtors’ field operations are managed within two operating groups.
          The Debtors have a history of net losses. The Debtors’ net losses are principally attributable to insufficient revenue to cover the combination of operating expenses and interest expenses they incur because of their high amounts of debt, and depreciation expenses resulting from the capital investments they have made and continue to make in their cable properties.
          As of the Petition Date, the Debtors had approximately 16,500 employees, of which approximately 100 employees were represented by collective bargaining agreements. For the year ended December 31, 2008, the Debtors’ total revenues were approximately $6.5 billion. The Debtors derive revenues largely from the monthly fees customers pay for the Debtors’ services. The prices the Debtors charge for their products and services vary based on the level of service the customer chooses and the geographic market. The Debtors’ corporate headquarters are located at 12405 Powerscourt Drive, St. Louis, Missouri 63131. For more information regarding the Debtors’ business, see CCI’s Annual Report on Form 10-K for the fiscal year ended December 31, 2008, filed with the SEC on March 16, 2009.
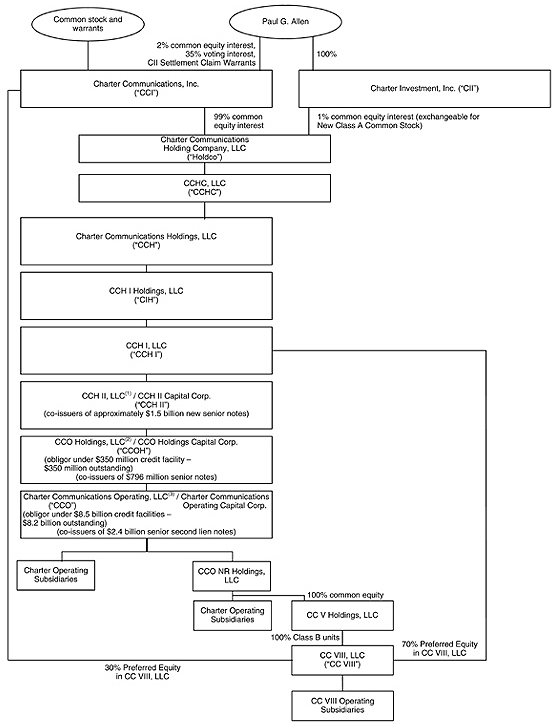
Corporate Organizational Structure
          CCI is a holding company whose principal asset at February 28, 2009 is its 54% equity interest (53% for accounting purposes) in Charter Communications Holdings Company, LLC (“Holdco”), the direct parent of CCHC, LLC (“CCHC”). CCI is the managing member of Holdco. CCI also holds certain indebtedness of Holdco that mirrors the terms of securities issued by CCI. CCI’s only business is to act as the managing member of Holdco and its subsidiaries. As the managing member of Holdco, CCI controls the affairs of Holdco and its limited liability company subsidiaries, including Charter Communications Holdings, LLC (“CCH”).
          CCH, including its direct and indirect subsidiaries CIH, CCH I, LLC (“CCH I”), CCH II, LLC (“CCH II”), CCO Holdings, LLC (“CCOH”), and CCO, through the operating subsidiaries of CCO, operate the Debtors’ broadband business. Charter Communications Holdings Capital Corp. (“Charter Capital”), CCH I Holdings Capital Corp., CCH I Capital Corp., CCH II Capital Corp, CCO Holdings Capital Corp., and Charter Communications Operating Capital Corp. are wholly-owned subsidiaries of CCH, CIH, CCH I, CCH II, CCOH, and CCO,

14


 

respectively, and were formed and exist solely as co-issuers of the debt issued with their parent companies, CCH, CIH, CCH I, CCH II, CCOH, and CCO, respectively.
          Mr. Allen owns 100% of Charter Investment, Inc. (“CII”) and controls CCI through a voting control interest of approximately 91.1% as of February 28, 2009. In addition to directly owning shares of CCI’s Class A common stock and Class B common stock, Mr. Allen indirectly owns, through CII, approximately 46% of Holdco’s common equity interests and a note issued by CCHC exchangeable into Holdco membership units. CII’s membership units in Holdco are exchangeable at any time for shares of CCI’s Class B common stock on a one-for-one basis, which shares are in turn convertible into CCI’s Class A common stock on a one-for-one basis. Mr. Allen would hold, directly and indirectly, a common equity interest in CCI of approximately 52.2% on an as-exchanged basis as of February 28, 2009. Each share of CCI Class A common stock is entitled to one vote. Through his ownership of CCI’s Class B common stock, Mr. Allen is entitled to ten votes for each share of CCI’s Class B common stock and for each membership unit in Holdco held by him and his affiliates. Mr. Allen also indirectly owns through CII 30% of the Class A preferred membership interests of CC VIII, LLC (“CC VIII”), an indirect subsidiary of CCO.
          The chart on the following page sets forth the Debtors’ organizational structure. This chart does not include all of the Debtors’ affiliates and subsidiaries and, in some cases, the Debtors have combined separate entities for presentation purposes. The equity ownership and voting percentages shown below are approximations as of February 28, 2009, and do not give effect to any exercise, conversion or exchange of then outstanding options, convertible notes, and other convertible or exchangeable securities. Indebtedness amounts shown below are accreted values for financial reporting purposes as of December 31, 2008 and do not give effect to any debt eliminated in consolidation. See “The Debtors’ Pre-Petition Capital Structure,” which begins on page 18, and which also includes the principal amount of the indebtedness described below.

15


 

Pre-Petition Corporate Organizational and Capital Structure
(BAR CHART)

16


 

 
(1) Charter Communications, Inc. (“CCI”):
5.875% convertible senior notes due November 16, 2009 ($3.0 million*)
6.5% convertible senior notes due October 1, 2027 ($373 million)
Guarantee/Security Interest: None.
(2) Charter Investment, Inc. (“CII”):
Includes CII’s interest in Holdco as successor by merger to Vulcan Cable III Inc.
(3) CCHC, LLC (“CCHC”):
      14% subordinated accreting note due 2020 ($75 million) (the “CCHC Note”). The CCHC Note is exchangeable at CII’s option, at any time, for Class A common units of Holdco at a rate equal to the then-accreted value, divided by $2.00. Holdco Class A common units are exchangeable for shares of CCI’s Class B common stock, which shares are in turn convertible into CCI’s Class A common stock.
(4) Charter Communications Holdings, LLC (“CCH”):
10% senior notes due April 1, 2009 ($53 million)
10.75% senior notes due October 1, 2009 ($4 million)
9.625% senior notes due November 15, 2009 ($25 million)
10.25% senior notes due January 15, 2010 ($1 million)
11.75% senior discount notes due January 15, 2010 ($1 million)
11.125% senior notes due January 15, 2011 ($47 million)
13.5% senior discount notes due January 15, 2011 ($60 million)
9.92% senior discount notes due April 1, 2011 ($51 million)
10% senior notes due May 15, 2011 ($69 million)
11.75% senior discount notes due May 15, 2011 ($54 million)
12.125% senior discount notes due January 15, 2012 ($75 million)
      Guarantee/Security Interest: None.
(5) CCH I Holdings, LLC (“CIH”):
11.125% senior notes due January 15, 2014 ($151 million)
13.5% senior discount notes due January 15, 2014 ($581 million)
9.92% senior discount notes due April 1, 2014 ($471 million)
10% senior notes due May 15, 2014 ($299 million)
11.75% senior discount notes due May 15, 2014 ($815 million)
12.125% senior discount notes due January 15, 2015 ($217 million)
      Guarantee: All six series of notes are guaranteed on a senior unsecured basis by CCH.
Security Interest: None.
(6) CCH I, LLC (“CCH I”):
11% senior secured notes due October 1, 2015 ($4,072 million)
      Guarantee: The notes are guaranteed on a senior unsecured basis by Charter Holding.
      Security Interest: The notes are secured by a pledge of 100% of the equity interest of CCH I’s wholly owned direct subsidiary, CCH II, and by a pledge of CCH I’s 70% interest equal to 16,991,760 Class A preferred membership units of CC VIII, and the proceeds thereof.
(7) CCH II, LLC (“CCH II”):
10.25% senior notes due September 15, 2010 ($1,857 million) (the “CCH II 2010 Notes”)
      10.25% senior notes due October 1, 2013 ($598 million) (the “CCH II 2013 Notes” and together with the CCH II 2010 Notes, the “CCH II Notes”)
      Guarantee: The notes due October 2013 are guaranteed on a senior unsecured basis by CCH.
Security Interest: None.
(8) CCO Holdings, LLC (“CCOH”):
8 3/4% senior notes due November 15, 2013 ($796 million)
CCOH Credit Facility ($350 million)
      Guarantee: None.
      Security Interest: The obligations of CCOH under the CCOH Credit Facility are secured by a junior lien on CCOH’s equity interest in CCO and all proceeds of such equity interest, junior to the liens of the holders of the notes listed under item (9) below.
(9) Charter Communications Operating, LLC (“CCO”):
8% senior second-lien notes due April 30, 2012 ($1,100 million)
83/8% senior second-lien notes due April 30, 2014 ($770 million)
10.875% senior second-lien notes due September 15, 2014 ($527 million)
CCO Credit Facility ($8,246 million)

17


 

Guarantee: All CCO notes are guaranteed by CCOH and those subsidiaries of CCO that are guarantors of, or otherwise obligors with respect to, indebtedness under the CCO Credit Facility. The CCO Credit Facility is guaranteed by CCOH and certain subsidiaries of CCO.
Security Interest: The CCO notes and related note guarantees are secured by a second-priority lien on substantially all of CCO’s and certain of its subsidiaries’ assets that secure the obligations of CCO or any subsidiary of CCO with respect to the CCO Credit Facility. The CCO Credit Facility is secured by a first-priority lien on substantially all of the assets of CCO and its subsidiaries and a pledge by CCOH of its equity interests in CCO.
 
*   All amounts represent accreted values for financial reporting purposes outstanding as of December 31, 2008
          Charter Communications Holding Company, LLC. Holdco, a Delaware limited liability company formed on May 25, 1999, is the direct 100% parent of CCHC. As of February 28, 2009, the common membership units of Holdco are owned approximately 54% by CCI and 46% by CII. All of the outstanding common membership units in Holdco held by CII are controlled by Mr. Allen and are exchangeable on a one-for-one basis at any time for shares of Class B common stock of CCI, which are in turn convertible into Class A common stock of CCI on a one-for-one basis. CCI is the managing member of Holdco.
          CCHC, LLC. CCHC, a Delaware limited liability company formed on October 25, 2005, is the direct 100% parent of CCH and is the issuer of an accreting note held by CII, which is exchangeable into membership units in Holdco.
          Interim Holding Company Debt Issuers. As indicated in the organizational chart above, our interim holding company debt issuers indirectly own the subsidiaries that own or operate all of our cable systems, subject to a minority interest in the CC VIII preferred membership interests held by CII as described below. For a description of the debt issued by these issuers please see “The Debtors’ Pre-Petition Capital Structure,” below.
          Preferred Equity in CC VIII. CII owns 30% of the CC VIII preferred membership interests. CCH I, a direct subsidiary of CIH, directly owns the remaining 70% of these preferred interests, and such interests, among other collateral, secure the notes issued by CCH I. The common membership interests in CC VIII are indirectly owned by CCO.
          CII Capital Stock and Promissory Notes. Mr. Allen directly owns 100% of CII’s capital stock. As of the Petition Date, CII has 171,844.229639 shares of Class A Voting Common Stock, par value $0.01 per share, issued and outstanding. In addition, between 2000 and 2006, CII and its predecessors in interest issued several promissory notes to Mr. Allen in exchange for loans.
The Debtors’ Pre-Petition Capital Structure
          As of the Petition Date, the total consolidated debt obligations of the Debtors, not including CII, were approximately $21.7 billion and consisted of, among other things, revolving credit, institutional term loans and secured and unsecured notes payable. The major components of the Debtors’ consolidated funded debt obligations are described in greater detail below.
The CCO Credit Facility
          On March 6, 2007, CCO entered into the CCO Credit Facility. The CCO Credit Facility consists of a $6.5 billion term loan with a final maturity of March 6, 2014 and a $1.5 billion revolving credit facility that matures on March 6, 2013. In March 2008, CCO borrowed $500 million in principal amount of an incremental term loan with a final maturity date of March 6, 2014. The CCO Credit Facility allows for CCO to enter into additional incremental term loans in the aggregate amount of up to an additional $500 million. The CCO Credit Facility is secured by a lien on substantially all of the assets of CCO and its subsidiaries and a pledge by CCOH of its equity interests in CCO. As of February 28, 2009, approximately $44.6 million remains available under the revolving portion of the CCO Credit Facility.
          From time to time, CCO has entered into certain interest expense hedging agreements (each a “Specified Hedge Agreement”) with certain non-Debtor counterparties who were at the time of the relevant transaction lenders or affiliates of such lenders under the CCO Credit Facility. The Debtors’ obligations under the Specified Hedge Agreements also constitute secured obligations under the CCO Credit Facility and share in the pledged collateral.

18


 

Letters of Credit
          The Debtors also had approximately $140 million in letters of credit as of February 28, 2009, issued primarily to their various worker’s compensation, property and casualty, and general liability carriers, as collateral for reimbursement of claims. These letters of credit reduce the amount the Debtors may borrow under the CCO Credit Facility.
The CCOH Credit Facility
          On March 6, 2007, CCOH entered into the credit agreement, dated as of March 6, 2007, by and among CCOH, as borrower, Bank of America, N.A., as administrative agent, and certain lenders thereto (the “CCOH Credit Facility”). The CCOH Credit Facility consists of a $350 million term loan that matures on September 6, 2014. Additionally, under the CCOH Credit Facility, CCOH may enter into incremental term loans from time to time. Obligations under the CCOH Credit Facility are secured by CCO’s equity interests and are structurally subordinated to CCO’s obligations under the CCO Credit Facility and CCO’s notes.
Interest Rate Swap Agreements
          Certain Debtors use interest rate swap agreements to manage their interest costs and reduce their exposure to increases in floating interest rates. Using interest rate swap agreements, such Debtors agree to exchange, at specified intervals through 2013, the difference between fixed and variable interest amounts calculated by reference to agreed-upon notional principal amounts. At the counterparties’ option, certain interest rate swap agreements may be extended through 2014. After the Petition Date, the counterparties to the interest rate swap agreements will have the option to terminate the underlying contract and, upon emergence of the Debtors from bankruptcy, receive payment for the market value of the interest rate swap agreement as measured on the date a counterparty so terminates. The Debtors have received termination notices from all of the counterparties to the interest rate swap agreements.
Outstanding Notes
          CCI and certain of its subsidiaries have issued 26 series of notes with approximately $13 billion total aggregate principal amount outstanding as of February 28, 2009.
Common Stock and Common Stock Derivatives
          Prior to the Petition Date, CCI’s Class A common stock traded on the NASDAQ Stock Market (the “NASDAQ”) under the ticker symbol “CHTR.” As of February 28, 2009, CCI had 400,801,768 shares of Class A common stock, par value $0.001 per share, issued and outstanding, and 50,000 shares of Class B common stock, par value $0.001 per share, issued and outstanding.
CC VIII Preferred
          CII owns 30% of the CC VIII preferred membership interests. CCH I directly owns the remaining 70% of these preferred interests. The common membership interests in CC VIII are indirectly owned by CCO.
Events that Led to Bankruptcy
          A number of factors have contributed to the Debtors’ decision to file the Chapter 11 Cases. Key among these factors is the Debtors’ significant indebtedness and the adverse changes in the capital markets, which have severely limited the Debtors’ ability to recapitalize or otherwise enter into transactions to ease their debt burdens. Notably, the Debtors, not including CII, have $21.7 billion in funded debt as of December 31, 2008. The Debtors have historically depended, in part, on their ability to borrow under their credit facilities and to issue debt and equity securities to fund the significant cash required for debt service costs, capital expenditures, and ongoing operations. Accordingly, such a debt level severely limits the Debtors’ ability to develop and offer new products and to effectively implement their business plan.

19


 

Pre-Petition Attempts to Improve the Debtors’ Financial Outlook
Debt Refinancings
          From 2003 to 2008, the Debtors continued to pursue opportunities to improve their liquidity. Their efforts in this regard resulted in the completion of a number of financing transactions, as follows:
          On September 23, 2003, CCI and CCH II exchanged $609 million principal amount of convertible senior notes issued by CCI, $1.3 billion principal amount of senior notes and senior discount notes issued by CCH, for an aggregate of $1.6 billion principal amount of 10.250% notes due 2010 issued by CCH II, in addition to the sale of $30 million principal amount of 10.250% notes due 2010 issued by CCH II for an equivalent amount of cash, in a private debt exchange offer with “qualified institutional buyers,” as defined by Rule 144A of the Securities Act, exempt from registration under the Securities Act.
          On September 28, 2005, CIH, CCH I, and CCH exchanged $3.4 billion aggregate principal amount of senior notes and senior discount notes due 2009-2010 and $3.5 billion aggregate principal amount of senior notes and senior discount notes due 2011-2012 issued by CCH, for $3.5 billion principal amount of 11.000% senior secured notes due 2015 issued by CCH I and approximately $2.5 billion in principal amount of various series of senior accreted notes due 2014 and 2015 of CCH I, in a private debt exchange offer with “qualified institutional buyers,” as defined by Rule 144A of the Securities Act, exempt from registration under the Securities Act.
          On September 14, 2006, CCHC and CCH II exchanged $450 million principal amount of the aggregate $862.5 million principal amount outstanding of CCI’s 5.875% convertible senior notes due 2009 tendered for exchange by holders of such notes, for $188 million in cash, 45 million shares of CCI’s Class A common stock and $146 million principal amount of 10.250% senior notes due 2010 issued by CCH II and CCH II Capital Corp., plus accrued interest, pursuant to a registration statement on Form S-4 originally filed with the SEC on August 11, 2006.
          On September 14, 2006, the Debtors exchanged $797 million principal amount of senior notes due 2009-2010 and 2011-2012 of CCH, for $250 million principal amount of 10.250% senior notes due 2013 issued by CCH II and CCH II Capital Corp. and $462 million principal amount of 11.000% senior secured notes due 2015 issued by CCH I, in a private debt exchange offer with “qualified institutional buyers,” as defined by Rule 144A of the Securities Act, exempt from registration under the Securities Act.
          On March 6, 2007, CCI’s subsidiary, CCO, entered into the CCO Credit Facility which provided a $1.5 billion senior secured revolving line of credit that matures on March 6, 2013, a continuation of the existing $5.0 billion term loan facility that matures on April 28, 2013, and a new $1.5 billion term loan facility and additional incremental term loans of up to $1 billion that mature on March 6, 2014.
          On March 6, 2007, CCI’s subsidiary, CCOH, entered into the CCOH Credit Facility consisting of a $350 million term loan facility maturing September 2014.
          In April 2007, CCH completed a cash tender offer and purchase of $97 million of CCH’s outstanding notes and redeemed $187 million of CCH’s 8.625% senior notes due April 1, 2009 and $550 million of CCOH senior floating rate notes due December 15, 2010.
          On October 8, 2007, Holdco completed an exchange offer, in which $364 million of CCI’s 5.875% convertible senior notes due 2009, plus accrued interest, were exchanged for $479 million of CCI’s 6.500% convertible senior notes due 2027.
          On March 19, 2008, CCO issued $546 million principal amount of 10.875% senior second-lien notes due 2014, guaranteed by CCOH and certain subsidiaries of CCO, in a private transaction. The net proceeds from the notes were used to repay, but not permanently reduce, the outstanding debt balances under the existing revolving credit facility of CCO.
          On March 20, 2008, CCO borrowed $500 million principal amount of incremental term loans (the “Incremental Term Loans”) under the CCO Credit Facility, for net proceeds of approximately $471 million. The net proceeds were used for general corporate purposes. The Incremental Term Loans have a final maturity of March 6,

20


 

2014 and amortize in quarterly principal installments totaling 1% annually beginning on June 30, 2008. The Incremental Term Loans bear interest at LIBOR plus 5%, with a LIBOR floor of 3.5%, and are otherwise governed by and subject to the existing terms of the CCO credit facilities.
          On July 2, 2008, CCH II exchanged $338 million aggregate principal amount of their 10.250% senior notes due 2010 for $364 million additional CCH II 10.250% senior notes due 2013, plus accrued interest, in a private debt exchange offer with “qualified institutional buyers,” as defined by Rule 144A of the Securities Act, exempt from registration under the Act.
          On October 31, 2008, Holdco completed a tender offer in which a total of approximately $102 million principal amount of various CCH notes due 2009 and 2010 were exchanged for approximately $99 million of cash.
          Despite these efforts, the Debtors remained significantly over-leveraged compared to their peers in the cable industry and faced near term challenges in sustaining their capital structure, which were exacerbated by the deteriorating condition in the credit markets.
Recent Events
          On December 10, 2008, CCI asked its long-standing financial advisor, Lazard LLC (“Lazard”), to initiate discussions with the Debtors’ bondholders about financial alternatives to improve the Company’s balance sheet. The Debtors and their advisors developed a comprehensive plan of reorganization and encouraged bondholders to engage in restructuring discussions. On or about December 15, 2008, an ad hoc committee of unaffiliated holders (the “Crossover Committee”) of the (i) 11.000% Senior Secured Notes due 2015 of CCH I and CCH I Capital Corp. and (ii) 10.250% Senior Notes due 2010 and 2013 of CCH II and CCH II Capital Corp. (the “10.25% Notes”) retained professional advisors. Beginning in late December 2008, the Debtors and their advisors engaged in significant discussions with the Crossover Committee and their advisors regarding the terms of a consensual restructuring.
          While these negotiations were underway, CCI determined, in exercising its fiduciary duties, that it should not make interest payments on certain of its subsidiaries’ notes (the “Overdue Payment Notes”) for junior entities in its capital structure, which were due on January 15, 2009 in the amount of approximately $74 million (the “January Interest Payment”). Under the indentures governing the Overdue Payment Notes, after failing to make an interest payment on such notes, CCI’s subsidiaries that issued the Overdue Payment Notes had a 30-day grace period in which to make the January Interest Payment. If they were unable to do so, an Event of Default under the Overdue Payment Notes would have occurred on February 13, 2009, giving the trustee under the indentures and holders of the notes the ability to accelerate the Debtors’ obligations under the notes. Such acceleration would have allowed the creditors under certain of the Debtors other debt agreements to accelerate the Debtors’ obligations thereunder.
          On February 3, 2009, CCO made a request to the administrative agent under the CCO Credit Facility, to borrow additional revolving loans. On February 5, 2009, CCI received a notice from the administrative agent asserting that one or more Events of Default (as defined in the CCO Credit Facility) have occurred and are continuing under the CCO Credit Facility, including, pursuant to section 8(g)(v) thereof. CCI disagreed with the administrative agent’s assertions and sent a letter to the administrative agent on February 9, 2009, among other things, stating that it continued to believe that no Event of Default under the CCO Credit Facility has occurred or is continuing and requesting the administrative agent to rescind its notice of default and fund CCO’s borrowing request. The administrative agent sent a letter to CCI on February 11, 2009, stating that it continues to believe that one or more events of default have occurred and are continuing. As a result, with the exception of one lender who funded approximately $354,237, the lenders failed to fund CCO’s borrowing request.
          After engaging in extensive negotiations, on February 11, 2009, CCI entered into separate Plan Support Agreements with each of the Committed Parties (the “Plan Support Agreements”) pursuant to which, among other things, the Committed Parties agreed to support and vote in favor of a financial restructuring of the Debtors on terms consistent with the Plan, as described herein. Pursuant to a separate Plan Support Agreement, Mr. Allen agreed to support the financial restructuring of the Debtors on terms consistent with the Plan, including the compromise and settlement of certain Claims and Interests held by Mr. Allen and certain of his affiliates as described under “The CII Settlement” beginning on page 26. As part of the Plan Support Agreements, on February 13, 2009, CCI paid the full amount of the January Interest Payment to the Paying Agent for the Overdue Payment Notes, which constitutes

21


 

payment under the indentures governing those notes. In addition to the Plan Support Agreements, CCI entered into commitment letters with each of the Committed Parties (the “Commitment Letters”) and an Escrow Agreement, dated as of February 11, 2009, with members of the ad-hoc committee of unaffiliated holders of the Overdue Payment Notes (“Ad-Hoc Holders”) and Wells Fargo Bank, National Association, as Escrow Agent (the “Escrow Agreement”). Under the Commitment Letters, the Committed Parties agreed to exchange and/or purchase, as applicable, certain securities of the Debtors under the Plan. Pursuant to the Escrow Agreement, the Ad-Hoc Holders deposited into an escrow account the amounts they received in respect of the January Interest Payment and Wells Fargo will hold such amounts until (i) CCI and a majority of the Ad-Hoc Holders agree to the release thereof, (ii) the restructuring transactions contemplated in the Plan Support Agreements are consummated on or prior to December 15, 2009 or are not consummated by such date due to a material breach of the Plan Support Agreements by CCI or its subsidiaries, followed by notice thereof to Wells Fargo by a majority of the Ad-Hoc Holders and CCI, at which time Wells Fargo will release such amounts to the Ad-Hoc Holders, or (iii) the transactions contemplated by the Plan Support Agreements are not consummated by December 15, 2009 for any other reason, followed by notice thereof to Wells Fargo by a majority of the Ad-Hoc Holders and CCI, at which time it will release such amounts to CCI or its subsidiaries. The amounts deposited in escrow were approximately $47 million. See “Important Aspects of the Plan” for a further discussion of the Commitment Letters and the Plan Support Agreements.
          On March 12, 2009, CCI adopted a Value Creation Plan (the “VCP”), which is comprised of two components, the Restructuring Value Program (the “RVP”), which provides incentives to encourage and reward participants for a successful restructuring of CCI, and the Cash Incentive Program (the “CIP”), which provides annual incentives for participants to achieve specified individual performance goals during each of the three years following CCI’s emergence from bankruptcy. Under the RVP, participants earn their RVP payments upon the earliest of either (i) CCI’s emergence from the Chapter 11 Cases, (ii) when the Commitment Fees first become payable, (iii) upon the termination of their employment under certain circumstances or (iv) upon a “change in control,” as defined in the VCP. Under the CIP, participants earn their CIP payments upon their achievement of specified individual performance goals, or if earlier, upon the termination of their employment under certain circumstances following the Reorganized Company’s emergence form bankruptcy, or upon a “change in control,” as defined in the VCP. Subject to adjustment in accordance with the VCP, the target RVP awards for CCI’s named executive officers as of March 18, 2009 are: Neil Smit (President and Chief Executive Officer) — $6 million; Michael Lovett (Executive Vice President and Chief Operating Officer) — $2.38 million; Eloise Schmitz (Executive Vice President and Chief Financial Officer ) — $765,000; Marwan Fawaz (Executive Vice President and Chief Technology Officer) — $765,000; and Grier Raclin (Executive Vice President, General Counsel and Corporate Secretary) — $765,000, and their annual target awards under the CIP as of such date are: Neil Smit - - $2.5 million; Michael Lovett -$910,000; Eloise Schmitz — $664,000; Marwan Fawaz -$597,000; and Grier Raclin — $597,000.
The Commencement of the Chapter 11 Cases
          On March 27, 2009, the Debtors filed voluntary petitions in the United States Bankruptcy Court for the Southern District of New York seeking reorganization relief under the provisions of Chapter 11 of the Bankruptcy Code to effectuate the restructuring contemplated by the Plan Support Agreements.
          The Chapter 11 Cases are being jointly administered under the caption Charter Communications, Inc., et al., Case No. 09-11435 (JMP).
Events During Bankruptcy
First Day Relief
          The Debtors entered into bankruptcy after a careful review of their business operations and cash requirements to minimize the impact of the Chapter 11 Cases on their day-to-day business operations. Integral to this transition are certain “first day” orders the Debtors obtained from the Bankruptcy Court to provide, among other things, flexibility in cash management, the ability to use cash collateral and the ability to pay certain Pre-Petition vendors. To facilitate, among other things, noticing, Claims processing and voting-related matters, the Debtors requested that the Bankruptcy Court enter an order granting certain relief including authorization for the joint administration of the Debtors’ Chapter 11 Cases.

22


 

Stabilizing Operations
          On the Petition Date, the Debtors filed several motions seeking orders authorizing the Debtors to pay various Pre-Petition Claims. Entry of these orders eased the strain on the Debtors’ relationships with employees, vendors, customers and taxing authorities as a consequence of the commencement of the Chapter 11 Cases. Among other things, these orders authorized the Debtors to: (a) honor customer obligations and continue customer programs; (b) maintain cash management systems; (c) use Pre-Petition bank accounts, checks, and other business forms; (d) make tax payments to federal, local and state taxing authorities; (e) prohibit utility companies from discontinuing services; (f) pay Pre-Petition Claims of shippers, warehousemen and other lien claimants; (g) maintain Pre-Petition insurance policies and enter into new insurance policies; (h) maintain Pre-Petition premium financing agreements and enter into new premium financing agreements; and (i) pay certain Pre-Petition employee wages and benefits and directors’ fees. In addition, on the Petition Date, the Debtors sought authorization to pay certain fixed, liquidated, noncontingent and undisputed Pre-Petition trade Claims of the Debtors in the ordinary course of business. The Debtors also received authorization to enter into a surety bond program pursuant to which Travelers Casualty and Surety Company of America will maintain and renew existing, and provide new, surety bonds on a Post-Petition basis to facilitate the Debtors’ ability to conduct and continue their operations during and the Chapter 11 Cases.
          In addition, the Debtors have been funding their operations during the Chapter 11 Cases by using cash on hand and cash flow from operations. As of March 27, 2009, CCI and its consolidated subsidiaries had approximately $860 million on their balance sheet in cash on hand and cash equivalents. Additionally, after the Petition Date, CCO will no longer have access to the revolving credit facility and will rely on cash on hand and cash flows from operating activities to fund projected cash needs. The Debtors believe their cash on hand and cash equivalents combined with their cash flows from operating activities will be sufficient to meet projected cash needs, including the payment of normal operating costs and expenses, as they proceed with their financial restructuring. Therefore, the Debtors have not sought debtor-in-possession financing. On the Petition Date, the Debtors filed a motion with the Bankruptcy Court asking permission to access these funds.
          On the Petition Date, the Debtors sought authority to use cash collateral of their secured creditors to permit, among other things, the orderly continuation of the operation of the Debtors’ businesses and to satisfy their working capital and operational needs. The Cash Collateral Order provides adequate protection to those secured creditors, including: (a) adequate protection liens; (b) a section 507(b) superpriority claim; (c) payment of (i) Pre-Petition interest and fees, as well as current Post-Petition interest at the default rate under the CCO Credit Facility, (ii) reasonable fees of the administrative agent for the lenders under the CCO Credit Facility, (iii) reasonable expenses of the members of the steering committee for the lenders under the CCO Credit Facility, (iv) all quarterly amortization payments pursuant to the CCO Credit Facility; (d) certain reporting requirements; and (e) certain financial and other covenants.
          The Debtors also requested, on a final basis, authority to provide adequate protection to holders of second-lien secured notes issued by CCO against any diminution in value of their interest in certain Pre-Petition collateral on account of the use of cash collateral and imposition of the automatic stay pursuant to section 362 of the Bankruptcy Code in the form of, among other things, adequate protection liens, a 507(b) claim, adequate protection payments and certain financial and other reporting requirements. The granting of adequate protection should allow the Debtors to use the secured creditors’ cash collateral throughout the Chapter 11 Cases.
Preserving Value
          To preserve the Debtors’ net operating losses (“NOLs”) by ensuring that an “ownership change” of CCI does not occur prior to the Effective Date, the Debtors filed a motion seeking an order from the Bankruptcy Court (the “NOL Order”), which, among other things, requires: (a) certain beneficial owners of at least 20,000,000 outstanding shares of the Debtors’ equity securities (a “Substantial Owner”) to notify the Debtors and the Bankruptcy Court that they are Substantial Owners; (b) Substantial Owners to file a notice with the Debtors and the Bankruptcy Court before any acquisition or disposition of CCI’s common stock or options to acquire or dispose of CCI’s common stock; and (c) any other person or entity to file a notice with the Debtors and the Bankruptcy Court before any acquisition of CCI’s common stock, or option to acquire CCI’s common stock, that would make such person or entity a Substantial Owner. The NOL Order allows the Debtors to object in the Bankruptcy Court to any such transactions, within 15 days of receipt of the filing of the notice of such transactions, if the transaction is

23


 

reasonably likely to result, prior to the Effective Date, in an ownership change as defined in the Internal Revenue Code (“IRC”), which ownership change would limit the Debtors’ ability to utilize their NOLs or other tax attributes. Any acquisition or disposition to which the Debtors object would not become effective unless and until the end of the 10th day after the Bankruptcy Court enters an order overruling the objection or such objection is withdrawn. The NOL Order permits the Debtors to waive in writing, at their sole discretion, any and all restrictions, stays and notification procedures contained in the NOL Order.
          Based on public filings in the first quarter of 2009 and company records, CCI believes the following persons or entities beneficially own 5% or more of the outstanding common stock of CCI as of February 28, 2009:
         
Holder of Common Stock   Shares Beneficially Owned   Percent of Class
Paul G. Allen
  405.8 million(1)   52.2%(2)
Manning & Napier Advisors, Inc.
  65.0 million     16.2%    
 
(1)   Assumes exchange of Holdco membership interests and of the CCHC Note.
 
(2)   Represents 91.1% of the voting power of CCI.
Retention of Restructuring and Other Professionals
          To assist the Debtors in carrying out their duties as debtors in possession and to represent their interests in the Chapter 11 Cases, the Debtors (other than CII) intend to retain, as of the Petition Date, and upon authorization from the Bankruptcy Court, the law firm of Kirkland & Ellis LLP (“K&E”) as their lead restructuring attorneys. Additionally, with the Bankruptcy Court’s approval, the Debtors intend to retain Lazard as financial advisors and investment bankers. CII intends to retain, as of the Petition Date, and upon authorization from the Bankruptcy Court, the law firm of Togut, Segal & Segal LLP as its lead restructuring attorneys.
          In addition to these key professionals, the Debtors intend to retain the following other professionals to assist them in managing the Chapter 11 Cases: special regulatory and litigation counsel; conflicts counsel; accountants; tax service providers; corporate communication consultants; and a claims and noticing agent. The Debtors also employ attorneys and other professionals to represent or assist them in a variety of situations arising in the ordinary course of the Debtors’ business in matters unrelated to the Chapter 11 Cases. The Debtors also intend to retain, with the approval of the Bankruptcy Court, various experts to assist them in the valuation process.
          In addition to paying the fees of their own advisors, the Debtors will be required to pay fees incurred by various other constituencies and their respective advisors related to the Chapter 11 Cases and the restructuring transactions provided for in the Plan.
Important Aspects of the Plan
          The section below describes certain important terms of the Plan Support Agreements, as reflected in the Plan. Under the Plan Support Agreements, and subject to, among other conditions, Bankruptcy Court approval of an acceptable disclosure statement, the Committed Parties and Mr. Allen are required to cast their votes in favor of the Plan and generally support the Plan. For the expected recoveries of each Class, see “Treatment of Claims Against and Interests in the Debtors.”
Exchange and New CCH II Notes Commitment
          Under the Plan, each holder of a CCH II Notes Claim will be entitled to exchange (the “Exchange”) its CCH II Notes for new 13.5% Senior Notes of CCH II and CCH II Capital Corp. (the “New CCH II Notes”). Each Holder of an Allowed CCH II Notes Claim that elects to exchange CCH II Notes for New CCH II Notes pursuant to the Exchange, and each Rollover Commitment Party, in each case subject to the Exchange Cutback, shall be entitled to receive (A) New CCH II Notes with a principal amount equal to the allowed principal amount of the CCH II Notes held by such Holder or Rollover Commitment Party, (B) New CCH II Notes with a principal amount equal to the accrued but unpaid interest on such CCH II Notes held by such Holder or Rollover Commitment Party to the Petition Date, and (C) New CCH II Notes with a principal amount equal to Post-Petition Interest. No Holder or Rollover Commitment Party shall be entitled to receive any amounts for any call premiums or prepayment penalty

24


 

with respect to the CCH II Notes. No partial Exchange of CCH II Notes shall be allowed. Holders of CCH II Notes who do not elect to participate in the Exchange will be entitled to receive cash in an amount equal to the outstanding principal amount of such holders’ CCH II Notes plus accrued but unpaid interest thereon to the Petition Date plus post petition interest, but excluding any call premiums or prepayment penalties. In addition, pursuant to the New CCH II Notes Commitment, under certain circumstances, certain holders of CCH II Notes have agreed to purchase up to $267 million in additional New CCH II Notes. The aggregate principal amount of New CCH II Notes to be issued pursuant to the Plan is expected to be approximately $1.5 billion plus accrued but unpaid interest to the Petition Date plus Post-Petition interest, but excluding any call premiums or prepayment penalties (collectively, the “Target Amount”), plus an additional $85 million of New CCH II Notes which will initially be issued to holders of CCH I Notes Claims and deemed transferred to Mr. Allen or one of his affiliates on the Effective Date as part of the CII Settlement (as defined below).
          The Committed Parties have committed to exchange CCH II Notes for an aggregate of approximately $1.2 billion in principal amount of New CCH II Notes, plus additional New CCH II Notes in a principal amount equal to accrued but unpaid interest to the Petition Date plus Post-Petition interest, but excluding any call premiums or any prepayment penalties. In the event that the aggregate principal amount of New CCH II Notes to be issued would exceed the Target Amount, each holder of CCH II Notes electing to participate in the Exchange, including the Committed Parties, will receive a pro rata portion of such Target Amount of New CCH II Notes, based upon the ratio of (i) the aggregate principal amount of CCH II Notes it has tendered to (ii) the total aggregate principal amount of CCH II Notes tendered. Holders of CCH II Notes Claims that participate in the Exchange will receive a commitment fee for the use of capital equal to 1.5% of the principal amount plus interest on the CCH II Notes exchanged by such holder, payable as provided below under “Specified Fees and Expenses.”
          Under the New CCH II Notes Commitment, the Committed Parties have committed to purchase an additional amount of New CCH II Notes in an aggregate principal amount of $267 million, which amount will be reduced to the extent that the aggregate principal amount of CCH II Notes exchanged exceeds approximately $1.2 billion (up to approximately $1.5 billion). Participants in the New CCH II Commitment will receive a commitment fee for the use of capital equal to the greater of (i) 3% of their respective portion of the New CCH II Notes Commitment and (ii) 0.83% of their respective portion of the New CCH II Notes Commitment for each month beginning April 1, 2009 during which its New CCH II Notes Commitment remains outstanding, payable as provided below under “Specified Fees and Expenses.”
The Rights Offering
          The Debtors intend to raise funds through the issuance of the Rights by the Reorganized Company that may be exercised for New Class A Stock through the Rights Offering.
          Under the Rights Offering, the Reorganized Company will offer to existing holders of CCH I Notes that are Eligible CCH I Notes Claim Holders the ability to purchase shares of the New Class A Stock pro rata based on a fraction, the numerator of which is the principal amount of CCH I Notes Claims held by such holder and the denominator of which is the principal amount of CCH I Notes Claims held by all Eligible CCH I Notes Claim Holders (the “Pro Rata Participation Amount”), to be issued upon the Debtors’ emergence from bankruptcy, in exchange for a cash payment per share at a 25% discount to the Plan Value minus the Warrant Value per share of the Reorganized Company upon its emergence from bankruptcy (the “Per Share Purchase Price”). The Rights will not be listed or quoted on any public or over-the-counter exchange or quotation system and there is no assurance that an active trading market for the Rights will develop. However, the Rights will be independently transferable, through the expiration date of the Rights Offering, but only to accredited investors or qualified institutional buyers, as such terms are defined in Rule 501 and Rule 144A under the Securities Act, respectively, subject to a right of first refusal in favor of certain Equity Backstop Parties. Additional information and instructions regarding participation in the Rights Offering will be sent separately to holders of CCH I Notes. The right of first refusal may discourage third parties from attempting to purchase any Rights. As a result, unless Eligible CCH I Notes Claim Holders exercise their Rights, they may not be able to realize any value attributable to such Rights.
          All holders of CCH I Notes Claims as of April 17, 2009 have been sent an investor certification. Only Eligible CCH I Notes Claim Holders will be eligible to participate in the Rights Offering. All Eligible CCH I Notes Claim Holders will be mailed the Rights Offering Documents on or about May 12, 2009. A holder of CCH I Notes

25


 

Claims as of the Rights Offering Record Date that does not return the investor certification by May 11, 2009 will forfeit any and all rights that it may have had under the Rights Offering with respect to its CCH I Notes Claim.
          Each Holder of CCH I Notes Claims that affirmatively represents it is not an Eligible CCH I Notes Claim Holder on a timely submitted investor certification shall receive an amount of New Class A Stock equal to the value of the Rights that such Holder would have been offered if it were an Eligible CCH I Notes Claim Holder participating in the Rights Offering. The value of a Right will be determined (based on the difference between the aggregate equity purchase price of New Class A Stock embedded in a Right and the value of New Class A Common Stock at the termination of the Rights Offering (assuming that the Overallotment Option is exercised in full and subject to subsequent upward adjustment to the extent not exercised in full) that can be purchased upon exercise of a Right) by CCI in good faith and in consultation with its financial advisor. The value determination will be filed within 10 days of the termination of the Rights Offering with the Bankruptcy Court (assuming that the Overallotment Option is exercised in full and subject to subsequent upward adjustment to the extent not exercised in full), and notice thereof (which shall include the value of each Right so determined) shall be delivered to each such Holder that timely certified it is not an Eligible CCH I Notes Claim Holder within five days of CCI’s determination. Holders receiving notice shall have 10 days following receipt of such notice to file a challenge to such notice with the Bankruptcy Court, whose determination of such value shall be binding.
          The Rights Offering is expected to generate proceeds in an amount equal to $1.623 billion minus the excess, if any, of $450 million over the aggregate amount of the CCO Swap Agreement Claims.
          Pursuant to the Commitment Letters, the Equity Backstop Parties have, severally and not jointly, agreed to subscribe for their respective pro rata portions of the Rights Offering. In addition, pursuant to the Commitment Letters and the Excess Backstop Agreements, certain of the Equity Backstop Parties have, severally and not jointly, agreed to subscribe for any Rights that are not purchased by Eligible CCH I Notes Claim Holders (other than the Equity Backstop Parties) in the Rights Offering (the “Excess Backstop”) pro rata based on their respective portions of the Excess Backstop. Committed Parties who have committed to participate in the Excess Backstop will be offered the option to purchase (the “Overallotment Option”) additional shares of New Class A Stock, at the Per Share Purchase Price, in an amount equal to $400 million less the aggregate dollar amount of shares purchased pursuant to the Excess Backstop. The Equity Backstop Parties will receive a commitment fee for the use of capital equal to 3% of their respective Equity Backstop, payable as provided below under “Specified Fees and Expenses.” This fee, together with the fees described above payable to Holders of CCH II Notes Claims that participate in the Exchange and/or have made commitments pursuant to the New CCH II Notes Commitment, are referred to herein as the “Commitment Fees.”
This Disclosure Statement is not an offer to sell any securities pursuant to the Rights Offering nor a solicitation of an offer to buy any securities pursuant to the Rights Offering or otherwise. An offer and solicitation pursuant to the Rights Offering will be made only to Eligible CCH I Notes Claim Holders pursuant to the Rights Offering Documents.
The CII Settlement
          The Plan provides for a settlement and compromise of the legal, contractual and equitable rights, Interests, Claims and remedies of Mr. Allen and certain persons and entities affiliated with Mr. Allen against the Debtors (other than CII) in exchange for certain consideration described in the Plan (the “CII Settlement”).
          Under the CII Settlement, subject to certain exceptions, the CII Settlement Claim Parties will compromise any Claim or Interest held by a CII Settlement Claim Party on the Effective Date against or in a Debtor (other than CII). This includes:
    28,467,421 shares of Class A Common Stock of CCI (unless disposed of prior to the Effective Date, subject to the restrictions on transfer in any order of the Bankruptcy Court);
 
    10,000 vested options to acquire shares of Class A Common Stock of CCI;
 
    50,000 shares of Class B Common Stock of CCI;
 
    324,300,479 Class A Common Units of Holdco;

26


 

    14,831,552 Class C Common Units of Holdco;
 
    rights under the CCI-CII Exchange Agreement;
 
    all Interests with respect to 7,282,183 CC VIII Preferred Units;
 
    the CCHC Note;
 
    accrued and unpaid management fees owing to CII under the Management Agreement;
 
    rights under a letter agreement, dated as of September 21, 1999, by and among Vulcan Ventures Inc. (an entity controlled by Mr. Allen), CCI, CII and Holdco, which would have granted Vulcan Ventures Inc. exclusive rights for carriage of up to eight digital channels of each of the Debtors’ (other than CII) cable systems;
 
    rights under that certain consulting agreement, dated as of March 10, 1999 by and among Vulcan Inc. (an entity controlled by Mr. Allen), CCI and CCH (the “Consulting Agreement”), which provides for payment of a fee to Vulcan Inc. for assistance with acquisitions by CCI or CCH; and
 
    any other Claim or Interest held by a CII Settlement Claim Party, including any rejection damages Claims, other than Claims and certain Executory Contracts specifically excluded, as described below.
          The Plan provides that certain Claims and Interests held by the CII Settlement Claim Parties will not be compromised under the CII Settlement, including those under certain Executory Contracts, certain indemnification agreements and certain notes issued by the Debtors, as more fully described in the Plan.
          As part of the CII Settlement, in return for their compromise of the rights, Claims, Interests and remedies described above and in the Plan, and in addition to any amounts received by virtue of their holding certain note Claims of the type set forth below under “Treatment of Claims Against and Interests in the Debtors”:
    CII’s equity interests in Holdco to the extent of a 1% direct equity interest in reorganized Holdco will not be cancelled, released or extinguished, and CII will retain such interest in reorganized Holdco under the Plan and CCI will receive all remaining equity interests in reorganized Holdco. CCI’s pre-filing equity interests in Holdco will not be cancelled, released or extinguished and the Reorganized Company will hold a 99% direct equity interest in reorganized Holdco under the Plan.
 
    After the Effective Date, Mr. Allen and certain of his affiliates will have the right to exchange, directly or indirectly, all or a portion of their reorganized Holdco equity for New Class A Stock as described below under “Reorganized Holdco Exchange Agreement.”
 
    Mr. Allen and/or certain of his affiliates will also receive:
  o   shares of New Class B Stock representing, as of the Effective Date, 2% of the equity value of the Reorganized Company, after giving effect to the Rights Offering, but prior to the issuance of warrants and equity-based awards provided for by the Plan, and 35% of the combined voting power of the Reorganized Company’s capital stock;
 
  o   warrants to purchase shares of New Class A Stock, with a term of 7 years and an exercise price per share based on a total equity value of the Reorganized Company equal to the sum of the Plan Value less the Warrant Value plus the gross proceeds of the Rights Offering, in an aggregate amount equal to 4% of the equity value of the Reorganized Company, after giving effect to the Rights Offering, but prior to the issuance of warrants and equity-based awards provided for by the Plan;
 
  o   $25 million in satisfaction of amounts owing to CII under a management agreement (the “Allen Management Receivable”), payable as provided below under “Specified Fees and Expenses”;
 
  o   $150 million in cash;
 
  o   $85 million of New CCH II Notes, which shall be deemed transferred on the Effective Date from the existing holders of CCH I Notes; and

27


 

  o   cash of up to the amount of $20 million for payment of actual out-of-pocket fees and expenses in connection with the proposed restructuring, after submission of documentation by Mr. Allen to the Reorganized Debtors (other than Reorganized CII) (the “Allen Fee Reimbursement”), payable as provided below under “Specified Fees and Expenses.”
          In addition, the preferred membership interests in CC VIII held by CII will be deemed transferred, automatically and without further action by any party, to the Reorganized Company. For the avoidance of doubt, notwithstanding any other provision of the Plan, CII will not be liable for any payment or distributions on account of Claims, Interests or amounts to be paid or owing by or other obligations of any kind of the Debtors (other than CII) under or in connection with the Plan.
          The Debtors are seeking to approve the CII Settlement in conjunction with the Plan pursuant to Rule 9019 of the Federal Rules of Bankruptcy Procedure. The Debtors intend to present their case in favor of the CII Settlement at the confirmation hearing and believe the CII Settlement satisfies the standards for approving settlements in bankruptcy cases. Absent the CII Settlement, among other things, the Plan would not be feasible because the Debtors would not be able to reinstate certain debt obligations at CCO and CCOH.
          The CII Settlement was motivated in part by a desire to ensure that the CII Settlement Claim Parties caused CII to remain a member of Holdco through the Effective Date, thereby ensuring that a proportionate amount of the cancellation of debt income that will be generated by the consummation of the Plan will be allocated to the CII Settlement Claim Parties. In turn, this will result in the retention of a larger portion of the tax attributes (including net operating losses) that will be available to the Reorganized Company following the Effective Date. If the CII Settlement Claim Parties converted their interest in Holdco into stock of CCI prior to the Effective Date, all of the cancellation of debt income resulting from the consummation of the Plan would be allocated to the Reorganized Company, which would result in the Reorganized Company having significantly less valuable tax attributes available after the Effective Date.
          The benefit to the Debtors from the CII Settlement is derived not only from the aforementioned tax benefits and the settlement and compromise of the rights, Claims, Interests and remedies set forth above and in the Plan, but also from the fact that without the Debtors’ negotiation of the terms of the CII Settlement, the Plan would not exist. It is only through Mr. Allen’s agreement with the terms of the CII Settlement that the Debtors are able to avoid the occurrence of a “Change of Control,” as defined in the CCO Credit Facility. See “Summary of Legal Proceedings—Legal Proceedings in the Bankruptcy Court—Challenges to the Plan.”
Lock-Up Agreement
          Pursuant to the Lock-Up Agreement to be entered into by the Reorganized Company and Mr. Allen, from and after the Effective Date to but not including the earliest to occur of (i) September 15, 2014, (ii) the repayment, replacement, refinancing or substantial modification, including any waiver, to the change of control provisions of the CCO Credit Facility and (iii) a Change of Control, Mr. Allen shall not transfer or sell shares of New Class B Stock received by him under the Plan or convert shares of New Class B Stock received by him under the Plan into New Class A Stock except to certain affiliates of Mr. Allen (and such affiliates will also be permitted to transfer such New Class B Stock to Mr. Allen and other of such affiliates). For purposes of the Lock-Up Agreement, “Change of Control” means, directly or indirectly, (i) the sale, transfer, conveyance or other disposition (other than by way of merger, consolidation or recapitalization of the Company), in one or a series of related transactions, of all or substantially all of the assets of the Reorganized Company and its subsidiaries, taken as a whole, (ii) the consummation of any transaction, including any merger or consolidation, the result of which is that any “person” (as such term is used in Section 13(d)(3) of the Exchange Act of 1934, as amended) other than Mr. Allen or certain of his affiliates, becomes the holder, directly or indirectly, of 35% or more of the combined voting power of the capital stock of the Reorganized Company or (iii) the consummation of any transaction (including without limitation, a merger, consolidation or recapitalization), pursuant to which any of the outstanding capital stock of the Reorganized Company is converted into or exchanged for cash, securities or other property, other than any such transaction where the capital stock of the Reorganized Company outstanding immediately prior to such transaction (other than New Class B Stock) is converted into or exchanged for capital stock of the surviving or transferee person constituting a majority of the outstanding voting power of such surviving or transferee person immediately after giving effect to such transaction.

28


 

Reorganized Holdco Exchange Agreement
          In connection with the Plan, the Reorganized Company, reorganized Holdco, reorganized CII and Mr. Allen will enter into an exchange agreement (the “Reorganized Holdco Exchange Agreement”), pursuant to which Mr. Allen and certain persons and entities affiliated with Mr. Allen (together, the “Allen Entities”) will have the right, at any time and from time to time on or before the fifth anniversary of the date of the Reorganized Holdco Exchange Agreement, to require the Reorganized Company to (i) exchange all or any portion of their membership units in reorganized Holdco for $1,000 in cash and shares of New Class A Stock in a taxable transaction, (ii) exchange 100% of the equity in such Allen Entity for $1,000 in cash and shares of New Class A Stock in a taxable transaction, or (iii) permit such Allen Entity to merge with and into the Reorganized Company, or a wholly-owned subsidiary of the Reorganized Company, or undertake tax-free transactions similar to the taxable transactions in clauses (i) and (ii), provided that the exchange rights described in clauses (ii) and (iii) above will not be available to any Allen Entity unless and until Allen Entities have utilized 90% of CII’s available ordinary suspended losses under Section 1366(d) of the Internal Revenue Code of 1986, as amended, against ordinary income. The number of shares of New Class A Stock that an Allen Entity receives is subject to certain adjustments, including for certain distributions received from reorganized Holdco prior to the date the option to exchange is exercised and for certain distributions made by the Reorganized Company to holders of its New Common Stock. In addition, in the event that a transaction that would constitute a Change of Control is approved by a majority of the members of the Board of Directors not affiliated with the person(s) proposing such transactions, the Reorganized Company will have the right to require (no sooner than at least 120 days following the Effective Date) the Allen Entities to effect an exchange transaction of the type elected by the Allen Entities from subclauses (i), (ii) or (iii) above, which election is subject to certain limitations.
Reorganized Holdco LLC Agreement
          As part of the Plan, the Reorganized Company, reorganized CII and reorganized Holdco will enter into an Amended and Restated Limited Liability Company Agreement of reorganized Holdco (the “Reorganized Holdco LLC Agreement”), pursuant to which the Reorganized Company will be the manager of reorganized Holdco and will have the authority, subject to certain limitations, to manage the business of reorganized Holdco, including to appoint directors to reorganized Holdco’s board of directors. As reorganized Holdco’s manager, the Reorganized Company’s approval will be required for reorganized Holdco to undertake certain transactions, including, but not limited to, the issuance of reorganized Holdco membership interests, the sale of all or substantially all of reorganized Holdco’s assets, the merger of reorganized Holdco with another entity, making or committing to certain capital expenditures in excess of reorganized Holdco’s total budget and incurring indebtedness above certain thresholds. The approval of 100% of reorganized Holdco membership interests will be required to undertake certain transactions during the calendar year that includes the Effective Date, including certain transactions that may potentially result in taxable gain to reorganized CII, including, but not limited to, the issuance of reorganized Holdco membership interests, the sale of all or substantially all of reorganized Holdco’s assets and the merger of reorganized Holdco with another entity. The Reorganized Holdco LLC Agreement also provides that the members intend for reorganized Holdco to be treated as a partnership for income tax purposes. As such, all items of tax income, gain, loss and deduction generated by reorganized Holdco will be allocated to its members in accordance with the Reorganized Holdco LLC Agreement.
Reinstatement and Unimpairment of Certain Claims
          The Plan provides that Allowed CCO Credit Facility Claims and Allowed CCOH Credit Facility Claims will be reinstated and rendered Unimpaired in accordance with section 1124 of the Bankruptcy Code. Similarly, the Plan provides that Allowed CCO Notes Claims and Allowed CCOH Notes Claims will be reinstated and rendered Unimpaired in accordance with section 1124 of the Bankruptcy Code.
Treatment of Executory Contracts
          The Plan provides that all of the Debtors’ Executory Contracts, except certain exceptions specified in the Plan and the Plan Supplement, shall be deemed assumed as of the Effective Date. The Plan also provides that, for each of the Debtors’ Executory Contracts to be assumed, the Debtors shall designate a proposed Cure, and any disagreements as to the proposed Cure must be filed on or before the Cure Bar Date. The Cure Bar Date shall not apply to any franchise or Executory Contract with a state or local franchise authority.

29


 

Employment Agreements
          Under the Plan, the Employment Agreements of CCI’s Chief Executive Officer (the “CEO”) and CCI’s Chief Operating Officer (the “COO”) will be deemed assumed by the Reorganized Company as of the Effective Date. The CEO and COO will receive cash and bonus compensation and benefits on substantially the same terms as (but not less economically favorable than) those contained in their respective employment agreements in effect on the date hereof. The CEO will receive (i) long-term incentive compensation having substantially the same value as the long-term incentive compensation contained in his employment agreement in effect on the date hereof, and (ii) a waiver with respect to the retention bonus clawback provision contained in his employment agreement in effect on the date hereof.
          The Employment Agreements of the Chief Financial Officer, Chief Restructuring Officer, General Counsel and Corporate Secretary, Chief Marketing Officer, and Chief Technology Officer of CCI as of the Petition Date will be deemed assumed by the Reorganized Company as of the Effective Date, contingent upon amending such Employment Agreements, to the extent applicable, to: (i) conform the definition of “Change in Control” to the corresponding definition in the VCP; (ii) provide that “Good Reason” will not exist under the Employment Agreements by virtue of the filing of the Chapter 11 Cases or the implementation of the Plan; and (iii) include an acknowledgement that, contingent upon the VCP becoming effective as set forth in the Plan, no awards will be granted in 2009 under the Management Incentive Plan in place as of the Petition Date. The Employment Agreements of the Chief Accounting Officer and certain senior vice presidents of CCI will be deemed assumed by the Reorganized Company as of the Effective Date, contingent upon amending such Employment Agreements as set forth in subclauses (i) and (ii) of this paragraph.
Other Agreements
          The Mutual Services Agreement (subject to certain conditions as set forth in the Plan) shall be deemed assumed as of the Effective Date. The Consulting Agreement will be terminated without any further obligation on the part of the reorganized CCI or any of its subsidiaries as of the Effective Date and all claims existing thereunder at termination shall be released and discharged as of the Effective Date.
Management Incentive Plan
          The Plan also provides for a management incentive plan, which will include, among other things, an allocation of equity-based awards representing no less than 3% of the fully diluted New Common Stock outstanding on the Effective Date, after giving effect to the Rights Offering and the issuance of warrants provided for by the Plan, 50% of which will be distributed as determined by the Board of Directors no later than one month after the Effective Date.
Use of Proceeds
          The Reorganized Company will utilize the proceeds from the sale and issuance of the New CCH II Notes pursuant to the New CCH II Notes Commitment, the Rights Offering and the Overallotment Option (if exercised) (the “Net Proceeds”) (a) to pay the expenses of the Rights Offering; (b) to contribute to reorganized CCH II an amount sufficient to fund the cash payments due on the CCH II Notes Claims; (c) to contribute to reorganized CCO to pay the CCO Swap Agreement Claims; (d) to contribute, as necessary, to reorganized Holdco, reorganized CCHC, reorganized CCH, reorganized CIH, reorganized CCH I and reorganized CCH II in consideration for New Value Interests; (e) to pay Administrative Expense Claims and to make other payments as needed to confirm the Plan and to cause the Effective Date to occur; and (f) to pay the fees and expenses described below under “Specified Fees and Expenses” in the manner and order provided therein. Subject to certain limitations described below, plus Professional Fees, the remaining Net Proceeds, if any, will be contributed to reorganized CCO on or about the Effective Date to fund reorganized CCO’s working capital requirements following the Effective Date.
Specified Fees and Expenses
          On the Effective Date, the Allen Management Receivable will be paid in cash to the extent of Available Cash. If the Allen Management Receivable is not paid in full on the Effective Date, then any unpaid portion thereof will be paid in cash within 30 days after the end of the first calendar quarter following the Effective Date to the

30


 

extent of Available Cash on the last day of such calendar quarter, and within 20 days after the end of each following calendar quarter to the extent of Available Cash on the last day of each such following calendar quarter, until the Allen Management Receivable is paid in full.
          On the Effective Date (or when the Overallotment Option is received by the Reorganized Company), following payment of the Allen Management Receivable in full, the Commitment Fees, the Allen Fee Reimbursement and the VCP will be paid in cash to the extent of any remaining Available Cash; provided, however, that if there is not sufficient Available Cash for payment of the Commitment Fees, the Allen Fee Reimbursement and the VCP in full on the Effective Date, then payment of such fees on such date will be reduced pro rata based on the amount of each such fee in proportion to the total amount of the Commitment Fees, the Allen Fee Reimbursement and the VCP. If the Commitment Fees, the Allen Fee Reimbursement and the VCP are not paid in full on the Effective Date, then any unpaid portion thereof will be paid in cash within 20 days after the end of the first calendar quarter following the Effective Date in which the Allen Management Receivable is paid in full in Cash if there is Available Cash on the last day of such calendar quarter; provided, however, that, in the discretion of the Board of Directors, the Allen Fee Reimbursement, the Commitment Fees and the VCP on a pari passu basis may be paid regardless of sufficient Available Cash. For the avoidance of doubt, in no event shall the Commitment Fees (or any portion thereof), the Allen Fee Reimbursement (or any portion thereof) or the VCP (or any portion thereof) be paid unless and until the Allen Management Receivable has been paid in full. “Available Cash” means, as of any date of determination, all cash and cash equivalents on the consolidated balance sheet of the Reorganized Company and its consolidated subsidiaries, excluding any cash collateral securing letters of credit and segregated cash that may be used only as required by contract, statute or regulation (other than funds set aside to satisfy Specified Fees and Expenses), after giving effect to the use of proceeds described under subparagraphs (a) through (d) of the section entitled “Important Aspects of the Plan — Use of Proceeds,” minus the Fee Payment Threshold; provided, that if the Overallotment Option is exercised, the cash proceeds of the Overallotment Option shall be deemed to be included on the balance sheet of the Reorganized Company as of the Effective Date, regardless of the actual date of funding thereof. “Fee Payment Threshold” means $600 million minus the sum of (i) any cash payment of interest made during the Chapter 11 Cases on the CCH II Notes that are exchanged for New CCH II Notes pursuant to the Exchange and (ii) any prepayment of indebtedness for borrowed money or cash redemption payment for New Preferred Stock after the Effective Date.
          If all Specified Fees and Expenses have not been paid in full on the Effective Date, cash in the full amount of the unpaid portion of the Specified Fees and Expenses shall be retained by the Reorganized Company pending payment, subject to the good faith determination of the Reorganized Company to contribute all or any portion of such retained amount to direct or indirect subsidiaries. If such amounts are contributed, alternative arrangements for actual funding by the Reorganized Company shall be made by the Reorganized Company.
Other Provisions
          Under the Plan, upon the Debtors’ emergence from bankruptcy, the Reorganized Company’s initial board of directors will be comprised of 11 members as described in more detail under “Composition of New Board of Directors After the Effective Date,” which begins on page 57. In addition, CCI’s current Chief Executive Officer and Chief Operating Officer will continue in their same positions.
          The Reorganized Company will use its commercially reasonable efforts to file a shelf registration statement, and to cause such registration statement to become effective by December 15, 2009, subject to certain exceptions, covering shares of New Class A Stock, issued or issuable on conversion, exercise or exchange of securities, held by participants in the Rights Offering, holders of Warrants and the CII Settlement Claim Parties. In addition, certain holders of New CCH II Notes will have their securities registered by the Reorganized Company or in some circumstances exchanged for registered securities following the Effective Date. These registration rights will be subject to certain customary limitations, including that securities held by holders of less than 1% of the New Class A Stock shall not be entitled to registration rights.
          The Plan also provides that for a period of at least 6 months following the Effective Date, the Reorganized Company, reorganized Holdco, reorganized CCO and each of their respective direct and indirect subsidiaries will not negotiate, enter into agreements, understandings or arrangements or consummate transactions in the aggregate in excess of $500 million in total value to the extent that such transactions would occur at a price in excess of 110% of either (i) the value implied by the Reorganized Debtors’ valuation analysis set forth on Exhibit D to this Disclosure

31


 

Statement (the “Implied Plan Value”) or (ii) the appraised values, if any such appraised values are obtained as described in the next paragraph. Any transactions occurring at a price of 110% or lower than both the Implied Plan Value and such appraised values (if any) will not be subject to restriction and will not be taken into account in determining whether the $500 million limitation has been exceeded.
          The Plan also provides that within 30 days after the Effective Date, at Mr. Allen’s request, the Reorganized Company, reorganized Holdco and reorganized CCO will obtain (at their expense) an independent appraisal of the fair market value of reorganized Holdco’s and reorganized CCO’s (and their respective subsidiaries’) tangible and intangible assets as of the Effective Date that will include a reasonable allocation of value on an asset-by-asset basis, including any and all below market financing arrangements as may be appropriate. The appraisal firm and scope of the appraisal will be reasonably acceptable to Mr. Allen and the Reorganized Company, reorganized Holdco and reorganized CCO, but will at all times be retained by and act under the direction of the Reorganized Company, reorganized Holdco and reorganized CCO, consulting with Mr. Allen.
          The Amended and Restated Certificate of Incorporation will provide for the Voting Threshold. Subject to the Lock-Up Agreement, each share of New Class B Stock will be convertible into one share of New Class A Stock at the option of the Holder. In addition, each share of New Class B Stock will be convertible into one share of New Class A Stock (i) at any time on or after January 1, 2011 and until September 15, 2014, at the election of a majority of the disinterested members of the Board of Directors, and (ii) at any time on or after September 15, 2014 at the election of a majority of the members of the Board of Directors (other than members of the Board of Directors elected by the holders of New Class B Stock). The Amended and Restated Certificate of Incorporation and the amended and restated bylaws of the Reorganized Company will also provide for certain voting rights with respect to the election of the members of the Board of Directors as described under “Composition of New Board of Directors After the Effective Date,” which begins on page 57. In addition, the Amended and Restated Certificate of Incorporation will include provisions with respect to any business combination with or into any related party, requiring that such business combination be approved by the affirmative vote of a majority of the unrelated members of the Board of Directors and a majority of the disinterested stockholders. The Amended and Restated Certificate of Incorporation also provides that the Board of Directors may impose restrictions on the trading of the Reorganized Company’s stock if (i) the Reorganized Company has experienced an “owner shift” as determined for purposes of Section 382 of the IRC of at least 25 percentage points and (ii) the equity value of the Reorganized Company has decreased by at least 35% since the Effective Date. These restrictions, which are intended to preserve the Reorganized Company’s ability to use its NOLs, may prohibit any person from acquiring stock of the Reorganized Company if such person is a “5% shareholder” or would become a “5% shareholder” as a result of such acquisition. The restrictions will not operate to prevent any stockholder from disposing of shares and are subject to certain other exceptions relating to shares of New Common Stock issued or issuable under the Plan. The Board of Director’s ability to impose these restrictions will terminate on the fifth anniversary of the date of the Reorganized Company’s emergence from bankruptcy.
          A comprehensive description of treatment of all Claims and Interests under the Plan is included below in the section entitled “Treatment of Claims Against and Interests in the Debtors.”
Treatment of Claims Against and
Interests in the Debtors
Administrative and Priority Claims
Administrative Expense Claims
          Except with respect to Administrative Expense Claims that are Professional Compensation and Reimbursement Claims and except to the extent that a Holder of an Allowed Administrative Expense Claim and the Debtors agree to less favorable treatment to such Holder, each Holder of an Allowed Administrative Expense Claim will be paid in full in cash on the later of the Distribution Date under the Plan and the date such Administrative Expense Claim is Allowed, and the date such Allowed Administrative Expense Claim becomes due and payable, or as soon thereafter as is practicable; provided, however, that Allowed Administrative Expense Claims that arise in the ordinary course of the Debtors’ business will be paid in full in the ordinary course of business in accordance with the terms and subject to the conditions of any agreements governing, instruments evidencing, or other documents relating to, such transactions.

32


 

Professional Compensation and Reimbursement Claims
          Except as provided in ARTICLE II.A of the Plan, all entities seeking awards by the Bankruptcy Court of compensation for services rendered or reimbursement of expenses incurred through and including the Confirmation Date under sections 330, 331, 503(b)(2), 503(b)(3), 503(b)(4), or 503(b)(5) of the Bankruptcy Code will (1) File, on or before the date that is ninety (90) days after the Effective Date their respective applications for final allowances of compensation for services rendered and reimbursement of expenses incurred and (2) be paid in full, in cash, in such amounts as are Allowed by the Bankruptcy Court in accordance with the order relating to or Allowing any such Administrative Expense Claim. The Reorganized Debtors are authorized to pay compensation for Professional services rendered and reimbursement of expenses incurred after the Confirmation Date in the ordinary course and without the need for Bankruptcy Court approval.
Priority Tax Claims
          Each Holder of an Allowed Priority Tax Claim will receive, on the Distribution Date or such later date as such Allowed Priority Tax Claim becomes due and payable, at the option of the Debtors, one of the following treatments on account of such Claim: (1) cash in an amount equal to the amount of such Allowed Priority Tax Claim; or (2) such other treatment as may be agreed to by such Holder and the Debtors or otherwise determined upon an order of the Bankruptcy Court.
Classification and Treatment of Classified Claims and Interests
          In accordance with section 1123(a)(1) of the Bankruptcy Code, Administrative Expense Claims, Professional Compensation and Reimbursement Claims and Priority Tax Claims have not been classified and thus are excluded from the Classes of Claims and Interests set forth in ARTICLE III of the Plan.
          The categories of Claims and Interests listed below classify Claims and Interests for all purposes, including voting, confirmation and distributions pursuant to the Plan and pursuant to sections 1122 and 1123(a)(1) of the Bankruptcy Code. The Plan deems a Claim or Interest to be classified in a particular Class only to the extent that the Claim or Interest qualifies within the description of that Class and will be deemed classified in a different Class to the extent that any remainder of such Claim or Equity Interest qualifies within the description of such different Class. A Claim or an Interest is in a particular Class only to the extent that any such Claim or Interest is Allowed in that Class and has not been paid or otherwise settled prior to the Effective Date. The estimated amounts of Allowed Claims set forth below are as of an assumed Effective Date of September 30, 2009.
          Pursuant to the terms of the Plan, except for Claims that are (a) expressly exempted from the discharge provisions of the Bankruptcy Code, or (b) specifically identified as being reinstated, all Claims that arose prior to the confirmation of the Plan will be discharged.
A. CCI
          The indenture trustee for the CCI Notes Claims has raised issues with the Debtors and the Bankruptcy Court regarding the treatment of CCI Notes Claims under the Plan. Among other things, the indenture trustee has raised questions as to: (a) whether certain intercompany claims, upon which the recovery to CCI Notes Claims under the Plan are based, were compromised in the months and weeks preceding the Petition Date via preferential transfers, fraudulent conveyances, or otherwise; (b) the propriety of the CII Settlement; (c) the propriety of releases granted to parties, including Mr. Allen; (d) whether a theory can be developed to provide a recovery to CCI Notes based on tax attributes; and (e) the value, if any, of avoidance actions that would be available to CCI and its creditors on account of avoidance action recoveries (which avoidance actions are waived under the Plan).
          In response, the Debtors first note that intercompany claims, as general unsecured claims, are treated as paid in full or reinstated under the Plan. Moreover, the Debtors contend that the indenture trustee’s allegations relate primarily, if not exclusively, to the claim that the Plan will fail to satisfy the requirement that the CCI Notes Claims must recover more under the Plan than they would in liquidation under Chapter 7 of the Bankruptcy Code. The Debtors believe that the Plan satisfies all legal requirements to confirm the Plan, including that the Plan will provide a higher recovery to the CCI Notes Claims than a Chapter 7 liquidation. Absent a settlement of the allegations made by the indenture trustee or other parties, the Debtors will present their case in support of

33


 

confirmation of the Plan at the hearing to confirm the Plan, the indenture trustee will present its objections and the Bankruptcy Court will decide the matter. As evidenced by their filing and pursuit of the Plan, the Debtors encourage creditors of CCI entitled to vote on the Plan to cast their vote in favor of the Plan.
          1. Class A-1: Priority Non-Tax Claims
               (a) Classification. Class A-1 consists of all Priority Non-Tax Claims that may exist against CCI.
               (b) Impairment and Voting. Class A-1 is unimpaired by the Plan. Each Holder of an Allowed Priority Non-Tax Claim against CCI is not entitled to vote to accept or reject the Plan and will be deemed conclusively to have accepted the Plan.
               (c) Distributions. Except to the extent that a Holder of an Allowed Priority Non-Tax Claim against CCI and the applicable Debtors agree to less favorable treatment to such Holder, each Holder of such Allowed Priority Non-Tax Claim will be paid in full in cash, plus Post-Petition Interest, on the later of the Distribution Date, the date such Priority Non-Tax Claim is Allowed and the date such Allowed Priority Non-Tax Claim becomes due and payable, or as soon thereafter as is practicable; provided, however, that Priority Non-Tax Claims that arise in the ordinary course of the Debtors’ business and which are not due and payable on or before the Effective Date will be paid in the ordinary course of business in accordance with the terms thereof.
               (d) Estimated Allowed Amount of Claims: $0
               (e) Projected Percentage Recovery: 100%
          2. Class A-2: Secured Claims
               (a) Classification. Class A-2 consists of all Secured Claims that may exist against CCI.
               (b) Impairment and Voting. Class A-2 is Unimpaired by the Plan. Each Holder of an Allowed Secured Claim against CCI is not entitled to vote to accept or reject the Plan and will be deemed conclusively to have accepted the Plan.
               (c) Distributions. Except to the extent that a Holder of an Allowed Secured Claim against CCI and the applicable Debtors agree to less favorable treatment to such Holder, at the sole option of the Debtors, (i) each Allowed Secured Claim against CCI will be reinstated and rendered Unimpaired in accordance with section 1124 of the Bankruptcy Code, (ii) each Holder of an Allowed Secured Claim against CCI will be paid in full in cash, plus Post-Petition Interest, on the later of the Distribution Date and the date such Secured Claim becomes an Allowed Secured Claim, or as soon thereafter as is practicable, or (iii) each Holder of an Allowed Secured Claim against CCI will receive the collateral securing its Allowed Secured Claim, plus Post-Petition Interest, on the later of the Distribution Date and the date such Secured Claim becomes an Allowed Secured Claim, or as soon thereafter as is practicable.
               (d) Estimated Allowed Amount of Claims: $0
               (e) Projected Percentage Recovery: 100%
          3. Class A-3: General Unsecured Claims
               (a) Classification. Class A-3 consists of all General Unsecured Claims that may exist against CCI other than all General Unsecured Claims against CCI held by any CII Settlement Claim Party.
               (b) Impairment and Voting. Class A-3 is Impaired by the Plan. Each Holder of an Allowed General Unsecured Claim against CCI is entitled to vote to accept or reject the Plan.
               (c) Distributions. Except to the extent that a Holder of an Allowed General Unsecured Claim against CCI and the applicable Debtors agree to less favorable treatment to such Holder, at the sole option of

34


 

the Debtors, (i) each Allowed General Unsecured Claim against CCI will be reinstated and rendered Unimpaired in accordance with section 1124 of the Bankruptcy Code, or (ii) each Holder of an Allowed General Unsecured Claim against CCI will be paid in full in cash on the Distribution Date or as soon thereafter as is practicable.
               (d) Estimated Allowed Amount of Claims: $1,019,317
               (e) Projected Percentage Recovery: 100%
          4. Class A-4: CCI Notes Claims
                    The recoveries set forth below for holders of Claims against CCI are in part on account of intercompany claims against CCO and include liabilities payable to third parties, cash and intercompany loans and airplane capital lease obligations. The indenture trustee for the CCI Notes Claims has raised issues with the Debtors and the Bankruptcy Court regarding the treatment of CCI Notes Claims under the Plan. Among other things, the indenture trustee has raised questions as to: (a) whether certain intercompany claims, upon which the recovery to CCI Notes Claims under the Plan are based, were compromised in the months and weeks preceding the Petition Date via preferential transfers, fraudulent conveyances, or otherwise; (b) the reasonableness of the CII Settlement; (c) the propriety of releases granted to parties, including Mr. Allen; (d) whether the tax attributes of CCI should increase the recovery to the holders of the CCI Notes; and (e) the existence, if any, of plausible avoidance actions that would be available to CCI and its creditors on account of avoidance action recoveries (which avoidance actions are waived under the Plan).
                    In response, the Debtors first note that intercompany claims, as general unsecured claims, are treated as paid in full or reinstated under the Plan. Moreover, the Debtors contend that the indenture trustee’s allegations relate primarily, if not exclusively, to the claim that the Plan will fail to satisfy the requirement to confirm that the CCI Notes Claims must recover more under the Plan than they would in liquidation under Chapter 7 of the Bankruptcy Code. The Debtors believe that the Plan satisfies all legal requirements to confirm the Plan, including that the Plan will provide a higher recovery to the CCI Notes Claims than a Chapter 7 liquidation. Absent a settlement of the allegations made by the indenture trustee or other parties, the Debtors will present their case in support of confirmation of the Plan at the hearing to confirm the Plan, the indenture trustee will present its objections and the Bankruptcy Court will decide the matter. As evidenced by their filing and pursuit of the Plan, the Debtors encourage creditors of CCI entitled to vote on the Plan to cast their vote in favor of the Plan.
               (a) Classification. Class A-4 consists of all CCI Notes Claims.
               (b) Impairment and Voting. Class A-4 is Impaired by the Plan. Each Holder of an Allowed CCI Notes Claim is entitled to vote to accept or reject the Plan.
               (c) Distributions. The CCI Notes Claims shall be deemed Allowed in the aggregate amount of $497,489,463. On the Distribution Date, each Holder of an Allowed CCI Notes Claim shall receive its Pro Rata share of (i) New Preferred Stock and (ii) Cash in an aggregate amount equal to $24,549,331.
               (d) Estimated Allowed Amount of Claims: $497,489,463
               (e) Projected Percentage Recovery: 19.4%
          5. Class A-5: Section 510(b) Claims
               (a) Classification. Class A-5 consists of all Section 510(b) Claims that may exist against CCI other than all Section 510(b) Claims against CCI held by any CII Settlement Claim Party.
               (b) Impairment and Voting. Class A-5 is Impaired by the Plan. Each Holder of a Section 510(b) Claim against CCI is not entitled to vote to accept or reject the Plan and will be deemed conclusively to have rejected the Plan.
               (c) Distributions. Section 510(b) Claims will be cancelled, released, and extinguished and the Holders of Section 510(b) Claims will receive no distribution under the Plan on account of such Claims.

35


 

               (d) Estimated Allowed Amount of Claims: $0
               (e) Projected Percentage Recovery: 0%
          6. Class A-6: Interests
               (a) Classification. Class A-6 consists of all Interests in CCI other than all Interests in CCI held by any CII Settlement Claim Party.
               (b) Impairment and Voting. Class A-6 is Impaired by the Plan. Each Holder of an Interest in CCI is not entitled to vote to accept or reject the Plan and will be deemed conclusively to have rejected the Plan.
               (c) Distributions. Interests in CCI, whether represented by stock, preferred share purchase rights or otherwise, will be cancelled, released, and extinguished and the Holders of such Interests will receive no distribution under the Plan on account thereof.
               (d) Estimated Allowed Amount of Claims: $0
               (e) Projected Percentage Recovery: 0%
B. CII
          1. Class B-1: Priority Non-Tax Claims
               (a) Classification. Class B-1 consists of all Priority Non-Tax Claims that may exist against CII.
               (b) Impairment and Voting. Class B-1 is Unimpaired by the Plan. Each Holder of an Allowed Priority Non-Tax Claim against CII is not entitled to vote to accept or reject the Plan and shall be deemed conclusively to have accepted the Plan.
               (c) Distributions. Except to the extent that a Holder of an Allowed Priority Non-Tax Claim against CII and the applicable Debtors agree to less favorable treatment to such Holder, each Holder of such Allowed Priority Non-Tax Claim shall be paid in full in cash, plus Post-Petition Interest, on the later of the Distribution Date under the Plan, the date such Priority Non-Tax Claim is Allowed, and the date such Allowed Priority Non-Tax Claim becomes due and payable, or as soon thereafter as is practicable; provided, however, that Priority Non-Tax Claims that arise in the ordinary course of business and which are not due and payable on or before the Effective Date shall be paid in the ordinary course of business in accordance with the terms thereof.
               (d) Estimated Allowed Amount of Claims: $0
               (e) Projected Percentage Recovery: 100%
          2. Class B-2: Secured Claims
               (a) Classification. Class B-2 consists of all Secured Claims that may exist against CII.
               (b) Impairment and Voting. Class B-2 is Unimpaired by the Plan. Each Holder of an Allowed Secured Claim against CII is not entitled to vote to accept or reject the Plan and shall be deemed conclusively to have accepted the Plan.
               (c) Distributions. Except to the extent that a Holder of an Allowed Secured Claim against CII and the applicable Debtors agree to less favorable treatment to such Holder, at the sole option of CII, (i) each Allowed Secured Claim against CII shall be reinstated and rendered Unimpaired in accordance with section 1124 of the Bankruptcy Code, (ii) each Holder of an Allowed Secured Claim against CII shall be paid in full in cash, plus Post-Petition Interest, on the later of the Distribution Date under the Plan and the date such Secured Claim becomes an Allowed Secured Claim, or as soon thereafter as is practicable, or (iii) each Holder of an Allowed Secured Claim against CII shall receive the collateral securing its Allowed Secured Claim, plus Post-Petition Interest, on the later of

36


 

the Distribution Date under the Plan and the date such Secured Claim becomes an Allowed Secured Claim, or as soon thereafter as is practicable.
               (d) Estimated Allowed Amount of Claims: $0
               (e) Projected Percentage Recovery: 100%
          3. Class B-3: General Unsecured Claims
               (a) Classification. Class B-3 consists of all General Unsecured Claims that may exist against CII.
               (b) Impairment and Voting. Class B-3 is Impaired by the Plan. Each Holder of an Allowed General Unsecured Claim against CII is entitled to vote to accept or reject the Plan.
               (c) Distributions. Except to the extent that a Holder of an Allowed General Unsecured Claim against CII and the applicable Debtors agree to less favorable treatment to such Holder, at the sole option of the applicable Debtors, (i) each Allowed General Unsecured Claim against CII shall be reinstated and rendered Unimpaired in accordance with section 1124 of the Bankruptcy Code or (ii) each Holder of an Allowed General Unsecured Claim against CII shall be paid in full in Cash on the Distribution Date or as soon thereafter as is practicable.
               (d) Estimated Allowed Amount of Claims: $ 5,900,000
               (e) Projected Percentage Recovery: 100%
          4. Class B-4: CII Shareholder Claims
               (a) Classification. Class B-4 consists of CII Shareholder Claims.
               (b) Impairment and Voting. Class B-4 is Impaired by the Plan. The Holder of an Allowed CII Shareholder Claim is entitled to vote to accept or reject the Plan.
               (c) Distributions. The Holder of Allowed CII Shareholder Claims shall receive 100,000 newly issued shares of Class A Voting Common Stock of Reorganized CII on the Effective Date.
C. Holdco, Enstar Communications Corporation, and Charter Gateway, LLC
          1. Class C-1: Priority Non-Tax Claims
               (a) Classification. Class C-1 consists of all Priority Non-Tax Claims that may exist against Holdco, Enstar Communications Corporation, and Charter Gateway, LLC.
               (b) Impairment and Voting. Class C-1 is Unimpaired by the Plan. Each Holder of an Allowed Priority Non-Tax Claim against Holdco, Enstar Communications Corporation, and Charter Gateway, LLC is not entitled to vote to accept or reject the Plan and will be deemed conclusively to have accepted the Plan.
               (c) Distributions. Except to the extent that a Holder of an Allowed Priority Non-Tax Claim against Holdco, Enstar Communications Corporation, and Charter Gateway, LLC and the applicable Debtors agree to less favorable treatment to such Holder, each Holder of such Allowed Priority Non-Tax Claim will be paid in full in cash, plus Post-Petition Interest, on the later of the Distribution Date, the date such Priority Non-Tax Claim is Allowed and the date such Allowed Priority Non-Tax Claim becomes due and payable, or as soon thereafter as is practicable; provided, however, that Priority Non-Tax Claims that arise in the ordinary course of the Debtors’ business and which are not due and payable on or before the Effective Date will be paid in the ordinary course of business in accordance with the terms thereof.
               (d) Estimated Allowed Amount of Claims: $0

37


 

               (e) Projected Percentage Recovery: 100%
          2. Class C-2: Secured Claims
               (a) Classification. Class C-2 consists of all Secured Claims that may exist against Holdco, Enstar Communications Corporation, and Charter Gateway, LLC.
               (b) Impairment and Voting. Class C-2 is Unimpaired by the Plan. Each Holder of an Allowed Secured Claim against Holdco, Enstar Communications Corporation, and Charter Gateway, LLC is not entitled to vote to accept or reject the Plan and will be deemed conclusively to have accepted the Plan.
               (c) Distributions. Except to the extent that a Holder of an Allowed Secured Claim against Holdco, Enstar Communications Corporation, and Charter Gateway, LLC and the applicable Debtors agree to less favorable treatment to such Holder, at the sole option of the Debtors, (i) each Allowed Secured Claim against Holdco, Enstar Communications Corporation, and Charter Gateway, LLC will be reinstated and rendered Unimpaired in accordance with section 1124 of the Bankruptcy Code, (ii) each Holder of an Allowed Secured Claim against Holdco, Enstar Communications Corporation, and Charter Gateway, LLC will be paid in full in cash, plus Post-Petition Interest, on the later of the Distribution Date and the date such Secured Claim becomes an Allowed Secured Claim, or as soon thereafter as is practicable, or (iii) each Holder of an Allowed Secured Claim against Holdco, Enstar Communications Corporation, and Charter Gateway, LLC will receive the collateral securing its Allowed Secured Claim, plus Post-Petition Interest, on the later of the Distribution Date and the date such Secured Claim becomes an Allowed Secured Claim, or as soon thereafter as is practicable.
               (d) Estimated Allowed Amount of Claims: $0
               (e) Projected Percentage Recovery: 100%
          3. Class C-3: General Unsecured Claims
               (a) Classification. Class C-3 consists of all General Unsecured Claims that may exist against Holdco, Enstar Communications Corporation, and Charter Gateway, LLC.
               (b) Impairment and Voting. Class C-3 is Impaired by the Plan. Each Holder of an Allowed General Unsecured Claim against Holdco, Enstar Communications Corporation, and Charter Gateway, LLC is entitled to vote to accept or reject the Plan.
               (c) Distributions. Except to the extent that a Holder of an Allowed General Unsecured Claim against Holdco, Enstar Communications Corporation, and Charter Gateway, LLC and the applicable Debtors agree to less favorable treatment to such Holder, at the sole option of the Debtors, (i) each Allowed General Unsecured Claim against Holdco, Enstar Communications Corporation, and Charter Gateway, LLC will be reinstated and rendered Unimpaired in accordance with section 1124 of the Bankruptcy Code, or (ii) each Holder of an Allowed General Unsecured Claim against Holdco, Enstar Communications Corporation, and Charter Gateway, LLC will be paid in full in cash on the Distribution Date or as soon thereafter as is practicable.
               (d) Estimated Allowed Amount of Claims: $0
               (e) Projected Percentage Recovery: 100%
          4. Class C-4: Holdco Notes Claims
               (a) Classification. Class C-4 consists of Holdco Notes Claims.
               (b) Impairment and Voting. Class C-4 is Impaired by the Plan. Each Holder of an Allowed Holdco Notes Claim is entitled to vote to accept or reject the Plan.
               (c) Distributions. The Holdco Notes Claims shall be Allowed in the aggregate amount of $497,489,463. The aggregate amount distributed under the Plan on account of Class C-4 Allowed Holdco Notes

38


 

Claims shall be consideration equal to $19,549,331, which consideration shall be distributed as set forth in Class A-4 as CCI is the sole Holder of Holdco Notes Claims.
               (d) Estimated Allowed Amount of Claims: $497,489,463
               (e) Projected Percentage Recovery: 3.9%
          5. Class C-5: Section 510(b) Claims
               (a) Classification. Class C-5 consists of all Section 510(b) Claims that may exist against Holdco, Enstar Communications Corporation, and Charter Gateway, LLC.
               (b) Impairment and Voting. Class C-5 is Impaired by the Plan. Each Holder of a Section 510(b) Claim against Holdco, Enstar Communications Corporation, and Charter Gateway, LLC is not entitled to vote to accept or reject the Plan and will be deemed conclusively to have rejected the Plan.
               (c) Distributions. Section 510(b) Claims will be cancelled, released, and extinguished and the Holders of Section 510(b) Claims will receive no distribution under the Plan on account of such Claims.
               (d) Estimated Allowed Amount of Claims: $0
               (e) Projected Percentage Recovery: 0%
          6. Class C-6: Interests
               (a) Classification. Class C-6 consists of all Interests in Holdco, Enstar Communications Corporation, and Charter Gateway, LLC other than all Interests in Holdco held by any CII Settlement Claim Party.
               (b) Impairment and Voting. Class C-6 is Impaired by the Plan. Each Holder of an Allowed Interest against Holdco, Enstar Communications Corporation, and Charter Gateway, LLC is not entitled to vote to accept or reject the Plan and shall be deemed conclusively to have rejected the Plan.
               (c) Distributions. Interests in Holdco, Enstar Communications Corporation, and Charter Gateway, LLC will remain in place in exchange for New Value Consideration in the amount of $2 million to be contributed by CCI from the Rights Offering.
               (d) Estimated Allowed Amount of Claims: $0
               (e) Projected Percentage Recovery: 0%
D. CCHC
          1. Class D-1: Priority Non-Tax Claims
               (a) Classification. Class D-1 consists of all Priority Non-Tax Claims that may exist against CCHC.
               (b) Impairment and Voting. Class D-1 is Unimpaired by the Plan. Each Holder of an Allowed Priority Non-Tax Claim against CCHC is not entitled to vote to accept or reject the Plan and will be deemed conclusively to have accepted the Plan.
               (c) Distributions. Except to the extent that a Holder of an Allowed Priority Non-Tax Claim against CCHC and the applicable Debtors agree to less favorable treatment to such Holder, each Holder of such Allowed Priority Non-Tax Claim will be paid in full in cash, plus Post-Petition Interest, on the later of the Distribution Date, the date such Priority Non-Tax Claim is Allowed and the date such Allowed Priority Non-Tax Claim becomes due and payable, or as soon thereafter as is practicable; provided, however, that Priority Non-Tax Claims that arise in the ordinary course of the Debtors’ business and which are not due and payable on or before the Effective Date will be paid in the ordinary course of business in accordance with the terms thereof.

39


 

               (d) Estimated Allowed Amount of Claims: $0
               (e) Projected Percentage Recovery: 100%
          2. Class D-2: Secured Claims
               (a) Classification. Class D-2 consists of all Secured Claims that may exist against CCHC.
               (b) Impairment and Voting. Class D-2 is Unimpaired by the Plan. Each Holder of an Allowed Secured Claim against CCHC is not entitled to vote to accept or reject the Plan and will be deemed conclusively to have accepted the Plan.
               (c) Distributions. Except to the extent that a Holder of an Allowed Secured Claim against CCHC and the applicable Debtors agree to less favorable treatment to such Holder, at the sole option of the Debtors, (i) each Allowed Secured Claim against CCHC will be reinstated and rendered Unimpaired in accordance with section 1124 of the Bankruptcy Code, (ii) each Holder of an Allowed Secured Claim against CCHC will be paid in full in cash, plus Post-Petition Interest, on the later of the Distribution Date and the date such Secured Claim becomes an Allowed Secured Claim, or as soon thereafter as is practicable, or (iii) each Holder of an Allowed Secured Claim against CCHC will receive the collateral securing its Allowed Secured Claim, plus Post-Petition Interest, on the later of the Distribution Date and the date such Secured Claim becomes an Allowed Secured Claim, or as soon thereafter as is practicable.
               (d) Estimated Allowed Amount of Claims: $0
               (e) Projected Percentage Recovery: 100%
          3. Class D-3: General Unsecured Claims
               (a) Classification. Class D-3 consists of all General Unsecured Claims that may exist against CCHC other than all General Unsecured Claims against CCHC held by any CII Settlement Claim Party.
               (b) Impairment and Voting. Class D-3 is Impaired by the Plan. Each Holder of an Allowed General Unsecured Claim against CCHC is entitled to vote to accept or reject the Plan.
               (c) Distributions. Except to the extent that a Holder of an Allowed General Unsecured Claim against CCHC and the applicable Debtors agree to less favorable treatment to such Holder, at the sole option of the Debtors, (i) each Allowed General Unsecured Claim against CCHC will be reinstated and rendered Unimpaired in accordance with section 1124 of the Bankruptcy Code, or (ii) each Holder of an Allowed General Unsecured Claim against CCHC will be paid in full in cash on the Distribution Date or as soon thereafter as is practicable.
               (d) Estimated Allowed Amount of Claims: $0
               (e) Projected Percentage Recovery: 100%
          4. Class D-4: Section 510(b) Claims
               (a) Classification. Class D-4 consists of all Section 510(b) Claims that may exist against CCHC.
               (b) Impairment and Voting. Class D-4 is Impaired by the Plan. Each Holder of a Section 510(b) Claim against CCHC is not entitled to vote to accept or reject the Plan and will be deemed conclusively to have rejected the Plan.
               (c) Distributions. Section 510(b) Claims will be cancelled, released and extinguished and the Holders of Section 510(b) Claims will receive no distribution under the Plan on account of such Claims.
               (d) Estimated Allowed Amount of Claims: $0

40


 

               (e) Projected Percentage Recovery: 0%
          5. Class D-5: Interests
               (a) Classification. Class D-5 consists of all Interests in CCHC.
               (b) Impairment and Voting. Class D-5 is Impaired by the Plan. Each Holder of an Allowed Interest against CCHC is not entitled to vote to accept or reject the Plan and shall be deemed conclusively to have rejected the Plan.
               (c) Distributions. Interests in CCHC will remain in place in exchange for New Value Consideration in the amount of $2 million to be contributed by CCI from the Rights Offering.
               (d) Estimated Allowed Amount of Claims: $0
               (e) Projected Percentage Recovery: 0%
E. CCH and Charter Communications Holdings Capital Corp.
          1. Class E-1: Priority Non-Tax Claims
               (a) Classification. Class E-1 consists of all Priority Non-Tax Claims that may exist against CCH and Charter Communications Holdings Capital Corp.
               (b) Impairment and Voting. Class E-1 is Unimpaired by the Plan. Each Holder of an Allowed Priority Non-Tax Claim against CCH and Charter Communications Holdings Capital Corp. is not entitled to vote to accept or reject the Plan and will be deemed conclusively to have accepted the Plan.
               (c) Distributions. Except to the extent that a Holder of an Allowed Priority Non-Tax Claim against CCH and Charter Communications Holdings Capital Corp. and the applicable Debtors agree to less favorable treatment to such Holder, each Holder of such Allowed Priority Non-Tax Claim will be paid in full in cash, plus Post-Petition Interest, on the later of the Distribution Date, the date such Priority Non-Tax Claim is Allowed and the date such Allowed Priority Non-Tax Claim becomes due and payable, or as soon thereafter as is practicable; provided, however, that Priority Non-Tax Claims that arise in the ordinary course of the Debtors’ business and which are not due and payable on or before the Effective Date will be paid in the ordinary course of business in accordance with the terms thereof.
               (d) Estimated Allowed Amount of Claims: $0
               (e) Projected Percentage Recovery: 100%
          2. Class E-2: Secured Claims
               (a) Classification. Class E-2 consists of all Secured Claims that may exist against CCH and Charter Communications Holdings Capital Corp.
               (b) Impairment and Voting. Class E-2 is Unimpaired by the Plan. Each Holder of an Allowed Secured Claim against CCH and Charter Communications Holdings Capital Corp. is not entitled to vote to accept or reject the Plan and will be deemed conclusively to have accepted the Plan.
               (c) Distributions. Except to the extent that a Holder of an Allowed Secured Claim against CCH and Charter Communications Holdings Capital Corp. and the applicable Debtors agree to less favorable treatment to such Holder, at the sole option of the Debtors, (i) each Allowed Secured Claim against CCH and Charter Communications Holdings Capital Corp. will be reinstated and rendered Unimpaired in accordance with section 1124 of the Bankruptcy Code, (ii) each Holder of an Allowed Secured Claim against CCH and Charter Communications Holdings Capital Corp. will be paid in full in cash, plus Post-Petition Interest, on the later of the Distribution Date and the date such Secured Claim becomes an Allowed Secured Claim, or as soon thereafter as is

41


 

practicable, or (iii) each Holder of an Allowed Secured Claim against CCH and Charter Communications Holdings Capital Corp. will receive the collateral securing its Allowed Secured Claim, plus Post-Petition Interest, on the later of the Distribution Date and the date such Secured Claim becomes an Allowed Secured Claim, or as soon thereafter as is practicable.
               (d) Estimated Allowed Amount of Claims: $0
               (e) Projected Percentage Recovery: 100%
          3. Class E-3: General Unsecured Claims
               (a) Classification. Class E-3 consists of all General Unsecured Claims that may exist against CCH and Charter Communications Holdings Capital Corp.
               (b) Impairment and Voting. Class E-3 is Impaired by the Plan. Each Holder of an Allowed General Unsecured Claim against CCH and Charter Communications Holdings Capital Corp. is entitled to vote to accept or reject the Plan.
               (c) Distributions. Except to the extent that a Holder of an Allowed General Unsecured Claim against CCH and Charter Communications Holdings Capital Corp. and the applicable Debtors agree to less favorable treatment to such Holder, at the sole option of the Debtors, (i) each Allowed General Unsecured Claim against CCH and Charter Communications Holdings Capital Corp. will be reinstated and rendered Unimpaired in accordance with section 1124 of the Bankruptcy Code, or (ii) each Holder of an Allowed General Unsecured Claim against CCH and Charter Communications Holdings Capital Corp. will be paid in full in cash on the Distribution Date or as soon thereafter as is practicable.
               (d) Estimated Allowed Amount of Claims: $0
               (e) Projected Percentage Recovery: 100%
          4. Class E-4: CCH Notes Claims
               (a) Classification. Class E-4 consists of CCH Notes Claims.
               (b) Impairment and Voting. Class E-4 is Impaired by the Plan. Each Holder of an Allowed CCH Notes Claim is entitled to vote to accept or reject the Plan.
               (c) Distributions. CCH Notes Claims shall be Allowed in the aggregate amount of $599,379,759. On the Distribution Date, each Holder of an Allowed CCH Notes Claim shall receive its Pro Rata share of the CCH Warrants.
               (d) Estimated Allowed Amount of Claims: $599,379,759
               (e) Projected Percentage Recovery: 0.4%
          5. Class E-5: Section 510(b) Claims
               (a) Classification. Class E-5 consists of all Section 510(b) Claims that may exist against CCH and Charter Communications Holdings Capital Corp.
               (b) Impairment and Voting. Class E-5 is Impaired by the Plan. Each Holder of a Section 510(b) Claim against CCH and Charter Communications Holdings Capital Corp. is not entitled to vote to accept or reject the Plan and will be deemed conclusively to have rejected the Plan.
               (c) Distributions. Section 510(b) Claims will be cancelled, released, and extinguished and the Holders of Section 510(b) Claims will receive no distribution under the Plan on account of such Claims.
               (d) Estimated Allowed Amount of Claims: $0

42


 

               (e) Projected Percentage Recovery: 0%
          6. Class E-6: Interests
               (a) Classification. Class E-6 consists of all Interests in CCH and Charter Communications Holdings Capital Corp.
               (b) Impairment and Voting. Class E-6 is Impaired by the Plan. Each Holder of an Allowed Interest against CCH and Charter Communications Holdings Capital Corp. is not entitled to vote to accept or reject the Plan and shall be deemed conclusively to have rejected the Plan.
               (c) Distributions. Interests in CCH and Charter Communications Holdings Capital Corp. will remain in place in exchange for New Value Consideration in the amount of $1,533,180 to be contributed by CCI from the Rights Offering.
               (d) Estimated Allowed Amount of Claims: $0
               (e) Projected Percentage Recovery: 0%
F. CIH and CCH I Holdings Capital Corp.
          1. Class F-1: Priority Non-Tax Claims
               (a) Classification. Class F-1 consists of all Priority Non-Tax Claims that may exist against CIH and CCH I Holdings Capital Corp.
               (b) Impairment and Voting. Class F-1 is Unimpaired by the Plan. Each Holder of an Allowed Priority Non-Tax Claim against CIH and CCH I Holdings Capital Corp. is not entitled to vote to accept or reject the Plan and will be deemed conclusively to have accepted the Plan.
               (c) Distributions. Except to the extent that a Holder of an Allowed Priority Non-Tax Claim against CIH and CCH I Holdings Capital Corp. and the applicable Debtors agree to less favorable treatment to such Holder, each Holder of such Allowed Priority Non-Tax Claim will be paid in full in cash, plus Post-Petition Interest, on the later of the Distribution Date, the date such Priority Non-Tax Claim is Allowed and the date such Allowed Priority Non-Tax Claim becomes due and payable, or as soon thereafter as is practicable; provided, however, that Priority Non-Tax Claims that arise in the ordinary course of the Debtors’ business and which are not due and payable on or before the Effective Date will be paid in the ordinary course of business in accordance with the terms thereof.
               (d) Estimated Allowed Amount of Claims: $0
               (e) Projected Percentage Recovery: 100%
          2. Class F-2: Secured Claims
               (a) Classification. Class F-2 consists of all Secured Claims that may exist against CIH and CCH I Holdings Capital Corp.
               (b) Impairment and Voting. Class F-2 is Unimpaired by the Plan. Each Holder of an Allowed Secured Claim against CIH and CCH I Holdings Capital Corp. is not entitled to vote to accept or reject the Plan and will be deemed conclusively to have accepted the Plan.
               (c) Distributions. Except to the extent that a Holder of an Allowed Secured Claim against CIH and CCH I Holdings Capital Corp. and the applicable Debtors agree to less favorable treatment to such Holder, at the sole option of the Debtors, (i) each Allowed Secured Claim against CIH and CCH I Holdings Capital Corp. will be reinstated and rendered Unimpaired in accordance with section 1124 of the Bankruptcy Code, (ii) each Holder of an Allowed Secured Claim against CIH and CCH I Holdings Capital Corp. will be paid in full in cash,

43


 

plus Post-Petition Interest, on the later of the Distribution Date and the date such Secured Claim becomes an Allowed Secured Claim, or as soon thereafter as is practicable, or (iii) each Holder of an Allowed Secured Claim against CIH and CCH I Holdings Capital Corp. will receive the collateral securing its Allowed Secured Claim, plus Post-Petition Interest, on the later of the Distribution Date and the date such Secured Claim becomes an Allowed Secured Claim, or as soon thereafter as is practicable.
               (d) Estimated Allowed Amount of Claims: $0
               (e) Projected Percentage Recovery: 100%
          3. Class F-3: General Unsecured Claims
               (a) Classification. Class F-3 consists of all General Unsecured Claims that may exist against CIH and CCH I Holdings Capital Corp.
               (b) Impairment and Voting. Class F-3 is Impaired by the Plan. Each Holder of an Allowed General Unsecured Claim against CIH and CCH I Holdings Capital Corp. is entitled to vote to accept or reject the Plan.
               (c) Distributions. Except to the extent that a Holder of an Allowed General Unsecured Claim against CIH and CCH I Holdings Capital Corp. and the applicable Debtors agree to less favorable treatment to such Holder, at the sole option of the Debtors, (i) each Allowed General Unsecured Claim against CIH and CCH I Holdings Capital Corp. will be reinstated and rendered Unimpaired in accordance with section 1124 of the Bankruptcy Code, or (ii) each Holder of an Allowed General Unsecured Claim against CIH and CCH I Holdings Capital Corp. will be paid in full in cash on the Distribution Date or as soon thereafter as is practicable.
               (d) Estimated Allowed Amount of Claims: $0
               (e) Projected Percentage Recovery: 100%
          4. Class F-4: CIH Notes Claims
               (a) Classification. Class F-4 consists of CIH Notes Claims.
               (b) Impairment and Voting. Class F-4 is Impaired by the Plan. Each Holder of an Allowed CIH Notes Claim is entitled to vote to accept or reject the Plan.
               (c) Distributions. CIH Notes Claims will be Allowed in the aggregate amount of $2,625,060,226. On the Distribution Date, each Holder of CIH Notes Claim will receive its Pro Rata share of the CIH Warrants.
               (d) Estimated Allowed Amount of Claims: $2,625,060,226
               (e) Projected Percentage Recovery: 0.5%
          5. Class F-5: Section 510(b) Claims
               (a) Classification. Class F-5 consists of all Section 510(b) Claims that may exist against CIH and CCH I Holdings Capital Corp.
               (b) Impairment and Voting. Class F-5 is Impaired by the Plan. Each Holder of a Section 510(b) Claim against CIH and CCH I Holdings Capital Corp. is not entitled to vote to accept or reject the Plan and will be deemed conclusively to have rejected the Plan.
               (c) Distributions. Section 510(b) Claims will be cancelled, released, and extinguished and the Holders of Section 510(b) Claims will receive no distribution under the Plan on account of such Claims.
               (d) Estimated Allowed Amount of Claims: $0

44


 

               (e) Projected Percentage Recovery: 0%
          6. Class F-6: Interests
               (a) Classification. Class F-6 consists of all Interests in CIH and CCH I Holdings Capital Corp.
               (b) Impairment and Voting. Class F-6 is Impaired by the Plan. Each Holder of an Allowed Interest against CIH and CCH I Holdings Capital Corp. is not entitled to vote to accept or reject the Plan and shall be deemed conclusively to have rejected the Plan.
               (c) Distributions. Interests in CIH and CCH I Holdings Capital Corp. will remain in place in exchange for New Value Consideration in the amount of $8,932,440 to be contributed by CCI from the Rights Offering.
               (d) Estimated Allowed Amount of Claims: $0
               (e) Projected Percentage Recovery: 0%
G. CCH I and CCH I Capital Corp.
          1. Class G-1: Priority Non-Tax Claims
               (a) Classification. Class G-1 consists of all Priority Non-Tax Claims that may exist against CCH I and CCH I Capital Corp.
               (b) Impairment and Voting. Class G-1 is Unimpaired by the Plan. Each Holder of an Allowed Priority Non-Tax Claim against CCH I and CCH I Capital Corp. is not entitled to vote to accept or reject the Plan and will be deemed conclusively to have accepted the Plan.
               (c) Distributions. Except to the extent that a Holder of an Allowed Priority Non-Tax Claim against CCH I and CCH I Capital Corp. and the applicable Debtors agree to less favorable treatment to such Holder, each Holder of such Allowed Priority Non-Tax Claim will be paid in full in cash, plus Post-Petition Interest, on the later of the Distribution Date, the date such Priority Non-Tax Claim is Allowed and the date such Allowed Priority Non-Tax Claim becomes due and payable, or as soon thereafter as is practicable; provided, however, that Priority Non-Tax Claims that arise in the ordinary course of the Debtors’ business and which are not due and payable on or before the Effective Date will be paid in the ordinary course of business in accordance with the terms thereof.
               (d) Estimated Allowed Amount of Claims: $0
               (e) Projected Percentage Recovery: 100%
          2. Class G-2: Secured Claims
               (a) Classification. Class G-2 consists of all Secured Claims that may exist against CCH I and CCH I Capital Corp. (but excluding any Secured Claim that is also a CCH I Notes Claim).
               (b) Impairment and Voting. Class G-2 is Unimpaired by the Plan. Each Holder of an Allowed Secured Claim against CCH I and CCH I Capital Corp. is not entitled to vote to accept or reject the Plan and will be deemed conclusively to have accepted the Plan.
               (c) Distributions. Except to the extent that a Holder of an Allowed Secured Claim against CCH I and CCH I Capital Corp. and the applicable Debtors agree to less favorable treatment to such Holder, at the sole option of the Debtors, (i) each Allowed Secured Claim against CCH I and CCH I Capital Corp. will be reinstated and rendered Unimpaired in accordance with section 1124 of the Bankruptcy Code, (ii) each Holder of an Allowed Secured Claim against CCH I and CCH I Capital Corp. will be paid in full in cash, plus Post-Petition Interest, on the later of the Distribution Date and the date such Secured Claim becomes an Allowed Secured Claim,

45


 

or as soon thereafter as is practicable or (iii) each Holder of an Allowed Secured Claim against CCH I and CCH I Capital Corp. will receive the collateral securing its Allowed Secured Claim, plus Post-Petition Interest, on the later of the Distribution Date and the date such Secured Claim becomes an Allowed Secured Claim, or as soon thereafter as is practicable.
               (d) Estimated Allowed Amount of Claims: $0
               (e) Projected Percentage Recovery: 100%
          3. Class G-3: General Unsecured Claims
               (a) Classification. Class G-3 consists of all General Unsecured Claims that may exist against CCH I and CCH I Capital Corp.
               (b) Impairment and Voting. Class G-3 is Impaired by the Plan. Each Holder of an Allowed General Unsecured Claim against CCH I and CCH I Capital Corp. is entitled to vote to accept or reject the Plan.
               (c) Distributions. Except to the extent that a Holder of an Allowed General Unsecured Claim against CCH I and CCH I Capital Corp. and the applicable Debtors agree to less favorable treatment to such Holder, at the sole option of the Debtors, (i) each Allowed General Unsecured Claim against CCH I and CCH I Capital Corp. will be reinstated and rendered Unimpaired in accordance with section 1124 of the Bankruptcy Code, or (ii) each Holder of an Allowed General Unsecured Claim against CCH I and CCH I Capital Corp. will be paid in full in cash on the Distribution Date or as soon thereafter as is practicable.
               (d) Estimated Allowed Amount of Claims: $0
               (e) Projected Percentage Recovery: 100%
          4. Class G-4: CCH I Notes Claims
               (a) Classification. Class G-4 consists of CCH I Notes Claims.
               (b) Impairment and Voting. Class G-4 is Impaired by the Plan. Each Holder of an Allowed CCH I Notes Claim is entitled to vote to accept or reject the Plan.
               (c) Distributions.
                    (i) The CCH I Notes Claims shall be Allowed in the aggregate amount of $4,170,040,378. On the Distribution Date, each Holder of a CCH I Notes Claim shall receive its Pro Rata share of New Class A Stock in an aggregate amount to all such Holders equal to 100% of the New Class A Stock outstanding as of the Effective Date, prior to giving effect to the Rights Offering, the issuance of Warrants and any other distributions of New Class A Stock contemplated by the Plan, which New Class A Stock (prior to such effects) shall be deemed to have an aggregate value equal to the Plan Value minus the Warrant Value minus 3% of the equity value of the Reorganized Company, after giving effect to the Rights Offering, but prior to the issuance of Warrants and equity-based awards provided for by the Plan.
                         Each Eligible CCH I Notes Claim Holder shall also receive Rights pursuant to the Rights Offering, as set forth below.
                    (ii) Rights Offering. Each Eligible CCH I Notes Claim Holder shall be offered pursuant to the Rights Offering Documents the right to purchase shares of New Class A Stock, according to that Holder’s Pro Rata Participation Amount, for a cash payment of the product of the Per Share Purchase Price multiplied by such Pro Rata Participation Amount.
                    (iii) Equity Backstop by Members of the Crossover Committee. Pursuant to the Commitment Letters, the Equity Backstop Parties have, severally and not jointly, committed to purchase their respective Pro Rata Participation Amount in the Rights Offering.

46


 

                    (iv) Excess Backstop by the Excess Backstop Parties. Pursuant to the Commitment Letters and the Excess Backstop Agreements, the Excess Backstop Parties have, severally and not jointly, committed to purchase shares of New Class A Stock underlying Rights not exercised by Eligible CCH I Notes Claim Holders other than the Equity Backstop Parties.
                    (v) Overallotment Option. Pursuant to the Commitment Letters and the Excess Backstop Agreements, each Excess Backstop Party shall be offered the Overallotment Option.
                    Each Holder of CCH I Notes Claims that affirmatively represents it is not an Eligible CCH I Notes Claim Holder on a timely submitted investor certification shall receive an amount of New Class A Stock equal to the value of the Rights that such Holder would have been offered if it were an accredited investor or qualified institutional buyer participating in the Rights Offering. The value of a Right will be determined (based on the difference between the aggregate equity purchase price of New Class A Stock embedded in a Right and the value of New Class A Stock at the termination of the Rights Offering (assuming that the Overallotment Option is exercised in full and subject to subsequent upward adjustment to the extent not exercised in full) that can be purchased upon exercise of a Right) by CCI in good faith and in consultation with its financial advisor. The value determination will be filed within 10 days of the termination of the Rights Offering with the Bankruptcy Court (assuming that the Overallotment Option is exercised in full and subject to subsequent upward adjustment to the extent not exercised in full), and notice thereof (which shall include the value of each Right so determined) shall be delivered to each such Holder that timely certified it is not an Eligible CCH I Notes Claim Holder within five days of CCI’s determination. Holders receiving notice shall have 10 days following receipt of such notice to file a challenge to such notice with the Bankruptcy Court, whose determination of such value shall be binding.
               (d) Estimated Allowed Amount of Claims: $4,170,040,378
               (e) Projected Percentage Recovery: 12.7%
          5. Class G-5: Section 510(b) Claims
               (a) Classification. Class G-5 consists of all Section 510(b) Claims that may exist against CCH I and CCH I Capital Corp.
               (b) Impairment and Voting. Class G-5 is Impaired by the Plan. Each Holder of a Section 510(b) Claim against CCH I and CCH I Capital Corp. is not entitled to vote to accept or reject the Plan and will be deemed conclusively to have rejected the Plan.
               (c) Distributions. Section 510(b) Claims will be cancelled, released, and extinguished and the Holders of Section 510(b) Claims will receive no distribution under the Plan on account of such Claims.
               (d) Estimated Allowed Amount of Claims: $0
               (e) Projected Percentage Recovery: 0%
          6. Class G-6: Interests
               (a) Classification. Class G-6 consists of all Interests in CCH I and CCH I Capital Corp.
               (b) Impairment and Voting. Class G-6 is Impaired by the Plan. Each Holder of an Allowed Interest against CCH I and CCH I Capital Corp. is not entitled to vote to accept or reject the Plan and shall be deemed conclusively to have rejected the Plan.
               (c) Distributions. Interests in CCH I and CCH I Capital Corp. will remain in place in exchange for New Value Consideration in the amount of $12 million to be contributed by CCI from the Rights Offering.
               (d) Estimated Allowed Amount of Claims: $0

47


 

               (e) Projected Percentage Recovery: 0%
H. CCH II and CCH II Capital Corp.
          1. Class H-1: Priority Non-Tax Claims
               (a) Classification. Class H-1 consists of all Priority Non-Tax Claims that may exist against CCH II and CCH II Capital Corp.
               (b) Impairment and Voting. Class H-1 is Unimpaired by the Plan. Each Holder of an Allowed Priority Non-Tax Claim against CCH II and CCH II Capital Corp. is not entitled to vote to accept or reject the Plan and will be deemed conclusively to have accepted the Plan.
               (c) Distributions. Except to the extent that a Holder of an Allowed Priority Non-Tax Claim against CCH II and CCH II Capital Corp. and the applicable Debtors agree to less favorable treatment to such Holder, each Holder of such Allowed Priority Non-Tax Claim will be paid in full in cash, plus Post-Petition Interest, on the later of the Distribution Date, the date such Priority Non-Tax Claim is Allowed and the date such Allowed Priority Non-Tax Claim becomes due and payable, or as soon thereafter as is practicable; provided, however, that Priority Non-Tax Claims that arise in the ordinary course of the Debtors’ business and which are not due and payable on or before the Effective Date will be paid in the ordinary course of business in accordance with the terms thereof.
               (d) Estimated Allowed Amount of Claims: $0
               (e) Projected Percentage Recovery: 100%
          2. Class H-2: Secured Claims
               (a) Classification. Class H-2 consists of all Secured Claims that may exist against CCH II and CCH II Capital Corp.
               (b) Impairment and Voting. Class H-2 is Unimpaired by the Plan. Each Holder of an Allowed Secured Claim against CCH II and CCH II Capital Corp. is not entitled to vote to accept or reject the Plan and will be deemed conclusively to have accepted the Plan.
               (c) Distributions. Except to the extent that a Holder of an Allowed Secured Claim against CCH II and CCH II Capital Corp. and the applicable Debtors agree to less favorable treatment to such Holder, at the sole option of the Debtors, (i) each Allowed Secured Claim against CCH II and CCH II Capital Corp. will be reinstated and rendered Unimpaired in accordance with section 1124 of the Bankruptcy Code, (ii) each Holder of an Allowed Secured Claim against CCH II and CCH II Capital Corp. will be paid in full in cash, plus Post-Petition Interest, on the later of the Distribution Date and the date such Secured Claim becomes an Allowed Secured Claim, or as soon thereafter as is practicable, or (iii) each Holder of an Allowed Secured Claim against CCH II and CCH II Capital Corp. will receive the collateral securing its Allowed Secured Claim, plus Post-Petition Interest, on the later of the Distribution Date and the date such Secured Claim becomes an Allowed Secured Claim, or as soon thereafter as is practicable.
               (d) Estimated Allowed Amount of Claims: $0
               (e) Projected Percentage Recovery: 100%
          3. Class H-3: General Unsecured Claims
               (a) Classification. Class H-3 consists of all General Unsecured Claims that may exist against CCH II and CCH II Capital Corp.
               (b) Impairment and Voting. Class H-3 is Impaired by the Plan. Each Holder of an Allowed General Unsecured Claim against CCH II and CCH II Capital Corp. is entitled to vote to accept or reject the Plan.

48


 

               (c) Distributions. Except to the extent that a Holder of an Allowed General Unsecured Claim against CCH II and CCH II Capital Corp. and the applicable Debtors agree to less favorable treatment to such Holder, at the sole option of the Debtors, (i) each Allowed General Unsecured Claim against CCH II and CCH II Capital Corp. will be reinstated and rendered Unimpaired in accordance with section 1124 of the Bankruptcy Code, or (ii) each Holder of an Allowed General Unsecured Claim against CCH II and CCH II Capital Corp. will be paid in full in cash on the Distribution Date or as soon thereafter as is practicable.
               (d)  Estimated Allowed Amount of Claims: $0
               (e) Projected Percentage Recovery: 100%
          4. Class H-4: CCH II Notes Claims
               (a) Classification. Class H-4 consists of CCH II Notes Claims.
               (b) Impairment and Voting. Class H-4 is Impaired by the Plan. Each Holder of an Allowed CCH II Notes Claim is entitled to vote to accept or reject the Plan.
               (c) Distributions. The CCH II Notes Claims shall be Allowed in the aggregate amount of $2,575,678,701 plus Post-Petition Interest. Each Holder of CCH II Notes Claims shall be paid in full in cash in an amount equal to the Allowed amount of its Claim plus Post-Petition Interest, on the Distribution Date, unless such Holder is a Rollover Commitment Party or elects to exchange CCH II Notes for New CCH II Notes pursuant to the Exchange by noting such election on such Holder’s ballot. Each Holder of an Allowed CCH II Notes Claim that elects to exchange as set forth above or is a Rollover Commitment Party, shall receive the New CCH II Notes as set forth below in a principal amount equal to the Allowed amount of its CCH II Notes Claim plus Post-Petition Interest, subject to the Exchange Cutback set forth below. No partial Exchange of CCH II Notes shall be allowed.
                    (i) Exchange. CCH II shall effectuate the Exchange pursuant to the Plan. The aggregate principal amount of the New CCH II Notes shall be equal to the sum of (x) the Target Amount and (y) $85 million. Each Holder of an Allowed CCH II Notes Claim that elects to exchange CCH II Notes for New CCH II Notes pursuant to the Exchange, and each Rollover Commitment Party, in each case subject to the Exchange Cutback, shall be entitled to receive (A) New CCH II Notes with a principal amount equal to the Allowed principal amount of the CCH II Notes held by such Holder or Rollover Commitment Party, (B) New CCH II Notes with a principal amount equal to the accrued but unpaid interest on such CCH II Notes held by such Holder or Rollover Commitment Party to the Petition Date, and (C) New CCH II Notes with a principal amount equal to Post-Petition Interest on such CCH II Notes. No Holder or Rollover Commitment Party shall be entitled to receive any amounts for any call premiums or prepayment penalty with respect to the CCH II Notes.
                    (ii) Rollover Commitment. Pursuant to the Commitment Letters, the Rollover Commitment Parties have, severally and not jointly (in the respective amounts set forth on Annex C), committed to exchange on the Effective Date an aggregate of $1.21 billion in principal amount of CCH II Notes, plus accrued but unpaid interest to the Petition Date, plus Post-Petition Interest, but excluding any call premiums or any prepayment penalties, for New CCH II Notes pursuant to the Exchange, subject to the Exchange Cutback.
                    (iii) Exchange Cutback. Notwithstanding the foregoing, if the aggregate principal amount of New CCH II Notes to be issued to Holders of CCH II Notes Claims (including the Rollover Commitment Parties) electing to participate in the Exchange would exceed the Target Amount, then each participating Holder (including the Rollover Commitment Parties) shall receive its pro rata portion of the Target Amount of New CCH II Notes in the same proportion that the Allowed amount of CCH II Notes sought to be exchanged by such Holder bears to the total Allowed amount of CCH II Notes sought to be exchanged, and the remainder of such Holder’s Allowed CCH II Notes Claims shall be paid in full in cash on the Distribution Date.
                    (iv) New CCH II Notes Commitment. Pursuant to the Commitment Letters, the New CCH II Notes Commitment Parties have, severally and not jointly (in the respective amounts set forth on Annex D), committed to purchase additional New CCH II Notes in an aggregate principal amount of $267 million. If the aggregate principal amount of New CCH II Notes to be issued to Holders (including the Rollover Commitment

49


 

Parties) electing to participate in the Exchange is less than the Target Amount, then the New CCH II Notes Commitment shall be funded up to the extent of such shortfall.
               (d) Estimated Allowed Amount of Claims: $2,575,678,701
               (e) Projected Percentage Recovery: 100%
          5. Class H-5: Section 510(b) Claims
               (a) Classification. Class H-5 consists of all Section 510(b) Claims that may exist against CCH II and CCH II Capital Corp.
               (b) Impairment and Voting. Class H-5 is Impaired by the Plan. Each Holder of a Section 510(b) Claim against CCH II and CCH II Capital Corp. is not entitled to vote to accept or reject the Plan and will be deemed conclusively to have rejected the Plan.
               (c) Distributions. Section 510(b) Claims will be cancelled, released, and extinguished and the Holders of Section 510(b) Claims will receive no distribution under the Plan on account of such Claims.
               (d) Estimated Allowed Amount of Claims: $0
               (e) Projected Percentage Recovery: 0%
          6. Class H-6: Interests
               (a) Classification. Class H-6 consists of all Interests in CCH II and CCH II Capital Corp.
               (b) Impairment and Voting. Class H-6 is Impaired by the Plan. Each Holder of an Allowed Interest against CCH II and CCH II Capital Corp. is not entitled to vote to accept or reject the Plan and shall be deemed conclusively to have rejected the Plan.
               (c) Distributions. Interests in CCH II and CCH II Capital Corp. will remain in place in exchange for New Value Consideration in the amount of $15 million to be contributed by CCI from the Rights Offering.
               (d) Estimated Allowed Amount of Claims: $0
               (e) Projected Percentage Recovery: 0%
I. CCOH and CCO Holdings Capital Corp.
          1. Class I-1: CCOH Credit Facility Claims
               (a) Classification. Class I-1 consists of CCOH Credit Facility Claims.
               (b) Impairment and Voting. Class I-1 is Unimpaired by the Plan. Each Holder of an Allowed CCOH Credit Facility Claim is not entitled to vote to accept or reject the Plan and will be deemed conclusively to have accepted the Plan.
               (c) Distributions. Each Allowed CCOH Credit Facility Claim will be reinstated and rendered Unimpaired in accordance with section 1124 of the Bankruptcy Code.
               (d) Estimated Allowed Amount of Claims: $350,000,000
               (e) Projected Percentage Recovery: 100%

50


 

          2. Class I-2: CCOH Notes Claims
               (a) Classification. Class I-2 consists of CCOH Notes Claims.
               (b) Impairment and Voting. Class I-2 is Unimpaired by the Plan. Each Holder of an Allowed CCOH Notes Claim is not entitled to vote to accept or reject the Plan and will be deemed conclusively to have accepted the Plan.
               (c) Distributions. Each Allowed CCOH Notes Claim will be reinstated and rendered Unimpaired and each Holder of such Claims will receive Post-Petition Interest in accordance with section 1124 of the Bankruptcy Code.
               (d) Estimated Allowed Amount of Claims: $822,471,731
               (e) Projected Percentage Recovery: 100%
          3. Class I-3: Priority Non-Tax Claims
               (a) Classification. Class I-3 consists of all Priority Non-Tax Claims that may exist against CCOH and CCO Holdings Capital Corp.
               (b) Impairment and Voting. Class I-3 is Unimpaired by the Plan. Each Holder of an Allowed Priority Non-Tax Claim against CCOH and CCO Holdings Capital Corp. is not entitled to vote to accept or reject the Plan and will be deemed conclusively to have accepted the Plan.
               (c) Distributions. Except to the extent that a Holder of an Allowed Priority Non-Tax Claim against CCOH and CCO Holdings Capital Corp. and the applicable Debtors agree to less favorable treatment to such Holder, each Holder of such Allowed Priority Non-Tax Claim will be paid in full in cash, plus Post-Petition Interest, on the later of the Distribution Date, the date such Priority Non-Tax Claim is Allowed and the date such Allowed Priority Non-Tax Claim becomes due and payable, or as soon thereafter as is practicable; provided, however, that Priority Non-Tax Claims that arise in the ordinary course of the Debtors’ business and which are not due and payable on or before the Effective Date will be paid in the ordinary course of business in accordance with the terms thereof.
               (d) Estimated Allowed Amount of Claims: $0
               (e) Projected Percentage Recovery: 100%
          4. Class I-4: Secured Claims
               (a) Classification. Class I-4 consists of all Secured Claims (but excluding CCOH Credit Facility Claims) that may exist against CCOH and CCO Holdings Capital Corp.
               (b) Impairment and Voting. Class I-4 is Unimpaired by the Plan. Each Holder of an Allowed Secured Claim against CCOH and CCO Holdings Capital Corp. is not entitled to vote to accept or reject the Plan and will be deemed conclusively to have accepted the Plan.
               (c) Distributions. Except to the extent that a Holder of an Allowed Secured Claim against CCOH and CCO Holdings Capital Corp. and the applicable Debtors agree to less favorable treatment to such Holder, at the sole option of the Debtors, (i) each Allowed Secured Claim against CCOH and CCO Holdings Capital Corp. will be reinstated and rendered Unimpaired in accordance with section 1124 of the Bankruptcy Code, (ii) each Holder of an Allowed Secured Claim against CCOH and CCO Holdings Capital Corp. will be paid in full in cash, plus Post-Petition Interest, on the later of the Distribution Date and the date such Secured Claim becomes an Allowed Secured Claim, or as soon thereafter as is practicable, or (iii) each Holder of an Allowed Secured Claim against CCOH and CCO Holdings Capital Corp. will receive the collateral securing its Allowed Secured Claim, plus Post-Petition Interest, on the later of the Distribution Date and the date such Secured Claim becomes an Allowed Secured Claim, or as soon thereafter as is practicable.

51


 

               (d) Estimated Allowed Amount of Claims: $0
               (e) Projected Percentage Recovery: 100%
          5. Class I-5: General Unsecured Claims
               (a) Classification. Class I-5 consists of all General Unsecured Claims that may exist against CCOH and CCO Holdings Capital Corp.
               (b) Impairment and Voting. Class I-5 is Impaired by the Plan. Each Holder of an Allowed General Unsecured Claim against CCOH and CCO Holdings Capital Corp. is entitled to vote to accept or reject the Plan.
               (c) Distributions. Except to the extent that a Holder of an Allowed General Unsecured Claim against CCOH and CCO Holdings Capital Corp. and the applicable Debtors agree to less favorable treatment to such Holder, at the sole option of the Debtors, (i) each Allowed General Unsecured Claim against CCOH and CCO Holdings Capital Corp. will be reinstated and rendered Unimpaired in accordance with section 1124 of the Bankruptcy Code, or (ii) each Holder of an Allowed General Unsecured Claim against CCOH and CCO Holdings Capital Corp. will be paid in full in cash on the Distribution Date or as soon thereafter as is practicable.
               (d) Estimated Allowed Amount of Claims: $0
               (e) Projected Percentage Recovery: 100%
          6. Class I-6: Interests
               (a) Classification. Class I-6 consists of all Interests in CCOH and CCO Holdings Capital Corp.
               (b) Impairment and Voting. Class I-6 is Unimpaired by the Plan. Each Holder of an Allowed Interest against CCOH and CCO Holdings Capital Corp. is not entitled to vote to accept or reject the Plan and will be deemed conclusively to have accepted the Plan.
               (c) Distributions. Interests in CCOH and CCO Holdings Capital Corp. will be reinstated and rendered Unimpaired in accordance with section 1124 of the Bankruptcy Code.
               (d) Estimated Allowed Amount of Claims: $0
               (e) Projected Percentage Recovery: 100%
J. CCO (and its direct and indirect subsidiaries)
          1. Class J-1: CCO Credit Facility Claims
               (a) Classification. Class J-1 consists of CCO Credit Facility Claims.
               (b) Impairment and Voting. Class J-1 is Unimpaired by the Plan. Each Holder of an Allowed CCO Credit Facility Claim is not entitled to vote to accept or reject the Plan and will be deemed conclusively to have accepted the Plan.
               (c) Distributions. Each Allowed CCO Credit Facility Claim will be reinstated and rendered Unimpaired in accordance with section 1124 of the Bankruptcy Code. The Debtors will waive and/or abjure any right to require any lender to make loans (whether term, incremental term, revolving or swingline loans) under the CCO Credit Facility, other than loans outstanding as of the Effective Date.
               (d) Estimated Allowed Amount of Claims: $8,246,604,237
               (e) Projected Percentage Recovery: 100%

52


 

          2. Class J-2: CCO Swap Agreements Claims
               (a) Classification. Class J-2 consists of CCO Swap Agreements Claims.
               (b) Impairment and Voting. Class J-2 is Impaired by the Plan. Each Holder of an Allowed CCO Swap Agreements Claim against CCO is entitled to vote to accept or reject the Plan; provided, however, the Debtors reserve their right to argue the proposed distribution to each Holder of an Allowed CCO Swap Agreements Claim renders Class J-2 Unimpaired, not entitled to vote to accept or reject the Plan, and deemed conclusively to have accepted the Plan.
               (c) Distributions. CCO Swap Agreements Claims will be Allowed in the aggregate amount determined by the Bankruptcy Court, plus Post-Petition Interest, but excluding any call premiums or any prepayment penalties. Each Holder of an Allowed CCO Swap Agreements Claim shall be paid in full in cash, plus Post-Petition Interest, on the later of the Distribution Date and the date such CCO Swap Agreements Claim becomes an Allowed CCO Swap Agreements Claim, or as soon thereafter as is practicable.
               (d) Estimated Allowed Amount of Claims: $497,417,000
               (e) Projected Percentage Recovery: 100%
          3. Class J-3: CCO Notes Claims
               (a) Classification. Class J-3 consists of CCO Notes Claims.
               (b) Impairment and Voting. Class J-3 is Unimpaired by the Plan. Each Holder of an Allowed CCO Notes Claim is not entitled to vote to accept or reject the Plan and will be deemed conclusively to have accepted the Plan.
               (c) Distributions. Each Allowed CCO Notes Claim will be reinstated and rendered Unimpaired in accordance with section 1124 of the Bankruptcy Code.
               (d) Estimated Allowed Amount of Claims: $2,400,068,487
               (e) Projected Percentage Recovery: 100%
          4. Class J-4: Priority Non-Tax Claims
               (a) Classification. Class J-4 consists of all Priority Non-Tax Claims that may exist against CCO and its direct and indirect subsidiaries.
               (b) Impairment and Voting. Class J-4 is Unimpaired by the Plan. Each Holder of an Allowed Priority Non-Tax Claim against CCO and its direct and indirect subsidiaries is not entitled to vote to accept or reject the Plan and will be deemed conclusively to have accepted the Plan.
               (c) Distributions. Except to the extent that a Holder of an Allowed Priority Non-Tax Claim against CCO and its direct and indirect subsidiaries and the applicable Debtors agree to less favorable treatment to such Holder, each Holder of such Allowed Priority Non-Tax Claim will be paid in full in cash, plus Post-Petition Interest, on the later of the Distribution Date, the date such Priority Non-Tax Claim is Allowed and the date such Allowed Priority Non-Tax Claim becomes due and payable, or as soon thereafter as is practicable; provided, however, that Priority Non-Tax Claims that arise in the ordinary course of the Debtors’ business and which are not due and payable on or before the Effective Date will be paid in the ordinary course of business in accordance with the terms thereof.
               (d) Estimated Allowed Amount of Claims: $0
               (e) Projected Percentage Recovery: 100%

53


 

          5. Class J-5: Secured Claims
               (a) Classification. Class J-5 consists of all Secured Claims (but excluding CCO Credit Facility Claims, CCO Notes Claims and CCO Swap Agreements Claims) that may exist against CCO and its direct and indirect subsidiaries.
               (b) Impairment and Voting. Class J-5 is Unimpaired by the Plan. Each Holder of an Allowed Secured Claim against CCO and its direct and indirect subsidiaries is not entitled to vote to accept or reject the Plan and will be deemed conclusively to have accepted the Plan.
               (c) Distributions. Except to the extent that a Holder of an Allowed Secured Claim against CCO and its direct and indirect subsidiaries and the applicable Debtors agree to less favorable treatment to such Holder, at the sole option of the Debtors, (i) each Allowed Secured Claim against CCO and its direct and indirect subsidiaries will be reinstated and rendered Unimpaired in accordance with section 1124 of the Bankruptcy Code, (ii) each Holder of an Allowed Secured Claim against CCO and its direct and indirect subsidiaries will be paid in full in cash, plus Post-Petition Interest, on the later of the Distribution Date and the date such Secured Claim becomes an Allowed Secured Claim, or as soon thereafter as is practicable, or (iii) each Holder of an Allowed Secured Claim against CCO and its direct and indirect subsidiaries will receive the collateral securing its Allowed Secured Claim, plus Post-Petition Interest, on the later of the Distribution Date and the date such Secured Claim becomes an Allowed Secured Claim, or as soon thereafter as is practicable.
               (d) Estimated Allowed Amount of Claims: $8,080,000
               (e) Projected Percentage Recovery: 100%
          6. Class J-6: General Unsecured Claims
               (a) Classification. Class J-6 consists of all General Unsecured Claims that may exist against CCO and its direct and indirect subsidiaries other than all General Unsecured Claims against CCO and its direct and indirect subsidiaries held by any CII Settlement Claim Party.
               (b) Impairment and Voting. Class J-6 is Impaired by the Plan. Each Holder of an Allowed General Unsecured Claim against CCO and its direct and indirect subsidiaries is entitled to vote to accept or reject the Plan.
               (c) Distributions. Except to the extent that a Holder of an Allowed General Unsecured Claim against CCO and its direct and indirect subsidiaries and the applicable Debtors agree to less favorable treatment to such Holder, at the sole option of the Debtors, (i) each Allowed General Unsecured Claim against CCO and its direct and indirect subsidiaries will be reinstated and rendered Unimpaired in accordance with section 1124 of the Bankruptcy Code, or (ii) each Holder of an Allowed General Unsecured Claim against CCO and its direct and indirect subsidiaries will be paid in full in cash on the Distribution Date or as soon thereafter as is practicable.
               (d) Estimated Allowed Amount of Claims: $42,207,023
               (e) Projected Percentage Recovery: 100%
          7. Class J-7: Interests (other than CC VIII Preferred Units held by a CII Settlement Claim Party)
               (a) Classification. Class J-7 consists of all Interests in CCO and its direct and indirect subsidiaries (other than CC VIII Preferred Units held by a CII Settlement Claim Party).
               (b) Impairment and Voting. Class J-7 is Unimpaired by the Plan. Each Holder of an Allowed Interest against CCO and its direct and indirect subsidiaries (other than CC VIII Preferred Units held by a CII Settlement Claim Party) is not entitled to vote to accept or reject the Plan and will be deemed conclusively to have accepted the Plan.

54


 

               (c) Distributions. Interests in CCO and its direct and indirect subsidiaries (other than CC VIII Preferred Units held by a CII Settlement Claim Party) shall be reinstated and rendered Unimpaired in accordance with section 1124 of the Bankruptcy Code.
               (d) Estimated Allowed Amount of Claims: $0
               (e) Projected Percentage Recovery: 100%

55


 

Management of the Company After the Effective Date
          The Plan provides that at least CCI’s Chief Executive Officer and Chief Operating Officer will continue in their current positions. Other key executives of the Reorganized Debtors will be determined by the Board of Directors in consultation with CCI’s Chief Executive Officer. Biographical information for Neil Smit, President and Chief Executive Officer of CCI, Michael J. Lovett, Executive Vice President and Chief Operating Officer of CCI and Eloise E. Schmitz, Executive Vice President and Chief Financial Officer of CCI, is set forth below:
Neil Smit — President and Chief Executive Officer
          Neil Smit joined CCI in August 2005 as President, Chief Executive Officer and Director. Mr. Smit has more than 20 years of experience working with multi-service providers and leading consumer brands. Prior to joining CCI, Mr. Smit worked at Time Warner, Inc. most recently serving as the President of Time Warner’s America Online Access Business, overseeing Internet access services including America OnLine (“AOL”), CompuServe, and Netscape ISP. He also served at AOL as Executive Vice President, Member Services; Chief Operating Officer of MapQuest and several other operating roles. Prior to joining AOL in 2000, Mr. Smit was a regional president with Nabisco and was with Pillsbury in a number of management positions. Mr. Smit served for five and a half years on active duty in the Navy SEAL Teams and retired from the service as a lieutenant commander.
          Mr. Smit serves on the boards of the National Cable and Telecommunications Association, CableLabs and C-SPAN. He has a bachelor’s of science degree from Duke University and a master’s degree from Tufts University’s Fletcher School.
Michael J. Lovett — Executive Vice President and Chief Operating Officer
          Mike Lovett is Executive Vice President and Chief Operating Officer, with responsibility for oversight of the Debtors’ two operating groups and company-wide customer care. Mr. Lovett was promoted to Executive Vice President of Operations and Customer Care in September 2004, and to his current position in April 2005. He joined CCI in August 2003 as Senior Vice President of Operations Support, providing strategic and tactical support to field operations to ensure cross-functional alignment of all elements of the Company.
          Mr. Lovett’s career in cable television began in 1980 with Centel Communications where he held a number of positions in operations. He was with Jones Intercable, Inc. from 1989 to 1999, rising to Senior Vice President with responsibility for operations in nine states; and AT&T Broadband as Regional Vice President of Operations from June 1999 to November 2000. He served as Executive Vice President of Operations for OneSecure, Inc., a startup managed security service company providing management/monitoring of firewalls and virtual private networks, from November 2000 to December 2001; and was Chief Operating Officer for Voyant Technologies Inc., a voice conferencing hardware/software solutions provider in Denver, from December 2001 to August 2003.
Eloise E. Schmitz — Executive Vice President and Chief Financial Officer
          Eloise Schmitz is Executive Vice President and Chief Financial Officer for CCI. Ms. Schmitz manages the Debtors’ mergers and acquisitions, strategic planning and capital structure activities, as well as the Company’s financial functions, including accounting, financial planning and analysis, tax, and treasury.
          Ms. Schmitz joined CCI in July 1998 as Vice President, Finance and Acquisitions. Prior to joining CCI, Ms. Schmitz was Vice President, Group Manager, of the Franchise and Communications Group for Mercantile Bank, now US Bank, in St. Louis. There, she was responsible for initiating, structuring, and arranging leverage-acquisition debt facilities for companies in the telecommunications and media industries. Before that, she served as a corporate banker at First Union for five years.

56


 

Composition of New Board of Directors After the Effective Date
          Under the Plan, upon the Debtors’ emergence from bankruptcy, the Reorganized Company’s initial Board of Directors will be fixed at 11 members. Each projected holder of 10% or more of the voting power of the Reorganized Company on the Effective Date (and giving effect to the Overallotment Option) based on such holder’s pro rata share of New Class A Stock (i) to be received in respect of its CCH I Notes Claims, (ii) purchased pursuant to its exercise of Rights and (iii) purchased pursuant to the exercise by such holder of its Overallotment Option, if any, on or prior to the date that is five business days prior to the commencement of the Confirmation Hearing, will have the right to appoint one member of the initial Board of Directors upon emergence for each 10% of the voting power attributable to such holder’s New Class A Stock based on clauses (i) through (iii) above. Mr. Allen will have the right to appoint four of the 11 members of the initial Board of Directors, and Neil Smit, the President and Chief Executive Officer of the Reorganized Company, will also serve on the initial Board of Directors. The identity of these members will be disclosed in a supplement to the Plan prior to the hearing on Confirmation of the Plan. Members of the initial Board of Directors will serve until the next annual meeting of stockholders which will not be held until at least 12 months after the Effective Date. Thereafter, for as long as shares of New Class B Stock are outstanding, holders of New Class B Stock will have the right to elect 35% of the members of the Board of Directors (rounded up to the next whole number), and all other members of the Board of Directors will be elected by majority vote of the holders of New Class A Stock and New Preferred Stock, voting together as a single class. In addition, members of the Board of Directors elected by holders of New Class B Stock will have no less than proportionate representation on each committee of the Board of Directors, subject to applicable SEC and stock exchange rules and except for any committee formed solely for the purpose of reviewing, recommending and/or authorizing any transaction in which holders of New Class B Stock or their affiliates (other than the Reorganized Company or its subsidiaries) are interested parties. In addition, CCI’s current Chief Executive Officer and Chief Operating Officer will continue in their same positions.
          In order for the Board of Directors to take action at any meeting, a quorum must be present. Because the Amended and Restated Certificate of Incorporation provides for 11 seats on the Board of Directors, in order to establish a quorum at any meeting of the Board of Directors, six or more directors must be present.
          Pursuant to section 1129(a)(5) of the Bankruptcy Code, the Debtors will disclose, prior to Confirmation of the Plan, the identity and affiliations of any Person proposed to serve on the initial Board of Directors or be an officer of each of the Reorganized Debtors. To the extent any such director or officer of CCI is an “insider” under the Bankruptcy Code, the nature and amount of any compensation to be paid to such director or officer will also be disclosed.

57


 

The Reorganized Debtors Upon Emergence
The Reorganized Debtors’ Business Upon Emergence
          The Debtors will continue to be principally engaged in the operation of broadband communications businesses in the United States. We expect to continue to offer traditional cable video programming, high-speed Internet access, and telephone service, as well as advanced broadband services (such as Charter OnDemand™ video service, high definition television service, and digital video recorder service).
The Reorganized Debtors’ Capital Structure Upon Emergence
Secured Bank Debt
          Following consummation of the Plan, the CCO Credit Facility and the CCOH Credit Facility will remain outstanding. However, the Debtors have irrevocably waived any right to engage in any additional borrowing under the reinstated CCO Credit Facility and the reinstated CCOH Credit Facility. See “Our History and Our Chapter 11 Cases — The Debtors’ Pre-Petition Capital Structure.”
Outstanding Notes
          Following consummation of the Plan, all of the currently outstanding notes issued by CCOH and CCO will remain outstanding, along with the New CCH II Notes to be issued under the Plan on the Effective Date. See “Our History and Our Chapter 11 Cases — The Debtors’ Pre-Petition Capital Structure,” which begins on page 18, and “Description of the New CCH II Notes,” which begins on page 62.
Trade Claims
          Pursuant to the Plan, and except as otherwise provided in the Plan, the Debtors will continue to pay trade Claims in the ordinary course of business.
Interests of Certain Reorganized Debtors
          Upon consummation of the Plan, New Common Stock, New Preferred Stock and additional new stock of reorganized CII will be issued in accordance with the terms of the Plan. Reorganized CII’s equity interests in reorganized Holdco to the extent of a 1% direct equity interest in reorganized Holdco will not be cancelled, released or extinguished, and reorganized CII will retain such interest in reorganized Holdco under the Plan. The Reorganized Company will receive all remaining equity interests in reorganized Holdco. See “Description of Capital Stock,” which begins on page 64.
          Interests in Holdco, CCHC, CCH, Charter Communications Holdings Capital Corp., CIH, CCH I Holdings Capital Corp., CIH, CCH I Capital Corp., CCH II, CCH II Capital Corp., Enstar Communications Corporation and Charter Gateway, LLC shall remain in place in exchange for new value consideration to be contributed by the Reorganized Company from the Rights Offering.
          Interests in CCO Holdings, CCO and its subsidiaries, except for the preferred membership interests in CC VIII, will be Unimpaired and will be reinstated and remain in place following the Effective Date. Reorganized CCH I shall retain its preferred membership interests in CC VIII and the preferred membership interests in CC VIII held by CII shall be deemed transferred, automatically and without further action by any party, to the Reorganized Company.

58


 

The Reorganized Company’s Capitalization Upon Consummation of the Plan
          The following table sets forth both the Reorganized Company’s and its consolidated subsidiaries’ cash and cash equivalents and capitalization as of February 28, 2009, (i) on an actual basis and (ii) on an as-adjusted basis to reflect the consummation of the Plan and application of the proceeds from the Rights Offering and New CCH II Notes Commitment, assuming $267 million aggregate principal amount of New CCH II Notes are issued and sold pursuant to the New CCH II Notes Commitment, as described under the heading “Important Aspects of the Plan — Use of Proceeds,” and assumes an Effective Date of September 30, 2009.
     This table should be read together with the more detailed information contained elsewhere in this Disclosure Statement, including “Treatment of Claims Against and Interests in the Debtors,” beginning on page 32.
                 
    As of February 28, 2009  
    Pre-Emergence     Post-Emergence  
    (Unaudited)  
    (in millions except per  
    share data)  
Cash and Cash Equivalents
  $ 722     $ 571  
 
           
Long-Term Debt:
               
Charter Communications, Inc.:
               
5.875% convertible senior notes due 2009
  $ 3     $  
6.500% convertible senior notes due 2027(1)
    376        
Charter Communications Holdings, LLC:
               
Senior and senior discount notes
    440        
CCH I Holdings, LLC:
               
Senior and senior discount notes(1)
    2,534        
CCH I, LLC:
               
11.000% senior notes due 2015(1)
    4,071        
CCH II, LLC:
               
10.250% senior notes due 2010
    1,857        
10.250% senior notes due 2013(1)
    598        
13.500% senior notes due 2016
          1,706  
CCO Holdings, LLC:
               
8.750% senior notes due 2013
    797       797  
Charter Communications Operating, LLC:
               
8.000% senior second lien notes due 2012
    1,100       1,100  
83/8% senior second lien notes due 2014
    770       770  
10.875% senior second lien notes due 2014
    527       527  
Credit Facilities:
               
CCOH
  $ 350     $ 350  
CCO
    8,247       8,247  
 
           
Total Long-Term Debt
  $ 21,670     $ 13,497  
 
           
Loans Payable — Related Party(2)
    76        
Preferred Stock
          72  
Noncontrolling Interest(3)
    167        
Shareholders’ Equity (Deficit)
    (10,544 )     2,413  
 
           
Total Capitalization
  $ 11,369     $ 15,982  
 
           
 
(1)   The accreted values presented above generally represent the principal amount of the notes less the original issue discount at the time of sale, plus the accretion to the balance sheet date. However, the current accreted

59


 

    value for legal purposes and notes indenture purposes (the amount that is currently payable if the debt becomes immediately due) is equal to the principal amount of notes.
 
(2)   Represents an exchangeable accreting note that was issued in October 2005 by CCHC in relation to the CC VIII settlement.
 
(3)   Noncontrolling interest represents Mr. Allen’s 30% preferred membership interests in CC VIII, an indirect subsidiary of Holdco and an allocation of approximately 47% of Holdco’s net losses since January 2009.
The Debtors’ Organizational and Capital Structure Upon Consummation of the Plan
          The chart on the following page sets forth the Debtors’ organizational and capital structure on the Effective Date of the Plan. The equity ownership, voting percentages, and indebtedness amounts shown below are approximations based on information available to the Debtors as of February 28, 2009, and do not give effect to any exercise, conversion or exchange of then outstanding options, and other convertible or exchangeable securities or intercompany debt eliminated in consolidation for accounting purposes. Indebtedness amounts shown below are accreted values for financial reporting purposes as of December 31, 2008 and do not give effect to any debt eliminated in consolidation. All amounts shown reflect the confirmation of the Plan and application of the proceeds from the Rights Offering and New CCH II Notes Commitment, assuming $267 million aggregate principal amount of New CCH II Notes are issued and sold pursuant to the New CCH II Notes Commitment, as described under the heading “Important Aspects of the Plan — Use of Proceeds.”

60


 

Corporate Organizational and Capital Structure Upon Effective Date
(FLOW CHART)

61


 

 
(1) CCH II, LLC (“CCH II”):
13.500% senior notes due 2016
Guarantee: The notes due October 2016 are guaranteed on a senior unsecured basis by CCH.
Security Interest: None.
(2) CCO Holdings, LLC (“CCOH”):
8 3/4% senior notes due November 15, 2013 ($796 million)
CCOH Credit Facility ($350 million)
      Guarantee: None
Security Interest: The obligations of CCOH under the junior credit facility are secured by a junior lien on CCOH’s equity interest in Charter
Communications Operating, LLC and all proceeds of such equity interest, junior to the liens of the holders of the notes listed under item (3)
below.
(3) Charter Communications Operating, LLC (“CCO”):
8.000% senior second-lien notes due April 30, 2012 ($1,100 million)
83/8% senior second-lien notes due April 30, 2014 ($770 million)
10.875% senior second-lien notes due September 15, 2014 ($527 million)
CCOH Credit Facility ($8,246 million)
      Guarantee: All CCO notes are guaranteed by CCOH and those subsidiaries of CCO that are guarantors of, or otherwise obligors with respect to, indebtedness under the CCO credit facilities. The CCO Credit Facility is guaranteed by CCOH and certain subsidiaries of CCO.
      Security Interest: The CCO notes and related note guarantees are secured by a second-priority lien on substantially all of CCO’s and certain of its subsidiaries’ assets that secure the obligations of CCO or any subsidiary of CCO with respect to the CCO senior secured credit facilities. The CCO Credit Facility is secured by a first-priority lien on substantially all of the assets of CCO and its subsidiaries and a pledge by CCOH of its equity interests in CCO.
*    All amounts outstanding assume an Effective Date of September 30, 2009
Description of the New CCH II Notes
     The New CCH II Notes will be issued by reorganized CCH II and reorganized CCH II Capital Corp. The New CCH II Notes will pay interest in cash semi-annually in arrears at the rate of 13.5% per annum and will be unsecured. The notes will mature in 2016.
     The New CCH II Notes will be issued pursuant to an indenture a draft of which will be available on CCI’s website at www.charter.com under the Financial Restructuring tab at least 10 days prior to the Voting Deadline. This description is not complete and is qualified in it entirety by the form of the indenture.
Redemption
     At any time prior to the third anniversary of their issuance, reorganized CCH II will be permitted to redeem up to 35% of the New CCH II Notes with the proceeds of an equity offering, for cash equal to 113.5% of the then-outstanding principal amount of the New CCH II Notes being redeemed, plus accrued and unpaid interest.
     At or any time prior to the third anniversary of their issuance, reorganized CCH II will be permitted to redeem the New CCH II Notes, in whole or in part, at the principal amount outstanding plus a “make-whole” premium calculated based on a discount rate of the Treasury rate plus 50 basis points.
     After the third anniversary of their issuance, the New CCH II Notes will be subject to redemption by reorganized CCH II for cash equal to 106.75% of the principal amount of the New CCH II Notes being redeemed for redemptions made during the fourth year following their issuance, 103.375% for redemptions made during the fifth year following their issuance, 101.6875% in the sixth year following their issuance, and 100.000% for redemptions made thereafter, in each case, together with accrued and unpaid interest.
Change of Control Offer
     Upon the occurrence of a change of control, as defined in the indenture, each holder of New CCH II Notes will have the right to require reorganized CCH II to repurchase all or any part of that holder’s New CCH II Notes at

62


 

a repurchase price equal to 101% of the aggregate principal amount of the New CCH II Notes repurchased plus accrued and unpaid interest thereon, if any, to the date of purchase.
Restrictive Covenants
          The indenture will contain restrictions on the ability of reorganized CCH II and reorganized CCH II’s restricted subsidiaries to, without limitation: (i) incur indebtedness, (ii) create liens, (iii) pay dividends or make distributions in respect of capital stock and other restricted payments, (iv) make investments, (v) sell assets, (vi) create restrictions on the ability of restricted subsidiaries to make certain payments and asset transfers, (vii) enter into sale-leaseback transactions, (viii) enter into transactions with affiliates, (ix) consolidate, merge or sell all or substantially all of their assets or (x) engage in certain types of transactions with respect to indebtedness of parents and subsidiaries. However, such covenants will be subject to a number of important qualifications and exceptions including, without limitation, provisions allowing reorganized CCH II and its restricted subsidiaries to incur additional indebtedness as long as reorganized CCH II’s leverage ratio is not greater than 5.75 to 1.0. In addition, reorganized CCH II will be permitted to incur up to $1 billion of additional indebtedness under one or more credit facilities and will be permitted to incur another $300 million under a “general” exception.
Events of Default
          Holders of at least 25% in the aggregate of the New CCH II Notes then outstanding may accelerate the obligations due under the notes upon any of the following circumstances: (i) default for 30 consecutive days in the payment when due of interest on the New CCH II Notes; (ii) default in the payment when due of principal of or premium, if any, on the New CCH II Notes; (iii) the failure to comply with the indenture’s change of control or merger covenants; (iv) the failure to comply with other covenants for 30 consecutive days after notice is given by holders of at least 25% of the aggregate principal amount of the New CCH II Notes then outstanding; (v) the occurrence of a payment default or acceleration of indebtedness in excess of $100 million under another instrument of reorganized CCH II or its restricted subsidiaries; (vi) failure to pay a judgment in excess of $100 million against reorganized CCH II or its restricted subsidiaries which judgment is not paid, discharged or stayed for 60 days; or (viii) certain events of bankruptcy, insolvency, or liquidation.
Amendment, Supplement and Waiver
          Without the consent of holders of the New CCH II Notes, reorganized CCH II and the trustee may amend or supplement the indenture or the notes to (i) cure any ambiguity, defect or inconsistency; (ii) provide for uncertificated notes in addition to or in place of certificated notes; (iii) provide for or confirm the issuance of additional New CCH II Notes; (iv) provide for the assumption of obligations under the New CCH II Notes in the case of a merger or consolidation or sale of all or substantially all of the assets of reorganized CCH II and its restricted subsidiaries; (v) make any change that would provide any additional rights or benefits to the holders of New CCH II Notes or that does not adversely affect the legal rights of holders of the New CCH II Notes under the indenture; (vi) release any subsidiary guarantee in accordance with the provisions of the indenture; (vii) add a guarantor; or (viii) comply with requirements of the SEC in order to effect or maintain the qualification of the indenture under the Trust Indenture Act of 1939, as amended, or otherwise as necessary to comply with applicable law.
          Except as provided in the next paragraph, the indenture or the New CCH II Notes may be amended or supplemented with the consent of the holders of at least a majority in aggregate principal amount of the New CCH II Notes then outstanding.
          Without the consent of each holder of New CCH II Notes affected thereby, an amendment, supplement or waiver may not (with respect to any New CCH II Notes held by such holder): (i) reduce the principal amount of such notes; (ii) change the fixed maturity of such notes or reduce the premium payable upon redemption of such notes; (iii) reduce the rate of or extend the time for payment of interest on such notes; (iv) waive a default or an event of default in the payment of principal of, or premium, if any, or interest on the notes (except a rescission of acceleration of the notes by the holders of at least a majority in aggregate principal amount of the notes and a waiver of the payment default that resulted from such acceleration); (v) make such notes payable in money other than that stated in such notes; (vi) make any change in the provisions of the indenture relating to waivers of past defaults applicable to any notes or the rights of holders thereof to receive payments of principal of, or premium, if any, or

63


 

interest on such notes; (vii) waive certain redemption payments with respect to such notes; or (viii) make any changes to the provisions of the indenture relating to amendments and waivers requiring the consent of holders.
Description of Capital Stock
          The following is a description of the material terms of the Reorganized Company’s capital stock to be issued upon emergence from Chapter 11. This description also summarizes certain provisions of the Delaware General Corporation Law (“DGCL”).
Authorized Capital Stock
          Following the Debtors’ emergence from bankruptcy, the Reorganized Company will have the authority to issue a total of 1,175,000,000 shares of capital stock, consisting of:
    900,000,000 shares of New Class A Stock;
 
    25,000,000 shares of New Class B Stock; and
 
    250,000,000 shares of preferred stock, including 72,000 shares of New Preferred Stock.
Outstanding Capital Stock
          The number of shares of capital stock to be issued and outstanding as of the Effective Date will be determined prior to the Confirmation of the Plan.
Rights and Preferences of the Reorganized Company’s Capital Stock
          Voting Rights
          Holders of shares of our capital stock issued upon emergence will be entitled to vote on all matters submitted to a vote of the Reorganized Company’s stockholders, including the election of directors as follows:
    Shares of New Class A Stock will be entitled to one vote per share;
 
    Shares of New Class B Stock will be entitled to a number of votes per share, which at all times when shares of New Class B Stock are outstanding will represent 35% of the combined voting power of the Reorganized Company’s capital stock; and
 
    Shares of New Preferred Stock will be entitled to one vote per share.
          Holders of capital stock of the Reorganized Company, other than Mr. Allen and certain of his affiliates, will be subject to a reduction of their voting power to comply with the Voting Threshold. The holders of New Common Stock and holders of New Preferred Stock and their respective affiliates will not have cumulative voting rights.
          Under the amended and restated bylaws of the Reorganized Company, the number of members of the Board of Directors shall be fixed at 11 members. Except for the initial Board of Directors, which will be appointed pursuant to the terms of the Plan as described above in “Composition of New Board of Directors After the Effective Date,” for as long as shares of New Class B Stock are outstanding, holders of New Class B Stock will have the right to elect 35% of the members of the Board of Directors (rounded up to the next whole number), and all other members of the Board of Directors will be elected by majority vote of the holders of New Class A Stock (and any series of preferred stock then entitled to vote at an election of the directors).
          Under the Amended and Restated Certificate of Incorporation, (i) any director may be removed for cause by the affirmative vote of a majority of the voting power of the outstanding New Class A Stock and New Class B Stock (and any series of preferred stock then entitled to vote at an election of directors), voting together as a single class, (ii) any director elected by the holders of New Class B Stock voting separately as a class may be removed

64


 

from office, without cause, solely by the vote of a majority of the voting power of the outstanding New Class B Stock, voting as a separate class, and (iii) any director elected by the vote of the holders of New Class A Stock voting separately as a class (including holders of voting preferred stock, as applicable) may be removed from office, without cause, solely by the vote of a majority of the voting power of the outstanding New Class A Stock, voting separately as a class (including any holders of voting preferred stock entitled to vote thereon).
          Common Stock
          General
          The New Class B Stock will be identical to the New Class A Stock except with respect to certain voting, transfer and conversion rights. Subject to the Lock-Up Agreement, each share of New Class B Stock will be convertible into one share of New Class A Stock at the option of the holder or, at any time on or after January 1, 2011, at the option of the disinterested members of the Board of Directors.
          New Class B Stock will be subject to significant transfer restrictions. New Class A Stock, however, issued upon conversion of the New Class B Stock, will not be subject to the same restrictions. Shares of New Class B Stock will at all times be held only by Authorized Class B Holders, and upon any transfer to a person or entity other than an Authorized Class B Holder, each share of New Class B Stock will be automatically converted into one share of New Class A Stock. In addition, certain restrictions on conversion and transfer of New Class B Stock will be set forth in the Lock-Up Agreement. Shares of the New Class B Stock will only be issued to Mr. Allen or certain of his affiliates as described under “The CII Settlement” beginning on page 26.
          Upon consummation of the Plan, certain holders of New Class A Stock and securities convertible, exercisable or exchangeable into New Class A Stock and certain holders of the New CCH II Notes will have their securities registered by the Reorganized Company or in some circumstances exchanged for registered securities following the Effective Date. These registration rights will be subject to certain customary limitations, including that securities held by holders of less than 1% of the New Class A Stock shall not be entitled to registration rights.
          Dividend Rights
          Subject to limitations under Delaware law, preferences that may apply to any outstanding shares of preferred stock, and contractual restrictions, holders of each class of New Common Stock are entitled to receive ratably dividends or other distributions when and if declared by the Board of Directors. In addition to such restrictions, whether any future dividends are paid to the Reorganized Company’s stockholders will depend on decisions that will be made by the Board of Directors and will depend on then existing conditions, including the Debtors’ financial condition, contractual restrictions, corporate law restrictions, capital requirements and business prospects. The ability of the Board of Directors to declare dividends also will be subject to the rights of any holders of outstanding shares of the Reorganized Company’s preferred stock, including the New Preferred Stock, and the availability of sufficient funds under the DGCL to pay dividends. For a more complete description of the dividend rights of holders of shares of the Reorganized Company’s preferred stock, see “Series A 15% Pay-In-Kind Preferred Stock,” “Blank Check Preferred Stock” and “Liquidation Preference” below.
          Warrants to Purchase New Class A Stock
          The CIH Settlement Claim Warrants will have an exercise price based on a total equity value of the Reorganized Company of $5.3 billion and shall expire five years after the date of issuance. The CCH Settlement Claim Warrants will have an exercise price based on a total equity value of the Reorganized Company of $5.8 billion and shall expire five years after the date of issuance. The CII Settlement Claim Warrants will have the terms set forth under “Important Aspects of the Plan — The CII Settlement.” The Warrants provide for a cashless exercise by the Warrant holder. The Warrant exercise price and the number of shares issuable upon exercise of the Warrants are subject to adjustment upon certain events including: stock subdivisions, combinations, splits, stock dividends, capital reorganizations, or capital reclassifications of the New Class A Stock and in connection with certain distributions of cash, assets or securities. In addition, holders of CII Settlement Claim Warrants will have the right to participate, along with other holders of New Common Stock, in future below-market offerings of rights to purchase securities (including but not limited to New Common Stock) on an as-exercised basis. The Warrants are not redeemable.

65


 

          Series A 15% Pay-In-Kind Preferred Stock
          Shares of our New Preferred Stock will rank senior as to dividends to shares of New Common Stock. For the first four years after the Effective Date, each share of New Preferred Stock is entitled to an annual dividend at the rate of 15% of the initial liquidation preference of $1,000 (equivalent to $150 per annum per share), payable in cash or, at the option of the Reorganized Company, by issuing additional New Preferred Stock in the amount of the dividend payment, or a combination of both. Such dividends will be cumulative and will be payable semi-annually in arrears on January 15 and July 15 of each year. The New Preferred Stock is not convertible or exchangeable at the option of a holder thereof into any other class or series of stock or obligations of the Reorganized Company and for the first six months after the Effective Date the New Preferred Stock may only be redeemed in cash.
          Thereafter, the Reorganized Company may redeem the New Preferred Stock in whole or in part at any time upon at least 15 days prior written notice and payment of 100% of the liquidation preference, together with accrued and unpaid dividends thereon, whether or not declared, which amounts are payable in cash, New Common Stock or a combination of both. To the extent any shares of New Preferred Stock are not redeemed within the four years following the Effective Date, the New Preferred Stock shall be entitled to an annual dividend as follows: in the fifth year after the Effective Date, 17%, in the sixth year after the Effective Date, 19%, and in the seventh year after the Effective Date or any time thereafter, 21%. The terms of the New Preferred Stock require that seven years after the Effective Date, the Reorganized Company shall redeem the New Preferred Stock at 100% of the liquidation preference, together with accrued and unpaid dividends thereon, whether or not declared, which amounts are payable in cash, New Common Stock or a combination of both. Any redemption payment in New Common Stock may not exceed 20% of the fully diluted New Common Stock at the time of such redemption payment.
          In the event of the Reorganized Company’s voluntary or involuntary liquidation, winding-up, bankruptcy or dissolution, after payment in full of all amounts owed to the Debtors’ creditors and any stock senior to the New Preferred Stock, holders of New Preferred Stock will be entitled to receive and to be paid out of the Reorganized Company’s assets available for distribution to its stockholders, before any payment or distribution is made to holders of junior stock (including New Common Stock), a liquidation preference in the amount of $1,000 per share of New Preferred Stock, plus accumulated and unpaid dividends on the shares to the payment date of liquidation, winding-up, bankruptcy or dissolution. If, upon the Reorganized Company’s voluntary or involuntary liquidation, winding-up, bankruptcy or dissolution, the amounts payable with respect to the liquidation preference of the New Preferred Stock and all stock pari passu to the New Preferred Stock are not paid in full, the holders of the New Preferred Stock and such pari passu stock will share equally and ratably in any distribution of the Reorganized Company’s assets in proportion to the full liquidation preference and accumulated and unpaid dividends to which they are entitled. In each case, after the payment in full of all amounts owed to the Debtors’ creditors and all amounts owed to holders of New Preferred Stock or any other preferred stock outstanding, the remaining assets of the Reorganized Company will be distributed ratably to the holders of shares of New Common Stock, treated as a single class. The rights, preferences and privileges of holders of shares of New Common Stock are subject to, and may be adversely affected by, the rights of the holders of shares of the New Preferred Stock as well as any series of preferred stock which the Reorganized Company may designate and issue in the future without stockholder approval.
          Blank Check Preferred Stock
          Under the terms of the Amended and Restated Certificate of Incorporation, the Board of Directors will be authorized to issue from time to time up to an aggregate of approximately 250 million shares of additional series of preferred stock and to fix or alter the designations, preferences, rights and any qualifications, limitations or restrictions of the shares of each series, including the dividend rights, dividend rates, conversion rights, voting rights, rights and terms of redemption (including sinking fund provisions), redemption price or prices, liquidation preferences and the number of shares constituting any series. These additional shares may be used for a variety of corporate purposes, including future public offerings, to raise additional capital or to facilitate acquisitions. If the Board of Directors decides to issue shares to persons supportive of current management, this could render more difficult or discourage an attempt to obtain control of the company by means of a merger, tender offer, proxy contest or otherwise. Authorized but unissued shares also could be used to dilute the stock ownership of persons seeking to obtain control of the Reorganized Company.

66


 

Transfer Agent and Registrar
          The transfer agent and registrar for the Reorganized Company’s New Class A Stock will be determined prior to the Effective Date of the Plan.
Limitations on Liability and Indemnification of Directors and Officers
          The DGCL authorizes corporations to limit or eliminate the personal liability of directors to corporations and their stockholders for monetary damages for breaches of directors’ fiduciary duties. The Amended and Restated Certificate of Incorporation limits the liability of directors to the fullest extent permitted by the DGCL. In addition, the Reorganized Company’s bylaws provide that the Reorganized Company must indemnify its directors and officers to the fullest extent permitted by the DGCL. The Amended and Restated Certificate of Incorporation includes a provision that eliminates the personal liability of directors to the Reorganized Company or its stockholders for monetary damages for any breach of fiduciary duty as a director, except to the extent such exemption from liability or limitation thereof is not permitted under the DGCL as the same exists or hereafter may be amended.
          The limitation of liability and indemnification provisions in the Amended and Restated Certificate of Incorporation and the Reorganized Company’s bylaws may discourage stockholders from bringing a lawsuit against directors for breach of their fiduciary duty. These provisions may also have the effect of reducing the likelihood of derivative litigation against directors and officers, even though such an action, if successful, might otherwise benefit us and our stockholders. In addition, the Reorganized Company may be adversely affected to the extent we pay the costs of settlement and damage awards against directors and officers pursuant to these indemnification provisions.
The Reorganized Company’s Ownership Upon Emergence
          Upon emergence, all shares of New Class B Stock will be owned by Mr. Allen and entities affiliated with Mr. Allen, which will be approximately 2% of the outstanding New Common Stock and 35% of the voting power of all of the outstanding New Common Stock.
          The identity of the owners of the New Class A Stock upon emergence, which will be approximately 97% of the outstanding New Common Stock (including the impact of the exchange of reorganized Holdco equity for New Class A Stock by Mr. Allen and certain of his affiliates) and 65% of the voting power of all of the New Common Stock, is not determinable at this time because, among other reasons, the identity of all creditors receiving New Class A Stock is not known.
          Shares of New Class A Stock will be distributed upon emergence as follows:
  approximately 19.5% of the New Class A Stock will be distributed to CCH I Notes Claim Holders; and
 
  approximately 80.5% of the New Class A Stock will be sold pursuant to the Rights Offering.
          The allocation of New Class A Stock outlined above does not give effect to New Class A Stock distributable upon exercise of:
  CIH Warrants (which are exercisable for 5% of that number of shares of New Common Stock outstanding upon emergence, on a fully-diluted basis);
 
  CCH Warrants (which are exercisable for 1% of that number of shares of New Common Stock outstanding upon emergence, on a fully-diluted basis);
 
  CII Settlement Claim Warrants (which are exercisable for 4% of that number of shares of New Common Stock outstanding upon emergence, on a fully-diluted basis);
 
  the Overallotment Option which is the option to purchase additional shares of New Class A Stock at the Per Share Purchase Price for approximately 16% of the shares of New Common Stock to be outstanding upon emergence.

67


 

          In addition, the Management Incentive Plan will include, among other things, an allocation of equity-based awards of New Class A Stock in the amount of 3% of the shares of New Class A Stock outstanding on the Effective Date.
          The parties who have committed to purchase New Class A Stock are affiliates of the Apollo Management, Crestview Partners, Franklin Templeton, MFC Global, Oaktree Capital, and Western Asset Management.
          If the Overallotment Option is exercised, holders of New Common Stock and Warrants will suffer dilution of their investment due to sales of New Common Stock Stock at a discount to the valuation used to satisfy Claims. Issuances of awards under the Management Incentive Plan may also dilute the investment of holders of New Class A Stock and Warrants.
Summary of Legal Proceedings
          Because of the size and nature of the Debtors’ business, the Debtors are party to numerous legal proceedings. Most of these legal proceedings have arisen in the ordinary course of the Debtors’ business and involve claims for money damages. Whether these claims are or will be liquidated or resolved in the Bankruptcy Court or in some other jurisdiction depends upon the nature of the claims and the debt arising therefrom.
          Following is a summary of certain of the Debtors’ significant legal proceedings:2
Legal Proceedings in the Bankruptcy Court
          Avoidance Actions
          A number of transactions occurred prior to the Petition Date that may have given rise to Claims, including preference actions, fraudulent transfer and conveyance actions, rights of setoff and other Claims or causes of action under sections 510, 544, 547, 548, 549, 550 and/or 553 of the Bankruptcy Code and other applicable bankruptcy or non-bankruptcy law (collectively, the “Avoidance Actions”).
          Pursuant to section 546(a) of the Bankruptcy Code, the statute of limitations with respect to the commencement of avoidance or recovery actions under sections 544, 545, 547, 548, and 553 of the Bankruptcy Code will expire on March 27, 2011, i.e., two years after the Petition Date. To date, the Debtors have not made a determination whether they have any Avoidance Actions to prosecute. See “Effect of Confirmation of the Plan,” which begins on page 94.
          Challenges to the Plan
          First Lien Lenders
          JPMorgan Chase Bank, N.A. (“JPM”) is the administrative agent under the CCO Credit Facility (in such capacity, the “Administrative Agent”) for the lenders from time to time party thereto (collectively, the “Lenders”).
          JPM asserts that the Plan cannot be confirmed and, as a result, should not be proposed. Specifically JPM contends the following with respect to the Plan:
          A. The Plan Cannot Be Confirmed Because It Fails to Give Effect to the Cross Acceleration Default.
          JPM’s Argument
 
2   This summary is not intended as an exhaustive description of all pending legal matters or proceedings in which CCI or its Debtor and non-Debtor affiliates are involved. Certain legal proceedings may be subject to appeal in or outside the Bankruptcy Court. Nothing in this discussion is deemed to be an admission by CCI or any of its Debtor or non-Debtor affiliates of any liability or wrongdoing. Please consult each Debtor’s Schedule of Liabilities and Statement of Financial Affairs, which were filed with the Bankruptcy Court on April 10, 2009, for additional information.

68


 

          Pursuant to the CCO Credit Facility, it is an Event of Default if the Indebtedness of any Designated Holding Company (“DHC”) is accelerated (among other events). The Plan cannot be confirmed because its treatment of the CCO Credit Facility obligations as unimpaired under Section 1124 of the Bankruptcy Code assumes that the cross acceleration Event of Default under the CCO Credit Facility is not enforceable. However, this Event of Default is enforceable both as a matter of law and equity because CCO is solvent; all of its creditors will be paid in full; and there are no overriding bankruptcy policies which would render cross acceleration unenforceable. To the contrary, when a debtor is solvent “the bankruptcy rule is that where there is a contractual provision, valid under state law...the bankruptcy court will enforce the contractual provision.” Gencarelli v. UPS Capital Bus. Credit, 501 F.3d 1, 7 (1st Cir., 2007) (internal quotation marks and italics omitted) (citing Debentureholders Protective Comm. of Cont’l Inv. Corp. v. Cont’l Inv. Corp., 679 F.2d 264, 269 (1st Cir. 1982)). Moreover, because the Plan does not “cure” this Event of Default, the Debtors cannot satisfy the standards for unimpairment under Section 1124 and thus the Plan cannot be confirmed.
          The Debtors’ Response
          In contrast, the Debtors maintain that JPM’s position is inconsistent with the plain language of Section 1124, which expressly prevents a creditor from exercising its contractual rights of acceleration. 11 U.S.C. § 1124(2) (“notwithstanding any contractual provision or applicable law that entitles the holder of such claim or interest to demand or receive accelerated payment ...”); see also In re Kizzac Mgmt. Corp., 44 B.R. 496, 501 (Bankr. S.D.N.Y. 1984) (“Although the creditor’s rights arising out of acceleration are in fact affected by cure and reinstatement, they are deemed unimpaired.”). Moreover, Section 1124 also makes plain that ipso facto defaults do not need to be cured in order for a claim to be unimpaired. Where a single acceleration clause cannot bar reinstatement, it follows with equal force that multiple cross-referencing acceleration clauses cannot do so either. See, e.g., In re Mirant Corp., 2005 Bankr. LEXIS 909, at *28 (Bankr. N.D. Tex. 2005) (holding that affirming cross-defaults to defeat non-impairment of senior claims “would be inconsistent with the purposes of Chapter 11”). Thus, Debtors submit that, contrary to JPM’s assertion, there is in fact an “overriding bankruptcy policy” that renders cross-acceleration unenforceable: the language and purpose of Section 1124 itself.
          B. Pre-Petition, the Debtors Made Certain Misrepresentations in Connection With $750 Million of Borrowings That Are Neither Cured Nor Curable by the Plan.
          JPM’s Argument
          On or about October 1, 2008 (if not earlier), at least two of the DHCs, CCH and CCH I Holdings, LLC (“CIH”), had become unable to pay their debts as they came due resulting in an Event of Default under the CCO Credit Facility. This Event of Default was evidenced by, among other things, the fact that in the fourth quarter of 2008 the Debtors discontinued their historical practice of paying interest on CCH’s debt via dividend payments up from CCO. The Debtors discontinued their practice because certain of the DHCs had become insolvent or otherwise financially distressed and laws, such as the Delaware Limited Liability Company Act, fraudulent transfer laws and fiduciary duty laws, prohibited such dividends in those circumstances, and those same circumstances establish that at least CCH and CIH had become unable to pay their debts as they would become due.
          From October 2 through November 5, 2008, CCO borrowed funds totaling $750 million from the Lenders in four separate borrowing requests. Each time CCO represented under the CCO Credit Facility that no Default or Event of Default had occurred and was continuing. These representations were false when made because, as discussed above, by this time at least CCH and CIH had become unable to pay their debts as they would become due, and these false representations gave rise to additional Events of Default.
          These (and other) Events of Default are set forth in detail in an adversary proceeding commenced by JPM in the bankruptcy case. See Complaint, Docket No. 1, Adv. Pro. 09-01132 (JMP) (Bankr. S.D.N.Y. Mar. 27, 2009). These Events of Default are continuing and cannot be cured. Because the Plan does not “cure” these Events of Default it cannot satisfy the standards for unimpairment under Section 1124 and thus the Plan cannot be confirmed.
          The Debtors’ Response
          As set forth in Debtors’ motion to dismiss JPM’s adversary proceeding, JPM has not alleged any actual default under the CCO Credit Facility. JPM does not — and cannot — allege that the DHCs ever missed a debt

69


 

payment as it became due, and instead attempts to assert the existence of an obligation that appears nowhere in the CCO Credit Facility. The CCO Credit Facility contains no requirement that the Debtors be able to pay their debts “as they would become due” at an indefinite point in the future, yet JPM’s entire complaint rests on the faulty premise that Debtors had this obligation. Accordingly, Debtors maintain that dismissal of all claims is appropriate.
          C. Consummation of the Plan Would Create a New Event of Default Under the CCO Credit Facility Because a “Group,” Other Than the Paul Allen Group, Would Have the Power to Vote More Than 35% of the Ordinary Voting Power.
          JPM’s Argument
          Under the CCO Credit Facility, it is an Event of Default if the Paul Allen Group ceases to have the power, directly or indirectly, to vote or direct the voting of Equity Interests having at least 35% (determined on a fully diluted basis) of the ordinary voting power for the management of CCO. It also is an Event of Default if a transaction is consummated through which a “person” or “group” other than the Paul Allen Group has the power to vote or direct the voting of Equity Interests having more than 35% of the ordinary voting power for the management of CCO, unless the Paul Allen Group has a greater voting percentage. The Securities Exchange Act of 1934 defines a “group” as when two or more persons agree to act together for the purpose of acquiring, holding, voting or disposing of equity securities of an issuer. A group is deemed to have been formed if persons agree to act “in concert” or “in furtherance of a common objective,” and their agreement to act together relates to the acquisition, holding, voting or disposing of equity securities of an issuer. See, e.g., Wellman v. Dickinson, 682 F.2d 355, 263 (2d Cir. 1982).
          The New Class B Stock gives the Paul Allen Group 35% voting control over CCI. It does not give the Paul Allen Group voting control over CCO’s equity shares, but rather that CCO remains under the control of its parent affiliates, ultimately CCI. The noteholders constituting the Crossover Committee will retain the vast majority of the voting interests in CCI. Consequently, under the Plan, the majority of CCI’s directors are selected by the noteholders constituting the Crossover Committee, not the Paul Allen Group. Under this structure the Paul Allen Group therefore has no voting control over CCO.
          In addition, there is ample evidence that that noteholders in these cases constitute a “group.” This evidence includes (without limitation):
    the formation of a self-appointed “Committee” by this group of bondholders;
 
    the retention of common counsel to represent the group and each member thereof;
 
    the group’s retention of common financial advisors;
 
    the commitment to execute, and actual execution, by each group member of identical Plan Support Agreements and Commitment Letters incorporating identical Plan-related term sheets;
 
    the group’s commitment to purchase reorganized equity under the Rights Offering;
 
    the ability of the majority of the group to bind each member to the group’s determination of whether the Plan, Disclosure Statement and Confirmation Order are acceptable and thus binding on all of the members of that Committee;
 
    the ability of the majority of the group to modify the obligations of individual Committee members under the Restructuring Agreement and related Term Sheet;
 
    the ability of the majority of the group to waive certain deadlines under a member’s Restructuring Agreement; and
 
    the coordination of all group activities with the Allen Entities (thus creating another group).

70


 

          Consequently, the restructuring transactions described in the Plan create new Events of Default. The Paul Allen Group has no equity voting power over CCO and that all of the equity voting control over CCO has been transferred to the noteholder group. Because nothing in the Plan “cures” these Events of Default, the Lenders’ Obligations cannot be rendered unimpaired under the Plan and thus the Plan cannot be confirmed.
          The Debtors’ Response
          No Event of Default has occurred and no “group,” as defined in the CCO Credit Facility, has been formed. Even if what Lenders describe could be characterized as a “change of control” — a characterization that Debtors contest on legal, factual and contractual grounds — such an alleged change of control would not render the Lenders’ claims impaired under Section 1124. Moreover, this alleged change of control would have no bearing on the Lenders’ rights to receive their contracted-for interest and principal and thus would not prevent reinstatement in any event. See, e.g., In re Orlando Tennis World Dev. Co., 34 B.R. 558, 562 (Bankr. M.D. Fla. 1983).
          D. The Plan’s Releases and Injunctions Impair the Lenders.
          JPM’s Argument
          The Plan provides that:
          the Holders of Claims and Interests shall be deemed to provide a full discharge and release to the Debtor Releasees and their respective property from any and all Causes of Action, whether known or unknown, whether for tort, contract, violations of federal or state securities laws or otherwise, arising from or related in any way to the Debtors, including those in any way related to the Chapter 11 Cases or the Plan; provided, that the foregoing “Third Party Release” shall not operate to waive or release any person or Entity (other than a Debtor Releasee) from any Causes of Action expressly set forth in and preserved by the Plan, the Plan Supplement or related documents.
          See the Plan, Article X, E. In addition, the Plan seeks to permanently enjoin all entities from commencing or continuing any Cause of Action released or to be released pursuant to the Plan. See the Plan, Article X, F.
          These Plan provisions would release and enjoin the Lenders from prosecuting any claims or causes of action the Lenders have against the Debtors pursuant to the CCO Credit Facility. Section 1124 requires that the Plan preserve all of the Lenders legal, equitable and contractual rights. Because the Plan releases and prevents the Lenders from prosecuting claims they may have arising under the CCO Credit Facility, the Debtors cannot satisfy the standards for unimpairment under Section 1124 and thus the Plan cannot be confirmed.
          The Debtors’ Response
          The Debtors assert that none of the releases in the Plan affect the Unimpaired status of one’s Claim.
          E. The Lenders Appeal Rights Are Preserved Under the Plan and Any Reversal on Appeal May Give Rise to Plan Defaults and Losses for Non-CCO Creditors.
          JPM’s Argument
          The Plan, if confirmed, would by law preserve all of the Lenders’ legal, equitable and contractual rights. See 11 U.S.C § 1124. The right to appeal is among the Lenders’ rights the Plan would expressly preserve. Accordingly, in the event the Lenders pursue any appeal after confirmation of any adverse ruling of any of the above issues, the reversal on appeal of such an order would permit the Lenders to accelerate and demand immediate payment of all Obligations under the CCO Credit Facility. If the Obligations are accelerated after the Plan becomes effective, the consequences and potential economic losses to other holders of claims against the Debtors, other than CCO, and to those who acquire interests in reorganized CCI under the Plan, could be material and may give rise to post consummation Plan defaults.
          The aggregate principal amount of the Obligations as of the Petition Date is approximately $8,246,604,237, plus letters of credit in the face amount of approximately $140,074,350, plus accrued and unpaid interest thereon and fees and expenses.

71


 

          The Debtors’ Response
          Contrary to the Lenders’ assertion, the Debtors note that Section 1124 does not require preservation of all legal, equitable and contractual rights in order for a claim or interest to be unimpaired. It contemplates only those “legal, equitable and contractual rights to which such claim or interest entitles the holder of such claim or interest.” 11 U.S.C. §§ 1124(1); 1124(2)(E). Here, the Lenders’ claims and interests in the bankruptcy estate do not “entitle” them to a “right to appeal.” Any “right to appeal” arises from and depends on the procedural posture of pending litigation, not as an entitlement inherent in the Lenders’ contractual claims and interests. Moreover, no “right to appeal” has been limited here, as the Lenders are still free to file whatever legal papers they choose. By the Lenders’ expansive interpretation of that “right,” reinstatement under Section 1124 would never be viable because a creditor could always argue that it intended to appeal the confirmation order and might have a chance of winning. Such an interpretation would render Section 1124 meaningless.
          The First Lien Lender Group
          The foregoing contentions of JPM are also supported by an unofficial group of unaffiliated Lenders (the “First Lien Lender Group”) holding approximately $2.0 billion of indebtedness under the Credit Agreement. The First Lien Lender Group is comprised of the Lenders listed in the Verified Statement of Kramer Levin Naftalis & Frankel LLP Pursuant to Rule 2019 of the Federal Rules of Bankruptcy Procedure, Dkt. No. 168, as amended from time to time.
          First Lien Lender’s Argument
          In addition to joining in the contentions of JPM, the First Lien Lender Group asserts that the Plan cannot be confirmed due to the existence of certain other defaults under the Credit Agreement.
          The First Lien Lender Group filed an objection to the Disclosure Statement (see Dkt. No. 248) contending, inter alia, that the Plan is unconfirmable on its face and that approval of the Disclosure Statement should be deferred pending judicial determination of the foregoing issues, among others.
          The First Lien Lender Group also asserts that the Debtors’ failure to disclose the identities of the directors that are to serve on the board of directors of reorganized CCI gives rise to the possibility that the composition of the board of directors, when it is finally revealed, may result in additional defaults under the Credit Agreement. The Credit Agreement provides that it shall be a default if a majority of the members of CCI’s board of directors cease to be “Continuing Directors,” i.e., directors who were members of the board of directors of CCI on the date certain indebtedness was issued or directors who were nominated or elected with the approval of a majority of the “Continuing Directors.” Without knowing the identity of the proposed directors of reorganized CCI, it is impossible to evaluate the Debtors’ compliance with the “Continuing Directors” mandate. Moreover, the identity of the proposed directors of reorganized CCI, as well as the process that was used to select such directors, the business affiliations of such directors, and any relationships between such directors and the members of Crossover Committee, among other things, are all factors that are relevant to the existence of the defaults raised by JPM that are discussed above.
          The Debtor’s Response
          The Debtors maintain that there are no defaults under the CCO Credit Facility that make the Plan unconfirmable, and that no basis exists for deferring approval of this Disclosure Statement.
          Second and Third Lien Lenders
          Second and Third Lien Lenders’ Argument
          Wilmington Trust Company, as indenture trustee on behalf of the holders of the CCO Notes (the “Second Lien Indenture Trustee”), and Wells Fargo Bank, N.A., in its capacities as successor Administrative Agent and Successor Collateral Agent (collectively, the “Third Lien Agent”), for the third lien prepetition secured lenders under the CCOH Credit Facility, contend that if, as the First Lien Lenders allege above, the Debtors are unable to reinstate the claims arising under the CCO Credit Facility, the Debtors will also be unable to reinstate the claims

72


 

arising under the CCO Notes and the CCOH Credit Facility. Moreover, the Second Lien Indenture Trustee and Third Lien Agent believe that the restructuring proposed in the Plan will constitute a “Change of Control” as that term is defined in the indentures governing the CCO Credit Facility and the CCO Notes, which will entitle the holders of the CCO Notes and the secured lenders under the CCOH Credit Facility to demand immediate repayment of their claims in accordance with the terms of the CCO Notes and the CCOH Credit Facility. Finally, the Second Lien Indenture Trustee and the Third Lien Agent also contend that the releases and exculpations granted under the Plan may prevent reinstatement of the CCO Notes and the CCOH Credit Facility and are otherwise invalid under controlling Second Circuit authorities.
          The Debtor’s Response
          In response, Debtors note that whether or not one claim is unimpaired should have no bearing on the impairment of another claim; the reinstatement analysis under Section 1124 will be conducted independently for each set of claims and interests. Moreover, even if what Lenders describe could be characterized as a “change of control” — a characterization that Debtors contest on legal, factual and contractual grounds — such an alleged change of control would not render the Lenders’ claims impaired under Section 1124. Moreover, this alleged change of control event would have no bearing on the Lenders’ rights to receive their contracted-for interest and principal and thus would not prevent reinstatement in any event. See, e.g., In re Orlando Tennis World Dev. Co., 34 B.R. 558, 562 (Bankr. M.D. Fla. 1983). Finally, the Debtors dispute on a variety of grounds that any of the releases in the Plan affects the Unimpaired status of one’s Claim.
Pending Legal Proceedings outside the Bankruptcy Court
          Through the Petition Date, the Debtors were involved in the following material legal proceedings. The Debtors are vigorously defending themselves in each of these matters. The proceedings set forth below are stayed under the automatic stay provisions of section 362 of the Bankruptcy Code. Claims arising from these proceedings will be treated in accordance with the Plan.
          Patent Litigation
          Ronald A. Katz Technology Licensing, L.P. v. Charter Communications, Inc. et. al. On September 5, 2006, Ronald A. Katz Technology Licensing, L.P. served a lawsuit on CCI, CCHC, CCO, and Charter Communications Entertainment LLC, and a group of other companies, in the U.S. District Court for the District of Delaware alleging that CCI and the other defendants have infringed its interactive telephone patents. The Charter entities denied the allegations raised in the complaint. On March 20, 2007, the Judicial Panel on Multi-District Litigation transferred this case, along with 24 others, to the U.S. District Court for the Central District of California for coordinated and consolidated pretrial proceedings. is The Charter entities are vigorously contesting this matter.
          Rembrandt Patent Litigation. On June 1, 2006, Rembrandt Technologies, LP sued CCI, CCO, and several other cable companies in the U.S. District Court for the Eastern District of Texas, alleging that each defendant’s high-speed data service infringes three patents owned by Rembrandt and that CCI’s and CCO’s receipt and retransmission of ATSC digital terrestrial broadcast signals infringes a fourth patent owned by Rembrandt (Rembrandt I). On November 30, 2006, Rembrandt Technologies, LP again filed suit against CCI, CCO, and another cable company in the U.S. District Court for the Eastern District of Texas, alleging patent infringement of an additional five patents allegedly related to high-speed Internet over cable (Rembrandt II). CCI and CCO have denied all of Rembrandt’s allegations. On June 18, 2007, the Rembrandt I and Rembrandt II cases were combined in a multi-district litigation proceeding in the U.S. District Court for the District of Delaware. On November 21, 2007, certain vendors of the equipment that is the subject of Rembrandt I and Rembrandt II cases filed an action against Rembrandt in U.S. District Court for the District of Delaware seeking a declaration of non-infringement and invalidity on all but one of the patents at issue in those cases. On January 16, 2008 Rembrandt filed an answer in that case and a third party counterclaim against CCI, CCO, and the other multiple system operators for infringement of all but one of the patents already at issue in Rembrandt I and Rembrandt II cases. On February 7, 2008, CCI and CCO answered Rembrandt’s counterclaims and added a counter-counterclaim against Rembrandt for a declaration of non-infringement on the remaining patent. CCI and CCO are vigorously contesting the Rembrandt I and Rembrandt II cases.

73


 

          Verizon Patent Litigation. On February 5, 2008, four Verizon entities sued CCI and two other CCI subsidiaries in the U.S. District Court for the Eastern District of Texas, alleging that the provision of telephone service by CCI infringes eight patents owned by the Verizon entities (Verizon I). A trial is scheduled for February 2010. On December 31, 2008, forty-four of the Debtors filed a complaint in the U.S. District Court for the Eastern District of Virginia alleging that Verizon and two of its subsidiaries infringe four patents related to television transmission technology (Verizon II). On February 6, 2009, Verizon responded to the complaint by denying the Debtors’ allegations, asserting counterclaims for non-infringement and invalidity of Debtors’ patents and asserting counterclaims against CCI for infringement of eight patents. On January 15, 2009, CCI filed a complaint in the U.S. District Court for the Southern District of New York seeking a declaration of non-infringement on two patents owned by Verizon (Verizon III). The Debtors are vigorously contesting the allegations made against it in Verizon I and Verizon II.
          We are also a defendant or co-defendant in several other unrelated lawsuits claiming infringement of various patents relating to various aspects of our businesses. Other industry participants are also defendants in certain of these cases, and, in many cases including those described above, we expect that any potential liability would be the responsibility of our equipment vendors pursuant to applicable contractual indemnification provisions.
          In the event that a court ultimately determines that we infringe on any intellectual property rights, we may be subject to substantial damages and/or an injunction that could require us or our vendors to modify certain products and services we offer to our subscribers, as well as negotiate royalty or license agreements with respect to the patents at issue. While we believe the lawsuits are without merit and intend to defend the actions vigorously, all of these patent lawsuits could be material to our consolidated results of operations of any one period, and no assurance can be given that any adverse outcome would not be material to our consolidated financial condition, results of operations, or liquidity.
          Employment Litigation
          Marc Goodell v. Charter Communications, LLC and Charter Communications, Inc. On August 28, 2008, plaintiff filed a complaint against Charter Communications, LLC (“CC LLC”) and CCI in the United States District Court for the Western District of Wisconsin. The complaint subsequently was amended on or about October 31, 2008, and again on January 7, 2009, to reduce the scope of the claims asserted and add four additional plaintiffs. In their Second Amended Complaint, Plaintiffs seek to represent a class of current and former broadband, system, and other types of technicians who are or were employed by CC LLC or CCI in Michigan, Minnesota, Missouri or California. They allege that CC LLC and CCI violated certain wage and hour statutes of those four states by failing to pay technicians for all hours worked. CC LLC and CCI have answered the second amended complaint, asserting a variety of defenses. By stipulation, the parties jointly moved the district court to stay the proceedings in this action on or about in February 20, 2009 in response to CCI’s announced intention to make a bankruptcy filing. On February 23, 2009, the district court, sua sponte, issued an order dismissing the lawsuit without prejudice. The district court reserved the right to vacate the order upon request by either party and further indicated that the matter would be reinstated under a number of conditions, including CCI’s emergence from bankruptcy if the claims were not disposed of in the bankruptcy case. Plaintiff moved the district court to vacate its dismissal order on March 12, 2009, arguing that the dismissal would be prejudicial to the putative class members. On March 31, 2009, the district court entered an order, vacating its prior order, reinstating the action and staying it. Although CC LLC and CCI question the authority of the district court to modify its dismissal order after CCI filed for bankruptcy, neither party nor the district court has raised that issue. CC LLC and CCI continue to deny all liability, believe that they have substantial defenses and intend, if and when the action resumes active litigation, to contest the claims asserted there vigorously. We have been subjected, in the normal course of business, to the assertion of other similar claims and could be subjected to additional such claims. We cannot predict the ultimate outcome of any such claims.
          Other Proceedings
          Gerald Paul Bodet, Jr. v. Charter Communications, Inc. and Charter Communications Holding Company, LLC. On or about March 16, 2009, plaintiff filed, but did not serve, a class action against CCI and Holdco, alleging violations of the Sherman Act and Louisiana Unfair Trade Practices Act for allegedly tying the provision of premium cable programming to the purchase or rental of a set top box from CCI and Holdco. We understand similar claims have been made against other multiple system cable operators. At the appropriate time, CCI and Holdco

74


 

intend to deny any liability, are advised that they have substantial defenses, and intend to vigorously defend this case.
          We also are party to other lawsuits and claims that arise in the ordinary course of conducting our business. The ultimate outcome of these other legal matters pending against us or our subsidiaries cannot be predicted, and although such lawsuits and claims are not expected individually to have a material adverse effect on our consolidated financial condition, results of operations, or liquidity, such lawsuits could have in the aggregate a material adverse effect on our consolidated financial condition, results of operations, or liquidity. Whether or not we ultimately prevail in any particular lawsuit or claim, litigation can be time consuming and costly and injure our reputation.
Projected Financial Information
          Attached as Exhibit C is consolidated projected financial statement information, including consolidated balance sheets, consolidated income statements and consolidated statements of cash flows (together, the “Projections”) for the period from January 1, 2009 through December 31, 2013 (the “Projection Period”). The Projections assume an Effective Date of September 30, 2009.
          The Projections have been prepared by the Debtors’ management. Such Projections were not prepared to comply with the guidelines for prospective financial statements published by the American Institute of Certified Public Accountants and the rules and regulations of the United States Securities and Exchange Commission. The Debtors relied upon the accuracy and completeness of publicly available information, and portions of the information herein may be based upon certain statements, estimates and forecasts provided by third parties with respect to the anticipated future performance of the Reorganized Company. The Debtors did not attempt independently to audit or verify such information. Further, the Debtors’ independent accountants have neither examined nor compiled the accompanying actual results and projections and, accordingly, do not express an opinion or any other form of assurance with respect to the Projections, assume no responsibility for the Projections and disclaim any association with the projections. Except for purposes of this disclosure statement, the Debtors do not publish projections of their anticipated financial position or results of operations.
          The Projections contain certain statements that are “forward-looking statements” within the meaning of the Private Securities Litigation Reform Act of 1995. These statements are subject to a number of assumptions, risks, and uncertainties, many of which are and will be beyond the control of the Reorganized Company, including the implementation of the Plan, the continuing availability of sufficient borrowing capacity or other financing to fund future principal payments of debt, existing and future governmental regulations and actions of government bodies, natural disasters and unusual weather conditions and other market and competitive conditions. Holders of Claims and Interests are cautioned that the forward-looking statements speak as of the date made and are not guarantees of future performance. Actual results or developments may differ materially from the expectations expressed or implied in the forward-looking statements, and the Debtors and the Reorganized Company undertake no obligation to update any such statements.
          The Projections, while presented with numerical specificity, are necessarily based on a variety of estimates and assumptions which, though considered reasonable by the Debtors, may not be realized and are inherently subject to significant business, economic, competitive, industry, regulatory, market and financial uncertainties and contingencies, many of which are and will be beyond the Reorganized Company’s control. The Debtors caution that no representations can be made or are made as to the accuracy of the historical financial information or the Projections or to the Reorganized Company’s ability to achieve the projected results. Some assumptions may prove to be inaccurate. Moreover, events and circumstances occurring subsequent to the date on which the Projections were prepared may be different from those assumed, or, alternatively, may have been unanticipated, and thus the occurrence of these events may affect financial results in a materially adverse or materially beneficial manner. The Debtors and the Reorganized Company do not intend and undertake no obligation to update or otherwise revise the Projections to reflect events or circumstances existing or arising after the date this Disclosure Statement is initially filed or to reflect the occurrence of unanticipated events. The projections, therefore, may not be relied upon as a guaranty or other assurance of the actual results that will occur. In deciding whether to vote to accept or reject the Plan, holders of Claims or Interests must make their own determinations as to the reasonableness of such assumptions and the reliability of the Projections.

75


 

          Creditors and other interested parties should see the section entitled “Risk Factors” of this Disclosure Statement for a discussion of certain factors that may affect the future financial performance of the Reorganized Debtors.
          The Projections make certain assumptions regarding, among other things, the growth of the Debtors’ subscriber base, the Debtors’ penetration into the telephone market, the growth in their sales of bundled cable, internet and telephone services, the proportion of the Debtors’ revenue growth derived from their video-on-demand and digital video recorder services and the proportion of the Debtors’ revenue growth derived from their telephone and high-speed Internet services. Moreover, the Projections have been prepared based on assumption that the Effective Date of the Plan is September 30, 2009 and assume the successful implementation of the Reorganized Company’s business plan. Although the Debtors presently intend to cause the Effective Date to occur as soon as practical following confirmation of the Plan, there can be no assurance as to when the Effective Date will actually occur given the conditions for the Effective Date to occur pursuant to the terms of the Plan.
          The Projections are based on, among other things: (a) current and projected market conditions in each of the Reorganized Company’s respective markets; (b) the ability to maintain sufficient working capital to fund operations; and (c) confirmation of the Plan.
Risk Factors
          Before voting on the Plan, holders of Claims and Interests should read and consider carefully the risk factors set forth below, as well as the other information set forth in this Disclosure Statement and the documents delivered together herewith, referred to or incorporated by reference herein, including the Risk Factors set forth in our Annual Report on Form 10-K, prior to voting to accept or reject the Plan. Although these risk factors are many, these factors should not be regarded as constituting the only risks present in connection with the Debtors’ businesses or the Plan and its implementation.
Risks Relating to Bankruptcy
Debtors May Not Be Able to Obtain Confirmation of the Plan
          To emerge successfully from Chapter 11 bankruptcy protection as a viable entity, the Debtors, like any debtor, must obtain approval of a plan of reorganization from their creditors, confirmation of the plan through the Bankruptcy Court and successfully implement this confirmed plan. The foregoing process requires the Debtors to (a) meet certain statutory requirements with respect to the adequacy of disclosure with respect to any proposed plan, (b) solicit and obtain creditor acceptances of the proposed plan and (c) fulfill other statutory conditions with respect to plan confirmation.
          With regard to any proposed plan of reorganization, the Debtors may not receive the requisite acceptances to confirm a plan. If the requisite acceptances of the Plan are received, the Debtors intend to seek Confirmation of the Plan by the Bankruptcy Court. If the requisite acceptances are not received, the Debtors may nevertheless seek Confirmation of the Plan notwithstanding the dissent of certain Classes of Claims. The Bankruptcy Court may confirm the Plan pursuant to the “cramdown” provisions of the Bankruptcy Code, which allow the Bankruptcy Court to confirm a plan that has been rejected by an impaired class of Claims if it determines that the plan satisfies section 1129(b) of the Bankruptcy Code. In order to confirm a plan against a dissenting class, the Bankruptcy Court also must find that at least one impaired class has accepted the plan, with such acceptance being determined without including the acceptance of any “insider” in such class.
          The Debtors will seek under the Plan to reinstate and render unimpaired certain classes of Claims based on notes and credit facilities pursuant to section 1124 of the Bankruptcy Code. The creditor banks and/or other interested parties are expected to challenge reinstatement and unimpairment. In particular, the Administrative Agent has commenced an adversary proceeding seeking a declaratory judgment that certain defaults and events of default have occurred and are continuing under the CCO Credit Facility. The Administrative Agent contends that the alleged existence of such defaults and events of default prevent reinstatement of the claims arising under the CCO Credit Facility. The contentions of JPM are also supported by the First Lien Lender Group. In addition to joining in the contentions of the Administrative Agent, the First Lien Lender Group believes that the Plan cannot be confirmed due to the existence of certain other defaults under the CCO Credit Facility. The Indenture Trustee and the CCOH

76


 

Administrative Agent contend that, as a result of certain cross acceleration clauses contained in the indentures governing the CCO Notes and in the CCOH Credit Facility, the Debtors’ inability to reinstate the claims arising under the CCO Credit Facility will also result in the Debtors’ inability to reinstate the claims arising under the CCO Notes and the CCOH Credit Facility. The Administrative Agent, the First Lien Lender Group, the Indenture Trustee and the CCOH Administrative Agent contend that a Change of Control as defined in the CCO Credit Facility, the indenture governing the CCO Notes, and other documents, may occur, thus creating further defaults under the CCO Credit Facility and the CCOH Credit Facility, accelerating the debt under the CCO Credit Facility and entitling the holders of the CCO Notes and the lenders under the CCOH Credit Facility to demand immediate repayment of their claims in accordance with the terms of the CCO Notes and the CCOH Credit Facility. The First Lien Lender Group, the CCOH Administrative Agent and the Indenture Trustee also contend that the releases and exculpations granted under the Plan may prevent reinstatement of the CCO Credit Facility, the CCO Notes and the CCOH Credit Facility, and are otherwise invalid. Because the Plan is contingent on reinstatement and unimpairment, failure to reinstate the credit facilities, indentures and certain notes would require the Debtors to revise or abandon the Plan. Moreover, if reinstatement and unimpairment does not occur and current capital market conditions persist, the Debtors may not be able to secure adequate new financing and the cost of any such new financing would likely be materially higher.
          Even if the requisite acceptances of a proposed plan are received, the Bankruptcy Court may not confirm the plan as proposed. A dissenting Holder of a claim against the Debtors could challenge the balloting procedures and results as not being in compliance with the Bankruptcy Code. Finally, even if the Bankruptcy Court determined that the balloting procedures and results were appropriate, the Bankruptcy Court could still decline to confirm a proposed plan if it found that any of the statutory requirements for confirmation had not been met. Specifically, section 1129 of the Bankruptcy Code sets forth the requirements for confirmation and requires, among other things, a finding by the Bankruptcy Court that (a) the debtor’s plan “does not unfairly discriminate” and is “fair and equitable” with respect to any non-accepting classes, (b) confirmation of the debtor’s plan is not likely to be followed by a liquidation or a need for further financial reorganization and (c) the value of distributions to non-accepting Holders of Claims within a particular class under the debtor’s plan will not be less than the value of distributions such Holders would receive if the debtor was liquidated under Chapter 7 of the Bankruptcy Code. The Bankruptcy Court may determine that a proposed plan does not satisfy one or more of these requirements, in which case the proposed plan would not be confirmed by the Bankruptcy Court.
          If the Plan is not confirmed by the Bankruptcy Court, it is unclear whether the Debtors would be able to reorganize their businesses and what, if any, distributions Holders of Claims against or Holders of the Debtors’ common stock or other equity interests ultimately would receive with respect to their Claims or equity interests. There also can be no assurance that the Debtors will be able to successfully develop, prosecute, confirm, and consummate an alternative plan of reorganization with respect to the Chapter 11 Cases that is acceptable to the Bankruptcy Court and the Debtors’ creditors, equityholders and other parties in interest. Additionally, it is possible that third parties may seek and obtain approval to terminate or shorten the exclusivity period during which only the Debtors may propose and confirm a plan of reorganization. Finally, the Debtors’ emergence from bankruptcy is not assured. While the Debtors expect to emerge from bankruptcy in the future, there can be no assurance that the Debtors will successfully reorganize or when this reorganization will occur.
The conditions precedent to the Effective Date of the Plan may not occur.
          As more fully set forth in Exhibit A, the Effective Date is subject to a number of conditions precedent. If such conditions precedent are not met or waived, the Effective Date will not take place.
Historical financial information of the Debtors may not be comparable to the financial information of the Reorganized Debtors.
          As a result of the consummation of the Plan and the transactions contemplated thereby, the financial condition and results of operations of the Reorganized Debtors from and after the Effective Date may not be comparable to the financial condition or results of operations reflected in the Debtors’ historical financial statements.

77


 

The Debtors may not be able to achieve their projected financial results.
          The financial projections set forth on Exhibit C to this Disclosure Statement represent the Debtors’ management’s best estimate of the Debtors’ future financial performance based on currently known facts and assumptions about the Debtors’ future operations as well as the U.S. and world economy in general and the industry segments in which the Debtors operate in particular. The Debtors’ actual financial results may differ significantly from the projections. If the Debtors do not achieve their projected financial results, the trading prices of the New Common Stock may be negatively affected and the Debtors may lack sufficient liquidity to continue operating as planned after the Effective Date.
The Plan Support Agreements may terminate.
          Pursuant to the Plan Support Agreements, the Committed Parties have agreed to support the Plan; subject, however to certain termination events not having occurred, including, without limitation:
    CCI’s board of directors shall have been advised in writing by its outside counsel that continued pursuit of the Plan is inconsistent with its fiduciary duties because, and the board of directors determines in good faith that, (A) a proposal or offer from a third party is reasonably likely to be more favorable to the Debtors than is proposed under the Plan, taking into account, among other factors, the identity of the third party, the likelihood that any such proposal or offer will be negotiated to finality within a reasonable time, and the potential loss to the company if the proposal or offer were not accepted and consummated, or (B) the Plan is no longer confirmable or feasible;
 
    the Plan or any subsequent plan filed by the Debtors with the Bankruptcy Court (or a plan supported or endorsed by the Debtors) is not reasonably consistent in all material respects with the terms of the Plan Support Agreements;
 
    a disclosure statement order reasonably acceptable to the Debtors, the holders of a majority of the CCH I Notes held by the Crossover Committee (the “Requisite Holders”) and Mr. Allen has not been entered by the bankruptcy court on or before the 50th day following the Petition Date;
 
    a confirmation order reasonably acceptable to the Debtors, the Requisite Holders and Mr. Allen is not entered by the bankruptcy court on or before the 130th day following the Petition Date;
 
    the Effective Date shall not have occurred on or before the 150th day following the Petition Date, or before December 15, 2009 in the case that certain consents, approvals or waivers required to be obtained from governmental authorities have not been obtained on or before the 150th day following the Petition Date, and all other conditions precedent to the Effective Date shall have been satisfied before the 150th day following the Petition Date or waived by the Requisite Holders (other than those conditions that by their nature are to be satisfied on the Effective Date);
 
    any of the Chapter 11 cases of the Debtors is converted to cases under Chapter 7 of the Bankruptcy Code if as a result of such conversion the Plan is not confirmable;
 
    the Bankruptcy Court enters an order in any of the Chapter 11 Cases appointing (i) a trustee under Chapter 7 or Chapter 11 of the Bankruptcy Code, (ii) a responsible officer or (iii) an examiner, in each case with enlarged powers relating to the operation of the business (powers beyond those set forth in subclauses (3) and (4) of section 1106(a)) under section 1106(b) of the Bankruptcy Code;
 
    any of the Chapter 11 cases of the Debtors is dismissed if as a result of such dismissal the Plan is not confirmable;
 
    the order confirming the Plan is reversed on appeal or vacated;
 
    any party breaches any material provision of the Plan Support Agreements or the Plan and any such breach has not been duly waived or cured after a period of five days;

78


 

    CCI withdraws the Plan or publicly announces its intention not to support the Plan; and
 
    any Plan Support Agreement or the separate restructuring agreement among CCI, Mr. Allen and CII has terminated or been breached in any material respect, subject to notice and cure provisions.
          To the extent the terms or conditions of the Plan Support Agreements are not satisfied, or to the extent events of termination arise under the Plan Support Agreements, the Plan Support Agreements may terminate prior to the confirmation or consummation of the Plan, which could result in the loss of support for the Plan by important creditor constituents. Any such loss of support could adversely effect the Debtors’ ability to confirm and consummate the Plan.
A liquid trading market for New Common Stock may not develop.
          As of the Effective Date, New Class A Stock will not be listed for trading on any stock exchange or trading system, however, the Reorganized Company will cause New Class A Stock to be listed on the NASDAQ Global Select Market within the timeframe specified in the Plan. Consequently, the near-term trading liquidity of the New Class A Stock will be limited. The future liquidity of the trading market for New Class A Stock will depend on, among other things, the number of holders of New Class A Stock, whether the stock is listed for trading on an exchange, and whether the Reorganized Company continues to be a public reporting company following the Effective Date.
Certain holders of Claims may acquire a substantial amount of New Common Stock upon consummation of the Plan.
          During the Chapter 11 Cases, there is no limitation on the trading of Claims, except the requirement under the Plan Support Agreements that any transferee of Claims agrees to become bound by the transferor’s Plan Support Agreement. Accordingly, upon consummation of the Plan, certain holders of Claims are likely to receive distributions of the New Common Stock representing a substantial amount of the outstanding shares of the New Common Stock. In addition, certain holders of Claims may already hold a sufficiently sizeable position that they may receive a distribution of a significant percentage of the New Common Stock, and thus could be in a position to influence the outcome of actions requiring stockholder approval, including, among other things, election of directors (subject to the Voting Threshold). This concentration of ownership could also facilitate or hinder a negotiated change of control of the Reorganized Company and, consequently, impact the value of the New Common Stock. Furthermore, the possibility that one or more holders of a significant number of shares of New Common Stock may sell all or a large portion of its shares of New Common Stock in a short period of time may adversely affect the trading prices of the New Common Stock.
Holders of New Class A Stock may be diluted by the Overallotment Option
          Committed Parties who have committed to participate in the Excess Backstop for the Rights Offering will be offered, under certain conditions, the option to purchase additional shares of New Class A Stock, at a 25% discount to the net Plan Value per share of the Reorganized Company upon its emergence from bankruptcy. If exercised, holders of New Class A Stock will suffer dilution of their investment due to sales of New Class A Stock at a discount to the valuation used to satisfy Claims.
Certain tax consequences of the Debtors’ Plan raise unsettled and complex legal issues and involve various factual determinations.
          Some of the material consequences of the Plan regarding U.S. federal income taxes are summarized under “Certain U.S. Federal Income Tax Consequences of the Plan.” Many of these tax issues raise unsettled and complex legal issues, and also involve various factual determinations, such as valuations, that raise additional uncertainties. No ruling from the U.S. Internal Revenue Service (“IRS”) has been or will be sought by the Debtors regarding most of the tax consequences described in this Disclosure Statement, except as described in “Certain U.S. Federal Income Tax Consequences of the Plan.” The IRS may challenge the various positions the Debtors have taken, or intend to take, with respect to their tax treatment, and a court may sustain such a challenge or objection by the IRS. For a more detailed discussion of risks relating to the specific positions the Debtors intend to take with respect to various tax issues, please review “Certain U.S. Federal Income Tax Consequences of the Plan,” which begins on page 102.

79


 

The “ownership change” caused by the restructuring of the Debtors will result in a limitation on or a loss of the net operating losses.
          As of December 31, 2008, the Debtors have approximately $8.7 billion of federal tax net operating losses, resulting in a gross deferred tax asset of approximately $3.1 billion, expiring in the years 2009 through 2028. In addition, the Debtors have state tax net operating losses, resulting in a gross deferred tax asset (net of federal tax benefit) of approximately $325 million, generally expiring in years 2009 through 2028. Currently, such tax net operating losses can accumulate and be used to offset most of the Debtor’s expected future taxable income. However, as further described in this Disclosure Statement, the issuance under the Plan of the New Common Stock, along with the cancellation of existing equity interests through the Plan, is expected to cause an “ownership change” of CCI as of the Effective Date. As a result, Section 382 of the IRC will limit CCI’s use of its net operating losses after the Effective Date. We cannot assure you that the limitation on the Reorganized Company’s ability to use its net operating losses will not have a material adverse effect on its financial condition and results of operations. For a more detailed discussion of limitations on or loss of the net operating losses, please review “Certain U.S. Federal Income Tax Consequences Of The Plan — Certain U.S. Federal Income Tax Consequences to Reorganized Debtors — Limitation of Net Operating Loss Carryforwards and Other Tax Attributes,” which begins on page 103.
The Reorganized Company’s charter and bylaws could deter takeover attempts that some shareholder may consider desirable, which could adversely affect the price of the New Common Stock.
          Various provisions of the Reorganized Company’s Amended and Restated Certificate of Incorporation and amended and restated bylaws, and Delaware law, could make acquiring control of the Reorganized Company without the requisite support of its Board of Directors difficult for a third party, even if the change of control would be beneficial to a recipient of New Common Stock. The existence of these provisions could deprive certain recipients of New Common Stock of an opportunity to sell their shares of New Common Stock at a premium over the prevailing market price. The potential inability of holders of New Common Stock to obtain a control premium could, in certain instances, depress any future trading prices of New Common Stock.
Risks Related to the Debtors’ Significant Indebtedness
The Debtors will have significant indebtedness upon their emergence from bankruptcy.
          Upon emergence from bankruptcy, the Debtors will have a significant amount of indebtedness. This could have important consequences, including the following:
    we will have to dedicate a significant portion of our cash flow to making interest and principal payments on our indebtedness, thereby reducing the availability of our cash flow to fund working capital, capital expenditures, acquisitions or other general corporate purposes;
 
    the post-emergence levels of indebtedness may make us less attractive to potential acquirers or acquisition targets;
 
    the post-emergence levels of indebtedness may limit our flexibility to adjust to changing business and market conditions, and make us more vulnerable to a downturn in general economic conditions as compared to competitors that may be less leveraged;
 
    the post-emergence levels of indebtedness may make us vulnerable to interest rate increases, because a substantial amount of our borrowings will be subject to variable rates of interest;
 
    the post-emergence levels of indebtedness may adversely affect our relationship with customers and suppliers;
 
    the post-emergence levels of indebtedness may limit our ability to borrow additional funds in the future, or to access financing at the necessary level of the capital structure, due to applicable financial and restrictive covenants in our debt;

80


 

    the post-emergence levels of indebtedness may make it difficult for us to satisfy our obligations to the holders of our notes and for our subsidiaries to satisfy their obligations to the lenders under their credit facilities and to their noteholders; and
 
    the post-emergence levels of indebtedness may limit future increases in the value, or cause a decline in the value of our equity, which could limit our ability to raise additional capital by issuing equity.
          Furthermore, our ability to satisfy our debt service obligations will depend, among other things, upon our future operating performance and ability to refinance indebtedness when necessary. These factors depend partly on economic, financial, competitive and other factors beyond the Debtors’ control. The Debtors may not be able to generate sufficient cash from operations to meet their debt service obligations as well as fund necessary capital expenditures and investments in sales and marketing. In addition, if we need to refinance our debt, obtain additional financing or sell assets or equity, we may not be able to do so on commercially reasonable terms, if at all.
          A default by one of the Debtors under its debt obligations could result in the acceleration of those obligations, which in turn could trigger cross-defaults under other agreements governing our long-term indebtedness giving holders of such indebtedness the right to accelerate. In addition, the secured lenders under the CCO Credit Facility, the holders of the CCO senior second-lien notes and the secured lenders under the CCOH Credit Facility could foreclose on the collateral, which includes equity interests in certain Debtors, and exercise other rights of secured creditors. Any default under our debt could adversely affect our growth, our financial condition, our results of operations, the value of our equity and our ability to make payments on our debt. We may incur significant additional debt in the future. If current debt amounts increase, the related risks that we now face will intensify.
The agreements and instruments governing our debt and the debt of our subsidiaries contain restrictions and limitations that could significantly affect our ability to operate our business, as well as significantly affect our liquidity.
          Our credit facilities and the indentures governing our debt contain a number of significant covenants that could adversely affect our ability to operate our business, as well as significantly affect our liquidity, and therefore could adversely affect our results of operations. These covenants restrict, among other things, the Debtors’ ability to:
    incur additional debt;
 
    repurchase or redeem equity interests and debt;
 
    issue equity;
 
    make certain investments or acquisitions;
 
    pay dividends or make other distributions;
 
    dispose of assets or merge;
 
    enter into related party transactions; and
 
    grant liens and pledge assets.
          The breach of any covenants or obligations in the foregoing indentures or credit facilities, not otherwise waived or amended, could result in a default under the applicable debt obligations and could trigger acceleration of those obligations, which in turn could trigger cross defaults under other agreements governing our long-term indebtedness and acceleration of such indebtedness. In addition, the secured lenders under the CCO Credit Facility, the holders of the reorganized CCO senior second-lien notes and the secured lenders under the CCOH Credit Facility could foreclose on their collateral, which includes equity interests in certain Debtors, and exercise other rights of secured creditors. Any default under those credit facilities or the indentures governing our convertible notes or our debt could adversely affect our growth, our financial condition, results of operations and ability to make payments on our debt.

81


 

We depend on generating (and having available to the applicable obligor) sufficient cash flow to fund our debt obligations, capital expenditures, and ongoing operations. Our access to additional financing may be limited, which could adversely affect our financial condition and our ability to conduct our business.
          Our ability to service our debt and to fund our planned capital expenditures and ongoing operations will depend on both our ability to generate and grow cash flow and our access (by dividend or otherwise) to additional liquidity sources. Our ability to generate and grow cash flow is dependent on many factors, including:
    the impact of competition from other distributors, including but not limited to incumbent telephone companies, direct broadcast satellite operators, wireless broadband providers and DSL providers;
 
    difficulties in growing and operating our telephone services, while adequately meeting customer expectations for the reliability of voice services;
 
    our ability to adequately meet demand for installations and customer service;
 
    our ability to sustain and grow revenues and cash flows from operating activities by offering video, high-speed Internet, telephone and other services, and to maintain and grow our customer base, particularly in the face of increasingly aggressive competition;
 
    our ability to obtain programming at reasonable prices or to adequately raise prices to offset the effects of higher programming costs;
 
    general business conditions, economic uncertainty or downturn, including the recent volatility and disruption in the capital and credit markets and the significant downturn in the housing sector and overall economy; and
 
    the effects of governmental regulation on our business.
          Some of these factors are beyond our control. It is also difficult to assess the impact that the general economic downturn and recent turmoil in the credit markets will have on future operations and financial results. However, the general economic downturn has resulted in reduced spending by customers and advertisers, which may have impacted our revenues and our cash flows from operating activities from those that otherwise would have been generated. If we are unable to generate sufficient cash flow or we are unable to access additional liquidity sources, we may not be able to service and repay our debt, operate our business, respond to competitive challenges, or fund our other liquidity and capital needs. It is uncertain whether we will be able, under applicable law, to make distributions or otherwise move cash to the relevant entities for payment of interest and principal.
Risks Related to Our Business
The Debtors operate in a very competitive business environment, which affects the Debtors’ ability to attract and retain customers and can adversely affect the Debtors’ business and operations.
          The industry in which the Debtors operate is highly competitive and has become more so in recent years. In some instances, we compete against companies with fewer regulatory burdens, easier access to financing, greater personnel resources, greater resources for marketing, greater and more favorable brand name recognition, and long-established relationships with regulatory authorities and customers. Increasing consolidation in the cable industry and the repeal of certain ownership rules have provided additional benefits to certain of our competitors, either through access to financing, resources, or efficiencies of scale.
          Our principal competitors for video services throughout our territory are direct broadcast satellite (“DBS”) providers. The two largest DBS providers are DirecTV and Echostar. Competition from DBS, including intensive marketing efforts with aggressive pricing, exclusive programming and increased high definition broadcasting has had an adverse impact on our ability to retain customers. DBS has grown rapidly over the last several years. DBS companies have also recently announced plans and technical actions to expand their activities in the multiple

82


 

dwelling unit (“MDU”) market. The cable industry, including us, has lost a significant number of video customers to DBS competition, and we face serious challenges in this area in the future.
          Telephone companies, including two major telephone companies, AT&T and Verizon, and utility companies can offer video and other services in competition with us, and we expect they will increasingly do so in the future. Upgraded portions of these networks carry two-way video and data services (DSL and FiOS) and digital voice services that are similar to ours. In the case of Verizon, high-speed data services (FiOS) operate at speeds as high as or higher than ours. These services are offered at prices similar to those for comparable Charter services. Based on our internal estimates, we believe that AT&T and Verizon are offering these services in areas serving approximately 14% to 17% of our estimated homes passed as of December 31, 2008. AT&T and Verizon have also launched campaigns to capture more of the MDU market. Additional upgrades and product launches are expected in markets in which we operate. With respect to our Internet access services, we face competition, including intensive marketing efforts and aggressive pricing, from telephone companies and other providers of DSL. DSL service is competitive with high-speed Internet service and is often offered at prices lower than our Internet services, although often at speeds lower than the speeds we offer. In addition, in many of our markets, these companies have entered into co-marketing arrangements with DBS providers to offer service bundles combining video services provided by a DBS provider with DSL and traditional telephone and wireless services offered by the telephone companies and their affiliates. These service bundles substantially resemble our bundles. Moreover, as we expand our telephone offerings, we will face considerable competition from established telephone companies and other carriers.
          The existence of more than one cable system operating in the same territory is referred to as an overbuild. Overbuilds could adversely affect our growth, financial condition, and results of operations, by creating or increasing competition. Based on internal estimates and excluding telephone companies, as of December 31, 2008, we are aware of traditional overbuild situations impacting approximately 8% to 9% of our estimated homes passed, and potential traditional overbuild situations in areas servicing approximately an additional 1% of our estimated homes passed. Additional overbuild situations may occur in other systems.
          In order to attract new customers, from time to time we make promotional offers, including offers of temporarily reduced price or free service. These promotional programs result in significant advertising, programming and operating expenses, and also require us to make capital expenditures to acquire and install customer premise equipment. Customers who subscribe to our services as a result of these offerings may not remain customers following the end of the promotional period. A failure to retain customers could have a material adverse effect on our business.
          Mergers, joint ventures, and alliances among franchised, wireless, or private cable operators, DBS providers, local exchange carriers, and others, may provide additional benefits to some of our competitors, either through access to financing, resources, or efficiencies of scale, or the ability to provide multiple services in direct competition with us.
          In addition to the various competitive factors discussed above, our business is subject to risks relating to increasing competition for the leisure and entertainment time of consumers. Our business competes with all other sources of entertainment and information delivery, including broadcast television, movies, live events, radio broadcasts, home video products, console games, print media, and the Internet. Technological advancements, such as video-on-demand, new video formats, and Internet streaming and downloading, have increased the number of entertainment and information delivery choices available to consumers, and intensified the challenges posed by audience fragmentation. The increasing number of choices available to audiences could also negatively impact advertisers’ willingness to purchase advertising from us, as well as the price they are willing to pay for advertising. If we do not respond appropriately to further increases in the leisure and entertainment choices available to consumers, our competitive position could deteriorate, and our financial results could suffer.
          We cannot assure you that the services we provide will allow us to compete effectively. Additionally, as we expand our offerings to include other telecommunications services, and to introduce new and enhanced services, we will be subject to competition from other providers of the services we offer. Competition may reduce our expected growth of future cash flows. We cannot predict the extent to which competition may affect our business and results of operations.

83


 

If our required capital expenditures exceed our projections, we may not have sufficient funding, which could adversely affect our growth, financial condition and results of operations.
          During the year ended December 31, 2008, the Debtors spent approximately $1.2 billion on capital expenditures. During 2009, we expect capital expenditures to be approximately $1.2 billion. The actual amount of our capital expenditures depends on the level of growth in high-speed Internet and telephone customers, and in the delivery of other advanced broadband services such as additional high-definition channels, faster high-speed Internet services, DVRs and other customer premise equipment, as well as the cost of introducing any new services. We may need additional capital if there is accelerated growth in high-speed Internet customers, telephone customers or increased need to respond to competitive pressures by expanding the delivery of other advanced services. If we cannot provide for such capital spending from increases in our cash flow from operating activities, additional borrowings, proceeds from asset sales or other sources, our growth, competitiveness, financial condition, and results of operations could suffer materially.
We may not have the ability to reduce the high growth rates of, or pass on to our customers, our increasing programming costs, which would adversely affect our cash flow and operating margins.
          Programming has been, and is expected to continue to be, our largest operating expense item. In recent years, the cable industry has experienced a rapid escalation in the cost of programming, particularly sports programming. We expect programming costs to continue to increase, and at a higher rate than in 2008, because of a variety of factors including amounts paid for retransmission consent, annual increases imposed by programmers and additional programming, including high definition and OnDemand programming, being provided to customers. The inability to fully pass these programming cost increases on to our customers has had an adverse impact on our cash flow and operating margins associated with the video product. We have programming contracts that have expired and others that will expire at or before the end of 2009. There can be no assurance that these agreements will be renewed on favorable or comparable terms. To the extent that we are unable to reach agreement with certain programmers on terms that we believe are reasonable we may be forced to remove such programming channels from our line-up, which could result in a further loss of customers.
          Increased demands by owners of some broadcast stations for carriage of other services or payments to those broadcasters for retransmission consent are likely to further increase our programming costs. Federal law allows commercial television broadcast stations to make an election between “must-carry” rights and an alternative “retransmission-consent” regime. When a station opts for the latter, cable operators are not allowed to carry the station’s signal without the station’s permission. In some cases, we carry stations under short-term arrangements while we attempt to negotiate new long-term retransmission agreements. If negotiations with these programmers prove unsuccessful, they could require us to cease carrying their signals, possibly for an indefinite period. Any loss of stations could make our video service less attractive to customers, which could result in less subscription and advertising revenue. In retransmission-consent negotiations, broadcasters often condition consent with respect to one station on carriage of one or more other stations or programming services in which they or their affiliates have an interest. Carriage of these other services may increase our programming expenses and diminish the amount of capacity we have available to introduce new services, which could have an adverse effect on our business and financial results.
We face risks inherent in our telephone business.
          We may encounter unforeseen difficulties as we increase the scale of our telephone service offerings. First, we face heightened customer expectations for the reliability of telephone services as compared with our video and high-speed data services. We have undertaken significant training of customer service representatives and technicians, and we will continue to need a highly trained workforce. If the service is not sufficiently reliable or we otherwise fail to meet customer expectations, our telephone business could be adversely affected. Second, the competitive landscape for telephone services is intense; we face competition from providers of Internet telephone services, as well as incumbent telephone companies. Further, we face increasing competition for residential telephone services as more consumers in the United States are replacing traditional telephone service with wireless service. All of this may limit our ability to grow our telephone service. Third, we depend on interconnection and related services provided by certain third parties. As a result, our ability to implement changes as the service grows may be limited. Finally, we expect advances in communications technology, as well as changes in the marketplace

84


 

and the regulatory and legislative environment. Consequently, we are unable to predict the effect that ongoing or future developments in these areas might have on our telephone business and operations.
Our inability to respond to technological developments and meet customer demand for new products and services could limit our ability to compete effectively.
          The Debtors’ business is characterized by rapid technological change and the introduction of new products and services, some of which are bandwidth-intensive. We cannot assure you that we will be able to fund the capital expenditures necessary to keep pace with technological developments, or that we will successfully anticipate the demand of our customers for products and services requiring new technology or bandwidth beyond our expectations. Our inability to maintain and expand our upgraded systems and provide advanced services in a timely manner, or to anticipate the demands of the marketplace, could materially adversely affect our ability to attract and retain customers. Consequently, our growth, financial condition and results of operations could suffer materially.
Our exposure to the credit risks of our customers, vendors and third parties could adversely affect our cash flow, results of operations and financial condition.
          The Debtors are exposed to risks associated with the potential financial instability of our customers, many of whom may be adversely affected by the general economic downturn. Dramatic declines in the housing market over the past year, including falling home prices and increasing foreclosures, together with significant increases in unemployment, have severely affected consumer confidence and may cause increased delinquencies or cancellations by our customers or lead to unfavorable changes in the mix of products purchased. The general economic downturn also may affect advertising sales, as companies seek to reduce expenditures and conserve cash. Any of these events may adversely affect our cash flow, results of operations and financial condition.
          In addition, we are susceptible to risks associated with the potential financial instability of the vendors and third parties on which we rely to provide products and services or to which we delegate certain functions. The same economic conditions that may affect our customers, as well as volatility and disruption in the capital and credit markets, also could adversely affect vendors and third parties and lead to significant increases in prices, reduction in output or the bankruptcy of our vendors or third parties upon which we rely. Any interruption in the services provided by our vendors or by third parties could adversely affect our cash flow, results of operation and financial condition.
We depend on third party service providers, suppliers and licensors; thus, if we are unable to procure the necessary services, equipment, software or licenses on reasonable terms and on a timely basis, our ability to offer services could be impaired, and our growth, operations, business, financial results and financial condition could be materially adversely affected.
          We depend on third party service providers, suppliers and licensors to supply some of the services, hardware, software and operational support necessary to provide some of our services. We obtain these materials from a limited number of vendors, some of which do not have a long operating history or which may not be able to continue to supply the equipment and services we desire. Some of our hardware, software and operational support vendors, and service providers represent our sole source of supply or have, either through contract or as a result of intellectual property rights, a position of some exclusivity. If demand exceeds these vendors’ capacity or if these vendors experience operating or financial difficulties, or are otherwise unable to provide the equipment or services we need in a timely manner and at reasonable prices, our ability to provide some services might be materially adversely affected, or the need to procure or develop alternative sources of the affected materials or services might delay our ability to serve our customers. These events could materially and adversely affect our ability to retain and attract customers, and have a material negative impact on our operations, business, financial results and financial condition. A limited number of vendors of key technologies can lead to less product innovation and higher costs. For these reasons, we generally endeavor to establish alternative vendors for materials we consider critical, but may not be able to establish these relationships or be able to obtain required materials on favorable terms.
          In that regard, we currently purchase set-top boxes from a limited number of vendors, because each of our cable systems use one or two proprietary conditional access security schemes, which allows us to regulate subscriber access to some services, such as premium channels. We believe that the proprietary nature of these conditional access schemes makes other manufacturers reluctant to produce set-top boxes. Future innovation in set-top boxes

85


 

may be restricted until these issues are resolved. In addition, we believe that the general lack of compatibility among set-top box operating systems has slowed the industry’s development and deployment of digital set-top box applications. In addition, in 2009, we plan to convert from two billing service providers to one. We will be dependent on these vendors for a properly executed conversion and for the ongoing timely and appropriate service from the single remaining vendor.
Malicious and abusive Internet practices could impair our high-speed Internet services.
          The Debtors’ high-speed Internet customers utilize our network to access the Internet and, as a consequence, we or they may become victim to common malicious and abusive Internet activities, such as peer-to-peer file sharing, unsolicited mass advertising (i.e., “spam”) and dissemination of viruses, worms, and other destructive or disruptive software. These activities could have adverse consequences on our network and our customers, including degradation of service, excessive call volume to call centers, and damage to our or our customers’ equipment and data. Significant incidents could lead to customer dissatisfaction and, ultimately, loss of customers or revenue, in addition to increased costs to service our customers and protect our network. Any significant loss of high-speed Internet customers or revenue, or significant increase in costs of serving those customers, could adversely affect our growth, financial condition and results of operations.
Risks Related to Mr. Allen’s Controlling Position
The failure by Paul G. Allen, CCI’s chairman and controlling stockholder, to maintain both a minimum voting interest and the largest voting interest in the Reorganized Company could trigger a change of control default under the credit facilities of the Reorganized Company’s subsidiaries.
          The CCO Credit Facility provides that the failure by (a) Mr. Allen, (b) his estate, spouse, immediate family members and heirs and (c) any trust, corporation, partnership or other entity, the beneficiaries, stockholders, partners or other owners of which consist exclusively of Mr. Allen or such other persons referred to in (b) above or a combination thereof to maintain both a 35% direct or indirect voting interest and the largest voting interest in the applicable borrower would result in a change of control default. However, prior to September 15, 2014, the New Class A Stock will be subject to the Voting Threshold. Such a default could result in the acceleration of indebtedness of the Reorganized Company and the Reorganized Company’s subsidiaries, including borrowings under the CCO Credit Facility.
Mr. Allen will control a large percentage of the Reorganized Company’s stockholder votes.
          After the Effective Date, Mr. Allen, directly or through certain of his affiliates, will own approximately 35% of the voting power of the Reorganized Company’s capital stock and be entitled to elect four of the 11 members to the Board of Directors. Mr. Allen thus may have the ability to influence fundamental corporate transactions requiring equity holder approval, including, but not limited to, merger transactions involving us and the sale of all or substantially all of our assets.
Risks Related to Regulatory and Legislative Matters
Our business is subject to extensive governmental legislation and regulation, which could adversely affect our business.
          Regulation of the cable industry has increased cable operators’ operational and administrative expenses and limited their revenues. Cable operators are subject to, among other things:
    rules governing the provision of cable equipment and compatibility with new digital technologies;
 
    rules and regulations relating to subscriber and employee privacy;
 
    limited rate regulation;
 
    rules governing the copyright royalties that must be paid for retransmitting broadcast signals;

86


 

    requirements governing when a cable system must carry a particular broadcast station and when it must first obtain consent to carry a broadcast station;
 
    requirements governing the provision of channel capacity to unaffiliated commercial leased access programmers;
 
    rules limiting our ability to enter into exclusive agreements with multiple dwelling unit complexes and control our inside wiring;
 
    rules, regulations, and regulatory policies relating to provision of voice communications and high-speed Internet service;
 
    rules for franchise renewals and transfers; and
 
    other requirements covering a variety of operational areas such as equal employment opportunity, technical standards, and customer service requirements.
          Additionally, many aspects of these regulations are currently the subject of judicial proceedings and administrative or legislative proposals. There are also ongoing efforts to amend or expand the federal, state, and local regulation of some of our cable systems, such as “net neutrality” regulations that may inhibit our ability to manage our network, or which may compound the regulatory risks we already face, and proposals that might make it easier for our employees to unionize. Certain states and localities are considering new cable and telecommunications taxes that could increase operating expenses.
Our cable system franchises are subject to non-renewal or termination. The failure to renew a franchise in one or more key markets could adversely affect our business.
          Our cable systems generally operate pursuant to franchises, permits, and similar authorizations issued by a state or local governmental authority controlling the public rights-of-way. Many franchises establish comprehensive facilities and service requirements, as well as specific customer service standards and monetary penalties for non-compliance. In many cases, franchises are terminable if the franchisee fails to comply with significant provisions set forth in the franchise agreement governing system operations. Franchises are generally granted for fixed terms and must be periodically renewed. Franchising authorities may resist granting a renewal if either past performance or the prospective operating proposal is considered inadequate. Franchise authorities often demand concessions or other commitments as a condition to renewal. In some instances, local franchises have not been renewed at expiration, and we have operated and are operating under either temporary operating agreements or without a franchise while negotiating renewal terms with the local franchising authorities. Approximately 10% of our franchises, covering approximately 11% of our video customers, were expired as of December 31, 2008. On or about January 1, 2009, the Debtors converted a number of these expired franchises to statewide authorization and were no longer considered expired. Approximately 4% of additional franchises, covering approximately an additional 4% of our video customers, will expire on or before December 31, 2009, if not renewed prior to expiration.
          The traditional cable franchising regime is currently undergoing significant change as a result of various federal and state actions. Some of the new state franchising laws do not allow us to immediately opt into statewide franchising until (i) we have completed the term of the local franchise, in good standing, (ii) a competitor has entered the market, or (iii) in limited instances, where the local franchise allows the state franchise license to apply. In many cases, state franchising laws, and their varying application to us and new video providers, will result in less franchise imposed requirements for our competitors who are new entrants than for us until we are able to opt into the applicable state franchise.
          We cannot assure you that we will be able to comply with all significant provisions of our franchise agreements and certain of our franchisors have from time to time alleged that we have not complied with these agreements. Additionally, although historically we have renewed our franchises without incurring significant costs, we cannot assure you that we will be able to renew, or to renew as favorably, our franchises in the future. A termination of or a sustained failure to renew a franchise in one or more key markets could adversely affect our business in the affected geographic area.

87


 

Our cable system franchises are non-exclusive. Accordingly, local and state franchising authorities can grant additional franchises and create competition in market areas where none existed previously, resulting in overbuilds, which could adversely affect results of operations.
          Our cable system franchises are non-exclusive. Consequently, local and state franchising authorities can grant additional franchises to competitors in the same geographic area or operate their own cable systems. In some cases, local government entities and municipal utilities may legally compete with us without obtaining a franchise from the local franchising authority. In addition, certain telephone companies are seeking authority to operate in communities without first obtaining a local franchise. As a result, competing operators may build systems in areas in which we hold franchises.
          In a series of recent rulemakings, the FCC adopted new rules that streamline entry for new competitors (particularly those affiliated with telephone companies) and reduce franchising burdens for these new entrants. At the same time, a substantial number of states recently have adopted new franchising laws. Again, these new laws were principally designed to streamline entry for new competitors, and they often provide advantages for these new entrants that are not immediately available to existing operators. As a result of these new franchising laws and regulations, we have seen an increase in the number of competitive cable franchises or operating certificates being issued, and we anticipate that trend to continue.
Local franchise authorities have the ability to impose additional regulatory constraints on our business, which could further increase our expenses.
          In addition to the franchise agreement, cable authorities in some jurisdictions have adopted cable regulatory ordinances that further regulate the operation of cable systems. This additional regulation increases the cost of operating our business. We cannot assure you that the local franchising authorities will not impose new and more restrictive requirements. Local franchising authorities who are certified to regulate rates in the communities where they operate generally have the power to reduce rates and order refunds on the rates charged for basic service and equipment.
Further regulation of the cable industry could cause us to delay or cancel service or programming enhancements, or impair our ability to raise rates to cover our increasing costs, resulting in increased losses.
          Currently, rate regulation is strictly limited to the basic service tier and associated equipment and installation activities. However, the FCC and Congress continue to be concerned that cable rate increases are exceeding inflation. It is possible that either the FCC or Congress will further restrict the ability of cable system operators to implement rate increases. Should this occur, it would impede our ability to raise our rates. If we are unable to raise our rates in response to increasing costs, our losses would increase.
          There has been legislative and regulatory interest in requiring cable operators to offer historically bundled programming services on an á la carte basis, or to at least offer a separately available child-friendly “family tier.” It is possible that new marketing restrictions could be adopted in the future. Such restrictions could adversely affect our operations.
Actions by pole owners might subject us to significantly increased pole attachment costs.
          Pole attachments are cable wires that are attached to utility poles. Cable system attachments to public utility poles historically have been regulated at the federal or state level, generally resulting in favorable pole attachment rates for attachments used to provide cable service. The FCC previously determined that the lower cable rate was applicable to the mixed use of a pole attachment for the provision of both cable and Internet access services. However, in late 2007, the FCC issued an NPRM, in which it “tentatively concludes” that this approach should be modified. The change could affect the pole attachment rates we pay when we offer either data or voice services over our broadband facility. Any changes in the FCC approach could result in a substantial increase in our pole attachment costs.

88


 

Increasing regulation of our Internet service product adversely affect our ability to provide new products and services.
          There has been continued advocacy by certain Internet content providers and consumer groups for new federal laws or regulations to adopt so-called “net neutrality” principles limiting the ability of broadband network owners (like us) to manage and control their own networks. In August 2005, the FCC issued a nonbinding policy statement identifying four principles to guide its policymaking regarding high-speed Internet and related services. These principles provide that consumers are entitled to: (i) access lawful Internet content of their choice; (ii) run applications and services of their choice, subject to the needs of law enforcement; (iii) connect their choice of legal devices that do not harm the network; and (iv) enjoy competition among network providers, application and service providers, and content providers. In August 2008, the FCC issued an order concerning one Internet network management practice in use by another cable operator, effectively treating the four principles as rules and ordering a change in network management practices. Although that decision is on appeal, additional proposals for new legislation, and for more expansive conditions associated with the broadband provisions of the new American Recovery and Reinvestment Act, could impose additional obligations on high-speed Internet providers. Any such rules or statutes could limit our ability to manage our cable systems (including use for other services), obtain value for use of our cable systems and respond to competitive competitions.
Changes in channel carriage regulations could impose significant additional costs on us.
          Cable operators also face significant regulation of their channel carriage. We can be required to devote substantial capacity to the carriage of programming that we might not carry voluntarily, including certain local broadcast signals; local public, educational and government access (“PEG”) programming; and unaffiliated, commercial leased access programming (required channel capacity for use by persons unaffiliated with the cable operator who desire to distribute programming over a cable system). The FCC adopted a transition plan in 2007 addressing the cable industry’s broadcast carriage obligations once the broadcast industry migration from analog to digital transmission is completed, which is expected to occur in June 2009. Under the FCC’s transition plan, most cable systems will be required to offer both an analog and digital version of local broadcast signals for three years after the digital transition date. This burden could increase further if we are required to carry multiple programming streams included within a single digital broadcast transmission (multicast carriage) or if our broadcast carriage obligations are otherwise expanded. The FCC also adopted new commercial leased access rules which dramatically reduce the rate we can charge for leasing this capacity and dramatically increase our associated administrative burdens. These regulatory changes could disrupt existing programming commitments, interfere with our preferred use of limited channel capacity, and limit our ability to offer services that would maximize our revenue potential. It is possible that other legal restraints will be adopted limiting our discretion over programming decisions.
Offering voice communications service may subject us to additional regulatory burdens, causing us to incur additional costs.
          We offer voice communications services over our broadband network and continue to develop and deploy voice over Internet Protocol (“VoIP”) services. The FCC has declared that certain VoIP services are not subject to traditional state public utility regulation. The full extent of the FCC preemption of state and local regulation of VoIP services is not yet clear. Expanding our offering of these services may require us to obtain certain authorizations, including federal and state licenses. We may not be able to obtain such authorizations in a timely manner, or conditions could be imposed upon such licenses or authorizations that may not be favorable to us. The FCC has extended certain traditional telecommunications requirements, such as E911, Universal Service fund collection, CALEA, Customer Proprietary Network Information and telephone relay requirements to many VoIP providers such as us. Telecommunications companies generally are subject to other significant regulation which could also be extended to VoIP providers. If additional telecommunications regulations are applied to our VoIP service, it could cause us to incur additional costs.

89


 

Confirmation Of The Plan
The Confirmation Hearing
          Section 1128(a) of the Bankruptcy Code requires the Bankruptcy Court, after notice, to hold a hearing on confirmation of the Plan of Reorganization. Section 1128(b) of the Bankruptcy Code provides that any party in interest may object to confirmation of the Plan of Reorganization.
          The Bankruptcy Court has scheduled the confirmation hearing for July 20, 2009 at 10:00 a.m. (Eastern Time) before the Honorable James M. Peck, United States Bankruptcy Judge, in the United States Bankruptcy Court for the Southern District of New York, located at Alexander Hamilton Custom House, One Bowling Green, New York, New York, 10004. The confirmation hearing may be adjourned from time to time without further notice except for an announcement of the adjourned date made at the confirmation hearing or any adjournment thereof.
Deadline To Object To Confirmation
          Objections to the Bankruptcy Court’s Confirmation of the Plan must be filed and served at or before 4:00 p.m. Eastern Time on July 13, 2009 in accordance with the notice of the confirmation hearing that accompanies this Disclosure Statement. Unless objections to the Confirmation are timely served and filed, they may not be considered by the Bankruptcy Court.
Requirements For Confirmation Of The Plan
          Among the requirements for the Confirmation of the Plan are that the Plan (1) is accepted by all impaired classes of claims and equity interests, or if rejected by an impaired class, that the Plan “does not discriminate unfairly” and is “fair and equitable” as to such class, (2) is feasible, and (3) is in the “best interests” of holders of claims and equity interests that are impaired under the Plan.
          At the Confirmation Hearing, the Bankruptcy Court will determine whether the Plan satisfies the requirements of section 1129 of the Bankruptcy Code. The Debtors believe that: (1) the Plan satisfies or will satisfy all of the necessary statutory requirements of Chapter 11 of the Bankruptcy Code; (2) the Debtors have complied or will have complied with all of the necessary requirements of Chapter 11 of the Bankruptcy Code; and (3) the Plan has been proposed in good faith. Specifically, in addition to other applicable requirements, the Debtors believe that the Plan satisfies or will satisfy the applicable Confirmation requirements of section 1129 of the Bankruptcy Code set forth below:
    The Plan complies with the applicable provisions of the Bankruptcy Code.
 
    The Debtors, as the Plan proponents, have complied with the applicable provisions of the Bankruptcy Code.
 
    The Plan has been proposed in good faith and not by any means forbidden by law.
 
    Any payment made or promised under the Plan for services or for costs and expenses in, or in connection with, the Chapter 11 Cases, or in connection with the Plan and incident to the case, has been disclosed to the Bankruptcy Court, and any such payment: (1) made before the Confirmation of the Plan is reasonable; or (2) subject to the approval of the Bankruptcy Court as reasonable, if it is to be fixed after Confirmation of the Plan.
 
    Either each Holder of an impaired Claim has accepted the Plan, or will receive or retain under the Plan on account of such Claim, property of a value, as of the Effective Date of the Plan, that is not less than the amount that such Holder would receive or retain if the Debtors were liquidated on that date under Chapter 7 of the Bankruptcy Code, including pursuant to section 1129(b) of the Bankruptcy Code for Equity Interests deemed to reject the Plan.
 
    Each Class of Claims that is entitled to vote on the Plan will have accepted the Plan, or the Plan can be confirmed without the approval of such Class pursuant to section 1129(b) of the Bankruptcy Code.

90


 

    Except to the extent that the Holder of a particular Claim will agree to a different treatment of its Claim, the Plan provides that Administrative Claims and Priority Tax Claims will be paid in full on the Effective Date, or as soon thereafter as is reasonably practicable.
 
    At least one Class of impaired Claims will have accepted the Plan, determined without including any acceptance of the Plan by any insider holding a Claim in that Class.
 
    Confirmation of the Plan is not likely to be followed by the liquidation or the need for further financial reorganization of the Debtors or any successors thereto under the Plan.
 
    All fees of the type described in 28 U.S.C. § 1930, including the fees of the United States Trustee, will be paid as of the Effective Date.
          Best Interests of Creditors/Liquidation Analysis
          Often called the “best interests” test, section 1129(a)(7) of the Bankruptcy Code requires that a bankruptcy court find, as a condition to confirmation, that a Chapter 11 plan provides, with respect to each class, that each holder of a claim or an equity interest in such class either (a) has accepted the plan or (b) will receive or retain under the plan property of a value, as of the effective date of the plan, that is not less than the amount that such holder would receive or retain if the debtors liquidated under Chapter 7 of the Bankruptcy Code. To make these findings, the bankruptcy court must: (a) estimate the cash liquidation proceeds that a Chapter 7 trustee would generate if each of the debtor’s Chapter 11 cases were converted to a Chapter 7 case and the assets of such debtor’s estate were liquidated; (b) determine the liquidation distribution that each non-accepting holder of a claim or an equity interest would receive from such liquidation proceeds under the priority scheme dictated in Chapter 7; and (c) compare such holder’s liquidation distribution to the distribution under the plan that such holder would receive if the plan were confirmed and consummated.
          To estimate what members of each impaired class of claims would receive if the Debtors were liquidated under Chapter 7 of the Bankruptcy Code, the Bankruptcy Court must first determine the aggregate dollar amount that would be available if each of the Chapter 11 Cases were converted to a Chapter 7 case under the Bankruptcy Code and each of the respective Debtor’s assets were liquidated by a Chapter 7 trustee (the “Liquidation Value”). The Liquidation Value of a Debtor would consist of the net proceeds from the disposition of the assets of the Debtor, augmented by any cash held by the Debtor.
          The Liquidation Value available to holders of general unsecured claims or equity interests would be reduced by, among other things: (a) the claims of secured creditors to the extent of the value of their collateral; (b) the costs, fees and expenses of the liquidation, as well as other administrative expenses of the Debtors’ Chapter 7 cases; (c) unpaid administrative expense claims of the Chapter 11 Cases; and (d) priority claims and priority tax claims. The Debtors’ costs of liquidation in Chapter 7 cases would include the compensation of a Chapter 7 trustee, as well as of counsel and other professionals retained by such trustee, asset disposition expenses, applicable taxes, litigation costs, claims arising from the operation of the Debtors during the Chapter 7 cases, and all unpaid administrative expense claims incurred by the Debtors during the Chapter 11 Cases that are allowed in the Chapter 7 cases. The liquidation itself would trigger certain priority claims, such as claims for severance pay, and would likely accelerate the payment of other priority claims and priority tax claims that would otherwise be payable in the ordinary course of business. These priority claims and priority tax claims would be paid in full out of the net liquidation proceeds, after payment of secured claims, before the balance would be made available to pay other claims or to make any distribution in respect of equity interests.
          Based on the Liquidation Analyses set forth in Exhibit E of this Disclosure Statement, the Debtors believe that holders of Claims will receive equal or greater value as of the Effective Date under the Plan than such Holders would receive in a Chapter 7 liquidation. Moreover, in an actual liquidation of the Debtors, distributions to holders of Claims would be made substantially later than the Effective Date designated in the Plan. This delay would materially reduce the amount determined on a present value basis available for distribution to Holders of General Unsecured Claims. The hypothetical Chapter 7 liquidations of the Debtors, for purposes of determination of the Debtors’ Liquidation Value, are assumed to commence on September 30, 2009.

91


 

          In summary, the Debtors and their management believe that Chapter 7 liquidations of the Debtors would result in substantial diminution in the value to be realized by Holders of General Unsecured Claims entitled to distribution, as compared to the distributions contemplated under the Plan, because of, among other factors:
    the increased cost and expenses of liquidation under Chapter 7 arising from fees payable to the Chapter 7 trustee and the attorneys and other professional advisors to such trustee;
 
    additional expenses and claims, some of which would be entitled to priority and which would be generated during the liquidation and from the rejection of unexpired leases and executory contracts in connection with the cessation of the Debtors’ operations;
 
    the erosion of the value of the Debtors’ assets in the context of an expedited liquidation required under Chapter 7 and the “forced sale” atmosphere that would prevail;
 
    the adverse effects on the salability of portions of the business resulting from the possible departure of key employees and the attendant loss of customers and vendors;
 
    the cost and expense attributable to the time value of money resulting from a potentially more protracted Chapter 7 proceeding than the estimated length of the Chapter 11 Cases; and
 
    the application of the rule of absolute priority under the Bankruptcy Code to distributions made in a Chapter 7 liquidation.
Consequently, the Debtors and their management believe that confirmation of the Plan will provide a substantially greater return to holders of claims than would Chapter 7 liquidations.
          If the Plan is not confirmed and the Debtors fail to propose and confirm an alternative plan of reorganization, they may be liquidated pursuant to the provisions of a Chapter 11 liquidating plan. In liquidations under Chapter 11, the Debtors’ assets could be sold in an orderly fashion over a more extended period of time than in liquidations under Chapter 7. Thus, a Chapter 11 liquidation might result in larger recoveries than in a Chapter 7 liquidation, but the delay in distributions could result in lower present values received and higher administrative costs. Because a trustee’s appointment is not required in a Chapter 11 case, expenses for professional fees could be lower than in a Chapter 7 case, in which a Chapter 7 trustee must be appointed. Any distribution to holders of claims under a Chapter 11 liquidation plan probably would be delayed substantially. Most importantly, the Debtors believe that any distributions to creditors in a liquidation scenario would fail to capture the significant “going concern” value of their business, which is reflected in the New Common Stock to be distributed under the Plan. Accordingly, the Debtors believe that Chapter 11 liquidation would not result in distributions as favorable as those under the Plan.
          Feasibility
          Section 1129(a)(11) of the Bankruptcy Code requires that confirmation of the plan of reorganization is not likely to be followed by the liquidation, or the need for further financial reorganization of the debtors, or any successor to the debtors (unless such liquidation or reorganization is proposed in the plan of reorganization).
          To determine whether the Plan meets this feasibility requirement, the Debtors have analyzed their ability to meet their respective obligations under the Plan. As part of this analysis, the Debtors have prepared the Projections, as set forth on Exhibit C. Based upon the Projections, the Debtors believe that the Debtors will be a viable operation following the Chapter 11 Cases, and that the Plan will meet the feasibility requirements of the Bankruptcy Code.
          Acceptance by Impaired Classes
          The Bankruptcy Code requires, as a condition to confirmation, that, except as described in the following section, each class of claims or equity interests that is impaired under a plan, accept the plan. A class that is not “impaired” under a plan is deemed to have accepted the plan and, therefore, solicitation of acceptances with respect to such class is not required. A class is “impaired” unless the plan: (a) leaves unaltered the legal, equitable and contractual rights to which the claim or the equity interest entitles the holder of such claim or equity interest; or

92


 

(b) cures any default, reinstates the original terms of such obligation, compensates the holder for certain damages or losses, as applicable, and does not otherwise alter the legal, equitable or contractual rights to which such claim or equity interest entitles the holder of such claim or equity interest.
          Section 1126(c) of the Bankruptcy Code defines acceptance of a plan by a class of impaired claims as acceptance by holders of at least two-thirds in dollar amount and more than one-half in number of allowed claims in that class, counting only those claims that actually voted to accept or to reject the plan. Thus, a class of claims will have voted to accept the plan only if two-thirds in amount and a majority in number actually voting cast their ballots in favor of acceptance. For a class of impaired equity interests to accept a plan, section 1126(d) of the Bankruptcy Code requires acceptance by equity interest holders that hold at least two-thirds in amount of the allowed equity interests of such class, counting only those equity interests that actually voted to accept or reject the plan. Thus, a class of equity interests will have voted to accept the plan only if two-thirds in amount actually voting cast their ballots in favor of acceptance.
          Confirmation Without Acceptance by All Impaired Classes
          Section 1129(b) of the Bankruptcy Code allows a bankruptcy court to confirm a plan even if all impaired classes have not accepted it, provided that the plan has been accepted by at least one impaired class. Pursuant to section 1129(b) of the Bankruptcy Code, notwithstanding an impaired class’s rejection or deemed rejection of the plan, such plan will be confirmed, at the plan proponent’s request, in a procedure commonly known as “cramdown,” so long as the plan does not “discriminate unfairly” and is “fair and equitable” with respect to each class of claims or equity interests that is impaired under, and has not accepted, the plan.
          No Unfair Discrimination
          This test applies to classes of claims or equity interests that are of equal priority and are receiving different treatment under the Plan. The test does not require that the treatment be the same or equivalent, but that such treatment be “fair.” In general, bankruptcy courts consider whether a plan discriminates unfairly in its treatment of classes of claims of equal rank (e.g., classes of the same legal character). Bankruptcy courts will take into account a number of factors in determining whether a plan discriminates unfairly, and, accordingly, a plan could treat two classes of unsecured creditors differently without unfairly discriminating against either class.
          Fair and Equitable Test
          This test applies to classes of different priority and status (e.g., secured versus unsecured) and includes the general requirement that no class of claims receive more than 100% of the amount of the allowed claims in such class. As to the dissenting class, the test sets different standards depending upon the type of claims or equity interests in such class.
               Secured Claims: The condition that a plan be “fair and equitable” to a non-accepting class of secured claims includes the requirements that: (1) the holders of such secured claims retain the liens securing such claims to the extent of the allowed amount of the claims, whether the property subject to the liens is retained by the debtor or transferred to another entity under the plan; and (2) each holder of a secured claim in the class receives deferred cash payments totaling at least the allowed amount of such claim with a value, as of the effective date of the plan, at least equivalent to the value of the secured claimant’s interest in the debtor’s property subject to the liens.
               Unsecured Claims: The condition that a plan be “fair and equitable” to a non-accepting class of unsecured claims includes the requirement that either: (1) the plan provides that each holder of a claim of such class receive or retain on account of such claim property of a value, as of the effective date of the plan, equal to the allowed amount of such claim; or (2) the holder of any claim or any equity interest that is junior to the claims of such class will not receive or retain under the plan on account of such junior claim or junior equity interest any property, subject to the applicability of the “new value” exception.
               Equity Interests: The condition that a plan be “fair and equitable” to a non-accepting class of equity interests includes the requirements that either: (1) the plan provides that each holder of an equity interest in that class receives or retains under the plan on account of that equity interest property of a value, as of the effective

93


 

date of the plan, equal to the greater of: (a) the allowed amount of any fixed liquidation preference to which such holder is entitled; (b) any fixed redemption price to which such holder is entitled; or (c) the value of such interest; or (2) if the class does not receive the amount as required under (1) hereof, no class of equity interests junior to the non-accepting class may receive a distribution under the plan.
          If any Impaired Class rejects the Plan, the Debtors reserve the right to seek to confirm the Plan utilizing the “cramdown” provision of section 1129(b) of the Bankruptcy Code. To the extent that any Impaired Class rejects the Plan or is deemed to have rejected the Plan, the Debtors will request confirmation of the Plan, as it may be modified from time to time, under section 1129(b) of the Bankruptcy Code. The Debtors reserve the right to alter, amend, modify, revoke or withdraw the Plan or any Plan Exhibit or Schedule, including to amend or modify it to satisfy the requirements of section 1129(b) of the Bankruptcy Code.
          The Debtors submit that if the Debtors “cram down” the Plan pursuant to section 1129(b) of the Bankruptcy Code, the Plan is structured such that it does not “discriminate unfairly” and satisfies the “fair and equitable” requirement. With respect to the unfair discrimination requirement, all Classes under the Plan are provided treatment that is substantially equivalent to the treatment that is provided to other Classes that have equal rank. The Debtors believe that the Plan and the treatment of all Classes of Claims and Equity Interests under the Plan satisfy the foregoing requirements for nonconsensual confirmation of the Plan.
          New Value
          A corollary to the “fair and equitable” test, the new value doctrine, permits old equity holders to keep their ownership interests even though senior dissenting creditors do not receive payment in full of their claims provided that the old equity holders make a new contribution (a) in money or money’s worth, (b) that is reasonably equivalent to the value of the new equity interests being received in the reorganized debtor, and (c) that is necessary for implementation of a feasible plan of reorganization. Pursuant to the Plan, certain of the Debtors, as old equity holders, will receive Interests in certain Reorganized Debtors on account of a contribution of new value consideration. See “Treatment of Claims Against and Interests in the Debtors,” which begins on page 32 for a discussion of Classes receiving New Value Interests. The Debtors believe that the consideration received on account of such Interests is reasonably equivalent to the value of such Interests and that such new value contribution is necessary for the implementation of the Plan.
          Valuation Of the Debtors
          In conjunction with formulating the Plan, the Debtors determined that it was necessary to estimate the post-confirmation going concern value of the Debtors. Accordingly, such valuation is set forth in Exhibit D attached hereto.
Effect Of Confirmation Of The Plan
Preservation of Avoidance Actions
          On and after the effective date, actions, including preference actions, fraudulent transfer and conveyance actions, rights of setoff and other Claims or causes of action under sections 510, 544, 547, 548, 549, 550 and/or 553 of the Bankruptcy Code and other applicable bankruptcy or non-bankruptcy law (collectively, the “Avoidance Actions”) will be preserved and retained by the Debtors. The Debtors may offset any claim supporting an Avoidance Action against any payment due to any Holder of a claim under the Plan. In addition, if a distribution is made in error, the Debtors can bring an action pursuant to section 502(d) of the Bankruptcy Code to recoup such distribution. In the event that the Plan, as proposed, is consummated, Avoidance Actions that may potentially be brought might be waived; provided, however that such waiver is not effective if the Plan is not effectuated.
Retention of Jurisdiction by the Bankruptcy Court
          Notwithstanding the entry of the Confirmation Order and the occurrence of the Effective Date, the Bankruptcy Court will retain exclusive jurisdiction over all matters arising out of, or related to, the Chapter 11 Cases and the Plan pursuant to sections 105(a) and 1142 of the Bankruptcy Code, including jurisdiction to:

94


 

    Allow, disallow, determine, liquidate, classify, estimate, or establish the priority, secured or unsecured status, or amount of any Claim or Interest, including the resolution of any request for payment of any Administrative Claim and the resolution of any and all objections to the secured or unsecured status, priority, amount, or allowance of Claims or Interests;
 
    Decide and resolve all matters related to the granting and denying, in whole or in part, any applications for allowance of compensation or reimbursement of expenses to Professionals authorized pursuant to the Bankruptcy Code or the Plan;
 
    Resolve any matters related to: (a) the assumption, assumption and assignment, or rejection of any executory contract or unexpired lease to which a Debtor is party or with respect to which a Debtor may be liable and to hear, determine, and, if necessary, liquidate, any Cure or Claims arising therefrom, including Cure or Claims pursuant to section 365 of the Bankruptcy Code; (b) any potential contractual obligation under any executory contract or unexpired lease that is assumed; and (c) any dispute regarding whether a contract or lease is or was executory or expired;
 
    Ensure that distributions to Holders of Allowed Claims and Interests are accomplished pursuant to the provisions of the Plan;
 
    Adjudicate, decide, or resolve any motions, adversary proceedings, contested or litigated matters, and any other matters, and grant or deny any applications involving a Debtor that may be pending on the Effective Date;
 
    Adjudicate, decide, or resolve any and all matters related to Causes of Action;
 
    Adjudicate, decide, or resolve any and all matters related to section 1141 of the Bankruptcy Code;
 
    Enter and implement such orders as may be necessary or appropriate to execute, implement, or consummate the provisions of the Plan and all contracts, instruments, releases, indentures, and other agreements or documents created in connection with the Plan or the Disclosure Statement;
 
    Enter and enforce any order for the sale of property pursuant to sections 363, 1123, or 1146(a) of the Bankruptcy Code;
 
    Resolve any cases, controversies, suits, disputes, or Causes of Action that may arise in connection with the Consummation, interpretation, or enforcement of the Plan or any Entity’s obligations incurred in connection with the Plan;
 
    Issue injunctions, enter and implement other orders, or take such other actions as may be necessary or appropriate to restrain interference by any Entity with Consummation or enforcement of the Plan;
 
    Resolve any cases, controversies, suits, disputes, or Causes of Action with respect to the releases, injunctions, and other provisions contained in the Plan and Confirmation Order and enter such orders as may be necessary or appropriate to implement such releases, injunctions, and other provisions;
 
    Resolve any cases, controversies, suits, disputes, or Causes of Action with respect to the repayment or return of distributions and the recovery of additional amounts owed by the Holder of a Claim or Interest for amounts not timely repaid pursuant to the Plan;
 
    Enter and implement such orders as are necessary or appropriate if the Confirmation Order is for any reason modified, stayed, reversed, revoked, or vacated;
 
    Determine any other matters that may arise in connection with or relate to the Plan, the Disclosure Statement, the Confirmation Order, or any contract, instrument, release, indenture, or other agreement or document created in connection with the Plan or the Disclosure Statement;
 
    Enter an order or Final Decree concluding or closing the Chapter 11 Cases;

95


 

    Adjudicate any and all disputes arising from or relating to distributions under the Plan;
 
    Consider any modifications of the Plan, to cure any defect or omission, or to reconcile any inconsistency in any Bankruptcy Court order, including the Confirmation Order;
 
    Determine requests for the payment of Claims and Interests entitled to priority pursuant to section 507 of the Bankruptcy Code;
 
    Hear and determine disputes arising in connection with the interpretation, implementation, or enforcement of the Plan, or the Confirmation Order, including disputes arising under agreements, documents, or instruments executed in connection with the Plan;
 
    Hear and determine matters concerning state, local, and U.S. federal taxes in accordance with sections 346, 505, and 1146 of the Bankruptcy Code;
 
    Hear and determine all disputes involving the existence, nature, or scope of the Debtors’ discharge, including any dispute relating to any liability arising out of the termination of employment or the termination of any employee or retiree benefit program, regardless of whether such termination occurred prior to or after the Effective Date;
 
    Enforce all orders previously entered by the Bankruptcy Court; and
 
    Hear any other matter not inconsistent with the Bankruptcy Code.
Term of Bankruptcy Injunction or Stays
          Injunction
          From and after the Effective Date, all entities are permanently enjoined from commencing or continuing in any manner, any cause of action released or to be released pursuant to the Plan or the Confirmation Order.
          Releases
               (A) Releases By the Debtors
          On the Effective Date and effective as of the Effective Date, for the good and valuable consideration provided by each of the Debtor Releasees (as defined below), including: (1) the discharge of debt and all other good and valuable consideration paid pursuant to the Plan; (2) the obligations of the Holders of Claims party to Plan Support Agreements to provide the support necessary for the Effective Date of the Plan; and (3) the services of the Debtors’ present and former officers and directors in facilitating the expeditious implementation of the restructuring contemplated by the Plan, each of the Debtors will provide a full discharge and release to each Releasing Party, including each other Debtor, and each of their respective members, officers, directors, agents, financial advisors, attorneys, employees, partners, affiliates and representatives (collectively, the “Debtor Releasees” (and each such Debtor Releasee so released will be deemed released and discharged by the Debtors)) and their respective properties from any and all Causes of Action, whether known or unknown, whether for tort, fraud, contract, violations of federal or state securities laws, or otherwise, arising from or related in any way to the Debtors, including those that any of the Debtors or Reorganized Debtors would have been legally entitled to assert against a Debtor Releasee in their own right (whether individually or collectively) or that any Holder of a Claim or Interest or other entity, would have been legally entitled to assert on behalf of any of the Debtors or any of their Estates, including those in any way related to the Chapter 11 Cases or the Plan to the fullest extent of the law; provided, however, that the foregoing “Debtor Release” will not operate to waive or release any person or Entity other than a Releasing Party from any causes of action expressly set forth in and preserved by the Plan. Notwithstanding anything in the Plan to the contrary, the Debtors or the Reorganized Debtors will not release any Causes of Action that they may have now or in the future against the Non-Released Parties.

96


 

               (B) Releases By the Holders
          On the Effective Date and effective as of the Effective Date, the Holders of Claims and Interests will be deemed to provide a full discharge and release to the Debtor Releasees and their respective property from any and all Causes of Action, whether known or unknown, whether for tort, contract, violations of federal or state securities laws, or otherwise, arising from or related in any way to the Debtors, including those in any way related to the Chapter 11 Cases or the Plan; provided, further, that the foregoing “Third Party Release” will not operate to waive or release any person or Entity (other than a Debtor Releasee) from any Causes of Action expressly set forth in and preserved by the Plan, the Plan Supplement or related documents, and provided further that the foregoing “Third Party Release” shall not impair the rights (a) to which an Allowed Unimpaired Claim entitles the Holder of such Allowed Unimpaired Claim or (b) of a Holder of a General Unsecured Claim as to any General Unsecured Claim.
          The foregoing Third Party Release is justified as an integral part of the Debtors’ overall restructuring efforts. Specifically, the Debtor Releasees and non-Debtor Releasees have all made substantial contributions to the Debtors’ estates; indeed, without such contributions the Debtors could not have proposed a confirmable Plan. Put simply, the Debtors’ proposed Plan represents demonstrably unique circumstances.
          As an initial matter, the Debtors’ employees, directors, officers, and advisors have all performed vital roles in the Debtors’ negotiation of the largest prearranged Plan in history. And at least equally importantly, as noted above, the released parties include certain non-Debtor Holders of Claims party to Plan Support Agreements to supply critical financing for the Debtors’ successful exit from chapter 11.
          The non-Debtor Releasees also include Paul G. Allen, Charter’s primary prepetition shareholder, who has likewise executed a Plan Support Agreement and is making a substantial contribution to the Debtors’ estates. In exchange for a settlement in full of all claims Mr. Allen and his related entities may hold against the Debtors, Mr. Allen has agreed to numerous restructuring obligations without which the Debtors could not reinstate certain debt — the linchpin of the success of the Debtors’ proposed Plan — or take advantage of significant tax attributes that constitute extremely valuable assets of the Debtors’ estates.
          These non-Debtor Releasees would not have agreed to make their respective substantial financing contributions in the absence of the proposed releases.
          The Office of the United States Trustee has raised concerns regarding the scope of the Releases by Holders and their applicability to certain non-consenting Holders. Absent a resolution of this matter, the Debtors anticipate that the Court will decide any dispute on this matter at the hearing to confirm the Plan.
          Notwithstanding anything in the Plan to the contrary, the Releasing Parties will not release any Causes of Action that they, the Debtors or the Reorganized Debtors may have now or in the future against the Non-Released Parties. Entry of the Confirmation Order will constitute the Bankruptcy Court’s approval, pursuant to Bankruptcy Rule 9019, of the Third Party Release, and further, will constitute its finding that the Third Party Release is: (1) in exchange for the good and valuable consideration provided by the Debtor Releasees, a good faith settlement and compromise of the claims released by the Third Party Release; (2) in the best interests of the Debtors and all Holders of Claims; (3) fair, equitable and reasonable; (4) given and made after due notice and opportunity for hearing; and (5) a bar to any of the Holders of Claims and Interests asserting any claim released by the Third Party Release against any of the Debtor Releasees.
          Nothing in the Confirmation Order or the Plan shall affect a release of any claim by the United States Government or any of its agencies or any state and local authority whatsoever, including any claim arising under the Internal Revenue Code, federal securities laws, the environmental laws or any criminal laws of the United States or any state and local authority against the Released Parties, nor shall anything in the Confirmation Order or the Plan enjoin the United States Government or any of its agencies or any state or local authority from bringing any claim, suit, action or other proceedings against the Released Parties for any liability whatever, including without limitation any claim, suit or action arising under the Internal Revenue Code, federal securities laws, the environmental laws or any criminal laws of the United States Government or any of its agencies or any state or local authority, nor shall anything in the Confirmation Order or the Plan exculpate any party from any liability to the United States Government or any of its

97


 

agencies or any state and local authority whatsoever, including any liabilities arising under the Internal Revenue Code, federal securities laws, the environmental laws or any criminal laws of the United States Government or any of its agencies or any state and local authority against the Released Parties. This paragraph, however, shall in no way affect or limit the discharge granted to the Debtors under sections 524 and 1141 of the Bankruptcy Code.
               (C) Exculpation
          The Debtors, each party who signed a Plan Support Agreement, and the Creditors’ Committee, and each of their respective members, officers, directors, agents, financial advisors, attorneys, employees, partners, Affiliates and representatives (each an “Exculpated Party”) will neither have, nor incur any liability to any Entity for any Pre-Petition or Post-Petition act taken or omitted to be taken in connection with, or related to formulating, negotiating, preparing, disseminating, implementing, administering, confirming or effecting the Effective Date of the Plan, the Disclosure Statement or any contract, instrument, release or other agreement or document created or entered into in connection with the Plan or any other Pre-Petition or Post-Petition act taken or omitted to be taken in connection with or in contemplation of the restructuring of the Company; provided, that the foregoing provisions of this exculpation will have no effect on the liability of any entity that results from any such act or omission that is determined in a final order to have constituted gross negligence or willful misconduct; provided, further, that each Exculpated Party will be entitled to rely upon the advice of counsel concerning his, her or its duties pursuant to, or in connection with, the Plan; provided still further, that the foregoing “Exculpation” will not apply to any acts or omissions expressly set forth in and preserved by the Plan, the Plan Supplement or related documents, except for acts or omissions of Releasing Parties.
Important Securities Law Disclosure
          Securities Issued in Reliance on Section 1145 of the Bankruptcy Code and Pursuant to Exemptions under the Securities Act of 1933, as Amended
          The following securities are being issued under Section 1145 of the Bankruptcy Code:
    Warrants (including New Class A Stock underlying such warrants) issued to Holders of CCH Notes Claims and CIH Notes Claims;
 
    New Class A Stock issued to holders of CCH I Notes Claims (other than New Class A Stock issued to Eligible CCH I Notes Claim Holders pursuant to the Rights Offering);
 
    New CCH II Notes issued (other than the New CCH II Notes issued to the Rollover Committed Parties and New CCH II Note Commitment Parties); and
 
    The New Preferred Stock (and New Common Stock issuable upon redemption thereof).
 
      As described in detail below, such securities will be “freely tradeable.”
          Section 1145(a)(1) of the Bankruptcy Code exempts the offer and sale of securities under a plan of reorganization from registration under Section 5 of the Securities Act and state laws when such securities are to be exchanged for Claims or principally in exchange for Claims and partly for cash. In general, securities issued under section 1145 may be resold without registration unless the recipient is an “underwriter” with respect to those securities. Section 1145(b)(1) of the Bankruptcy Code defines an “underwriter” as any person who:
    purchases a claim against, an interest in, or a claim for an administrative expense against the debtor, if that purchase is with a view to distributing any security received in exchange for such a claim or interest;
 
    offers to sell securities offered under a plan of reorganization for the holders of those securities;
 
    offers to buy those securities from the holders of the securities, if the offer to buy is (i) with a view to distributing those securities; and (ii) under an agreement made in connection with the plan of

98


 

      reorganization, the completion of the plan of reorganization, or with the offer or sale of securities under the plan of reorganization; or
 
    is an issuer with respect to the securities, as the term “issuer” is defined in Section 2(a)(11) of the Securities Act.
          To the extent that persons who receive New Common Stock or New CCH II Notes are deemed to be “underwriters,” resales by those persons would not be exempted from registration under the Securities Act or other applicable law by section 1145 of the Bankruptcy Code. Those persons would, however, be permitted to sell New Common Stock or other securities without registration if they are able to comply with the provisions of Rule 144 under the Securities Act, as described further below.
          You should confer with your own legal advisors to help determine whether or not you are an “underwriter.”
          The following securities are being issued under Section 4(2) of Securities Act:
    All New Class B Stock;
 
    All New Class A Stock issued to Eligible CCH I Notes Claim Holders pursuant to the Rights Offering;
 
    All of the New CCH II Notes issued to the Rollover Commitment Parties and New CCH II Note Commitment Parties; and
 
    All Warrants and New Class A Stock underlying such Warrants that are issued to Mr. Allen (or his designees).
          These securities will be “restricted securities” and cannot be sold absent registration under the Securities Act or pursuant to an exemption therefrom. Upon emergence, the Debtors will enter into registration rights agreements with respect to such “restricted securities” pursuant to which the Debtors will use their commercially reasonable efforts to (i) register all of the New Class A Stock that constitute “restricted securities” under the Securities Act; and (ii) register all of the CCH II Notes that constitute “restricted securities,” in each case in accordance with the registration rights agreements that the Debtors will enter into.
Voting Instructions
          This Disclosure Statement, accompanied by a ballot or ballots to be used for voting on the Plan, is being distributed to the Holders of Claims in Classes A-3, A-4, B-3, B-4, C-3, C-4, D-3, E-3, E-4, F-3, F-4, G-3, G-4, H-3, H-4, I-5, J-2 and J-6. Only the Holders of Claims in these Classes are entitled to vote to accept or reject the Plan and may do so by completing the ballot and returning it in the envelope provided.
          The Debtors, with the approval of the Bankruptcy Court, have engaged Financial Balloting Group, LLC to serve as the Securities Voting Agent for Claims in respect of debt securities and Kurtzman Carson Consultants LLC to serve as the Claims Voting Agent with respect to any other Claims, to assist in the solicitation process. The Claims Voting Agent and the Securities Voting Agent will, among other things, answer questions, provide additional copies of all solicitation materials, and generally oversee the solicitation process for their assigned Claims. The Claims Voting Agent and the Securities Voting Agent will also process and tabulate ballots for each of their respective Classes that are entitled to vote to accept or reject the Plan and will file a voting report as soon as practicable before the Confirmation Hearing.
          The deadline to vote on the Plan is 5:00 p.m., E.T., on June 15, 2009.

BALLOTS
Ballots and master ballots must be actually
received by the Claims Voting Agent or Securities
Voting Agent, as applicable, by the Voting
Deadline by using the envelope provided, or by

99


 

first class mail, overnight courier or personal
delivery to:
For the Claims Voting Agent:
Charter Balloting Center
c/o Kurtzman Carson Consultants LLC
2335 Alaska Avenue
El Segundo, CA 90245
For the Securities Voting Agent:
Charter Balloting Center
c/o Financial Balloting Group, LLC
757 Third Avenue — Third Floor
New York, New York 10017
Attn: Ballot Processing Center
If you received an envelope addressed to your
Nominee, please allow enough time when you
return your ballot for your Nominee to cast your
vote on a master ballot before the Voting
Deadline.
If you have any questions on the procedure for
voting on the Plan, please call:
the Claims Voting Agent at the following
telephone number:
(866)-967-0266
or the Securities Voting Agent at the following
telephone number:
(646)-282-1800
as applicable.
          MORE DETAILED INSTRUCTIONS REGARDING HOW TO VOTE ON THE PLAN ARE CONTAINED ON THE BALLOTS DISTRIBUTED TO HOLDERS OF CLAIMS AND INTERESTS THAT ARE ENTITLED TO VOTE ON THE PLAN. FOR YOUR VOTE TO BE COUNTED, YOUR BALLOT MUST BE COMPLETED, SIGNED AND RECEIVED BY 5:00 P.M. (EASTERN TIME), ON JUNE 15, 2009.
          ANY BALLOT THAT IS PROPERLY EXECUTED BY THE HOLDER OF A CLAIM OR INTEREST, BUT WHICH DOES NOT CLEARLY INDICATE AN ACCEPTANCE OR REJECTION OF THE PLAN OR WHICH INDICATES BOTH AN ACCEPTANCE AND A REJECTION OF THE PLAN, SHALL NOT BE COUNTED.
          EACH HOLDER OF A CLAIM AND/OR INTERESTS MAY CAST ONLY ONE BALLOT PER EACH SUCH CLAIM OR INTEREST HELD. BY SIGNING AND RETURNING A BALLOT, EACH HOLDER OF A CLAIM OR INTEREST IN CLASSES A-3, A-4, B-3, B-4, C-3, C-4, D-3, E-3, E-4, F-3, F-4, G-3, G-4, H-3, H-4, I-5, J-2 AND J-6 WILL CERTIFY TO THE BANKRUPTCY COURT AND THE DEBTORS THAT NO OTHER BALLOTS WITH RESPECT TO SUCH CLAIM AND/OR INTEREST HAVE BEEN CAST OR, IF ANY OTHER BALLOTS HAVE BEEN CAST WITH RESPECT TO SUCH CLASS OF CLAIMS AND/OR INTEREST, SUCH EARLIER BALLOTS ARE THEREBY SUPERSEDED AND REVOKED.

100


 

          ALL BALLOTS ARE ACCOMPANIED BY RETURN ENVELOPES. IT IS IMPORTANT TO FOLLOW THE SPECIFIC INSTRUCTIONS PROVIDED ON EACH BALLOT.
          FOR NOMINEES:
          With respect to Claims in Classes A-4, E-4, F-4, G-4, H-4, the Debtors will deliver ballots to Nominees.
          The Nominees should deliver the Ballot and other documents relating to the Plan, including this Disclosure Statement, to each Beneficial Owner (as defined in the Disclosure Statement Order) for which they serve as Nominee.
          The Nominee should forward the solicitation materials to each Beneficial Owner for voting and include a return envelope provided by and addressed to the Nominee so that the Beneficial Owner may return the completed Beneficial Owner Ballot to the Nominee. Upon receipt of the ballots, the Nominee will summarize the individual votes of its respective Beneficial Owners on the appropriate Master Ballot and then return the Master Ballot to the Securities Voting Agent before the Voting Deadline.
          If a Master Ballot is received after the Voting Deadline, the votes and elections on such Master Ballot will not be counted. A Master Ballot should be sent to the Securities Voting Agent by the envelope provided, or by First Class Mail, Overnight Courier or Personal Delivery. In all cases, sufficient time should be allowed to assure timely delivery. No Ballot should be sent to the Debtors, the Debtors’ financial or legal advisors, but only to the Securities Voting Agent as set forth above.
          Nominees must provide appropriate information for each of the items on the Master Ballot, including without limitation, identifying the votes to accept or reject the Plan.
          By returning a Master Ballot, each Nominee will be certifying to the Debtors and the Bankruptcy Court, among other things, that:
    it has received a copy of the Disclosure Statement and other solicitation materials annexed to the Disclosure Statement, and it has delivered the same to the Beneficial Owners such Nominee represents;
 
    it has received a completed and signed Ballot from each Beneficial Owner whose vote is reflected on such Master Ballot;
 
    it is a bank, broker or other nominee (or agent thereof) that holds the securities being voted on behalf of the Beneficial Owners identified on such Master Ballot;
 
    it has properly disclosed (a) the number of such Beneficial Owners, (b) the amount of securities owned by each such Beneficial Owner, (c) each Beneficial Owner’s respective vote, if any, concerning the Plan and (d) the customer account, serial number and/or identification number for each such Beneficial Owner;
 
    each such Beneficial Owner has certified to the Nominee that such Beneficial Owner has not submitted any other ballots for such Claims held in other accounts or other names, or, if it has submitted another Ballot held in other accounts or names, that the Beneficial Owner has certified to the Nominee that such Beneficial Owner has cast the same vote for such Claims, and the undersigned has identified such other accounts or Owner and such other ballots;
 
    it has been authorized by each such Beneficial Owner to vote on the Plan; and
 
    it will maintain the original Beneficial Owner Ballot returned by each Beneficial Owner (whether properly completed or defective) for one year after the Voting Deadline (or such other date as is set by subsequent Bankruptcy Court order) for disclosure to the Bankruptcy Court or the Debtor, if so ordered.
          Each Master Ballot must be returned in sufficient time to allow it to be RECEIVED by the Securities Voting Agent by no later than 5:00 p.m. (Eastern Time) on the date of the Voting Deadline.

101


 

Certain U.S. Federal Income Tax
Consequences Of The Plan
          The following is a summary of certain U.S. federal income tax consequences of the Plan to the Reorganized Company and Holders of Allowed Claims. This summary is based on the IRC, Treasury Regulations thereunder, and administrative and judicial interpretations and practice, all as in effect on the date of the Disclosure Statement and all of which are subject to change, with possible retroactive effect. Due to the lack of definitive judicial and administrative authority in a number of areas, substantial uncertainty may exist with respect to some of the tax consequences described below. No opinion of counsel has been obtained as to any of the tax consequences of the Plan discussed below. Although the Debtors intend to seek a private letter ruling from the IRS as to certain aspects of the Plan, the scope of the intended ruling is narrow and will not address most of the tax consequences of the Plan discussed below. There can be no assurance that the IRS will not challenge one or more of the tax consequences of the Plan described below.
          This summary does not apply to Holders of Allowed Claims that are not “United States persons” (as such term is defined in the IRC) or that are otherwise subject to special treatment under U.S. federal income tax law (including, for example, banks, governmental authorities or agencies, financial institutions, insurance companies, pass-through entities, tax-exempt organizations, brokers and dealers in securities, mutual funds, small business investment companies, and regulated investment companies). The following discussion assumes that Holders of Allowed Claims hold such Claims as “capital assets” within the meaning of section 1221 of the IRC. Moreover, this summary does not purport to cover all aspects of U.S. federal income taxation that may apply to the Debtors and Holders of Allowed Claims based upon their particular circumstances. Additionally, this summary does not discuss any tax consequences that may arise under any laws other than U.S. federal income tax law, including under state, local, or foreign tax law.
          The following summary is not a substitute for careful tax planning and advice based on the particular circumstances of each Holder of a Claim. Each Holder of a Claim is urged to consult his, her, or its tax advisors with respect to the U.S. federal income tax consequences, as well as other tax consequences, including under any applicable state, local, and foreign law, of the restructuring described in the Plan. This discussion does not address special consideration that may be applicable to Holders holding more than one class of Claims. Such Holders should consult their tax advisors with respect to their particular circumstances.
          IRS Circular 230 Disclosure: To ensure compliance with requirements imposed by the IRS, any tax advice contained in this Disclosure Statement is not intended or written to be used, and cannot be used, by any taxpayer for the purpose of avoiding tax-related penalties under the IRC. The tax advice contained in this Disclosure Statement was written to support the promotion or marketing of the transactions described in this Disclosure Statement. Each taxpayer should seek advice based on the taxpayer’s particular circumstances from an independent tax advisor.
Certain U.S. Federal Income Tax Consequences to Reorganized Company
          Cancellation of Debt and Reduction of Tax Attributes
          In general, absent an exception, a debtor will realize and recognize cancellation of debt income (“COD Income”) upon satisfaction of its outstanding indebtedness for total consideration less than the amount of such indebtedness. The amount of COD Income, in general, is the excess of (a) the adjusted issue price of the indebtedness satisfied over (b) the sum of (x) the amount of cash paid and (y) the fair market value of any new consideration (including stock of the debtor) given in satisfaction of such indebtedness at the time of the exchange.
          A debtor will not, however, be required to include any amount of COD Income in gross income if the debtor is under the jurisdiction of a court in a case under Chapter 11 of the Bankruptcy Code and the discharge of debt occurs pursuant to that proceeding. Instead, as a consequence of such exclusion, a debtor must reduce its tax attributes by the amount of COD Income that it excluded from gross income under section 108 of the IRC. In general, tax attributes will be reduced in the following order: (a) NOLs; (b) most tax credits and capital loss carryovers; (c) tax basis in assets; and (d) foreign tax credits. A debtor with COD Income may elect first to reduce the basis of its depreciable assets under section 108(b)(5) of the IRC.

102


 

          As a result of the Plan, the Debtors’ aggregate existing indebtedness will be substantially reduced and the Reorganized Company will therefore have COD Income, which will be excluded from gross income under the rules discussed above. Because the Plan provides that Holders of certain Allowed Claims will receive New Class A Stock, the amount of COD Income, and accordingly the amount of tax attributes required to be reduced, will depend on the fair market value of the New Class A Stock exchanged therefor. This value cannot be known with certainty until after the Effective Date. However, the Debtors expect that, subject to the limitations discussed herein, the Reorganized Company will continue to have significant NOL carryovers and certain other tax attributes remaining after emergence.
          A recently enacted amendment to the COD Income rules provides that taxpayers, including taxpayers operating under the jurisdiction of a court in a case under Chapter 11 of the Bankruptcy Code, that recognize COD Income in 2009 or 2010 may elect to forgo the COD Income exclusion and attribute reduction rules described above. Instead, the taxpayer may elect to take into taxable income the COD Income with respect to such debt in equal installments in 2014 through 2018 (i.e., the taxpayer would report 20% of the COD Income in each such year). This election to defer COD Income is made separately with respect to each debt instrument on which COD Income is realized, must be made on the taxpayer’s tax return for the year that includes the transaction that creates the COD Income, and, in the case of debt of a partnership, is made at the partnership level. The Debtors do not intend to elect to apply this new rule.
          Because of the unique organizational structure of the Debtors, most of the COD Income that will be generated from the Plan will occur at Holdco and its subsidiaries (which are generally disregarded entities for U.S. federal income tax purposes). This COD Income will be allocated to the two members of Holdco (CCI and CII) based on their respective percentage ownership interests in Holdco. The Debtors expect that this means that approximately 54% of the COD Income will be allocated to CCI and 46% to CII. This allocation formula is one of the principal tax reasons for retaining the Holdco structure, since the allocation of COD income to CII is expected to result in several billion dollars of NOL carryforwards being preserved at the CCI level. If Holdco were dissolved or liquidated before the Effective Date, all of the COD Income could potentially be allocated to CCI, thereby eliminating most of CCI’s NOL carryforwards. There is therefore a material tax benefit to the Debtors of preserving the existing Holdco structure. The Allen Entities have the right post-Effective Date to exchange their interest in Holdco for CCI, but the Allen Entities are under no obligation to do so and it is uncertain whether they will do so.
          Under the U.S. federal income tax rules dealing with COD Income, the tax treatment of that income will be determined with respect to each of CCI and CII at the member level. Because CCI is in bankruptcy, COD income allocated to CCI will not be included in income, but it will result in a reduction in CCI’s NOL carryforwards after the Effective Date. Because CCI is primarily just a holding company, the NOL carryforwards that will be preserved at CCI will generally be usable only to the extent that Holdco and the direct and indirect subsidiaries of Holdco have taxable income in the future; such NOL carryforwards would not have any future value to CCI if CCI were not to reorganize in a Chapter 11 proceeding,. And because of the “ownership change” limitations discussed below, it is generally the case that any NOL carryforwards at CCI could not be utilized by CCI if CCI were a standalone company without its ownership interest in Holdco and Holdco’s subsidiaries.
          Limitation of Net Operating Loss Carryforwards and Other Tax Attributes
          The precise amount of the NOL carryforwards and other tax attributes that will be available to the Reorganized Company at emergence is based on a number of factors and is impossible to calculate at this time. Some of the factors that will impact the amount and utilization of the NOLs include the following: (a) the amount of tax losses incurred by the Debtors through emergence; (b) the value of the New Class A Stock; (c) the amount of COD Income incurred by the Debtors in connection with the Effective Date; and (d) the allocation of COD Income between CII and CCI.
          Following the Effective Date, the Debtors anticipate that any remaining NOL and tax credit carryovers and, possibly, certain other tax attributes of the Reorganized Company allocable to periods prior to and including the Effective Date (collectively, “Pre-Change Losses”) will be subject to a limitation under section 382 of the IRC as a result of an “ownership change” of CCI by reason of the transactions pursuant to the Plan. Under section 382 of the IRC, if a corporation undergoes an “ownership change,” the amount of its Pre-Change Losses that may be utilized to offset future taxable income generally is subject to an annual limitation. As discussed more fully below, the Debtors anticipate that the issuance of the New Class A Stock pursuant to the Plan will result in an “ownership change” of

103


 

CCI for these purposes and that the Reorganized Company’s use of its NOL carryovers will be subject to limitation unless an exception to the general rules of section 382 of the IRC applies.
          General Section 382 Annual Limitation
          In general, the amount of the annual limitation to which a corporation that undergoes an “ownership change” would be subject is equal to the product of (i) the fair market value of the stock of the corporation immediately before the “ownership change” (with certain adjustments) and (ii) the “long-term tax-exempt rate” in effect for the month in which the “ownership change” occurs (4.61% for ownership changes occurring in May 2009). Any unused limitation may be carried forward, thereby increasing the annual limitation in the subsequent taxable year. Additionally, if the assets of a corporation experiencing an ownership change have a fair market value greater than their tax basis (a “net unrealized built-in gain”), the corporation is permitted to increase its annual section 382 limitation during the five years immediately after the “ownership change” by an amount equal to the depreciation deductions that a hypothetical purchaser of the corporation’s assets would have been permitted to claim if it had acquired the corporation’s assets in a taxable transaction. Additionally, Section 383 of the IRC applies a similar limitation to capital loss carryforwards and tax credits. The Debtors expect to request a private letter ruling from the IRS respecting the methodology by which the annual limitation after an ownership change should be calculated. Due to the Debtors’ organizational structure, the calculation of such limitation amount is unusually complex and thus the Debtors have determined it would be appropriate to seek an IRS ruling.
          Special Bankruptcy Exceptions
          An exception to the foregoing annual limitation rules generally applies when so-called “qualified creditors” and continuing shareholders of a debtor company in Chapter 11 receive, in respect of their claims, at least 50% of the vote and value of the stock of the reorganized debtor (or a controlling corporation if also in Chapter 11) pursuant to a confirmed Chapter 11 plan (the “382(l)(5) Exception”). Under the 382(l)(5) Exception, a debtor’s Pre-Change Losses are not limited on an annual basis but, instead, are required to be reduced by the amount of any interest deductions claimed during the three taxable years preceding the effective date of the plan of reorganization, and during the part of the taxable year prior to and including the effective date of the plan of reorganization, in respect of all debt converted into stock in the reorganization. If the 382(l)(5) Exception applies and a debtor undergoes another ownership change within two years the debtor’s Pre-Change Losses effectively would be eliminated in their entirety.
          Where the 382(l)(5) Exception is not applicable (either because the debtor does not qualify for it or the debtor elects not to utilize the 382(l)(5) Exception), a second special rule will generally apply (the “382(l)(6) Exception”). When the 382(l)(6) Exception applies, a debtor corporation that undergoes an “ownership change” generally is permitted to determine the fair market value of its stock after taking into account the increase in value resulting from any surrender or cancellation of creditors’ claims in the bankruptcy. This differs from the ordinary rule that requires the fair market value of a debtor corporation that undergoes an “ownership change” to be determined before the events giving rise to the change. The 382(l)(6) Exception also differs from the 382(l)(5) Exception in that (i) the debtor corporation is not required to reduce its NOLs by the amount of interest deductions claimed within the prior three-year period and (ii) the debtor may undergo another ownership change within two years without triggering the elimination of its NOLs. Whether a debtor takes advantage of the 382(l)(5) Exception or the 382(l)(6) Exception, the debtor’s use of the Pre-Change Losses may be adversely affected if the debtor were to undergo another ownership change.
          The Debtors believe that the CCI ownership change resulting from the Effective Date is unlikely to qualify for the 382(l)(5) Exception. Accordingly, the Debtors expect that the use of the Reorganized Company’s NOL carryforwards will be subject to limitation based on the rules discussed above, but taking into account the 382(l)(6) Exception. The exact amount of the benefits from the application of the 382(l)(6) Exception in these circumstances is not entirely clear, because the amount of such benefits will depend primarily on the value inherent in Holdco and its subsidiaries and the methodology by which such value is determined. Accordingly, the Debtors intend to request a private letter ruling from the IRS with respect to the application of the 382(l)(6) Exception to the ownership change arising from Effective Date. Further, while the Debtors’ analysis continues, they believe the Reorganized Company may have a net unrealized built-in gain on its assets, and, accordingly, its ability to utilize its Pre-Change Losses to offset its taxable income under section 382 of the IRC following the Effective Date may be significantly enhanced.

104


 

          Restrictions on Resale of Securities to Protect NOLs
          The Debtors expect the Reorganized Company to emerge from Chapter 11 with valuable tax attributes, including NOL carryforwards. As discussed above, the Reorganized Company’s ability to utilize these tax attributes could be subject to a greater limitation if another ownership change were to occur after emergence. To reduce the risk of an ownership change that might impose such a limitation, the Amended and Restated Certificate of Incorporation will include special provisions designed to permit the Board of Directors to impose certain restrictions on trading with respect to New Class A Stock. These special provisions are described above in “Important Aspects of the Plan — Other Provisions,” which begins on page 31.
          Alternative Minimum Tax
          In general, an alternative minimum tax (“AMT”) is imposed on a corporation’s alternative minimum taxable income (“AMTI”) each year at a 20% rate to the extent such tax exceeds the corporation’s regular federal income tax for such year. AMTI is generally equal to regular taxable income with certain adjustments. For purposes of computing AMTI, certain tax deductions and other beneficial allowances are modified or eliminated. For example, even though for regular tax purposes a corporation might otherwise be able to offset all of its taxable income by NOL carryovers from prior years, only 90% of a corporation’s AMTI may be offset by available alternative tax NOL carryforwards. This rule could cause certain Reorganized Debtors to owe federal and state income tax on taxable income in future years even though NOL carryforwards are available to offset regular taxable income.
          Additionally, if a corporation undergoes an “ownership change” within the meaning of section 382 of the IRC, the section 382 rules discussed above also apply to its NOL carryforwards for AMT purposes. Any AMT tax that a corporation pays is generally allowed as a nonrefundable credit against its regular U.S. federal income tax liability in future taxable years to the extent that the corporation is no longer subject to AMT.
Certain U.S. Federal Income Tax Consequences to the Holders of Allowed Claims
          For U.S. federal income tax purposes, nearly all of Holdco’s direct and indirect subsidiaries are treated as “disregarded” entities. As a result, holders of Allowed Claims against those direct and indirect subsidiaries are treated as though they held claims against Holdco for U.S. federal income tax purposes. The discussion below generally assumes therefore that Holdco and each of its direct and indirect subsidiaries are treated as one company for these purposes.
          Consequences to Holders of Allowed Secured Claims
          Pursuant to the Plan, each Holder of an Allowed Secured Claim will either (i) have its Claim Reinstated, (ii) be paid in full in cash, or (iii) have all collateral securing such Claim returned.
          If a Holder of an Allowed Secured Claim receives cash or has all collateral securing such Claim returned in satisfaction of its Claim, the satisfaction should be treated as a taxable exchange under section 1001 of the IRC. The Holder should recognize capital gain or loss (which capital gain or loss should be long-term capital gain or loss if the Holder has held its Claim for more than one year) (subject to the “market discount” rules described below) equal to the difference between (x) the amount of cash or the fair market value of other property received and (y) the Holder’s adjusted tax basis in its Claim. To the extent that the cash or property received in the exchange is allocable to accrued interest that has not already been taken into income by the Holder, the Holder may recognize ordinary interest income. If an Allowed Secured Claim is Reinstated, the Holder of such Claim should not recognize gain or loss except to the extent collateral securing such Claim is changed and the change in collateral constitutes a “significant modification” of the Allowed Secured Claim within the meaning of the Treasury Regulations promulgated under section 1001 of the IRC.
          Consequences to Holders of Allowed CCI Note Claims
          Pursuant to the Plan, each Holder of an Allowed CCI Note Claim will receive its Pro Rata share of (i) shares of New Preferred Stock and (ii) cash in the amount determined under the Plan.

105


 

          The U.S. federal income tax consequences to a Holder arising from the exchange of an Allowed CCI Note Claim for cash and New Preferred Stock will depend, in part, on whether the CCI Note Claims each constitute a “security” for U.S. federal income tax purposes. Whether a debt instrument constitutes a “security” is determined based on all the relevant facts and circumstances, but most authorities have held that the length of the term of a debt instrument is an important factor in determining whether such instrument is a security for U. S. federal income tax purposes. These authorities have indicated that a term of less than five years is evidence that the instrument is not a security, whereas a term of ten years or more is evidence that it is a security. There are numerous other factors that could be taken into account in determining whether a debt instrument is a security, including the security for payment, the creditworthiness of the obligor, the subordination or lack thereof to other creditors, the right to vote or otherwise participate in the management of the obligor, convertibility of the instrument into an equity interest of the obligor, whether payments of interest are fixed, variable or contingent, and whether such payments are made on a current basis or accrued. Each Holder of a Claim should consult with its tax advisor to determine whether or not the debt underlying such Claim is a “security” for U.S. federal income tax purposes.
          If a Holder’s Allowed CCI Note Claim constitutes a security for U.S. federal income tax purposes, the exchange of such Claim for cash and the New Preferred Stock should be characterized as a reorganization for U.S. federal income tax purposes. Holders of Allowed CCI Note Claims may be required to recognize gain, but not loss, on the exchange. Specifically, a Holder may recognize (a) capital gain, subject to the market discount rules discussed below, to the extent of the lesser of (i) the amount of gain realized on the exchange and (ii) the amount of cash received, and (b) gain or loss with respect to accrued interest, as described below. In such case, a Holder should obtain a tax basis in the New Preferred Stock equal to the tax basis of the surrendered CCI Note, increased by the amount of gain recognized and decreased by the amount of cash received; provided that the tax basis of any New Preferred Stock that is treated as received in satisfaction of accrued interest should equal the amount of such accrued interest. A Holder’s holding period for its New Preferred Stock received should include such Holder’s holding period for the surrendered CCI Note; provided that the holding period for any New Preferred Stock that is treated as received in satisfaction of accrued interest should begin on the day following the Effective Date.
          If a Holder’s Allowed CCI Note Claim does not constitute a security for U.S. federal income tax purposes, the exchange of such Claim for cash and the New Preferred Stock will constitute a taxable exchange under Section 1001 of the IRC. Accordingly, such Holder should recognize gain or loss equal to the difference between (1) the amount of cash received and the value of the New Preferred Stock received and (2) the Holder’s adjusted basis in its Allowed CCI Note Claim. The character of such gain or loss as capital gain or loss or as ordinary income or loss will be determined by a number of factors, including the tax status of the Holder, the nature of the Claim in the Holder’s hands, whether the Claim was purchased at a discount, the amount of accrued interest, and whether and to what extent the Holder has previously claimed a bad debt deduction with respect to its Claim. The U.S. federal income tax consequences of market discount and the receipt of cash allocable to accrued interest are summarized below. A Holder’s basis in the New Preferred Stock will equal its fair market value as of the Effective Date, and a Holder’s holding period for its New Preferred Stock will begin on the day following the Effective Date.
          To the extent the Reorganized Company has positive earnings and profits for U.S. federal income tax purposes in the future, there is a risk that a holder of New Preferred Stock will be required to include in taxable income an amount equal to the accrued but unpaid yield on the New Preferred Stock, even if no dividends are paid in cash. The tax consequences of owning New Preferred Stock that does not pay a regular cash dividend is complex; holders of New Preferred Stock should consult their own tax advisor regarding such consequences.
          Consequences to Holders of Allowed CCH Note Claims and Allowed CIH Note Claims
          Pursuant to the Plan, each Holder of an Allowed CCH Note Claim or an Allowed CIH Note Claim will receive its Pro Rata share of Warrants to purchase shares of New Class A Stock in the aggregate amount determined under the Plan.
          Holders of Allowed CCH Note Claims and Allowed CIH Note Claims may recognize gain or loss on the exchange of such Claims for Warrants to purchase New Class A Stock. Although certain of such Claims may constitute securities, the exchange of such Claims for Warrants to purchase New Class A Stock will not qualify as a tax-free reorganization because such Claims were issued by various subsidiaries of CCI and will be exchanged for equity in CCI. Accordingly, each Holder of such a Claim may recognize gain or loss equal to the difference between: (i) the fair market value of the Warrants to purchase New Class A Stock (as of the date the Warrants are

106


 

distributed to the Holder) received in exchange for the Claim and (ii) the Holder’s adjusted basis in the Claim. Such gain or loss should be capital in nature so long as the Claim is held as a capital asset (subject to the “market discount” rules described below) and should be long-term capital gain or loss if the Claim was held for more than one year. To the extent that a portion of the Warrants received in exchange for a Claim is allocable to accrued but untaxed interest, the Holder may recognize ordinary income. A Holder’s tax basis in the Warrants received should equal the fair market value of the Warrants as of the date distributed to the Holder, and a Holder’s holding period for the Warrants should begin on the day following the Effective Date.
          Consequences to Holders of Allowed CCH II Notes Claims
          Pursuant to the Exchange, each Holder of an Allowed CCH II Note Claim will exchange such Holder’s CCH II Note for one of the following: (i) a New CCH II Note, (ii) cash, or (iii) both a New CCH II Note and cash.
          The U.S. federal income tax consequences of the exchange of a CCH II Note for a New CCH II Note will depend on whether the exchange results in a “significant modification” of the CCH II Note (i.e., whether the terms of the New CCH II Notes are significantly different from the terms of the CCH II Notes exchanged therefor). The Treasury Regulations under section 1001 of the IRC provide specific rules for determining whether certain modifications are “significant.” One such rule provides that a change in the annual yield of an instrument will be considered “significant” if the modified rate varies from the original rate by more than the greater of (a) 25 basis points and (b) 5 percent of the annual yield of the unmodified instrument. Because the New CCH II Notes will bear an interest rate that exceeds the interest rate payable with respect to the CCH II Notes by more than such amount, the Exchange should result in a significant modification of the CCH II Notes. Therefore, the exchange of CCH II Notes for New CCH II Notes and/or cash should be a taxable exchange under section 1001 of the IRC.
          A Holder who receives New CCH II Notes and/or cash with respect to an Allowed CCH II Note Claim will generally recognize income, gain or loss for U.S. federal income tax purposes in an amount equal to the difference between (a) the sum of (i) the fair market value of any New CCH II Notes received and (ii) the amount of any cash received and (b) the Holder’s adjusted basis in its Allowed CCH II Note Claim. Such gain or loss may be capital in nature (subject to the “market discount” rules described below) and may be long-term capital gain or loss if the CCH II Notes were held for more than one year. To the extent that a portion of the cash or New CCH II Notes received represents accrued but unpaid interest that the Holder has not already taken into income, the Holder may recognize ordinary interest income. A Holder’s tax basis in any New CCH II Notes received should equal the fair market value of the New CCH II Notes as of the date distributed to the Holder, and a Holder’s holding period for the New CCH II Notes should begin on the day following the Exchange.
          The tax consequences with respect to an exchange of CCH II Notes (including with respect to accrued but unpaid interest) are complex and each Holder of such notes should consult with its own tax advisor.
          Consequences to Holders of Allowed CCH I Note Claims
          Pursuant to the Plan, each Holder of an Allowed CCH I Note Claim will receive its Pro Rata share of New Class A Stock in the aggregate amount determined under the Plan. Additionally, certain Holders of Allowed CCH I Note Claims will also receive Rights pursuant to the Rights Offering.
          Although certain of such Claims may constitute securities, the exchange of such Claims for New Class A Stock (and, with respect to certain Holders, Rights) will not qualify as a tax-free reorganization because such Claims were issued by various subsidiaries of CCI and will be exchanged for equity in CCI.
          A Holder of an Allowed CCH I Note Claim will generally recognize income, gain or loss for U.S. federal income tax purposes in an amount equal to the difference between (a) the sum of (i) the fair market value of the New Class A Stock received and (ii) the fair market value of any Rights received, and (b) the Holder’s adjusted basis in its Allowed CCH I Note Claim. Such gain or loss should be capital in nature (subject to the “market discount” rules described below) and should be long-term capital gain or loss if the CCH I Note was held for more than one year. To the extent that a portion of the New Class A Stock received represents accrued but unpaid interest that the Holder has not already taken into income, the Holder may recognize ordinary interest income. A Holder’s basis in its New Class A Stock will equal its fair market value as of the Effective Date, and a Holder’s holding period for its New Class A Stock will begin on the day following the Effective Date.

107


 

          Consequences to Holders of New CCH II Notes
          Stated interest on the New CCH II Notes will generally be taxable to a holder of New CCH II Notes as ordinary income at the time the interest is paid or accrues in accordance with the holder’s method of accounting for U.S. federal income tax purposes. A holder of New CCH II Notes generally will be required to report the excess of the stated principal amount of the New CCH II Notes over the issue price of the New CCH II Notes as original issue discount on the New CCH II Notes on a constant yield basis over the term of the New CCH II Notes.
          A holder will generally recognize capital gain or loss upon the sale, exchange, redemption or other taxable disposition of a New CCH II Note equal to the difference between the amount realized (less any accrued but unpaid interest, which generally will be taxable as such) and the holder’s adjusted tax basis in the note. A noncorporate holder who has held the note for more than one year generally will be subject to reduced rates of taxation on such gain. The ability to deduct capital losses may be limited.
          Consequences to Participants in the Rights Offering
          A holder of Rights generally should not recognize taxable gain or loss upon the exercise of such Rights. The tax basis in the New Class A Stock received upon exercise of the Rights should equal the sum of the holder’s tax basis in the Rights and the amount paid for such New Class A Stock. The holding period in such New Class A Stock received should commence the day following its acquisition.
          Accrued But Untaxed Interest
          A portion of the consideration (whether cash, stock, debt or other consideration) received by Holders of Claims and Interests may be attributable to accrued but untaxed interest on such Claims. Such amount should be taxable to that Holder as interest income if such accrued interest has not been previously included in the Holder’s gross income for U.S. federal income tax purposes. Conversely, a holder generally recognizes a deductible loss to the extent any accrued interest claimed was previously included in income and is not paid in full.
          If the fair value of the consideration received by Holders of Claims and Interests is not sufficient to fully satisfy all principal and interest on Allowed Claims, the extent to which such consideration will be attributable to accrued but untaxed interest is unclear. Holders of Claims and Interests should consult their tax advisors regarding the proper allocation of the consideration received by them under the Plan.
          Market Discount
          As indicated above, certain Holders of Allowed Claims may be affected by the “market discount” provisions of sections 1276 through 1278 of the IRC. Under these rules, some or all of the gain realized by a Holder may be treated as ordinary income (instead of capital gain) to the extent of the amount of accrued “market discount” on such Holder’s Allowed Claim.
          In general, a debt obligation with a fixed maturity of more than one year that is acquired by a holder on the secondary market (or, in certain circumstances, upon original issuance) is considered to be acquired with “market discount” as to that holder if the debt obligation’s stated redemption price at maturity (or revised issue price as defined in section 1278 of the IRC, in the case of a debt obligation issued with original issue discount) exceeds the tax basis of the debt obligation in the holder’s hands immediately after its acquisition. However, a debt obligation is not a “market discount bond” if such excess is less than a statutory de minimis amount (equal to 0.25 percent of the debt obligation’s stated redemption price at maturity or revised issue price, in the case of a debt obligation issued with original issue discount, multiplied by the number of complete years remaining until maturity at the time of the acquisition).
          Any gain recognized by a Holder on the taxable disposition of an Allowed Claim (determined as described above) that was acquired with market discount should be treated as ordinary income to the extent of the market discount that accrued thereon while the Allowed Claim was considered to be held by the Holder (unless the Holder elected to include market discount in income as it accrued). To the extent that any Allowed Claims that were acquired with market discount are exchanged in a tax-free transaction for other property, any market discount that accrued on the Allowed Claims (i.e., up to the time of the exchange) but was not recognized by the Holder is carried

108


 

over to the property received therefore, and any gain recognized on a subsequent sale, exchange, redemption or other disposition of such property is treated as ordinary income to the extent of such accrued market discount.
          Information Reporting and Backup Withholding
          In general, information reporting requirements may apply to distributions or payments under the Plan. Additionally, under the backup withholding rules, a Holder of a Claim may be subject to backup withholding (currently at a rate of 28%) with respect to distributions or payments made pursuant to the Plan unless that Holder: (a) comes within certain exempt categories (which generally include corporations) and, when required, demonstrates that fact; or (b) provides a correct taxpayer identification number and certifies under penalty of perjury that the taxpayer identification number is correct and that the Holder is not subject to backup withholding because of a failure to report all dividend and interest income. Backup withholding is not an additional tax, but merely an advance payment that may be refunded to the extent it results in an overpayment of tax, provided that the required information is provided to the IRS.
          The Debtors will withhold all amounts required by law to be withheld from payments of interest. The Debtors will comply with all applicable reporting requirements of the IRC.
          The U.S. federal income tax consequences of the Plan are complex. The foregoing summary does not discuss all aspects of U.S. federal income taxation that may be relevant to a particular Holder of a Claim in light of such Holder’s circumstances and income tax situation. All Holders of Claims against the Debtors should consult with their tax advisors as to the particular tax consequences to them of the transactions contemplated by the restructuring, including the applicability and effects of any state, local, or foreign tax laws, and any change in applicable tax laws.

109


 

Recommendation
          The Debtors believe that the Plan is in the best interests of all Holders of Claims and Interests and urge all Holders of Claims and Interests entitled to vote to accept the Plan and to evidence such acceptance by returning their ballots or master ballots so that they will be received by the Debtors’ Voting Agent no later than 5:00 p.m. (Eastern Time) on June 15, 2009.
Dated: May 7, 2009
         
  Respectfully submitted,


CHARTER COMMUNICATIONS, INC.
(for itself and on behalf of each of the Debtors, other than
Charter Investment, Inc.)
 
 
  By:      
    Name:      
    Title:      
 
Prepared by:
KIRKLAND & ELLIS LLP
Citigroup Center
153 East 53rd Street
New York, New York 10022-4611
(212) 446-4800 (telephone)
ATTORNEYS FOR DEBTORS AND DEBTORS IN POSSESSION (OTHER THAN CHARTER INVESTMENT, INC.)
         
  CHARTER INVESTMENT, INC.
 
 
  By:      
    Name:      
    Title:      
 
Prepared by:
TOGUT, SEGAL & SEGAL LLP
One Penn Plaza
New York, New York 10119
(212) 594-5000 (telephone)
ATTORNEYS FOR THE DEBTOR AND DEBTOR IN POSSESSION CHARTER INVESTMENT, INC.

110