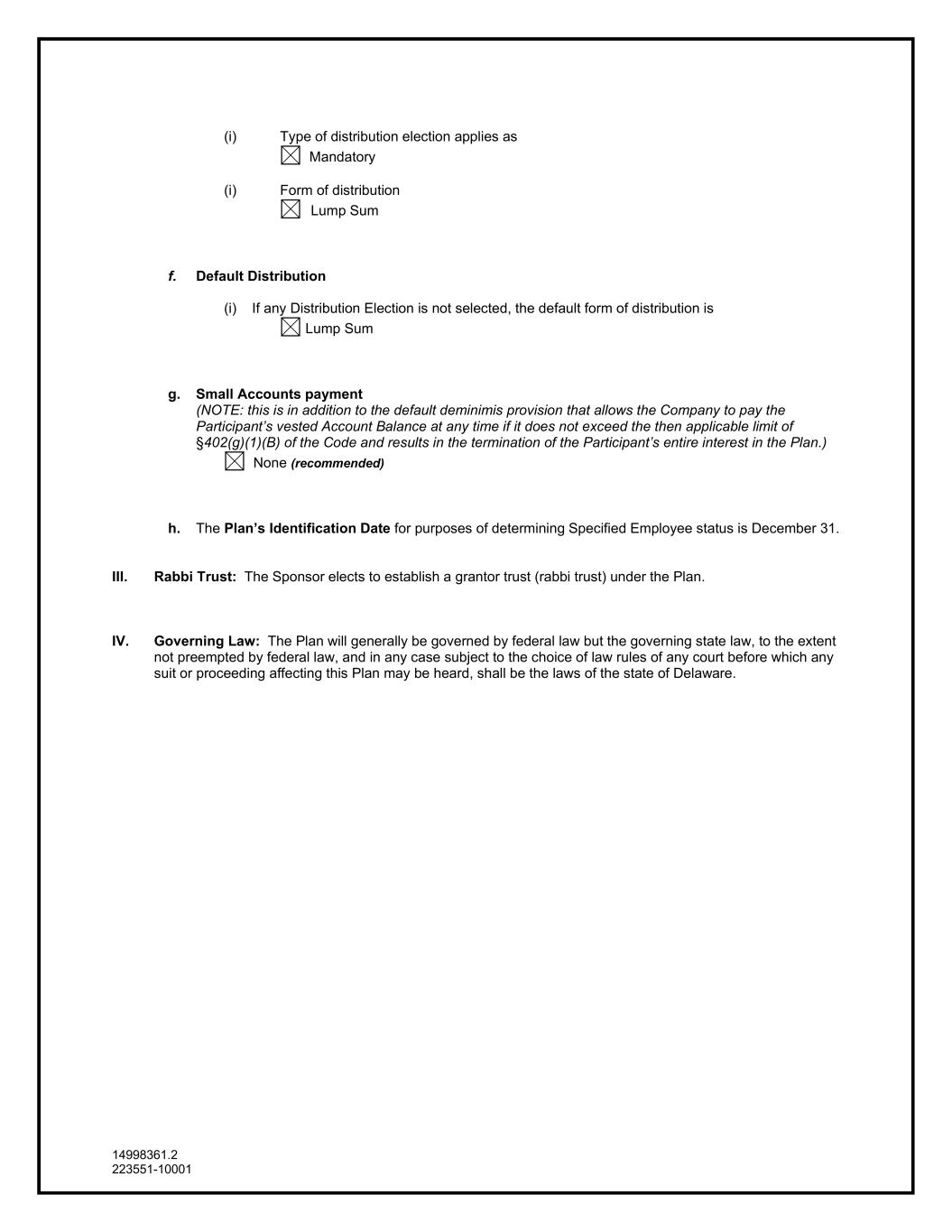
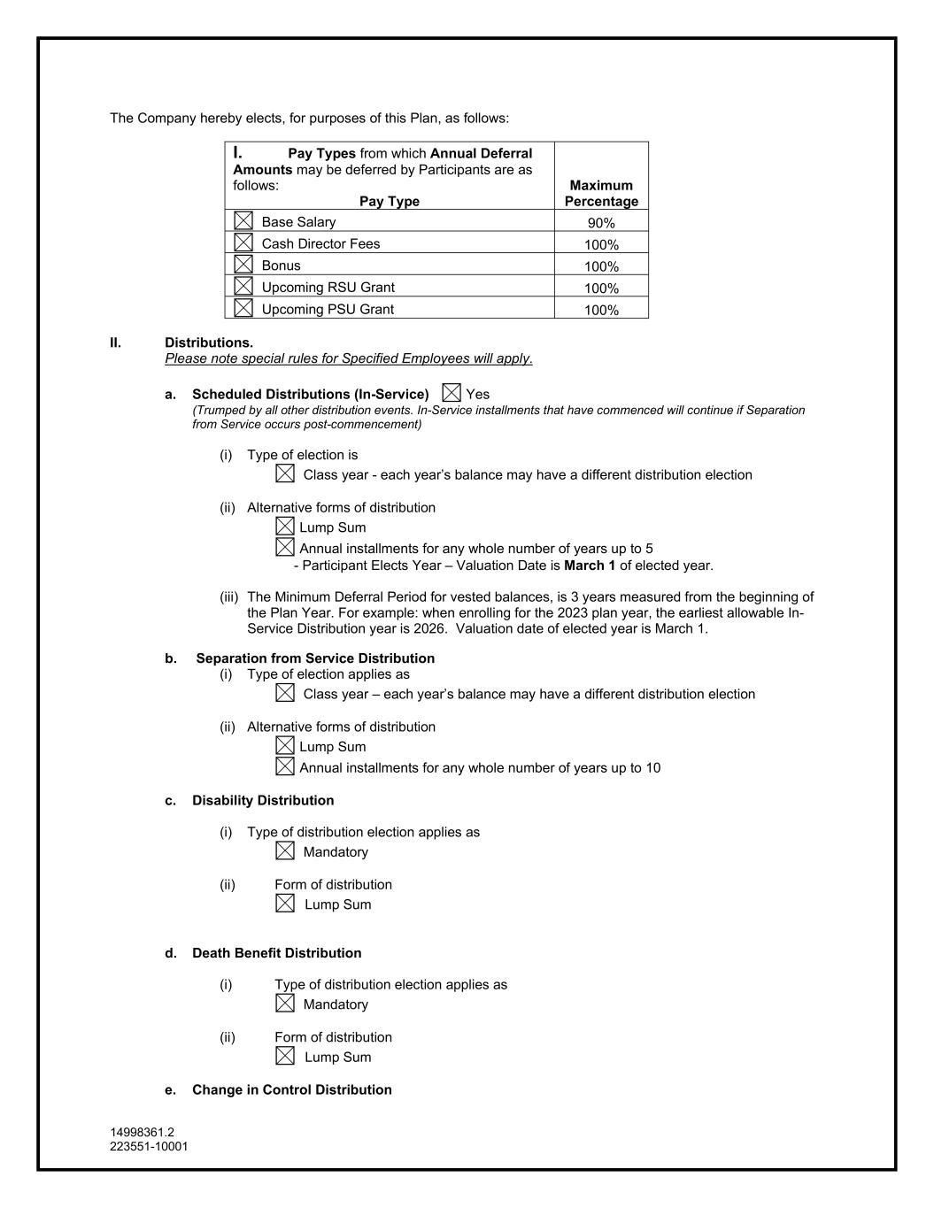
Please wait
ROBLOX CORPORATION DEFERRED COMPENSATION PLAN Effective March 16, 2023


 
i TABLE OF CONTENTS Page ARTICLE 1 Definitions ...................................................................................................................1 1.1 Account ....................................................................................................................1 1.2 Annual Account .......................................................................................................1 1.3 Annual Deferral Amount .........................................................................................2 1.4 Annual Installment Method .....................................................................................2 1.5 Base Salary...............................................................................................................2 1.6 Beneficiary ...............................................................................................................2 1.7 Beneficiary Designation Form .................................................................................2 1.8 Benefit Distribution Date .........................................................................................2 1.9 Board ........................................................................................................................2 1.10 Bonus .......................................................................................................................3 1.11 Cash Account ...........................................................................................................3 1.12 Cash Director Fees ...................................................................................................3 1.13 Change in Control ....................................................................................................3 1.14 Code .........................................................................................................................3 1.15 Committee ................................................................................................................3 1.16 Company Group .......................................................................................................3 1.17 Director ....................................................................................................................3 1.18 Disability or Disabled ..............................................................................................4 1.19 Election Form...........................................................................................................4 1.20 Employee .................................................................................................................4 1.21 Equity Plan ...............................................................................................................4 1.22 ERISA ......................................................................................................................4 1.23 Participant ................................................................................................................4 1.24 Performance-Based Compensation ..........................................................................4 1.25 Performance Stock Unit or PSU ..............................................................................4 1.26 PSU Amount ............................................................................................................4 1.27 Plan Agreement ........................................................................................................4 1.28 Plan Year ..................................................................................................................4 1.29 Restricted Stock Unit or RSU ..................................................................................5 1.30 RSU Amount ............................................................................................................5 1.31 Section 409A ............................................................................................................5 1.32 Separation from Service ...........................................................................................5 1.33 Stock ........................................................................................................................5 1.34 Stock Account ..........................................................................................................5 1.35 Trust .........................................................................................................................5 1.36 Unforeseeable Emergency .......................................................................................5


 
ii ARTICLE 2 Selection, Enrollment, Eligibility ................................................................................6 2.1 Selection by Committee ...........................................................................................6 2.2 Enrollment and Eligibility Requirements ................................................................6 ARTICLE 3 Deferrals, Vesting, Crediting & Taxes ........................................................................6 3.1 Maximum Deferral...................................................................................................6 (a) Annual Deferral Amount .............................................................................6 (b) RSU Amount and PSU Deferral Amount ....................................................6 (c) Short Plan Year ............................................................................................7 3.2 Timing of Deferral Elections; Effect of Election Form ...........................................7 (a) General Timing Rule for Deferral Elections ................................................7 (b) Timing of Deferral Elections for Newly Eligible Plan Participants ............7 (c) RSU and PSU Deferral ................................................................................8 (d) Timing of Deferral Elections for Performance-Based Compensation ..............................................................................................8 (e) Timing Rule for Deferral of Compensation Subject to Risk of Forfeiture......................................................................................................9 3.3 Withholding and Crediting of Annual Deferral Amounts .......................................9 3.4 RSUs and PSUs........................................................................................................9 3.5 Vesting .....................................................................................................................9 3.6 Crediting/Debiting of Accounts .............................................................................10 (a) Cash Account .............................................................................................10 (b) Stock Account ............................................................................................11 3.7 FICA and Other Taxes ...........................................................................................13 (a) Annual Deferral Amounts ..........................................................................13 (b) RSU Amounts and PSU Amounts .............................................................13 (c) Distributions ...............................................................................................13 ARTICLE 4 In-Service Distribution of Account; Unforeseeable Emergency ..............................13 4.1 Scheduled Distribution...........................................................................................13 4.2 Postponing Scheduled Distributions ......................................................................14 4.3 Other Benefits Take Precedence Over Scheduled Distributions ...........................14 4.4 Unforeseeable Emergencies ...................................................................................15 ARTICLE 5 Other Distributions of Account .................................................................................15 5.1 Termination Benefit ...............................................................................................15


 
iii (a) Termination Benefit.. .................................................................................15 (b) Timing of Termination Benefits. ...............................................................16 (c) Election of Payment Form .........................................................................16 (d) Modification of Payment Form ..................................................................16 (e) Timing of Payments.. .................................................................................17 (f) De Minimis Amounts. ................................................................................17 5.2 Change in Control Benefit .....................................................................................17 (a) Change in Control Benefit .........................................................................17 (b) Timing of Change in Control Benefits.......................................................17 (c) Payment Form ............................................................................................17 (d) Timing of Payments ...................................................................................17 5.3 Disability Benefit ...................................................................................................17 (a) Disability Benefit .......................................................................................17 (b) Timing of Disability Benefits ....................................................................17 (c) Payment Form ............................................................................................17 (d) Timing of Payments ...................................................................................18 5.4 Death Benefit .........................................................................................................18 (a) Death Benefit .............................................................................................18 (b) Timing of Death Benefits...........................................................................18 (c) Payment Form ............................................................................................18 (d) Timing of Payments ...................................................................................18 ARTICLE 6 Beneficiary Designation ............................................................................................18 6.1 Beneficiary .............................................................................................................18 6.2 Beneficiary Designation; Change ..........................................................................18 6.3 Acknowledgment ...................................................................................................18 6.4 No Beneficiary Designation ...................................................................................18 6.5 Discharge of Obligations .......................................................................................19 ARTICLE 7 Leave of Absence ......................................................................................................19 7.1 Paid Leave of Absence...........................................................................................19 7.2 Unpaid Leave of Absence ......................................................................................19 ARTICLE 8 Termination of Plan, Amendment or Modification ..................................................19 8.1 Termination of Plan ...............................................................................................19 8.2 Amendment ............................................................................................................19 8.3 Effect of Payment ..................................................................................................19


 
iv ARTICLE 9 Administration ..........................................................................................................20 9.1 Committee Duties ..................................................................................................20 9.2 Agents ....................................................................................................................20 9.3 Binding Effect of Decisions ...................................................................................20 9.4 Indemnity of Committee ........................................................................................20 9.5 Section 16 Compliance ..........................................................................................20 9.6 Clawback Policy ....................................................................................................21 ARTICLE 10 Claims Procedures...................................................................................................21 10.1 Presentation of Claim .............................................................................................21 10.2 Notification of Decision .........................................................................................21 10.3 Review of a Denied Claim .....................................................................................22 10.4 Decision on Review ...............................................................................................22 10.5 Legal Action...........................................................................................................23 ARTICLE 11 Trust ........................................................................................................................23 11.1 Establishment of the Trust .....................................................................................23 11.2 Interrelationship of the Plan and the Trust .............................................................23 11.3 Distributions From the Trust ..................................................................................23 ARTICLE 12 Miscellaneous..........................................................................................................23 12.1 Status of Plan .........................................................................................................23 12.2 Section 409A ..........................................................................................................23 12.3 Unsecured General Creditor ..................................................................................24 12.4 Company’s Liability ..............................................................................................24 12.5 Nonassignability ....................................................................................................24 12.6 Not a Contract of Employment ..............................................................................24 12.7 Furnishing Information ..........................................................................................25 12.8 Terms .....................................................................................................................25 12.9 Captions .................................................................................................................25 12.10 Governing Law ......................................................................................................25 12.11 Notice .....................................................................................................................25 12.12 Successors ..............................................................................................................25 12.13 Spouse’s Interest ....................................................................................................25 12.14 Validity ..................................................................................................................26 12.15 Incompetent............................................................................................................26


 
1 ROBLOX CORPORATION DEFERRED COMPENSATION PLAN Preamble This Plan is adopted by the Company, as set forth in the attached Adoption Agreement, which is an integral part of this Plan. The Company, having been duly advised by its own counsel as to the legal and tax consequences of adopting this Plan, intends that the Plan shall at all times be administered and interpreted in such a manner as to constitute an unfunded plan maintained primarily for a select group of management or highly compensated employees who contribute materially to the management of the Company, so as to qualify for all available exemptions from the provisions of Title I of ERISA and to fulfill the applicable requirements of Section 409A. Establishment and Purpose Roblox Corporation, a Delaware corporation (the “Company”), hereby establishes this deferred compensation plan to be known as the “Roblox Corporation Deferred Compensation Plan,” as amended from time to time (the “Plan”) effective March 16, 2023. The purpose of the Plan is to provide specified benefits to Directors and a select group of management or highly compensated Employees who contribute materially to the continued growth, development and future business success of the Company. The Plan does not authorize or contemplate the issuance of any Stock beyond the Stock authorized and issued under the Equity Plan. ARTICLE 1 Definitions For the purposes of the Plan, unless otherwise clearly apparent from the context, the following phrases or terms shall have the following indicated meanings: 1.1 Account shall mean, with respect to a Participant, an entry on the records of the Company equal to the sum of the Participant’s Annual Accounts, which are allocated to a Participant’s Cash Account and/or Stock Account, as applicable. An Account shall be a bookkeeping entry only and shall be utilized solely as a device for the measurement and determination of the amounts to be paid to a Participant, or his or her designated Beneficiary, pursuant to the Plan. 1.2 Annual Account shall mean, with respect to a Participant, an entry on the records of the Company equal to (a) the sum of the Participant’s Annual Deferral Amount, RSU Amount and PSU Amount for any one Plan Year, plus (b) amounts credited or debited to such amounts pursuant to the Plan, less (c) all distributions made to the Participant or his or her Beneficiary pursuant to the Plan that relate to the Annual Account for such Plan Year. The Annual Account shall be a bookkeeping entry only and shall be utilized solely as a device for the measurement and determination of the amounts to be paid to a Participant, or his or her designated Beneficiary, pursuant to the Plan.


 
2 1.3 Annual Deferral Amount shall mean that portion of a Participant’s Base Salary, Bonus, and Cash Director Fees that a Participant defers in accordance with Article 3 for any one Plan Year, without regard to whether such amounts are withheld and credited during such Plan Year. 1.4 Annual Installment Method shall mean the method used to determine the amount of each payment due to a Participant who has elected to receive a benefit over a period of years in accordance with the applicable provisions of the Plan. The amount of each annual payment due to the Participant shall be calculated by multiplying the balance of the Participant’s benefit by a fraction, the numerator of which is one and the denominator of which is the remaining number of annual payments due to the Participant. Shares of Stock distributable from a Participant’s Stock Account shall be distributable in shares of actual Stock in the same manner previously described, with any fractional shares rounded down to the nearest whole share of Stock and such fractional shares forfeited for no consideration in accordance with the Equity Plan. The amount of the first annual payment shall be calculated as of the close of business on or around the Participant’s Benefit Distribution Date, and the amount of each subsequent annual payment shall be calculated on or around each anniversary of such Benefit Distribution Date. 1.5 Base Salary shall mean the Participant’s base salary relating to services performed during any calendar year, subject to the provisions of Section 3.3 related to the final payroll period of the year. Base Salary shall be calculated before reduction for compensation voluntarily deferred or contributed by the Participant pursuant to all qualified or nonqualified plans of the Company Group and shall be calculated to include amounts not otherwise included in the Participant’s gross income under Code Sections 125, 402(e)(3), 402(h), or 403(b) pursuant to plans established by the Company Group; provided, however, that all such amounts will be included in compensation only to the extent that had there been no such plan, the amount would have been payable in cash to the Employee. For the avoidance of doubt, “Base Salary” shall exclude, without limitation, all bonuses, all incentive payments, commissions, overtime, fringe benefits (cash and noncash), stock options, restricted stock units, performance share unit awards, other equity-based awards, relocation expenses, nonqualified deferred compensation, non-monetary awards, moving expense and other reimbursements, welfare benefits, severance and automobile and other allowances. 1.6 Beneficiary shall mean one or more persons, trusts, estates or other entities, designated in accordance with Article 6, that are entitled to receive benefits under the Plan upon the death of a Participant. 1.7 Beneficiary Designation Form shall mean the written or electronic form established from time to time by the Committee that a Participant returns to the Committee to designate one or more Beneficiaries. 1.8 Benefit Distribution Date shall mean the date upon which all or an objectively determinable portion of a Participant’s benefits will become eligible for distribution in accordance with Article 4 or 5. 1.9 Board shall mean the Board of Directors of the Company.


 
3 1.10 Bonus shall mean any periodic cash bonus earned by the Participant under a written bonus program, as in effect from time to time. Bonus shall be calculated before reduction for compensation voluntarily deferred or contributed by the Participant pursuant to all qualified or nonqualified plans of the Company Group and shall be calculated to include amounts not otherwise included in the Participant’s gross income under Code Sections 125, 402(e)(3), 402(h), or 403(b) pursuant to plans established by the Company Group; provided, however, that all such amounts will be included in compensation only to the extent that had there been no such plan, the amount would have been payable in cash to the Employee. 1.11 Cash Account shall mean the aggregate value, measured on any given date, of (i) the cash deferred by a Participant as a result of deferrals of Base Salary, Bonus and Cash Director Fees, plus (ii) amounts credited or debited to such amounts pursuant to the Plan, less (iii) the any amount previously distributed from the Cash Account to the Participant or his or her Beneficiary pursuant to the Plan. The Cash Account shall be a bookkeeping entry only and shall be utilized solely as a device for the measurement and determination of the amounts to be paid to a Participant, or his or her designated Beneficiary, pursuant to the Plan. 1.12 Cash Director Fees shall mean the annual fees payable in cash that are earned by a Director from the Company, including retainer fees and meetings fees, as compensation for serving on the Board. 1.13 Change in Control shall have the meaning set forth in the Equity Plan; provided, however, a transaction will not be deemed a Change in Control unless the transaction qualifies as a change in control event within the meaning of Section 409A. 1.14 Code shall mean the Internal Revenue Code of 1986, as it may be amended from time to time. 1.15 Committee shall mean the Nonqualified Deferred Compensation Plan Governance Committee (“NQDC Committee”), except with respect to such matters that are not delegated to the NQDC Plan Governance Committee by the Leadership Development and Compensation Committee (whether pursuant to committee charter or otherwise). The NQDC Plan Governance Committee (or the Leadership Development and Compensation Committee, with respect to such matters over which it retains authority under the Plan or otherwise) may delegate (i) to one or more of its members (or one or more other members of the Leadership Development and Compensation Committee) such of its duties, powers and responsibilities as it may determine; and (ii) to such employees or other persons as it determines such ministerial tasks as it deems appropriate. For purposes of the Plan, the term “Committee” will include, as applicable, the Leadership Development and Compensation Committee, the NQDC Plan Governance Committee, and the person or persons delegated authority under the Plan to the extent of such delegation, as applicable. 1.16 Company Group shall mean the Company and any “parent corporation” (as defined in Section 424(e) of the Code) and any “subsidiary corporation” (defined in Section 424(f) of the Code), whether now or hereafter existing. 1.17 Director shall mean any non-employee member of the Board.


 
4 1.18 Disability or Disabled shall mean either (i) the Social Security Administration determines that a Participant is totally disabled; or (ii) a Participant incurs a mental or physical impairment that qualifies the Participant for disability benefits under a Company-sponsored long- term disability program as in effect from time to time, provided that the definition of “disability” applied under such disability program complies with Treasury Regulation Section 1.409A-3(i)(4). 1.19 Election Form shall mean the form, which may be in electronic format, established from time to time by the Committee that a Participant returns to the Committee to make an election under the Plan. An Election Form will apply only to the Plan Year for which it is submitted. 1.20 Employee shall mean a person classified as a full-time U.S. employee by the Company Group for payroll purposes. 1.21 Equity Plan shall mean the Roblox Corporation 2020 Equity Incentive Plan, as it may be amended from time to time. 1.22 ERISA shall mean the Employee Retirement Income Security Act of 1974, as it may be amended from time to time. 1.23 Participant shall mean any Employee or Director (a) who is selected and becomes a participant in the Plan as provided in Article 2, and (b) whose Account has not been completely distributed. 1.24 Performance-Based Compensation shall mean compensation, the entitlement to or amount of which is contingent on the satisfaction of pre-established organizational and/or individual performance criteria relating to a performance period of at least 12 consecutive months, as determined by the Committee in accordance with Treas. Reg. §1.409A-1(e). 1.25 Performance Stock Unit or PSU shall mean an RSU that may be earned in whole or in part upon attainment of performance goals, which is granted to the Participant pursuant to the Equity Plan. 1.26 PSU Amount shall mean, with respect to a Participant for any one Plan Year, the number of PSUs deferred in accordance with Section 3.1(b). 1.27 Plan Agreement shall mean an agreement, if any, in the form prescribed by or acceptable to the Committee that evidences a Participant’s agreement to the terms of the Plan and which may establish additional terms or conditions of Plan participation for a Participant. Unless otherwise determined by the Committee, the most recent Plan Agreement accepted with respect to a Participant shall supersede any prior Plan Agreements for such Participant. Plan Agreements may vary among Participants and may provide additional benefits not set forth in the Plan or limit the benefits otherwise provided under the Plan. 1.28 Plan Year shall mean a period beginning on January 1 of each calendar year and continuing through December 31 of such calendar year.


 
5 1.29 Restricted Stock Unit or RSU shall mean the right to receive a share of Company common stock in the future, as awarded to the Participant under the Equity Plan. 1.30 RSU Amount shall mean, with respect to a Participant for any one Plan Year, the number of RSUs deferred in accordance with Section 3.1(b). 1.31 Section 409A shall mean Section 409A of the Code and any regulations or other formal guidance promulgated thereunder. 1.32 Separation from Service shall mean a Participant’s “separation from service” with the Company Group within the meaning of Section 409A. 1.33 Stock shall mean the Class A Common Stock of the Company. 1.34 Stock Account shall mean the aggregate value, measured on any given date, of (i) the number of RSUs and PSUs deferred by a Participant as a result of all RSUs Amounts and PSU Amounts, plus (ii) the number of additional shares of Stock credited to a Participant’s Stock Account as a result of Stock dividends in accordance with Section 3.6(b)(ii) the Plan, less (iii) the number of RSUs and PSUs previously distributed to the Participant or his or her Beneficiary pursuant to the Plan. The Stock Account shall be a bookkeeping entry only and shall be utilized solely as a device for the measurement and determination of the amounts to be paid to a Participant, or his or her designated Beneficiary, pursuant to the Plan. 1.35 Trust shall mean one or more trusts established by the Company in accordance with Article 11. 1.36 Unforeseeable Emergency shall mean a severe financial hardship of the Participant resulting from (a) an illness or accident of the Participant, the Participant’s spouse, the Participant’s Beneficiary or the Participant’s dependent (as defined in Section 152 of the Code without regard to paragraphs (b)(1), (b)(2) and (d)(1)(B) thereof), (b) a loss of the Participant’s property due to casualty, or (c) such other similar extraordinary and unforeseeable circumstances arising as a result of events beyond the control of the Participant, all as determined by the Committee based on the relevant facts and circumstances and in accordance with Section 409A. ***** It is intended that the Plan shall conform with all applicable Section 409A requirements. Accordingly, in interpreting, construing or applying any of the foregoing definitions or any of the terms, conditions or provisions of the Plan, the same shall be construed in such manner as shall meet and comply with Section 409A then applicable thereto, and in the event of any inconsistency with any Section 409A, the same shall be reformed so as to meet such Section 409A requirements to the fullest extent then permitted without penalty (and without imposition or accrual of interest or additional taxes) under Section 409A.


 
6 ARTICLE 2 Selection, Enrollment, Eligibility 2.1 Selection by Committee. Participation in the Plan shall be limited to Directors and, as determined by the Committee in its sole discretion, a select group of management or highly compensated Employees. From that group of Directors and Employees, the Committee shall select, in its sole discretion, those individuals who may actually participate in the Plan. 2.2 Enrollment and Eligibility Requirements. (a) As a condition to participation, each Director or selected Employee shall complete, execute and return to the Committee such written or electronic forms and information as the Committee may require, which may include a Plan Agreement, an Election Form and a Beneficiary Designation Form, by the deadline(s) established by the Committee in accordance with the applicable provisions of the Plan. In addition, the Committee shall establish from time to time such other enrollment requirements as it determines, in its sole discretion, are necessary or advisable. (b) If a Director or an Employee fails to meet all requirements established by the Committee within the period required for a specified Plan Year, that Director or Employee shall not be eligible to participate in the Plan during such Plan Year. ARTICLE 3 Deferrals, Vesting, Crediting & Taxes 3.1 Maximum Deferral. (a) Annual Deferral Amount. Except as otherwise determined by the Committee and provided in a Plan Agreement or an Election Form, for each Plan Year, a Participant may elect to defer, as his or her Annual Deferral Amount, Base Salary, Bonus and/or Cash Director Fees, as applicable, up to the following maximum percentages for each deferral elected: Deferral Maximum Percentage Base Salary 90% Bonus 100% Cash Director Fees 100% (b) RSU Amount and PSU Deferral Amount. Except as otherwise determined by the Committee and provided in a Plan Agreement or an Election Form, for each grant of RSUs and PSUs, a Participant may elect to defer, as his or her RSU Amount and/or PSU Amount, as applicable, the following maximum percentages for each deferral elected:


 
7 Deferral Maximum Percentage RSUs 100% PSUs 100% For the avoidance of doubt, any RSUs or PSUs deferred under this Plan shall be granted pursuant to the Equity Plan and shall be subject to individual award agreements. (c) Short Plan Year. Notwithstanding the foregoing, in the case of an individual first becoming a Participant after the first day of a Plan Year, then to the extent required by Section 3.2 and Section 409A, the maximum amount of the Participant’s Base Salary, Bonus and Cash Director Fees that may be deferred by the Participant for the Plan Year shall be determined by applying the percentages set forth in Sections 3.1(a) and (b) to the portion of such compensation attributable to services performed after the date that the Participant’s deferral election is made. 3.2 Timing of Deferral Elections; Effect of Election Form. (a) General Timing Rule for Deferral Elections. Except as otherwise provided in this Section 3.2, in order for a Participant to make a valid election to defer Base Salary, Bonus, and Cash Director Fees, the Participant must submit an Election Form on or before the deadline established by the Committee, which in no event shall be later than the December 31st preceding the Plan Year in which such compensation will be earned. Any deferral election made in accordance with this Section 3.2(a) shall be irrevocable after the deadline established by the Committee in accordance with the preceding paragraph; provided, however, that if the Committee permits or requires Participants to make a deferral election by the deadline described above for an amount that qualifies as Performance-Based Compensation, the Committee may permit a Participant to subsequently change his or her deferral election for such compensation by submitting a new Election Form in accordance with Section 3.2(d) below. (b) Timing of Deferral Elections for Newly Eligible Plan Participants. A Director or selected Employee who first becomes eligible to participate in the Plan on or after the beginning of a Plan Year, as determined in accordance with Treas. Reg. §1.409A-2(a)(7)(ii) and the “plan aggregation” rules provided in Treas. Reg. §1.409A-1(c)(2), may be permitted by the Committee to make an election to defer (i) RSUs and PSUs that may be initially granted to the Participant under the terms of the Equity Plan subsequent to such election and which are attributable to services to be performed after such election and/or (ii) the portion of Base Salary, Bonus, and/or Cash Director Fees attributable to services to be performed after such election becomes irrevocable, provided that the Participant submits an


 
8 Election Form on or before the deadline established by the Committee, which in no event shall be later than 30 days after the Participant first becomes eligible to participate in the Plan. If a deferral election made in accordance with this Section 3.2(b) relates to compensation earned based upon a specified performance period, the amount eligible for deferral shall be equal to (i) the total amount of compensation for the performance period, multiplied by (ii) a fraction, the numerator of which is the number of days remaining in the service period after the Participant’s deferral election is made, and the denominator of which is the total number of days in the performance period. Any deferral election made in accordance with this Section 3.2(b) shall become irrevocable as of the deadline established by the Committee, but in no event later than the 30th day after the date the Director or selected Employee becomes eligible to participate in the Plan. (c) RSU and PSU Deferral. For an election to defer RSUs and/or PSUs to be valid, (i) an Election Form must be submitted by the Participant with respect to such RSUs and/or PSUs, and (ii) such Election Form must be timely delivered to the Committee and accepted by the Committee no later than (A) the end of the calendar year preceding the Plan Year during which such RSUs and/or PSUs are initially granted to the Participant under the terms of Equity Plan, or (B) such other deadline established by the Committee in accordance with the requirements of Section 409A, including, without limitation, such deadline as may be applicable under Section 3.2(d) or 3.2(e) below. (d) Timing of Deferral Elections for Performance-Based Compensation. Subject to the limitations described below, the Committee may determine that an irrevocable deferral election for an amount that qualifies as Performance-Based Compensation may be made by submitting an Election Form on or before the deadline established by the Committee, which in no event shall be later than 6 months before the end of the performance period. In order for a Participant to be eligible to make a deferral election for Performance-Based Compensation in accordance with the deadline established pursuant to this Section 3.2(d), the Participant must have performed services continuously from the later of (i) the beginning of the performance period for such compensation, or (ii) the date upon which the performance criteria for such compensation are established, through the date upon which the Participant makes the deferral election for such compensation. In no event shall a deferral election submitted under this Section 3.2(d) be permitted to apply to any amount of Performance-Based Compensation that has become readily ascertainable.


 
9 (e) Timing Rule for Deferral of Compensation Subject to Risk of Forfeiture. With respect to compensation (i) to which a Participant has a legally binding right to payment in a subsequent year, and (ii) that is subject to a forfeiture condition requiring the Participant’s continued services for a period of at least 12 months from the date the Participant obtains the legally binding right, the Committee may determine that an irrevocable deferral election for such compensation may be made by timely delivering an Election Form to the Committee in accordance with its rules and procedures, no later than the 30th day after the Participant obtains the legally binding right to the compensation, provided that the election is made at least 12 months in advance of the earliest date at which the forfeiture condition could lapse, as determined in accordance with Treas. Reg. §1.409A-2(a)(5). Any deferral election(s) made in accordance with this Section 3.2(e) shall become irrevocable no later than the 30th day after the Participant obtains the legally binding right to the compensation subject to such deferral election(s). 3.3 Withholding and Crediting of Annual Deferral Amounts. The Base Salary portion and the Cash Director Fees portion of the Annual Deferral Amount shall be withheld from the Participant’s pay earned during the Plan Year. The Bonus portion of the Annual Deferral Amount shall be withheld at the time the Bonus is or otherwise would be paid to the Participant, whether or not this occurs during the Plan Year itself. Such Annual Deferral Amounts shall be credited to the Participant’s Cash Account for such Plan Year at the time such amounts would otherwise have been paid to the Participant. Base Salary that is both (i) attributable solely to services performed during the final payroll period containing the last day of the Plan Year, and (ii) payable in the subsequent Plan Year, will be treated as earned in that subsequent Plan Year; accordingly, Base Salary related to such final payroll period shall be withheld in accordance with the Participant’s Base Salary deferral election applicable to such subsequent Plan Year. 3.4 RSUs and PSUs. A Participant may elect to defer RSUs and/or PSUs under the Plan, which amount shall be for that Participant the RSU Amount and/or PSU Amount, as applicable, for that Plan Year. Any RSUs or PSUs deferred shall, at the time the RSUs or PSUs would otherwise vest and become transferable to the Participant under the terms of the Equity Plan, but for the election to defer, be reflected on the books of the Company as an unfunded, unsecured promise to deliver to the Participant a specific number of actual shares of Stock in the future. 3.5 Vesting. A Participant shall at all times be 100% vested in his or her Account; provided, however, that a Participant’s Stock Account attributable to the deferral of RSUs and/or PSUs shall not be vested until the date that the applicable deferred RSU Amount and/or PSU Amount is scheduled to vest in accordance with the vesting schedule provided in the Equity Plan and the applicable RSU and/or PSU award agreements.


 
10 3.6 Crediting/Debiting of Accounts. In accordance with, and subject to, the rules and procedures that are established from time to time by the Committee, in its sole discretion, amounts shall be credited or debited to a Participant’s Account in accordance with the following rules: (a) Cash Account Measurement Funds. A Participant shall elect one or more of the measurement funds selected by the Committee, in its sole discretion (the “Measurement Funds”), for the purpose of crediting or debiting investment experience to his or her Cash Account. The Committee shall determine the number and type of Measurement Funds, which may include a specified interest rate, one or more investment options, an index or similar measure, or a series of hypothetical investment options. As necessary, the Committee may, in its sole discretion, discontinue, substitute or add a Measurement Fund. (ii) Election of Measurement Funds. A Participant, in connection with his or her initial deferral election in accordance with Section 3.2 above, shall elect, on the Election Form, one or more Measurement Fund(s) to be used to determine the amounts to be credited or debited to his or her Cash Account. The Participant may (but is not required to) elect, by submitting an Election Form to the Committee that is accepted by the Committee, to add or delete one or more Measurement Fund(s) to be used to determine the amounts to be credited or debited to his or her Cash Account, or to change the portion of his or her Cash Account allocated to each previously or newly elected Measurement Fund. If an election is made in accordance with the previous sentence, it shall apply as of the first business day deemed reasonably practicable by the Committee, in its sole discretion, and shall continue thereafter for each subsequent day in which the Participant participates in the Plan, unless changed in accordance with the previous sentence. Notwithstanding the foregoing, the Committee, in its sole discretion, may impose limitations on the frequency with which one or more of the Measurement Funds elected in accordance with this Section 3.6(a) may be added or deleted by such Participant; furthermore, the Committee, in its sole discretion, may impose limitations on the frequency with which the Participant may change the portion of his or her Cash Account allocated to each previously or newly elected Measurement Fund. (iii) Proportionate Allocation. In making any election described in this Section 3.6(a), the Participant shall specify on the Election Form, in increments of one percent (1%), the percentage of his or her Cash Account or Measurement Fund, as applicable, to be allocated/reallocated.


 
11 (iv) Crediting or Debiting Method. The performance of each Measurement Fund (either positive or negative) will be determined on a daily basis based on the manner in which such Participant’s Account Balance has been hypothetically allocated among the Measurement Funds by the Participant. (v) No Actual Investment. Notwithstanding any other provision of the Plan that may be interpreted to the contrary, the Measurement Funds are to be used for measurement purposes only, and a Participant’s election of any such Measurement Fund, the allocation of his or her Cash Account thereto, the calculation of additional amounts and the crediting or debiting of such amounts to a Participant’s Cash Account shall not be considered or construed in any manner as an actual investment of his or her Cash Account in any such Measurement Fund. In the event that the Company or the Trustee (as that term is defined in the Trust), in its own discretion, decides to invest funds in any or all of the investments on which the Measurement Funds are based, no Participant shall have any rights in or to such investments themselves. Without limiting the foregoing, a Participant’s Account shall at all times be a bookkeeping entry only and shall not represent any investment made on his or her behalf by the Company or the Trust; the Participant shall at all times remain an unsecured creditor of the Company. (b) Stock Account. (i) The portion of a Participant’s Account attributable to the deferral of RSUs and PSUs pursuant to the terms of the Plan will be automatically and irrevocably allocated to the Stock Account. No portion of the Participant’s Cash Account can be either initially allocated or re-allocated to the Stock Account. Amounts allocated to the Stock Account shall only be distributable in actual shares of Stock, provided that fractional shares shall be rounded down to the nearest whole share of Stock and such fractional shares shall be forfeited for no consideration in accordance with the Equity Plan. Amounts credited to a Stock Account shall not accrue interest or earnings. (ii) Any stock dividends that are paid pursuant to the Equity Plan and related award agreements during any period that a Participant holds Stock in a Stock Account, shall be credited to the Participant’s Stock Account in the form of additional shares of Stock and shall automatically and irrevocably be deemed to be re-invested in the Stock Account until such amounts are distributed to the Participant. The number of shares credited to the Participant for a particular stock dividend shall be equal to (A) the number of shares of Stock


 
12 credited to the Participant’s Stock Account as of the payment date for such dividend in respect of each share of Stock, multiplied by (B) the number of additional whole or fractional shares of Stock actually paid as a dividend in respect of each share of Stock. Any cash dividends that are paid pursuant to the Equity Plan and related award agreements during any period that a Participant holds Stock in a Stock Account shall be credited to the Participant’s Cash Account on the date on which the applicable dividend is paid to stockholders generally or such other date as is determined by the Committee and held in the Cash Account until such amounts are distributed to the Participant. The cash credited to a Participant’s Cash Account for a particular cash dividend shall be equal to (A) the number of shares of Stock credited to the Participant’s Stock Account as of the payment date for such dividend in respect of each share of Stock, multiplied by (B) the fair market value of the dividend, divided by (C) the fair market value of the Stock on the payment date for such dividend. (iii) For purposes of this Section 3.6(b), the fair market value of a share of Stock as of a particular date shall mean the fair market value of a share of Stock as determined in accordance with the Equity Plan. The RSUs and PSUs that may be paid pursuant to the Plan shall be issued under the Equity Plan subject to all of the terms and conditions of the Equity Plan, and only to the extent that Stock remains available for issuance under the Equity Plan. The terms and conditions of the Equity Plan are incorporated into and made a part of this Plan with respect to any RSUs and PSUs paid pursuant to this Plan, and any awards of RSUs or PSUs shall be governed by and construed in accordance with the provisions of the Equity Plan. In the event of any inconsistency between the Equity Plan and this Plan with respect to RSUs or PSUs, the terms of the Equity Plan shall control. The Plan does not constitute a separate source of Stock for the RSU and PSU grants described herein. (iv) Notwithstanding anything to the contrary, all Stock or other securities delivered under the Plan shall be subject to such stop transfer orders and other restrictions as the Committee may deem advisable under the Plan or the rules, regulations and other requirements of the Securities and Exchange Commission, any stock exchange on which such Stock or other securities are then listed, and any applicable federal, state or local securities laws. The Committee may at any time alter the effective date of any investment or allocation involving the Stock Account pursuant to Section 9.1 (relating to safeguards against insider trading). The Committee may also, to the extent necessary to ensure compliance with Rule 16b- 3(f) of the Act, arrange for tracking of any such transaction defined


 
13 in Rule 16b-3(b)(1) of the Act and bar any such transaction to the extent it would not be exempt under Rule 16b-3(f). The Company may also impose blackout periods pursuant to the requirements of the Sarbanes-Oxley Act of 2002 whenever the Company determines that circumstances warrant. Further, the Company may impose blackout periods on insider trading with respect to Stock Accounts, as needed (as determined by the Company) in accordance with the Company’s insider trading policy, as it may be amended from time to time. 3.7 FICA and Other Taxes. (a) Annual Deferral Amounts. For each Plan Year in which an Annual Deferral Amount is being withheld from a Participant, the Company Group shall withhold from that portion of the Participant’s Base Salary and/or Bonus that is not being deferred, in a manner determined by Company Group, the Participant’s share of FICA and other employment taxes on such Annual Deferral Amount. If necessary, the Committee may reduce the Annual Deferral Amount in order to comply with this Section 3.7. (b) RSU Amounts and PSU Amounts. For each Plan Year in which an RSU Amount or PSU Amount is being first withheld from an Employee Participant, the Company Group shall withhold from that portion of the Participant’s compensation not being deferred, in a manner determined by the Company Group, the Participant’s share of FICA and other employment taxes on such RSU Amount and/or PSU Amount. If necessary, the Committee may reduce the RSU Amount and/or PSU Amount or sell Shares relating to RSUs or PSUs that would have vested but for the deferral of such RSU or PSU, in order to comply with this Section 3.7. (c) Distributions. The Company Group, or the trustee of the Trust, shall withhold from any payments made to a Participant under the Plan all federal, state and local income, employment and other taxes required to be withheld by the Company Group, or the trustee of the Trust, in connection with such payments, in amounts and in a manner to be determined in the sole discretion of Company Group and the trustee of the Trust. ARTICLE 4 In-Service Distribution of Account; Unforeseeable Emergency 4.1 Scheduled Distribution. In connection with each election to defer an Annual Deferral Amount, RSU Amount and PSU Amount, a Participant may elect to receive all or a portion of such Annual Deferral Amount, RSU Amount and PSU Amount, as adjusted pursuant to Section 3.6 with respect to the Annual Deferral Amount, on a Benefit Distribution Date designated by the Participant in accordance with this Section (a “Scheduled Distribution”). The minimum deferral period for Scheduled Distributions is three years from the beginning of earnings period.


 
14 The Benefit Distribution Date for the amount subject to a Scheduled Distribution election shall be, or commence on, March 1 of any Plan Year designated by the Participant as permitted on an Election Form approved by the Committee. The Participant may elect to receive the Scheduled Distribution in the form of a lump sum payment or pursuant to the Annual Installment Method, calculated as of the close of business on or around the Benefit Distribution Date, as permitted on an Election Form approved by the Committee, subject to Section 4.3. If a Participant does not make any election with respect to a Scheduled Distribution, then the Participant will be deemed to have elected to receive such Annual Deferral Account as a lump sum. 4.2 Postponing Scheduled Distributions. To the extent permitted by the Committee, a Participant may elect to postpone a Scheduled Distribution described in Section 4.1 above, and have such amount paid out upon an allowable alternative Benefit Distribution Date designated in accordance with this Section 4.2. In order to make such an election, the Participant must submit an Election Form to the Committee in accordance with the following criteria: (a) The election of the new Benefit Distribution Date shall have no effect until at least 12 months after the date on which the election is made; (b) The new Benefit Distribution Date selected by the Participant for such Scheduled Distribution must be March 1 of a Plan Year that is no sooner than 5 years after the previously designated Benefit Distribution Date; and (c) The election must be made at least 12 months prior to the Participant’s previously designated Benefit Distribution Date for such Scheduled Distribution. For purposes of applying the provisions of this Section 4.2, a Participant’s election to postpone a Scheduled Distribution shall not be considered to be made until the date on which the election becomes irrevocable. Such an election shall become irrevocable no later than the date that is 12 months prior to the Participant’s previously designated Benefit Distribution Date for such Scheduled Distribution. 4.3 Other Benefits Take Precedence Over Scheduled Distributions. Should an event occur prior to any Benefit Distribution Date designated for a Scheduled Distribution that would trigger a benefit under Article 5, all amounts subject to a Scheduled Distribution election shall be paid in accordance with Article 5 and not in accordance with this Article 4. Should an intervening event occur pursuant to Article 5 prior to the complete distribution of a Participant’s Account through Scheduled Distributions, then the following shall apply: (a) Upon the occurrence of an intervening event described in Section 5.2, 5.3 or 5.4, any unpaid portion of the Participant’s Account shall be accelerated and paid in a lump sum in accordance with Section 5.2, 5.3 or 5.4, as applicable, and Treasury Regulation Section 1.409A-3(j)(1); and (b) Upon the occurrence of an intervening Separation from Service, any unpaid portion of the Participant’s Account shall continue to be paid in accordance with the Participant’s Scheduled Distribution election.


 
15 Notwithstanding anything to the contrary, in no event shall a Participant’s Stock Account attributable to the deferral of RSUs and/or PSUs be distributed earlier than the last date that the applicable deferred RSU Amount and/or PSU Amount is originally scheduled to vest in accordance with the vesting schedule provided in the Equity Plan and the applicable RSU and/or PSU award agreements. 4.4 Unforeseeable Emergencies. (a) If a Participant experiences an Unforeseeable Emergency prior to the occurrence of a distribution event described in this Article 4 and Article 5, as applicable, the Participant may petition the Committee to receive a partial or full payout from the Plan. The payout, if any, from the Plan shall not exceed the lesser of (i) the Participant’s Cash Account, calculated as of the close of business on or around the Benefit Distribution Date for such payout, as determined by the Committee in accordance with provisions set forth below, or (ii) the amount necessary to satisfy the Unforeseeable Emergency, plus amounts necessary to pay Federal, state, or local income taxes or penalties reasonably anticipated as a result of the distribution. A Participant shall not be eligible to receive a payout from the Plan to the extent that the Unforeseeable Emergency is or may be relieved (A) through reimbursement or compensation by insurance or otherwise; (B) by liquidation of the Participant’s assets, to the extent the liquidation of such assets would not itself cause severe financial hardship; or (C) by cessation of deferrals under the Plan. If the Committee, in its sole discretion, approves a Participant’s petition for payout from the Plan, the Participant’s Benefit Distribution Date for such payout shall be the date on which such Committee approval occurs. In addition, in the event of such approval the Participant’s outstanding deferral elections under the Plan shall be cancelled. (b) A Participant’s deferral elections under the Plan shall also be cancelled to the extent the Committee determines that such action is required for the Participant to obtain a hardship distribution from a 401(k) plan of the Company Group pursuant to Treas. Reg. §1.401(k)-1(d)(3). ARTICLE 5 Other Distributions of Account 5.1 Termination Benefit. (a) Termination Benefit. If a Participant experiences a Separation from Service, the Participant will receive a distribution of his or her Account (a “Termination Benefit”) in accordance with this Section 5.1, subject to Section 4.3(b).


 
16 (b) Timing of Termination Benefits. A Participant’s Termination Benefit will be calculated as of the close of business on or around the Benefit Distribution Date for such benefit. (c) Election of Payment Form. In connection with a Participant’s election to defer an Annual Deferral Amount, RSU Amount and PSU Amount, the Participant may elect the form of Termination Benefit in which his or her Annual Account for such Plan Year will be paid. The Participant may elect to receive the Termination Benefit in the form of a lump sum payment or pursuant to the Annual Installment Method, as permitted by the Committee and provided in an Election Form approved by the Committee. If a Participant does not make any election with respect to the Termination Benefit, then the Participant will be deemed to have elected to receive such Annual Account as a lump sum. Notwithstanding anything to the contrary, if a Participant elects the Annual Installment Method for a Separation from Service and a Change in Control occurs or the Participant dies or becomes Disabled after the Participant’s Separation from Service, any unpaid portion of the Participant’s Account shall be accelerated and paid in a lump sum in accordance with Section 5.2, 5.3 or 5.4, as applicable, and Treasury Regulation Section 1.409A-3(j)(1). (d) Modification of Payment Form. If permitted by the Committee, a Participant may change the form of Termination Benefit payment for an Annual Account, by submitting an Election Form to the Committee in accordance with the following criteria: (i) The election will not take effect until 12 months after the date on which the election is made; (ii) The new Benefit Distribution Date for such Annual Account will be 5 years after the Benefit Distribution Date that would otherwise have been applicable to such Annual Account; and (iii) The election must be made at least 12 months prior to the Benefit Distribution Date that would otherwise have been applicable to such Annual Account. For purposes of applying the provisions of this Section 5.1(d), a Participant’s election to change the form of Termination Benefit payment for an Annual Account will not be considered to be made until the date on which the election becomes irrevocable. Such an election will become irrevocable no later than the date that is 12 months prior to the Benefit Distribution Date that would otherwise have been applicable to such Annual Account. Subject to the requirements of this Section 5.1(d), the Election Form most recently accepted by the Committee that has become


 
17 effective for an Annual Account will govern the form of payout of such Annual Account. (e) Timing of Payments. The lump sum payment will be made, or installment payments will commence, within 60 days of the Participant’s Benefit Distribution Date. Remaining installments, if any, will be paid within 60 days of each anniversary of the Participant’s Benefit Distribution Date. (f) De Minimis Amounts. Notwithstanding any other provisions of this Plan to the contrary, the Committee may distribute a Participant’s Account in a lump sum at any time if the Account does not exceed the then current limit (as indexed) under §402(g)(1)(B) of the Code and results in the termination of the Participant’s entire interest in this Plan and all other similar plans in compliance with all Section 409A. 5.2 Change in Control Benefit. (a) Change in Control Benefit. In the event of a Change in Control prior to the complete distribution of a Participant’s Account, the Participant will receive a distribution of his or her Account (the “Change in Control Benefit”) in accordance with this Section 5.2. (b) Timing of Change in Control Benefits. A Participant’s Change in Control Benefit will be calculated as of the close of business on or around the Benefit Distribution Date for such benefit. (c) Payment Form. The Participant will receive his or her Account as a lump sum payment. (d) Timing of Payments. The lump sum payment will be made within 60 days of the Participant’s Benefit Distribution Date. 5.3 Disability Benefit. (a) Disability Benefit. If a Participant becomes Disabled prior to the complete distribution of his or her Account, the Participant will receive a distribution of his or her Account (the “Disability Benefit”) in accordance with this Section 5.3. (b) Timing of Disability Benefits. A Participant’s Disability Benefit will be calculated as of the close of business on or around the Benefit Distribution Date for such benefit, which shall be the date on which the Participant becomes Disabled. (c) Payment Form. The Participant will receive his or her Account as a lump sum payment.


 
18 (d) Timing of Payments. The lump sum payment will be made within 60 days of the Participant’s Benefit Distribution Date. 5.4 Death Benefit. (a) Death Benefit. In the event of a Participant’s death prior to the complete distribution of his or her Account, the Participant’s Beneficiary(ies) shall receive the Participant’s unpaid Account (the “Death Benefit”) in accordance with this Section 5.4. (b) Timing of Death Benefits. A Participant’s Death Benefit will be calculated as of the close of business on or around the Benefit Distribution Date for such benefit, which shall be the date of the Participant’s death. (c) Payment Form. The Beneficiary will receive the Participant’s Account as a lump sum payment. (d) Timing of Payments. The lump sum payment will be made within 60 days of the Participant’s Benefit Distribution Date. ARTICLE 6 Beneficiary Designation 6.1 Beneficiary. Each Participant shall have the right, at any time, to designate his or her Beneficiary(ies) (both primary as well as contingent) to receive any benefits payable under the Plan to a beneficiary upon the death of a Participant. The Beneficiary designated under the Plan may be the same as or different from the Beneficiary designation under any other plan of a Company Group in which the Participant participates. 6.2 Beneficiary Designation; Change. A Participant shall designate his or her Beneficiary by completing the Beneficiary Designation Form and returning it to the Committee or its designated agent. A Participant shall have the right to change a Beneficiary by completing and otherwise complying with the terms of the Beneficiary Designation Form and the Committee’s rules and procedures, as in effect from time to time. Upon the acceptance by the Committee of a new Beneficiary Designation Form, all Beneficiary designations previously filed shall be canceled. The Committee shall be entitled to rely on the last Beneficiary Designation Form filed by the Participant and accepted by the Committee prior to his or her death. 6.3 Acknowledgment. No designation or change in designation of a Beneficiary shall be effective until received and acknowledged by the Committee or its designated agent. 6.4 No Beneficiary Designation. If a Participant fails to designate a Beneficiary as provided in Sections 6.1, 6.2 and 6.3 above, or if all designated Beneficiaries predecease the Participant or die prior to complete distribution of the Participant’s benefits, then the Participant’s designated Beneficiary shall be deemed to be his or her surviving spouse. If the Participant has no surviving spouse, the benefits remaining under the Plan to be paid to a Beneficiary shall be payable to the executor or personal representative of the Participant’s estate.


 
19 6.5 Discharge of Obligations. The payment of benefits under the Plan to a Beneficiary shall fully and completely discharge the Company Group and the Committee from all further obligations under the Plan with respect to the Participant, and that Participant’s Plan Agreement, if any, shall terminate upon such full payment of benefits. ARTICLE 7 Leave of Absence 7.1 Paid Leave of Absence. If a Participant is authorized by the Company Group to take a paid leave of absence, and such leave of absence does not constitute a Separation from Service, (a) the Participant shall continue to be considered eligible for the benefits provided under the Plan, and (b) the Annual Deferral Amount and any previously elected deferrals of RSUs and/or PSUs shall continue to be withheld during such paid leave of absence in accordance with Section 3.2. 7.2 Unpaid Leave of Absence. If a Participant is authorized by Company Group to take an unpaid leave of absence for any reason, and such leave of absence does not constitute a Separation from Service, such Participant shall continue to be eligible for the benefits provided under the Plan. During the unpaid leave of absence, the Participant shall not be allowed to make any additional deferral elections. However, if the Participant returns to employment, the Participant may elect to defer an Annual Deferral Amount, RSU Amount and/or PSU Amount for the Plan Year following his or her return to employment and for every Plan Year thereafter while a Participant in the Plan, provided such deferral elections are otherwise allowed and an Election Form is delivered to and accepted by the Committee for each such election in accordance with Section 3.2 above; however, any previously elected deferrals of RSUs and/or PSUs shall continue to be withheld during such unpaid leave of absence to the extent they continue to vest in accordance with their terms Section 3.2. ARTICLE 8 Termination of Plan, Amendment or Modification 8.1 Termination of Plan. The Company expects the Plan to be continued indefinitely but reserves the right to terminate the Plan at any time by action of its Leadership Development and Compensation Committee. If the Plan is terminated, the value of the Accounts shall be paid to Participants and Beneficiaries in a single lump-sum cash payment and in accordance with Section 409A. 8.2 Amendment. The Company may, at any time, amend or modify the Plan in whole or in part. Notwithstanding the foregoing, (a) no amendment or modification shall be effective to decrease the value of a Participant’s Account in existence at the time the amendment or modification is made, and (b) no amendment or modification of this Section 8.2 shall be effective. 8.3 Effect of Payment. The full payment of the Participant’s Account in accordance with the applicable provisions of the Plan shall completely discharge all obligations to a Participant and his or her designated Beneficiaries under the Plan, and the Participant’s Plan Agreement, if any, shall terminate.


 
20 ARTICLE 9 Administration 9.1 Committee Duties. Except as otherwise provided in this Article 9, the Plan shall be administered by a Committee. Members of the Committee may be Participants under the Plan. The Committee shall also have the discretion and authority to (a) make, amend, interpret, and enforce all appropriate rules and regulations for the administration of the Plan, and (b) decide or resolve any and all questions, including benefit entitlement determinations and interpretations of the Plan, as may arise in connection with the Plan. Any individual serving on the Committee who is a Participant shall not vote or act on any matter relating solely to himself or herself. When making a determination or calculation, the Committee shall be entitled to rely on information furnished by a Participant or the Company. Notwithstanding any other provision of the Plan, except provisions relating to compliance with Section 409A, the Committee may take any action it deems is necessary to assure compliance with any policy of the Company respecting insider trading as may be in effect from time to time. Such actions may include altering the effective date of intra-fund transfers or the distribution date of Annual Accounts, to the extent permitted under Section 409A. Any such actions shall alter the normal operation of the Plan to the minimum extent necessary. 9.2 Agents. In the administration of the Plan, the Committee may, from time to time, employ agents and delegate to them such administrative duties as it sees fit (including acting through a duly appointed representative) and may from time to time consult with counsel. 9.3 Binding Effect of Decisions. The decision or action of the Committee with respect to any question arising out of or in connection with the administration, interpretation and application of the Plan and the rules and regulations promulgated hereunder shall be final and conclusive and binding upon all persons having any interest in the Plan. 9.4 Indemnity of Committee. The Company shall indemnify and hold harmless the members of the Committee and any Employee to whom the duties of the Committee may be delegated against any and all claims, losses, damages, expenses or liabilities arising from any action or failure to act with respect to the Plan, except in the case of willful misconduct by the Committee, any of its members, or any such Employee. 9.5 Section 16 Compliance. The Plan is intended to be a formula plan for purposes of Section 16 of the Securities Exchange Act of 1934, as it may be amended from time to time (the “Act”). Accordingly, in the case of a deferral or other action under the Plan that constitutes a transaction that could be covered by Rule 16b-3(d) or (e), if it were approved by the Company’s Board or Leadership and Development and Compensation Committee (“Board Approval”), it is intended that the Plan shall be administered by delegates of the Leadership and Development and Compensation Committee, in the case of a Participant who is subject to Section 16 of the Act, in a manner that will permit the Board Approval of the Plan to avoid any additional Board Approval of specific transactions to the maximum possible extent. The liquidation of the Participant’s Stock Account in connection with a distribution to the Participant may, as determined by the Committee and if permitted by Section 409A, be delayed until date such distribution will not violate Section 16 of the Act.


 
21 9.6 Clawback Policy. Payment of an Account under the Plan shall be subject to any policy of the Company or any affiliate that provides for forfeiture, disgorgement, or clawback with respect to incentive compensation, including any RSUs and/or PSUs deferred under the Plan, and will be further subject to forfeiture and disgorgement to the extent required by law or applicable stock exchange listing standards. Each Participant, by participating in the Plan, agrees (or will be deemed to have agreed) to the terms of this 9.6 and any clawback, recoupment or similar policy of the Company or any affiliates and further agrees (or will be deemed to have further agreed) to cooperate fully with the Committee, and to cause any and all Beneficiary to cooperate. ARTICLE 10 Claims Procedures 10.1 Presentation of Claim. Any Participant or Beneficiary of a deceased Participant (such Participant or Beneficiary being referred to below as a “Claimant”) may deliver to the Committee a written claim for a determination with respect to the amounts distributable to such Claimant from the Plan, eligibility for Plan participation, or any other question or issue regarding such Claimant’s rights under the Plan (referred to herein as a “claim”). If such a claim relates to the contents of a notice received by the Claimant, the claim must be made within 60 days after such notice was received by the Claimant. All other claims must be made within 180 days of the date on which the event that caused the claim to arise first occurred. The claim must state with particularity the determination desired by the Claimant. Additionally, upon denial of an appeal pursuant to this Article, a Claimant shall have 180 days within which to bring suit against the Plan or the Company for any claim related to such denied appeal; any such suit initiated after such 180- day period shall be precluded. 10.2 Notification of Decision. The Committee shall consider a Claimant’s claim within a reasonable time, but no later than 90 days after receiving the claim. If the Committee determines that special circumstances require an extension of time for processing the claim, written notice of the extension shall be furnished to the Claimant prior to the termination of the initial 90 day period. In no event shall such extension exceed a period of 90 days from the end of the initial period. The extension notice shall indicate the special circumstances requiring an extension of time and the date by which the Committee expects to render the benefit determination. The Committee shall notify the Claimant in writing: (a) that the Claimant’s requested determination has been made, and that the claim has been allowed in full; or (b) that the Committee has reached a conclusion contrary, in whole or in part, to the Claimant’s requested determination, and such notice must set forth in a manner calculated to be understood by the Claimant: (c) the specific reason(s) for the denial of the claim, or any part of it; (d) specific reference(s) to pertinent provisions of the Plan upon which such denial was based;


 
22 (e) a description of any additional material or information necessary for the Claimant to perfect the claim, and an explanation of why such material or information is necessary; (f) an explanation of the claim review procedure set forth in Section 10.3 below; and (g) a statement of the Claimant’s right to bring a civil action under ERISA Section 502(a) following an adverse benefit determination on review. 10.3 Review of a Denied Claim. On or before 60 days after receiving a notice from the Committee that a claim has been denied, in whole or in part, a Claimant (or the Claimant’s duly authorized representative) may file with the Committee a written request for a review of the denial of the claim. The Claimant (or the Claimant’s duly authorized representative): (a) may, upon request and free of charge, have reasonable access to, and copies of all documents, records and other information relevant (as defined in applicable ERISA regulations) to the claim for benefits; (b) may submit written comments or other documents; and/or (c) may request a hearing, which the Committee, in its sole discretion, may grant. 10.4 Decision on Review. The Committee shall render its decision on review promptly, and no later than 60 days after the Committee receives the Claimant’s written request for a review of the denial of the claim. If the Committee determines that special circumstances require an extension of time for processing the claim, written notice of the extension shall be furnished to the Claimant prior to the termination of the initial 60 day period. In no event shall such extension exceed a period of 60 days from the end of the initial period. The extension notice shall indicate the special circumstances requiring an extension of time and the date by which the Committee expects to render its determination. In rendering its decision, the Committee shall take into account all comments, documents, records and other information submitted by the Claimant relating to the claim, without regard to whether such information was submitted or considered in the initial determination. The decision must be written in a manner calculated to be understood by the Claimant, and it must contain: (a) specific reasons for the decision; (b) specific reference(s) to the pertinent Plan provisions upon which the decision was based; (c) a statement that the Claimant is entitled to receive, upon request and free of charge, reasonable access to and copies of all documents, records and other information relevant (as defined in applicable ERISA regulations) to the Claimant’s claim for benefits; and


 
23 (d) a statement of the Claimant’s right to bring a civil action under ERISA Section 502(a). 10.5 Legal Action. A Claimant’s compliance with the foregoing provisions of this Article 10 is a mandatory prerequisite to a Claimant’s right to commence any legal action with respect to any claim for benefits under the Plan. ARTICLE 11 Trust 11.1 Establishment of the Trust. In order to provide assets from which to fulfill its obligations to the Participants and their Beneficiaries under the Plan, the Company may, in its discretion, establish a grantor trust by a trust agreement with a third party, the trustee, to which the Company may, in its discretion, contribute cash or other property, including securities issued by the Company, to provide for the benefit payments under the Plan (the “Trust”). Any creation or maintenance of a trust or other informal funding vehicle shall not create or constitute a trust or a fiduciary relationship between the Committee or the Company and a Participant, or otherwise confer on any Participant or Beneficiary or his or her creditors a vested or beneficial interest in any assets of the Company whatsoever. Participants and Beneficiaries shall have no claim against the Company for any changes in the value of any assets which may be invested or reinvested by the Company with respect to this Plan. 11.2 Interrelationship of the Plan and the Trust. The provisions of the Plan and any Plan Agreement shall govern the rights of a Participant to receive distributions pursuant to the Plan. The provisions of the Trust shall govern the rights of the Company, Participants and the creditors of the Company to the assets transferred to the Trust. The Company shall at all times remain liable to carry out its obligations under the Plan. 11.3 Distributions From the Trust. The Company’s obligations under the Plan may be satisfied with Trust assets distributed pursuant to the terms of the Trust, and any such distribution shall reduce the Company’s obligations under the Plan. ARTICLE 12 Miscellaneous 12.1 Status of Plan. The Plan is intended to be a plan that is not qualified within the meaning of Section 401(a) of the Code and that “is unfunded and is maintained by an employer primarily for the purpose of providing deferred compensation for a select group of management or highly compensated employees” within the meaning of ERISA Sections 201(2), 301(a)(3) and 401(a)(1). The Plan shall be administered and interpreted to the extent possible in a manner consistent with the intent described in the preceding sentence. 12.2 Section 409A. The Plan is intended to comply with, or be exempt from, the requirements of Section 409A, and the provisions of the Plan (including any Election Form, Plan Agreement or related agreement) shall be interpreted in a manner that satisfies the requirements of Section 409A. If any provision of the Plan (including any Election Form, Plan Agreement or related agreement) would otherwise frustrate or conflict with this intent, such provision will be


 
24 interpreted and deemed amended so as to avoid such conflict. Notwithstanding anything to the contrary, to the extent that any payment under the Plan is determined by the Committee to constitute “nonqualified deferred compensation” subject to Section 409A and is payable to a Participant by reason of a Participant’s Separation from Service, then (i) such payment shall be made or provided only upon a Separation from Service and (ii) if the Participant is a “specified employee” (within the meaning of Section 409A and as determined by the Committee), such payment shall not be made or provided to the Participant until first day of the seventh month following the date of the Participant’s Separation from Service (or, if earlier, on the date of the Participant’s death). Neither the Company Group, the Committee nor any person acting on behalf of the Company Group, will be liable to any Participant, a Beneficiary, or to any other person by reason of any acceleration of income, any additional tax, or any penalty, interest or other liability asserted by reason of the Plan failing to satisfy the requirements of Section 409A. For purposes of the Plan, the right to receive a benefit payment in annual installments shall be treated as the entitlement to a single payment. 12.3 Unsecured General Creditor. Participants and their Beneficiaries, heirs, successors and assigns shall have no legal or equitable rights, interests or claims in any property or assets of the Company Group. For purposes of the payment of benefits under the Plan, any and all of the Company’s assets shall be, and remain, the general, unpledged unrestricted assets of the Company. The Company’s obligation under the Plan shall be merely that of an unfunded and unsecured promise to pay money in the future. 12.4 Company’s Liability. The Company’s liability for the payment of benefits shall be defined only by the Plan and any Plan Agreement, as entered into between the Company and a Participant. The Company shall have no obligation to a Participant under the Plan except as expressly provided in the Plan and his or her Plan Agreement. 12.5 Nonassignability. Neither a Participant nor any other person shall have any right to commute, sell, assign, transfer, pledge, anticipate, mortgage or otherwise encumber, transfer, hypothecate, alienate or convey in advance of actual receipt, the amounts, if any, payable hereunder, or any part thereof, which are, and all rights to which are expressly declared to be, unassignable and non-transferable. No part of the amounts payable shall, prior to actual payment, be subject to seizure, attachment, garnishment or sequestration for the payment of any debts, judgments, alimony or separate maintenance owed by a Participant or any other person, be transferable by operation of law in the event of a Participant’s or any other person’s bankruptcy or insolvency or be transferable to a spouse as a result of a property settlement or otherwise, including but not limited to a domestic relations order. 12.6 Not a Contract of Employment. The terms and conditions of the Plan shall not be deemed to constitute a contract of employment between any member of the Company Group and the Participant. Such employment is hereby acknowledged to be an “at will” employment relationship that can be terminated at any time for any reason, or no reason, with or without cause, and with or without notice, unless expressly provided in a written employment agreement. Nothing in the Plan shall be deemed to give a Participant the right to be retained in the service of the Company Group, either as an Employee or a Director, or to interfere with the right of the Company Group to discipline or discharge the Participant at any time.


 
25 12.7 Furnishing Information. A Participant or his or her Beneficiary will cooperate with the Committee by furnishing any and all information requested by the Committee and take such other actions as may be requested in order to facilitate the administration of the Plan and the payments of benefits hereunder, including but not limited to taking such physical examinations as the Committee may deem necessary. 12.8 Terms. Whenever any words are used herein in the masculine, they shall be construed as though they were in the feminine in all cases where they would so apply; and whenever any words are used herein in the singular or in the plural, they shall be construed as though they were used in the plural or the singular, as the case may be, in all cases where they would so apply. 12.9 Captions. The captions of the articles, sections and paragraphs of the Plan are for convenience only and shall not control or affect the meaning or construction of any of its provisions. 12.10 Governing Law. Subject to ERISA, the provisions of the Plan shall be construed and interpreted according to the internal laws of the State of Delaware without regard to its conflicts of laws principles. 12.11 Notice. Any notice or filing required or permitted to be given to the Committee under the Plan shall be sufficient if in writing and hand-delivered, or sent by registered or certified mail, to the address below: Roblox Corporation Attn: Corporate Secretary 970 Park Place San Mateo, CA 94403 Such notice shall be deemed given as of the date of delivery or, if delivery is made by mail, as of the date shown on the postmark on the receipt for registration or certification. Any notice or filing required or permitted to be given to a Participant under the Plan shall be sufficient if in writing and hand-delivered, or sent by mail, to the last known address of the Participant. 12.12 Successors. The provisions of the Plan shall bind and inure to the benefit of the Company and its successors and assigns and the Participant and the Participant’s designated Beneficiaries. 12.13 Spouse’s Interest. The interest in the benefits hereunder of a spouse of a Participant who has predeceased the Participant shall automatically pass to the Participant and shall not be transferable by such spouse in any manner, including but not limited to such spouse’s will, nor shall such interest pass under the laws of intestate succession.


 
26 12.14 Validity. In case any provision of the Plan shall be illegal or invalid for any reason, said illegality or invalidity shall not affect the remaining parts hereof, but the Plan shall be construed and enforced as if such illegal or invalid provision had never been inserted herein. 12.15 Incompetent. If the Committee determines in its discretion that a benefit under the Plan is to be paid to a minor, a person declared incompetent or to a person incapable of handling the disposition of that person’s property, the Committee may direct payment of such benefit to the guardian, legal representative or person having the care and custody of such minor, incompetent or incapable person. The Committee may require proof of minority, incompetence, incapacity or guardianship, as it may deem appropriate prior to distribution of the benefit. Any payment of a benefit shall be a payment for the account of the Participant and the Participant’s Beneficiary, as the case may be, and shall be a complete discharge of any liability under the Plan for such payment amount.


 
IN WITNESS WHEREOF, the Plan is effective as of March 16, 2023, the date the Board approved the Plan. ROBLOX CORPORATION By: /s/ Mark Reinstra Name: Mark Reinstra Title: General Counsel & Secretary


 
14998361.2 223551-10001 ADOPTION AGREEMENT DEFERRED COMPENSATION PLAN The undersigned Company acting on behalf of itself, having been duly advised by its own counsel as to the legal and tax consequences of adopting this Deferred Compensation Plan, and having determined that adoption of this Plan as an unfunded, nonqualified deferred compensation plan (intending that the same comply with the applicable requirements of Section 409A of the Internal Revenue Code of 1986, as amended) would better enable the Company to attract and retain key personnel, HEREBY ADOPTS the attached Deferred Compensation Plan, subject to the following terms, conditions and elections, all of which are integral parts of the Plan adopted hereby: Company Name: Roblox Corporation Company Address: 970 Park Place, San Mateo, CA 94403 Plan Name: Roblox Corporation Deferred Compensation Plan Effective Date of the Plan: 3/16/2023 Capitalized terms used in this Adoption Agreement that are defined in the Plan document and not separately defined herein shall have the respective defined meanings set forth in the Plan document. This Adoption Agreement is subject to the terms and conditions of the Plan.


 
14998361.2 223551-10001 The Company hereby elects, for purposes of this Plan, as follows: I. Pay Types from which Annual Deferral Amounts may be deferred by Participants are as follows: Pay Type Maximum Percentage Base Salary 90% Cash Director Fees 100% Bonus 100% Upcoming RSU Grant 100% Upcoming PSU Grant 100% II. Distributions. Please note special rules for Specified Employees will apply. a. Scheduled Distributions (In-Service) Yes (Trumped by all other distribution events. In-Service installments that have commenced will continue if Separation from Service occurs post-commencement) (i) Type of election is Class year - each year’s balance may have a different distribution election (ii) Alternative forms of distribution Lump Sum Annual installments for any whole number of years up to 5 - Participant Elects Year – Valuation Date is March 1 of elected year. (iii) The Minimum Deferral Period for vested balances, is 3 years measured from the beginning of the Plan Year. For example: when enrolling for the 2023 plan year, the earliest allowable In- Service Distribution year is 2026. Valuation date of elected year is March 1. b. Separation from Service Distribution (i) Type of election applies as Class year – each year’s balance may have a different distribution election (ii) Alternative forms of distribution Lump Sum Annual installments for any whole number of years up to 10 c. Disability Distribution (i) Type of distribution election applies as Mandatory (ii) Form of distribution Lump Sum d. Death Benefit Distribution (i) Type of distribution election applies as Mandatory (ii) Form of distribution Lump Sum e. Change in Control Distribution


 
14998361.2 223551-10001 (i) Type of distribution election applies as Mandatory (i) Form of distribution Lump Sum f. Default Distribution (i) If any Distribution Election is not selected, the default form of distribution is Lump Sum g. Small Accounts payment (NOTE: this is in addition to the default deminimis provision that allows the Company to pay the Participant’s vested Account Balance at any time if it does not exceed the then applicable limit of §402(g)(1)(B) of the Code and results in the termination of the Participant’s entire interest in the Plan.) None (recommended) h. The Plan’s Identification Date for purposes of determining Specified Employee status is December 31. III. Rabbi Trust: The Sponsor elects to establish a grantor trust (rabbi trust) under the Plan. IV. Governing Law: The Plan will generally be governed by federal law but the governing state law, to the extent not preempted by federal law, and in any case subject to the choice of law rules of any court before which any suit or proceeding affecting this Plan may be heard, shall be the laws of the state of Delaware.


 
14998361.2 223551-10001 IN WITNESS WHEREOF, the Company has caused its duly authorized representative to execute this Adoption Agreement, under seal, as of the Effective Date set forth above, intending that the Company shall be bound hereby, and that each Participant, Committee Member and Record Keeper may rely hereon. ROBLOX CORPORATION By: _________/s/ Mark Reinstra_______________ __ Print Name: ____Mark Reinstra___________________ Title: _General Counsel and Secretary_____________ Duly authorized Date:_____ March 17 , 2023________________