Please wait
Annual Report Preparedness today, safer tomorrow 20 25


 
Dear Fellow Shareholders, In 2025, we made meaningful progress toward our multi-year strategy to turnaround and transform Emergent. As we continue our transformation journey, we remain committed to our mission to protect and save lives, while prioritizing patient safety, quality and compliance and advancing the operational and strategic priorities essential to long-term growth. This year we took important steps to strengthen our financial position through a customer- focused, lean and efficient business model, strong operating results, margin improvements and significant debt repayment. These actions, combined with the strategic divestitures and operational initiatives executed in 2024, enhanced our balance sheet and reinforced the foundation needed to support sustainable value creation. We successfully achieved several important milestones, including: Looking ahead, we are focused on the transformation of our company by investing in revenue growth drivers across both the MCM and naloxone businesses by advancing our internal pipeline, expanding our international revenue and pursuing targeted acquisitions and external opportunities that leverage our infrastructure and scale. Our products help protect communities and address critical public health challenges like smallpox, anthrax, botulism, Ebola and opioid overdoses. I want to express my deepest gratitude to my incredible colleagues at Emergent for another strong year of achievements and advancements. We believe Emergent is well positioned to deliver a strong 2026 and beyond. We are confident in our ability to transform the company and fulfill our mission to protect and save lives. Joe Papa President and CEO Delivered strong earnings and cash flow, improved our cash balance by $100M and reduced our debt by $110M. Secured multiple U.S. government contract awards for biodefense preparedness and delivered medical countermeasures to over 20 countries. Distributed over 100 million doses of NARCAN® Nasal Spray across the U.S. and Canada since 2016. Expanded naloxone portfolio by acquiring exclusive commercial rights to KLOXXADO® (naloxone HCI) Nasal Spray 8 mg and maintained market leadership position for NARCAN® Nasal Spray 4 mg. Divested Baltimore-Bayview facility for $36.5M while retaining rights to secure manufacturing capacity for future growth. Received U.S. FDA approval for drug product manufacturing of raxibacumab at Winnipeg facility. Announced investment agreement with Swiss Rockets AG and pursued strategic collaboration with its subsidiary Rocketvax. Advanced key initiatives to enhance quality and operational excellence across the enterprise.


 


 


 


 


 


 


 


 


 


 


 


 


 


 


 


 


 


 


 


 


 


 


 


 


 


 


 


 


 


 


 


 


 


 


 


 


 


 


 


 


 


 


 


 


 


 


 


 


 


 


 


 


 


 


 


 


 


 


 


 


 


 


 


 


 


 


 


 


 


 


 


 


 


 


 


 


 


 


 


 


 


 


 


 


 


 


 


 


 


 


 


 


 


 


 


 


 


 


 


 


 


 


 


 


 


 


 


 


 


 


 


 


 


 


 


 


 


 


 


 


 


 


 


 


 


 


 


 


 


 


 


 


 


 


 


 


 


 


 


 


 


 


 


 


 
EXECUTIVE OFFICERS BOARD OF DIRECTORS CORPORATE HEADQUARTERS INDEPENDENT REGISTERED PUBLIC ACCOUNTING FIRM INVESTOR RELATIONS STOCK TRANSFER AGENT AND REGISTRAR ANNUAL MEETING MARKET INFORMATION CORPORATE GOVERNANCE Investors with questions concerning account information, new certificate issuances, lost or stolen certificate replacement, securities transfers, or the processing of a change of address should contact: . Our chief executive officer intends to submit his annual chief executive officer certification to the New York Stock Exchange within 30 days of the date of our Annual Meeting of Stockholders in accordance with the New York Stock Exchange listing requirements. Emergent BioSolutions Inc. is strongly committed to the highest standards of ethical conduct and corporate governance. Our Board of Directors has adopted Corporate Governance Guidelines, along with the charters of the Board Committees and a Code of Conduct and Business Ethics for directors, officers and employees, all of which are available on the company’s website at www.emergentbiosolutions.com. Additional copies of the company’s Form 10-K for the year ended December 31, 2025 of the exhibits thereto, are available without charge upon written request to Investor Relations, Emergent BioSolutions Inc., 300 Professional Drive, Gaithersburg, MD 20879 or by accessing the company's website at www.emergentbiosolutions.com. Broadridge Corporate Issuer Solutions, Inc. *All titles are as of 3/10/2026 Joseph Papa President, CEO and Director Richard Lindahl Executive Vice President, Chief Financial Officer Coleen Glessner Executive Vice President, Quality and Ethics and Compliance Jessica Perl Senior Vice President, General Counsel and Corporate Secretary William Hartzel Senior Vice President, Manufacturing and Bioservices Paul Williams Senior Vice President, Head of Products Business Simon Lowry Senior Vice President, Chief Medical Officer, Head of Research and Development Stephanie Duatschek Chief Global Strategy and Franchise Development Officer Michelle Pepin Senior Vice President and Chief Human Resources Officer Zsolt Harsanyi, Ph.D. Independent Director, Chairman of the Board Former Chief Executive Officer and Chairman of the Board, Exponential Biotherapies Inc. Audit and Finance Committee Member Quality, Compliance, Manufacturing and Risk Management Committee Member Scientific Review Committee Member Neal Fowler Independent Director Chief Executive Officer of Pathalys Pharma, Inc. Audit and Finance Committee Member Scientific Review Committee Member Sujata Dayal Independent Director Former Vice President and Global Chief Compliance Officer, Medline Industries, Inc. Chair, Quality, Compliance, Manufacturing and Risk Management Committee Audit and Finance Committee Member Keith Katkin Independent Director Former Chief Executive Officer, Urovant Sciences Ltd. Compensation Committee Member Nominating and Corporate Governance Committee Member Marvin White Independent Director President and Chief Executive Officer, Aptevo Therapeutics Inc. Chair, Audit and Finance Committee Scientific Review Committee Member Donald DeGolyer Independent Director Founder and Former Chief Executive Officer and Director of Vertice Pharma (a Warburg Pincus company) Chair, Compensation Committee Quality, Compliance, Manufacturing and Risk Management Committee Member Ronald Richard Independent Director Former President and Chief Executive Officer, The Cleveland Foundation Chair, Nominating and Corporate Governance Committee Compensation Committee Member Kathryn Zoon, Ph.D. Independent Director Scientist Emeritus, National Institute of Allergy and Infectious Diseases at the National Institutes of Health Chair, Scientific Review Committee Nominating and Corporate Governance Committee Member Quality, Compliance, Manufacturing and Risk Management Committee Member 300 Professional Drive Gaithersburg, MD 20879 Tel: 240-631-3200 Fax: 240-631-3203 Ernst & Young LLP, McLean, VA, United States P.O. Box 1342 Brentwood, NY 11717 1-877-830-4936 or 1-720-378-5591 Shareholder@broadridge.com Richard Lindahl Executive Vice President, Chief Financial Officer (240) 631-3360 Lindahlr@ebsi.com Emergent BioSolutions Inc.’s common stock trades on the New York Stock Exchange under the trading symbol "EBS." The annual meeting of Emergent BioSolutions Inc. will be held in virtual format via live audio webcast on April 29, 2026 at 9:00 a.m. Eastern Time. Stockholders can attend the meeting online at www.virtualshareholdermeeting.com/EBS2026 John Fowler, Jr. Independent Director Chair, Board of Trustees of the University of Virginia Darden School Foundation; Former Vice Chairman, Corporate and Investment Banking, Wells Fargo Audit and Finance Committee Member


 
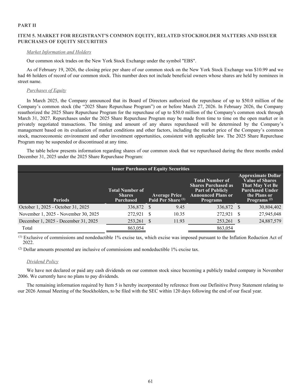
300 Professional Drive Gaithersburg, Maryland emergentbiosolutions.com