Please wait
UNITED STATES
SECURITIES AND EXCHANGE COMMISSION
Washington, D.C. 20549
SCHEDULE 14A INFORMATION
Proxy Statement Pursuant to Section 14(a) of the
Securities Exchange Act of 1934
| | | | | | | | |
Filed by the Registrant |
|
| | |
Filed by a Party other than the Registrant |
| | |
| Check the appropriate box: | |
| | |
| Preliminary Proxy Statement |
| | |
| Confidential, for Use of the Commission Only (as permitted by Rule 14a-6(e)(2)) |
| | |
| Definitive Proxy Statement |
| | |
| Definitive Additional Materials |
| | |
| Soliciting Material under §240.14a-12 |
DISCOVER FINANCIAL SERVICES
(Name of Registrant as Specified In Its Charter)
(Name of Person(s) Filing Proxy Statement, if other than the Registrant)
Payment of Filing Fee (Check all boxes that apply):
| | | | | |
| No fee required. |
| |
| Fee paid previously with preliminary materials. |
| |
| Fee computed on table in exhibit required by Item 25(b) per Exchange Act Rules 14a-6(i)(1) and 0-11. |
2022
Proxy Statement
| | | | | | | | | | | |
Vision | | | |
To be the leading digital bank and payments partner. | | | |
| | | |
Mission | | | |
| To help people spend smarter, manage debt better and save more so they achieve a brighter financial future. | | | |
| | | |
| | | Corporate Values |
| | | Doing the Right Thing |
| | | Innovation |
| | | Simplicity |
| | | Collaboration |
| | | Openness |
| | | Volunteerism |
| | | Enthusiasm |
| | | Respect |
| | | | | | | | |
| | Learn More |
| |
| 2021 Annual Report* |
| |
| https://investorrelations.discover.com/ investor-relations/financials/annual-reports/default.aspx |
| |
| *The information in the Annual Report is not incorporated by reference into, and does not form part of, this proxy statement. |
Message from our Independent Chairman
| | | | | |
| March 25, 2022 Dear Fellow Shareholder, I cordially invite you to attend Discover Financial Services’ 2022 Annual Meeting of Shareholders to be held at 9:00 a.m., Central Time, May 19, 2022. This year's Annual Meeting of Shareholders will again be held virtually. All shareholders of record of our outstanding shares of common stock at the close of business on March 21, 2022, will be entitled to vote at the Annual Meeting. For more information on how to register and attend this year's Annual Meeting of Shareholders, please refer to the Questions and Answers about the Annual Meeting and Voting section which begins on page 61 of the enclosed proxy statement. Your vote is important! Whether or not you plan to attend the Annual Meeting, please read the enclosed proxy statement and vote as soon as possible via the Internet, by telephone or, if you receive a paper Proxy Card or voting instruction form in the mail, by mailing the completed Proxy Card or voting instruction form. Using the Internet or telephone voting systems or mailing your completed Proxy Card will not prevent you from voting at the meeting if you are a shareholder of record and wish to do so. Important information about the matters to be acted upon at the meeting is included in the notice of meeting and proxy statement. Our 2021 Annual Report contains information about our Company and its financial performance. The Company's Corporate Responsibility Report contains information about the Company's efforts to fulfill its responsibility as a good corporate citizen. I am very much looking forward to our 2022 Annual Meeting of Shareholders.
Very truly yours, |
|
|
| |
| Thomas G. Maheras Independent Chairman |
| |
| This proxy statement is dated March 25, 2022 and is first being sent or made available to shareholders on or about April 6, 2022. |
| | | | | |
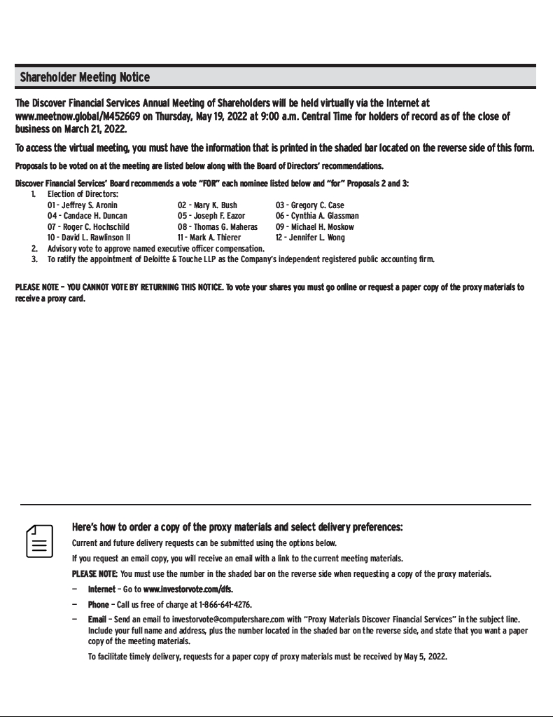
Notice of 2022 Annual Meeting of Shareholders | |
Important Notice Regarding the Availability of Proxy Materials for the Shareholder Meeting To Be Held on May 19, 2022: Our Proxy Statement and our Annual Report, which includes our Form 10-K for the fiscal year ended December 31, 2021, are available free of charge on our website at: www.discover.com.
You are cordially invited to attend the Annual Meeting via the website below, but whether or not you attend, you are urged to vote. Your prompt action will aid the Company in reducing the expense of proxy solicitation.
| | | | | | | | | | | | | | |
| | | | |
| | Date and Time May 19, 2022 9:00 a.m., Central Time | Website www.meetnow.global/M4526G9
| Record Date You are entitled to notice of and to vote at the meeting and at any adjournment or postponement of the meeting if you were a shareholder of record as of the close of business on March 21, 2022. |
| |
| | | | | | | | | | | | | | |
| | | |
| | Items of Business | Board Recommendation |
| | 1 | To elect 12 members of the Board of Directors named in the Proxy Statement as nominees, each for a term of one year. | FOR each director nominee |
| | 2 | To conduct an advisory, non-binding vote to approve named executive officer compensation. | FOR |
| | 3 | To ratify the appointment of Deloitte & Touche LLP as our independent registered public accounting firm for 2022. | FOR |
| | To transact any other business as may properly come before the meeting or any adjournment or postponement of the meeting. |
| | It is important that your shares be represented and voted at the Annual Meeting. You can vote your shares by completing and returning your Proxy Card or by voting on the Internet or by telephone. The only voting securities of the Company are shares of our common stock, $0.01 par value per share (the "Common Stock"), of which there were 282,028,098 shares outstanding as of the Record Date (excluding treasury stock). See the Questions and Answers About the Annual Meeting and Voting section beginning on page 61 for more details. |
| | | | | | | | | | | | | | |
| Advance Voting Methods | | Attending the Virtual Annual Meeting |
| | Internet Go to www.investorvote.com/dfs | | Our 2022 Annual Meeting will be a virtual meeting, conducted via live audio webcast only. No physical meeting will be held. If you plan to attend the meeting virtually via the website listed above, please follow the registration instructions as outlined in the Questions and Answers About the Annual Meeting and Voting section beginning on page 61 for more details. |
| | Telephone Call toll free 1-800-652-VOTE (8683) within the USA, territories & Canada | |
| | Mail Follow the instructions on your proxy card | |
This booklet contains our Notice of Annual Meeting and 2022 Proxy Statement. Our 2021 Annual Report contains information about our Company and its financial performance. Our Corporate Responsibility Report contains additional information about our Company and actions we have taken to fulfill our responsibilities to a wide variety of stakeholders including our shareholders. Neither our Annual Report nor our Corporate Responsibility Report are a part of our proxy solicitation materials.
By Order of the Board of Directors,
D. Christopher Greene
Vice President, Secretary and Deputy General Counsel
March 25, 2022
Proxy Highlights
This summary highlights selected information about the matters to be voted on at the Annual Meeting. You should read the entire Proxy Statement before voting. For more complete information regarding the Company’s 2021 performance, please review the Company’s Annual Report on Form 10-K for the year ended December 31, 2021. You are also encouraged to review the Company's Corporate Responsibility Report.
Voting Roadmap
| | | | | | | | |
| PROPOSAL 1 Election of Directors Our Board recommends a vote FOR each director nominee | |
Director Nominees
| | | | | | | | | | | | | | | | | | | | | | | | | | |
| | | | | Committees |
| Name | Age | Gender | Race/ Ethnicity | Director Since | AC | C&LD | N&G | ROC |
JEFFREY S. ARONIN Independent Chairman and CEO of Paragon Pharmaceutical Capital, LLC and Paragon Biosciences, LLC | 54 | Male | White | 2007 | | ¢ | | |
MARY K. BUSH Independent Chairman of Bush International, LLC | 73 | Female | Black | 2007 | | | ● | ¢ |
GREGORY C. CASE Independent CEO of Aon plc | 59 | Male | White | 2007 | | ● | | |
CANDACE H. DUNCAN Independent Former Managing Partner KPMG LLP, Washington D.C. Metropolitan Area | 68 | Female | White | 2014 | ¢ | | ¢ | |
JOSEPH F. EAZOR Independent President and CEO of Clario | 59 | Male | White | 2016 | ¢ | | | |
CYNTHIA A. GLASSMAN Independent Former Under Secretary for Economic Affairs U.S. Department of Commerce | 74 | Female | White | 2009 | ● | | | |
ROGER C. HOCHSCHILD CEO and President Discover Financial Services | 57 | Male | White | 2018 | | | | |
THOMAS G. MAHERAS Independent Chairman Managing Partner, Tegean Capital Management, LLC Partner, Iron Park Capital Management, LLC | 59 | Male | White | 2008 | | | | ¢ |
MICHAEL H. MOSKOW Independent Retired President and CEO Federal Reserve Bank of Chicago | 84 | Male | White | 2007 | | | | ● |
DAVID L. RAWLINSON II Independent President and CEO Qurate Retail, Inc. | 46 | Male | Black | 2021 | ¢ | | | |
MARK A. THIERER Independent Managing Partner AssetBlue Investment Group | 62 | Male | White | 2013 | | ¢ | ¢ | |
JENNIFER L. WONG Independent Chief Operating Officer Reddit, Inc. | 47 | Female | Asian | 2019 | | | | ¢ |
| | | | | | | | | | | |
| AC | Audit Committee | ● | Chairperson of the Committee |
| C&LD | Compensation and Leadership Development Committee | ¢ | Member of the Committee |
| N&G | Nominating, Governance and Public Responsibility Committee | | |
| ROC | Risk Oversight Committee | | |
DIRECTOR NOMINEE SNAPSHOT
| | | | | | | | | | | | | | | | | | | | | | | | | | | | | |
| Average Tenure | | | Average Age | | | Gender Diversity | | | Racial and Ethnic Diversity |
9 years | | | 62 years | | | 33% Female | | | 25% Non-white |
| 0-5 years | | | ≤ 60 years | | | Female | | | Non-white |
| | | | | | | | | |
| 6-10 years | | | 61-70 years | | | Male | | | |
| | | | | | | | | |
| > 10 years | | | > 70 years | | | | | | |
| | | | | | | | | |
SKILLS AND EXPERIENCE
| | | | | | | | | | | | | | | | | | | | | | | |
All Director nominees exhibit: | | As a group, our Director nominees have the following characteristics, skills, and experience: |
•Broad and relevant spectrum of experience and expertise •A reputation for integrity •Experience in positions with a high degree of responsibility •Commitment to represent the interests of shareholders | | | | | | | |
| CEO or CFO | Public Board | Financial Services Industry | Technology | Finance, Accounting and Financial Reporting | Government/ Regulatory |
| | | | | | |
| Risk Management | Corporate Governance | International | Marketing | Strategy and Business Development | Compensation and Succession Planning |
Corporate Governance Highlights
The Board believes strong corporate governance is critical to achieving the Company’s long-term goals and maintaining the trust and confidence of investors, employees, customers, regulatory agencies, and other stakeholders. The following are highlights of our Corporate Governance Program:
| | | | | |
| |
Board Independence ü All directors are independent except CEO; Board committees are 100% independent ü Non-Executive Board Chairman is independent ü Regular executive sessions of independent directors | Board Performance ü All directors attended at least 80% of meetings of our Board and committees on which they serve ü Diverse Board with mix of skills, tenure and age; 33% of our directors are women and 50% of the Board's committees are chaired by women ü Annual Board, committee and director performance evaluations ü Director education and access to experts |
| |
| |
Best Practices ü Risk aware culture overseen by a separate Risk Oversight Committee ü Significant shareholder ownership requirements for Executives and Board ü Longstanding commitment to sustainability | Shareholder Engagement ü Annual election of directors with majority voting standard and no supermajority voting requirements ü Shareholders have proxy access with market standard conditions for director nominations ü All directors attend the annual meeting ü Shareholders have the right to call special meetings at market standard threshold |
| | | | | | | | |
| PROPOSAL 2 Advisory Vote to Approve Named Executive Officer Compensation Our Board recommends a vote FOR this Proposal | |
Performance Highlights
In 2021, the Company’s accomplishments included:
| | | | | | | | |
| Grew profit before taxes and reserves ("PBTR") significantly at 47% year-over-year driven by strong sales, favorable funding costs and disciplined expense management | | Based on net income of $5,449 million, the Company achieved PBTR of $5,651 million(1) |
Recorded strong credit performance from disciplined management and favorable macroeconomic conditions | | Total net charge-off rate on average loans outstanding of 1.84% was down from the prior year rate of 3.03% |
| Invested in marketing and digital and analytics capabilities to drive growth and efficiency | | Total loans up 4% year-over-year reflecting strong new account growth driven by investments in account acquisition and robust sales volume which was up 28% from the prior year |
Enhanced shareholder returns with larger dividends and share repurchases | | The Company increased the quarterly dividend to $0.50 per share of common stock and approved a $2.4 billion share repurchase plan in July 2021 |
Executive Compensation Highlights
The Company's 2021 executive compensation program and compensation decisions were based on the following principles:
| | | | | | | | |
| | |
Pay-for-Performance Our compensation should reflect financial and non-financial performance over short- and long-term periods at the Company and individual performance levels. | Balanced Compensation Structure We seek to deliver a mix of fixed and variable compensation that aligns the interests of our executive officers with our shareholders and appropriately balances risk and reward. | Market-Competitive Pay Opportunity Our compensation should be competitive relative to our peers and the broader market in order to attract, motivate and retain top executive talent.
|
____________________
(1) Profit before taxes and reserves ("PBTR") is a non-GAAP financial measure which should be viewed in addition to, not as a substitute for, the Company's reported results. PBTR is derived by adding the change in the allowance for credit losses of $(1,404) million, the change in the liability for expected credit losses on unfunded commitments of $(9) million, and income tax expense of $1,615 million to net income of $5,449 million. The Compensation and Leadership Development Committee believes that PBTR is a critical measure of the core operating performance of the business that increases focus on factors the Company's incentive-eligible employees are most able to directly impact and influence. Please see "Annex A" for a reconciliation of PBTR growth to net income growth calculated in accordance with GAAP.
| | | | | | | | | | | | | | |
| | (At Risk) |
| | |
Element | Base Salary | Short-Term Incentive ("STI") | Long-Term Incentive ("LTI") |
Highlights | Fixed cash compensation based on scope of responsibility, impact on the organization, expertise, experience, and individual performance. | Annual cash bonus opportunity based on Company financial performance, primarily PBTR, other performance factors, risk and individual performance. | Annual equity award opportunity based on financial performance, other performance factors, risk and individual performance; granted as a mix of PSUs and RSUs with PSU awards determined based on adjusted EPS. |
2021 CEO Target Pay Mix | 10.1% | 20.2% | RSUs 17.4% | PSUs 52.3% |
| | | |
2021 Average of All Other Named Executive Officers ("NEOs") Target Pay Mix | 17.4% | 26.1% | RSUs 22.6% | PSUs 33.9% |
| | | |
Highlights of our program include:
| | | | | |
We Do | We Do Not |
ü Pay-for-performance ü Align compensation plans and programs with shareholder interests ü Maintain oversight by an independent Compensation and Leadership Development Committee ü Apply share ownership guidelines to directors and NEOs ü Apply incentive award limits to NEOs ü Include clawback provisions to recover incentive compensation under certain circumstances ü Regularly evaluate risk performance in incentive compensation design and decisions for our NEOs ü Provide balanced change in control benefits with a double trigger and no excise tax gross-ups ü Include non-competition and non-solicitation provisions in our long-term incentive awards ü Limit perquisites | û Maintain employment contracts with our NEOs û Provide special benefit plans to our executives not generally available to other employees û Allow directors and NEOs to hedge or pledge Company securities û Provide single trigger change in control severance arrangements or provide excise tax gross-ups |
| | | | | | | | |
| PROPOSAL 3 Ratify the Appointment of Deloitte & Touche LLP as Independent Auditors for 2022 Our Board recommends a vote FOR this Proposal | |
Questions and Answers
Please see the Questions and Answers About the Annual Meeting and Voting section beginning on page 61 for important information about the proxy materials, voting, and the Annual Meeting.
Table of Contents
Except as otherwise indicated or unless the context otherwise requires, “Discover Financial Services,” “Discover,” “DFS,” “we,” “us,” “our,” and “the Company” refer to Discover Financial Services and its subsidiaries.
We own or have rights to use the trademarks, trade names and service marks that we use in conjunction with the operation of our business, including, but not limited to: Discover®, PULSE®, Cashback Bonus®, Discover Cashback Checking®, Discover it®, College Covered®, and Diners Club International®. All other trademarks, trade names and service marks included in this proxy statement are the property of their respective owners.
Board and Governance Matters
| | | | | |
| |
| PROPOSAL 1 Election of Directors The Board of Directors recommends that you vote “FOR” the election of each director nominee. Proxies solicited by our Board will be voted “FOR” the election of each nominee unless otherwise instructed. The Board believes strong corporate governance is critical to achieving the Company’s long-term goals and maintaining the trust and confidence of investors, employees, customers, regulatory agencies, and other stakeholders. The Board oversees the Company’s business and directs its management. The non-employee directors of the Board are not involved in day-to-day operations. Instead, the Board meets periodically with management to review the Company’s executive succession plans, Annual Operating Plan (the “Annual Plan”), multi-year strategic plan and performance against such plans, risks, and business strategies. Directors also consult with management about the Company’s performance outside of formal meetings, which include opportunities for directors to have in-depth conversations with management about particular areas of the business. All of the director nominees set forth below are standing for election at the Annual Meeting. Director nominees stand for election at each annual meeting of shareholders. Each director holds office until his or her successor has been duly elected and qualified or the director’s earlier resignation, death or removal. The nominees below are current directors of the Company, and each such nominee has indicated that he or she will serve if elected. We do not anticipate that any nominee will be unable or unwilling to stand for election, but if that happens, your proxy will be voted for another person nominated by the Board. The Board may also choose to reduce the number of directors to be elected, as permitted by our Bylaws. The experience, qualifications, attributes and skills of each of the Company’s director nominees are set forth below. The Board believes that an effective board consists of a diverse group of individuals who bring a variety of complementary skills and experiences. The Nominating, Governance and Public Responsibility Committee and the Board consider the skills and experiences of the directors in the broader context of the Board’s overall composition, with a view toward constituting a board that has the best skill set and experience to oversee the Company’s business. As indicated below, our directors have a combined wealth of leadership experience derived from extensive service guiding large, complex organizations as executive leaders or board members, and in government. They collectively have substantive knowledge and skills applicable to our business, including in the areas of regulation, public accounting and financial reporting, finance, risk management, business development, technology, marketing, operations, strategic planning, management development and succession, compensation, corporate governance, public policy, international matters, banking, and financial services. The Nominating, Governance and Public Responsibility Committee regularly reviews the composition of the Board and its assessment of the Board’s performance in light of our evolving business requirements to maintain a Board with the appropriate mix of skills and experiences needed for the broad set of challenges that the Company confronts. Annually, the Independent Chairman conducts individual interviews with each director that include topics such as Board and committee performance and effectiveness, leadership of the Board and committees, and the performance of individual directors. The Independent Chairman then reports the results of these interviews to the full Board during its self-evaluation. The full Board evaluates such results and also conducts an evaluation of the Independent Chairman. In addition, each committee annually conducts a self-evaluation. |
|
Board and Governance Matters
Our Director Nominees
| | | | | | | | |
| | Jeffrey S. Aronin Independent Biography Mr. Aronin is the founder, chairman and chief executive officer of Paragon Biosciences, a global life science innovator that creates, builds, and funds biology-based companies. Since 2017 under Paragon, Mr. Aronin has established seven portfolio companies—Harmony Biosciences (Nasdaq: HRMY), Castle Creek Biosciences, Emalex Biosciences, Evozyne, Qlarity Imaging, CiRC Biosciences, and Skyline Biosciences—and serves as their chairman of the board. Prior to Paragon, Mr. Aronin was CEO of several global biopharmaceutical companies focused on therapies for people with high unmet medical needs. In addition Mr. Aronin has experience as a chief executive officer leading several global biopharmaceutical companies. His skills include strategy and business development, finance and brand marketing. He brings valuable leadership experience and knowledge in the operations and day-to-day management of a global corporation in a regulated industry. Mr. Aronin also has experience in the structuring and execution of strategic corporate transactions, including mergers and acquisitions. |
| |
AGE: 54 RACE/ETHNICITY: White GENDER: Male DIRECTOR SINCE: 2007 OTHER CURRENT PUBLIC COMPANY BOARDS: Harmony Biosciences Holdings, Inc. COMMITTEES: Compensation and Leadership Development | |
| | | | | | | | |
| | Mary K. Bush Independent Biography Ms. Bush has served as the chairman of Bush International, LLC, a financial and business strategy advisory firm, since 1991. The firm advises U.S. companies and foreign governments on financial markets, banking and strategic business and economic matters. Ms. Bush was the inaugural head and managing director of the Federal Housing Finance Board, where she established financial policies and oversaw management and safety and soundness for the nation's Federal Home Loan Banks. She also founded and served as the head of the international finance department of Fannie Mae, where she led funding transactions globally, and was appointed by President Reagan as the U.S. Alternate Executive Director of the International Monetary Fund Board. Ms. Bush served on the board of Marriott International, Inc. from 2008 to 2020. In addition Ms. Bush brings extensive leadership experience in banking, international finance, corporate governance and public policy to the Board. Additionally, she brings deep experience in corporate finance and strategy and the operations and regulation of financial services businesses.
|
| |
AGE: 73 RACE/ETHNICITY: Black GENDER: Female DIRECTOR SINCE: 2007 OTHER CURRENT PUBLIC COMPANY BOARDS: Bloom Energy, ManTech International Corporation, T. Rowe Price Group, Inc. COMMITTEES: Nominating, Governance and Public Responsibility (Chair), Risk Oversight | |
Board and Governance Matters
| | | | | | | | |
| | Gregory C. Case Independent Biography Mr. Case has been chief executive officer of Aon plc, a leading global professional services firm providing advice and solutions in risk, retirement and health, since 2005 and was president from 2005 to 2018. He is also a member of Aon’s board of directors. Prior to joining Aon, Mr. Case was with McKinsey & Company, an international management consulting firm, for 17 years, most recently serving as head of the Financial Services Practice. In addition Mr. Case has approximately 20 years of experience in the insurance and financial services industries, including in the areas of risk management services, insurance and reinsurance brokerage, and through his management consulting and banking experience. He brings valuable leadership experience and knowledge of business operations and the day-to-day management of a large, regulated global financial corporation. His skills include strategy and business development, risk management and people management. |
| |
AGE: 59 RACE/ETHNICITY: White GENDER: Male DIRECTOR SINCE: 2007 OTHER CURRENT PUBLIC COMPANY BOARDS: Aon plc COMMITTEES: Compensation and Leadership Development (Chair) | |
| | | | | | | | |
| | Candace H. Duncan Independent Biography Ms. Duncan retired from KPMG LLP, a global network of professional firms providing audit, tax and advisory services, in November 2013 where she had been managing partner of the Washington, D.C. metropolitan area since 2009. Ms. Duncan also was on the KPMG LLP board of directors from 2009 to 2013, and served as chair of the board’s nominating committee as well as the partnership and employer of choice committee. Prior thereto, she served in various roles at the firm, including managing partner for audit for the Midatlantic area and audit partner in charge for the Virginia business unit. Ms. Duncan served on the board of FTD Companies, Inc. from 2014 to 2019. In addition Ms. Duncan has experience leading and managing a large accounting firm’s growth priorities across its audit, tax and advisory functions in key markets. She also has a strong financial and accounting background, gained through her many years of experience at KPMG LLP, including her experience as a lead audit partner for major international and domestic companies. She has served clients on a wide range of accounting and operational issues, public securities issuances and strategic corporate transactions. Her thorough knowledge of public company accounting, financial statements and corporate finance is of significant value to the Company. |
| |
AGE: 68 RACE/ETHNICITY: White GENDER: Female DIRECTOR SINCE: 2014 OTHER CURRENT PUBLIC COMPANY BOARDS: Teleflex Inc. COMMITTEES: Audit, Nominating, Governance and Public Responsibility | |
Board and Governance Matters
| | | | | | | | |
| | Joseph F. Eazor Independent Biography Mr. Eazor currently serves as the president and chief executive officer of Clario (formerly ERT and Bioclinica), a global data and technology company for clinical trials. Prior to assuming this role in October 2020, he served as president and chief executive officer of Conifer Health Solutions, LLC, a healthcare business solutions organization, from January to August 2020. Mr. Eazor was executive vice president and chief customer officer of computer software company Oracle Corporation, from July 2019 to January 2020, and chief executive officer of Rackspace, a leading managed cloud company, from 2017 to 2019. Mr. Eazor previously served as the president and chief executive officer of EarthLink, Inc., a leading communications and IT services provider, and was a member of EarthLink’s board from 2014 to 2017. From 2011 to 2013, he served as executive vice president and chief operating officer of global sales and customer operations at EMC and prior to that he served in a variety of leadership roles at Hewlett Packard and Electronic Data Systems. Mr. Eazor also served on the board of Commvault, a data protection and information management company, from 2015 to 2018. In addition Mr. Eazor has a proven track record of leading successful global companies. He has extensive experience in international strategy and business development and in technology and IT services. In addition to his corporate roles, Mr. Eazor has management consulting experience from his time as a senior partner with McKinsey & Co. and as a partner and board member of A.T. Kearney, Inc. |
| |
AGE: 59 RACE/ETHNICITY: White GENDER: Male DIRECTOR SINCE: 2016 OTHER CURRENT PUBLIC COMPANY BOARDS: None COMMITTEES: Audit | |
| | | | | | | | |
| | Cynthia A. Glassman, Ph.D. Independent Biography Dr. Glassman was appointed by President Bush as Under Secretary for Economic Affairs at the U.S. Department of Commerce from 2006 to 2009 and as Commissioner of the U.S. Securities and Exchange Commission from 2002 to 2006, including serving as Acting Chair during the summer of 2005. Dr. Glassman is currently a member of the Dow Jones Special Committee. She held various positions during her 12 years at the Federal Reserve, including as Chief of the Financial Reports Section and an Economist in the Capital Markets Section. She also has more than 15 years of experience in financial services consulting, including as a Principal of Ernst & Young LLP and Managing Director of Furash & Company. Dr. Glassman served on the board of Navigant Consulting, Inc. from 2009 to 2019, and was a Senior Research Scholar at the Institute for Corporate Responsibility at the George Washington University School of Business from 2009 to 2021. In addition Dr. Glassman brings extensive regulatory, corporate governance, risk management, financial services and banking experience to the Board. She holds a Ph.D. in economics and has spent over 45 years in the public and private sectors focusing on financial services regulatory and public policy issues. |
| |
AGE: 74 RACE/ETHNICITY: White GENDER: Female DIRECTOR SINCE: 2009 OTHER CURRENT PUBLIC COMPANY BOARDS: None COMMITTEES: Audit (Chair)
| |
Board and Governance Matters
| | | | | | | | |
| | Roger C. Hochschild Biography Mr. Hochschild has served as the chief executive officer and president of Discover since October 2018 and served as our president and chief operating officer from 2004 to 2018. He was executive vice president, chief administrative and strategic officer for Morgan Stanley from 2001 to 2004, and was executive vice president, chief marketing officer - Discover from 1998 to 2001, when Discover was a part of Morgan Stanley. In addition Mr. Hochschild's deep understanding of the Company’s business and the financial services industry provides valuable expertise to the Company. He also brings leadership experience in risk management, consumer financial services, information technology and knowledge of operations and the day-to-day management of a global financial corporation, which plays a critical role in board discussions regarding strategic planning and business development for the Company. |
| |
AGE: 57 RACE/ETHNICITY: White GENDER: Male DIRECTOR SINCE: 2018 OTHER CURRENT PUBLIC COMPANY BOARDS: Principal Financial Group COMMITTEES: None | |
| | | | | | | | |
| | Thomas G. Maheras Independent Chairman Biography Mr. Maheras has been the managing partner of Tegean Capital Management, LLC since 2008, and a partner of Iron Park Capital Management, LLC since 2019, two investment advisory firms based in New York. Prior to that, he was chairman and co-chief executive officer of Citi Markets and Banking, the investment banking division of Citigroup, Inc., where he held roles of increasing responsibility after starting his career as a fixed-income trader at Salomon Brothers. He has served as chairman of the U.S. Treasury Department Borrowing Advisory Committee and as an executive committee member of the Board of Directors of the Securities Industry and Financial Markets Association. In addition Mr. Maheras has extensive risk management, banking and capital markets experience, including 23 years at Citigroup, Inc. where his responsibilities included leading the global capital markets business. He also brings valuable leadership experience and knowledge of operations and the day-to-day management of a global financial services organization. Mr. Maheras’ financial background and banking and financial services experience includes a knowledge of financial statements, corporate finance, accounting and capital markets. |
| |
AGE: 59 RACE/ETHNICITY: White GENDER: Male DIRECTOR SINCE: 2008 INDEPENDENT CHAIRMAN SINCE: 2020 OTHER CURRENT PUBLIC COMPANY BOARDS: None COMMITTEES: Risk Oversight
| |
Board and Governance Matters
| | | | | | | | |
| | Michael H. Moskow Independent Biography Mr. Moskow is currently Vice Chair and Distinguished Fellow, Global Economy at The Chicago Council on Global Affairs. He retired as president and chief executive officer of the Federal Reserve Bank of Chicago in 2007, where he had served since 1994. Mr. Moskow was a Deputy U.S. Trade Representative, following his appointment by President Bush in 1991, and earlier in his career, held a number of senior positions with the U.S. government, including Undersecretary of Labor at the U.S. Department of Labor, director of the Council on Wage and Price Stability and senior staff economist with the Council of Economic Advisers. Mr. Moskow serves on the board of Flowstone Private Equity Opportunity Fund. He served on the board of CityBase until early 2019 and on the board of Commonwealth Edison Company, a subsidiary of Exelon Corporation, until 2021. In addition Mr. Moskow brings extensive regulatory, risk management, financial services and banking experience to the Board and has extensive knowledge of the economy and financial markets. Through his senior regulatory positions, particularly in the financial services arena, and service on the boards of other financial institutions, he brings a thorough and insightful perspective to a wide range of issues. |
| |
AGE: 84 RACE/ETHNICITY: White GENDER: Male DIRECTOR SINCE: 2007 OTHER CURRENT PUBLIC COMPANY BOARDS: None COMMITTEES: Risk Oversight (Chair) | |
| | | | | | | | |
| | David L. Rawlinson II Independent Biography Mr. Rawlinson has been the president and chief executive officer of Qurate Retail, Inc., an e-commerce company, since October 2021, and previously served as president and chief executive officer-elect for Qurate Retail, Inc. since August 2021. From February 2020 to August 2021, Mr. Rawlinson served as chief executive officer of NielsenIQ (formerly Nielsen Global Connect), a global data company. From November 2015 until joining Nielsen’s management, he served as president of the Global Online Business at W.W. Grainger, Inc., an industrial supplies company. Mr. Rawlinson joined Grainger in July 2012 and previously served as the vice president of operations for the Global Online Business, and prior to that, vice president, deputy general counsel and corporate secretary of Grainger. Mr. Rawlinson worked for ITT Exelis (formerly ITT Corp.) from 2009 to 2012, most recently as vice president, general counsel and director of corporate responsibility of the Electronic Systems division. Prior to that, he served as a White House Fellow and in appointed positions for both the George W. Bush and Obama administrations. Mr. Rawlinson served on the board of MonotaRO Co., Ltd. from 2014 to 2019 and on the board of Nielsen Holdings plc from 2017 to 2021. In addition Mr. Rawlinson has significant experience in global e-commerce, consumer trends, consumer data, and digital business-to-business operations. In addition to his background in information solutions, Mr. Rawlinson brings deep leadership experience on a global scale and adds another expert perspective to the Board with his track record of success in digital commerce. |
| |
AGE: 46 RACE/ETHNICITY: Black GENDER: Male DIRECTOR SINCE: 2021 OTHER CURRENT PUBLIC COMPANY BOARDS: Qurate Retail, Inc. COMMITTEES: Audit | |
Board and Governance Matters
| | | | | | | | |
| | Mark A. Thierer Independent Biography Mr. Thierer currently serves as the managing partner of AssetBlue Investment Group, a position he has held since June 2017. From October 2017 through February 2018, Mr. Thierer also served as the interim chief executive officer of Dentsply Sirona Inc., a manufacturer of dental implants. Mr. Thierer was chief executive officer of OptumRx, a pharmacy care services company, from July 2015 until September 2017. He previously served as chairman and chief executive officer of Catamaran Corporation, one of the nation’s largest pharmacy benefit management companies, from March 2011 until it combined with OptumRx in 2015. In addition Mr. Thierer has experience as a chief executive officer leading a national pharmacy benefit and healthcare information technology solutions company. His skills include strategy and business development, technology, finance and marketing. He brings valuable leadership experience and knowledge of operations and the day-to-day management of a national corporation. Mr. Thierer also has experience in the structuring and execution of strategic corporate transactions, including mergers and acquisitions. |
| |
AGE: 62 RACE/ETHNICITY: White GENDER: Male DIRECTOR SINCE: 2013 OTHER CURRENT PUBLIC COMPANY BOARDS: P3 Health Partners, Inc. COMMITTEES: Compensation and Leadership Development, Nominating, Governance and Public Responsibility | |
| | | | | | | | |
| | Jennifer L. Wong Independent Biography Ms. Wong has been the chief operating officer of Reddit, Inc., a community and discussion platform, since 2018, where she oversees business strategy and growth, and related teams for the company. She previously served as Time, Inc.'s president of digital and then its chief operating officer from 2016 to 2018, where she led growth strategy and digital business transformation. Prior to that, Ms. Wong held the role of chief business officer from 2011 to 2015 at Popsugar, Inc., a media and technology company, where she led business operations and the company's media and commerce businesses. Earlier in her career, Ms. Wong held several executive management roles at AOL and worked with a range of digital media and technology clients at McKinsey & Company. In addition Ms. Wong has experience building digital products and platforms, and an understanding of digital and social media as an essential marketing tool. In addition to her extensive digital and marketing experience, her skills include business strategy and growth development, risk management, and technology. |
| |
AGE: 47 RACE/ETHNICITY: Asian GENDER: Female DIRECTOR SINCE: 2019 OTHER CURRENT PUBLIC COMPANY BOARDS: Group Nine Acquisition Corp. COMMITTEES: Risk Oversight | |
Corporate Governance
Process for Nominating Directors
Nomination of Directors
The Nominating, Governance and Public Responsibility Committee is responsible for identifying, evaluating, and recommending candidates to the Board. The Nominating, Governance and Public Responsibility Committee may consider director candidates from a wide range of sources, including shareholders, officers, and directors. The Board is responsible for nominating directors for election by the shareholders and filling any vacancies on the Board that may occur.
Shareholder Recommendations for Director Candidates
Fulfilling its responsibility to identify, evaluate, and recommend director candidates, the Nominating, Governance and Public Responsibility Committee accepts shareholder recommendations of director candidates and evaluates such candidates in the same manner as other candidates. The Nominating, Governance and Public Responsibility Committee determines the need for additional or replacement Board members, then identifies and evaluates the director candidate under the Director Qualifications described below based on the information the Nominating, Governance and Public Responsibility Committee receives with the recommendation or which it otherwise possesses, which may be supplemented by certain inquiries. If the Nominating, Governance and Public Responsibility Committee determines, in consultation with other directors, including the Chairman of the Board, that a more comprehensive evaluation is warranted, the Nominating, Governance and Public Responsibility Committee may then obtain additional information about the director candidate’s background and experience, including by means of interviews. The Nominating, Governance and Public Responsibility Committee and the Chairman of the Board will then evaluate the director candidate further, again using the qualification criteria described herein. The Nominating, Governance and Public Responsibility Committee receives input on such director candidates from other directors, including the Chairman of the Board, and recommends director candidates to the full Board for nomination. The Nominating, Governance and Public Responsibility Committee may engage a third party to assist in identifying director candidates or to assist in gathering information regarding a director candidate’s background and experience. If the Nominating, Governance and Public Responsibility Committee engages a third party, the Company pays for these services.
Shareholders who wish to recommend a candidate for the Nominating, Governance and Public Responsibility Committee’s consideration must submit the recommendation in writing in accordance with the Policy Regarding Director Candidates Recommended by Shareholders, available through the investor relations page of our internet site, www.discover.com.
In 2021, there were no director candidates submitted by shareholders. Shareholders may make recommendations at any time, but recommendations for consideration as nominees at the annual meeting of shareholders must be received not less than 120 days before the first anniversary of the date that the proxy statement was released to shareholders in connection with the previous year’s annual meeting.
To submit a candidate for consideration for nomination at the 2023 Annual Meeting of Shareholders, shareholders must submit the recommendation, in writing, by December 7, 2022. The written notice must demonstrate that it is being submitted by a shareholder of record of the Company and include information about each proposed director candidate, including name, age, business address, principal occupation, principal qualifications, and other relevant biographical information. In addition, the shareholder must confirm the candidate’s consent to serve as a director. Shareholders must send recommendations to Discover Financial Services, 2500 Lake Cook Road, Riverwoods, Illinois 60015, Attention: Corporate Secretary, and they will be forwarded to the Nominating, Governance and Public Responsibility Committee.
In addition, shareholders may nominate director candidates by complying with the advance notice or proxy access Bylaw provisions or universal proxy rules (once effective) discussed at the end of this Proxy Statement in the Shareholder Proposals and Director Nominations for the 2023 Annual Meeting section.
Director Qualifications
Our Corporate Governance Policies describe our director qualifications. The Board seeks members who combine a broad and relevant spectrum of experience and expertise with a reputation for integrity. Directors should have experience in positions with a high degree of responsibility and be leaders in the companies or institutions with which they are affiliated. Directors should be selected based upon their potential contributions to the Board and management and their ability to represent the interests of shareholders. Also, the Board will consider the diversity of a candidate’s perspectives, background, and other demographics. Generally, no director is permitted to serve on more than three additional public company boards (in addition to the Company’s Board).
Retirement Age Policy
The Nominating, Governance and Public Responsibility Committee continues to evaluate the composition of the Board and its Committees, including the mix of skills and experience of existing directors, as well as the potential benefits from new and different perspectives and skill sets. The Company’s Corporate Governance Policy reflects the Board’s recognition of the importance of periodic Board refreshment and maintaining an appropriate balance of tenure, diversity, skills, experience and perspectives on the Board. In the first quarter of 2022, the Policy was amended to provide that beginning with the Company’s 2023 annual shareholder meeting, directors will not be eligible for re-election after their 75th birthday and directors who have reached the age of 75 should not expect to be re-nominated for election by the Board. To ensure the appropriate mix of skills and experience is maintained and allow for an orderly transition of leadership on our Board and its Committees, the amended Policy further provides that if more than two directors are impacted by this requirement at any one annual meeting of shareholders, the Board may determine to extend a director’s service until the subsequent annual meeting of shareholders.
Information Concerning Nominees for Election as Directors
Director Independence
Our Board of Directors adopted our Corporate Governance Policies, which contain the director independence guidelines and provide that a majority of the members of the Board and each member of the Audit Committee, the Compensation and Leadership Development Committee (the “Compensation Committee”), the Nominating, Governance and Public Responsibility Committee and the Risk Oversight Committee must consist of directors who are independent. The Board uses these guidelines to assist it in determining whether directors qualify as “independent” pursuant to the guidelines and the requirements set forth in the New York Stock Exchange’s ("NYSE") Corporate Governance Rules (the “Rules”). In each case, the Board broadly considers all relevant facts and circumstances and applies the guidelines and the Rules in determining whether directors qualify as “independent.”
When assessing the independence of Director nominees, the Nominating, Governance and Public Responsibility Committee considers the impact that tenure may have on the independence of certain longer-tenured incumbent Board nominees. The Nominating, Governance and Public Responsibility Committee and the Board determined that the independence of our longer-tenured Directors had not been diminished as these directors continued to thoughtfully challenge and provide reasoned, balanced, and insightful guidance to management. The Board values the perspectives that such directors contribute to Board discussions, having served Discover during periods of various industry and company-specific developments and with different members of management over the years.
Pursuant to our Corporate Governance Policies and the Rules, the Board reviewed the independence of all of our current directors. During this review, the Board considered transactions and relationships between each director or any member of his or her immediate family (or any entity of which a director or an immediate family member is an executive officer, general partner or significant equity holder) and the Company and its subsidiaries and affiliates. The Board also considered whether there were any transactions or relationships between directors or any member of their immediate family and members of the Company’s senior management. The purpose of this review was to determine whether any such relationships or transactions existed that were inconsistent with a determination that the director is independent.
As a result of this review, the Board affirmatively determined that Jeffrey S. Aronin, Mary K. Bush, Gregory C. Case, Candace H. Duncan, Joseph F. Eazor, Cynthia A. Glassman, Thomas G. Maheras, Michael H. Moskow, David L. Rawlinson, Mark A. Thierer, and Jennifer L. Wong are independent of the Company and its management under the standards set forth in the Corporate Governance Policies and the Rules. The Board determined that one of our directors, Roger C. Hochschild, is not independent because of his employment as our Chief Executive Officer and President ("CEO").
In determining that each of the directors other than Mr. Hochschild is independent, the Board considered, among other things, certain relationships, which it determined were immaterial to the directors’ independence. The Board considered that the Company and its subsidiaries in the ordinary course of business have, during the last three years, sold products and services to, and/or purchased products and services from, companies at which some of our directors were officers during 2021. In each case, the amount paid to or received from these companies in each of the last three years did not exceed the greater of $1,000,000 or 2% of that organization’s consolidated gross revenues, the threshold set forth in our Corporate Governance Policies and the Rules. Our Corporate Governance Policies are available through the investor relations page of our internet site, www.discover.com, and in print free of charge to any shareholder who requests a copy.
Board Roles and Responsibilities
Board and Committee Meetings
Our Board held 13 meetings during 2021. Each director attended at least 80% of the total number of meetings of the Board and the standing committees on which such director served that were held while the director was a member. Our Board has established the following standing committees: Audit, Compensation and Leadership Development, Nominating, Governance and Public Responsibility, and Risk Oversight. The membership and function of each committee and the number of meetings held by each committee during 2021 is described below.
| | | | | | | | |
| | |
AUDIT 17 Meetings in 2021 | | MEMBERS Dr. Glassman (Chair) Ms. Duncan Mr. Eazor Mr. Rawlinson |
Primary Responsibilities | |
•Oversee the integrity of our consolidated financial statements, our system of internal control over financial reporting, the management of our exposure to risk, and the qualifications and independence of our independent registered public accounting firm. •Oversee the internal audit function, including the performance of our Chief Audit Executive. | •Sole authority and responsibility to select, determine the compensation of, evaluate the performance of, and, when appropriate, replace our independent registered public accounting firm. •Oversee the Company's compliance with legal and regulatory requirements. |
| | | | | | | | |
| | |
COMPENSATION AND LEADERSHIP DEVELOPMENT 7 Meetings in 2021 | MEMBERS Mr. Case (Chair) Mr. Aronin Mr. Thierer |
Primary Responsibilities | |
•Annually review and approve the corporate goals and objectives relevant to the compensation of the CEO and evaluate his performance in light of these goals. •Determine the compensation of our executive officers and other appropriate officers. | •Oversee risk management associated with our compensation practices. •Oversee our incentive and stock-based compensation plans. •Oversee plans for management development and succession. |
| | | | | | | | |
| | |
NOMINATING, GOVERNANCE AND PUBLIC RESPONSIBILITY 6 Meetings in 2021 | MEMBERS Ms. Bush (Chair) Ms. Duncan Mr. Thierer |
Primary Responsibilities | |
•Identify and recommend candidates for election to our Board and each Board committee. •Consider matters of corporate governance and make recommendations or take action. •Oversee our policies, programs, strategies and reporting related to environmental, social and governance matters. | •Oversee the annual evaluation of the members of our Board and its committees, and management. •Recommend director compensation and benefits. •Review annually our Corporate Governance Policies. |
| | | | | | | | |
RISK OVERSIGHT 8 Meetings in 2021 | MEMBERS Mr. Moskow (Chair) Ms. Bush Mr. Maheras Ms. Wong |
Primary Responsibilities | |
•Oversee the enterprise-wide risk management framework, make recommendations to the Board on risk management policies and the Company’s risk appetite and tolerance, oversee risk management governance and policies and perform other functions pursuant to the Federal Reserve’s regulations. | •Oversee the performance of our Chief Risk Officer. •Oversee capital planning and liquidity risk management activities. |
Our Board has adopted a written charter for each of the Audit, Compensation and Leadership Development, Nominating, Governance and Public Responsibility and Risk Oversight Committees setting forth the roles and responsibilities of each committee. The committee charters are available through the investor relations page of our internet site, www.discover.com.
All members of the Audit, Compensation and Leadership Development, Nominating, Governance and Public Responsibility, and Risk Oversight Committees satisfy the standards of independence applicable to members of such committees. In addition, the Board has determined that all members of the Audit Committee are financially literate and are “audit committee financial experts” as such term is defined in Item 407(d) of Regulation S-K under the Securities and Exchange Act of 1934 (the "Exchange Act") and have accounting or related financial management expertise.
Board Leadership Structure
The Company has had an independent Chairman separate from the CEO role since 2019. Mr. Thomas G. Maheras currently serves as the Independent Chairman since May 4, 2020.
The Company's Bylaws, as well as the Board of Directors Corporate Governance Policies, provide that the office of the Chairman and the office of the Chief Executive Officer may be, but need not be, held by the same person. The Company has a strong independent Board, with all directors except for Mr. Hochschild having been determined to be independent under NYSE listing standards. Further, as previously noted, all standing committees of the Board are composed solely of independent directors. The Board continues to believe that having an Independent Chairman, separate from the Chief Executive Officer role, is the most appropriate leadership structure at this time. Although the Board believes that this best serves the interests of the Company and its shareholders, the Board retains the flexibility to combine the roles in the future. The Board recognizes its responsibility for the establishment and maintenance of the most effective leadership structure for the Company, taking into account all relevant facts and circumstances. Pursuant to the Board of Directors Corporate Governance Policies, the Board has indicated that it will appoint a Lead Director whenever the position of Chairman is not held by an independent director.
The Independent Chairman:
•presides at all meetings of the Board, and has the authority to call, and will lead, non-employee director sessions and independent director sessions;
•approves Board meeting agenda items and the schedule of Board meetings;
•helps facilitate communication between senior management and the independent directors;
•acts as a mentor to the CEO; and
•participates and provides leadership on CEO performance evaluation, succession planning, and compensation decisions.
Non-Employee Director Meetings
In accordance with our Corporate Governance Policies, the non-employee directors meet regularly in executive sessions without management present. Our Corporate Governance Policies also require that if any non-employee directors are not independent, then the independent directors will meet in a separate independent director session at least once per year. Currently, all non-employee directors are independent. The Independent Chairman presides over executive and independent director sessions.
Environmental, Social, and Governance ("ESG")
Our ESG Mission Statement
Discover is committed to helping build a sustainable and equitable world while demonstrating the highest standards of ethical behavior and corporate governance. We intend to do more to reduce our impact on the environment, advance equity and help people achieve a brighter financial future.
Our Board and senior management have adopted mission statements for each of the three ESG pillars:
•Environmental: We are committed to addressing the global challenges presented by climate change by reducing the environmental impact of our physical operations as we design solutions to build a more sustainable and low carbon future.
•Social: We are committed to promoting a diverse, equitable and inclusive workforce that reflects our communities. We are using job opportunities, supplier spend, charitable contributions, products and more to advance equity and effect social change. Through our support of local communities and diverse suppliers, we work to improve economic mobility and promote financial inclusion.
•Governance: We proudly commit to “Doing the Right Thing” for our employees, our customers and our shareholders. Our Board and management governance structures and risk management policies and processes support this commitment and are designed to promote transparency, accountability and ethical behavior in everything we do.
ESG Governance Framework
The Nominating, Governance and Public Responsibility Committee, in coordination with other committees of the Board, oversees our policies, programs, strategies and reporting related to ESG matters. In 2021, we launched an ESG Committee comprised of executives from across the Company. The ESG Committee developed an ESG strategy and roadmap. In the first quarter of 2022, we named a Chief ESG Officer who will lead our ESG program and have responsibility for executing against our ESG goals and objectives.
Board Role in Risk Oversight
The Board is responsible for approving the Company’s enterprise-wide risk management framework, which is described in the Company’s Enterprise Risk Management Policy and certain additional risk management policies. The Board receives reports of material exceptions to such policies. The Board has also delegated certain of its risk oversight responsibilities to its committees and regularly receives reports from the committees on risk management matters. Additionally, the Board approves the risk appetite and limits, and capital targets and thresholds of the Company. It also appoints the Chief Risk Officer, Chief Compliance Officer, Chief Audit Executive and other risk management function leaders, as appropriate. The Board regularly devotes time during its meetings to review and discuss the most significant risks facing the Company, and management’s responses to those risks. During these discussions, the CEO, the Chief Risk Officer, the General Counsel and/or the Chief Financial Officer present management’s assessment of risks, a description of the most significant risks facing the Company, and any mitigating factors and plans or practices in place to address and monitor those risks. Within these discussions, the Board receives updates from senior executives including the Chief Risk Officer and the Chief Information Security Officer on the risks posed to the Company by cybersecurity threats and the Company's information security program, including the results of tabletop simulations performed by management. In addition to these discussions, the Board receives annual information security training. The Board has also received regular updates on the continued impact of the COVID-19 pandemic on the Company, including credit quality, loan growth and sales volumes, personnel and business continuity plans, and legal and regulatory developments in response to the pandemic.
| | |
RISK OVERSIGHT COMMITTEE |
The Risk Oversight Committee is responsible for overseeing our risk management policies and the operations of the Company’s enterprise-wide risk management framework, and capital planning and liquidity risk management activities. The Risk Oversight Committee is responsible for, among other things: •approving and periodically reviewing our risk management policies; •overseeing the operation of policies and procedures which establish risk management governance, and risk-control infrastructure; •overseeing the operation of processes and systems for implementing and monitoring compliance with such policies and procedures; •reviewing and making recommendations to the Board, as appropriate, regarding the Company’s risk management framework, key risk management policies and the Company’s risk appetite and tolerance; •receiving and reviewing regular reports from our Chief Risk Officer on current and emerging risks, the status of and changes to risk exposures, policies, procedures and practices, and the steps management has taken to monitor and control risk exposures; •reviewing and approving the Company’s information security program, which seeks to mitigate information security risks, including cybersecurity risks; and •receiving reports regarding compliance with risk appetite limits, risk management policies, procedures and controls. The Risk Oversight Committee shares information with (which it may do through the Chair of the Committee) and meets in joint session with the Audit Committee as necessary or desirable to provide the committees with the information necessary to permit them to fulfill their duties and responsibilities with respect to oversight of risk management matters. For example, at least quarterly, the Risk Oversight and Audit Committees meet in joint session and receive updates from the Chief Information Security Officer on the Company’s information security program, including trends and developments regarding information security risks and threats and the results of tabletop simulations performed by management. The Risk Oversight Committee also authorizes the Company’s Risk Committee, which is comprised of the members of the Company’s Executive Committee and the Discover Bank President. The Chief Risk Officer, a member of the Executive Committee, serves as the Risk Committee chair. The Risk Committee provides a forum for key members of our executive management team to review and discuss credit, market, liquidity, operational, legal and compliance and strategic risks across the Company and for each business unit. |
| | |
AUDIT COMMITTEE |
Our Audit Committee assists the Board in the oversight of, among other things, the integrity of our consolidated financial statements, our compliance with legal and regulatory requirements, our system of internal controls and the qualifications and independence of our independent registered public accounting firm. With respect to compliance matters, our Audit Committee approves our Compliance Policy and reinforces the importance of compliance risk management. The Audit Committee assists the Board in its oversight of the Company’s anti-money laundering program. In addition, the Audit Committee receives reporting on the effectiveness of our Compliance Risk Management Program. Our Audit Committee also, taking into consideration the Board’s allocation of the review of risk among various committees of the Board, receives and reviews reports from the Chief Risk Officer, Chief Compliance Officer and other members of management as the Audit Committee deems appropriate. These reports include a review of the guidelines and policies for assessing and managing the Company’s exposure to risks, the corporation’s major financial risk exposures, and the steps management has taken to monitor and control such exposures. The Audit Committee shares information with (which it may do through the Chair of the Committee) and meets in joint session with the Risk Oversight Committee as necessary or desirable to provide the committees with the information necessary to permit them to fulfill their duties and responsibilities with respect to oversight of risk management matters. The Audit Committee provides oversight of the Company’s internal audit function. The Audit Committee reviews and approves the appointment, replacement and compensation of the Chief Audit Executive and the charter, budget and staffing levels of the Company’s internal audit function. The Audit Committee reviews and approves the rolling twelve month audit plan. The Audit Committee also receives periodic reports from the Chief Audit Executive on the status of the annual audit plan, including significant results and the status of corrective actions. In addition, the Audit Committee provides oversight of the Company's compliance with legal and regulatory requirements. The Audit Committee reviews and approves the budget and staffing levels of the Company's Compliance department, its annual testing plan and the Company's Compliance policy. |
| | |
COMPENSATION AND LEADERSHIP DEVELOPMENT COMMITTEE |
The Compensation Committee is responsible for overseeing risk management associated with the Company’s employee compensation practices. It annually reviews the Company’s compensation plans and practices to assess whether employee plans contain features that might encourage excessive risk-taking that could threaten the value of the Company, are reasonably likely to have a material adverse effect on the Company or could result in a failure to comply with regulatory requirements. The Compensation Committee regularly reviews reports from the Company’s Chief Risk Officer, and meets with the Chief Risk Officer and the Risk Oversight and Audit Committees of the Board of Directors to discuss the annual employee incentive compensation risk assessment and to review outcomes of certain risk events and any impact to compensation decisions. Separately, the Compensation Committee meets with the Company’s Chief Risk Officer to monitor the results of the Company’s incentive compensation program payments for certain employees, including our NEOs. The Compensation Committee also oversees the Company’s succession planning process. On an annual basis, management conducts succession planning for all of the Company’s officer level roles, including our NEOs. Management further identifies critical roles beyond the officer level where there are or may be uniquely strong needs for immediate successors, where restructuring of the role is not likely to be a viable succession plan, and where having the role unfilled for a period of time could create regulatory, risk management or business continuity gaps. Annually, our CEO and Chief Human Resources Officer partner to conduct succession planning for our NEOs and other executives. For each of our NEOs, the role is reviewed to determine options for succession and development needed to increase succession readiness. Consideration is given to external hiring where appropriate. Management then reviews NEO succession plans with the Compensation Committee and the Board. |
Code of Ethics and Business Conduct
The Company maintains a Code of Ethics and Business Conduct applicable to all directors, officers and employees, including senior financial officers, and provides a statement of Discover's policies for conducting business legally and ethically. The Code of Ethics and Business Conduct is available without charge through the investor relations page of our internet site, www.discover.com, or by writing to the attention of: Investor Relations, Discover Financial Services, 2500 Lake Cook Road, Riverwoods, Illinois 60015. Any waivers of the provisions of this Code of Ethics and Business Conduct for directors or executive officers may be granted only in exceptional circumstances by the Board, or an authorized committee thereof, and will be promptly disclosed to the Company’s shareholders as may be required under the Securities and Exchange Commission ("SEC") or NYSE rules.
Board and Director Evaluations
In order to monitor and improve its effectiveness, and to solicit and act upon feedback they receive, the Board and its committees annually engage in a formal self-evaluation process. The Nominating, Governance and Public Responsibility Committee begins the process each year by reviewing and approving the self-evaluation process to ensure the independence and integrity of the process. In addition, they consider the substantive topics that will be part of the self-evaluation, which may include how directors feel about board operations, regulatory matters, strategic and financial oversight, oversight of risk management, executive compensation, succession planning, and governance matters, among many other topics. For the past several years, the Nominating, Governance and Public Responsibility Committee has assigned the Independent Chairman with the task of interviewing each director in these areas. The Independent Chairman then reports the findings to the Nominating, Governance and Public Responsibility Committee and full Board to facilitate a discussion of the results.
Each standing committee also conducts its own self-evaluation. They evaluate their performance against the requirements of their charters and other aspects of their responsibilities. The full Board and each committee then discuss the results of their respective self-evaluations, frequently in executive session, highlighting actions to be taken in response to the self-evaluation. Finally, the full Board conducts an evaluation of the Independent Chairman to ensure that he continues to satisfy the Board's obligations and expectations of the role.
Board Education
We provide orientation to new directors to help familiarize them with our industry and lines of business as well as our legal, compliance, regulatory, and risk profile. Similarly, we provide directors joining a new committee orientation on the requirements and responsibilities relevant to that particular committee. Discover also periodically offers educational sessions on a variety of topics throughout the year for all members of the Board, including legal and regulatory training as well as annual information security training. These sessions are designed to allow directors to develop a deeper understanding of a business issue, complex financial product or regulatory requirement. Finally, directors are encouraged to attend additional continuing education opportunities offered by third parties.
Shareholder Engagement
We have long valued the feedback and perspectives of our shareholders and are committed to continued engagement with shareholders. As a result, throughout the year our CEO, CFO, other members of senior management, Investor Relations, and Corporate Governance teams continuously engaged with investors and other stakeholders, including key governance contacts at our larger investors. In 2021, we engaged in direct outreach with shareholders representing approximately half of our outstanding shares. These discussions often focused on one or more of the following areas: company strategy and results, the Company's response to the COVID-19 pandemic, environmental, social and governance matters, board composition, and executive compensation. Additionally, our senior executives engaged with stakeholders at numerous investor and industry conferences throughout the year. The Nominating, Governance and Public Responsibility Committee and the Board receive updates several times a year on shareholder communications and investor feedback and use this feedback to identify issues and concerns that may require action or enhancements to our policies, practices or disclosures. In prior years, as a result of shareholder feedback, the Company, among other things, amended its by-laws to provide shareholders with proxy access on widely adopted terms and annually publishes metrics around gender pay equity, enhanced our disclosure regarding the racial and gender composition of our Board, provided the Company's most recent EEO-1 data in its Corporate Responsibility Report and formalized the Nominating, Governance and Public Responsibility Committee's oversight of environmental, social and governance matters. In the first quarter of 2022, the Board adopted a new mandatory retirement age policy, beginning with the Company's 2023 Annual Meeting of Shareholders, to focus on Board refreshment and composition and amended the Nominating, Governance and Public Responsibility Committee's name to highlight its ESG oversight role.
Special Meetings
Based on the nearly unanimous support by shareholders at the 2019 Annual Meeting of Shareholders, the Board implemented the shareholders right to call a special meeting at the 25% threshold. In engagement with our shareholders since then, including meetings with shareholders representing approximately half of our outstanding shares in 2021, neither management nor the Board has received any feedback to indicate that shareholders were dissatisfied with the Board's implementation of the special meeting right as further evidenced by the fact that no stakeholders have come forward to ask the Board to change the threshold. In the course of engaging with our shareholders we have received explicit feedback that the 15% threshold is too low given the facts and circumstances regarding levels of concentration in the Company's shareholder base. Based on shareholder feedback, our peer's practices and the level of concentration of our shareholder base, the Board continues to believe that the 25% threshold strikes the right balance.
Proxy Access
In 2016, following engagement with various stakeholders, the Board approved amendments to the Company's bylaws to permit a shareholder or group of up to 20 shareholders, owning at least 3% of the outstanding shares of common stock of the Company continuously for at least 3 years to nominate and include in the Company’s proxy materials director nominees constituting up to the greater of two individuals or 20% of the Board.
Majority Voting
Shareholders vote for the election of all of our directors on an annual basis using a majority voting standard, and, through our annual vote on executive compensation, to regularly express their opinion on our compensation programs. Our certificate of incorporation does not include any supermajority voting requirements.
Board Attendance at Annual Shareholder Meeting
The Company’s Corporate Governance Policies state that each director, unless he or she is unable to attend a meeting due to extenuating circumstances, will attend annual meetings of shareholders where all of our shareholders are invited to attend, ask questions and express their views. All of our directors last year attended the 2021 virtual Annual Meeting of Shareholders.
Correspondence to Directors
Shareholders and other stakeholders are welcome to contact any member of our Board by writing to: Discover Financial Services, 2500 Lake Cook Road, Riverwoods, Illinois 60015, Attention: Corporate Secretary. The Board’s Policy Regarding Communications by Shareholders and Other Interested Parties with the Board of Directors is available through the investor relations page of our internet site, www.discover.com. Shareholder and interested party communications received in this manner will be handled in accordance with applicable procedures.
To facilitate engagement, correspondence should include the following information: (i) if the person submitting the communication is a shareholder, a statement of the type and amount of the securities of the Company that the person beneficially owns; (ii) if the person submitting the communication is not a shareholder and is submitting the communication to the non-management directors as an interested party, the nature of the person’s interest in the Company; (iii) any special interest, meaning an interest not in the capacity of a shareholder of the Company, of the person in the subject matter of the communication; and (iv) the address, telephone number and e-mail address, if any, of the person submitting the communication.
Director Compensation
Director Compensation and Role of the Nominating, Governance and Public Responsibility Committee
Our Directors’ Compensation Plan was approved by our shareholders in 2011, and provides for annual compensation for our non-employee directors. Directors who also are our employees do not receive any compensation under the Directors’ Compensation Plan. The compensation paid to our non-employee directors is delivered to further advance the interests of the Company and its shareholders by encouraging increased share ownership to promote long-term shareholder value. The Nominating, Governance and Public Responsibility Committee maintains guidelines which recommend that directors hold five times the annual cash retainer in Company stock within five years of appointment to the Board. Ten out of our eleven non-employee directors have met and exceeded the Company's stock ownership guidelines for directors. The remaining director was appointed in 2021 and is on track to meet the ownership guidelines within the timeframe specified in the guidelines.
The Nominating, Governance and Public Responsibility Committee is responsible for reviewing the effectiveness of the non-employee director compensation and benefit programs in supporting the Company’s ability to attract, retain, and motivate qualified directors. The Nominating, Governance and Public Responsibility Committee reviews director compensation at least every other year and considers a variety of factors, including our financial performance, general market conditions, director compensation at companies with which we compete for talent, director responsibilities, and trends in director compensation practices. Any recommendations for changes in director compensation are made to our Board. We did not make any changes to our director’s compensation structure or levels during 2021.
In 2021, the Company paid non-employee directors as follows:
Cash Compensation
Each non-employee director receives the following cash compensation under the Directors’ Compensation Plan for service on our Board and each standing committee of our Board:
• An annual retainer fee of $105,000;
• An Independent Chairman annual retainer of $210,000;
• A committee chair retainer fee of: (i) $30,000 each for the chairpersons of the Audit Committee and Risk Oversight Committee; (ii) $25,000 for the chairperson of the Compensation Committee; and (iii) $20,000 for the chairperson of the Nominating, Governance and Public Responsibility Committee; and
• A non-chair committee membership fee of: (i) $20,000 for each member of each of the Audit Committee and Risk Oversight Committee; (ii) $10,000 for each member of the Compensation Committee; and (iii) $5,000 for each member of the Nominating, Governance and Public Responsibility Committee.
Each non-employee director may elect to defer receipt of his or her cash compensation under the Directors’ Voluntary Nonqualified Deferred Compensation Plan until the director terminates service with the Company. A bookkeeping account is maintained for each participant and interest is credited to the deferred amount based on 120% of the quarterly long-term applicable federal rate in effect.
Stock Compensation
Pursuant to the Directors’ Compensation Plan, we may issue awards of up to a total of 1,000,000 shares of our Common Stock to our non-employee directors. Each non-employee director receives an annual grant of $150,000 in restricted stock units ("RSUs") for service on our Board, beginning with the first annual meeting at which the director is elected to our Board. For those directors joining our Board on a date other than the date of an annual meeting, each director receives a grant of $150,000 in RSUs on the date on which the director becomes a member of our Board, adjusted on a pro-rata basis by multiplying such award by a fraction where the numerator is the number of months between such date and the next annual meeting of shareholders and the denominator is twelve.
The number of RSUs granted is determined by dividing the grant date fair value by our share closing price on the date of grant and converting into a whole number of RSUs. The 2021 RSU grants vest on the earlier of the first anniversary of the date of grant or immediately prior to the first annual meeting of shareholders following the date of grant, subject to the director’s continued service through such date. Unless provided otherwise in the RSU agreement, RSUs granted to each non-employee director will become fully vested before the end of the regular restriction period if (i) such director is terminated due to disability or death or (ii) a change in control occurs. Upon vesting, the RSUs are converted into shares of our Common Stock. RSUs include the right to receive dividend equivalents in the same amount and at the same time as dividends paid to all Discover common shareholders. Each non-employee director may elect to defer the receipt of his or her stock compensation until the director terminates service with the Company. A bookkeeping account is maintained for each participant, which reflects the number of RSUs to which the participant is entitled under the terms of the Directors’ Compensation Plan.
Reimbursements
Directors are reimbursed for reasonable expenses incurred in attending Board, committee and shareholder meetings, including reasonable expenses for travel, meals and lodging.
2021 Non-Employee Director Compensation Table
The table below sets forth cash and stock compensation (including deferred compensation) paid to non-employee directors for their Board service for the year ended December 31, 2021.
| | | | | | | | | | | |
| Director | Fees Earned or Paid in Cash ($) | Stock Awards ($)(1) | Total ($) |
| Jeffrey S. Aronin | 115,000 | 150,105 | 265,105 |
| Mary K. Bush | 145,000 | 150,105 | 295,105 |
Gregory C. Case(2) | 130,000 | 150,105 | 280,105 |
Candace H. Duncan(2) | 130,000 | 150,105 | 280,105 |
Joseph F. Eazor(2) | 125,000 | 150,105 | 275,105 |
| Cynthia A. Glassman | 135,000 | 150,105 | 285,105 |
| Thomas G. Maheras | 335,000 | 150,105 | 485,105 |
| Michael H. Moskow | 135,000 | 150,105 | 285,105 |
David L. Rawlinson II(3) | 114,583 | 187,688 | 302,271 |
Mark A. Thierer(2) | 120,000 | 150,105 | 270,105 |
Jennifer L. Wong(2) | 125,000 | 150,105 | 275,105 |
(1)Reflects RSUs granted under the Directors’ Compensation Plan described above. Amounts reflect the grant date fair value of the 2021 RSUs, which were granted on May 5, 2021 for all non-employee directors. These amounts reflect the RSUs’ grant date fair value in accordance with Financial Accounting Standards Board Accounting Standards Codification Topic 718, Stock Compensation (“FASB ASC Topic 718”) and may not correspond to the actual value that might be realized by the named individuals. Additional details on accounting for stock-based compensation can be found in Note 2: “Summary of Significant Accounting Policies - Stock-based Compensation” and Note 10: “Stock-Based Compensation Plans” of our consolidated financial statements in our Annual Report on Form 10-K for the year ended December 31, 2021. As of December 31, 2021, each non-employee director held the following number of RSUs, including deferred RSUs: Mr. Aronin - 58,598; Ms. Bush - 53,366; Mr. Case - 73,230; Ms. Duncan - 18,214; Mr. Eazor - 1,291; Dr. Glassman - 1,291; Mr. Maheras - 49,982; Mr. Moskow - 46,281; Mr. Rawlinson - 1,685; Mr. Thierer - 17,331; and Ms. Wong - 6,646.
(2)The amounts listed for these individuals in the “Fees Earned or Paid in Cash” column were deferred under the Directors’ Voluntary Nonqualified Deferred Compensation Plan.
(3)Mr. Rawlinson's fees were pro-rated based on his February 22, 2021 appointment date. In addition, since Mr. Rawlinson joined the Board on February 22, 2021 and received a pro-rata grant of $37,584 for the period commencing on the date he joined the Board and ending on the date immediately prior to the 2021 shareholder meeting, his stock award amount includes the grant date fair value of his pro-rated award.
Executive Compensation
| | | | | |
| |
| PROPOSAL 2 Advisory Vote to Approve Named Executive Officer Compensation The Board of Directors recommends a vote “FOR” approval of the NEO compensation as disclosed pursuant to Item 402 of SEC Regulation S-K, including in the "Compensation Discussion and Analysis," the compensation tables, and any related information contained in this Proxy Statement. Proxies solicited by the Board will be voted “FOR” this proposal unless otherwise instructed. |
|
What are shareholders being asked to approve?
Pursuant to SEC rules, we must conduct an advisory, non-binding vote on the compensation of our NEOs at least once every three years. At our 2017 annual meeting, we recommended, and our shareholders overwhelmingly supported an annual frequency for this advisory, non-binding vote. As such, the Board has determined that the Company will continue to hold this advisory, non-binding vote on the compensation of our NEOs each year.
Therefore, we are asking you to approve the compensation of our NEOs as disclosed in the “Compensation Discussion and Analysis” (beginning on page 26), the compensation tables (beginning on page 44), and any related material contained in this Proxy Statement. This proposal, commonly known as a “Say-on-Pay” proposal, gives you, as a shareholder, the opportunity to endorse or not endorse our executive pay program and policies through the following resolution:
“Resolved, that the shareholders approve, on an advisory, non-binding basis, the compensation of our NEOs, as disclosed in the ‘Compensation Discussion and Analysis,’ the compensation tables and any related narrative contained in this Proxy Statement.”
What is the Board’s recommendation on voting on this proposal?
The Board unanimously recommends a vote “FOR” approval of the NEO compensation as disclosed pursuant to Item 402 of SEC Regulation S-K, including in the “Compensation Discussion and Analysis,” the compensation tables, and any related information contained in this Proxy Statement. Proxies solicited by the Board will be voted “FOR” this proposal unless otherwise instructed.
As described in detail in the “Compensation Discussion and Analysis” (beginning on page 26), our compensation program for our NEOs is substantially performance-based and designed to attract, retain and motivate our NEOs, who are critical to our success. The compensation our NEOs earned in 2021 reflected Company performance and remained consistent with our balanced compensation structure and commitment to aligning NEO’s interests with those of our shareholders. The Board continues to believe the compensation program for our NEOs is effective in achieving the desired results.
Is the shareholder advisory vote to approve NEO compensation binding on the Company?
No. Under the SEC rules, your vote is advisory and will not be binding upon the Company or the Board. However, the Compensation Committee values the opinions of our shareholders and will review and consider the voting results when considering future executive compensation arrangements.
How many votes are required to approve this proposal?
This advisory vote requires the affirmative vote of a majority of the shares of Common Stock represented at the Annual Meeting and entitled to vote thereon. You may “abstain” from voting on this proposal. Shares voting “abstain” on this proposal will be counted as present at the Annual Meeting for purposes of this proposal and your abstention will have the effect of a vote against this proposal.
Compensation Discussion and Analysis
Section Table of Contents
Executive Summary
This Compensation Discussion and Analysis focuses on the Company's named executive officers ("NEOs") who are identified in the "2021 Executive Compensation Tables". We summarize below our executive compensation program and provide an overview of how and why the Compensation and Leadership Development Committee (the "Compensation Committee") made specific compensation decisions involving NEO compensation. Our fundamental objective was to create highly motivational compensation program that was retentive and also aligned with shareholders’ interests. We also refer you to our Annual Report on Form 10-K for the year ended December 31, 2021 for additional information regarding the Company's 2021 financial results and our Corporate Responsibility Report for the current state of other employee-related initiatives, including our efforts to promote Diversity, Equity and Inclusion.
2021 NEOs
| | | | | |
| Named Executive Officer | Title |
| Roger C. Hochschild | Chief Executive Officer and President ("CEO") |
| John T. Greene | Executive Vice President, Chief Financial Officer |
| Carlos M. Minetti | Executive Vice President, President - Consumer Banking |
| Daniel P. Capozzi | Executive Vice President, President - US Cards |
| Diane E. Offereins | Executive Vice President, President - Payment Services |
Compensation Discussion and Analysis
Compensation Principles
The Company's 2021 executive compensation program and compensation decisions were based on the following principles:
| | | | | | | | |
| | |
| 1 | 2 | 3 |
| Pay-for-Performance | Balanced Compensation Structure | Market-Competitive Pay Opportunity |
| | |
Performance Highlights
In 2021, the Company’s accomplishments included:
| | | | | | | | |
Grew profit before taxes and reserves ("PBTR") significantly at 47% year-over-year driven by strong sales, favorable funding costs and disciplined expense management | | Based on net income of $5,449 million, the Company achieved PBTR of $5,651 million(1) |
Recorded strong credit performance from disciplined management and favorable macroeconomic conditions | | Total net charge-off rate on average loans outstanding of 1.84% was down from the prior year rate of 3.03% |
| Invested in marketing and digital and analytics capabilities to drive growth and efficiency | | Total loans up 4% year-over-year reflecting strong new account growth driven by investments in account acquisition and robust sales volume which was up 28% from the prior year |
Enhanced shareholder returns with larger dividends and share repurchases | | The Company increased the quarterly dividend to $0.50 per share of common stock and approved a $2.4 billion share repurchase plan in July 2021 |
____________________
(1)Profit before taxes and reserves ("PBTR") is a non-GAAP financial measure which should be viewed in addition to, not as a substitute for, the Company's reported results. PBTR is derived by adding the change in the allowance for credit losses of $(1,404) million, the change in the liability for expected credit losses on unfunded commitments of $(9) million, and income tax expense of $1,615 million to net income of $5,449 million. The Compensation and Leadership Development Committee believes that PBTR is a critical measure of the core operating performance of the business that increases focus on factors the Company's incentive-eligible employees are most able to directly impact and influence. Please see "Annex A" for a reconciliation of PBTR growth to net income growth calculated in accordance with GAAP.
Compensation Discussion and Analysis
Our executive compensation program is designed to attract, motivate and retain top executive talent to achieve our strategic objectives and align shareholder and executive interests. Annual cash incentives use PBTR as the primary measure of the Company's financial performance to establish award levels. The Compensation Committee believes that PBTR is a critical measure of the core operating performance of the business and focuses on factors the Company's incentive-eligible employees are most able to directly impact and influence. Long-term incentives ("LTI") are granted in the form of restricted stock units ("RSUs") and performance stock units ("PSUs"), with PSU vesting tied to cumulative earnings per share ("EPS") performance over a three-year performance period. We believe the link between our financial results and executive incentives demonstrate our continued commitment to paying for performance.
Our financial results and compensation earned by NEOs for 2021 reflected exceptional Company performance and remained consistent with our balanced compensation structure and commitment to aligning our NEOs' interests with those of our shareholders. We performed well compared with goals in 2021 in many areas, and significantly exceeded our PBTR goal for 2021. We believe our incentive plans helped motivate performance, resulting in our 2019-2021 PSU performance payouts and 2021 short-term incentive ("STI") funding being above target.
2021 highlighted the strength of our integrated digital banking and payments model and solid execution against our strategic priorities against the backdrop of continued economic improvement. In 2021, we acted on opportunities to expand our business as the economy recovered. We invested in growth with increased marketing for account acquisition. We made advancements to our data and analytics platforms and enhanced our capabilities. We continued to actively manage our funding costs and remained disciplined around credit management. Year-over-year loan growth was driven by very strong consumer spending and robust new account growth that more than offset an elevated payment rate. We remained flexible and committed to our employees’ needs with nearly all of our workforce continuing to work from home throughout 2021. We believe that these and other factors allowed our business to successfully navigate through the pandemic and emerge well positioned to create long-term value for our customers and shareholders.
Summary of Chief Executive Officer and All Other NEOs' Compensation
Consistent with our compensation philosophy, a large portion of each NEO's compensation is at-risk performance-based compensation. The chart below summarizes the 2021 elements of compensation that comprised our CEO's target total direct compensation opportunity and the average target total direct compensation for all other NEOs. Approximately 90% of the CEO's 2021 target total direct compensation and 83% of all other NEOs target total direct compensation was variable and tied to Company financial performance. See "2021 Decision-Making Process" for more details on how the factors considered by the Compensation Committee impacted compensation decisions and see "2021 Summary Compensation Table" for the Compensation Committee's actual compensation decisions.
| | | | | |
2021 CEO TARGET PAY MIX | 2021 AVERAGE OF All OTHER NEOs TARGET PAY MIX |
| |
Compensation Discussion and Analysis
Overview of Performance
In 2021, we continued to contend with the unique challenges related to the pandemic, and once again, our differentiated business model stood up to the challenges presented. The Discover team successfully executed against our business priorities as we made meaningful investments for growth and continued to make advancements in data and analytics. As the economy continued to recover through 2021 we quickly responded with increased investment in marketing. This, combined with our attractive cashback rewards value proposition, no annual fee and exceptional service, drove strong new account growth. Credit performance remained exceptionally strong and we had a record low net charge-off rate supported by improved economic trends and our approach to credit management. We also continued to expand our Payments business with increased network volume and new strategic partnerships. Throughout the year we acted on opportunities to strengthen our business and drive long-term value for our customers and shareholders. Highlights of 2021 results include:
•Strong execution against business priorities drove net income of $5,449 million, and PBTR of $5,651 million(1).
•Total expenses were up 6% as we continue to invest in growth and capabilities.
•Revenue net of interest expense was $12.1 billion, up 9%, driven by higher net discount and interchange revenue, net interest income, and an unrealized gain on an equity investment, .
•Credit performance was strong across all of our lending products driven by the favorable economic trends and our disciplined approach to credit management.
•Payment Services had strong network volume growth, up 17% year-over-year and generated $533 million in pre-tax income driven by an unrealized gain on an equity investment and increased PULSE revenue.
•Card loans were up 4% reflecting strong sales volume growth, up 28% year-over-year, and robust new account growth through the year, partially offset by an elevated payment rate.
•Organic student loans increased 4% from 2020 as originations benefited from the return to in-person learning in 2021.
•Personal loans were down 3% due to high payment rates.
The Company reviewed its compensation plans and programs in 2021 and determined that they are not designed to nor do they create an incentive to engage in excessive risk-taking. More details regarding our 2021 performance and executive compensation can be found in the sections hereafter, including a summary of the compensation approach for our CEO under "Summary of Chief Executive Officer Compensation." We encourage you to read this section of the Proxy Statement in conjunction with the advisory, non-binding vote that we are conducting on the compensation of our NEOs.
Governance Matters
2021 Advisory Vote on NEO Compensation
At our 2021 annual meeting, shareholders indicated strong support for our executive compensation program with approximately 95% of votes cast in favor of our "Say-on-Pay" proposal. The Compensation Committee values the opinions of our shareholders and considered the Say-on-Pay vote results in connection with its evaluation of the Company’s executive compensation program and, after considering such vote results, did not make any changes to the Company's executive compensation program in response to the 2021 Say-on-Pay vote.
____________________
(1)Profit before taxes and reserves ("PBTR") is a non-GAAP financial measure which should be viewed in addition to, not as a substitute for, the Company's reported results. PBTR is derived by adding the change in the allowance for credit losses of $(1,404) million, the change in the liability for expected credit losses on unfunded commitments of $(9) million, and income tax expense of $1,615 million to net income of $5,449 million. The Compensation and Leadership Development Committee believes that PBTR is a critical measure of the core operating performance of the business that increases focus on factors the Company's incentive-eligible employees are most able to directly impact and influence. Please see "Annex A" for a reconciliation of PBTR growth to net income growth calculated in accordance with GAAP.
Compensation Discussion and Analysis
Practices and Policies Supporting Strong Corporate Governance and Compensation Programs
We continue to maintain our disciplined approach to executive compensation with a focus on pay-for-performance, strong governance, risk management, and simplicity as evidenced by the following practices:
| | | | | |
| |
We Do | We Do Not |
ü Pay-for-performance: The majority of the compensation for our NEOs is in the form of variable cash and equity compensation linked to the short-term and long-term financial and strategic performance of the Company. Incentive compensation metrics are tied to the profitable operation and growth of the Company and NEOs’ individual goals are designed to be aligned to financial and strategic outcomes. ü Shareholder alignment: Our compensation program is designed to be aligned with our long-term interests and those of our shareholders. LTI awards are granted in the form of PSUs and RSUs. PSUs represent the majority of the target annual LTI grant value for our NEOs and are earned based on performance against EPS targets over a three-year performance period. In addition, the value of LTI awards fluctuates based on the Company's stock price over the applicable vesting periods. ü Independent oversight: Our Compensation Committee includes only directors who are independent under applicable NYSE listing standards and the Compensation Committee is advised by an independent compensation consultant. ü Share ownership guidelines for NEOs: Our CEO must own shares with a value of at least seven times his base salary and our other NEOs must own shares with a value of at least three times their respective base salaries. Each NEO must achieve his or her ownership guideline within five years of appointment. ü Incentive award limits: Incentive awards have maximum payout caps. ü Clawback of incentive compensation: Our equity awards provide for clawbacks that allow us to recover shares issued pursuant to RSUs and PSUs under certain circumstances. ü Risk management: We regularly evaluate the risk impact of the design of our incentive compensation program. The compensation decisions for our NEOs include a risk review that is considered before we make annual STI and LTI awards and before the determination of vesting for all outstanding stock grants which may result in a reduction in the number of the shares vesting. ü Double trigger change in control: Our change in control severance policy includes a double trigger. ü Restrictive covenants: LTI awards to NEOs are subject to non-competition and non-solicitation provisions. ü Limited perquisites: Perquisites provided to our NEOs are generally limited to access to an executive gym, charitable contributions and security. In 2020, the Compensation Committee approved for the balance of 2020 and in 2021 the use of chartered aircraft by Mr. Hochschild and his family for travel, including personal travel, to reduce the risk of COVID-19 exposure. On occasion, our NEOs may use Company tickets for sporting, cultural or other events for personal use when they are not otherwise used for business purposes. | û No employment contracts for NEOs: We do not have individual employment agreements with any of our NEOs. û No special benefit plans: We do not provide any benefit plans to our executives that are not generally available to other employees and we do not provide any supplemental executive retirement plan benefits to any executive. û No hedging or pledging: Directors and executive officers, including NEOs, are prohibited from hedging Company securities, holding Company securities in a margin account or otherwise pledging Company securities, including as collateral for a loan. û No excise tax gross-ups: We do not provide excise tax gross-ups for any employee. |
| |
Compensation Discussion and Analysis
Compensation Program and Objectives
The Company's 2021 executive compensation program and compensation decisions were based on the following principles:
| | | | | | | | |
| | |
Pay-for-Performance Our compensation should reflect financial and non-financial performance over short- and long-term periods at the Company and individual performance levels. | Balanced Compensation Structure We seek to deliver a mix of fixed and variable compensation that aligns the interests of our executive officers with our shareholders and appropriately balances risk and reward. | Market-Competitive Pay Opportunity Our compensation should be competitive relative to our peers and the broader market in order to attract, motivate and retain top executive talent.
|
Pay-for-Performance
Our compensation program is grounded in a pay-for-performance philosophy that is designed to reward achievement of the Company's financial and strategic performance objectives. In determining executive compensation, the Compensation Committee considers financial performance and strategic performance factors, relative performance, risk performance, regulatory compliance, internal pay equity and individual NEO performance. The majority of compensation for our NEOs is in the form of variable compensation, a substantial portion of which is paid in RSUs and PSUs tied to the long-term performance of the Company and designed to be aligned with shareholder interests. Performance factors considered by the Compensation Committee in setting and determining executive compensation included the following:
•Financial Performance: For 2021, the main factors the Compensation Committee considered in evaluating financial performance were the Company's PBTR performance and EPS.
•Other Performance Factors: The Compensation Committee also considered Company performance with respect to the following factors:
–Other Financial Metrics: Company performance relative to the Company's Annual Operating Plan (the "Annual Plan"), and prior year results for the following: net income; return on equity ("ROE") (and risk-adjusted returns); total revenue (defined as net interest income plus other income); net charge-offs; and operating expenses.
–Key Focus Areas: Extent to which the Company improved brand consideration and product awareness; identified and pursued next generation growth opportunities in banking and payments; enhanced technology, analytics and digital capabilities; progressed on maturing risk management and compliance; and made progress toward enterprise wide diversity, equity and inclusion goals.
–Relative Performance: Company performance against a select group of competitors on profitability, credit performance, growth, Total Shareholder Return ("TSR"), and other measures.
•Risk Performance: Company performance with respect to risk management, capital adequacy, and regulatory compliance.
•Individual Performance: Each NEO's performance relative to individual objectives, including relative impact on, experience, and internal pay equity.
Compensation Discussion and Analysis
Balanced Compensation Structure
The Compensation Committee determines the total direct compensation opportunity (sum of base salary, target STI and LTI opportunities) for each of our NEOs at the beginning of the year, based on Company and individual performance during the prior year as well as the overall skills and experiences of the executive, internal pay equity and the Compensation Committee's assessment of their future potential. Target STI and LTI opportunities are established for and communicated to the NEOs at the beginning of the year or, if later, at the time of any subsequent change in STI or LTI opportunity. The actual year-end STI awards paid and LTI awards made to the NEOs are determined by the Compensation Committee based on its evaluation of financial performance, primarily PBTR for STI, and other performance factors, risk performance and individual performance, and adjusted EPS for LTI (as described beginning on page 36). The Compensation Committee also considers compensation levels of other executives in similar roles both within the Company and at industry peers before making compensation decisions. The Compensation Committee uses its judgment instead of solely relying on a formulaic structure, which it believes provides the right level of transparency while maintaining the flexibility necessary to pay amounts it deems appropriate for performance. The Compensation Committee has determined that a balance of the following pay components provides an effective combination of risk and reward:
| | | | | | | | | | | | | | |
| | (At Risk) |
| | |
Element | Base Salary | Short-Term Incentive ("STI") | Long-Term Incentive ("LTI") |
Highlights | Fixed cash compensation based on scope of responsibility, impact on the organization, expertise, experience, and individual performance. | Annual cash bonus opportunity based on Company financial performance, primarily PBTR, other performance factors, risk and individual performance. | Annual equity award opportunity based on financial performance, other performance factors, risk and individual performance; granted as a mix of PSUs and RSUs with PSU awards determined based on adjusted EPS. |
2021 CEO Target Pay Mix | 10.1% | 20.2% | RSUs 17.4% | PSUs 52.3% |
| | | |
2021 Average of All Other Named Executive Officers ("NEOs") Target Pay Mix | 17.4% | 26.1% | RSUs 22.6% | PSUs 33.9% |
| | | |
Review of Compensation Policies and Practices Related to Risk Management
The Compensation Committee is responsible for overseeing risk management associated with the Company's compensation practices. The Compensation Committee at least annually meets with the Company's Chief Risk Officer to review all employee compensation plans, in which employees (including the NEOs) participate, and to evaluate whether these plans contain any features that might encourage imprudent risk-taking that could threaten the value of the Company or are reasonably likely to have a material adverse effect on the Company.
The Compensation Committee also continues to monitor a separate, on-going risk assessment by senior management of the Company's employee compensation practices in order to evaluate compliance with the Interagency Guidance on Sound Incentive Compensation Policies issued by the Federal Reserve Board and other bank regulators in 2010, and any updates thereto that may be issued from time to time. Based on an assessment of enterprise risk events, the Company's Chief Risk Officer may direct senior leaders from the Company's Human Resources, Legal, and Risk Management teams to compile and analyze information about the Company's incentive compensation practices and payment history and to conduct interviews with business line managers to understand how evaluation of business risk events affect certain STI and LTI performance measures and compensation decisions. After evaluation of the data, and prior to current year incentive compensation decisions, the Chief Risk Officer prepares a report of the risk assessment, which includes any recommendations for risk adjustments to incentive compensation in connection with risk events. In addition, prior to vesting, the Chief Risk Officer reviews a risk assessment of business and individual risk performance over the past three years and certifies whether outstanding LTI awards should vest without adjustment. The Chief Risk Officer's performance during the period is reviewed by the Risk Oversight Committee.
In 2021, the Compensation Committee conducted its assessment with the assistance of our Chief Risk Officer to consider whether any element of the compensation structure, design, review, or decision-making process could be reasonably likely to have a material adverse effect on the Company. The Compensation Committee found that incentive compensation continues to be firmly tied to current and future Company performance and is designed to appropriately balance risk and reward and does not have a material adverse effect on the
Compensation Discussion and Analysis
Company. The Compensation Committee evaluated our NEOs' performance against risk goals before determining compensation for our NEOs, creating a direct link between our incentive compensation and risk management.
In 2021, in connection with its compensation decisions, the Compensation Committee reviewed reports from and met with the Company's Chief Risk Officer and the Risk Oversight and Audit Committees of the Board of Directors in joint meetings (the "Joint Meetings") to discuss the annual incentive compensation risk assessment and to review outcomes of certain risk events and any impact on compensation decisions. The annual risk assessment did not result in the identification of any risks related to our incentive compensation plans that are, either individually or in the aggregate, reasonably likely to encourage imprudent risk-taking that could threaten the value of the Company or have a material adverse effect on the Company. Following the Joint Meetings, the Committee assessed and finalized incentive compensation decisions.
Market-Competitive Pay Opportunity
The Compensation Committee reviewed and considered competitive market data from the following sources when approving NEO compensation: proxy data from an established peer group of companies (discussed below) and other market survey data from companies within the financial services industry and others with whom we compete for talent. For benchmarking purposes, the peer group used in the analysis consists of 16 financial services companies of a similar business nature and revenue size to the Company, from which the Company might expect to draw and compete for executive talent. Given that the Company has few direct competitors of similar scope, size, and business model, this peer group is somewhat varied in nature and primarily represents companies that are similar in business areas with a focus on credit card providers, regional financial institutions that have significant credit card and/or loan operations, payments processing and data/transaction processing companies. In 2020, the Compensation Committee reviewed the 2020 peer group and, after evaluating the companies with the Compensation Consultant, decided to remove Ameriprise Financial, Inc. and add PayPal Holdings, Inc. PayPal Holdings, Inc. was identified as a better size, talent, and business-appropriate peer while Ameriprise Financial, Inc. was determined to be a less suitable peer based on a lack of peer group overlap and operations almost exclusively in wealth management.
The 2021 peer group consisted of the following companies:
| | | | | | | | |
| | |
•Ally Financial, Inc. •American Express Company •Capital One Financial Corporation •CIT Group Inc. •Comerica Incorporated | •Fidelity National Information Services, Inc. •Fifth Third Bancorp •Fiserv, Inc. •KeyCorp •M&T Bank Corporation | •Mastercard Incorporated •PayPal Holdings, Inc. •Regions Financial Corporation •Synchrony Financial •Visa Inc. •The Western Union Company |
| | |
In 2021, the Compensation Committee reviewed the peer group based on the criteria noted above and decided to remove CIT Group Inc. and add Alliance Data Systems Corp. Alliance Data Systems Corp. was identified as an appropriate peer based on comparable financials, significant peer group overlap and industry while CIT Group Inc. was determined to be a less suitable peer based on its smaller size and lack of peer group overlap. This change will be effective with respect to the peer group used to evaluate 2022 compensation decisions.
The 2022 peer group consists of the following companies:
| | | | | | | | |
| | |
•Alliance Data Systems Corp. •Ally Financial, Inc. •American Express Company •Capital One Financial Corporation •Comerica Incorporated | •Fidelity National Information Services, Inc. •Fifth Third Bancorp •Fiserv, Inc. •KeyCorp •M&T Bank Corporation | •Mastercard Incorporated •PayPal Holdings, Inc. •Regions Financial Corporation •Synchrony Financial •Visa Inc. •The Western Union Company |
| | |
Components of Compensation
2021 compensation decisions for our NEOs were closely tied to our 2021 financial performance and consisted of three key components - base salary, STI, and LTI, with a significant portion of total compensation tied to long-term Company performance. These components are summarized below.
Base Salary
We provide our NEOs with market-competitive annual base salaries to attract and retain an appropriate caliber of talent for each position. Annually, we review our competitive market, including market data provided by the Compensation Consultant for our peer group and the broader market. Effective January 1, 2021, the Compensation Committee approved a $100,000 increase to Mr. Capozzi’s base salary upon assuming the role of EVP, President - US Cards to bring his compensation to market-competitive levels, in recognition of his experience and performance, and to reflect greater internal equity with his peers. None of the other NEOs received a base salary adjustment in 2021. See "2021 Summary Compensation Table" for a summary of 2021 NEO base salaries.
Compensation Discussion and Analysis
Short-Term Incentive Program
In 2021, we continued to offer our NEOs the opportunity to earn a market-competitive annual cash award through our STI program. Awards may be earned based primarily on the Company's financial performance, while incorporating other secondary performance factors, risk performance, and individual performance. The STI opportunity is provided to create additional motivation for the executives to achieve our annual business goals and to enable us to attract and retain an appropriate caliber of talent for each position, recognizing that similar annual STI opportunities are provided at other companies with which we compete for talent. Our NEOs have target STI opportunities, represented on the "2021 Grants of Plan-Based Awards" table, which were communicated to them at the beginning of the year.
The Compensation Committee considered market changes, individual performance, experience, and internal pay equity in setting 2021 STI targets. Effective January 1, 2021, the Compensation Committee approved a 20% increase to Mr. Capozzi’s STI target upon assuming the role of EVP, President – US Cards to bring his compensation to market-competitive levels and in recognition of his experience and performance. None of the other NEOs received an adjustment to their 2021 STI target.
In 2021, PBTR was the primary performance factor considered when the Committee approved annual incentive funding. PBTR performance against Compensation Committee-approved targets establishes the pool for funding company-wide STI awards. PBTR is derived by adding changes in the allowance for credit losses and reserves for unfunded commitments to pretax income. PBTR is a non-GAAP financial measure that should be viewed in addition to, and not as a substitute for, the Company's reported results. The Compensation Committee believes that PBTR is a critical measure of the core operating performance of the business and focuses on factors the Company's incentive-eligible employees are most able to directly impact and influence.
In 2021, given the volatile economic environment generally due to the impacts of COVID-19 pandemic, the Compensation Committee approved STI funding goals that aligned with the Company's 2021 operating plan. The remainder of the plan design remained unchanged. The performance/ payout curve defined potential funding levels based on various levels of PBTR performance. The curve was structured to provide threshold funding of 70% of target and maximum funding of 130% of target based on PBTR performance. For NEOs, a 1.5x multiplier is then applied resulting in threshold funding of 55% of target and maximum funding of 145% of target to reflect the contribution to and responsibility for overall organization performance. In each case, the numbers presented are starting points, and the Committee has discretion to reduce or increase the funded amounts, but not above maximum funding. The Committee reviews multiple facets of Company performance when ultimately approving the STI funding level.
When the Committee approved the 2021 funding goal and curve in January 2021, it considered multiple factors, including the business plan, historical performance and general market conditions and determined that a PBTR goal based on the Company's 2021 plan reflected appropriate challenge.
In 2021, based on net income of $5,449 million, the Company achieved PBTR of $5,651 million(1), reflecting a 47%(1) year-over-year increase and $1,930 million higher than our 2021 Annual Plan. For incentive plan purposes, the Committee exercised discretion and excluded unrealized gains on equity investments resulting in PBTR of $5,208 million. When determining individual 2021 STI compensation decisions for NEOs, the Compensation Committee assessed PBTR performance and made discretionary adjustments to the STI payouts for each of the NEOs based on a number of factors, including performance against individual goals.
The Compensation Committee also considered secondary Company performance factors, including performance against the Annual Plan, net income, ROE (and risk-adjusted returns), EPS, total revenue (defined as net interest income plus other income), net charge-offs, operating expenses, key focus areas, relative performance, risk performance, regulatory compliance, internal equity, and individual performance. The Compensation Committee believes this approach provides the appropriate level of transparency while maintaining the flexibility to adjust awards for extraordinary circumstances that positively or negatively affect the Company's financial performance. This approach also allows the Compensation Committee to evaluate whether pay is commensurate with risks taken and the quality of performance results.
See "2021 Decision-Making Process" below for more details on the factors considered by the Compensation Committee in compensation decisions and see "2021 Summary Compensation Table" for actual STI payouts to the NEOs.
____________________
(1)Profit before taxes and reserves ("PBTR") is a non-GAAP financial measure which should be viewed in addition to, not as a substitute for, the Company's reported results. PBTR is derived by adding the change in the allowance for credit losses of $(1,404) million, the change of the liability for expected credit losses on unfunded commitments for $(9) million, and income tax expense of $1,615 million to net income of $5,449 million. The Compensation and Leadership Development Committee believes that PBTR is a critical measure of the core operating performance of the business that increases focus on factors the Company's incentive-eligible employees are most able to directly impact and influence. Please see "Annex A" for a reconciliation of PBTR growth to net income growth calculated in accordance with GAAP.
Compensation Discussion and Analysis
Long-Term Incentive Program
The Compensation Committee, with input from the Compensation Consultant, continues to emphasize stock-based compensation for our NEOs to align their long-term interests with those of our shareholders. The Compensation Committee believes that the use of RSUs and PSUs that vest over a multi-year period focuses executives on the Company's long-term interests without leading to imprudent risk-taking. In addition, we believe time-vested RSUs and time-vested and performance-based PSUs represent an efficient method of delivering long-term incentive compensation, generally using fewer shares than other types of stock-based award vehicles while delivering value that is ultimately tied to Company operational or stock price performance.
For 2021, the Compensation Committee approved a combination of RSUs that generally vest ratably over a three-year period and at-risk PSUs tied to a three-year Company performance and vesting period (all pending evaluation against the Company's risk policies).
Awards of RSUs and PSUs are subject to a clawback that allows the Company to reclaim previously granted awards under certain circumstances.
The Compensation Committee sets long-term incentive compensation commensurate with level in the organization to appropriately motivate the individuals and further align their interests with those of our shareholders. The Compensation Committee established a target LTI value for the NEOs, represented as a percentage of their base salaries, and determined that 70% of the target compensation of the CEO and, on average, 57% of the target compensation of the other NEOs, would be in the form of long-term incentive compensation. In addition, the Compensation Committee established a target PSU and RSU mix as a percentage of the total target LTI of each NEO, as represented below.
| | | | | |
LONG-TERM INCENTIVE ANNUAL TARGET AWARD MIX |
| CEO | All other NEOs |
| |
The LTI award consists of a forward-looking stock award with an initial grant value determined starting with an individual's target LTI value and adjusted based on prior-year performance. In 2021, to better align with market practice, LTI award values were established based on individual funding targets adjusted up or down to reflect prior year individual performance, rather than pool funding based on attainment of prior year PBTR targets as had been employed in prior years. The number of PSUs and RSUs granted is determined by dividing the dollar value of each recipient's award by the fair market value of a share of common stock on the date of grant. The PSU and RSU grants were made in February 2021 to each of the NEOs. In early 2021, in recognition of Mr. Hochschild's performance as CEO, and to bring his compensation closer to market-competitive levels, the Compensation Committee approved a 9% increase in his long-term incentive target. The Compensation Committee made no other changes to the 2021 LTI targets of the other then-serving NEOs. See "2021 Decision-Making Process" below for more details on how the factors considered by the Compensation Committee impacted compensation decisions and see "2021 Summary Compensation Table" for the actual LTI grant values.
Performance Stock Units
2021 PSU Awards
At-risk PSUs are granted annually at the beginning of a three-year performance period to further reinforce the NEOs' accountability for the Company's future financial and strategic goals and performance by tying a significant portion of compensation directly to the Company's EPS. The majority of the 2021 LTI awards for NEOs consisted of PSUs (75% for the CEO, and 60% for the other NEOs), which were granted under the Company's 2014 Omnibus Incentive Plan. Under this program, PSUs award levels will be determined and vest and convert to shares of Common Stock if and to the extent the Company achieves specific cumulative EPS performance goals over a three-year performance period and provided the executive remains employed by the Company for the three-year performance period (with exceptions for certain termination events), and are subject to an evaluation of compliance with the Company's risk policies over the three-year period prior to vesting. The performance period for the 2021 award of PSUs began on January 1, 2021 and ends on December 31, 2023. The EPS performance target is established during the annual business planning process and is intended to push the Company and the NEOs to achieve higher performance within the Company's risk framework. Target PSU payout will be achieved if the Company meets its cumulative business plan goals, while achievement of maximum and threshold performance goals are each expected to be infrequent in occurrence. Participants will receive no portion of the award if the minimum performance is not met. If the Company exceeds the target performance hurdles, the NEO can potentially earn an award in excess of the target, up to a maximum of one and one-half times the target award based on Company performance. The awards will receive dividend equivalents in cash which will accumulate and pay out if and when the underlying shares are released to the NEOs.
Compensation Discussion and Analysis
2019 PSU Payouts
The performance period for our PSUs granted in February 2019 was completed on December 31, 2021. The CLDC approved performance targets at the start of the 2019 PSU performance period taking into account the impact of current expected credit losses ("CECL") on earnings per share performance, which allowed the Company to exclude the impact of CECL for purposes of establishing awards. Following the completion of the performance period in 2022, based on its assessment of the impact of CECL, the Compensation Committee approved a payout factor of 115% of target. The cumulative diluted EPS over the three-year period was $30.51 versus a target of $29.73, which would have resulted in a payout factor of 109% of the target amount if the Company had not accounted for the impact of CECL. An EPS of $14.87 and $34.19 was required to receive a minimum and maximum payout, respectively. In assessing the appropriate payout for these PSUs, the Compensation Committee considered the EPS over the performance period attributable to effective NEO execution of key business decisions and strategies, including strong focus on growth and credit risk management. Consistent with the Company's pay-for-performance philosophy and in accordance with the provisions of the 2014 Omnibus Incentive Plan, the Compensation Committee may adjust target amounts to reflect the impact of factors that management cannot directly control and to ensure that payout factors are not artificially inflated or impaired by factors unrelated to the ongoing operations of the business. The final payout of these PSUs was determined after confirmation of compliance with the Company’s risk policies, and employees received earned shares (which remain subject to clawback provisions, and for NEOs, subject to the share ownership guidelines and share retention requirements) when they vested in February 2022.
Restricted Stock Units
In addition to time-based vesting, RSUs are subject to market variability tied to the Company stock price and are intended to align the interests of senior executives with the long-term interests of the Company and its shareholders as well as motivate future contributions and decisions aimed at increasing shareholder value. RSUs generally vest and convert to shares ratably over a three-year period, subject to compliance with the Company's risk policies and assuming the executive remains employed by the Company through the vesting date (with exceptions for certain termination events). The awards deliver dividend equivalents in cash, which are paid to the NEOs in the same amount and at the same time as dividends are paid to all Company common shareholders.
2021 Decision-Making Process
Factors Affecting Compensation Decisions
The primary Company performance factor considered by the Compensation Committee for purposes of making variable compensation decisions for 2021 was the Company's PBTR. Although no set weight is assigned to any performance metric or goal, we believe that a profit-based measure best reflects overall Company performance and drives EPS, which we believe is the representative measure most directly tied to the return to our common shareholders. We believe PBTR is also a balanced measure aligned with total performance to motivate executives to focus on the overall returns of the Company and not drive performance on one measure or one business unit over another. In 2021, the Compensation Committee considered the Company's PBTR along with other performance factors, including: performance against Annual Plan; net income; ROE (and risk-adjusted returns); EPS; total revenue (defined as net interest income plus other income); net charge-offs and operating expenses; key focus areas; relative performance; risk performance; regulatory compliance; internal pay equity; and individual performance.
For the PSU portion of the LTI program, the primary metric the Compensation Committee established for performance-vesting purposes was cumulative EPS achievement over a three-year performance period. In making final award determinations for the 2019-2021 PSUs, the Compensation Committee also factored in individual compliance with the Company's risk policies including an assessment of any imprudent risks taken over the three-year vesting period, inclusive of the performance period. The Compensation Committee retains discretion to adjust EPS performance for the impact of unusual or non-recurring events not reflected in business plan assumptions including legislative, accounting or other regulatory changes, one-time, unusual tax events, and significant changes in planned share repurchases where such events are not attributable to NEO performance for purposes of PSU vesting.
The Compensation Committee also considered the need to attract, motivate, and retain a talented management team and to design our compensation program in a way that remains competitive with other companies with which we compete for senior executive talent.
For 2021, after consideration of all the aforementioned factors and the Compensation Committee’s emphasis on pay-for-performance, the Compensation Committee made compensation decisions for each of the NEOs as detailed in the "2021 Summary Compensation Table." STI was paid after the Compensation Committee meeting in January 2022 and LTI was granted after the regularly scheduled Committee meeting in February 2021.
Compensation Discussion and Analysis
Overall Company and Business Segment Performance
The Compensation Committee believes that the actions taken by the Company's CEO and the other NEOs throughout 2021 helped the Company to continue to grow during the COVID-19 global pandemic while continuing to pursue our business objectives and placed the Company in a position to succeed in 2021 and beyond. The following achievements, among other things, enabled the Company's success in 2021 and we believe place the Company in a strong position going forward:
•Credit performance was strong across all of our lending products driven by the favorable economic trends and our disciplined approach to credit management.
•Total loans increased 4% year-over year, driven by investments in marketing and account acquisition and growth in consumer spending, partially offset by an elevated payment rate.
•Operating efficiency ratio(1) of 40% reflects strong revenue growth offset by increased operating expenses. The increase in expenses was primarily driven by higher marketing expense, compensation (primarily due to the over performance of the annual bonus and PSU plans) and professional fees.
•Payment Services had strong network volume growth, up 17% year-over-year and generated $533 million in pre-tax income driven by an unrealized gain on an equity investment and increased PULSE revenue.
•In July 2021 our Board of Directors approved a new $2.4 billion repurchase plan; we repurchased $2.3 billion shares in 2021 subject to the Federal Reserve’s limitations.
Financial Performance
The primary factor that our Compensation Committee considered in making 2021 compensation decisions was the Company's PBTR growth. The Company achieved PBTR of $5,651 million(2), which represented a year-over-year increase of 47%(1). The PBTR was $1,930 million higher than our 2021 Annual Plan primarily driven by rapid improvement in economic trends resulting in significantly lower net charge-offs. The Compensation Committee considered that PBTR performance was also the result of revenue growth and operating expense management in line with the 2021 Annual Plan expectations.
Other Performance Factors
Other Financial Metrics
The Compensation Committee considered other secondary 2021 financial metrics set forth below. No single secondary financial metric was by itself significant to the Compensation Committee's determination of any individual's compensation. The Committee subjectively balanced 2021 financial performance across these secondary metrics in the aggregate in determining individual compensation.
The following financial metrics were considered by the Compensation Committee (dollars in millions, except per share amounts):
| | | | | | | | |
| 2021 | Change from 2020 |
Total Revenue(3) | $12,087 | 9% |
| Net Charge-off Dollars | $1,631 | (40)% |
| Operating Expense | $4,805 | 6% |
| Net Income | $5,449 | 378% |
| Diluted Earnings Per Share | $17.83 | 395% |
| Return on Equity | 43% | 32% |
____________________
(1)Operating efficiency ratio represents total other expense divided by revenue net of interest expense.
(2)Profit before taxes and reserves ("PBTR") is a non-GAAP financial measure which should be viewed in addition to, not as a substitute for, the Company's reported results. PBTR is derived by adding the change in the allowance for credit losses of $(1,404) million, the change in the liability for expected credit losses on unfunded commitments of $(9) million, and income tax expense of $1,615 million to net income of $5,449 million. The Compensation and Leadership Development Committee believes that PBTR is a critical measure of the core operating performance of the business that increases focus on factors the Company's incentive-eligible employees are most able to directly impact and influence. Please see "Annex A" for a reconciliation of PBTR growth to net income growth calculated in accordance with GAAP.
(3)Total revenue equals the sum of net interest income and other income.
Compensation Discussion and Analysis
Key Focus Areas
The Compensation Committee also considered the Company's progress on key focus areas, including improving brand consideration and product awareness, identifying and pursuing next generation growth opportunities in banking and payments, enhancing technology, analytics and digital capabilities, progress on maturing risk management and compliance as well as leading diversity, equity and inclusion efforts when making overall compensation decisions. The Compensation Committee reviewed and subjectively balanced performance in these key focus areas with other secondary factors and PBTR in the aggregate in determining individual compensation.
The following secondary performance factors were reviewed by the Compensation Committee:
•Total loans increased 4% year-over year, driven by investments in marketing and account acquisition and growth in consumer spending, partially offset by an elevated payment rate.
•Digital Banking revenue grew $609 million or 6% year-over-year reflecting higher average receivables, favorable funding costs and higher net discount and interchange revenue due to strong sales volume.
•Consumer Deposits decreased slightly from the prior year. We continued to optimize our funding mix with average consumer deposits representing 68% of total funding as of the fourth quarter, compared to 62% in 4Q20.
•Total net charge-off rate of 1.84% was significantly down from the prior year rate of 3.03%.
•Operating efficiency ratio(1) of 40% reflects strong revenue growth offset by increased operating expenses. The increase in expenses was primarily driven by higher marketing expense, compensation and professional fees.
•Payment Services had strong network volume growth, up 17% year-over-year and generated $533 million in pre-tax income driven by an unrealized gain on an equity investment and increased PULSE revenue.
•Company and individual risk performance with respect to legal and regulatory matters.
Relative Performance
The Compensation Committee also considers the Company's performance relative to our largest business competitors in the U.S. market in both the Digital Banking and Payment Services segments. In 2021, Discover performed better than the majority of its largest competitors on metrics including ROE and efficiency ratio and continued to gain market share in primary lending products and grow accounts in our lending and banking products.
Risk Performance
The Compensation Committee considers risk performance across the Company and within each business segment in making final compensation decisions for each NEO, both as it relates to an individual’s specific objectives as well as contributions to the strengthening of risk management, internal controls, and compliance practices. The Compensation Committee reviewed overall performance and risk adjusted returns and capital levels relative to the Annual Plan and established risk appetite limits. The Compensation Committee also considered the Company's progress in addressing legal and regulatory matters.
____________________
(1)Operating efficiency ratio represents total other expense divided by revenue net of interest expense.
Compensation Discussion and Analysis
Individual Performance
The Compensation Committee considers individual performance in making final compensation decisions for each NEO, both as it relates to an individual's specific objectives as well as each individual's relative role impact, experience, internal pay equity, and contributions to the success of the overall enterprise. As noted above, as part of its compensation determinations, the Compensation Committee also assesses each NEO’s contributions to the success of the business in strengthening its risk management, internal controls, and compliance practices, which reinforces these objectives as priorities throughout the organization. The Compensation Committee believes this holistic approach optimizes the link between executive rewards and the benefits to shareholders.
As we entered the second year of the COVID-19 global pandemic, management continued to address internal and external pressures on the organization created by the circumstances resulting from the pandemic. We strove to be nimble and agile in managing our workforce and providing support to our customers. Our approach allowed us to continue to deliver on our commitments to our customers, employees and shareholders and deliver one of the most profitable years on record for the Company. The highlights below therefore reflect each member of management's contribution to managing our business in this time while also pursuing our established business strategy.
In recognition of Ms. Offereins' leadership in Payments and pursuant to a Company investment and the substantial benefit that it delivered to the Company during 2021, management recommended and the Compensation Committee approved a $2 million award to Ms. Offereins, with $1 million payable in cash in February 2022 and $1 million granted in RSUs in February of 2022 that vest over three years. The cash component of the award is reflected as 2021 compensation in the 2021 Summary Compensation Table, while the RSU component is considered 2022 compensation under applicable SEC disclosure rules and will be reflected as 2022 compensation in the 2022 Summary Compensation Table.
| | | | | | | | |
ROGER C. HOCHSCHILD Chief Executive Officer and President |
| | |
| 2021 COMPENSATION | Key Achievements | |
| •Exceeded PBTR performance target achieving record earnings. •Advanced technology transformation and enhancing digital and analytic capabilities. •Supported efforts to strengthen risk management through promotion of a strong risk culture.
| •Strengthened investment discipline through development of 5-year plan analytical framework and linkage of key initiatives to value creation. •Transitioned to new AOR (Agency of Record) and launched a new agile approach to campaign and creative execution. •Progressed diversity, equity and inclusion commitment including opening Chatham customer care center on Chicago’s South side.
|
| | | | | | | | |
JOHN T. GREENE Executive Vice President, Chief Financial Officer |
| | |
| 2021 COMPENSATION | Key Achievements | |
| •Prudently managed liquidity, capital, and market risks, including those associated with the COVID-19 pandemic, while achieving record profitability. •Continued enhancement of Financial Planning and Analysis (“FP&A”) including the development of a 5-year plan analytical framework and linkage of key initiatives to value creation. •Reduced Supplier Onboarding cycle time by 50% and delivered incremental procurement-driven supplier savings. | •Progressed digital capabilities by successfully replacing general ledger, and activating the Finance Technology Council to pursue innovation and drive simplification, automation, and efficiencies. •Improved investor engagement around operating results and guidance, internalized competitive intelligence activities.
|
Compensation Discussion and Analysis
| | | | | | | | |
CARLOS M. MINETTI Executive Vice President, President - Consumer Banking |
| | |
| 2021 COMPENSATION | Key Achievements | |
| •Exceeded PBTR goals for Lending (Personal, Student, and Home Loans) through disciplined expense management and historically low net charge offs. •Upgraded the home loans origination system to improve the customer and agent experience, and surpassed $2Bn in receivables. •Received #1 ranking for personal loans in the JD Power Consumer Lending Survey for Customer Satisfaction. | •Launched redesigned portal page for the mobile app and accelerated progress on digital transformation. •Accelerated feature development for deposit products. •Supported efforts to strengthen risk management, including enhancements to the control environment including DSL. •Supported the Company’s commitment to diversity, equity, and inclusion by continuing to be the executive sponsor for PRIDE ERG. |
| | | | | | | | |
DANIEL P. CAPOZZI Executive Vice President, President - US Cards |
| | |
| 2021 COMPENSATION | Key Achievements | |
| •Exceeded US Card annual plan new account acquisition, sales, and pre-tax income targets, gaining sales and loan market share. •Led the timing of credit granting re-entry strategies for the company following the onset of the pandemic. •Continued positive work towards COVID-related credit risk responses and strategies. •Advanced authentication and fraud detection capabilities, implementing real-time verification with the Social Security Administration and next generation models / strategies.
| •Launched industry-first features, including PayPal integration with App-to-App Provisioning and Provisioning & Default Payment Method with Amazon. •Launched Instant Credit proof of concept delivering in-session card provisioning to the mobile wallet at time of approval. •Supported efforts to strengthen risk management, including enhancements to the control environment. •Supported the Company's commitment to diversity, equity, and inclusion, by launching the first operation in our new Chatham customer care center in Chatham, Illinois and delivered strong early results.
|
| | | | | | | | |
DIANE E. OFFEREINS Executive Vice President, President - Payment Services |
| | |
| 2021 COMPENSATION | Key Achievements | |
| •Delivered payment services profits 20% above plan. •Maintained momentum with payments partners. •Maintained and expanded global merchant footprint. | •Expanded business development pipeline and established new partnerships with fintechs and alternative payment partners. •Supported the company's commitment to diversity, equity, and inclusion by facilitating Payment Services Diversity & Inclusion Council.
|
(1)As described above, one-time award received by Ms. Offereins in recognition of her leadership pursuant to a Company investment that delivered a substantial benefit to the Company.
Compensation Discussion and Analysis
Role of NEOs in Compensation Decisions
Our CEO, Chief Human Resources & Administrative Officer and senior Company Human Resources personnel, Chief Risk Officer, and the Compensation Consultant met with the Compensation Committee to discuss preliminary compensation decisions for the NEOs and senior officers. They considered overall contribution to Company performance and individual responsibility for business segment, functional, and/or strategic goals during the Compensation Committee's December 2021 meeting and presented final recommendations to the Compensation Committee during the Compensation Committee's January 2022 meeting. The Compensation Committee also met with the Risk Oversight and Audit Committees of the Board of Directors to discuss the impact of risk performance on compensation recommendations. This allowed for ample review and consideration of Company, business segment, individual and risk performance in determining 2021 base salary and long-term incentive awards and bonus decisions. No NEO was involved in his or her own pay recommendations or decisions. The role of the Compensation Committee and its consultant are discussed under "Other Compensation Decision Considerations." The decisions of the Compensation Committee for 2021 performance are reflected above under "Components of Compensation."
Other Compensation Decision Considerations
Role of the Compensation and Leadership Development Committee
The Compensation Committee is responsible for the review and approval of all aspects of the Company’s executive compensation program and makes all decisions regarding the compensation of the NEOs. Specifically, the Compensation Committee has responsibility to, among other things:
•Review, approve, and administer all compensation programs affecting NEOs and evaluate whether such programs are aligned with the Company’s compensation structure policies;
•Annually review and approve:
–Performance criteria, goals, and award vehicles used in our compensation plans for our NEOs, and
–Performance of and compensation delivered to our NEOs;
•Review the Company’s compensation practices to evaluate whether such practices take into account risk outcomes in making compensation determinations and do not encourage imprudent risk-taking;
•Oversee the Company’s management development and succession planning efforts; and
•Review and approve any contracts, policies, or programs related to compensation, contractual arrangements, or severance plans affecting NEOs.
As described under “2021 Decision-Making Process — Role of NEOs in Compensation Decisions,” the Compensation Committee consults with management with respect to the compensation of the NEOs, other than the CEO.
The Compensation Committee’s charter is available through the investor relations page of our internet site, www.discover.com.
Role of the Compensation Consultant
The Compensation Committee regularly consults with its external independent Compensation Consultant in performing its duties. The Compensation Consultant attended Compensation Committee meetings, including executive sessions without management present. The Compensation Committee has broad authority to retain and dismiss its Compensation Consultant, and establish the scope of its consultant's work. While the Compensation Consultant reports to the Compensation Committee, the Compensation Consultant also works with the Company’s Human Resources department and senior management to facilitate Compensation Committee work, as approved by the Committee Chair. The Compensation Consultant provides experiential guidance to the Compensation Committee on what is considered fair and competitive practice in the industry, primarily with respect to the compensation of the CEO, but also for other senior Company officers. Pay Governance is independent of management and under the terms of its agreement with the Compensation Committee, the Compensation Consultant generally provides services only to the Compensation Committee. Other than executive compensation consulting services noted above, the Compensation Consultant performs no other services for the Company and has no relationship with the Company or management except as it may relate to performing such services. The Compensation Committee has assessed the independence of the Compensation Consultant pursuant to SEC rules and concluded that no conflict of interest exists that would prevent the Compensation Consultant from independently representing the Compensation Committee.
During 2021, management also retained the services of Willis Towers Watson to assist the Company in conducting an assessment of the competitiveness of the pay opportunity and practices provided to Company executives. The Company has assessed the independence of Willis Towers Watson and concluded that Willis Towers Watson’s work did not raise any conflict of interest.
Compensation Discussion and Analysis
Other Arrangements, Policies and Practices Related to Our Executive Compensation Program
Share Ownership Guidelines
The Company maintains Share Ownership Guidelines for NEOs and other executives. The guidelines recommend that the multiples set forth below of annual base salary be held in shares of Company Common Stock at the close of each year. The guidelines are reviewed annually by the Compensation Committee.
Shares to be counted toward ownership targets include actual Common Stock held, including stock held in "street" accounts, and unvested RSUs. The guidelines provide that recommended ownership levels must be attained within five years of appointment (or the inception or modification date of the guidelines, if later). To monitor progress toward meeting the guidelines, the Compensation Committee reviews current executive ownership levels at each December meeting, ahead of year-end executive compensation decisions. If a NEO or other executive is not on schedule to meet the guidelines, the Compensation Committee may award the executive compensation in the form of stock that would have otherwise been awarded as cash bonus year-end compensation.
As of December 31, 2021, using the 10-day average closing stock price ending prior to December 31, 2021, the following multiples of base salary were held in shares of Company Common Stock by each of our NEOs:
| | | | | | | | |
| Executive Officer | Required Multiple | Actual Multiple |
| Roger C. Hochschild | 7X | 88X |
| John T. Greene | 3X | 5X |
| Carlos M. Minetti | 3X | 22X |
| Daniel P. Capozzi | 3X | 4X |
| Diane E. Offereins | 3X | 19X |
Clawbacks
Our equity awards include clawback provisions that allow for the recovery of shares issued pursuant to a stock grant under certain circumstances. The Company is authorized to reclaim any shares received upon conversion of RSUs and PSUs for a three-year period preceding the date on which the Company restates its financial statements due to material noncompliance with financial reporting requirements. In addition, the Company may recover equity compensation paid to our NEOs within two years prior to termination with the Company if the NEO violates non-competition and non-solicitation covenants or breaches obligations to the Company under the confidentiality, intellectual property, or other restrictive covenants including breach of the Company's risk policies and Code of Conduct.
Prohibition on Hedging and Pledging
Under Company policy, directors and members of the Management Committee (which include all our executive officers) who are subject to the requirements of Section 16 of the Exchange Act are prohibited from hedging Company securities, holding Company securities in a margin account, or otherwise pledging Company securities, including as collateral for a loan.
Retirement and Other Benefits
The Company offers benefits such as medical, disability, and life coverage to promote employee health and protect against catastrophic expenses. The Discover 401(k) Plan provides employees with the opportunity to save for retirement. We also maintain the Discover Pension Plan which was frozen as of December 31, 2008. All employees are offered a benefits package that is deemed to be competitive with those offered by companies with which we compete for talent, and our NEOs participate in our benefit plans on the same basis as our employees generally. The Company does not currently offer any supplemental benefits or deferred compensation programs to our NEOs.
Additional information regarding Company contributions to the Discover 401(k) Plan is provided in the footnotes to the "2021 Summary Compensation Table." Additional information regarding the Discover Pension Plan is provided after the "2021 Pension Benefits Table."
In 2020, at the suggestion of the Board of Directors, the Compensation Committee approved and required the use of chartered aircraft by Mr. Hochschild and his family for all travel, including personal travel. While the Company generally limits perquisites provided to senior executives, the Compensation Committee believes that this benefit serves the best interest of the Company and its shareholders by allowing Mr. Hochschild to reduce the risk of COVID-19 exposure that might result from his and his family's commercial air travel. In 2021, given the continuing risk of COVID-19 exposure, the Compensation Committee approved an extension of the use of chartered aircraft by Mr. Hochschild and his family through December 31, 2022. The benefit is taxable to Mr. Hochschild and will be reflected as a perquisite provided by the Company in the Summary Compensation Table for the applicable year.
Compensation Discussion and Analysis
Executive Change in Control Severance Policy and Severance Plan
The Company provides severance protection to our NEOs and other executives under a Change in Control Severance Policy to allow executives to focus on acting in the best interests of shareholders regardless of the impact on their own employment. Change in control severance protections are commonly provided at other companies with which we compete for talent. Benefits under our policy are paid in the event of a double trigger, meaning an involuntary termination (by the Company without just cause or by the executive for good reason or death or disability as set forth in the Change in Control Severance Policy) within two years following or six months prior to a change in control. No excise tax gross-ups are provided for any employees.
The Company also sponsors a broad-based Severance Plan that provides severance benefits to eligible employees, including NEOs, who are involuntarily terminated (without cause in connection with a workforce reduction, closure or other similar event as set forth in the Severance Plan) to provide security in the event of an unanticipated job loss. The Severance Plan will not pay benefits to an employee receiving benefits under the Change in Control Severance Policy.
The Change in Control Severance Policy, the Severance Plan, and the estimated payments for each of our NEOs are detailed in the "2021 Potential Payments upon a Termination or Change in Control Table."
Compensation Committee Report
The Compensation Committee establishes the compensation program for the Chief Executive Officer and for the other named executive officers of Discover Financial Services (the “Company”). The Compensation Committee has reviewed and discussed the foregoing Compensation Discussion and Analysis of the Company with management and, based on such review and discussion, the Compensation Committee recommended to the Board of Directors that the Compensation Discussion and Analysis be included in the Company’s Proxy Statement, its Annual Report on Form 10-K, and such other filings with the Securities and Exchange Commission as may be appropriate.
Submitted by the Compensation and Leadership Development Committee of the Board of Directors:
Gregory C. Case (Chair)
Jeffrey S. Aronin
Mark A. Thierer
2021 Executive Compensation Tables
The narrative, tables, and footnotes below describe the total compensation paid for 2021 to the Chief Executive Officer, Chief Financial Officer, and the next three most highly compensated individuals (collectively, the "NEOs") who were serving as executive officers of the Company on December 31, 2021.
2021 Summary Compensation Table
The following table contains information regarding the components of total compensation of the NEOs for the Company’s years ended December 31, 2021, and to the extent required by SEC executive compensation disclosure rules, 2020 and 2019. The information included in this table reflects compensation earned by the NEOs for services rendered to the Company during the respective period. | | | | | | | | | | | | | | | | | | | | | | | | | | | |
| Executive | Year | Salary(1) ($) | Bonus(2) ($) | Stock Awards(3) ($) | Non-Equity Incentive Plan Compensation(4) ($) | Change in Pension Value and NQDC Earnings(5) ($) | All Other Compensation(6) ($) | Total ($) | |
| Roger C. Hochschild | 2021 | 1,100,000 | | — | 7,600,006 | 3,190,000 | | 0 | 197,212 | 12,087,218 | |
| CEO and President | 2020 | 1,118,539 | | — | 7,350,078 | 1,771,000 | | 49,654 | 67,988 | 10,357,259 | |
| 2019 | 927,135 | | — | 6,500,016 | 1,700,000 | | 50,585 | 72,700 | 9,250,436 | |
| John T. Greene | 2021 | 700,000 | | — | 2,275,118 | 1,522,500 | | — | | 42,690 | 4,540,308 | |
| EVP, Chief Financial | 2020 | 726,923 | | — | 2,389,093 | 845,000 | | — | 32,613 | 3,993,629 | |
| Officer | 2019 | 169,615 | | — | 1,000,001 | 326,000 | | — | | 12,565 | 1,508,181 | |
| Carlos M. Minetti | 2021 | 700,000 | | — | 2,275,118 | 1,522,500 | | 0 | 42,528 | 4,540,146 | |
| EVP, President - | 2020 | 726,923 | | — | 2,389,093 | 930,000 | | 32,894 | 27,525 | 4,106,435 | |
| Consumer Banking | 2019 | 700,000 | | — | | 2,100,042 | 813,000 | | 34,462 | 54,403 | 3,701,907 | |
Daniel P. Capozzi(7) | 2021 | 698,462 | | — | 2,275,118 | 1,522,500 | | 0 | 42,528 | 4,538,608 | |
| EVP, President - | | | | | | | | | |
| US Cards | | | | | | | | | |
| Diane E. Offereins | 2021 | 700,000 | | 1,000,000 | 2,275,118 | 1,522,500 | | 0 | 42,753 | 5,540,371 | |
| EVP, President - | 2020 | 726,923 | | — | 2,389,093 | 845,000 | | 39,376 | 42,795 | 4,043,187 | |
| Payment Services | 2019 | 700,000 | — | 2,100,042 | 988,000 | | 44,153 | | 44,038 | | 3,876,233 | |
(1)Represents the actual payments made to the NEOs. In 2020, NEOs received an extra pay-cycle payment due to the timing of bi-weekly payments.
(2) Represents award received by Ms. Offereins in recognition of her leadership pursuant a Company investment that delivered a substantial benefit to the Company.
(3)Represents the aggregate grant date fair value of RSU and PSU awards granted to the NEOs pursuant to FASB ASC Topic 718. The value of PSUs is based on the probable outcome of the performance conditions on the grant date. The grant date fair value of the PSUs granted in 2021, assuming the highest level of performance conditions is met, was $8,550,007 for Mr. Hochschild; and $2,047,550 for each of the other NEOs. Please see "Components of Compensation" for further details on our LTI program. Additional details on accounting for stock-based compensation can be found in Note 2: "Summary of Significant Accounting Policies — Stock-based Compensation" and Note 10: "Stock-Based Compensation Plans" of our consolidated financial statements in our Annual Report on Form 10-K.
(4)Represents the annual cash short-term incentive earned for the year and paid to the NEOs within the first two and a half months of the following year if employed on the payment date.
(5)Represents the actuarial increase during the year in the pension value, primarily due to the change in the Pension Plan discount rate and mortality tables. The change in pension value for eligible NEOs resulted in negative amounts in 2021 for Mr. Hochschild $11,541, Mr. Minetti $6,695, Mr. Capozzi $1,313, and Ms. Offereins $3,592. For details on the valuation method and assumptions used in calculating the present value of accumulated benefit, please see Note 11: "Employee Benefit Plans" of our consolidated financial statements in our Annual Report on Form 10-K. There were no above market nonqualified deferred compensation earnings for the NEOs. A description of the Company's pension benefits is provided under "2021 Pension Benefits."
2021 Executive Compensation Tables
(6)Represents the incremental cost to the Company of providing certain perquisites and other personal benefits. For 2021, these amounts include:
| | | | | | | | | | | | | | | | | |
| Executive | 401(k) Contributions(a) ($) | Charitable Contributions(b) ($) | Air Travel(c) ($) | Other(d) ($) | Total ($) |
| Roger C. Hochschild | 23,050 | | 14,550 | | 153,234 | | 6,378 | | 197,212 | |
| John T. Greene | 23,050 | | 13,500 | | — | | 6,140 | | 42,690 | |
| Carlos M. Minetti | 23,050 | | 14,500 | | — | | 4,978 | | 42,528 | |
| Daniel P. Capozzi | 23,050 | | 14,500 | | — | | 4,978 | | 42,528 | |
| Diane E. Offereins | 23,050 | | 14,725 | | — | | 4,978 | | 42,753 | |
(a) Represents the Company's contributions to the Discover 401(k) Plan for each NEO during each calendar year. All named executive officers received 401(k) plan matching contributions consistent with the formula applicable to all eligible U.S. employees.
(b) Represents contributions made by the Company to charitable organizations chosen by each NEO, as well as contributions made on behalf of certain NEOs under our charitable contribution matching programs, under which personal contributions meeting the guidelines of our program are eligible for Company matching contributions (exceeding the amount generally available to the broader employee population).
(c) For Mr. Hochschild, in 2021 the Compensation Committee approved an extension of Mr. Hochschild's use of charter aircraft for all of his and his family's travel, including personal travel through December 31, 2022, and the amount disclosed therefore includes the incremental cost to the Company and represent the amount accrued for payment or paid directly to the third-party vendor from which the Company leases corporate aircraft for such travel in 2021.
(d) Includes the incremental cost to Discover for airline concierge status, personal security assessment and additional personal security services to each NEO, access to/use of the Company’s Executive Fitness Center, and estimated resale value of Company tickets for sporting, cultural or other events for personal use when they are not otherwise used for business purposes.
(7) Mr. Capozzi was not an NEO during 2019 or 2020.
2021 Executive Compensation Tables
Grants of Plan-Based Awards for 2021
The following table includes the 2021 target STI opportunities, and the RSU and PSU LTI awards made to NEOs in the year ending December 31, 2021. For more information regarding these grants, see the discussion in the "Compensation Discussion and Analysis" (beginning on page 26).
| | | | | | | | | | | | | | | | | | | | | | | | | | | | | | | | | | | |
| | | Estimated future payouts under non-equity incentive plan awards (1) | | Estimated future payouts under equity incentive plan awards(2) | All Other Stock Awards: Number of Shares of Stock or Units(3) (#) | Grant Date Fair Value of Stock and Option Awards(4) ($) |
| Name | Grant Date | | Threshold ($) | Target ($) | Maximum ($) | | Threshold (#) | Target (#) | Maximum (#) |
| Roger C. Hochschild | | | 1,210,000 | | 2,200,000 | | 3,190,000 | | | | | | | |
| 2/19/2021 | | | | | | | | | 20,230 | | 1,900,002 | |
| 2/19/2021 | | | | | | 0 | 60,690 | | 91,035 | | | 5,700,005 | |
| John T. Greene | | | 577,500 | | 1,050,000 | | 1,522,500 | | | | | | | |
| 2/19/2021 | | | | | | | | | 9,690 | | 910,085 | |
| 2/19/2021 | | | | | | 0 | 14,534 | | 21,801 | | | 1,365,033 | |
| Carlos M. Minetti | | | 577,500 | | 1,050,000 | | 1,522,500 | | | | | | | |
| 2/19/2021 | | | | | | | | | 9,690 | | 910,085 | |
| 2/19/2021 | | | | | | 0 | 14,534 | | 21,801 | | | 1,365,033 | |
| Daniel P. Capozzi | | | 577,500 | | 1,050,000 | | 1,522,500 | | | | | | | |
| 2/19/2021 | | | | | | | | | 9,690 | | 910,085 | |
| 2/19/2021 | | | | | | 0 | 14,534 | | 21,801 | | | 1,365,033 | |
| Diane E. Offereins | | | 577,500 | | 1,050,000 | | 1,522,500 | | | | | | | |
| 2/19/2021 | | | | | | | | | 9,690 | | 910,085 | |
| 2/19/2021 | | | | | | 0 | 14,534 | | 21,801 | | | 1,365,033 | |
| | | | | | | | | | | |
(1)Represents potential payout under the annual STI program. Awards can range from 55% to 145% of target, primarily based on annual Company PBTR performance including a 1.5x multiplier for NEOs. The numbers presented are guides, and the Committee has discretion to reduce awards to 0 or increase awards but not above maximum payout. The Compensation Committee also considers other secondary Company-wide metrics as described in more detail under "Components of Compensation — Short-Term Incentive Program." Actual payout amounts for 2021 are included in the "Non-Equity Incentive Plan Compensation" column of the "2021 Summary Compensation Table".
(2)Represents PSUs awarded in February 2021 under the 2014 Omnibus Incentive Plan. PSUs will vest and convert to shares of Common Stock on February 1, 2024, within the represented threshold and maximum amounts, depending on the extent the Company exceeds specific cumulative EPS performance goals over the three-year period and provided the executive remains employed by the Company (with exceptions for certain termination events as detailed below), and are subject to an evaluation of compliance with the Company’s risk policies. The entire PSU award will be canceled if the minimum cumulative EPS performance threshold is not met. To the extent the NEO voluntarily terminates from the Company or is terminated for cause prior to the scheduled vesting date, other than as described below, none of the PSUs will vest and the entire award will be forfeited. In certain instances of a termination of the NEO’s employment prior to the scheduled vesting date, including due to (i) involuntary termination such as a reduction in force or elimination of the executive’s position, provided that a fully-executed irrevocable release agreement is executed and subject to a risk review or (ii) the executive's eligible retirement, a pro-rata portion of the PSUs will vest and convert to shares following the conclusion of the performance and vesting periods, based on actual performance. In the event of death or disability, the award will vest and shares will convert and be paid at the end of the performance period based on actual performance achieved. In the event of a change in control of the Company during the first year of the performance period, the award will convert to cash at target performance and be paid out according to the vesting schedule or sooner in the event of a qualified termination following the change in control event. In the event of a change in control of the Company during the second or third year of the performance period, performance will be measured through the last day of the Company’s quarter preceding the change in control and the award will then be converted to cash and paid out according to the vesting schedule or sooner in the event of a qualified termination following the change in control event.
(3)Represents RSUs awarded in February 2021 under the 2014 Omnibus Incentive Plan, which are expected to vest and convert in three equal installments on February 1, 2022, 2023 and 2024. In certain instances of a termination of the NEO’s employment prior to the scheduled vesting date, including due to (i) involuntary termination such as a reduction in force or elimination of the executive’s position, provided that a fully-executed irrevocable release agreement is executed and subject to a risk review or (ii) the executive's eligible retirement, a pro-rata portion of the RSUs will vest and convert to shares. Vesting of these RSUs will be accelerated in the event of termination of the executive’s employment due to (i) a change in control or (ii) the executive’s death or disability. Unvested RSUs will be canceled in the event of a termination of employment for any other reason.
(4)Represents the aggregate grant date fair value of the awards pursuant to FASB ASC Topic 718. Additional details on accounting for stock-based compensation can be found in Note 2: "Summary of Significant Accounting Policies - Stock-based Compensation" and Note 10: "Stock-Based Compensation Plans" of our consolidated financial statements contained in our Annual Report on Form 10-K.
2021 Executive Compensation Tables
Outstanding Equity Awards at 2021 Year-End
The following table provides information regarding outstanding stock awards held by each of the NEOs as of December 31, 2021. As of December 31, 2021, none of our NEOs held outstanding stock options.
| | | | | | | | | | | | | | | | | | | | | | | |
| Stock Awards(1) |
| Number of Shares, Units or Other Rights That Have Not Vested (#) | | Market Value of Shares, Units or Other Rights That Have Not Vested ($) | | Equity Incentive Plan Awards: Number of Unearned Shares, Units or Other Rights That Have Not Vested (#) | | Equity Incentive Plan Awards: Market or Payout Value of Unearned Shares, Units or Other Rights That Have Not Vested ($) |
Roger C. Hochschild(2) | 6,399 | (3) | 739,468 | | | 96,893 | (9) | 11,196,955 | |
| 14,354 | (4) | 1,658,748 | | | 91,035 | (10) | 10,520,005 | |
| 19,404 | (5), (6) | 2,242,326 | | | | | |
| 82,292 | (7) | 9,509,664 | | | | | |
| John T. Greene | 3,953 | (8) | 456,809 | | | 25,196 | (9) | 2,911,650 | |
| 7,464 | (4) | 862,540 | | | 21,801 | (10) | 2,519,324 | |
| 9,690 | (5) | 1,119,776 | | | | | |
| Carlos M. Minetti | 3,909 | (3) | 451,724 | | | 25,196 | (9) | 2,911,650 | |
| 7,464 | (4) | 862,540 | | | 21,801 | (10) | 2,519,324 | |
| 9,297 | (5), (6) | 1,074,361 | | | | | |
| 20,232 | (7) | 2,338,010 | | | | | |
| Daniel P. Capozzi | 2,303 | (3) | 266,135 | | | 21,599 | (9) | 2,495,980 | |
| 6,400 | (4) | 739,584 | | | 21,801 | (10) | 2,519,324 | |
| 9,690 | (5) | 1,119,776 | | | | | |
| 11,922 | (7) | 1,377,706 | | | | | |
| Diane E. Offereins | 3,909 | (3) | 451,724 | | | 25,196 | (9) | 2,911,650 | |
| 7,464 | (4) | 862,540 | | | 21,801 | (10) | 2,519,324 | |
| 9,297 | (5), (6) | 1,074,361 | | | | | |
| 20,232 | | (7) | 2,338,010 | | | | | |
| | | | | | | |
| | | | | | | |
| | | | | | | |
| | | | | | | |
(1)All equity award values are based on a December 31, 2021 closing stock price of $115.56 per share of our Common Stock. RSUs include the right to receive dividend equivalents in the same amount and at the same time as dividends are paid to all Company common shareholders. PSUs include the right to receive dividend equivalents, which will accumulate and pay out in cash, if and when the underlying shares are released to the NEOs.
(2)Excludes 430,763 deferred RSUs for Mr. Hochschild, as described in "2021 Nonqualified Deferred Compensation Table." These shares will convert to shares of Common Stock when Mr. Hochschild leaves the Company.
(3)These RSUs vested and converted to shares of Common Stock on February 1, 2022.
(4)These RSUs vested or are expected to vest and convert to shares of Common Stock in equal installments on February 1, 2022 and 2023.
(5)These RSUs vested or are expected to vest and convert to shares of Common Stock in equal installments on February 1, 2022, 2023 and 2024.
(6)Balance is reduced by number of shares withheld to satisfy the tax withholding obligation incurred in connection with the satisfaction of the Company's retirement eligibility provision.
(7)These PSUs vested and converted to shares of Common Stock on February 1, 2022, based on EPS performance and after a satisfactory risk policies review. Amounts reported reflect the actual delivery level as determined by the Compensation Committee following its review of performance and risk assessment.
(8)These RSUs vested or are expected to vest and convert to shares of Common Stock on August 1, 2022.
(9)Assuming applicable performance conditions based on cumulative EPS and successful risk policy review are satisfied, PSUs will vest and convert to shares of Common Stock on February 1, 2023. As required under applicable SEC guidance, because cumulative performance exceeded the target level, unvested PSUs are shown at the amounts corresponding to, and assuming achievement of, the maximum performance level for the full performance period. The final payout will be determined by the Compensation Committee and may be less than amount shown.
(10)Assuming applicable performance conditions based on cumulative EPS and successful risk policy review are satisfied, PSUs will vest and convert to shares of Common Stock on February 1, 2024. As required under applicable SEC guidance, because performance during the first year of the performance period exceeded the target level, unvested PSUs are shown at the amounts corresponding to, and assuming achievement of, the maximum performance level for the full performance period. The final payout will be determined by the Compensation Committee and may be less than amount shown.
2021 Executive Compensation Tables
Stock Vested for 2021
The following table provides information regarding the number of stock awards that vested and the subsequent value realized from the vesting of such stock awards during the 2021 year.
| | | | | | | | |
| Stock Awards |
| Name | Number of Shares Acquired on Vesting (#) | Value Realized on Vesting(1) ($) |
Roger C. Hochschild(2) | 44,386 | | 5,868,352 | |
| John T. Greene | 7,687 | | 798,334 | |
Carlos M. Minetti(2) | 25,260 | | 3,139,538 | |
| Daniel P. Capozzi | 12,338 | | 1,014,060 | |
Diane E. Offereins(2) | 25,260 | | 3,139,538 | |
(1) The amount shown represents the closing price of a share of our Common Stock on the scheduled vesting date multiplied by the number of RSUs and PSUs that vested.
(2) Balance includes shares withheld to satisfy the tax withholding obligation incurred in connection with the satisfaction of the Company's retirement eligibility provision.
2021 Pension Benefits
The following table lists the amounts we estimate as the present value of accumulated benefits that the Discover Pension Plan will pay to each of the NEOs upon the normal retirement age of 65.
| | | | | | | | | | | |
| Name | Plan Name | Number of Years of Credited Service(1) (#) | Present Value of Accumulated Benefit(2)(3) ($) |
| Roger C. Hochschild | Discover Financial Services Pension Plan | 9.1667 | 281,590 | |
John T. Greene(4) | Discover Financial Services Pension Plan | n/a | n/a |
| Carlos M. Minetti | Discover Financial Services Pension Plan | 7.0000 | | 207,619 | |
| Daniel P. Capozzi | Discover Financial Services Pension Plan | 0.5833 | | 18,221 | |
| Diane E. Offereins | Discover Financial Services Pension Plan | 9.0833 | 322,046 | |
(1)For actuarial valuation purposes, credited service is attributed through the measurement date of December 31, 2008, the date that the Discover Pension Plan was frozen.
(2)Service credit and actuarial values are calculated as of December 31, 2021, the plan’s measurement date for the last year.
(3)For details on the valuation method and assumptions used in calculating the present value of accumulated benefit, please see Note 11: "Employee Benefit Plans" of our consolidated financial statements in our Annual Report on Form 10-K.
(4)Mr. Greene does not participate in the Discover Pension Plan as he was hired after it was frozen.
Effective December 31, 2008, the Discover Pension Plan, a defined benefit pension plan, was frozen for all participants, although additional service will count towards vesting and retirement eligibility for any participant, including NEOs, in the Discover Pension Plan as of December 31, 2008.
Accrued, frozen benefits under the Discover Pension Plan are determined with reference to career-average pay limited to $170,000 per year, and for each calendar year of service prior to 2009 generally equal to: (i) 1% of the participant’s eligible annual pay; plus (ii) 0.5% of the participant’s eligible annual pay which exceeded the participant's Social Security covered compensation limit for that year. The estimated annual benefits payable under the Discover Pension Plan at the earliest age at which a participant may retire with an unreduced benefit (age 65) are set forth above. Early retirement terms under the Pension Plan vary depending upon service dates. Certain participants are eligible for early retirement upon reaching age 55 with 10 years of service. Other participants must reach age 55 with 20 years of service. Mr. Hochschild, Mr. Minetti, and Ms. Offereins are eligible for early retirement. In the event of early retirement, the accumulated benefit presented in the table above would be reduced under factors that vary based upon a participant's age at the time of early retirement commencement.
2021 Executive Compensation Tables
2021 Nonqualified Deferred Compensation
The founders' grant of RSUs reflected in the table below was a one-time award made under the 2007 Omnibus Incentive Plan in connection with the Company's spin-off. These RSUs vested and will convert to shares of Company common stock following a termination of service.
| | | | | | | | | | | | | | | | | | | | |
| Name | Plan Name | Executive Contributions in Last FY ($) | Registrant Contributions in Last FY ($) | Aggregate Earnings in Last FY(1) ($) | Aggregate Withdrawals/ Distributions ($) | Aggregate Balance at Last FYE ($) |
| Roger C. Hochschild | 2007 Omnibus Incentive Plan | — | | — | | 10,781,998 | | — | | 49,778,972 | |
(1)Reflects increase in value of deferred RSUs due to increase in stock price as compared to December 31, 2020. Excludes cash dividend equivalent payments of $809,834 paid on deferred RSUs for Mr. Hochschild.
Potential Payments upon a Termination or Change in Control
Change in Control Severance Policy
The Company sponsors a Change in Control Severance Policy (the "Policy") that applies to members of our management including the NEOs.
If any NEO is involuntarily terminated, other than for cause (such as a material breach, fraud, violation of law, etc., as defined in the Policy), or voluntarily terminates for good reason (such as a material diminution in authority or base salary, target STI and/or target LTI compensation, etc., as defined in the Policy), or has a termination of employment due to death or disability, within six months prior to or two years following the occurrence of a change in control (as defined in the Policy), upon Discover's timely receipt of a fully-executed release in a form satisfactory to Discover, such NEO would be entitled to receive:
•A lump sum cash payment equal to 1.5 times the sum of his or her annual base salary plus average cash bonus paid in the prior three years or, if the NEO has been an employee for less than three years, the number of years the NEO has been employed by the Company;
•A lump sum cash payment equal to the prorated target cash bonus under the Company’s incentive compensation plans for the year of termination, or if no target was established for the year of termination, the annual cash bonus for the prior year;
•Full vesting of all stock-based awards granted to the NEO under the Company’s incentive compensation plans;
•Outplacement services for a period of two years at the Company’s expense with a firm selected by the Company;
•Certain legal fees if the NEO commences litigation after exhausting the internal administrative claims procedure and, as a result, becomes entitled to receive benefits in an amount greater than those offered by the Company prior to such litigation; and
•A lump sum cash payment equal to the difference between COBRA (for medical, dental and vision) and active employee premiums for 24 months.
Any NEO eligible for change in control benefits described above will be given the opportunity to enter into a non-competition agreement with the Company, and if he or she enters into the non-competition agreement, he or she would be eligible to receive a salary continuation payment equal to 1.5 times the sum of his or her annual base salary plus average cash bonus paid in the prior three years or, if the NEO has been an employee for less than three years, the number of years the NEO has been employed by the Company.
If benefits payable under the Policy together with other Company benefits payable to the NEO would subject the NEO to an excise tax under the IRC, the benefits payable under the Policy will be reduced to the extent necessary to prevent any portion of the benefits from becoming nondeductible by the Company or subject to the excise tax, but only if, by reason of that reduction, the net after-tax benefit received by the NEO exceeds the net after-tax benefit the NEO would receive if no reduction was made. No excise tax gross-ups are provided for any employees.
2021 Executive Compensation Tables
Severance Plan
The Company sponsors a broad-based welfare benefits plan that provides severance benefits to eligible employees, including the NEOs, who are involuntarily terminated in connection with a workforce reduction, closure, or other similar event as set forth in the Severance Plan. The Severance Plan will not pay benefits to an employee terminated for cause (as defined in the plan), or an employee receiving benefits under the Change in Control Severance Policy.
If any NEO experiences an eligible termination, as defined in the Severance Plan, upon Discover’s timely receipt of a fully-executed release in a form satisfactory to Discover, such NEO would be entitled to receive:
•A lump sum cash payment of 12 months of his or her annual base salary plus target annual cash bonus;
•A lump sum cash payment equal to the prorated target annual cash bonus under the Company’s incentive compensation plan for any prior year and the year of termination (to the extent earned and not yet paid);
•Outplacement services for a period of one year at the Company’s expense with a firm selected by the Company; and
•A lump sum cash payment equal to 12 months of the applicable premium for group health plan coverage in place prior to termination of employment, plus a payment for income taxes on such amount.
2021 Potential Payments upon a Termination or Change in Control Table
The following table sets forth the payments that each of our NEOs would have received under various termination scenarios on December 31, 2021. With regard to the payments upon a change in control, the amounts detailed below assume that each NEO's employment was terminated by the Company without "cause" or by the executive for "good reason" within the specified time period prior to or following the change in control. The table below assumes a stock price of $115.56, the closing price of a share of our Common Stock on December 31, 2021.
Pursuant to the terms of our stock plans and outstanding stock award agreements, the vesting of certain outstanding unvested stock awards is accelerated in whole or in part in the event of a termination of the NEO's employment in connection with (i) a change in control, (ii) the NEO's death, disability, retirement, or (iii) an involuntary termination such as a reduction in force or elimination of the NEO's position, provided that a fully-executed irrevocable release agreement is executed and subject to a risk review.
Unvested RSUs and PSUs will be canceled in the event of a termination of employment for any other reason. NEOs who violate non-competition, non-solicitation, confidentiality, intellectual property, or other restrictive covenants within one year after a termination of employment will be required to pay to the Company the value of any RSUs and PSUs that vested on or after, or within two years prior to such termination.
2021 Executive Compensation Tables
| | | | | | | | | | | | | | | | | | | | | | | | |
Executive Payment Elements | | Termination in Connection with a Change in Control ($) | | Involuntary Termination Without Cause ($) | Death ($) | Disability ($) | Voluntary Termination or Involuntary Termination with Cause ($) | Retirement(8) ($) |
| Roger C. Hochschild | | | | | | | | |
| Salary and Other Cash Payments | | 7,982,250 | (1), (2) | 3,300,000 | 91,667 | — | — | — |
Target Annual Incentive Plan Payout(3) | | 2,200,000 | | 2,200,000 | 2,200,000 | 2,200,000 | — | 2,200,000 |
Equity Awards(4), (5) | | 33,238,280 | | 36,788,645 | 36,788,645 | 36,788,645 | — | 36,788,645 |
Health Coverage(6) | | 34,723 | | 36,378 | — | — | — | — |
Other(7) | | 25,000 | | 12,500 | — | — | — | — |
| Total | | 43,480,253 | | 42,337,523 | 39,080,312 | 38,988,645 | — | 38,988,645 |
| John T. Greene | | | | | | | | |
| Salary and Other Cash Payments | | 5,068,500 | (1), (2) | 1,750,000 | 58,333 | — | — | n/a |
Target Annual Incentive Plan Payout(3) | | 1,050,000 | | 1,050,000 | 1,050,000 | 1,050,000 | — | n/a |
Equity Awards(4) | | 7,142,907 | | 7,993,146 | 7,993,146 | 7,993,146 | — | n/a |
Health Coverage(6) | | 34,847 | | 38,123 | — | — | — | n/a |
Other(7) | | 25,000 | | 12,500 | — | — | — | n/a |
| Total | | 13,321,254 | | 10,843,769 | 9,101,479 | 9,043,146 | — | n/a |
| Carlos M. Minetti | | | | | | | | |
| Salary and Other Cash Payments | | 4,630,500 | (1), (2) | 1,750,000 | 58,333 | — | — | — |
Target Annual Incentive Plan Payout(3) | | 1,050,000 | | 1,050,000 | 1,050,000 | 1,050,000 | — | 1,050,000 |
Equity Awards(4) | | 9,538,045 | | 10,388,284 | 10,388,284 | 10,388,284 | — | 10,388,284 |
Health Coverage(6) | | 36,100 | | 34,177 | — | — | — | — |
Other(7) | | 25,000 | | 12,500 | — | — | — | — |
| Total | | 15,279,645 | | 13,234,961 | 11,496,617 | 11,438,284 | — | 11,438,284 |
| Daniel P. Capozzi | | | | | | | | |
| Salary and Other Cash Payments | | 4,066,875 | (1), (2) | 1,750,000 | 58,333 | — | — | n/a |
Target Annual Incentive Plan Payout(3) | | 1,050,000 | | 1,050,000 | 1,050,000 | 1,050,000 | — | n/a |
Equity Awards(4) | | 7,841,652 | | 8,691,891 | 8,691,891 | 8,691,891 | — | n/a |
Health Coverage(6) | | 40,032 | | 36,277 | — | — | — | n/a |
Other(7) | | 25,000 | | 12,500 | — | — | — | n/a |
| Total | | 13,023,559 | | 11,540,668 | 9,800,224 | 9,741,891 | — | n/a |
| Diane E. Offereins | | | | | | | | |
| Salary and Other Cash Payments | | 4,895,500 | (1), (2) | 1,750,000 | 58,333 | — | — | — |
Target Annual Incentive Plan Payout(3) | | 1,050,000 | | 1,050,000 | 1,050,000 | 1,050,000 | — | 1,050,000 |
Equity Awards(4) | | 9,538,045 | | 10,388,284 | 10,388,284 | 10,388,284 | — | 10,388,284 |
Health Coverage(6) | | 10,600 | | 11,732 | — | — | — | — |
Other(7) | | 25,000 | | 12,500 | — | — | — | — |
| Total | | 15,519,145 | | 13,212,516 | 11,496,617 | 11,438,284 | — | 11,438,284 |
| | | | | | | | |
| | | | | | | | |
| | | | | | | | |
(1)Includes change in control severance plus consideration for entering into a non-competition agreement. For Mr. Greene who was hired during 2019, actual annualized 2019 STI and actual 2020 STI are used to estimate the severance amount.
(2)Payments made in the event of a qualified termination following a change in control of the Company that would qualify as “parachute payments” under Section 280G of the Internal Revenue Code may be subject to a reduction, referred to here as the “Section 280G Cut-Back,” to the extent that they are deductible under that section, provided that the after-tax benefit (inclusive of any applicable excise tax) is greater than that which the executive would have received if no reduction was made. The amounts reflected in this table do not reflect the application of any reduction in compensation or benefits pursuant to the terms of the Policy. In 2021, none of our NEOs would have been subject to such a reduction.
(3)Includes one-time pro-rata bonus at target. Since termination is as of December 31, 2021, the value is equal to the target disclosed in the Estimated Future Payouts Under Non-Equity Incentive Plan Awards column under "Grants of Plan-Based Awards for 2021".
2021 Executive Compensation Tables
(4)Represents the intrinsic value of the accelerated RSUs, PSUs, and accrued PSU dividends, all as of December 31, 2021. For the PSUs, in the event of a qualified termination following a change in control of the Company during the first year of the performance period, the award will convert to cash at target performance and be paid out according to the vesting schedule, or sooner in the event of a qualified termination following the change in control event. In the event of a change in control of the Company during the second or third year of the performance period, performance will be measured through the last day of the Company’s quarter preceding the change in control and the award will then be converted to cash and paid out according to the vesting schedule or sooner in the event of a qualified termination following the change in control event. RSUs and PSUs have double trigger acceleration provisions. In certain instances of a termination of the NEO’s employment prior to the scheduled vesting date, including due to (i) involuntary termination such as a reduction in force or elimination of the executive’s position, provided that a fully-executed irrevocable release agreement is executed and subject to a risk review or (ii) the executive’s eligible retirement, a pro-rata portion of the PSUs will vest and convert to shares following the conclusion of the performance and vesting period based on actual performance and a pro-rata portion of the RSUs will vest and convert to shares. In the event of death or disability, the PSUs will vest and shares will convert and be paid at the end of the performance period based on actual performance achieved, and RSUs will vest and convert to shares. Since actual performance for the 2020 and 2021 PSUs cannot be determined until the respective performance periods conclude (which will occur in 2023 and 2024), the figures shown reflect performance estimated through the termination date.
(5)Balance excludes 430,763 deferred RSUs for Mr. Hochschild, as described in "2021 Nonqualified Deferred Compensation Table." These deferred RSUs are fully vested and will convert to shares of Common Stock when Mr. Hochschild leaves the Company.
(6)For termination in connection with a change in control, a lump sum payment equal to the difference between COBRA (for medical, dental and vision) and active employee health and welfare premiums for 24 months. For involuntary termination without cause, a lump sum payment equal to 12 months of COBRA premiums (for medical, dental and vision) plus a payment for income taxes on such amount.
(7)Includes value of expected outplacement benefits for a 24-month period for termination in connection with a change in control and for a 12-month period for involuntary termination without cause.
(8)Mr. Hochschild, Mr. Minetti, and Ms. Offereins are eligible for retirement. For purposes of illustration, includes a proration of outstanding equity awards as well as the bonus at target equal to the value disclosed in the Estimated Future Payouts Under Non-Equity Incentive Plan Awards column under “Grants of Plan-Based Awards for 2021,” but excludes the pension benefits described under “2021 Pension Benefits".
2021 Pay Ratio
We believe in pay-for-performance, and in programs that balance the interests of employees with the interests of our shareholders and customers, as well as the safety and soundness of the Company. We strive to deliver compensation that is both market-competitive and fair and equitable internally. Our compensation program is designed to attract, retain, and motivate highly qualified and diverse team members to ensure the continued success of our business.
As required under and calculated in accordance with Item 402(u) of Regulation S-K, we have determined a reasonable estimate of the pay ratio of the annual total compensation of our Chief Executive Officer ("CEO") and the median of the annual total compensation of all Company employees for 2021 was 190:1. This ratio was calculated as described below using the annual total compensation of Mr. Hochschild, reported in the Total column of our 2021 Summary Compensation Table, of 12,087,218 compared to the annual total compensation of our median employee in 2021 of $63,770.
The SEC rules allow companies to use estimates, assumptions, adjustments, statistical sampling and unique definitions of compensation to identify the median employee and calculate the pay ratio. Our estimated pay ratio should not be used as a basis for comparison to other companies because of the differences in how pay ratios may be calculated.
The SEC rules allow companies to identify the median employee whose compensation will be used for the annual total compensation calculation once every three (3) years provided that there have not been any changes in the company’s employee population or employee compensation arrangements that it is reasonably believed would result in a significant change in its pay ratio disclosure. Because there have been no changes in our employee population or employee compensation arrangements that we believe would result in a significant change in our pay ratio disclosure, we are using the median employee that we identified in 2020.
To identify our median employee, we began with our entire active employee population of 17,369 as of December 31, 2020. We excluded our 558 international employees from our calculation because they accounted for approximately 3% of our employees, leaving an active U.S. based employee population of 16,811(1) We used the total amount of salary and wages paid as reflected in our payroll records and reported to the Internal Revenue Service in Box 5 on Form W-2 for 2020 to identify our median employee and two additional employees with compensation above and below the median employee.
____________________
(1) We excluded employees from the following countries: four from Canada, 177 from China, four from France, four from Germany, 11 from Hong Kong, ten from India, one from Japan, 27 from Singapore, one from Sweden, one from Switzerland, three from Taiwan, one from Turkey, two from the United Arab Emirates, and 312 from the United Kingdom.
Audit Matters
| | | | | |
| |
| PROPOSAL 3 Ratification of Appointment of Independent Registered Public Accounting Firm The Board of Directors recommends a vote “FOR” the ratification of Deloitte & Touche LLP’s appointment as our independent registered public accounting firm for the 2022 year. Proxies solicited by the Board will be voted “FOR” this ratification unless otherwise instructed. The Audit Committee has the sole authority and responsibility to appoint, compensate, retain, oversee, evaluate and, when appropriate, replace the independent public accounting firm. Each year the Audit Committee evaluates the qualifications and performance of the independent public accounting firm and considers, as appropriate, the rotation of the independent audit firm. Based on this evaluation, the Board of Directors and the Audit Committee recommend that you approve the ratification of the appointment of Deloitte & Touche LLP (“Deloitte”) to serve as our independent registered public accounting firm for the 2022 year. The Board of Directors and the Audit Committee believe the continued retention of Deloitte is in the best interest of the Company and its shareholders. Deloitte has served as the independent registered public accounting firm for the Company since 2007 and its former parent company, Morgan Stanley, prior to that time. Consistent with the regulations adopted pursuant to the Sarbanes-Oxley Act of 2002 and the Audit Committee’s Charter, the lead audit partner having primary responsibility for the audit and the concurring audit partner are rotated every five years. In connection with this mandated rotation, the Audit Committee and its chair are directly involved in the selection of any new lead audit partner. The current lead Deloitte audit partner was designated commencing with the 2017 audit. A representative of Deloitte will be present at the Annual Meeting, will have the opportunity to make a statement, if desired, and will be available to respond to appropriate questions. |
|
Independent Registered Public Accounting Firm Fees
The Audit Committee approves the audit fees associated with the Company’s retention of Deloitte. The following table summarizes the aggregate fees (including related expenses) for professional services provided by Deloitte related to 2021 and 2020 (amounts in thousands).
| | | | | | | | |
| 2021 ($) | 2020 ($) |
Audit Fees(1) | 5,814 | 5,888 |
Audit-Related Fees(2) | 1,788 | 1,540 |
Tax Fees | — | | — | |
All Other Fees(3) | 4 | 109 |
Total | 7,606 | 7,537 |
(1)Audit Fees services include: (i) the audit of our consolidated financial statements included in our Annual Report on Form 10-K and services attendant to, or required by, statute or regulation; (ii) reviews of the interim condensed consolidated financial statements included in our Quarterly Reports on Form 10-Q; and (iii) statutory or financial audits of subsidiaries.
(2)Audit-Related Fees services include: (i) data verification and agreed-upon procedures related to asset securitizations; (ii) assessment and testing of internal controls and risk management processes beyond the level required as part of the audit pursuant to Statement on Standards for Attestation Engagements No. 18; (iii) agreed-upon procedures related to XBRL tagging of our consolidated financial statements included in our Annual Report on Form 10-K and our interim condensed consolidated financial statements included in our Quarterly Reports on Form 10-Q; and (iv) other consultations on financial accounting and reporting matters not classified as audit.
(3)All Other Fees include fees for research tools and consulting services.
Policy Regarding Pre-Approval of Independent Registered Public Accounting Firm Services
In order to assure the continued independence of our independent registered public accounting firm, the Audit Committee has adopted a policy requiring pre-approval of audit and non-audit services performed by our independent registered public accounting firm. Under that policy, the Audit Committee pre-approves a list of audit, audit-related and permitted non-audit services that may be provided by the independent registered public accounting firm without obtaining specific pre-approval from the Audit Committee. In addition, the Audit Committee sets pre-approved fee levels for the pre-approved services. Any type of service that is not included on the list of pre-approved services or that exceeds pre-approved fee levels must be specifically pre-approved by the Audit Committee. The Audit Committee has delegated to the Chair of the Audit Committee the authority to pre-approve any audit or permitted non-audit service to be performed by the independent registered public accounting firm, provided that such approvals are presented to the full Audit Committee at the next scheduled meeting and that estimated fees for such services are not in excess of certain limits. The Audit Committee reviews its pre-approval policy annually for purposes of assuring its continued appropriateness and compliance with applicable law and listing standards.
Audit Committee Report
The Audit Committee of the Discover Financial Services Board of Directors is comprised of non-management directors, each of whom is independent under the listing standards of the New York Stock Exchange ("NYSE"), where the Company's securities are listed, and applicable securities laws. The Board of Directors has determined that each member of the Audit Committee is “financially literate” as required under NYSE rules and is an “audit committee financial expert” as defined by the Securities and Exchange Commission ("SEC"). The Audit Committee operates under a written charter adopted by the Board, which is reviewed and assessed annually to ensure the document is consistent with the listing standards of the NYSE and the provisions of the Sarbanes-Oxley Act of 2002. The Audit Committee charter is available through the investor relations page of our internet site, www.discover.com. It is within the Audit Committee’s authority to engage independent counsel and other advisors as necessary to carry out its duties.
The Audit Committee oversees the Company’s financial reporting process on behalf of the Board of Directors. The Audit Committee assists the Board of Directors with the oversight of the quality and integrity of the Company’s financial statements, compliance with legal and regulatory requirements and ethical standards adopted by the Company, as well as the system of internal controls. As part of the Audit Committee’s oversight of compliance with legal and regulatory requirements, it reviews certain reports, correspondence and inquiries from the Company’s regulators. The Audit Committee has oversight responsibility for the Company's Internal Audit function, including approval of the appointment and, when and if appropriate, replacement of the Company's Chief Audit Executive, review and approval of the charter, audit plan and overall risk assessment methodology as well as approval of annual performance and compensation of the Chief Audit Executive. The Audit Committee is responsible for the appointment, compensation, oversight, evaluation and retention of the independent auditors with respect to the issuance of the report on the Company’s financial statements and internal controls over financial reporting. In connection with required rotations, the Audit Committee makes the selection of the lead audit partner and the advisory partner. Additionally, the Audit Committee annually reviews and evaluates the qualifications, performance and independence of the firm, and the lead audit partner. Due to rotation requirements, commencing with the 2022 audit, a new lead audit partner has been designated for the Company. Deloitte has served as the independent registered public accounting firm for the Company since 2007 and its former parent company, Morgan Stanley, prior to that time. The Audit Committee believes the continued retention of Deloitte is in the best interest of the Company and its shareholders. In assessing the benefits of retaining Deloitte as the Company's auditors, the Committee considers the firm's institutional knowledge of the Company and its familiarity with the Company's businesses, key risks, accounting policies, financial systems and internal controls. The Committee also considers the time and expense that would be incurred by management and staff to onboard a new auditor, as well as the impacts to efficiency and effectiveness of the audit.
In addition, the Audit Committee’s activities include responsibility for establishing procedures for receipt, retention and treatment for complaints regarding accounting, internal controls and auditing matters from employees and others; taking into account the Board of Director’s allocation of risk among the various committees, receiving and reviewing risk reporting; and periodically meeting in joint session with the Risk Oversight and the Compensation Committees of the Board of Directors.
While the Board of Directors has oversight with respect to risk management related to the COVID-19 pandemic, its committees are overseeing the management of COVID-19 risks specific to duties delegated to them. The Audit Committee has overseen the management of risks from the COVID-19 pandemic related to the Company’s internal controls over financial reporting, the independent audit, and the way in which risks and impacts to the business related to COVID-19 are disclosed in the Company’s SEC filings.
Throughout the year, the Audit Committee met with and received reports from the Company’s Chief Risk Officer, Chief Audit Executive, General Counsel, Chief Financial Officer, Chief Accounting Officer, Chief Information Security Officer, Anti-Money Laundering Compliance and Sanctions Officer, and Chief Compliance Officer, among others. These meetings, reports, and discussions covered a wide variety of topics, including, cybersecurity, risk management, financial results, new accounting and regulatory guidance, regulatory compliance matters, the Company’s Anti-Money Laundering/Bank Secrecy Act programs, and the impact of the COVID-19 pandemic to the Company. The Audit Committee also met with the Company’s independent auditors 16 times over the course of the year.
Management is responsible for the Company’s financial reporting process, including establishing and maintaining adequate internal controls over financial reporting and the preparation of financial statements. As the Company’s independent registered public accounting firm, Deloitte is responsible for performing an independent audit of the Company’s consolidated financial statements and expressing an opinion on the conformity of the Company’s audited financial statements with generally accepted accounting principles as well as a separate opinion on the effectiveness of the Company’s internal controls over financial reporting. The Company is responsible for providing appropriate funding for audit fees, compensation for advisors engaged by the Audit Committee and the ordinary administrative expenses of the Audit Committee. The Audit Committee relies, without independent verification, on the information provided to it and on the representations made by management, the internal auditor and Deloitte.
Consistent with its charter responsibilities, the Audit Committee has reviewed and discussed with management and Deloitte the Company’s audited financial statements for the 2021 fiscal year. This included a review of the Company's critical accounting policies, the reasonableness of significant accounting estimates and judgments, and the clarity of disclosures in the Company's financial statements. The Audit Committee has reviewed and discussed with Deloitte the matters required to be discussed by the applicable requirements of the Public Company Accounting Oversight Board ("PCAOB") and the SEC, including the overall audit scope, approach, and strategy as set forth in the terms of their engagement letter; critical audit matters (“CAMs”) that arose during the current period audit; and any issues encountered. The Audit Committee concurs with Deloitte’s assessment and identification of CAMs contained in its Annual Report included within Company’s 2021 Annual Report on Form 10-K.
Deloitte has also provided to the Audit Committee the written disclosures and the letter required by applicable requirements of the PCAOB regarding communication with the Audit Committee concerning independence. The Audit Committee discussed with Deloitte the firm’s independence and considered whether the provision of services to the Company by Deloitte and compensation received by Deloitte for such services, including non-audit services, when applicable, is consistent with maintaining the firm’s independence. In addition to annually reviewing Deloitte’s independence, the Audit Committee annually reviews Deloitte’s qualifications and performance in connection with the determination as to whether to select Deloitte as the Company’s independent registered public accounting firm. In conducting its review, the Audit Committee considers among other things, historical and recent performance of the current independent auditor, the auditor’s tenure, an analysis of known significant legal or regulatory proceedings related to the auditor, whether the auditor has the necessary expertise and resources, the appropriateness of the auditor’s fees on an absolute basis and as compared with fees paid by certain peer firms, the auditor’s professional skepticism, the auditor’s ideas to improve efficiency and effectiveness, and external data including PCAOB reports.
Based upon the discussions and reviews described above, and subject to the limitations on the Audit Committee’s role and responsibilities referred to above and in the Audit Committee charter, the Audit Committee recommended to the Board that the Company’s audited consolidated financial statements for the 2021 fiscal year be included in the Company’s Annual Report on Form 10-K. The Audit Committee also selected Deloitte as the Company’s independent registered public accounting firm for the 2022 fiscal year and is presenting the selection to the Company’s shareholders for ratification.
Submitted by the Audit Committee of the Board of Directors:
Cynthia A. Glassman (Chair)
Candace H. Duncan
Joseph F. Eazor
David L. Rawlinson II
Stock Ownership Information
Beneficial Ownership of Company Common Stock
We encourage our directors, officers and employees to own our Common Stock as owning our Common Stock aligns their interests with shareholders. All Executive Committee members, including our NEOs, are subject to share ownership guidelines and share retention requirements as described above in “Compensation Discussion and Analysis.” This commitment ties a portion of their net worth to the Company’s stock price and provides a continuing incentive for them to work towards superior long-term stock performance.
The following table sets forth the beneficial ownership of our Common Stock, as of March 21, 2022, by the persons and groups specified below. Except for the 5% beneficial owners, the percentage of calculations below are based on the number of shares of Common Stock outstanding as of March 21, 2022.
| | | | | | | | |
| 5% Beneficial Owners | Shares of Discover Common Stock Beneficially Owned(1) | Percentage of Discover Common Stock Outstanding |
BlackRock, Inc., 55 East 52nd Street, New York, New York 10055(2) | 20,610,036 | 7.31 | % |
Capital International Investors, 333 South Hope Street, 55th Fl, Los Angeles, CA 90071(3) | 20,806,433 | 7.38 | % |
The Vanguard Group, 100 Vanguard Boulevard, Malvern, Pennsylvania 19355(4) | 35,657,299 | 12.64 | % |
Executive Officers and Directors | | |
Roger C. Hochschild(5) | 887,020 | * |
John T. Greene | 12,468 | * |
Carlos M. Minetti (6) | 145,142 | * |
Daniel P. Capozzi (7) | 25,166 | * |
Diane E. Offereins(8) | 126,761 | * |
Jeffrey S. Aronin(9) | 73,230 | * |
Mary K. Bush(10) | 53,366 | * |
Gregory C. Case(11) | 73,230 | * |
Candace H. Duncan(12) | 18,214 | * |
Joseph F. Eazor(13) | 9,836 | * |
Cynthia A. Glassman(13) | 46,896 | * |
Thomas G. Maheras(14) | 58,155 | * |
Michael H. Moskow(15) | 51,253 | * |
David L. Rawlinson II(16) | 1,685 | * |
Mark A. Thierer(17) | 21,155 | * |
Jennifer L. Wong(18) | 6,646 | * |
Directors and executive officers as a group (22 persons) (19) | 1,672,456 | * |
* Represents beneficial ownership of less than 1%.
(1)Does not include shares underlying unvested RSUs unless otherwise noted.
(2)Based on a Schedule 13G/A filed on February 3, 2022 by BlackRock, Inc. regarding shares of our Common Stock deemed to be beneficially owned, directly or through its subsidiaries, as of December 31, 2021. The Schedule 13G/A discloses that BlackRock, Inc. had sole voting power as to 17,957,226 shares, and sole dispositive power as to 20,610,036 shares. The ownership percentage is based on the assumption that BlackRock, Inc. continued to own the number of shares reflected in the table on March 21, 2022.
(3)Based on a Schedule 13G filed on February 11, 2022 by Capital International Investors regarding shares of our Common Stock deemed to be beneficially owned, directly or through its subsidiaries, as of December 31, 2021. The Schedule 13G discloses that Capital International Investors had sole voting power as to 20,796,261 shares, and sole dispositive power as to 20,806,433 shares. The ownership percentage is based on the assumption that Capital International Investors continued to own the number of shares reflected in the table on March 21, 2022.
Stock Ownership Information
(4)Based on a Schedule 13G/A filed on February 9, 2022 by The Vanguard Group regarding shares of our Common Stock deemed to be beneficially owned, directly or through its subsidiaries, as of December 31, 2021. The Schedule 13G/A discloses that The Vanguard Group had shared voting power as to 488,292 shares, sole dispositive power as to 34,444,596 shares, and shared dispositive power as to 1,212,703 shares. The ownership percentage is based on the assumption that The Vanguard Group continued to own the number of shares reflected in the table on March 21, 2022.
(5)Includes 430,763 shares underlying vested RSUs that would convert following a termination of service, and 26,039 shares underlying RSUs that would vest and convert following a termination of service.
(6)Includes 12,638.33 shares underlying RSUs that would vest and convert following a termination of service.
(7)Includes 12,429 shares underlying RSUs that would vest and convert following a termination of service.
(8)Includes 15,326 shares underlying RSUs that would vest and convert following a termination of service.
(9)Includes 57,307 shares underlying vested RSUs that would convert following a termination of service, and 1,291 shares underlying RSUs that are scheduled to vest within 60-days of March 21, 2022.
(10)Includes 52,075 shares underlying vested RSUs that would convert following a termination of service, and 1,291 shares underlying RSUs that are scheduled to vest within 60-days of March 21, 2022.
(11)Includes 71,939 shares underlying vested RSUs that would convert following a termination of service, and 1,291 shares underlying RSUs that are scheduled to vest within 60-days of March 21, 2022.
(12)Includes 16,923 shares underlying vested RSUs that would convert following a termination of service, and 1,291 shares underlying RSUs that are scheduled to vest within 60-days of March 21, 2022.
(13)Includes 1,291 shares underlying RSUs that are scheduled to vest within 60-days of March 21, 2022.
(14)Includes 48,691 shares underlying vested RSUs that would convert following a termination of service, and 1,291 shares underlying RSUs that are scheduled to vest within 60-days of March 21, 2022.
(15)Includes 44,990 shares underlying vested RSUs that would convert following a termination of service, and 1,291 shares underlying RSUs that are scheduled to vest within 60-days of March 21, 2022.
(16)Includes 394 shares underlying vested RSUs that would convert following a termination of service, and 1,291 shares underlying RSUs that are scheduled to vest within 60-days of March 21, 2022.
(17) Includes 16,040 shares underlying vested RSUs that would convert following a termination of service, and 1,291 shares underlying RSUs that are scheduled to vest within 60-days of March 21, 2022.
(18) Includes 5,355 shares underlying vested RSUs that would convert following a termination of service, and 1,291 shares underlying RSUs that are scheduled to vest within 60-days of March 21, 2022.
(19) Includes 744,477 shares underlying vested RSUs that would convert following a termination of service, 66,432.33 shares underlying RSUs that would vest and convert following a termination of service, 532 shares of Common Stock that Executive Officers are expected to acquire pursuant to their participation in the Company's Employee Stock Purchase Plan, and 14,201 shares underlying RSUs that are scheduled to vest and convert within 60-days of March 21, 2022. The aforementioned amounts as well as the total amount of 1,672,456 shares are reflective of shares beneficially owned by our Executive Officers and Directors as of March 21, 2022.
Other Matters
Certain Transactions
Certain of our directors, officers and certain members of their immediate families have received, from time to time, extensions of credit from us in connection with mortgage loans, credit card transactions and lines of credit. The extensions of credit were made in the ordinary course of business on substantially the same terms, including interest rates and collateral, as those prevailing at the time for comparable transactions with other persons not related to us and did not involve more than normal risk of collectability or present other unfavorable terms.
We or one of our subsidiaries may occasionally enter into transactions with certain “related persons.” Related persons include our executive officers, directors, nominees for directors, beneficial owners of 5% or more of our Common Stock and immediate family members of these persons. We refer to transactions involving amounts in excess of $120,000 and in which the related person has a direct or indirect material interest as “related person transactions.” Each related person transaction must be approved in accordance with the Company’s written Related Person Transactions Policy as follows: proposed related person transactions involving 5% Company shareholders, directors, director nominees or our CEO (and/or their immediate family members) and executive officers (and/or their immediate family members) will be referred to the Nominating, Governance and Public Responsibility Committee. The Nominating, Governance and Public Responsibility Committee shall be provided with full details of the proposed related person transaction.
The determinations made under the Related Person Transactions Policy consider all relevant factors when determining whether to approve a related person transaction including, without limitation, the following:
•the commercial reasonableness of the terms of the proposed transaction;
•the benefit to the Company;
•the availability and/or opportunity costs of alternate transactions;
•the materiality and character of the related person’s direct or indirect interest;
•whether the transaction would, or would be perceived to, present an improper conflict of interest for the related person, taking into account: (i) the business of the Company; (ii) the size of the transaction; (iii) the overall financial position of the related person; (iv) the direct or indirect nature of the related person’s interest in the transaction; (v) whether the transaction is of an ongoing nature; and (vi) any other relevant factors; and
•if the related person is a director (or an immediate family member of a director), the impact on the director’s independence.
The Nominating, Governance and Public Responsibility Committee will approve a Related Person Transaction only if it determines, upon consideration of all relevant information, that the transaction is not inconsistent with the best interests of the Company and its shareholders.
Other Business
Management does not know of any matters to be presented at the Annual Meeting other than those mentioned in the Notice of Annual Meeting of Shareholders. However, if other matters come before the Annual Meeting, it is the intention of the persons named in the accompanying proxy to vote said proxy in accordance with their judgment on such matters.
Shareholder Proposals and Director Nominations for the 2023 Annual Meeting
Shareholders intending to present a proposal at the 2023 Annual Meeting and have it included in our proxy statement for that meeting must submit the proposal in writing to Discover Financial Services, c/o Corporate Secretary, 2500 Lake Cook Road, Riverwoods, Illinois 60015. We must receive the proposal no later than December 7, 2022.
Shareholders intending to nominate a person for election as a director at the 2023 Annual Meeting and have the candidate included in our proxy statement and form of proxy for that meeting under the proxy access provisions in Section 2.08 of our Bylaws must comply with the requirements set forth in our Bylaws. The Bylaws require, among other things, that our Secretary receive written notice from the record shareholder or group of shareholders of such nomination no more than 150 days and no less than 120 days prior to the first anniversary of the date that the proxy statement was first mailed to shareholders in connection with the previous year’s annual meeting. Therefore, the Company must receive notice of such a nomination for the 2023 Annual Meeting no earlier than the close of business on November 7, 2022 and no later than the close of business on December 7, 2022. The notice must contain the information required by the Bylaws, a copy of which is available upon request to our Secretary at the above address.
Shareholders intending to present a proposal or to nominate a person for election as a director under the advance notice provisions in Section 2.07 of our Bylaws at the 2023 Annual Meeting, but not to include the proposal or director candidate in our proxy statement and form of proxy, must comply with the requirements set forth in our Bylaws. The Bylaws require, among other things, that our Secretary receive written notice from the record shareholder of intent to present such proposal or nomination no more than 120 days and no less than 90 days prior to the anniversary of the preceding year’s annual meeting. Therefore, the Company must receive notice of such a proposal or nomination for the 2023 Annual Meeting no earlier than January 19, 2023 and no later than February 18, 2023. The notice must contain the information required by the Bylaws, a copy of which is available upon request to our Secretary at the above address.
In addition to satisfying the foregoing requirements under the Company’s Bylaws, to comply with the universal proxy rules (once effective), shareholders who intend to solicit proxies in support of director nominees other than the Company’s nominees for the 2023 Annual Meeting of Shareholders must provide notice that sets forth the information required by Rule 14a-19 under the Exchange Act no later than March 20, 2023.
This Proxy Statement is provided to you at the direction of the Board of Directors.
D. Christopher Greene
Vice President, Secretary and Deputy General Counsel
Annex A
Reconciliation of GAAP to Non-GAAP Financial Measures
| | | | | | | | | | | |
(in millions) | 2021 ($) | 2020 ($) | % Change |
Net income-GAAP | 5,449 | 1,141 | 378 | % |
Allowance for credit losses | (1,404) | 2,382 | |
| Liability for expected credit losses on unfunded commitments | (9) | 17 | |
Income tax expenses | 1,615 | 294 |
|
Profit before taxes and reserves-Non-GAAP | 5,651 | | 3,834 | | 47 | % |
Questions and Answers About the Annual Meeting and Voting
Why did I receive these materials?
This Proxy Statement provides notice of the Annual Meeting, describes the proposals presented for shareholder action and includes information required to be disclosed to shareholders. The Proxy Card provides shareholders with a way to vote on the described proposals without having to attend the virtual Annual Meeting. Shareholders of the Company at the close of business on the Record Date are entitled to vote at the Annual Meeting.
How can I register and attend the Annual Meeting?
Our 2022 Annual Meeting will be a completely virtual meeting of shareholders, which will be conducted exclusively by audio webcast. You are entitled to participate in the Annual Meeting only if you were a shareholder of the Company as of the close of business on the Record Date, or if you hold a valid proxy for the Annual Meeting. No physical in-person meeting will be held.
The online meeting will begin promptly at 9 a.m. Central Time. We encourage you to access the meeting prior to the start time leaving ample time for the check in. You will be able to attend the Annual Meeting online, vote and submit your questions during the meeting by visiting www.meetnow.global/M4526G9.
Please follow the registration instructions as outlined below.
If your shares are registered in your name (i.e., you hold your shares registered in your name through the Company's transfer agent, Computershare), you do not need to register to attend the annual meeting virtually on the Internet. Please follow the instructions on the Proxy Card or Notice that you received with this Proxy Statement to attend the meeting. If you cannot locate your notice or proxy card but would like to attend the meeting, you can enter as a guest. Guest attendees will not be allowed to vote.
If your shares are held in the name of your broker or bank, you must register in advance to attend the annual meeting virtually on the Internet. To register in advance to attend the Annual Meeting virtually on the Internet, you must submit a copy of the voting instruction form you received from your bank or broker, a copy of a brokerage statement validating your holdings as of the meeting record date or a Legal Proxy that reflects proof of your proxy power. The Legal Proxy will show your Discover Financial Services holdings with your name. Please forward a copy of one of these documents along with your email address to Computershare. Requests for registration should be directed to Computershare at the following: By email: to legalproxy@computershare.com; or by mail: Computershare, Discover Financial Services Legal Proxy, P.O. Box 43001, Providence, RI 02940-3001. Requests for registration must be labeled as “Legal Proxy” and be received no later than 5:00 p.m. Eastern Time on May 16, 2022. You will receive a confirmation of your registration by email after Computershare receives your registration materials. If you did not submit a Legal Proxy, but did submit a voting instruction form or brokerage statement, you will not be entitled to vote at the meeting. However, you will be able to attend and ask questions. If you do not submit any of the above documents but would like to attend the meeting, you can enter as a guest. Guest attendees will not be allowed to vote.
What proposals am I being asked to vote on and how does the Board of Directors recommend that I vote?
You are asked to vote on the following matters at the annual meeting:
| | | | | | | | | | | | | | |
| | | |
| | Proposal | Our Board’s Recommendation |
| | 1 | Election of Directors | “FOR” the election of each director nominee |
| | 2 | Advisory Vote to Approve Named Executive Officer Compensation | “FOR” |
| | 3 | Ratification of Appointment of Independent Registered Public Accounting Firm | “FOR” |
Questions and Answers About the Annual Meeting and Voting
What does it mean if I receive more than one set of materials?
This means you hold shares of the Company in more than one way. For example, you may own some shares directly as a “registered holder” and other shares through a broker or you may own shares through more than one broker. In these situations you may receive multiple sets of proxy materials. In order to vote all of the shares you own, you must follow the voting procedures on each Notice of Internet Availability of Proxy Materials that you receive or sign and return each of the Proxy Cards that you receive. Each Proxy Card you receive comes with its own prepaid return envelope. If you vote by mail, make sure you return each Proxy Card in the return envelope which accompanied that Proxy Card.
Does my vote matter?
YES! We are required to obtain shareholder approval for the election of directors and other important matters. Each share of Common Stock is entitled to one vote on each matter voted upon at the meeting. In order for the Company to obtain the necessary shareholder approval of proposals, a “quorum” of shareholders (i.e., a majority of the issued and outstanding shares entitled to vote, excluding treasury stock) must be represented at the Annual Meeting in person or by proxy. If a quorum is not obtained, the Company must postpone the Annual Meeting and solicit additional proxies; this is an expensive and time-consuming process that is not in the best interests of the Company or its shareholders. Since few shareholders typically attend shareholder meetings in person, voting by proxy is important to obtain a quorum and complete the shareholder vote. Virtual attendance at our Annual Meeting constitutes presence in person for purposes of the vote required under our Bylaws.
How do I vote?
You may vote using any of the following methods:
By Internet or telephone. The Internet and telephone voting procedures we have established for shareholders of record are designed to authenticate your identity, allow you to give your voting instructions and confirm that these instructions have been properly recorded. The availability of Internet and telephone voting for beneficial owners will depend on the voting processes of your broker, bank or nominee. Therefore, we recommend that you follow the voting instructions in the materials you receive.
Annual Proxy Card. Be sure to complete, sign and date the card and return it in the prepaid envelope. If you are a shareholder of record and you return your signed Proxy Card without indicating your voting preferences, the persons named in the Proxy Card will vote FOR the election of directors, FOR the approval on an advisory, non-binding basis, of NEO compensation and FOR the ratification of the appointment of Deloitte & Touche LLP as our independent registered public accounting firm for 2022. By voting by Internet or telephone, or by returning your signed and dated Proxy Card in time to be received for the Annual Meeting, you authorize Wanjiku J. Walcott and D. Christopher Greene (the “Proxies”) to act as your proxies to vote your shares of Common Stock as instructed in the proxy card.
At the Annual Meeting. All shareholders may vote at the Annual Meeting. If your shares are registered in your name, to vote you will need your 15-digit Control Number provided with the Notice of the Meeting or on your Proxy Card. If you are a beneficial owner (i.e. your shares are held in the name of your broker or bank), please refer to “How can I register and attend the Annual Meeting?” above for information on how to register to attend the Annual Meeting in order to vote your shares at the Annual Meeting.
How many votes are required to approve a proposal?
Each director will be elected by a majority of the votes cast with respect to such director. A “majority of the votes cast” means that the number of votes cast “for” a given director exceeds the number of votes cast “against” that director. Under Delaware law, if a director is not elected at the Annual Meeting, the director will continue to serve on the Board as a “holdover director.” As required by the Company’s Bylaws, each current director has submitted an irrevocable letter of resignation as a director that becomes effective if he or she is not elected by shareholders and if the Board accepts such resignation. If a director is not elected, the Nominating, Governance and Public Responsibility Committee will consider the director’s resignation and recommend to the Board whether to accept or reject the resignation. The Board will decide whether to accept or reject the resignation and publicly disclose its decision and, if it rejects the resignation, the rationale behind such decision, within 90 days after the election results for the Annual Meeting are certified.
The advisory, non-binding vote to approve NEO compensation and the advisory vote to ratify the appointment of Deloitte & Touche LLP as our independent registered public accounting firm for 2022 each requires the affirmative vote of a majority of the shares of Common Stock represented at the Annual Meeting and entitled to vote thereon.
You may “abstain” from voting on any of the proposals in this Proxy Statement. Shares voting “abstain” on any nominee for director will be excluded entirely from the vote and will have no effect on the election of directors. Shares voting “abstain” on the advisory, non-binding vote to approve NEO compensation and the advisory vote to ratify the appointment of Deloitte & Touche LLP as our independent registered public accounting firm for 2022 will be counted as present at the Annual Meeting for purposes of each such applicable proposal, and your abstention will have the effect of a vote against the applicable vote or proposal.
Questions and Answers About the Annual Meeting and Voting
What is the effect of not voting?
The effect of not voting depends on how ownership of your shares is registered and the proposal to be voted upon. If you own shares as a registered holder, rather than through a broker, your unvoted shares will not be represented at the Annual Meeting and will not count toward the quorum requirement. Except as described below, assuming a quorum is obtained, your unvoted shares with respect to any nominee for director will be excluded entirely from the vote and will have no effect on the election of directors. Your unvoted shares will also have no effect on the advisory, non-binding vote to approve NEO compensation and the advisory vote to ratify the appointment of Deloitte & Touche LLP as our independent registered public accounting firm for 2022.
If you own shares through a broker and do not vote, your broker may represent your shares at the Annual Meeting for purposes of obtaining a quorum. As described in the answer to the following question, in the absence of your voting instructions, your broker may or may not vote your shares.
If I don’t vote, will my broker vote for me?
If you own your shares through a broker and you don’t vote, your broker may vote your shares at its discretion on certain “routine matters.” The ratification of the appointment of Deloitte and Touche LLP as our independent registered public accounting firm for 2022 is a “routine matter” on which brokers will be permitted to vote any unvoted shares. The other proposals set forth in this Proxy Statement are “non-discretionary” items, and your broker may not be able to vote your shares for you. The aggregate number of unvoted shares is reported as the “broker non-vote.” “Broker non-votes” with respect to any nominee for director will be excluded entirely from the vote and will have no effect on the election of directors. “Broker non-votes” will also have no effect on the advisory, non-binding vote to approve NEO compensation proposal.
If I own my shares through a broker, how is my vote recorded?
Brokers typically hold shares of Common Stock for many shareholders. In this situation, the registered holder on the Company’s stock register is the broker or its nominee. This often is referred to as holding shares in “street name.” The “beneficial owners” do not appear in the Company’s shareholder register. Therefore, for shares held in street name, distributing the proxy materials and tabulating votes are both two-step processes. Brokers will inform the Company how many of their clients are beneficial owners and the Company will provide the broker with that number of proxy materials. Each broker will then forward the proxy materials to its clients who are beneficial owners to obtain their votes. When you receive proxy materials from your broker, they will provide instructions for sending your vote to your broker. Before the Annual Meeting, each broker will total the votes it has received and submit a Proxy Card reflecting the aggregate votes of the beneficial owners for whom it holds shares.
Are my votes confidential?
Yes. The vote of any shareholder will not be revealed to anyone other than a non-employee tabulator of votes or the independent Inspector of Elections, except (i) as necessary to meet legal requirements or to assist in the pursuit or defense of legal action; (ii) if the Company concludes in good faith that a bona fide dispute exists as to the authenticity of one or more proxies, ballots or votes, or as to the accuracy of any tabulation of such proxies, ballots or votes; (iii) in the event of a proxy contest or other solicitation in opposition to the voting recommendation of the Board; or (iv) if you request, or consent to, disclosure of your vote or if you write comments on your Proxy Card or ballot.
Can I revoke my proxy and change my vote?
Yes. You have the right to revoke your proxy at any time prior to the time your shares are voted. If you are a registered holder, your proxy can be revoked in several ways: (i) by timely delivery of a written revocation to the Corporate Secretary; (ii) by submitting another valid proxy bearing a later date (including by voting on the Internet or telephone or mailing a new Proxy Card); or (iii) by voting during your attendance at the virtual annual meeting. If you are the beneficial owner of shares held by a broker, you must contact your broker in order to revoke your proxy.
Questions and Answers About the Annual Meeting and Voting
Will any other business be transacted at the Annual Meeting? If so, how will my proxy be voted?
Management does not know of any business to be transacted at the Annual Meeting other than the matters described in this Proxy Statement. The period specified in the Company’s Bylaws for submitting additional proposals to be considered at the Annual Meeting has passed and there are no such proposals to be considered. However, should any other matters properly come before the Annual Meeting, or any adjournments and postponements thereof, shares to which voting authority has been granted to the Proxies will be voted by the Proxies in accordance with their judgment.
Who counts the votes?
Votes will be counted and certified by the Inspector of Elections, who are employees of Computershare, Inc. (“Computershare”). If you are a registered holder, your executed Proxy Card is returned directly to Computershare for tabulation. As noted above, if you hold your shares through a broker, your broker returns one Proxy Card to Computershare on behalf of all its clients.
How much does the proxy solicitation cost?
The largest expense in the proxy process is printing and mailing the proxy materials. We also reimburse brokers, fiduciaries and custodians for their costs in forwarding proxy materials to beneficial owners of our Common Stock. Proxies may be solicited on behalf of the Company by directors, officers or employees of the Company in person or by mail, telephone, over the Internet or facsimile transmission. No additional compensation will be paid to such directors, officers, or employees for soliciting proxies. The Company will bear the entire cost of solicitation of proxies, including the preparation, assembly, printing and mailing of this Proxy Statement and the accompanying Proxy Card, Notice of Annual Meeting and Annual Report to Shareholders. The Company has retained Georgeson Inc. to assist with the solicitation of proxies from certain shareholders for a fee of approximately $9,500 plus reimbursement for certain expenses.