UNITED STATES
SECURITIES AND EXCHANGE COMMISSION
Washington, D.C. 20549
FORM 10-K
(Mark One)
|
x |
ANNUAL REPORT PURSUANT TO SECTION 13 OR 15(d) OF THE SECURITIES EXCHANGE ACT OF 1934 |
For the fiscal year ended December 31, 2014
OR
|
¨ |
TRANSITION REPORT PURSUANT TO SECTION 13 OR 15(d) OF THE SECURITIES EXCHANGE ACT OF 1934 |
For the transition period from to
Commission File Number 001-36292
Auspex Pharmaceuticals, Inc.
(Exact name of registrant as specified in its charter)
|
Delaware |
|
95-4862842 |
|
(State or other jurisdiction of |
|
(I.R.S. Employer |
|
3333 N. Torrey Pines Court, Suite 400, San Diego, CA |
|
92037 |
|
(Address of principal executive offices) |
|
(Zip Code) |
(858) 558-2400
(Registrant’s telephone number, including area code)
Securities registered pursuant to section 12(b) of the Act:
|
Title of each class |
|
Name of each exchange on which registered |
|
Common stock, par value $0.0001 per share |
|
The NASDAQ Global Market |
Securities registered pursuant to section 12(b) of the Act: None
Indicate by check mark if the registrant is a well-known seasoned issuer, as defined in Rule 405 of the Securities Act. ☒ Yes ☐ No
Indicate by check mark if the registrant is not required to file reports pursuant to Section 13 or Section 15(d) of the Act. ☐ Yes ☒ No
Indicate by check mark whether the registrant (1) has filed all reports required to be filed by Section 13 or 15(d) of the Securities Exchange Act of 1934 during the preceding 12 months (or for such shorter period that the registrant was required to file such reports), and (2) has been subject to such filing requirements for the past 90 days. ☒ Yes ☐ No
Indicate by check mark whether the registrant has submitted electronically and posted on its corporate Web site, if any, every Interactive Data File required to be submitted and posted pursuant to Rule 405 of Regulation S-T (§ 232.405 of this chapter) during the preceding 12 months (or for such shorter period that the registrant was required to submit and post such files). ☒ Yes ☐ No
Indicate by check mark if disclosure of delinquent filers pursuant to Item 405 of Regulation S-K (§ 229.405 of this chapter) is not contained herein, and will not be contained, to the best of registrant’s knowledge, in definitive proxy or information statements incorporated by reference in Part III of this Form 10-K or any amendment to this Form 10-K. ☒ Yes ☐ No
Indicate by check mark whether the registrant is a large accelerated filer, an accelerated filer, a non-accelerated filer, or a smaller reporting company. See definitions of “large accelerated filer,” “accelerated filer” and “smaller reporting company” in Rule 12b-2 of the Exchange Act.
Large accelerated filer ☐ Accelerated filer ☐ Non-accelerated filer ☒ Smaller reporting company ☐
(do not check if smaller reporting company)
Indicate by check mark whether the registrant is a shell company (as defined in Rule 12b-2 of the Act). ☐ Yes ☒ No
The aggregate market value of the voting common stock held by non-affiliates of the Registrant, based on the closing sale price of the common stock on June 30, 2014, the last business day of the Registrant’s second quarter fiscal quarter, reported on the NASDAQ Global Market, was approximately $170,000,000. Shares of common stock held by each executive officer and director and by each person who owns 10% or more of the Registrant’s outstanding common stock have been excluded from this computation. The determination of affiliate status for this purpose is not necessarily a conclusive determination for other purposes. The Registrant does not have any non-voting common equity securities.
As of February 27, 2015, there were 31,815,187 shares of the Registrant’s common stock outstanding.
DOCUMENTS INCORPORATED BY REFERENCE
Part III incorporates certain information by reference from the Registrant’s Definitive Proxy Statement to be filed with the Commission pursuant to Regulation 14A in connection with the Registrant’s 2015 Annual Meeting of Stockholders. Such Definitive Proxy Statement will be filed with the Commission not later than 120 days after the conclusion of the Registrant’s fiscal year ended December 31, 2014.
Forward-Looking Statements
This Annual Report on Form 10-K, including the sections entitled “Business,” “Risk Factors” and “Management’s Discussion and Analysis of Financial Condition and Results of Operations,” may contain forward-looking statements. These statements relate to future events or to our future financial performance and involve known and unknown risks, uncertainties and other factors which may cause our actual results, performance or achievements to be materially different from any future results, performance or achievements expressed or implied by the forward-looking statements. Forward-looking statements in this Annual Report include, but are not limited to, statements about:
|
• |
the success, cost, timing and potential indications of our product development activities and clinical trials, including our ongoing and later trials of SD-809; |
|
• |
our ability to obtain and maintain regulatory approval of our product candidates, including SD-809, in any of the indications for which we plan to develop them, and any related restrictions, limitations, and/or warnings in the label of an approved product candidate; |
|
• |
the future results in ongoing or later clinical trials, including SD-809, and our ability to obtain orphan drug designation for SD-809 or any of our other product candidates; |
|
• |
our ability to obtain funding for our operations, including funding necessary to complete the clinical trials of any of our product candidates, including SD-809; |
|
• |
our plans to research, develop and commercialize our product candidates, including SD-809; |
|
• |
our ability to attract and retain collaborators with development, regulatory and commercialization expertise; |
|
• |
the size of the markets for our product candidates, and our ability to serve those markets; |
|
• |
our ability to successfully commercialize our product candidates, including SD-809; |
|
• |
the rate and degree of market acceptance of our product candidates, including SD-809; |
|
• |
our ability to develop and maintain sales and marketing capabilities, whether alone or with potential future collaborators; |
|
• |
regulatory developments in the United States and foreign countries; |
|
• |
the performance of our third-party suppliers and manufacturers; |
|
• |
the success of competing therapies that are or become available; |
|
• |
our ability to attract and retain key scientific or management personnel; |
|
• |
our expectations regarding the period during which we qualify as an emerging growth company under the JOBS Act; |
|
• |
our use of the proceeds from our recently completed initial public offering and follow-on offerings; |
|
• |
the accuracy of our estimates regarding expenses, future revenues, capital requirements and needs for additional financing; and |
|
• |
our expectations regarding our ability to obtain and maintain intellectual property protection for our product candidates and our ability to operate our business without infringing on the intellectual property rights of others. |
In some cases, you can identify these statements by terms such as “anticipate,” “believe,” “could,” “estimate,” “expects,” “intend,” “may,” “plan,” “potential,” “predict,” “project,” “should,” “will,” “would” or the negative of those terms, and similar expressions that convey uncertainty of future events or outcomes. These forward-looking statements reflect our management’s beliefs and views with respect to future events and are based on estimates and assumptions as of the date of this Annual Report and are subject to risks and uncertainties. We discuss many of these risks in greater detail under the heading “Risk Factors.” Moreover, we operate in a very competitive and rapidly changing environment. New risks emerge from time to time. It is not possible for our management to predict all risks, nor can we assess the impact of all factors on our business or the extent to which any factor, or combination of factors, may cause actual results to differ materially from those contained in any forward-looking statements we may make. Given these uncertainties, you should not place undue reliance on these forward-looking statements.
You should carefully read this report and the documents that we reference in this report completely and with the understanding that our actual future results may be materially different from what we expect. We qualify all of the forward-looking statements in this Annual Report by these cautionary statements. Moreover, you should read the following together with the more detailed information regarding our company, our common stock, and our financial statements and notes to those statements appearing elsewhere in this report or incorporated by reference. The Securities and Exchange Commission, or SEC, allows us to “incorporate by reference” information that we file with the SEC, which means that we can disclose important information to you by referring you to those documents. The information incorporated by reference is considered to be part of this report.
AUSPEX PHARMACEUTICALS, INC.
Annual Report on Form 10-K
For the Fiscal Year Ended December 31, 2014
|
|
|
|
|
|
|
|||
|
Item 1. |
|
1 |
|
|
Item 1A. |
|
35 |
|
|
Item 1B. |
|
63 |
|
|
Item 2. |
|
63 |
|
|
Item 3. |
|
63 |
|
|
Item 4. |
|
63 |
|
|
|
|
|
|
|
|
|||
|
Item 5. |
|
64 |
|
|
Item 6. |
|
66 |
|
|
Item 7. |
|
Management’s Discussion and Analysis of Financial Condition and Results of Operations |
67 |
|
Item 7A. |
|
78 |
|
|
Item 8. |
|
79 |
|
|
Item 9. |
|
Changes in and Disagreements With Accountants on Accounting and Financial Disclosure |
103 |
|
Item 9A. |
|
103 |
|
|
Item 9B. |
|
103 |
|
|
Item 10. |
|
104 |
|
|
Item 11. |
|
104 |
|
|
Item 12. |
|
Security Ownership of Certain Beneficial Owners and Management and Related Stockholder Matters |
104 |
|
Item 13. |
|
Certain Relationships and Related Transactions, and Director Independence |
104 |
|
Item 14. |
|
104 |
|
|
Item 15. |
|
105 |
|
|
|
|
106 |
|
|
|
|
|
|
Overview
We are a biopharmaceutical company focused on the development and commercialization of novel medicines for people with movement disorders and other rare diseases, including orphan diseases, which are rare diseases that affect fewer than 200,000 people in the United States. Our pipeline includes product candidates to address unmet medical needs in hyperkinetic movement disorders, such as chorea (abnormal involuntary movements) associated with Huntington’s disease, an orphan disease, tardive dyskinesia and Tourette syndrome in the pediatric population which has been deemed an orphan disease, as well as other orphan indications.
In the United States, a majority of the 30,000 Huntington’s disease patients manifest chorea, an estimated 500,000 people suffer from tardive dyskinesia and approximately 100,000 children have tics (abnormal involuntary movements or vocalizations) associated with Tourette syndrome. Movement disorders are debilitating medical conditions which can lead to physical injury, social isolation, loss of independence and interference with employment and activities of daily living. These debilitating disorders are poorly addressed and remain largely untreated. We believe that there is a significant need for a safe and efficacious treatment for these serious conditions.
Our lead product candidate, SD-809, is a small molecule inhibitor of vesicular monoamine transporter 2, or VMAT2, that is designed to regulate the levels of a specific neurotransmitter, dopamine, in the brain. A number of hyperkinetic movement disorders are triggered by abnormal dopamine regulation in the brain. We have recently completed a successful Phase 3 clinical trial of SD-809 for the potential treatment of chorea associated with Huntington’s disease, or HD. In this trial, which we refer to as First-HD, SD-809 met its primary efficacy endpoint of a statistically significant improvement in the total maximal chorea, or TMC, score, on the Unified Huntington’s Disease Rating Scale, or UHDRS, over placebo, as well as showed significant improvements in multiple secondary endpoints including patient global impression of change, or PGIC, clinical global impression of change, or CGIC, and the physical functioning scale of the 36-Item Short-Form Health Survey developed by the RAND Corporation, or the SF-36, a measure of quality of life. Importantly, in First-HD, SD-809 showed a desirable safety and tolerability profile with low rates of depression, somnolence, akathisia/restlessness and anxiety.
We have also successfully completed the four week switch portion of an ongoing open-label safety clinical trial, which we refer to as ARC-HD Switch, where 37 patients on stable doses of tetrabenazine (marketed as Xenazine® in the United States), approved by the U.S. Food and Drug Administration, or FDA, solely for the treatment of chorea associated with Huntington’s disease, were switched overnight to SD-809 (at approximately half the dose of tetrabenazine). In this trial, SD-809 maintained chorea control, with chorea scores declining by approximately one point from baseline at Weeks 1 and 4. In addition, data from 21 patients were available at Week 8 at the time of the analysis; these data demonstrated approximately a two point decline from baseline chorea scores. Data for the remaining 15 patients will be available at a future date. Since its launch in the fourth quarter of 2008, annual tetrabenazine sales in the United States have grown to approximately $250 million for the year ended December 31, 2013, which represents approximately 4,000 patients on tetrabenazine therapy in the United States at the end of 2013. Sales of tetrabenazine for the 12 months ended December 31, 2014, are expected to be approximately $300 million, which represents an estimated $70,000 to $75,000 annual cost of treatment per patient, based on an average daily dosing between 40 mg and 45mg. The Red Book Online reported a 14% price increase of Xenazine effective January 2, 2015, which would increase the annual cost of treatment to an estimated $80,000 to $85,000 per patient. We believe this limited usage of tetrabenazine is primarily due to its undesirable tolerability and side effect profile (including depression, somnolence, akathisia and anxiety), its dosing frequency, drug interactions, the requirement for genotyping for drug metabolizing enzymes, a warning and precaution in the label regarding corrected QT, or QTc, prolongation and other factors.
1
We believe that the desirable efficacy and safety data demonstrated in First-HD and ARC-HD Switch, combined with earlier clinical trial results, suggest that SD-809, if approved, could become the therapy of choice for treating chorea associated with Huntington’s disease, while also suggesting the potential to address unmet needs in a variety of other hyperkinetic movement disorders which will need to be confirmed in additional clinical trials. There are no FDA-approved treatments for tardive dyskinesia, or TD, and there are limited options for the treatment of tics associated with Tourette syndrome, or TS. A 2007 retrospective chart review conducted by physicians at the Baylor College of Medicine reported that over 75% of patients treated with tetrabenazine had moderate to marked improvement for chorea associated with Huntington’s disease, tardive dyskinesia and tics associated with Tourette syndrome. With the same mechanism of action as tetrabenazine, SD-809 may potentially be used to treat these indications. We believe that SD-809 has the potential to change the treatment paradigm and expand the treatment of chorea associated with Huntington’s disease, tardive dyskinesia and tics associated with Tourette syndrome. We have initiated two safety and efficacy clinical trials of SD-809 for the potential treatment of tardive dyskinesia. Aim to Reduce Movements in Tardive Dyskinesia, or ARM-TD, a Phase 2/3 randomized, double-blind, placebo-controlled, dose-titration clinical trial of SD-809 in approximately 90 patients with tardive dyskinesia for which we completed target enrollment in January 2015. Topline results from this trial are expected in mid-2015. Based on feedback we obtained at a meeting with the FDA, the ARM-TD trial may qualify as one of the two pivotal trials needed for a 505(b)(2) New Drug Application, or NDA, filing, subject to FDA review. Our other study, Addressing Involuntary Movements in Tardive Dyskinesia, or AIM-TD, is a Phase 3, randomized, double-blind, placebo-controlled, parallel group clinical trial in approximately 200 people with tardive dyskinesia. We expect topline results from this trial in 2016. Contingent upon successful completion of both studies, we plan to file an NDA for SD-809 for the treatment of tardive dyskinesia in 2016.
In addition to the Huntington’s disease and tardive dyskinesia programs, we have initiated an open-label preliminary efficacy, pharmacokinetic and safety Phase 1b clinical trial of SD-809 for the treatment of tics associated with Tourette syndrome. We plan to enroll approximately 20 subjects to evaluate preliminary efficacy and safety, in addition to studying the pharmacokinetics of SD-809 in adolescents. We expect topline data from this trial by mid-2015.
Based on the results of our clinical trials, we plan to submit an NDA to the FDA for SD-809 for the treatment of chorea associated with Huntington’s disease by mid-2015 and, if approved, expect to launch commercial sales in 2016. This NDA will use a Section 505(b)(2) regulatory path which we expect will allow us to rely, in our NDA filing, on certain prior nonclinical and clinical safety findings made by the FDA in its approval of the tetrabenazine NDA. We expect the FDA to review data from our own clinical trials as well, including data from First-HD and ARC-HD, as part of its review of our NDA submission. We are also targeting an NDA submission to the FDA for SD-809 for the treatment of tardive dyskinesia in 2016 pending results from our two ongoing clinical trials.
We intend to commercialize SD-809 for chorea associated with Huntington’s disease, if approved, through a small specialty sales force. There are a limited number of neurologists nationwide who treat movement disorders and we believe that such a sales force could effectively address the U.S. market for chorea associated with Huntington’s disease. We discovered and developed SD-809 and we retain unencumbered worldwide rights for its development and commercialization. We currently own issued composition of matter patents for SD-809 that are expected to expire in 2031 in the United States and 2029 in Europe, before any patent term extension or equivalent to which we may be entitled in the United States or other jurisdictions where we have issued patents. We have additional patent applications for SD-809 that, if issued, will cover composition of matter, methods of treatment, manufacturing, formulations and other applications and aspects of SD-809, which could potentially extend the patent exclusivity period for SD-809. SD-809 has also been granted an orphan drug designation by the FDA for the treatment of Huntington’s disease and an orphan drug designation for the treatment of Tourette syndrome in the pediatric population (defined as zero through 16 years of age).
In addition to the issued or allowed patents covering SD-809, we have in our portfolio 64 issued or allowed patents and 63 active patent applications in prosecution covering, among other things, the deuterium-containing form of 66 drugs. These patents include composition of matter and other patents for SD-560, a deuterium-containing form of pirfenidone, which we are evaluating in a Phase 1 cross-over clinical trial versus pirfenidone, with data expected by mid-2015, as well as for SD-1077, a deuterium-containing form of levodopa, which we will be evaluating in proof of concept clinical trials with data expected in 2016. Our portfolio also includes other deuterium-containing compounds that are at various stages of development. We may selectively and opportunistically sell or partner rights for any of these compounds, acquire one or more additional programs or develop and commercialize them ourselves based on strategic considerations and availability of resources.
We were founded in February 2001 and incorporated in California. We subsequently reincorporated under the state laws of Delaware in June 2007. Our principal executive offices are located at 3333 N. Torrey Pines Court, Suite 400, La Jolla, California 92037 and our telephone number is (858) 558-2400. Information about the company is also available on our website at www.auspexpharma.com, which includes links to reports we have filed with the Securities and Exchange Commission, or SEC, which are available free of charge. The contents of our website are not incorporated by reference in this Annual Report on Form 10-K. The public may read and copy any materials that we file with the SEC at the SEC’s Public Reference Room at 100 F Street, N.E., Washington, D.C. 20549. Information on the operations of the Public Reference Room is available by calling the SEC at 1-800-SEC-0330. These reports may also be accessed free of charge via the SEC’s website at www.sec.gov.
2
We have recently filed trademark applications to cover the mark AUSTEDO™, which is a brand name we have submitted to the FDA for approval to use for SD-809 for the treatment of chorea associated with Huntington’s disease. We have rights to this and other various trademarks, copyrights and tradenames used in our business, including Auspex®, AUSTEDO™, and the AUSTEDO logo. This report also contains trademarks of others, including ABILIFY®, Huntexil®, Nerventra®, PROCYSBI®, Tardoxal® and Xenazine®
Our Strategy
Our goal is to be a leading biopharmaceutical company focused on the development and commercialization of new medicines in orphan indications initially targeting hyperkinetic movement disorders. Key elements of our strategy to achieve this goal are to:
|
· |
Develop and commercialize SD-809 to be a market leader for the treatment of chorea associated with Huntington’s disease, based on its differentiated profile. We expect data from our completed Phase 3 clinical trial of SD-809 in patients with chorea associated with Huntington’s disease will serve as the basis for our NDA submission. Because the only FDA-approved treatment for chorea associated with Huntington’s disease has limitations, we believe SD-809, if approved, would be an attractive treatment alternative for patients with chorea. |
|
· |
Develop SD-809 for the treatment of additional hyperkinetic movement disorders with unmet medical needs, including tardive dyskinesia and Tourette syndrome. We have initiated two safety and efficacy clinical trials of SD-809 in patients with tardive dyskinesia, for where there are no approved therapies. We also have initiated a Phase 1b clinical trial in adolescent patients with tics associated with Tourette syndrome, where we believe that physicians consider existing therapies to be inadequate. We expect the results from these trials will form the basis of both our NDA submission for the treatment of tardive dyskinesia, and the remaining development activities, including pivotal clinical trials, required for regulatory approval of SD-809 in tics associated with Tourette syndrome. |
|
· |
Build targeted sales and marketing capabilities in the United States for SD-809, initially focused on movement disorder neurologists. Subject to obtaining approval for SD-809 for the treatment of chorea associated with Huntington’s disease, we anticipate building a commercial infrastructure, initially including a small specialty sales force. |
|
· |
Leverage our expertise in deuterium chemistry as well as clinical and regulatory development to derive value from our broad portfolio of proprietary product candidates. We have over 50 additional deuterium-containing product candidates in our portfolio at various stages of development. These compounds could be advanced or partnered in the future based on strategic considerations and availability of resources. |
Overview of Hyperkinetic Movement Disorder
Hyperkinetic movement disorders are characterized by abnormal, involuntary muscle contractions and can arise from a variety of causes, typically either genetic or drug-induced. Many hyperkinetic movement disorders, including chorea associated with Huntington’s disease, tardive dyskinesia, Tourette syndrome and others, benefit from treatment with drugs that reduce dopamine nerve transmission, such as inhibitors of VMAT2. Increased involuntary motor output is often driven by improper dopamine regulation in the brain.
Huntington’s disease. Huntington’s disease is a hereditary neurodegenerative orphan disease that results in motor, cognitive and psychiatric disability, primarily due to the destruction of neurons in the brain. The National Institutes of Health, or NIH, estimates that 30,000 people in the United States have Huntington’s disease. One of the most visually prominent symptoms of this disease is chorea, which occurs in 90% of patients. In addition to the 30,000 individuals with Huntington’s disease, more than 200,000 people in the United States carry the gene and are at risk for Huntington’s disease. In approximately 70% of patients with Huntington’s disease, chorea is moderate to severe and can result in difficulty walking, speaking, swallowing or performing simple everyday tasks. Psychiatric symptoms, such as depression and anxiety, are common among these patients. The only FDA-approved treatment for chorea associated with Huntington’s disease is tetrabenazine, an inhibitor of VMAT2, which decreases presynaptic dopamine levels. While the drug is effective at controlling chorea, its package insert shows high rates of adverse events and its short half-life requires three or more times daily dosing in a majority of patients. The most common adverse events listed in the tetrabenazine label include sedation/somnolence, fatigue, insomnia, depression, akathisia, anxiety and nausea (see Table 1 from the Xenazine label below). In addition, the FDA-approved label for tetrabenazine states that patients requiring greater than 50 mg/day, or 50% of the maximal dose, should be genotyped for the drug-metabolizing enzyme, CYP2D6. The distribution of the drug is also highly restricted and is subject to an FDA-mandated Risk Evaluation and Mitigation Strategies, or REMS, program. We believe the foregoing properties of tetrabenazine have contributed to its limited use. Since its launch in the fourth quarter of 2008, annual tetrabenazine sales in the United States have grown to approximately $250 million for the year ended December 31, 2013, which represents approximately 4,000 patients on tetrabenazine therapy in the United States at the end of 2013. Sales of tetrabenazine for the 12 months ended December 31, 2014, are expected to be approximately $300 million, which represents an estimated $70,000 to $75,000 annual cost of treatment per patient based on an average daily dosing between 40 mg and 45mg. The Red Book Online reported a 14% price increase
3
of Xenazine effective January 2, 2015, which would increase the annual cost of treatment to an estimated $80,000 to $85,000 per patient.
Tardive dyskinesia. Tardive dyskinesia is a hyperkinetic movement disorder that is induced by dopamine receptor blocking agents, such as neuroleptics, which are used for treating psychiatric conditions, including schizophrenia and bipolar disease, as well as by certain drugs, such as metoclopramide, which are used for treating various gastrointestinal disorders. Neuroleptics are estimated to be used by approximately four million Americans according to federal government data from the Medical Expenditure Panel Survey. From 1996 to 2011, annual neuroleptic prescriptions in the United States increased from 21 million to 57 million, and annual sales increased from $1 billion to $18 billion, according to IMS Health Institute data. Tardive dyskinesia typically manifests as rapid, repetitive, stereotypic movements involving the tongue, lips and jaw that may involve puffing of cheeks, protruding of the tongue, lip smacking, puckering, pursing and chewing. In the United States, an estimated 500,000 patients have tardive dyskinesia. These patients are managed largely by psychiatrists and movement disorder neurologists, and there are no FDA-approved treatments for this potentially irreversible condition.
Tourette syndrome. Tourette syndrome is a hyperkinetic movement disorder manifested by motor and phonic tics, which are often accompanied by neurobehavioral disorders such as attention-deficit hyperactivity disorder, or ADHD, and obsessive-compulsive disorder, or OCD. Tics can be simple such as blinking, eye rolling, nose twitching, head nodding and mouth pouting, or more complex such as touching, squatting, jumping or hopping. Tics can result in significant long-term social, legal and developmental consequences for patients, as well as injury and physical disability including pain and secondary neurological deficits. In the United States, an estimated 100,000 children have tics associated with Tourette syndrome. According to the U.S. Centers for Disease Control and Prevention, 37% of these children have moderate to severe forms of Tourette syndrome. The mean age of onset is at four to six years, with peak severity around 12 years of age, with an estimated 13% to 22% of affected children continuing to take medications for tics as adults. The FDA Office of Orphan Products Development has designated SD-809 as an orphan drug for the treatment of Tourette syndrome in the pediatric population (defined as zero through 16 years of age). There have been no new drugs introduced for treating tics associated with Tourette syndrome in more than 30 years, and we believe that physicians consider the two approved neuroleptics to be inadequate. These treatments carry, among other adverse events, the risk of causing permanent neurologic deficits, such as tardive dyskinesia.
The SD-809 Opportunity
Using our know-how in deuterium chemistry, we made chemical modifications at specific positions in the tetrabenazine molecule to create the novel drug candidate SD-809 (deutetrabenazine). We developed SD-809 to have the same shape, size, charge, intrinsic potency and target pharmacology of tetrabenazine and to improve its tolerability and safety profile. Deuterium is a non-toxic, naturally occurring form of hydrogen. SD-809 is an oral small molecule with potential for once-daily or twice-daily dosing. We have successfully completed a Phase 3 clinical trial of SD-809 (AUSTEDO™; the brand name has been submitted to the FDA for approval) for the treatment of chorea associated with Huntington’s disease and are also conducting two clinical trials of SD-809 for the treatment of tardive dyskinesia, as well as one Phase 1b clinical trial for the treatment of tics associated with Tourette syndrome.
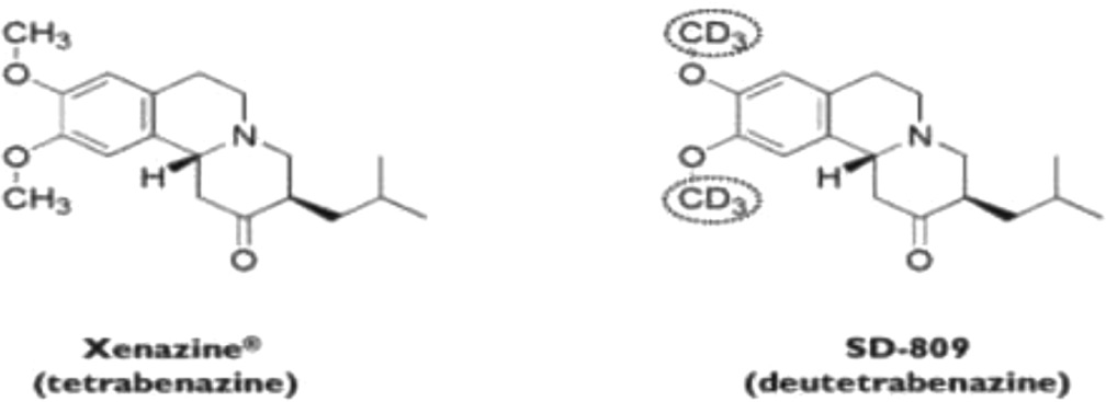
The structural difference between SD-809 and tetrabenazine is six substitutions of deuterium atoms (D; 2 H) for hydrogen atoms (H; 1 H), as depicted below.

4
The carbon-deuterium covalent bond requires about eight times more energy to break than the carbon-hydrogen bond. The substitution of deuterium for hydrogen at specific positions attenuates the breakdown of active metabolites (as depicted below), which may result in a differentiated profile such as less frequent dosing, improved tolerability, reduced interpatient variability in drug metabolism, and reduced QT interval prolongation as well as reduced drug interactions and reduced need for CYP2D6 genotyping. We believe that this profile will allow SD-809 to address unmet needs in a variety of hyperkinetic movement disorders.
SD-809 metabolism

The FDA-approved label for Xenazine reports high rates of treatment-emergent adverse events including, among others, somnolence/sedation, insomnia, fatigue, depression, akathisia and anxiety. In some cases, this led to an alteration in dosing. The full Table 1 from the FDA-approved label, provided below, shows adverse reactions that occurred in more than 4% of patients and with a greater frequency in Xenazine-treated patients than in placebo-treated patients. Text from the FDA approved label shown below states that “Dose escalation was discontinued or dosage of study drug was reduced because of one or more adverse reactions in 28 of 54 (52%) patients randomized to XENAZINE. These adverse reactions consisted of sedation (15), akathisia (7), parkinsonism (4), depression (3), anxiety (2), fatigue (1) and diarrhea (1). Some patients had more than one adverse reaction and are, therefore counted more than once.”
5
|
Table 1. |
Treatment Emergent Adverse Reactions in Patients Treated with XENAZINE and with a Greater Frequency than Placebo in the 12-Week, Double-Blind, Placebo-Controlled Trial of XENAZINE |
|
|
|
|
|
|
|
|
|
Body System |
|
AE Term |
|
XENAZINE n (%) |
|
Placebo |
|
PSYCHIATRIC DISORDERS |
|
Sedation/somnolence |
|
17 (31%) |
|
1 (3%) |
|
|
|
Insomnia |
|
12 (22%) |
|
— |
|
|
|
Depression |
|
10 (19%) |
|
— |
|
|
|
Anxiety/anxiety aggravated |
|
8 (15%) |
|
1 (3%) |
|
|
|
Irritability |
|
5 (9%) |
|
1 (3%) |
|
|
|
Appetite decreased |
|
2 (4%) |
|
— |
|
|
|
Obsessive reaction |
|
2 (4%) |
|
— |
|
|
|
|
|
|||
|
CENTRAL & PERIPHERAL NERVOUS SYSTEM |
|
Akathisia |
|
10 (19%) |
|
— |
|
|
|
Balance difficulty |
|
5 (9%) |
|
— |
|
|
|
Parkinsonism/bradykinesia |
|
5 (9%) |
|
— |
|
|
|
Dizziness |
|
2 (4%) |
|
— |
|
|
|
Dysarthria |
|
2 (4%) |
|
— |
|
|
|
Gait unsteady |
|
2 (4%) |
|
— |
|
|
|
Headache |
|
2 (4%) |
|
1 (3%) |
|
|
|
|
|
|||
|
GASTROINTESTINAL SYSTEM DISORDERS |
|
Nausea |
|
7 (13%) |
|
2 (7%) |
|
|
|
Vomiting |
|
3 (6%) |
|
1 (3%) |
|
|
|
|
|
|||
|
BODY AS A WHOLE—GENERAL |
|
Fatigue |
|
12 (22%) |
|
4 (13%) |
|
|
|
Fall |
|
8 (15%) |
|
4 (13%) |
|
|
|
Laceration (head) |
|
3 (6%) |
|
— |
|
|
|
Ecchymosis |
|
3 (6%) |
|
— |
|
|
|
|
|
|||
|
RESPIRATORY SYSTEM DISORDERS |
|
Upper respiratory tract infection |
|
6 (11%) |
|
2 (7%) |
|
|
|
Shortness of breath |
|
2 (4%) |
|
— |
|
|
|
Bronchitis |
|
2 (4%) |
|
— |
|
|
|
|
|
|||
|
URINARY SYSTEM DISORDERS |
|
Dysuria |
|
2 (4%) |
|
— |
|
|
||||||
Source: Xenazine FDA-approved label (9/2012)
Although our reliance on the FDA’s prior findings of safety for tetrabenazine may require any approved labeling for SD-809 to include certain safety information from the tetrabenazine label, we also intend to submit safety data from our First-HD and ARC-HD clinical trials to the FDA. These data should allow for SD-809 labeling to include certain safety information that is different than the tetrabenazine label. However, since our First-HD Phase 3 clinical trial does not include a tetrabenazine arm, we will not be able to make direct comparative claims regarding the safety of SD-809 and tetrabenazine either in labeling or in our promotional materials for SD-809 from this trial.
We believe that many of the side effects are driven by tetrabenazine’s Cmax (the maximum concentration that a drug achieves in the tested area of the body after administration) and widely-fluctuating levels of its active metabolites. We believe, as a result of the short half-life of the active metabolites of tetrabenazine, the majority of patients treated with tetrabenazine are dosed three or more times daily. The FDA-approved label for tetrabenazine states that patients requiring greater than 50 mg/day should be genotyped for the drug-metabolizing enzyme, CYP2D6. CYP2D6 is a member of the cytochrome p450 super-family of enzymes that are involved in drug metabolism and determine what level of drug exposure patients may experience. Approximately 4,000 patients were on tetrabenazine therapy in the United States at the end of 2013. We believe this limited usage of tetrabenazine is primarily due to its dosing frequency as well as its poor tolerability and side effect profile.
6
In April 2011, we commissioned a survey of 60 neurologists and 29 psychiatrists who were asked to evaluate two hypothetical product profiles of SD-809, which included reduced interpatient variability, less frequent dosing and a reduction in adverse events of either 15% or 33%, compared to tetrabenazine. Neurologists or psychiatrists who were qualified were asked to complete the survey for up to two of (1) chorea associated with Huntington’s disease, (2) tardive dyskinesia and (3) tics associated with Tourette syndrome, with only neurologists having the option to respond for chorea associated with Huntington’s disease. The responses to the survey suggest that tetrabenazine is prescribed by the physicians surveyed to treat mild to severe symptoms of Huntington’s disease in 17% to 37% of patients. The survey further suggests that if the two hypothetical product profiles of SD-809 described above were available for prescription, tetrabenazine and hypothetical SD-809 would be used for the treatment of mild to severe symptoms of Huntington’s disease in 29% to 59% of patients, with 18% to 37% of patients being treated with hypothetical SD-809. For the treatment of mild to severe tardive dyskinesia, the survey suggests that tetrabenazine and hypothetical SD-809 would be used in 13% to 41% of patients, compared to 1% to 18% if tetrabenazine were the only treatment option. Similarly, for the treatment of mild to severe tics associated with Tourette syndrome, the survey suggests that tetrabenazine and hypothetical SD-809 would be used in 19% to 50% of patients, compared to 1% to 13% if tetrabenazine were the only treatment option. In addition, there was not a significant difference in the preference between the two hypothetical profiles of SD-809 surveyed, which may suggest that physicians are looking for a product with even a modest improvement in safety over the current standard of care. The survey suggests that SD-809 could have a target profile that is valued by physicians for the treatment of hyperkinetic movement disorders as most of the physicians surveyed indicated that they would prescribe SD-809, if approved, with either of the two hypothetical profiles described above, for the treatment of chorea associated with Huntington’s disease, tardive dyskinesia and tics associated with Tourette syndrome.
We believe that SD-809, based on its profile and the topline results of the clinical trials in patients with chorea associated with Huntington’s disease, may provide significant benefits for not only patients with chorea associated with Huntington’s disease but also potentially for patients with other hyperkinetic movement disorders, such as tardive dyskinesia and Tourette syndrome, which will need to be confirmed with additional clinical trials in patients with tardive dyskinesia and Tourette syndrome. An FDA-approved label with promotable indication statements for the treatment of tardive dyskinesia and Tourette syndrome may be an important commercial driver.
Rationale for SD-809 Development in Hyperkinetic Movement Disorders
Currently the only FDA-approved treatment for chorea associated with Huntington’s disease is tetrabenazine. We believe tetrabenazine is also used off-label by physicians to treat patients suffering from tardive dyskinesia and tics associated with Tourette syndrome, and this use may account for up to 50% of tetrabenazine usage in the United States based on our discussions with treating physicians. As depicted below, a 2007 retrospective chart review, conducted by physicians at the Baylor College of Medicine, reported that over 75% of patients treated with tetrabenazine had moderate to marked improvement for chorea associated with Huntington’s disease, tardive dyskinesia and tics associated with Tourette syndrome.
7
Efficacy response to tetrabenazine by last visit

Source: Kenney et al. Long-term tolerability of tetrabenazine in the treatment of hyperkinetic movement disorders. Mov. Disorders 22(2), 193-197(2007)
We believe that the SD-809 profile has the potential to change the treatment paradigm and expand the treatment of chorea associated with Huntington’s disease, tardive dyskinesia and Tourette syndrome. Our research and results from others in the field show that deuterium-containing compounds have target and receptor binding that is indistinguishable from their corresponding non-deuterium-containing compounds. Consistent with these observations, our research comparing binding of the active metabolites of SD-809 and tetrabenazine to VMAT2 also demonstrates indistinguishable binding of these compounds to the target. Since target binding is well established in pharmacology as the fundamental basis of a compound’s efficacy, we believe that the historical clinical literature for tetrabenazine’s efficacy is also supportive of SD-809’s potential efficacy in hyperkinetic movement disorders. The positive topline Phase 3 efficacy results of SD-809 for the treatment of chorea associated with Huntington’s disease, we believe, validates our approach for treating this debilitating disorder as well as potentially other movement disorders.
SD-809 for the treatment of chorea associated with Huntington’s disease. We have successfully completed our First-HD Phase 3 clinical trial of SD-809 for the treatment of chorea associated with Huntington’s disease. First-HD was a randomized double-blind, placebo-controlled parallel-group, 12-week clinical trial with the same primary endpoint (change in TMC score from baseline to maintenance therapy) and a similar patient population as the registration trial for tetrabenazine. The overall treatment period was 12 weeks in duration with a titration period that lasted eight weeks and a maintenance period that lasted four weeks, similar to the registration trial for tetrabenazine. After the 12-week treatment period, there was a one-week washout period. First-HD enrolled 90 patients with a 1:1 randomization scheme, as compared to the 84 patients randomized with a 2:1 randomization scheme in the tetrabenazine trial. In First-HD, SD-809 met its primary efficacy endpoint, the change from baseline to maintenance therapy on TMC score of the UHDRS, demonstrating a meaningful 2.5 point improvement (p<0.0001) or 21% improvement (p<0.0001) over placebo, as well as showing significant improvements in multiple secondary endpoints including PGIC, CGIC and quality of life compared to placebo. Importantly, the trial showed that SD-809 has a desirable safety and tolerability profile with low rates of adverse events, such as depression, somnolence, akathisia and anxiety.
SD-809 for the treatment of tardive dyskinesia and Tourette syndrome. Tetrabenazine has been evaluated by physicians for the treatment of tardive dyskinesia in more than 400 patients across multiple published studies. A review of 11 case reports, retrospective chart reviews and open-label studies from 1961-2007, in study populations of two to 149 patients with tardive dyskinesia, shows that, of the more than 400 patients included in the review, approximately 85% responded to treatment with tetrabenazine. One open-label, single-arm, randomized, investigator-sponsored study showed a 9.7 point reduction from a baseline of 17.9 in the commonly accepted endpoint of Abnormal Involuntary Movements Scale, or AIMS, score. On the basis of this clinical experience, several treatment algorithms published between 2009 and 2012 have reported that tetrabenazine is effective for the treatment of tardive dyskinesia. Tetrabenazine has also been evaluated by physicians for the treatment of tics associated with Tourette syndrome in more than 300 patients across multiple published studies. A review of ten publications from 1974-2008 in study populations of five to 120 patients with tics associated with Tourette syndrome shows that, of the more than 300 patients included in the review, approximately 75% responded to treatment with tetrabenazine. We believe that this historical physician experience with tetrabenazine has established the dose required for efficacy in tardive dyskinesia and Tourette syndrome. This will inform our dose selection for our clinical trials.
8
In addition, two placebo-controlled clinical trials with another VMAT2 inhibitor (NBI-98854) in patients with moderate to severe tardive dyskinesia suggest that this mechanism of action may have clinical activity. In one study, the mean reduction in AIMS from baseline to Week 6 was 33% in the NBI-98854 group, and 3% in the placebo group. The mean daily dose at the end of study was 64 mg in the active group. In a second study, the same primary endpoint was negative; when re-analyzed using blinded central video review of the AIMS, the difference from placebo was reported as statistically significant, with the re-analyzed reduction in the active arm as approximately 16% with a mean daily dose of 50 mg at the end of the study.
We believe that SD-809’s desirable efficacy, safety and tolerability profile, as well as simplified dosing regimen, reduced interpatient variability in drug metabolism, reduced drug interactions, reduced QT prolongation and a reduced need for CYP2D6 genotyping, could potentially expand the treatment of hyperkinetic movement disorders, if the FDA approves SD-809 for these indications.
Clinical Development of SD-809
We are developing SD-809 for the treatment of chorea associated with Huntington’s disease. Our clinical program has consisted of the following trials:
|
· |
First-HD, a randomized, double-blind, placebo-controlled, parallel-group Phase 3 clinical trial in patients not receiving tetrabenazine, which we expect will serve as the basis for our NDA submission and commercialization in this indication; and |
|
· |
ARC-HD, an open-label, long-term, safety clinical trial which has two components: ARC-HD Switch, in which subjects on tetrabenazine switch overnight to SD-809, and ARC-HD Rollover, in which patients who successfully complete First-HD may rollover. Subjects in ARC-HD Switch or ARC-HD Rollover may receive SD-809 for one year or longer. |
We have also completed several clinical trials in support of the development of SD-809. We submitted an investigational new drug application, or IND, for SD-809 to the FDA in 2011 to begin U.S. clinical development. The following key attributes of SD-809, when compared to tetrabenazine, have been demonstrated by our completed Phase 1 clinical trials:
|
|
|
|
|
Attribute |
|
Clinical trial |
|
Reduced interpatient variability |
|
Two-period crossover clinical trial |
|
Reduced drug interaction |
|
Drug interaction clinical trial* |
|
* |
Not a head-to-head comparison trial of SD-809 with tetrabenazine, but produced data that, when compared to available data on tetrabenazine, revealed the indicated attributes of SD-809. |
We have also completed a thorough QT study of SD-809 in healthy volunteers. This was an active- and placebo-controlled crossover trial to determine the effect of single doses of SD-809 on the QT interval. The thorough QT clinical trial demonstrated that at two different dose levels, SD-809 had no clinically significant effect on cardiac repolarization as assessed by the QT interval. A tetrabenazine arm was included for comparison and demonstrated an increase in QTc that is consistent with the effect reported in the FDA label for Xenazine. The clinical trial’s assay sensitivity was established by the observation of characteristic QTc prolongation following dosing with moxifloxacin.
We also have four ongoing clinical trials to support the further development of SD-809 for the treatment of tardive dyskinesia and Tourette syndrome:
|
· |
ARM-TD, an efficacy and safety dose-titration Phase 2/3 clinical trial in patients with drug-induced tardive dyskinesia; |
|
· |
AIM-TD, an efficacy and safety fixed-dose Phase 3 clinical trial in patients with drug-induced tardive dyskinesia, which if successful, will be combined with ARM-TD to serve as the basis of our NDA submission in tardive dyskinesia; |
|
· |
RIM-TD, an open-label, long-term, safety clinical trial in which patients who successfully complete ARM-TD and AIM-TD may rollover into this trial, where all the patients may receive SD-809 for up to one year; and |
|
· |
Phase 1b open-label efficacy, pharmacokinetic and safety clinical trial in patients with Tourette syndrome. |
9
Phase 3 clinical trials of SD-809 in Huntington’s disease: First-HD and ARC-HD
First-HD: Phase 3 placebo-controlled trial
We have completed our First-HD Phase 3 clinical trial of SD-809, which was a 1:1 randomized, double-blind, placebo-controlled, parallel-group trial designed to evaluate, and generate label information for, the safety, tolerability and efficacy of SD-809 for treating chorea associated with Huntington’s disease. Patients were treated with SD-809 or placebo starting at 6 mg once per day to up to 24 mg twice per day (48 mg total maximum daily dose). Key inclusion criteria for patients included having a TMC score of greater than or equal to eight at screening and baseline, as well as a total functional capacity of greater than or equal to five at screening. Key exclusion criteria included serious, untreated/undertreated psychiatric illness, or recent treatment with tetrabenazine. A total of 90 patients (45 in each group) with a mean baseline TMC score of 12.7 were enrolled for evaluation over 13 weeks: patients were titrated weekly to an optimal dose up to Week 8, were on maintenance therapy for four weeks, and were taken off study medication in the final week of the trial. A total of 87 patients completed the trial; one patient in the SD-809 group and two in the placebo group discontinued.
This trial was conducted at 34 enrolling centers in the United States and Canada in collaboration with the Huntington Study Group. The primary and secondary efficacy results and safety data from the First-HD and ARC-HD Switch clinical trials were confirmed by the Huntington Study Group’s independent analysis. Efficacy analyses included all patients randomized to treatment.
The primary efficacy endpoint for this trial was change in TMC score on the UHDRS from baseline to maintenance therapy, where final score is defined as the average of values from the Week 9 and Week 12 visits. The TMC score is a clinician-based, quantitative assessment of chorea in seven body regions: face, mouth/tongue, trunk, and the four extremities. Each region is rated from zero (no chorea) to four (severe chorea), with an overall score ranging from zero to a maximum of 28. The primary efficacy endpoint is the same endpoint that was accepted by the FDA when it considered and approved the NDA for tetrabenazine in 2008. SD-809 met the pre-specified primary efficacy endpoint. Patients taking SD-809 achieved a meaningful improvement of 2.5 points on the TMC score from baseline to maintenance therapy compared to placebo (p < 0.0001). In a pre-specified additional analysis of efficacy, this 2.5 point improvement in TMC represented a reduction of 21 percentage points over placebo (p<0.0001). The mean dose at Week 12 among patients treated with SD-809 was approximately 40 mg.
Another pre-specified motor endpoint, the total motor score, or TMS, of the UHDRS, was also analyzed, and is summarized in the table below. The TMS assesses all the motor features of Huntington’s disease and includes items other than chorea, such as gait and postural instability. The statistically significant improvement in the TMS score of 4.0 points over placebo suggests a potential benefit of SD-809 on other motor symptoms besides chorea.
|
|
|
|
|
|
|
|
|
|
|
|
|
Pre-specified motor endpoints |
|
SD-809 |
|
Placebo |
|
Treatment effect |
|
Favors |
|
P-value |
|
Change in TMC Score 1 from Baseline to Maintenance Therapy* |
|
4.4 Point |
|
1.9 Point |
|
Improvement of 2.5 Points over Placebo |
|
SD-809 |
|
p < 0.0001 |
|
Percent Change in TMC Score from Baseline to Maintenance Therapy |
|
37 Percentage Points |
|
16 Percentage Points |
|
Improvement of 21 |
|
SD-809 |
|
p < 0.0001 |
|
Change in TMS1 from Baseline to Maintenance Therapy |
|
7.4 Point |
|
3.4 Point |
|
Improvement of 4.0 Points over Placebo |
|
SD-809 |
|
p = 0.002 |
|
1 |
TMC and TMS are subscales of the Unified Huntington’s Disease Rating Scale |
|
* |
Primary efficacy endpoint |
The clinical relevance of the change in chorea was assessed by four pre-specified secondary endpoints. These four pre-specified secondary endpoints assessed the change from baseline to end-treatment and were tested in a hierarchical testing procedure: (1) treatment success based on PGIC; (2) treatment success based on CGIC; (3) the physical functioning scale of the SF-36; and (4) balance, as assessed by the Berg Balance Test, or BBT. Both PGIC and CGIC assess the change in the patient’s overall Huntington’s disease symptoms relative to baseline using a seven-point Likert scale, a measurement scale commonly used in clinical research where a patient provides answers to pre-specified questions with a limited number of response options. Responses ranged from “very much worse” to “very much improved.” Success was defined as “much improved” or “very much improved” on the Likert scale. Patients and clinicians were asked “With respect to your (or the subject’s) overall Huntington’s disease symptoms, how would you describe yourself compared to immediately before starting study medication.”
The physical functioning scale is a component of the SF-36 and is a validated patient-reported quality of life instrument that has been used in many disease states. The 10-item Physical Functioning Scale was chosen as a trial endpoint because it captures meaningful physical activities, such as lifting or carrying groceries, climbing one or more flights of stairs, bending, kneeling, walking 100 yards or more, moderate to vigorous activities and self-care such as bathing or dressing. The SF-36 physical functioning scale has been shown to measure impairment experienced by people living with Huntington’s disease. The BBT is a 14-item assessment of
10
balance and was used to evaluate if a change in balance was associated with a reduction in chorea since medications currently used to treat chorea may worsen balance. SD-809 did not worsen balance, and in fact the data numerically favored SD-809, although the improvement was not statistically significant. As summarized in the following table, the first three key secondary endpoints, including two patient-rated measures of benefit (PGIC and SF-36 physical functioning scale), showed statistically significant superiority of SD-809 over placebo.
|
|
|
|
|
|
|
|
|
|
|
Pre-specified key secondary endpoints1 |
|
Favors |
|
|
P-value |
|
||
|
1. Patient Global Impression of Change (PGIC)2 |
|
|
SD-809 |
|
|
|
p = 0.002 |
|
|
2. Clinical Global Impression of Change (CGIC)2 |
|
|
SD-809 |
|
|
|
p = 0.002 |
|
|
3. SF-36 Physical Functioning Scale (a Quality of Life measure) from Baseline to Week 12 |
|
|
SD-809 |
|
|
|
p = 0.03 |
|
|
4. Berg Balance Test |
|
|
SD-809 |
|
|
|
p = 0.14 |
|
|
1 |
Analyzed using a pre-specified hierarchical testing procedure |
|
2 |
Success defined as much improved or very much improved |
In general, SD-809 was well tolerated. The overall rates of adverse events were similar between SD-809 and placebo, and there were no differences between SD-809 and placebo in the rate of dose reduction (6.7% in each group) or dose suspension (2.2% in each group) for adverse events. Results from First-HD show a desirable safety and tolerability profile of SD-809 as indicated by the numbers of patients reporting adverse events in each system organ class.
|
|
|
|
|
|
|
|
|
|
|
System organ class |
|
SD-809 |
|
|
Placebo |
|
||
|
Psychiatric Disorders |
|
|
8 (17.8%) |
|
|
|
8 (17.8%) |
|
|
Nervous System Disorders |
|
|
8 (17.8%) |
|
|
|
10 (22.2%) |
|
|
All Other Body Systems |
|
|
|
|
|
|
|
|
|
Cardiac Disorders |
|
|
0 (0.0%) |
|
|
|
3 (6.7%) |
|
|
Ear & Labyrinth |
|
|
1 (2.2%) |
|
|
|
1 (2.2%) |
|
|
Eye Disorders |
|
|
1 (2.2%) |
|
|
|
1 (2.2%) |
|
|
General Disorders |
|
|
7 (15.6%) |
|
|
|
8 (17.8%) |
|
|
Gastrointestinal Disorders |
|
|
9 (20%) |
|
|
|
9 (20%) |
|
|
Hepatobiliary Disorders |
|
|
1 (2.2%) |
|
|
|
0 (0.0%) |
|
|
Infections and Infestations |
|
|
5 (11.1%) |
|
|
|
5 (11.1%) |
|
|
Injury, Poisoning and Procedural Complications |
|
|
4 (8.9%) |
|
|
|
6 (13.3%) |
|
|
Investigations1 |
|
|
6 (13.3%) |
|
|
|
3 (6.7%) |
|
|
Musculoskeletal and Connective Tissue Disorders |
|
|
2 (4.4%) |
|
|
|
3 (6.7%) |
|
|
Renal and Urinary Disorders |
|
|
2 (4.4%) |
|
|
|
1 (2.2%) |
|
|
Reproductive Systems and Breast Disorders |
|
|
1 (2.2%) |
|
|
|
0 (0.0%) |
|
|
Respiratory, Thoracic and Mediastinal Disorders |
|
|
1 (2.2%) |
|
|
|
3 (6.7%) |
|
|
Skin and Subcutaneous Tissue Disorders |
|
|
2 (4.4%) |
|
|
|
1 (2.2%) |
|
|
Vascular Disorders |
|
|
2 (4.4%) |
|
|
|
0 (0.0%) |
|
|
1 |
No differences greater than 2.2% between SD-809 and placebo for any single adverse event term with the system organ class of investigations. |
11
The numbers of patients reporting adverse events in the system organ classes of psychiatric, nervous system, gastrointestinal and other general disorders are listed below. These body systems are noteworthy because they include many of the symptoms of Huntington’s disease.
|
|
|
|
|
|
|
|
|
|
|
|
|
System organ class |
|
Adverse event term |
|
SD-809 n = 45 |
|
|
Placebo |
|
||
|
PSYCHIATRIC DISORDERS |
|
Insomnia |
|
|
3 (6.7%) |
|
|
|
2 (4.4%) |
|
|
|
|
Depression/Agitated Depression |
|
|
2 (4.4%) |
|
|
|
3 (6.7%) |
|
|
|
|
Abnormal Dreams |
|
|
1 (2.2%) |
|
|
|
1 (2.2%) |
|
|
|
|
Agitation |
|
|
1 (2.2%) |
|
|
|
0 (0.0%) |
|
|
|
|
Anxiety |
|
|
1 (2.2%) |
|
|
|
1 (2.2%) |
|
|
|
|
Suicidal Ideation |
|
|
1 (2.2%) |
|
|
|
0 (0.0%) |
|
|
|
|
Compulsions |
|
|
0 (0.0%) |
|
|
|
1 (2.2%) |
|
|
|
|
Impulsive Behavior |
|
|
0 (0.0%) |
|
|
|
1 (2.2%) |
|
|
|
|
Sleep Disorder |
|
|
0 (0.0%) |
|
|
|
3 (6.7%) |
|
|
|
|
|
|
|||||||
|
NERVOUS SYSTEM DISORDERS |
|
Somnolence |
|
|
5 (11.1%) |
|
|
|
2 (4.4%) |
|
|
|
|
Dizziness |
|
|
2 (4.4%) |
|
|
|
4 (8.9%) |
|
|
|
|
Akathisia/Restlessness |
|
|
1 (2.2%) |
|
|
|
1 (2.2%) |
|
|
|
|
Cognitive Disorder |
|
|
1 (2.2%) |
|
|
|
0 (0.0%) |
|
|
|
|
Drooling |
|
|
1 (2.2%) |
|
|
|
0 (0.0%) |
|
|
|
|
Dyskinesia |
|
|
1 (2.2%) |
|
|
|
0 (0.0%) |
|
|
|
|
Migraine |
|
|
1 (2.2%) |
|
|
|
0 (0.0%) |
|
|
|
|
Headache |
|
|
0 (0.0%) |
|
|
|
3 (6.7%) |
|
|
|
|
Loss of Consciousness |
|
|
0 (0.0%) |
|
|
|
1 (2.2%) |
|
|
|
|
Syncope |
|
|
0 (0.0%) |
|
|
|
1 (2.2%) |
|
|
|
|
|
|
|||||||
|
GENERAL DISORDERS |
|
Irritability |
|
|
3 (6.7%) |
|
|
|
6 (13.3%) |
|
|
|
|
Fatigue |
|
|
3 (6.7%) |
|
|
|
2 (4.4%) |
|
|
|
|
Gait disturbance |
|
|
1 (2.2%) |
|
|
|
0 (0.0%) |
|
|
|
|
Chest pain |
|
|
1 (2.2%) |
|
|
|
0 (0.0%) |
|
|
|
|
Hangover |
|
|
1 (2.2%) |
|
|
|
0 (0.0%) |
|
|
|
|
|
|
|||||||
|
GASTRO- INTESTINAL DISORDERS |
|
Diarrhea |
|
|
4 (8.9%) |
|
|
|
0 (0.0%) |
|
|
|
|
Dry mouth |
|
|
4 (8.9%) |
|
|
|
3 (6.7%) |
|
|
|
|
Constipation |
|
|
2 (4.4%) |
|
|
|
1 (2.2%) |
|
|
|
|
Nausea |
|
|
1 (2.2%) |
|
|
|
2 (4.4%) |
|
|
|
|
Abdominal pain upper |
|
|
1 (2.2%) |
|
|
|
0 (0.0%) |
|
|
|
|
Dyspepsia |
|
|
1 (2.2%) |
|
|
|
0 (0.0%) |
|
|
|
|
Frequent bowel movements |
|
|
1 (2.2%) |
|
|
|
0 (0.0%) |
|
|
|
|
Gastrointestinal pain |
|
|
1 (2.2%) |
|
|
|
0 (0.0%) |
|
|
|
|
Vomiting |
|
|
0 (0.0%) |
|
|
|
3 (6.7%) |
|
|
|
|
Dysphagia |
|
|
0 (0.0%) |
|
|
|
1 (2.2%) |
|
|
|
|
Flatulence |
|
|
0 (0.0%) |
|
|
|
1 (2.2%) |
|
|
|
|
Salivary hypersecretion |
|
|
0 (0.0%) |
|
|
|
1 (2.2%) |
|
There was one patient with two serious adverse events (cholecystitis and agitated depression) in the SD-809 group, and one patient with one serious adverse event (exacerbation of chronic obstructive pulmonary disease, or COPD) in the placebo group. The same patient experiencing the serious adverse events in the SD-809 group also reported suicidal ideation, which was not considered a serious adverse event.
Over 90% of patients who completed the First-HD trial rolled over into ARC-HD, the long-term safety trial of SD-809.
12
ARC-HD: Open-label switch and long-term safety clinical trial
In parallel with First-HD, we are also conducting our ARC-HD clinical trial of SD-809. One component of ARC-HD, referred to as ARC-HD Switch, was an open-label clinical trial with a four-week “switch” component in 37 patients with chorea associated with Huntington’s disease adequately controlled with tetrabenazine. The objectives of ARC-HD Switch were to evaluate the safety of switching subjects on tetrabenazine overnight to SD-809 and to provide guidance to physicians on how to switch such patients to SD-809. We completed the four-week Switch portion of the ARC-HD trial, which has an ongoing long-term safety component. Subjects were required to be on stable doses of tetrabenazine, and to have experienced a therapeutic benefit from this treatment. Although designed primarily as a safety trial, maintenance of chorea control was assessed after switching patients overnight from tetrabenazine to SD-809 (at approximately half the dose of tetrabenazine). The endpoints of ARC-HD Switch were the incidence of adverse events, the observed values and changes in clinical safety parameters and the observed values and changes in TMC values for patients when switched from tetrabenazine (baseline) to SD-809. Total daily dose level at baseline (tetrabenazine) and subsequent visits (SD-809) was summarized using descriptive statistics. Participating patients are eligible to receive open-label SD-809 treatment for one year or longer in a long-term safety trial. ARC-HD Switch was conducted at 13 enrolling centers in the United States, Canada and Australia.
All available data through eight weeks following the switch were included in the analysis. At the time of the analysis in December 2014, data were available from 36 patients at Week 1, 35 patients at Week 4 and 21 patients at Week 8. The mean dose of tetrabenazine at baseline was 41 mg. The mean dose of SD-809 was approximately 20 mg at Week 1, approximately 29 mg at Week 4, and approximately 33 mg at Week 8.
After switching from tetrabenazine to SD-809, chorea was assessed at one and four weeks. Dose adjustments were permitted after Week 1. As indicated in the figure below, the mean TMC score decreased by approximately one point from baseline at Week 1 and Week 4.

|
· |
Week 1 change for 36 patients was -0.8 ± 0.4 (mean ± standard error) |
|
· |
Week 4 change for 35 patients was -0.8 ± 0.5 |
In addition, data from 21 patients were available at Week 8 at the time of the analysis; these data demonstrated an improvement of 1.9 ( ± 0.8) points on the TMC score. The improvement from baseline at Week 8 reached statistical significance. We plan to analyze any improvement in TMC score from baseline at Week 8 when the data from all 37 patients are available. It is possible that such data may not be statistically significant. Data for the remaining 16 patients will be available at a future date.
The safety and tolerability experience observed in ARC-HD Switch over the four-week period was consistent with the experience observed in First-HD. The most commonly reported adverse events in ARC-HD Switch patients were somnolence, fall, and nasopharyngitis. In ARC-HD Switch, one patient was hospitalized for pneumonia and another patient was hospitalized overnight for dehydration. Neither of these adverse events was considered related to study medication and both of these events resolved.
13
Patients from First-HD and ARC-HD Switch rolled over into an open-label, long-term, safety clinical trial, which is the second component of ARC-HD, referred to as ARC-HD Rollover. In ARC-HD Rollover, subjects will return to the clinic at scheduled intervals for evaluation of safety and chorea control. Over 90% of patients who completed the First-HD and ARC-HD Switch trials rolled over into the ARC-HD Rollover long-term safety trial. This trial is not a placebo controlled trial. In ARC-HD Rollover, one patient was briefly hospitalized as a precaution for worsening anxiety, depression and suicidal ideation, events considered possibly related to study medication. Another subject developed depression and suicidal ideation, events considered possibly related to study medication. A third subject was briefly hospitalized for dehydration and confusion, events considered not related to study medication. All of these adverse events resolved.
In ARC-HD Rollover, further adjustments of SD-809 dosing may be made, if necessary, but not more than weekly, and in 6 mg daily increments. Four weeks after the last dose of the study drug, patients will be followed up with by phone to evaluate adverse events and concomitant medication usage. The portion of the ARC-HD trial that we believe is needed for submission of the NDA is complete, but the long-term safety trial will remain ongoing.
Summary of data from relevant phase 1 clinical trials of SD-809
Differentiated pharmacokinetic profile
In our Phase 1 single-center, double-blind, randomized, two-period crossover clinical trial, 21 healthy subjects received a single dose of 25 mg of SD-809 or tetrabenazine, and following washout, crossed over to receive the other treatment. The objective of the clinical trial was to compare the pharmacokinetics of SD-809 and tetrabenazine and their respective metabolites and to evaluate the safety and tolerability of a single dose of SD-809. This clinical trial showed that a 25 mg single dose of SD-809 nearly doubled the half-life of the active metabolites (alpha + beta) compared to a 25 mg single dose of tetrabenazine, resulting in more than doubling of the systemic exposure as measured by AUC (area under the drug plasma concentration vs. time curve, a measure of drug exposure). Alpha refers to all stereoisomers and isotopologs of alpha-dihydroxytetrabenazine and beta refers to all stereoisomers and isotopologs of beta-dihydroxytetrabenazine. The Cmax was only slightly higher for SD-809 compared to tetrabenazine, despite the doubling of the systemic exposure.
Pharmacokinetic parameters of total alpha + beta (n=19) comparing 25 mg SD-809 and
25 mg of tetrabenazine

These data suggest that similar exposure can be achieved with SD-809 at approximately half the dose of tetrabenazine and, at the same time, allow Cmax to be reduced by approximately half.
14
We also conducted a Phase 1 single-center, open-label, five-period, crossover formulation selection clinical trial. The SD-809 active pharmaceutical ingredient was formulated with two different candidate formulations. One of the objectives of the clinical trial was to evaluate and compare the two candidate formulations and to help select a final commercial SD-809 drug product. Each of the 24 healthy subjects received single doses of 25 mg (fasted; per the FDA approval label, it can be administered without regard to meals) of tetrabenazine and 15 mg (fasted or fed) of two clinical formulations of SD-809. Eligible subjects were randomly assigned to a treatment sequence with five periods. The objective of the clinical trial was to evaluate and compare the safety and pharmacokinetics of two candidate formulations of SD-809 relative to tetrabenazine and to evaluate the effect of food (consisting of a high-fat meal) on the bioavailability of candidate formulations of SD-809. In this trial, 15 mg of SD-809 provided similar systemic exposure to active metabolites as 25 mg of tetrabenazine, while substantially reducing Cmax. When SD-809 was given in the fasted state, comparable AUC was achieved as in the fed state (within 15%). The results of this clinical trial, comparing the formulation of SD-809 advanced in the clinic and tetrabenazine (fasted), are shown in the graph below.

Reduced interpatient variability
In the same two-period crossover clinical trial described above, the subjects administered 25 mg of SD-809 demonstrated reduced interpatient variability in drug exposure compared to the same subjects administered 25 mg of tetrabenazine. Specifically, the variability between subjects of the ratio of the ODM to total alpha + beta, a measure of drug metabolism, was reduced significantly for SD-809 compared to tetrabenazine in the same subjects. Each point in the graph below represents an individual subject. All of the subjects in this group were intermediate or extensive metabolizers.
Ratio of ODM to total alpha + beta after 25 mg of SD-809 or tetrabenazine (N=14)

In contrast to the widely distributed values for the ratio of ODM to total alpha + beta in subjects administered tetrabenazine, the same subjects administered SD-809 displayed more uniform drug metabolism with little variability in such ratio. The ratios for SD-809 are less than one, indicating that in each individual, total alpha + beta exceeds the downstream metabolites, whereas with tetrabenazine, total ODM exposures are all generally greater than the total alpha + beta.
15
Reduced drug interaction
By analyzing exposure and pharmacokinetic data from our clinical trials conducted with SD-809 and tetrabenazine, we were able to establish a dose conversion algorithm to allow us to determine the starting dose of SD-809 appropriate for patients switched from tetrabenazine to SD-809. We determined that the AUC-equivalent dose of SD-809 is approximately half of the daily dose of tetrabenazine (48 mg/day of SD-809 is AUC-equivalent to 100 mg/day of tetrabenazine).
The FDA-approved label for Xenazine states that the daily dose should not exceed 50 mg/day (50% of its maximal dose) in patients taking strong CYP2D6 inhibitors. In contrast, for patients enrolled in our ongoing First-HD clinical trial, the FDA agreed that the total daily dose of SD-809 should not exceed 36 mg/day (75% of its maximal dose) in patients taking strong CYP2D6 inhibitors.
Comparison of maximal dose without restrictions

SD-809 demonstrated the potential for reduced drug interactions and metabolic variability in a Phase 1, single-center, open-label, sequential drug interaction clinical trial. As is typical in drug interaction trials, the objective of the clinical trial was to evaluate the effect of potent CYP2D6 inhibition on the pharmacokinetics of the study drug (in this case a single dose of SD-809). We also evaluated the safety of a single dose of SD-809 in this clinical trial. Twenty-four healthy subjects received a single 22.5 mg dose of SD-809 on Day 1, followed by 20 mg of paroxetine, a potent CYP2D6 inhibitor, on days 4 through 12. On Day 11, 22.5 mg of SD-809 was administered on top of the 20 mg of paroxetine. Pharmacokinetic sampling occurred over 72 hours after each SD-809 treatment.
SD-809 metabolism was less influenced by CYP2D6 inhibition compared to tetrabenazine as described on the Xenazine label. The impact on exposure, measured by AUC of total alpha + beta was three-fold for SD-809 versus five-fold for tetrabenazine, according to the NDA submission materials for tetrabenazine.
SD-809 was well-tolerated with only three subjects reporting one or more treatment-emergent adverse events for either SD-809 alone or SD-809 in combination with paroxetine. Subjects administered SD-809 with paroxetine did not experience any new adverse events that were not observed with SD-809 or paroxetine dosing alone and the rate of adverse events did not increase compared to the SD-809-only or paroxetine-only arms.
Linear dose proportionality
We also conducted a Phase 1 single-center, randomized, open-label, five-way crossover bioavailability clinical trial to evaluate the statistical bioequivalence of various dose levels of SD-809 when administered with a standard meal and evaluate the effect of a high-fat meal on the relative bioavailability of the highest dose strength. Thirty-two subjects received a single dose of 6, 12, 18 or 24 mg of SD-809 after a standard meal, as well as a single dose of 18 mg of SD-809 after a high-fat, high-calorie meal. Pharmacokinetic samples were taken over a 72-hour period following each dose. Statistical bioequivalence for exposure to total alpha + beta over the dose range of 6 to 24 mg of SD-809 was achieved. The pharmacokinetic parameters after a single 18 mg dose of SD-809 after a standard or a high-fat meal were also bioequivalent.
All dosing levels up to 24 mg of SD-809 were generally well-tolerated with similar rates of adverse events (15% at 6 mg to 19% at 24 mg) and there were no dose-dependent increases in adverse events.
16
Safety observations and metabolic profiling in completed Phase 1 trials
Across all Phase 1 clinical trials, approximately 180 subjects have received single doses of SD-809, ranging from 7.5 to 25 mg, and 24 subjects have received repeated doses of SD-809 for up to five days at 22.5 mg BID. In these trials, no serious adverse events were reported with SD-809 treatment, and all reported adverse events were mild to moderate in intensity. Commonly reported adverse events included headache, somnolence, nausea and dizziness. Multiple dose administration of the drug was associated with a greater incidence of adverse events than with single dose administration. Following exposure to nine days of repeated doses of tetrabenazine and SD-809, adverse events of restlessness, agitation and depressed mood were reported. No significant changes in laboratory parameters, vital signs or ECGs were noted. In addition, triplicate ECG assessments following single doses of SD-809 up to 22.5 mg revealed only small changes in the corrected QT interval.
QT prolongation (the lengthening of time in the heart’s electrical cycle) can lead to life-threatening cardiac arrhythmias, with the risk increasing as the degree of prolongation increases. FDA guidance provides that a “negative ‘thorough QT/QTc study’ is one in which the upper bound of the 95% one-sided confidence interval for the largest time-matched mean effect of the drug on the QTc interval excludes 10 msecs. This definition is chosen to provide reasonable assurance that the mean effect of the study drug on the QT/QTc interval is not greater than around 5 msecs.”
QT prolongation is a known effect of tetrabenazine according to its FDA product label. According to the Xenazine FDA label: “QTc Prolongation: The effect of a single 25 or 50 mg dose of tetrabenazine on the QT interval was studied in a randomized, double-blind, placebo controlled crossover study in healthy male and female subjects with moxifloxacin as a positive control. At 50 mg, tetrabenazine caused an approximately 8 msec mean increase in QTc (90% CI: 5.0, 10.4 msec).”
Although not required by the FDA, we recently completed a Phase 1 thorough QT trial in 48 healthy volunteer subjects. This was a single-center, randomized, double-blind, placebo- and positive-controlled six-period crossover study to evaluate the effects of two doses of SD-809 (12mg and 24mg) on cardiac repolarization, based on placebo-corrected, time-matched changes from baseline in the QTcF interval. In addition, the effects of tetrabenazine on cardiac repolarization (also based on placebo-corrected, time-matched changes from baseline in the QTc interval) were evaluated in this study.
The key outcome measure in this active- and placebo-controlled crossover study was to determine the effect of single doses of SD-809 on the QTc interval. Assay sensitivity was established with a moxifloxacin arm, and a tetrabenazine arm was also included for comparison. A 50 mg dose of tetrabenazine was selected because it was the maximal dose employed in the thorough QT study for Xenazine that led to the warning and precaution in its product labeling. A 24 mg dose of SD-809 was selected because it provides comparable systemic exposure (AUC) to 50 mg of tetrabenazine, but with a lower Cmax. For SD-809, a 12 mg dose led to a maximal increase in the QTc of approximately 0.8 msec and a 24 mg dose led to maximal increase in the QTc of approximately 2.6 msec. The placebo-corrected time-matched maximal increases in QTc for the 12 and 24 mg doses of SD-809 were 2.8 msec (90% two-sided confidence interval: 0.7 to 4.8) and 4.5 msec (90% two-sided confidence interval: 2.4 to 6.5), respectively. A 50 mg dose of tetrabenazine led to a maximal increase in QTc of approximately 7.2 msec, with a placebo-corrected time-matched maximal increase in QTc of 7.6 msec (90% two-sided confidence interval: 5.6 to 9.5).
The clinical trial demonstrated that at two dose levels, SD-809 had no clinically significant effect on cardiac repolarization as assessed by the QT interval. The tetrabenazine arm included for comparison demonstrated an increase in QTc that is consistent with the effect reported in the FDA label for Xenazine. The clinical trial’s assay sensitivity was established by the observation of characteristic QTc prolongation following dosing with moxifloxacin.
According to the International Conference on Harmonisation of Technical Requirements for Registration of Pharmaceuticals for Human Use, or ICH, guidance on the relevance of QT/QTc prolongation, drugs that prolong the mean QT/QTc interval by around 5 msec or less do not appear to cause torsades de pointes, a type of cardiac arrhythmia. Whether this signifies that no increased risk of cardiac arrhythmia exists for these compounds or simply that the increased risk has been too small to detect is not clear. The data on drugs that prolong the mean QT/QTc interval by more than around 5 msec and less than 20 msec are inconclusive, but some of these compounds have been associated with proarrhythmic risk. Drugs that prolong the mean QT/QTc interval by more than 20 msec have a substantially increased likelihood of being proarrhythmic, and might have clinical arrhythmic events captured during drug development. The threshold level of regulatory concern is around 5 msec, as evidenced by an upper bound of the 95% confidence interval around the mean effect on QTc of 10 msec. Note that the upper limit of the 95% one-sided confidence interval is equivalent to the upper limit of the 90% two-sided confidence interval.
17
This ICH guidance and the results of the thorough QT study are summarized in the figure below:

We plan to include the data from our thorough QT clinical trial in our NDA for SD-809 for the treatment of chorea associated with Huntington’s disease.
As one of the Phase 1 clinical trials required by the FDA to enable a Section 505(b)(2) NDA, we completed a single-center, open-label, two-period mass balance and metabolic profiling clinical trial. The objective of the clinical trial was to compare mass balance recoveries and the routes and rates of excretion of the metabolites following administration of single radio-labeled doses of SD-809 and tetrabenazine. The 12 healthy volunteers were divided into two groups, with one group receiving single doses of 25 mg of radio-labeled SD-809 and the other group receiving single doses of 25 mg of radio-labeled tetrabenazine. Pharmacokinetic sampling was taken periodically over 216 hours and urine was also collected through the same time period.
The mass balance recovery of radioactivity after equal doses of SD-809 and tetrabenazine was extensive and similar (92% vs. 91%). The metabolite profile of SD-809 and tetrabenazine reflected the expected effects of deuterium substitution, with subjects treated with SD-809 exhibiting increased exposure to active metabolites (alpha + beta) and no novel major metabolites of SD-809 detected. Each major metabolite of SD-809 was present as a metabolite of tetrabenazine and has been described or referenced in the tetrabenazine NDA.
Ongoing clinical development of SD-809 in additional indications
ARM-TD: Phase 2/3 efficacy dose-titration clinical trial for treatment of tardive dyskinesia
In January 2015, we completed target enrollment of ARM-TD, a Phase 2/3 clinical trial of SD-809 for the treatment of drug-induced tardive dyskinesia for which we completed a pre-IND meeting with the FDA and submitted an IND in the first quarter of 2014. ARM-TD included a target enrollment of approximately 90 subjects, who were randomized 1:1 to SD-809 or placebo. Patients are titrated to their optimal dosage and be treated for a total of 12 weeks with a titration period that lasts six weeks and a maintenance period that lasts for six weeks. The primary efficacy endpoint will be change in AIMS from baseline to end therapy, which will be assessed by centralized video rating. The safety endpoints include adverse events, vital signs, physical/neurological/laboratory examinations and ECGs. We are also offering long-term safety follow-up for the eligible subjects who complete the ARM-TD clinical trial. Based on our recent FDA meeting, we believe that the ARM-TD clinical trial of SD-809 in patients with tardive dyskinesia may qualify as one of the two pivotal trials needed for a 505(b)(2) NDA filing, subject to FDA review. We expect the topline data from this clinical trial to be available in mid-2015. ARM-TD was enrolled at approximately 40 sites in the United States and Europe.
18
AIM-TD: Phase 3 efficacy fixed-dose clinical trial for treatment of tardive dyskinesia
We have also initiated our second clinical trial of SD-809, AIM-TD, in patients with moderate to severe tardive dyskinesia in October 2014. We expect topline data from this trial in 2016, and contingent upon successful completion of both the ARM-TD and AIM-TD studies, plan to submit an NDA for SD-809 in patients with tardive dyskinesia in 2016 with FDA action expected in 2017. AIM-TD is a Phase 3 randomized, double-blind, placebo-controlled, parallel group trial in patients with moderate to severe drug-induced tardive dyskinesia. We believe it may serve as the second of two pivotal trials to support a labeled indication in tardive dyskinesia. The AIM-TD clinical trial will involve approximately 200 subjects, who will be randomized 1:1:1:1 to three fixed doses of SD-809 (12 mg, 24 mg, or 36 mg total daily dose) or placebo for 12 weeks of treatment. The trial includes a four week titration period during which subjects are dose-escalated to their randomized, fixed dose, followed by an eight week maintenance period during which subjects are maintained at that dose. With the exception of fixed dosing in this trial, the design of the AIM-TD clinical trial is similar to that of the ARM-TD trial. As with the ARM-TD trial, the primary efficacy endpoint will be change in AIMS from baseline to Week 12, which will be assessed by blinded centralized video rating. The key secondary efficacy endpoint will be the proportion of subjects who are a treatment success at Week 12, based on the CGIC. The safety endpoints will include adverse events, vital signs, physical/neurological/laboratory examinations and ECGs. We also intend to offer up to one year of open label SD-809 for eligible subjects who successfully complete randomized treatment in the AIM-TD clinical trial. AIM-TD is being conducted at approximately 60 to 80 sites in the United States and Europe.
Phase 1b clinical trial in Tourette syndrome
We have initiated an open-label preliminary efficacy, pharmacokinetic and safety clinical trial of SD-809 in approximately 20 adolescent patients with tics associated with Tourette syndrome. This clinical trial is being conducted under our current IND. In this clinical trial, subjects will receive treatment for a total of eight weeks. The drug will be titrated to each subject’s optimal dosage over the first six weeks, followed by a two-week maintenance period. The efficacy measures in this clinical trial will be a change in the total tic score of Yale Global Tic Severity Scale and the Clinical Global Impression. We also plan to evaluate preliminary efficacy and safety, in addition to studying the pharmacokinetics of SD-809 in adolescents of SD-809. These additional data are expected to further support the dosing assumptions and design elements of a randomized, controlled trial in this patient population and accelerate the development of SD-809 in this indication. We anticipate topline data from this clinical trial to be available by mid-2015. We will decide how to pursue further development and regulatory approval for this indication based on the results of this exploratory clinical trial.
Regulatory strategy for SD-809
We are pursuing a Section 505(b)(2) NDA regulatory strategy, which we expect will allow us to rely in our NDA filing on certain nonclinical and clinical safety findings made by FDA in its approval of the tetrabenazine NDA. Based on our interactions with the FDA, we believe that with the successful completion of First-HD, we will have completed the necessary preclinical studies and clinical trials to submit an NDA under Section 505(b)(2) for SD-809 for the treatment of chorea associated with Huntington’s disease. In addition to the results of First-HD, we anticipate that the NDA submission will include the results of ARC-HD Switch, which, if successful, would allow us to provide guidance in our labeling on how to switch patients who are currently on tetrabenazine to SD-809. We also anticipate submitting the available results of ARC-HD Rollover at the time of the NDA filing with the FDA. By pursuing the Section 505(b)(2) regulatory pathway for SD-809, our reliance on the FDA’s prior findings of safety from tetrabenazine may require any approved labeling for SD-809 to include, in addition to safety information from our clinical trials, certain safety information that is included in the tetrabenazine label, including warnings and precautions and other safety information. Moreover, since our ongoing ARC-HD long term safety clinical trial is not studying SD-809 in a head-to-head comparison with tetrabenazine, if SD-809 is approved by the FDA, we will not be able to make direct comparative claims regarding the safety and efficacy of SD-809 and tetrabenazine either in labeling or in our promotional materials for SD-809 from this trial. We anticipate submitting our Section 505(b)(2) NDA for SD-809 for the treatment of chorea associated with Huntington’s disease and, if approved, expect to launch commercial sales in 2016.
In November 2014, we received orphan drug designation from the FDA for SD-809 for the treatment of Huntington’s disease and in January 2015, we received orphan drug designation from the FDA for SD-809 for the treatment of Tourette syndrome in the pediatric population (defined as zero through 16 years of age).
19
Sales and marketing
If we are successful in obtaining regulatory approval for the commercialization of SD-809 for treatment of chorea associated with Huntington’s disease, we expect SD-809 would be the only product other than tetrabenazine on the market in the United States approved for this indication. We believe that SD-809 could, over time, capture a significant share of the existing tetrabenazine prescription market and expand the market by treating patients who are currently untreated or under-treated because they cannot tolerate or are at greater risk of side effects from tetrabenazine. We believe that it will be possible for us to commercialize SD-809 for this indication with an initial commercial infrastructure including a small number of sales representatives that call on a focused group of movement disorder neurologists and a select segment of community-based neurologists who manage patients with Huntington’s disease. Due to the specialized nature of managing the symptoms of Huntington’s disease there are a limited number of treating physicians, which we believe will enable us to target potential SD-809 prescribers with a small sales force. We expect our commercial organization to launch SD-809, including sales representatives, will initially be approximately 50 employees. We expect approximately an additional 20 employees initially to provide support activities for commercialization of SD-809. We may adjust these numbers in the future as we further refine our commercial plan and based on strategic and business considerations. In the United States, we estimate that approximately 500 movement disorder neurologists are responsible for prescribing about half of all tetrabenazine prescriptions, with the next 500 prescribers accounting for 25% of prescriptions, and the last 1,500-2,000 prescribers accounting for the last 25% of prescriptions, based on extrapolation from IMS Health Institute data. The Huntington Study Group is a network of hundreds of clinical investigators, coordinators and scientists who provide comprehensive care to Huntington’s disease patients and families and carry out multi-center clinical research. We have partnered with the Huntington Study Group for our ongoing clinical trials of SD-809 in Huntington’s disease. Key opinion leaders from academic movement disorder centers drive the standard of care in this indication; many of these individuals have or will have experience with SD-809 through participation in our clinical trials.
While we plan to focus our initial commercialization efforts on physicians who are responsible for Huntington’s disease patients, this sales and marketing infrastructure would serve as the foundation for an expanded focus on physicians who are responsible for tardive dyskinesia and Tourette syndrome patients, subject to marketing approval in these patient populations. Having multiple indications for the same product that can be promoted to an overlapping physician audience would allow us to leverage our commercial infrastructure with these prescribers. In the event SD-809 is approved for the treatment of tardive dyskinesia or Tourette syndrome, we anticipate adding additional sales representatives who will market to psychiatrists and neurologists.
In the United States, tetrabenazine is currently distributed through only three specialty pharmacies. Physicians must fill out a treatment form provided by the manufacturer in order to prescribe the drug, and the drug is shipped directly to patients from one of these three specialty pharmacies. In addition, there are a REMS program and other support services associated with the distribution of tetrabenazine, which are administered through this specialty distribution system. Xenazine is expected to lose market exclusivity related to its orphan drug status for the treatment of chorea associated with Huntington’s disease in August 2015. While a generic version of Xenazine may become available in the future as a result of this loss of market exclusivity, we believe that Xenazine’s restricted distribution through these three specialty pharmacies, along with the associated support services and the REMS, provide a barrier to the entry of generic drugs. For example, there are over 200 branded drugs that are distributed through specialty pharmacies. Of these, approximately 20 to 30 drugs have a generic alternative to the branded drug. Based on available pricing data on 21 such branded drugs sold exclusively through specialty pharmacies, we found that introduction of generic drugs resulted in an average price reduction of less than 20%. There was a median of three generic drugs available with respect to each of these branded drugs. We believe that pricing for SD-809 will ultimately be determined by a variety of factors, including the nature of the drug label approved by the FDA, safety, tolerability and efficacy profile, distribution system and a host of other factors.
Other programs
We have additional deuterium-containing product candidates in various stages of development that cover a range of disease areas. These programs include SD-560, a deuterium-containing form of pirfenidone, which is currently being evaluated in Phase 1 clinical trials, SD-1077, a deuterium-containing form of levodopa, which we plan to evaluate in Phase 1 proof of concept clinical trials and SD-254, a deuterium-containing form of venlafaxine, which has completed two Phase 1 clinical trials. These and other compounds in our portfolio demonstrate attractive profiles relative to the corresponding non-deuterium-containing compounds, which may enable greater efficacy, reduced dosing frequency and interpatient variability and improved safety and tolerability.
SD-560 is a deuterium-containing pirfenidone for the treatment of idiopathic pulmonary fibrosis and other fibrotic conditions, which we have tested in vitro and in animal models to date. We are conducting a single-center, double-blind, randomized, two-period crossover clinical trial in healthy volunteers with equal doses of SD-560 or pirfenidone. The objectives of the clinical trial are to compare the pharmacokinetics of SD-560 and pirfenidone and their respective metabolites and to evaluate the safety and tolerability of SD-560 and inform further development activities. We expect the data from this clinical trial to be available by mid-2015. We are pursuing an orphan drug designation for the use of SD-560 in the treatment of idiopathic pulmonary fibrosis in the United States.
20
SD-1077, a selective deuterium-containing form of levodopa, which is an investigational new drug for the potential treatment of Parkinson’s disease, has been shown in preclinical rodent models to improve the half-life of dopamine in the brain resulting in a prolonged treatment effect in these animals, suggesting that SD-1077 may have the potential to prolong the anti-parkinsonian effect in patients. These properties of SD-1077 may enable less frequent dosing, a reduction in the daily dose of levodopa and a reduction in the development of levodopa-induced dyskinesias and other motor complications of Parkinson’s disease. SD-1077 has potential to be administered via multiple formulations and/or delivery methods, including orally, inhaled, subcutaneously, and as a pump, among others. We are advancing SD-1077 through preclinical studies in preparation for initiation of clinical development in 2015. These and other compounds in our portfolio could be advanced or partnered in the future based on strategic considerations and availability of resources.
Manufacturing
We do not own or operate manufacturing facilities for the production of SD-809 or any of our other product candidates, nor do we have plans to develop our own manufacturing operations for clinical materials or commercial products in the foreseeable future. We currently depend on third-party contract manufacturing organizations, or CMOs, for all of our required raw materials, drug substance and drug product for our preclinical research and clinical trials.
We currently rely on single suppliers for raw materials, including drug substance, and single manufacturers for production of our investigational drug product and expect to rely on third-party suppliers and manufacturers for the commercial supply of any approved products. We currently employ internal resources and third-party consultants as needed to manage our CMOs. These CMOs offer a comprehensive range of contract manufacturing and packaging services and have successfully handled the scale up of AUSTEDO in preparation for commercialization.
Competition
Our industry is highly competitive and subject to rapid technological changes. Our potential competitors include large pharmaceutical and biotechnology companies, specialty pharmaceutical and generic drug companies, academic institutions, government agencies and research institutions. Many of our potential competitors have substantially greater financial, technical, commercial and human resources than we do and significantly more experience in the discovery, development and regulatory approval of product candidates and the commercialization of those products. We believe that the key competitive factors that will affect the development and commercial success of SD-809 and the other product candidates that we may develop are their efficacy, safety and tolerability profile, convenience in dosing, product labeling, value and price, in addition to whether there are alternative therapies approved for other indications and prescribed for off-label use and the availability of reimbursement from the government and other third parties. Our commercial opportunity could be reduced if our competitors have products which are better in one or more of these categories.
We expect that, if approved, SD-809 would compete with a number of existing products and other product candidates that target hyperkinetic movement disorders, including certain products that are or may become generic products. Additionally, the development of new treatment methods for the diseases we are targeting could render our product candidates non-competitive or obsolete.
Huntington’s disease. We anticipate that, if approved, SD-809 will compete primarily against Xenazine and, potentially in the future, generic tetrabenazine, for the treatment of chorea associated with Huntington’s disease. There are several product candidates in clinical development for the treatment of Huntington’s disease. These include Huntexil (prodipidine) and Nerventra (laquinimod), which are being developed by Teva Pharmaceutical Industries; PBT2, which is being developed by Prana Biotechnology Ltd.; SEN0014196 (selisistat), which is being developed by Siena Biotech S.p.A.; PROCYSBI (cysteamine), which is approved for the treatment of nephropathic cystinosis and is being developed for Huntington’s disease by Raptor Pharmaceuticals, Inc.; OMS824, which is being developed by Omeros Corporation; PF-2545920, which is being developed by Pfizer, Inc.; and BN82451, which is being developed by Ipsen. Valeant Pharmaceuticals International owns a modified-release tetrabenazine formulation, but to our knowledge, is not currently developing it and withdrew a planned clinical trial prior to initiating enrollment. We are not aware of any other company that has a modified-release tetrabenazine product candidate in clinical development in the United States.
Tardive dyskinesia. There are currently no approved drugs for the treatment of tardive dyskinesia, but we believe that tetrabenazine is prescribed off-label for this indication. We are aware of several product candidates in clinical development for treatment of tardive dyskinesia including: NBI-98854 (valine ester substituted analog of a single stereoisomer of alpha), which is being developed by Neurocrine Biosciences, Inc.; SNC-102 (acamprosate calcium), which is being developed by Synchroneuron Inc.; and Tardoxal (pyridoxine hydrochloride), which is being developed by Medicure Inc.
21
Tourette syndrome. There are currently three FDA-approved drugs for the treatment of Tourette syndrome, aripiprazole (marketed as ABILIFY by Otsuka Pharmaceutical Group), haloperidol and pimozide, which are all neuroleptics. We believe that tetrabenazine and guanfacine are prescribed off-label for this indication as well. We are aware of several product candidates in clinical development for the treatment of Tourette syndrome including: NBI-98854 (a valine ester-substituted analog of alpha), which is being developed by Neurocrine Biosciences, Inc.; ecopipam (a synthetic benzazepine derivative), which is being developed by Psyadon Pharmaceuticals Inc.; AZD5213, which is being developed by AstraZeneca plc; CPP-109, which is being developed by Catalyst Pharmaceutical Partners; SNC-102 (acamprosate calcium), which is being developed by Synchroneuron, Inc.; and EPI-754, which is being developed by Edison Pharmaceuticals, Inc.
Competitors developing deuterium-containing compounds include Concert Pharmaceuticals Inc. However, we are not aware of any company developing a deuterium-substituted tetrabenazine.
Intellectual Property and Exclusivity
We have been building and continue to expand our intellectual property portfolio relating to our product candidates, including SD-809. We strive to protect and enhance the proprietary technologies that we believe are important to our business and seek patent protection, where appropriate, in the United States and internationally for our product candidates, their methods of use and any other inventions that are important to the development of our business. Our policy is to actively seek to protect our proprietary position by, among other things, filing patent applications in the United States and abroad (including Europe and certain other countries when appropriate) relating to proprietary technologies that are important to the development of our business. However, patent protection may not afford us with complete protection against competitors who seek to circumvent our patents. We also rely on trade secrets, know-how, continuing technological innovation and in-licensing opportunities to develop, strengthen and maintain our proprietary position. We cannot be sure that patents will be granted with respect to any of our pending patent applications or with respect to any patent applications filed by us in the future, nor can we be sure that any of our existing patents or any patents that may be granted to us in the future will be commercially useful in protecting our technology.
Our success will depend significantly on our ability to obtain and maintain patent and other proprietary protection for the technologies, inventions, know-how and products we consider important to our business, defend our patents, preserve the confidentiality of our trade secrets and operate our business without infringing the patents and proprietary rights of third parties.
Our SD-809 patent portfolio currently includes issued composition of matter patents in the United States (US 8,524,733), Europe (EP 2326643), Japan (JP 5616345), New Zealand (591615), and China (CN 102186848), and an allowed composition of matter application in Australia. The issued U.S. composition of matter patent is expected to expire in March 2031, while the European patent is expected to expire in September 2029, before any patent term extension, or PTE, or equivalent to which we may be entitled under the Hatch-Waxman Act or equivalent laws in other jurisdictions where we have issued patents. We have also received a Notice of Allowance from the United States Patent and Trademark Office for claims covering pharmaceutical compositions of SD-809. In addition we have several pending patent applications in the United States and other countries that, if issued, will cover composition of matter, as well as methods of treatment, manufacture, formulations, indications, dose ranges and other applications and aspects of SD-809, and have the potential to extend the patent coverage beyond 2031. We solely own all the issued patents and the pending patent applications in our SD-809 patent portfolio.
Our SD-254 patent portfolio currently includes issued composition of matter (US 7,456,317) and method of treatment (US 8,138,226) patents in the United States, and issued composition of matter and method of treatment patents in Canada (CA 2,631,581), China (CN 101336226), Hong Kong (1125626B), Japan (JP 5302005), South Korea (KR 1068180) and Mexico (MX 275566). The issued U.S. composition of matter patent is expected to expire in November 2026 and the method of treatment patent is expected to expire in September 2028, before any patent term extension or equivalent to which we may be entitled under the Hatch-Waxman Act.
Our SD-560 patent portfolio currently includes an issued composition of matter patent in the United States (US 8,383,823), an issued method of treatment patent in the United States (US 8,680,123), an allowed food effect application in the United States (U.S. Application Ser. No. 14/003,106), and issued composition of matter and method of treatment patents in Europe (EP 2170828), Japan (JP 5587184) and Australia (AU 2008265595). The issued U.S. patents are expected to expire in June 2028, and the European patent is expected to expire in June 2028, before any patent term extension or equivalent to which we may be entitled under the Hatch-Waxman Act or equivalent laws in other jurisdictions where we have issued patents.
22
Our SD-1077 product candidate is currently in pre-clinical development. We have been developing SD-1077 in collaboration with Imphar AG, a private Germany-based drug development company since July 2014 and in January 2015, we entered into a share purchase agreement to acquire the remaining rights to SD-1077, and related intellectual property, through the acquisition of Imphar AG, which closed in January 2015. Imphar AG had previously granted us exclusive U.S. and select worldwide rights while retaining European and additional worldwide rights, all of which were transferred to us, along with the related intellectual property, pursuant to the closing of the share purchase agreement in January 2015.
Our SD-1077 patent portfolio currently includes issued composition of matter patents in the United States (US 8,168,820 and US 8,247,603), Europe (EP 1613571) and several other countries. We have an additional 44 issued or allowed patents and 63 patent families in prosecution in our broader patent portfolio covering, among other things, the deuterium-containing form of 66 drugs.
The U.S. patent system permits the filing of provisional and non-provisional patent applications. A non-provisional patent application is examined by the U.S. Patent and Trademark Office, or U.S. PTO, and can mature into a patent once the U.S. PTO determines that the claimed invention meets the standards for patentability. A provisional patent application is not examined for patentability, and automatically expires 12 months after its filing date. As a result, a provisional patent application cannot mature into a patent. The requirements for filing a provisional patent application are not as strict as those for filing a non-provisional patent application. Provisional applications are often used, among other things, to establish an early filing date for a subsequent non-provisional patent application. The term of individual patents depends upon the legal term of the patents in the countries in which they are obtained. In most countries in which we file, the patent term is 20 years from the earliest date of filing a non-provisional patent application. In the United States, a patent’s term may be lengthened by patent term adjustment, which compensates a patentee for administrative delays by the U.S. PTO in granting a patent. Alternatively, a patent’s term may be shortened if a patent is terminally disclaimed over another patent.
The filing date of a non-provisional patent application is used by the U.S. PTO to determine what information is prior art when it considers the patentability of a claimed invention. If certain requirements are satisfied, a non-provisional patent application can claim the benefit of the filing date of an earlier filed provisional patent application. As a result, the filing date accorded by the provisional patent application may supersede information that otherwise could preclude the patentability of an invention.
The term of a patent that covers an FDA-approved drug may also be eligible for PTE, which permits patent term restoration as compensation for the patent term lost during the FDA regulatory review process. The Drug Price Competition and Patent Term Restoration Act of 1984, or the Hatch-Waxman Amendments, permits a PTE of up to five years beyond the expiration of the patent in certain circumstances. The length of the PTE is related to the length of time the drug is under regulatory review. Patent extension cannot extend the remaining term of a patent beyond a total of 14 years from the date of product approval and only one patent applicable to an approved drug may be extended. Similar provisions are available in Europe and certain other foreign jurisdictions to extend the term of a patent that covers an approved drug. In the future, if and when our pharmaceutical product candidates receive FDA or other regulatory approval, we may be able to apply for PTEs on patents covering those products. Depending upon the timing, duration and specifics of FDA approval, if any, of SD-809 or our other product candidates, one or more of our U.S. patents may be eligible for limited PTE.
Government Regulation
FDA approval process
In the United States, pharmaceutical products are subject to extensive regulation by the FDA pursuant to the Federal Food, Drug and Cosmetic Act, or FDCA. The FDCA and other federal and state statutes and regulations, govern, among other things, the research, development, testing, manufacture, storage, recordkeeping, approval, labeling, promotion and marketing, distribution, post-approval monitoring and reporting, sampling and import and export of pharmaceutical products. Failure to comply with applicable FDA or other requirements may subject a company to a variety of administrative or judicial sanctions, such as FDA refusal to approve pending applications, clinical holds, warning or untitled letters, product recalls, product seizures, total or partial suspension of production or distribution, withdrawal of product from the market, injunctions, fines, civil penalties and criminal prosecution.
FDA approval is required before any new unapproved drug or dosage form, including a new use of a previously approved drug, can be marketed in the United States. The process required by the FDA before a new drug may be marketed in the United States generally involves:
|
· |
completion of pre-clinical laboratory and animal testing and formulation studies in compliance with the FDA’s current good laboratory practice, or cGLP, regulations; |
|
· |
submission to the FDA of an IND for human clinical testing which must become effective before human clinical trials may begin in the United States; |
23
|
· |
approval of clinical protocols and informed consent documents by an independent institutional review board, or IRB, at each clinical trial site before each clinical trial may be initiated; |
|
· |
performance of adequate and well-controlled human clinical trials to establish the safety and efficacy of the proposed drug product for each intended use in accordance with federal regulations and current good clinical practices, or cGCPs, which are international standards meant to protect the rights and health of patients and to define the roles of clinical trial sponsors, administrators and monitors; |
|
· |
development of a manufacturing process, formulation and packaging process and analytical testing plan which will provide investigational drug product of appropriate quality and quantity for the intended use; |
|
· |
satisfactory completion of an FDA pre-approval inspection of the facility or facilities at which the product is manufactured to assess compliance with the FDA’s current good manufacturing practice, or cGMP, regulations to assure that the facilities, methods and controls are adequate to preserve the drug’s identity, strength, quality and purity; |
|
· |
submission to the FDA of an NDA; |
|
· |
potential review by an FDA advisory committee, if applicable; and |
|
· |
FDA review and approval of the NDA. |
The preclinical and clinical testing and approval process takes many years and the actual time required to obtain approval, if any, may vary substantially based upon the type, complexity and novelty of the product or disease.
Preclinical tests include laboratory evaluation of product chemistry, formulation and toxicity, as well as animal studies to assess the characteristics and potential safety and efficacy of the product. The conduct of the preclinical tests must comply with federal and other regulations and requirements, including cGLPs. The results of preclinical testing are submitted to the FDA as part of an IND along with other information, including information about product chemistry, manufacturing and controls, analytical data, any available clinical data or literature to support the use of the investigational drug in humans and a proposed clinical trial protocol. The IND may rely in part on information contained in already approved drug applications, where a 505(b)(2) NDA is planned. The IND is a request for authorization from the FDA to administer an investigational drug product to humans. Long-term preclinical tests, such as animal tests of reproductive toxicity and carcinogenicity, may continue after the IND is submitted.
An IND must become effective before clinical trials may begin. An IND automatically becomes effective 30 days after receipt by the FDA, unless the FDA, within the 30-day time period, raises concerns or questions relating to one or more proposed clinical trials, including concerns that insufficient information is provided to determine whether the potential risks to which human research subjects may be exposed are unreasonable. In such a case, the IND may be placed on clinical hold and the IND sponsor and the FDA must resolve any outstanding concerns before clinical trials can begin. Accordingly, submission of an IND may or may not result in the FDA allowing clinical trials to commence.
A separate submission to an existing IND must also be made for each successive clinical trial conducted during product development. Further, an independent IRB, covering each site proposing to conduct the clinical trial must review and approve the plan for any clinical trial and informed consent information for subjects before the trial commences at that site and it must monitor the clinical trial until completed. Clinical trials involve the administration of the investigational new drug to healthy volunteers or patients under the supervision of a qualified investigator in accordance with cGCP requirements, which include the requirement that all research subjects provide their informed consent in writing for their participation in any clinical trial. Clinical trials are conducted under protocols detailing, among other things, the objectives of the clinical trial, the parameters to be used in monitoring safety, and the efficacy criteria to be evaluated. Sponsors of clinical trials generally must register and report, at the NIH-maintained website ClinicalTrials.gov, key parameters of certain clinical trials.
For purposes of an NDA submission and approval, human clinical trials are typically conducted in the following sequential phases, which may overlap or be combined:
|
· |
Phase 1: In Phase 1, through the initial introduction of the drug into healthy human subjects or patients, the drug is tested to assess metabolism, pharmacokinetics, pharmacological actions, side effects associated with increasing doses, and, if possible, early evidence on effectiveness; |
|
· |
Phase 2: Phase 2 usually involves trials in a limited patient population to determine the effectiveness of the drug for a particular indication, dosage tolerance and optimum dosage and to identify common adverse effects and safety risks; |
|
· |
Phase 3: Phase 3 trials are undertaken to obtain the additional information about clinical efficacy and safety in a larger number of patients, typically at geographically dispersed clinical trial sites, to permit the FDA to evaluate the overall benefit-risk relationship of the drug and to provide adequate information for the labeling of the drug. In most cases, the |
24
|
FDA requires two adequate and well controlled clinical trials to confirm the safety and efficacy of the drug. A single Phase 3 trial with other confirmatory evidence may be sufficient in rare instances where the clinical trial is a large multicenter trial demonstrating internal consistency and a statistically persuasive finding of a clinically meaningful effect on mortality, irreversible morbidity or prevention of a disease with a potentially serious outcome and confirmation of the result in a second trial would be practically or ethically impossible. |
The FDA, the IRB, or the sponsor may suspend or terminate a clinical trial at any time on various grounds, including a finding that the research subjects are being exposed to an unacceptable risk or for failure to comply with the FDA’s or IRB’s requirements. Additionally, some clinical trials are overseen by an independent group of qualified experts organized by the clinical trial sponsor, known as a data safety monitoring board or committee. This group provides authorization for whether or not a trial may move forward at designated check points based on access to certain data from the clinical trial. The trial sponsor may also suspend or terminate a clinical trial based on evolving business objectives and/or competitive climate.
After completion of the required clinical testing, an NDA is prepared and submitted to the FDA. FDA approval of the NDA is required before marketing of the product may begin in the United States. The NDA must include, among other things, the results of all preclinical, clinical and other testing, including negative or ambiguous results as well as positive findings and a compilation of data relating to the product’s pharmacology, chemistry, manufacture and controls, as well as proposed labeling. Under federal law, the submission of most NDAs is subject to a substantial application user fee, currently exceeding $2,335,000, and the manufacturer and/or sponsor under an approved NDA are also subject to annual product and establishment user fees, currently exceeding $110,000 per product and $569,000 per establishment. These fees are typically increased annually. However, NDA user fees may be exempted for the first NDA submission by a sponsor who is defined as a small business or for a drug designated as an orphan drug.
The FDA has 60 days from its receipt of an NDA to determine whether the application will be accepted for filing based on the agency’s threshold determination that it is sufficiently complete to permit substantive review. The FDA may request additional information rather than accept an NDA for filing. In this event, the NDA must be resubmitted with the additional information and is subject to payment of additional user fees. The resubmitted application is also subject to review before the FDA accepts it for filing. Once the submission is accepted for filing, the FDA begins an in-depth substantive review. Under the Prescription Drug User Fee Act, or PDUFA, the FDA has agreed to certain performance goals in the review of NDAs through a two-tiered classification system, Standard Review and Priority Review. Priority Review designation is given to drugs that offer major advances in treatment, or provide a treatment where no adequate therapy exists. The FDA endeavors to review applications subject to Standard Review within ten to twelve months from the date of receipt of the NDA by the FDA and applications subject to Priority Review within six to eight months from the date of receipt of the NDA by the FDA. In both cases, the longer review time applies if a drug is a new molecular entity.
The FDA may refer applications for novel drug products or drug products which present difficult questions of safety or efficacy to a public advisory committee for review, evaluation and recommendation as to whether the application should be approved and under what conditions. Information presented and discussed at an FDA advisory committee meeting is open to the public except for commercial confidential information. The FDA is not bound by the recommendation of an advisory committee, but it typically follows such recommendations.
Before approving an NDA, the FDA may inspect one or more clinical sites to assure compliance with cGCP requirements. Additionally, the FDA will inspect the facility or the facilities at which the drug is manufactured. The FDA will not approve the product unless it determines that the manufacturing process and facilities are in compliance with cGMP requirements and are adequate to assure consistent production of the product within required specifications. To support marketing approval, the data submitted must also be sufficient in quality and quantity to establish the safety and effectiveness of the investigational drug product to the satisfaction of the FDA.
After the FDA evaluates the NDA and the manufacturing facilities, it issues either an approval letter or a complete response letter. An approval letter authorizes commercial marketing of the drug with specific prescribing information for specific indications. A complete response letter indicates that the review cycle for an application is complete and that the application is not ready for approval. A complete response letter generally outlines the deficiencies in the submission and may require substantial additional testing or information in order for the FDA to reconsider the application. Even with submission of this additional information, the FDA may ultimately decide that an application does not satisfy the regulatory criteria for approval. If, or when, the deficiencies have been addressed to the FDA’s satisfaction in a resubmission of the NDA, the FDA may issue an approval letter.
25
As a condition of NDA approval, the FDA may require a REMS to ensure that the benefits of the drug outweigh the potential risks. If the FDA determines a REMS is necessary during review of the application, the drug sponsor must agree to the REMS plan at the time of approval. A REMS may be required to include various elements, such as a medication guide or patient package insert, a communication plan to educate healthcare providers of the drug’s risks, limitations on who may prescribe or dispense the drug, or other elements to assure safe use, such as special training or certification for prescribing or dispensing, dispensing only under certain circumstances, special monitoring, and the use of patient registries. In addition, the REMS must include a timetable to periodically assess the strategy. The requirement for a REMS can materially affect the potential market and profitability of a drug.
Moreover, product approval may require substantial post-approval testing and surveillance to monitor the drug’s safety or efficacy and the FDA has the authority to prevent or limit further marketing of a product based on the results of these post-marketing programs. Once granted, product approvals may be withdrawn if compliance with regulatory standards is not maintained or problems are identified following initial marketing. Drugs may be marketed only for the approved indications and in accordance with the provisions of the approved label and, even if the FDA approves a product, it may limit the approved indications for use for the product or impose other conditions, including labeling or distribution restrictions or other risk-management mechanisms.
Future changes to some of the conditions established in an approved application, including changes in indications, labeling, or manufacturing processes or facilities, typically require submission and FDA approval of a new NDA or NDA supplement before the change can be implemented, which may require us to develop additional data or conduct additional pre-clinical studies and clinical trials. An NDA supplement for a new indication typically requires clinical data similar to that in the original application and the FDA uses the similar procedures in reviewing NDA supplements as it does in reviewing NDAs.
Post-approval requirements
Once an NDA is approved, a product will be subject to pervasive and continuing regulation by the FDA, including, among other things, requirements relating to drug listing and registration, recordkeeping, periodic reporting, product sampling and distribution, adverse event reporting and advertising, marketing and promotion, including standards and regulations for direct to consumer advertising, off-label promotion, industry-sponsored scientific and educational activities and promotional activities involving the internet. Drugs may be marketed only for the approved indications and in accordance with the provisions of the approved labeling. While physicians may prescribe for off-label uses, manufacturers are restricted from promoting their approved products for uses outside of the approved indications on the approved label. The FDA and other agencies actively enforce the laws and regulations prohibiting the promotion of off-label uses and a company that is found to have improperly promoted off-label uses may be subject to significant liability.
The FDA may require post-approval studies or clinical trials, known as Phase 4 clinical trials, if the FDA finds that scientific data, including information regarding related drugs, suggest that they would be appropriate. The purpose of such studies would be to assess a known serious risk or signals of serious risk related to the drug or to identify an unexpected serious risk when available data indicate the potential for a serious risk. The FDA may also require a labeling change if it becomes aware of new safety information that it believes should be included in the labeling of a drug. The FDA also may require REMS to monitor the effects of an approved product or to ensure that the drug’s benefits outweigh its risks, or the FDA may place conditions on an approval that could restrict the distribution or use of the product.
In addition, after approval, quality-control, drug manufacture, packaging and labeling procedures must continue to conform to cGMPs, which impose extensive procedural, substantive and record-keeping requirements. Drug manufacturers and certain of their subcontractors are required to register their establishments with the FDA and certain state agencies. Registration with the FDA subjects entities to periodic unannounced and announced inspections by the FDA, during which the agency inspects manufacturing facilities to assess compliance with cGMPs. Accordingly, manufacturers must continue to expend time, money and effort in the areas of production and quality-control to maintain compliance with cGMPs. Regulatory authorities may withdraw product approvals or request product recalls if a company fails to comply with regulatory standards, if it encounters problems following initial marketing, or if previously unrecognized problems are subsequently discovered. In addition, regulatory authorities may take other enforcement action, including, among other things, untitled or warning letters, the seizure of products, injunctions, consent decrees placing significant restrictions on or suspending manufacturing operations, refusal to approve pending applications or supplements to approved applications, civil penalties and criminal prosecution.
In addition, the distribution of prescription pharmaceuticals is subject to the Prescription Drug Marketing Act, which regulates the distribution of drugs and drug samples at the federal level, and sets minimum standards for the registration and regulation of drug distributors by the states. A growing majority of states also impose certain drug pedigree requirements on the sale and distribution of prescription drugs.
26
The Hatch-Waxman Amendments
Section 505(b)(2) NDAs
As an alternative path to FDA approval for modifications to formulations or uses of products previously approved by the FDA, an applicant may submit an NDA under Section 505(b)(2) of the FDCA. Section 505(b)(2) was enacted as part of the Hatch-Waxman Amendments to the FDCA and enables the applicant to rely, in part, on the FDA’s previous approval of a similar product, or published literature, in support of its application. Section 505(b)(2) permits the filing of an NDA where at least some of the information required for approval comes from studies not conducted by, or for, the applicant and for which the applicant has not obtained a right of reference. If the Section 505(b)(2) applicant can establish that reliance on FDA’s previous findings of safety and effectiveness is scientifically appropriate, it may eliminate the need to conduct certain preclinical studies or clinical trials of the new product. The FDA may also require companies to perform additional studies or measurements, including clinical trials, to support the change from the approved reference drug. The FDA may then approve the new product candidate for all, or some, of the label indications for which the reference drug has been approved or for any new indication sought by the Section 505(b)(2) applicant.
ANDA approval process
The Hatch-Waxman Amendments also established an abbreviated FDA approval process for drugs that are shown to be bioequivalent to drugs previously approved by the FDA through the NDA process. Approval to market and distribute these drugs is obtained by filing an abbreviated new drug application, or ANDA, with the FDA. An ANDA provides for marketing of a drug product that has the same active ingredients in the same strengths and dosage form as the listed drug and has been shown to be bioequivalent to the listed drug. An ANDA is a comprehensive submission that contains, among other things, data and information pertaining to the active pharmaceutical ingredient, drug product formulation, specifications and stability of the generic drug, as well as analytical methods, manufacturing process validation data and quality control procedures. ANDAs are termed abbreviated because they generally do not include preclinical and clinical data to demonstrate safety and effectiveness. Instead, a generic applicant must demonstrate that its product is bioequivalent to the innovator drug. Drugs approved in this way are commonly referred to as “generic equivalents” to the listed drug and can often be substituted by pharmacists under prescriptions written for the original listed drug.
Orange book listing
In seeking approval for a drug through an NDA, including a 505(b)(2) NDA, applicants are required to list with the FDA certain patents whose claims cover the applicant’s product. Upon approval, each of the patents listed in the application for the drug is then published in the FDA’s Approved Drug Products with Therapeutic Equivalence Evaluations, commonly known as the Orange Book. Any applicant who files an ANDA seeking approval of a generic equivalent version of a drug listed in the Orange Book or a Section 505(b)(2) NDA referencing a drug listed in the Orange Book must certify to the FDA that (1) no patent information on the drug product that is the subject of the application has been submitted to the FDA; (2) such patent has expired; (3) the date on which such patent expires; or (4) such patent is invalid or will not be infringed upon by the manufacture, use or sale of the drug product for which the application is submitted. This last certification is known as a paragraph IV certification. A notice of the paragraph IV certification must be provided to each owner of the patent that is the subject of the certification and to the holder of the approved NDA to which the ANDA or Section 505(b)(2) application refers. The applicant may also elect to submit a “section viii” statement certifying that its proposed label does not contain (or carves out) any language regarding the patented method-of-use rather than certify to a listed method-of-use patent.
If the NDA holder for the reference drug and/or patent owners assert a patent challenge directed to one of the Orange Book listed patents within 45 days of the receipt of the paragraph IV certification notice, the FDA is prohibited from approving the application until the earlier of 30 months from the receipt of the paragraph IV certification, expiration of the patent, settlement of the lawsuit, or a decision in the infringement case that is favorable to the applicant.
The ANDA or Section 505(b)(2) application also will not be approved until any applicable non-patent exclusivity listed in the Orange Book for the reference drug has expired as described in further detail below.
Non-patent exclusivity
In addition to patent exclusivity, the holder of the NDA for the listed drug may be entitled to a period of non-patent exclusivity, during which the FDA cannot approve an ANDA or Section 505(b)(2) application that relies on the listed drug. For example, a pharmaceutical manufacturer may obtain five years of non-patent exclusivity upon NDA approval of a new chemical entity, or NCE, which is a drug that contains an active moiety that has not been approved by the FDA in any other NDA. An “active moiety” is defined as the molecule or ion responsible for the drug substance’s physiological or pharmacologic action. During the five year exclusivity period, the FDA cannot accept for filing any ANDA seeking approval of a generic version of that drug or any Section 505(b)(2) NDA for the same active moiety and that relies on the FDA’s findings regarding that drug, except that the FDA may accept an application for filing after four years if the follow-on applicant makes a paragraph IV certification.
27
A drug, including one approved under Section 505(b)(2), may obtain a three-year period of exclusivity for a particular condition of approval, or change to a marketed product, such as a new formulation for a previously approved product, if one or more new clinical trials (other than bioavailability studies) was essential to the approval of the application and was conducted/sponsored by the applicant. Should this occur, the FDA would be precluded from approving any ANDA or Section 505(b)(2) application for the protected modification until after that three-year exclusivity period has run. However, unlike NCE exclusivity, the FDA can accept an application and begin the review process during the exclusivity period.
Patent term extension
After NDA approval, owners of relevant drug patents may apply for up to a five year patent extension. The allowable PTE is calculated as half of the drug’s testing phase—the time between IND application and NDA submission—and all of the review phase—the time between NDA submission and approval up to a maximum of five years. The time can be shortened if the FDA determines that the applicant did not pursue approval with due diligence. The total patent term after the extension may not exceed 14 years.
For patents that might expire during the application phase, the patent owner may request an interim patent extension. An interim patent extension increases the patent term by one year and may be renewed up to four times. For each interim patent extension granted, the post-approval patent extension is reduced by one year. The director of the U.S. PTO must determine that approval of the drug covered by the patent for which a patent extension is being sought is likely. Interim patent extensions are not available for a drug for which an NDA has not been submitted.
Orphan drug designation and exclusivity
The Orphan Drug Act provides incentives for the development of products intended to treat rare diseases or conditions. Under the Orphan Drug Act, the FDA may grant orphan designation to a drug intended to treat a rare disease or condition, which is generally a disease or condition that affects fewer than 200,000 individuals in the United States, or more than 200,000 individuals in the United States and for which there is no reasonable expectation that the cost of developing and making a drug available in the United States for this type of disease or condition will be recovered from sales of the product. If a sponsor demonstrates that a drug is intended to treat a rare disease or condition, the FDA will grant orphan designation for that product for the orphan disease indication, assuming that the same drug has not already been approved for the indication for which the sponsor is seeking orphan designation. If the same drug has already been approved for the indication for which the sponsor is seeking orphan designation, the sponsor must present a plausible hypothesis of clinical superiority in order to obtain orphan designation. Orphan designation must be requested before submitting an NDA. After the FDA grants orphan designation, the identity of the therapeutic agent and its potential orphan use are disclosed publicly by the FDA. Orphan designation, however, does not convey any advantage in, or shorten the duration of, the regulatory review and approval process.
Orphan designation may provide manufacturers with benefits such as research grants, tax credits, PDUFA application fee waivers, and eligibility for orphan drug exclusivity. If a product that has orphan designation subsequently receives the first FDA approval of the active moiety for that disease or condition for which it has such designation, the product is entitled to orphan drug exclusivity, which for seven years prohibits the FDA from approving another product with the same active ingredient for the same indication, except in limited circumstances. Orphan drug exclusivity will not bar approval of another product under certain circumstances, including if a subsequent product with the same active ingredient for the same indication is shown to be clinically superior to the approved product on the basis of greater efficacy or safety, or providing a major contribution to patient care, or if the company with orphan drug exclusivity is not able to meet market demand. Further, the FDA may approve more than one product for the same orphan indication or disease as long as the products contain different active ingredients. Moreover, competitors may receive approval of different products for the indication for which the orphan drug has exclusivity or obtain approval for the same product but for a different indication for which the orphan drug has exclusivity.
We received an orphan drug designation of SD-809 for the treatment of Huntington’s disease from the FDA in November 2014, and an orphan drug designation of SD-809 for the treatment of Tourette syndrome in the pediatric population (defined as zero through 16 years of age) from the FDA in January 2015.
28
Expedited review and accelerated approval programs
A sponsor may seek approval of its product candidate under programs designed to accelerate the FDA’s review and approval of NDAs. For example, fast track designation may be granted to a drug intended for treatment of a serious or life-threatening disease or condition that has potential to address unmet medical needs for the disease or condition. Under the fast track program, the sponsor of a new drug candidate may request that the FDA designate the drug candidate for a specific indication as a fast track drug concurrent with, or after, the filing of the IND for the drug candidate. The FDA must determine if the drug candidate qualifies for fast track designation within 60 days of receipt of the sponsor’s request. The fast track designation may be withdrawn by the FDA if the FDA believes that the designation is no longer supported by data emerging in the clinical trial process. The key benefits of fast track designation are the eligibility for Priority Review, rolling review (submission of portions of an application before the complete marketing application is submitted) and accelerated approval, if relevant criteria are met.
Based on results of the Phase 3 clinical trial(s) submitted in an NDA, upon the request of an applicant, the FDA may grant the NDA a Priority Review designation, which sets the target date for FDA action on the application at six or eight months after receipt of the NDA by the FDA, depending on whether the drug is a new molecular entity. Priority Review is granted where there is evidence that the proposed product would be a significant improvement in the safety or effectiveness of the treatment, diagnosis, or prevention of a serious condition. If criteria are not met for Priority Review, the application is subject to the standard FDA review period of ten to twelve months after receipt of the NDA by the FDA, depending on whether the drug is a new molecular entity. Priority Review designation does not change the scientific/medical standard for approval or the quality of evidence necessary to support approval.
Under the accelerated approval regulations, the FDA may approve an NDA on the basis of either a surrogate endpoint that is reasonably likely to predict clinical benefit, or on a clinical endpoint that can be measured earlier than irreversible morbidity or mortality, that is reasonably likely to predict an effect on irreversible morbidity or mortality or other clinical benefit, taking into account the severity, rarity, or prevalence of the condition and the availability or lack of alternative treatments. In clinical trials, a surrogate endpoint is a measurement of laboratory or clinical signs of a disease or condition that substitutes for a direct measurement of how a patient feels, functions, or survives. Surrogate endpoints can often be measured more easily or more rapidly than clinical endpoints. A drug candidate approved on this basis is subject to rigorous post-marketing compliance requirements, including the completion of Phase 4 or post-approval clinical trials to confirm the effect on the clinical endpoint. Failure to conduct required post-approval studies, or confirm a clinical benefit during post-marketing studies, will allow the FDA to withdraw the drug from the market on an expedited basis. All promotional materials for drug candidates approved under accelerated regulations are subject to prior review by the FDA.
In addition, the FDA Safety and Innovation Act, which was enacted and signed into law in 2012, established a new breakthrough therapy designation. A sponsor may seek FDA designation of its product candidate as a breakthrough therapy if the drug candidate is intended, alone or in combination with one or more other drugs, to treat a serious or life-threatening disease or condition and preliminary clinical evidence indicates that the drug may demonstrate substantial improvement over existing therapies on one or more clinically significant endpoints, such as substantial treatment effects observed early in clinical development. Under the breakthrough therapy program, the sponsor of a new drug candidate may request that the FDA designate the drug candidate for a specific indication as a breakthrough therapy concurrent with, or after, the filing of the IND for the drug candidate. The FDA must determine if the drug candidate qualifies for breakthrough therapy designation within 60 days of receipt of the sponsor’s request.
29
Other healthcare laws and compliance requirements
In the United States, the research, manufacturing, distribution, marketing, sale and promotion of drug products are subject to numerous regulations by various federal, state and local authorities in addition to the FDA including, but not limited to, the U.S. Federal Communications Commission, the U.S. Department of Justice, the U.S. Department of Health and Human Services, and its various enforcement divisions, such as the Centers for Medicare & Medicaid Services, or CMS, the Office of Inspector General, the Office for Human Research Protections, and the Office of Research Integrity, state Attorneys General, state Medicaid Fraud Control Units, and other state and local government agencies. If we obtain FDA approval for any of our product candidates and begin commercializing those products in the United States, our operations may be directly, or indirectly through our customers, subject to various federal and state fraud and abuse laws, including, without limitation, the federal Anti-Kickback Statute, the federal False Claims Act, and physician sunshine laws and regulations. These laws may impact, among other things, our proposed sales, marketing and education programs. In addition, we may be subject to patient privacy regulation by both the federal government and the states in which we conduct our business. The federal Anti-Kickback Statute prohibits, among other things, any person or entity, including a prescription drug manufacturer, or a party acting on its behalf, from knowingly and willfully soliciting, receiving, offering or paying any remuneration, directly or indirectly, overtly or covertly, in cash or in kind in return for the purchase, recommendation, leasing, ordering or furnishing of an item or service, for which payment may be made in whole or in part under a federal healthcare program such as the Medicare and Medicaid programs. This statute has been interpreted broadly to apply to, among other things, arrangements between pharmaceutical manufacturers, on one hand, and prescribers, purchasers, and formulary managers, on the other. The term “remuneration” expressly includes kickbacks, bribes, or rebates and also has been broadly interpreted to include anything of value, including for example, gifts, discounts, the furnishing of supplies or equipment, credit arrangements, payments of cash, waivers of payments, ownership interests and providing anything at less than its fair market value. There are a number of statutory exceptions and regulatory safe harbors protecting certain business arrangements from prosecution. Failure to meet all of the requirements of a particular applicable statutory exception or safe harbor does not make the conduct per se illegal under the Anti-Kickback Statute. Instead, the legality of the arrangement will be evaluated on a case-by-case basis based on a cumulative review of all of its facts and circumstances. Our practices may not meet all of the criteria for safe harbor protection from federal Anti-Kickback Statute liability in all cases. Further, many states have adopted laws similar to the federal Anti-Kickback Statute and some of these state laws may be broader in scope in that some of these state laws extend to all payors and may not contain safe harbors.
The federal civil False Claims Act prohibits, among other things, any person or entity from knowingly presenting, or causing to be presented, a false or fraudulent claim for payment or approval by a federal healthcare program. The “qui tam” provisions of the False Claims Act allow a private individual to bring civil actions on behalf of the federal government alleging that the defendant has submitted a false claim to the federal government, and potentially to share in any monetary recovery. In recent years, the number of suits brought by private individuals has increased dramatically. In addition, various states have enacted false claims laws analogous to the False Claims Act. Many of these state laws are broader in scope and apply to all payors and, therefore, are not limited to only those claims submitted to the federal government. There are many potential bases for liability under the False Claims Act. Liability arises, primarily, when an entity knowingly submits, or causes another to submit, a false claim for reimbursement to the federal government. The False Claims Act has been used to assert liability on the basis of kickbacks and other improper referrals, improperly reported government pricing metrics such as Best Price or Average Manufacturer Price, and improper promotion of off-label uses not expressly approved by the FDA in a drug’s label. Our future activities relating to the reporting of discount and rebate information and other information affecting federal, state and third party reimbursement of our products and the sales and marketing of our products and our service arrangements or data purchases, among other activities, may be subject to scrutiny under these laws. Additionally, the civil monetary penalties statute, among other things, imposes fines against any person who is determined to have presented or caused to be presented claims to a federal healthcare program that the person knows or should know is for an item or service that was not provided as claimed or is false or fraudulent.
Also, the federal Health Insurance Portability and Accountability Act, or HIPAA, created several new federal crimes, including healthcare fraud and false statements relating to healthcare matters. The healthcare fraud statute prohibits knowingly and willfully executing a scheme to defraud any healthcare benefit program, including private third-party payors. The false statements statute prohibits knowingly and willfully falsifying, concealing or covering up a material fact or making any materially false, fictitious or fraudulent statement in connection with the delivery of or payment for healthcare benefits, items or services.
Because of the breadth of these laws and the narrowness of the statutory exceptions and safe harbors available, it is possible that some of our future business activities could be subject to challenge under one or more of such laws. In addition, recent health care reform legislation has further strengthened these laws. For example, the Patient Protection and Affordable Care Act, or PPACA, among other things, amended the intent standard under the federal Anti-Kickback Statute and criminal healthcare fraud statutes to a stricter standard such that a person or entity no longer needs to have actual knowledge of the statute or specific intent to violate it in order to have committed a violation. The PPACA also provided that the government may assert that a claim including items or services resulting from a violation of the federal Anti-Kickback Statute constitutes a false or fraudulent claim for purposes of the federal civil False Claims Act.
30
In addition, we may be subject to, or our marketing activities may be limited by, data privacy and security regulation by both the federal government and the states in which we conduct our business. HIPAA and its implementing regulations established uniform standards for certain “covered entities,” which are healthcare providers, health plans and healthcare clearinghouses, as well as their business associates, governing the conduct of specified electronic healthcare transactions and protecting the security and privacy of protected health information. The American Recovery and Reinvestment Act of 2009, commonly referred to as the economic stimulus package, included an expansion of HIPAA’s privacy and security standards called the Health Information Technology for Economic and Clinical Health Act, or HITECH. Among other things, HITECH makes HIPAA’s security standards and certain privacy standards directly applicable to business associates. HITECH also created four new tiers of civil monetary penalties, amended HIPAA to make civil and criminal penalties directly applicable to business associates and gave state attorneys general new authority to file civil actions for damages or injunctions in federal courts to enforce the federal HIPAA laws and seek attorneys’ fees and costs associated with pursuing federal civil actions.
Additionally, the federal Physician Payment Sunshine Act created under Section 6002 of the PPACA and its implementing regulations requires that manufacturers of drugs for which payment is available under Medicare, Medicaid or the Children’s Health Insurance Program (with certain exceptions) report annually to the CMS information related to payments or other “transfers of value” made or distributed to physicians (defined to include doctors of medicine, dentists, optometrists, podiatrists and chiropractors), generally, with some exceptions, and teaching hospitals, or to entities or individuals at the request of, or designated on behalf of, the physicians and teaching hospitals. Additionally, applicable manufacturers and applicable group purchasing organizations are required to report annually to the CMS certain ownership and investment interests held by physicians (as defined above) and their immediate family members, and payments or other “transfers of value” to such physician owners and their immediate family members. Manufacturers were required to begin data collection beginning August 1, 2013, and submit reports on payment data to the government for the first reporting period (from August 1, 2013 to December 31, 2013) by June 30, 2014. Thereafter, covered manufacturers must submit reports by the 90th day of each subsequent calendar year. Disclosure of such information was made on a publicly available website beginning in September 2014.
There are also an increasing number of analogous state laws that require manufacturers to file reports with states on pricing and marketing information, such as tracking and reporting of gifts, compensation and other remuneration and items of value provided to health care professionals and health care entities. Many of these laws contain ambiguities as to what is required to comply with the laws. For example, several states have enacted legislation requiring pharmaceutical companies to, among other things, establish and implement commercial compliance programs, file periodic reports with the state, make periodic public disclosures on sales, marketing, pricing, clinical trials and other activities and/or register their sales representatives. Certain state laws also regulate manufacturers’ use of prescriber-identifiable data. These laws may affect our future sales, marketing and other promotional activities by imposing administrative and compliance burdens. In addition, given the lack of clarity with respect to these laws and their implementation, our reporting actions could be subject to the penalty provisions of the pertinent state and federal authorities.
If our operations are found to be in violation of any of the health regulatory laws described above or any other laws that apply to us, we may be subject to penalties, including criminal and significant civil monetary penalties, damages, fines, imprisonment, exclusion from participation in government healthcare programs, injunctions, recall or seizure of products, total or partial suspension of production, denial or withdrawal of pre-marketing product approvals and the curtailment or restructuring of our operations, any of which could adversely affect our ability to operate our business and our results of operations. To the extent that any of our products are sold in a foreign country, we may be subject to similar foreign laws and regulations, which may include, for instance, the U.S. Foreign Corrupt Practices Act, the U.K. Anti-Bribery Act, applicable post-marketing requirements, including safety surveillance, anti-fraud and abuse laws and implementation of corporate compliance programs and reporting of payments or transfers of value to healthcare professionals. We are unable to predict whether we would be subject to actions under these laws or the impact of such actions. However, the cost of defending such claims, as well as any sanctions imposed, could adversely affect our financial performance.
In the United States, most individual states have pharmaceutical distribution laws that require application and registration with State boards of pharmacy. States may also conduct cGMP inspections of pharmaceutical manufacturing facilities operating within their state.
31
Third-party payor coverage and reimbursement
The commercial success of our products, if and when approved, will depend, in part, upon the availability of coverage and adequate reimbursement from third-party payors at the federal, state and private levels. Patients who are prescribed treatments for their conditions and providers performing the prescribed services generally rely on third-party payors to reimburse all or part of the associated healthcare costs. Sales of our products will therefore depend substantially, both domestically and abroad, on the extent to which the costs of our products will be paid by health maintenance, managed care, pharmacy benefit and similar healthcare management organizations, or are reimbursed by government payors, such as Medicare and Medicaid, private health coverage insurers and other third-party payors. The market for our products will depend significantly on access to third-party payors’ formularies, or lists of treatments for which third-party payors provide coverage and reimbursement. A number of payors in the United States including Anthem, Cigna, Medicare and Medicaid, currently maintain coverage for the use of Xenazine in hyperkinetic movement disorders such as chorea associated with HD, tardive dyskinesia and tic associated with Tourette syndrome.
In addition, third-party payors are developing increasingly sophisticated methods of controlling healthcare costs and coverage and reimbursement for therapeutic products can differ significantly from payor to payor. As a result, the coverage determination process will require us to provide scientific and clinical support for the use of our products to each payor separately, with no assurance that adequate coverage and reimbursement will be obtained. The cost of pharmaceuticals and medical devices continues to generate substantial scrutiny from government and other third-party payors. We expect that the pharmaceutical industry will experience continued pricing pressures due to the trend toward managed healthcare, the increasing influence of managed care organizations and additional legislative proposals. Our results of operations and business could be adversely affected by current and future third-party payor policies as well as healthcare legislative reforms.
Some third-party payors also require pre-approval of coverage for new or innovative devices or drug therapies before they will reimburse healthcare providers who use such therapies. While we cannot predict whether any proposed cost-containment measures will be adopted or otherwise implemented in the future, these requirements or any announcement or adoption of such proposals could have a material adverse effect on our ability to obtain adequate prices for our product candidates and to operate profitably.
In international markets, reimbursement and healthcare payment systems vary significantly by country and many countries have instituted price ceilings on specific products and therapies. There can be no assurance that our products will be considered medically reasonable and necessary for a specific indication, that our products will be considered cost-effective by third-party payors, that an adequate level of reimbursement will be available or that the third-party payors’ reimbursement policies will not adversely affect our ability to sell our product candidates profitably.
Healthcare reform
In the United States and foreign jurisdictions, the legislative landscape continues to evolve. There have been a number of legislative and regulatory changes to the healthcare system that could affect our future results of operations. In particular, there have been and continue to be a number of initiatives at the United States federal and state levels that seek to reduce healthcare costs. In March 2010, the PPACA was enacted, which includes measures that have the potential to significantly change health care financing by both governmental and private insurers. The provisions of the PPACA of importance to the pharmaceutical and biotechnology industry are, among others, the following:
|
· |
an annual, nondeductible fee on any entity that manufactures or imports certain branded prescription drugs and biologic agents, apportioned among these entities according to their market share in certain government healthcare programs; |
|
· |
an increase in the rebates a manufacturer must pay under the Medicaid Drug Rebate Program to 23.1% and 13% of the average manufacturer price for branded and generic drugs, respectively; |
|
· |
a new Medicare Part D coverage gap discount program, in which manufacturers must agree to offer 50% point-of-sale discounts to negotiated prices of applicable brand drugs to eligible beneficiaries during their coverage gap period, as a condition for the manufacturer’s outpatient drugs to be covered under Medicare Part D; |
|
· |
extension of manufacturers’ Medicaid rebate liability to covered drugs dispensed to individuals who are enrolled in Medicaid managed care organizations, unless the drug is subject to discounts under the 340B drug discount program; |
|
· |
expansion of eligibility criteria for Medicaid programs by, among other things, allowing states to offer Medicaid coverage to additional individuals and by adding new mandatory eligibility categories for certain individuals with income at or below 133% of the Federal Poverty Level, thereby potentially increasing manufacturers’ Medicaid rebate liability; |
|
· |
expansion of the entities eligible for discounts under the Public Health Service pharmaceutical pricing program; |
|
· |
expansion of healthcare fraud and abuse laws, including the False Claims Act and the Anti-Kickback Statute, new government investigative powers and enhanced penalties for noncompliance; |
32
|
· |
a licensure framework for follow-on biologic products; |
|
· |
new requirements under the federal Physician Payment Sunshine Act for drug manufacturers to report information related to payments and other transfers of value made to physicians and teaching hospitals as well as ownership or investment interests held by physicians and their immediate family members; and |
|
· |
a new requirement to annually report certain drug samples that manufacturers and distributors provide to licensed practitioners, or to pharmacies of hospitals or other healthcare entities. |
In addition, other legislative changes have been proposed and adopted since the PPACA was enacted. In August 2011, the President signed into law the Budget Control Act of 2011, which, among other things, created the Joint Select Committee on Deficit Reduction to recommend proposals in spending reductions to Congress. The Joint Select Committee on Deficit Reduction did not achieve its targeted deficit reduction of at least $1.2 trillion for the years 2013 through 2021, triggering the legislation’s automatic reductions to several government programs. These reductions include aggregate reductions to Medicare payments to providers of 2% per fiscal year, which went into effect on April 1, 2013 and will stay in effect through 2024 unless additional Congressional action is taken. In January 2013, President Obama signed into law the American Taxpayer Relief Act of 2012, which, among other things, further reduced Medicare payments to several providers and increased the statute of limitations period for the government to recover overpayments to providers from three to five years. These new laws may result in additional reductions in Medicare and other healthcare funding, which could have a material adverse effect on our customers and accordingly, our financial operations. We expect that additional state and federal healthcare reform measures will be adopted in the future, any of which could limit the amounts that federal and state governments will pay for healthcare products and services, which could result in reduced demand for our products or additional pricing pressures.
Europe / rest of world government regulation
In addition to regulations in the United States, we will be subject to a variety of regulations in other jurisdictions governing, among other things, clinical trials and any commercial sales, marketing and distribution of our products. Whether or not we obtain FDA approval for a product, we must obtain the requisite approvals from regulatory authorities in foreign countries prior to the commencement of clinical trials or marketing of the product in those countries. The requirements and process governing the conduct of clinical trials, product licensing, pricing and reimbursement vary from country to country. In addition, we and our collaborators may be subject to foreign laws and regulations and other compliance requirements, including, without limitation, anti-kickback laws, false claims laws, and other fraud and abuse laws, as well as laws and regulations requiring transparency of pricing and marketing information and governing the privacy and security of health information, such as the European Union’s Directive 95/46 on the Protection of Individuals with regard to the Processing of Personal Data. If we fail to comply with applicable foreign regulatory requirements, we may be subject to, among other things, fines, suspension or withdrawal of regulatory approvals, product recalls, seizure of products, operating restrictions and criminal prosecution.
Other regulatory requirements
We are also subject to various laws and regulations regarding laboratory practices, the experimental use of animals and the use and disposal of hazardous or potentially hazardous substances in connection with our research. In each of these areas, as above, the FDA and other government agencies have broad regulatory and enforcement powers, including, among other things, the ability to levy fines and civil penalties, suspend or delay issuance of approvals, seize or recall products, and withdraw approvals, any one or more of which could have a material adverse effect on us.
Material Commercial Agreements
Our Collaboration with Concert
In September 2011, we entered into a patent assignment agreement with Concert Pharmaceuticals, Inc., or Concert, pursuant to which Concert assigned to us a U.S. patent application relating to deuterated pirfenidone. Under the terms of the agreement, Concert receives certain royalty payments, or Royalty Payments, equal to a percentage in the low single digits of net sales in the United States invoiced by us or any of our affiliates with respect to certain pharmaceutical products containing deuterated pirfenidone. If we sell to another party all of our U.S. rights to certain deuterated pirfenidone products or if we grant to another party a license to sell certain deuterated pirfenidone products in the United States, Concert will receive an amount, or Sublicense/Sale Payments, equal to a percentage in the teens of any proceeds we receive therefrom that are attributable to the rights to such deuterated pirfenidone products in the United States. If we are acquired in a change in control transaction at any time that we or any of our affiliates own certain patents or patent applications related to deuterated pirfenidone, Concert will receive 1.44% of any proceeds we receive in such transaction.
33
Such payment is applied as a credit to any future Royalty Payments and Sublicense/Sale Payments that may be due to Concert under the agreement. The agreement expires upon the earlier to occur of (1) receipt by Concert of the final Sublicense/Sale Payment arising from (a) the sale of our U.S. rights to certain deuterated pirfenidone products or (b) our grant of an exclusive license to sell certain deuterated pirfenidone products in the United States in all indications and fields, or (2) the expiration of the last claim owned by us or any of our affiliates in certain patents or patent applications related to deuterated pirfenidone.
Employees
As of December 31, 2014, we had 35 full-time employees, 11 of whom hold M.D., Ph.D. or Pharm.D. degrees, 23 of whom were engaged in research and development activities and 12 of whom were engaged in business development, marketing, finance, information systems, facilities, human resources or administrative support. None of our employees are represented by any collective bargaining unit. We believe that we maintain good relations with our employees. As part of our acquisition of Imphar AG in January 2015, we also have two full-time employees in Germany.
34
You should carefully consider the following risk factors, as well as the other information in this report, and in our other public filings. The occurrence of any of the following risks could harm our business, financial condition, results of operations and/or growth prospects or cause our actual results to differ materially from those contained in forward-looking statements we have made in this report and those we may make from time to time. You should consider all of the risk factors described when evaluating our business.
Risks Related to Our Business and Industry
We are highly dependent on the success of SD-809, which is still in clinical development, and we may not be able to successfully obtain regulatory or marketing approval for, or successfully commercialize, this product candidate in any of the indications for which we plan to develop it, which include chorea associated with Huntington’s disease, tardive dyskinesia and Tourette syndrome.
Our future success will depend almost entirely on our ability to successfully develop, obtain regulatory approval for, and then successfully commercialize SD-809, our lead program, in the United States, which may never occur. We have no significant product candidates beyond Phase 1 clinical trials, in our clinical development pipeline other than SD-809. We currently generate no revenues from sales of any drugs and we may never be able to develop or commercialize a marketable drug.
Although we have successfully completed a Phase 3 clinical trial of SD-809 in patients having chorea associated with Huntington’s disease and plan to submit a New Drug Application, or NDA, filing based on the desirable Phase 3 data, we cannot be certain that we will obtain regulatory approval, and even if we do, there can be no assurance that the approval process will not be lengthy. Also, before we can market and sell SD-809 in the United States or foreign jurisdictions, we may need to commence and complete additional clinical trials, and will need to manage clinical, preclinical, and manufacturing activities, obtain necessary regulatory approvals from the FDA in the United States and from similar foreign regulatory agencies in other jurisdictions, obtain manufacturing supply, build a commercial organization or enter into a marketing collaboration with a third party, and in some jurisdictions, obtain reimbursement authorization, among other things. We cannot assure you that we will be able to successfully complete the necessary clinical trials and/or obtain regulatory approvals and develop sufficient commercial capabilities for SD-809. We have not submitted a NDA to the FDA or similar drug approval filings to comparable foreign authorities, for any product candidate. Further, SD-809 may not receive regulatory approval even if it is successful in clinical trials. If we do not receive regulatory approvals, our business, prospects, financial condition and results of operations will be adversely affected. Even if we obtain regulatory approvals, we may never generate significant revenues from any commercial sales of SD-809. If SD-809 is approved and we fail to successfully commercialize it, we may be unable to generate sufficient revenues to sustain and grow our business and our business, prospects, financial condition and results of operations will be adversely affected.
If we are unable to obtain FDA approval of SD-809 in any of the indications for which we plan to develop it, which include chorea associated with Huntington’s disease, tardive dyskinesia or Tourette syndrome, or any future product candidates, we will not be able to commercialize them in the United States and our business will be adversely impacted.
If we fail to obtain FDA approval for SD-809 or any future product candidates, we will be unable to market or sell such products in the United States, which will significantly impair our ability to generate any revenues. The clinical development of product candidates is subject to extensive regulation by the FDA in the United States and by comparable regulatory authorities in foreign markets. Product development is a very lengthy and expensive process, and its outcome is inherently uncertain. The product development timeline can vary significantly based upon the product candidate’s novelty and complexity.
35
This regulatory review and approval process, which includes evaluation of preclinical studies and clinical trials of our product candidates as well as the evaluation of our manufacturing processes and our third-party contract manufacturers’ facilities, is lengthy, expensive and uncertain. To receive approval, we must, among other things, demonstrate with substantial evidence from clinical trials that the product candidate is both safe and effective for each indication for which approval is sought, and failure can occur in any stage of development. Satisfaction of the approval requirements typically takes many years and the time needed to satisfy them may vary substantially, based on the type, complexity and novelty of the pharmaceutical product. As part of the U.S. Prescription Drug User Fee Act, the FDA has a goal to review and act on a percentage of all submissions in a given time frame. The general review goal for a drug application is ten to twelve months for a Standard Review application and six to eight months for a Priority Review application, depending on whether the drug at issue is a new molecular entity. Priority Review designation is given to drugs that offer major advances in treatment, or provide a treatment where no adequate therapy exists. The FDA’s review goals are subject to change, and it is unknown whether the review of our NDA for SD-809, or an NDA filing for any of our other product candidates, will be completed within the FDA’s review goals or will be delayed. Moreover, the duration of the FDA’s review may depend on the number and types of other NDAs that are submitted to the FDA around the same time period. We cannot predict if, or when, we might receive regulatory approvals for SD-809 or any future product candidates. We intend to seek, where appropriate, Priority Review for our drug candidates but cannot be certain that we will obtain Priority Review, and even if we do, there can be no assurance that the approval process will not be lengthy. Moreover, any approvals that we obtain may contain significant limitations in the form of narrow indications, warnings, precautions or contra-indications with respect to conditions of use, or require as a condition of approval a REMS to ensure that the benefits of the drug outweigh the risks. In such event, our ability to generate revenues from such products could be greatly reduced and our business could be harmed.
The FDA has substantial discretion in the approval process and may refuse to consider our application for substantive review or may form the opinion after review of our data that our application contains deficiencies that prevent approval of a product candidate. If the FDA does not consider or approve our application, it may require that we conduct additional clinical, preclinical or manufacturing validation studies and submit that data before it will reconsider our application. Depending on the extent of these or any other studies, approval of any applications that we submit may be delayed or never approved, or may require us to expend more resources than we have available. It is also possible that additional studies, if performed and completed, may not be successful or considered sufficient by the FDA to support approval. If any of these outcomes occur, we may be forced to abandon one or more of our applications for approval, which might significantly harm our business, prospects, financial condition and results of operations.
The FDA or other comparable foreign regulatory authorities can delay, limit, or deny approval of a product candidate for many reasons, including:
|
· |
such authorities may disagree with the design or implementation of our clinical trials; |
|
· |
we may be unable to demonstrate to the satisfaction of the FDA or other regulatory authorities that a product candidate is safe and effective for any indication; |
|
· |
such authorities may not accept clinical data from trials which are conducted at clinical facilities or in countries where the standard of care is potentially different from the United States; |
|
· |
we may be unable to demonstrate that a product candidate’s clinical and other benefits outweigh its safety risks; |
|
· |
such authorities may disagree with our interpretation of data from preclinical studies or clinical trials; |
|
· |
the results of our clinical trials may not demonstrate the safety or efficacy required by such authorities for approval; |
|
· |
such authorities may find deficiencies in the manufacturing processes or facilities of third-party manufacturers with which we contract for clinical and commercial supplies; and |
|
· |
the approval policies or regulations of such authorities may significantly change in a manner rendering our clinical data insufficient for approval. |
Even if we do receive regulatory approval to market a product candidate, any such approval may be subject to limitations on the indicated uses for which we may market the product. It is possible that SD-809 and any of the product candidates we may seek to develop in the future may never obtain the appropriate regulatory approvals necessary for us to commence product sales. Any delay in obtaining, or an inability to obtain, applicable regulatory approvals would prevent us from commercializing our product candidates, generating revenues and achieving and sustaining profitability.
36
Clinical development is a lengthy and expensive process with an uncertain outcome. Because the results of early clinical trials are not necessarily predictive of future results, SD-809 may not have favorable results in ongoing or later clinical trials or receive regulatory approval.
Clinical development is expensive, takes many years to complete and its outcome is inherently uncertain. Failure can occur at any time during the clinical trial process and SD-809 is subject to the risks of failure inherent in drug development. Success in early clinical trials does not mean that later clinical trials will be successful. Product candidates in later-stage clinical trials may fail to demonstrate sufficient safety or efficacy despite having progressed through initial clinical trials, even at statistically significant levels. Companies frequently suffer significant setbacks in late-stage clinical trials due to lack of efficacy or adverse safety profiles, even after earlier clinical trials have shown promising results. Our ongoing and future clinical trials may not be successful.
The planned, ongoing and recently completed clinical trials of SD-809 may not be appropriately designed to support submission of an NDA to the FDA or demonstrate safety or efficacy at the level required by the FDA for product approval.
In December 2014, we announced positive topline results from our First-HD trial, a placebo-controlled trial of SD-809 in 90 patients with chorea associated with Huntington’s disease and our ARC-HD Switch trial where patients with chorea associated with Huntington’s disease on stable doses of tetrabenazine were switched overnight to SD-809 (at about half the tetrabenazine dose) and monitored for safety and efficacy for eight weeks, with an analysis at one, four and eight weeks. Patients from First-HD and ARC-HD Switch are eligible to roll into our ARC-HD Rollover trial, which is a long-term safety study. These trials are being conducted at sites in the United States, Canada and Australia.
We have also initiated two clinical trials for the treatment of tardive dyskinesia that are being conducted at sites in the United States and Europe. The first trial, referred to as ARM-TD, is a placebo-controlled trial of SD-809 in approximately 90 patients with tardive dyskinesia and we expect to announce topline data from this trial in mid-2015. The second trial, referred to as AIM-TD, is a placebo-controlled trial of SD-809 in approximately 200 patients with tardive dyskinesia and we expect to announce topline data from this trial in 2016. In addition to the Huntington’s disease and tardive dyskinesia programs, we initiated an open-label preliminary efficacy, pharmacokinetic and safety Phase 1b clinical trial for the treatment of tics associated with Tourette syndrome. We plan to enroll approximately 20 subjects to evaluate preliminary efficacy and safety, in addition to studying the pharmacokinetics of SD-809 in adolescents. These additional data are expected to further support the dosing assumptions and design elements of a randomized, controlled trial in this patient population and accelerate the development of SD-809 in this indication. We plan to announce topline data from this trial by mid-2015.
Although we achieved positive results on the endpoints from our First-HD and ARC-HD Switch clinical trials, and even if we achieve positive results from our other ongoing or any future clinical trials, the FDA may disagree that the clinical trials are adequate to show safety or efficacy in the indication being sought or with our interpretation of the data and deem the results insufficient to demonstrate efficacy at the level required by the FDA for product approval. While we do not have any current plans to do so, it is possible that we may make modifications to the clinical trial protocols or designs of one or more of our ongoing clinical trials that delay enrollment or completion of such clinical trials and could delay regulatory approval of SD-809. Any failure to obtain approval for SD-809 on the timeline that we currently anticipate, or at all, would have a material and adverse impact on our business, prospects, financial condition and results of operations.
37
If the FDA does not conclude that SD-809 satisfies the requirements for the Section 505(b)(2) regulatory approval pathway, or if the requirements for approval of SD-809 under Section 505(b)(2) are not as we expect, the development and approval of SD-809 will likely take significantly longer, cost significantly more and entail significantly greater complexity and risks than anticipated, and in any case may not be successful.
We intend to seek FDA approval through the Section 505(b)(2) regulatory pathway for SD-809. Section 505(b)(2) of the Federal Food, Drug, and Cosmetic Act, or the FDCA, permits the filing of an NDA where at least some of the information required for approval comes from studies that were not conducted by or for the applicant and for which the applicant has not obtained a right of reference. In the case of SD-809, we intend to file a Section 505(b)(2) NDA that relies on certain of the FDA’s prior findings of safety for the approved drug, tetrabenazine (marketed as Xenazine in the United States). Our ability to rely on certain of the FDA’s safety findings with regard to tetrabenazine will depend on our ability to demonstrate to the FDA’s satisfaction that the dose range of SD-809 employed in our Phase 3 program exposes patients to similar levels of key active metabolites as the approved dose range of tetrabenazine. In our initial Phase 1 clinical trial, the sum of two key metabolites more than doubled at an equi-milligram dose of SD-809 as tetrabenazine, indicating that SD-809 exposes patients to similar levels of active metabolites at half the dose of tetrabenazine. Even with such a showing, the FDA has indicated that controlled safety data for SD-809 is required. We have generated such controlled safety data for SD-809 in our First-HD trial, however there can be no assurance that the FDA will be satisfied with these data. With regard to efficacy, our First-HD trial is similar in design to the successful tetrabenazine clinical trial that, along with the confirmatory evidence from a second, failed clinical trial, provided the basis for the finding of efficacy of tetrabenazine. We have not discussed with the FDA specifically whether our First-HD trial alone is adequate to establish the efficacy of SD-809. We expect to discuss this matter along with the topline positive results from the First-HD trial at a pre-NDA meeting with the FDA; however, we can provide no assurance that the FDA will not require additional clinical trials of SD-809.
By pursuing the Section 505(b)(2) regulatory pathway for SD-809, our reliance on the prior findings of safety for Xenazine may require any approved labeling for SD-809 to include certain safety information that is included in the labeling of Xenazine. For example, we have completed a thorough QT study of SD-809 in healthy subjects to further evaluate the potential effect of SD-809 on cardiac repolarization, specifically the QT-interval, and although the results are desirable, the trial design was not discussed with FDA and it is possible that the labeling for SD-809, if approved, may contain information pertaining to the Xenazine QT interval. Topline results from this thorough QT study demonstrated that at two different dose levels, SD-809 had no clinically significant effect on cardiac repolarization as assessed by the QT interval. A tetrabenazine arm was included for comparison and demonstrated an increase in QTc that is consistent with the effect reported in the FDA labeling for Xenazine. The clinical trial’s assay sensitivity was established by the observation of characteristic QTc prolongation following dosing with moxifloxacin. If the FDA disagrees with our position that reliance on the safety data for Xenazine is appropriate, or if the data required for approval of our Section 505(b)(2) NDA are different than anticipated, we may need to conduct additional clinical trials, provide additional data and information, and meet additional standards for regulatory approval. If this were to occur, the time and financial resources required to obtain FDA approval for SD-809 would likely substantially increase. Moreover, the inability to pursue the Section 505(b)(2) regulatory pathway could result in new competitive products reaching the market faster than SD-809, which could materially adversely impact our competitive position and prospects. Even if the Section 505(b)(2) regulatory pathway is deemed appropriate for a product candidate, we cannot assure you that we will receive the requisite or timely approvals for commercialization of such product candidate.
In addition, we expect that our competitors may file citizens’ petitions with the FDA in an attempt to persuade the FDA that our products, or the clinical trials that support their approval, contain deficiencies. Such actions by our competitors could delay or even prevent the FDA from approving any NDA that we submit under Section 505(b)(2).
38
SD-809 or our other product candidates may cause undesirable side effects or have other properties that may delay or prevent their regulatory approval or commercialization or limit their commercial potential.
Undesirable side effects caused by SD-809 or our other product candidates could cause us or regulatory authorities to interrupt, delay, suspend or terminate clinical trials and could result in a more restrictive label or the delay or denial of marketing approval by the FDA or other regulatory authorities. This, in turn, could limit or prevent us from commercializing SD-809, or our other product candidates, and generating revenues from their sale. While the topline data from the First-HD and ARC-HD Switch clinical trials showed a desirable safety and tolerability profile with low rates of adverse events, such as depression, somnolence, akathisia and anxiety, the most common adverse events observed in patients who received SD-809 were insomnia, somnolence, fatigue, diarrhea, irritability and dry mouth. In First-HD, there was one patient with two serious adverse events (cholecystitis and agitated depression) in the SD-809 group, and one patient with one serious adverse event (exacerbation of chronic obstructive pulmonary disease, or COPD) in the placebo group. The same patient experiencing the serious adverse events in the SD-809 group also reported suicidal ideation, which was not considered a serious adverse event. In ARC-HD Switch, one patient was hospitalized for pneumonia and another patient was hospitalized overnight for dehydration. Neither of these adverse events was considered related to study medication and both of these events resolved. In the ongoing open label ARC-HD Rollover trial, which is not a placebo controlled trial, one patient was briefly hospitalized as a precaution for worsening anxiety, depression and suicidal ideation, events considered possibly related to study medication. Another subject developed depression and suicidal ideation, events considered possibly related to study medication. A third subject was briefly hospitalized for dehydration and confusion, events considered not related to study medication. All of these adverse events resolved. Results from our ongoing or future clinical trials could reveal a high and unacceptable severity and prevalence of these or other side effects. In such an event, our trials could be suspended or terminated and the FDA or comparable foreign regulatory authorities could order us to cease further development of or deny approval of SD-809 or our other product candidates for their targeted indications. Further, such side effects could affect patient recruitment or the ability of enrolled patients to complete the trial or result in potential product liability claims. Any of these occurrences may have a material and adverse impact on our business, prospects, financial condition and results of operations.
In addition, if SD-809 or any of our other product candidates receives marketing approval and we or others later identify undesirable side effects caused by such product candidate, a number of significant negative consequences could result, including:
|
· |
the FDA may withdraw its approval of such product candidate; |
|
· |
the FDA may require that we demonstrate a larger clinical benefit by conducting additional clinical trials for approval to offset the risk; |
|
· |
the FDA may require the addition of labeling statements or warnings that could diminish the usage of the product or otherwise limit the commercial success of such product candidate; |
|
· |
the FDA may make the requirements of any REMS more restrictive; |
|
· |
we may be required to change the way such product candidate is administered; |
|
· |
we may choose to recall, withdraw or discontinue sale of such product candidate; |
|
· |
we could be sued and held liable for harm caused to patients; and |
|
· |
our reputation may suffer. |
Any one or a combination of these events could prevent us from achieving or maintaining market acceptance of the affected product candidate or could substantially increase the costs and expenses of commercializing such product candidate, which in turn could delay or prevent us from generating any revenues from the sale of the product, which could significantly harm our business, prospects, financial condition and results of operations.
39
We anticipate that SD-809 will require a REMS which could delay the approval of SD-809 and increase the cost, burden and liability associated with the commercialization of SD-809.
The FDA Amendments Act of 2007 implemented safety-related changes to product labeling and provided the FDA with expanded authority to require the adoption of a REMS to assure safe use of the product candidates, either as a condition of product candidate approval or on the basis of new safety information. Given that tetrabenazine is subject to a REMS, we anticipate that approval of SD-809, if obtained, will be conditioned on the requirement to implement a REMS, and it is possible that our other product candidates may require a REMS. The REMS may include, among other things, medication guides for patients, special communication plans to health care professionals or elements to assure safe use, such as restricted distribution methods, patient registries and/or other risk minimization tools. We cannot predict the specific REMS to be required as part of the FDA’s approval of our product candidates. While the topline data from the First-HD and ARC-HD Switch clinical trials showed a desirable safety and tolerability profile with low rates of depression, somnolence, akathisia, anxiety and suicidal ideation, the most common adverse events observed in patients who received SD-809 were insomnia, somnolence, fatigue, diarrhea, irritability and dry mouth. In First-HD, there was one patient with two serious adverse events (cholecystitis and agitated depression) in the SD-809 group, and one patient with one serious adverse event (exacerbation of COPD) in the placebo group. The same patient experiencing the serious adverse events in the SD-809 group also reported suicidal ideation, which was not considered a serious adverse event. In ARC-HD Switch, one patient was hospitalized for pneumonia and another patient was hospitalized overnight for dehydration. Neither of these adverse events was considered related to study medication and both of these events resolved. In the ongoing open label ARC-HD Rollover trial which is not a placebo controlled trial, one patient was briefly hospitalized as a precaution for worsening anxiety, depression and suicidal ideation, events considered possibly related to study medication. Another subject developed depression and suicidal ideation, events considered possibly related to study medication. A third subject was briefly hospitalized for dehydration and confusion, events considered not related to study medication. All of these adverse events resolved. We would likely expect the elements of the REMS for SD-809, if approved, to be similar to the REMS for tetrabenazine, which includes a communication plan to healthcare providers to provide information about the increased risk of drug-associated depression and suicidality, proper titration and dosing, and the risk of drug-drug interactions with strong CYP2D6 inhibitors in patients taking the drug and the need to test for CYP2D6 enzyme activity. Any limitations on approval or marketing could restrict the commercial promotion, distribution, prescription or dispensing of our product candidates, if approved. Depending on the extent of the REMS requirements, these requirements may significantly increase our costs to commercialize these product candidates. Furthermore, risks of our product candidates that are not adequately addressed through proposed REMS for such product candidates may also prevent or delay their approval for commercialization.
We may experience delays in the commencement or completion of our clinical trials, which could result in increased costs to us and delay our ability to pursue regulatory approval and generate product revenues.
Delays in the commencement or completion of clinical trials could significantly impact our product development costs and could result in the need for additional financing. We do not know whether our ongoing and planned clinical trials of SD-809 will be completed on time, or at all, or whether any clinical trials will need to be redesigned, enroll patients on time or be completed on schedule, if at all. The commencement or completion of clinical trials can be delayed for a variety of reasons, including delays in or related to:
|
· |
raising sufficient capital to fund the clinical trials; |
|
· |
obtaining regulatory feedback on trial design necessary, to commence a clinical trial; |
|
· |
identifying, recruiting and training suitable clinical investigators; |
|
· |
identifying, recruiting and enrolling suitable patients to participate in a clinical trial; |
|
· |
reaching agreement on acceptable terms with prospective contract research organizations, or CROs, and clinical trial sites, the terms of which can be subject to extensive negotiation and may vary significantly among different CROs and clinical trial sites; |
|
· |
obtaining sufficient quantities of drug product for use in clinical trials; |
|
· |
obtaining IRB approval to conduct a clinical trial at a prospective site; |
|
· |
adding new clinical trial sites; |
|
· |
clinical trial sites deviating from trial protocol or dropping out of a trial; |
|
· |
failure to conduct the clinical trial in accordance with regulatory requirements or our clinical protocols; |
|
· |
failure to demonstrate a benefit from using a drug, changes in governmental regulations or administrative actions; |
|
· |
unforeseen safety issues or any determination that a clinical trial presents unacceptable health risks; |
40
|
· |
retaining patients who have initiated a clinical trial but may withdraw due to adverse side effects from the therapy, insufficient efficacy, fatigue with the clinical trial process or personal issues; and |
|
· |
catastrophic loss of drug product due to shipping delays or delays in customs in connection with delivery of drug product to or from foreign countries for use in clinical trials. |
In addition, the FDA may also put a clinical trial on clinical hold at any time during product candidate development.
Patient enrollment, a significant factor in the timing of clinical trials, is affected by many factors including the size and nature of the patient population, the proximity of patients to clinical sites, the eligibility criteria for the trial, the design of the clinical trial, competing clinical trials and clinicians’ and patients’ perceptions as to the potential benefits of the product candidate being studied in relation to other available therapies, including any new therapies that may be approved for the indications we are investigating. Our ongoing AIM-TD clinical trial of SD-809 for the treatment of tardive dyskinesia will seek to enroll significantly more patients than we have enrolled in any single clinical trial of SD-809 to date and we may not be able to do so successfully. Furthermore, we rely on CROs and clinical trial sites to ensure the proper and timely conduct of our clinical trials and, while we have agreements governing their committed activities, we have limited influence over their actual performance.
We could encounter delays if physicians encounter unresolved ethical issues associated with enrolling patients in clinical trials of our product candidates in lieu of prescribing existing treatments that have established safety and efficacy profiles. Principal investigators for our clinical trials may serve as scientific advisors or consultants to us from time to time and receive cash compensation in connection with such services. If these relationships exceed certain financial thresholds, they must be reported to the FDA at the time of NDA submission. Such payments made to any investigator or the investigator’s institution that exceeds $25,000 during the time the clinical investigator is carrying out the study and for one year following completion of the study must be reported to the FDA at the time of NDA submission. In addition, disclosable financial interests include: (1) any compensation to the investigator by the sponsor in which the value could be affected by study outcome; (2) a proprietary interest in the tested product; and (3) any equity interest in the sponsor of the covered clinical study, including any ownership interest, stock options, or other financial interest whose value cannot be readily determined through reference to public prices. In addition to disclosing the financial interest of an investigator, the NDA applicant must describe any steps taken to minimize the risk of bias, which could include factors such as multiple study sites, the use of appropriate blinding and randomization procedures, and the assessment of objective study points. We expect to disclose a financial arrangement, including a grant to an investigator’s institution, for at least one investigator and submit this information in our NDA. In addition, individuals associated with our CROs or any other entity that manages or is involved with our clinical trials, including principal investigators, may serve as consultants to us from time to time and receive cash compensation in connection with such services. If these relationships and any related compensation to the clinical investigator carrying out the study, or to any entity that manages or is involved with our clinical trials or to individuals associated with that entity, result in perceived or actual conflicts of interest, or the FDA concludes that the financial relationship may have affected interpretation of the study, the integrity of the data generated at the applicable clinical trial site may be questioned and the utility of the clinical trial itself may be jeopardized, which could result in the delay or rejection of our NDA by the FDA. Any such delay or rejection could prevent us from commercializing SD-809.
Further, we could encounter delays if a clinical trial is suspended or terminated by us, the IRBs in the institutions in which such trials are being conducted, the Data Safety Monitoring Board for such trial, or by the FDA or other regulatory authorities due to a number of factors, including failure to conduct the clinical trial in accordance with regulatory requirements or our clinical protocols, inspection of the clinical trial operations or trial site by the FDA or other regulatory authorities resulting in the imposition of a clinical hold, unforeseen safety issues or adverse side effects, failure to demonstrate a benefit from using our product candidate, changes in governmental regulations or administrative actions or lack of adequate funding to continue the clinical trial. If we experience termination of, or delays in the completion of, any clinical trial of our product candidate, the commercial prospects of our product candidate will be harmed, and our ability to generate product revenues will be delayed. In addition, any delays in completing our clinical trials will increase our costs, slow down our product development and approval process and jeopardize our ability to commence product sales and generate revenues. Any of these occurrences may harm our business, prospects, financial condition and results of operations significantly. Furthermore, many of the factors that cause, or lead to, a delay in the commencement or completion of clinical trials may also ultimately lead to the denial of regulatory approval of our product candidates.
Changes in regulatory requirements and guidance also may occur and we may need to amend clinical trial protocols to reflect these changes. Amendments may require us to resubmit our clinical trial protocols to IRBs for re-examination, which may impact the costs, timing and successful completion of a clinical trial. If we experience delays in the completion of, or if we must terminate, any clinical trial of SD-809, our ability to obtain regulatory approval will be delayed and the commercial prospects, if any, for SD-809 may be harmed. If we ultimately commercialize SD-809 or any of our other product candidates, other therapies for the same indications may have been introduced to the market during the period we have been delayed and such therapies may have established a competitive advantage over our product candidates.
41
We may not obtain orphan drug exclusivity for any of our product candidates.
Our business strategy focuses on the development and commercialization of novel medicines for the treatment of orphan diseases. In the United States, under the Orphan Drug Act, the FDA may grant orphan designation to a drug intended to treat a rare disease or condition. Such diseases and conditions are those that affect fewer than 200,000 individuals in the United States or, if they affect more than 200,000 individuals in the United States, there is no reasonable expectation that the cost of developing and making a drug product available in the United States for these types of diseases or conditions will be recovered from sales of the product. Orphan drug designation must be requested before submitting an NDA. The applicant will not be required to pay the NDA fee if the orphan designation has been granted, but will be required to pay the NDA fee if the designation is still pending at the time the NDA is submitted, although the FDA could still grant a waiver of the application fee for the first drug application as a small business (section 736(d) of the FDCA) if the criteria for a small business are met. If the FDA grants orphan drug designation, the identity of the therapeutic agent and its potential orphan use are disclosed publicly by that agency. Orphan drug designation does not convey any advantage in or shorten the duration of the regulatory review and approval process, but it can lead to financial incentives, such as opportunities for grant funding toward clinical trial costs, tax advantages in-lieu of R&D tax credits and user-fee waivers. If a product that has orphan drug designation subsequently receives the first FDA approval for the disease or condition for which it has such designation, the product is entitled to orphan drug marketing exclusivity for a period of seven years. Orphan drug marketing exclusivity generally prevents the FDA from approving another application, including a full NDA, to market the same drug for the same indication for seven years, except in limited circumstances, including if the FDA concludes that the later drug is safer, more effective or makes a major contribution to patient care. The FDA defines “same drug” as a drug that contains the same active chemical entity and is intended for the same use as the drug in question. A designated orphan drug may not receive orphan drug marketing exclusivity if it is approved for a use that is broader than the indication for which it received orphan designation or if a third party first obtains approval of the same drug for the orphan designated indication (unless FDA concludes that the later drug is safer, more effective or makes a major contribution to patient care). Orphan drug marketing exclusivity rights in the United States may be lost if the FDA later determines that the request for designation was materially defective or if the manufacturer is unable to assure sufficient quantity of the drug to meet the needs of patients with the rare disease or condition.
We received an orphan drug designation of SD-809 for the treatment of Huntington’s disease from the FDA in November 2014, and an orphan drug designation of SD-809 for the treatment of Tourette syndrome in the pediatric population (defined as zero through 16 years of age) from the FDA in January 2015. However, we may not obtain orphan drug designation for any of our other current, or future, product candidates and hence would not receive the market exclusivity or be afforded the financial incentives attained with orphan drug exclusivity.
We face significant competition from other pharmaceutical and biotechnology companies, and our operating results will suffer if we fail to compete effectively.
The biotechnology and pharmaceutical industries are intensely competitive and subject to rapid and significant technological change. We have competitors both in the United States and international markets, including major multinational pharmaceutical companies, biotechnology companies and universities and other research institutions. Many of our competitors have substantially greater financial, technical and other resources, such as larger research and development staff, experienced marketing and manufacturing organizations and well-established sales forces. Additional mergers and acquisitions in the biotechnology and pharmaceutical industries may result in even more resources being concentrated in our competitors. Competition may increase further as a result of advances in the commercial applicability of technologies and greater availability of capital for investment in these industries. Our competitors may succeed in developing, acquiring or licensing on an exclusive basis, products that are more effective, easier to administer or less costly than SD-809 or our other product candidates.
We anticipate that, if approved, SD-809 will compete primarily against Xenazine and, potentially in the future, generic tetrabenazine for the treatment of chorea associated with Huntington’s disease. In addition, there are several product candidates in clinical development for the treatment of Huntington’s disease. These include Huntexil (prodipidine) and Nerventra (laquinimod), which are both being developed by Teva Pharmaceutical Industries; PBT2, which is being developed by Prana Biotechnology Ltd.; SEN0014196 (selisistat), which is being developed by Siena Biotech S.p.A.; PROCYSBI (cysteamine), which is approved for the treatment of nephropathic cystinosis and is being developed for Huntington’s disease by Raptor Pharmaceuticals, Inc.; OMS824, which is being developed by Omeros Corporation; PF-2545920, which is being developed by Pfizer Inc. and BN82451 which is being developed by Ipsen.
There are currently no approved drugs for the treatment of tardive dyskinesia, but we believe that tetrabenazine is prescribed off-label for this indication. We are aware of several product candidates in clinical development for treatment of tardive dyskinesia including: NBI-98854 (valine ester substituted analog of a single stereoisomer of alpha), which is being developed by Neurocrine Biosciences Inc.; SNC-102 (acamprosate calcium), which is being developed by Synchroneuron Inc.; and Tardoxal (pyridoxine hydrochloride), which is being developed by Medicure Inc.
42
There are currently three FDA-approved drugs for the treatment of Tourette syndrome, aripiprazole (marketed as ABILIFY by Otsuka Pharmaceutical Group), haloperidol and pimozide, which are all neuroleptics. We believe that tetrabenazine and guanfacine are prescribed off-label for this indication as well. We are aware of several product candidates in clinical development for the treatment of Tourette syndrome including: NBI-98854 (a valine ester-substituted analog of alpha), which is being developed by Neurocrine Biosciences, Inc.; ecopipam (a synthetic benzazepine derivative), which is being developed by Psyadon Pharmaceuticals Inc.; AZD5213, which is being developed by AstraZeneca plc; CPP-109, which is being developed by Catalyst Pharmaceutical Partners; SNC-102 (acamprosate calcium), which is being developed by Synchroneuron, Inc.; and EPI-754, which is being developed by Edison Pharmaceuticals, Inc.
The availability and price of our competitors’ products could limit the demand, and the price we are able to charge, for SD-809 or our other product candidates. We may not be able to successfully execute on our business objectives if the market acceptance of SD-809 or our other product candidates is inhibited by significant price competition from Xenazine, or any generic tetrabenazine that may be available in the future, or if physicians are reluctant to switch from existing products to SD-809 or our other product candidates, or if physicians switch to other new products or choose to reserve SD-809 or our other product candidates for use in limited patient populations. Xenazine is expected to lose its market exclusivity related to its orphan drug status for the treatment of chorea associated with Huntington’s disease in August 2015 and generic versions of tetrabenazine may potentially be introduced into the market after such time. In addition, established pharmaceutical companies may invest heavily to accelerate discovery and development of novel compounds or to in-license and develop novel compounds that could make SD-809 or our other product candidates obsolete.
While comparative safety or efficacy are not required for FDA approval, and we do not intend to test SD-809 against Xenazine in our ongoing Phase 3 clinical trials, any new product that competes with an approved product must demonstrate compelling advantages in efficacy, convenience, tolerability and safety in order to overcome price competition and to be commercially successful. Accordingly, our competitors may succeed in obtaining patent protection, obtaining FDA approval or discovering, developing and commercializing products before we do, which would have a material adverse impact on our business. The inability to compete with existing products or subsequently introduced products would have a material adverse impact on our business, prospects, financial condition and results of operations.
Even if we receive regulatory approval for SD-809 or any future product candidates, we will be subject to ongoing regulatory obligations and continued regulatory review, which may result in significant additional expense, and we may be subject to penalties if we fail to comply with regulatory requirements.
Any regulatory approvals that we receive for our product candidates will contain approved indicated uses, and we will be required to market any approved products in accordance with the indicated uses and our approved labeling. In addition, any regulatory approvals may contain conditions for approval or requirements for potentially costly post-marketing testing, including Phase 4 clinical trials, and surveillance to monitor the safety and efficacy of the product candidate. In addition, if the FDA or a comparable foreign regulatory authority approves any of our product candidates, the manufacturing processes, labeling, packaging, distribution, adverse event reporting, storage, advertising, promotion, import, export and recordkeeping for the product will be subject to extensive and ongoing regulatory requirements. These requirements include submissions of safety and other post-marketing information and reports, registration, as well as continued compliance with current good manufacturing practices, or cGMPs, and current good clinical practices, or cGCPs, for any clinical trials that we conduct post-approval. Later discovery of previously unknown problems with a product, including adverse events of unanticipated severity or frequency, or with our third-party manufacturers or manufacturing processes, or failure to comply with regulatory requirements, may result in, among other things:
|
· |
restrictions on the marketing or manufacturing of the product, withdrawal of the product from the market, or voluntary or mandatory product recalls; |
|
· |
fines, warning or untitled letters or holds on clinical trials; |
|
· |
refusal by the FDA to approve pending applications or supplements to approved applications filed, or suspension or revocation of product approvals; |
|
· |
product seizure or detention, or refusal to permit the import or export of products; and |
|
· |
injunctions, the imposition of civil penalties or criminal prosecution. |
We cannot predict the likelihood, nature or extent of government regulation that may arise from future legislation or administrative action, either in the United States or abroad. Any government investigation of alleged violations of law could require us to expend significant time and resources in response and could generate negative publicity. If we are not able to maintain regulatory compliance or if we are slow or unable to adapt to changes in existing requirements or the adoption of new requirements or policies, regulatory sanctions may be applied or we may lose any marketing approval that we may have obtained, and we may not achieve or sustain profitability, which would adversely affect our business, prospects, financial condition and results of operations.
43
We rely on third parties to conduct our clinical trials. If these third parties do not successfully carry out their contractual duties or meet expected deadlines, we may not be able to obtain regulatory approval for or commercialize our product candidates and our business could be substantially harmed.
We have agreements with third-party CROs to conduct or monitor and manage data for our ongoing clinical programs, including SD-809. We rely heavily on these parties for execution of our clinical trials, and we control only certain aspects of their activities. Nevertheless, we are responsible for ensuring that each of our trials is conducted in accordance with applicable protocol, legal, regulatory and scientific standards, and our reliance on our CROs does not relieve us of our regulatory responsibilities. We and our CROs are required to comply with federal regulations and cGCPs, which are guidelines enforced by the FDA and comparable foreign regulatory authorities for all of our product candidates in clinical development. Regulatory authorities enforce these cGCPs through periodic inspections of trial sponsors, principal investigators and trial sites. If we or any of these CROs fail to comply with applicable regulations and cGCPs, the clinical data generated in our clinical trials may be deemed unreliable and the FDA or comparable foreign regulatory authorities may require us to perform additional clinical trials before approving our marketing applications. We cannot assure you that, upon inspection, such regulatory authorities will determine that any of our clinical trials comply with the applicable regulations and cGCPs. In addition, our clinical trials must be conducted with drug product produced under applicable regulations and cGMP and will require a large number of trial subjects. Our or our respective CROs’ failure to comply with these regulations or to recruit a sufficient number of patients may require us to repeat clinical trials, which would delay the regulatory approval process. Moreover, our business may be implicated if any of our CROs violate federal or state fraud and abuse or false claims laws and regulations or healthcare privacy and security laws.
Our CROs are not our employees and, except for remedies available to us under our agreements with such CROs, we cannot control whether or not they devote sufficient time and resources to our ongoing preclinical, clinical and nonclinical programs. These CROs may also have relationships with other commercial entities, including our competitors, for whom they may also be conducting clinical trials or other drug development activities, which could harm our competitive position. If our CROs do not successfully carry out their contractual duties or obligations or meet expected deadlines, if they need to be replaced or if the quality or accuracy of the clinical data they obtain is compromised due to the failure to adhere to our clinical protocols or regulatory requirements or for other reasons, our clinical trials may be extended, delayed or terminated and we may not be able to complete development of, obtain regulatory approval for or successfully commercialize our product candidates. As a result, our financial results and the commercial prospects for SD-809 and other future product candidates would be harmed, our costs could increase and our ability to generate revenues could be delayed.
Switching or adding CROs involves substantial cost and requires extensive management time and focus. In addition, there is a natural transition period when a new CRO commences work. As a result, delays occur, which can materially impact our ability to meet our desired clinical development timelines. Though we carefully manage our relationships with our CROs, there can be no assurance that we will not encounter similar challenges or delays in the future or that these delays or challenges will not have a material adverse impact on our business, prospects, financial condition and results of operations.
We rely on third parties to manufacture supplies of SD-809, and we intend to rely on third parties to manufacture commercial supplies of SD-809, if and when it is approved. The development and commercialization of SD-809 could be stopped or delayed if any such third party fails to provide us with sufficient quantities of product or fails to do so at acceptable quality levels or prices or fails to maintain or achieve satisfactory regulatory compliance.
We do not currently have nor do we plan to acquire the infrastructure or capability internally to manufacture our clinical drug supplies for use in the conduct of our clinical trials, and we lack the resources and the capability to manufacture SD-809 or our other product candidates on a clinical or commercial scale. Instead, we rely on our third-party manufacturing partners for the production of the active pharmaceutical ingredient, or API, and drug formulation of SD-809. The facilities used by our third-party manufacturers to manufacture SD-809 and any other potential product candidates that we may develop in the future must be successfully inspected by the applicable regulatory authorities, including the FDA, after we submit our NDA to the FDA. We are currently completely dependent on our third-party manufacturers for the production of SD-809 in accordance with cGMPs, which include, among other things, quality control, quality assurance and the maintenance of records and documentation.
44
Although we have entered into an agreement for the manufacture of clinical supplies and initial commercial supplies of SD-809, our third-party manufacturers may not perform as agreed, may be unable to comply with these cGMP requirements and with FDA, state and foreign regulatory requirements or may terminate its agreement with us. If any of our third-party manufacturers cannot successfully manufacture material that conforms to our specifications and the applicable regulatory authorities’ strict regulatory requirements, or pass regulatory inspection, our NDA will not be approved. In addition, although we are ultimately responsible for ensuring product quality, we have no direct day-to-day control over our third-party manufacturers’ ability to maintain adequate quality control, quality assurance and qualified personnel. If our third-party manufacturers are unable to satisfy the regulatory requirements for the manufacture of our products, or if our suppliers or third-party manufacturers decide they no longer want to manufacture our products, we may need to find alternative manufacturing facilities, which would be time-consuming and significantly impact our ability to develop, obtain regulatory approval for or market our products. We might be unable to identify manufacturers for long-term commercial supply on acceptable terms or at all. Manufacturers are subject to ongoing periodic announced and unannounced inspection by the FDA and other governmental authorities to ensure compliance with government regulations. Currently, our contract manufacturer for the API for SD-809 is located outside the United States and the FDA has recently increased the number of foreign drug manufacturers that it inspects as well as the frequency of such inspections. As a result, our third-party manufacturers may be subject to increased scrutiny.
If we were to experience an unexpected loss of SD-809 supply for clinical development or commercialization, we could experience delays in our ongoing or planned clinical trials as our third-party manufacturers would need to manufacture additional SD-809 and we may not be able to provide sufficient lead time to enable our third-party manufacturers to schedule a manufacturing slot, or to produce the necessary replacement quantities. This could result in delays in progressing our clinical development activities and achieving regulatory approval for our products, which could materially harm our business.
The manufacture of pharmaceutical products is complex and requires significant expertise and capital investment, including the development of advanced manufacturing techniques and process controls. We and our contract manufacturers must comply with cGMP regulations and guidelines. Manufacturers of pharmaceutical products often encounter difficulties in production, particularly in scaling up and validating initial production. These problems include difficulties with production costs and yields, quality control, including stability of the product, quality assurance testing, operator error, shortages of qualified personnel, as well as compliance with strictly enforced federal, state and foreign regulations. Furthermore, if microbial, viral or other contaminations are discovered in our products or in the manufacturing facilities in which our products are made, such manufacturing facilities may need to be closed for an extended period of time to investigate and remedy the contamination. We cannot assure you that any stability or other issues relating to the manufacture of any of our products will not occur in the future. Additionally, our manufacturers may experience manufacturing difficulties due to resource constraints or as a result of labor disputes or unstable political environments. If our manufacturers were to encounter any of these difficulties, or otherwise fail to comply with their contractual obligations, our ability to provide any product candidates to patients in clinical trials would be jeopardized. Any delay or interruption in the supply of clinical trial supplies could delay the completion of clinical trials, increase the costs associated with maintaining clinical trial programs and, depending upon the period of delay, require us to commence new clinical trials at additional expense or terminate clinical trials completely.
Any adverse developments affecting clinical or commercial manufacturing of our products may result in shipment delays, inventory shortages, lot failures, product withdrawals or recalls, or other interruptions in the supply of our products or product candidates. We may also have to take inventory write-offs and incur other charges and expenses for products or product candidates that fail to meet specifications, undertake costly remediation efforts or seek more costly manufacturing alternatives. Accordingly, failures or difficulties faced at any level of our supply chain could materially adversely affect our business and delay or impede the development and commercialization of any of our products or product candidates and could have a material adverse effect on our business, prospects, financial condition and results of operations.
We plan to rely on third-party specialty channels to distribute SD-809 to patients, to successfully commercialize SD-809, if approved. If we are unable to effectively establish and manage this distribution process, the commercial launch and sales of SD-809 may be delayed or compromised.
We plan to contract with and rely on third-party specialty pharmacies to distribute SD-809 to patients. A specialty pharmacy is a pharmacy that specializes in the dispensing of medications for complex or chronic conditions, which require a high level of patient education and ongoing management. This distribution network will require significant attention from our management team. If we are unable to effectively establish and manage this distribution process, the commercial launch and sales of SD-809 will be delayed or compromised and our results of operations may be harmed.
In addition, the use of specialty pharmacies involves certain risks, including, but not limited to, risks that these organizations will:
|
· |
not provide us with accurate or timely information regarding their inventories, the number of patients who are using our SD-809, or complaints regarding SD-809; |
45
|
· |
not effectively sell or support SD-809; |
|
· |
reduce or discontinue their efforts to sell or support SD-809; |
|
· |
not devote the resources necessary to sell SD-809 in the volumes and within the time frames that we expect; |
|
· |
be unable to satisfy financial obligations to us or others; or |
|
· |
cease operations. |
Any such events may result in decreased sales and lower revenue, which could have a material adverse effect on our business, prospects, financial condition and results of operations.
Our ability to generate revenues from SD-809 or our other product candidates will be subject to attaining significant market acceptance among physicians, patients and healthcare payors.
Neither SD-809 nor any of our other product candidates, if approved, may attain market acceptance among physicians, patients, healthcare payors or the medical community. We believe that the degree of market acceptance and our ability to generate revenues from SD-809 and our other product candidates will depend on a number of factors, including:
|
· |
timing of market introduction of our products as well as competitive drugs; |
|
· |
efficacy and safety of our product candidates; |
|
· |
the clinical indication(s), if any, for which SD-809 or our other product candidates are approved; |
|
· |
with respect to SD-809, the size of the markets for the treatment of chorea associated with Huntington’s disease, tardive dyskinesia and Tourette syndrome; |
|
· |
acceptance by patients, primary care specialists and key specialists, including neurologists and psychiatrists; |
|
· |
potential or perceived advantages or disadvantages of SD-809 or our other product candidates over other alternative treatments, including cost of treatment and relative convenience and ease of administration and length of sustained benefits from treatment; |
|
· |
strength of sales, marketing and distribution support; |
|
· |
the price of our product candidates, both in absolute terms and relative to alternative treatments; |
|
· |
the effect of current and future healthcare laws; |
|
· |
availability of coverage and adequate reimbursement from government and other third-party payors; |
|
· |
product labeling requirements of the FDA or other regulatory authorities; and |
|
· |
the requirements of the REMS likely to be imposed by the FDA. |
While we believe that the reduced interpatient variability and lower dosing frequency of SD-809 relative to Xenazine will allow us to differentiate SD-809 from Xenazine in the market, if approved, because we do not intend to conduct a Phase 3 clinical trial comparing SD-809 to Xenazine, we will not be able to make direct comparative claims regarding the safety of SD-809 and Xenazine either in labeling or in our promotional materials for SD-809 from such trials. If SD-809 or any of our other product candidates is approved but fails to attain market acceptance by physicians, health care payors, or patients, we may not be able to generate significant revenue to achieve or sustain profitability, which would have a material adverse effect on our business, prospects, financial condition and results of operations.
Coverage and reimbursement may not be available, or may be available at only limited levels, for SD-809 or our other product candidates, which could make it difficult for us to sell our product candidates profitably.
46
Market acceptance and sales of SD-809 or our other product candidates will depend in large part on global reimbursement policies and may be affected by future healthcare reform measures. Successful commercialization of SD-809 or our other product candidates will depend in part on the availability of governmental and third-party payor reimbursement for the cost of our product candidates. Government authorities, private health insurers and other organizations establish coverage and reimbursement policies for new products, including product candidates like SD-809. In particular, in the United States, the Medicare and Medicaid programs increasingly are used as models for how private payors and other governmental payors develop their coverage and reimbursement policies for drugs and other medical products and services, particularly for new and innovative products and therapies, which has resulted in lower average selling prices. Further, the increased emphasis on managed healthcare in the United States will put additional pressure on product pricing, coverage, reimbursement and utilization, which may adversely affect our product sales and results of operations. These pressures can arise from policies and practices of managed care groups, judicial decisions and governmental laws and regulations related to Medicare, Medicaid and healthcare reform, coverage and reimbursement policies and pricing in general.
In March 2010, the Patient Protection and Affordable Care Act, as amended by the Health Care and Education Reconciliation Act, or collectively, PPACA, became law in the United States. PPACA substantially changes the way healthcare is financed by both governmental and private insurers and significantly affects the pharmaceutical industry. Among the provisions of PPACA of greatest importance to the pharmaceutical industry are the following: (1) an annual, nondeductible fee on any entity that manufactures or imports certain branded prescription drugs and biologic agents, apportioned among these entities according to their market share in certain government healthcare programs; (2) an increase in the rebates a manufacturer must pay under the Medicaid Drug Rebate Program to 23.1% and 13.0% of the average manufacturer price for branded and generic drugs, respectively; (3) extension of manufacturers’ Medicaid rebate liability to covered drugs dispensed to individuals who are enrolled in Medicaid managed care organizations; (4) expansion of eligibility criteria for Medicaid programs by, among other things, allowing states to offer Medicaid coverage to additional individuals and by adding new mandatory eligibility categories for certain individuals with income at or below 133% of the Federal Poverty Level in 2014, thereby potentially increasing manufacturers’ Medicaid rebate liability; (5) expansion of the entities eligible for discounts under the Public Health Service pharmaceutical pricing program; (6) expansion of health care fraud and abuse laws, including the False Claims Act and the Anti-Kickback Statute, new government investigative powers, and enhanced penalties for noncompliance; (7) a new Medicare Part D coverage gap discount program, in which manufacturers must agree to offer 50% point-of-sale discounts to negotiated prices of applicable brand drugs to eligible beneficiaries during their coverage gap period, as a condition for the manufacturer’s outpatient drugs to be covered under Medicare Part D; and (8) a new Patient-Centered Outcomes Research Institute to oversee, identify priorities in, and conduct comparative clinical effectiveness research, along with funding for such research.
In addition, other legislative changes have been proposed and adopted in the United States since PPACA was enacted. On August 2, 2011, the Budget Control Act of 2011 among other things, created measures for spending reductions by Congress. A Joint Select Committee on Deficit Reduction, tasked with recommending a targeted deficit reduction of at least $1.2 trillion for the years 2013 through 2021, was unable to reach required goals, thereby triggering the legislation’s automatic reduction to several government programs. This includes aggregate reductions of Medicare payments to providers of 2% per fiscal year, which went into effect on April 1, 2013 and will stay in effect through 2024 unless additional Congressional action is taken. We expect that additional state and federal healthcare reform measures will be adopted in the future, any of which could limit the amounts that federal and state governments will pay for healthcare products and services, which could result in reduced demand for our product candidates or additional pricing pressures. Any reduction in reimbursement from Medicare or other government programs may result in a similar reduction in payments from private payors.
We expect to experience pricing pressures in connection with the sale of SD-809 and our other product candidates, if approved, and any other products that we may develop, due to the trend toward managed healthcare, the increasing influence of health maintenance organizations and additional legislative proposals. If we fail to successfully secure and maintain adequate coverage and reimbursement for our products or are significantly delayed in doing so, we will have difficulty achieving market acceptance of our products and expected revenue and profitability which would have a material adverse effect on our business, prospects, financial condition and results of operations.
We may also be subject to healthcare laws, regulation and enforcement and our failure to comply with those laws could have a material adverse effect on our results of operations and financial conditions.
Although we currently do not have any products on the market, if SD-809 or any future product candidates are approved, once we begin commercializing our products, we may be subject to additional healthcare regulation and enforcement by the federal government and the states and foreign governments in which we conduct our business. The laws that may affect our ability to operate include:
|
· |
the federal Anti-Kickback Statute, which prohibits, among other things, persons from knowingly and willfully soliciting, receiving, offering or paying remuneration, directly or indirectly, to induce, or in return for, the purchase or recommendation of an item or service reimbursable under a federal healthcare program, such as the Medicare and Medicaid programs; |
47
|
· |
federal civil and criminal false claims laws and civil monetary penalty laws, which prohibit, among other things, individuals or entities from knowingly presenting, or causing to be presented, claims for payment from Medicare, Medicaid, or other third-party payors that are false or fraudulent; |
|
· |
the federal Health Insurance Portability and Accountability Act of 1996, or HIPAA, which created new federal criminal statutes that prohibit executing a scheme to defraud any healthcare benefit program and making false statements relating to healthcare matters; |
|
· |
HIPAA, as amended by the Health Information Technology for Economic and Clinical Health Act and its implementing regulations, which imposes certain requirements relating to the privacy, security, and transmission of individually identifiable health information; |
|
· |
the federal Physician Payment Sunshine Act, which requires certain manufacturers of drugs, devices, biologics, and medical supplies to report annually to the Centers for Medicare & Medicaid Services information related to payments and other transfers of value to physicians, other healthcare providers, and teaching hospitals, and ownership and investment interests held by physicians and other healthcare providers and their immediate family members; |
|
· |
state law equivalents of each of the above federal laws, such as anti-kickback and false claims laws that may apply to items or services reimbursed by any third-party payor, including commercial insurers; |
|
· |
state laws that require pharmaceutical companies to comply with the pharmaceutical industry’s voluntary compliance guidelines and the applicable compliance guidance promulgated by the federal government, or otherwise restrict payments that may be made to healthcare providers and other potential referral sources; |
|
· |
state laws that require drug manufacturers to report information related to payments and other transfers of value to physicians and other healthcare providers or marketing expenditures; |
|
· |
state laws governing the privacy and security of health information in certain circumstances, many of which differ from each other in significant ways and may not have the same effect, thus complicating compliance efforts; |
|
· |
state laws governing pharmaceutical distribution that require application and registration with state boards of pharmacy; and |
|
· |
state requirements related to cGMP inspections of pharmaceutical manufacturing facilities operating within their state. |
Because of the breadth of these laws and the narrowness of the statutory exceptions and safe harbors available, it is possible that some of our business activities could be subject to challenge under one or more of such laws. In addition, recent health care reform legislation has strengthened these laws. For example, PPACA, among other things, amends the intent requirement of the federal anti-kickback and criminal healthcare fraud statutes. A person or entity no longer needs to have actual knowledge of the statute or specific intent to violate it. Moreover, PPACA provides that the government may assert that a claim including items or services resulting from a violation of the federal anti-kickback statute constitutes a false or fraudulent claim for purposes of the False Claims Act.
If our operations are found to be in violation of any of such laws or any other governmental regulations that apply to us, we may be subject to penalties, including civil and criminal penalties, damages, fines, the curtailment or restructuring of our operations, the exclusion from participation in federal and state healthcare programs and imprisonment, any of which could adversely affect our ability to operate our business and our financial results.
If we are unable to establish sales and marketing capabilities, we may not be able to effectively market and sell our products and generate product revenue.
We are developing SD-809 for specific patient populations served by neurologists as well as psychiatrists. We do not currently have an organization for the sale, marketing or distribution of SD-809 or any of our other product candidates and we must build this organization, or enter into a marketing collaboration with a third party, in order to commercialize SD-809 and any future product candidates. We intend to establish an initial internal specialty sales force to sell SD-809, if approved, for the treatment of chorea associated with Huntington’s disease. In addition, we intend to enter into contractual relationships with specialty pharmacies for the distribution of SD-809, if approved. We may partner with third parties to commercialize SD-809 if it is approved for other indications, including tardive dyskinesia and Tourette syndrome.
The establishment and development of our own sales force in the United States to market SD-809 will be expensive and time consuming and could delay any product launch, and we cannot be certain that we would be able to successfully develop this capacity. If we are unable to establish our sales and marketing capability or any other non-technical capabilities necessary to commercialize any products we may develop, we will need to contract with third parties to market and sell such products in the United States. We currently possess limited resources and may not be successful in establishing our own internal sales force or in establishing arrangements with third parties, including with specialty pharmacies, on acceptable terms, if at all.
48
We will need to increase the size of our organization and the scope of our outside vendor relationships, and we may experience difficulties in managing growth.
As of December 31, 2014, we had 35 full-time employees. In addition, we have engaged part-time employees and individual consultants to assist us with a number of activities, including finance, clinical, regulatory and quality. We will need to expand our managerial, operational, financial and other resources in order to manage our operations and clinical trials, continue our research and development activities, commercialize SD-809, if approved, and transition to operating as a public company. Our management and scientific personnel, systems and facilities currently in place may not be adequate to support this expected growth. Our need to effectively manage our operations, growth and various projects requires that we:
|
· |
manage our clinical trials effectively, including our ongoing clinical trials of SD-809; |
|
· |
manage our internal development efforts effectively while carrying out our contractual obligations to contractors and other third parties; |
|
· |
manage our expanding manufacturing operations; |
|
· |
continue to improve our operational, financial and management controls and reporting systems and procedures; and |
|
· |
attract and retain sufficient numbers of talented employees. |
Because we rely on numerous consultants, effectively outsourcing many key functions of our business, we will need to be able to effectively manage these consultants to ensure that they successfully carry out their contractual obligations and meet expected deadlines. However, if we are unable to effectively manage our outsourced activities or if the quality or accuracy of the services provided by consultants is compromised for any reason, our clinical trials may be extended, delayed or terminated, and we may not be able to obtain regulatory approval for our product candidates or otherwise advance our business. There can be no assurance that we will be able to manage our existing consultants or find other competent outside contractors and consultants on economically reasonable terms, or at all. If we are not able to effectively expand our organization by hiring new employees and expanding our groups of consultants and contractors, we may be unable to successfully implement the tasks necessary to further develop and commercialize our product candidates and, accordingly, may not achieve our research, development and commercialization goals.
If we are not successful in attracting and retaining highly qualified personnel, we may not be able to successfully implement our business strategy.
Our ability to compete in the highly competitive biotechnology and pharmaceuticals industries depends upon our ability to attract and retain highly qualified managerial, scientific and medical personnel. In order to retain valuable employees and consultants at our company, in addition to salary and other cash incentives, we provide incentive stock options and restricted stock grants that vest over time. The value to employees and consultants of stock options and restricted stock grants that vest over time will be significantly affected by movements in our stock price that are beyond our control, and may at any time be insufficient to counteract more lucrative offers from other companies.
Our scientific team in particular has expertise in many different aspects of drug discovery and development and may be difficult to retain or replace. We conduct our operations at our facilities in San Diego, California and this region is headquarters to many other pharmaceutical companies and many academic and research institutions and therefore we face increased competition for personnel in this location. Competition for skilled personnel in our market is very intense and competition for experienced scientists may limit our ability to hire and retain highly qualified personnel on acceptable terms.
Despite our efforts to retain valuable employees, members of our management and scientific and development teams may terminate their employment with us on short notice. Although we have written employment arrangements with our employees, these employment arrangements provide for at-will employment, which means that our employees can leave our employment at any time, with or without notice. The loss of the services of any of our executive officers or other key employees and our inability to find suitable replacements could potentially harm our business, financial condition and prospects. We do not maintain “key man” insurance policies on the lives of these individuals or the lives of any of our other employees.
49
We may expend our limited resources to pursue a particular product candidate or indication and fail to capitalize on product candidates or indications that may be more profitable or for which there is a greater likelihood of success.
Because we have limited financial and management resources, we focus on a limited number of research programs and product candidates and are currently focused principally on SD-809. As a result, we may forego or delay pursuit of opportunities with other product candidates or for other indications that later prove to have greater commercial potential. Our resource allocation decisions may cause us to fail to capitalize on viable commercial drugs or profitable market opportunities. Our spending on current and future research and development programs and product candidates for specific indications may not yield any commercially viable drugs. If we do not accurately evaluate the commercial potential or target market for a particular product candidate, we may relinquish valuable rights to that product candidate through future collaboration, licensing or other arrangements in cases in which it would have been more advantageous for us to retain sole development and commercialization rights.
The terms of our term loan require us to meet certain operating and financial covenants and place restrictions on our operating and financial flexibility. If we raise additional capital through debt financing, the terms of any new debt could further restrict our ability to operate our business.
In December 2013, we entered into a term loan facility with Oxford Finance LLC, or Oxford, and its assignees, collectively referred to as the lenders, for an aggregate amount of $15.0 million, which was funded at closing, and in December 2014, we amended the facility to extend the interest-only payment period. Our obligations under the term loan facility are secured, subject to customary permitted liens and other agreed upon exceptions, by perfected first priority interest in substantially all of our tangible personal property, excluding our intellectual property. Our intellectual property is subject to a negative pledge. $5.0 million of the proceeds from the term loan were used to repay our Square 1 credit facility. The term loan bears interest at a fixed rate equal to 8.99% per annum and matures on January 1, 2018. We have been making interest-only payments pursuant to the terms of the loan facility and, pursuant to the terms of the December 2014 amendment, we are required to make a total of 24 monthly interest-only payments through January 1, 2016 followed by 24 equal monthly payments against the outstanding principal and interest. However, if we complete an NDA submission of SD-809 for chorea associated with Huntington’s disease, and we are otherwise in compliance with the loan facility, as of June 30, 2015, the interest-only period will extended to 30 months, followed by 18 equal monthly payments against the outstanding principal and interest. Upon repayment of the term loan, we are required to make a final payment to the lender equal to 3% of the original amount of the term loan.
The loan and security agreement governing the credit facility contains customary affirmative and negative covenants, indemnification provisions and events of default. The affirmative covenants include, among others, covenants requiring us to maintain our legal existence and governmental approvals, deliver certain financial reports and maintain insurance. The negative covenants include, among others, restrictions on dispositions, changes in business, management, ownership or business locations, mergers or acquisitions, indebtedness, encumbrances, distributions, investments, transactions with affiliates and subordinated debt. If we default under the credit facility, Oxford may accelerate all of our repayment obligations and take control of our pledged assets, potentially requiring us to renegotiate our agreement on terms less favorable to us or to immediately cease operations. Further, if we are liquidated, Oxford’s right to repayment would be senior to the rights of the holders of our common stock to receive any proceeds from the liquidation. Oxford could declare a default under the credit facility upon the occurrence of an event of default, which includes any event that Oxford interprets as a material adverse change as defined under the loan and security agreement, thereby requiring us to repay the loan immediately or to attempt to reverse the declaration of default through negotiation or litigation. Any declaration by Oxford of an event of default could significantly harm our business and prospects and could cause the price of our common stock to decline. If we raise any additional debt financing, the terms of such additional debt could further restrict our operating and financial flexibility.
Our limited operating history makes evaluating our business and future prospects difficult, and may increase the risk of any investment in our common stock.
We were formed as a California corporation in February 2001. In June 2007 we reincorporated in Delaware. Our operations to date have been limited to developing SD-809 and our other product candidates. In addition, we have not yet demonstrated an ability to successfully overcome many of the risks and uncertainties frequently encountered by companies in new and rapidly evolving fields, particularly in the pharmaceutical area. Nor have we demonstrated an ability to obtain regulatory approval for or to commercialize a product candidate. Consequently, any predictions about our future performance may not be as accurate as they could be if we had a history of successfully developing and commercializing a significant number of pharmaceutical products.
50
Our business and operations would suffer in the event of system failures.
Despite the implementation of security measures, our internal computer systems and those of our current and any future CROs and other contractors and consultants are vulnerable to damage from computer viruses, unauthorized access, natural disasters, terrorism, war and telecommunication and electrical failures. While we have not experienced any such material system failure, accident or security breach to date, if such an event were to occur and cause interruptions in our operations, it could result in a material disruption of our development programs and our business operations. For example, the loss of clinical trial data from completed or future clinical trials could result in delays in our regulatory approval efforts and significantly increase our costs to recover or reproduce the data. Likewise, we rely on third parties to manufacture SD-809 and conduct clinical trials, and similar events relating to their computer systems could also have a material adverse effect on our business. To the extent that any disruption or security breach were to result in a loss of, or damage to, our data or applications, or inappropriate disclosure of confidential or proprietary information, we could incur liability and the further development and commercialization of our product candidate could be delayed.
Business interruptions could seriously harm our future revenue and financial condition and increase our costs and expenses.
Our operations could be subject to earthquakes, power shortages, telecommunications failures, systems failures, water shortages, floods, hurricanes, typhoons, fires, extreme weather conditions, medical epidemics and other natural or man-made disasters or business interruptions. The occurrence of any of these business interruptions could seriously harm our business and financial condition and increase our costs and expenses. Our management operates in our principal executive offices located in San Diego, California. If our offices were affected by a natural or man-made disaster, particularly those that are characteristic of the region, such as wildfires and earthquakes, or other business interruption, our ability to manage our domestic and foreign operations could be impaired, which could materially and adversely affect our results of operations and financial condition. We currently rely, and intend to rely in the future, on our third-party manufacturers, to produce our supply of SD-809. Our ability to obtain supplies of SD-809 could be disrupted, and our results of operations and financial condition could be materially and adversely affected if the operations of our third-party manufacturers were affected by a man-made or natural disaster or other business interruption. The ultimate impact of such events on us, our significant suppliers and our general infrastructure is unknown.
Our business involves the use of hazardous materials, and we and our third-party manufacturers must comply with environmental laws and regulations, which can be expensive and restrict how we do business.
Our third-party manufacturers’ activities involve the controlled storage, use and disposal of hazardous materials owned by us, including the components of SD-809 and other hazardous compounds. We and our manufacturers are subject to federal, state and local as well as foreign laws and regulations governing the use, manufacture, storage, handling and disposal of these hazardous materials. Although we believe that the safety procedures utilized by our third-party manufacturers for handling and disposing of these materials comply with the standards prescribed by these laws and regulations, we cannot eliminate the risk of accidental contamination or injury from these materials. In the event of an accident, state, federal or foreign authorities may curtail the use of hazardous materials and interrupt our business operations. We do not currently maintain hazardous materials insurance coverage. If we are subject to any liability as a result of our third-party manufacturers’ activities involving hazardous materials, our business and financial condition may be adversely affected. In the future we may seek to establish longer term third-party manufacturing arrangements, pursuant to which we would seek to obtain contractual indemnification protection from such third-party manufacturers potentially limiting this liability exposure.
If product liability lawsuits are brought against us, we may incur substantial liabilities and may be required to limit commercialization of our products.
We face an inherent risk of product liability as a result of the clinical trials and, if approved, the commercialization of SD-809 or our other product candidates. For example, we may be sued if any product we develop allegedly causes injury or is found to be otherwise unsuitable during clinical trials, manufacturing, marketing or sale. Any such product liability claims may include allegations of defects in manufacturing, defects in design, a failure to warn of dangers inherent in the product, negligence, strict liability or a breach of warranties. Claims could also be asserted under state or foreign consumer protection acts. If we cannot successfully defend ourselves against product liability claims, we may incur substantial liabilities or be required to limit commercialization of our product candidate. Even a successful defense would require significant financial and management resources. Regardless of the merits or eventual outcome, liability claims may result in:
|
· |
decreased demand for SD-809 or other product candidates that we may develop in the future; |
|
· |
injury to our reputation; |
|
· |
withdrawal of clinical trial participants; |
|
· |
initiation of investigations by regulators; |
|
· |
costs to defend the related litigation; |
51
|
· |
a diversion of management’s time and our resources; |
|
· |
substantial monetary awards to clinical trial participants or patients; |
|
· |
product recalls, withdrawals or labeling, marketing or promotional restrictions; |
|
· |
loss of revenue; |
|
· |
exhaustion of any available insurance and our capital resources; |
|
· |
the inability to commercialize our products or product candidates; and |
|
· |
a decline in our stock price. |
Our inability to obtain and retain sufficient product liability insurance at an acceptable cost to protect against potential product liability claims could prevent or inhibit the commercialization of products we develop. We currently carry product liability insurance covering our clinical trials in the amount of $10.0 million in the aggregate. Although we maintain such insurance, any claim that may be brought against us could result in a court judgment or settlement in an amount that is not covered, in whole or in part, by our insurance or that is in excess of the limits of our insurance coverage. If we determine that it is prudent to increase our product liability coverage due to the commercial launch of SD-809 or any of our other product candidates, we may be unable to obtain such increased coverage on acceptable terms or at all. Our insurance policies also have various exclusions, and we may be subject to a product liability claim for which we have no coverage. We will have to pay any amounts awarded by a court or negotiated in a settlement that exceed our coverage limitations or that are not covered by our insurance, and we may not have, or be able to obtain, sufficient capital to pay such amounts.
Our employees, independent contractors, principal investigators, CROs, consultants and vendors may engage in misconduct or other improper activities, including noncompliance with regulatory standards and requirements and insider trading.
We are exposed to the risk of that our employees, independent contractors, principal investigators, CROs, consultants and vendors may engage in fraudulent conduct or other illegal activity. Misconduct by these parties could include intentional, reckless and/or negligent conduct or disclosure of unauthorized activities to us that violates: (1) FDA regulations, including those laws requiring the reporting of true, complete and accurate information to the FDA, (2) manufacturing standards, (3) federal and state healthcare fraud and abuse laws and regulations, or (4) laws that require the reporting of financial information or data accurately. Specifically, sales, marketing and business arrangements in the healthcare industry are subject to extensive laws and regulations intended to prevent fraud, misconduct, kickbacks, self-dealing and other abusive practices. These laws and regulations may restrict or prohibit a wide range of pricing, discounting, marketing and promotion, sales commission, customer incentive programs and other business arrangements. Activities subject to these laws also involve the improper use of information obtained in the course of clinical trials, which could result in regulatory sanctions and serious harm to our reputation. We have adopted a code of business conduct and ethics, but it is not always possible to identify and deter misconduct by employees and other third parties, and the precautions we take to detect and prevent this activity may not be effective in controlling unknown or unmanaged risks or losses or in protecting us from governmental investigations or other actions or lawsuits stemming from a failure to be in compliance with such laws or regulations. If any such actions are instituted against us, and we are not successful in defending ourselves or asserting our rights, those actions could have a significant impact on our business, including the imposition of civil, criminal and administrative penalties, damages, monetary fines, possible exclusion from participation in Medicare, Medicaid and other federal healthcare programs, contractual damages, reputational harm, diminished profits and future earnings, and curtailment of our operations, any of which could adversely affect our ability to operate our business and our results of operations.
52
Risks Related to Our Financial Position and Capital Requirements
We have incurred significant operating losses since our inception and anticipate that we will continue to incur losses for the foreseeable future and may never be profitable.
We have a limited operating history and have focused our efforts primarily on developing SD-809 and our other product candidates. SD-809 will require substantial additional development time and resources before we will be able to receive regulatory approvals for all three planned indications, implement commercialization strategies and begin generating revenue from product sales, as will our other product candidates, and there can be no assurance that any of our product candidates will ever achieve regulatory approval or generate any revenue. We do not know when we will generate any revenue, if ever, from sales of SD-809 or any of our other product candidates. We have incurred losses each year since our inception, including net losses of $59.6, $15.6 million and $15.1 million for the years ended December 31, 2014, 2013 and 2012, respectively. Moreover, as of December 31, 2014, we had an accumulated deficit of $125.1 million.
We have devoted most of our financial resources to product development. To date, we have financed our operations primarily through the sale of equity and debt securities. The size of our future net losses will depend, in part, on the rate of future expenditures and our ability to generate revenue. To date, we do not have any product candidates that have been commercialized, and if SD-809 is not successfully developed or commercialized in either Huntington’s disease, tardive dyskinesia or Tourette syndrome, or if none of our other product candidates are successfully developed or commercialized, or if revenue is insufficient following marketing approval, we may not achieve profitability and our business may fail.
Because of the numerous risks and uncertainties associated with pharmaceutical product development, we are unable to fully predict the timing or amount of our increased expenses, but we expect to continue to incur substantial expenses, which we expect to increase as we expand our development activities and build a specialty sales force and commercialization infrastructure. Our expenses could increase beyond expectations if we are required by the FDA to perform studies in addition to those that we currently anticipate. As a result of the foregoing, we expect to continue to incur significant and increasing losses and negative cash flows for the foreseeable future, which may increase compared to past periods. Even if we are able to generate revenue from the sale of any approved products, we may not become profitable and may need to obtain additional funding to continue operations.
To complete the development and commercialization of SD-809, if approved, for all three planned indications, we may require additional capital. Raising additional funds through debt or equity financing may be dilutive or restrict our operations and raising funds through collaborations or licenses may require us to relinquish rights to our product candidates.
Our operations have consumed substantial amounts of cash since inception. From inception to January 31, 2015, we have raised net cash proceeds of approximately $424.7 million from the sale of common stock, convertible preferred stock, convertible notes and warrants, the exercise of stock options and warrants and ESPP purchases, most of which has been raised since our IPO in February 2014. For example, we raised total net proceeds of $151.6 million in 2014 connection with our initial public offering in February 2014 and our follow-on offering in July 2014. In January 2015, we completed a second follow-on offering in which we raised additional net proceeds of approximately $190.5 million.
We expect to continue to spend substantial amounts to continue clinical development of SD-809, including the conduct of our ongoing clinical trials, planned clinical trials and any future required clinical development, seek regulatory approval for SD-809, launch and commercialize SD-809, if approved, and repay our existing debt.
We expect that the net proceeds to us from our recent public offerings will be sufficient to fund our operations at least through 2017, including through the completion of our ongoing and planned clinical trials and the filing of an NDA and commercial launch of SD-809, if approved, for the treatment of chorea associated with Huntington’s disease. However, changing circumstances may cause us to consume capital significantly faster than we currently anticipate, and we may need to spend more money than currently expected because of circumstances beyond our control. For example, our ongoing clinical trials may encounter technical or other issues that could cause our development costs to increase more than we expected. In any event, we expect that we will require additional capital to complete the development of SD-809 for other indications.
53
We expect to finance future cash needs through public or private equity offerings, debt financings, as well as through interest income earned on cash balances. To the extent that we raise additional capital through the sale of equity or convertible debt securities, the ownership interest of our existing stockholders will be diluted, and the terms may include liquidation or other preferences that adversely affect the rights of our stockholders. Debt financings may be coupled with an equity component, such as warrants to purchase shares, which could also result in dilution of our existing stockholders’ ownership. The incurrence of indebtedness would result in increased fixed payment obligations and could also result in certain restrictive covenants, such as limitations on our ability to incur additional debt, limitations on our ability to acquire or license intellectual property rights and other operating restrictions that could adversely impact our ability to conduct our business. In addition, if we raise additional funds through collaboration or license arrangements, it may be necessary to relinquish potentially valuable rights to our product candidates or grant licenses on terms that are not favorable to us.
We cannot be certain that additional funding will be available on acceptable terms, or at all. Subject to limited exceptions, the credit facility also prohibits us from incurring indebtedness without the prior written consent of Oxford. If we are unable to raise additional capital in sufficient amounts or on terms acceptable to us we may have to significantly delay, scale back or discontinue the development or commercialization of SD-809. We also could be required to: (1) significantly delay, scale back or discontinue the development or commercialization of our other product candidates; (2) relinquish or license on unfavorable terms our rights to our product candidates that we otherwise would seek to develop or commercialize ourselves; or (3) significantly curtail or cease operations altogether.
Risks Related to our Intellectual Property
If we are unable to obtain or protect intellectual property rights related to our product candidates, we may not be able to compete effectively in our market.
We rely upon a combination of patents, trade secret protection and confidentiality agreements to protect the intellectual property related to SD-809 and our other product candidates. The strength of patents in the biotechnology and pharmaceutical field involves complex legal and scientific questions and can be uncertain. The patent applications that we own may fail to result in issued patents with claims that cover the products in the United States or in other countries. If this were to occur, early generic competition could be expected against product candidates in development. There is no assurance that all of the potentially relevant prior art relating to our patents and patent applications, which can invalidate a patent or prevent a patent from issuing based on a pending patent application, has been found.
Even if patents do successfully issue, third parties may challenge their validity, enforceability or scope, which may result in such patents being narrowed or invalidated. Any adverse outcome in these types of matters could result in one or more generic versions of our products being launched before the expiration of our Orange Book listed patents, which could adversely affect our ability to establish market share or successfully execute our business strategy to increase sales of our products and would negatively impact our financial condition and results of operations, including causing a significant decrease in our revenues and cash flows.
Composition of matter patents on the chemical API are generally considered to be the strongest form of intellectual property protection for pharmaceutical products, as such patents provide protection without regard to any method of use. Our SD-809 patent portfolio currently includes one issued composition of matter patent in the United States (US 8,524,733), one in Europe (EP 2326643B), one in Japan (JP 5616345) and one in China (CN 102186848), one in New Zealand (591615), and one patent application for which we have received a notice of allowance in the United States, and several pending patent applications in the United States and other countries that, if issued, will cover compositions of matter, methods of treatment, and formulations. The issued U.S. patent is expected to expire in March 2031, and the European patents, Japanese patents and patents in the other countries are expected to expire in September 2029. We cannot be certain that the claims in our patent applications covering composition of matter will be considered patentable by the U.S. Patent and Trademark Office, or U.S. PTO, and courts in the United States or by the patent offices and courts in foreign countries. Method-of-use patents protect the use of a product for the specified method. This type of patent does not prevent a competitor from making and marketing a product that is identical to our product for an indication that is outside the scope of the patented method. Moreover, even if competitors do not actively promote their product for our targeted indications, physicians may prescribe these products off-label. Although off-label prescriptions may infringe or contribute to the infringement of method-of-use patents, the practice is common and such infringement is difficult to prevent or prosecute.
54
Furthermore, even if they are unchallenged, our patents and patent applications may not adequately protect our intellectual property, provide exclusivity for our product candidates or prevent others from designing around our claims. If the patent applications we hold with respect to SD-809 or our other product candidates fail to issue or if the breadth or strength of protection of our patents or patent applications is threatened, it could threaten our ability to commercialize our products. We cannot offer any assurances about which, if any, patents will issue or whether any issued patents will be found not invalid and not unenforceable or will go unthreatened by third parties. Further, if we encounter delays in regulatory approvals, the period of time during which we could market SD-809 or our other product candidates under patent protection could be reduced. Since patent applications in the United States and most other countries are confidential for a period of time after filing, and some remain so until issued, we cannot be certain that we were the first to file any patent application related to SD-809 or any of our other product candidates. Furthermore, if third parties have filed such patent applications, an interference proceeding in the United States can be provoked by a third party or instituted by us to determine who was the first to invent any of the subject matter covered by the patent claims of our applications. For patent applications filed on or after March 16, 2013, under the “first inventor-to-file” system for patent applications of the Leahy–Smith America Invents Act, priority of patent applications in the United States is determined based on filing date. In the United States, the natural expiration of a patent is generally 20 years after it is filed, or 20 years after the filing date of any non-provisional application to which it claims priority. Various extensions may be available; however the life of a patent, and the protection it affords, is limited. Once the patent life has expired for SD-809 or any of our other product candidates, we may be open to competition from generic medications.
In addition to the protection afforded by patents, we rely on trade secret protection and confidentiality agreements to protect proprietary know-how that is not patentable or which we elect not to patent, processes for which patents are difficult to enforce and any other elements of our drug discovery and development processes that involve proprietary know-how, information or technology that is not covered by patents. Although we expect all of our employees to assign their inventions to us, and all of our employees, consultants, advisors and any third parties who have access to our proprietary know-how, information or technology to enter into confidentiality agreements, we cannot provide any assurances that all such agreements have been duly executed or that our trade secrets and other confidential proprietary information will not be disclosed or that competitors will not otherwise gain access to our trade secrets or independently develop substantially equivalent information and techniques. We also seek to preserve the integrity and confidentiality of our data and trade secrets by maintaining physical security of our premises and physical and electronic security of our information technology systems. While we have confidence in these individuals, organizations and systems, agreements or security measures may be breached, and we may not have adequate remedies for any breach. If the steps taken to maintain our trade secrets are deemed inadequate, we may have insufficient recourse against third parties for misappropriating the trade secret. In addition, our competitors may independently discover our trade secrets and proprietary information. For example, the FDA, as part of its Transparency Initiative, is currently considering whether to make additional information publicly available on a routine basis, including information that we may consider to be trade secrets or other proprietary information, and it is not clear at the present time how the FDA’s disclosure policies may change in the future, if at all.
Our ability to obtain patents is highly uncertain because, to date, some legal principles remain unresolved, there has not been a consistent policy regarding the breadth or interpretation of claims allowed in patents in the United States and the specific content of patents and patent applications that are necessary to support and interpret patent claims is highly uncertain due to the complex nature of the relevant legal, scientific and factual issues. Changes in either patent laws or interpretations of patent laws in the United States and other countries may diminish the value of our intellectual property or narrow the scope of our patent protection. For example, the Leahy-Smith America Invents Act, or the Leahy-Smith Act, which was signed into law in September 2011, includes a number of significant changes to U.S. patent law. These include changes in the way patent applications will be prosecuted and may also affect patent litigation. The U.S. PTO has developed new and untested regulations and procedures to govern the full implementation of the Leahy-Smith Act, and many of the substantive changes to patent law associated with the Leahy-Smith Act, and in particular, the first to file provisions, only became effective in March 2013. The Leahy-Smith Act has also introduced procedures making it easier for third parties to challenge issued patents, as well as to intervene in the prosecution of patent applications. Finally, the Leahy-Smith Act contains new statutory provisions that require the U.S. PTO to issue new regulations for their implementation and it may take the courts years to interpret the provisions of the new statute. Accordingly, it is not clear what, if any, impact the Leahy-Smith Act will have on the cost of prosecuting our patent applications, our ability to obtain patents based on our patent applications and our ability to enforce or defend our issued patents. An inability to obtain, enforce and defend patents covering our proprietary technologies would materially and adversely affect our business prospects and financial condition.
55
We may not be able to protect our intellectual property rights throughout the world.
Filing, prosecuting and defending patents on product candidates in all countries throughout the world would be prohibitively expensive, and our intellectual property rights in some countries outside the United States can be less extensive than those in the United States. Further, the laws of some foreign countries do not protect proprietary rights to the same extent or in the same manner as the laws of the United States. Consequently, we may not be able to prevent third parties from practicing our inventions in all countries outside the United States, or from selling or importing products made using our inventions in and into the United States or other jurisdictions. Competitors may use our technologies in jurisdictions where we have not obtained patent protection to develop their own products and further, may export otherwise infringing products to territories where we have patent protection, but enforcement is not as strong as that in the United States. These products may compete with our products and our patents or other intellectual property rights may not be effective or sufficient to prevent them from competing. As a result, we may encounter significant problems in protecting and defending our intellectual property both in the United States and abroad. For example, if the issuance to us, in a given country, of a patent covering an invention is not followed by the issuance, in other countries, of patents covering the same invention, or if any judicial interpretation of the validity, enforceability, or scope of the claims in, or the written description or enablement in, a patent issued in one country is not similar to the interpretation given to the corresponding patent issued in another country, our ability to protect our intellectual property in those countries may be limited. Changes in either patent laws or in interpretations of patent laws in the United States and other countries may materially diminish the value of our intellectual property or narrow the scope of our patent protection. If we are unable to prevent material disclosure of the non-patented intellectual property related to our technologies to third parties, and there is no guarantee that we will have any such enforceable trade secret protection, we may not be able to establish or maintain a competitive advantage in our market, which could materially adversely affect our business, results of operations and financial condition.
Further, many companies have encountered significant problems in protecting and defending intellectual property rights in foreign jurisdictions. The legal systems of certain countries, particularly certain developing countries, do not favor the enforcement of patents, trade secrets and other intellectual property protection, particularly those relating to biotechnology products, which could make it difficult for us to stop the infringement of our patents or marketing of competing products in violation of our proprietary rights generally. Proceedings to enforce our patent rights in foreign jurisdictions could result in substantial costs and divert our efforts and attention from other aspects of our business, could put our patents at risk of being invalidated or interpreted narrowly and our patent applications at risk of not issuing and could provoke third parties to assert claims against us. We may not prevail in any lawsuits that we initiate and the damages or other remedies awarded, if any, may not be commercially meaningful. Accordingly, our efforts to enforce our intellectual property rights around the world may be inadequate to obtain a significant commercial advantage from the intellectual property that we develop or license.
We may be involved in lawsuits to protect or enforce our patents, which could be expensive, time consuming and unsuccessful.
Competitors may infringe our patents. To counter infringement or unauthorized use, we may be required to file infringement claims, which can be expensive and time-consuming. In addition, in an infringement proceeding, a court may decide that a patent of ours is not valid or is unenforceable, or may refuse to stop the other party from using the technology at issue on the grounds that our patents do not cover the technology in question. An adverse result in any litigation or defense proceedings could put one or more of our patents at risk of being invalidated or interpreted narrowly and could put our patent applications at risk of not issuing.
Interference proceedings provoked by third parties or brought by us may be necessary to determine the priority of inventions with respect to our patents or patent applications. An unfavorable outcome could require us to cease using the related technology or to attempt to license rights to it from the prevailing party. Our business could be harmed if the prevailing party does not offer us a license on commercially reasonable terms. Our defense of litigation or interference proceedings may fail and, even if successful, may result in substantial costs and distract our management and other employees. We may not be able to prevent misappropriation of our intellectual property rights, particularly in countries where the laws may not protect those rights as fully as in the United States.
Furthermore, because of the substantial amount of discovery required in connection with intellectual property litigation, there is a risk that some of our confidential information could be compromised by disclosure during this type of litigation. There could also be public announcements of the results of hearings, motions or other interim proceedings or developments. If securities analysts or investors perceive these results to be negative, it could have a material adverse effect on the price of our common stock.
Proceedings to enforce our patent rights in the United States could result in substantial costs and divert our efforts and attention from other aspects of our business, could put our patents at risk of being invalidated or interpreted narrowly and our patent applications at risk of not issuing and could provoke third parties to assert claims against us. We may not prevail in any lawsuits that we initiate and the damages or other remedies awarded, if any, may not be commercially meaningful. Accordingly, our efforts to enforce our intellectual property rights in the United States may be inadequate to obtain a significant commercial advantage from the intellectual property that we develop or license.
56
Obtaining and maintaining our patent protection depends on compliance with various procedural, document submission, fee payment and other requirements imposed by governmental patent agencies, and our patent protection could be reduced or eliminated for non-compliance with these requirements.
Periodic maintenance fees on any issued patent are due to be paid to the U.S. PTO and foreign patent agencies in several stages over the lifetime of the patent. The U.S. PTO and various foreign governmental patent agencies require compliance with a number of procedural, documentary, fee payment and other similar provisions during the patent application process. While an inadvertent lapse can in many cases be cured by payment of a late fee or by other means in accordance with the applicable rules, there are situations in which noncompliance can result in abandonment or lapse of the patent or patent application, resulting in partial or complete loss of patent rights in the relevant jurisdiction. Non-compliance events that could result in abandonment or lapse of a patent or patent application include, but are not limited to, failure to respond to official actions within prescribed time limits, non-payment of fees and failure to properly legalize and submit formal documents. If we fail to maintain the patents and patent applications covering SD-809 or other future product candidates, our competitors might be able to enter the market, which would have a material adverse effect on our business.
Our reliance on third parties requires us to share our trade secrets, which increases the possibility that a competitor will discover them or that our trade secrets will be misappropriated or disclosed.
Because we rely on third parties to manufacture SD-809 and intend to rely on third parties for the manufacture of our other product candidates, we must, at times, share trade secrets with them. We seek to protect our proprietary technology in part by entering into confidentiality agreements and, if applicable, material transfer agreements, consulting agreements or other similar agreements with our advisors, employees, third-party contractors and consultants prior to beginning research or disclosing proprietary information. These agreements typically limit the rights of the third parties to use or disclose our confidential information, including our trade secrets. Despite the contractual provisions employed when working with third parties, the need to share trade secrets and other confidential information increases the risk that such trade secrets become known by our competitors, are inadvertently incorporated into the technology of others, or are disclosed or used in violation of these agreements. Given that our proprietary position is based, in part, on our know-how and trade secrets, a competitor’s discovery of our trade secrets or other unauthorized use or disclosure would impair our competitive position and may have a material adverse effect on our business.
We may be subject to claims that our employees, consultants or independent contractors have wrongfully used or disclosed confidential information of third parties.
We employ individuals who were previously employed at other biotechnology or pharmaceutical companies. We may be subject to claims that we or our employees, consultants or independent contractors have inadvertently or otherwise used or disclosed confidential information of our employees’ former employers or other third parties. Litigation may be necessary to defend against these claims. There is no guarantee of success in defending these claims, and if we are successful, litigation could result in substantial cost and be a distraction to our management and other employees.
We may be subject to claims challenging the inventorship or ownership of our patents and other intellectual property.
We may also be subject to claims that former employees or other third parties have an ownership interest in our patents or other intellectual property. We may be subject to ownership disputes in the future arising, for example, from conflicting obligations of consultants or others who are involved in developing SD-809 or our other product candidates. Litigation may be necessary to defend against these and other claims challenging inventorship or ownership. If we fail in defending any such claims, in addition to paying monetary damages, we may lose valuable intellectual property rights, such as exclusive ownership of, or right to use, valuable intellectual property. Such an outcome could have a material adverse effect on our business. Even if we are successful in defending against such claims, litigation could result in substantial costs and be a distraction to management and other employees.
Intellectual property rights do not necessarily address all potential threats to our competitive advantage.
The degree of future protection afforded by our intellectual property rights is uncertain because intellectual property rights have limitations, and may not adequately protect our business, or permit us to maintain our competitive advantage. The following examples are illustrative:
|
· |
Others may be able to make compounds that are similar to our product candidates but that are not covered by the claims of the patents that we own or have exclusively licensed. |
|
· |
We might not have been the first to make the inventions covered by the issued patent or pending patent application that we own or have exclusively licensed. |
|
· |
We might not have been the first to file patent applications covering certain of our inventions. |
|
· |
Others may independently develop similar or alternative technologies or duplicate any of our technologies without infringing our intellectual property rights. |
57
|
· |
It is possible that our pending patent applications will not lead to issued patents. |
|
· |
Issued patents that we own may be held invalid or unenforceable, as a result of legal challenges by our competitors. |
|
· |
Our competitors might conduct research and development activities in countries where we do not have patent rights and then use the information learned from such activities to develop competitive products for sale in our major commercial markets. |
|
· |
We may not develop additional proprietary technologies that are patentable. |
|
· |
The patents of others may have an adverse effect on our business. |
Should any of these events occur, they could significantly harm our business, results of operations and prospects.
Risks Related to Ownership of Our Common Stock
The price of our stock may be volatile, and you could lose all or part of your investment.
Prior to our recently completed initial public offering, there was no public market for our common stock. The trading price of our common stock is likely to be highly volatile and could be subject to wide fluctuations in response to various factors, some of which are beyond our control, including limited trading volume. In addition to the factors discussed in this “Risk Factors” section and elsewhere in this Annual Report, these factors include:
|
· |
the commencement, enrollment or results of our ongoing and planned clinical trials of SD-809 or any other future clinical trials we may conduct, or changes in the development status of SD-809 or any future product candidate; |
|
· |
any delay in filing our NDA for SD-809 and any adverse development or perceived adverse development with respect to the FDA’s review of the NDA, including without limitation the FDA’s issuance of a “refusal to file” letter or a request for additional information; |
|
· |
adverse results or delays in our clinical trials; |
|
· |
our decision to initiate a clinical trial, not to initiate a clinical trial or to terminate an existing clinical trial; |
|
· |
adverse regulatory decisions, including failure to receive regulatory approval for SD-809 or any of our other product candidates; |
|
· |
changes in laws or regulations applicable to our product candidates, including but not limited to clinical trial requirements for approvals; |
|
· |
adverse developments concerning our manufacturers; |
|
· |
our inability to obtain adequate product supply for any approved drug product or inability to do so at acceptable prices; |
|
· |
our ability to build a commercial organization or enter into a marketing collaboration with a third party; |
|
· |
our failure to commercialize SD-809, develop additional product candidates and commercialize additional drugs; |
|
· |
additions or departures of our key scientific or management personnel; |
|
· |
unanticipated serious safety concerns related to the use of SD-809 or any future product candidates; |
|
· |
introduction of new products or services offered by us or our competitors; |
|
· |
announcements of significant acquisitions, strategic partnerships, joint ventures or capital commitments by us or our competitors; |
|
· |
our ability to effectively manage our growth; |
|
· |
the size and growth, if any, of the hyperkinetic movement disorder market; |
|
· |
our ability to successfully enter new markets or develop additional product candidates; |
|
· |
actual or anticipated variations in quarterly operating results; |
|
· |
our cash position; |
|
· |
our failure to meet the estimates and projections of the investment community or that we may otherwise provide to the public; |
58
|
· |
publication of research reports about us or our industry or positive or negative recommendations or withdrawal of research coverage by securities analysts; |
|
· |
changes in the market valuations of similar companies; |
|
· |
overall performance of the equity markets; |
|
· |
issuances of our debt or equity securities; |
|
· |
sales of our common stock by us or our stockholders in the future; |
|
· |
trading volume of our common stock; |
|
· |
changes in accounting practices; |
|
· |
ineffectiveness of our internal controls; |
|
· |
disputes or other developments relating to proprietary rights, including patents, litigation matters and our ability to obtain patent protection for our technologies; |
|
· |
significant lawsuits, including patent or stockholder litigation; |
|
· |
general political and economic conditions; and |
|
· |
other events or factors, many of which are beyond our control. |
In addition, the stock market in general, and the NASDAQ Global Market and biotechnology companies in particular, have experienced extreme price and volume fluctuations that have often been unrelated or disproportionate to the operating performance of these companies. Broad market and industry factors may negatively affect the market price of our common stock, regardless of our actual operating performance. In the past, securities class action litigation has often been instituted against companies following periods of volatility in the market price of a company’s securities. This type of litigation, if instituted, could result in substantial costs and a diversion of management’s attention and resources, which would harm our business, operating results or financial condition.
Our principal stockholders and management own a significant percentage of our shares and will be able to exert significant control over matters subject to stockholder approval.
As of February 15, 2015, our executive officers, directors and 5% stockholders and their affiliates beneficially owned an aggregate of approximately 64% of our outstanding voting shares. Therefore, these stockholders may have the ability to influence us through this ownership position. These stockholders may be able to determine all matters requiring stockholder approval. For example, they may be able to control elections of directors, amendments of our organizational documents, or approval of any merger, sale of assets, or other major corporate transaction. This may prevent or discourage unsolicited acquisition proposals or offers for our common stock that you may feel are in your best interest as one of our stockholders.
Sales of a substantial number of shares of our common stock in the public market by our existing stockholders could cause our stock price to decline.
Sales of a substantial number of shares of our common stock in the public market or the perception that these sales might occur, could depress the market price of our common stock and could impair our ability to raise capital through the sale of additional equity securities. We are unable to predict the effect that sales may have on the prevailing market price of our common stock.
A substantial number of the shares sold through our public offerings are held by our directors, executive management team and the entities affiliated with our directors. At the time of the offerings, these parties have agreed to lock-up periods in which they would not offer, sell, contract to sell, pledge or otherwise dispose of, directly or indirectly, their shares of common stock. As of December 31, 2014, these lock-up periods have expired; however, as part of our January 2015 follow-on offering, these parties agreed that for a period of 60 days after the date of the respective prospectus filing on January 23, 2015, they will not offer, sell, contract to sell, pledge or otherwise dispose of, directly or indirectly, any of our common stock. As such, subject to certain limitations, approximately 9,414,021 shares of our common stock will become eligible for sale upon expiration of such lock-up period. Furthermore, persons who were stockholders prior to the sale of shares in our initial public offering are entitled to rights with respect to the registration of their shares under the Securities Act of 1933, as amended, or the Securities Act, subject to the 60-day lock-up arrangement described above. Registration of these shares under the Securities Act would result in the shares becoming freely tradable without restriction under the Securities Act, except for shares held by our affiliates as defined in Rule 144 under the Securities Act.
Any sales of securities by these stockholders, or other large shareholders, could have a material adverse effect on the trading price of our common stock.
59
Future sales and issuances of our common stock or rights to purchase common stock by us, including pursuant to our equity incentive plans which provide for an automatic increase in the number of shares of common stock issuable thereunder each calendar year through 2024, could result in additional dilution of the percentage ownership of our stockholders and could cause our stock price to decline.
We expect that significant capital will be needed in the future to continue our planned operations, including conducting clinical trials, commercialization efforts, expanded research and development activities and costs associated with operating as a public company. To the extent we raise additional capital by issuing equity or convertible securities, our stockholders may experience substantial dilution. We may sell common stock, convertible securities or other equity securities in one or more transactions at prices and in a manner we determine from time to time. If we sell common stock, convertible securities or other equity securities in more than one transaction, investors may be materially diluted by subsequent sales. Such sales may also result in material dilution to our existing stockholders, and new investors could gain rights superior to the rights of our existing stockholders, including stockholders who purchase shares in this offering.
Pursuant to the 2014 Plan, our management is authorized to grant stock options to our employees, directors and consultants. The number of shares available for future grant under our 2014 Plan will automatically increase on January 1st each year through January 1, 2024, by an amount equal to four percent of all shares of our capital stock outstanding as of December 31st of the preceding calendar year, subject to the ability of our board of directors to take action to reduce the size of such increase in any given year. On January 1, 2015, the initial automatic increase pursuant to the 2014 Plan occurred, resulting in 1,109,847 additional shares available for future grant under the 2014 Plan. In addition, our board of directors may grant or provide for the grant of rights to purchase shares of our common stock pursuant to the terms of the ESPP. The number of shares of our common stock reserved for issuance under our ESPP will automatically increase on January 1st each year through January 1, 2024, by an amount equal to the lesser of 530,000 shares or one percent of all shares of our capital stock outstanding as of December 31st of the preceding calendar year, subject to the ability of our board of directors to take action to reduce the size of such increase in any given year. On January 1, 2015, the initial automatic increase pursuant to the ESPP occurred, resulting in 277,461 additional shares available for future grant under the ESPP. Unless our board of directors elects not to increase the number of shares underlying our 2014 Plan and ESPP each year, our stockholders may experience additional dilution, which could cause our stock price to decline.
We have broad discretion in the use of the net proceeds from our recently completed public offerings and may not use them effectively.
Our management has broad discretion in the application of the net proceeds to us from our recently completed public offerings. Because of the number and variability of factors that will determine our use of the net proceeds to us from this offering, their ultimate use may vary substantially from their currently intended use. Our management may not apply the net proceeds to us from this offering in ways that ultimately increase the value of your investment. The failure by our management to apply these funds effectively could harm our business. Pending their use, we may invest the net proceeds to us from this offering in short-term, investment-grade, interest-bearing securities. These investments may not yield a favorable return to our stockholders. If we do not invest or apply the net proceeds to us from this offering in ways that enhance stockholder value, we may fail to achieve expected financial results, which could cause our stock price to decline.
Our ability to use our net operating tax loss carryforwards and certain other tax attributes may be limited.
Our net operating loss carryforwards and research and development tax credits may expire and not be used. As of December 31, 2014, we had generated federal and state net operating loss carryforwards of approximately $91.2 million and $94.0 million, respectively. We also had federal and state research and development tax credit carryforwards of approximately $5.2 million and $1.8 million, respectively.
Our federal net operating loss carryforwards will begin expiring in 2021 if we have not used them prior to that time and our state net operating loss carryforwards will continue to expire in 2015. Our federal research and development tax credits will begin expiring in 2021 unless previously used. Our state research and development tax credits do not expire. Additionally, under Internal Revenue Code Sections 382 and 383, the annual use of our net operating loss carryforwards and research tax credits will be limited in the event a cumulative change in our ownership occurs within a three-year period, which is generally defined as a greater than 50% change (by value) in equity ownership. Any such annual limitation may significantly reduce the utilization of the net operating loss carryforwards and research tax credits before they expire. In addition, certain states have suspended the use of net operating loss carryforwards for certain taxable years, and other states are considering similar measures. Currently, California allows companies to utilize their net operating losses, however, new legislation could suspend the use of those losses in the future. As a result, we may incur higher state income tax expense in the future. Depending on our future tax position, continued suspension of our ability to use net operating loss carryforwards in states in which we are subject to income tax could have an adverse impact on our operating results and financial condition.
60
We do not intend to pay dividends on our common stock so any returns will be limited to the value of our shares.
We have never declared or paid any cash dividend on our common stock. We currently anticipate that we will retain future earnings for the development, operation and expansion of our business and do not anticipate declaring or paying any cash dividends for the foreseeable future. Our credit facility also contains a negative covenant that prohibits us from paying dividends without the prior written consent of Oxford. Any return to stockholders will therefore be limited to appreciation, if any, of their stock.
We are an emerging growth company, and we cannot be certain if the reduced reporting requirements applicable to emerging growth companies will make our common stock less attractive to investors.
We are an emerging growth company, as defined in the JOBS Act. For as long as we continue to be an emerging growth company, we may take advantage of exemptions from various reporting requirements that are applicable to other public companies that are not emerging growth companies, including not being required to comply with the auditor attestation requirements of Section 404 of the Sarbanes-Oxley Act, reduced disclosure obligations regarding executive compensation in this Annual Report and our periodic reports and proxy statements and exemptions from the requirements of holding a nonbinding advisory vote on executive compensation and stockholder approval of any golden parachute payments not previously approved. We could be an emerging growth company for up to five years following the year in which we completed our initial public offering, although circumstances could cause us to lose that status earlier, including if the market value of our common stock held by non-affiliates exceeds $700 million as of any June 30 before that time or if we have total annual gross revenue of $1.0 billion or more during any fiscal year before that time, in which cases we would no longer be an emerging growth company as of the following December 31, or if we issue more than $1.0 billion in non-convertible debt during any three year period before that time, in which case we would no longer be an emerging growth company immediately. Even after we no longer qualify as an emerging growth company, we may still qualify as a “smaller reporting company” which would allow us to take advantage of many of the same exemptions from disclosure requirements including not being required to comply with the auditor attestation requirements of Section 404 of the Sarbanes-Oxley Act and reduced disclosure obligations regarding executive compensation in our periodic reports and proxy statements. We cannot predict if investors will find our common stock less attractive because we may rely on these exemptions. If some investors find our common stock less attractive as a result, there may be a less active trading market for our common stock and our share price may be more volatile.
Under the JOBS Act, emerging growth companies can also delay adopting new or revised accounting standards until such time as those standards apply to private companies. We have irrevocably elected not to avail ourselves of this exemption from new or revised accounting standards and, therefore, will be subject to the same new or revised accounting standards as other public companies that are not emerging growth companies. As a result, changes in rules of U.S. generally accepted accounting principles or their interpretation, the adoption of new guidance or the application of existing guidance to changes in our business could significantly affect our financial position and results of operations.
We incur significant increased costs as a result of operating as a new public company, and our management is required to devote substantial time to compliance initiatives.
We completed an initial public offering on February 10, 2014. As a new public company, we incur significant legal, accounting and other expenses that we did not incur as a private company. We are now subject to the reporting requirements of the Securities Exchange Act of 1934, as amended, or the Exchange Act, which require, among other things, that we file with the Securities and Exchange Commission, or the SEC, annual, quarterly and current reports with respect to our business and financial condition. In addition, the Sarbanes-Oxley Act, as well as rules subsequently adopted by the SEC and the NASDAQ Global Market to implement provisions of the Sarbanes-Oxley Act, imposes significant requirements on public companies, including requiring establishment and maintenance of effective disclosure and financial controls and changes in corporate governance practices. Further, in July 2010, the Dodd-Frank Wall Street Reform and Consumer Protection Act, or the Dodd-Frank Act, was enacted. There are significant corporate governance and executive compensation-related provisions in the Dodd-Frank Act that require the SEC to adopt additional rules and regulations in these areas such as “say on pay” and proxy access. Recent legislation permits emerging growth companies to implement many of these requirements over a longer period and up to five years from the pricing of an initial public offering. We intend to take advantage of this new legislation but cannot guarantee that we will not be required to implement these requirements sooner than budgeted or planned and thereby incur unexpected expenses. Stockholder activism, the current political environment and the current high level of government intervention and regulatory reform may lead to substantial new regulations and disclosure obligations, which may lead to additional compliance costs and impact the manner in which we operate our business in ways we cannot currently anticipate.
61
We expect the rules and regulations applicable to public companies to substantially increase our legal and financial compliance costs and to make some activities more time-consuming and costly. If these requirements divert the attention of our management and personnel from other business concerns, they could have a material adverse effect on our business, financial condition and results of operations. The increased costs will decrease our net income or increase our net loss, and may require us to reduce costs in other areas of our business or increase the prices of our products or services. For example, we expect these rules and regulations to make it more difficult and more expensive for us to obtain director and officer liability insurance and we may be required to incur substantial costs to maintain the same or similar coverage. We cannot predict or estimate the amount or timing of additional costs we may incur to respond to these requirements. The impact of these requirements could also make it more difficult for us to attract and retain qualified persons to serve on our board of directors, our board committees or as executive officers.
If our disclosure controls and procedures are not effective, our public reporting may be unreliable, which may lead to misinformation being disseminated to the public.
Our management evaluated our disclosure controls and procedures as of December 31, 2014, and concluded that as of that date, our disclosure controls and procedures were effective. However, in May 2014, we failed to timely furnish a Form 8-K to the SEC with respect to our results of operations and financial condition for the quarter ended March 31, 2014. While we believe that we have remediated the cause of the failure to timely furnish this Form 8-K, if we have failed to correct this issue or if our disclosure controls and procedures otherwise prove to be ineffective, our ability to report information required to be disclosed on a timely and accurate basis may be adversely affected. Any such failure in our disclosure controls and procedures could result in misinformation being disseminated to the public. Investors relying upon any such misinformation may make an uninformed investment decision.
If securities or industry analysts do not continue to publish research or reports, or publish inaccurate or unfavorable research or reports about our business, our share price and trading volume could decline.
The trading market for our common stock depends, in part, on the research and reports that securities or industry analysts publish about us or our business. As a newly public company, we have only limited research coverage by research analysts. We do not have any control over these analysts. Research analysts may elect not to initiate or continue to provide research coverage of our common stock, and such lack of research coverage may adversely affect the market price of our common stock. The price of our stock could decline if one or more research analysts downgrade our stock or issue other unfavorable commentary or research. If one or more of these analysts ceases coverage of us or fails to publish reports on us regularly, demand for our common stock could decrease and we could lose visibility in the financial markets, which could cause our share price and trading volume to decline.
Anti-takeover provisions under our charter documents and Delaware law could delay or prevent a change of control which could limit the market price of our common stock and may prevent or frustrate attempts by our stockholders to replace or remove our current management.
Our amended and restated certificate of incorporation and amended and restated bylaws contain provisions that could delay or prevent a change of control of our company or changes in our board of directors that our stockholders might consider favorable. Some of these provisions include:
|
· |
a prohibition on stockholder action through written consent, which requires that all stockholder actions be taken at a meeting of our stockholders; |
|
· |
a requirement that special meetings of stockholders be called only by the chairman of the board of directors, the chief executive officer, the president or by a majority of the total number of authorized directors; |
|
· |
advance notice requirements for stockholder proposals and nominations for election to our board of directors; |
|
· |
a requirement that no member of our board of directors may be removed from office by our stockholders except for cause and, in addition to any other vote required by law, upon the approval of at least 662/3% of all outstanding shares of our voting stock then entitled to vote in the election of directors; |
|
· |
a requirement of approval of at least 662/3% of all outstanding shares of our voting stock to amend any bylaws by stockholder action or to amend specific provisions of our certificate of incorporation; and |
|
· |
the authority of the board of directors to issue preferred stock on terms determined by the board of directors without stockholder approval and which preferred stock may include rights superior to the rights of the holders of common stock. |
62
In addition, because we are incorporated in Delaware, we are governed by the provisions of Section 203 of the Delaware General Corporation Law, which may prohibit certain business combinations with stockholders owning 15% or more of our outstanding voting stock. These anti-takeover provisions and other provisions in our amended and restated certificate of incorporation and amended and restated bylaws could make it more difficult for stockholders or potential acquirers to obtain control of our board of directors or initiate actions that are opposed by the then-current board of directors and could also delay or impede a merger, tender offer or proxy contest involving our company. These provisions could also discourage proxy contests and make it more difficult for you and other stockholders to elect directors of your choosing or cause us to take other corporate actions you desire. Any delay or prevention of a change of control transaction or changes in our board of directors could cause the market price of our common stock to decline.
Not applicable.
We currently lease approximately 24,725 square feet of corporate office space at our headquarters in San Diego, California under a lease that expires in March 2020. We also have leased office space in Lake Forest, Illinois and Berlin, Germany. We have no laboratory, research, manufacturing or warehouse facilities and we do not plan to purchase or lease facilities for our manufacturing, packaging or warehousing as such are provided to us by third-party contractors. We believe that our existing facilities are adequate to meet our current needs and that, should it be needed, suitable additional alternative spaces will be available in the future to accommodate expansion of our operations on commercially reasonable terms.
We are not a party to any material legal proceedings at this time. From time to time, we may be subject to various legal proceedings and claims that arise in the ordinary course of our business activities. Although the results of litigation and claims cannot be predicted with certainty, we do not believe we are party to any claim or litigation the outcome of which, if determined adversely to us, would individually or in the aggregate be reasonably expected to have a material adverse effect on our business. Regardless of the outcome, litigation can have an adverse impact on us because of defense and settlement costs, diversion of management resources and other factors.
Not applicable.
63
|
ITEM 5. |
Market for Registrant’s Common Equity, Related Stockholder Matters and Issuer Purchases of Equity Securities |
Market Information
Our common stock began trading on the NASDAQ Global Market on February 5, 2014 and trades under the symbol “ASPX.” As of February 27, 2015, there were 31,815,187 shares of common stock outstanding, help by approximately 20 stockholders of record. Many stockholders hold their shares in street name and we believe there are more than 1,500 beneficial owners of our common stock. The closing price of our common stock on the NASDAQ Global Market on December 31, 2014, the last trading day in 2014 was $52.48 per share. The following table sets for the high and low sales prices for our common stock as reported on the NASDAQ Global Market for the periods indicated:
|
|
Year Ended December 31, |
|
|||||
|
|
2014 |
|
|||||
|
Period: |
High |
|
|
Low |
|
||
|
First Quarter (from February 5, 2014) |
$ |
35.78 |
|
|
$ |
13.25 |
|
|
Second Quarter |
$ |
33.09 |
|
|
$ |
14.75 |
|
|
Third Quarter |
$ |
26.59 |
|
|
$ |
17.01 |
|
|
Fourth Quarter |
$ |
54.50 |
|
|
$ |
22.53 |
|
Dividend Policy
We have never declared or paid any dividends on our common stock and do not currently intend to pay any cash dividends on our common stock. We expect to retain and any future earnings, if any, to fund the development and expansion of our business. Further, the payment of dividends by us on our common stock is limited by our loan and security agreement with Oxford Finance LLC. Any future determination to pay dividends will be made at the discretion of our board of directors and will depend upon, among other factors, our results of operations, financial condition, capital requirements, contractual restrictions, business prospects and other factors our board of directors may deem relevant.
Securities Authorized for Issuance under Equity Compensation Plans
Information about our equity compensation plans is included in Item 12 of Part III of this Annual Report on Form 10-K.
64
Performance Graph
The following stock performance graph illustrates a comparison of the total cumulative stockholder return on our common stock to two indices; the NASDAQ Composite Index and the NASDAQ Biotechnology Index since February 5, 2014, which is the date our common stock first began trading on the NASDAQ Global Market. The graph assumes an initial investment of $100 at the closing price on February 5, 2014, and all dividends, if any, were reinvested. No cash dividends have been declared or paid on our common stock. Stockholder return over the indicated period should not be considered indicative of future stockholder returns.

Recent Sales of Unregistered Securities
In January 10, 2014, we granted stock options under our 2010 Equity Incentive Plan to purchase an aggregate of 638,979 shares of common stock at a weighted-average exercise price of $6.57 per share to certain directors, officers, employees and consultants.
The offers, sales and issuances of these securities were deemed to be exempt from registration under the Securities Act in reliance on Rule 701 in that the transactions were under compensatory benefit plans and contracts relating to compensation as provided under Rule 701. The recipients of such securities were our employees, directors or bona fide consultants and received the securities under our 2010 Plan. Appropriate legends were affixed to the securities issued in these transactions. Each of the recipients of securities in these transactions had adequate access, through employment, business or other relationships, to information about us
Use of Proceeds
On February 4, 2014, we commenced our initial public offering pursuant to a registration statement on Form S-1 (File No. 333-193013) that was declared effective by the SEC on February 4, 2014, and that registered an aggregate of 7,000,000 shares of our common stock for sale to the public at a price of $12.00 per share. In addition, at the closing of the initial public offering on February 10, 2014, the underwriters exercised their over-allotment option to purchase 1,050,000 additional shares of our common stock in the initial public offering at the public offering price of $12.00 per share, for an aggregate offering price of $96.6 million. The net offering proceeds to us, after deducting underwriting discounts and commissions and offering costs, were $86.7 million.
As of December 31, 2014, we had used approximately $7.0 million of the net proceeds from our initial public offering to fund (1) clinical development activities for SD-809 and (2) working capital and other general corporate purposes. We cannot specify with certainty all of the particular uses for the net proceeds from our initial public offering. There has been no material change in the expected use of the net proceeds from our initial public offering or follow-on offering as described in our final prospectuses filed with the SEC pursuant to Rule 424(b) under the Securities Act on February 5, 2014.
65
The following selected financial data set forth below is derived from our audited financial statements and may not be indicative of future operating results. The selected financial data should be read in conjunction with our audited financial statements and “Item 7 - Management’s Discussion and Analysis of Financial Condition and Results of Operations” located elsewhere in this Annual Report on Form 10-K. Audited balance sheets at December 31, 2014 and 2013, and the related audited statements of operations and of cash flows for each of the three years in the period ended December 31, 2014, and notes thereto appear elsewhere in this Annual Report on Form 10-K. Audited balance sheets at December 31, 2012 and 2011 and the related audited consolidated statement of operations and cash flows for the year ended December 31, 2011, are not included elsewhere in this Annual Report on Form 10-K.
|
|
Year Ended December 31, |
|
|||||||||||||
|
(in thousands, except share and per share data) |
2014 |
|
|
2013 |
|
|
2012 |
|
|
2011 |
|
||||
|
Statement of Operations Data: |
|
|
|
|
|
|
|
|
|
|
|
|
|
|
|
|
Research and development |
$ |
37,727 |
|
|
$ |
10,003 |
|
|
$ |
11,741 |
|
|
$ |
4,080 |
|
|
General and administrative |
|
12,529 |
|
|
|
3,189 |
|
|
|
1,688 |
|
|
|
1,893 |
|
|
Gain on the sale of assets |
|
— |
|
|
|
— |
|
|
|
— |
|
|
|
(3,086 |
) |
|
Loss from operations |
|
(50,256 |
) |
|
|
(13,192 |
) |
|
|
(13,429 |
) |
|
|
(2,887 |
) |
|
Other income (expense) |
|
(9,279 |
) |
|
|
(2,437 |
) |
|
|
(1,683 |
) |
|
|
73 |
|
|
Net loss |
$ |
(59,535 |
) |
|
$ |
(15,629 |
) |
|
$ |
(15,112 |
) |
|
$ |
(2,814 |
) |
|
Basic and diluted net loss per share(1) |
$ |
(2.68 |
) |
|
$ |
(371 |
) |
|
$ |
(114,485 |
) |
|
$ |
(21,318 |
) |
|
(1) |
As the result of issuance of 8,050,000 shares of common stock in our initial public offering the first quarter of 2014 and 3,622,500 shares of common stock in a follow-on offering in the third quarter of 2014, there is a lack of comparability in the per share amounts between the periods presented. See Note 2 to the Notes to Consolidated Financial Statements in Item 8 of this Annual Report on Form 10-K for further discussion. |
|
|
As of December 31, |
|
|||||
|
(in thousands, except share and per share data) |
2014 |
|
|
2013 |
|
||
|
Balance Sheet Data: |
|
|
|
|
|
|
|
|
Cash, cash equivalents and marketable securities |
$ |
144,941 |
|
|
$ |
36,650 |
|
|
Working capital |
|
139,284 |
|
|
|
33,400 |
|
|
Total assets |
|
151,145 |
|
|
|
38,872 |
|
|
Long-term debt, less current portion and discount |
|
14,595 |
|
|
|
14,420 |
|
|
Accumulated deficit |
|
(125,054 |
) |
|
|
(65,480 |
) |
|
Total equity (deficit) |
|
124,871 |
|
|
|
(64,938 |
) |
66
You should read the following discussion and analysis together with “Item 6 - Selected Financial Data” and our financial statements and related notes thereto included in “Item 8 – Financial Statements and Supplementary Data” in this Annual Report on Form 10-K. This discussion contains forward-looking statements that involve risks and uncertainties. For a complete discussion of forward-looking statements, see the section above entitled “Forward Looking Statements.” Our actual results could differ materially from those expressed or implied in any forward-looking statements as a result of various factors, including those set forth under the caption “Item 1A - Risk Factors.”
Overview
We are a biopharmaceutical company focused on the development and commercialization of novel medicines for people with movement disorders and other rare diseases, including orphan diseases, which are rare diseases that affect fewer than 200,000 people in the United States. Our pipeline includes product candidates to address unmet medical needs in hyperkinetic movement disorders, such as chorea (abnormal involuntary movements) associated with Huntington’s disease, an orphan disease, tardive dyskinesia and Tourette syndrome in the pediatric population which has been deemed an orphan disease, as well as other orphan indications. A number of hyperkinetic movement disorders are triggered by abnormal dopamine regulation in the brain and our lead product candidate, SD-809, a small molecule inhibitor of vesicular monoamine transporter 2, or VMAT2, is designed to regulate the levels of dopamine in the brain. SD-809 has been granted orphan drug designation by the U.S. Food and Drug Administration, or FDA, for the treatment of Huntington’s disease and for the treatment of Tourette syndrome in the pediatric population (defined as zero through 16 years of age).
We recently completed a successful Phase 3 clinical trial of SD-809 for the potential treatment of chorea associated with Huntington’s disease, or HD. In this trial, which we refer to as First-HD, SD-809 met its primary efficacy endpoint of a statistically significant improvement in the total maximal chorea, or TMC, score, on the Unified Huntington’s Disease Rating Scale, or UHDRS, over placebo, as well as showed significant improvements in multiple secondary endpoints including patient global impression of change, or PGIC, clinical global impression of change, or CGIC, and the physical functioning scale of the 36-Item Short-Form Health Survey developed by the RAND Corporation, or the SF-36, a measure of quality of life. Importantly, in First-HD, SD-809 showed a desirable safety and tolerability profile with low rates of depression, somnolence, akathisia/restlessness and anxiety. We have also successfully completed the four week switch portion of an ongoing open-label safety clinical trial, which we refer to as ARC-HD Switch, where 37 patients on stable doses of tetrabenazine (marketed as Xenazine in the United States), approved by the FDA solely for the treatment of chorea associated with Huntington’s disease, were switched overnight to SD-809 (at approximately half the dose of tetrabenazine). In this trial, SD-809 maintained chorea control, with chorea scores declining by approximately one point from baseline at Weeks 1 and 4. In addition, data from 21 patients were available at Week 8 at the time of the analysis; these data demonstrated approximately a two point decline from baseline chorea scores. Data for the remaining 15 patients will be available at a future date.
Based on the results of our clinical trials, we plan to submit a New Drug Application, or NDA, to the FDA for SD-809 for the treatment of chorea associated with Huntington’s disease by mid-2015 and, if approved, expect to launch commercial sales in 2016 through a small specialty sales force. We believe that this desirable efficacy and safety data demonstrated in First-HD and ARC-HD Switch, combined with earlier clinical trial results, suggest that SD-809, if approved, could become the therapy of choice for treating chorea associated with Huntington’s disease, while also suggesting the potential to address unmet needs in a variety of other hyperkinetic movement disorders which will need to be confirmed in additional clinical trials. There are no FDA-approved treatments for tardive dyskinesia and there are limited options for the treatment of tics associated with Tourette syndrome. We have initiated two safety and efficacy clinical trials of SD-809 for the potential treatment of tardive dyskinesia, Aim to Reduce Movements in Tardive Dyskinesia, or ARM-TD, and Addressing Involuntary Movements in Tardive Dyskinesia, or AIM-TD. ARM-TD is a Phase3 randomized, double-blind, placebo-controlled, dose-titration clinical trial of SD-809 in approximately 90 patients with tardive dyskinesia and we expect topline results from this trial in mid-2015. AIM-TD is a Phase 3, randomized, double-blind, placebo-controlled, parallel group clinical trial in approximately 200 people with tardive dyskinesia and we expect topline results from this trial in 2016. Based on feedback we obtained at a meeting with the FDA, the ARM-TD trial may qualify as one of the two pivotal trials needed for a 505(b)(2) NDA, filing, subject to FDA review. Contingent upon successful completion of both studies, we plan to file an NDA for SD-809 for the treatment of tardive dyskinesia in 2016. Additionally, we have initiated an open-label preliminary efficacy, pharmacokinetic and safety Phase 1b clinical trial of SD-809 for the treatment of tics associated with Tourette syndrome and expect topline data from this trial by mid-2015.
67
Since our inception in 2001, we have devoted substantially all of our resources to the development of small molecule drugs, including SD-809, based on the application of deuterium chemistry, including proprietary versions of currently marketed drugs, the clinical and preclinical advancement of our product candidates, the creation and protection of related intellectual property and fundraising and organizational activities. We do not have any approved products, have not generated any revenues from product sales and in executing our business strategy, have incurred significant losses since our inception in 2001. For example, during the year ended December 31, 2014, our net loss was $59.5 million and as of December 31, 2014, had an accumulated deficit of $125.1 million. Our net losses may fluctuate significantly from quarter to quarter and year to year and we expect to continue to incur significant expenses and increasing operating losses for at least the next several years as we continue the clinical development of, and seek regulatory approval for, SD-809 and our other product candidates, and prepare for potential commercial operations for our products, if approved.
We have financed our operations primarily through the sale of equity securities in both private offerings and more recently in public offerings. For example, in February 2014, we completed an initial public offering in which we sold 8.1 million shares of our common stock at $12.00 per share and received net proceeds of $86.7 million, after underwriting discounts and offering costs. In July 2014, we completed a follow-on offering in which we sold 3.6 million shares of our common stock at $19.25 per share and received net proceeds, after underwriting discounts and offering costs, of $65.0 million. In January 2015, we completed a second follow-on offering, whereby we sold 3.6 million shares of our common stock at $56.50 per share and received net proceeds, after underwriting discounts and offering costs, of $190.5 million.
Financial Overview
Revenue
We do not have any approved products and have generated no revenue from the sale of products since our inception. We do not expect to generate any product revenue unless, or until, we commercialize or enter into a strategic alliance for SD-809 or our other product candidates. If we fail to achieve clinical success in the development of SD-809 or another product candidate in a timely manner or obtain regulatory approval for these product candidates, our ability to generate future revenues would be materially adversely affected.
Research and Development Expenses
Our research and development expenses consist primarily of salaries and related employee benefits, costs associated with clinical trials managed by our contract research organizations, or CROs, costs related to formulation development and pre-commercial manufacturing activities, costs related to preclinical studies and costs associated with non-clinical activities, such as regulatory expenses. Our most significant costs are for clinical trials. The clinical trial expenses include payments to vendors such as CROs, investigators, clinical suppliers, investigational drug product costs and related consultants.
Our historical research and development expenses relate predominantly to the development of SD-809 and the related clinical trials for the indications which we are seeking approval. Most recently, we have incurred significant expenses related to our Phase 3 HD clinical trials, including the First-HD trial, a placebo controlled trial of SD-809 in 90 patients with chorea associated with HD, and the ARC-HD Switch trial where patients with chorea associated with HD adequately controlled by tetrabenazine are switched to SD-809 and monitored for safety and efficacy. We recently completed these trials and announced desirable topline results for both trials. Based on these results, we plan to submit a NDA to the FDA for SD-809 for the treatment of chorea associated with Huntington’s disease by mid-2015.
We are also currently investigating SD-809 for the potential treatment of TD and have initiated two safety and efficacy clinical trials of SD-809, ARM-TD and AIM-TD. ARM-TD is a Phase 2/3 randomized, double-blind, placebo-controlled, dose-titration clinical trial of SD-809 in approximately 90 patients with tardive dyskinesia. Topline results from this trial are expected in mid-2015. AIM-TD is a Phase 3, randomized, double-blind, placebo-controlled, parallel group clinical trial in approximately 200 people with tardive dyskinesia. We expect topline results from this trial in 2016. Based on feedback we obtained at a meeting with the FDA, the ARM-TD trial may qualify as one of the two pivotal trials needed for a 505(b)(2) New Drug Application, or NDA, filing, subject to FDA review. Contingent upon successful completion of both studies, we plan to file an NDA for SD-809 for the treatment of tardive dyskinesia in 2016.
68
In addition to our SD-809 programs, we have other deuterium-containing product candidates in various stages of development and we continue to incur expenses researching and developing these product candidates, including SD-560, a deuterium-containing form of pirfenidone, which is currently being evaluated in Phase 1 clinical trials, SD-1077, a deuterium-containing form of levodopa, which we plan to evaluate in Phase 1 proof of concept clinical trials and SD-254, a deuterium-containing form of venlafaxine, which has completed two Phase 1 clinical trials. We acquired the intellectual property rights to the SD-1077 product candidate first through a strategic collaboration with Imphar AG in July 2014. At that that time, and as of December 31, 2014, we were considered the primary beneficiary of the joint venture and hence have consolidated the financial results of this partnership into our financial results. In January 2015, we completed a share purchase agreement with Imphar AG whereby we acquired the remaining rights of SD-1077.
We expense all research and development charges as they are incurred as the underlying technology associated with these expenditures relates to our research and development efforts and has no alternative future uses. We use external service providers and vendors to conduct our clinical trials, to manufacture our product candidates to be used in clinical trials and to provide various other research and development related products and services. A substantial portion of these external costs are tracked on a project basis however our internal research and development resources are used in several projects and may not be attributable to a specific product candidate. For example, a substantial portion of our internal costs, including personnel and facility related costs, are not tracked on a project basis.
The following table summarizes our research and development expenses by major program or category. Costs that are not attributable to a specific product candidate are included in the “other research and development expenses” category (in thousands):
|
|
Year Ended December 31, |
|
|||||||||
|
|
2014 |
|
|
2013 |
|
|
2012 |
|
|||
|
SD-809 Clinical Program |
$ |
20,739 |
|
|
$ |
3,822 |
|
|
$ |
278 |
|
|
Manufacturing |
|
3,909 |
|
|
|
2,550 |
|
|
|
3,236 |
|
|
Phase 1 Studies |
|
1,038 |
|
|
|
274 |
|
|
|
4,970 |
|
|
Preclinical Studies |
|
1,431 |
|
|
|
218 |
|
|
|
961 |
|
|
Other research and development expenses |
|
10,610 |
|
|
|
3,139 |
|
|
|
2,296 |
|
|
Total research and development expenses |
$ |
37,727 |
|
|
$ |
10,003 |
|
|
$ |
11,741 |
|
The table above does not include the loss on consolidation we recorded in 2014 related to the strategic collaboration agreement for our SD-1077 product candidate. Further, the manufacturing category includes costs associated with formulation development and clinical drug production which may not have been allocated to the particular project to which they relate.
Completion of clinical trials may take several years or more, and the length of time generally varies according to the type, complexity, novelty and intended use of a product candidate. The cost of clinical trials may vary significantly over the life of a project as a result of differences arising during clinical development, including, among others:
|
· |
per patient trial costs; |
|
· |
the number of trials required for regulatory approval; |
|
· |
the number of sites included in the trials and the location of those sites; |
|
· |
the length of time required to enroll suitable patients; |
|
· |
the number of doses that patients receive; |
|
· |
the number of patients that participate in the trials; |
|
· |
the drop-out or discontinuation rates of patients; |
|
· |
the duration of patient follow-up; |
|
· |
potential additional safety monitoring or other studies requested by regulatory agencies; |
|
· |
the number and complexity of analyses and tests performed during the trial; |
|
· |
the phase of development of the product candidate; and |
|
· |
the efficacy and safety profile of the product candidate. |
69
Our expenses related to clinical trials are based on estimates of patient enrollment and related expenses at clinical investigator sites as well as estimates for the services received and efforts expended pursuant to contracts with multiple research institutions and CROs that may be used to conduct and manage clinical trials on our behalf. We generally accrue expenses related to clinical trials based on contracted amounts applied to the level of patient enrollment and activity. If timelines or contracts are modified based upon changes in the clinical trial protocol or scope of work to be performed, we modify our estimates of accrued expenses accordingly on a prospective basis.
We cannot determine with certainty the timing of initiation, the duration or the completion costs of current or future preclinical studies and clinical trials of our product candidates. Moreover, due to the inherently unpredictable nature of preclinical and clinical development, we are unable to estimate with any certainty the costs we will incur and the timelines we will require in the continued development of our product candidates, including SD-809. Clinical and preclinical development timelines, the probability of success and development costs can differ materially from expectations. In addition, we cannot forecast which product candidates may be subject to future collaborations, when such arrangements will be secured, if at all, and to what degree such arrangements would affect our development plans and capital requirements. Therefore, we are unable to estimate with any certainty the costs we will incur in continuing our development of SD-809, or our other product candidates, however we expect that these costs will be significant as these programs progress.
General and Administrative Expenses
General and administrative expenses consist primarily of salaries, benefits and stock-based compensation for employees in executive, finance, legal, marketing, business development and support functions. Other significant general and administrative expenses include the costs associated with audit, legal and tax services, insurance, facility costs and other public company expenses. We expect that our general and administrative expenses will increase in the future as we continue to build our corporate infrastructure in support of continued development and preparation for the potential commercial launch of our product candidates, including SD-809.
Other Income and Expense
Our other non-operating income and expenses consists primarily of the interest expense we incur related to our long-term debt, interest expense related to the non-cash amortization of debt issuance costs and interest income generated from our investments in marketable securities. Additionally, as a result of the initial consolidation of our strategic collaboration which we consolidated as a variable interest entity, we recorded a loss on the consolidation of the assets and liabilities at the inception of the agreement in July 2014, which was subsequently adjusted in December 2014 based on the results of a third-party valuation study. Further, prior to our initial public offering, or IPO, we accounted for the estimated value of our convertible preferred stock warrants at issuance and amortized such amounts over the borrowing term. These convertible preferred stock warrants were accounted for as liabilities and hence were remeasured at each reporting period with the changes in fair value recognized as increases or reductions to other income (expense). Moreover, our Series D convertible preferred stock financing provided stockholders with the right to obligate us to sell additional shares in a second closing contingent upon certain events. This tranche right was recorded on the date of issuance at its estimated fair value and is remeasured at each reporting period with increases or reductions recorded in other financing expenses. At the consummation of the IPO in February 2014, all outstanding warrants to purchase shares of preferred stock converted into warrants to purchase common stock and were classified as equity instruments. We recognized the change in the fair value of the warrant liability immediately prior to this reclassification and recorded a loss $3.6 of million at that time. As the warrants are now classified as equity, they are no longer remeasured at each reporting date.
Income Taxes
We assess income tax positions and record tax benefits for all years subject to examination based upon our evaluation of the facts, circumstances and information available at the reporting date. For those tax positions where there is a greater than 50% likelihood that a tax benefit will be sustained, we have recorded the largest amount of tax benefit that may potentially be realized upon ultimate settlement with a taxing authority that has full knowledge of all relevant information. For those income tax positions where there is less than 50% likelihood that a tax benefit will be sustained, no tax benefit has been recognized in the financial statements.
As of December 31, 2014, we had federal and state net operating loss carryforwards of approximately $91.2 million and $94.1 million, respectively. The federal net operating loss carryforwards will begin expiring in 2021 unless previously utilized, and the state net operating loss carryforwards will continue to expire in 2015. Additionally, we had both federal and state research and development tax credit carryforwards of approximately $5.2 million and $1.8 million, respectively. The federal research and development tax credits will begin expiring in 2021 unless previously utilized. The state research and development tax credits do not expire.
70
Under Sections 382 and 383 of the Internal Revenue Code of 1986, as amended, or the Internal Revenue Code, substantial changes in our ownership may limit the amount of net operating loss carryforwards and development tax credit carryforwards that could be utilized annually in the future to offset taxable income. Any such annual limitation may significantly reduce the utilization of the net operating losses and tax credits before they expire. We have not completed a Section 382/383 study at this time to determine the impact ownership changes have had on our carryforwards. In each period since our inception, we have recorded a valuation allowance for the full amount of our deferred tax asset, as the realization of the deferred tax asset is uncertain. As a result, we have not recognized any federal or state income tax benefit in our statement of operations and, due to the existence of the valuation allowance, future changes in our unrecognized tax benefits will not impact our effective tax rate.
Critical Accounting Policies and Significant Judgments and Estimates
Our discussion and analysis of financial condition and results of operations are based upon our financial statements, which have been prepared in accordance with U.S. generally accepted accounting principles, or GAAP. The preparation of financial statements in conformity with GAAP requires us to make certain estimates, judgments and assumptions that affect the reported amounts of assets and liabilities, the disclosure of contingent assets and liabilities at the date of the financial statements, and the reported amounts of income and expenses during the reporting period. Some of our accounting policies require us to make difficult and subjective judgments, often as a result of the need to make estimates of matters that are inherently. On an ongoing basis, we evaluate our estimates and judgments and adjust our estimates accordingly. We base our estimates on historical experience, known trends and events, and various other factors that are believed to be reasonable under the circumstances, the results of which form the basis for making judgments about the carrying values of assets and liabilities that are not readily apparent from other sources. Actual results may differ from these estimates under different assumptions or conditions.
While our significant accounting policies are described in more detail in the notes to our financial statements appearing elsewhere in this annual report, we believe the following accounting policies are the most critical to the judgments and estimates used in the preparation of our financial statements.
Research and Development Expenses
A substantial portion of our ongoing research and development activities are performed under agreements we enter into with external service providers, including CROs, which conduct many of our research and development activities. We accrue for costs incurred under these contracts based on factors such as estimates of work performed, milestones achieved, patient enrollment and experience with similar contracts. For example, we accrue and expense clinical trial activities performed by third parties based upon estimates of the proportion of work completed over the life of the individual clinical trial and patient enrollment rates in accordance with agreements established with CROs and clinical trial sites. We determine the estimates by reviewing contracts, vendor agreements and purchase orders, and through discussions with internal clinical personnel and external service providers as to the progress or stage of completion of trials or services and the agreed-upon fee to be paid for such services. However, actual costs and timing of clinical trials are highly uncertain, subject to risks and may change depending upon a number of factors, including our clinical development plan. As actual costs become known, we adjust our accruals.
To date, our accruals have been within management’s estimates. Subsequent changes in estimates may result in a change in our accruals, which could also materially affect our results of operations.
Stock-Based Compensation
We account for stock-based compensation by calculating the fair value of equity awards on the date of grant. We calculate the fair value of stock options using the Black-Scholes pricing model, which requires a number of estimates, including the expected lives of awards, interest rates, stock volatility and other assumptions. Restricted stock is measured based on the fair market value of the underlying stock on the date of grant. If the awards are classified as liability awards, the fair value is remeasured at each reporting date and the compensation expense is adjusted accordingly. Additionally, we apply a forfeiture rate to estimate the number of grants that will ultimately vest, as applicable, and adjust the expense as these awards vest. All of our current equity awards are service based awards and the stock-based compensation cost is being recognized over the requisite service period of the awards on a straight-line basis.
71
As our employee population grows and the number of employees subject to receive equity award grants increase, our stock-based compensation expense has increased accordingly. The following table sets forth the stock-based compensation expense included in our results of operations for the years ended December 31, 2014, 2013 and 2012 (in thousands):
|
|
Year Ended December 31, |
|
|||||||||
|
|
2014 |
|
|
2013 |
|
|
2012 |
|
|||
|
Research and development |
$ |
1,832 |
|
|
$ |
89 |
|
|
$ |
43 |
|
|
General and administrative |
|
1,975 |
|
|
|
211 |
|
|
|
39 |
|
|
Total stock-based compensation expense |
$ |
3,807 |
|
|
$ |
300 |
|
|
$ |
82 |
|
Consolidation of Variable Interest Entities
In July 2014, we entered into a strategic collaboration agreement with Imphar AG to further develop SD-1077, a deuterium containing levodopa. At the time the agreement was entered, we determined that we held a variable interest in the development partner’s intellectual property assets and the related potential future product candidates these assets may produce. In absence of other significant development programs at the development partner, the development partner was considered a variable interest entity, or VIE. Although we did not have an equity investment in the VIE, it was determined to be the primary beneficiary for the VIE as the party controlling its principal activities. Therefore the VIE is subject to consolidation and we have consolidated the financial statements of the Company and the VIE since the inception of the agreement on July 1, 2014. Upon the consolidation we have recorded the estimated fair value of the non-controlling interest at $3.8 million. All intercompany accounts between the two entities have been eliminated in consolidation. In January 2015, we completed a share purchase agreement where we acquired the remaining rights of SD-1077 from Imphar AG.
Comparison of the Years Ended December 31, 2014 and 2013
The following table sets forth our results of operations for the years ended December 31, 2014 and 2013 (in thousands):
|
|
Year Ended December 31, |
|
|
Period-to- Period |
|
||||||
|
|
2014 |
|
|
2013 |
|
|
Change |
|
|||
|
Research and development |
$ |
37,727 |
|
|
$ |
10,003 |
|
|
$ |
27,724 |
|
|
General and administrative |
$ |
12,529 |
|
|
$ |
3,189 |
|
|
$ |
9,340 |
|
|
Other (expense) income, net |
$ |
(9,279 |
) |
|
$ |
(2,437 |
) |
|
$ |
(6,842 |
) |
Research and Development Expenses. Our research and development expenses increased $27.7 million during the year ended December 31, 2014, to $37.7 million, compared to $10.0 million for the year ended December 31, 2013. This increase in our research and development expenses was primarily due to a $16.9 million increase in expenses for our SD-809 clinical programs. These additional expenses incurred during 2014 primarily as a result of an increase in the number of our SD-809 programs and related clinical trials which were evaluating during the year. For example, during most of 2014, we were conducting our two Phase 3 HD clinical studies, which we had initiated in the second half of 2013. We completed these studies in the fourth quarter or 2014. Additionally during 2014 we initiated, a Phase 2/3 TD clinical study, a Phase 3 TD clinical study and initiated and completed a thorough QT study of SD-809. We had not incurred expenses for these TD programs in 2013.
In addition, our non-program specific research and development expenses increased $7.5 million during the year ended December 31, 2014, as compared to the same period in 2013. This non-program specific increase is primarily due to an increase in personnel-related costs as we have expanded our operations and increased the number of research and development employees. More specifically, $1.7 million of the increase is related to additional non-cash stock-based compensation expense we incurred in 2014 as compared to 2013 for new and current employees. Other increases in our research and development expenses during the current period in 2014 as compared to the same period in 2013, include additional costs for preclinical studies as we explore other compounds and additional manufacturing-related costs to support our programs and prepare for potential commercialization of our product candidates.
72
General and Administrative Expense. Our general and administrative expenses increased $9.3 million during the year ended December 31, 2014, to $12.5 million, compared to $3.2 million for the years ended December 31, 2013. This increase in general and administrative expenses during the 2014 period was primarily due to an increase in personnel-related costs, including an additional $1.8 million of non-cash stock-based compensation expense, as we have expanded our operations and increased the number of general and administrative employees in 2014 as compared to 2013. We have also incurred additional sales and marketing expenses in 2014 as compared to 2013, as we have begun to build or commercial sales group in preparation for potential commercialization of our product candidates. Further, we have incurred additional costs operating as a publicly traded company during 2014, as a result of our initial public offering in February, including higher legal, insurance and audit expenses.
Changes in components of other (expense) income, net included the following:
Interest Expense. Interest expense for the year ended December 31, 2014, was $2.6 million, an increase of $2.4 million from the $0.2 million incurred for the year ended December 31, 2013. The interest expense we incurred in 2014 was related to our $15.0 million loan facility drawn in December 2013 and includes non-cash amortization of the debt discount related to the loan. The interest expense incurred in 2013 was primarily related to the amortization of the debt discount related to our January 2013 loan facility, which $5.0 million was drawn in September 2013 and fully repaid in December 2013.
Interest Income. We have invested the proceeds of our 2014 public offerings in marketable securities in accordance with our investment policy and during the year ended December 31, 2014, we recorded $1.2 million of interest income on these investments. No similar interest income was received during 2013.
Change in Fair Value of Convertible Preferred Stock Warrant Liability. During the year ended December 31, 2014, and 2013, we recognized the change in the fair value of our convertible preferred stock warrant liability, resulting in losses of $3.6 million and $1.9 million, respectively. These instruments were converted to common stock warrants in conjunction with our initial public offering in February 2014 and were reclassified to equity on our balance sheet as they met the criteria for an equity instrument. As such, we are no longer remeasuring the value of these warrants at each reporting date.
Loss on Consolidation of Variable Interest Entity. We entered into a strategic collaboration with Imphar AG in July 2014 which required us to consolidate the financial results of Imphar AG as they were considered a variable interest entity. As a result of the initial consolidation of the assets and liabilities, we recorded a loss upon consolidation in third quarter of 2014, which was subsequently adjusted in December 2014 based on the completion of a valuation analysis of the estimated fair value of the intangible assets, resulting in a net loss upon consolidation of $4.3 million for the year ended December 31, 2014. No similar loss was recorded during 2013.
Comparison of the Years Ended December 31, 2013 and 2012
The following table sets forth our results of operations for the years ended December 31, 2012 and 2013 (in thousands):
|
|
|
|
|
|
|
|
|
|
|
|
|
|
|
|
|
Year Ended December 31, |
|
|
Period-to- |
|
||||||
|
|
|
2013 |
|
|
2012 |
|
|
Change |
|
|||
|
Research and development |
|
$ |
10,003 |
|
|
$ |
11,741 |
|
|
$ |
(1,738 |
) |
|
General and administrative |
|
|
3,189 |
|
|
|
1,688 |
|
|
|
1,501 |
|
|
Other income (expense) |
|
|
(2,437 |
) |
|
|
(1,683 |
) |
|
|
(754 |
) |
Research and Development Expenses. Our research and development expenses were $10.0 million and $11.7 million for the years ended December 31, 2013 and 2012, respectively. The decrease in research and development expense during 2013 compared to 2012 was primarily due to a decrease in expenses for Phase 1 clinical studies of SD-809 as our Phase I study for SD-809 was completed and we began activities for our Phase 3 study in 2013. In addition, preclinical activities and manufacturing expenses decreased in 2013 as compared to 2013. These decreases were mostly offset by increased expenses for the start of our Phase 3 clinical trials of SD-809 as well as increases in consulting, payroll related and other research and development expenses as we continued to expand operations.
General and Administrative Expense. General and administrative expenses were $3.2 million and $1.7 million for the years ended December 31, 2013 and 2012, respectively. The change in general and administrative expense resulted primarily from an increase in payroll related expense of $0.8 million as three additional employees, including two executives, were added during 2013, an increase in professional and consulting fees of $0.3 million and an increase in stock compensation of $0.2 million relating to the new employees.
73
Changes in components of Other income (expense) were as follows:
Interest Expense. Interest expense was $0.2 million and $1.3 million for the years ended December 31, 2013 and 2012, respectively. The interest expense in 2013 consisted of $0.1 million of expense related to our bank notes payable and $0.1 million for amortization of debt discount related to the bank notes. The interest expense incurred in 2012 consisted of interest expense of $0.5 million relating to outstanding 2011 Notes and the 2012 Notes issued in April and July 2012. In addition, we recorded $0.8 million for amortization of debt discount in connection with the 2011 and 2012 Notes that converted into Series D convertible preferred stock in October 2012.
Other Financing Expense. Other financing expense was $0.3 million and $0.2 million for the years ended December 31, 2013 and 2012 respectively. The other financing expense consisted of the remeasurement of our preferred stock tranche rights in connection with the first closing of our Series D convertible preferred stock financing in October 2012.
Change in Fair Value of Convertible Preferred Stock Warrant Liability. The change in the fair value of our convertible preferred stock warrant liability for the year ended December 31, 2013 was an increase of $1.9 million compared to an increase of $0.2 million for the year ended December 31, 2012. The increase in the fair value of convertible preferred stock warrant liability resulted from the remeasurement of our Series C and Series D convertible preferred stock warrants as well as issuance of new warrants in December 2013 related to our term loan facility.
Liquidity and Capital Resources
We have incurred losses since inception and continue to operate with negative cash flows from operating activities. As of December 31, 2014, we had an accumulated deficit of $125.1 million. We anticipate that we will continue to incur net losses and negative cash flow for the foreseeable future as we continue the development and potential commercialization of SD-809, and our other product candidates, and incur additional costs associated with being a public company.
Prior to our initial public offering, we funded our operations primarily through the sale of convertible preferred stock, convertible notes and warrants and the sale and license of certain patent rights, including net cash proceeds of $81.0 million from the sale of convertible preferred stock, convertible notes, warrants, and $3.3 million of proceeds from the sale and license of certain patent rights and the sale of equipment. In February 2014, we completed our initial public offering for proceeds, net of offering costs, of $86.7 million and in July 2014, we raised an additional $65.0 million, net of offering costs, in a follow-on offering. Most recently, in January 2015, we completed a second follow-on offering in which we raised $190.5 million, net of offerings costs. As of December 31, 2014, and excluding the proceeds from our January 2015 follow-on offering, we had an aggregate cash, cash equivalents and marketable securities balance of $144.9 million. We believe that our existing cash, cash equivalent and investments balance and the net proceeds from our January 2015 follow-on offering will be sufficient to fund our operations at through least through 2017. However, we may choose to raise additional capital through the sale of equity or convertible debt securities due to market conditions or strategic considerations even if we believe we have sufficient funds for our current or future operating plans. If we are unable to obtain additional financing on commercially reasonable terms, our business, financial condition and results of operations will be materially adversely affected.
We have also entered into debt agreements to fund our operations. For example, in December 2013, we entered into a term loan facility with Oxford and its assignees, collectively referred to as the lenders, for an aggregate amount of $15.0 million. The loan, which matures on January 1, 2018, was funded at closing and we used a portion of the proceeds to repay our then existing $5.0 million credit facility with Square 1. In December 2014, we amended the facility to extend the interest-only payment period and are currently subject to interest-only payments through January 1, 2016, to be followed by 24 equal monthly principal and interest payments. However, if we complete an NDA submission of SD-809 for chorea associated with Huntington’s disease by June 30, 2015, and we are otherwise in compliance with the loan facility, the interest-only period will extended to 30 months, followed by 18 equal monthly principal and interest payments. Our obligations under the term loan facility are secured, subject to customary permitted liens and other agreed upon exceptions, by perfected first priority interest in substantially all of our tangible personal property, excluding our intellectual property, which is subject to a negative pledge. The term loan bears interest at a fixed rate equal 8.99% per year and upon repayment of the term loan, we are required to make a final payment to the lender equal to 3% of the original amount of the term loan.
74
Operating Capital Activity
As of December 31, 2014, we had $29.8 million in cash and cash equivalents, compared to $36.7 million at December 31, 2013 and $4.3 million at December 31, 2012. At December 31, 2014, we also held $115.1 million in marketable securities. The $190.5 million of net proceeds we received from our January 2015 follow-on offering are not included in these amounts or our financial statements at December 31, 2014. A summary of the cash flow activity for each of the three years presented is set forth in the following table (in thousands):
|
Year Ended December 31, |
|
||||||||||
|
|
2014 |
|
|
2013 |
|
|
2012 |
|
|||
|
Net cash used in operating activities |
$ |
(42,907 |
) |
|
$ |
(11,301 |
) |
|
$ |
(12,673 |
) |
|
Net cash used in investing activities |
$ |
(116,259 |
) |
|
$ |
(14 |
) |
|
$ |
(33 |
) |
|
Net cash provided by financing activities |
$ |
152,309 |
|
|
$ |
43,686 |
|
|
$ |
13,823 |
|
|
Net (decrease) increase in cash and cash equivalents |
$ |
(6,857 |
) |
|
$ |
32,371 |
|
|
$ |
1,117 |
|
During the year ended December 31, 2014, we used $42.9 million of cash in operating activities, compared to $11.3 million and $12.7 million during 2013 and 2012, respectively. The significant increase in our use of cash during 2014 is primarily due to the larger net loss, adjusted for non-cash expenses, we incurred in 2014 as compared to 2013 and 2012. This larger net loss in 2014 is mostly due to the advancement of our SD-809 development program, including the completion of two Phase 3 clinical trials, added headcount as our operations grows and additional costs to operate as public company. We funded our operations in 2014 with our existing cash balance, an increase in net payables and the net proceeds we raised through our February 2014 IPO and July 2014 follow-on offerings. These offerings provided proceeds, net of offering costs, of $151.6 million, and we invested $116.0 million of these proceeds in marketable securities during 2014. During 2013 our financing activities provided us with $43.7 million, $28.5 million of which was through the sale of preferred stock, partially offset by offering costs related to our 2014 IPO, and an additional $14.9 million was through long-term debt. A portion of these proceeds were used in operating activities during 2013, however a majority of the proceeds remained in our cash and cash equivalent balance as of December 31, 2013.
Operating Capital Requirements
To date, we have not generated any revenues from product sales, and we do not have any approved products. We do not know when, or if, we will generate any revenue from product sales. We do not expect to generate significant revenue from product sales unless and until we obtain regulatory approval for and commercialize one of our current or future product candidates. Even then, we anticipate that we will continue to incur losses for the foreseeable future, and we expect the losses to increase as we continue the development of, and seek regulatory approvals for, our other product candidates, and begin to commercialize any approved products. We are subject to all of the risks incident in the development of new therapeutic products, and we may encounter unforeseen expenses, difficulties, complications, delays and other unknown factors that may adversely affect our business. In addition, we expect to incur additional costs associated with operating as a new public company. Moreover, we anticipate that we will need additional capital to complete the development and commercialization for all three planned indications of SD-809.
We believe that our existing cash, cash equivalent and investments balance provided by the net proceeds from our 2014 initial public offering and follow-on offering, combined with the net proceeds provided by our January 2015 follow-on offering will be sufficient to fund our operations at least through 2017. However, we will require additional capital to complete the development and commercialization of SD-809, if approved, for all three planned indications and may also need to raise additional funds sooner to pursue other development activities related to additional product candidates. Until such time, if ever, as we can generate substantial product revenues, we expect to finance our cash needs through a combination of stock offerings, debt financings, collaborations, strategic partnerships and licensing arrangements. We do not have any committed external source of funds and additional capital may not be available on reasonable terms, if at all. To the extent that we raise additional capital through the sale of stock or convertible debt securities, the ownership interest of our stockholders will be diluted, and the terms of these securities may include liquidation or other preferences that adversely affect the rights of our common stockholders. Debt financing, if available, may involve agreements that include increased fixed payment obligations and covenants limiting or restricting our ability to take specific actions, such as incurring additional debt, making capital expenditures, declaring dividends, selling or licensing intellectual property rights and other operating restrictions that could adversely impact our ability to conduct our business. If we raise additional funds through collaborations, strategic partnerships or licensing arrangements with third parties, we may have to relinquish valuable rights to SD-809 or our other product candidates, including our other technologies, future revenue streams or research programs, or grant licenses on terms that may not be favorable to us. If we are unable to raise additional funds through stock offerings or debt financings when needed, we may be required to delay, limit, reduce or terminate our product development or future commercialization efforts, or grant rights to develop and commercialize SD-809, or our other product candidates, even if we would otherwise prefer to develop and commercialize such product candidates ourselves.
75
Our forecast of the period of time through which our financial resources will be adequate to support our operations is a forward-looking statement and involves risks and uncertainties, and actual results could vary as a result of a number of factors. We have based this estimate on assumptions that may prove to be wrong, and we could utilize our available capital resources sooner than we currently expect. The amount and timing of future funding requirements, both near- and long-term, will depend on many factors, including, but not limited to:
|
· |
the design, initiation, progress, size, timing, costs and results of our clinical trials for our current product candidates and any other preclinical studies and clinical trials for other product candidates; |
|
· |
the outcome, timing and cost of regulatory approvals by the FDA and comparable foreign regulatory authorities, including the potential for the FDA or comparable foreign regulatory authorities to require that we perform more studies than, or evaluate clinical endpoints other than, those that we currently expect; |
|
· |
the timing and costs associated with manufacturing our product candidates for clinical trials, preclinical studies and, if approved, for commercial sale; |
|
· |
the number and characteristics of product candidates that we pursue; |
|
· |
the cost of filing, prosecuting, defending and enforcing any patent claims and other intellectual property rights; |
|
· |
our need to expand our research and development activities, including our need and ability to hire additional employees; |
|
· |
our need to implement additional infrastructure and internal systems and hire additional employees to operate as a public company; |
|
· |
the effect of competing technological and market developments; and |
|
· |
the cost of establishing sales, marketing and distribution capabilities for SD-809 and any other products candidates for which we may receive regulatory approval. |
If we cannot expand our operations or otherwise capitalize on our business opportunities because we lack sufficient capital, our business, financial condition and results of operations could be materially adversely affected.
76
Contractual Obligations and Commitments
In operating our business, we enter into contracts and agreements that require capital resources to be consumed in future periods. The following table summarizes our committed contractual obligations and commitments as of December 31, 2014, that will affect our future liquidity (in thousands):
|
|
|
|
|
|
Payments By Period |
|
|||||||||||||
|
|
|
|
|
|
Less than |
|
|
|
|
|
|
|
|
|
|
More than |
|
||
|
|
Total |
|
|
1 Year |
|
|
1-3 years |
|
|
3-5 years |
|
|
5 years |
|
|||||
|
Long-term debt obligations, including interest |
$ |
18,358 |
|
|
$ |
1,350 |
|
|
$ |
15,873 |
|
|
$ |
1,135 |
|
|
$ |
— |
|
|
Operating leases(1) |
|
5,951 |
|
|
|
860 |
|
|
|
2,315 |
|
|
|
2,457 |
|
|
|
319 |
|
|
License obligations(2) |
|
— |
|
|
|
— |
|
|
|
— |
|
|
|
— |
|
|
|
— |
|
|
Total(3) |
$ |
24,309 |
|
|
$ |
2,210 |
|
|
$ |
18,188 |
|
|
$ |
3,592 |
|
|
$ |
319 |
|
|
(1) |
The amounts presented represent the commitments for minimum lease payments related to leases of office space. |
|
(2) |
In September 2011, we entered into a patent assignment agreement with Concert Pharmaceuticals, Inc., or Concert, pursuant to which we received a U.S. patent application relating to deuterated pirfenidone. Under this agreement, we will be required to make royalty payments, in the low single digits for net sales in the United States invoiced by us, or any of our affiliates, of pharmaceutical products containing deuterated pirfenidone. If we sell to another party all of our U.S. rights to certain deuterated pirfenidone products or if we grant to another party a license to sell certain deuterated pirfenidone products in the United States, Concert will receive an amount, or Sublicense/Sale Payments, equal to a percentage in the teens of any proceeds we receive therefrom that are attributable to the rights to such deuterated pirfenidone products in the United States. If we are acquired in a change in control transaction at any time that we or any of our affiliates own certain patents or patent applications related to deuterated pirfenidone, Concert will receive 1.44% of any proceeds we receive in such transaction. Such payment is applied as a credit to any future Royalty Payments and Sublicense/Sale Payments that may be due to Concert under the agreement. The agreement expires upon the earlier to occur of (1) receipt by Concert of the final Sublicense/Sale Payment arising from (a) the sale of our U.S. rights to certain deuterated pirfenidone products or (b) our grant of an exclusive license to sell certain deuterated pirfenidone products in the United States in all indications and fields, or (2) the expiration of the last claim owned by us or any of our affiliates in certain patents or patent applications related to deuterated pirfenidone. |
|
(3) |
We enter into contracts in the normal course of business with clinical sites for the conduct of clinical trials, CROs for preclinical research studies, professional consultants for expert advice and other vendors for clinical supply manufacturing or other services. These contracts generally provide for termination on notice, and therefore are cancelable contracts and not included in the table of contractual obligations and commitments. Further, we enter into unconditional purchase obligations with various vendors and suppliers of goods and services in the normal course of business through purchase orders or other documentation, or that are undocumented except for an invoice. Such unconditional purchase obligations are generally outstanding for periods less than a year and are settled by cash payments upon delivery of the goods or services and are not reflected the table of contractual obligations and commitments. |
Off-Balance Sheet Arrangements
We do not have any off-balance sheet arrangements (as defined by applicable regulations of the SEC) that are reasonably likely to have a current or future material effect on our financial condition, results of operations, liquidity, capital expenditures or capital resources.
Other Information
JOBS Act
On April 5, 2012, the JOBS Act was enacted. Section 107 of the JOBS Act provides that an “emerging growth company” can take advantage of the extended transition period provided in Section 7(a)(2)(B) of the Securities Act for complying with new or revised accounting standards. In other words, an “emerging growth company” can delay the adoption of certain accounting standards until those standards would otherwise apply to private companies. We have irrevocably elected not to avail ourselves of this extended transition period and, as a result, we will adopt new or revised accounting standards on the relevant dates on which adoption of such standards is required for other public companies.
Subject to certain conditions set forth in the JOBS Act, as an “emerging growth company,” we intend to rely on certain of these exemptions including without limitation with respect to, (1) providing an auditor’s attestation report on our system of internal controls over financial reporting pursuant to Section 404(b) of the Sarbanes-Oxley Act and (2) complying with any requirement that may be adopted by the Public Company Accounting Oversight Board regarding mandatory audit firm rotation or a supplement to the auditor’s report providing additional information about the audit and the financial statements, known as the auditor discussion and analysis. We will remain an “emerging growth company” until the earliest of (a) the last day of the fiscal year in which we have total annual gross revenues of $1 billion or more, (b) the last day of our fiscal year following the fifth anniversary of the date of the completion of our initial public offering, (c) the date on which we have issued more than $1 billion in non-convertible debt during the previous three years or (d) the date on which we are deemed to be a large accelerated filer under the rules of the SEC.
77
Recently Adopted Accounting Pronouncements
See Note 2 to the Notes to Consolidated Financial Statements in Item 8 below for discussion regarding recent accounting pronouncements.
Interest Rate Risk
Our cash equivalent and short-term investment holdings as of December 31, 2014, consisted of money market funds, corporate debt securities and commercial paper. These investments were made in accordance with an investment policy approved by our board of directors which specifies the categories, allocations, and ratings of securities we may consider for investment. Some of the financial instruments that we invest in could be subject to market risk related to fluctuations in interest rates and market prices and our primary exposure to market risk is interest income sensitivity, which is affected by changes in the general level of U.S. interest rates. However, based on our current investment portfolio, we do not believe that our financial condition or results of operations would be materially impacted by an immediate change of 10% in interest rates. Relatedly, our long-term debt bears interest at a fixed rate and therefore does not contain exposure to changes in interest rates.
We do not hold or issue derivatives, derivative commodity instruments or other financial instruments for speculative trading purposes. Further, we do not believe our cash, cash equivalents and investment securities have significant risk of default or illiquidity. We made this determination based on discussions with our investment advisors and a review of our holdings. While we believe our cash, cash equivalents and investment securities do not contain excessive risk, we cannot provide absolute assurance that in the future our investments will not be subject to adverse changes in market value. All of our cash, cash equivalents and investment securities are held at fair value.
Foreign Currency Exchange Rate Exposures
We face exposure to movements in foreign currency exchange rates as a result of our strategic collaboration with, and purchase of, Imphar AG and clinical trials we conduct in foreign countries. Our exposure to movements in foreign currency exchange rates is primarily with the British Pound Sterling, Euro, and Australian Dollar, against the U.S. Dollar. Our current exposures arise primarily from trade payables and intercompany payable and receivable balances.
We believe that our foreign currency exposure is limited at this time as the value of transactions and the asset and liability balances denominated in foreign currencies are relatively small. As such, we do not currently use any currency hedging transactions of options or forwards to decrease the risk of financial exposure from fluctuations in the exchange rate of the U.S. Dollar against foreign currencies. Further, we do not believe that our financial condition or results of operations would be materially impacted by an immediate change of 10% in exchange rate of the foreign currencies in which we have transactions denominated.
Effects of Inflation
We do not believe that inflation and changing prices had a significant impact on our results of operations for any periods presented herein.
78
Index to Consolidated Financial Statements
79
REPORT OF INDEPENDENT REGISTERED PUBLIC ACCOUNTING FIRM
The Board of Directors and Shareholders of Auspex Pharmaceuticals, Inc.
Auspex Pharmaceuticals, Inc.
We have audited the accompanying consolidated balance sheets of Auspex Pharmaceuticals, Inc. as of December 31, 2014 and 2013, and the related consolidated statements of operations, comprehensive loss, convertible preferred stock and equity (deficit) and cash flows for each of the three years in the period ended December 31, 2014. These financial statements are the responsibility of the Company's management. Our responsibility is to express an opinion on these financial statements based on our audits.
We conducted our audits in accordance with the standards of the Public Company Accounting Oversight Board (United States). Those standards require that we plan and perform the audit to obtain reasonable assurance about whether the financial statements are free of material misstatement. We were not engaged to perform an audit of the Company’s internal control over financial reporting. Our audits included consideration of internal control over financial reporting as a basis for designing audit procedures that are appropriate in the circumstances, but not for the purpose of expressing an opinion on the effectiveness of the Company's internal control over financial reporting. Accordingly, we express no such opinion. An audit also includes examining, on a test basis, evidence supporting the amounts and disclosures in the financial statements, assessing the accounting principles used and significant estimates made by management, and evaluating the overall financial statement presentation. We believe that our audits provide a reasonable basis for our opinion.
In our opinion, the financial statements referred to above present fairly, in all material respects, the consolidated financial position of Auspex Pharmaceuticals, Inc. at December 31, 2014 and 2013, and the consolidated results of its operations and its cash flows for each of the three years in the period ended December 31, 2014, in conformity with U.S. generally accepted accounting principles.
|
|
|
/s/ Ernst & Young LLP |
|
|
|
San Diego, California |
|
March 16, 2015 |
80
AUSPEX PHARMACEUTICALS, INC.
(in thousands, except share and per share amounts)
|
|
|
December 31, |
|
|||||
|
|
|
2014 |
|
|
2013 |
|
||
|
Assets |
|
|
|
|
|
|
|
|
|
Current assets: |
|
|
|
|
|
|
|
|
|
Cash and cash equivalents |
|
$ |
29,793 |
|
|
$ |
36,650 |
|
|
Marketable securities |
|
|
115,148 |
|
|
|
— |
|
|
Prepaid expenses and other current assets |
|
|
5,711 |
|
|
|
242 |
|
|
Total current assets |
|
|
150,652 |
|
|
|
36,892 |
|
|
|
|
|
|
|
|
|
|
|
|
Deferred offering costs |
|
|
111 |
|
|
|
1,817 |
|
|
Property and equipment, net |
|
|
177 |
|
|
|
26 |
|
|
Other assets |
|
|
205 |
|
|
|
137 |
|
|
Total assets |
|
$ |
151,145 |
|
|
$ |
38,872 |
|
|
|
|
|
|
|
|
|
|
|
|
Liabilities, Convertible Preferred Stock and Equity (Deficit) |
|
|
|
|
|
|
|
|
|
Current liabilities: |
|
|
|
|
|
|
|
|
|
Accounts payable |
|
$ |
6,705 |
|
|
$ |
1,365 |
|
|
Accrued liabilities |
|
|
4,663 |
|
|
|
2,127 |
|
|
Total current liabilities |
|
|
11,368 |
|
|
|
3,492 |
|
|
Long-term debt, less discount of $405 and $580, respectively |
|
|
14,595 |
|
|
|
14,420 |
|
|
Preferred stock warrant liability |
|
|
— |
|
|
|
3,975 |
|
|
Other long-term liabilities |
|
|
311 |
|
|
|
77 |
|
|
Total liabilities |
|
|
26,274 |
|
|
|
21,964 |
|
|
|
|
|
|
|
|
|
|
|
|
Commitments and contingencies (Note 10) |
|
|
|
|
|
|
|
|
|
|
|
|
|
|
|
|
|
|
|
Convertible preferred stock, par value $0.0001; 10,000,000 and 68,694,006 shares authorized at December 31, 2014 and December 31, 2013, respectively; none and 64,790,302 shares issued and outstanding at December 31, 2014 and December 31, 2013, respectively; $0 and $91,726 liquidation preference at December 31, 2014 and December 31, 2013, respectively |
|
|
— |
|
|
|
81,846 |
|
|
|
|
|
|
|
|
|
|
|
|
Equity (deficit): |
|
|
|
|
|
|
|
|
|
Common stock, par value $0.0001; 200,000,000 and 86,500,000 shares authorized at December, 31, 2014 and December, 31, 2013, respectively; 27,748,264 and 1,128,702 issued and 27,123,554 and 173,147 outstanding, excluding 624,710 and 955,555 shares subject to repurchase at December, 31, 2014 and December, 31, 2013, respectively |
|
|
3 |
|
|
|
— |
|
|
Additional paid-in capital |
|
|
246,138 |
|
|
|
542 |
|
|
Accumulated deficit |
|
|
(125,054 |
) |
|
|
(65,480 |
) |
|
Accumulated other comprehensive income |
|
|
— |
|
|
|
— |
|
|
Total Auspex stockholders’ equity (deficit) |
|
|
121,087 |
|
|
|
(64,938 |
) |
|
Noncontrolling interest in variable interest entity |
|
|
3,784 |
|
|
|
— |
|
|
Total equity (deficit) |
|
|
124,871 |
|
|
|
(64,938 |
) |
|
Total liabilities, convertible preferred stock and equity (deficit) |
|
$ |
151,145 |
|
|
$ |
38,872 |
|
The accompanying notes are an integral part of these consolidated financial statements.
81
AUSPEX PHARMACEUTICALS, INC.
CONSOLIDATED STATEMENTS OF OPERATIONS
(in thousands, except share and per share amounts)
|
|
Year Ended December 31, |
|
|||||||||
|
|
2014 |
|
|
2013 |
|
|
2012 |
|
|||
|
Operating expenses: |
|
|
|
|
|
|
|
|
|
|
|
|
Research and development |
$ |
37,727 |
|
|
$ |
10,003 |
|
|
$ |
11,741 |
|
|
General and administrative |
|
12,529 |
|
|
|
3,189 |
|
|
|
1,688 |
|
|
Total operating expenses |
|
50,256 |
|
|
|
13,192 |
|
|
|
13,429 |
|
|
|
|
|
|
|
|
|
|
|
|
|
|
|
Operating loss |
|
(50,256 |
) |
|
|
(13,192 |
) |
|
|
(13,429 |
) |
|
Other (expense) income: |
|
|
|
|
|
|
|
|
|
|
|
|
Interest expense |
|
(2,612 |
) |
|
|
(248 |
) |
|
|
(1,293 |
) |
|
Interest income |
|
1,185 |
|
|
|
— |
|
|
|
1 |
|
|
Other financing expense |
|
— |
|
|
|
(258 |
) |
|
|
(196 |
) |
|
Change in fair value of preferred stock warrant liability |
|
(3,634 |
) |
|
|
(1,931 |
) |
|
|
(195 |
) |
|
Loss on consolidation of variable interest entity |
|
(4,269 |
) |
|
|
— |
|
|
|
— |
|
|
Other, net |
|
51 |
|
|
|
— |
|
|
|
— |
|
|
Total other (expense) income, net |
|
(9,279 |
) |
|
|
(2,437 |
) |
|
|
(1,683 |
) |
|
Net loss |
|
(59,535 |
) |
|
|
(15,629 |
) |
|
|
(15,112 |
) |
|
|
|
|
|
|
|
|
|
|
|
|
|
|
Net income attributed to noncontrolling interest |
|
39 |
|
|
|
— |
|
|
|
— |
|
|
Net loss attributable to Auspex shareholders |
$ |
(59,574 |
) |
|
$ |
(15,629 |
) |
|
$ |
(15,112 |
) |
|
|
|
|
|
|
|
|
|
|
|
|
|
|
Net loss per share attributable to Auspex shareholders, basic and diluted(1) |
$ |
(2.68 |
) |
|
$ |
(371 |
) |
|
$ |
(114,485 |
) |
|
Weighted-average common shares outstanding, basic and diluted |
|
22,195,518 |
|
|
|
42,112 |
|
|
|
132 |
|
|
|
|
(1) |
As a result of the issuance of common stock pursuant to public offerings in the first and third quarters of 2014, there is a lack of comparability in the per share amounts between the periods presented. Please see Note 2 of the Notes to Consolidated Financial Statements for further discussion. |
The accompanying notes are an integral part of these consolidated financial statements.
82
AUSPEX PHARMACEUTICALS, INC.
CONSOLIDATED STATEMENTS OF COMPREHENSIVE LOSS
(in thousands)
|
|
Year Ended December 31, |
|
|||||||||
|
|
2014 |
|
|
2013 |
|
|
2012 |
|
|||
|
Net loss |
$ |
(59,535 |
) |
|
$ |
(15,629 |
) |
|
$ |
(15,112 |
) |
|
Other comprehensive income (loss): |
|
|
|
|
|
|
|
|
|
|
|
|
Unrealized gains on available-for-sale securities, net |
|
5 |
|
|
|
— |
|
|
|
— |
|
|
Foreign currency translation adjustment |
|
(5 |
) |
|
|
— |
|
|
|
— |
|
|
Total other comprehensive loss |
|
— |
|
|
|
— |
|
|
|
— |
|
|
Comprehensive loss |
|
(59,535 |
) |
|
|
(15,629 |
) |
|
|
(15,112 |
) |
|
Comprehensive gain attributable to noncontrolling interest |
|
39 |
|
|
|
— |
|
|
|
— |
|
|
Comprehensive loss attributable to Auspex |
$ |
(59,574 |
) |
|
$ |
(15,629 |
) |
|
$ |
(15,112 |
) |
|
|
|
|
|
|
|
|
|
|
|
|
|
The accompanying notes are an integral part of these consolidated financial statements.
83
AUSPEX PHARMACEUTICALS, INC.
CONSOLIDATED STATEMENTS OF CASH FLOWS
(in thousands)
|
|
Year Ended December 31, |
|
|||||||||
|
|
2014 |
|
|
2013 |
|
|
2012 |
|
|||
|
Operating activities |
|
|
|
|
|
|
|
|
|
|
|
|
Net loss |
$ |
(59,535 |
) |
|
$ |
(15,629 |
) |
|
$ |
(15,112 |
) |
|
Reconciliation of net loss to net cash used in operating activities: |
|
|
|
|
|
|
|
|
|
|
|
|
Depreciation |
|
49 |
|
|
|
12 |
|
|
|
30 |
|
|
Loss on disposal of assets |
|
21 |
|
|
|
— |
|
|
|
— |
|
|
Change in fair value of preferred stock warrant liability |
|
3,634 |
|
|
|
1,931 |
|
|
|
195 |
|
|
Amortization of debt discount on notes payable |
|
175 |
|
|
|
126 |
|
|
|
813 |
|
|
Amortization of premium on investment |
|
895 |
|
|
|
— |
|
|
|
— |
|
|
Other financing expense |
|
— |
|
|
|
258 |
|
|
|
196 |
|
|
Stock-based compensation |
|
3,807 |
|
|
|
300 |
|
|
|
82 |
|
|
Noncash interest expense on convertible notes payable |
|
— |
|
|
|
— |
|
|
|
480 |
|
|
Loss on consolidation of variable interest entity |
|
4,269 |
|
|
|
— |
|
|
|
— |
|
|
Change in operating assets and liabilities: |
|
|
|
|
|
|
|
|
|
|
|
|
Prepaid expenses and other current assets |
|
(5,460 |
) |
|
|
(88 |
) |
|
|
12 |
|
|
Other assets |
|
1,642 |
|
|
|
(104 |
) |
|
|
(2 |
) |
|
Accounts payable and accrued expenses |
|
7,596 |
|
|
|
1,893 |
|
|
|
633 |
|
|
Net cash used in operating activities |
|
(42,907 |
) |
|
|
(11,301 |
) |
|
|
(12,673 |
) |
|
|
|
|
|
|
|
|
|
|
|
|
|
|
Investing activities |
|
|
|
|
|
|
|
|
|
|
|
|
Purchases of marketable securities |
|
(155,791 |
) |
|
|
— |
|
|
|
— |
|
|
Maturities of marketable securities |
|
39,753 |
|
|
|
— |
|
|
|
— |
|
|
Purchases of property and equipment |
|
(221 |
) |
|
|
(14 |
) |
|
|
(33 |
) |
|
Net cash used in investing activities |
|
(116,259 |
) |
|
|
(14 |
) |
|
|
(33 |
) |
|
|
|
|
|
|
|
|
|
|
|
|
|
|
Financing activities |
|
|
|
|
|
|
|
|
|
|
|
|
Proceeds from exercise of warrants and stock options and stock issuances under employee stock purchase plan |
|
688 |
|
|
|
240 |
|
|
|
— |
|
|
Proceeds from the issuance of common stock, net of fees |
|
151,633 |
|
|
|
9 |
|
|
|
— |
|
|
Proceeds from term loans |
|
— |
|
|
|
20,000 |
|
|
|
— |
|
|
Term loan origination fees |
|
— |
|
|
|
(100 |
) |
|
|
— |
|
|
Repayment of term loans |
|
— |
|
|
|
(5,000 |
) |
|
|
— |
|
|
Proceeds from the issuance of convertible preferred stock, net of issuance costs |
|
— |
|
|
|
29,819 |
|
|
|
7,823 |
|
|
Deferred offering costs |
|
(12 |
) |
|
|
(1,282 |
) |
|
|
— |
|
|
Proceeds from issuance of convertible debt, net |
|
— |
|
|
|
— |
|
|
|
6,000 |
|
|
Net cash provided by financing activities |
|
152,309 |
|
|
|
43,686 |
|
|
|
13,823 |
|
|
|
|
|
|
|
|
|
|
|
|
|
|
|
Net (decrease) increase in cash and cash equivalents |
|
(6,857 |
) |
|
|
32,371 |
|
|
|
1,117 |
|
|
Cash and cash equivalents at beginning of period |
|
36,650 |
|
|
|
4,279 |
|
|
|
3,162 |
|
|
Cash and cash equivalents at end of period |
$ |
29,793 |
|
|
$ |
36,650 |
|
|
$ |
4,279 |
|
|
|
|
|
|
|
|
|
|
|
|
|
|
|
Supplemental disclosure of cash flow information |
|
|
|
|
|
|
|
|
|
|
|
|
Cash paid for interest expense |
$ |
1,237 |
|
|
$ |
81 |
|
|
$ |
— |
|
|
|
|
|
|
|
|
|
|
|
|
|
|
|
Supplemental disclosure of cash flow information |
|
|
|
|
|
|
|
|
|
|
|
|
Conversion of notes and accrued interest to preferred stock |
$ |
— |
|
|
$ |
— |
|
|
$ |
9,493 |
|
|
Accrued public offering costs |
$ |
— |
|
|
$ |
535 |
|
|
$ |
— |
|
84
The accompanying notes are an integral part of these consolidated financial statements.
AUSPEX PHARMACEUTICALS, INC.
STATEMENTS OF CONVERTIBLE PREFERRED STOCK AND EQUITY (DEFICIT)
(In thousands, except share and per share amounts)
|
|
|
|
|
|
|
|
|
|
|
|
|
|
|
|
|
|
|
|
|
|
|
|
|
Noncontrolling |
|
|
|
|
||||||
|
|
Series A-D, |
|
|
|
|
|
|
|
|
|
|
Additional |
|
|
|
|
|
|
Other |
|
|
interest in |
|
|
Total |
|
||||||||
|
|
Convertible Preferred Stock |
|
|
Common Stock |
|
|
Paid-in |
|
|
Accumulated |
|
|
Comprehensive |
|
|
variable |
|
|
Equity |
|
||||||||||||||
|
|
Shares |
|
Amount |
|
|
Shares |
|
|
Amount |
|
|
Capital |
|
|
Deficit |
|
|
Income |
|
|
interest entity |
|
|
(Deficit) |
|
|||||||||
|
Balance at December 31, 2011 |
|
20,701,224 |
|
$ |
33,899 |
|
|
|
132 |
|
|
$ |
— |
|
|
$ |
151 |
|
|
$ |
(34,739 |
) |
|
$ |
— |
|
|
$ |
— |
|
|
$ |
(34,588 |
) |
|
Issuance of Series D convertible preferred stock, net of $177 offering costs and tranche liability of $1,367 |
|
9,280,745 |
|
|
6,456 |
|
|
|
— |
|
|
|
— |
|
|
|
— |
|
|
|
— |
|
|
|
— |
|
|
|
— |
|
|
|
— |
|
|
Conversion of notes payable and accrued interest to Series D convertible preferred stock |
|
11,012,456 |
|
|
9,493 |
|
|
|
— |
|
|
|
— |
|
|
|
— |
|
|
|
— |
|
|
|
— |
|
|
|
— |
|
|
|
— |
|
|
Stock-based compensation |
|
— |
|
|
|
|
|
|
— |
|
|
|
— |
|
|
|
82 |
|
|
|
— |
|
|
|
— |
|
|
|
— |
|
|
|
82 |
|
|
Net loss |
|
— |
|
|
|
|
|
|
— |
|
|
|
— |
|
|
|
— |
|
|
|
(15,112 |
) |
|
|
— |
|
|
|
— |
|
|
|
(15,112 |
) |
|
Balance at December 31, 2012 |
|
40,994,425 |
|
|
49,848 |
|
|
|
132 |
|
|
|
— |
|
|
|
233 |
|
|
|
(49,851 |
) |
|
|
— |
|
|
|
— |
|
|
|
(49,618 |
) |
|
Issuance of Series D convertible preferred stock, net of issuance costs of $45 |
|
12,180,978 |
|
|
10,456 |
|
|
|
— |
|
|
|
— |
|
|
|
— |
|
|
|
— |
|
|
|
— |
|
|
|
— |
|
|
|
— |
|
|
Reclassification of tranche right upon issuance of Series D preferred stock |
|
— |
|
|
1,820 |
|
|
|
— |
|
|
|
— |
|
|
|
— |
|
|
|
— |
|
|
|
— |
|
|
|
— |
|
|
|
— |
|
|
Issuance of Series E convertible preferred stock, net of issuance costs of $181 |
|
11,336,481 |
|
|
19,363 |
|
|
|
— |
|
|
|
— |
|
|
|
— |
|
|
|
— |
|
|
|
— |
|
|
|
— |
|
|
|
— |
|
|
Exercise of preferred stock warrants |
|
278,418 |
|
|
359 |
|
|
|
— |
|
|
|
— |
|
|
|
— |
|
|
|
— |
|
|
|
— |
|
|
|
— |
|
|
|
— |
|
|
Exercise of stock options |
|
— |
|
|
— |
|
|
|
5,555 |
|
|
|
— |
|
|
|
4 |
|
|
|
— |
|
|
|
— |
|
|
|
— |
|
|
|
4 |
|
|
Issuance of restricted stock awards |
|
— |
|
|
— |
|
|
|
167,460 |
|
|
|
— |
|
|
|
5 |
|
|
|
— |
|
|
|
— |
|
|
|
— |
|
|
|
5 |
|
|
Stock-based compensation |
|
— |
|
|
— |
|
|
|
— |
|
|
|
— |
|
|
|
300 |
|
|
|
— |
|
|
|
|
|
|
|
|
|
|
|
300 |
|
|
Net loss |
|
— |
|
|
— |
|
|
|
— |
|
|
|
— |
|
|
|
— |
|
|
|
(15,629 |
) |
|
|
|
|
|
|
|
|
|
|
(15,629 |
) |
|
Balance at December 31, 2013 |
|
64,790,302 |
|
|
81,846 |
|
|
|
173,147 |
|
|
|
— |
|
|
|
542 |
|
|
|
(65,480 |
) |
|
|
— |
|
|
|
— |
|
|
|
(64,938 |
) |
|
Conversion of preferred shares to common shares |
|
(64,790,302 |
) |
|
(81,846 |
) |
|
|
14,397,836 |
|
|
|
1 |
|
|
|
81,838 |
|
|
|
— |
|
|
|
— |
|
|
|
— |
|
|
|
81,839 |
|
|
Issuance of common stock pursuant to initial public offering at $12.00 per share in February 2014, net of offering costs of $9,942 |
|
— |
|
|
— |
|
|
|
8,050,000 |
|
|
|
1 |
|
|
|
86,658 |
|
|
|
— |
|
|
|
— |
|
|
|
— |
|
|
|
86,659 |
|
|
Issuance of common stock pursuant to follow-on offering at $19.25 per share in July 2014, net of offering costs of $4,760 |
|
— |
|
|
— |
|
|
|
3,622,500 |
|
|
|
1 |
|
|
|
64,973 |
|
|
|
— |
|
|
|
— |
|
|
|
— |
|
|
|
64,974 |
|
|
Reclassification of warrant liability as equity |
|
— |
|
|
— |
|
|
|
— |
|
|
|
— |
|
|
|
7,609 |
|
|
|
— |
|
|
|
— |
|
|
|
— |
|
|
|
7,609 |
|
|
Exercise of common stock warrants |
|
— |
|
|
— |
|
|
|
269,894 |
|
|
|
— |
|
|
|
183 |
|
|
|
— |
|
|
|
— |
|
|
|
— |
|
|
|
183 |
|
|
Stock issuances under employee stock purchase plan |
|
— |
|
|
— |
|
|
|
24,615 |
|
|
|
— |
|
|
|
278 |
|
|
|
— |
|
|
|
— |
|
|
|
— |
|
|
|
278 |
|
|
Restricted stock vesting |
|
— |
|
|
— |
|
|
|
324,365 |
|
|
|
— |
|
|
|
23 |
|
|
|
— |
|
|
|
— |
|
|
|
— |
|
|
|
23 |
|
|
Exercise of common stock options and vesting of early exercised stock options |
|
— |
|
|
— |
|
|
|
261,197 |
|
|
|
— |
|
|
|
227 |
|
|
|
— |
|
|
|
— |
|
|
|
— |
|
|
|
227 |
|
|
Stock-based compensation |
|
— |
|
|
— |
|
|
|
— |
|
|
|
— |
|
|
|
3,807 |
|
|
|
— |
|
|
|
— |
|
|
|
— |
|
|
|
3,807 |
|
|
Cumulative translation adjustment |
|
— |
|
|
— |
|
|
|
— |
|
|
|
— |
|
|
|
— |
|
|
|
— |
|
|
|
(5 |
) |
|
|
— |
|
|
|
(5 |
) |
|
Unrealized gain on marketable securities |
|
— |
|
|
— |
|
|
|
— |
|
|
|
— |
|
|
|
|
|
|
|
— |
|
|
|
5 |
|
|
|
— |
|
|
|
5 |
|
|
Consolidation of variable interest entity |
|
— |
|
|
— |
|
|
|
— |
|
|
|
— |
|
|
|
— |
|
|
|
— |
|
|
|
— |
|
|
|
3,745 |
|
|
|
3,745 |
|
|
Net (loss) income |
|
— |
|
|
— |
|
|
|
— |
|
|
|
— |
|
|
|
— |
|
|
|
(59,574 |
) |
|
|
— |
|
|
|
39 |
|
|
|
(59,535 |
) |
|
Balance at December 31, 2014 |
|
— |
|
$ |
— |
|
|
|
27,123,554 |
|
|
$ |
3 |
|
|
$ |
246,138 |
|
|
$ |
(125,054 |
) |
|
$ |
— |
|
|
$ |
3,784 |
|
|
$ |
124,871 |
|
The accompanying notes are an integral part of these consolidated financial statements.
85
AUSPEX PHARMACEUTICALS, INC.
NOTES TO CONSOLIDATED FINANCIAL STATEMENTS
1. Organization
Auspex Pharmaceuticals, Inc. (the “Company”) was founded on February 28, 2001 (“inception”), incorporated in California upon inception and subsequently reincorporated in Delaware in June 2007. The Company is a biopharmaceutical company focused on the development and commercialization of novel medicines for the treatment of orphan diseases. The Company’s pipeline includes product candidates to address unmet medical needs in hyperkinetic movement disorders, such as chorea associated with Huntington’s disease, tardive dyskinesia and Tourette syndrome, as well as other orphan indications.
From inception through December 31, 2014, the Company has devoted substantially all of its efforts to research, product development, raising capital, and building corporate infrastructure and has not generated any revenues from its planned principal operations. The Company has a limited operating history and the sales and income potential of the Company’s business and market are unproven. The Company has experienced net losses and negative cash flows from operating activities since its inception, and, as of December 31, 2014, had an accumulated deficit of $125.1 million.
The Company expects to continue to incur net losses into the foreseeable future. Successful transition to attaining profitable operations is dependent upon achieving a level of revenues adequate to support the Company’s cost structure. The Company plans to continue to fund its losses from operations and capital funding needs through future debt and equity financing, or through collaborations or partnerships with other companies. If the Company is not able to secure adequate additional funding, the Company may be forced to make reductions in spending, extend payment terms with suppliers, liquidate assets where possible, or suspend or curtail planned programs. Any of these actions could materially harm the Company’s business, results of operations and future prospects.
2. Summary of Significant Accounting Policies
Basis of Presentation
The Company’s financial statements are prepared in accordance with U.S. generally accepted accounting principles and with the rules and regulations of the Securities and Exchange Commission (“SEC”) and include all adjustments, consisting of only normal recurring accruals, which in the opinion of management are necessary to present fairly the Company’s financial position as of the reporting date and results of operations for the periods presented. The preparation of the Company’s financial statements requires it to make estimates and assumptions that impact the reported amounts of assets, liabilities and expenses and the disclosure of contingent assets and liabilities in the Company’s financial statements and accompanying notes. The most significant estimates in the Company’s financial statements relate to the valuation of convertible preferred stock warrants, equity awards and clinical trial accruals. Although these estimates are based on the Company’s knowledge of current events and actions it may undertake in the future, actual results may ultimately materially differ from these estimates and assumptions.
Basis of Consolidation
The Company’s consolidated financial statements include the financial statements of the Company and a variable interest entity (“VIE”) for which the Company has been determined to be the primary beneficiary (see Note 9 for further discussion). All intercompany accounts between the Company and the VIE have been eliminated in consolidation. The Company will continue to assess its relationship with the VIE on an ongoing basis as circumstances requiring consolidation may change.
Segment Reporting
Operating segments are identified as components of an enterprise about which separate discrete financial information is available for evaluation by the chief operating decision-maker in making decisions regarding resource allocation and assessing performance. The Company views its operations and manages its business as one operating segment.
Reverse Stock Split
On January 16, 2014, the Company effected a 1-for-4.5 reverse stock split of the Company’s issued and outstanding shares of common stock. All issued and outstanding common stock and per share amounts contained in the Company’s consolidated financial statements have been retroactively adjusted to reflect the January 2014 reverse stock split for all periods presented.
86
Cash, Cash Equivalents and Marketable Securities
Cash and cash equivalents consist of cash and highly liquid securities with maturities at the date of acquisition of ninety days or less. Investments with maturities at the date of acquisition of more than ninety days are considered marketable securities and have been classified by management as available-for-sale. Such investments are carried at fair value, with unrealized gains and losses included as a separate component of stockholders’ equity. Realized gains and losses from the sale of available-for-sale securities or the amounts, net of tax, reclassified out of accumulated other comprehensive income, if any, are determined on a specific identification basis.
Fair Value of Financial Instruments
The Company’s financial instruments consist of cash and cash equivalents, marketable securities, restricted cash, trade payables, accrued liabilities and long-term debt. Fair value estimates of these instruments are made at a specific point in time, based on relevant market information. These estimates may be subjective in nature and involve uncertainties and matters of significant judgment and therefore cannot be determined with precision. The carrying amount of cash and cash equivalents, restricted cash, trade payables and accrued liabilities are generally considered to be representative of their respective fair values because of the short-term nature of those instruments. Further, based upon the borrowing rates currently available to the Company for loans with similar terms, the Company believes the fair value of long-term debt approximates its carrying value. The fair value of marketable securities is based upon market prices quoted on the last day of the fiscal period or a fair value representing the exit price that would be received to sell an asset or paid to transfer a liability in an orderly transaction between market participants. See Note 3 for further discussion of fair value measurements.
Convertible Preferred Stock Warrants
The Company accounts for its warrants and other derivative financial instruments as either equity or liabilities based upon the characteristics and provisions of each instrument. Warrants classified as derivative liabilities are recorded on the Company’s balance sheet at their fair value on the date of issuance and are revalued at each subsequent balance sheet date, with fair value changes recognized as increases or reductions to other income (expense) in the statements of operations. The Company’s convertible preferred stock warrants were classified as liabilities, and the Company estimated the fair value of these liabilities using option pricing models and assumptions that were based on the individual characteristics of the warrants or instruments on the valuation date, as well as assumptions for expected volatility, expected life, yield, and risk-free interest rate. In connection with the completion of the Company’s initial public offering (“IPO”) in February 2014, all the outstanding warrants to purchase shares of preferred stock automatically converted into warrants to purchase shares of common stock. As a result of the IPO and warrant conversion, the Company reclassified the warrant liability as stockholders’ equity because the converted warrants met the definition of an equity instrument under derivative accounting guidance. The Company performed the final remeasurement of the warrant liability as of the IPO date in February 2014, and recorded the $3,634,000 change in fair value as other income (expense) at that time.
Stock-Based Compensation Expense
The Company has stock-based compensation plans and an employee stock purchase plan, which are described in Note 8. As of December 31, 2014, the Company had issued both stock option awards and restricted stock units under its stock-based compensation plans and permitted eligible employees to participate in an employee stock purchase plan (“ESPP”) whereby shares of the Company’s common stock may be purchased at a discount. The Company accounts for stock option grants and participation in the ESPP using the Black-Scholes option pricing model. Restricted stock awards are valued based on their fair market value at the time of grant. Further discussion of the expense related to these programs is provided below:
Stock option awards. Stock options are valued using the Black-Scholes option pricing model. The Company values option awards on the date of grant or, if the awards are classified as liability awards, it revalues the awards each reporting period using this model until the awards are subsequently classified as equity awards, or otherwise vest or are cancelled. The Black-Scholes option pricing model involves a number of estimates, including the expected lives of stock options, the Company’s anticipated stock volatility and interest rates.
87
The following table summarizes the weighted-average estimates the Company used in the Black-Scholes option pricing model for the years ended December 31, 2014, 2013 and 2012, to determine the grant-date fair value of stock options granted during each period for its stock option awards:
|
|
Year Ended December 31, |
|
|||||||||
|
|
2014 |
|
|
2013 |
|
|
2012 |
|
|||
|
Risk free interest rate |
|
1.4% |
|
|
|
1.5% |
|
|
|
1.0% |
|
|
Expected life in years |
6.2 years |
|
|
6.1 years |
|
|
6.0 years |
|
|||
|
Expected dividend yield |
|
0.0% |
|
|
|
0.0% |
|
|
|
0.0% |
|
|
Expected volatility |
|
87.2% |
|
|
|
82.6% |
|
|
|
94.3% |
|
The Company determines its risk-free interest rate assumption based on the U.S. Treasury yield for obligations with contractual lives similar to the expected lives of the Company’s share-based payment awards being valued. The weighted-average expected life of options is calculated using the simplified method, as prescribed by the SEC, due to the lack of relevant historical exercise data. Due to the Company’s limited historical stock price volatility data, the estimated volatility is determined by incorporating the historical stock price volatility of comparable companies whose shares prices are publicly available. The assumed dividend yield is based on the Company’s expectation of not paying dividends in the foreseeable future. Forfeitures are estimated based upon the historical and anticipated future experience.
Based upon these assumptions, the Company has estimated the per share weighted-average grant date fair value of its options granted for the years ended December 31, 2014, 2013 and 2012 at $11.54, $0.55 and $0.63, respectively.
Restricted stock awards. Restricted stock awards are valued based on the fair market value of the Company’s stock on the date of grant. The weighted-average grant date fair value of the RSUs granted in 2013 was $0.54. There were no restricted stock awards granted in 2014 or 2012.
Employee Stock Purchase Plan. In 2014 the Company began permitting eligible employees to purchase shares of the Company’s common stock at a discount to the fair market value at semi-annual intervals. In determining the value of shares issued under the ESPP, the Company uses the Black-Scholes option pricing model and values the contributions at each purchase interval or when contributions are modified. The Black-Scholes inputs are determined in the same manner as for stock options and the weighted-average inputs used for the ESPP for the year ended December 31, 2014, were as follows:
|
|
Year Ended December 31, 2014 |
|
|
|
Risk free interest rate |
|
0.2% |
|
|
Expected life in years |
1.3 years |
|
|
|
Expected dividend yield |
|
0.0% |
|
|
Expected volatility |
|
82.0% |
|
The table below summarizes the total stock-based compensation expense included in the Company’s statements of operations for stock options, restricted stock and shares subject to purchase under the ESPP for the periods presented (in thousands):
|
|
Year Ended December 31, |
|
|||||||||
|
|
2014 |
|
|
2013 |
|
|
2012 |
|
|||
|
Research and development |
$ |
1,832 |
|
|
$ |
89 |
|
|
$ |
43 |
|
|
General and administrative |
|
1,975 |
|
|
|
211 |
|
|
|
39 |
|
|
Total stock-based compensation expense |
$ |
3,807 |
|
|
$ |
300 |
|
|
$ |
82 |
|
The total unrecognized stock-based compensation expense related to unvested stock options and restricted shares not yet vested at December 31, 2014, was approximately $13,848,000 to be recognized over a weighted-average period of approximately 39 months. The total unrecognized stock-based compensation expense related to the ESPP at December 31, 2014, was approximately $253,000, which is expected to be recognized over a weighted-average period of approximately 7 months.
88
Research and Development
The Company’s research and development expenses consist primarily of costs associated with clinical trials managed by the Company’s contract research organizations (“CROs”), salaries and related employee benefits, and costs associated with non-clinical activities, such as regulatory, drug development of product candidates, and pre-commercialization manufacturing expenses. The Company uses external service providers and vendors to conduct clinical trials, to manufacture product candidates to be used in clinical trials and to provide various other research and development related products and services. The Company accounts for research and development expenditures as incurred and accrues expenses based upon estimates of work performed, patient enrollment and experience with similar contracts.
Patent Costs
The Company expenses all costs as incurred in connection with patent applications (including direct application fees, and the legal and consulting expenses related to making such applications) and such costs are included in general and administrative expenses in the statement of operations.
Property and Equipment
Property and equipment, including leasehold improvements, are stated at cost or, if the assets are impaired, at fair value. Depreciation is calculated using the straight-line method over the estimated useful lives of the assets, which are generally as follows: five years for machinery and equipment; seven years for furniture and fixtures; three years for office equipment; and three years for computer equipment and software. Leasehold improvements are amortized over the shorter of their useful lives or the terms of the related leases. Asset lives are reviewed periodically to determine if appropriate and adjustments are made as necessary. Depreciation begins at the time the asset is placed in service. Maintenance and repairs are expensed as incurred.
For the years ended December 31, 2014, 2013 and 2012, the Company recorded depreciation expense on its property and equipment of $49,000, $12,000 and $30,000, respectively.
Comprehensive Income (Loss)
Comprehensive income (loss) is defined as the change in equity during a period from transactions and other events and circumstances from non-owner sources. Components of comprehensive income (loss) includes, among other items, unrealized gains and losses on the changes in fair value of investments and foreign currency translation adjustments for entities not using the U.S. Dollar as their functional currency. These components are added, net of their related tax effect, to the reported net income (loss) to arrive at comprehensive income (loss). The components of accumulated other comprehensive income at December 31, 2014, on the Company’s consolidated balance sheet was comprised of the net unrealized net holding gains on the Company’s investments in marketable securities and foreign currency translation adjustments related to the consolidation of the Company’s variable interest entity which does not use the U.S. Dollar as its function currency. There was no similar accumulated other comprehensive income or loss components at December 31, 2013 and 2012. See Note 4 for further detail of the unrealized holdings gains and losses on the Company’s investments in marketable securities and Note 9 for further detail of the Company’s variable interest entity.
Concentration Risk
Credit Risk. Financial instruments that potentially subject the Company to a significant concentration of credit risk consist primarily of cash, cash equivalents, restricted cash and marketable securities. The Company maintains deposits in federally insured financial institutions in excess of federally insured limits. However, management believes the Company is not exposed to significant credit risk due to the financial position of the depository institutions in which those deposits are held. Additionally, the Company has established guidelines regarding diversification of its investments and their maturities, which are designed to maintain safety and liquidity. To date, the Company has not experienced any material realized losses on its cash, cash equivalents, restricted cash and marketable securities.
Manufacturing. The Company depends on an outsourced manufacturing strategy for its product candidates. It currently has a single source of supply for its drugs substance and has a single manufacturer for its drug product. If the Company’s third-party manufacturers are unable to manufacture its products, or if its suppliers or third-party manufacturers decide they no longer want to manufacture its products, the Company may need to find alternative manufacturing facilities, which would be time-consuming and significantly impact its ability to develop, obtain regulatory approval for or market our products.
89
Net Loss per Share
Basic net loss per common share is calculated by dividing the net loss attributable to common stockholders by the weighted-average number of common shares outstanding during the period, without consideration for potentially dilutive securities. Diluted net loss per share is computed by dividing the net loss attributable to common stockholders by the weighted-average number of common shares and potentially dilutive securities outstanding for the period determined using the treasury-stock and if-converted methods. For purposes of the diluted net loss per share calculation, convertible preferred stock, unvested restricted common stock subject to repurchase, stock options and convertible preferred stock warrants are considered to be potentially dilutive securities but are excluded from the calculation of diluted net loss per share because their effect would be anti-dilutive. Therefore, basic and diluted net loss per share were the same for all periods presented.
The actual net loss per shares amounts for the years presented were computed based on the weighted average shares of common stock outstanding during the respective periods and includes the effect of the (1) 8,050,000 common shares issues pursuant to the initial public offering in February 2014; and (2) 3,622,500 common shares issued pursuant to the follow-on offering in the third quarter of 2014. As a result of the issuance of these common shares, there is a lack of comparability in the basic and diluted net loss per share amounts for the periods presented. See Note 8 for further discussion.
The following table sets forth the total number of outstanding potentially dilutive securities that have been excluded from the calculation of diluted net loss per share because to do so would be anti-dilutive:
|
|
Year Ended December 31, |
|
|||||||||
|
|
2014 |
|
|
2013 |
|
|
2012 |
|
|||
|
Convertible preferred stock |
|
— |
|
|
|
14,937,836 |
|
|
|
9,109,868 |
|
|
Warrants to purchase convertible preferred stock |
|
— |
|
|
|
859,743 |
|
|
|
824,944 |
|
|
Warrants to purchase common stock |
|
547,089 |
|
|
|
— |
|
|
|
— |
|
|
Common stock options |
|
1,992,012 |
|
|
|
986,111 |
|
|
|
512,228 |
|
|
Common stock subject to repurchase |
|
624,710 |
|
|
|
955,555 |
|
|
|
— |
|
|
|
|
3,163,811 |
|
|
|
17,739,245 |
|
|
|
10,447,040 |
|
Income Taxes
Income taxes are accounted for under the asset and liability method. Under this method, deferred tax assets and liabilities are recognized for the future tax consequences attributable to differences between the financial statement carrying amounts of existing assets and liabilities and their respective tax bases and operating loss and tax credit carryforwards. Deferred tax assets and liabilities are measured using enacted tax rates expected to apply to taxable income in the years in which those temporary differences are expected to be recovered or settled. The effect on deferred tax assets and liabilities of a change in tax rates is recognized in income in the period that includes the enactment date. The Company provides a valuation allowance against net deferred tax assets unless, based upon the available evidence, it is more likely than not that the deferred tax assets will be realized. A valuation allowance is recorded when it is more likely than not that some, or all, of the deferred tax assets will not be realized. In determining the need for valuation allowances the Company considers projected future taxable income and the availability of tax planning strategies.
The Company assesses its income tax positions and record tax benefits for all years subject to examination based upon its evaluation of the facts, circumstances and information available at the reporting date. For those tax positions where there is a greater than 50% likelihood that a tax benefit will be sustained, the Company has recorded the largest amount of tax benefit that may potentially be realized upon ultimate settlement with a taxing authority that has full knowledge of all relevant information. For those income tax positions where there is less than 50% likelihood that a tax benefit will be sustained, no tax benefit has been recognized in the consolidated financial statements.
Recent Accounting Pronouncements
In June 2014, the Financial Accounting Standards Board (“FASB”) issued Accounting Standards Update (“ASU”) No. 2014-10, Development State Entities, which eliminates the financial reporting distinction between development stage entities and other reporting entities, thereby eliminating the requirements to present inception-to-date information in the statements of operations and stockholders’ equity and cash flow, or label the financial statements as those of a development stage entity. The Company has elected to early adopt this guidance, as permitted, for its financial statements for the year ended December 31, 2014, and therefore has no longer labeled its consolidated financial statements as those of a development stage entity or included any inception-to-date information.
90
In August 2014, the FASB issued ASU No. 2014-15, Presentation of Financial Statements—Going Concern (Subtopic 205-40): Disclosure of Uncertainties about an Entity’s Ability to Continue as a Going Concern. ASU No. 2014-15 requires management to perform interim and annual assessments on whether there are conditions or events that raise substantial doubt about the entity's ability to continue as a going concern within one year of the date the financial statements are issued. If such conditions or events exist, certain disclosures are required. ASU No. 2014-15 is effective prospectively for fiscal years beginning after beginning December 15, 2016 and for annual and interim periods thereafter. Early adoption is permitted. The Company is currently evaluating the impact of the pending adoption of ASU No. 2014-15 on its consolidated financial statements and related disclosures.
3. Fair Value Measurements
The Company follows authoritative accounting guidance, which among other things, defines fair value, establishes a consistent framework for measuring fair value and expands disclosure for each major asset and liability category measured at fair value on either a recurring or nonrecurring basis. Fair value is an exit price, representing the amount that would be received to sell an asset or paid to transfer a liability in an orderly transaction between market participants. As such, fair value is a market-based measurement that should be determined based on assumptions that market participants would use in pricing an asset or liability.
As a basis for considering such assumptions, a three-tier fair value hierarchy has been established, which prioritizes the inputs used in measuring fair value as follows:
|
Level 1: |
Observable inputs such as quoted prices in active markets; |
|
Level 2: |
Inputs, other than the quoted prices in active markets, that are observable either directly or indirectly; and |
|
Level 3: |
Unobservable inputs in which there is little or no market data, which require the reporting entity to develop its own assumptions. |
The carrying amounts of the Company’s prepaid expenses, other current assets, accounts payable and accrued liabilities are generally considered to be representative of their fair value because of the short nature of these instruments. Further, based upon borrowing rates currently available to the Company for loans with similar terms, the Company believes the fair value of its note payable approximates its carrying value. No transfers between levels have occurred during the periods presented.
Assets and liabilities measured at fair value on a recurring basis as of December 31, 2014 and 2013, are as follows (in thousands):
|
|
|
|
|
|
Fair Value Measurements Using |
|
|||||||||
|
|
Balance as of December 31, 2014 |
|
|
Quoted Prices in Active Markets for Identical Assets (Level 1) |
|
|
Significant Other Observable Inputs (Level 2) |
|
|
Significant Unobservable Inputs (Level 3) |
|
||||
|
Assets: |
|
|
|
|
|
|
|
|
|
|
|
|
|
|
|
|
Money market funds(1) |
$ |
20,371 |
|
|
$ |
20,371 |
|
|
$ |
— |
|
|
$ |
— |
|
|
Commercial paper |
|
26,325 |
|
|
|
— |
|
|
|
26,325 |
|
|
|
— |
|
|
Corporate debt securities(2) |
|
93,433 |
|
|
|
— |
|
|
|
93,433 |
|
|
|
— |
|
|
Total |
$ |
140,129 |
|
|
$ |
20,371 |
|
|
$ |
119,758 |
|
|
$ |
— |
|
|
(1) |
Included within cash and cash equivalents on the Company’s consolidated balance sheet at December 31, 2014. |
|
(2) |
Corporate debt securities purchased within three months of maturity valued at $4,610 is included within cash and cash equivalents on the Company’s consolidated balance sheet at December 31, 2014. |
|
|
|
|
|
|
Fair Value Measurements Using |
|
|||||||||
|
|
Balance as of December 31, 2013 |
|
|
Quoted Prices in Active Markets for Identical Assets (Level 1) |
|
|
Significant Other Observable Inputs (Level 2) |
|
|
Significant Unobservable Inputs (Level 3) |
|
||||
|
Liabilities: |
|
|
|
|
|
|
|
|
|
|
|
|
|
|
|
|
Series C preferred stock warrants |
$ |
1,165 |
|
|
$ |
— |
|
|
$ |
— |
|
|
$ |
1,165 |
|
|
Series D preferred stock warrants |
|
2,330 |
|
|
|
— |
|
|
|
— |
|
|
|
2,330 |
|
|
Series E preferred stock warrants |
|
480 |
|
|
|
— |
|
|
|
— |
|
|
|
480 |
|
|
Total |
$ |
3,975 |
|
|
$ |
— |
|
|
$ |
— |
|
|
$ |
3,975 |
|
91
The Company’s investments in money market funds are valued based on publicly available quoted market prices for identical securities as of December 31, 2014. The Company determines the fair value of commercial paper and corporate bonds with the aid of valuations provided by third parties using proprietary valuation models and analytical tools. These valuation models and analytical tools use market pricing or prices for similar instruments that are both objective and publicly available, including matrix pricing or reported trades, benchmark yields, broker/dealer quotes, issuer spreads, two-sided markets, benchmark securities, bids and/or offers. The Company validates the valuations received from its primary pricing vendors for its level 2 securities by examining the inputs used in that vendor’s pricing process and determines whether they are reasonable and observable. The Company also compares those valuations to recent reported trades for those securities. The Company did not adjust any of the valuations received from these independent third parties with respect to any of its level 2 securities at December 31, 2014.
As discussed in Note 2 above, all of the outstanding warrants to purchase shares of preferred stock automatically converted into warrants to purchase shares of common stock in connection with the IPO and are accounted for as equity from the conversion date forward. Prior to the conversion, the Company estimated the fair value of convertible preferred stock warrants at the time of issuance and subsequent remeasurements using the Black-Scholes option-pricing model at each reporting date, using the following inputs: the risk-free interest rates; the expected dividend rates; the remaining expected life of the warrants; and the expected volatility of the price of the underlying common stock.
The following assumptions were used in the Black-Scholes option-pricing model to determine the fair value of the convertible preferred stock warrant liability as of February 10, 2014, the conversion date, and December 31, 2013:
|
|
February 10, 2014 |
|
|
December 31, 2013 |
|
||
|
Risk-free interest rate |
0.07%-2.64% |
|
|
0.07%-3.04% |
|
||
|
Expected dividend yield |
|
0% |
|
|
|
0% |
|
|
Expected volatility |
69.66%-87.51% |
|
|
66.49%-85.10% |
|
||
|
Expected term (in years) |
0.29-9.89 |
|
|
0.39-9.99 |
|
||
The following table provides a reconciliation of all liabilities measured at fair value using Level 3 significant unobservable inputs (in thousands):
|
|
Warrant Liability |
|
|
|
Balance at January 1, 2013 |
$ |
1,556 |
|
|
Issuance of warrants |
|
606 |
|
|
Exercise of tranche rights |
|
(118 |
) |
|
Change in fair value(1) |
|
1,931 |
|
|
Balance at December 31, 2013 |
|
3,975 |
|
|
Change in fair value(1) |
|
3,634 |
|
|
Reclassification of warrants(2) |
|
(7,609 |
) |
|
Balance as of December 31, 2014 |
$ |
— |
|
|
(1) |
The changes in the fair value of the convertible preferred stock warrants were recorded as increase or reduction to other income (expenses) in the statement of operations. |
|
(2) |
In connection with the completion of the Company’s IPO in February 2014, the Company reclassified the warranty liability to stockholders’ equity as the warrants met the definition of an equity instrument under derivative accounting guidance. |
92
4. Investments in Marketable Securities
The Company had no investments in marketable securities at December 31, 2013. Investments classified as available-for-sale at December 31, 2014, consisted of the following (in thousands):
|
|
Maturity (in years) |
|
Amortized Cost |
|
|
Gross Unrealized Gains |
|
|
Gross Unrealized Losses |
|
|
Aggregate Estimated Fair Value |
|
||||
|
Marketable Securities: |
|
|
|
|
|
|
|
|
|
|
|
|
|
|
|
|
|
|
Corporate debt securities(1) |
1 year or less |
|
$ |
93,470 |
|
|
$ |
2 |
|
|
$ |
(39 |
) |
|
$ |
93,433 |
|
|
Commercial paper(1) |
1 year or less |
|
|
21,673 |
|
|
|
42 |
|
|
|
— |
|
|
|
21,715 |
|
|
Total available-for-sale securities |
|
|
$ |
115,143 |
|
|
$ |
44 |
|
|
$ |
(39 |
) |
|
$ |
115,148 |
|
|
|
(1)There were no securities scheduled to mature outside of one year at December 31, 2014.
During the year ended December 31, 2014, the Company realized an immaterial gain on the sale of an available-for-sale security that had been downgraded and fell outside of the Company’s investment policy. No further gains or losses were realized on sales or maturities of available-for-sale securities for the year ended December 31, 2014. Unrealized gains and losses on available-for-sale securities are included as a component of comprehensive loss. At December 31, 2014, there were 23 securities in unrealized loss positions. These securities have not been in a continuous unrealized loss position for more than 12 months. Further, the Company does not intend to sell these investments and it is not more likely than not that the Company will be required to sell these investments before recovery of their amortized cost basis which may be at maturity. As such, the Company has classified these losses as temporary in nature. The Company reviews its investments to identify and evaluate investments that have an indication of possible other-than-temporary impairment. Factors considered in determining whether a loss is other-than-temporary include the length of time and extent to which fair value has been less than the cost basis, the financial condition and near-term prospects of the investee, and the Company’s intent and ability to hold the investment for a period of time sufficient to allow for any anticipated recovery in market value.
5. Other Balance Sheet Items
Prepaid and other current assets consisted of the following (in thousands):
|
|
December 31, |
|
|
December 31, |
|
||
|
|
2014 |
|
|
2013 |
|
||
|
Prepaid clinical trial costs |
$ |
4,568 |
|
|
$ |
— |
|
|
Prepaid insurance |
|
203 |
|
|
|
72 |
|
|
Interest receivable |
|
567 |
|
|
|
— |
|
|
Prepaid other and other current assets |
|
373 |
|
|
|
170 |
|
|
Total |
$ |
5,711 |
|
|
$ |
242 |
|
Property and equipment consisted of the following (in thousands):
|
|
December 31, 2014 |
|
|
December 31, 2013 |
|
||
|
Computer equipment and software |
$ |
137 |
|
|
$ |
45 |
|
|
Leasehold improvements |
|
46 |
|
|
|
5 |
|
|
Furniture and fixtures |
|
43 |
|
|
|
16 |
|
|
Office equipment |
|
23 |
|
|
|
12 |
|
|
Machinery and equipment |
|
4 |
|
|
|
4 |
|
|
|
|
253 |
|
|
|
82 |
|
|
Less accumulated depreciation |
|
(76 |
) |
|
|
(56 |
) |
|
Total |
$ |
177 |
|
|
$ |
26 |
|
93
Accrued liabilities consisted of the following (in thousands):
|
|
December 31, 2014 |
|
|
December 31, 2013 |
|
||
|
Clinical trial accruals |
$ |
1,168 |
|
|
$ |
565 |
|
|
Accrued personnel costs |
|
2,679 |
|
|
|
475 |
|
|
Manufacturing cost accrual |
|
212 |
|
|
|
772 |
|
|
Other accrued expenses |
|
604 |
|
|
|
315 |
|
|
Total |
$ |
4,663 |
|
|
$ |
2,127 |
|
6. Long-Term Debt
In December 2013, the Company entered into a term loan facility with Oxford Finance LLC and its assignees. The loan facility provides funding for an aggregate principal amount of $15,000,000, which was funded at closing, is collateralized by the Company’s assets excluding intellectual property, bears a fixed interest rate of 8.99% per year and matures on January 1, 2018. The original terms of the loan facility provided that the Company would make interest-only payments for 12 months beginning on February 1, 2014 and equal monthly principal and interest payments over 36 months thereafter. In accordance with the terms of the loan facility, upon the completion of the Company’s IPO in February 2014, the interest-only period was extended by an additional 6 months to 18 months with equal monthly principal and interest payments over 30 months thereafter (reduced from 36 months). In December 2014, the Company amended the loan facility to extend the interest-only payment period and is currently subject to interest-only payments through January 1, 2016, to be followed by 24 equal monthly principal and interest payments. However, if the Company completes an NDA submission of SD-809 for chorea associated with Huntington’s disease by June 30, 2015, and are otherwise in compliance with the loan facility, the interest-only period will be extended to 30 months, followed by 18 equal monthly principal and interest payments. Upon repayment of the term loan, the Company is required to make a final payment to the lenders equal to 3% of the original principal balance of the loan which is being accrued over the term of the loan. In connection with the loan facility, the Company issued warrants to the lender and incurred debt issuance costs of $100,000. The fair value of the warrants, recorded as a discount to the debt and the debt issuance costs recorded as a deferred asset, are being amortized to interest expense over the expected life of the loan agreement. See Note 7 below for further discussion of the warrants.
The Company is permitted to make voluntary prepayments of the term loan with a prepayment fee equal to (i) 3% of the term loan prepaid during the first 12 months, (ii) 2% of the term loan prepaid in months 13-24 and (iii) 1% of the term loan prepaid thereafter. The Company is required to make mandatory prepayments of the outstanding term loan upon the acceleration by the lenders of such term loan following the occurrence of an event of default, along with a payment of the final payment, the prepayment fee and any other obligations that are due and payable at the time of the prepayment. The Company is also subject to certain non-financial covenants. As of December 31, 2014, the Company has not experienced any events of default and was in compliance with all covenants under the loan facility.
Future minimum payments under the term loan are as follows (in thousands):
|
Year Ending December 31, |
|
|
|
|
2015 |
$ |
1,350 |
|
|
2016 |
|
7,650 |
|
|
2017 |
|
8,223 |
|
|
2018 |
|
1,135 |
|
|
Total future minimum payments |
|
18,358 |
|
|
Less amounts representing interest and fees |
|
(2,908 |
) |
|
Less end of term payment |
|
(450 |
) |
|
Gross balance of long-term debt |
|
15,000 |
|
|
Less unamortized discount |
|
(405 |
) |
|
Total present value of long-term debt |
|
14,595 |
|
|
Less current portion |
|
— |
|
|
Long-term portion |
$ |
14,595 |
|
94
7. Convertible Preferred Stock Warrants
Prior to the completion of the Company’s IPO in February 2014, the Company accounted for the warrants it had previously issued for the purchase of the Company’s convertible preferred stock in connection with its 2009, 2010, 2011 and 2012 convertible notes and its January and December 2013 credit facilities, as liabilities based on the “deemed liquidation” terms of the convertible preferred stock. Upon consummation of the Company’s IPO in February 2014, all of the outstanding warrants to purchase shares of preferred stock automatically converted into warrants to purchase shares of common stock at a 1-to-1 ratio, adjusted for the January 16, 2014 reverse stock split, and the Company reclassified the warrant liability to stockholders’ equity as the warrants met the definition of an equity instrument under the derivatives accounting guidance.
The following table summarizes the shares subject to outstanding warrants and the corresponding exercise price as of December 31, 2014 and 2013:
|
|
Number of Shares Outstanding |
|
|
|
|
|
|
|
|||||
|
|
December 31, 2014 |
|
|
December 31, 2013 |
|
|
Exercise Price |
|
|
Expiration Date |
|||
|
May 2009 Series C Warrants |
|
— |
|
|
|
507,910 |
|
|
$ |
0.862 |
|
|
May 22, 2014 |
|
October 2009 Series C Warrants |
|
— |
|
|
|
464,035 |
|
|
$ |
0.862 |
|
|
October 9, 2014 |
|
January 2010 Series C Warrants |
|
— |
|
|
|
457,285 |
|
|
$ |
0.862 |
|
|
January 8, 2015 |
|
December 2011 Series D Warrants |
|
— |
|
|
|
654,292 |
|
|
$ |
0.862 |
|
|
December 15, 2016 |
|
April 2012 Series D Warrants |
|
— |
|
|
|
654,291 |
|
|
$ |
0.862 |
|
|
April 20, 2007 |
|
July 2012 Series D Warrants |
|
— |
|
|
|
348,027 |
|
|
$ |
0.862 |
|
|
July 18, 2017 |
|
August 2012 Series D Warrants |
|
— |
|
|
|
348,027 |
|
|
$ |
0.862 |
|
|
August 28, 2017 |
|
January 2013 Series D Warrants |
|
— |
|
|
|
174,014 |
|
|
$ |
0.862 |
|
|
January 9, 2023 |
|
December 2013 Series E Warrants |
|
— |
|
|
|
261,020 |
|
|
$ |
1.724 |
|
|
December 27, 2023 |
|
Common Stock Warrants |
|
547,089 |
|
|
|
— |
|
|
$ |
3.879 |
|
|
|
|
Total |
|
547,089 |
|
|
|
3,868,901 |
|
|
|
|
|
|
|
Series C and D Preferred Stock Warrants
In connection with convertible notes that were fully converted to preferred stock prior to December 31, 2013, the Company issued warrants to note holders for the purchase of shares of Series C Preferred Stock (“Series C warrants”) and Series D Preferred Stock (“Series D warrants”). At December 31, 2013 there were Series C warrants outstanding for the purchase of an aggregate of 1,429,230 shares of Series C Preferred Stock and Series D warrants, issued through August 2012, outstanding for the purchase of an aggregate of 2,004,637 shares of Series D Preferred Stock. Upon completion of the Company’s IPO in February 2014, these warrants converted into warrants to purchase an aggregate of 763,073 shares of the Company’s common stock at an exercise price of $3.879 per share. In May 2014, warrants subject to an aggregate of 112,867 shares of common stock were exercised, a portion of which were exercised through cashless net exercises, and resulted in a total issuance of 100,467 shares of common stock. In October 2014, warrants subject to an aggregate of 103,117 shares of common stock were exercised through cashless net exercises, resulting in a total issuance of 86,237shares of common stock. As of December 31, 2014, there were warrants to purchase an aggregate of 547,089 shares of the Company common stock outstanding.
January and December 2013 Preferred Stock Warrants
In connection with a January 2013 credit facility which was paid in full prior to December 31, 2013, the Company issued a fully exercisable warrant for the purchase of 174,014 shares of Series D Preferred Stock at $0.862 per share, expiring January 9, 2023. Upon completion of the Company’s IPO in February 2014, the warrant converted into a warrant for the purchase of 38,669 shares of the Company’s common stock at an exercise price of $3.879 per share. In February 2014, the warrant was fully exercised through a cashless net exercise and the Company issued a net of 33,469 shares of common stock.
In connection with the funding of the December 2013 term loan, the Company issued fully exercisable warrants to the lender to purchase an aggregate of 261,020 shares of Series E Preferred Stock at a purchase price of $1.724 per share, expiring December 27, 2023. The warrants were valued at $480,000 at issuance and were recorded as a loan discount, utilizing the Black-Scholes option-pricing model and are being amortized to interest expense over the expected term of the loan agreement. Upon completion of the Company’s IPO in February 2014, the warrants converted into warrants to purchase an aggregate of 58,001 shares of the Company’s common stock at an exercise price of $7.758 per share. In December 2014, the warrant was fully exercised through a cashless net exercise and the Company issued a net of 49,721 shares of common stock
95
8. Stockholders’ Equity
Authorized Shares
In connection with the completion of the Company’s IPO in February 2014, the Company amended its Certificate of Incorporation to authorize 10,000,000 shares of preferred stock, par value $0.0001 per share, and 200,000,000 shares of common stock, par value $0.0001 per share.
Public Offerings and Related Transactions
On February 10, 2014, the Company completed its IPO selling 8,050,000 shares of common stock at $12.00 per share. Proceeds from the Company’s IPO, net of underwriting discounts and commissions and other offering costs, were $86,658,000.
In addition, each of the following occurred in connection with the completion of the Company’s IPO on February 10, 2014:
|
· |
the conversion of all outstanding shares of convertible preferred stock into 14,397,836 shares of the Company’s common stock; and |
|
· |
the conversion of warrants to purchase 3,868,901 shares of convertible preferred stock into warrants to purchase 859,743 shares of the Company’s common stock and the resultant reclassification of the warrant liability to additional paid-in capital. |
In July 2014, the Company completed a follow-on offering whereby it issued an aggregate 3,622,500 shares of common stock at $19.25 per share. Proceeds from the follow-on offering, net of underwriting discounts, commissions and offering expenses, were $64,973,000.
Convertible Preferred Stock
Prior to its conversion in the IPO, the Company’s convertible preferred stock was classified on the Company’s balance sheets as temporary equity, instead of stockholders’ (deficit) equity, in accordance with authoritative guidance for the classification and measurement of redeemable securities. Upon certain change in control events that are outside of the Company’s control, including liquidation, sale or transfer of control of the Company, holders of the convertible preferred stock could cause its redemption.
Equity Awards
In January 2014, the Company’s board of directors and stockholders approved and adopted the 2014 Equity Incentive Plan (the “2014 Plan”) in connection with the Company’s initial public offering and the 2014 Plan became effective in February 2014. Upon adoption of the 2014 Plan, the Company restricted future grants from its 2010 Equity Incentive Plan (the “2010 Plan”).
The 2014 Plan initially reserved 1,110,000 new shares, plus an amount not to exceed 3,059,326 shares which represented (1) the number of shares reserved for issuance under the 2010 Plan at the time the 2014 Plan became effective and (2) any shares subject to outstanding stock options or other stock awards that would have otherwise returned to the 2010 plan (such as upon the expiration or termination of a stock award prior to vesting). The number of shares of common stock reserved for issuance under the 2014 Plan will automatically increase on January 1st of each year, from January 1, 2015 continuing through January 1, 2024, by 4% of the total number of shares of the Company’s common stock outstanding on December 31st of the preceding calendar year, or a lesser number of shares determined by the Company’s board of directors.
The 2014 Plan provides for the grant of incentive stock options (“ISOs”), nonstatutory stock options (“NSOs”), stock appreciation rights, restricted stock awards, restricted stock unit awards (“RSUs”), performance-based stock awards, and other forms of equity compensation, which we refer to collectively as stock awards, all of which may be granted to employees, including officers, non-employee directors and consultants of us and our affiliates. Additionally, the 2014 Plan provides for the grant of performance cash awards. ISOs may be granted only to employees and the maximum number of shares that may be issued upon the exercise of ISOs under the 2014 Plan is 8,318,652 shares.
The Company issues new shares of common stock upon the exercise of stock options, award of restricted stock awards and vesting of RSUs and performance-based awards, if any.
96
As of December 31, 2014, the Company has issued only stock options under the 2014 Plan and both stock options and restricted shares under the 2010 Plan. The following table presents shares authorized, available for future grant and outstanding under each of the Company’s plans at December 31, 2014:
|
|
|
|
|
|
|
|
|
|
Outstanding |
|
|||||
|
|
|
|
|
|
|
|
|
|
|
|
|
|
Nonvested |
|
|
|
|
Authorized |
|
|
Available |
|
|
Options |
|
|
Restricted Shares |
|
||||
|
2010 Equity Incentive Plan |
|
2,744,764 |
|
|
|
— |
|
|
|
1,361,345 |
|
|
|
608,968 |
|
|
2014 Equity Incentive Plan |
|
1,652,948 |
|
|
|
1,022,281 |
|
|
|
630,667 |
|
|
|
— |
|
|
|
|
4,397,712 |
|
|
|
1,022,281 |
|
|
|
1,992,012 |
|
|
|
608,968 |
|
Not included in the outstanding option balance above are 15,742 shares pursuant to stock options that were early exercised and subject to repurchase under the 2010 Plan at December 31, 2014.
Stock Options. Stock options granted under the 2014 Plan expire no later than 10 years from the date of grant and generally vest over a four-year period with vesting generally occurring at a rate of 25% at the end of the first year, and thereafter in 36 equal monthly installments. However grants to the Company’s board members vest over a period of one-year. The exercise price of the Company’s stock options generally cannot be less than 100% of the fair value of the Company’s common stock on the date of grant. Further the exercise price of any ISOs granted to a 10% stockholder may not be less than 110% of the fair value of the Company’s common stock on the date of grant.
The following table summarizes the Company’s stock option activity as of December 31, 2014, and changes for the year then ended:
|
|
|
|
|
|
|
|
|
|
Weighted- |
|
|
|
|
|
|
|
|
|
|
|
|
Weighted- |
|
|
Average |
|
|
|
|
|
||
|
|
|
|
|
|
Average |
|
|
Remaining |
|
|
Aggregate |
|
|||
|
|
|
|
|
|
Exercise |
|
|
Contractual |
|
|
Intrinsic |
|
|||
|
|
Shares |
|
|
Price |
|
|
Life (in Years) |
|
|
Value |
|
||||
|
Options outstanding at beginning of period |
|
986,111 |
|
|
$ |
0.73 |
|
|
|
|
|
|
|
|
|
|
Granted |
|
1,278,646 |
|
|
$ |
15.87 |
|
|
|
|
|
|
|
|
|
|
Exercised |
|
(254,717 |
) |
|
$ |
0.89 |
|
|
|
|
|
|
|
|
|
|
Cancelled |
|
(18,028 |
) |
|
$ |
14.66 |
|
|
|
|
|
|
|
|
|
|
Options outstanding at end of period |
|
1,992,012 |
|
|
$ |
10.30 |
|
|
|
8.89 |
|
|
$ |
84,027,000 |
|
|
Options exercisable at end of period |
|
259,974 |
|
|
$ |
1.50 |
|
|
|
8.07 |
|
|
$ |
13,253,800 |
|
The aggregate intrinsic value of options exercised during 2014 and 2013 was $6,415,000 and $8,000, respectively. There were no options exercised during 2012. During 2014 the Company received $227,000, upon the exercise of stock options in satisfaction of the exercise price.
Restricted Shares. The Company has granted restricted shares to a limited number of individuals subject to service conditions. The Company maintains a repurchase right where shares of restricted common stock are released from such repurchase right over a period of time subject to continued service by the recipient. No such awards were granted in 2014 and 2012, however the Company granted 1,100,793 restricted shares in 2013, of which 491,825 restricted shares had vested and 608,968 remained unvested as of December 31, 2014. The following table further summarizes the Company’s restricted share activity as of December 31, 2014, and changes for the year then ended:
|
|
|
|
|
|
Weighted- |
|
|
|
|
|
|
|
|
|
|
|
|
Average |
|
|
Aggregate |
|
||
|
|
|
|
|
|
Grant Date |
|
|
Intrinsic |
|
||
|
|
Shares |
|
|
Fair Value |
|
|
Value |
|
|||
|
Nonvested restricted shares at beginning of period |
|
933,333 |
|
|
$ |
0.54 |
|
|
|
|
|
|
Vested |
|
(324,365 |
) |
|
$ |
0.54 |
|
|
|
|
|
|
Nonvested restricted shares end of period |
|
608,968 |
|
|
$ |
0.54 |
|
|
$ |
31,905,000 |
|
97
The nonvested restricted shares and shares purchased by employees subject to early exercise provisions are not deemed, for accounting purposes, to be outstanding until those shares vest. The cash received in exchange for exercised and unvested shares related to restricted shares and stock options grants is recorded as a liability on the accompanying balance sheets and will be transferred into common stock and additional paid-in capital as the shares vest. The aggregate intrinsic value of restricted shares vested during 2014, at the vesting date, was $6,362,000. The intrinsic value of restricted shares vested during 2013 was less than $1,000. As of December 31, 2014 and 2013, the Company had liabilities on its balance sheet of $40,000 and $62,000, respectively, for restricted shares subject to repurchase rights.
Employee Stock Purchase Plan
On January 15, 2014, the Company’s board of directors and stockholders approved and adopted the ESPP. The ESPP became effective and the first purchase period began upon the execution and delivery of the underwriting agreement for the IPO on February 4, 2014. The ESPP permits eligible employees to make payroll deductions to purchase up to $25,000 of the Company’s common stock in each calendar year on regularly scheduled purchase dates at a discount. Offering periods under the ESPP are not more than 27 months in duration and shares are purchased at 85% of the lower of the closing price for the Company’s common stock on the first day of the offering period or the date of purchase. The ESPP initially authorized the issuance of 300,000 shares of the Company’s common stock under the ESPP. The number of shares of common stock reserved for issuance will automatically increase on January 1st of each calendar year, from January 1, 2015, continuing through January 1, 2024, by an amount equal to the lessor of (a) 1% of the total number of shares of the Company’s common stock outstanding on December 31st of the preceding calendar year, (b) 530,000 shares, or (c) a number determined by the Company’s board of directors that is less than (a) and (b).
The following table further summarizes the Company’s ESPP activity as of December 31, 2014, and changes for the year then ended:
|
|
Shares |
|
|
|
Shares authorized for issuance under the 2014 ESPP at beginning of period |
|
— |
|
|
Shares authorized in February 2014 |
|
300,000 |
|
|
May purchase |
|
(7,895 |
) |
|
November purchase |
|
(16,720 |
) |
|
Shares authorized for issuance under the 2014 ESPP at end of period |
|
275,385 |
|
Total common stock reserved for issuance under our equity plans, ESPP and pursuant to outstanding warrants as of December 31, 2014, was as follows:
|
|
Shares |
|
|
|
Warrants to purchase common stock outstanding |
|
547,089 |
|
|
Stock options outstanding |
|
1,992,012 |
|
|
Early exercise of stock options subject to repurchase |
|
15,742 |
|
|
Nonvested restricted shares subject to repurchase |
|
608,968 |
|
|
Equity plan shares authorized for future awards |
|
1,022,281 |
|
|
ESPP shares authorized for issuance |
|
275,385 |
|
|
|
|
4,461,477 |
|
9. Variable Interest Entity
On July 1, 2014, the Company entered into a License and Joint Development Agreement (the “Agreement”) with an early development stage company (the “Development Partner”), Imphar AG, for certain intellectual property rights related to deuterated oral small molecule compounds for the treatment of certain neurological disorders that are distinct from and not related to our late stage SD-809 program. These compounds are in the early stage of development and the Company plans to advance the program in collaboration with its partner through an agreed upon development plan. Pursuant to the Agreement, the parties are to share equally all development costs to obtain regulatory approval in the United States and Europe and each party has equal representation on both a joint steering and joint development committee. If the Development Partner fails to timely fund its share of the development plan costs, the Company has the option to provide additional funding and in return the Company will be entitled to additional potential future commercialization rights, revenues and royalty payments.
98
At the time the Agreement was entered, the Company determined it held a variable interest in the Development Partner’s intellectual property assets and the related potential future product candidates these assets may produce. In the absence of other significant development programs at the Development Partner, the Development Partner was considered a VIE. Although the Company does not have an equity investment in the VIE, it was determined to be the primary beneficiary for the VIE as the party controlling its principal activities. Therefore the VIE is subject to consolidation and the Company has consolidated the financial statements of the Company and the VIE since inception of the agreement on July 1, 2014.
At the inception of the Agreement, the VIE was determined not to be a business and the identifiable assets, assumed liabilities and non-controlling interest of the VIE were recorded at their preliminary estimated fair value upon the initial consolidation of the VIE, including the intellectual property assets. However, the intellectual property assets represented in-process research and development and did not qualify for capitalization as they had no alternative future use. As a result, the Company recorded a loss upon consolidation in the third quarter of 2014 of $4,781,000, which was subsequently reduced by $512,000 in December 2014 based on the completion of a valuation analysis of the estimated fair value of the intellectual property assets, resulting in a net loss upon consolidation of $4,269,000for the year ended December 31, 2014. As of December 31, 2014 the Company has recorded $3,784,000 as the fair value of the non-controlling interest in connection with the consolidation of the VIE.
10. Commitments and Contingencies
Lease
In June 2011, the Company entered into a noncancelable operating lease for corporate office space, as amended (the “Lease”). In June 2012, the Company amended the Lease for additional square footage (the “First Amendment”), which term was extended through a second amendment (the “Second Amendment”) in November 2012. In February 2014, the Company entered into a third amendment to its Lease (the “Third Amendment”) and a lease assignment (the “Lease Assignment”) to provide for additional space.
In July 2014, the Company entered into the Fourth Amendment to the Lease (the “Fourth Amendment”), pursuant to which the Company began leasing new office space in September 2014 that is serving as its corporate headquarters. All office space previously occupied pursuant to the Lease, was replaced by the new office space pursuant to the Fourth Amendment. The Fourth Amendment further provided for additional office space that became available in January 2015. In November 2014, the Company entered into the Fifth Amendment to the Lease (the “Fifth Amendment”) which provided for further expansion space. The Lease will expire in March 2020, and the Company has an option to extend the term for either five additional years or one additional year. Further, the Company has a one-time right to terminate and cancel the Lease, subject to conditions and termination dates.
The Company is subject to charges for common area maintenance and other costs pursuant to the Lease, and the Lease provides for abatement of rent during certain periods and escalating rent payments throughout the term of the Lease. Rent expense is being recorded on straight line basis over the life of the Lease and the difference between the rent expense and rent paid is being recorded as deferred rent.
Future minimum payments as of December 31, 2014, pursuant to the Fourth and Fifth Amendments, are as follows (in thousands):
|
Year Ending December 31, |
|
|
|
|
2015 |
$ |
860 |
|
|
2016 |
|
1,140 |
|
|
2017 |
|
1,175 |
|
|
2018 |
|
1,211 |
|
|
2019 |
|
1,246 |
|
|
2020 |
|
319 |
|
|
Total minimum lease payments |
$ |
5,951 |
|
99
Patent Assignment Agreement
In September 2011, the Company entered into a patent assignment agreement with Concert Pharmaceuticals, Inc. (“Concert”) pursuant to which Concert assigned to the Company a U.S. patent application relating to deuterated pirfenidone. Under the terms of the agreement, Concert is eligible to receive certain royalty payments (the “Royalty Payments”), equal to a percentage in the low single digits of net sales in the United States invoiced by the Company, or any of its affiliates, with respect to certain pharmaceutical products containing deuterated pirfenidone. If the Company sells to another party all of its U.S. rights to certain deuterated pirfenidone products, or if the Company grants to another party a license to sell certain deuterated pirfenidone products in the United States, Concert will receive an amount (the “Sublicense/Sale Payments”), equal to a percentage in the teens of any proceeds the Company receives therefrom that are attributable to the rights to such deuterated pirfenidone products in the United States. If the Company is acquired in a change in control transaction at any time while the Company, or any of its affiliates, own certain patents or patent applications related to deuterated pirfenidone, Concert will receive 1.44% of any proceeds the Company receives in such transaction. Such payment is to be applied as a credit to any future Royalty Payments and Sublicense/Sale Payments that may be due to Concert under the agreement. The agreement expires upon the earlier to occur of (1) receipt by Concert of the final Sublicense/Sale Payment arising from (a) the sale of the Company’s U.S. rights to certain deuterated pirfenidone products or (b) the Company’s grant of an exclusive license to sell certain deuterated pirfenidone products in the United States in all indications and fields, or (2) the expiration of the last claim owned by the Company or any of its affiliates in certain patents or patent applications related to deuterated pirfenidone.
11.Employee Benefit Plan
The Company maintains a defined contribution employee retirement plan for our employees under the provisions of Section 401(k) of the Internal Revenue Code. Employees may contribute up to 90% of his or her compensation up to the maximum annual amount prescribed by the Internal Revenue Service. The Company may elect to make a discretionary contribution or match a discretionary percentage of employee contributions. During 2014, 2013 and 2012, the Company elected not to make any contributions to the plan.
12. Income Taxes
The Company is subject to taxation in the U.S. and various state jurisdictions. The Company’s tax years for 2001 and forward are subject to examination by the federal and state tax authorities due to the carryforward of unutilized net operating losses and research and development credits. The Company’s practice is to recognize interest and penalties related to income tax matters in income tax expense. The Company had no accrued interest or penalties related to income tax matters in the Company’s consolidated balance sheets at December 31, 2014 and 2013, respectively, and has recognized no interest and/or penalties in the Company’s consolidated statements of operations for the years ended December 31, 2014, 2013 and 2012.
Pursuant to Internal Revenue Code Sections 382 and 383, annual use of the Company’s net operating loss and research and development credit carryforwards may be limited in the event of a cumulative change in ownership of more than 50% within a three-year period. The Company has not completed the analysis regarding this limitation and therefore has removed the (1) deferred tax assets for net operating losses of approximately $34,100,000 and (2) research and development credits of approximately $6,400,000 generated through 2014 from its deferred tax asset schedule and recorded a corresponding decrease to its valuation allowance. When this analysis is completed, the Company plans to update its deferred tax asset and valuation allowance accordingly. Until such analysis is completed and any limitation known, no amounts are being considered as an uncertain tax position or disclosed as an uncertain tax benefit. Due to the existence of the valuation allowance, future changes in the Company’s unrecognized tax benefits will not impact the Company’s effective tax rate.
100
A valuation allowance has been established as realization of such deferred tax assets has not met the more likely than not threshold requirement. Other significant components of the Company’s net deferred tax assets for federal and state income taxes at December 31, 2014 and 2013, are shown below (in thousands):
|
|
As of December 31, |
|
|||||
|
|
2014 |
|
|
2013 |
|
||
|
Deferred tax assets: |
|
|
|
|
|
|
|
|
Capitalized research and development |
$ |
6,093 |
|
|
$ |
7,409 |
|
|
Accrued compensation |
|
999 |
|
|
|
39 |
|
|
Stock-based compensation |
|
917 |
|
|
|
21 |
|
|
Other, net |
|
419 |
|
|
|
48 |
|
|
|
|
8,428 |
|
|
|
7,517 |
|
|
Valuation allowance for deferred tax assets |
|
(8,428 |
) |
|
|
(7,517 |
) |
|
Net deferred tax assets |
$ |
— |
|
|
$ |
— |
|
A reconciliation of the Company’s effective tax rate and federal statutory rate is as follows:
|
|
As of December 31, |
||||
|
|
2014 |
|
2013 |
|
2012 |
|
Federal income taxes |
34.0% |
|
34.0% |
|
34.0% |
|
State income taxes |
4.6% |
|
4.8% |
|
5.1% |
|
Research and development credits |
4.4% |
|
3.3% |
|
0.6% |
|
Change in valuation allowance |
(1.5)% |
|
(17.4)% |
|
(24.2)% |
|
Fair value adjustments |
(2.2)% |
|
(5.0)% |
|
(0.4)% |
|
Nondeductible interest |
— |
|
— |
|
(3.3)% |
|
Removal of net operating loss and research and development tax credits |
(38.1)% |
|
(18.9)% |
|
(11.4)% |
|
Nondeductible expenses and other |
(1.2)% |
|
(0.8)% |
|
(0.4)% |
|
|
0.0% |
|
0.0% |
|
0.0% |
At December 31, 2014, the Company had federal and state net operating losses of approximately $91,200,000 and $94,100,000, respectively. The federal net operating loss carryforwards will begin to expire in 2021 unless previously utilized, and the state net operating loss carryforwards will continue to expire in 2015. The Company also had federal and state research and development tax credit carryforwards of approximately $5,200,000 and $1,800,000, respectively. The federal research and development tax credit carryforwards will begin expiring in 2021, unless previously utilized. The state research and development tax credits carryforwards do not expire.
Included in the net operating loss carryforwards at December 31, 2014, is approximately $6,000,000 of losses attributable to excess stock option deductions. Under current accounting guidance concerning when tax benefits related to excess stock option deductions can be credited to paid in capital, the related valuation allowance cannot be reversed, even if the facts and circumstances indicate that it is more likely than not that the deferred tax asset can be realized. The valuation allowance will only be reversed as the related deferred tax asset is applied to reduce taxes payable.
101
13.Selected Quarterly Financial Data (Unaudited)
The following financial information reflects all normal recurring adjustments, which are, in the opinion of management, necessary for a fair statement of the results of the interim periods. Selected quarterly financial data for years ended December 31, 2014 and 2013, are as follows (in thousands, except share and per share amounts):
|
|
Fiscal Year 2014 Quarters |
|
|
|
|
|
|||||||||||||
|
|
1st(3) |
|
|
2nd |
|
|
3rd(4) |
|
|
4th(5) |
|
|
TOTAL |
|
|||||
|
Operating loss |
$ |
(6,106 |
) |
|
$ |
(10,039 |
) |
|
$ |
(13,909 |
) |
|
$ |
(20,202 |
) |
|
$ |
(50,256 |
) |
|
Net loss |
$ |
(10,123 |
) |
|
$ |
(10,385 |
) |
|
$ |
(19,025 |
) |
|
$ |
(20,002 |
) |
|
$ |
(59,535 |
) |
|
Net income attributed to noncontrolling interest |
$ |
— |
|
|
$ |
— |
|
|
$ |
13 |
|
|
$ |
26 |
|
|
$ |
39 |
|
|
Net loss attributable to Auspex shareholders |
$ |
(10,123 |
) |
|
$ |
(10,385 |
) |
|
$ |
(19,038 |
) |
|
$ |
(20,028 |
) |
|
$ |
(59,574 |
) |
|
Basic and diluted net loss per share(1)(2) |
$ |
(0.81 |
) |
|
$ |
(0.45 |
) |
|
$ |
(0.73 |
) |
|
$ |
(0.74 |
) |
|
$ |
(2.68 |
) |
|
|
|
|
|
|
|
|
|
|
|
|
|
|
|
|
|
|
|
|
|
|
|
Fiscal Year 2013 Quarters |
|
|
|
|
|
|||||||||||||
|
|
1st |
|
|
2nd |
|
|
3rd |
|
|
4th |
|
|
TOTAL |
|
|||||
|
Operating loss |
$ |
(2,630 |
) |
|
$ |
(2,817 |
) |
|
$ |
(2,837 |
) |
|
$ |
(4,908 |
) |
|
$ |
(13,192 |
) |
|
Net loss |
$ |
(2,305 |
) |
|
$ |
(2,889 |
) |
|
$ |
(2,846 |
) |
|
$ |
(7,589 |
) |
|
$ |
(15,629 |
) |
|
Net income attributed to noncontrolling interest |
$ |
— |
|
|
$ |
— |
|
|
$ |
— |
|
|
$ |
— |
|
|
$ |
— |
|
|
Net loss attributable to Auspex shareholders |
$ |
(2,305 |
) |
|
$ |
(2,889 |
) |
|
$ |
(2,846 |
) |
|
$ |
(7,589 |
) |
|
$ |
(15,629 |
) |
|
Basic and diluted net loss per share(1)(2) |
$ |
(17,462 |
) |
|
$ |
(21,886 |
) |
|
$ |
(21,561 |
) |
|
$ |
(46 |
) |
|
$ |
(371 |
) |
|
(1) |
Loss per share is computed independently for each of the quarters presented. Therefore, the sum of the quarterly loss per share may not necessarily equal the total for the year. |
|
(2) |
In the first quarter of 2014, the Company issued 8,050,000 shares of common stock as part of its initial public offering. Further, the Company issued an additional 3,622,500 shares of common stock pursuant to a follow-on offering in July 2014. As a result, there is a lack of comparability in the basic and diluted net loss per share amount for the periods presented. |
|
(3) |
During the first quarter of 2014, in conjunction with the Company’s initial public offering, the Company recognized a change in the fair value of its convertible preferred stock warrants, resulting in a loss of $3,634. |
|
(4) |
During the third quarter of 2014, the Company recognized a $4,781 loss on the initial consolidation of the assets and liabilities of a VIE it began consolidating during the quarter. |
|
(5) |
During the fourth quarter of 2014, the Company recorded an adjustment to the loss on the initial consolidation of the VIE, reducing the loss by $512. |
14. Subsequent Events
Share Purchase Agreement
On January 11, 2015, the Company entered into a share purchase agreement to acquire the remaining rights to SD-1077, and related intellectual property, through the acquisition of Imphar AG. Imphar AG had previously granted Auspex exclusive U.S. and select worldwide rights and retained European and additional worldwide rights, all of which were transferred to Auspex upon the closing of the transaction on January 31, 2015.
Sales of Common Stock
In January 2015, the Company completed a public follow-on offering whereby it issued an aggregate 3,600,000 shares of common stock at $56.50 per share. Proceeds from the follow-on offering, net of underwriting discounts, commissions and offering expenses, were approximately $190,496,000. The public offering also included the sale of 1,000,000 shares of common stock by existing stockholders of Auspex, for total shares sold of 4,600,000
102
None.
Management responsible for maintaining disclosure controls and procedures, as defined in Rules 13a-15(e) and 15d-15(e) under the Exchange Act. Disclosure controls and procedures are controls and other procedures designed to ensure that the information required to be disclosed by us in the reports that we file or submit under the Exchange Act is recorded, processed, summarized, and reported within the time periods specified in the SEC’s rules and forms. Disclosure controls and procedures include, without limitation, controls and procedures designed to ensure that information required to be disclosed by us in the reports that we file or submit under the Exchange Act is accumulated and communicated to our management, including our principal executive officer and our principal financial officer, as appropriate to allow timely decisions regarding required disclosure. Our management, including our principal executive officer and our principal financial officer, has determined that there were no significant changes to our internal control over financial reporting during the year or quarter ended December 31, 2014, that have materially affected, or are reasonably likely to materially affect, its internal control over financial reporting.
Management’s Report on Internal Control over Financial Reporting.
Management is responsible for establishing and maintaining an adequate system of internal control over financial reporting pursuant to Section 404 of the Sarbanes-Oxley Act of 2002 and as implemented in Rule 13a-15(f) under the Exchange Act. Internal control over financial reporting is designed to provide reasonable assurance regarding the reliability of financial reporting and the preparation of financial statements for external purposes in accordance with accounting principles generally accepted in the U.S. However all internal control systems, no matter how well designed, have inherent limitations and may not prevent or detect misstatements. Also, projections of any evaluation of effectiveness to future periods are subject to the risk that controls may become inadequate because of changes in conditions, or that the degree of compliance with the policies or procedures may deteriorate. The Company’s internal control over financial reporting includes those policies and procedures that:
|
· |
pertain to the maintenance of records that, in reasonable detail, accurately and fairly reflect the transactions and dispositions of the assets of the company; |
|
· |
provide reasonable assurance that transactions are recorded as necessary to permit preparation of financial statements in accordance with generally accepted accounting principles, and that receipts and expenditures of the company are being made only in accordance with authorizations of management and directors of the company; and |
|
· |
provide reasonable assurance regarding prevention or timely detection of unauthorized acquisition, use or disposition of the company’s assets that could have a material effect on the company’s financial statements. |
Our management utilized the criteria set forth in “Internal Control-Integrated Framework” (1992) issued by the Committee of Sponsoring Organizations of the Treadway Commission to conduct an assessment and evaluate the effectiveness of our internal control over financial reporting. Management’s evaluation of this testing included consideration of susceptibility to loss or fraud, subjectivity, complexity, the extent of judgment, the amount and volume of the transactions exposed to any deficiencies, the existence of mitigating controls, the cause of detected exceptions, how exceptions discovered were detected, the pervasiveness of any exceptions, the significance of any deviations from policy and the frequency of such exceptions relative to the frequency of operation. Indicators of deficiencies that may be material weaknesses and are at least significant include restatement, material misstatement in the current period, ineffective Audit Committee oversight, ineffective internal audit function, identification of fraud of any magnitude by management, significant deficiencies that remain uncorrected for some period of time, ineffective control environment, and the aggregate effect of all deficiencies.
Based on this assessment of the effectiveness of the Company’s internal control over financial reporting, our management concluded that, as of December 31, 2014, our control over financial reporting was effective and there were no material weaknesses in our internal control over financial reporting that have been identified by management.
Not applicable.
103
Information required by this item will be included under the captions Elections of Directors, Information Regarding the Board of Directors and Corporate Governance, Executive Compensation and Other Information, and Section 16(a) Beneficial Ownership Reporting Compliance contained in our definitive Proxy Statement to be filed with the Commission within 120 days after the conclusion of our year ended December 31, 2014 (the “Proxy Statement”) pursuant to General Instructions G(3) of Form 10-K and is incorporated herein by reference.
We maintain employee compensation program and benefit plans in which our executive officers are participants. Copies of these plans and programs are set forth or incorporated by reference as Exhibits to this report. The information required by this item will be included in our Proxy Statement under the caption Executive Compensation and Other and is incorporated herein by reference.
|
ITEM 12. |
Security Ownership of Certain Beneficial Owners and Management and Related Stockholder Matters |
Information required by this item will be included under the captions Security Ownership of Certain Beneficial Owners and Management and Executive Compensation contained in our Proxy Statement and is incorporated herein by reference.
Information required by this item will be included under the captions Certain Relationships and Related Transactions and Information Regarding the Board of Directors contained in our Proxy Statement and is incorporated herein by reference.
Information required by this item will be included under the captions Selection of Independent Registered Public Accounting Firm contained in our Proxy Statement and is incorporated herein by reference.
104
|
(a) |
Documents filed as part of this report: |
(1)Financial Statements. The following financial statements of Auspex Pharmaceuticals, Inc., together with the report thereon of Ernst & Young, LLP, required to be filed pursuant to Part II, Item 8 of this Annual Report on Form 10-K, are included on pages 80 through 102, as follows:
|
(2) |
Financial Statement Schedules. All financial statement schedules have been omitted because they are not applicable, not required or the information required is shown in the financial statements or notes thereto. |
|
(3) |
List of exhibits required by Items 601 or Regulation S-K. See part (b) below. |
|
(b) |
Exhibits. For a list of exhibits filed with this Annual Report on Form 10-K, refer to the exhibit index beginning on page |
105
Pursuant to the requirements of Section 13 or 15(d) of the Securities Exchange Act of 1934, the Registrant has duly caused this report to be signed on its behalf by the undersigned, thereunto duly authorized.
|
|
|
|
|
|
|
|
|
|
|
|
|
Auspex Pharmaceuticals, Inc. |
||
|
|
|
|
|
|||
|
Date: March 16, 2015 |
|
|
|
By: |
|
/s/ Pratik Shah |
|
|
|
|
|
|
|
Pratik Shah, Ph.D. President and Chief Executive Officer |
KNOW ALL PERSONS BY THESE PRESENTS, that each person whose signature appears below constitutes and appoints Pratik Shah, Ph.D. and John Schmid, jointly and severally, his or her attorneys-in-fact, each with the power of substitution, for him or her in any and all capacities, to sign any amendments to this report, and to file the same, with exhibits thereto and other documents in connection therewith with the Securities and Exchange Commission, hereby ratifying and confirming all that each of said attorneys-in-fact, or his or her substitute or substitutes may do or cause to be done by virtue hereof.
Pursuant to the requirements of the Securities Exchange Act of 1934, this report has been signed below by the following persons on behalf of the Registrant in the capacities and on the dates indicated:
|
Signature |
|
Title |
|
Date |
|
|
|
|
||
|
/s/ Pratik Shah Pratik Shah, Ph.D. |
|
President, Chief Executive Officer and Member of the Board of Directors (Principal Executive Officer) |
|
March 16, 2015 |
|
|
|
|
||
|
/s/ John Schmid |
|
Chief Financial Officer |
|
March 16, 2015 |
|
John Schmid |
|
(Principal Financial and Accounting Officer) |
|
|
|
|
|
|
||
|
/s/ Samuel Saks |
|
Chief Development Officer and |
|
March 16, 2015 |
|
Samuel Saks, M.D. |
|
Member of the Board of Directors |
|
|
|
|
|
|
|
|
|
/s/ Lynn Dorsey Bleil Lynn Dorsey Bleil |
|
Member of the Board of Directors |
|
March 16, 2015 |
|
|
|
|
||
|
/s/ Rod Ferguson |
|
Member of the Board of Directors |
|
March 16, 2015 |
|
Rod Ferguson, Ph.D. |
|
|
|
|
|
|
|
|
||
|
/s/ R. Scott Greer |
|
Member of the Board of Directors |
|
March 16, 2015 |
|
R. Scott Greer |
|
|
|
|
|
|
|
|
||
|
/s/ Gerald Proehl |
|
Member of the Board of Directors |
|
March 16, 2015 |
|
Gerald Proehl |
|
|
|
|
|
|
|
|
||
|
/s/ Sepehr Sarshar |
|
Member of the Board of Directors |
|
March 16, 2015 |
|
Sepehr Sarshar, Ph.D. |
|
|
|
|
|
|
|
|
||
|
/s/ Phillip M. Schneider |
|
Member of the Board of Directors |
|
March 16, 2015 |
|
Phillip M. Schneider |
|
|
|
|
|
|
|
|
|
|
|
|
Member of the Board of Directors |
|
March 16, 2015 |
|
|
Alex Zisson |
|
|
|
|
106
INDEX TO EXHIBITS
|
|
Description |
|
|
3.1 |
|
Amended and Restated Certificate of Incorporation of the Registrant (incorporated by reference to Exhibit 3.1 to the Registrant’s Current Report on Form 8-K, filed with the SEC on February 11, 2014). |
|
|
|
|
|
3.2 |
|
Bylaws, as amended, as currently in effect (incorporated by reference to Exhibit 3.2 to the Registrant’s Quarterly Report on Form 10-Q, filed with the SEC on May 14, 2014). |
|
|
|
|
|
4.1 |
|
Form of Common Stock Certificate of the Registrant (incorporated by reference to Exhibit 4.1 to the Registrant’s Registration Statement on Form S-1/A (File No. 333-193013), filed with the SEC on January 10, 2014). |
|
|
|
|
|
4.2 |
|
Amended and Restated Investor Rights Agreement, dated December 20, 2013 (incorporated by reference to Exhibit 4.2 to the Registrant’s Registration Statement on Form S-1 (File No. 333-193013), filed with the SEC on December 20, 2013). |
|
|
|
|
|
10.1+ |
|
Form of Indemnification Agreement by and between the Registrant and its directors and officers (incorporated by reference to Exhibit 10.1 to the Registrant’s Registration Statement on Form S-1 (File No. 333-193013), filed with the SEC on December 20, 2013). |
|
|
|
|
|
10.2+ |
|
Auspex Pharmaceuticals, Inc. 2010 Equity Incentive Plan and Forms of Stock Option Agreement, Notice of Exercise and Stock Option Grant Notice thereunder (incorporated by reference to Exhibit 10.2 to the Registrant’s Registration Statement on Form S-1/A, filed with the SEC on January 10, 2014). |
|
|
|
|
|
10.3+± |
|
Auspex Pharmaceuticals, Inc. 2014 Equity Incentive Plan and Forms of Stock Option Agreement, Notice of Exercise, Stock Option Grant Notice, Restricted Stock Unit Award Agreement and Restricted Stock Unit Award Grant Notice thereunder. |
|
|
|
|
|
10.4+ |
|
Auspex Pharmaceuticals, Inc. 2014 Employee Stock Purchase Plan (incorporated by reference to Exhibit 10.4 to the Registrant’s Registration Statement on Form S-1/A, filed with the SEC on January 17, 2014). |
|
|
|
|
|
10.5± |
|
Auspex Pharmaceuticals, Inc. Non-Employee Director Compensation Policy, as amended. |
|
|
|
|
|
10.6+ |
|
Offer Letter, dated February 15, 2011, by and between the Registrant and Dr. David Stamler (incorporated by reference to Exhibit 10.7 to the Registrant’s Registration Statement on Form S-1, filed with the SEC on December 20, 2013). |
|
|
|
|
|
10.7+ |
|
Amendment to Offer Letter, dated August 25, 2011, by and between the Registrant and Dr. David Stamler (incorporated by reference to Exhibit 10.8 to the Registrant’s Registration Statement on Form S-1, filed with the SEC on December 20, 2013). |
|
|
|
|
|
10.8+ |
|
Amendment to Offer Letter, dated March 6, 2012, by and between the Registrant and Dr. David Stamler (incorporated by reference to Exhibit 10.9 to the Registrant’s Registration Statement on Form S-1, filed with the SEC on December 20, 2013). |
|
|
|
|
|
10.9+ |
|
Offer Letter, dated September 3, 2013, by and between the Registrant and Mr. John Schmid (incorporated by reference to Exhibit 10.10 to the Registrant’s Registration Statement on Form S-1, filed with the SEC on December 20, 2013). |
|
|
|
|
|
10.10+ |
|
Offer Letter, dated October 1, 2013, by and between the Registrant and Dr. Pratik Shah (incorporated by reference to Exhibit 10.11 to the Registrant’s Registration Statement on Form S-1, filed with the SEC on December 20, 2013). |
|
|
|
|
|
10.11+ |
|
Offer Letter, dated October 7, 2013, by and between the Registrant and Dr. Bharatt Chowrira (incorporated by reference to Exhibit 10.12 to the Registrant’s Registration Statement on Form S-1, filed with the SEC on December 20, 2013). |
|
|
|
|
|
10.12+ |
|
Offer Letter, dated November 9, 2013, by and between the Registrant and Dr. Samuel Saks (incorporated by reference to Exhibit 10.13 to the Registrant’s Registration Statement on Form S-1, filed with the SEC on December 20, 2013). |
|
10.13* |
|
Patent Assignment Agreement, dated September 8, 2011, by and between the Registrant and Concert Pharmaceuticals, Inc. (incorporated by reference to Exhibit 10.14 to the Registrant’s Registration Statement on Form S-1, filed with the SEC on December 20, 2013). |
|
|
|
|
|
10.14 |
|
Form of Warrant to Purchase Preferred Stock issued to participants in the Registrant’s Series C Preferred Stock financings (incorporated by reference to Exhibit 10.15 to the Registrant’s Registration Statement on Form S-1, filed with the SEC on December 20, 2013). |
|
|
|
|
|
10.15 |
|
Form of Warrant to Purchase Preferred Stock issued to participants in the Registrant’s Series D Preferred Stock financings (incorporated by reference to Exhibit 10.16 to the Registrant’s Registration Statement on Form S-1, filed with the SEC on December 20, 2013). |
|
10.16 |
|
Office Lease, dated June 6, 2011, by and between the Registrant and Mullrock 3 Torrey Pines, LLC (incorporated by reference to Exhibit 4.2 to the Registrant’s Registration Statement on Form S-1, filed with the SEC on December 20, 2013). |
|
|
|
|
107
|
|
Description |
|
|
|
|
|
|
10.17 |
|
First Amendment to Lease, dated June 21, 2012, by and between the Registrant and Mullrock 3 Torrey Pines, LLC (incorporated by reference to Exhibit 4.2 to the Registrant’s Registration Statement on Form S-1, filed with the SEC on December 20, 2013). |
|
|
|
|
|
10.18 |
|
Lease between Mullrock 3 Torrey Pines, LLC and Thomas, McNerney & Partners Trust dated June 6, 2011; Lease Assignment and Assumption Agreement between Thomas, McNerney & Partners Trust and the Registrant dated February 28, 2014; Consent to Assignment of Lease between Mullrock 3 Torrey Pines LLC and the Registrant dated February 17, 2014; and Commencement Letter between Mullrock 3 Torrey Pines, LLC and Thomas, McNerney & Partners Trust dated August 24, 2011 (incorporated by reference to Exhibit 10.28 to the Registrant’s Quarterly Report on Form 10-Q, filed with the SEC on May 14, 2014). |
|
|
|
|
|
10.19 |
|
Second Amendment to Lease, dated November 13, 2012, by and between the Registrant and Mullrock 3 Torrey Pines, LLC (incorporated by reference to Exhibit 4.2 to the Registrant’s Registration Statement on Form S-1, filed with the SEC on December 20, 2013). |
|
|
|
|
|
10.20 |
|
Third Amendment to Lease between Mullrock 3 Torrey Pines LLC and the Registrant dated February 14, 2014 (incorporated by reference to Exhibit 10.27 to the Registrant’s Quarterly Report on Form 10-Q, filed with the SEC on May 14, 2014). |
|
|
|
|
|
10.21 |
|
Fourth Amendment to Lease between Mullrock 3 Torrey Pines, LLC and the Registrant dated July 25, 2014 (incorporated by reference to Exhibit 10.30 to the Registrant’s Quarterly Report on Form 10-Q, filed with the SEC on August 7, 2014). |
|
|
|
|
|
10.22 |
|
Fifth Amendment to Lease between Mullrock 3 Torrey Pines, LLC and the Registrant dated November 30, 2014 (incorporated by reference to Exhibit 10.28 to the Registrant’s Registration Statement on Form S-1 (File No. 333-201387, filed with the SEC on January 7, 2015). |
|
|
|
|
|
10.23± |
|
Sixth Amendment to Lease between Mullrock 3 Torrey Pines, LLC and the Registrant dated December 31, 2014. |
|
|
|
|
|
10.24+ |
|
Auspex Pharmaceuticals, Inc. Executive Severance Plan (incorporated by reference to Exhibit 10.23 to the Registrant’s Registration Statement on Form S-1, as amended (File No. 333-193013), originally filed with the SEC on December 20, 2013). |
|
|
|
|
|
10.25+ |
|
Letter Agreement, dated December 19, 2013, by and between the Registrant and Dr. Samuel Saks (incorporated by reference to Exhibit 10.24 to the Registrant’s Registration Statement on Form S-1, as amended (File No. 333-193013), originally filed with the SEC on December 20, 2013). |
|
|
|
|
|
10.26 |
|
Form of Warrant to Purchase Stock issued to Oxford Finance LLC on December 27, 2013 (incorporated by reference to Exhibit 10.24 to the Registrant’s Registration Statement on Form S-1, as amended (File No. 333-193013), originally filed with the SEC on December 20, 2013). |
|
|
|
|
|
10.27 |
|
Loan and Security Agreement, dated December 27, 2013, by and between the Registrant and Oxford Finance LLC, as amended on May 2, 2014 and December 31, 2014 (incorporated by reference to Exhibit 10.23 to the Registrant’s Registration Statement on Form S-1 (File No. 333-201387, filed with the SEC on January 7, 2015). |
|
|
|
|
|
23.1± |
|
Consent of Independent Registered Public Accounting Firm. |
|
|
|
|
|
24.1± |
|
Power of Attorney. Reference is made to the signature page hereto. |
|
31.1± |
|
Certification of the Principal Executive Officer pursuant to Rule 13a-14(a) or 15d-14(a) of the Securities Exchange Act of 1934. |
|
|
|
|
|
31.2± |
|
Certification of the Principal Financial Officer pursuant to Rule 13a-14(a) or 15d-14(a) of the Securities Exchange Act of 1934. |
|
|
|
|
|
32.1± |
|
Certification of the Principal Executive Officer and Principal Financial Officer pursuant to 18 U.S.C. Section 1350, as adopted pursuant to Section 906 of the Sarbanes-Oxley Act of 2002. |
|
|
|
|
|
101.INS± |
|
XBRL Instance Document. |
|
|
|
|
|
101.SCH± |
|
XBRL Taxonomy Extension Schema Document. |
|
|
|
|
|
101.CAL± |
|
XBRL Taxonomy Extension Calculation Linkbase Document. |
|
|
|
|
|
101.DEF± |
|
XBRL Taxonomy Extension Definition Linkbase Document. |
|
|
|
|
|
101.LAB± |
|
XBRL Taxonomy Extension Label Linkbase Document. |
|
|
|
|
|
101.PRE± |
|
XBRL Taxonomy Extension Presentation Linkbase Document. |
|
± + |
Included in this Report. Indicates management contract or compensatory plan. |
|
* |
Confidential treatment has been granted with respect to certain portions of this exhibit. Omitted portions have been filed separately with the SEC. |
108