Please wait

 

 

 

UNITED STATES

SECURITIES AND EXCHANGE COMMISSION

Washington, D.C. 20549

 

 

 

SCHEDULE 14A

 

Proxy Statement Pursuant to Section 14(a) of the

Securities Exchange Act of 1934

(Amendment No.        )

 

 

 

Filed by the Registrant x

 

Filed by a Party other than the Registrant ¨

 

Check the appropriate box:

 

¨Preliminary Proxy Statement
  
¨Confidential, for Use of the Commission Only (as permitted by Rule 14a-6(e)(2))
  
¨Definitive Proxy Statement
  
xDefinitive Additional Materials
  
¨Soliciting Material Pursuant to §240.14a-12

 

Astria Therapeutics, Inc.

(Name of Registrant as

Specified In Its Charter)

 

(Name of Person(s) Filing Proxy Statement,

if other than the Registrant)

 

Payment of Filing Fee (Check the appropriate box):

 

xNo fee required
  
¨Fee paid previously with preliminary materials
  
¨Fee computed on table in exhibit required by Item 25(b) per Exchange Act Rules 14a-6(i)(1) and 0-11.

 

 

 

 

 

GRAPHIC

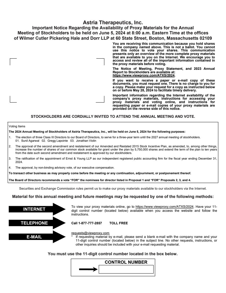
Astria Therapeutics, Inc. Important Notice Regarding the Availability of Proxy Materials for the Annual Meeting of Stockholders to be held on June 5, 2024 at 8:00 a.m. Eastern Time at the offices of Wilmer Cutler Pickering Hale and Dorr LLP at 60 State Street, Boston, Massachusetts 02109 You are receiving this communication because you hold shares in the company named above. This is not a ballot. You cannot use this notice to vote your shares. This communication presents only an overview of the more complete proxy materials that are available to you on the Internet. We encourage you to access and review all of the important information contained in the proxy materials before voting. The Notice of Meeting, Proxy Statement, and 2023 Annual Report to Stockholders are available at: https://www.viewproxy.com/ATXS/2024. If you want to receive a paper or e-mail copy of these documents, you must request one. There is no charge to you for a copy. Please make your request for a copy as instructed below on or before May 28, 2024 to facilitate timely delivery. Important information regarding the Internet availability of the company’s proxy materials, instructions for accessing your proxy materials and voting online, and instructions for requesting paper or e-mail copies of your proxy materials are provided on the reverse side of this notice. STOCKHOLDERS ARE CORDIALLY INVITED TO ATTEND THE ANNUAL MEETING AND VOTE. Voting Items The 2024 Annual Meeting of Stockholders of Astria Therapeutics, Inc., will be held on June 5, 2024 for the following purposes: 1. The election of three Class III Directors to our Board of Directors, to serve for a three-year term until the 2027 annual meeting of stockholders. 01. Sunil Agarwal 02. Gregg Lapointe 03. Jonathan Violin 2. The approval of the second amendment and restatement of our Amended and Restated 2015 Stock Incentive Plan, as amended, to, among other things, increase the number of shares of our common stock available for grant under the plan by 5,750,000 shares and extend the term of the plan to ten years from the date such second amendment and restatement is approved by our stockholders. 3. The ratification of the appointment of Ernst & Young LLP as our independent registered public accounting firm for the fiscal year ending December 31, 2024. 4. The approval, by non-binding advisory vote, of our executive compensation. To transact other business as may properly come before the meeting or any continuation, adjournment, or postponement thereof. The Board of Directors recommends a vote “FOR” the nominees for director listed in Proposal 1 and “FOR” Proposals 2, 3, and 4. Securities and Exchange Commission rules permit us to make our proxy materials available to our stockholders via the Internet. Material for this annual meeting and future meetings may be requested by one of the following methods: To view your proxy materials online, go to https://www.viewproxy.com/ATXS/2024. Have your 11- digit control number (located below) available when you access the website and follow the instructions. Call 1-877-777-2857 TOLL FREE requests@viewproxy.com * If requesting material by e-mail, please send a blank e-mail with the company name and your 11-digit control number (located below) in the subject line. No other requests, instructions, or other inquiries should be included with your e-mail requesting material. You must use the 11-digit control number located in the box below. CONTROL NUMBER INTERNET TELEPHONE E-MAIL

GRAPHIC

Astria Therapeutics, Inc. PROXY MATERIALS AVAILABLE TO VIEW OR RECEIVE The following proxy materials are available to you for review at: https://www.viewproxy.com/ATXS/2024 Proxy Statement and 2023 Annual Report to Stockholders To obtain directions to attend the Annual Meeting and to vote in person, go to: https://www.viewproxy.com/ATXS/2024 ACCESSING YOUR PROXY MATERIALS ONLINE Have this notice available when you request a paper copy of the proxy materials or vote your proxy electronically. You will need your control number when you request a paper copy of the proxy materials or vote by Internet. You may vote your shares when you view the materials on the Internet. You will be asked to follow the prompts to vote your shares. Your electronic vote authorizes the named proxies to vote your shares in the same manner as if you marked, signed, dated, and returned a proxy card. REQUESTING A PAPER COPY OF THE PROXY MATERIALS By telephone, please call 1-877-777-2857 or By logging onto https://www.viewproxy.com/ATXS/2024 or By e-mail at requests@viewproxy.com Please include the company name and your control number in the e-mail subject line.