UNITED STATES
SECURITIES AND EXCHANGE COMMISSION
Washington, D.C. 20549
SCHEDULE 14A
(Rule 14a-101)
INFORMATION REQUIRED IN PROXY STATEMENT
SCHEDULE 14A INFORMATION
Proxy Statement Pursuant to Section 14(a) of the
Securities Exchange Act of 1934
| Filed by the Registrant ☒ | Filed by a Party other than the Registrant ☐ |
Check the appropriate box:
| ☒ | Preliminary Proxy Statement | |
| ☐ | Confidential, For Use of the Commission Only (as permitted by Rule 14a-6(e)(2)) | |
| ☐ | Definitive Proxy Statement | |
| ☐ | Definitive Additional Materials | |
| ☐ | Soliciting Material Pursuant to §240.14a-12 |
Better Choice Company Inc.
(Name of Registrant as Specified In Its Charter)
(Name of Person(s) Filing Proxy Statement, if other than the Registrant)
Payment of Filing Fee (Check the appropriate box):
| ☒ | No fee required. | |||
| ☐ | Fee computed on table below per Exchange Act Rules 14a-6(i)(1) and 0-11. | |||
| ☐ | Fee paid previously with preliminary materials. | |||
| ☐ | Check box if any part of the fee is offset as provided by Exchange Act Rule 0-11(a)(2) and identify the filing for which the offsetting fee was paid previously. Identify the previous filing by registration statement number, or the Form or Schedule and the date of its filing. | |||
| (1) | Amount previously paid: | |||
| (2) | Form, Schedule or Registration Statement No.: | |||
| (3) | Filing Party: | |||
| (4) | Date Filed: | |||
These materials are important and require your immediate attention. They require the stockholders of Better Choice Company Inc. to make important decisions. If you are in doubt as to how to make such decisions, please contact your financial, legal or other professional advisor. If you have any questions, you may contact Carolina Martinez, the Company’s Chief Financial Officer, by telephone at 212-655-3518, or by email at nmartinez@bttrco.com.
BETTER CHOICE COMPANY INC.
12400 Race Track Road
Tampa, FL 33626
NOTICE OF SPECIAL MEETING OF STOCKHOLDERS
TO BE HELD , 2025
We hereby give notice that a Special Meeting of Stockholders of Better Choice Company Inc. (“Better Choice”) will be held on , 2025, at 9:00 a.m. Eastern Time (the “Special Meeting”). The purpose of the Special Meeting is to hold a vote of the stockholders of Better Choice regarding:
| (1) | the change of the legal name of Better Choice from “Better Choice Company, Inc.” to “SRX Health Solutions, Inc.” and of the NYSE ticker symbol from “BTTR” to “SRXH” (the “Name Change Proposal”). | |
| (2) | the issuance of up to 30,000,000 shares of Better Choice common stock in connection with a proposed arrangement (the “Arrangement”) with SRx Health Solutions, Inc., a corporation organized under the laws of the Province of Ontario (“SRx”), pursuant to which Better Choice will acquire SRx, in accordance with the requirements of the NYSE American (the “Arrangement Proposal”); | |
| (3) | an increase in the number of securities subject to the Better Choice Company, Inc. 2019 Incentive Award Plan (the “Plan Proposal”); | |
| (4) | the approval of the postponement or adjournment of the Special Meeting to solicit additional proxies if there are not sufficient votes to approve the Arrangement Proposal and/or the Plan Proposal, if deemed necessary or appropriate by the Better Choice Board (the “Adjournment Proposal”); and |
The Arrangement Proposal and the Plan Proposal will not be effected, and the Arrangement will not be completed, without the approval by the Better Choice stockholders of such proposals.
The Special Meeting will be held in a virtual meeting format at [insert URL].
In addition to voting by submitting your proxy prior to the Special Meeting, you also will be able to vote your shares electronically during the Special Meeting. Further details regarding the virtual meeting are included in the accompanying proxy statement.
Under Delaware law, only stockholders of record on the record date, which is , 2025, are entitled to notice of, and to vote at, the Special Meeting or any adjournment. It is important that your shares be represented at this meeting so that the presence of a quorum is assured.
The Better Choice Board has unanimously concluded that the Arrangement is in the best interests of Better Choice and its stockholders and has approved and authorized the Arrangement. The Better Choice Board unanimously recommends that the stockholders vote FOR (1) the Name Change Proposal, (2) the Arrangement Proposal, (36) the Plan Proposal and (4) the Adjournment Proposal.
Your vote is important. Even if you plan to virtually attend the Special Meeting, please date and execute the enclosed proxy and return it promptly in the enclosed postage-paid envelope as soon as possible. If you attend the Special Meeting, you may revoke your proxy and vote your shares during the Special Meeting.
If you have any questions or need assistance in your consideration of the Arrangement or with the completion and delivery of your proxy, please contact Carolina Martinez, the Company’s Chief Financial Officer, by telephone at 212-655-3518, or by email at nmartinez@bttrco.com.
IF YOU PLAN TO ATTEND:
To be admitted to the Special Meeting at [insert URL] you must have your control number available and follow the instructions found on your proxy card or voting instruction form. You may vote during the Special Meeting by following the instructions available on the Special Meeting website during the Special Meeting. Please allow sufficient time before the Special Meeting to complete the online check-in process. Your vote is very important.
| By Order of the Board of Directors, | |
| , 2025 | |
| Michael Young | |
| Chairman |
Important Notice Regarding the Availability of Proxy Materials for the Special Meeting of Stockholders to be held , 2025.
The proxy statement and form of proxy card are available at: [insert URL] |
| 2 |
BETTER CHOICE COMPANY INC.
12400 Race Track Road
Tampa, FL 33626
PROXY STATEMENT
FOR THE
SPECIAL MEETING OF STOCKHOLDERS
To be held on , 2025
Unless the context requires otherwise, references in this proxy statement to “Better Choice,” “BTTR,” “we,” “us” or “our” refers to Better Choice Company Inc.
The Board of Directors of Better Choice (the “Better Choice Board”) is soliciting your proxy to vote at the Special Meeting to be held on , 2025, at 9:00 a.m. Eastern Time, in a virtual online format by accessing [insert URL] and at any adjournment thereof.
This proxy statement contains information relating to the Special Meeting, which will be held as a virtual meeting. Stockholders attending the Special Meeting will be afforded the same rights and opportunities to participate as they would at an in-person meeting. You will be able to attend and participate in the Special Meeting online via a live webcast by visiting [insert URL]. In addition to voting by submitting your proxy prior to the Special Meeting, you also will be able to vote your shares electronically during the Special Meeting.
The purpose of the Special Meeting is to hold a vote of Better Choice’s stockholders regarding the following proposals:
(1) the change of the legal name of Better Choice from “Better Choice Company, Inc.” to “SRX Health Solutions, Inc.” and of the NYSE ticker symbol from “BTTR” to “SRXH” (the “Name Change Proposal”);
(2) the issuance of up to 30,000,000 shares of Better Choice common stock in connection with a proposed arrangement (the “Arrangement”) with SRx Health Solutions, Inc., a corporation organized under the laws of the Province of Ontario (“SRx”), pursuant to which Better Choice will acquire SRx, in accordance with the requirements of the NYSE American (the “Arrangement Proposal”);
(3) an increase in the number of securities subject to the Better Choice Company, Inc. 2019 Incentive Award Plan (the “Plan Proposal”); and
(4) the approval of the postponement or adjournment of the Special Meeting to solicit additional proxies if there are not sufficient votes to approve the Arrangement Proposal and/or the Plan Proposal, if deemed necessary or appropriate by the Better Choice Board (the “Adjournment Proposal”).
The Arrangement Proposal and the Plan Proposal will not be effected, and the Arrangement will not be completed, without the approval by the Better Choice stockholders of both such proposals.
The Better Choice Board unanimously recommends that the stockholders vote FOR (1) the Name Change Proposal, (2) the Arrangement Proposal, (3) the Plan Proposal and (4) the Adjournment Proposal.
Whether or not you expect to attend the Special Meeting, we urge you to vote your shares via proxy at your earliest convenience. This will ensure the presence of a quorum at the Special Meeting. Promptly voting your shares will save us the expenses and extra work of additional solicitation. Submitting your proxy now will not prevent you from voting your shares at the Special Meeting if you desire to do so, as your proxy is revocable at your option. Your vote is important, so please act today.
| 3 |
Information Concerning the Special Meeting
Mailing and Solicitation. Proxies are being solicited on behalf of the Better Choice Board. This proxy statement and accompanying form of proxy card will be sent on or about , 2025 to stockholders entitled to vote at the Special Meeting. The cost of the solicitation of proxies will be paid by Better Choice. The solicitation is to be made primarily by mail but may be supplemented by telephone calls and personal solicitation by our officers, directors and other employees.
Proxies. Whether or not you plan to attend the Special Meeting, we request that you promptly submit the enclosed proxy card and vote your shares pursuant to the voting instructions therein. A control number, located on the proxy card, is designed to verify your identity, allow you to vote your shares, and confirm that your voting instructions have been properly recorded.
If your shares are registered in the name of a bank, broker, or other nominee, follow the proxy instructions on the form you receive from the nominee. The availability of telephone and internet proxy will depend on the nominee’s proxy processes. Under the NYSE Company Guide, brokers who hold shares in “street name” for customers are precluded from exercising voting discretion with respect to the approval of non-routine matters (so called “broker non-votes”) where the beneficial owner has not given voting instructions. The Arrangement Proposal and Plan Proposal are non-routine matters and brokers holding shares in street name for the beneficial owners thereof cannot vote on these matters where the beneficial owner has not given voting instructions.
Revocation of Proxies. You may revoke your proxy at any time before a vote is taken by notifying our Secretary in writing at our address given above, by executing a new proxy bearing a later date or by submitting a new proxy by telephone or internet; or by virtually attending the Special Meeting and voting during the meeting.
Voting in Accordance with Instructions. The shares represented by your properly completed proxy will be voted in accordance with your instructions marked on it. If you properly sign, date, and deliver to us your proxy but you mark no instructions on it, the shares represented by your proxy will be voted for the Name Change Proposal, Arrangement Proposal, Plan Proposal and Adjournment Proposal.
Quorum and Voting Rights. The presence at the Special Meeting virtually or by proxy of a majority of the outstanding shares entitled to vote on the record date constitutes a quorum for purposes of voting on a particular matter and conducting business at the Special Meeting. Better Choice’s common stock is its only class of stock that is issued and outstanding. Each share of our common stock entitles its holder to one vote.
Required Vote. Assuming a quorum is present, the affirmative vote of a majority of the shares entitled to vote that are present at the Special Meeting virtually or represented by proxy is required for the approval of the Name Change Proposal, Arrangement Proposal, Plan Proposal and Adjournment Proposal. Abstentions will be counted for purposes of determining the presence or absence of a quorum. A broker non-vote will be counted for purposes of establishing a quorum if the beneficial owner whose failure to provide voting instructions with respect to a particular proposal that has resulted in such broker non-vote has instructed such beneficial owner’s nominee how to vote with respect to at least one other proposal to be voted on at the Special Meeting. Otherwise, a broker non-vote does not count for purposes of establishing a quorum. Abstentions will not be counted as having voted either for or against any proposal contemplated at the Special Meeting, but will have the same effect as a vote against all of the proposals at the Special Meeting. Broker non-votes will not be counted as having voted either for or against any proposal contemplated at the Special Meeting, but will have the same effect as a vote against the Name Change Proposal, Arrangement Proposal, Plan Proposal and Adjournment Proposal.
Record Date. The close of business on , 202 has been fixed as the record date of the Special Meeting, and only stockholders of record at that time will be entitled to vote. As of , 202 , there were shares of our common stock issued and outstanding and entitled to vote at the Special Meeting. Only record holders and beneficial owners who held shares on the record date, or their duly authorized proxies, may attend the Special Meeting.
No Dissenters’ Rights. Under the Delaware General Corporations Law, stockholders are not entitled to dissenters’ rights with respect to the matters to be voted on at the Special Meeting.
| 4 |
TABLE OF CONTENTS
| 5 |
The following summary term sheet highlights selected information in this proxy statement related to the Arrangement and may not contain all of the information that may be important to you. To understand the Arrangement more fully and for a more complete description of the legal terms of the Arrangement, we encourage you to carefully read this entire proxy statement, its annexes and the documents referred to or incorporated by reference in this proxy statement. Each item in this summary term sheet includes a page reference directing you to a more complete description of that topic. You should carefully read and consider the entire Arrangement Agreement, which is the legal document that governs the Arrangement. This summary is qualified in its entirety by the more detailed information appearing elsewhere in this proxy statement, including the Annexes which are incorporated into and form part of this proxy statement. Terms with initial capital letters in this summary are defined in the Glossary of Defined Terms immediately preceding this summary.
Parties
Better Choice Company Inc.
Better Choice Company Inc.
12400 Race Track Road
Tampa, FL 33626
Telephone: 813-792-4352
Better Choice Company Inc., a Delaware corporation, is a rapidly growing pet health and wellness company headquartered in Florida.
1000994476 Ontario Inc.
1000994476 Ontario Inc.
c/o Better Choice Company Inc.
12400 Race Track Road
Tampa, FL 33626
Telephone: 813-792-4352
1000994476 Ontario Inc. (referred to herein as AcquireCo) is a newly formed Ontario corporation and an indirect subsidiary of Better Choice that was formed specifically for the purpose of completing the Arrangement. AcquireCo has engaged in no business activities to date and it has no material assets or liabilities of any kind, other than those incident to its formation and in connection with the Arrangement.
1000994085 Ontario Inc.
1000994085 Ontario Inc.
c/o Better Choice Company Inc.
12400 Race Track Road
Tampa, FL 33626
Telephone: 813-792-4352
1000994085 Ontario Inc. (referred to herein as CallCo) is a newly formed Ontario corporation and a direct wholly-owned subsidiary of Better Choice that was formed specifically for the purpose of completing the Arrangement. CallCo has engaged in no business activities to date and it has no material assets or liabilities of any kind, other than those incident to its formation and in connection with the Arrangement.
SRx Health Solutions Inc.
SRx Health Solutions Inc.
65 Queen street West
8th floor Toronto, On
M5H 2M5
SRx Health Solutions Inc. (or referred to herein as SRx) is an Ontario corporation that operates a Canadian healthcare service provider specializing in the specialty pharmacy segment of the pharmaceutical industry.
| 6 |
Purpose and Description of the Arrangement
Pursuant to the Arrangement, Better Choice and SRx will complete a business combination pursuant to which Better Choice will indirectly acquire all of the SRx Shares. Following the completion of the Arrangement, the Combined Company will continue to operate its portfolio of established premium and super-premium pet products under the Halo brand and its large specialty pharmacy network in Canada under the SRx brand. The Combined Company affords the SRx business with access to the U.S. capital market and will focus on leveraging operational synergies, including infrastructure and distribution, and implementing growth strategies across both businesses to launch into new verticals and geographies
Pursuant to the Arrangement Agreement, the Company will acquire SRx in an all-stock transaction pursuant to the Plan of Arrangement, which includes a statutory amalgamation of SRx and AcquireCo under the laws of the Province of Ontario (the “Amalgamation”). As a result of the Amalgamation, all of the property, rights, interests and obligations of SRx shall become the property, rights, interests and obligations of the resulting entity upon completion of the Amalgamation (“Amalco”), and Amalco will be an indirect subsidiary of the Company.
Pursuant to the Plan of Arrangement, each issued and outstanding common share of SRx will be converted based on the Exchange Ratio into Better Choice Shares or, at the option of the holder thereof, Exchangeable Shares that will be exchangeable at the option of the holder (or under certain other circumstances) on a one-for-one basis for Better Choice Shares. The Exchange Ratio will be determined five Business Days prior to the Closing and will be based on the 30 Day VWAP, subject to an aggregate share collar of 19,750,000 shares and 30,000,000 shares, with any resulting fractional shares to be rounded down to the nearest whole share. The transaction assigns an equity value of SRx of U.S. $80 million, assuming net debt at Closing of U.S. $43 million (which will be subject to a two-way adjustment prior to the Closing). Prior to the Closing, all outstanding SRx Warrants will either be exercised into SRx Shares or terminated, and all outstanding SRx RSUs shall be deemed to be vested and the holders thereof will receive one SRx Share for each SRx RSU.
Following the Closing of the Arrangement, the board of directors of the Combined Company will be comprised as follows. See “The Arrangement Agreement — Board of Directors and Officers.”
● two (2) director nominees selected by SRx in its sole discretion, which are Adesh Vora and David White, with the former as Chairman and the latter as an independent director in accordance with NYSE requirements; and
● two (2) director nominees selected by Better Choice in its sole discretion, which are Kent Cunningham and Michael Young, with the latter as an independent director in accordance with NYSE requirements; and
● one (1) director nominee mutually selected by the Parties, which is Lionel Conacher, an independent director in accordance with NYSE requirements.
The Arrangement Proposal must be approved by the Better Choice stockholders for the Arrangement to be consummated.
Under the terms of the Plan of Arrangement, SRx Shareholders who are Eligible Holders may elect to (i) receive in respect of any or all of their SRx Shares, the Exchangeable Share Consideration, and (ii) receive in respect of the balance of their SRx Shares, if any, the Better Choice Share Consideration. A SRx Shareholder who is not an Eligible Holder or fails to make an election to receive Exchangeable Shares, is entitled to receive the Better Choice Share Consideration. See “Description of Exchangeable Shares and Related Agreements.”
| 7 |
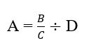
The Exchange Ratio pursuant to which SRx Shares will be exchanged for Better Choice Shares or Exchangeable Shares pursuant to the Arrangement is not fixed, but will be determined in accordance with the Plan of Arrangement pursuant to the following formula:
A
=
D
A = the number of Better Choice Shares or Exchangeable Shares to be received in exchange for each one (1) SRx Share, rounded to three decimal places;
B = US$80,000,000 plus US$43,000,000 minus the SRx U.S. Dollar Net Debt;
C = 30 Day VWAP; and
D = the total number of SRx Shares outstanding immediately prior to the Effective Time,
provided that if:
| i. |
is greater than 30,000,000, then
shall for the purposes of the calculation of the Exchange Ratio be deemed to be 30,000,000;
or |
| ii. |
is less than 19,750,000, then shall
for the purposes of the calculation of the Exchange Ratio be deemed to be 19,750,000. |
Based on the above formula, the Exchange Ratio will be determined based on the number of Better Choice Shares and SRx Shares outstanding immediately prior to the completion of the Arrangement, such that the holders of SRx Shares immediately prior to the completion of the Arrangement will hold approximately 87% of the outstanding Better Choice Shares upon completion of the Arrangement. The foregoing is intended to be illustrative of the manner in which the Exchange Ratio will be determined; however, the actual Exchange Ratio could be higher or lower.
For more details about the purpose of the Arrangement, see “The Arrangement — Purpose and Description of the Arrangement,” and “The Arrangement Agreement”.
Background of the Arrangement
The provisions of the Arrangement Agreement are the result of arm’s length negotiations between representatives of Better Choice and SRx and their respective financial and legal advisors.
For more information, see “The Arrangement — Background of the Arrangement.”
| 8 |
Fairness Opinion
In connection with the Arrangement, the Better Choice Board received a written opinion, dated August 13, 2024, from Strategic Capital Advisors, Ltd., which states that, as of such date, and subject to the assumptions, limitations and qualifications set out therein, the Arrangement is fair, from a financial point of view, to the Better Choice stockholders. The Better Choice Board is entitled to rely on the Fairness Opinion in connection with its decision to approve the Arrangement. The full text of the Fairness Opinion, which sets forth certain assumptions made, matters considered and limitations on the review undertaken in connection with such opinion, is attached as Annex G to this proxy statement. Better Choice stockholders are urged to, and should, read the Fairness Opinion in its entirety.
Subject to the terms of its engagement, Strategic Capital Advisors, Ltd. has consented to the inclusion in this proxy statement of its Fairness Opinion in its entirety, together with the summary herein, and other information relating to Strategic Capiral Advisors, Ltd. and its Fairness Opinion. The Fairness Opinion addresses only the fairness of the Arrangement from a financial point of view to the Better Choice stockholders and does not and should not be construed as a valuation of Better Choice or SRx or their respective assets, liabilities or securities or as recommendations to any Better Choice stockholders as to how to vote at the Special Meeting.
For more information, see “The Arrangement — Fairness Opinion.”
Reasons for the Arrangement
In considering its decision to approve the Arrangement Agreement and to authorize and approve the Arrangement and, subject to the terms and conditions of the Arrangement Agreement, to recommend the approval of the Arrangement Proposal and the Plan Proposal by Better Choice’s stockholders, the Better Choice Board consulted with Better Choice’s management, as well as Better Choice’s legal and financial advisors, and considered the terms of the proposed Arrangement Agreement, the Arrangement and the other transactions set forth in the Arrangement Agreement, as well as other alternative transactions.
See “The Arrangement — Reasons for the Arrangement.”
Recommendation of the Better Choice Board
After careful consideration of, among other things, the Fairness Opinion, and consultation with its financial and legal advisors, the Better Choice Board has unanimously determined that the Arrangement is in the best interests of Better Choice and that the Arrangement is fair and reasonable to the Better Choice stockholders. Accordingly, the Better Choice Board has determined UNANIMOUSLY to recommend to the Better Choice stockholders that they vote FOR the Arrangement Proposal and the Plan Proposal. See “The Arrangement — Recommendation of the Better Choice Board.”
Principal Steps of the Arrangement
The following description is qualified in its entirety by reference to the full text of the Plan of Arrangement, a copy of which is attached hereto as Annex B. At the Effective Time and pursuant to the Plan of Arrangement, the following transactions, among others, will occur and will be deemed to occur sequentially in the following order:
Commencing at the Effective Time on the Effective Date, subject to the terms and conditions of the Arrangement Agreement, the following shall occur as part of the Arrangement and shall be deemed to occur sequentially in the following order (except that steps (d)-(g) below shall be deemed to occur contemporaneously) without any further act or formality:
(a) each SRx Share held by a Dissenting Shareholder shall be deemed to be transferred by the holder thereof, without any further act or formality on its part, free and clear of all Encumbrances, to SRx and SRx shall thereupon be obliged to pay the amount therefor determined and payable in accordance with Article 3 of the Plan of Arrangement, and the name of such holder shall be removed from the central securities register of SRx as a holder of SRx Shares and SRx shall be recorded as the registered holder of the SRx Shares so transferred and shall be deemed to be the legal owner of such SRx Shares, which SRx Shares shall thereupon be cancelled;
(b) each SRx Warrant outstanding immediately prior to the Effective Time that has not been exercised in advance of the exercise deadline set out in the SRx Circular, shall be cancelled without consideration;
| 9 |
(c) notwithstanding the terms of the SRx RSU Plan, each SRx RSU outstanding immediately prior to the Effective Time shall be deemed to be vested, without any further action by or on behalf of an SRx RSU Holder, and each SRx RSU Holder shall receive one SRx Share for each SRx RSU, and all of SRx’ obligations under such SRx RSUs shall be deemed to be fully satisfied and the SRx RSU Holders shall cease to have any rights as holders of the SRx RSUs, other than the right to receive the compensation contemplated by the Plan of Arrangement and the SRx Shares issued in connection with this Paragraph (c) shall be treated as all other SRx Shares at the Effective Time in accordance with Paragraph (d) or Paragraph (e), as applicable;
(d) contemporaneously with the steps in Paragraph (e) and Paragraph (f), each issued and outstanding SRx Share (other than Exchangeable Elected Shares and SRx Shares held by Better Choice or Dissenting Shareholders) held by a SRx Shareholder shall be transferred by the holder thereof, without any further act or formality on its part, free and clear of all Encumbrances, to AcquireCo in exchange for Better Choice Share Consideration in accordance with the election or deemed election of such SRx Shareholder;
(e) contemporaneously with the step in Paragraph (d) and Paragraph (f), each Exchangeable Elected Share shall be transferred by the holder thereof, without any further act or formality on its part, free and clear of all Encumbrances, to AcquireCo in exchange for Exchangeable Share Consideration in accordance with the election of such SRx Shareholder;
(f) contemporaneously with the step in Paragraph (d) and Paragraph (e): (i) Better Choice, AcquireCo and Callco shall execute the Support Agreement, and the Exchangeable Shareholders shall be deemed to be parties thereto; (ii) Better Choice, AcquireCo and the Trustee shall execute the Voting Trust Agreement and Better Choice shall issue to and deposit with the Trustee the Special Voting Share in consideration of the payment to Better Choice by SRx on behalf of the SRx Shareholders of ten dollars in Canadian funds (CAD$10.00), to be thereafter held of record by the Trustee for and on behalf of, and for the use and benefit of, the holders of the Exchangeable Shares in accordance with the Voting Trust Agreement, and the Exchangeable Shareholders shall be deemed to be parties thereto to the extent necessary;
(g) SRx shall reduce the stated capital of the SRx Shares to CAD$1.00; and
(h) AcquireCo and SRx shall merge (the “Amalgamation”) to form one corporate entity, AmalCo, with the same effect as if they had amalgamated under Section 177(1) of the OBCA, except that the legal existence of Acquireco shall not cease and AcquireCo shall survive the merger as Amalco and the Amalgamation is intended to qualify as an amalgamation as defined in subsection 87(1) of the Tax Act, and without limiting the generality of the foregoing, upon and as a consequence of the Amalgamation;
(i) the separate legal existence of the SRx shall cease without SRx being liquidated or wound up and Acquireco and SRx shall continue as one company and the property, rights, interests and obligations of SRx shall become the property, rights, interests and obligations of AmalCo;
(ii) the properties, rights, interests and obligations of AcquireCo shall continue to be the properties, rights, interests and obligations of AmalCo, and the Amalgamation shall not constitute an assignment by operation of law, a transfer or any other disposition of the properties, rights and interests of AcquireCo to AmalCo;
(iii) AmalCo will own and hold the property of AcquireCo and SRx and, without limiting the provisions hereof, all rights of creditors or others of AcquireCo and SRx will be unimpaired by the Amalgamation, and all liabilities and obligations of AcquireCo and SRx, whether arising by contract or otherwise, may be enforced against AmalCo to the same extent as if such obligations had been incurred or contracted by AmalCo;
(iv) AmalCo will continue to be liable for all of the liabilities and obligations of AcquireCo and SRx;
| 10 |
(v) all rights, contracts, permits and interests of AcquireCo and SRx will continue as rights, contracts, permits and interests of AmalCo as if AcquireCo and SRx continued and, for greater certainty, the Amalgamation will not constitute a transfer or assignment of the rights or obligations of either AcquireCo or SRx under any such rights, contracts, permits and interests;
(vi) any existing cause of action, claim or liability to prosecution will be unaffected;
(vii) a civil, criminal or administrative action or proceeding pending by or against either AcquireCo or SRx may be continued by or against AmalCo;
(viii) a conviction against, or ruling, order or judgment in favor of or against either AcquireCo or SRx may be enforced by or against AmalCo;
(ix) each issued and outstanding share of each class of shares of AcquireCo shall become a share of the same class of shares of AmalCo having the same terms and conditions as such AcquireCo shares had immediately prior to the Amalgamation and all of the issued and outstanding shares of SRx will be cancelled without repayment of capital in respect thereof;
(x) the name of AmalCo shall be SRX Health Solutions Inc.;
(xi) AmalCo shall be authorized to issue an unlimited number of Exchangeable Shares, Preferred Voting Shares and common shares each without par value;
(xii) the articles and bylaws of AmalCo shall be in the form of the articles and bylaws of Acquireco;
(xiii) the first annual general meeting of AmalCo or resolutions in lieu thereof shall be held within 18 months from the Effective Date;
(xiv) the first directors of AmalCo following the amalgamation shall be the then current Acquireco directors; and
(xv) the stated capital of each class of shares of AmalCo will be an amount equal to the stated capital attributable to the corresponding class of AcquireCo shares immediately prior to the Amalgamation.
In no event shall any fractional Better Choice Shares or Exchangeable Shares be issued under the Plan of Arrangement. Where the aggregate number of Better Choice Shares or Exchangeable Shares to be issued to a SRx securityholder would result in a fraction of a Better Choice Share or Exchangeable Share being issuable, then the number of Better Choice Shares or Exchangeable Shares to be issued to a SRx Shareholder shall be rounded down to the nearest whole number and no compensation shall be issued in lieu of the issuance of a fractional Better Choice Share or Exchangeable Share.
See “The Arrangement — Principal Steps of the Arrangement” and the Plan of Arrangement, a copy of which is attached as Annex B to this proxy statement.
Required Stockholder Approval for the Arrangement
In order for the Arrangement to be consummated, the Better Choice stockholders must approve the Arrangement Proposal and the Plan Proposal. Assuming a quorum is present, the affirmative vote of a majority of the shares entitled to vote that are present at the Special Meeting virtually or represented by proxy is required for the approval of the Arrangement Proposal and the Plan Proposal.
| 11 |
Voting and Support Agreement
To the knowledge of Better Choice, the Better Choice Supporting Stockholders beneficially own, or exercise control or direction over, directly or indirectly, [●] Better Choice Shares representing approximately [●]% of the issued and outstanding Better Choice Shares as of the Record Date, on a non-diluted basis.
On [•], 2024, the Better Choice Supporting Stockholders entered into the Voting and Support Agreement with SRx pursuant to which, among other things, they agreed to cause to be counted as present for purposes of establishing quorum at the Special Meeting and to vote (or cause to be voted) the securities owned legally or beneficially by each of them or over which they exercise control or direction, as applicable, FOR matters related to the Arrangement, and to duly complete and cause forms of proxy in respect of all of the applicable securities held by them to be validly delivered to cause the applicable securities to be voted FOR matters related to the Arrangement.
The Voting and Support Agreement automatically terminates if the Arrangement Agreement is terminated in accordance with its terms.
See “The Arrangement — Voting and Support Agreement.”
Expenses of the Arrangement
Except as otherwise provided in the Arrangement Agreement, all out-of-pocket third party transaction expenses incurred in connection with the Arrangement Agreement and the Plan of Arrangement and the transactions contemplated thereunder, shall be paid by the party incurring such fees, costs or expenses, whether or not the Arrangement is consummated.
See “The Arrangement — Expenses of the Arrangement.”
Court Approval of the Arrangement
An arrangement under the OBCA requires Court approval. On [•], 2024, SRx obtained the Interim Order, which provides for the calling and holding of the SRx Meeting, the Dissent Rights and other procedural matters.
Subject to the terms of the Arrangement Agreement and receipt of approval of the Arrangement Proposal at the SRx Meeting, SRx intends to make an application to the Court for the Final Order. The application for the Final Order approving the Arrangement is expected to occur as soon as reasonably practicable (and, in any event, within five (5) Business Days following the approval of the Arrangement Proposal at the SRx Meeting). The Court will consider, among other things, the substantive and procedural fairness of the Arrangement to the parties affected, including the SRx shareholders, holders of SRx convertible securities or other interested parties. The Court may approve the Arrangement in any manner the Court may direct, subject to compliance with any terms and conditions, if any, as the Court deems fit.
The Court has been advised that the Court’s approval of the Arrangement (including the fairness thereof), if granted, will form a basis for the exemption from the registration requirements of the Securities Act provided by Section 3(a)(10) thereof with respect to the issuance and distribution of the Consideration Shares to be issued by Better Choice to SRx shareholders pursuant to the Arrangement. Consequently, if the Final Order is granted, the Consideration Shares issuable to SRx shareholders pursuant to the Arrangement will not require registration under the Securities Act.
Assuming the Final Order is granted and the other conditions to closing contained in the Arrangement Agreement are satisfied or waived to the extent legally permissible, then articles of arrangement will be filed to give effect to the Arrangement.
See “The Arrangement — Court Approval of the Arrangement” and “The Arrangement — Completion of the Arrangement.”
| 12 |
The Arrangement Agreement
A description of certain provisions of the Arrangement Agreement are included in this proxy statement under the heading “The Arrangement Agreement.” The description is not comprehensive and is qualified in its entirety by the full text of the Arrangement Agreement, which is attached as Annex B.
See “The Arrangement Agreement.”
Completion of the Arrangement
Subject to the provisions of the Arrangement Agreement, the Arrangement will become effective at 12:01 a.m. (Toronto time) on the Effective Date. Completion of the Arrangement is anticipated to occur on or about , 2025; however, it is possible that completion may be delayed beyond this date if the conditions to completion of the Arrangement cannot be met on a timely basis. After the Effective Date, SRx will be an indirect subsidiary of Better Choice.
The Arrangement is subject to a number of conditions in addition to the approval of the Better Choice stockholders of the Arrangement Proposal and the Plan Proposal, including, among others, Court approval, approval of NYSE and the approval of the Arrangement by the holders of SRx Securities.
See “The Arrangement Agreement — Conditions for Completion of the Arrangement.”
Non-Solicitation of Acquisition Proposals
Each of Better Choice and SRx has agreed not to solicit alternative Acquisition Proposals during the Pre-Effective Date Period. Better Choice has also agreed to certain covenants and procedures for responding to an Acquisition Proposal that constitutes a Superior Proposal, including certain notice requirements and matching rights.
See “The Arrangement Agreement — Additional Covenants Regarding Non-Solicitation.”
Termination of the Arrangement Agreement
Better Choice and SRx can terminate the Arrangement Agreement under certain circumstances, including, in the case of Better Choice, to enter into an alternative transaction that constitutes a Superior Proposal, provided that Better Choice has complied with the covenants regarding non-solicitation, notices and matching rights set out in the Arrangement Agreement. If the Arrangement Agreement is terminated under certain circumstances, SRx or Better Choice may be required to make the Termination Payment of $3.2 million to the other Party.
See “The Arrangement Agreement — Termination of Arrangement Agreement.”
Interests of Certain Persons in the Arrangement
You should be aware that members of the management and Better Choice Board have interests in the Arrangement that may be in addition to or different from the interests of Better Choice stockholders generally, which will present them with actual or potential conflicts of interest.
See “The Arrangement — Interests of Certain Persons in the Arrangement.”
Risk Factors
Better Choice stockholders should carefully consider the risk factors relating to the Arrangement. Some of these risks include, but are not limited to: the possibility that the Arrangement may not be completed; the possibility that the SRx business will not be successful; and that the Combined Company may fail to realize the anticipated benefits of the Arrangement.
For more information, see “Risk Factors.”
| 13 |
INFORMATION CONTAINED IN THIS PROXY STATEMENT
The information contained in this proxy statement, unless otherwise indicated, is given as of [•], 2024.
No person has been authorized to give any information or to make any representation in connection with the matters being considered herein on behalf of Better Choice other than those contained in this proxy statement and, if given or made, such information or representation should not be considered or relied upon as having been authorized. This proxy statement does not constitute an offer to sell, or a solicitation of an offer to acquire, any securities, or the solicitation of a proxy, by any person in any jurisdiction in which such an offer or solicitation is not authorized or permitted or in which the person making such offer or solicitation is not qualified to do so or to any person to whom it is unlawful to make such an offer or proxy solicitation. Neither the delivery of this proxy statement nor any distribution of securities referred to herein should, under any circumstances, create any implication that there has been no change in the information set forth herein since the date of this proxy statement.
Information contained in this proxy statement should not be construed as legal, tax or financial advice and Better Choice stockholders are urged to consult their own professional advisors in connection with the matters considered in this proxy statement.
THE ARRANGEMENT HAS NOT BEEN RECOMMENDED BY, OR APPROVED OR DISAPPROVED BY THE UNITED STATES SECURITIES AND EXCHANGE COMMISSION OR THE SECURITIES REGULATORY AUTHORITY OF ANY U.S. STATE NOR HAS ANY OF THEM PASSED UPON THE FAIRNESS OR MERITS OF THE ARRANGEMENT OR THE ACCURACY OR ADEQUACY OF THIS PROXY STATEMENT. ANY REPRESENTATION TO THE CONTRARY IS A CRIMINAL OFFENSE.
| 14 |
CAUTIONARY STATEMENT REGARDING FORWARD-LOOKING STATEMENTS
This proxy statement, the documents to which we refer you in this proxy statement and information included in oral statements or other written statements made or to be made by us or on our behalf may include predictions, estimates and other information that are “forward-looking statements” within the meaning of the Private Securities Litigation Reform Act of 1995, Section 21E of the Securities Exchange Act of 1934, as amended (the “Exchange Act”) and Section 27A of the Securities Act of 1933, as amended (the “Securities Act”). These forward-looking statements do not directly or exclusively relate to historical facts, including, without limitation, statements relating to the completion of the Arrangement. Without limiting the generality of the foregoing, words such as “anticipate,” “believe,” “can,” “continue,” “could,” “estimate,” “expect,” “intend,” “may,” “plan,” “potential,” “predict,” “should,” “will,” “would,” or the negative or other variations thereof or comparable terminology are intended to identify forward-looking statements. Stockholders are cautioned that any forward-looking statements are not guarantees of future performance. These statements are based on the beliefs of the management of Better Choice or SRx, as the case may be, as well as the current expectations and assumptions, which such management believes to be reasonable, based on available information and involve a number of risks and uncertainties, all of which are difficult or impossible to predict accurately and many of which are beyond our control. As such, our actual results may differ significantly from those expressed in any forward-looking statements.
These risks and uncertainties include, but are not limited to, factors and matters described or incorporated by reference in this proxy statement and the following factors: (1) the ability of the Parties to consummate the Arrangement, (2) risks that the conditions to the closing of the Arrangement are not satisfied, including the risk that required approvals for the Arrangement from governmental authorities or the stockholders of both Better Choice and SRx are not obtained; (3) litigation relating to the Arrangement; (4) unexpected costs, charges or expenses resulting from the Arrangement; (5) risks that the proposed Arrangement disrupts the current plans and operations of Better Choice and SRx; (6) the ability to realize anticipated benefits from the Arrangement; (7) competition from larger and more established companies in the Combined Company’s markets; (8) the Combined Company’s ability to successfully grow following the closing of the Arrangement; (9) potential adverse reactions or changes to business relationships resulting from the completion of the Arrangement; (10) the availability and terms of the financing to be incurred in connection with the Arrangement; and (11) legislative, regulatory and economic developments, including changing business conditions in the industries in which Better Choice and SRx operate and the economy in general as well as financial performance and expectations of Better Choice and SRx’s existing and prospective customers. Additional factors that may affect the future results of the Combined Company are set forth in filings that Better Choice makes with the SEC from time to time, including its Annual Report on Form 10-K for the year ended December 31, 2023, which is available on the SEC’s website at www.sec.gov, as well as under the “Risk Factors” section of this proxy statement.
In light of the significant risks and uncertainties inherent in the forward-looking information included herein, the inclusion of such information should not be regarded as a representation by us or any other person that such results will be achieved, and readers are cautioned not to place undue reliance on such forward-looking information, which speak only as of the date hereof. Except as required by law, we undertake no obligation to revise the forward-looking statements contained herein to reflect events or circumstances after the date hereof or to reflect the occurrence of unanticipated events. For all of these reasons, Better Choice stockholders should not place undue reliance on forward-looking statements.
| 15 |
Unless otherwise indicated herein, references to “$”, “US$” or “United States dollars” are to United States dollars, and references to “CAD$” or “Canadian dollars” are to Canadian dollars.
The rate of exchange on [●], 202 as reported by the Bank of Canada for the conversion of Canadian dollars into United States dollars was CAD$1.00 equals US$[●]and for the conversion of United States dollars into Canadian dollars was US$1.00 equals CAD$[●].
The following table sets forth, for each of the periods indicated, the high, low and average spot rates for US$1.00 in terms of Canadian dollars, as reported by the Bank of Canada.
| Nine
months ended September 30, 2024 (CAD$) | Nine
months ended September 30, 2023 (CAD$) | Year
ended December 31, 2023 (CAD$) | Year
ended December 31, 2022 (CAD$) | |||||||||||||
| High | 1.3858 | 1.3807 | 1.3875 | 1.3856 | ||||||||||||
| Low | 1.3316 | 1.3128 | 1.3128 | 1.2451 | ||||||||||||
| Average | 1.3604 | 1.3457 | 1.3497 | 1.3011 | ||||||||||||
REPORTING CURRENCIES AND ACCOUNTING PRINCIPLES
The historical financial statements of SRx included in this proxy statement are prepared in accordance with IFRS and are reported in Canadian dollars. The pro forma unaudited condensed financial statements of the Combined Company included in this proxy statement are reported in United States dollars and have been prepared in accordance with U.S. GAAP.
In this proxy statement, unless otherwise defined herein or unless there is something in the subject matter inconsistent therewith, the following terms have the respective meanings set out below, words importing the singular number include the plural and vice versa and words importing any gender include all genders.
| “30 Day VWAP” | means the volume weighted average trading price of the Better Choice Shares
on the NYSE or such other principal stock exchange on which the Better Choice Shares are trading, calculated by dividing the total value by the total volume of the Better Choice Shares trade for thirty (30) trading days preceding the date that is five (5) Business Days prior to the Effective Time. | |
| “Acceptable Confidentiality Agreement” | means a confidentiality agreement between either SRx or Better Choice and a third party other than Better Choice or SRx, respectively: (a) that is entered into in accordance with the Arrangement Agreement; and (b) that contains confidentiality and standstill restrictions that are no less restrictive than those set out in the Confidentiality Agreement. | |
| “AcquireCo” | means 1000994476 Ontario Inc., a corporation existing under the laws of the Province of Ontario. | |
| “Acquisition Proposal” | means, with respect to SRx, a SRx Acquisition Proposal, and, with respect to Better Choice, a Better Choice Acquisition Proposal. | |
| “Alternative Acquisition Agreement” | has the meaning ascribed thereto under the heading “The Arrangement Agreement — Notification of Acquisition Proposal.” | |
“Ancillary Rights” |
means all rights relating to the Exchangeable Shares which are provided outside of the Exchangeable Share Provisions, including, the interest of a holder of Exchangeable Shares as a beneficiary of the trust created under the Voting Trust Agreement and all rights created under the Support Agreement. | |
| “Arrangement” | means the arrangement under the provisions of the OBCA on the terms and conditions set out in the Arrangement Agreement and Plan of Arrangement, subject to any amendments or variations thereto made in accordance therewith or in accordance with the Arrangement Agreement or made at the direction of the Court in the Final Order. | |
| “Arrangement Agreement” | means the Arrangement Agreement, dated September 3, 2024, by and among Better Choice, CallCo, AcquireCo and SRx, as amended on December 6, 2024, substantially in the form attached as Annex B. | |
| “Authorization” | means any authorization, order, permit, approval, grant, license, registration, consent, right, notification, condition, franchise, privilege, certificate, judgment, writ, injunction, award, determination, direction, decision, decree, bylaw, rule or regulation, whether or not having the force of Law, and includes any environmental Permit. |
| 16 |
| “Better Choice Acquisition Proposal” | means, other than the transactions contemplated by the Arrangement Agreement and the Better Choice Regulation A Offering, any offer, proposal or inquiry from any Person or group of Persons acting jointly or in concert, whether or not in writing and whether or not delivered to Better Choice, after the date hereof relating to: (a) any acquisition or purchase, direct or indirect, of: (i) the assets of Better Choice or one or more of its subsidiaries that, individually or in the aggregate, constitute twenty percent (20%) or more of the consolidated assets of Better Choice and its subsidiaries, taken as a whole, or which contribute twenty percent (20%) or more of the consolidated revenue of Better Choice and its subsidiaries, taken as a whole (or any lease, long-term supply, hedging arrangement, joint venture, strategic alliance, partnership or other transaction having the same economic effect as a sale of such assets), or (ii) beneficial ownership of twenty percent (20%) or more of the issued and outstanding voting or equity securities of Better Choice or any one or more of its subsidiaries that, individually or in the aggregate, contribute twenty percent (20%) or more of the consolidated revenues or constitute twenty percent (20%) or more of the consolidated assets of Better Choice and its subsidiaries, taken as a whole; (b) any take-over bid, tender offer or exchange offer that, if consummated, would result in such Person or group of Persons beneficially owning twenty percent (20%) or more of the issued and outstanding voting or equity securities of any class of voting or equity securities of Better Choice or any of its subsidiaries; (c) any plan of arrangement, merger, amalgamation, consolidation, share exchange, business combination, reorganization, recapitalization, liquidation, dissolution or other similar transaction involving Better Choice or any of its subsidiaries; in all cases, whether in a single transaction or in a series of related transactions; (d) any direct or indirect sale of assets (or any alliance, joint venture, earn-in right, option to acquire, lease, license or other arrangement having a similar economic effect as a sale) by Better Choice or one or more of its subsidiaries, which assets represent twenty percent (20%) or more of the consolidated assets of Better Choice and its subsidiaries measured by fair market value, or contribute twenty percent (20%) or more of the consolidated revenue or operating income of Better Choice; or (e) any other transaction, the consummation of which prevents, or materially delays, impedes or interferes with, the transactions contemplated by the Arrangement Agreement. | |
| “Better Choice Board” | means the Board of Directors of Better Choice. | |
| “Better Choice Board Recommendation” | means a statement of the Better Choice Board that it has unanimously determined, after receiving financial and legal advice, that (a) the Arrangement is fair and reasonable to the Better Choice stockholders, (b) the Arrangement is in the best interests of Better Choice and (c) the Better Choice Board unanimously recommends that the Better Choice stockholders vote in favor of the matters presented at the Special Meeting. |
| 17 |
| “Better Choice Material Adverse Effect” | means any effect, fact, change, event, occurrence or circumstance that is, or would reasonably be expected to be, material and adverse to the business, condition (financial or otherwise), properties, assets (tangible or intangible), liabilities (whether absolute, accrued, conditional or otherwise), capital, operations or results of operations of Better Choice and its subsidiaries, taken as a whole, other than any effect arising from, relating to or resulting from, as applicable: (a) the global economy, political conditions (including the outbreak of war or any acts of terrorism), international trade or securities, financial or credit markets in general, natural disasters or other acts of God; (b) the pet health industry in general, (c) any generally applicable change in applicable Law (other than orders, judgments, claims or decrees against Better Choice or any of its subsidiaries), or accounting standards or the enforcement or interpretation thereof; (d) a change in the market trading price or trading volume of Better Choice Shares (it being understood that the underlying cause of any such change may be taken into consideration when determining whether a Better Choice Material Adverse Effect has occurred, unless otherwise excepted under this definition); (e) the announcement of the Arrangement Agreement, including the impact thereof on the relationships, contractual or otherwise, on Better Choice or its subsidiaries with customers, suppliers, business partners, regulators, vendors, Governmental Entities or other third Persons; (f) any action taken or refrained from being taken by Better Choice or its subsidiaries in connection with the Arrangement Agreement, to the extent SRx has expressly consented to, approved or requested such action in writing following the date of the Arrangement Agreement; and (g) any disease outbreaks, pandemics or epidemics or other related condition; provided, however, that (i) in the event that Better Choice and its subsidiaries, taken as a whole, are materially and disproportionately affected by an effect described in clause (a), (b), (c) or (g) above relative to other participants in the industries in which Better Choice and its subsidiaries operate, the extent (and only the extent) of such effect, relative to such other participants, on Better Choice or any of its subsidiaries, taken as a whole, may be taken into account in determining whether there has been a Better Choice Material Adverse Effect; and (ii) references in certain sections of the Arrangement Agreement to dollar amounts are not intended to be, and shall not be deemed to be, illustrative or interpretive for the purposes of determining whether a “Better Choice Material Adverse Effect” has occurred. | |
| “Better Choice Regulation A Offering” | means the securities offering contemplated by the Offering Statement initially filed by Better Choice with the SEC on August 30, 2024, as may be amended from time to time, being conducted pursuant to Regulation A promulgated under the Securities Act. | |
“Better Choice Share Consideration”
|
means the Consideration in the form of Better Choice Shares elected or deemed to be elected for each SRx Share held by an SRx Shareholder (other than a Dissenting Shareholder) pursuant to Section 2.3 of the Plan of Arrangement, which shall be that number of Better Choice Shares equal to the Exchange Ratio for each SRx Share held immediately prior to the Effective Time. | |
| “Better Choice Shares” | means shares of the common stock of Better Choice. | |
| “Better Choice Stockholder Approval” | means the approval of the Arrangement Proposal and the Plan Proposal voted on at the Special Meeting by the Better Choice stockholders in accordance with the requirements of applicable Law. |
| 18 |
| “Better Choice Supporting Stockholders” | means, collectively, all of the executive officers and directors of Better Choice who have entered into Voting and Support Agreements. | |
| “Business Day” | means a day other than a Saturday, a Sunday or any other day on which commercial banking institutions in Toronto, Ontario or Tampa, Florida are authorized or required by applicable Law to be closed. | |
| “Bylaws” | means the bylaws of Better Choice, as amended, and as currently in effect. | |
| “CallCo” | means 1000994085 Ontario Inc., a corporation existing under the laws of the Province of Ontario. | |
| “Canadian Dollar Equivalent” | means in respect of an amount expressed in a currency other than Canadian dollars (the “Foreign Currency Amount”) at any date the product obtained by multiplying: |
| (a) | the Foreign Currency Amount by, | |
| (b) | the single daily exchange rate on such date for such foreign currency expressed in Canadian dollars as reported by the Bank of Canada or, in the event such exchange rate is not available, such exchange rate on such date for such foreign currency expressed in Canadian dollars as may be deemed by the board of directors of AcquireCo, acting reasonably, to be appropriate for such purpose. |
| “Canadian Resident” | means (a) a Person who is not a non-resident of Canada for the purposes of the Tax Act, or (b) a partnership that is a “Canadian partnership” for purposes of the Tax Act. | |
| “Certificate of Arrangement” | means the certificate of arrangement to be issued pursuant to subsection 183(2) of the OBCA. | |
| “Change in Recommendation” | means, with respect to SRx, a SRx Change in Recommendation and, with respect to Better Choice, a Better Choice Change in Recommendation. | |
| “Closing” | means the completion of the Arrangement. | |
| “Code” | has the meaning ascribed thereto under the heading “The Arrangement — Federal Tax Consequences of the Transaction.” | |
| “Combined Company” | means the consolidated businesses of Better Choice and SRx following the Effective Time. | |
| “Confidentiality Agreement” | means the confidentiality agreement between SRx and Better Choice dated June 18, 2024, as amended from time to time. | |
| “Consideration” | means the Better Choice Share Consideration and the Exchangeable Share Consideration, as applicable. |
| 19 |
| “Consideration Shares” | means up to 30,000,000 Better Choice Shares to be issued in connection with the Arrangement, which includes the Better Choice Shares that would be issuable upon conversion or exchange of SRx Securities that will become convertible into or exchangeable for Better Choice Shares in connection with the Arrangement and Better Choice Shares that would be issuable upon exchange of the Exchangeable Shares. | |
| “Contract” | means any contract, agreement, license, franchise, lease, arrangement, commitment, joint venture, partnership or other right or obligation (written or, to the extent enforceable, oral) to which a Party or any of its subsidiaries is a party or by which it or any of its subsidiaries is bound or to which any of their respective properties or assets is subject. | |
| “Court” | means the Ontario Superior Court of Justice (Commercial List). | |
| “Current Market Price” | means, in respect of a Better Choice Share on any date, the quotient obtained by dividing (a) the aggregate of the Daily Value of Trades for each day during the period of 20 consecutive trading days ending three trading days before such date; by (b) the aggregate volume of the Better Choice Shares used to calculate such Daily Value of Trades. | |
| “Daily Value of Trades” | means, in respect of the Better Choice Shares on any trading day, the product of (a) the Canadian Dollar Equivalent (as defined in the terms of the Exchangeable Shares) of the volume weighted average price of Better Choice Shares on NYSE (or, if the Better Choice Shares are not listed on NYSE, the volume weighted average price of Better Choice Shares on such other stock exchange or automated quotation system on which the Better Choice Shares are listed or quoted, as the case may be, as determined by the Combined Company for such purpose) on such date; and (b) the aggregate volume of the Better Choice Shares traded on such day on NYSE or such other stock exchange or automated quotation system and used to calculate such volume weighted average price; provided that any such selections by the Combined Company shall be conclusive and binding. | |
| “Depository” | Equity Stock Transfer LLC or such other Person appointed by SRx and Better Choice (each acting reasonably), for the purpose of, among other things, exchanging certificates representing SRx Shares for the Consideration. | |
| “Dissent Notice” | has the meaning ascribed thereto under the heading “The Arrangement — Appraisal and Dissenters Rights.” | |
| “Dissent Rights” | means the rights of dissent exercisable by the SRx Shareholders under Section 185 of the OBCA or as otherwise determined by the Court in the Interim Order in respect of the SRx Arrangement Resolution. | |
| “Dissenting Shareholder” | means a SRx Shareholder who has validly exercised Dissent Rights and has not withdrawn or been deemed to have withdrawn such exercise of Dissent Rights, but only in respect of the SRx Shares in respect of which Dissent Rights are validly exercised by such SRx Shareholder. |
| 20 |
| “Dividend Amount” | means an amount equal to all declared and unpaid dividends on an Exchangeable Share held by a holder thereof on any dividend record date which occurred prior to the date of purchase, redemption or other acquisition of such share by CallCo, AcquireCo or the Combined Company from such holder. | |
| “Dodd-Frank Act” | means the Dodd-Frank Wall Street Reform and Consumer Protection Act of 2010. | |
| “EBITDA” | means earnings before interest, taxes, depreciation and amortization. | |
| “Effective Date” | means the effective date of the Arrangement as shown on the Certificate of Arrangement. | |
| “Effective Time” | means 12:01 a.m. (Toronto time) on the Effective Date. | |
| “Election Deadline” | means prior to 11:00 a.m. (Toronto time) on [●], 2024, or, if the SRx Meeting is adjourned or postponed, prior to 11:00 a.m. (Toronto time) on the Business Day immediately prior to the date of such adjourned or postponed SRx Meeting. | |
| “Eligible Holder” | means an SRx Shareholder who is (i) a Canadian Resident, or (ii) a partnership, any member of which is a Canadian Resident. | |
| “Employee Plan” | means all benefit or compensation plans, programs, policies, practices, contracts, agreements or other arrangements, covering current or former employees, directors or consultants of a Party, including without limitation employment, consulting, deferred compensation, equity, benefit, bonus, incentive, pension, retirement, savings, stock purchase, profit sharing, stock option, stock appreciation, phantom stock, termination, change of control, life insurance, medical, health, welfare, hospital, dental, vision care, drug, sick leave, disability, and similar plans, programs, arrangements or practices, whether or not in writing and whether or not funded, in each case, which is sponsored, maintained or contributed to by a Party or any of its affiliates, or to which a Party or any of its affiliates is obligated to contribute, or with respect to which a Party or any of its affiliates has any liability, direct or indirect, contingent or otherwise, other than benefit plans established pursuant to statute. | |
| “Encumbrances” | has the meaning ascribed thereto in the Arrangement Agreement. | |
| “Exchange Act” | means the Securities Exchange Act of 1934, as amended, and the rules and regulations promulgated thereunder from time to time. |
| 21 |
| “Exchange Ratio” | means the number of Better Choice Shares or Exchangeable Shares that an SRx Shareholder will receive at the Effective Time in exchange for each one (1) SRx Share held, determined as follows:
A = B/C ÷ D
A = the number of Better Choice Shares or Exchangeable Shares to be received in exchange for each one (1) SRx Share, rounded to three decimal places;
B = US$80,000,000 plus US$43,000,000 minus the SRx Net Debt;
C = 30 Day VWAP; and
D = the total number of SRx Shares outstanding immediately prior to the Effective Time,
provided that if: |
| (i) | B/C is greater than 30,000,000, then B/C shall for the purposes of the calculation of the Exchange Ratio be deemed to be 30,000,000; or |
| B/C is less than 19,750,000, then B/C shall for the purposes of the calculation of the Exchange Ratio be deemed to be 19,750,000. | ||
| “Exchangeable Elected Shares” | means SRx Shares (other than SRx Shares held by Better Choice or an affiliate) that the holder thereof shall have elected, in accordance with the Plan of Arrangement in a duly completed Letter of Transmittal deposited with the Transfer Agent no later than the Election Deadline, to transfer to AcquireCo under the Arrangement for the Exchangeable Share Consideration. | |
| “Exchange Time” | has the meaning ascribed thereto in the Plan of Arrangement. | |
| “Exchangeable Shares” | means the shares of AcquireCo which are exchangeable for Better Choice Shares. | |
| “Exchangeable Share Consideration” | means the consideration in the form of Exchangeable Shares, together with the Ancillary Rights, elected for each SRx Share held by a SRx Shareholder (other than a Dissenting Shareholder) pursuant to Section 2.3(a) of the Plan of Arrangement, which shall be that number of Exchangeable Shares equal to the Exchange Ratio for each SRx Share held immediately prior to the Effective Time. | |
| “Exchangeable Shareholders’ Put Right” | means the right of the holders of Exchangeable Shares to require CallCo to purchase all, but not less than all, of the Exchangeable Shares held by such holder of Exchangeable Shares, as more particularly described in, and in accordance with, the Support Agreement. | |
| “Fairness Opinion” | means the fairness opinion rendered by Strategic Capital Advisors, Ltd. to the Better Choice Board on August 13, 2024 as to the fairness of the Arrangement, from a financial perspective, to the Better Choice stockholders. |
| 22 |
| “Final Order” | means an order of the Court granted pursuant to Section 182(5) of the OBCA, in form and substance acceptable to each of the Parties, each acting reasonably, approving the Arrangement after a hearing upon the procedural and substantive fairness of the terms and conditions of the Arrangement, as such order may be affirmed, amended, modified, supplemented or varied by the Court (with the consent of the Parties, each acting reasonably) at any time prior to the Effective Date or, if appealed, as affirmed or amended (provided, however, that any such amendment is acceptable to the Parties, each acting reasonably) on appeal, unless such appeal is withdrawn, abandoned or denied. | |
| “GAAS” | means the United States Generally Accepted Auditing Standards (GAAS) as issued by the Auditing Standards Board, a division of the American Institute of Certified Public Accountants. | |
| “GAAP” | means United States Generally Accepted Accounting Principles as in effect from time to time and which meet the standards established by the Public Company Accounting Oversight Board (United States). | |
| “Governmental Entity” | means (a) any multinational or supranational body or organization, nation, government, state, province, country, territory, municipality, administrative, judicial or regulatory authority, agency, board, body, bureau, commission, instrumentality, court or tribunal or any political subdivision thereof, or any central bank (or similar monetary or regulatory authority) thereof, any taxing authority, any ministry or department or agency of any of the foregoing, (b) any self-regulatory organization or securities exchange, including the NYSE American, (c) any entity exercising executive, legislative, judicial, regulatory or administrative functions of or pertaining to government; and (d) any corporation or other entity owned or controlled, through stock or capital ownership or otherwise, by any of such entities or other bodies pursuant to the foregoing. | |
| “IFRS” | means the International Financial Reporting Standards as issued by the International Accounting Standards Board. | |
| “Interim Order” | means an order of the Court in form and substance acceptable to each of the Parties, acting reasonably, providing for, among other things, the calling and holding of the SRx Meeting, as the same may be amended by the Court with the consent of the Parties, each acting reasonably. | |
| “Key Regulatory Approvals” | means those rulings, consents, orders, exemptions, Permits, Authorizations and other approvals of Governmental Entities, necessary to proceed with the transactions contemplated by the Arrangement Agreement and the Plan of Arrangement. | |
| “Law” or “Laws” | means, with respect to any Person, any and all applicable law (statutory, common, civil or otherwise), constitution, treaty, convention, ordinance, code, rule, regulation, order, injunction, judgment, decree, ruling or other similar requirement, whether domestic or foreign, enacted, adopted, promulgated or applied by a Governmental Entity that is binding upon or applicable to such Person or its business, property or securities, and to the extent that they have the force of law, policies, guidelines, notices and protocols of any Governmental Entity, as amended. |
| 23 |
| “Letter of Transmittal” | means the letter of transmittal and election form to be sent by SRx to the SRx Shareholders in connection with the Arrangement. | |
| “Liquidation Amount” | means an amount per share equal to the Current Market Price of a Better Choice Share on the last business day prior to the Liquidation Date plus the Dividend Amount. | |
| “Liquidation Call Right” | means the overriding right of CallCo, in the event of and notwithstanding the proposed liquidation, dissolution or winding-up of AcquireCo pursuant to Article 6 of the Exchangeable Share Terms as set out in the articles of AcquireCo, to purchase from all, but not less than all, of the holders of Exchangeable Shares (other than any holder of Exchangeable Shares which is an Affiliate of Better Choice) on the Liquidation Date all, but not less than all, of the Exchangeable Shares held by each such holder, as more particularly described in the Support Agreement. | |
| “Liquidation Date” | means the effective date of the liquidation, dissolution or winding-up of AcquireCo or any other distribution of the assets of AcquireCo among its shareholders for the purpose of winding up its affairs. | |
| “Lock-Up Agreement” | means the certain lock-up agreements, substantially in the form attached as Annex F, entered or to be entered into by certain SRx Supporting Shareholders, where such parties have agreed, among other things, to lock-up and not sell, transfer or otherwise dispose of their SRx Shares. | |
| “Matching Party” | has the meaning ascribed thereto under the heading “The Arrangement Agreement — Right to Match.” | |
| “Matching Period” | has the meaning ascribed thereto under the heading “The Arrangement Agreement — Right to Match.” | |
| “Material Adverse Effect” | means a SRx Material Adverse Effect or a Better Choice Material Adverse Effect, as applicable. |
| 24 |
| “Material Contract” | means any Contract of the following for a Party: |
| (a) | any material management, employment, severance, retention, transaction bonus, change in control, consulting, relocation, repatriation or expatriation agreement or other similar Contract; | |
| (b) | any Contract with any distributor, reseller or sales representative with an annual value in excess of CAD$100,000; | |
| (c) | any Contract with any manufacturer, vendor, or other Person for the supply of materials or performance of services by such third party to the Party in relation to the manufacture of the Party’s products or product candidates with an annual value in excess of CAD$100,000; | |
| (d) | any agreement or plan, including any stock option plan, stock appreciation right plan or stock purchase plan, any of the benefits of which will be increased, or the vesting of benefits of which will be accelerated, by the occurrence of any of the transactions contemplated by the Arrangement Agreement; | |
| (e) | any Contract incorporating or relating to any guaranty, any sharing of liabilities or any indemnity not entered into in the ordinary course of business, including any indemnification agreements between a Party and any of its officers or directors; | |
| (f) | any Contract imposing any restriction on the right or ability of the Party or that would by the terms of the Contract would impose any restriction on the right or ability of the Party: (i) to compete with any other Person; (ii) to acquire any product or other asset or any services from any other Person; (iii) to solicit, hire or retain any Person as a director, an officer or other employee, a consultant or an independent contractor; (iv) to develop, sell, supply, distribute, offer, support or service any product or any technology or other asset to or for any other Person; (v) to perform services for any other Person; or (vi) to transact business with any other Person; | |
| (g) | any Contract currently in force relating to the disposition or acquisition of assets not in the ordinary course of business or any ownership interest in any corporation, partnership, joint venture or other business enterprise; | |
| (h) | any mortgages, indentures, loans or credit agreements, security agreements or other agreements or instruments relating to the borrowing of money or extension of credit; | |
| (i) | any joint marketing or development agreement; | |
| (j) | any Contract that provides for: (i) any right of first refusal, right of first negotiation, right of first notification or similar right with respect to any securities or assets of the Party; (ii) any “no shop” provision or similar exclusivity provision with respect to any securities or assets of the Party; or (iii) contains most favored nation pricing provisions with any third party or any requirements or minimum purchase obligations of the Party; | |
| (k) | any Contract that contemplates or involves the payment or delivery of cash or other consideration in an amount or having a value in excess of CAD$100,000 or more in the aggregate, or contemplates or involves the performance of services having a value in excess of CAD$100,000 in the aggregate other than any arrangement or agreement expressly contemplated or provided for under the Arrangement Agreement; | |
| (l) | any Contract that does not allow the Party to terminate the Contract for convenience with no more than sixty (60) days prior notice to the other party and without the payment of any rebate, chargeback, penalty or other amount to such third party in connection with any such termination in an amount or having a value in excess of CAD$100,000 in the aggregate; or | |
| (m) | with respect to Better Choice, any Contract that is a “material contract” as such term is defined in Item 601(b)(10) of Regulation S-K of the SEC; |
| 25 |
| “NYSE” | means the NYSE American LLC. | |
| “OBCA” | means the Business Corporations Act (Ontario), as amended. | |
| “Ordinary Course” | means, with respect to an action taken by a Person, that such action is consistent with the past practices (in terms of nature, scope and magnitude) of such Person and is taken in the ordinary course of the normal day-to-day operations of the business of such Person. | |
| “Outside Date” | means January 31, 2025 or such later date as may be agreed to in writing by the Parties; provided, however, that such initial January 31, 2025 date may be extended (a) by either Better Choice or SRx upon written notice to the other Party for up to thirty (30) days from such date or (b) upon mutual written agreement of Better Choice and SRx to such date as mutually agreed upon. | |
| “Parties” | means, collectively, Better Choice, SRx, AcquireCo and CallCo, and “Party” means any one of them. | |
| “Permit” | means any license, permit, certificate, consent, order, grant, approval, agreement, classification, restriction, registration or other authorization of, from or required by any Governmental Entity. | |
| “Person” | includes any individual, firm, partnership, limited partnership, limited liability partnership, joint venture, venture capital fund, limited liability company, unlimited liability company, association, trust, trustee, executor, administrator, legal personal representative, estate, body corporate, corporation, company, unincorporated association or organization, Governmental Entity, syndicate or other entity, whether or not having legal status. | |
| “Plan of Arrangement” | means the plan of arrangement of SRx, substantially in the form attached as Annex B, and any amendments or variations thereto made from time to time in accordance with the Arrangement Agreement, the plan of arrangement or upon the direction of the Court in the Final Order with the consent of the Parties, each acting reasonably. | |
| “Pre-Effective Date Period” | means the period from the date of the Arrangement Agreement until the earlier of the Effective Time and the time that the Arrangement Agreement is terminated in accordance with its terms. | |
| “Redemption Call Right” | means the overriding right of CallCo, notwithstanding the proposed redemption of the Exchangeable Shares by AcquireCo, to purchase from all but not less than all of the holders of Exchangeable Shares (other than any holder of Exchangeable Shares which is an Affiliate of Better Choice) on the Redemption Date all but not less than all of the Exchangeable Shares held by each such holder, as more particularly described in the Support Agreement. |
| 26 |
| “Representatives” | means, collectively, in respect of a Person, its subsidiaries and its affiliates and its and their officers, directors, employees, consultants, advisors, agents or other representatives (including financial, legal or other advisors). | |
| “Retraction Call Right” | means the overriding right of CallCo, pursuant to the Support Agreement, to purchase all but not less than all of the Retracted Shares directly from the holder and that the Retraction Request shall be deemed to be a revocable offer by the holder to sell the Retracted Shares to CallCo in accordance with the Retraction Call Right on the terms and conditions set out in Article 5 of the Support Agreement. | |
| “Retraction Date” | means the Business Day on which AcquireCo will redeem the Retracted Shares. | |
| “Retraction Price” | means an amount per share equal to the Current Market Price of a Combined Company Share on the last Business Day prior to the Retraction Date plus the Dividend Amount, which shall be satisfied in full by AcquireCo delivering or causing to be delivered one Better Choice Share for each Exchangeable Share presented and surrendered together with, on the designated payment date therefor, the Dividend Amount. | |
| “Retraction Request” | means a duly executed statement accompanying the presentation and surrender of the certificate or certificates representing the Exchangeable Shares which the holder desires to have AcquireCo redeem, together with such other documents and instruments as may be required to effect a transfer of Exchangeable Shares under the OBCA and the Articles of AcquireCo and such additional documents, instruments and payments as the transfer agent and AcquireCo may reasonably require to effect a retraction. | |
| “Retracted Shares” | means the Exchangeable Shares that the holder desires to have redeemed by AcquireCo. | |
| “SEC” | means the United States Securities and Exchange Commission. | |
| “Securities Act” | means the Securities Act of 1933, as amended, and the rules and regulations promulgated thereunder from time to time. | |
| “Securities Authority” | means all securities regulatory authorities, including the applicable securities commission or similar regulatory authorities in each of the provinces and territories of Canada, the SEC and NYSE, that are applicable to SRx or Better Choice, as the case may be. | |
| “Special Meeting” | means the Special Meeting of the stockholders of Better Choice to be held on , 2025. | |
| “Special Voting Share” | means the special voting share of Better Choice having substantially the rights, privileges, restrictions and conditions described in the Voting Trust Agreement and the Better Choice Certificate of Designation which rights, privileges, restrictions and conditions shall be agreed to by the Parties, acting reasonably. | |
| “Special Voting Share Certificate of Designation” | means the Certificate of Designation of Preferences, Rights and Limitations of the Special Voting Share, substantially in the form attached as Annex E. |
| 27 |
| “Spin-Out” | means the transactions connected with contribution of seventeen percent (17%) of the issued and outstanding capital stock of Better Choices’s wholly-owned subsidiary, Halo, Purely For Pets, Inc., a Delaware corporation, to a new wholly-owned special purpose subsidiary of Better Choice and the subsequent distribution of such capital stock to Better Choice stockholders. | |
| “SRx” | means SRx Health Solutions Inc., a corporation existing under the laws of the Province of Ontario. | |
| “SRx Acquisition Proposal” | means, other than the transactions contemplated by the Arrangement Agreement, any offer, proposal or inquiry from any Person or group of Persons acting jointly or in concert, whether or not in writing and whether or not delivered to SRx, after the date hereof relating to: (a) any acquisition or purchase, direct or indirect, of: (i) the assets of SRx or one or more of its subsidiaries that, individually or in the aggregate, constitute twenty percent (20%) or more of the consolidated assets of SRx and its subsidiaries, taken as a whole, or which contribute twenty percent (20%) or more of the consolidated revenue of SRx and its subsidiaries, taken as a whole (or any lease, long-term supply, hedging arrangement, joint venture, strategic alliance, partnership or other transaction having the same economic effect as a sale of such assets), or (ii) beneficial ownership of twenty percent (20%) or more of the issued and outstanding voting or equity securities of SRx or any one or more of its subsidiaries that, individually or in the aggregate, contribute twenty percent (20%) or more of the consolidated revenues or constitute twenty percent (20%) or more of the consolidated assets of SRx and its subsidiaries, taken as a whole; (b) any take-over bid, tender offer or exchange offer that, if consummated, would result in such Person or group of Persons beneficially owning twenty percent (20%) or more of the issued and outstanding voting or equity securities of any class of voting or equity securities of SRx or any of its subsidiaries; (c) any plan of arrangement, merger, amalgamation, consolidation, share exchange, business combination, reorganization, recapitalization, liquidation, dissolution or other similar transaction involving SRx or any of its subsidiaries; in all cases, whether in a single transaction or in a series of related transactions; or (d) any direct or indirect sale of assets (or any alliance, joint venture, earn-in right, option to acquire, lease, license or other arrangement having a similar economic effect as a sale) by SRx or one or more of its subsidiaries, which assets represent twenty percent (20%) or more of the consolidated assets of SRx and its subsidiaries measured by fair market value, or contribute twenty percent (20%) or more of the consolidated revenue or operating income of SRx; or (e) any other transaction, the consummation of which prevents, or materially delays, impedes or interferes with, the transactions contemplated by the Arrangement Agreement. | |
| “SRx Arrangement Resolution” | means the special resolution of the holders of SRx Securities approving the Plan of Arrangement, which is to be considered at the SRx Meeting. | |
| “SRx Board” | means the Board of Directors of SRx. | |
| “SRx Board Recommendation” | means a statement that the SRx Board has unanimously determined, after receiving financial and legal advice, that (A) the Arrangement is fair and reasonable to the SRx Shareholders, (B) the Arrangement is in the best interests of SRx, and (C) the SRx Board unanimously recommends that the SRx Securityholders vote in favor of the SRx Arrangement Resolution. | |
| “SRx Change in Recommendation” | occurs or is made when, (a) the SRx Board or any committee of the SRx Board fails to unanimously recommend or withdraws, amends, modifies or qualifies, publicly proposes or states its intention to do so, or fails to publicly reaffirm (without qualification) within five (5) Business Days (and in any case prior to the SRx Meeting) after having been requested in writing by Better Choice to do so, the SRx Board Recommendation, or (b) the SRx Board or any committee of the SRx Board takes no position or a neutral position with respect to an SRx Acquisition Proposal for more than five (5) Business Days after an SRx Acquisition Proposal is made or publicly announced, or (iii) the SRx Board or any committee of the SRx Board resolves or publicly proposes to take any of the foregoing actions. |
| 28 |
| “SRx Circular” | means the notice of the SRx Meeting and accompanying management information circular, including all schedules, appendices and exhibits thereto and enclosures therewith, to be sent to the SRx Securityholders, as required by the Court in the Interim Order, in connection with the SRx Meeting, as amended, supplemented or otherwise modified from time to time in accordance with the terms of the Arrangement Agreement. | |
| “SRx Material Adverse Effect” | means any effect, fact, change, event, occurrence or circumstance that is, or would reasonably be expected to be, material and adverse to the business, condition (financial or otherwise), properties, assets (tangible or intangible), liabilities (whether absolute, accrued, conditional or otherwise), capital, operations or results of operations of SRx and its subsidiaries, taken as a whole, other than any effect arising from, relating to or resulting from, as applicable: (a) the global economy, political conditions (including the outbreak of war or any acts of terrorism), international trade or securities, financial or credit markets in general, natural disasters or other acts of God; (b) the healthcare industry in general, (c) any generally applicable change in applicable Law (other than orders, judgments, claims or decrees against SRx or any of its subsidiaries), or accounting standards or the enforcement or interpretation thereof; (d) the announcement of the Arrangement Agreement, including the impact thereof on the relationships, contractual or otherwise, on SRx or its subsidiaries with customers, suppliers, business partners, regulators, vendors, Governmental Entities or other third Persons; (e) any action taken or refrained from being taken by SRx or its subsidiaries in connection with the Arrangement Agreement, to the extent Better Choice has expressly consented to, approved or requested such action in writing following the date of the Arrangement Agreement and (f) any disease outbreaks, pandemics or epidemics or other related condition; provided, however, that (i) in the event that SRx and its subsidiaries, taken as a whole, are materially and disproportionately affected by an effect described in clause (a), (b), (c) or (f) above relative to other participants in the industries in which SRx and its subsidiaries operate, the extent (and only the extent) of such effect, relative to such other participants, on SRx or any of its subsidiaries, taken as a whole, may be taken into account in determining whether there has been an SRx Material Adverse Effect; and (ii) references in certain sections of the Arrangement Agreement to dollar amounts are not intended to be, and shall not be deemed to be, illustrative or interpretive for the purposes of determining whether a “SRx Material Adverse Effect” has occurred. | |
| “SRx Meeting” | means the special meeting of SRx Securityholders, including any adjournment or postponement thereof, to be called and held in accordance with the Interim Order to consider the SRx Arrangement Resolution, and for any other purpose. |
| 29 |
| “SRx Net Debt” | means an amount equal to (a) the aggregate indebtedness for borrowed money of SRx (including accrued interest and prepayment penalties, if applicable) as of 12:01 a.m. ET on the date that is five (5) Business Days before the Effective Date, minus (b) all cash and cash equivalents of SRx (including money market accounts, money market funds, money market instruments), including cash in transit and all such cash and cash equivalents held by third-party processors, as of 12:01 a.m. ET on the date that is five (5) Business Days before the Effective Date. For greater clarity, and without limiting the generality of the foregoing, the aggregate indebtedness for borrowed money of SRx shall include all amounts owed under (i) that certain Credit Agreement, dated September 14, 2023, by and among SRx, the guarantors and lenders named therein, and CWB Maximum Financial Inc., as administrative agent, and (ii) certain unsecured convertible debentures issued by SRx between November 2022 and January 2023, in each case to the extent unpaid as of 12:01 a.m. ET on the date that is five (5) Business Days before the Effective Date. | |
| “SRx RSU Holders” | means the holders of SRx RSUs. | |
| “SRx Securities” | means SRx Shares, SRx RSUs and SRx Warrants. | |
| “SRx Securityholders” | means SRx Shareholders, SRx RSU Holders and SRx Warrantholders. | |
| “SRx Securityholder Approval” | means two-thirds of the votes cast by the SRx Shareholders and the SRx Warrantholders, voting together as a single class (on an as-converted to SRx Share basis in the case of the SRx Warrants), present in person or by proxy at the SRx Meeting. | |
| “SRx Shareholders” | means the holders of SRx Shares. | |
| “SRx Shares” | means the common shares in the capital of SRx. | |
| “SRx Supporting Shareholders” | means, collectively, those Persons who held 5% or more of the SRx Shares (on a fully diluted basis) as of the date of the Arrangement Agreement and have entered into Voting and Support Agreements. | |
| “SRx U.S. Dollar Net Debt” | means the U.S. Dollar Equivalent of the SRx Net Debt based calculated as of the date that is five (5) Business Days before the Effective Date. | |
| “SRx Warrantholders” | means the holders of SRx Warrants. | |
| “SRx Warrants” | means, as may be outstanding at any time, common share purchase warrants to acquire SRx Shares. |
| 30 |
| “Superior Proposal” | means any unsolicited bona fide written Better Choice Acquisition Proposal from a Person who is an arm’s length third party to acquire not less than all of the outstanding Better Choice Shares or all or substantially all of the assets of the Better Choice on a consolidated basis that: (a) complies with Securities Laws and did not result from or involve a breach of the Arrangement Agreement; (b) is capable of being completed without undue delay, taking into account, all financial, legal, regulatory and other aspects of such proposal and the Person making such proposal; (c) if any consideration is cash, is not subject to any financing contingency or condition; (d) is not subject to any due diligence or access condition; (e) does not provide for the payment of any break, termination or other fees or expenses to the other party in the event that the Better Choice completes the Arrangement or any similar other transaction with SRx or any of its affiliates agreed prior to any termination of the Arrangement Agreement and (f) that the Better Choice Board determines, in its good faith judgment, after receiving the advice of its outside legal and financial advisors and after taking into account all the terms and conditions of the Better Choice Acquisition Proposal, including all legal, financial, regulatory and other aspects of such Better Choice Acquisition Proposal and the party making such Better Choice Acquisition Proposal, (i) would, if consummated in accordance with its terms, but without assuming away the risk of non-completion, result in a transaction which is more favorable, from a financial point of view, to the Better Choice stockholders than the Arrangement (including any amendments to the terms and conditions of the Arrangement proposed by SRx pursuant to the Arrangement Agreement), and (ii) the failure to recommend such Better Choice Acquisition Proposal to the Better Choice stockholders would be contrary to the fiduciary duties of the Better Choice Board. | |
| “Superior Proposal Notice” | has the meaning ascribed thereto under the heading “The Arrangement Agreement — Right to Match.” | |
| “Superior Proposal Matching Period” | has the meaning ascribed thereto under the heading “The Arrangement Agreement — Right to Match.” | |
| “Support Agreement” | means an agreement to be made among Better Choice, CallCo and AcquireCo in connection with the Plan of Arrangement, in the form attached as Annex F. | |
| “Tax Act” | means the Income Tax Act (Canada) and the regulations made thereunder, as now in effect and as they may be promulgated or amended from time to time. | |
| “Tax Returns” | means all domestic and foreign federal, provincial, territorial, municipal and local returns, reports, declarations, disclosures, elections, notices, filings, forms, statements, information statements and other documents (whether in tangible, electronic or other form) and including any amendments, schedules, attachments, supplements, appendices and exhibits thereto, made, prepared, filed or required to be made, prepared or filed by Law in respect of Taxes. |
| 31 |
| “Taxes” | means any and all domestic and foreign federal, provincial, provincial, municipal, territorial and local taxes, assessments and other governmental charges, duties, fees, levies, impositions and liabilities imposed by any Governmental Entity (whether payable directly or by withholding and whether or not requiring the filing of a Tax Return), including without limitation pension plan contributions, tax instalment payments, unemployment insurance contributions and employment insurance contributions, disability, severance, social security, workers’ compensation and deductions at source, including taxes based on or measured by gross receipts, income, profits, sales, capital, use, and occupation, and including goods and services, value added, ad valorem, sales, capital gains, capital stock, windfall profits, premium, transfer, franchise, stamp, license, non-resident withholding, customs, payroll, recapture, employment, excise and property duties and taxes, together with all estimated taxes, deficiency assessments, interest, penalties, fines and additions to tax imposed with respect to such amounts, and shall include any liability for such amounts as a result of (a) being a transferee or successor or member of a combined, consolidated, unitary or affiliated group, or (b) a contractual obligation to indemnify any Person or other entity. | |
| “Termination Payment” | means an amount equal to $3.2 million. | |
| “Transfer Agent” | means Equity Stock Transfer, LLC. | |
| “Trustee” | means the trustee chosen by the Combined Company to act as trustee under the Voting Trust Agreement, and any successor trustee appointed under the Voting Trust Agreement. | |
“U.S. GAAP” |
means United States generally accepted accounting principles. | |
| “Voting Trust Agreement” | means an agreement to be made among Better Choice, AcquireCo and such Person as may be appointed by SRx and Parent (each acting reasonably), as trustee, in connection with the Plan of Arrangement. | |
| “Voting and Support Agreements” | means the agreement that the SRx Supporting Shareholders and Better Choice Supporting Stockholders have entered into that, among other things, requires such Persons to vote their shares in favor of the Arrangement and associated matters, substantially in the form set out on Annex C with respect to the SRx Supporting Shareholders and Annex D with respect to Better Choice Supporting Stockholders. |
| 32 |
QUESTIONS AND ANSWERS ABOUT PROXY MATERIALS AND VOTING
Questions and Answers in Connection with the Special Meeting
Why am I receiving this proxy statement and proxy card?
You are receiving this proxy statement and proxy card because you were a stockholder of record, or beneficial stockholder, of Better Choice at the close of business on , 202 and are entitled to vote at the Special Meeting. This proxy statement describes issues on which Better Choice would like you, as a stockholder, to vote. It provides information on these issues so that you can make an informed decision. You do not need to virtually attend the Special Meeting to vote your Better Choice Shares.
When you sign the proxy card, you appoint Kent Cunningham, Chief Executive Officer of Better Choice and Carolina Martinez, Chief Financial Officer of Better Choice, as your representatives at the Special Meeting. As your representatives, they will cast your votes at the Special Meeting as you have instructed on your proxy card. With proxy voting, your Better Choice Shares will be voted whether or not you attend the Special Meeting. Even if you plan to attend the Special Meeting, it is a good idea to complete, sign and return your proxy card in advance of the Special Meeting such that your votes are cast if you become unable to attend.
Who is soliciting my proxy?
Your proxy is being solicited by senior management of Better Choice. This proxy statement is furnished in connection with that solicitation. While it is anticipated that solicitation of proxies for the Special Meeting will be made primarily by mail, proxies may be solicited personally or by telephone by the directors and executive officers of Better Choice at nominal cost paid by Better Choice.
If you have questions or need assistance completing your form of proxy or voting instruction form, please contact Carolina Martinez, the Company’s Chief Financial Officer, by telephone at 212-655-3518, or by email at nmartinez@bttrco.com.
When is the record date for the Special Meeting?
The Better Choice Board has fixed , 2025 as the record date for the Special Meeting. Only holders of Better Choice Shares as of the close of business on that date will be entitled to vote at the Special Meeting.
How many Better Choice Shares are outstanding?
As of the Record Date , Better Choice Shares were issued and outstanding.
How many votes do I get?
Each Better Choice Share is entitled to one vote. Dissenters’ rights are not applicable to any of the matters being voted upon.
How do I attend the Special Meeting?
The Special Meeting will be held on , 2025, at 9:00 a.m. Eastern Time in a virtual format online by accessing [Insert URL], where you will be able to listen to the meeting live and vote online. To attend, vote and be deemed present in person at the virtual meeting, you will need to log on to the virtual meeting website at [Insert URL] and enter the 16-digit control number included on your proxy card or voting instruction form. Because the Special Meeting is completely virtual and being conducted via live webcast, stockholders will not be able to attend the meeting in person.
| 33 |
The meeting webcast will begin promptly at 9:00 a.m., Eastern Time. We encourage you to access the meeting prior to the start time. Online check-in will begin at 8:45 a.m., Eastern Time, and you should allow ample time for the check-in procedures. Whether or not you plan to attend the virtual Special Meeting, we encourage you to vote and submit your proxy in advance of the meeting by one of the methods described in this proxy statement. You may also vote online and examine our stockholder list during the Special Meeting by following instructions provided on the meeting website, which may be accessed using the above web address and the 16-digit control number included on your proxy card or voting instruction form, during the Special Meeting.
What proposals will be voted on at the Special Meeting?
Better Choice stockholders will vote on the following proposals:
(1) the change of the legal name of Better Choice from “Better Choice Company, Inc.” to “SRX Health Solutions, Inc.” and of the NYSE ticker symbol from “BTTR” to “SRXH” (the “Name Change Proposal”);
(2) the issuance of up 30,000,000 shares of Better Choice common stock in connection with a proposed arrangement (the “Arrangement”) with SRx, pursuant to which Better Choice will acquire SRx, in accordance with the requirements of the NYSE American (the “Arrangement Proposal”);
(3) an increase in the number of securities subject to the Better Choice Company, Inc. 2019 Incentive Award Plan (the “Plan Proposal”); and
(4) the approval of the postponement or adjournment of the Special Meeting to solicit additional proxies if there are not sufficient votes to approve the Arrangement Proposal and/or the Plan Proposal, if deemed necessary or appropriate by the Better Choice Board (the “Adjournment Proposal”).
The Arrangement Proposal and the Plan Proposal will not be effected, and the Arrangement will not be completed, without the approval by the Better Choice stockholders of both such proposals.
The Better Choice Board unanimously recommends that you vote “FOR” the Name Change Proposal, Arrangement Proposal, the Plan Proposal and the Adjournment Proposal.
How do I vote?
Better Choice stockholders of record and beneficial owners of Better Choice Shares on the Record Date may vote their Better Choice Shares by submitting a proxy or may vote virtually online at the Special Meeting by following the instructions provided on the proxy card or voting instruction form received. Better Choice recommends that Better Choice stockholders entitled to vote submit a proxy prior to the Special Meeting even if they plan to attend the virtual Special Meeting.
Better Choice stockholders are encouraged to submit a proxy promptly. Each valid proxy received in time will be voted at the Special Meeting according to the choice specified, if any. Executed but uninstructed proxies (i.e., proxies that are properly signed, dated and returned but are not marked to tell the proxies how to vote) will be voted in accordance with the recommendations of the Better Choice Board.
Record Holders
Better Choice stockholders of record may vote in one of the following four ways:
| ● | Internet: Better Choice stockholders of record may submit their proxy over the internet at [Insert URL]. Internet voting is available 24 hours a day and will be accessible until 10:59 p.m., Eastern Time, on , 2025. Stockholders will be given an opportunity to confirm that their voting instructions have been properly recorded. Better Choice stockholders who submit a proxy this way need not send in their proxy card. |
| ● | Telephone: Better Choice stockholders of record may submit their proxy by calling [●]. Telephone voting is available 24 hours a day and will be accessible until 10:59 p.m., Eastern Time, on , 2025. Easy-to-follow voice prompts will guide stockholders through the voting and allow them to confirm that their instructions have been properly recorded. Better Choice stockholders who submit a proxy this way need not send in their proxy card. |
| ● | Mail: Better Choice stockholders of record may submit their proxy by properly completing, signing, dating and mailing their proxy card or voting instruction form in the self-addressed, stamped envelope (if mailed in the United States) included with this proxy statement. Better Choice stockholders who vote this way should mail the proxy card early enough so that it is received prior to the closing of the polls at the Special Meeting. |
| ● | Online During the Virtual Meeting: Better Choice stockholders of record may attend the virtual Special Meeting by entering his, her or its unique 16-digit control number and vote online; attendance at the virtual Special Meeting will not, however, in and of itself constitute a vote or a revocation of a prior proxy. |
| 34 |
Beneficial Owners
Better Choice stockholders who hold their Better Choice Shares beneficially in “street name” and wish to submit a proxy must provide instructions to the bank, broker or other nominee that holds their shares of record as to how to vote their shares with respect to the Better Choice stock issuance proposal. Most beneficial owners will have a choice of voting before the Special Meeting by proxy over the internet, by telephone or by using a voting instruction form. Each beneficial owner of Better Choice common stock should refer to the voting instruction form received to see what options are available and how to use them. Better Choice stockholders who hold their shares of Better Choice common stock beneficially and wish to vote virtually at the Special Meeting may do so by attending the Special Meeting, entering his, her or its unique 16-digit control number and voting their shares electronically; however attendance at the virtual Special Meeting will not, in and of itself, constitute a vote or a revocation of a prior proxy. If you are a beneficial owner but did not receive a 16-digit control number with your voting instruction form, contact the bank, broker or other nominee that holds your shares of record.
What if I change my mind after I return my proxy?
You may revoke your proxy and change your vote at any time before the polls close at the Special Meeting. You may do this by notifying our Chief Financial Officer in writing at the address of Better Choice given above; by executing a new proxy bearing a later date or by submitting a new proxy by telephone or internet; or by attending the Special Meeting and voting virtually.
How many votes do you need to hold the Special Meeting?
To conduct the Special Meeting, Better Choice must have a quorum, which means that a majority of the outstanding Better Choice Shares as of the record date that are entitled to vote at the Special Meeting must be virtually present or represented at the Special Meeting. Better Choice Shares are the only type of security entitled to vote at the Special Meeting. Based on Better Choice Shares outstanding as of the record date of , 2024, Better Choice Shares must be present at the Special Meeting, virtually or by proxy, for there to be a quorum. Your Better Choice Shares will be counted as present at the Special Meeting if you submit a properly executed proxy card (even if you do not provide voting instructions), or virtually attend the Special Meeting and vote.
What if I abstain from voting?
Abstentions with respect to a proposal at the Special Meeting are counted for the purposes of establishing a quorum. A properly executed proxy card marked “ABSTAIN” with respect to a proposal at the Special Meeting will have the same effect as voting “AGAINST” that proposal.
What effect does a broker non-vote have?
Brokers and other intermediaries, holding Better Choice Shares in street name for their customers, are generally required to vote the Better Choice Shares in the manner directed by their customers. If their customers do not give any direction, brokers may vote the Better Choice Shares on routine matters, but not on non-routine matters. The Arrangement Proposal and Plan Proposal are non-routine matters. Consequently, if customers do not give any direction, brokers will not be permitted to vote such Better Choice Shares at the Special Meeting in relation to such proposals.
The absence of a vote on a non-routine matter is referred to as a broker non-vote. Any Better Choice Shares represented at the Special Meeting but not voted with respect to the Arrangement Proposal or the Plan Proposal will have the same effect as a vote “AGAINST” the Arrangement Proposal and the Plan Proposal.
How many votes are needed to approve the proposals?
Assuming a quorum, the Name Change Proposal, the Arrangement Proposal, the Plan Proposal and the Adjournment Proposal will be approved if a majority of the Better Choice Shares that are eligible to vote that are present at the Special Meeting votes “FOR” each proposal (though no quorum is required for the approval of the Adjournment Proposal). A properly executed proxy card marked “ABSTAIN” with respect to all proposals planned to be voted on at the Special Meeting will have the same effect as voting “AGAINST” such proposals. We encourage you to vote “FOR” the Name Change Proposal, the Arrangement Proposal, the Plan Proposal and the Adjournment Proposal.
| 35 |
Will my Better Choice Shares be voted if I do not sign and return my proxy card?
If your Better Choice Shares are held through a brokerage account, your brokerage firm, cannot vote your Better Choice Shares at the Special Meeting unless you provide directions as to how to vote your Better Choice Shares, because all of the matters to be voted on at the Special Meeting are non-routine matters. See “What effect does a broker non-vote have?” above for a discussion of the consequences if you fail to provide your brokerage firm with instructions as to how to vote your Better Choice Shares.
If your Better Choice Shares are registered in your name, and you do not complete your proxy card over the Internet or sign and return your proxy card, your Better Choice Shares will not be voted at the Special Meeting unless you virtually attend the Special Meeting and vote your Better Choice Shares.
Where can I find the voting results of the Special Meeting?
Better Choice will publish the final results in a Current Report on Form 8-K with the SEC within four (4) Business Days following the Special Meeting.
Who will pay for the costs of soliciting proxies?
Better Choice will bear the cost of soliciting proxies. In an effort to have as large a representation at the Special Meeting as possible, Better Choice’s directors and executive officers may solicit proxies by telephone or in person in certain circumstances. These individuals will receive no additional compensation for their services other than their regular salaries.
to additional fees and out-of-pocket expenses. Upon request, Better Choice will reimburse brokers, dealers, banks, voting trustees and their nominees who are holders of record of Better Choice Shares on the record date for the reasonable expenses incurred for mailing copies of the proxy materials to the beneficial owners of such Better Choice Shares.
What materials accompany or are attached to this proxy statement?
The following materials accompany or are attached to this proxy statement:
| ANNEX A | Form of Proxy Card | |
ANNEX B |
Arrangement Agreement (as amended) and Plan of Arrangement | |
| ANNEX C | Form of SRx Voting and Support Agreement | |
| ANNEX D | Form of Better Choice Voting and Support Agreement | |
| ANNEX E | Special Voting Share Certificate of Designation | |
|
ANNEX F |
Form of Lock-Up Agreement | |
| ANNEX G | Fairness Opinion | |
| ANNEX H | SRx Historical Financial Statements | |
| 36 |
Questions and Answers in Connection with the Arrangement and Related Transactions
What is the Arrangement between Better Choice and SRx?
Pursuant to the Arrangement, Better Choice and SRx will complete a business combination pursuant to which Better Choice will indirectly acquire all of the SRx Shares. Following the completion of the Arrangement, the Combined Company will continue to operate its portfolio of established premium and super-premium pet products under the Halo brand and its large specialty pharmacy network in Canada under the SRx brand. The Combined Company affords the SRx business with access to the U.S. capital market and will focus on leveraging operational synergies, including infrastructure and distribution, and implementing growth strategies across both businesses to launch into new verticals and geographies.
The Arrangement provides that Better Choice will acquire SRx pursuant to the Arrangement Agreement and Plan of Arrangement under Ontario law. Under the Arrangement, the issued and outstanding SRx Shares will be exchanged for Better Choice Shares or Exchangeable Shares in accordance with the Plan of Arrangement. After the Effective Time of the Arrangement, each Exchangeable Share will be exchangeable for one Better Choice Share in accordance with their terms and be eligible receive dividends that are economically equivalent to any dividends declared with respect to the Better Choice Shares. While outstanding, the Special Voting Share will enable holders of Exchangeable Shares to cast votes on matters for which holders of the Better Choice Shares are entitled to vote. Eligibility to elect to receive Exchangeable Shares will be subject to certain Canadian residency restrictions and tax statuses.
The consummation of the Arrangement is subject to certain closing conditions, including, among others, Court approval, approval of NYSE, the approval of the Arrangement by the holders of SRx Securities and the approval of the Arrangement Proposal and the Plan Proposal by the Better Choice stockholders. Other closing conditions include required regulatory approvals, the continued listing of the Better Choice Shares on NYSE through the Effective Date, the receipt of certain consents from holders of SRx debt, and the availability of certain exemptions from registration under applicable securities laws for the issuance of the Consideration Shares, as well as other customary closing conditions, including the absence of a Material Adverse Effect with respect to either SRx or Better Choice. See “The Arrangement Agreement — Conditions for Completion of the Arrangement.”
The Arrangement has been unanimously approved by the SRx Board, and shareholders representing approximately [•]% of the outstanding SRx Shares have entered into a Voting and Support Agreement, in the form attached as Annex C, in connection with the Arrangement. The Arrangement has also been unanimously approved by the Better Choice Board.
Does the Better Choice Board support the Arrangement?
Yes. Better Choice Board unanimously recommends that you vote “FOR” the Name Change Proposal, Arrangement Proposal, the Plan Proposal and the Adjournment Proposal.
In making its recommendation, the Better Choice Board considered a number of factors as described in this proxy statement under the heading “The Arrangement — Reasons for the Arrangement,” including an opinion of Strategic Capital Advisors, Ltd., financial advisor to Better Choice, that the Arrangement is fair, from a financial point of view, to the Better Choice stockholders. See “The Arrangement — Fairness Opinion.”
Do any of Better Choice’s directors or executive officers have interests in the Arrangement that may differ from those of the Better Choice stockholders?
Yes. Our directors and executive officers have interests in the Arrangement that are different from, or in addition to, the interests of the Better Choice stockholders. See “The Arrangement — Interests of Certain Persons in the Arrangement.” The members of the Better Choice Board were aware of and considered these interests, among other matters, in evaluating the Arrangement Agreement and the Arrangement and in recommending that the stockholders vote to approve the Arrangement Proposal.
| 37 |
Why am I being asked to vote on the issuance of the Consideration Shares?
At the Special Meeting, you will be asked to consider and vote upon the issuance of the Consideration Shares in connection with the Arrangement, under which Better Choice will acquire all of the issued and outstanding SRx Shares. Under the Arrangement, SRx Shareholders will receive the Consideration Shares (which would be comprised of approximately [●] Better Choice Shares, including the Better Choice Shares that would be issuable upon conversion or exchange of SRx Securities that will become convertible into or exchangeable for Better Choice Shares in connection with the Arrangement and Better Choice Shares that would be issuable upon exchange of the Exchangeable Shares, in each case based upon an illustrative Exchange Ratio, which was subject to certain assumptions, of [•]Better Choice Shares for each outstanding SRx Share calculated as of [●], 2024) in exchange for their SRx Shares. On completion of the Arrangement, SRx will be a wholly-owned subsidiary of Better Choice.
Better Choice Shares are listed on NYSE, and Section 713 of the NYSE Company Guide requires stockholder approval for the issuance of the Consideration Shares pursuant to the Arrangement. Rule 712 of the NYSE Company Guide requires stockholder approval if the number of shares of common stock to be issued in connection with the acquisition of another company will be equal to or in excess of 20% of the number of shares of common stock outstanding, or for the issuance of securities that will result in a change of control.
Because the Consideration Shares issued pursuant to the Arrangement will exceed 20% of the issued and outstanding Better Choice Shares before the Closing of the Arrangement, and because the issuance of the Consideration Shares will result in the former SRx Shareholders owning approximately 87% of the outstanding Better Choice Shares after the consummation of the Arrangement, which will constitute a change of control of Better Choice under the NYSE Company Guide, stockholder approval of the issuance of the Consideration Shares in connection with the Arrangement is required, and the Arrangement will not be completed unless such approval is obtained. See “The Arrangement Agreement — Conditions for Completion of the Arrangement.”
Are there risks I should consider in connection with the Arrangement?
Yes. The material risks associated with the Arrangement are discussed under “Risk Factors — Risks Related to the Arrangement.” Those risks include, among others, the possibility that the Arrangement may not be completed, the possibility that the SRx business will not be successful and that the Combined Company may fail to realize the anticipated benefits of the Arrangement.
What will holders of SRx Shares receive under the Arrangement?
Under the terms of the Plan of Arrangement, (a) each SRx shareholder who is an Eligible Holder and not a Dissenting Shareholder may elect to (i) receive in respect of any or all of their SRx Shares, the Exchangeable Share Consideration and (ii) receive in respect of the balance of their SRx Shares, if any, the Better Choice Share Consideration, and (b) each SRx shareholder who is not an Eligible Holder or a Dissenting Shareholder or fails to make an election to receive Exchangeable Shares is entitled to receive the Better Choice Share Consideration. Any SRx shareholder that does not make an election will receive the Better Choice Share Consideration. See “The Arrangement — Principal Steps of the Arrangement” and “Description of Exchangeable Shares and Related Agreements.”
What percentage of the Combined Company will the stockholders of Better Choice and shareholders of SRx own?
Pursuant to the Plan of Arrangement, after the Effective Time, the former SRx shareholders will own approximately 87% of the Combined Company and the existing Better Choice stockholders will own approximately 8% of the Combined Company. Approximately 5% of the outstanding Combined Company Shares are being issued as part of the transaction costs of the Arrangement.
What is the Exchange Ratio under the Arrangement?
The Exchange Ratio pursuant to which SRx Shares will be exchanged for Better Choice Shares or Exchangeable Shares pursuant to the Arrangement is not fixed. Rather, it will be determined based on the agreed value of SRx of $80,000,000 less SRx U.S. Net Debt, the number of Better Choice Shares and SRx Shares outstanding immediately prior to the completion of the Arrangement, and the 30 day VWAP of the Better Choice Shares.
| 38 |
How was the Exchange Ratio determined?
The Exchange Ratio was determined after considerable negotiations between Better Choice and SRx and the contemplation of numerous factors that each company deemed relevant. In addition, Better Choice received a fairness opinion from Strategic Capital Advisors, Ltd., which provided that the Arrangement was fair from a financial point of view to the Better Choice stockholders. See “The Arrangement — Fairness Opinion” and “The Arrangement — Background of the Arrangement.”
Why are Exchangeable Shares being offered to Canadian residents pursuant to the Arrangement?
The Exchangeable Shares provide an opportunity for SRx shareholders who are Eligible Holders to make a tax election to defer Canadian income tax on any capital gain otherwise arising on the exchange of their SRx Shares. SRx shareholders who are Eligible Holders may elect to (a) receive Exchangeable Shares in respect of any or all of their SRx Shares, and (b) receive Better Choice Shares in respect of the balance of their SRx Shares, if any. Holders of Exchangeable Shares are able to exchange their Exchangeable Shares for Better Choice Shares, on a one-for-one basis, as described under “Description of Exchangeable Shares and Related Agreements.”
Holders of Exchangeable Shares will be entitled to cast votes on matters which holders of Better Choice Shares are entitled to vote pursuant to the Voting Trust Agreement and will be entitled to receive dividends that are economically equivalent to the dividends declared by the Combined Company on the Better Choice Shares.
How will SRx Convertible Securities be treated under the Arrangement?
Under the terms of the Arrangement, all SRx convertibles securities will be exercised for SRx Shares or terminated prior to Closing.
See “The Arrangement — Principal Steps of the Arrangement.”
What will the new name of the Combined Company be following the Arrangement?
The name of the Combined Company will remain Better Choice Company Inc.
Who will manage the Combined Company following the Arrangement?
Following the Effective Time, the Combined Company’s board of directors will be comprised of five directors determined as follows. For more information, see “The Arrangement Agreement — Board of Directors and Officers” and “Information about SRx — Composition of the Board of Directors Following the Effective Time.”
● two (2) director nominees selected by SRx in its sole discretion, which are Adesh Vora and David White, with the former as Chairman and the latter as the independent director; and
● two (2) director nominees selected by Better Choice in its sole discretion, which are Kent Cunningham and Michael Young, with the latter as the independent director; and
● one (1) director nominee mutually selected by the Parties, which is Lionel Conacher.
When do Better Choice and SRx expect to complete the Arrangement?
Subject to obtaining Court and other requisite approvals as well as the satisfaction of all other conditions precedent to the completion of the Arrangement, it is anticipated that the Arrangement will be completed on or about , 2025 subject to the receipt of any required regulatory approvals and the satisfaction of all other conditions to Closing set forth in the Arrangement Agreement.
What will happen if the Arrangement is not completed for any reason?
If the Arrangement is not completed for any reason by January 31, 2025 (subject to a one-time 30-day extension which may be exercised by either SRx or Better Choice or to another date upon mutual written agreement of SRx and Better Choice), the Arrangement Agreement may be terminated. If this occurs, Better Choice will continue to carry on its business operations in the normal course. See “Risk Factors — Risks Relating to the Arrangement.” In certain circumstances, Better Choice or SRx may be required to pay a termination fee of $3.2 million to the other party. See “The Arrangement Agreement — Termination Payment Amount.”
| 39 |
In evaluating the Arrangement, Better Choice stockholders should carefully consider the following risk factors relating to the Arrangement and the Combined Company. The following risk factors are not a definitive list of all risk factors associated with the Arrangement and the Combined Company. Additional risks and uncertainties, including those currently unknown or considered immaterial by Better Choice, may also adversely affect the Better Choice Shares, and/or the business of the Combined Company following the Arrangement.
Risks Related to the Arrangement
The Arrangement may not be completed due to failure to obtain the necessary court and/or regulatory approvals.
To complete the Arrangement, each of SRx and Better Choice must make certain filings with and obtain certain consents and approvals from various governmental and regulatory authorities including the Court, and the approval of NYSE of the listing of the Better Choice Shares to be issued pursuant to the Arrangement. SRx and Better Choice have not yet obtained these approvals, all of which are required to complete the Arrangement. The regulatory approval processes may take a lengthy period of time to complete which could delay completion of the Arrangement. The approval processes, including the undertakings and conditions that may be required for approval or whether the court and regulatory approvals, may not be obtained.
Uncertainty surrounding the Arrangement could adversely affect Better Choice’s retention of strategic partners and personnel and could negatively impact Better Choice’s future business and operations.
Because the Arrangement is dependent upon satisfaction of certain conditions, its completion is subject to uncertainty. In response to this uncertainty, Better Choice’s strategic partners may delay or defer decisions concerning Better Choice. Any delay or deferral of those decisions by strategic partners could have a material adverse effect on the business and operations of Better Choice, regardless of whether the Arrangement is ultimately completed.
The Parties could fail to complete the Arrangement or the Arrangement may be completed on different terms.
The Arrangement may not be completed as there are certain conditions that are outside the control of SRx and Better Choice, or if completed, that the Arrangement will be completed on the same or similar terms to those set out in the Arrangement Agreement. The completion of the Arrangement is subject to the satisfaction of a number of conditions which include, among others, (a) obtaining necessary approvals of securityholders and debtholders of SRx and Better Choice, (b) that not more than 5% of the SRx shareholders exercise Dissent Rights; and (c) performance by SRx and Better Choice of their respective obligations and covenants in the Arrangement Agreement. There can be no assurance that these conditions will be satisfied or, if satisfied, when they will be satisfied.
In addition, each of SRx and Better Choice has the right to terminate the Arrangement Agreement in certain circumstances. Accordingly, there is no certainty that the Arrangement Agreement will not be terminated by either SRx or Better Choice before the completion of the Arrangement. For example, Better Choice has the right, in certain circumstances, to terminate the Arrangement Agreement if changes occur that, in the aggregate, have a SRx Material Adverse Effect. Although a SRx Material Adverse Effect excludes certain events that are beyond the control of SRx and Better Choice, there is no assurance that a change having a SRx Material Adverse Effect on SRx will not occur before the Effective Date, in which case Better Choice could elect to terminate the Arrangement Agreement and the Arrangement would not proceed. In addition, if the Arrangement is not completed by January 31, 2025, SRx or Better Choice may choose to terminate the Arrangement Agreement in accordance with its terms.
If the Arrangement is not completed, the ongoing business of the Better Choice may be adversely affected as a result of the costs (including opportunity costs) incurred in respect of pursuing the Arrangement, and Better Choice could experience negative reactions from the financial markets, which could cause a decrease in the market price of the Better Choice Shares, particularly if the market price reflects market assumptions that the Arrangement will be completed or completed on certain terms. Better Choice may also experience negative reactions from its partners and there could be a negative impact on Better Choice’s ability to attract future acquisition opportunities. Failure to complete the Arrangement or a change in the terms of the Arrangement could each have a material adverse effect on Better Choice’s business, financial condition and results of operations.
If the Arrangement is not completed and the Better Choice Board decides to seek another merger or business combination, it may not be able to find a party willing to engage in a transaction that is equivalent to, or more attractive than, the Arrangement. In addition, in certain circumstances, Better Choice may be required to pay the Termination Payment to SRx.
| 40 |
The Termination Payment, if triggered and the terms of the Voting and Support Agreement, may discourage other parties from attempting to acquire Better Choice.
Under the Arrangement Agreement, Better Choice is required to pay a Termination Payment of $3.2 million to SRx in the event the Arrangement Agreement is terminated in certain circumstances (see “The Arrangement Agreement — Termination Payment”). The Termination Payment may discourage other parties from attempting to acquire the engage in a transaction with Better Choice or otherwise making an Acquisition Proposal, even if those parties would otherwise be willing to offer greater value to the Better Choice stockholder than that offered by SRx under the Arrangement.
Furthermore, as noted above, Better Choice Supporting Stockholders holding approximately [●]% of the issued and outstanding Better Choice Shares have entered into the Voting and Support Agreement which, subject to the terms of thereof, irrevocably commit them to, among other things, vote their Better Choice Shares in favor of the Arrangement Proposal and not in favor of any Acquisition Proposal or Superior Proposal (See “The Arrangement — Voting and Support Agreement”). As a result, the Voting and Support Agreement may discourage other parties from attempting to engage in a transaction with Better Choice, even if those parties would otherwise be willing to offer greater value to Better Choice stockholder than that offered by SRx under the Arrangement.
Better Choice will incur substantial transaction-related costs in connection with the Arrangement even if the Arrangement is not completed.
Certain costs related to the Arrangement, such as legal, accounting and certain financial advisor fees must be paid by Better Choice even if the Arrangement is not completed. Also, if the Arrangement is not completed, Better Choice may be required to pay the Termination Payment to SRx in certain circumstances. Such costs may offset any expected cost savings and other synergies from the Arrangement.
While the Arrangement is pending, Better Choice is restricted from taking certain actions.
The Arrangement Agreement restricts Better Choice from taking specified actions until the Arrangement is completed without the consent of SRx, which may adversely affect the ability of Better Choice to execute certain business strategies including, but not limited to, the ability in certain cases to enter into or amend contracts, acquire or dispose of assets, incur indebtedness or incur capital expenditures. These restrictions may prevent Better Choice from pursuing attractive business opportunities that may arise prior to the completion of the Arrangement. See “The Arrangement Agreement — Conduct of Business of Better Choice.”
The pending Arrangement may divert the attention of Better Choice’s management.
The pending Arrangement could cause the attention of Better Choice’s management to be diverted from the day-to-day operations. These disruptions could be exacerbated by a delay in the completion of the Arrangement and could have an adverse effect on the business, operating results or prospects of Better Choice regardless of whether the Arrangement is ultimately completed.
| 41 |
Following the completion of the Arrangement, the Combined Company may issue additional securities.
Following the completion of the Arrangement, the Combined Company may issue additional securities (including equity securities) to finance its activities, including in order to finance acquisitions. If the Combined Company were to issue additional equity securities, the ownership interest of existing Better Choice stockholders may be diluted and some or all of the Combined Company’s financial measures on a per share basis could be reduced. Moreover, as the Combined Company’s intention to issue additional equity securities becomes publicly known, the Combined Company’s share price may be materially adversely affected.
Risks Related to the SRx Business (the Primary Business of the Combined Company)
SRx conducts its business in a highly regulated industry and environment.
In Canada, the licensing and regulation of pharmacies is under the jurisdiction of provincial and territorial pharmacy regulatory authorities. SRx’s business is governed by stringent federal and provincial governmental regulations and licensing requirements, and it operates in an environment in which regulation and government funding play a key role. Since much of the regulation is provincial, SRx may encounter varying regulations in different provinces. Non-compliance with any existing or proposed laws or regulations, particularly those that provide for the licensing and conduct of pharmacies and health clinics, the licensing and conduct of healthcare professionals, the provision of information concerning prescription drugs, the distribution of prescription drugs, the distribution, pricing and sale of prescription drugs, privacy matters and restrictions or prohibitions on manufacturer allowance funding, could result in civil or regulatory proceedings, fines, penalties, injunctions, recalls or seizures, any of which may impact SRx’s results of operations or financial position.
In addition, any changes to the laws, regulations and policies of federal, provincial, territorial or local governmental authorities affecting SRx’s operations and activities, or the interpretation of such laws or regulations, including delisting of services or changes to licensing requirements relating to healthcare services, or their interpretation or application, could have a material adverse effect on the business, its performance, financial condition, results of operations, prospects and on the sales growth of SRx and SRx could incur significant costs in the course of complying with any changes in the regulatory regime.
Changes in reimbursement programs, prescription drug pricing and commercial terms could adversely affect SRx’s operations and financial performance.
SRx is reliant on prescription drug sales for a significant portion of its sales and profits. Prescription drugs and their sales are subject to rigorous federal, provincial, territorial and local laws and regulations. Changes to these laws and regulations, or non-compliance with these laws and regulations, could have a material adverse impact on SRx’s business, sales and profitability.
Federal and provincial laws and regulations that establish public drug plans typically regulate prescription drug coverage, patient eligibility, pharmacy reimbursement, drug product eligibility, drug pricing and may also regulate manufacturer allowance funding that may be provided to or received by pharmacies. With respect to pharmacy reimbursement, such laws and regulations typically regulate the allowable drug cost of a prescription drug product, the permitted mark-up on a prescription drug product and the professional or dispensing fees that may be charged on prescription drug sales to patients eligible under the public drug plan. With respect to drug product eligibility, such laws and regulations typically regulate the requirements for listing the manufacturer’s products as a benefit or partial benefit under the applicable governmental drug plan, drug pricing and, in the case of generic prescription drug products, the requirements for designating the product as interchangeable with a branded prescription drug product. In addition, other federal, provincial, territorial and local laws and regulations govern the approval, packaging, labeling, sale, marketing, advertising, handling, storage, distribution, dispensing and disposal of prescription drugs.
Sales of prescription drugs, pharmacy reimbursement and drug prices may be affected by changes to the health care industry, including legislative or other changes that impact patient eligibility, drug product eligibility, the allowable cost of a prescription drug product, the mark-up permitted on a prescription drug product, the amount of professional or dispensing fees paid by third-party payers or the provision or receipt of manufacturer allowances by pharmacy and pharmacy suppliers.
The majority of prescription drug sales are reimbursed or paid by third-party payers, such as governments, insurers or corporate employers. These third-party payers have pursued and continue to pursue measures to manage the costs of their drug plans. Each provincial jurisdiction has implemented legislative and/or other measures directed towards managing pharmacy service costs and controlling increasing drug costs incurred by public drug plans and private payers which impact pharmacy reimbursement levels and the availability of manufacturer allowances. Legislative measures to control drug costs include lowering of generic drug pricing, restricting or prohibiting the provision of manufacturer allowances and placing limitations on private label prescription drug products. Other measures that have been implemented by certain government payers include restricting the number of interchangeable prescription drug products which are eligible for reimbursement under provincial drug plans.
| 42 |
Legislation in certain provincial jurisdictions establish listing requirements that ensure that the selling price for a prescription drug product will not be higher than any selling price granted by the manufacturer for the same prescription drug product under other provincial drug insurance programs. In some provinces, elements of the laws and regulations that impact pharmacy reimbursement and manufacturer allowances for sales to the public drug plans are extended by legislation to sales in the private sector. Also, private third-party payers (such as corporate employers and their insurers) are looking or may look to benefit from any measures implemented by government payers to reduce prescription drug costs for public plans by attempting to extend these measures to prescription drug plans they own or manage. Accordingly, changes to pharmacy reimbursement and manufacturer allowances for a public drug plan could also impact pharmacy reimbursement and manufacturer allowances for private sector sales. In addition, private third party payers could reduce pharmacy reimbursement for prescription drugs provided to their members or could elect to reimburse members only for products included on closed formularies or available from preferred providers.
Changes impacting pharmacy reimbursement programs, prescription drug pricing and manufacturer allowance funding, legislative or otherwise, are expected to continue to put downward pressure on prescription drug sales, particularly branded drugs. These changes may have a material adverse impact on SRx’s business, sales and profitability. In addition, SRx could incur significant costs in the course of complying with any changes in the regulatory regime affecting prescription drugs.
Inflation risk
General inflationary pressures may affect drug costs and other operating costs, which could have a material adverse effect on SRx’s financial condition, results of operations and the capital expenditures required to advance SRx’s present and future business plans. There can be no assurance that any governmental action will be taken to control inflationary or deflationary cycles, that any governmental action taken will be effective or whether any governmental action may contribute to economic uncertainty or volatility. Governmental action to address inflation or deflation may also affect currency values. Accordingly, inflation and any governmental response thereto may have a material adverse effect on SRx’s business, results of operations, cash flow, financial condition and the price of its common shares.
SRx’s business is highly competitive and SRx may not be able to compete successfully against current and future competitors.
The specialty healthcare industry is very competitive. SRx has competitors with longer operating histories, larger customer bases, greater brand recognition, greater experience and more extensive commercial relationships in certain jurisdictions, and greater financial, technical, marketing and other resources than SRx does. SRx’s potential new or existing competitors may be able to develop products and services better received by customers or may be able to respond more quickly and effectively than SRx can to new or changing opportunities, technologies, regulations or customer requirements. In addition, some of SRx’s larger competitors may be able to leverage a larger installed customer base and distribution network to adopt more aggressive pricing policies and offer more attractive sales terms, which could cause SRx to lose potential sales or to sell SRx’s products at lower prices. Disruptive innovation by existing or new competitors could alter the competitive landscape in the future. Competition may also come from other sources in the future. Changes in market dynamics or the actions of competitors or manufacturers, including industry consolidation, the emergence of new competitors and strategic alliances could materially and adversely affect SRx’s businesses. SRx’s inability to keep up with the pace of such behavioural changes or technological advancements or with its competitors could adversely affect SRx’s operations or financial performance.
SRx’s business is impacted by the interplay between brand name and generic drugs
The profitability of pharmacy businesses depends upon the utilization of prescription drugs. Utilization trends are affected by, among other factors, the introduction of new and successful prescription drugs as well as lower-priced generic alternatives to existing brand name drugs generally due to higher gross margins on the sale of generic alternatives. Inflation in the price of drugs also can adversely affect utilization. New brand name drugs can result in increased drug utilization and associated sales, while the introduction of lower priced generic alternatives typically results in relatively lower sales, but relatively higher gross profit margins. Accordingly, a decrease in the number or magnitude of significant new brand name drugs or generics successfully introduced, delays in their introduction, or a decrease in the utilization of previously introduced prescription drugs, could have an impact on results of operations. In addition, gross profit margins could be adversely affected if there is an increase in the amounts SRx pay to procure pharmaceutical drugs, including generic drugs, or if new brand name drugs replace existing generic drugs, or if new brand name drugs replace existing generic drugs.
| 43 |
Changes in drug development and prescription mix may impact SRx’s results of operation
A significant portion of SRx’s sales is dependent on the markup SRx earns on drugs dispensed as well as the related dispensing fee. The sources and amounts of SRx’s sales are determined by a number of factors, including the mix of patients, mix of pharmaceuticals dispensed and rates of reimbursement from payors. Changes in the mix of any of these categories could impact SRx’s sales and results of operations.
SRx dispenses significant volumes of prescription medications from its pharmacies. Dispensing volume is a driver of sales and profitability. When drug products are modified or withdrawn by manufacturers, or when increased safety risk profiles of specific drugs or classes of drugs result in decreased usage, physicians may reduce or stop writing prescriptions for these drugs. Negative media reports or other reputational issues regarding drugs could result in reduced consumer demand for such drugs. In cases where there are no acceptable prescription drug equivalents or alternatives for these prescription drugs, SRx’s prescription volumes, sales and profitability could decline.
The pharmaceutical industry’s pipeline of new drugs includes many drugs that over the long term may replace older, more expensive therapies, whether due to the development of new or more effective treatments, the replacement of brand name drugs with generic substitutes, the development of biosimilar drugs or other replacement therapies and new and less expensive delivery methods (such as when an infusion or injectable drug is replaced with an oral drug) or additional products are added to a therapeutic class. As new treatments and drugs are developed, price competition among competing manufacturer’s products may increase. In such cases, drug costs may decline. The mix of SRx’s dispensed drugs could and will change over time as technology advances and existing products are improved or become obsolete and these changes are likely to impact SRx’s sales, results of operations and financial condition.
Product liability, product recall or personal injury issues could damage SRx’s reputation and have a significant adverse effect on SRx’s business, operating results, cash flows and/or financial condition.
SRx’s business could be adversely impacted by the supply of defective or expired products, including the infiltration of counterfeit products into the supply chain, errors in re-labeling of products, product tampering, product recall and contamination or product mishandling issues. Furthermore, a disruption in business operations could occur as a result of contamination of drugs, a failure to maintain necessary shipment and storage conditions, errors in mail order processing, and the unavailability of prescription drugs provided by suppliers, labor disruptions or other unanticipated disruptions, among other factors. SRx seeks to manage this risk through the use of multiple logistics providers such that if there was a disruption of service from one service provider, another party may be used. However, such disruption could reduce SRx’s ability to process and dispense prescriptions and provide products and services to customers. Errors in the dispensing and packaging of pharmaceuticals, including related counseling, in consuming drugs in a manner that is not prescribed and in the provision of other healthcare services could lead to serious injury or death. Product liability or personal injury claims may be asserted with respect to any of the drugs or other products or services SRx sells or provides. The occurrence of such events or incidents, as well as the failure to maintain the cleanliness and health standards at store level, could result in harm to customers negative publicity or could adversely affect brands, reputation, operations or financial performance and could lead to other unforeseen liabilities from legal claims or otherwise.
SRx may not be able to avoid significant liability exposure even if it takes appropriate precautions, including maintaining liability coverage (subject to deductibles and maximum payouts). Any liability that SRx may have as a result could have a material adverse effect on the business, financial condition and results of operations of SRx, to the extent insurance coverage for such liability is not available. Liability claims in the future, regardless of their ultimate outcome, could have a material adverse effect on SRx’s reputation, its ability to attract and retain customers and may detrimentally divert management’s attention away from the business.
The occurrence of unanticipated serious adverse events or other safety problems could cause the regulatory bodies to impose significant restrictions on the distribution or sale of drug products or provision of SRx’s pharmacy or other business services. In addition, the discovery of previously unknown safety problems or increased severity or significance of a pre-existing safety signal could result in withdrawal of the product from the market, product recalls or other material adverse effects on operations. If SRx fails to or does not promptly withdraw pharmaceutical products upon a recall by a drug manufacturer, its business and results of operations could be negatively impacted.
| 44 |
The drug products that SRx carries have a set shelf life
SRx holds finished goods in inventory and SRx’s products have a limited shelf life, as it is normal for certain drugs, supplements and other pharmaceutical ingredients to degrade over time. SRx’s inventory may reach its expiration date and not be sold. Even though SRx manages its inventory, SRx may be required to write-down the value of any inventory that has reached its expiration date, which could have a material adverse effect on SRx’s business, financial condition, and results of operations.
Continued operation of SRx’s distribution facilities is critical to SRx’s operations
SRx is largely dependent on SRx’s distribution facilities to supply SRx’s pharmacies with drug products. If one or more of SRx’s distribution facilities becomes inoperable, capacity is exceeded or if operations are disrupted, SRx’s business, financial condition and operating results could be negatively affected. SRx depends on the orderly operation of the receiving and distribution process, which relies on adherence to shipping schedules and the effective management of SRx’s distribution facilities. Although SRx believes that its receiving and distribution processes are efficient, and SRx has appropriate contingency plans, unforeseen disruptions in operations due to fire, severe weather conditions, natural disasters, or other catastrophic events, electronic or power interruptions, failure of software and hardware or other system failures, labor disagreements or other shipping problems may result in delays in the delivery of SRx’s shipments. Additionally, although SRx believes that the capacity of its distribution facilities meets its current needs, SRx may need to expand its receiving and distribution capacity in the future. Any failure to effectively expand SRx’s distribution capacity in a timely manner to keep pace with SRx’s growth could have an adverse effect on its business. Although SRx maintains business interruption insurance and property insurance, SRx cannot provide any assurance that its insurance coverage will adequately protect SRx from the adverse effects that could result from significant disruptions to its distribution system, such as the long-term loss of clients or an erosion of its reputation, or that insurance proceeds will be paid to SRx in a timely manner.
Risks related to owning real estate
As an owner of real estate, SRx is subject to various federal, provincial and municipal laws relating to environmental matters. Such laws provide that SRx could be liable for the costs of removal of certain hazardous substances and remediation of certain hazardous locations. The failure to remove or remediate such substances or locations, if any, could adversely affect SRx’s ability to sell such real estate or to borrow using such real estate as collateral and could potentially also result in claims against SRx. In addition, real estate investments are relatively illiquid and could be difficult to sell if local market conditions are poor. If SRx was required to liquidate its ownership interest in real property, there is a risk that the sale proceeds would be less than the book value. As well, there are certain significant expenditures involved in real property investments, such as property taxes, maintenance costs and mortgage payments, represent obligations that must be met regardless of the results of SRx’s operations.
Conducting clinical trials involve a high degree of risk
SRx enrolls qualified patients, conduct, supervise and monitor clinical trials, conduct preclinical studies and complete chemistry, manufacturing and controls activities. SRx has regulatory responsibilities, including ensuring that its clinical trials are conducted in accordance with Good Clinical Practices and that preclinical studies are conducted in accordance with Good Laboratory Practices. Failure to complete activities on schedule or conduct preclinical studies or clinical trials in accordance with regulatory requirements or SRx’s trial design could materially adversely impact SRx’s business, financial condition or operating results and could cause the market value of its common shares to decline.
There may be delays or stoppages in SRx’s clinical trials due to circumstances beyond SRx’s control
The commencement of SRx’s planned clinical trials could be delayed or prevented due to a limited number of, and competition for, suitable patients with the particular types of cancer required for enrollment in SRx’s clinical trials; a limited number of, and competition for, suitable sites to conduct SRx’s clinical trials; delay or failure to obtain Health Canada or other regulatory agencies’ approval or agreement to commence a clinical trial; delay or failure to obtain sufficient supplies of the product candidate for SRx’s clinical trials; delay or failure to reach agreement on acceptable clinical trial agreement terms or clinical trial protocols; slower than expected rates of patient recruitment and enrollment; failure of patients to complete the clinical trial; unforeseen safety issues; inability or unwillingness of patients to follow SRx’s clinical trial protocols; and introduction of competitive products that may impede SRx’s ability to retain patients in its clinical trials. Any of the foregoing could have a material adverse effect on SRx’s business, results of operations and financial condition.
| 45 |
Negative results from clinical trials or studies of others and adverse safety events involving the targets of SRx’s products may have an adverse impact on SRx’s future commercialization efforts.
From time to time, studies or clinical trials on various aspects of biopharmaceutical products are conducted by academic researchers, competitors, or others. The results of these studies or trials, when published, may have a significant effect on the market for the biopharmaceutical product that is the subject of the study. The publication of negative results of studies or clinical trials or adverse safety events related to SRx’s product candidates, or the therapeutic areas in which SRx’s product candidates compete, could adversely affect the price of its common shares and SRx’s ability to finance future development of its product candidates, and SRx’s business and financial results could be materially and adversely affected.
SRx’s insurance policies may not be sufficient to cover all claims
As a distributor of products designed to be ingested by humans, SRx faces an inherent risk of exposure to product liability claims, regulatory action, and litigation of its products are alleged to have caused significant loss or injury. SRx may be subject to various product liability claims, including, among others, that the products distributed by SRx caused injury or illness, include inadequate instructions for use or include inadequate warnings concerning possible side effects or interactions with other substances. A product liability claim or regulatory action against SRx could result in increased costs, could adversely affect SRx’s reputation with its clients and consumers generally, and could have a material adverse effect on the business, financial condition, and operating results of SRx. There can be no assurances that SRx’s insurance policies would be able to adequately cover all risks to which SRx is exposed and may not be adequate for all liabilities actually incurred or indemnification claims against SRx. A significant claim not covered by SRx’s insurance, in full or in part, may result in significant expenditures by SRx. Moreover, SRx may not be able to maintain insurance policies in the future at reasonable costs, on acceptable terms or at all, which may adversely affect SRx’s business and the trading price of its securities. The successful assertion of one or more large claims against SRx that exceed available insurance coverage, or the occurrence of changes in SRx’s insurance policies, including premium increases or the imposition of large deductible or co-insurance requirements, could adversely affect SRx’s business, financial condition and results of operations.
SRx is subject to a variety of business continuity hazards and risks, any of which could interrupt SRx’s operations or otherwise adversely affect its performance and operating results.
SRx is subject to business continuity hazards and other risks, including natural disasters, utility and other mechanical failures, acts of war or terrorism, outbreaks of infectious diseases, pandemics or similar health threats, disruption of communications, data security and preservation, disruption of supply or distribution, safety regulation and labor difficulties. The occurrence of any of these or other events to SRx might disrupt or shut down SRx’s operations or otherwise adversely affect SRx’s operations. SRx also may be subject to certain liability claims in the event of an injury or loss of life, or damage to property, resulting from such events. Although SRx has and maintain insurance policies that SRx believes are customary and adequate for its size and industry, its insurance policies include limits and exclusions and, as a result, its coverage may be insufficient to protect against all potential hazards and risks incident to SRx’s business. In addition, SRx’s crisis management and disaster recovery procedures and business continuity plans may not be effective. Should any such hazards or risks occur, or should SRx’s insurance coverage be inadequate or unavailable, SRx’s business, operating results, cash flows and financial condition could be adversely affected.
SRx’s risk management policies and procedures may not be fully effective in mitigating SRx’s risk exposure in all market environments or against all types of risks, which could expose SRx to losses and liability and otherwise harm SRx’s business.
SRx operates in a highly regulated industry and both SRx and the industry in which it conducts its business have experienced significant change in recent years. Accordingly, SRx’s risk management policies and procedures may not be fully effective at identifying, monitoring and managing SRx’s risks. Some of SRx’s risk evaluation methods depend upon information provided by third parties regarding markets, customers or other matters that are otherwise inaccessible to SRx. In some cases, however, that information may not be accurate, complete or up-to-date. SRx’s risk management policies, procedures, techniques and processes may not be effective at identifying all of the risks to which SRx is exposed or enabling it to mitigate the risks SRx has identified. In addition, when SRx introduces new services, focuses on new business types or begins to operate in markets in which SRx has a limited history or experience, SRx not be able to forecast and reserve accurately for new risks. If SRx’s risk management policies and processes are ineffective, SRx may suffer financial losses, SRx may be subject to liability and SRx’s business, financial condition and results of operations may be materially and adversely affected.
| 46 |
Consumer opinion of SRx may be impacted in case of reputational damages to SRx’s suppliers
SRx promotes nationally branded, non-proprietary products, as well as private label, proprietary products. Damage to the reputation of any of these brands, or to the reputation of any supplier or manufacturer of these brands, could negatively impact consumer opinion of SRx or the related products, which could have an adverse impact on the financial performance of SRx.
Healthcare professional errors may harm SRx’s business and reputation
Exposure to risks related to managing confidential information and possible professional errors by healthcare professionals, including pharmacists, could have a significant impact on SRx’s reputation and corporate image. SRx may be subject to claims that it wrongfully hired an employee or healthcare professional from a competitor, or that SRx’s employees, consultants or independent contractors have wrongfully used or disclosed confidential information of third parties or that SRx’s employees have wrongfully used or disclosed alleged trade secrets of their former employers. Healthcare professionals may offer counseling to customers about medication, dosage, delivery systems, common side effects and other information that they deem significant. Healthcare professionals such as pharmacists may also have a duty to warn customers regarding any potential negative effects of a prescription drug if the warning could reduce or negate these effects. An error or omission could cause reputational harm and impact financial performance.
Consolidation in the supply chain may negatively impact drug prices and SRx’s ability to compete
Many sourcing and procurement organizations in the healthcare industry have consolidated to create larger healthcare enterprises with greater market power. While this consolidation could increase efficiency and has the potential to improve the delivery of health care services, it also reduces competition and the number of potential contracting parties in certain geographies, and has led to pricing pressures. New and proposed acquisitions, partnerships and strategic alliances in the healthcare industry can alter market dynamics and impact businesses and competitive positioning. Changes in the participants in global sourcing enterprises relating to drug procurement, whether as a result of mergers, acquisitions or other transactions, can also have a similar effect on market dynamics and business. In addition, further consolidation among generic drug manufacturers could lead to generic drug inflation in the future. SRx expects that market demand, government regulation, third-party reimbursement policies, government contracting requirements, and societal pressures will continue to cause the healthcare industry to evolve, potentially resulting in further business consolidations and alliances among industry participants.
SRx relies on third-party suppliers for a significant portion of its supply of products
SRx relies on third parties to supply a significant portion of SRx’s inventories. SRx is reliant on these third parties for timely supply of products, including general pharmaceutical products. These third parties may find it necessary to allocate their supply of particular products among its customers. Such allocations of supply may in the future be an impediment in the conduct of business. There can be no assurance that these third parties will continue to supply their products in the timeframe and quantities required by SRx. There may be a need to identify alternate third party suppliers to prevent a possible disruption of the manufacture of certain pharmaceutical drug products. SRx does not have control over the process or timing of the manufacturing of the pharmaceutical drug products that SRx distributes or sells, and disruptions could harm its business, financial condition and results of operation.
SRx’s quarterly results of operations may fluctuate and, as a result, SRx may fail to meet or exceed the expectations of investors or securities analysts which could cause SRx’s share price to decline.
SRx’s quarterly revenue and results of operations may fluctuate as a result of a variety of factors, many of which are outside of its control. If its quarterly revenue or results of operations fall below the expectations of investors or securities analysts, the price of its common shares could decline substantially. Fluctuations in its results of operations may be due to a number of factors, including: demand for and market acceptance of SRx’s products; the mix of services sold during a period; SRx’s ability to retain and increase sales to customers and attract new customers; the strength of the economy; changes in SRx’s pricing policies or those of SRx’s competitors; competition, including entry into the industry by new competitors and new offerings by existing competitors; network outages or security breaches; and the amount and timing of expenditures related to expanding SRx’s operations and SRx’s growth opportunities. Due to the foregoing factors, and the other risks discussed in this prospectus, you should not rely on quarter-to-quarter comparisons of SRx’s results of operations as an indication of SRx’s future performance.
| 47 |
Change in tax and trade policies, tariffs and other government regulations affecting trade between Canada and other countries could adversely affect SRx.
Many branded and generic drug products are manufactured in whole or in substantial part outside of Canada. As a result, significant changes in tax or trade policies, tariffs or trade relations between Canada and other countries, such as the imposition of unilateral tariffs on imported products, could result in significant increases in costs, restrict access to suppliers, depress economic activity, and have a material adverse effect on business, cash flows and results of operations. In addition, other countries may change their business and trade policies and such changes, as well as any negative sentiments towards Canada in response to increased import tariffs and other changes in Canada trade regulations, could adversely affect SRx’s businesses, if SRx fails to respond adequately to such changes, including by implementing strategic and operational initiatives.
Disruption of the global supply chain and ineffective service providers could adversely impact SRx’s business
Products are sourced from a wide variety of domestic and international vendors, and any future disruption in supply chain or inability to find qualified vendors and access products that meet requisite quality and safety standards in a timely and efficient manner could adversely impact pharmacy businesses.
The loss or disruption of supply arrangements for any reason, including for health epidemics or pandemics, labor disputes, loss or impairment of key manufacturing sites, inability to procure sufficient raw materials, quality control issues, ethical sourcing issues, a supplier’s financial distress, natural disasters, civil unrest or acts of war or terrorism, trade sanctions or other external factors, could interrupt product supply. Additionally, offshore sourcing increases certain risks, including risks associated with drug safety, product defects, non-compliance with ethical and safe business practices and inadequate supply of products.
Ineffective selection of service providers (including transport carriers, logistics service providers and operators of warehouses and distribution facilities), contractual terms or relationship management could impact ability to source products (both national brand and control brand products), to have products available for customers, to market to customers or to operate efficiently and effectively.
Failure to meet customer expectations may harm SRx’s brand and reputation, its ability to retain and grow its customer base and its operating results.
Products and services must satisfy the needs and desires of customers, whose preferences may change. It is difficult to predict consistently and successfully the products and services customers will demand. Failure to timely identify or effectively respond to changing consumer preferences and spending patterns, and evolving demographic mixes in markets, an inability to expand the products being purchased by clients and customers, or the failure or inability to obtain or offer particular categories of products could adversely affect relationships with customers and clients and the demand for products and services and could result in excess inventories of products, which could adversely affect its operating results.
If SRx cannot keep pace with rapid developments in healthcare technology and change in SRx’s industry and continue to grow its patient base, the use of SRx’s services could decline, reducing SRx’s revenue.
Certain markets in which SRx competes are subject to rapid and significant changes. The healthcare technology market, in particular, is characterized by rapid technological change, new product and service introductions, evolving industry standards, changing patient needs, consolidation and the entrance of non-traditional competitors. In order to remain competitive and continue to acquire new customers, SRx is continually involved in a number of projects to develop new services and improve SRx’s existing services. These projects may not be successful and carry some risks, such as cost overruns, delays in delivery, performance problems and lack of patient adoption, and may cause SRx to become subject to additional regulation. Any inability to develop or delay in the delivery of new services or the failure to differentiate SRx’s services or to accurately predict and address market demand could render SRx’s services less desirable, or even obsolete, to SRx’s customers. In addition, many current or prospective customers may find competing services more attractive if SRx does not keep pace with market innovation, and many may choose to switch to competing services even if SRx does its best to innovate and provide superior services.
SRx relies in part, and may in the future rely in part, on third parties, including some of SRx’s competitors and potential competitors, for the development of, and access to, new technologies. If SRx is unable to maintain these relationships, it may lose access to new technologies or may not have the speed-to-market necessary to successfully launch new offerings.
SRx’s future success will depend on SRx’s ability to adapt to technological changes and evolving industry standards. SRx cannot predict the effects of technological changes on SRx’s business. If SRx is unable to adapt to technological changes or evolving industry standards on a timely and cost-effective basis by introducing new services and improving existing services, he SRx’s business, financial condition and results of operations could be materially adversely affected.
| 48 |
SRx’s use and disclosure of personally identifiable information, including personal health information, is subject to privacy and security regulations.
There are a number of federal and provincial laws protecting the confidentiality of certain patient health information, including patient records, and restricting the use and disclosure of that protected information. In particular, the privacy rules under PIPEDA and substantially similar provincial legislation, including personal health information protection legislation applicable in the provinces and territories of Canada, protect medical records and other personal health information by limiting their use and disclosure of health information to the minimum level reasonably necessary to accomplish the intended purpose. If SRx was found to be in violation of the privacy or security rules under the Personal Information Protection and Electronic Documents Act (Canada) (“PIPEDA”) or such other laws protecting the confidentiality of patient health information, it could be subject to sanctions or criminal penalties, or otherwise be the subject of litigation (including a class action) for breach of privacy or failing to ensure the security of resident and patient information, any of which could increase its liabilities, harm its reputation and have a material adverse effect on the business, results of operations and financial condition of SRx.
SRx relies on the relationships that SRx has established with major drug manufacturers and specialty practitioners to conduct SRx’s business, and changes to these relationships may impair SRx’s operations.
SRx has developed strong working relationships with several industry stakeholders including major drug manufacturers and specialty practitioners that have served to benefit SRx’s continued operations. SRx is dependent on these relationships to access therapies ahead of competition, stay ahead of the curve on innovative therapies and regulatory changes in the pipeline and to receive access to specialty medications promptly and at competitive prices. Changes to these favorable relationships could negatively impact its business, and its continued growth is in part dependent on the maintenance of these relationships.
SRx may be subject to information technology systems impairment and cyber-attacks in the future
SRx’s operations depend on the timely maintenance, upgrade and replacement of networks, equipment, information technology systems and software, as well as pre-emptive expenses to mitigate the risks of failures.
In addition, SRx collects and stores personal information about SRx’s patients and are responsible for protecting that information from privacy breaches. A privacy breach may occur through procedural or process failure, information technology malfunction, or deliberate unauthorized intrusions. Theft of data for competitive purposes, particularly patient lists and preferences, is an ongoing risk whether perpetrated via employee collusion or negligence or through deliberate cyber-attack. Any such theft or privacy breach would have a material adverse effect on SRx’s business, financial condition and results of operations.
SRx has not experienced any material losses to date relating to cyber-attacks or other information security breaches, but there can be no assurance that SRx will not incur such losses in the future. SRx’s risk and exposure to these matters cannot be fully mitigated because of, among other things, the evolving nature of these threats. As a result, cyber security and the continued development and enhancement of controls, processes and practices designed to protect systems, computers, software, data and networks from attack, damage or unauthorized access is a priority. As cyber threats continue to evolve, SRx may be required to expend additional resources to continue to modify or enhance protective measures or to investigate and remediate any security vulnerabilities.
SRx’s services must integrate and interoperate with a variety of operating systems, software, hardware, web browsers and networks.
SRx is dependent on the ability of SRx’s products and services to integrate with a variety of operating systems, software, hardware, networks and web browsers that SRx does not control. Any changes in these systems or networks that degrade the functionality of SRx’s products and services, impose additional costs or requirements on SRx or give preferential treatment to competitive services could materially and adversely affect usage of SRx’s products and services. Given the nature of SRx’s business and the pace of technological change, SRx may be unsuccessful in attempting to keep up with changing systems or the cost of doing so could be prohibitive, either of which could materially adversely affect SRx’s business and operations. In the event that it is difficult for SRx’s patients and corporate customers to access and use SRx’s products and services, SRx’s business may be materially and adversely affected.
In addition, SRx’s solutions, including hardware and software, interoperate with mobile networks offered by telecom operators and mobile devices developed by third parties. Changes in these networks or in the design of these mobile devices may limit the interoperability of SRx’s solutions with such networks and devices and require modifications to SRx’s solutions. If SRx is unable to ensure that its hardware and software continue to interoperate effectively with such networks and devices, or if doing so is costly, SRx’s business, financial condition and results of operations may be materially and adversely affected.
| 49 |
Failure to properly manage inventories and anticipate demand may impact SRx’s financial performance
SRx’s business is subject to risks associated with managing inventory and changes in customer’s preferences. Failure by SRx to properly manage its inventory and effectively anticipate the demand for products offered may result in SRx having inventory that customers do not want, is not reflective of customers’ tastes or habits, or is priced at a level customers are not willing to pay. Inability of SRx to respond to changing consumer preferences may result in excess inventory, inventory levels that are insufficient to meet demand or inventory that may have to be sold at lower prices. SRx monitors the impact of customer trends and inventory turnover and obsolescence. However, despite these efforts, inappropriate inventory levels may negatively impact SRx’s financial performance.
Reliance on data obtained from third party sources
SRx relies on certain operational data obtained from third parties that are industry accepted data sources. Such data relied on by SRx may not accurately reflect actual prescriptions. If such data turns out to be inaccurate or unreliable and SRx’s controls are not effective, there could be an adverse effect on SRx’s financial performance, its ability to properly manage inventory and its ability to interpret industry trends.
Change in population demographics could have an adverse effect on SRx’s business, operations, financial condition and results of operations.
The aging population in Canada is a major driver of demand for SRx’s products and services. Due to declining fertility rates and increased life expectancy, seniors in Canada are a rapidly growing segment of the population and are living longer and healthier lives than previous generations. These trends have generally resulted in an increased demand for pharmaceutical and other drugs, particularly among the elderly population. A change in any of these demographic trends, including shorter life spans, reduced incidence of illness or reduced demand for pharmaceutical drugs, could significantly impact demand for SRx’s services and have a material adverse effect on SRx’s business, operations, financial condition and results of operations.
If SRx is unable to hire, retain and motivate qualified personnel, its business will suffer
SRx’s future success depends, in part, upon SRx’s ability to attract, retain and motivate highly skilled and qualified personnel. Failure to attract and retain qualified professionals that are essential to SRx’s operations, including pharmacists, sales and marketing personnel and skilled management could adversely affect SRx’s business. If SRx fails to attract, train and retain sufficient numbers of these highly qualified people, its prospects, business, financial condition and results of operations will be materially and adversely affected.
SRx is dependent on the continued services and performance of SRx’s senior management and other key employees, the loss of any of whom could adversely affect SRx’s business, operating results and financial condition.
SRx’s future performance depends on the continued services and contributions of its senior management, including its NEOs, and other key employees to execute on its business plan and to identify and pursue new opportunities and product innovations. The failure to properly manage succession plans and/or the loss of services of senior management or other key employees could significantly delay or prevent the achievement of SRx’s strategic objectives. From time to time, there may be changes in SRx’s senior management team resulting from the hiring or departure of executives, which could disrupt SRx’s business. The loss of the services of one or more of its senior management or other key employees for any reason could adversely affect SRx’s business, financial condition and operating results and require significant amounts of time, training and resources to find suitable replacements and integrate them within SRx’s business and could affect SRx’s corporate culture.
| 50 |
From time to time, SRx may become defendants in legal proceedings as to which SRx is unable to assess its exposure, and which could become significant liabilities in the event of an adverse judgment.
From time to time in the ordinary course of SRx’s business, SRx may become involved in various legal proceedings, including commercial, product liability, employment, class action and other litigation and claims, as well as governmental and other regulatory investigations and proceedings. Such matters can be time-consuming, divert management’s attention and resources and cause SRx to incur significant expenses. Furthermore, because litigation is inherently unpredictable, the results of any such actions may have a material adverse effect on SRx’s business, operating results or financial condition.
Labor-related matters, including labor disputes, may adversely affect SRx’s operations
Potential labor disputes at SRx’s independent stores or transportation carriers create risks for SRx’s business, particularly if a dispute results in work slowdowns, lockouts, strikes or other disruptions of its operations. Any potential labor dispute, either in SRx’s own operations or in those of third parties, on whom SRx relies, could materially affect SRx’s costs, decrease SRx’s sales, harm SRx’s reputation or otherwise negatively affect SRx’s sales, profitability or financial condition.
Goodwill and other intangible assets could, in the future, become impaired
Goodwill and indefinitely lived intangible assets are subject to annual impairment reviews, or more frequent reviews if events or circumstances indicate that the carrying value may not be recoverable. When evaluating goodwill for potential impairment, SRx compares the fair value of SRx’s reporting units to their respective carrying amounts. SRx estimates the fair value of SRx’s reporting units using a combination of a discounted cash flow method and a market multiple method. If the carrying amount of a reporting unit exceeds its estimated fair value, a goodwill impairment loss is recognized in an amount equal to the excess to the extent of the goodwill balance. Estimated fair values could change if, for example, there are changes in the business climate, industry-wide changes, changes in the competitive environment, adverse legal or regulatory actions or developments, changes in capital structure, cost of debt, interest rates, capital expenditure levels, operating cash flows or market capitalization. Because of the significance of SRx’s goodwill and intangible assets, any future impairment of these assets could require material noncash charges to SRx’s operating results, which also could have a material adverse effect on SRx’s financial condition.
Conflicts of interest may arise between SRx and its directors and officers as a result of other business activities undertaken by such individuals.
SRx may be subject to various potential conflicts of interest because of the fact that some of its directors and executive officers may be engaged in a range of business activities. In addition, SRx’s directors and executive officers may devote time to their outside business interests, so long as such activities do not materially or adversely interfere with their duties to SRx and subject to any contractual restrictions restricting such activities. In some cases, SRx’s executive officers and directors may have fiduciary obligations associated with business interests that interfere with their ability to devote time to SRx’s business and affairs, which could adversely affect SRx’s operations. These business interests could require significant time and attention of SRx’s executive officers and directors.
Conflicts of interest, if any, will be subject to the procedures and remedies provided under applicable laws and policies of SRx. For example, a director who has a material interest in a matter before the Board or any committee on which he or she serves is required to disclose such interest as soon as the director becomes aware of it and absent himself or herself from the meeting while discussions and voting with respect to the matter are taking place. In accordance with applicable laws, the directors of SRx are required to act honestly and in good faith with a view to the best interests of SRx.
SRx is subject to risks associated with leasing space and equipment and is subject to a number of long-term non-cancelable leases with substantial lease payments.
Other than its distribution facility, SRx leases its physical operating locations and is subject to risks associated with leasing, occupying and making tenant improvements to real property, including adverse demographic and competitive changes affecting the property, changes in availability of and contractual terms for leasable space, credit risk in relation to tenant improvement allowances from landlords and potential liability for environmental conditions or personal injury claims. There can be no assurances that SRx will be able to extend, renew or continue to lease its existing locations.
Additional sites that SRx leases may be subject to long-term non-cancelable leases if SRx is unable to negotiate shorter terms. If an existing or future location is not profitable, and SRx decides to close it, SRx may nonetheless be committed to perform its obligations under the applicable lease including, among other things, paying the base rent for the balance of the lease term. In addition, if SRx is not able to enter into new leases or renew existing leases on terms acceptable to SRx, this could have an adverse effect on SRx’s results of operations and profitability. Any failure to make lease payments when due, or the inability to extend, renew or continue to lease space and equipment in key locations, would likely harm SRx’s business, profitability and results of operations.
| 51 |
SRx may be unable to adequately protect its proprietary and intellectual property rights
SRx believes that its intellectual property has substantial value and has contributed significantly to the success of its business. SRx’s URL addresses, social media addresses, business names, and brand portfolio are assets, which add distinctive value and recognition to its customers. SRx’s trademarks are valuable assets that reinforce its brand and consumers’ favorable perception of its products. SRx’s continued success depends, to a significant degree, upon its ability to protect and preserve its intellectual property, including its trademarks and trade secrets. If SRx fails to protect its intellectual property adequately, unauthorized disclosure of such information could harm the value of its brand. SRx relies on confidentiality agreements and trademark, trade secret law to protect its intellectual property rights. Employees with access to such information are subject to confidentiality provisions contained in their employment offers which prohibit them from disclosing information. Even with confidentiality measures in place, there is no assurance that SRx’s intellectual property rights can be successfully defended and protected in the future.
Being accused of infringing intellectual property rights of others
Other parties may claim that SRx infringes or violates their trademarks, patents, copyrights, domain names, publicity rights or other proprietary rights. Such claims, regardless of their merit, could result in litigation or other proceedings and could require SRx to expend significant financial resources and attention by SRx’s management and other personnel that otherwise would be focused on SRx’s business operations, result in injunctions against SRx that prevent SRx from using material intellectual property rights, or require SRx to pay damages to third parties. SRx may need to obtain licenses from third parties who allege that SRx has infringed or violated their rights, but such licenses may not be available on terms acceptable to SRx or at all. In addition, SRx may not be able to obtain or use on terms that are favorable to SRx, or at all, licenses or other rights with respect to intellectual property that SRx does not own, which would require SRx to develop alternative intellectual property. To the extent SRx relies on open-source software, SRx may face claims from third parties that claim ownership of the open source software or derivative works that were developed using such software, or otherwise seek to enforce the terms of the applicable open source license. Similar claims might also be asserted regarding SRx’s in-house software. The occurrence of these claims could harm SRx’s brand or materially adversely affect SRx’s business, financial position and operating results.
The costs and effects of pending and future litigation, investigations or similar matters, or adverse facts and developments related thereto, could materially affect SRx’s business, financial position and results of operations.
SRx may in the future be party to legal, arbitration and administrative investigations, inspections and proceedings arising in the ordinary course of SRx’s business or from extraordinary corporate, tax or regulatory events that involve SRx or its associated participants, particularly with respect to negligence, civil, tax and labor claims.
SRx’s indemnities and insurance may not cover all claims that may be asserted against SRx, and any claims asserted against SRx, regardless of merit or eventual outcome, may harm SRx’s reputation. Furthermore, there is no guarantee that SRx will be successful in defending ourselves in pending or future litigation or similar matters under various laws. Should the ultimate judgments or settlements in any pending or future litigation or investigation significantly exceed SRx’s indemnity rights, they could have a material adverse effect on SRx’s business, financial condition and results of operations and the price of SRx’s securities. Further, even if SRx adequately addresses issues raised by an inspection conducted by an agency or successfully defend SRx’s case in an administrative proceeding or court action, SRx may have to set aside significant financial and management resources to respond and settle issues raised by such proceedings, which could adversely affect SRx’s business.
SRx is heavily reliant on its healthcare professionals, and SRx’s success depends on the satisfactory performance by its healthcare professionals of their professional obligations including maintenance of their required qualifications. SRx’s healthcare professionals could be subject to negligence claims, suits or complaints relating to services provided from time to time. From time to time, SRx’s healthcare professionals may enmesh SRx in outstanding or unforeseen legal, regulatory, contractual, employee or other issues. The failure of SRx’s healthcare professionals to perform their professional obligations or the successful assertion of one or more large claims against SRx, whether or not those claims may be covered by an indemnity or insurance, could adversely affect SRx’s business, financial condition and results of operations.
| 52 |
SRx may become involved in regulatory or agency proceedings, investigations and audits
SRx’s business requires compliance with many laws and regulations and the sensitive nature of the healthcare industry may attract increased regulatory and agency scrutiny. Failure to comply with these laws and regulations could subject SRx to regulatory or agency proceedings or investigations and could also lead to damage awards, fines and penalties. SRx may become involved in a number of government or agency proceedings, investigations and audits. The outcome of any regulatory or agency proceedings, investigations, audits, and other contingencies could harm SRx’s reputation, require SRx to take, or refrain from taking, actions that could harm its operations or require SRx to pay substantial amounts of money, harming its financial condition. There can be no assurance that any pending or future regulatory or agency proceedings, investigations and audits will not result in substantial costs or a diversion of management’s attention and resources or have a material adverse impact on SRx’s business, financial condition and results of operation.
SRx may also become party to litigation from time to time in the ordinary course of business which could adversely affect its business. Should any litigation in which SRx becomes involved be determined against SRx, such a decision could adversely affect SRx’s ability to continue operating and the value of its common shares and could use significant resources. Even if SRx is involved in litigation and is successful, litigation can redirect significant Company resources, including the time and attention of management and available working capital. Litigation may also create a negative perception of SRx’s brand.
The impact of economic conditions, including the resulting effect on spending by consumers, may adversely affect SRx’s business, operating results and financial condition.
The impact of economic conditions, including the resulting effect on spending by consumers, may adversely affect SRx’s business, operating results and financial condition. Canadian pharmacies are affected by the Canadian economy and consumer confidence in general, including various economic factors, inflation and changes in consumer purchasing power, preferences and/or spending patterns. It is possible that an unfavorable, uncertain or volatile economic environment will cause a decline in drug utilization, an increase in health care utilization and dampen consumer demand for SRx’s products and services.
Risks Relating to SRx’s Growth Strategy
SRx may not be able to successfully implement SRx’s growth strategy.
SRx’s future growth, profitability and cash flows depend upon SRx’s ability to successfully implement SRx’s growth strategy, which, in turn, is dependent upon a number of factors, including SRx’s ability to accomplish acquiring new pharmacies and integrating them into the SRx Network, leveraging existing infrastructure to drive organic growth, expanding SRx’s wholesale distribution capabilities, further developing SRx’s service offerings through investment in technology, and accelerating SRx’s clinical trials business.
There can be no assurance that SRx can successfully achieve any or all of the above initiatives in the anticipated manner or time period. Further, achieving these objectives will require investments which may result in short-term costs without generating any current revenue and therefore may be dilutive to SRx’s earnings. SRx cannot provide any assurance that SRx will realize, in full or in part, the anticipated benefits SRx expects SRx’s strategy will achieve. The failure to realize those benefits could have a material adverse effect on SRx’s business, financial condition and results of operations.
SRx has experienced significant growth in recent periods, which puts strain on its business, operations and employees. SRx anticipates that its operations will continue to expand. To manage its current and anticipated future growth effectively, SRx must continue to maintain and enhance its IT infrastructure, financial and accounting systems and controls.
Failure to effectively manage its growth could also lead SRx to over-invest or under-invest in development and operations, result in weaknesses in its infrastructure, systems or controls, and give rise to operational mistakes, financial losses, loss of productivity or business opportunities and result in loss of employees and reduced productivity of remaining employees. If SRx’s management is unable to effectively manage SRx’s growth, its expenses may increase more than expected, its revenue may not increase or may grow more slowly than expected and SRx may be unable to implement its business strategy.
| 53 |
A portion of SRx’s growth depends on SRx’s ability to complete future acquisitions, and failure to do so in a timely manner, or on less favourable terms to SRx, could impede SRx’s ability to execute portions of SRx’s business strategy
SRx expects to engage in future acquisitions in order to achieve SRx’s growth strategy. SRx’s ability to execute its growth strategy depends in part on its ability to identify and acquire desirable acquisition candidates at a price and on terms acceptable to SRx and on its ability to successfully integrate acquired operations into SRx’s business. If SRx identifies suitable acquisition candidates, SRx may be unable to successfully negotiate their acquisition at a price or on terms and conditions acceptable to SRx. While SRx expects SRx will be able to fund some of its acquisitions and capital expenditures with SRx’s existing resources, SRx will likely require additional financing, including debt and equity financings, to pursue certain acquisitions. SRx may not be able to complete debt or equity financings on terms favourable to SRx or at all.
Any future acquisitions, partnerships or joint ventures that SRx makes or enters into could disrupt SRx’s business and harm SRx’s financial condition.
SRx evaluates, and expect in the future to evaluate, potential strategic acquisitions of, and partnerships or joint ventures with, businesses providing services or technologies that are complementary to SRx’s existing services and technologies. However, SRx may not be successful in identifying acquisition, partnership and joint venture targets or SRx may use estimates and judgments to evaluate the operations and future revenue of a target that turn out to be inaccurate. In addition, SRx may not be able to successfully finance or integrate a particular business, service or technology that SRx acquires or with which SRx forms a partnership or joint venture, and SRx may not achieve the anticipated benefits of such project or SRx may lose customers as a result. Furthermore, the integration of any acquisition, partnership or joint venture may divert management’s time and resources from SRx’s existing business and disrupt its operations. Certain acquisitions may also enmesh SRx in outstanding or unforeseen legal, regulatory, contractual, employee or other issues. As a result of any of the foregoing, SRx may spend time and money on projects that do not increase its revenue or profitability. Moreover, SRx’s competitors may be willing or able to pay more than SRx for acquisitions, which may cause SRx to lose certain acquisitions that SRx would otherwise desire to complete. Even if SRx successfully competes for a certain acquisition, partnership or joint venture, SRx may finance the project with cash on hand, equity or debt, or a combination thereof, which could decrease SRx’s cash reserves, dilute SRx’s shareholders, including investors under this prospectus, or significantly increase SRx’s level of indebtedness or place other restrictions on SRx’s operations. SRx cannot ensure that any acquisition, partnership or joint venture SRx makes will not have a material adverse effect on SRx’s business, financial condition and results of operations.
Competition for acquisition candidates, consolidation within the pharmacy industry and economic and market conditions may limit SRx’s ability to grow through acquisitions.
SRx seeks to grow through strategic acquisitions in addition to organic growth. Although SRx has and expects to continue to identify numerous acquisition candidates that SRx believes may be suitable, SRx may not be able to acquire them at prices or on terms and conditions favourable to SRx. Other companies have adopted or may in the future adopt SRx’s strategy of acquiring and consolidating regional and local businesses. SRx expects that increased consolidation in the pharmacy industry over the longer term will reduce the number of attractive acquisition candidates. Moreover, general economic conditions and the environment for attractive investments may affect the desire of the owners of acquisition candidates to sell their companies. As a result, SRx may have fewer acquisition opportunities, and those opportunities may be on less attractive terms than in the past, which could cause a reduction in SRx’s rate of growth from acquisitions.
Changes in the Canadian healthcare industry and regulatory environment could negatively affect SRx’s growth and financial projections.
Changes in the Canadian healthcare industry and regulatory environment could have a material adverse impact on SRx’s results of operations. Provincial governments in Canada provide partial funding for the purchase of pharmaceuticals and independently regulate the sale and reimbursement of drugs. Provincial governments in Canada have introduced significant changes in recent years in an effort to reduce the costs of publicly funded health programs. For instance, to reduce the cost for taxpayers, provincial governments have taken and will continue to take steps to reform the rules regarding the sale of generic drugs. These changes include increased powers of investigation, reporting and enforcement for provincial regulatory agencies, the significant lowering of prices for generic pharmaceuticals and, in some provinces, changes to the allowable amounts of professional allowances paid to pharmacists by generic manufacturers and the tendering of generic molecules on provincial drug formularies. These reforms may adversely affect the distribution of drugs as well as the pricing for prescription drugs in Canada. Additional provinces have implemented or are considering similar changes, which would also lower pharmaceutical pricing and service fees. Individually or in combination, such changes in the Canadian healthcare environment may materially reduce SRx’s revenue and operating results and could cause the market price of SRx’s Common Shares to decline.
| 54 |
Business Description
Company Overview
SRx is an integrated, Canadian health care services provider that operates within the specialty healthcare industry. SRx has developed a collaborative specialty healthcare network (the “SRx Network”) that strategically positions SRx to achieve business objectives. The SRx Network is comprised of 29 specialty pharmacies, 40 infusion clinics and injection sites, four clinical trials sites, patient support programs (“PSP”), allied health team and nursing services, and a wholly owned Health Canada accredited pharmaceutical wholesale and distribution facility located in Mississauga, Ontario. The SRx Network extends across all 10 Canadian provinces, making it one of the most accessible providers of comprehensive, integrated and customized specialty healthcare services in Canada.
Specialty pharmacies and clinics focus on the provision of a subset of prescription medicines termed, “specialty drugs”. Specialty drugs generally refer to medications that are high-cost (list price typically in excess of US$6,000 per year), require complex infrastructure to administer and distribute, and cannot be accessed, administered or managed at traditional retail pharmacies. Specialty drugs are typically used to treat complex, chronic, or rare diseases which are becoming increasingly prevalent. The SRx Network consists of a collaborative and complex network of industry stakeholders, including physicians, pharmacists, pharmaceutical companies and distributors, PSPs, third-party payors and nurses, who work to administer, manage and distribute specialty drugs. The complexities of the required infrastructure represent a significant barrier to entry for traditional retail pharmacies.
Description of Business, Operational Overview and Business ObjectiveSRx was founded in 2013 by Adesh Vora. After over 12 years of operating six traditional retail pharmacies that focused on low-cost, high-volume, Mr. Vora opened two specialty pharmacies in Ontario. Mr. Vora recognized the need to provide a high quality of care for costly and complex specialty drugs which were beyond the scope of traditional retail pharmacies. Since 2013, the SRx Network has grown primarily by opening and acquiring new specialty pharmacies and health clinics, expanding its wholesale distribution capabilities, and increasing the types and scale of health services provided. In its current form, SRx stands as one of just a few specialty pharmacy chains in Canada, and is the newest entrant in the space. SRx currently employs approximately 444 people including 181 pharmacy team members, 146 nurses (Nursing Team Members), 8 clinical trial technicians, 23 patient support workers, and 86 corporate staff. For the year ended at September 30, 2023, SRx’s revenue was approximately CAD$161 million and its Adjusted EBITDA was CAD$11.4 million and for the nine months ended at June 30, 2024, its revenue was $159 million and its Adjusted EBITDA was CAD$6.2 million.
Going forward, SRx plans on growing by acquiring new pharmacies and clinics and integrating them into the SRx Network, leveraging existing specialty infrastructure to drive organic growth, expanding its wholesale distribution capabilities, further developing its service offerings through investment in technology, and accelerating our clinical trials business. In addition, SRx will continue to focus on organically growing through expanding its patient support programs and expanding its collaborations.
Over the last 10 years, SRx has constructed a collaborative network across Canada to make access to specialty healthcare simple for Canadians. The provision of comprehensive specialty health care requires a complex sophisticated network that works cohesively to provide its patients with optimal care. The SRx Network is comprised of physicians, pharmacists, pharmaceutical companies and distributors, PSPs, insurers, nurses and other industry stakeholders who provide Canadians with access to a full suite of comprehensive, integrated, and customized specialty healthcare services. The Canadian industry is currently fragmented and requires patients to independently seek specialty care without the benefit of a collaborative network. The SRx Network alleviates this burden by making it easy for patients and other stakeholders alike to access and navigate specialty healthcare in an otherwise difficult environment.
| 55 |
Specialty Pharmacies
SRx owns and operates 29 specialty pharmacies across eight provinces in Canada (all provinces other than in Prince Edward Island and Québec). SRx’s team of pharmacists are highly skilled, knowledgeable, and equipped with the proper training and experience required to dispense specialty drugs. The pharmacy team is passionate about providing each patient with the best possible experience, and its services extend beyond the traditional care seen at retail pharmacies. For example, SRx assists patients in applying for insurance coverage and special authorizations for certain specialty medications, and will work with drug manufacturer programs to ensure patients incur the least possible expense for any medication. Moreover, SRx’s pharmacies provide complementary medication reviews, administer injections (as allowed by provincial regulation), and offer no-charge blister packing and free same-day medication delivery.
SRx leases each of its specialty pharmacy locations and do not own any of the real estate. Revenue is primarily earned through dispensing fees, product markups, professional services and over-the-counter sales. As at December 31, 2023, revenue from SRx’s specialty pharmacies make up approximately 97.2% of its total revenue.
Wholesale and Distribution
SRx operates a 4,800 square foot distribution facility in Mississauga, Ontario, which is accredited by Health Canada and is a member of the Canadian Association for Pharmacy Distribution Management (“CAPDM”). SRx collaborate with pharmaceutical companies to procure specialty drugs and in turn distribute these drugs to both SRx and independent pharmacies, as well as to clinics and specialty practitioners in various settings. SRx’s pharmacies benefit from SRx’s vertically integrated model through increased accessibility to specialized drugs, stable inventory levels, and quick delivery of product. Moreover, distributing under the SRx brand allows SRx’s pharmacies to take advantage of additional margins on dispensed medication. Specialty practitioners trust SRx to adhere to guidelines and quality controls and use its customized logistics to reduce supply chain complexities and management costs. This is an area with intensive barriers to entry given the complex nature of both Health Canada’s regulatory requirements, as well as those of SRx’s pharmaceutical company partners who focus on establishing synergistic relationships with proven wholesale and distribution partners.
SRx owns the land and building of its distribution facility. Revenue from our wholesale and distribution operations is primarily earned through product markups. As at December 31, 2023, revenue from SRx’s wholesale and distribution operations make up approximately 0.4% of its total revenue.
Specialty Health Clinics, Infusion Spaces and Injection Sites
SRx owns and operates 40 specialty health clinics, infusion spaces and injection sites (collectively “Health Clinics”). SRx’s specialty Health Clinics and staff are appropriately accredited and well equipped to administer intravenous (“IV”) infusions, intramuscular (“IM”) and subcutaneous (“SC”) injections, including biologics and other specialized, novel therapies. The following are just a few of the diseases that SRx is experienced in caring for: mental health, Crohn’s disease, ulcerative colitis, ankylosing spondylitis, diabetes, heart disease, oncology, lung disease, rheumatoid arthritis, psoriatic arthritis, iron deficiency, osteoporosis, allergies, atopic dermatitis, plaque psoriasis, and asthma.
SRx leases each of its clinic locations and do not own any of the real estate. The primary purpose of SRx’s specialty health clinics is to help drive revenue generation at its pharmacies.
Patient Support Programs
SRx’s PSPs leverage the benefits of SRx’s integrated network to help patients navigate Canada’s fragmented healthcare system and provide them with the most comprehensive care possible. SRx’s PSPs guide patients through the entirety of their healthcare journey, including, but not limited to, reimbursement and co-pay support, integrated physician, and pharmacy services, drug distribution, injection and infusion at SRx’s clinics, access to nursing, and patient education and training to promote adherence and comfort with their specialized drugs. SRx’s PSPs also provide patients with access to on-call regulatory and consulting support, periodic regulatory and research support, real-time Information Change Notices (“INC”) on important changes to health requirements, and monthly reports on health requirements, including potential patient impact.
SRx’s PSP business model positions SRx to capitalize on the growing specialty drugs segment and become the preferred pharmacy of choice for new specialty drug launches when compared to competitors. The primary purpose of SRx’s PSP business model is to help drive revenue generation at its pharmacies.
| 56 |
Nursing Services
SRx offers a wide range of professional health and nursing services within its clinic network across a variety of therapeutic areas including, but not limited to, infectious diseases, rheumatology, dermatology, gastroenterology, urology, endocrinology, cardiology, ophthalmology, neurology, family planning and fertility consultations, and addictions. SRx tailors its health and nursing services to the unique needs of its patients and believe that by doing so, it is able to better drive patient outcomes. The team consists of nurse practitioners, registered nurses, registered psychiatric nurses, registered practical nurses, a diabetes nurse educator, registered dietitians, addiction counsellors, social workers, outreach workers and administrative coordinators who provide care in clinics and in-patient homes. SRx’s health and nursing services are a value-added service for the rest of the SRx Network, with a goal of providing other stakeholders with a convenient partner for integrated patient care.
The primary purpose of SRx’s nursing services is to help drive revenue generation at its pharmacies.
Clinical Trials
In 2019, SRx added clinical trials to its existing network through the strategic acquisition of Toronto Digestive Disease Associates, Inc. d/b/a TDDA Specialty Research (“TDDA”). TDDA is an established leader in clinical trial research with over 20 years of experience working with industry specialists and the healthcare community to advance therapeutic treatment options. It assists researchers in study feasibility and site capacity assessments, protocol design consultations, central budget negotiations and full clinical protocol execution. TDDA has successfully completed numerous clinical trials and has established relationships with several key pharmaceutical sponsors, Contract Research Organizations (“CROs”), and qualified investigators. TDDA currently has active studies across the range of GI indications that are actively recruiting and enrolling patients. One of SRx’s goals is to continuously expand the number of active studies, enter into other therapeutic areas and establish additional clinical sites.
SRx leases each of its clinical trial sites and do not own any of the real estate. Revenue from SRx’s clinical trials is primarily earned through fees received for completed trials. As at December 31, 2023, revenue from SRx’s clinical trials make up approximately 0.5% of its total revenue.
Overall Performance, Industry Trends and Economic Factors
The Canadian pharmacy sector is characterized by a unique balance of growth and stability underpinned by the market’s exposure to favorable secular trends and the essential nature of the goods and services it provides. The industry is comprised of approximately 11,0001 retail pharmacies and drug stores engaged in the retailing of prescription and non-prescription medication and ancillary merchandise, with approximately half of the operators independently owned2 and the balance being part of established chains such as McKesson Corporation, Loblaw and Metro. On average, a single location pharmacy in Canada generates approximately CAD$1 million in annual revenue3 with the majority of sales closely linked to spending on prescribed pharmaceutical drugs.
In 2021, prescription drug spending in Canada was estimated to be approximately CAD$35.4 billion,134 representing a year-over-year growth of 1.3%,5 and the projected growth rate in annual prescription sales was estimated to increase by approximately 5.4%.6
The Canadian pharmacy sector has previously been less susceptible to recessionary effects and the fluctuations of the broader macroeconomic environment. Due to Canadian provincial regulations and a largely standardized reimbursement framework driven by both public and private payors, financial performance has been largely predictable across the pharmacy industry with more than 80%7 of Canadian operators achieving profitability. As such, the sector continues to offer an attractive and compelling opportunity for both operators and investors alike.
1 Raiche, Taylor et al. “Community pharmacists’ evolving role in Canadian primary health care: a vision of harmonization in a patchwork system.” Pharmacy practice vol. 18,4 (2020): 2171. doi:10.18549/PharmPract.2020.4.2171.
2 Ryan Norman & Mark Omoto, “Canadian Pharmaceutical Market Trends and Outlooks” (2 May 2022).
3 Statistics Canada, “Financial Performance Data: Pharmacies and Drug Stores, 2020” (2020).
4 Tadrous, Mina, et al. “Canadian Trends in Estimated Pharmaceutical Drug Purchases and Projections: 2023.” Canadian Journal of Health Technologies, vol. 2, no. 11, 30 Nov. 2022, online: https://doi.org/10.51731/cjht.2022.512.
5 IQVIA, “Canadian Drugstore and Hospital Audit” (December 2021).
6 Express Scripts Canada, “2022 Prescription Drug Trend Report” (2023), online: Express Scripts Canada https://www.express-scripts.ca/sites/default/files/2023-04/ESC%20DTR%20EN%20April%205%202023%20final.pdf.
7 16 Statistics Canada, “Financial Performance Data: Pharmacies and Drug Stores, 2020” (2020).
| 57 |
The Specialty Pharmacy Sub-Sector
Goods and services at the retail level are generally homogenous across pharmacy operators. As such, traditional pharmacies tend to rely on brand loyalty, ease of access and footprint density to drive customer visits. However, specialty pharmacies represent a distinct sub-sector that operates at the intersection of full-service patient care and complex disease management through a broad range of oral, injectable and infusible specialty pharmaceuticals. Specialty pharmacies provide many services similar to traditional pharmacies, albeit to patients with complex and often chronic health conditions that require comprehensive therapies or specialty pharmaceuticals. Specialty drugs typically carry higher cost, more stringent handling and administration practices, and rely on highly specialized storage and distribution infrastructure. Traditional pharmacies and distributors are designed to manage high volume, lower cost products, and generally lack both the deep clinical expertise and administrative support functions necessary to effectively deliver specialty pharmacy services. As a result, specialty pharmacies are uniquely positioned to provide patients with a differentiated scope of care, access to specialty drugs, and the critical support and knowledge systems necessary to deliver and administer such drugs.
The Canadian specialty pharmacy sub-sector has experienced significant growth in recent years8 with growth of specialty drug spend reaching +9.7% from 2018 – 2022 and outpacing that of traditional drugs at +7.1% over the same period.9 The specialty pharmacy vertical continues to represent a structurally critical component of the Canadian healthcare system, serving the vital needs of a select group of Canadians but accounting for a disproportionately large share of annual drug spend at approximately 40% of the total spend in 2021,10 or CAD$14 billion out of a total spend of CAD$35.4 billion.11 These figures are expected to increase year-over-year; in 2021, approximately 40% of eligible insurance plan submissions were made in respect of specialty drugs, and by 2026 specialty drug spend is projected to account for over 50% of eligible insurance plan submissions.12
Specialty pharmacy products and services remain a fundamental necessity regardless of economic activity due to limited access to specialty drugs and a lack of alternative treatments for complex illness. As such, corresponding revenues generally do not decrease significantly during periods of slower economic activity as demand does not materially fluctuate during such periods. Similarly, specialty pharmaceutical wholesale distribution chains servicing pharmacies, hospitals, patients and specialty practitioners also benefit from the stability and resiliency that characterizes the specialty drugs market. Looking ahead, the outlook remains robust as chronic diseases continue to become more prevalent with more than 44% of Canadians aged 20 and above currently reported to live with chronic and complex illnesses that require specialty medications.13
SRx believes that its SRx Network positions it well to capitalize on the favourable trends that underpin our industry, as outlined below.
8 IQVIA, “National Sales Perspectives” (February 2022).
9 IQVIA, “National Sales Perspectives” (February 2022).
10 Telus Health, “2022 Drug Data Trends & National Benchmarks” (June 2022).
11 Tadrous, Mina, et al. “Canadian Trends in Estimated Pharmaceutical Drug Purchases and Projections: 2023.” Canadian Journal of Health Technologies, vol. 2, no. 11, 30 Nov. 2022, online: https://doi.org/10.51731/cjht.2022.512.
12 Telus Health, “2022 Drug Data Trends & National Benchmarks” (June 2022).
13 22 Public Health Agency of Canada, “Prevalence of Chronic Diseases Among Canadian Adults” (5 February 2019), online: Government of Canada https://www.canada.ca/en/public-health/services/chronic-diseases/prevalence-canadian-adults-infographic-2019.html.
| 58 |
Aging Demographic and Growing Prevalence of Chronic Illnesses Driving Demand for Specialty Pharmaceuticals
The Canadian specialty pharmacy industry is expected to benefit from demographic trends that will drive increasing demand for specialty pharmaceuticals and associated services. The Canadian population of seniors (defined as people aged 65 and older) is projected to increase and account for close to approximately one-quarter of the overall population by 203014 compared to just 16% in 2014.15 As individuals age, chronic illnesses become more prevalent leading to a significant increase in use of prescription medications and specifically specialty pharmaceuticals. Notably, it has been found that 81% of Canadians aged 60 – 79 require at least some form of prescription with 52% taking three or more prescription drugs.16 This is in contrast to just 38% of Canadians aged 18 – 39 requiring a prescription and 7% who medicate with three or more prescription drugs.17 Furthermore, data from the Canadian Community Health Survey indicate that just under three-quarters (or 73%) of Canadians over 65 report having at least one chronic illness,18 and that approximately one-third (33%) of this cohort report having two or more chronic illnesses.19 As a result, Canada’s aging demographic, coupled with the growing prevalence of chronic illnesses among the Canadian population, will continue to underpin the long-term demand and growth trajectory of the country’s specialty pharmacy industry.
Increasingly Critical Role and Expanding Scope of Pharmacist Practice
Pharmacies represent a critical healthcare delivery channel in the Canadian healthcare system and play an important role in elevating access to care and the overall wellbeing of Canadians. As healthcare continues to evolve and increasingly take place in the home and community, pharmacies will become the most accessible and logical point of care for communities across the country. Recent legislative initiatives have broadened the scope of pharmacists’ practice to enable pharmacists to independently prescribe, renew and adjust select medications, as well as administer vaccinations and injections, order lab tests and facilitate related key services. The legislative changes were enacted primarily in response to Canada’s national physician shortage with an estimated 5 million Canadians without a provider as of 2019,20 rendering walk-in clinics and emergency rooms the only point of service for prescriptions and other health concerns. This shortage placed undue strain on the healthcare system and contributed to an increase in backlog for various specialty treatment programs, both of which were evidently exacerbated by the COVID-19 pandemic that emerged in 2020.
Due to inherently broader accessibility and adaptability, pharmacies are well positioned to alleviate many existing inefficiencies faced by the Canadian healthcare system. Canadian pharmacy services are readily accessible with approximately 91% of Ontario’s population, representing 35% of the Canadian population, living within five kilometers of a pharmacy.21 According to a 2019 study by Nurse Practitioner Association of Canada, Canadians visit pharmacists up to 10 times more frequently than they visit any other healthcare providers including physicians and nurses, with approximately 55% of Canadians visiting a pharmacy at least once a week.22 Patients also face significantly reduced wait times relative to walk-in clinics or emergency rooms with the ability to access care in a matter of minutes compared to hours, and an overwhelming number of Canadians (93%) have indicated that they trust pharmacists as their first point of care.23 Furthermore, the COVID-19 pandemic provided irrefutable evidence of the adaptability and resourcefulness of the Canadian pharmacy industry. In 2020, Canadian pharmacies witnessed a +550% increase in the number of patients seeking assistance in securing medication refills in lieu of visiting a physician, and a +50% increase in the number of pharmacist consultations that resulted in a corresponding prescription drug purchase.24 Specialty pharmacies across select provinces also became the point of service for COVID-19 asymptomatic testing which demonstrated yet another example of pharmacies delivering critical healthcare services beyond their standard scope of practice.
14 Statistics Canada, “Prescription medication use among Canadian adults, 2016-2019” (28 June 2021), online: Government of Canada https://www150.statcan.gc.ca/n1/en/daily-quotidien/210628/dq210628e-eng.pdf?st=Sn5ol6xu.
15 Statistics Canada, “Prescription medication use among Canadian adults, 2016-2019” (28 June 2021), online: Government of Canada https://www150.statcan.gc.ca/n1/en/daily-quotidien/210628/dq210628e-eng.pdf?st=Sn5ol6xu.
16 Statistics Canada, “Prescription medication use among Canadian adults 2016-2019” (28 June 2021), online: Government of Canada https://www150.statcan.gc.ca/n1/daily-quotidien/210628/dq210628e-eng.htm.
17 Statistics Canada, “Prescription medication use among Canadian adults, 2016-2019” (28 June 2021), online: Government of Canada https://www150.statcan.gc.ca/n1/en/daily-quotidien/210628/dq210628e-eng.pdf?st=Sn5ol6xu.
18 Public Health Agency of Canada, Canadian Community Health Survey 2017-2018.
19 Public Health Agency of Canada, “Aging and chronic diseases: A profile of Canadian seniors” (2020), online: Government of Canada https://www.canada.ca/en/public-health/services/publications/diseases-conditions/aging-chronic-diseases-profile-canadian-seniors-report.html.
20 29 Statistics Canada, “Primary health care providers, 2019” (22 October 2020), online: Statistics Canada https://www150.statcan.gc.ca/n1/pub/82-625-x/2020001/article/00004-eng.htm.
21 30 Robin Roberts, “More than a refill: Pharmacists are filling the gaps in health care and it’s great news for patients” (28 March 2022), online: Healthing https://www.healthing.ca/wellness/pharmacists-filling-gaps-help-health-care-and-great-news-patients.
22 Taylor Raiche et al, “Community pharmacists’ evolving role in Canadian primary health care: a vision of harmonization in a patchwork system.” (2020) 18:4 Pharmacy Practice 2171 (doi:10.18549/PharmPract.2020.4.2171).
23 32 Canadian Pharmacists Association, “Canadians recognize value of pharmacists; want more publicly funded health care services delivered at pharmacy” (28 March 2018), online: CPhA https://www.pharmacists.ca/news-events/news/canadians-recognize-value-of-pharmacists-want-more-publicly-funded-health-care-services-delivered-at-pharmacy/#:~:text=93%25%20of%20Canadians%20have%20a.
24 33 Ontario Ministry of Health, “Executive Officer Notice: Expansion of Specimen Collecting for COVID-19 Testing of At-Risk Asymptomatic Persons through Ontario Pharmacies” (5 November 2020), online: Ministry of Health https://www.health.gov.on.ca/en/pro/programs/drugs/opdp_eo/notices/exec_office_20201106.pdf.
| 59 |
Robust Specialty Drug Pipeline Supported by Increased Emphasis on Specialty Drugs Development
In 2021, the Canadian pipeline for new medications was comprised of close to 8,500 drugs in various stages of development, which was well above the average recorded in recent years and meaningfully higher than 2020, which saw only 7,000 drugs under development.25 Notably, 60% of the development pipeline is comprised of specialty drugs, underscoring the notion that drug manufacturers and the broader pharmaceutical industry have a renewed focus on research and development initiatives to commercialize treatments targeting complex chronic illnesses or rare diseases.26 An increase in specialty drug approvals is closely tied to increased spending with several key disease verticals demonstrating significant growth since 2019 including rare diseases (+50%), cystic fibrosis (+20%), multiple sclerosis, asthma, skin, and other inflammatory conditions (15% each).27
As drug manufacturers continue to allocate more resources towards the development of specialty pharmaceuticals and ultimately introduce a greater selection of more effective and novel medications to the Canadian market, SRx expects that specialty pharmacies will be relied upon to ensure proper distribution and administration as the keystone healthcare delivery channel to millions of Canadians which further reinforces the long-term outlook of the sector.
Transactions with Related Parties
SRx’s related party transactions include transactions its key management, personnel, majority shareholders and affiliated entities. In the normal course of operations, SRx enters into various transactions with related parties that are measured at the agreed-upon exchange amount. SRx, through its wholesale and distribution entity, ConnectRx Inc., sells and distributes certain pharmaceuticals to associated entities. These sales are measured at the agreed-upon exchange amount.
Competition
The business of providing specialty pharmacy services in Canada is highly competitive, and SRx faces competition from a variety of parties. There are national and regional players across Canada that compete in this space.
25 35 Mina Tadrous et al, “Canadian Trends and Projects in Prescription Drug Purchases: 2001-2023” (2021) 1:11 Canadian Journal of Health Technologies.
26 36 Mina Tadrous et al, “Canadian Trends and Projects in Prescription Drug Purchases: 2001-2023” (2021) 1:11 Canadian Journal of Health Technologies.
27 37 Mina Tadrous et al, “Canadian Trends and Projects in Prescription Drug Purchases: 2001-2023” (2021) 1:11 Canadian Journal of Health Technologies.
| 60 |
National Operator of Speciality Pharmacies
SRx is one of just a few specialty pharmacy chains in Canada. The SRx Network has allowed SRx to move fast to penetrate the market. SRx believes its market share will continue to grow in tandem with the expansion of the key segments of its business as described herein. SRx’s brick-and-mortar retail presence in eight provinces gives it an advantageous pharmacist to patient ratio at physical retail locations when compared to its peers, which provides patients quicker and more convenient access to a pharmacist when in need. SRx focuses on having brick-and-mortar pharmacies while its competitors often dispense specialty drugs from closed distribution facilities that do not allow for any face-to-face interaction with patients and physicians. This is a key competitive advantage compared to SRx’s competitors. This enhanced service allows SRx to provide patients with flexibility in terms of how they wish to access their medication. Existing traditional pharmacy models do not offer the full ecosystem of comprehensive care options, which strategically positions SRx to service the specialty market in Canada and grow its market share. There are also significant barriers to entry for traditional retail pharmacies. Dispensing speciality drugs requires extensive training and experience, investment in infrastructure and programs (inclusive of PSP), and exclusive distribution rights from manufacturers, each of which takes significant time and resources to establish, maintain, and grow.
Specialty Drug Access
For access to specialty drugs, there are significant barriers to access as there are stringent regulatory requirements and pharmaceutical companies typically prefer to only work with a limited number of established national partners who are experienced, reliable, and have the existing infrastructure and capacity to successfully commercialize their products. SRx’s access to specialty drugs is driven by its national SRx Network, including its ability to leverage its wholesale distribution capabilities to deliver specialty drugs quickly. Since inception, SRx has grown the number of speciality drugs it offers
SRx has various wholesale and distribution agreements with major multi-national pharmaceutical companies, which allows the Company to distribute critical specialty drugs across Canada and provides the Company with access to a large variety of types of drugs available for distribution in Canada. These agreements take years to establish and require strong relationships and a proven track record of delivering on the expectations of the pharmaceutical companies. SRx is on a short list of approximately seven mass distributors for specialty drugs in Canada.
Collaborative Network
The SRx Network is unique. A recent survey found that half of specialty pharmacists report the average specialty prescription takes at least four days to fill and that wait times of seven to 10 days are not uncommon.28 TheSRx Network allows SRx to operate at a much higher efficiency level and it is generally able to reduce those wait times by up to 50%. Furthermore, from the time SRx’s PSP team contacts a patient to the time of the first offered appointment at a clinic, SRx averages 1.1 business days on a rush basis, whereas SRx estimates, using its industry knowledge, that the industry standard is approximately three business days.
SRx’s network of interdisciplinary teams work closely to reduce patient wait times to receive drug therapies, reduce drug-drug interactions and optimize patient outcomes. This reduces the overall burden on other industry stakeholders, lowers costs for insurance providers, and can drive value for pharmaceutical companies. The current Canadian industry is fragmented and requires patients to attempt to access comprehensive specialty healthcare on their own. The SRx Network solves this issue by making it easy for patients to access and navigate specialty healthcare services in an otherwise difficult environment. SRx’s comprehensive, patient-focused specialty pharmacy services ensure that patients receive a superior standard of care, including assistance with complicated medication therapies, refill processing, third-party funding support programs, side-effect management and adherence monitoring.
28 Businesswire, “Specialty Pharmacists Report Process Delays of Up to 10 Days to Get Patients Started on Treatment” (13 May 2020), online: Businesswire https://www.businesswire.com/news/home/20200513005049/en/Specialty-Pharmacists-Report-Process-Delays-of-Up-to-10-Days-to-Get-Patients-Started-on-Treatment.
| 61 |
SRx customizes solutions for each patient based on the patient’s overall health, disease, family history, lifestyle and financial means. Below are some of the key features of the SRx Network, some of which are features of SRx’s ancillary verticals, such as nursing and PSP, that were established to increase quality of care and optimize patient outcomes while simultaneously supporting and driving its specialty drug dispensing volume, which is its main source of revenue:
● Insurance Navigation – Specialty medications normally require prior authorization or approval from third-party payors. SRx employs reimbursement specialists within every pharmacy to help patients navigate the complex authorization process. Reimbursement specialists work with patients, physicians, and third-party payors to provide a seamless experience and SRx’s average reimbursement submission time is 1.3 business days from the time it is engaged to assist with the submission.
● Expertise in Pharmacy Services – SRx’s expanding range of pharmacy services has grown to include patient management and patient triaging, comprehensive drug consultations, RFID patient adherence tracking, drug handling and dispensing, pill packs/PACMED machine automation, digital services, fibroscans and point-of-care testing, travel medicine, flu shots; provision of PrePrx, HIV prevention care, compounding; and COVID-19 testing, among others.
● Storage and Handling – SRx pharmacy team members are trained in the storage and handling of specialty drugs. Most specialty drugs require special handling until administration and SRx’s team members are experts in adhering to the requisite standard and procedures.
● Focus on Pharmacists – SRx pharmacists are the centre of its network. They have expertise treating complex diseases and providing specialized clinical services by independently prescribing, renewing, and adjusting select medications, as well as administering vaccinations and injections, ordering lab tests and facilitating related key services.
● Patient Education and Coordination of Care – Specialty drugs generally require a certain level of patient education and pre-initiation set-up. SRx pharmacists are trained in subspecialties to provide comprehensive education to patients prior to treatment initiation. In addition, some drugs require a certain criterion to be met before patients start the drugs, such as negative x-rays and tuberculosis tests, and some involve injectables that require administration at fusion clinics or at home with a nurse. SRx nurses and pharmacists are trained on ensuring the criteria are met prior to initiation.
● Quality of Care – In order to improve the quality of care and patient outcomes SRx’s pharmacies focus on having a touchpoint with patients at least once a month. Additionally, each time a patient is scheduled for delivery of drugs, they have the option of receiving a consultation from a pharmacist. Frequent touchpoints also ensure any changes in a client’s medication profile are caught immediately to prevent adverse drug-drug interactions and minimize adverse reactions.
● Storefront Presence – All SRx’s pharmacies have storefronts that allow for convenient in person consultations (such as injection training) and access to retail medications. The majority of major specialty pharmacy chains in Canada do not have a storefront presence at scale with ours. Additionally, the SRx Network and investment in technology allows patients to access virtual consultations.
● Relationship with physicians – SRx has a high engagement with physicians from a diverse portfolio of therapeutic areas including hepatology, dermatology, rheumatology, and urology. The prevalence of medical need in these therapeutic areas helps stabilize SRx’s revenue year to year. SRx’s focus on quality of care allows it to maintain strong rapport with our large, diverse physician network, which helps keep it current on innovative therapies and regulatory changes in the pipeline. This information allows SRx to prepare its teams and position its wholesale, PSP and pharmacy divisions to win access to these therapies ahead of its competition.
| 62 |
Employees and Human Capital
SRx’s success is directly linked to the commitment and performance of its employees. SRx is committed to retaining the best talent in each of its business divisions, and committed to ensuring that SRx provides an environment to helping its employees succeed and grow. In addition, SRx is committed to building a team that represents a variety of backgrounds and perspectives.
As of June 30, 2024 SRx employed approximately [●] persons, all of whom are located in Canada. SRx’s workforce includes over [200] pharmacists and technicians, [100] nurses, in addition to [●] employees working throughout Canada to support the business.
To attract and retain talent SRx offers a mix of compensation, inclusive of participation in equity incentive plans and short term incentives, in addition to insurance benefits. Full-time employees are eligible to participate in SRx’s medical, dental, vision and retirement savings programs. All full time employees are also eligible to participate in annual bonus plans. None of SRx’s employees are represented by a labour union, and SRx considers employee relations to be good.
Facilities
SRx leases all of its pharmacy and clinic locations in Canada. SRx owns and operates its 4,800 square foot wholesale and distribution facility in Mississauga, Ontario.
Legal Proceedings
On December 17, 2022, SRx was subject to discipline from the Saskatchewan College of Pharmacy Professionals due to improper billing practices. The regulator required SRx to pay a fine of CAD$30,000.00, to repay the CAD$73,795.40 that had been overbilled, and to reimburse the regulator’s investigation costs of CAD$25,875.00. These amounts, individually and in the aggregate, were immaterial to the business operations of SRx, and SRx timely paid each amount. The matter has been resolved and neither SRx nor any principal or officer of SRx is the subject of any ongoing sanctions or other discipline in connection with the matter. The matter did not result in the suspension or revocation of any license or certification of either SRx or any principal or officer of SRx or otherwise have any material adverse effect on the business operations of SRx to date.
Market Price of Common Stock and Dividends and Related Matters of SRx
Market Price
| Date | Share Price | |||
| Sep-22 | $ | 4.94 | ||
| Oct-22 | $ | 8.00 | ||
| Nov-22 | $ | 8.00 | ||
| Dec-22 | $ | 8.00 | ||
| Jan-23 | $ | 8.00 | ||
| Feb-23 | $ | 8.00 | ||
| Mar-23 | $ | 8.00 | ||
| Apr-23 | $ | 8.00 | ||
| May-23 | $ | 8.00 | ||
| Jun-23 | $ | 8.00 | ||
| Jul-23 | $ | 8.00 | ||
| Aug-23 | $ | 8.00 | ||
| Sep-23 | $ | 8.00 | ||
| Oct-23 | $ | 8.00 | ||
| Nov-23 | $ | 8.00 | ||
| Dec-23 | $ | 8.00 | ||
| Jan-24 | $ | 8.00 | ||
| Feb-24 | $ | 8.00 | ||
| Mar-24 | $ | 8.00 | ||
| Apr-24 | $ | 8.00 | ||
| May-24 | $ | 8.00 | ||
| Jun-24 | $ | 8.00 | ||
| Jul-24 | $ | 5.60 | ||
| Aug-24 | $ | 5.60 | ||
| Sep-24 | $ | 5.60 | ||
Dividends
SRx has not declared or paid any dividends or other distributions on its common shares since the date of its incorporation. SRx currently expects to retain all future earnings for use in the operation and expansion of its business and does not anticipate paying cash dividends in the foreseeable future. The declaration and payment of any dividends in the future will be determined by the Board of Directors of SRx, in its discretion, and will depend on a number of factors, including SRx’s earnings, capital requirements, overall financial condition and contractual restrictions.
| 63 |
Current Capitalization of SRx
SRx’s outstanding securities as of September 30, 2024 are as follows (all figures in CAD$):
| Description of Security(1) | Number of Shares Outstanding as
of | |||
| Common shares | 12,796,602 | |||
| Warrants | 132,220 | |||
| RSUs | 861,441 | |||
| TOTAL Shares Issued & Outstanding | 13,790,263 | |||
Management’s Discussion and Analysis
Critical Accounting Policies and Estimates
Segment information
Operating segments are components of SRx that engage in business activities which generate revenues and incur expenses (including intercompany revenues and expenses related to transactions conducted with other components of SRx). The operations of an operating segment are distinct, and the operating results are regularly reviewed by the chief operating decision maker (“CODM”) for the purposes of resource allocation decisions and assessing its performance. The chief operating decision maker, who is responsible for allocating resources and assessing performance of operations, has been identified as the Board of Directors.
SRx is managed under thirty-eight operating segments based on how financial information is produced internally for the purposes of making operating decisions. This includes thirty pharmacies, two patient support programs, two wholesale entity, one diagnostic lab and three clinical trial sites. These operating segments are reported in a manner consistent with the internal reporting provided to the chief operating decision maker.
Operating segments are aggregated into one reportable segment when they share similar economic characteristics, including long-term sales volume growth and long-term operating cash flows, and have similar products, production processes, types of customers and distribution methods. On this basis, the thirty pharmacies, two patient support programs, two wholesale entity and one diagnostic lab have been aggregated into one reportable segment, the “Pharmacy and sale of prescription drugs segment” and the three clinical trial sites have been aggregated into one reportable segment, the “Clinical trials segment”. SRx therefore has two reportable segments.
Business combinations and goodwill
Business combinations are accounted for using the acquisition method. The cost of an acquisition is measured as the aggregate of the consideration transferred, which is measured at acquisition date fair value, and the amount of any non-controlling interests in the acquiree. For each business combination, SRx elects whether to measure the non-controlling interests in the acquiree at fair value or at the proportionate share of the acquiree’s identifiable net assets. Acquisition-related costs are expensed as incurred and included in administrative expenses.
When SRx acquires a business, it assesses the financial assets and liabilities assumed for appropriate classification and designation in accordance with the contractual terms, economic circumstances, and pertinent conditions as at the acquisition date. This includes the separation of embedded derivatives in host contracts by the acquiree.
Goodwill is initially measured at cost (being the excess of the aggregate of the consideration transferred and the amount recognized for non-controlling interests and any previous interest held over the net identifiable assets acquired and liabilities assumed). If the fair value of the net assets acquired is in excess of the aggregate consideration transferred, SRx re-assesses whether it has correctly identified all of the assets acquired and all of the liabilities assumed and reviews the procedures used to measure the amounts to be recognized at the acquisition date. If the reassessment still results in an excess of the fair value of net assets acquired over the aggregate consideration transferred, then the gain is recognized in the consolidated statement of comprehensive loss.
After initial recognition, goodwill is measured at cost less any accumulated impairment losses. For the purpose of impairment testing, goodwill acquired in a business combination is, from the acquisition date, allocated to each of SRx’s cash-generating units that are expected to benefit from the combination, irrespective of whether other assets or liabilities of the acquiree are assigned to those units.
Where goodwill has been allocated to a cash-generating unit (“CGU”) and part of the operation within that unit is disposed of, the goodwill associated with the disposed operation is included in the carrying amount of the operation when determining the gain or loss on disposal. Goodwill disposed in these circumstances is measured based on the relative values of the disposed operation and the portion of the cash-generating unit retained. SRx considers each operating segment within SRx as a separate CGU. The CGUs are aggregated for the purpose of goodwill impairment testing to pharmacies and clinical trials.
| 64 |
Current versus non-current classification
SRx presents assets and liabilities in the consolidated statements of financial position based on current/non-current classification. An asset is current when it is:
| ● | Expected to be realized or intended to be sold or consumed in the normal operating cycle |
| ● | Held primarily for the purpose of trading |
| ● | Expected to be realized within twelve months after the reporting period |
Or
| ● | Cash and cash equivalent unless restricted from being exchanged or used to settle a liability for at least twelve months after the reporting period |
| ● | All other assets are classified as non-current. |
A liability is current when:
| ● | It is expected to be settled in the normal operating cycle |
| ● | It is held primarily for the purpose of trading |
| ● | It is due to be settled within twelve months after the reporting period |
Or
| ● | There is no unconditional right to defer the settlement of the liability for at least twelve months after the reporting period |
| ● | The terms of the liability that could, at the option of the counterparty, result in its settlement by the issue of equity instruments do not affect its classification. SRx classifies all other liabilities as non-current. |
Deferred tax assets and liabilities are classified as non-current assets and liabilities as there is some uncertainty around the timing of when an investee would be in a position to realize a tax asset, or have to settle a future tax liability.
Fair value measurement
Fair value is the price that would be received to sell an asset or paid to transfer a liability in an orderly transaction between market participants at the measurement date. The fair value measurement is based on the presumption that the transaction to sell the asset or transfer the liability takes place either:
| ● | In the principal market for the asset or liability; or |
| ● | In the absence of a principal market, in the most advantageous market for the asset or liability. |
The principal or the most advantageous market must be accessible by SRx.
The fair value of an asset or a liability is measured using the assumptions that market participants would use when pricing the asset or liability, assuming that market participants act in their economic best interest.
SRx uses valuation techniques that are appropriate in the circumstances and for which sufficient data are available to measure fair value, maximizing the use of relevant observable inputs and minimizing the use of unobservable inputs.
| 65 |
All assets and liabilities for which fair value is measured or disclosed in the consolidated financial statements are categorized within the fair value hierarchy, described as follows, based on the lowest level input that is significant to the fair value measurement as a whole:
| ● | Level 1 – Quoted market prices in active markets for identical assets or liabilities |
| ● | Level 2 – Valuation techniques for which the lowest level input that is significant to the fair value measurement is directly or indirectly observable |
| ● | Level 3 – Valuation techniques for which the lowest level input that is significant to the fair value measurement is unobservable |
The carrying value of SRx’s cash, trade and other receivables, inventory, bank indebtedness, trade and other payables, deferred accounts payable, due from/to related parties and due from/to shareholders approximate their fair value.
Revenues from contracts with customers
SRx is in the business of providing specialty healthcare and medical treatment services. Revenue from contracts with customers is recognized when control of the goods or services are transferred to the customer at an amount that reflects the consideration to which SRx expects to be entitled in exchange for those goods or services. SRx has generally concluded that it is the principal in its revenue arrangements because it controls the goods or services before transferring them to the customer.
SRx’s main revenue streams within the scope of IFRS 15 Revenue from Contracts with Customers include the following:
| ● | Services provided by pharmacies: |
| ○ | retail pharmacies sell and distributes specialty and traditional prescription medications |
| ○ | infusion services; and |
| ○ | consultancy services. |
| ● | Wholesale/distribution – Distribution of drugs and other medications for affiliated pharmacies, external clients and other related parties. |
| ● | Clinical trial services – provision of clinical trial services. |
| ● | Testing services – provide testing services, such as COVID-19 testing, to patients. |
| ● | Patient support programs - SRx has multiple agreements with pharmaceutical companies for co-payment support and bridge medication to provide initial medication to patients free of charge while waiting for coverage decision and in the expectation that the patient will be approved for coverage at a later date, or to bridge a gap during renewal or patient insurance coverage changes, and compassionate products for patients with no public or private coverage and have been denied private or public insurance coverage within programs specified by pharmaceutical companies. SRx receives consideration for administering patient support programs from pharmaceutical companies. |
SRx recognizes revenue related to services provided by pharmacies at the time the customer takes possession of the product or service. For retail pharmacy sales, each prescription claim has its own arrangement with the customer and is a performance obligation, separate and distinct from other prescription claims. SRx recognizes revenue related to products provided by wholesale and distribution at the time the pharmacy customer takes possession of the product. Revenue recognition for infusion services provided by SRx’s medical clinics occurs as services are provided to patients for each infusion service. Customer returns are not material to SRx’s operating results or financial condition. Sales taxes are not included in revenues.
| 66 |
For services provided through clinical studies, revenue is recognized based on attaining pre-defined procedures that are outlined in the agreements with SRx’s customers. At the commencement of a clinical trial study, an agreement is signed that clearly outlines the procedures that SRx must complete over the life of a study. An ongoing, internal, assessment is done to determine the point at which SRx completes a contractual procedure. Revenue is recognized at this time as each procedure is an individual performance obligation within the agreement and is not dependent on subsequent procedures in order to collect revenues.
Patient support program revenue is recognized upon invoicing the client (i.e., pharmaceutical companies) on a monthly basis for services provided in the month. SRx provides a detailed breakdown of all services completed and pre-approved reimbursable expenses.
During the years ended September 30, 2023, and September 30, 2022 there were no significant revenues attributed to infusion services, consulting services, testing services, clinical trial services, or patient support programs.
Government grants
SRx’s government grants reflect compensation received from various provincial and national bodies related to COVID-19 support. Government grants are recognized where there is reasonable assurance that the grant will be received, and all attached conditions will be complied with. When the grant relates to an expense item, it is recognized as other income on a systematic basis over the periods that the related costs, for which it is intended to compensate, are expensed.
Taxes
Current income tax
Current income tax assets and liabilities are measured at the amount expected to be recovered from or paid to the taxation authorities. The tax rates and tax laws used to compute the amount are those that are enacted or substantively enacted at the reporting date in the countries where SRx operates and generates taxable income. Current income tax relating to items recognized directly in equity is recognized in equity and not in the consolidated statement of comprehensive loss.
Management periodically evaluates positions taken in the tax returns with respect to situations in which applicable tax regulations are subject to interpretation and establishes provisions where appropriate.
Deferred income taxes
SRx accounts for deferred income taxes using the liability method. Under this method, deferred income tax assets and liabilities are determined based on deductible or taxable temporary differences between the carrying amounts and tax bases of the assets and liabilities, using enacted or substantively enacted income tax rates expected to be in effect for the year in which differences are expected to reverse. Deferred income tax assets are recorded only to the extent that it is probable that they will be recovered.
Foreign exchange policy
Functional and presentation currency
These consolidated financial statements are presented in Canadian dollars, which is also SRx’s functional currency. SRx’s subsidiaries also have a Canadian dollar functional currency as this is the currency of the primary economic environment in which SRx operates.
Transactions and balances
Foreign currency transactions are translated into the functional currency using the exchange rates prevailing at the transaction date. Foreign exchange gains and losses resulting from the settlement of foreign currency transactions and from the translation at the year-end exchange rates of monetary assets and liabilities denominated in currencies other than the functional currency are reflected in the consolidated statement of loss and comprehensive loss.
| 67 |
Property and equipment
Property and equipment are recorded at cost less accumulated depreciation and accumulated impairment losses. Cost includes expenditures that are directly attributable to the acquisition of the asset, including costs incurred to prepare the asset for its intended use. Prior to September 30, 2023, depreciation of property and equipment was calculated based on a declining balance basis using the estimated depreciation rates of the assets, unless otherwise specified:
| Computer equipment | 30% on declining balance |
| Furniture and fixtures | 20% on declining balance |
| Medical equipment | 20% on declining balance |
| Building | 10% on declining balance |
| Automobiles | 30% on declining balance |
| Signs | 10% on declining balance |
| Leasehold improvements | Straight line (Lesser of 10 years and Term of lease) |
As at September 30, 2023, SRx changed its estimate of the depreciation of property and equipment to be calculated based on the straight line method using the estimated useful life of the assets, unless otherwise specified:
| Computer equipment | 3 years |
| Furniture and fixtures | 5 years |
| Medical equipment | 5 years |
| Building | 20 years |
| Automobiles | 5 years |
| Signs | 10 years |
| Leasehold improvements | Lesser of 10 years and Term of lease |
Summary of significant accounting policies (continued)
Subsequent costs are included in the asset’s carrying amount or are recognized as a separate asset, as appropriate, only when it is probable that future economic benefits associated with the item will flow to SRx and the cost can be measured reliably. Repairs and maintenance costs are charged to the statement of income and comprehensive income (loss) during the period in which they are incurred.
An item of property and equipment and any significant part initially recognized is derecognized upon disposal (i.e., at the date the recipient obtains control) or when no future economic benefits are expected from its use or disposal. Any gain or loss arising on derecognition of the asset (calculated as the difference between the net disposal proceeds and the carrying amount of the asset) is included in the consolidated statements of comprehensive income (loss) when the asset is derecognized.
Depreciation methods, useful lives and residual values are reviewed annually and are adjusted for prospectively, if appropriate.
| 68 |
Intangible assets
Intangible assets acquired are measured on initial recognition at cost. The cost of intangible assets acquired in a business combination is their fair value at the date of acquisition. Following initial recognition, intangible assets are carried at cost less any accumulated amortization and accumulated impairment losses, if any. Useful lives, residual values and amortization methods for intangible assets with finite useful lives are reviewed at each reporting date and adjusted, prospectively, if appropriate.
Prior to September 30, 2023, amortization was calculated over the estimated useful lives of the assets using the declining balance method as follows:
| Computer software | 55% on declining balance |
| Domain (website) | 30% on declining balance |
| Charter license | 10% on declining balance |
| Customer lists | 20% on declining balance |
As at September 30, 2023, SRx changed its estimate of amortization to be calculated based on the straight line method using the estimated useful life of the assets as follows:
| Computer software | 3 years |
| Domain (website) | 3 years |
| Charter license | 10 years |
| Customer lists | 5 years |
Leases
SRx assesses at contract inception whether a contract is, or contains, a lease. That is, if the contract conveys the right to control the use of an identified asset for a period of time in exchange for consideration.
Company as a lessee
SRx applies a single recognition and measurement approach for all leases, except for short-term leases and leases of low-value assets. SRx recognizes lease liabilities representing obligations to make lease payments and right-of-use assets representing the right to use the underlying assets.
Right-of-use assets
SRx recognizes right-of-use assets at the commencement date of the lease (i.e., the date the underlying asset is available for use). Right-of-use assets are measured at cost, less any accumulated depreciation and impairment losses and adjusted for any remeasurement of lease liabilities. The cost of right-of-use assets includes the amount of lease liabilities recognized, initial direct costs incurred, and lease payments made at or before the commencement date less any lease incentives received. Right-of-use assets are depreciated on a straight-line basis over the shorter of the lease term and the estimated useful lives of the assets, as follows:
| Buildings | 3 to 10 years |
| Medical equipment | 3 to 5 years |
If ownership of the leased asset transfers to SRx at the end of the lease term or the cost reflects the exercise of a purchase option, depreciation is calculated using the estimated useful life of the asset.
The right-of-use assets are also subject to impairment. Refer to the accounting policies in section (l) Impairment of non-financial assets.
| 69 |
Lease liabilities
At the commencement date of the lease, SRx recognizes lease liabilities measured at the present value of lease payments to be made over the lease term. The lease payments include the value of lease payments to be made over the lease term. The lease payments include fixed payments (including in-substance fixed payments) less any lease incentives receivable.
In calculating the present value of lease payments, SRx uses its incremental borrowing rate at the lease commencement date because the interest rate implicit in the lease is not readily determinable.
After the commencement date, the amount of lease liabilities is increased to reflect the accretion of interest and reduced for the lease payments made. In addition, the carrying amount of lease liabilities is remeasured if there is a modification, a change in the lease term, a change in the lease payments (e.g., changes to future payments resulting from a change in an index or rate used to determine such lease payments) or a change in the assessment of an option to purchase the underlying asset.
Short-term leases and leases of low-value assets
SRx applies the short-term lease recognition exemption to its short-term leases of equipment (i.e., those leases that have a lease term of 12 months or less from the commencement date and do not contain purchase option). It also applies the lease of low-value assets recognition exemption to leases of office equipment that are considered to be low value. Lease payments on short-term leases and leases of low-value assets are recognized as expense on a straight-line basis over the lease term.
Company as a lessor
Leases in which SRx does not transfer substantially all the risks and rewards incidental to ownership of an asset are classified as operating leases. Rental income arising is accounted for on a straight-line basis over the lease terms and is included in revenue in the consolidated statements of comprehensive loss due to its operating nature. Initial direct costs incurred in negotiating and arranging an operating lease are added to the carrying amount of the leased asset and recognized over the lease term on the same basis as rental income included in other income.
Impairment of non-financial assets
Property and equipment, intangible assets, goodwill and right-of-use assets are tested for impairment when events or changes in circumstances indicate that the carrying amount may not be recoverable.
In addition, goodwill is tested for impairment annually, regardless of the presence of indicators of impairment. In the case of indicators of impairment, or when a required annual test is performed, the asset’s recoverable amount is calculated to establish the amount of impairment loss, if any. If it is not possible to determine the recoverable amount for an individual asset, the recoverable amount of the asset’s CGU is then determined.
The recoverable amount is the higher of an asset’s or CGU’s fair value less cost of disposal and value in use. Value in use is the present value of estimated future cash flows discounted at a pre-tax rate that reflects current market assessments of the time value of money and the risks specific to the asset for which estimated future cash flows were not adjusted. When the carrying amount of an asset or CGU exceed its recoverable amount, the asset is considered impaired and is written down to its recoverable amount. SRx evaluates impairment losses for potential reversals when events or circumstances require such considerations, except for goodwill.
| 70 |
Financial Instruments
Recognition and derecognition
Financial instruments are recognized in the consolidated statements of financial position when SRx becomes a party to the contractual obligations of the instrument. On initial recognition, financial instruments are recognized at their fair value, and in the case of financial liabilities not at fair value through profit or loss (“FVTPL”), net of transaction costs that are directly attributable to the issue of such financial liabilities.
Financial assets are subsequently derecognized when payment is received in cash or other financial assets or if the debtor is discharged of its liability. A financial liability is derecognized when the obligation under the liability is discharged or cancelled or expires. When the terms of the liability are substantially modified, such an exchange or modification is treated as the derecognition of the original liability and the recognition of a new liability. The difference in the respective carrying amounts is recognized in the consolidated statements of comprehensive loss.
Classification
Subsequent to initial recognition, financial instruments are measured according to the category to which they are classified. All of SRx’s financial instruments are classified and measured at amortized cost or fair value.
The classification of financial asset and liabilities is driven by SRx’s business model for managing the assets or liabilities and their contractual cash flow characteristics. Financial assets that are held to collect contractual cash flows where those cash flows represent solely payments of principal and interest are measured at amortized cost. All of SRx’s financial assets and financial liabilities are measured at amortized cost, as SRx does not have any financial assets or liabilities held for trading.
Impairment
SRx does not have purchased or originated credit-impaired financial assets. SRx recognizes loss allowances for expected credit losses (“ECLs”) in accordance with IFRS. For trade and other receivables, SRx applies a simplified approach in calculating ECLs. As such, SRx does not track changes in credit risk, but instead recognizes a loss allowance based on lifetime ECLs and other macroeconomic factors at each reporting date. The carrying amount of these assets in the consolidated statements of financial position is stated net of any loss allowance.
Inventory
Inventory is valued at the lower of cost and net realizable value. Cost is determined on an actual cost basis. Cost includes all direct expenditures and other appropriate costs incurred in bringing inventory to its present location and condition, net of consideration received from vendors. Net realizable value is the estimated selling price in the ordinary course of business, less the estimated selling expenses. Inventories are written down to net realizable value when the cost of inventories is estimated to be unrecoverable due to obsolescence, damage, shrinkage, or declining selling prices. When circumstances that previously caused inventories to be written down below cost no longer exist, the amount of the write-down previously recorded is reversed. SRx records consideration received from suppliers as a reduction to the cost of inventory. These amounts are recognized in cost of sales when the associated inventory is sold.
| ○. | Significant accounting judgments, estimates and assumptions |
The preparation of the consolidated financial statements in conformity with IFRS requires management to make judgments, estimates and assumptions that affect the application of accounting policies and the reported amounts of assets, liabilities, income and expenses. Actual results may differ from these estimates. Estimates and underlying assumptions are reviewed on an ongoing basis.
Revisions to accounting estimates are recognized in the period in which the estimates are revised and in any future periods affected. Information about critical judgments in applying accounting policies that have the most significant effects on the amounts recognized in the consolidated financial statements is as follows:
| 71 |
| ● | Inventory |
Inventories are carried at the lower of cost and net realizable value, which requires SRx to utilize estimates related to fluctuations in shrinkage, retail prices and shelf life. At each reporting date, SRx reviews its inventory and determines if a reserve is required for inventory.
| ● | Revenue from contracts |
SRx’s clinical trial division is based on specified contracts whose duration is often greater than one year. The contracts outline specific services or procedures that SRx must provide. SRx recognizes revenue at the time these procedures are completed. Judgement is exercised in determining when a procedure is considered complete and an estimate of the revenue to be accrued is made based on the agreed terms in the contract.
| ● | Determination of cash-generating units (‘CGUs’) for the purpose of impairment tests |
The determination of CGUs for the purposes of impairment testing requires judgement when determining the lowest level for which there are separately identifiable cash inflows generated by a group of assets. In identifying assets to group into CGUs, SRx considers how the operations of each of its subsidiaries generate cash flows and how management monitors the entity’s operations. The determination of CGUs could affect the results of impairment tests and the amount of the impairment charge, if any, recorded in the consolidated financial statements. SRx’s CGUs have been determined by management to comprise the aggregate pharmacy locations which make up the pharmacy and sale of drugs segment, and the clinical trial entities.
| ● | Impairment of non-financial assets |
Management assesses the impairment of non-financial assets such as goodwill, intangible assets, property and equipment, and right-of-use assets on an annual basis. SRx uses judgement when identifying CGUs and determining the level at which goodwill, intangible assets, property and equipment, and right-of-use assets are tested for impairment. In assessing impairment, management estimates the recoverable amount of each asset or CGU based on the higher value-in-use (“VIU”) and fair value less costs of disposal (“FVLCD”). The VIU calculations are based on the expected future cash flows. When measuring expected future cash flows, management makes the assumptions about future growth of profits that relate to future events and circumstances. Actual results could vary from these estimated future cash flows which may cause significant adjustments to the assets in subsequent reporting periods. Estimation uncertainty relates to assumptions about future operating results and the application of an appropriate discount rate.
| ● | Intangible assets, goodwill and business combinations |
SRx accounts for business combinations using the acquisition method. This involves the allocation of the costs of an acquisition to the underlying net assets acquired based on their estimated fair values. As part of this allocation process, management identifies and attributes values to the acquired intangible assets and any resulting goodwill. These determinations involve significant estimates and assumptions regarding cash flow projections, economic risk and discount rates. Management also exercises judgement in determining the estimated useful lives of intangible assets.
| ● | Business combination versus asset acquisition |
Judgment is used in determining whether an acquisition is a business combination or an asset acquisition. The assessment required management to assess the inputs, processes and outputs of SRx acquired at the time of acquisition. Pursuant to the assessment, the transaction was considered to be a business combination and estimate of fair value of the consideration paid was allocated to the identifiable assets acquired with the remaining value allocated to goodwill (Note 5).
| ● | Reportable segments |
SRx uses judgment in assessing the criteria used to determine the aggregation of operating segments. The Pharmacy and sale of prescription drugs segment consists of several operating segments comprised primarily of pharmacies, wholesale distribution of drugs and other medications, patient support programs and a diagnostic lab.
| 72 |
SRx has aggregated its Pharmacy and sale of prescription drugs segment on the basis of their similar economic characteristics, customers and nature of products. This similarity in economic characteristics reflects the fact that the entities in SRx’s Pharmacy and sale of prescription drugs segment operate primarily in Canada and are therefore subject to the same economic market pressures and regulatory environment. The entities in SRx’s Pharmacy and sale of prescription drugs segment are subject to similar competitive pressures such as price and product innovation and assortment from existing competitors and new entrants into the marketplace. The Pharmacy and sale of prescription drugs segment customer profile is primarily individuals who are purchasing specialty drugs and related health services. The aggregation of the Pharmacy and sale of prescription drugs segment reflects the nature and financial effects of the business activities in which SRx engages and the economic environment in which it operates. SRx aggregates Pharmacies acquired through business combination within its Pharmacy and sale of prescription drugs segment. In addition, SRx has aggregated the three clinical trial sites into one reportable segment, the Clinical trial segment. SRx therefore has two reportable segments.
Financial Instruments
Recognition and derecognition
Financial instruments are recognized in the consolidated statements of financial position when SRx becomes a party to the contractual obligations of the instrument. On initial recognition, financial instruments are recognized at their fair value, and in the case of financial liabilities not at fair value through profit or loss (“FVTPL”), net of transaction costs that are directly attributable to the issue of such financial liabilities.
Financial assets are subsequently derecognized when payment is received in cash or other financial assets or if the debtor is discharged of its liability. A financial liability is derecognized when the obligation under the liability is discharged or cancelled or expires. When the terms of the liability are substantially modified, such an exchange or modification is treated as the derecognition of the original liability and the recognition of a new liability. The difference in the respective carrying amounts is recognized in the consolidated statements of comprehensive loss.
Classification
Subsequent to initial recognition, financial instruments are measured according to the category to which they are classified. All of SRx’s financial instruments are classified and measured at amortized cost or fair value.
The classification of financial asset and liabilities is driven by SRx’s business model for managing the assets or liabilities and their contractual cash flow characteristics. Financial assets that are held to collect contractual cash flows where those cash flows represent solely payments of principal and interest are measured at amortized cost. All of SRx’s financial assets and financial liabilities are measured at amortized cost, as SRx does not have any financial assets or liabilities held for trading.
New Accounting Standards and Interpretations Adopted
New and amended standards and interpretations
SRx applied for the first-time certain standards and amendments, which are effective for annual periods beginning on or after January 1, 2022. SRx has not early adopted any other standard, interpretation or amendment that has been issued but is not yet effective.
Standards issued but not yet effective
The new and amended standards and interpretations that are issued, but not yet effective, up to the date of issuance of SRx’s consolidated financial statements are disclosed below. SRx intends to adopt these new and amended standards and interpretations, if applicable, when they become effective.
| 73 |
Amendments to IAS 1: Classification of Liabilities as Current or Non-current
In January 2020, the IASB issued amendments to paragraphs 69 to 76 of IAS 1 to specify the requirements for classifying liabilities as current or non-current. The amendments clarify:
| ● | What is meant by a right to defer settlement |
| ● | That a right to defer must exist at the end of the reporting period |
| ● | That classification is unaffected by the likelihood that an entity will exercise its deferral right |
| ● | That only if an embedded derivative in a convertible liability is itself an equity instrument would the terms of a liability not impact its classification |
The amendments are effective for annual reporting periods beginning on or after January 1, 2023 and must be applied retrospectively. SRx is currently assessing the impact the amendments will have on current practice and whether existing loan agreements may require renegotiation.
Amendments to IAS 1 and IFRS Practice Statement 2 - Disclosure of Accounting Policies
In February 2021, the IASB issued amendments to IAS 1 and IFRS Practice Statement 2 Making Materiality Judgements, in which it provides guidance and examples to help entities apply materiality judgements to accounting policy disclosures. The amendments aim to help entities provide accounting policy disclosures that are more useful by replacing the requirement for entities to disclose their ‘significant’ accounting policies with a requirement to disclose their ‘material’ accounting policies and adding guidance on how entities apply the concept of materiality in making decisions about accounting policy disclosures.
The amendments to IAS 1 are applicable for annual periods beginning on or after January 1, 2023 with earlier application permitted. Since the amendments to the Practice Statement 2 provide non-mandatory guidance on the application of the definition of material to accounting policy information, an effective date for these amendments is not necessary. SRx is currently assessing the impact of the amendments to determine the impact they will have on SRx’s accounting policy disclosures.
Amendments to IAS 8 - Definition of Accounting Estimates
In February 2021, the IASB issued amendments to IAS 8, in which it introduces a definition of ‘accounting estimates’. The amendments clarify the distinction between changes in accounting estimates and changes in accounting policies and the correction of errors. Also, they clarify how entities use measurement techniques and inputs to develop accounting estimates.
The amendments are effective for annual reporting periods beginning on or after January 1, 2023 and apply to changes in accounting policies and changes in accounting estimates that occur on or after the start of that period. Earlier application is permitted as long as this fact is disclosed. The amendments are not expected to have a material impact on SRx.
Amendments to IAS 12 - Deferred tax related to assets and liabilities arising from a single transaction
In May 2021, the IASB issued amendments to IAS 12 that clarify how companies account for deferred tax on transactions such as leases and decommissioning obligations. The amendments introduce an exemption from the initial recognition exemption provided in IAS
12.15(b) and IAS 12.24. Accordingly, the initial recognition exemption does not apply to transactions in which both deductible and taxable temporary differences arise on initial recognition that result in the recognition of equal deferred tax assets and liabilities.
The amendments are effective for annual reporting periods beginning on or after January 1, 2023. Early adoption is permitted. The amendments are not expected to have a material impact on SRx.
| 74 |
Critical Accounting Estimates
The preparation of SRx’s consolidated financial statements requires management to make judgements, estimates and assumptions that affect the reported amounts of revenues, expenses, assets and liabilities, and the accompanying disclosures, and the disclosure of contingent liabilities. Uncertainty about these assumptions and estimates could result in outcomes that require a material adjustment to the carrying amount of the assets or liabilities affected in future periods.
The estimates and underlying assumptions are reviewed on an ongoing basis. Revisions to the accounting estimates are recognized in the period in which the estimate is revised if the revision affects only that period, or in the period of the revision and future periods if the revision affects both current and future periods.
Measurement of the expected credit loss (“ECL”) allowance for trade and other receivables
SRx uses a simplified approach to calculate ECLs for trade and other receivables. The ECL rates are based on broader macroeconomic credit rates. SRx’s historical credit loss experience and forecast of economic conditions may also not be representative of SRx’s trade and other receivable’s actual default in the future.
Determination of the incremental borrowing rate and extension for leases
SRx determines the lease term as the non-cancellable term of the lease, together with any periods covered by an option to extend the lease if it is reasonably certain to be exercised, or any periods covered by an option to terminate the lease, if it is reasonably certain not to be exercised. SRx has several lease contracts that include extension and termination options. SRx applies judgement in evaluating whether it is reasonably certain whether or not to exercise the option to renew or terminate the lease. That is, it considers all relevant factors that create an economic incentive for it to exercise either the renewal or termination. After the commencement date, SRx reassesses the lease term if there is a significant event or change in circumstances that is within its control and affects its ability to exercise or not to exercise the option to renew or to terminate. When SRx cannot readily determine the interest rate implicit in the lease, it uses its incremental borrowing rate (“IBR”) to measure lease liabilities. The IBR is the rate of interest that SRx would have to pay to borrow over a similar term, and with a similar security, the funds necessary to obtain an asset of a similar value to the right-of-use asset in a similar economic environment. The IBR therefore reflects what SRx ‘would have to pay’, which requires estimation when no observable rates are available (such as for subsidiaries that do not enter into financing transactions) or when they need to be adjusted to reflect the terms and conditions of the lease (for example, when leases are not in the subsidiary’s functional currency). SRx estimates the IBR using observable inputs (such as market interest rates) when available and is required to make certain entity-specific estimates (such as the subsidiary’s stand-alone credit rating).
Estimation of the valuation of consumable inventories
Inventories are carried at the lower of cost and net realizable value, which requires SRx to utilize estimates related to fluctuations in shrinkage, retails prices and shelf life. At each reporting date, SRx reviews its inventory and determines if a reserve is required for inventory.
Revenue from contracts
SRx’s clinical trial division is based on specified contracts whose duration is greater than one year. The contracts outline specific services that SRx must provide. SRx recognizes revenue over the duration of the contract based on the achievement of specific milestones, which requires SRx to exercise a degree of judgement based on the activities performed at each reporting date.
Income Tax
Current income tax assets and liabilities are measured at the amount expected to be recovered from or paid to the taxation authorities. The tax rates and tax laws used to compute the amount are those that are enacted or substantively enacted at the reporting date in the countries where SRx operates and generates taxable income. Current income tax relating to items recognized directly in equity is recognized in equity and not in the consolidated statement of comprehensive loss.
| 75 |
Management periodically evaluates positions taken in the tax returns with respect to situations in which applicable tax regulations are subject to interpretation and establishes provisions where appropriate.
SRx accounts for deferred income taxes using the liability method. Under this method, deferred income tax assets and liabilities are determined based on deductible or taxable temporary differences between the carrying amounts and tax bases of the assets and liabilities, using enacted or substantively enacted income tax rates expected to be in effect for the year in which differences are expected to reverse. Deferred income tax assets are recorded only to the extent that it is probable that they will be recovered.
Impairment of Non-financial Assets
SRx does not have purchased or originated credit-impaired financial assets. SRx recognizes loss allowances for expected credit losses (“ECLs”) in accordance with IFRS. For trade and other receivables, SRx applies a simplified approach in calculating ECLs. As such, SRx does not track changes in credit risk, but instead recognizes a loss allowance based on lifetime ECLs and other macroeconomic factors at each reporting date. The carrying amount of these assets in the consolidated statements of financial position is stated net of any loss allowance.
Results of Operations for the years ended September 30, 2023 and 2022
| In Canadian dollars | 2023 | 2022 | ||||||
| Revenue | $ | 161,548 | $ | 127,938 | ||||
| Cost of sales | 129,479 | 109,561 | ||||||
| Gross profit | 32,069 | 18,377 | ||||||
| General and administrative | 36,055 | 18,151 | ||||||
| Depreciation and amortization | 3,902 | 1,837 | ||||||
| Operating expenses | 39,957 | 19,988 | ||||||
| Operating loss | (7,888 | ) | (1,611 | ) | ||||
| Finance costs | 2,789 | 1,041 | ||||||
| Other expense (income) | 180 | (123 | ) | |||||
| Share-based compensation | 4,004 | - | ||||||
| Share of loss of associates and joint venture | - | 246 | ||||||
| Loss before income taxes | (14,861 | ) | (2,775 | ) | ||||
| Income tax expense | 603 | 410 | ||||||
| Deferred tax (income) expense | (336 | ) | 198 | |||||
| Net loss and comprehensive loss | (15,128 | ) | (3,383 | ) | ||||
| Weighted average number of common shares outstanding – basic and diluted | 12,388,467 | 704,183 | ||||||
| Net loss per share – basic and diluted | $ | (1.22 | ) | $ | (4.80 | ) | ||
| 76 |
Liquidity and Capital Resources
SRx has generated significant revenue since inception and continues to grow its operations through organic growth and acquisitions. To date, SRx has funded operations through internally generated cash flow and debt financings. Through June 30, 2024 SRx has raised approximately CAD$46 million in debt financing which has been used to fund the opening of new pharmacies, the acquisition of additional pharmacies, and opening a wholesale and distribution facility.
Off-Balance Sheet Arrangements
SRx does not have any off-balance sheet arrangements.
Changes in and Disagreements with Accountants on Accounting and Financial Disclosure
SRx does not have any disagreements with its Accountants of accounting and financial disclosures.
Qualitative and Quantitative Disclosure About Market Risk
SRx’s principal financial liabilities include trade and other payables, due to related parties and shareholders, bank indebtedness, convertible debentures and borrowings. SRx’s financial assets include cash, trade and other receivables, lease receivables and due from related parties and shareholders. The following table illustrates how the positions in the consolidated statements of financial position are classified and measured:
| Classification and Measures | ||
| Cash | Amortized cost | |
| Trade and other receivables | Amortized cost | |
| Lease receivables | Amortized cost | |
| Due from related parties | Amortized cost | |
| Due from shareholders | Amortized cost | |
| Trade and other payables | Amortized cost | |
| Due to related parties | Amortized cost | |
| Due to shareholders | Amortized cost | |
| Bank indebtedness | Amortized cost | |
| Convertible debentures | Amortized cost | |
| Borrowings | Amortized cost |
Fair Value
Fair value hierarchy Levels 1 to 3 are based on the degree to which the fair value is observable:
| - | Level 1 fair value measurements are those derived from quoted prices (unadjusted) in active markets for identical assets or liabilities; |
| - | Level 2 fair value measurements are those derived from inputs other than quoted prices included within Level 1 that are observable for the asset or liability, either directly (i.e., as prices) or indirectly (i.e., derived from prices); and |
| - | Level 3 fair value measurement are those derived from valuation techniques that include inputs for the asset or liability that are not based on observable market data (unobservable inputs). |
| 77 |
The Company has assessed that the fair value of cash, trade and other receivables, and related party receivables, trade and other payables and related party payables approximate their carrying amounts largely due to the short-term maturities of these instruments.
The carrying amount of the Company’s borrowings are considered to be the same as their fair values, as the terms of the Company’s borrowings are considered to be consistent with the commercial terms prevalent for similar loans. The Company has no financial instruments classified as Level 2 or 3.
Interest Rate Risk
Interest rate risk is the risk that the fair value or future cash flows of a financial instrument will fluctuate because of changes in market interest rates. The Company’s exposure to the risk of changes in market interest rates relates primarily to the Company’s long-term debt obligations with floating interest rates.
Foreign Currency Risk
SRx’s financial statements are presented in Canadian dollars, which is also its functional currency. SRx’s subsidiaries also have a Canadian dollar functional currency as this is the currency of the primary economic environment in which SRx operates. SRx does not have material exposure to foreign currency risk as its functional currency is the same as its primary economic environment.
Liquidity Risk
Liquidity risk is the risk that SRx will encounter difficulties in meeting financial obligations. SRx is exposed to this risk mainly in respect of its trade and other payables, long-term borrowings, and promissory notes payable.
SRx’s growth is financed through cash flows from operations, long-term borrowings and equity investment. One of management’s primary goals is to maintain an optimal level of liquidity through the active management of its assets and liabilities as well as its cash flows. Liquidity risk is mitigated by maintaining appropriate levels of cash and cash equivalents, actively monitoring market conditions, and by diversifying sources of funding.
Statement of SRx Executive Compensation
The table below sets forth the compensation earned by the executive officers of SRx as of September 30, 2023.
| Shares | RSU - $ | Salary (CAD$) | ||||||||||
| Adesh Vora | 56,250 | $ | 450,000 | $ | 310,000 | |||||||
| Bikramjit Nahal | 48,126 | $ | 385,008 | $ | 250,000 | |||||||
| Davender Sohi | 98,126 | $ | 785,008 | $ | 280,000 | |||||||
| Hemant Shah | 98,126 | $ | 785,008 | $ | 280,000 | |||||||
| Brock Clancy | 48,126 | $ | 385,008 | $ | 280,000 | |||||||
| $ | 2,790,032 | $ | 1,400,000 | |||||||||
| 78 |
Composition of the Board of Directors Following the Closing
The following table provides information regarding the expected directors of the Combined Company after the Effective Time:
| Name | Age | Position | ||||||
| Kent Cunningham | 52 | Director | ||||||
| Michael Young | 44 | Director | ||||||
| Lionel Conacher | 60 | Director | ||||||
| Adesh Vora | 49 | Director | ||||||
| David White | 72 | Director | ||||||
UNAUDITED PRO FORMA CONDENSED COMBINED FINANCIAL INFORMATION
The following tables set forth selected unaudited pro forma historical financial information and unaudited pro forma per share information in connection with the Combined Company. The pro forma amounts included in the tables below are presented as if the Arrangement had been consummated for all periods presented, have been prepared in accordance with U.S. GAAP, but have not been audited. You should read this information in conjunction with, and such information is qualified in its entirety by, the consolidated financial statements and accompanying notes of Better Choice included in this proxy statement (including the related Management’s Discussion and Analysis), the consolidated financial statements and accompanying notes of SRx (including Management’s Discussion and Analysis) contained in SRx’s annual reports, and the unaudited pro forma condensed combined financial statements and accompanying discussions and notes found in this proxy statement. The pro forma amounts in the tables below are presented for informational purposes. You should not rely on the pro forma amounts as being indicative of the financial position or the results of operations of the Combined Company that would have actually occurred had the Arrangement been consummated during the periods presented or of the future financial position or future results of operations of the Combined Company.
Unless otherwise stated, all accounting terms used in this Agreement in respect of Better Choice, Acquireco and Callco shall have the meanings attributable thereto under U.S. GAAP and all determinations of an accounting nature in respect of Better Choice, Acquireco and Callco required to be made shall be made in a manner consistent with U.S. GAAP consistently applied. SRx historical financial information was prepared in CAD in accordance with IFRS and has been converted to USD and to U.S. GAAP for purposes of the proformas. Management is still finalizing the financial statement impact upon conversion of SRx financial statements from IFRS to U.S. GAAP. The unaudited pro forma condensed combined financial statements include preliminary estimates of the IFRS to U.S. GAAP adjustments. Accordingly, the final adjustments may differ materially from what was estimated by Management in deriving the pro forma adjustments reflected in this Proxy Statement.
General
The accompanying unaudited pro forma condensed combined financial statements are presented to illustrate the estimated effects of the Arrangement.
The unaudited pro forma condensed combined financial statements have been derived from the historical consolidated audited financial statements of Better Choice and SRx. The unaudited pro forma condensed combined statements of operations for the nine months ended September 30, 2024 and for the year ended December 31, 2023 combine the historical consolidated statements of operations of Better Choice and the historical consolidated statements of operations of SRx, giving effect to the Arrangement as if they had been consummated on January 1, 2023, the beginning of the earliest period presented. The unaudited pro forma condensed combined balance sheet combines the historical consolidated balance sheet of Better Choice and the historical consolidated balance sheet of SRx as of September 30, 2024, giving effect to the Arrangement as if they had been consummated on September 30, 2024. The historical consolidated financial statements have been adjusted in the unaudited pro forma condensed combined financial statements to give pro forma effect to events that are: (a) directly attributable to the Arrangement; (b) factually supportable; and (c) with respect to the statements of operations, expected to have a continuing impact on Better Choice’s results following the completion of the Arrangement.
| 79 |
The assumptions and estimates underlying the unaudited adjustments to the pro forma combined financial statements are described in the accompanying notes, which should be read together with the pro forma combined financial statements. The unaudited pro forma condensed combined financial statements should be read together with the Better Choice’s historical consolidated financial statements, which are included in Better Choice’s latest annual report on Form 10-K, and the abbreviated financial statements of SRx presented in this proxy statement.
The unaudited pro forma condensed combined financial statements are presented for illustrative purposes only, in accordance with Article 11 of Regulation S-X. The Arrangement is being accounted for as a business combination using the acquisition method in accordance with Accounting Standards Codification 805, Business Combinations. Under this method of accounting the purchase price will be allocated to the assets acquired and liabilities assumed based upon their estimated fair values at the date of consummation of the Arrangement.
The Arrangement is in substance a reverse takeover of Better Choice by SRx, in order to facilitate SRx’s listing on NYSE and access to the U.S. capital markets. On completion of the Arrangement, holders of SRx Shares are expected to hold approximately 87% of the outstanding Combined Company Shares while holders of Better Choice Shares will retain approximately 8% of the outstanding Combined Company Shares. Approximately 5% of the outstanding Combined Company Shares are being issued as part of the transaction costs of the Arrangement.
The unaudited pro forma condensed combined financial information in this Proxy Statement is presented for illustrative purposes only and is not indicative of the actual financial position or results of operations had the Merger been completed on the dates indicated. The unaudited pro forma condensed combined financial information reflects adjustments, which are based upon preliminary estimates of the final purchase price adjustments. Accordingly, the final purchase price adjustments may differ materially from what was estimated by Management in deriving the pro forma adjustments reflected in this Proxy Statement.
| 80 |
Better Choice Company Inc.
Unaudited Pro Forma Condensed Combined Statement of Operations
(Dollars in thousands, except share and per share amounts)
| Nine Months Ended September 30, 2024 | ||||||||||||||||||||
| Better Choice | SRx | Reference | Transaction Accounting Adjustments | Total Combined | ||||||||||||||||
| Net sales | $ | 27,817 | $ | 117,109 | $ | — | $ | 144,926 | ||||||||||||
| Cost of goods sold | 17,432 | 93,685 | — | 111,117 | ||||||||||||||||
| Gross profit | 10,385 | 23,424 | — | 33,809 | ||||||||||||||||
| Operating expenses: | ||||||||||||||||||||
| Selling, general and administrative | 14,703 | 31,624 | (2) | (376 | ) | 45,951 | ||||||||||||||
| Total operating expenses | 14,703 | 31,624 | (376 | ) | 45,951 | |||||||||||||||
| Loss from operations | (4,318 | ) | (8,200 | ) | 376 | (12,142 | ) | |||||||||||||
| Other income (expense): | ||||||||||||||||||||
| Interest expense | (536 | ) | (3,259 | ) | — | (3,795 | ) | |||||||||||||
| Gain on extinguishment of debt and accounts payable | 6,206 | — | — | 6,206 | ||||||||||||||||
| Other expense | — | (69 | ) | — | (69 | ) | ||||||||||||||
| Total other income, net | 5,670 | (3,328 | ) | — | 2,342 | |||||||||||||||
| Income (loss) before income taxes | 1,352 | (11,528 | ) | 376 | (9,800 | ) | ||||||||||||||
| Income tax (benefit) expense | 3 | (452 | ) | — | (449 | ) | ||||||||||||||
| Net income (loss) | $ | 1,349 | $ | (11,076 | ) | $ | 376 | $ | (9,351 | ) | ||||||||||
| Weighted average number of shares outstanding, basic | 1,257,006 | 12,517,858 | (1) | 31,797,339 | 33,054,345 | |||||||||||||||
| Weighted average number of shares outstanding, diluted | 1,257,006 | 13,746,374 | (1) | 31,797,339 | 33,054,345 | |||||||||||||||
| Net income (loss) per share, basic | $ | 1.07 | $ | (1.20 | ) | $ | 0.01 | $ | (0.28 | ) | ||||||||||
| Net income (loss) per share, diluted | $ | 1.07 | $ | (1.10 | ) | $ | 0.01 | $ | (0.28 | ) | ||||||||||
Transaction Accounting Adjustments in the Pro Forma Combined Statement of Operations for the nine months ended September 30, 2024
(1) Represents shares issued upon consummation of the Agreement and an adjustment to the weighted average shares outstanding due to the increase of the number of Better Choice Shares outstanding in relation to the proposed Transaction. The detail of the adjustment to the weighted average shares outstanding is as follows (amounts as stated):
| Nine months ended September 30, 2024 | ||||
| Number of Better Choice Shares issued as a preliminary purchase price | 30,000,000 | |||
| Number of Better Choice Shares issued as part of transaction costs of the Arrangement | 1,797,339 | |||
| Number of Better Choice Shares outstanding | 1,257,006 | |||
| Consideration for the acquisition - common stock | 33,054,345 | |||
(2) Represents an adjustment related to a one-time gross up of outstanding CEBA loans to adjust for expiration of forgivable amounts
| 81 |
Better Choice Company Inc.
Unaudited Pro Forma Condensed Combined Statement of Operations
(Dollars in thousands, except share and per share amounts)
| Year Ended December 31, 2023 | ||||||||||||||||||||
| Better Choice | SRx | Reference | Transaction Accounting Adjustments | Total Combined | ||||||||||||||||
| Net sales | $ | 38,592 | $ | 133,583 | $ | — | $ | 172,175 | ||||||||||||
| Cost of goods sold | 26,795 | 107,652 | — | 134,447 | ||||||||||||||||
| Gross profit | 11,797 | 25,931 | — | 37,728 | ||||||||||||||||
| Operating expenses: | ||||||||||||||||||||
| Selling, general and administrative | 24,444 | 37,523 | (4) | (447 | ) | 61,520 | ||||||||||||||
| Impairment of intangible assets | 8,532 | — | (1) | (8,532 | ) | — | ||||||||||||||
| Total operating expenses | 32,976 | 37,523 | (8,979 | ) | 61,520 | |||||||||||||||
| Loss from operations | (21,179 | ) | (11,592 | ) | 8,979 | (23,792 | ) | |||||||||||||
| Other income (expense): | ||||||||||||||||||||
| Interest expense, net | (1,353 | ) | (2,683 | ) | — | (4,036 | ) | |||||||||||||
| Gain on extinguishment of debt, net | — | (316 | ) | — | (316 | ) | ||||||||||||||
| Change in fair value of warrant liabilities | (236 | ) | — | (2) | 236 | — | ||||||||||||||
| Extraordinary gain | — | — | (5) | 2,662 | 2,662 | |||||||||||||||
| Other income | — | 98 | — | 98 | ||||||||||||||||
| Total other (expense) income, net | (1,589 | ) | (2,901 | ) | 2,898 | (1,593 | ) | |||||||||||||
| (Loss) income before income taxes | (22,768 | ) | (14,493 | ) | 11,877 | (25,385 | ) | |||||||||||||
| Income tax expense (benefit) | 2 | (84 | ) | — | (82 | ) | ||||||||||||||
| Net (loss) income available to common shareholders | $ | (22,770 | ) | $ | (14,409 | ) | $ | 11,877 | $ | (25,303 | ) | |||||||||
| Weighted average number of shares outstanding, basic | 705,185 | 12,495,351 | (3) | 31,797,339 | 32,502,524 | |||||||||||||||
| Weighted average number of shares outstanding, diluted | 705,185 | 13,296,298 | (3) | 31,797,339 | 32,502,524 | |||||||||||||||
| Net (loss) income per share, basic | $ | (32.29 | ) | $ | (1.56 | ) | $ | 0.37 | $ | (0.78 | ) | |||||||||
| Net (loss) income per share, diluted | $ | (32.29 | ) | $ | (1.46 | ) | $ | 0.37 | $ | (0.78 | ) | |||||||||
Transaction Accounting Adjustments in the Pro Forma Combined Statement of Operations for the year ended December 31, 2023
(1) Represents intangible asset impairment, a non-cash, non-recurring, one-time charge.
(2) Represents change in the fair value of warrant liabilities, a non-cash, non-recurring, one-time charge.
(3) Represents shares issued upon consummation of the Agreement and an adjustment to the weighted average shares outstanding due to the increase of the number of Better Choice Shares outstanding in relation to the proposed Transaction. The detail of the adjustment to the weighted average shares outstanding is as follows (amounts as stated):
Year ended December 31, 2023 | ||||
| Number of Better Choice Shares issued as a preliminary purchase price | 30,000,000 | |||
| Number of Better Choice Shares issued as part of transaction costs of the Arrangement | 1,797,339 | |||
| Number of Better Choice Shares outstanding | 705,185 | |||
| Consideration for the acquisition - common stock | 32,502,524 | |||
(4) Represents an adjustment for the loss on debt modification incurred due to consolidation of various loans with the same lender, as well one-time costs related to pharmacy closures.
(5) Represents a bargain purchase adjustment to recognize the extraordinary gain for the transaction, as the fair value of the net assets acquired is greater than the fair value of the consideration, therefore no goodwill is recognized.
| 82 |
Better Choice Company Inc.
Unaudited Pro Forma Condensed Combined Balance Sheet
(Dollars in thousands, except share and per share amounts)
| As of September 30, 2024 | ||||||||||||||||||||
| Better Choice | SRx | Reference | Transaction Accounting Adjustments | Total Combined | ||||||||||||||||
| Assets | ||||||||||||||||||||
| Cash and cash equivalents | $ | 4,743 | $ | 489 | $ | 5,232 | ||||||||||||||
| Accounts receivable, net | 5,726 | 10,347 | 16,073 | |||||||||||||||||
| Note receivable | 1,450 | — | (1) | (1,450 | ) | — | ||||||||||||||
| Inventories | 3,930 | 4,121 | 8,051 | |||||||||||||||||
| Due from related parties | — | 4,169 | 4,169 | |||||||||||||||||
| Prepaid expenses and other current assets | 477 | 719 | 1,196 | |||||||||||||||||
| Total Current Assets | 16,326 | 19,845 | (1,450 | ) | 34,721 | |||||||||||||||
| Fixed assets, net | 158 | 7,101 | 7,259 | |||||||||||||||||
| Right-of-use assets, operating leases | 78 | 6,140 | 6,218 | |||||||||||||||||
| Intangible assets, net | — | 9,697 | 9,697 | |||||||||||||||||
| Goodwill | 405 | 20,763 | (5) | (405 | ) | 20,763 | ||||||||||||||
| Other assets | 205 | 456 | 661 | |||||||||||||||||
| Total Assets | $ | 17,172 | $ | 64,002 | $ | (1,855 | ) | $ | 79,319 | |||||||||||
| Liabilities & Stockholders’ Equity | ||||||||||||||||||||
| Current Liabilities | ||||||||||||||||||||
| Accounts payable | $ | 3,217 | $ | 34,410 | $ | 37,627 | ||||||||||||||
| Due to related parties | — | 595 | 595 | |||||||||||||||||
| Accrued and other liabilities | 1,631 | 1,378 | 3,009 | |||||||||||||||||
| Credit facility, net | 1,944 | — | 1,944 | |||||||||||||||||
| Bank indebtedness | — | 3,569 | 3,569 | |||||||||||||||||
| Term loan, net | — | 33,288 | 33,288 | |||||||||||||||||
| Operating lease liability | 60 | 1,402 | 1,462 | |||||||||||||||||
| Total Current Liabilities | 6,852 | 74,642 | — | 81,494 | ||||||||||||||||
| Non-current Liabilities | ||||||||||||||||||||
| Deferred tax liability | — | 1,470 | 1,470 | |||||||||||||||||
| Long-term borrowings | — | 614 | 614 | |||||||||||||||||
| Operating lease liability | 21 | 5,339 | 5,360 | |||||||||||||||||
| Total Non-current Liabilities | 21 | 37,972 | — | 7,444 | ||||||||||||||||
| Total Liabilities | 6,873 | 82,065 | — | 88,938 | ||||||||||||||||
| Stockholders’ Equity | ||||||||||||||||||||
| Common Stock | 2 | 8,594 | (3)(4) | (8,561 | ) | 34 | ||||||||||||||
| Additional paid-in capital | 330,290 | 1,774 | (3)(4) | (309,203 | ) | 22,862 | ||||||||||||||
| Accumulated deficit | (319,993 | ) | (28,431 | ) | (2) | 315,909 | (32,515 | ) | ||||||||||||
| Total Stockholders’ Equity | 10,299 | (18,063 | ) | (1,855 | ) | (9,619 | ) | |||||||||||||
| Total Liabilities and Stockholders’ Equity | $ | 17,172 | $ | 64,002 | $ | (1,855 | ) | $ | 79,319 | |||||||||||
Transaction Accounting Adjustments in the Pro Forma Combined Balance Sheet at September 30, 2024
(1) To remove assets not retained by Better Choice in the Arrangement.
(2) Accumulated deficit is based on the accumulated deficit of SRx, the accounting acquirer. Also includes the bargain purchase adjustment to recognize the extraordinary gain for the transaction, therefore no goodwill is recognized.
(3) Represents the recapitalization of the combined entity.
(4) Reflects approximately $5.8 million in total consideration for the acquisition, which is based on the number of equity interests SRx would have had to issue to give the owners of Better Choice the same percentage equity interest in the Combined Company that results from the reverse acquisition.
(5) Represents the elimination of $0.4 million of Better Choice historical goodwill.
| 83 |
Notes to the Pro Forma Condensed Combined Financial Statements
(Unaudited)
Note 1 – Description of the Transaction
On September 3, 2024, Better Choice Company Inc. (NYSE American: BTTR) (“Better Choice” or the “Company”), a pet health and wellness company, announced signing a definitive agreement to acquire SRx Health Solutions Inc. (‘SRx’), a leading provider of innovative healthcare solutions, in an all-stock transaction. Upon the terms and subject to the satisfaction of the conditions described in the arrangement agreement, SRx will be merged with and into Better Choice, with SRx surviving as a wholly-owned subsidiary of Better Choice (the “Merger”).
Under the terms of the arrangement agreement, each share of SRx Health common stock issued and outstanding will be converted into common stock (or shares of the Canadian surviving corporation that will be exchangeable into shares of common stock) of Better Choice. The exchange ratio for conversion of the SRx common stock into Better Choice common stock (or the exchangeable share equivalent) will be determined based on the 30-day volume weighed average price of the common stock of Better Choice subject to an aggregate share collar, with any resulting fractional shares to be rounded to the nearest whole share. At the effective time of the acquisition, security holders of SRx Health will own approximately 87% of the combined company and security holders of Better Choice will own approximately 8% of the combined company, on a fully diluted basis. Approximately 5% of the outstanding Combined Company Shares are being issued as part of the transaction costs of the Arrangement. As part of the transaction, Better Choice will spin-out 17% of the issued and outstanding capital stock of its subsidiary, Halo, Purely For Pets, Inc., to Better Choice stockholders immediately prior to the effective time of the transaction. The transaction has been approved by the Board of Directors of both companies.
The Combined Company’s Board of Directors following the consummation of the transaction will consist of five members including Adesh A. Vora, Pharm. D., as Chairman, Michael Young, Lionel Conacher, Kent Cunningham, and David White.
The Combined Company will be led by Adesh A. Vora, the founder, President, and CEO of SRx Health, as Chief Executive Officer. Dave Sohi, CA, CPA, CBV, currently Chief Financial Officer of SRx Health, will be appointed as President. Kent Cunningham, current Chief Executive Officer of Better Choice, will be appointed as CEO of the Halo business unit. Nina Martinez, current Chief Financial Officer of Better Choice, will be appointed as Chief Financial Officer of the Combined Company.
Note 2 – Basis of presentation
The unaudited pro forma condensed combined financial statements were prepared in accordance with accounting principles generally accepted in the United States of America and pursuant to the rules and regulations of SEC Regulation S-X, and present the pro forma financial position and results of operations of the combined companies after giving effect to the Arrangement.
SRx historical financial information was prepared in CAD in accordance with IFRS and have been converted to USD for purposes of the pro formas.
Better Choice has a fiscal year end of December 31, while SRx has a fiscal year end of September 30. As such, the SRx pro forma financials for the interim period reflect the nine month period October 1, 2023 through June 30, 2024.
For purposes of preparing the unaudited pro forma condensed combined financial statements, the historical financial information of SRx and related pro forma adjustments were translated from CAD to USD using the following historical exchange rates as posted by the Federal Reserve:
| USD/CAD | ||||
| Balance sheet and related adjustments as of June 30, 2024: period end exchange rate as of June 30, 2024 | 1.37 | |||
| Statement of operations and related adjustments for the year ended December 31, 2023: average exchange rate for that period | 1.35 | |||
| Statement of operations and related adjustments for the nine months ended June 30, 2024: average exchange rate for that period | 1.36 | |||
| 84 |
Note 3 – Preliminary Purchase Price Allocation
The Arrangement is being accounted for as a business combination using the acquisition method in accordance with Accounting Standards Codification 805, Business Combinations. Under this method of accounting the purchase price will be allocated to the assets acquired and liabilities assumed based upon their estimated fair values at the date of consummation of the Arrangement.
The Arrangement is in substance a reverse takeover of Better Choice by SRx, in order to facilitate SRx’s listing on NYSE and access to the U.S. capital markets. On completion of the Arrangement, holders of SRx Shares are expected to hold approximately 87% of the outstanding Combined Company Shares while holders of Better Choice Shares will retain approximately 8% of the outstanding Combined Company Shares. Approximately 5% of the outstanding Combined Company Shares are being issued as part of the transaction costs of the Arrangement.
The following table presents the preliminary allocation of the $5.8 million consideration for the transaction as of the acquisition date. This amount was determined based on the additional number of Better Choice shares that would be issued to SRx shareholders to hold 87% of the combined company:
| Bargain purchase adjustment (extraordinary gain) | $ | (2,662 | ) | |
| Net assets acquired | 8,444 | |||
| Consideration for the acquisition - common stock | $ | 5,782 |
The purchase price allocation for the proposed Transaction is preliminary and subject to revision once the proposed Transaction is complete and as additional information about the fair value of the assets to be acquired and liabilities to be assumed becomes available. In general, due to the nature of certain assets acquired and liabilities assumed, The Company has determined that the carrying value of these assets and liabilities as of September 30, 2024 approximate their fair value. Management has not completed a full, detailed valuation analysis. Accordingly, the unaudited pro forma condensed combined financial information includes a preliminary allocation of the purchase price based on assumptions and estimates that, while considered reasonable under the circumstances, are subject to changes, which may be material. Management will continue to refine its identification and valuation of assets to be acquired and liabilities to be assumed as further information becomes available.
The final determination of the purchase price allocation will be completed as soon as practicable but not one year beyond the date of the closing date of the proposed Transaction and will be based on the fair values of the assets acquired and liabilities assumed as of the closing date. The final amounts allocated to assets acquired and liabilities assumed could differ significantly from the amounts presented in the unaudited pro forma condensed combined financial information.
| 85 |
The following table sets forth a preliminary allocation of the estimated purchase price to the identifiable tangible and intangible assets acquired and liabilities assumed of Better Choice based on Better Choice’s unaudited interim consolidated balance sheet as of September 30, 2024, with the excess recorded as an extraordinary gain (in thousands):
| Better Choice | ||||
| Common stock | $ | 5,782 | ||
| Total consideration | $ | 5,782 | ||
| Cash and cash equivalents | $ | 4,743 | ||
| Accounts receivable, net | 5,726 | |||
| Note receivable | — | |||
| Inventories | 3,930 | |||
| Prepaid expenses and other current assets | 477 | |||
| Fixed assets, net | 158 | |||
| Right of use assets, operating leases | 78 | |||
| Other assets | 205 | |||
| Total assets acquired | $ | 15,317 | ||
| Accounts payable | $ | 3,217 | ||
| Accrued and other liabilities | 1,631 | |||
| Credit facility, net | 1,944 | |||
| Operating lease liability, short-term | 60 | |||
| Operating lease liability, long-term | 21 | |||
| Total liabilities acquired | $ | 6,873 | ||
| Net assets acquired | $ | 8,444 | ||
Purpose and Description of the Arrangement
Pursuant to the Arrangement, Better Choice and SRx will complete a business combination pursuant to which Better Choice will indirectly acquire all of the SRx Shares. Following the completion of the Arrangement, the Combined Company will continue to operate its portfolio of established premium and super-premium pet products under the Halo brand and its large specialty pharmacy network in Canada under the SRx brand. The Combined Company affords the SRx business with access to the U.S. capital market and will focus on leveraging operational synergies, including infrastructure and distribution, and implementing growth strategies across both businesses to launch into new verticals and geographies
Pursuant to the Arrangement Agreement, the Company will acquire SRx in an all-stock transaction pursuant to the Plan of Arrangement which includes the Amalgamation. As a result of the Amalgamation, all of the property, rights, interests and obligations of SRx shall become the property, rights, interests and obligations of AmalCo, the resulting entity upon completion of the Amalgamation, which will be an indirect subsidiary of the Company.
Pursuant to the Plan of Arrangement, each issued and outstanding common share of SRx will be converted based on the Exchange Ratio into Better Choice Shares or, at the option of the holder thereof, Exchangeable Shares that will be exchangeable at the option of the holder (or under certain other circumstances) on a one-for-one basis for Better Choice Shares. The Exchange Ratio will be determined five Business Days prior to the Closing and will be based on the 30 Day VWAP, subject to an aggregate share collar of 19,750,000 shares and 30,000,000 shares, with any resulting fractional shares to be rounded down to the nearest whole share. The transaction assigns an equity value of SRx of U.S. $80 million, assuming net debt at Closing of U.S. $43 million (which will be subject to a two-way adjustment prior to the Closing). Prior to the Closing, all outstanding SRx Warrants will either be exercised into SRx Shares or terminated, and all outstanding SRx RSUs shall be deemed to be vested and the holders thereof will receive one SRx Share for each SRx RSU.
| 86 |
Following the Closing of the Arrangement, the board of directors of the Combined Company will be comprised as follows. See “The Arrangement Agreement — Board of Directors and Officers.”
● two (2) director nominees selected by SRx in its sole discretion prior to the date on which the Better Choice Proxy Statement is filed with the SEC, one (1) of whom shall be independent in accordance with NYSE American requirements (presently intended to be Adesh Vora and David White, with the former as Chairman and the latter as the independent director); and
● two (2) director nominees selected by Better Choice in its sole discretion prior to the date on which the Better Choice Proxy Statement is filed with the SEC, one (1) of whom shall be independent in accordance with NYSE American requirements (presently intended to be Kent Cunningham and Michael Young, with the latter as the independent director); and
● one (1) director nominee mutually selected by the Parties prior to the date on which the Better Choice Proxy Statement is filed with the SEC, who shall be independent in accordance with NYSE American requirements (presently intended to be Lionel Conacher).
The Arrangement Proposal must be approved by the Better Choice stockholders for the Arrangement to be consummated.
Under the terms of the Plan of Arrangement, SRx Shareholders who are Eligible Holders may elect to (i) receive in respect of any or all of their SRx Shares, the Exchangeable Share Consideration, and (ii) receive in respect of the balance of their SRx Shares, if any, the Better Choice Share Consideration. See “Description of Exchangeable Shares and Related Agreements.”
The Exchange Ratio pursuant to which SRx Shares will be exchanged for Better Choice Shares or Exchangeable Shares pursuant to the Arrangement is not fixed, but will be determined in accordance with the Plan of Arrangement pursuant to the following formula:
A
=
D
A = the number of Better Choice Shares or Exchangeable Shares to be received in exchange for each one (1) SRx Share, rounded to three decimal places;
B = US$80,000,000 plus US$43,000,000 minus the SRx U.S. Dollar Net Debt;
C = 30 Day VWAP; and
D = the total number of SRx Shares outstanding immediately prior to the Effective Time,
provided that if:
| i. |
is greater than 30,000,000, then shall for the purposes
of the calculation of the Exchange Ratio be deemed to be 30,000,000; or |
| ii. |
is less than 19,750,000, then shall for the purposes of the
calculation of the Exchange Ratio be deemed to be 19,750,000. |
| 87 |
Based on the above formula, the Exchange Ratio will be determined based on the number of Better Choice Shares and SRx Shares outstanding immediately prior to the completion of the Arrangement, such that the holders of SRx Shares immediately prior to the completion of the Arrangement will hold 100% of the outstanding Better Choice Shares upon completion of the Arrangement. The foregoing is intended to be illustrative of the manner in which the Exchange Ratio will be determined; however, the actual Exchange Ratio could be higher or lower.
The foregoing is intended to be illustrative of the manner in which the Exchange Ratio will be determined; however, the actual Exchange Ratio could be higher or lower.
For more details about the purpose of the Arrangement, see “The Arrangement — Purpose and Description of the Arrangement,” and “The Arrangement Agreement.”
Principal Steps of the Arrangement
The following description is qualified in its entirety by reference to the full text of the Plan of Arrangement, a copy of which is attached hereto as Annex B. At the Effective Time and pursuant to the Plan of Arrangement, the following transactions, among others, will occur and will be deemed to occur sequentially in the following order:
Commencing at the Effective Time on the Effective Date, subject to the terms and conditions of the Arrangement Agreement, the following shall occur as part of the Arrangement and shall be deemed to occur sequentially in the following order (except that steps (d)-(g) below shall be deemed to occur contemporaneously) without any further act or formality:
(a) each SRx Share held by a Dissenting Shareholder shall be deemed to be transferred by the holder thereof, without any further act or formality on its part, free and clear of all Encumbrances, to SRx and SRx shall thereupon be obliged to pay the amount therefor determined and payable in accordance with Article 3 of the Plan of Arrangement, and the name of such holder shall be removed from the central securities register of SRx as a holder of SRx Shares and SRx shall be recorded as the registered holder of the SRx Shares so transferred and shall be deemed to be the legal owner of such SRx Shares, which SRx Shares shall thereupon be cancelled;
(b) each SRx Warrant outstanding immediately prior to the Effective Time that has not been exercised in advance of the exercise deadline set out in the SRx Circular, shall be cancelled without consideration;
(c) notwithstanding the terms of the SRx RSU Plan, each SRx RSU outstanding immediately prior to the Effective Time shall be deemed to be vested, without any further action by or on behalf of an SRx RSU Holder, and each SRx RSU Holder shall receive one SRx Share for each SRx RSU, and all of SRx’ obligations under such SRx RSUs shall be deemed to be fully satisfied and the SRx RSU Holders shall cease to have any rights as holders of the SRx RSUs, other than the right to receive the compensation contemplated by this Plan of Arrangement and the SRx Shares issued in connection with this Paragraph (c) shall be treated as all other SRx Shares at the Effective Time in accordance with Paragraph (d) or Paragraph (e), as applicable;
(d) contemporaneously with the steps in Paragraph (e) and Paragraph (f), each issued and outstanding SRx Share (other than Exchangeable Elected Shares and SRx Shares held by Better Choice or Dissenting Shareholders) held by a SRx Shareholder shall be transferred by the holder thereof, without any further act or formality on its part, free and clear of all Encumbrances, to Acquireco in exchange for Better Choice Share Consideration in accordance with the election or deemed election of such SRx Shareholder ;
(e) contemporaneously with the step in Paragraph (d) and Paragraph (f), each Exchangeable Elected Share shall be transferred by the holder thereof, without any further act or formality on its part, free and clear of all Encumbrances, to Acquireco in exchange for Exchangeable Share Consideration in accordance with the election of such SRx Shareholder ;
| 88 |
(f) contemporaneously with the step in Paragraph (d) and Paragraph (e): (i) Better Choice, Acquireco and Callco shall execute the Support Agreement, and the Exchangeable Shareholders shall be deemed to be parties thereto; (ii) Better Choice, Acquireco and the Trustee shall execute the Voting Trust Agreement and Better Choice shall issue to and deposit with the Trustee the Special Voting Share in consideration of the payment to Better Choice by SRx on behalf of the SRx Shareholders of ten dollars in Canadian funds (CAD$10.00), to be thereafter held of record by the Trustee for and on behalf of, and for the use and benefit of, the holders of the Exchangeable Shares in accordance with the Voting Trust Agreement, and the Exchangeable Shareholders shall be deemed to be parties thereto to the extent necessary;
(g) SRx shall reduce the stated capital of the SRx Shares to CAD$1.00; and
(h) Acquireco and SRx shall merge (the “Amalgamation”) to form one corporate entity, Amalco, with the same effect as if they had amalgamated under Section 177(1) of the OBCA, except that the legal existence of Acquireco shall not cease and AcquireCo shall survive the merger as Amalco and the Amalgamation is intended to qualify as an amalgamation as defined in subsection 87(1) of the Tax Act, and without limiting the generality of the foregoing, upon and as a consequence of the Amalgamation;
(i) the separate legal existence of the SRx shall cease without SRx being liquidated or wound up and Acquireco and SRx shall continue as one company and the property, rights, interests and obligations of SRx shall become the property, rights, interests and obligations of Amalco;
(ii) the properties, rights, interests and obligations of Acquireco shall continue to be the properties, rights, interests and obligations of Amalco, and the Amalgamation shall not constitute an assignment by operation of law, a transfer or any other disposition of the properties, rights and interests of Acquireco to Amalco;
(iii) Amalco will own and hold the property of Acquireco and SRx and, without limiting the provisions hereof, all rights of creditors or others of Acquireco and SRx will be unimpaired by the Amalgamation, and all liabilities and obligations of Acquireco and SRx, whether arising by contract or otherwise, may be enforced against Amalco to the same extent as if such obligations had been incurred or contracted by Amalco;
(iv) Amalco will continue to be liable for all of the liabilities and obligations of Acquireco and SRx;
(v) all rights, contracts, permits and interests of Acquireco and SRx will continue as rights, contracts, permits and interests of Amalco as if Acquireco and SRx continued and, for greater certainty, the Amalgamation will not constitute a transfer or assignment of the rights or obligations of either Acquireco or SRx under any such rights, contracts, permits and interests;
(vi) any existing cause of action, claim or liability to prosecution will be unaffected;
(vii) a civil, criminal or administrative action or proceeding pending by or against either Acquireco or SRx may be continued by or against Amalco;
(viii) a conviction against, or ruling, order or judgment in favour of or against either Acquireco or SRx may be enforced by or against Amalco;
(ix) each issued and outstanding share of each class of shares of Acquireco shall become a share of the same class of shares of Amalco having the same terms and conditions as such Acquireco shares had immediately prior to the Amalgamation and all of the issued and outstanding shares of SRx will be cancelled without repayment of capital in respect thereof;
(x) the name of Amalco shall be SRX Health Solutions Inc.;
| 89 |
(xi) Amalco shall be authorized to issue an unlimited number of Exchangeable Shares, Preferred Voting Shares and common shares each without par value;
(xii) the articles and bylaws of Amalco shall be in the form of the articles and bylaws of Acquireco;
(xiii) the first annual general meeting of Amalco or resolutions in lieu thereof shall be held within 18 months from the Effective Date;
(xiv) the first directors of Amalco following the amalgamation shall be the then current Acquireco directors; and
(xv) the stated capital of each class of shares of Amalco will be an amount equal to the stated capital attributable to the corresponding class of Acquireco shares immediately prior to the Amalgamation.
In no event shall any fractional Better Choice Shares or Exchangeable Shares be issued under the Plan of Arrangement. Where the aggregate number of Better Choice Shares or Exchangeable Shares to be issued to a SRx securityholder would result in a fraction of a Better Choice Share or Exchangeable Share being issuable, then the number of Better Choice Shares or Exchangeable Shares to be issued to a SRx shareholder shall be rounded down to the nearest whole number and no compensation shall be issued in lieu of the issuance of a fractional Better Choice Share or Exchangeable Share.
Voting and Support Agreements
SRx Voting and Support Agreement
To the knowledge of SRx, the SRx Supporting Shareholders beneficially own, or exercise control or direction over, directly or indirectly, [●] SRx Shares representing approximately [●]% of the issued and outstanding SRx Shares as of the Record Date, on a non-diluted basis.
On [●], 2024, the SRx Supporting Stockholders entered into the Voting and Support Agreement with Better Choice pursuant to which, among other things, they agreed to cause to be counted as present for purposes of establishing quorum at the Special Meeting and to vote (or cause to be voted) the securities owned legally or beneficially by each of them or over which they exercise control or direction, as applicable, FOR matters related to the Arrangement, and to duly complete and cause forms of proxy in respect of all of the applicable securities held by them to be validly delivered to cause the applicable securities to be voted FOR matters related to the Arrangement.
The Voting and Support Agreement automatically terminates if the Arrangement Agreement is terminated in accordance with its terms.
Better Choice Voting and Support Agreement
To the knowledge of Better Choice, the Better Choice Supporting Stockholders beneficially own, or exercise control or direction over, directly or indirectly, [●] Better Choice Shares representing approximately [●]% of the issued and outstanding Better Choice Shares as of the Record Date, on a non-diluted basis.
On September 3, 2024, the Better Choice Supporting Shareholders entered into the Voting and Support Agreement with SRx pursuant to which, among other things, they agreed to cause to be counted as present for purposes of establishing quorum at the Special Meeting and to vote (or cause to be voted) the securities owned legally or beneficially by each of them or over which they exercise control or direction, as applicable, FOR matters related to the Arrangement, and to duly complete and cause forms of proxy in respect of all of the applicable securities held by them to be validly delivered to cause the applicable securities to be voted FOR matters related to the Arrangement.
The Voting and Support Agreement automatically terminates if the Arrangement Agreement is terminated in accordance with its terms.
| 90 |
Expenses of the Arrangement
Except as otherwise provided in the Arrangement Agreement, all costs and expenses of the Parties relating to the Arrangement Agreement and the transactions contemplated thereunder, including legal fees, accounting fees, financial advisory fees, strategic advisory fees, regulatory filing fees, stock exchange fees, all disbursements of advisors and printing and mailing costs, shall be paid by the Party incurring such expenses.
Court Approval of the Arrangement
A plan of arrangement completed under the OBCA requires Court approval. On [●], 2024, SRx obtained the Interim Order, which provides for the calling and holding of the SRx Meeting, the Dissent Rights and other procedural matters.
Subject to the terms of the Arrangement Agreement and receipt of approval of the Arrangement Proposal at the SRx Meeting, SRx intends to make an application to the Court for the Final Order. The application for the Final Order approving the Arrangement is expected to occur as soon as reasonably practicable (and, in any event, within five (5) Business Days following the approval of the Arrangement Proposal at the SRx Meeting). The Court will consider, among other things, the substantive and procedural fairness of the Arrangement to the parties affected, including the SRx shareholders, holders of SRx convertible securities or other interested parties. The Court may approve the Arrangement in any manner the Court may direct, subject to compliance with any terms and conditions, if any, as the Court deems fit.
The Court has been advised that the Court’s approval of the Arrangement (including the fairness thereof), if granted, will form a basis for the exemption from the registration requirements of the Securities Act provided by Section 3(a)(10) thereof with respect to the issuance and distribution of the Consideration Shares to be issued by Better Choice to SRx shareholders pursuant to the Arrangement pursuant to the Arrangement. Consequently, if the Final Order is granted, the Consideration Shares issuable to SRx shareholders pursuant to the Arrangement will not require registration under the Securities Act.
Assuming the Final Order is granted and the other conditions to closing contained in the Arrangement Agreement are satisfied or waived to the extent legally permissible, then articles of arrangement will be filed to give effect to the Arrangement.
Background of the Arrangement
The Arrangement Agreement is the result of arm’s length negotiations among representatives of Better Choice and SRx and their respective legal and financial advisors.
The primary representatives involved in the negotiations on behalf of Better Choice were Michael Young, its Chairman of the Board; Kent Cunningham, its Chief Executive Officer; and Carolina Martinez, its Chief Financial Officer. The primary negotiators on behalf of SRx were Adesh Vora, its Chief Executive Officer; and Devender Sohi, its Chief Financial Officer. Better Choice is represented in the transaction by Meister Seelig & Fein PLLC as U.S. counsel and by Wildeboer Dellelce LLP as Canadian counsel. SRx is represented in the transaction by Dorsey Whiteny LLP as U.S. Counsel and by Borden Ladner Gervais LLP as Canadian counsel.
| 91 |
The management of Better Choice had considered the possibility of a business combination in order to strengthen its business and provide additional value to its stockholders. Management of Better Choice and SRx began discussing the Arrangement during the second and third quarters of 2024 and began actively negotiating the Arrangement Agreement, and documents ancillary thereto, in August of 2024. The key items of negotiation were the valuation of the companies and the Exchange Ratio. The Arrangement Agreement was finalized and signed by the parties on September 3, 2024.
Reasons for the Arrangement
In considering its decision to approve the Arrangement Agreement and to authorize and approve the Arrangement and, subject to the terms and conditions of the Arrangement Agreement, to recommend the approval of the Arrangement Proposal and the Plan Proposal by Better Choice’s stockholders, the Better Choice Board consulted with Better Choice’s management, as well as Better Choice’s legal and financial advisors, and considered the terms of the proposed Arrangement Agreement, the Arrangement and the other transactions set forth in the Arrangement Agreement, as well as other alternative transactions. The Better Choice Board considered a number of factors in its deliberations, including the following (which factors are not necessarily presented in order of relative importance):
| ● | The Exchange Ratio represented an attractive valuation for Better Choice. |
| ● | The fairness opinion given by Strategic Capital Advisors, Ltd. concluded that, as of August 13, 2024, subject to the assumptions, limitations and qualifications set out therein, the Arrangement is fair, from a financial point of view, to the Better Choice stockholders. |
| ● | Information concerning the business, assets, liabilities, financial performance and results of operations, and condition and prospects, of Better Choice’s business and SRx’s business. |
| ● | The Better Choice Board considered alternatives, financing options and strategies available to Better Choice if it did not enter into the Arrangement Agreement and continued with a stand-alone plan, the financial condition of Better Choice, the fact that none of the potential investors that had been contacted appeared to be interested in making a strategic investment in Better Choice in the near-term, and that discussions with these counterparties were not progressing quickly, and determined that entering into the Arrangement Agreement was the best alternative for Better Choice stockholders and in the best interest of Better Choice. |
| ● | The Better Choice Board’s view that the Arrangement Agreement was the product of arm’s-length negotiations. |
| ● | The Arrangement would be subject to the approval of the stockholders of Better Choice, and the Better Choice stockholders would be free to reject the Arrangement. |
The Better Choice Board also considered potential drawbacks and risks relating to the Arrangement, including the following (which drawbacks and risks are not necessarily presented in order of relative importance):
| ● | The possibility that the Arrangement may not close on the anticipated timeline, or at all, and that Better Choice continues to incur substantial expenses in connection with the Arrangement that must be paid regardless of whether the Arrangement closes. |
| ● | The possibility that the Arrangement Agreement may be terminated under certain circumstances, and that the termination fee of $3.2 million may be payable by Better Choice. |
| ● | The fact that Better Choice management and members of the Better Choice Board may have interests in the Arrangement that are different that those of the Better Choice stockholders generally. |
| ● | The Combined Company will operate two distinct businesses which may cause a distraction to the operation or success of the current business of Better Choice. |
| 92 |
Recommendation of the Better Choice Board
After taking into account all of the factors set forth above, as well as others, the Better Choice Board unanimously agreed that the benefits of the Arrangement outweighed the drawbacks and risks and determined that the Arrangement Agreement and the transactions contemplated thereby, including the Arrangement, are fair to, and in the best interests of, Better Choice and its stockholders, approved the Arrangement Agreement, authorized and approved the Arrangement upon the terms and conditions set forth in the Arrangement Agreement, and unanimously recommended that Better Choice stockholders vote to approve the Arrangement Proposal and the Plan Proposal at the Special Meeting.
Fairness Opinion
In connection with the Arrangement, the Better Choice Board received a written opinion, dated August 13, 2024, from Strategic Capital Advisors, Ltd., which states that, as of such date, and subject to the assumptions, limitations and qualifications set out therein, the Arrangement is fair, from a financial point of view, to the Better Choice stockholders. The Better Choice Board is entitled to rely on the Fairness Opinion in connection with its decision to approve the Arrangement. The full text of the Fairness Opinion, which sets forth certain assumptions made, matters considered and limitations on the review undertaken in connection with such opinion, is attached as Annex G to this proxy statement. Better Choice stockholders are urged to, and should, read the Fairness Opinion in its entirety.
Subject to the terms of its engagement, Strategic Capital Advisors, Ltd. has consented to the inclusion in this proxy statement of its Fairness Opinion in its entirety, together with the summary herein, and other information relating to Strategic Capiral Advisors, Ltd. and its Fairness Opinion. The Fairness Opinion addresses only the fairness of the Arrangement from a financial point of view to the Better Choice stockholders and does not and should not be construed as a valuation of Better Choice or SRx or their respective assets, liabilities or securities or as recommendations to any Better Choice stockholders as to how to vote at the Special Meeting.
Accounting Treatment of Transaction
The Arrangement will be accounted for using the purchase method of accounting with SRx as the acquirer.
Regulatory Approvals
In addition to approval by both the Better Choice stockholders and the SRx shareholders, the consummation of the Arrangement is contingent on (a) court approval under the OBCA and a declaration following a court hearing that the Arrangement is fair to SRx securityholders and (b) approval from NYSE for the listing of the Better Choice Shares issuable in the transaction.
Federal Securities Law Consequences, Resale Restrictions
The Consideration Shares issued pursuant to the Arrangement will not be registered under the Securities Act or the securities laws of any state of the United States and will be issued and exchanged in reliance upon the exemption from registration provided by Section 3(a)(10) of the Securities Act and exemptions from or qualifications under the registration requirements under the securities laws of applicable states of the United States. Section 3(a)(10) of the Securities Act exempts the issuance of any securities issued in exchange for one or more bona fide outstanding securities, or partly in such exchange and partly for cash, from the registration requirements of the Securities Act, where the terms and conditions of the issuance and exchange of such securities have been approved by a court of competent jurisdiction that is expressly authorized by law to grant such approval, after a hearing upon the substantive and procedural fairness of the terms and conditions of such issuance and exchange at which all persons to whom it is proposed to issue the securities have the right to appear and have received timely and adequate notice thereof. The Court is authorized to conduct a hearing at which the fairness of the terms and conditions of the Arrangement will be considered. Accordingly, the Final Order will, if granted, constitute a basis for the exemption from the registration requirements of the Securities Act provided by Section 3(a)(10) thereof with respect to the issuance of the Consideration Shares pursuant to the Arrangement.
| 93 |
Section 3(a)(10) of the Securities Act will not be available for the issuance of any Better Choice Shares that are issuable upon exercise of the Exchangeable Shares or other SRx Securities exercisable for or convertible into SRx Shares. Therefore, the Better Choice Shares issuable upon the exercise conversion of the Exchangeable Shares and any SRx Securities will be “restricted securities” within the meaning of Rule 144, and may be issued only pursuant to an exemption from the registration requirements of the Securities Act and applicable state securities laws or following registration under such laws.
Appraisal and Dissenters’ Rights
Holders of Better Choice Shares will not have any appraisal or dissenters rights in connection with the Arrangement.
Holders of SRx Shares may exercise Dissent Rights with respect to the Arrangement pursuant to and in the manner set forth under Section 185 of the OBCA, as modified by the Plan of Arrangement and the Interim Order, provided that, notwithstanding Section 185(6) of the OBCA, the written objection to the Arrangement Resolution must be sent to SRx by holders who wish to dissent and be received by SRx not later than 5:00 p.m. (Toronto time) on the second Business Day before the SRx Meeting.
The procedures for dissenting to the Arrangement Resolution require strict compliance with the applicable dissent procedures.
A registered holder of SRx Shares is entitled to be paid the fair value of the SRx Shares held by such holder in accordance with Section 185 of the OBCA, as modified by the Plan of Arrangement and the Interim Order, if such holder exercises Dissent Rights and the Arrangement becomes effective. If the aggregate number of SRx Shares in respect of which SRx Shareholders have duly and validly exercised Dissent Rights, and have not been withdrawn at the date of the SRx Meeting, exceeds 5% of the SRx Shares entitled to vote at the SRx Meeting, each of SRx and Better Choice is entitled, in its discretion, not to complete the Arrangement.
The following description of the dissent procedures is not a comprehensive statement of the procedures to be followed by a Dissenting Shareholder who seeks payment of the fair value of its SRx Shares and is qualified in its entirety by reference to the full text of the Plan of Arrangement, the Interim Order and Section 185 of the OBCA.
The Court hearing the application for the Final Order has the discretion to alter the Dissent Rights described herein.
SRx shareholders who duly exercise Dissent Rights and who:
| ● | to be entitled to be paid fair value for their SRx Shares, which fair value, notwithstanding anything to the contrary contained in Section 185 of the OBCA, shall be determined as of the Exchange Time, shall be deemed to have transferred those SRx Shares as of the Exchange Time at the fair value of the SRx Shares determined as the Exchange Time in accordance with the Plan of Arrangement to SRx and shall not be entitled to any other payment or consideration, including any payment that would be payable under the Arrangement had such holder not exercised their Dissent Rights in respect of such SRx Shares; or | |
| ● | not to be entitled, for any reason, to be paid fair value for their SRx Shares shall be deemed to have participated in the Arrangement on the same basis as a holder of SRx Shares who has not exercised Dissent Rights. |
| 94 |
Sections 185 of the OBCA
Section 185 of the OBCA, as modified by the Plan of Arrangement and the Interim Order, provides that registered SRx Shareholders who dissent to the Arrangement in compliance with Section 185 of the OBCA may exercise a right of dissent and require SRx to purchase the SRx Shares held by such SRx Shareholders at the fair value of such SRx Shares.
The exercise of Dissent Rights does not deprive a registered SRx Shareholder of the right to vote at the SRx Meeting. However, a SRx Shareholder is not entitled to exercise Dissent Rights in respect of the Arrangement Resolution if such holder votes any of the SRx Shares beneficially held by such holder FOR the Arrangement Resolution. The execution or exercise of a proxy against the Arrangement Resolution does not constitute a written objection for purposes of the right to dissent under Section 185 of the OBCA.
A Dissenting Shareholder must dissent with respect to all SRx Shares in which the holder owns a beneficial interest. A registered Shareholder who wishes to dissent must send to SRx, no later than 5:00 p.m. (Toronto time) on the second Business Day before the SRx Meeting, a written objection to the resolution (a “Written Objection”) in accordance with the OBCA, unless SRx did not give notice to the shareholder of the purpose of the meeting or of the shareholder’s right to dissent.
A vote against the Arrangement Resolution, whether virtually or by proxy, or not voting on the Arrangement Resolution does not constitute a Written Objection. SRx shall, within ten Business Days after the SRx Shareholders adopt the Arrangement Resolution, send to each Dissenting Shareholder a notice that the Arrangement Resolution has been adopted, stating that SRx intends to act, or has acted, on the authority of the Arrangement Resolution and advise the Dissenting Shareholder of the manner in which dissent is to be completed under Section 185 of the OBCA.
If the Arrangement Resolution is approved by the holders of SRx Shares as required at the SRx Meeting, and if SRx notifies the Dissenting Shareholders of its intention to act upon the Arrangement Resolution, pursuant to Section 185 of the OBCA, the Dissenting Shareholder is then required, within 20 days after receipt of such notice, to send to SRx or its transfer agent a signed written notice setting out the Dissenting Shareholder’s name, the number and class of SRx Shares in respect of which the Dissenting Shareholder dissents and that the Dissent Right is being exercised in respect of all of the Dissenting Shareholder’s SRx Shares (a “Dissent Notice”) and a demand for payment of the fair value of such SRx Shares. Within 30 days after sending the Dissent Notice, the Dissenting Shareholder must send to SRx or its transfer agent any share certificate or certificates representing the SRx Shares in respect of which the Dissenting Shareholder has exercised Dissent Rights (if any).
A Dissenting Shareholder who fails to send to SRx or its transfer agent within the required periods of time the required Dissent Notice or the certificates representing the SRx Shares in respect of which the Dissenting Shareholder has dissented may forfeit its Dissent Rights. Upon delivery of these documents, the Dissenting Shareholder ceases to have any rights as a shareholder other than the right to be paid the fair value of the SRx Shares, except where the Dissenting Shareholder withdraws the Dissent Notice before SRx makes an offer, SRx fails to make an offer and the Dissenting Shareholder withdraws the Dissent Notice, or the board of directors of SRx revoke the Arrangement Resolution, in which case the Dissenting Shareholder’s rights as a SRx Shareholder are reinstated as of the date the Dissenting Shareholder sent the Dissent Notice.
If the matters provided for in the Arrangement Resolution become effective, then SRx will be required to send, not later than the seventh (7th) day after the later of the Effective Date and the day the demand for payment is received, to each Dissenting Shareholder whose demand for payment has been received, a written offer to pay for the SRx Shares of such Dissenting Shareholder for such amount as the board of directors of SRx considers to be fair value accompanied by a statement showing how the fair value was determined.
SRx must pay for the SRx Shares of a Dissenting Shareholder within 10 days after an offer made as described above has been accepted by a Dissenting Shareholder, but any such offer lapses if SRx does not receive an acceptance thereof within 30 days after such offer has been made. Every offer made by SRx for SRx Shares will be on the same terms.
If such offer is not made or accepted within 50 days after the Effective Date, SRx may apply to the Court to fix the fair value of such SRx Shares. There is no obligation of SRx to apply to the Court. If SRx fails to make such an application, a Dissenting Shareholder has the right to so apply within a further 20 days.
| 95 |
Interests of Certain Persons in the Arrangement
You should be aware that members of the management and Better Choice Board have interests in the Arrangement that may be in addition to or different from the interests of Better Choice stockholders generally, which will present them with actual or potential conflicts of interest. These interests include the following:
Security Ownership of Certain Beneficial Owners and Management
The following is a discussion and analysis of the compensation arrangements for Better Choice’s named executive officers, or NEOs. Better Choice’s NEOs for 2024 consist of the following individuals:
| ● | Kent Cunningham, Chief Executive Officer appointed May 2023 | |
| ● | Lionel F. Conacher, our former interim Chief Executive Officer, who resigned in May 2023; | |
| ● | Carolina Martinez, Chief Financial Officer appointed August 2023 | |
| ● | Sharla A. Cook, our former Chief Financial Officer, who resigned in April 2023; | |
| ● | Donald Young, our former Chief Sales Officer, who resigned in September 2023; and | |
| ● | Robert Sauermann, our former Executive Vice President, Strategy, who resigned in March 2023. |
Executive Compensation Components
Base Salaries
The NEOs receive a base salary to provide a fixed component of compensation reflecting the executive’s skill set, experience, role and responsibilities. Better Choice’s Compensation Committee adjusts NEO base salaries based on the committee’s review of available market information. Our board of directors established an annual base salary for each of our NEOs as follows:
| Annual Base Salary | ||||||||||||
| Name | 2021 | 2022 | 2023 | |||||||||
| Kent Cunningham(1) | n/a | n/a | 350,000 | |||||||||
| Lionel F. Conacher | n/a | 160,000 | 160,000 | |||||||||
| Carolina Martinez(2) | n/a | n/a | 240,000 | |||||||||
| Sharla A. Cook | 200,000 | 225,000 | n/a | |||||||||
| Donald Young | 250,000 | 275,000 | 275,000 | |||||||||
| Robert Sauermann | 225,000 | 240,000 | 240,000 | |||||||||
(1) Mr. Cunningham was appointed as Chief Executive Officer of the Company effective as of May 22, 2023.
(2) Mrs. Martinez was appointed as Chief Financial Officer of the Company effective as of August 2, 2023. Mrs. Martinez was previously appointed and served as the Interim Chief Financial Officer of the Company effective as of April 3, 2023.
| 96 |
Annual Incentive
The purpose of Better Choice’s annual incentive bonus program is to incentivize all individuals in the organization to meet or exceed both Better Choice’s annual budget goals as well as individual responsibilities. Better Choice’s annual incentive program requires minimum performance thresholds for any payout to occur for specific performance measures and objectives. Better Choice believe the annual incentive effectively motivates Better Choice’s NEOs to drive operational performance without encouraging unreasonable risk. The Committee believes the achievement of year-over-year gross revenue, gross margin and Adjusted EBITDA growth goals will result in sustainable long-term stockholder value creation. Better Choice’s 2023 annual incentive potential was based on achievement levels of these financial metrics, measured against our annual plan as approved by our Board. Overall, the NEOs’ annual incentive bonus was weighted as follows: 50% Gross Revenue and Adjusted EBITDA, and 50% individual performance and achievement of goals. The CEO was eligible for a payout of 50% of base salary while the other NEOs were eligible for a payout ranging from 25-40% of base salary based on these metrics.
Equity Compensation
The goals of our long-term, equity-based incentive awards are to align the interests of our NEOs and other employees, non-employee directors and consultants with the interests of our stockholders. Because vesting is based on continued employment, our equity-based incentives also encourage the retention of our NEOs through the vesting period of the awards.
To reward and retain our NEOs in a manner that best aligns employees’ interests with stockholders’ interests, we use stock options as the primary incentive vehicles for long-term compensation. We believe that stock options are an effective tool for meeting our compensation goal of increasing long-term stockholder value by tying the value of the stock options to our future performance. The exercise price of each stock option grant is the fair market value of our common stock on the grant date.
Repricing of Stock Options
Effective October 1, 2020, all outstanding stock option awards under the Amended and Restated 2019 Equity Incentive Award Plan held by current employees as of October 1, 2020 were repriced concurrent with the closing of the Company’s Series F Private Placement. In total, 1,012,956 stock options were repriced. The exercise price was set at a 20% premium to the Series F conversion price, or $3.60 per share. No other terms of the stock options were changed.
The board of directors effectuated the repricing to realign the value of the stock options with their intended purpose, which is to retain and motivate the holders of the stock options to continue to work in the best interests of the Company. Prior to the repricing, many of the stock options had exercise prices well above the then recent market prices of our common stock. The stock options were repriced unilaterally and the consent of holders was neither necessary nor obtained.
Other Elements of Compensation
Retirement Plans. We currently maintain a 401(k) retirement savings plan that allows eligible employees to contribute a portion of their compensation, within limits prescribed by the Internal Revenue Code, on a pre-tax basis through contributions to the plan. Our NEOs are eligible to participate in the 401(k) plan. We believe that providing a vehicle for tax-deferred retirement savings through our 401(k) plan adds to the overall desirability of our executive compensation package and further incentivizes our NEOs in accordance with our compensation policies. During 2020, the Company had a separate 401(k) plans for TruPet and Halo and provided an employer matching contribution under each plan. Beginning in 2021, the Company provided an employer matching contribution of 50% up to 5% of compensation under our 401(k) plan.
Employee Benefits and Perquisites. All of our full-time employees, including our NEOs, are eligible to participate in our employee benefit plans and programs, including medical, dental, and vision benefits, health spending accounts, short and long-term disability and life insurance, to the same extent as our other full-time employees, subject to the terms and eligibility requirements of those plans.
Termination and Change in Control Benefits. Our NEOs may become entitled to certain benefits or enhanced benefits in connection with certain qualifying terminations of employment and/or a change in control of our Company. Each of our NEOs’ employment agreements entitles them to severance in the event of their termination without cause or their resignation for good reason and upon termination by reason of death or disability.
| 97 |
Summary Compensation Table
The table below sets forth the compensation earned by our NEOs for the years ended December 31, 2023, 2022 and 2021.
| Name and Principal Position | Year | Salary ($) | Bonus ($) | Stock Awards ($) | Option Awards (1) ($) | Non-Equity Incentive Plan Compensation ($) | All Other Compensation (2) ($) | Total ($) | ||||||||||||||||||||||
| Kent Cunningham (3) | 2023 | 350,000 | 53,459 | 362,727 | — | — | 8,785 | 774,971 | ||||||||||||||||||||||
| Chief Executive Officer | 2022 | — | — | — | — | — | — | — | ||||||||||||||||||||||
| 2021 | — | — | — | — | — | — | — | |||||||||||||||||||||||
| Lionel F. Conacher (4) | 2023 | 160,000 | — | 13,334 | — | — | — | 173,334 | ||||||||||||||||||||||
| Interim Chief Executive Officer | 2022 | 160,000 | — | 153,336 | 18,573 | — | — | 331,909 | ||||||||||||||||||||||
| 2021 | — | — | — | — | — | — | — | |||||||||||||||||||||||
| Carolina Martinez (5) | 2023 | 240,000 | 19,200 | — | 70,000 | — | 1,106 | 330,306 | ||||||||||||||||||||||
| Chief Financial Officer | 2022 | — | — | — | — | — | — | — | ||||||||||||||||||||||
| 2021 | — | — | — | — | — | — | — | |||||||||||||||||||||||
| Sharla A. Cook (6) | 2023 | 250,000 | — | 28,000 | — | — | 3,206 | 281,206 | ||||||||||||||||||||||
| Chief Financial Officer | 2022 | 250,000 | 100,000 | — | 153,596 | — | 9,801 | 513,397 | ||||||||||||||||||||||
| 2021 | 200,000 | 34,375 | — | 317,701 | — | 9,942 | 562,018 | |||||||||||||||||||||||
| Donald Young (7) | 2023 | 275,000 | — | 14,000 | — | — | 43,744 | 332,744 | ||||||||||||||||||||||
| Chief Sales Officer | 2022 | 275,000 | 110,000 | — | 492,174 | — | 9,425 | 886,599 | ||||||||||||||||||||||
| 2021 | 250,000 | 42,969 | — | 991,704 | — | 8,694 | 1,293,367 | |||||||||||||||||||||||
| Robert Sauermann (8) | 2023 | 240,000 | — | 28,000 | — | — | 1,811 | 269,811 | ||||||||||||||||||||||
| Executive Vice President, Strategy | 2022 | 240,000 | 96,000 | — | 367,435 | — | 10,250 | 713,685 | ||||||||||||||||||||||
| 2021 | 225,000 | 38,672 | — | 590,701 | — | 6,794 | 861,167 | |||||||||||||||||||||||
(1) The amounts reported reflect the grant date fair value of the stock options granted, as computed in accordance with ASC 718. The fair value of each option grant is estimated based on the fair market value on the date of grant using the Black-Scholes option pricing model. The assumptions that we used to calculate these amounts are discussed in Note 12 to our financial statements included in this prospectus.
(2) The amounts reported reflect matching 401(k) payments and accrued PTO payout.
(3) Mr. Cunningham commenced employment with us and was appointed Chief Executive Officer effective as of May 22, 2023.
(4) Mr. Conacher was employed with us as interim Chief Financial Officer from September 14, 2022 until May 22, 2023.
(5) Mrs. Martinez was appointed as Chief Financial Officer effective as of August 2, 2023. Mrs. Martinez was previously appointed and served as the Interim Chief Financial Officer of the Company effective as of April 3, 2023.
(6) Ms. Cook commenced employment with us in April 2020 and was appointed as our Chief Financial Officer in October 2020. Ms. Cook resigned effective as of April 3, 2023.
(7) Mr. Young resigned effective as of September 8, 2023.
(8) Mr. Sauermann resigned effective as of March 17, 2023.
| 98 |
Outstanding Equity Awards at Fiscal Year-End
The table below sets forth the outstanding stock option awards held by the NEOs as of December 31, 2023. None of our NEOs hold stock awards.
| Option Awards | |||||||||||||||||
| Name | Option Award Grant |
Number of Securities Underlying Unexercised Options (#) Exercisable | Number of Securities Underlying Unexercised Options (#) Unexercisable | Option Exercise Price ($) | Option Expiration Date | ||||||||||||
| Kent Cunningham | N/A | — | — | $ | — | N/A | |||||||||||
| Lionel F. Conacher | 9/28/2021 | 256 | 358 | $ | 90.64 | 9/28/2031 | |||||||||||
| Carolina Martinez | 8/7/2023 | — | 4,545 | $ | 15.40 | ||||||||||||
| Sharla A. Cook | 2/1/2022 | (1) | — | 1,136 | $ | 62.00 | 2/1/2032 | ||||||||||
| 8/19/2021 | (1) | 152 | 189 | $ | 73.92 | 8/19/2031 | |||||||||||
| 7/8/2021 | (1) | 358 | 400 | $ | 100.32 | 7/8/2031 | |||||||||||
| 3/3/2021 | (2) | 222 | 159 | $ | 240.24 | 3/3/2031 | |||||||||||
| 3/3/2021 | (2) | 109 | 78 | $ | 240.24 | 3/3/2031 | |||||||||||
| 1/8/2021 | (1) | 242 | 137 | $ | 211.20 | 1/8/2031 | |||||||||||
| Donald Young | 2/1/2022 | (1) | — | 1,705 | $ | 62.04 | 2/1/2032 | ||||||||||
| 8/19/2021 | (1) | 152 | 189 | $ | 73.92 | 8/19/2031 | |||||||||||
| 7/8/2021 | (1) | 358 | 400 | $ | 100.32 | 7/8/2031 | |||||||||||
| 3/3/2021 | (2) | 401 | 286 | $ | 240.24 | 3/3/2031 | |||||||||||
| 3/3/2021 | (2) | 814 | 582 | $ | 240.24 | 3/3/2031 | |||||||||||
| 1/1/2021 | (1) | 1,894 | — | $ | — | 1/1/2031 | |||||||||||
| Robert Sauermann | 2/1/2022 | (1) | — | 1,136 | $ | 62.04 | 2/1/2032 | ||||||||||
| 8/19/2021 | (1) | 152 | 189 | $ | 73.92 | 8/19/2031 | |||||||||||
| 7/8/2021 | (1) | 358 | 400 | $ | 100.32 | 7/8/2031 | |||||||||||
| 3/3/2021 | (2) | 328 | 234 | $ | 240.24 | 3/3/2031 | |||||||||||
| 3/3/2021 | (2) | 666 | 476 | $ | 240.24 | 3/3/2031 | |||||||||||
| 1/8/2021 | (1) | 242 | 137 | $ | 211.20 | 1/8/2031 | |||||||||||
(1) Options vest as follows: 1/3rd on the first annual anniversary of the grant date and 1/36th on each monthly anniversary thereafter.
(2) 67% of the options shall vest as to 1/3rd on the first annual anniversary of the grant date and 1/36th on each monthly anniversary thereafter, and 33% of the options shall vest as to 1/3rd on the 18 month anniversary of the grant date and 1/36th on each monthly anniversary thereafter.
Employment Agreements and Potential Payments Upon Termination
The Company entered into an Employment Agreement with Kent Cunningham, dated as of May 22, 2023 (the “Cunningham Employment Agreement”) in connection with Mr. Cunningham’s appointment as Chief Executive Officer of the Company as of May 22, 2023. Pursuant to the Cunningham Employment Agreement, Mr. Cunningham’s compensation will be an initial annual base salary of $350,000 and an annual discretionary performance bonus target of 50% of base salary, payable 50% in cash and 50% in shares of common stock of the Company. Pursuant to the Cunningham Employment Agreement, Mr. Cunningham will be entitled to six weeks’ paid vacation and will be eligible to participate in certain employee benefit plans offered by the Company. Further, Mr. Cunningham will receive an initial grant of 1,000,000 Restricted Stock Units of Common Stock (“RSUs”), subject to Board approval. The RSUs will vest over a period of three years subject to continued employment with the Company as follows: (a) 33.3% of the options will on the first anniversary of the date of the grant date provided the stock price is at least one dollar ($1.00); (b) an additional 33.3% of such RSUs shall vest on the second anniversary of the grant date provided the stock price is at least two dollars ($2.00); and (c) the remaining 33.4% of the RSUs shall vest on the third anniversary of the grant date provided that the stock price on such date is at least two dollars and fifty cents ($2.50). In the event Mr. Cunningham does not meet the time-based and performance-based vesting requirements, the applicable portion of the RSUs that were due to vest shall be forfeited. Should Mr. Cunningham’s employment be terminated, in any way or for any reason, prior to any of the aforementioned anniversary dates, the RSUs shall vest in proportion to the time remaining to the next anniversary date.
| 99 |
The Company entered into an Employment Agreement with Carolina Martinez, dated as of August 2, 2023 (the “Martinez Employment Agreement”) in connection with Mrs. Martinez’s appointment as Chief Financial Officer of the Company as of August 2, 2023. Pursuant to the Martinez Employment Agreement, Mrs. Martinez’s compensation will be an initial annual base salary of $240,000 and an annual discretionary performance bonus target of 40% of base salary, payable 50% in cash and 50% in shares of common stock of the Company. Pursuant to the Martinez Employment Agreement, Mrs. Martinez will be entitled to six weeks’ paid vacation and will be eligible to participate in certain employee benefit plans offered by the Company. Further, Mrs. Martinez will receive an initial grant to purchase 4,546 shares of Common Stock at an exercise price of $15.40 per share, subject to Board approval. The options will vest in equal installments over a period of three years.
Pursuant to the Cunningham Employment Agreement and the Martinez Employment Agreement (together, the “NEO Employment Agreements”), each of Mr. Cunningham and Mrs. Martinez is employed on an at-will basis. Pursuant to the NEO Employment Agreements, in the event the executive’s employment is terminated for any reason, the Company shall pay the executive any amounts due to such executive under the Company’s benefit plans and any unreimbursed expenses properly incurred prior to the date of termination (the “Accrued Obligations”). In the event the executive’s employment is terminated for by the Company without Cause (as defined in the NEO Employment Agreements) or by the executive for Good Reason or for Good Reason Upon Change in Control (as such terms are defined in the NEO Employment Agreements), in addition to the Accrued Obligations, the executive shall also receive, subject to the execution of a release of claims in the form delivered by the Company, severance pay in an amount equal to the executive’s base salary then in effect for six (6) months, less applicable payroll deductions and tax withholdings, payable in accordance with normal payroll policies of the Company over a six (6) month period, with the first such payment being paid to the executive on the Company’s first regular pay date on or after the sixtieth (60th) day following the executive’s employment termination date.
The NEO Employment Agreements also contain standard confidentiality, intellectual property assignment, non-competition and non-solicitation covenants.
Director Compensation Table
The following table sets forth compensation information for the fiscal year ended December 31, 2023 for our non-employee directors (other than Mr. Conacher whose compensation is also shown above under “Summary Compensation Table”):
| Name | Fees Paid in | Stock Awards | Option Awards(1) | Non-equity Incentive Plan Compensation | All Other Compensation(2) | Total Compensation |
||||||||||||||||||
| Lionel F. Conacher | $ | 60,000 | $ | 316,000 | $ | $ | $ | 173,334 | $ | 549,334 | ||||||||||||||
| Arlene Dickinson(1) | $ | 65,000 | $ | 100,000 | $ | $ | $ | $ | 165,000 | |||||||||||||||
| Gil Fronzaglia | $ | 65,000 | $ | 100,000 | $ | $ | $ | $ | 165,000 | |||||||||||||||
| John M. Word III | $ | 60,000 | $ | 100,000 | $ | $ | $ | $ | 160,000 | |||||||||||||||
| Michael Young | $ | 65,000 | $ | 316,000 | $ | $ | $ | $ | 381,000 | |||||||||||||||
| (1) | Ms. Dickinson resigned effective April 1, 2024, and Mr. Cunningham was appointed as a member of the Board, effective April 1, 2024, to fill the vacancy resulting from Ms. Dickinson’s resignation. |
| (2) | Includes Mr. Conacher’s compensation in his role as Interim Chief Executive Officer in 2023 per “Summary Compensation Table” |
| 100 |
The table below shows the aggregate numbers of option awards (exercisable and unexercisable) held as of December 31, 2023 by each non-employee director who was serving as of December 31, 2023 (other than Mr. Conacher whose awards are also shown above under “Outstanding Equity Awards at Year End”):
| Name | Options Outstanding at Fiscal Year End | |||
| Lionel F. Conacher | 27,027 | |||
| Arlene Dickinson | 27,027 | |||
| Gil Fronzaglia | 33,334 | |||
| John M. Word III | 36,667 | |||
| Michael Young | 46,667 | |||
SECURITY OWNERSHIP OF PRINCIPAL STOCKHOLDERS AND MANAGEMENT
The following table sets forth information about the beneficial ownership of our capital stock by (i) each of our current directors, (ii) each of our named executive officers (iii) all our current directors and executive officers as a group, and (iv) each person or group known by us to own more than 5% of our common stock. The percentages reflect beneficial ownership, as determined in accordance with the SEC’s rules, as of July 19, 2024, and are based on 916,329 shares of common stock issued and outstanding. Except as noted below, the address for all beneficial owners in the table below is 12400 Race Track Road, Tampa, FL 33626:
| Shares Beneficially Owned | ||||||||
| Name of Beneficial Owner | Number(1) | % | ||||||
| Named Executive Officers and Directors: | ||||||||
| Kent Cunningham | 22,727 | 2.48 | % | |||||
| Carolina Martinez | 1,513 | * | ||||||
| Lionel F. Conacher | 32,845 | 3.58 | % | |||||
| Gil Fronzaglia | 14,340 | 1.57 | % | |||||
| John M. Word III | 149,386 | 16.30 | % | |||||
| Michael Young | 52,865 | 5.77 | % | |||||
| All executive officers and directors as a group (10 persons) | 273,676 | 29.70 | % | |||||
| 5% Shareholders: | ||||||||
| HH-Halo LP (2) | 54,719 | 5.97 | % | |||||
| Edward J. Brown Jr TTEE | 52,496 | 5.73 | % | |||||
(*) Represents beneficial ownership of less than 1% of class.
(1) In calculating the number of shares beneficially owned by an individual or entity and the percentage ownership of that individual or entity, shares underlying options, warrants or restricted stock units held by that individual or entity that are either currently exercisable or exercisable within 60 days from the date hereof are deemed outstanding. These shares, however, are not deemed outstanding for the purpose of computing the percentage ownership of any other individual or entity. Unless otherwise indicated and subject to community property laws where applicable, the individuals and entities named in the table above have sole voting and investment power with respect to all shares of our common stock shown as beneficially owned by them.
(2) Includes (i) 5,295 shares of common stock, (ii) 59,597 shares of common stock underlying subordinated convertible notes exercisable within 60 days of April 24, 2020, and (iii) 14,166 shares of common stock underlying warrants exercisable within 60 days of April 24, 2020. Thomas O. Hicks is the managing member of HEP Partners LLC, which is the investment manager of HH-Halo LP (“HH-Halo”), and consequently has voting control and investment discretion over securities held by HH-Halo. Mack H. Hicks is the manager of HH-Halo GP LLC, which is the general partner of HH-Halo GP LP, the general partner of HH-Halo. As a result of the foregoing, each of Thomas O. Hicks and Mack H. Hicks may be deemed to have beneficial ownership (as determined under Section 13(d) of the Securities Exchange Act of 1934, as amended) of the shares of common stock beneficially owned by HH-Halo. Each of Thomas O. Hicks and Mack H. Hicks disclaims beneficial ownership of such shares.
| 101 |
The following is a summary description of certain material provisions of the Arrangement Agreement, is not comprehensive and is qualified in its entirety by reference to the full text of the Arrangement Agreement and the Plan of Arrangement, which is attached hereto as Annex B.
The representations, warranties and covenants in the Arrangement Agreement were made solely for the benefit of the parties to the Arrangement Agreement, may be subject to limitations agreed on by the contracting parties, including being qualified by confidential disclosures made for the purposes of allocating contractual risk between the parties to the Arrangement Agreement instead of establishing these matters as facts. Holders of Better Choice Shares and SRx Shares are not third-party beneficiaries under the Arrangement Agreement, and in reviewing the representations, warranties and covenants contained in the Arrangement Agreement or any descriptions thereof in the following summary description of material provisions of the Arrangement Agreement, should bear in mind that such representations, warranties and covenants or any descriptions thereof were not intended by the parties to the Arrangement Agreement to be characterizations of the actual state of facts or condition of the parties to the Arrangement Agreement or any of their respective subsidiaries or affiliates.
On September 3, 2024, Better Choice entered into the Arrangement Agreement with SRx. Pursuant the Arrangement Agreement, Better Choice has agreed to acquire all of the issued and outstanding SRx Shares by way of the Arrangement.
On December 10, 2024, Better Choice and SRx entered into an Amendment No. 1 to the Arrangement Agreement, which is attached hereto as Annex B. Pursuant to the Amendment, the portion of Halo’s issued and outstanding capital stock subject to the Spin-Out will increase from 8% to 17%.
Under the terms of the Plan of Arrangement, each issued and outstanding common share of SRx will be converted based on the Exchange Ratio into shares of common stock of Better Choice (“BTTR Common Stock”) or, at the option of the holder thereof, Exchangeable Shares that will be exchangeable at the option of the holder (or under certain other circumstances) on a one-for-one basis for shares of BTTR Common Stock.
Representations and Warranties
The Arrangement Agreement contains certain customary representations and warranties of SRx and Better Choice. The assertions embodied in those representations and warranties are solely for the purposes of the Arrangement Agreement. Certain representations and warranties may not be accurate and complete as of any specified date because they are qualified by certain disclosure provided by SRx to Better Choice or Better Choice to SRx, as applicable, or are subject to a standard of materiality or are qualified by reference to a Material Adverse Effect.
The representations and warranties provided by SRx in favor of Better Choice in the Arrangement Agreement relate to, among other things: the due incorporation, existence of SRx and its subsidiaries and the power and authority of SRx and its subsidiaries to own or lease their respective property and assets and conduct their respective business; SRx’s ownership of its subsidiaries; the absence of any bankruptcy or insolvency proceedings by or against SRx or its subsidiaries; SRx and its subsidiaries’ compliance with applicable Laws; corporate power and authority of SRx to enter into the Arrangement Agreement and perform its obligations thereunder; the due execution and delivery of the Arrangement Agreement by SRx; governmental approvals; third-party notices and consents; the execution and delivery of the Arrangement Agreement by SRx, the performance by SRx of its obligations thereunder and the consummation of the transactions contemplated thereby not resulting in a breach, violation, or default under SRx’s constating documents; the authorized, issued and outstanding share capital of SRx and each of its subsidiaries; the absence of any cease trade order; issued and outstanding convertible securities of SRx; SRx’s financial statements and financial reporting; SRx’s conduct of business and the absence of a Material Adverse Effect in respect of SRx; the absence of undisclosed liabilities; SRx’s internal control over financial reporting; absence of proceedings or investigations by governmental authorities; the absence of any shareholder agreement or similar agreement affecting the voting control of the securities of SRx; tax related matters; performance under material contracts; the absence of certain changes or events; the relationships of SRx and its subsidiaries with their respective suppliers, distributors and customers; governmental licenses; brokers and fees; indebtedness of non-arm’s length parties; related party transactions; directors and officers; insurance matters; owned and leased real property; the operating condition of tangible personal property of SRx; maintenance of books and records; rights to owned and licensed intellectual property; permits and licenses; environmental matters; employment matters; benefit plan matters; the material contracts of SRx and its subsidiaries; compliance with anti-money laundering and corrupt practices legislation; and restrictions on business activities.
| 102 |
The representations and warranties provided by Better Choice in favor of SRx in the Arrangement Agreement relate to, among other things: the due incorporation, existence of Better Choice and its subsidiaries and the power and authority of Better Choice and its subsidiaries to own or lease their respective property and assets and conduct their respective business; Better Choice’s ownership of its subsidiaries; the absence of any bankruptcy or insolvency proceedings by or against Better Choice or its subsidiaries; Better Choice and its subsidiaries’ compliance with applicable Laws; corporate power and authority of Better Choice to enter into the Arrangement Agreement and perform its obligations thereunder; the due execution and delivery of the Arrangement Agreement by Better Choice, AcquireCo and CallCo; governmental approvals; third-party notices and consents; the execution and delivery of the Arrangement Agreement by Better Choice, the performance by Better Choice of its obligations thereunder and the consummation of the transactions contemplated thereby not resulting in a breach, violation, or default under Better Choice’s constating documents; the authorized, issued and outstanding share capital of Better Choice and each of its subsidiaries; the absence of any cease trade order; the issued and outstanding convertible securities of Better Choice; Better Choice’s financial statements and financial reporting; Better Choice’s conduct of business and the absence of a Material Adverse Effect in respect of Better Choice; the absence of undisclosed liabilities; Better Choice’s internal control over financial reporting; the validity of the Special Voting Share Certificate of Designation under Delaware Law; absence of proceedings or investigations by governmental authorities; the absence of any shareholder agreement or similar agreement affecting the voting control of the securities of Better Choice; tax related matters; performance under material contracts; the absence of certain changes or events; the relationships of Better Choice and its subsidiaries with their respective suppliers, distributors and customers; governmental licenses; brokers and fees; indebtedness of non-arm’s length parties; related party transactions; directors and officers; insurance matters; owned and leased real property; the operating condition of tangible personal property of Better Choice; maintenance of books and records; rights to owned and licensed intellectual property; permits and licenses; environmental matters; employment matters; benefit plan matters; the material contracts of Better Choice and its subsidiaries; Better Choice’s reporting issuer status under applicable securities laws and the listing of the Better Choice Shares on NYSE; compliance with anti-money laundering and corrupt practices legislation; and restrictions on business activities.
Conduct of Business of SRx
The Arrangement Agreement includes a general covenant by SRx in favor of Better Choice that, except (a) with the prior written consent of Better Choice, (b) as required or expressly permitted by the Arrangement Agreement, or (c) as required by applicable Law or a Governmental Entity, it will, and will cause each of the subsidiaries of SRx (i) to conduct business only in the Ordinary Course and in accordance with applicable Laws during the Pre-Effective Date Period; and (ii) use all commercially reasonable efforts to cause its current insurance (or re-insurance) policies not to be cancelled or terminated or any of the coverage thereunder to lapse before the Outside Date.
SRx has particularly covenanted and agreed that, during the Pre-Effective Date Period, except (a) with the prior written consent of Better Choice, such consent not to be unreasonably withheld, (b) as expressly required or permitted by the Arrangement Agreement, or (c) as required by applicable Law or a Governmental Entity, it will not:
| ● | issue, deliver, sell, pledge, lease, dispose of or encumber, or agree or offer to issue, deliver sell, pledge, lease, dispose of or encumber, any SRx Shares or securities of its subsidiaries, or any securities convertible, exchangeable or exercisable into or for SRx Shares or securities of its subsidiaries, or any options, warrants, stock appreciation rights, phantom stock awards or other rights or equity-based or convertible securities that are linked to the price or value of the SRx Shares or securities of the SRx subsidiaries (other than pursuant to the exercise, in accordance with their respective terms, of convertible or exercisable securities of SRx outstanding on the date hereof) or amend, extend or terminate, or agree to amend, extend or terminate, any of the terms of, or agreements governing, any of the outstanding options, warrants or other convertible securities of SRx or its subsidiaries; |
| 103 |
| ● | amend or propose to amend its articles of incorporation or bylaws or other constating documents or the terms of any of its securities; reduce its stated capital; or split, consolidate, subdivide or reclassify, or propose to split, consolidate, subdivide or reclassify, any of the SRx Shares or undertake or propose to undertake any other capital reorganization or change in or exchange of SRx Shares, any other of its securities or its share capital; | |
| ● | declare, set aside or pay any dividend or other distribution or payment (whether in cash, securities or property or any combination thereof) in respect of the SRx Shares or any other securities of SRx, redeem, purchase or otherwise acquire, or offer to redeem, purchase or otherwise acquire, any outstanding securities of SRx, adopt a plan of liquidation or resolution providing for the complete or partial liquidation, winding-up, dissolution, merger, consolidation, restructuring, recapitalization, or sale of all or substantially all of the assets of SRx or any of its subsidiaries, or enter into any agreement with respect to any of the foregoing; | |
| ● | except with respect to inter-company transfers between SRx and its subsidiaries, sell, pledge, lease, transfer, dispose of or encumber any assets, rights or properties of SRx or any of its subsidiaries, other than in the ordinary course of business; | |
| ● | acquire or agree to acquire (by merger, amalgamation, arrangement, acquisition of shares or assets or otherwise) any Person or division or business unit thereof, or agree to incorporate or form, any Person or make or agree to make any investment either by purchase of shares or securities, contributions of capital, property transfer or purchase of, any property or assets of any other Person; | |
| ● | make any material change to the SRx Business or, other than in the ordinary course of business, enter into enter into any Contract that, if entered into prior to the date hereof, would be a Material Contract of SRx; | |
| ● | enter into or agree to the terms of any joint venture, strategic alliance, partnership, or similar agreement, arrangement or relationship, other than in the ordinary course of business; | |
| ● | other than in respect of trade payables, incur, create, assume or otherwise become liable for, any indebtedness for borrowed money exceeding CAD$1,000,000 in the aggregate; | |
| ● | make any capital expenditures exceeding CAD$1,000,000 in the aggregate; | |
| ● | other than in the ordinary course of business, enter into or modify (or make a promise regarding entering into or modifying) any Employee Plan or any employment, consulting, severance or similar agreements or arrangements with, or grant any bonuses, salary or fee increases, severance or termination pay to, any officers, directors, employees or consultants; provided, however, that it is acknowledged and agreed that SRx will abide by the terms and conditions of any Employee Plan and any employment agreements and consulting agreements in effect on the date of the Arrangement Agreement, including with respect to the payments of any severance amounts or change of control payments, if applicable; | |
| ● | enter into any collective bargaining or similar agreement; | |
| ● | enter into or adopt any shareholder rights plan or similar agreement or arrangement; | |
| ● | take any action or fail to take any action which action or failure to act would result in the material loss, expiration or surrender of, or the loss of any material benefit under, or reasonably be expected to cause any Governmental Entities to institute proceedings for the suspension, revocation or limitation of rights under, any Authorizations or Permits; | |
| ● | make, revoke or change any Tax election; amend any previously filed Tax Return except as may be required by applicable Law; file any Tax Return inconsistent with past practice; settle or compromise any Liability for Taxes; agree to an extension or waiver of the limitation period with respect to the assessment, reassessment, or determination of Taxes; enter into any closing agreement with respect to any Tax; surrender any right to claim a material Tax refund; change an annual accounting period; adopt or change any accounting method with respect to Taxes; or consent to any extension or waiver of the limitation period applicable to any Tax claim or assessment unless, in each case, such action is required by Law; | |
| ● | make any loan or advance to, or any capital contribution or investment in, or assume, guarantee or otherwise become liable with respect to the liabilities or obligations of, any Person (other than any advance payments or other investments made by Better Choice or any of its subsidiaries to a customer in the Ordinary Course based on sales volume or purchase commitments (typically known as customer investments)); | |
| ● | amend its accounting policies or adopt new accounting policies, except as may be required by applicable Law or IFRS; |
| 104 |
| ● | waive, release, settle, agree to settle or compromise any material suit, action, claim, arbitration, mediation, inquiry, proceeding or investigation pending or threatened against SRx or any of its subsidiaries; | |
| ● | take any action, or fail to take any action, which action or omission would jeopardize the validity or enforceability of material Intellectual Property of SRx or its subsidiaries; | |
| ● | engage in any transaction with any related parties, other than transactions with subsidiaries or in the ordinary course of business (including with respect to employment arrangements); | |
| ● | take any action that would cause a violation by any Person of economic sanctions or export controls; | |
| ● | take any action or fail to take any action that prevents, or materially delays, impedes or interferes with, or that would reasonably be expected to prevent or materially delay, impede or interfere with, the ability of the Parties to consummate the transactions contemplated by the Arrangement Agreement; | |
| ● | enter into any transaction or perform any act that would render, or would reasonably be expected to render any representations and warranties made by SRx set forth in the Arrangement Agreement untrue or inaccurate in any respect; or | |
| ● | announce an intention, authorize or propose, or enter into or modify any Contract, agreement, commitment or arrangement, to do any of the matters described above. |
Pursuant to the Arrangement Agreement, SRx will also promptly notify Better Choice orally and in writing upon becoming aware of any circumstance or development that, to the knowledge of SRx, would, or would reasonably be expected to, constitute or result in a Material Adverse Effect in respect of SRx.
Conduct of Business of Better Choice
The Arrangement Agreement includes a general covenant by Better Choice, AcquireCo and CallCo in favor of SRx that, except (a) with the prior written consent of SRx, (b) as required or expressly permitted by the Arrangement Agreement, or (c) as required by applicable Law or a Governmental Entity, it will, and will cause the other members of the Better Choice Group to: (i) to conduct business only in the Ordinary Course and in accordance with applicable Laws during the Pre-Effective Date Period; and (ii) use all commercially reasonable efforts to cause its current insurance (or re-insurance) policies not to be cancelled or terminated or any of the coverage thereunder to lapse before the Outside Date.
Better Choice has particularly covenanted and agreed that, during the Pre-Effective Date Period, except (a) with the prior written consent of SRx, such consent not to be unreasonably withheld, (b) as expressly required or permitted by the Arrangement Agreement, or (c) as required by applicable Law or a Governmental Entity, it will not:
| ● | other than in connection with the Better Choice Regulation A Offering and the Spin-Out, issue, deliver, sell, pledge, lease, dispose of or encumber, or agree or offer to issue, deliver sell, pledge, lease, dispose of or encumber, any Better Choice Shares or securities of its subsidiaries, or any securities convertible, exchangeable or exercisable into or for Better Choice Shares or securities of its subsidiaries, or any options, warrants, stock appreciation rights, phantom stock awards or other rights or equity-based or convertible securities that are linked to the price or value of the Better Choice Shares or securities of the Better Choice subsidiaries (other than pursuant to the exercise, in accordance with their respective terms, of convertible or exercisable securities of Better Choice outstanding on the date hereof) or amend, extend or terminate, or agree to amend, extend or terminate, any of the terms of, or agreements governing, any of the outstanding options, warrants or other convertible securities of Better Choice or its subsidiaries; | |
| ● | amend or propose to amend its articles of incorporation or bylaws or other constating documents or the terms of any of its securities; reduce its stated capital; or split, consolidate, subdivide or reclassify, or propose to split, consolidate, subdivide or reclassify, any of the Better Choice Shares or undertake or propose to undertake any other capital reorganization or change in or exchange of Better Choice Shares, any other of its securities or its share capital; | |
| ● | declare, set aside or pay any dividend or other distribution or payment (whether in cash, securities or property or any combination thereof) in respect of the Better Choice Shares or any other securities of Better Choice, redeem, purchase or otherwise acquire, or offer to redeem, purchase or otherwise acquire, any outstanding securities of Better Choice, adopt a plan of liquidation or resolution providing for the complete or partial liquidation, winding-up, dissolution, merger, consolidation, restructuring, recapitalization, or sale of all or substantially all of the assets of Better Choice or any of its subsidiaries, or enter into any agreement with respect to any of the foregoing; |
| 105 |
| ● | except with respect to inter-company transfers between Better Choice and its subsidiaries, sell, pledge, lease, transfer, dispose of or encumber any assets, rights or properties of Better Choice or any of its subsidiaries, other than in the ordinary course of business; | |
| ● | acquire or agree to acquire (by merger, amalgamation, arrangement, acquisition of shares or assets or otherwise) any Person or division or business unit thereof, or agree to incorporate or form, any Person or make or agree to make any investment either by purchase of shares or securities, contributions of capital, property transfer or purchase of, any property or assets of any other Person; | |
| ● | make any material change to the Better Choice Business or, other than in the ordinary course of business, enter into enter into any Contract that, if entered into prior to the date hereof, would be a Material Contract of Better Choice; | |
| ● | enter into or agree to the terms of any joint venture, strategic alliance, partnership, or similar agreement, arrangement or relationship, other than in the ordinary course of business; | |
| ● | other than in respect of trade payables and a refinancing of the existing indebtedness of the Better Choice and its subsidiaries, incur, create, assume or otherwise become liable for, any indebtedness for borrowed money exceeding CAD$1,000,000 in the aggregate; | |
| ● | make any capital expenditures exceeding CAD$1,000,000 in the aggregate; | |
| ● | other than in the ordinary course of business, enter into or modify (or make a promise regarding entering into or modifying) any Employee Plan or any employment, consulting, severance or similar agreements or arrangements with, or grant any bonuses, salary or fee increases, severance or termination pay to, any officers, directors, employees or consultants; provided, however, that it is acknowledged and agreed that Better Choice will abide by the terms and conditions of any Employee Plan and any employment agreements and consulting agreements in effect on the date of the Arrangement Agreement, including with respect to the payments of any severance amounts or change of control payments, if applicable; | |
| ● | enter into any collective bargaining or similar agreement; | |
| ● | enter into or adopt any shareholder rights plan or similar agreement or arrangement; | |
| ● | take any action or fail to take any action which action or failure to act would result in the material loss, expiration or surrender of, or the loss of any material benefit under, or reasonably be expected to cause any Governmental Entities to institute proceedings for the suspension, revocation or limitation of rights under, any Authorizations or Permits; | |
| ● | make, revoke or change any Tax election; amend any previously filed Tax Return except as may be required by applicable Law; file any Tax Return inconsistent with past practice; settle or compromise any Liability for Taxes; agree to an extension or waiver of the limitation period with respect to the assessment, reassessment, or determination of Taxes; enter into any closing agreement with respect to any Tax; surrender any right to claim a material Tax refund; change an annual accounting period; adopt or change any accounting method with respect to Taxes; or consent to any extension or waiver of the limitation period applicable to any Tax claim or assessment unless, in each case, such action is required by Law; | |
| ● | make any loan or advance to, or any capital contribution or investment in, or assume, guarantee or otherwise become liable with respect to the liabilities or obligations of, any Person (other than any advance payments or other investments made by Better Choice or any of its subsidiaries to a customer in the Ordinary Course based on sales volume or purchase commitments (typically known as customer investments)); | |
| ● | amend its accounting policies or adopt new accounting policies, except as may be required by applicable Law or U.S. GAAP; | |
| ● | waive, release, settle, agree to settle or compromise any material suit, action, claim, arbitration, mediation, inquiry, proceeding or investigation pending or threatened against Better Choice or any of its subsidiaries; | |
| ● | take any action, or fail to take any action, which action or omission would jeopardize the validity or enforceability of material Intellectual Property of Better Choice or its subsidiaries; | |
| ● | engage in any transaction with any related parties, other than transactions with subsidiaries or in the ordinary course of business (including with respect to employment arrangements); | |
| ● | take any action that would cause a violation by any Person of economic sanctions or export controls; | |
| ● | take any action or fail to take any action that prevents, or materially delays, impedes or interferes with, or that would reasonably be expected to prevent or materially delay, impede or interfere with, the ability of the Parties to consummate the transactions contemplated by the Arrangement Agreement; |
| 106 |
| ● | enter into any transaction or perform any act that would render, or would reasonably be expected to render any representations and warranties made by Better Choice set forth in the Arrangement Agreement untrue or inaccurate in any respect; or | |
| ● | announce an intention, authorize or propose, or enter into or modify any Contract, agreement, commitment or arrangement, to do any of the matters described above. |
Pursuant to the Arrangement Agreement, Better Choice will also promptly notify SRx orally and in writing upon becoming aware of any circumstance or development that, to the knowledge of Better Choice, would, or would reasonably be expected to, constitute or result in a Material Adverse Effect in respect of Better Choice.
Regulatory Approvals
SRx covenanted to apply for and use all commercially reasonable efforts in cooperation with Better Choice to obtain all Key Regulatory Approvals and, in doing so, keep Better Choice informed in a timely manner as to the status of the proceedings or other actions related to obtaining the Key Regulatory Approvals, including: (a) providing Better Choice with copies of all related applications and notifications, in draft form, in order for Better Choice to provide its comments thereon, and SRx shall consult with Better Choice on any comments provided in good faith; (b) promptly furnishing to Better Choice copies of notices or other formal communications received by SRx from, or given by SRx to, any Governmental Entity (including any Securities Authority) with respect to the transactions contemplated by the Arrangement Agreement or otherwise; (c) not making any commitments, providing any undertakings or assuming any obligations, in each case, that are outside the Ordinary Course of business, without the prior written consent of Better Choice; and (d) subject to applicable Law, SRx shall, to the extent reasonably practicable, provide the Better Choice and its counsel with the opportunity to participate in any substantive meeting, teleconference or other material communication with any Governmental Entity in respect of any filing, investigation or other inquiry in connection with the Key Regulatory Approvals.
Better Choice, AcquireCo and CallCo jointly and severally covenanted to apply for and use all commercially reasonable efforts in cooperation with SRx to obtain all Key Regulatory Approvals and, in doing so, keep SRx informed in a timely manner as to the status of the proceedings or other actions related to obtaining the Key Regulatory Approvals, including: (a) providing SRx with copies of all related applications and notifications, in draft form, in order for SRx to provide its comments thereon, and Better Choice shall consult with SRx on any comments provided in good faith; (b) promptly furnishing to SRx copies of notices or other formal communications received by Better Choice from, or given by Better Choice to, any Governmental Entity (including any Securities Authority) with respect to the transactions contemplated by the Arrangement Agreement or otherwise; (c) not making any commitments, providing any undertakings or assuming any obligations, in each case, that are outside the Ordinary Course of business, without the prior written consent of SRx; and (d) subject to applicable Law, Better Choice shall, to the extent reasonably practicable, provide SRx and its counsel with the opportunity to participate in any substantive meeting, teleconference or other material communication with any Governmental Entity in respect of any filing, investigation or other inquiry in connection with the Key Regulatory Approvals.
If any objections are asserted with respect to the transactions contemplated by the Arrangement Agreement under any Law, or if any proceeding is instituted or threatened by any Governmental Entity challenging or which could lead to a challenge of any of the transactions contemplated by the Arrangement Agreement as not in compliance with Law, the Parties shall use their commercially reasonable efforts consistent with the terms of the Arrangement Agreement to resolve such proceeding so as to allow the Effective Time to occur on or prior to the Outside Date.
Stock Exchange and Securities Laws Matters
Subject to Laws and any required approvals: (i) Better Choice will use all commercially reasonable efforts to cause the Better Choice Shares to be issued pursuant to the Arrangement to be listed on NYSE on the Effective Date; and (ii) the Parties will use commercially reasonable efforts to ensure that the exemption under Section 3(a)(10) of the Securities Act is available for the issuance of Consideration Shares to the holders of SRx Shares pursuant to the Plan of Arrangement.
| 107 |
Board of Directors and Officers
At the Effective Time, all members of the Board, other than Kent Cunningham, Michael Young and Lionel Conacher, will resign, and the Board shall be reconstituted such that it will consist of the following five (5) members (the “Better Choice Board Matters”):
| ● | two (2) director nominees selected by SRx in its sole discretion, which are Adesh Vora and David White, with the former as Chairman and the latter as an independent director in accordance with NYSE requirements; | |
| ● | two (2) director nominees selected by Better Choice in its sole discretion, which are Kent Cunningham and Michael Young, with the latter as an independent director in accordance with NYSE requirements; and | |
| ● | one (1) director nominee mutually selected by the Parties who is independent in accordance with NYSE requirements, which is Lionel Conacher. |
At the Effective Time, all executive officers of the Better Choice will resign from their offices currently held, except for Nina Martinez in her capacity as Chief Financial Officer, and the executive officers of the Better Choice shall consist of the following:
| ● | Adesh Vora as Chief Executive Officer; | |
| ● | Dave Sohi as President; and | |
| ● | Nina Martinez as Chief Financial Officer. |
Conditions for Completion of the Arrangement
Conditions in Favor of Better Choice and SRx
The Parties are not required to complete the Arrangement unless each of the following conditions is satisfied on or before the Effective Time, which conditions may only be waived, in whole or in part, by the mutual consent of each of the Parties:
| ● | the Interim Order shall have been granted on terms consistent with the Arrangement Agreement and the Interim Order shall not have been set aside or modified in a manner unacceptable to either Party, acting reasonably, on appeal or otherwise; | |
| ● | the Final Order shall have been granted on terms consistent with the Arrangement Agreement and the Final Order shall not have been set aside or modified in a manner unacceptable to either Party, acting reasonably, on appeal or otherwise; | |
| ● | the SRx Arrangement Resolution shall have been passed by the SRx Shareholders in accordance with the Interim Order and applicable Laws; | |
| ● | the Better Choice Shareholder Approval Matters shall have been approved by the Better Choice stockholders in accordance with applicable Laws; | |
| ● | there shall have been delivered letters of resignation and mutual releases from such directors and officers of SRx and Better Choice as mutually agreed to, including as needed to implement the Better Choice Board Matters; | |
| ● | the New Employment Agreements shall have been duly executed by each of the parties thereto; | |
| ● | there shall have been no action taken under any applicable Law or by any Governmental Entity of competent jurisdiction which makes it illegal or otherwise directly or indirectly restrains, enjoins or prohibits the completion of the Arrangement; | |
| ● | the Key Regulatory Approvals shall have been obtained on terms acceptable to Better Choice and SRx, each acting reasonably, and each such Key Regulatory Approval is in full force and effect and has not been modified; | |
| ● | holders of no more than five percent (5%) of the SRx Shares shall have exercised, and at the date of the SRx Meeting, have not withdrawn, Dissent Rights; | |
| ● | the Better Choice Certificate of Designation shall have been filed with the Secretary of State of the State of Delaware, shall constitute a valid Better Choice Certificate of Designation under applicable Laws and shall have not been rescinded or amended in any way; and | |
| ● | the existing Better Choice Shares shall have been continually listed on NYSE American as of and from the date of the Arrangement Agreement through the Effective Time and (ii) (a) the Better Choice Shares issuable to SRx Shareholders pursuant to the Arrangement (including pursuant to the exchange of the Exchangeable Shares) shall have been approved for listing on the NYSE American, subject to official notice of issuance, (b) immediately following the Effective Time, Better Choice shall satisfy any applicable continuing listing requirements of the NYSE American and (c) Better Choice shall not have received any notice of non-compliance with such listing requirements that has not been cured, or that would not be cured at or immediately following the Effective Time. |
| 108 |
Conditions in Favor of Better Choice, Amalco and CallCo
Better Choice is not required to complete the Arrangement unless each of the following conditions is satisfied on or before the Effective Time, which conditions are for the exclusive benefit of Better Choice and may only be waived, in whole or in part, by Better Choice in its sole discretion:
| ● | all covenants of SRx under the Arrangement Agreement to be performed on or before the Effective Time shall have been duly performed by SRx in all material respects and Better Choice shall have received a certificate of SRx addressed to Better Choice and dated the Effective Date, signed on behalf of SRx by two senior executive officers of SRx (on SRx’s behalf and without personal liability), confirming the same as of the Effective Time; | |
| ● | the representations and warranties of SRx set forth in the Arrangement Agreement shall have been true and correct in all respects as of the date of the Arrangement Agreement, and shall be true and correct in all respects as of the Effective Time as if made as of the Effective Time (except, in each case, for representations and warranties made as of a specified date, the accuracy of which shall be determined as of that specified date), except where any failure or failures of such representations and warranties to be so true and correct would not have, individually or in the aggregate, an SRx Material Adverse Effect (it being understood that, for purposes of determining the accuracy of such representations and warranties, all materiality, SRx Material Adverse Effect and similar qualifiers set forth in such representations and warranties shall be disregarded), and Better Choice shall have received a certificate of SRx addressed to Better Choice and dated the Effective Date, signed on behalf of SRx by two senior executive officers of SRx (on SRx’s behalf and without personal liability), confirming the same as at the Effective Time; | |
| ● | there shall not have occurred an SRx Material Adverse Effect on or prior to the date hereof which is continuing, nor shall there have occurred an SRx Material Adverse Effect following the date hereof, and Better Choice shall have received a certificate signed on behalf of SRx by two senior executive officers of SRx (on SRx’s behalf and without personal liability) to such effect; | |
| ● | all covenants of the SRx Supporting Shareholders under the SRx Voting Agreement to be performed on or before the Effective Time shall have been duly performed by the parties thereto (other than Better Choice) in all respects; | |
| ● | the Lock-Up Agreements shall have been duly executed by each of the directors, executive officers and shareholders of SRx who will fall within the definition of “Locked-Up Persons” at the Effective Time; and | |
| ● | Better Choice shall have received a certificate of SRx, addressed to Better Choice and dated as of the Effective Date, signed on behalf of SRx by two senior executive officers of SRx (on SRx’s behalf and without personal liability), certifying as to (i) the SRx Net Debt, (ii) the SRx U.S. Dollar Net Debt as defined in the Plan of Arrangement, and (iii) the number of issued and outstanding securities of SRx immediately prior to the Effective Time. |
Conditions in Favor of SRx
SRx is not required to complete the Arrangement unless each of the following conditions is satisfied on or before the Effective Time, which conditions are for the exclusive benefit of SRx and may only be waived, in whole or in part, by SRx in its sole discretion:
| ● | all covenants of Better Choice, AcquireCo and CallCo under the Arrangement Agreement to be performed on or before the Effective Time shall have been duly performed by Better Choice, AcquireCo and CallCo in all material respects and SRx shall have received a certificate of Better Choice, AcquireCo and CallCo addressed to SRx and dated the Effective Date, signed on behalf of Better Choice, AcquireCo and CallCo by two senior executive officers of such Parties (on Better Choice’s, AcquireCo’s and CallCo’s behalf and without personal liability), confirming the same as of the Effective Time; |
| 109 |
| ● | the representations and warranties of Better Choice, AcquireCo and CallCo set forth in the Arrangement Agreement shall have been true and correct in all respects as of the date of the Arrangement Agreement, and shall be true and correct in all respects as of the Effective Time as if made as of the Effective Time (except, in each case, for representations and warranties made as of a specified date, the accuracy of which shall be determined as of that specified date), except where any failure or failures of such representations and warranties to be so true and correct would not have, individually or in the aggregate, a Better Choice Material Adverse Effect (it being understood that for purposes of determining the accuracy of such representations and warranties, all materiality, Better Choice Material Adverse Effect and similar qualifiers set forth in such representations and warranties shall be disregarded), and SRx shall have received a certificate of Better Choice, AcquireCo and CallCo addressed to SRx and dated the Effective Date, signed on behalf of Better Choice, AcquireCo and CallCo by two senior executive officers of Better Choice, AcquireCo and CallCo (on Better Choice’s, AcquireCo’s and CallCo’s behalf and without personal liability), confirming the same as at the Effective Time; | |
| ● | there shall not have occurred a Better Choice Material Adverse Effect on or prior to the date hereof which is continuing, nor shall there have occurred a Better Choice Material Adverse Effect following the date hereof, and SRx shall have received a certificate signed on behalf of Better Choice by two senior executive officers of Better Choice (on Better Choice’s behalf and without personal liability) to such effect; | |
| ● | all covenants of the Better Choice Supporting Shareholders under the Better Choice Voting and Support Agreements to be performed on or before the Effective Time shall have been duly performed by the parties thereto (other than SRx) in all respects; | |
| ● | the Lock-Up Agreements shall have been duly executed by each of the directors, executive officers and shareholders of SRx who will fall within the definition of “Locked-Up Persons” at the Effective Time; | |
| ● | SRx shall have received a certificate of Better Choice, addressed to SRx and dated as the Effective Date, signed on behalf of Better Choice by two senior executive officers of Better Choice (on Better Choice’s behalf and without personal liability), certifying as to (i) 30 Day VWAP as defined in the Plan of Arrangement and (ii) the number of issued and outstanding securities of Better Choice immediately prior to the Effective Time; | |
| ● | the Special Voting Share shall have been created and issued at or prior to the Effective Time; | |
| ● | the Support Agreement and the Voting Trust Agreement shall have been duly executed by the parties thereto at or prior to the Effective Time and shall remain in effect; | |
| ● | the distribution of the Better Choice Shares and the Exchangeable Shares pursuant to the Arrangement shall be exempt from the prospectus and registration requirements of applicable Law by virtue of applicable exemptions under applicable law, and the first trade of the Better Choice Shares shall be exempt from the prospectus and registration requirements of applicable Law by virtue of applicable exemptions under applicable Law (provided that all conditions of the applicable prospectus or registration exemption relied on by the holder are satisfied); and | |
| ● | Better Choice and AcquireCo shall have complied with its obligations under Section 2.9 of the Arrangement Agreement and the Depositary shall have confirmed receipt of the aggregate Consideration contemplated thereby. |
Notice and Cure
The Arrangement Agreement provides that each Party will provide the other Party with notice of certain actual or potential breaches of the Arrangement Agreement at any time during the Pre-Effective Date Period. If any such notice is delivered by a Party and the other Party proceeds diligently to cure such matter and such matter is capable of being cured prior to the Outside Date, no Party may terminate the Arrangement Agreement as a result of such actual or potential breach or a SRx Material Adverse Effect (in the case of Better Choice) or a Better Choice Material Adverse Effect (in the case of SRx) until the expiration of a period of ten (10) Business Days from delivery of such notice, and then only if such matter has not been cured by such date or the Outside Date.
| 110 |
Additional Covenants Regarding Non-Solicitation
Pursuant to the Arrangement Agreement, each Party shall, and shall direct and cause its Representatives to immediately, cease and cause to be terminated any solicitation, encouragement, activity, discussion or negotiation with any parties that may be ongoing with respect to an Acquisition Proposal involving such Party whether or not initiated by such Party, discontinue access to any parties (other than a Party to the Arrangement Agreement and its Representatives) to any data room that contains information regarding SRx or Better Choice (as applicable), and to the extent such Party entered into a confidentiality agreement with any such parties, such Party shall request the return of information regarding SRx or the Better Choice (as applicable) previously provided to such parties and shall request the destruction of all materials including or incorporating any confidential information regarding SRx or Better Choice (as applicable) pursuant to any such confidentiality agreement. Each Party represented and warranted that it has not, and agreed not to, release or permit the release of any Person from, or waive or forbear in the enforcement of, any confidentiality agreement or other similar agreement relating to a potential Acquisition Proposal involving such Party to which such third party is a party. Each Party further represented and warranted that it has not, and agreed not to, release or permit the release of any Person from, or waive or forbear in the enforcement of, any standstill or similar agreement or obligation to which such third party is a party or by which such third party is bound.
Notification of Acquisition Proposal
Each Party agrees that it shall not, and shall cause its Representatives (including the SRx Board or the Better Choice Board, as applicable) not to, directly or indirectly:
| ● | make, solicit, initiate, entertain, knowingly encourage, promote or facilitate, (including by way of furnishing non-public information, permitting any visit to its facilities or properties or entering into any form of agreement, arrangement or understanding) any inquiries or offers or the making of any proposals regarding or that would reasonably be expected to constitute an Acquisition Proposal involving such Party or that would be reasonably be expected to lead to an actual or potential Acquisition Proposal involving such Party; |
| ● | participate, directly or indirectly, in any discussions or negotiations regarding, or furnish to any Person any non-public information or otherwise co-operate with, respond to, assist or participate in any Acquisition Proposal involving such Party or potential Acquisition Proposal involving such Party or participate in any discussions or negotiations regarding an actual or potential Acquisition Proposal involving such Party, or furnish any information or access to any Person (other than a Party to the Arrangement Agreement and its Representatives) with respect to any inquiries, proposals or offers that constitute, or that would reasonably be expected to lead to, an actual or potential Acquisition Proposal involving such Party; |
| ● | remain neutral with respect to, or agree to, approve or recommend any, Acquisition Proposal involving such Party or potential Acquisition Proposal involving such Party (it being understood that publicly taking no position or a neutral position with respect to an Acquisition Proposal involving such Party for a period of no more than five (5) Business Days following formal announcement of such Acquisition Proposal shall not be considered to be a violation); or |
| ● | enter into any agreement, arrangement or understanding related to any Acquisition Proposal involving such Party (other than an Acceptable Confidentiality Agreement) or requiring it to abandon, terminate or fail to consummate the Arrangement or the transactions contemplated by the Arrangement Agreement or providing for the payment of any break, termination or other fees or expenses to any Person in the event that the Arrangement or the transactions contemplated by the Arrangement Agreement are completed or in the event that it completes any other transaction with the other Party or Parties or with an affiliate of the other Party or Parties that is agreed to prior to any termination of the Arrangement Agreement (any such agreement, arrangement or understanding, an “Alternative Acquisition Agreement”); or |
| ● | make a Change in Recommendation, subject to Article VII of the Arrangement Agreement. |
SRx shall promptly (and in any event within 24 hours) notify Better Choice, at first orally and then in writing, of any proposals, offers or inquiries relating to or constituting or that would reasonably be expected to lead to an Acquisition Proposal involving SRx or any request for non-public information relating to SRx or any of its subsidiaries. Such notice shall include a description of the terms and conditions of any proposal, inquiry or offer, the identity of the Person making such proposal, inquiry or offer, a copy of the proposal, offer or inquiry (if written), and provide such other details of the proposal, inquiry or offer as Better Choice may reasonably request. SRx shall keep Better Choice fully informed on a prompt basis of the status, including any change to the material terms, of any such proposal, inquiry or offer.
| 111 |
Better Choice, AcquireCo and CallCo shall promptly (and in any event within 24 hours) notify SRx, at first orally and then in writing, of any proposals, offers or inquiries relating to or constituting or that would reasonably be expected to lead to an Acquisition Proposal involving Better Choice, AcquireCo and CallCo or any request for non-public information relating to Better Choice or any of its subsidiaries (including AcquireCo and CallCo). Such notice shall include a description of the terms and conditions of any proposal, inquiry or offer, the identity of the Person making such proposal, inquiry or offer, a copy of the proposal, offer or inquiry (if written), and provide such other details of the proposal, inquiry or offer as SRx may reasonably request. Better Choice shall keep SRx fully informed on a prompt basis of the status, including any change to the material terms, of any such proposal, inquiry or offer.
Responding to an Acquisition Proposal
If at any time, Better Choice receives a bona fide written Acquisition Proposal from a third party prior to obtaining the approval of Better Choice’s stockholders at the Special Meeting, Better Choice may engage in or participate in discussions or negotiations with such Person regarding such Acquisition Proposal, and may provide copies of, access to or disclosure of confidential information, properties, facilities, books or records of itself and its subsidiaries, if and only if:
| ● | its board of directors first determines in good faith, based on the advice of its financial advisors and its outside counsel, that such Acquisition Proposal is bona fide and constitutes or would reasonably be expected to constitute a Superior Proposal, and, based on the advice of its outside counsel, that the failure to engage in such discussions or negotiations would be inconsistent with its fiduciary duties; |
| ● | such Person was not restricted from making such Acquisition Proposal pursuant to an existing standstill confidentiality, non-disclosure, business purpose, use or similar restriction or agreement; |
| ● | it has been and continues to be in compliance with its non-solicitation obligations under the Arrangement Agreement and such Acquisition Proposal was unsolicited and did not otherwise result from a breach of Better Choice’s non-solicitation obligations under the Arrangement Agreement; |
| ● | prior to providing any such copies, access, or disclosure, it enters into a confidentiality and standstill agreement with such Person having terms at least as favorable to Better Choice as the Confidentiality Agreement; and |
| ● | it promptly provides Better Choice with: |
| ● | prior written notice stating its intention to participate in such discussions or negotiations and to provide such copies, access or disclosure, together with a copy of written advice from its outside counsel that the failure to engage in such discussions or negotiations would be inconsistent with the fiduciary duties of the board of directors of Better Choice; and |
| ● | prior to providing any such copies, access or disclosure, a true, complete and final executed copy of the Acceptable Confidentiality Agreement, and |
provided, that Better Choice shall not, and shall not allow its Representatives to, disclose any non-public information with respect to it or any of its subsidiaries to such Person if such non-public information has not been previously provided to, or is not concurrently provided to, SRx.
| 112 |
Right to Match
If at any time prior to obtaining the Better Choice Stockholder Approval, if the Board determines in good faith, based on the advice of outside counsel, that the failure to do so would be inconsistent with its fiduciary duties, taking into account all adjustments to the terms of the Arrangement Agreement that may be offered by the Matching Party pursuant to the Arrangement, (i) make a Change in Recommendation in response to a Superior Proposal and (ii) cause Better Choice to terminate the Arrangement Agreement, and concurrently enter into a binding Alternative Acquisition Agreement with respect to any such Superior Proposal, provided that:
|
●
|
the Board may not make a Change in Recommendation or terminate the Arrangement Agreement pursuant to Section 8.2(a)(iii)(A) of the Arrangement Agreement, , unless: |
(A) such Person was not restricted from making such Acquisition Proposal pursuant to an existing standstill confidentiality, non-disclosure, business purpose, use or similar restriction or agreement;
(B) Better Choice has been, and continues to be, in compliance with its obligations under Section 7.1 through Section 7.4 of the Arrangement Agreement, and such Acquisition Proposal was unsolicited and did not otherwise result from a breach of Section 7.1 or Section 7.2 of the Arrangement Agreement;
(C) Better Choice has delivered to SRx a written notice of the determination of Board that such Acquisition Proposal constitutes a Superior Proposal and of the intention of the Board to make a Change in Recommendation, terminate the Arrangement Agreement pursuant to Section 8.2(a)(iii)(A) of the Arrangement Agreement, and enter into a definitive Alternative Acquisition Agreement with respect to such Superior Proposal, together with (1) a written notice from the Board regarding the value and financial terms that the Board, in consultation with its financial advisors, has determined should be ascribed to any non-cash consideration offered under such Superior Proposal and (2) a copy of the proposed definitive Alternative Acquisition Agreement and any other relevant transaction documents (the “Superior Proposal Notice”);
(D) at least five (5) Business Days (the “Superior Proposal Matching Period”) have elapsed from the date on which SRx received the Superior Proposal Notice;
(E) during any Superior Proposal Matching Period, SRx has had the opportunity (but not the obligation), in accordance with Section 7.4(b) of the Arrangement Agreement, to offer to amend the Arrangement Agreement and the Arrangement in order for such Acquisition Proposal to cease to be a Superior Proposal; and
(F) if SRx has offered to amend the Arrangement Agreement and the Arrangement under Section 7.4(b) of the Arrangement Agreement, the Board has determined in good faith, based on the advice of its outside legal counsel and financial advisers, that such Acquisition Proposal continues to constitute a Superior Proposal compared to the terms of the Arrangement as proposed to be amended under Section 7.4(b) of the Arrangement Agreement.
| ● | During any Superior Proposal Matching Period, or such longer period as Better Choice may approve in writing for such purpose: (i) the Board shall review any offer made by SRx under Section 7.4(a)(i)(F) of the Arrangement Agreement to amend the terms of the Arrangement Agreement and the Arrangement in good faith in order to determine whether such proposal would, upon acceptance, result in the Acquisition Proposal previously constituting a Superior Proposal ceasing to be a Superior Proposal; and (ii) Better Choice shall negotiate in good faith with SRx to make such amendments to the terms of the Arrangement Agreement and the Arrangement as would enable SRx to proceed with the transactions contemplated by the Arrangement Agreement on such amended terms. If the Board determines that such Acquisition Proposal would cease to be a Superior Proposal, Better Choice shall promptly so advise SRx, and the Parties shall amend the Arrangement Agreement to reflect such offer made by SRx, and shall take and cause to be taken all such actions as are necessary to give effect to the foregoing. |
| ● | Each successive amendment to any Acquisition Proposal that results in an increase in, or modification of, the consideration (or value of such consideration) to be received by the Better Choice stockholders or other material terms or conditions thereof shall constitute a new Acquisition Proposal for the purposes of Section 7.4 of the Arrangement Agreement, which shall require a new Superior Proposal Notice to SRx. SRx shall be afforded a new five (5) Business Day Superior Proposal Matching Period from the date on which SRx receives the Superior Proposal Notice with respect to such amended Acquisition Proposal from Better Choice. |
| ● | The Board shall promptly reaffirm the Board Recommendation by press release after any Acquisition Proposal which is not determined to be a Superior Proposal is publicly announced or the Board determines that a proposed amendment to the terms of the Arrangement Agreement as contemplated under Section 7.4(b) of the Arrangement Agreement would result in a Acquisition Proposal no longer being a Superior Proposal. Better Choice shall provide SRx and its outside legal counsel with a reasonable opportunity to review the form and content of any such press release and shall make all reasonable amendments to such press release as requested by SRx and its outside legal counsel. |
| ● | If Better Choice provides a Superior Proposal Notice to SRx after a date that is less than ten (10) Business Days before the Special Meeting, Better Choice shall either proceed with or shall postpone such meeting, as directed by SRx acting reasonably, to a date that is not more than ten (10) Business Days after the scheduled date of that meeting but before the Outside Date. |
| 113 |
Termination of Arrangement Agreement
The Arrangement Agreement may be terminated prior to the Effective Time by:
| ● | the mutual written agreement of the Parties; or |
| ● | either SRx or Better Choice if: |
| ● | the Effective Time shall not have occurred on or before the Outside Date, except that the right to terminate the Arrangement Agreement shall not be available to any Party whose failure to fulfill any of its obligations or breach any of its covenants, representations and warranties under the Arrangement Agreement has been the cause of, or resulted in, the failure of the Effective Time to occur on or before the Outside Date; provided however, that if completion of the Arrangement is delayed by (a) an injunction or order made by a Governmental Entity of competent jurisdiction, or (b) Better Choice or SRx not having obtained any Key Regulatory Approval or the Interim Order or the Final Order which is necessary to permit the completion of the Arrangement such that the conditions set forth in the Arrangement Agreement shall not have been satisfied or waived then, provided that such injunction or order is being contested or appealed or such regulatory waiver, consent or approval or the Interim Order or the Final Order is being actively sought, as applicable, the Outside Date shall automatically be extended for an additional period of 30 days; |
| ● | any Governmental Entity of competent jurisdiction shall have issued an order, decree or ruling or there shall be enacted or made any applicable Law that makes consummation of the Arrangement illegal or otherwise prohibited or otherwise restrains, enjoins or prohibits SRx or Better Choice from consummating the Arrangement; |
| ● | the SRx Securityholder Approval shall not have been obtained at the SRx Meeting in accordance with applicable Law and the Interim Order; |
| ● | the Arrangement Proposal shall not have been approved by the Better Choice stockholders at the Special Meeting in accordance with applicable Law; or
as of the date of the SRX Meeting, the condition set forth in Sectoin 6.1(i) of the Arranagement Agreement has not been satisfied or waived by all parties. |
| ● | SRx if: |
| ● | There shall have occurred a Better Choice Material Adverse Effect which is incapable of being cured by the Outside Date; |
| ● | there shall have occurred a Better Choice Change in Recommendation; |
| ● | a breach of any representation or warranty or failure to perform any covenant or obligation on the part of Better Choice, AcquireCo or CallCo under the Arrangement Agreement occurs that would cause any condition for the exclusive benefit of SRx not to be satisfied, and such breach or failure is incapable of being cured on or prior to the Outside Date or is not cured in accordance with the terms of the Arrangement Agreement; provided that SRx is not then in breach of the Arrangement Agreement so as to directly or indirectly cause any condition for the exclusive benefit of Better Choice, AcquireCo and CallCo not to be satisfied; |
| ● | Better Choice shall have breached or failed to perform any of its obligations with respect to an Acquisition Proposal, Superior Proposal or any of its covenants in respect of non-solicitation; or |
| 114 |
| ● | Better Choice if: |
| ● | prior to obtaining the approval of Better Choice’s stockholders of the applicable proposals at the Special Meeting, the Better Choice Board authorizes Better Choice to accept a Better Choice Superior Proposal, provided that Better Choice shall have (1) simultaneously with such termination, entered into the Alternative Acquisition Agreement associated with such Better Choice Superior Proposal, (2) otherwise complied with its obligations under the Arrangement Agreement and (3) paid the Termination Payment; |
| ● | there shall have occurred an SRx Material Adverse Effect which is incapable of being cured by the Outside Date; |
| ● | a breach of any representation or warranty or failure to perform any covenant or obligation on the part of SRx under the Arrangement Agreement occurs that would cause any condition for the exclusive benefit of Better Choice not to be satisfied, and such breach or failure is incapable of being cured on or prior to the Outside Date or is not cured in accordance with the terms of the Arrangement Agreement; provided that Better Choice, AcquireCo and CallCo are not then in breach of the Arrangement Agreement so as to directly or indirectly cause any condition for the exclusive benefit of Better Choice not to be satisfied; |
| ● | SRx shall have breached or failed to perform any of its obligations with respect to an Acquisition Proposal, Superior Proposal or any of its covenants in respect of non-solicitation. |
The Party desiring to terminate the Arrangement Agreement must give written notice of such termination to the other Party, specifying in reasonable detail the basis for such Party’s exercise of its termination right.
Expenses and Termination Payment
All costs and expenses of the Parties relating to the Arrangement and the transactions contemplated in the Arrangement Agreement, including legal fees, accounting fees, financial advisory fees, strategic advisory fees, regulatory filing fees, stock exchange fees, all disbursements of advisors and printing and mailing costs, shall be paid by the Party incurring such expenses.
The Termination Payment, in the amount of $3.2 million, shall be payable by Better Choice to SRx in the event that the Arrangement Agreement is terminated in the following circumstances:
| (i) | pursuant to Section 8.2(a)(iv)(A) of the Arrangement Agreement (Better Choice Change in Recommendation), Section 8.2(a)(iv)(D) of the Arrangement Agreement (Breach of Better Choice Non-Solicitation Covenants) or Section 8.2(a)(iii)(A) of the Arrangement Agreement (Superior Proposal); or | |
| (ii) | pursuant to Section 8.2(a)(ii)(A) of the Arrangement Agreement (Outside Date), Section 8.2(a)(ii)(D) of the Arrangement Agreement (Failure to Approve Better Choice Shareholder Approval Matters), Section 8.2(a)(iv)(B) of the Arrangement Agreement (Better Choice Material Adverse Effect) or Section 8.2(a)(iv)(C) of the Arrangement Agreement (Better Choice Breach) if, in any such case, prior to the earlier of the termination of the Arrangement Agreement or the holding of the Special Meeting, (A) a Better Choice Acquisition Proposal, or the intention to make a Better Choice Acquisition Proposal, shall have been publicly announced by any Person (other than SRx or any of its affiliates) and not withdrawn prior to such termination or holding of the Special Meeting, and (B) within twelve (12) months after the later of the date of termination of the Arrangement Agreement or the holding of the Special Meeting, (1) Better Choice has entered into a definitive agreement with respect to or consummated a Better Choice Acquisition Proposal, (2) a Better Choice Acquisition Proposal has been publicly accepted or recommended by the Better Choice Board, or (3) a Better Choice Acquisition Proposal has been approved by or submitted for approval to the Better Choice Shareholders. For the purpose of this Section 8.3(b)(ii) of the Arrangement Agreement, the term “Better Choice Acquisition Proposal” shall have the meaning ascribed to such term in the “Glossary of Defined Terms” section of this proxy statement, except that references to “20%” shall be deemed to be “50%”. For the avoidance of doubt, the Better Choice Acquisition Proposal referred to in clauses (B)(1), (B)(2) and (B)(3) of Section 8.3(b)(ii) of the Arrangement Agreement need not be the same Better Choice Acquisition Proposal that was made to Better Choice or publicly announced prior to the termination of the Arrangement Agreement or holding of the Special Meeting. |
| 115 |
The Termination Payment shall be made by Better Choice by wire transfer of same-day funds, to an account designated by SRx, (x) in the event that the Arrangement Agreement is terminated pursuant to Section 8.2(a)(iii)(A) of the Arrangement Agreement, simultaneously with, and as a condition to the effectiveness of, such termination, (y) in the event that the Arrangement Agreement is terminated pursuant to Section 8.2(a)(iv)(A) of the Arrangement Agreement or Section 8.2(a)(iv)(D) of the Arrangement Agreement, as soon as practicable, and in any event within two (2) Business Days of the date on which the Arrangement Agreement is terminated, and (z) in the event that the Termination Payment is payable pursuant to Section 8.3(b)(ii) of the Arrangement Agreement, on the earliest occur of the events referred to in clauses (B)(1), (B)(2) and (B)(3) thereof.
Amendment of the Arrangement Agreement
Subject to the provisions of the Interim Order and Final Order, the Plan of Arrangement and applicable Law, the Arrangement Agreement and the Plan of Arrangement may, at any time and from time to time prior to the Effective Time, be amended only by mutual written agreement of Better Choice and SRx and any such amendment may without limitation:
| ● | change the time for performance of any of the obligations or acts of the Parties; |
| ● | waive any inaccuracies or modify any representation or warranty contained in the Arrangement Agreement or in any document delivered pursuant to the Arrangement Agreement; |
| ● | waive compliance with or modify any of the covenants contained in the Arrangement Agreement and waive or modify performance of any of the obligations of the Parties; and |
| ● | waive compliance with or modify any mutual conditions precedent contained in the Arrangement Agreement. |
Notwithstanding the foregoing, after each of the SRx Securityholder Approval and the Better Choice Stockholder Approval has been obtained, no amendment shall be made that pursuant to applicable Law requires further approval or adoption by the SRx shareholders or the Better Choice stockholders without such further approval or adoption.
DESCRIPTION OF EXCHANGEABLE SHARES OTHER AGREEMENTS
Exchangeable Shares
Ranking.
The Exchangeable Shares shall be entitled to a preference over the common shares and any other shares in AcquireCo ranking junior to the Exchangeable Shares with respect to the payment of dividends (provided, that, for greater certainty, dividends may be paid on the common shares as long as there are no unpaid dividends in respect of the Exchangeable Shares) and the distribution of assets in the event of the liquidation, dissolution or winding-up of AcquireCo, whether voluntary or involuntary, or any other distribution of the assets of AcquireCo, among its shareholders for the purpose of winding-up its affairs.
| 116 |
Dividends and Other Distributions.
A holder of an Exchangeable Share shall only be entitled to receive, and the Board of Directors of AcquireCo shall, subject to applicable law, on each date on which the Board of Directors of Better Choice declares any dividend or other distribution on the Better Choice Shares (a “Better Choice Distribution Declaration Date”), declare a dividend or other distribution on each Exchangeable Share:
(a) in the case of a cash dividend or distribution declared on the Better Choice Shares, in an aggregate amount in cash for each Exchangeable Share as is equal in U.S. dollars, or the Canadian Dollar Equivalent thereof (at the election of the Board of Directors of AcquireCo) on the Better Choice Share Distribution Declaration Date;
(b) in the case of a securities dividend or distribution declared on the Better Choice Shares to be paid in Better Choice Shares, by the issue or transfer by AcquireCo of such number of applicable Exchangeable Shares for each such Exchangeable Share as is economically equal to the number of Better Choice Shares to be paid on each Better Choice Share, unless in lieu of such securities dividend AcquireCo elects to effect a corresponding and contemporaneous and economically equivalent (as determined by the Board of Directors in accordance with Section 3.5 of the Exchangeable Share Terms as set out in the articles of AcquireCo) subdivision of the outstanding Exchangeable Shares; or
(c) in the case of a dividend or distribution declared on the Better Choice Shares to be paid in property other than cash or Better Choice Shares, in such type and amount of property for each Exchangeable Share as is the same as or economically equivalent (as determined by the Board of Directors of AcquireCo in accordance with Section 3.5 of the Exchangeable Share Terms as set out in the articles of AcquireCo) to the type and aggregate amount of property declared as a dividend or distribution on a Better Choice Share.
Such dividends or distributions shall be paid out of money, assets or property of AcquireCo properly applicable to the payment of dividends, or out of authorized but unissued shares of AcquireCo, as applicable. Any dividend which should have been declared or paid on the Exchangeable Shares pursuant to Section 3.1 of the Exchangeable Share Terms as set out in the articles of AcquireCo but was not so declared or paid due to the provisions of applicable law shall be declared and paid by AcquireCo as soon as payment of such dividend is permitted by such law. For the avoidance of doubt, paragraphs (b) and (c) above shall be applied to ensure that holders of Exchangeable Shares are treated in a manner economically equivalent to the treatment of holders of Better Choice Shares, respectively, and shall not be applied to confer any additional benefit on any Person.
Certain Restrictions.
So long as any of the Exchangeable Shares are outstanding, AcquireCo shall not at any time without, but may at any time with, the approval of the holders of the Exchangeable Shares:
(a) amend the articles and by-laws of AcquireCo in a manner which would prejudicially or adversely affect the holders of Exchangeable Shares;
(b) issue any further Exchangeable Shares to any Person, other than Exchangeable Shares issued as dividends or distributions pursuant to Section 3.1 of the Exchangeable Share Terms as set out in the articles of AcquireCo or in accordance with Section 9.5 of the Support Agreement; or
(c) initiate the voluntary liquidation, dissolution or winding-up of AcquireCo nor take any action or omit to take any action that is designed to result in the liquidation, dissolution or winding-up of AcquireCo.
Distribution on Liquidation and Liquidation Call Right
Subject to applicable law and the due exercise by CallCo of a Liquidation Call Right or the exercise of the Exchangeable Shareholders’ Put Right, in the event of the liquidation, dissolution or winding-up of AcquireCo or any other distribution of the assets of AcquireCo among its shareholders for the purpose of winding-up its affairs, a holder of Exchangeable Shares shall be entitled to receive in respect of each Exchangeable Share held by such holder on the effective date (the “Liquidation Date”) of such liquidation, dissolution or winding-up, before any distribution of any part of the assets of AcquireCo among the holders of the common shares or any other shares in AcquireCo, an amount per Exchangeable Share equal to the Exchangeable Share Consideration applicable on the last Business Day prior to the Liquidation Date (the “Liquidation Amount”).
| 117 |
After AcquireCo has satisfied its obligations to pay the holders of the Exchangeable Shares the total Liquidation Amount, such holders shall not be entitled, in respect of the Exchangeable Shares, to share in any further distribution of the assets of AcquireCo.
Redemption.
Subject to applicable law, and provided CallCo has not exercised the Redemption Call Right or a holder of Exchangeable Shares has not exercised the Exchangeable Shareholders’ Put Right, upon the occurrence of a Redemption Event, AcquireCo shall redeem all but not less than all of the then outstanding Exchangeable Shares for an amount per Exchangeable Share equal to the Exchangeable Share Consideration on the last Business Day prior to the Redemption Date (the “Redemption Price”).
Voting.
Except as required by applicable law and Article 11, 12 and 13 of the Exchangeable Share Terms as set out in the articles of AcquireCo, the holders of the Exchangeable Shares shall not be entitled to receive notice of or to attend any meeting of the shareholders of AcquireCo or to vote at any such meeting.
Amendment and Approval.
The special rights and restrictions attaching to the Exchangeable Shares may be added to, changed or removed but only with the approval of the holders of the Exchangeable Shares given as hereinafter specified.
Any approval given by the holders of the Exchangeable Shares to add to, change or remove any special rights and restrictions attaching to the Exchangeable Shares or any other matter requiring the approval or consent of the holders of the Exchangeable Shares shall be deemed to have been sufficiently given if it shall have been given in accordance with applicable law subject to a minimum requirement that such approval be evidenced by resolution passed by not less than 50% of the votes cast on such resolution at a meeting of holders of Exchangeable Shares duly called and held at which the holders of at least 25% of the outstanding Exchangeable Shares at that time are present or represented by proxy. If at any such meeting the holders of at least 25% of the outstanding Exchangeable Shares at that time are not present or represented by proxy within one-half hour after the time appointed for such meeting, then the meeting shall be adjourned to such date not less than five days thereafter and to such time and place as may be designated by the Chairman of such meeting. At such adjourned meeting the holders of Exchangeable Shares present or represented by proxy thereat shall form a quorum and may transact the business for which the meeting was originally called and a resolution passed thereat by the affirmative vote of not less than 50% of the votes cast on such resolution at such meeting shall constitute the approval or consent of the holders of the Exchangeable Shares.
Support Agreement and Voting Trust Agreement
In connection with the arrangement, effective as of the Effective Time, (i) Better Choice, AcquireCo and CallCo shall execute the Support Agreement, and the Exchangeable Shareholders shall be deemed to be parties thereto; (ii) Better Choice, AcquireCo and Adesh Vora or his designee (the “Trustee”) shall execute the Voting Trust Agreement and Better Choice shall issue to and deposit with the Trustee the Special Voting Share in consideration of the payment to Better Choice by SRx on behalf of the SRx Shareholders of ten dollars in Canadian funds (CAD$10.00), to be thereafter held of record by the Trustee for and on behalf of, and for the use and benefit of, the holders of the Exchangeable Shares in accordance with the Voting Trust Agreement, and the Exchangeable Shareholders shall be deemed to be parties thereto to the extent necessary.
| 118 |
NAME CHANGE PROPOSAL
Overview
Following the consummation of the Arrangement, the senior management of the Combined Company desires to change the legal name of the Combined Company from “Better Choice Company, Inc.” to “SRX Health Solutions, Inc.” to better reflect the go-forward business of the Combined Company (the “Name Change”).
Our common stock is currently listed for trading on NYSE under the symbol “BTTR”. In connection with the Name Change, the Combined Company would change such symbol from “BTTR” to “SRXH”.
Consequences if the Name Change Proposal is Not Approved
If the Name Change Proposal is not approved, and/or if the Arrangement Proposal and Plan Proposal are not approved, the Company will remain named “Better Choice Company, Inc.”.
Vote Required for Approval
If approved by our stockholders, the Name Change will become effective upon the filing of a certificate of amendment to our Certificate of Incorporation, as amended, with the Secretary of State of the State of Delaware. The change of our NYSE symbol would be effected by making an application therefor with NYSE.
The amendment of our Certificate of Incorporation must be approved by a majority of our stockholders, under Delaware law. As such, the Name Change Proposal must be approved by a majority of the shares entitled to vote, that are present or represented by proxy at the Special Meeting. Abstentions will be treated as votes cast, and will have the effect of a “NO” vote, but “broker non-votes” will not be treated as votes cast and will not affect the outcome with regard to this proposal.
Recommendation of the Board
As discussed above, after careful consideration of all relevant factors, the Board has determined that the Name Change Proposal is in the best interests of the Company and its stockholders. The Board has approved and declared advisable the adoption of the Name Change Proposal.
The Board recommends a vote “FOR” the approval of the change of the name of Better Choice from “Better Choice Company, Inc.” to “SRX Health Solutions, Inc.” and of the NYSE ticker symbol from “BTTR” to “SRXH”.
APPROVAL OF THE ISSUANCE OF THE CONSIDERATION SHARES
You are being asked to approve the issuance of the Consideration Shares, which consist of up to [●] Better Choice Shares issuable pursuant to the Arrangement Agreement. As of the Record Date, the Consideration Shares would be comprised of approximately [●] Better Choice Shares, including the Better Choice Shares that would be issuable upon conversion or exchange of SRx securities that will become convertible into or exchangeable for Better Choice Shares in connection with the Arrangement and Better Choice Shares that would be issuable upon exchange of the Exchangeable Shares, in each case based upon an illustrative Exchange Ratio of [●] Better Choice Shares for each outstanding SRx Share calculated as of the Record Date. The Exchange Ratio, however, is subject to adjustment until the Effective Time as described herein, and, as such, the approximate amount of Consideration Shares is subject to adjustment. Because of the variability in the amount of Consideration Shares that may be issued pursuant to the Arrangement, you are being asked to approve the issuance of an amount of Consideration Shares that exceeds the approximate amount of Consideration Shares as of the Record Date. For a summary and detailed information regarding this proposal, see the information about the proposed Arrangement, and the issuance of the Consideration Shares in connection with the Arrangement contained throughout this proxy statement, including the information set forth in “Summary of the Arrangement” and “The Arrangement” and “The Arrangement Agreement.”
| 119 |
The following table sets forth, as of the Record Date, and for illustrative purposes, the approximate total number of Consideration Shares that may be issued pursuant to the Arrangement.
| Security Type | Effective Number of Consideration Shares | Percent Holding of Combined Company (fully diluted) | ||||||||
| (1) | % | |||||||||
| (1) | % | |||||||||
| (1) | % | |||||||||
| (1) | % | |||||||||
| TOTAL | %(1) | |||||||||
| (1) | Assumes a full conversion and/or exchange for 100% of the underlying securities as of the Record Date. |
Pursuant to our Certificate of Incorporation and applicable Delaware state law, and limited only by the number of Better Choice Shares authorized for issuance under our Articles of Incorporation, the Better Choice Board has the power, without submitting the matter to a stockholder vote or approval, to issue Better Choice Shares, from time to time, for any consideration the Better Choice Board deems appropriate. However, Better Choice Shares are listed on NYSE and Section 713 of the NYSE Company Guide requires stockholder approval for the issuance of the Consideration Shares pursuant to the Arrangement. See “Why am I being asked to vote on the Arrangement?” in the questions section above. Thus, Better Choice is requesting your vote in connection with the Arrangement Proposal.
The Arrangement Proposal will not be effected without the approval by the Better Choice stockholders of both such proposals.
If this Arrangement Proposal is not approved, the Arrangement cannot be completed, each of Better Choice and SRx will have the right to terminate the Arrangement Agreement, and Better Choice may be required to pay SRx a termination payment of $3.2 million. See “The Arrangement Agreement — Termination of the Arrangement Agreement.”
Required Vote
This proposal must be approved by a majority of the shares entitled to vote, that are present or represented by proxy at the Special Meeting. Abstentions will be treated as votes cast, and will have the effect of a “NO” vote, but “broker non-votes” will not be treated as votes cast and will not affect the outcome with regard to this proposal.
The Better Choice Board recommends that stockholders vote “FOR” the authorization of the issuance of the Consideration Shares in connection with the Arrangement.
APPROVAL OF INCREASE IN 2019 INCENTIVE PLAN
On [●], 2024, the Better Choice Board of Directors (the “Board”) unanimously approved, subject to stockholder approval at the meeting, the amendment to the 2019 Incentive Award Plan (as amended, the “2019 Plan”), to add [●] shares for issuance under the 2019 Plan. Currently, Better Choice is authorized to issue [●] shares under the 2019 Plan. The amendment to the 2019 Plan will allow Better Choice to issue a total of [●] shares under the 2019 Plan.
The amendment to the 2019 Plan is being submitted to stockholders for approval at the meeting in order to ensure favorable federal income tax treatment for grants of incentive stock options under Section 422 of the Internal Revenue Code of 1986, as amended, or the Code. Approval by our stockholders of the amendment to the 2019 Plan is also required by the listing rules of NYSE.
| 120 |
Pursuant to the Arrangement Agreement, Better Choice has agreed to amend the 2019 Plan to increase the number of Better Choice Shares reserved for awards thereunder (taking into account the annual “evergreen” adjustment) to twenty percent (20%) of the number of Better Choice Shares outstanding immediately after the Effective Time (calculated on a fully-diluted basis, including issuance of Better Choice Shares upon exchange of the Exchangeable Shares).
2019 Incentive Award Plan - Summary
The following is a summary of the principal features of the 2019 Incentive Award Plan (as amended, the “2019 Plan”). This summary does not purport to be a complete description of all of the provisions of the 2019 Equity Incentive Plan and it is qualified in its entirety by reference to the full text of the 2019 Equity Incentive Plan.
Eligibility and Administration. Employees, consultants and non-employee directors of the Company and its subsidiaries may be eligible to receive awards under the 2019 Plan.
Awards. The 2019 Plan provides for the grant of ISOs within the meaning of Section 422 of the Internal Revenue Code (the “Code”) to employees, including employees of any parent or subsidiary, and for the grant of nonstatutory stock options (“NSOs”), stock appreciation rights (“SARs”), Restricted Stock Awards, Restricted Stock Unit (“RSU”) awards, and other forms of awards to employees, directors and consultants, including employees and consultants of our affiliates.
Authorized Shares. The maximum number of shares of our Common Stock that may be issued under the 2019 Plan is currently [●].
Shares subject to stock awards granted under the Plan that expire or terminate without being exercised in full or that are paid out in cash rather than in shares do not reduce the number of shares available for issuance under our Plan. Shares withheld under a stock award to satisfy the exercise, strike or purchase price of a stock award or to satisfy a tax withholding obligation do not reduce the number of shares available for issuance under our Plan. If any shares of our Common Stock issued pursuant to a stock award are forfeited back to or repurchased or reacquired by us (i) because of a failure to meet a contingency or condition required for the vesting of such shares, (ii) to satisfy the exercise, strike or purchase price of an award or (iii) to a tax withholding obligation in connection with an award, the shares that are forfeited or repurchased or satisfy reacquired will revert to and again become available for issuance under the Plan. Any shares previously issued which are reacquired in satisfaction of tax withholding obligations or as consideration for the exercise or purchase price of a stock award will again become available for issuance under the Plan.
Plan Administration. The Compensation Committee of the Better Choice Board (the “Committee”) has the authority to administer the Plan, unless and until the Board delegates some or all of the administration of the Plan to a different Committee or Committees of the Board. It is the duty of the Committee to conduct the general administration of the 2019 Plan in accordance with its provisions. The Committee has the power to interpret the 2019 Plan, to adopt such rules for the administration, interpretation and application of the Plan and any Program as are not inconsistent with the 2019 Plan, to interpret, amend or revoke any such rules and to amend the 2019 Plan or any Award Agreement thereunder. Subject to the Organizational Documents, any specific designation in the Plan and Applicable Law, the Administrator has the exclusive power, authority and sole discretion to, among other things:
(a) Designate eligible individuals to receive awards;
(b) Determine the type or types of awards to be granted to each eligible individual;
(c) Determine the number of awards to be granted and the number of shares to which an award will relate;
(d) Determine the terms and conditions of any award granted pursuant to the 2019 Plan;
(e) Determine whether, to what extent, and under what circumstances an award may be settled in, or the exercise price of an award may be paid in cash, shares, other awards, or other property, or an award may be canceled, forfeited, or surrendered;
(f) Prescribe the form of each Award Agreement, which need not be identical for each holder;
| 121 |
(g) Decide all other matters that must be determined in connection with an Award;
(h) Make all other decisions and determinations that may be required pursuant to the Plan or as the Administrator deems necessary or advisable to administer the Plan
Stock Options. ISOs and NSOs are granted under stock option agreements in a form approved by the Committee. The Committee determines the exercise price for stock options, within the terms and conditions of the Plan, provided that the exercise price of a stock option generally cannot be less than 100% of the fair market value of our Common Stock on the date of grant. Options granted under the Plan vest at the rate specified in the stock option agreement as determined by the Committee.
The Committee determines the term of stock options granted under the Plan, up to a maximum of 10 years. Unless the terms of an option holder’s stock option agreement, or other written agreement between us and the recipient approved by the Committee, provide otherwise, if an option holder’s service relationship with us or any of our affiliates ceases for any reason other than disability, death or Cause (as defined in the Plan), the option holder may generally exercise any vested options for a period of three months following the cessation of service. If an option holder’s service relationship with us or any of our affiliates ceases due to death, or an option holder dies within a certain period following cessation of service, the option holder or a beneficiary may generally exercise any vested options for a period of 18 months following the date of death. If an option holder’s service relationship with us or any of our affiliates ceases due to disability, the option holder may generally exercise any vested options for a period of 12 months following the cessation of service. In the event of a termination for cause, options generally terminate upon the termination date. In no event may an option be exercised beyond the expiration of its term.
Acceptable consideration for the purchase of Common Stock issued upon the exercise of a stock option will be determined by the Committee and may include (i) cash, check, bank draft or money order, (ii) a broker-assisted cashless exercise, (iii) the tender of shares of our Common Stock previously owned by the option holder, (iv) a net exercise of the option if it is an NSO or (v) other legal consideration approved by the Board.
Unless the Committee provides otherwise, options or stock appreciation rights generally are not transferable except by will or the laws of descent and distribution. Subject to approval of the Committee or a duly authorized officer, an option may be transferred pursuant to a domestic relations order, official marital settlement agreement or other divorce or separation instrument.
Tax Limitations on ISOs. The aggregate fair market value, determined at the time of grant, of our Common Stock with respect to ISOs that are exercisable for the first time by an award holder during any calendar year under all of our stock plans may not exceed $100,000. Options or portions thereof that exceed such limit will generally be treated as NSOs. No ISO may be granted to any person who, at the time of the grant, owns or is deemed to own stock possessing more than 10% of our total combined voting power or that of any of our parent or subsidiary corporations unless (i) the option exercise price is at least 110% of the fair market value of the stock subject to the option on the date of grant and (ii) the term of the ISO does not exceed five years from the date of grant.
Restricted Stock Unit Awards. Restricted stock unit awards are granted under restricted stock unit award agreements in a form approved by the Committee. Restricted stock unit awards may be granted in consideration for any form of legal consideration that may be acceptable to our board of directors and permissible under applicable law. A restricted stock unit award may be settled by cash, delivery of stock, a combination of cash and stock as deemed appropriate by the Committee or in any other form of consideration set forth in the restricted stock unit award agreement. Additionally, dividend equivalents may be credited in respect of shares covered by a restricted stock unit award. Except as otherwise provided in the applicable award agreement, or other written agreement between us and the recipient approved by the Committee, restricted stock unit awards that have not vested will be forfeited once the participant’s continuous service ends for any reason.
Restricted Stock Awards. Restricted stock awards are granted under restricted stock award agreements in a form approved by the Committee. A restricted stock award may be awarded in consideration for cash, check, bank draft or money order, past or future services to us or any other form of legal consideration that may be acceptable to our board of directors and permissible under applicable law. The Committee determines the terms and conditions of restricted stock awards, including vesting and forfeiture terms. If a participant’s service relationship with us ends for any reason, we may receive any or all of the shares of Common Stock held by the participant that have not vested as of the date the participant terminates service with us through a forfeiture condition or a repurchase right.
| 122 |
Stock Appreciation Rights. Stock appreciation rights are granted under stock appreciation right agreements in a form approved by the Committee. The Committee determines the strike price for a stock appreciation right, which generally cannot be less than 100% of the fair market value of our Common Stock on the date of grant. A stock appreciation right granted under the Plan vests at the rate specified in the stock appreciation right agreement as determined by the Committee. Stock appreciation rights may be settled in cash or shares of Common Stock or in any other form of payment as determined by the Board and specified in the stock appreciation right agreement.
The Committee determines the term of stock appreciation rights granted under the Plan, up to a maximum of 10 years. If a participant’s service relationship with us or any of our affiliates ceases for any reason other than cause, disability or death, the participant may generally exercise any vested stock appreciation right for a period of three months following the cessation of service. This period may be further extended in the event that exercise of the stock appreciation right following such a termination of service is prohibited by applicable securities laws. If a participant’s service relationship with us, or any of our affiliates, ceases due to disability or death, or a participant dies within a certain period following cessation of service, the participant or a beneficiary may generally exercise any vested stock appreciation right for a period of 12 months in the event of disability and 18 months in the event of death. In the event of a termination for cause, stock appreciation rights generally terminate immediately upon the occurrence of the event giving rise to the termination of the individual for cause. In no event may a stock appreciation right be exercised beyond the expiration of its term.
Other Stock Awards. The Committee may grant other awards based in whole or in part by reference to our Common Stock. The Compensation Committee will set the number of shares under the stock award (or cash equivalent) and all other terms and conditions of such awards.
Non-Employee Director Equity Compensation Policy. The Committee may provide that awards granted to non-employee directors shall be granted pursuant to a written nondiscretionary formula established by the Committee (the “Non-Employee Director Equity Compensation Policy”), subject to the limitations of the 2019 Plan. The Non-Employee Director Equity Compensation Policy shall set forth the type of award(s) to be granted to non-employee directors, the number of shares to be subject to non-employee director awards, the conditions on which such awards shall be granted, become exercisable and/or payable and expire, and such other terms and conditions as the Committee shall determine. The Non-Employee Director Equity Compensation Policy may be modified by the Committee from time to time pursuant to the exercise of its business judgment, taking into account such factors, circumstances and considerations as it shall deem relevant from time to time.
Changes to Capital Structure. In the event there is a specified type of change in our capital structure, such as a stock split, reverse stock split or recapitalization, appropriate adjustments will be made to (i) the class and maximum number of shares reserved for issuance under the 2019 Plan, (ii) the class and maximum number of shares by which the share reserve may increase automatically each year, (iii) the class and maximum number of shares that may be issued on the exercise of ISOs and (iv) the class and number of shares and exercise price, strike price or purchase price, if applicable, of all outstanding stock awards.
Corporate Transactions. The following applies to stock awards under the 2019 Plan in the event of certain corporate transactions (as defined in the 2019 Plan), unless otherwise provided in a participant’s stock award agreement or other written agreement with us or one of our affiliates or unless otherwise expressly provided by the Committee at the time of grant.
| 123 |
The Committee is authorized to take any one or more of the following actions whenever the Committee determines that such action is appropriate in order to prevent dilution or enlargement of the benefits or potential benefits intended to be made available under the 2019 Plan or with respect to any Award under the 2019 Plan, to facilitate such transactions or events or to give effect to such changes in Applicable Law or Applicable Accounting Standards:
(i) To provide for the termination of any such award in exchange for an amount of cash and/or other property with a value equal to the amount that would have been attained upon the exercise of such award or realization of the holder’s rights;
(ii) To provide that such award be assumed by the successor or survivor corporation, or a parent or subsidiary thereof, or shall be substituted for by similar options, rights or awards covering the stock of the successor or survivor corporation, or a parent or subsidiary thereof, with appropriate adjustments as to the number and kind of shares and applicable exercise or purchase price, in all cases, as determined by the Committee;
(iii) To make adjustments in the number and type of shares of Better Choice stock (or other securities or property) subject to outstanding awards, and/or in the terms and conditions of (including the grant or exercise price), and the criteria included in, outstanding awards and awards which may be granted in the future;
(iv) to provide that such award shall be exercisable or payable or fully vested with respect to all shares covered thereby, notwithstanding anything to the contrary in the 2019 Plan or the applicable Award Agreement;
(v) To replace such award with other rights or property selected by the Committee; and/or
(vi) To provide that the award cannot vest, be exercised or become payable after such event.
Plan Amendment or Termination. Our board of directors has the authority to amend, suspend or terminate our Plan, provided that such action does not materially impair the existing rights of any participant without such participant’s written consent. Certain material amendments also require the approval of our stockholders. No ISOs may be granted after the tenth anniversary of the date our board of directors adopts our Plan. No stock awards may be granted under our Plan while it is suspended or after it is terminated.
Summary of Material United States Federal Income Tax Consequences of the 2019 Plan
The following is a summary of the principal federal income tax consequences of option grants and other awards under the 2019 Plan. Optionees and recipients of other rights and awards granted under the 2019 Plan are advised to consult their personal tax advisors before exercising an option or stock appreciation right or disposing of any stock received pursuant to the exercise of an option or stock appreciation right or following vesting of a restricted stock award or restricted stock unit or upon grant of an unrestricted stock award. In addition, the following summary is based upon an analysis of the Code as currently in effect, existing laws, judicial decisions, administrative rulings, regulations and proposed regulations, all of which are subject to change and does not address state, local or other tax laws.
Nonstatutory Stock Options. Generally, there is no taxation upon the grant of a NSO. Upon exercise, a participant will recognize ordinary income equal to the excess, if any, of the fair market value of the underlying stock on the date of exercise of the stock option over the exercise price. If the participant is employed by the Company or one of its affiliates, that income will be subject to withholding taxes. The participant’s tax basis in those shares will be equal to their fair market value on the date of exercise of the stock option, and the participant’s capital gain holding period for those shares will begin on the day after they are transferred to the participant. Subject to the requirement of reasonableness, the deduction limits under Section 162(m) of the Code and the satisfaction of a tax reporting obligation, the Company will generally be entitled to a tax deduction equal to the taxable ordinary income realized by the participant.
| 124 |
Incentive Stock Options. The 2019 Plan provides for the grant of stock options that are intended to qualify as “incentive stock options,” as defined in Section 422 of the Code. Under the Code, a participant generally is not subject to ordinary income tax upon the grant or exercise of an ISO. If the participant holds a share received upon exercise of an ISO for more than two years from the date the stock option was granted and more than one year from the date the stock option was exercised, which is referred to as the required holding period, the difference, if any, between the amount realized on a sale or other taxable disposition of that share and the participant’s tax basis in that share will be long-term capital gain or loss. If, however, a participant disposes of a share acquired upon exercise of an ISO before the end of the required holding period, which is referred to as a disqualifying disposition, the participant generally will recognize ordinary income in the year of the disqualifying disposition equal to the excess, if any, of the fair market value of the share on the date of exercise of the stock option over the exercise price. However, if the sales proceeds are less than the fair market value of the share on the date of exercise of the stock option, the amount of ordinary income recognized by the participant will not exceed the gain, if any, realized on the sale. If the amount realized on a disqualifying disposition exceeds the fair market value of the share on the date of exercise of the stock option, that excess will be short-term or long-term capital gain, depending on whether the holding period for the share exceeds one year. For purposes of the alternative minimum tax, the amount by which the fair market value of a share of stock acquired upon exercise of an ISO exceeds the exercise price of the stock option generally will be an adjustment included in the participant’s alternative minimum taxable income for the year in which the stock option is exercised. If, however, there is a disqualifying disposition of the share in the year in which the stock option is exercised, there will be no adjustment for alternative minimum tax purposes with respect to that share. In computing alternative minimum taxable income, the tax basis of a share acquired upon exercise of an ISO is increased by the amount of the adjustment taken into account with respect to that share for alternative minimum tax purposes in the year the stock option is exercised. The Company is not allowed a tax deduction with respect to the grant or exercise of an ISO or the disposition of a share acquired upon exercise of an ISO after the required holding period. If there is a disqualifying disposition of a share, however, the Company will generally be entitled to a tax deduction equal to the taxable ordinary income realized by the participant, subject to the requirement of reasonableness, the deduction limits under Section 162(m) of the Code and provided that either the employee includes that amount in income or the Company timely satisfies its reporting requirements with respect to that amount.
Restricted Stock Awards. Generally, the recipient of a restricted stock award will recognize ordinary income at the time the stock is received equal to the excess, if any, of the fair market value of the stock received over any amount paid by the recipient in exchange for the stock. If, however, the stock is subject to restrictions constituting a substantial risk of forfeiture when it is received (for example, if the employee is required to work for a period of time in order to have the right to transfer or sell the stock), the recipient generally will not recognize income until the restrictions constituting a substantial risk of forfeiture lapse, at which time the recipient will recognize ordinary income equal to the excess, if any, of the fair market value of the stock on the date it becomes vested over any amount paid by the recipient in exchange for the stock. A recipient may, however, file an election with the Internal Revenue Service, within 30 days following the date of grant, to recognize ordinary income, as of the date of grant, equal to the excess, if any, of the fair market value of the stock on the date the award is granted over any amount paid by the recipient for the stock. The recipient’s basis for the determination of gain or loss upon the subsequent disposition of shares acquired from a restricted stock award will be the amount paid for such shares plus any ordinary income recognized either when the stock is received or when the restrictions constituting a substantial risk of forfeiture lapse. Subject to the requirement of reasonableness, the deduction limits under Section 162(m) of the Code and the satisfaction of a tax reporting obligation, the Company will generally be entitled to a tax deduction equal to the taxable ordinary income realized by the recipient of the restricted stock award.
Restricted Stock Unit Awards. Generally, the recipient of a restricted stock unit award will generally recognize ordinary income at the time the stock is delivered equal to the excess, if any, of (i) the fair market value of the stock received over any amount paid by the recipient in exchange for the stock or (ii) the amount of cash paid to the participant. The recipient’s basis for the determination of gain or loss upon the subsequent disposition of shares acquired from a restricted stock unit award will be the amount paid for such shares plus any ordinary income recognized when the stock is delivered, and the participant’s capital gain holding period for those shares will begin on the day after they are transferred to the participant. Subject to the requirement of reasonableness, the deduction limits under Section 162(m) of the Code and the satisfaction of a tax reporting obligation, the Company will generally be entitled to a tax deduction equal to the taxable ordinary income realized by the recipient of the restricted stock unit award.
Stock Appreciation Rights. Generally, the recipient of a stock appreciation right will recognize ordinary income equal to the fair market value of the stock or cash received upon such exercise. Subject to the requirement of reasonableness, the deduction limits under Section 162(m) of the Code and the satisfaction of a tax reporting obligation, the Company will generally be entitled to a tax deduction equal to the taxable ordinary income realized by the recipient of the stock appreciation right.
THE FOREGOING IS ONLY A SUMMARY OF THE EFFECT OF THE U.S. FEDERAL INCOME TAXATION UPON PARTICIPANTS AND THE COMPANY UNDER THE 2019 Plan. IT DOES NOT PURPORT TO BE COMPLETE AND DOES NOT DISCUSS THE TAX CONSEQUENCES OF A PARTICIPANT’S DEATH OR THE PROVISIONS OF THE INCOME TAX LAWS OF ANY MUNICIPALITY, STATE, OR FOREIGN COUNTRY IN WHICH THE PARTICIPANT MAY RESIDE.
The Better Choice Board recommends that stockholders vote “FOR” the authorization of the amendment of the 2019 Incentive Award Plan to increase the number of shares reserved for issuance thereunder.
| 125 |
AUTHORITY TO ADJOURN THE SPECIAL MEETING
If at the Special Meeting, the Better Choice Board determines it is necessary or appropriate to adjourn the Special Meeting, Better Choice intends to move to vote on the Adjournment Proposal. For example, the Better Choice Board may make such a determination if the number of Better Choice Shares represented and voting in favor of the Arrangement Proposal at the Special Meeting is not sufficient to adopt and approve such proposals, in order to enable the Better Choice Board to solicit additional proxies in respect of such proposals. If the Better Choice Board determines that it is necessary or appropriate, Better Choice will ask its stockholders to vote only upon the Adjournment Proposal and not the Arrangement Proposal.
In this proposal, Better Choice is asking you to authorize the holder of any proxy solicited by the Better Choice Board to vote in favor of the Adjournment Proposal. If the Better Choice stockholders approve the Adjournment Proposal, Better Choice could adjourn the Special Meeting and any adjourned session of the Special Meeting and use the additional time to solicit additional proxies, including the solicitation of proxies from stockholders that have previously voted. Among other things, approval of the Adjournment Proposal could mean that, even if Better Choice had received proxies representing a sufficient number of votes against the aforementioned proposal to defeat such proposals, Better Choice could adjourn the Special Meeting without a vote and seek to convince the holders of those shares to change their votes. Additionally, Better Choice may seek to adjourn the Special Meeting if a quorum is not present or otherwise at the discretion of the chairman of the Special Meeting.
Vote Required and Board Recommendation
This proposal must be approved by a majority of the shares entitled to vote that are present or represented by proxy, whether or not a quorum is present. Abstentions will be treated as votes cast, and will have the effect of a vote “AGAINST” this proposal, but “broker non-votes” will not be treated as votes cast and will not affect the outcome with regard to this proposal.
The Better Choice Board recommends that you vote “FOR” the Adjournment Proposal.
SRX HISTORICAL FINANCIAL STATEMENTS
The GAAS audited financial statements of SRx for the fiscal years ended September 30, 2023 and 2022 and the unaudited interim financial statements of SRx for the nine month periods ended June 30, 2024 and 2023 are presented in Annex H and are hereby incorporated by reference. The financial statements have been prepared on the basis of International Financial Reporting Standards, as issued by the International Accounting Standards Board. The financial statements are prepared in Canadian dollars unless otherwise indicated.
As of the date of this proxy statement, the Better Choice Board knows of no matters that will be presented for consideration at the Special Meeting other than as described in this proxy statement.
The SEC allows us to “incorporate by reference” information into this proxy statement. This means that Better Choice can disclose important information to you by referring you to those documents. The information incorporated by reference is considered to part of this proxy statement. However, any statement contained in a document that is incorporated by reference into this proxy statement will be deemed updated and superseded for purposes of this proxy statement to the extent information contained in this proxy statement modifies or replaces the information. Better Choice is incorporating by reference the following items in documents filed by us with the SEC:
| ● | Better Choice’s Annual Report on Form 10-K for the year ended December 31, 2023, filed with the SEC on April 12, 2024; |
| ● | Better Choice’s Quarterly Reports on Form 10-Q for the quarters ended March 31, 2024, June 30, 2024 September 30, 2024, filed with the SEC on May 17, 2024, August 14, 2024 and November 14, 2024, respectively; and |
| ● | Better Choice’s Current Reports on Form 8-K filed with the SEC on March 2, 2023, March 21, 2023, march 28, 2023, May 12, 2023, May 17, 2023, June 27, 2023, August 7, 2023, August 22, 2023, August 29, 2023, September 27, 2023, November 14, 2023, November 16, 2023, February 12, 2024, March 14, 2024, March 25, 2024, April 4, 2024, April 16, 2024, April 17, 2024, April 30, 2024, May 13, 2024, May 21, 2024, May 24, 2024, June 21, 2024, July 12, 2024, July 15, 2024, August 1, 2024, August 7, 2024, August 26, 2024, September 9, 2024, and December 10, 2024. |
The information incorporated by reference is considered to be a part of this proxy statement, and later information that Better Choice files with the SEC will update and supersede that information. Better Choice incorporates by reference in this proxy statement the documents listed below and any future filings that Better Choice makes with the SEC under Sections 13(a), 13(c), 14 or 15(d) of the Exchange Act, including any filings after the date of this proxy statement until the date of the Special Meeting. The information incorporated by reference is an important part of this proxy statement. Any statement in a document incorporated by reference into this proxy statement will be deemed to be modified or superseded for purposes of this proxy statement to the extent a statement contained in this or any other subsequently filed document that is incorporated by reference into this proxy statement modifies or supersedes such statement. Any statement so modified or superseded will be not deemed, except as so modified or superseded, to constitute a part of this proxy statement. Notwithstanding the foregoing, information furnished under Items 2.02 and 7.01 of any Current Report on Form 8-K, including the related exhibits, is not incorporated by reference into this proxy statement.
The documents listed above are enclosed with this proxy statement and are also available on the SEC’s website at http://www.sec.gov and on Better Choice’s website at http://www.betterchoicecompany.com. Additional information about SRx may be obtained by visiting [insert URL].
Representatives of [●], Better Choice’s principal accountants, will not be present at the Special Meeting.
You may obtain additional copies of this proxy statement, and may ask any questions about the Arrangement or the Arrangement Agreement, by contacting Carolina Martinez, the Company’s Chief Financial Officer, by telephone at 212-655-3518, or by email at nmartinez@bttrco.com.
| 126 |
Annex A
Annex B
Execution Version
ARRANGEMENT AGREEMENT
by and among
BETTER CHOICE COMPANY INC.
and
1000994476 ONTARIO INC.
and
1000994085 ONTARIO INC.
and
SRX HEALTH SOLUTIONS INC.
September 3, 2024
SCHEDULES
| Schedule A | Plan of Arrangement | |
| Schedule B | SRx Arrangement Resolution | |
| Schedule C | Representations and Warranties of SRx | |
| Schedule D | Representations and Warranties of Parent | |
| Schedule E | Key Regulatory Approvals | |
| Schedule F | Form of SRx Voting Agreement | |
| Schedule G | SRx Supporting Shareholders |
| i |
ARRANGEMENT AGREEMENT
THIS Arrangement Agreement, dated September 3, 2024, is entered into by and among BETTER CHOICE COMPANY INC., a corporation existing under the laws of the State of Delaware (“Parent”), 1000994476 ONTARIO INC., a corporation existing under the laws of the Province of Ontario (“AcquireCo”), 1000994085 ONTARIO INC., a corporation existing under the laws of the Province of Ontario (“CallCo”), and SRX HEALTH SOLUTIONS INC., a corporation existing under the laws of the Province of Ontario (“SRx”).
WHEREAS:
| A. | Parent, AcquireCo, CallCo and SRx wish to complete a transaction pursuant to which, among other things, Parent will, indirectly through AcquireCo, acquire all of the SRx Shares in exchange for the Consideration, by way of a statutory plan of arrangement, which is to be completed under the provisions of the OBCA on and subject to the terms and conditions contained herein; |
| B. | the SRx Board has determined, after having considered financial and legal advice, that it would be advisable and in the best interests of SRx and the SRx Shareholders for the SRx Board to unanimously recommend that SRx Securityholders vote in favor of the SRx Arrangement Resolution at the SRx Meeting; |
| C. | within ten (10) Business Days after the date hereof, Parent will enter into the SRx Voting Agreements with the SRx Supporting Shareholders, pursuant to which, among other things, such SRx Supporting Shareholders will agree to vote the SRx Shares and any securities convertible, exercisable or exchangeable into SRx Shares held by them in favor of the SRx Arrangement Resolution (provided, however, that the SRx Voting Agreement with Adesh Vora has been entered into prior to or contemporaneously with the execution of this Agreement); |
| D. | the Parent Financial Advisor has advised the Parent Board, and the Parent Board has determined, that the Arrangement is fair, from a financial point of view, to the Parent Shareholders; |
| E. | the Parent Board has determined, after having considered financial and legal advice, that it would be advisable and in the best interests of Parent and the Parent Shareholders for the Parent Board to unanimously recommend that Parent Shareholders vote in favor of the Parent Shareholder Approval Matters at the Parent Meeting; |
| F. | within ten (10) Business Days after the date hereof, SRx will enter into the Parent Voting Agreements with the Parent Supporting Shareholders, pursuant to which, among other things, such Parent Supporting Shareholders will agree to vote the Parent Shares and any securities convertible, exercisable or exchangeable into Parent Shares held by them in favor of the Parent Shareholder Approval Matters; |
| G. | prior to the Effective Time, the Locked-Up Persons will enter into the Lock-Up Agreements pursuant to which, among other things, the Locked-Up Persons will agree to lock-up and not sell, transfer or otherwise dispose of their respective securities in the capital of Parent or AcquireCo, as applicable, for a period of 180 days after the Effective Date, subject to customary exceptions; |
| H. | the Parties intend that the plan of arrangement provide certain SRx Shareholders with the opportunity to exchange SRx Shares for Exchangeable Shares on a tax-deferred basis for Canadian Tax purposes; |
| I. | the Parties have entered into this Agreement to provide for the matters referred to in the foregoing recitals and for other matters relating to the Arrangement; and |
| J. | Capitalized terms used but not otherwise defined in these recitals have the meanings ascribed to such terms in Section 1.1. |
| 1 |
NOW THEREFORE in consideration of the covenants and agreements herein contained and other good and valuable consideration (the receipt and sufficiency of which are hereby acknowledged), the Parties hereto covenant and agree as follows:
Article
I.
INTERPRETATION
| 1.1. | Definitions |
In this Agreement, unless the context otherwise requires:
“Acceptable Confidentiality Agreement” has the meaning ascribed thereto in Section 7.3(a)(iv);
“AcquireCo” has the meaning ascribed thereto in the recitals above;
“Acquisition Proposal” means, with respect to SRx, an SRx Acquisition Proposal, and, with respect to Parent, a Parent Acquisition Proposal;
“affiliate” has the meaning ascribed thereto in the Securities Act;
“Agreement” means this Arrangement Agreement, including all schedules annexed hereto, together with the SRx Disclosure Letter and the Parent Disclosure Letter, as the same may be amended, supplemented or otherwise modified from time to time in accordance with the terms hereof;
“Alternative Acquisition Agreement” has the meaning ascribed thereto in Section 7.2(a)(iv);
“Arrangement” means the arrangement of SRx under Section 182 of the OBCA on the terms and subject to the conditions set out in the Plan of Arrangement, subject to any amendments or variations to the Plan of Arrangement made in accordance with the terms of this Agreement or Article 5 of the Plan of Arrangement or made at the direction of the Court in the Final Order with the consent of the Parties, each acting reasonably;
“Articles of Arrangement” means the articles of arrangement of SRx in respect of the Arrangement required by the OBCA to be sent to the Director after the Final Order is made, which shall be in a form and content satisfactory to the Parties, each acting reasonably;
“Authorization” means any authorization, order, Permit, approval, grant, license, registration, consent, right, notification, condition, franchise, privilege, certificate, judgment, writ, injunction, award, determination, direction, decision, decree, bylaw, rule or regulation, whether or not having the force of Law, and includes any environmental Permit;
“Business Day” means a day other than a Saturday, a Sunday or any other day on which commercial banking institutions in Toronto, Ontario or Tampa, Florida are authorized or required by applicable Law to be closed;
“CallCo” has the meaning ascribed thereto in the recitals above;
“Certificate of Arrangement” means the certificate of arrangement to be issued by the Director pursuant to subsection 183(2) of the OBCA in respect of the Articles of Arrangement;
“Change in Recommendation” means, with respect to SRx, an SRx Change in Recommendation and, with respect to Parent, a Parent Change in Recommendation;
“Claim” means (a) any suit, action, proceeding, dispute, investigation, claim, arbitration, order, summons, citation, directive, ticket, charge, demand or prosecution, whether legal or administrative; or (b) any appeal or application for review; whether at law or in equity or by any Governmental Entity;
| 2 |
“Computer Systems” means all computer hardware, Software, peripheral equipment, telecommunications systems and network systems that are used by a Party to operate its business;
“Confidentiality Agreement” means the confidentiality agreement between SRx and Parent, dated June 18, 2024, as amended from time to time;
“Consideration” means the consideration to be received by SRx Shareholders pursuant to the Plan of Arrangement in respect of each SRx Share that is issued and outstanding immediately prior to the Effective Time, being either the Parent Share Consideration or the Exchangeable Share Consideration, as elected in accordance with the Plan of Arrangement by an SRx Shareholder in respect of each SRx Share held;
“Contract” means any contract, agreement, license, franchise, lease, arrangement, commitment, joint venture, partnership or other right or obligation (written or, to the extent enforceable, oral) to which a Party or any of its subsidiaries is a party or by which it or any of its subsidiaries is bound or to which any of their respective properties or assets is subject;
“Court” means the Ontario Superior Court of Justice (Commercial List);
“Depositary” means Equity Stock Transfer LLC or such other Person appointed by SRx and Parent (each acting reasonably), for the purpose of, among other things, exchanging certificates representing SRx Shares for the Consideration;
“DGCL” means the Delaware General Corporation Law;
“Director” means the Director appointed pursuant to Section 278 of the OBCA;
“Dissent Rights” means the rights of dissent exercisable by the SRx Shareholders under Section 185 of the OBCA or as otherwise determined by the Court in the Interim Order in respect of the SRx Arrangement Resolution;
“Dissenting Shareholder” has the meaning ascribed thereto in the Plan of Arrangement;
“Effective Date” means the date shown on the Certificate of Arrangement giving effect to the Arrangement, which shall be no later than the Outside Date;
“Effective Time” has the meaning ascribed thereto in the Plan of Arrangement;
“Employee Plans” means all benefit or compensation plans, programs, policies, practices, contracts, agreements or other arrangements, covering current or former employees, directors or consultants of a Party, including employment, consulting, deferred compensation, equity, benefit, bonus, incentive, pension, retirement, savings, stock purchase, profit sharing, stock option, stock appreciation, phantom stock, termination, change of control, life insurance, medical, health, welfare, hospital, dental, vision care, drug, sick leave, disability, and similar plans, programs, arrangements or practices, whether or not in writing and whether or not funded, in each case, which is sponsored, maintained or contributed to by a Party or any of its affiliates, or to which a Party or any of its affiliates is obligated to contribute, or with respect to which a Party or any of its affiliates has any liability, direct or indirect, contingent or otherwise, other than benefit plans established pursuant to statute;
“Encumbrance” means any Claim, encumbrance, lien, charge, hypothec, pledge, mortgage, title retention agreement, security interest of any nature, adverse claim, exception, reservation, easement, right of occupation, option, right of pre-emption, privilege or any matter capable of registration against title or any Contract to create any of the foregoing;
| 3 |
“Environmental Laws” means all Laws aimed at, or relating to, the reclamation or restoration of properties, occupational health and safety, protection of the environment, abatement of pollution, protection of wildlife, ensuring public safety from environmental hazards and all other Laws relating to (a) the management processing, use, treatment, storage, disposal, discharge, transport or handling of any Hazardous Substances; (b) plant and animal life, (c) lands; or (d) other natural resources;
“Exchangeable Share Consideration” has the meaning ascribed thereto in the Plan of Arrangement;
“Exchange Ratio” has the meaning ascribed thereto in the Plan of Arrangement;
“Exchangeable Shares” means the exchangeable shares in the capital of AcquireCo as set forth in the articles of incorporation of AcquireCo, and which shall have rights, privileges, restrictions and conditions as agreed to by the Parties, acting reasonably;
“Exchange Time” has the meaning set out in the Plan of Arrangement;
“Final Order” means an order of the Court granted pursuant to Section 182(5) of the OBCA, in form and substance acceptable to each of the Parties, each acting reasonably, approving the Arrangement after a hearing upon the procedural and substantive fairness of the terms and conditions of the Arrangement, as such order may be affirmed, amended, modified, supplemented or varied by the Court (with the consent of the Parties, each acting reasonably) at any time prior to the Effective Date or, if appealed, as affirmed or amended (provided, however, that any such amendment is acceptable to the Parties, each acting reasonably) on appeal, unless such appeal is withdrawn, abandoned or denied;
“Governmental Entity” means (a) any multinational or supranational body or organization, nation, government, state, province, country, territory, municipality, administrative, judicial or regulatory authority, agency, board, body, bureau, commission, instrumentality, court or tribunal or any political subdivision thereof, or any central bank (or similar monetary or regulatory authority) thereof, any taxing authority, any ministry or department or agency of any of the foregoing, (b) any self-regulatory organization or securities exchange, including the NYSE American, (c) any entity exercising executive, legislative, judicial, regulatory or administrative functions of or pertaining to government and (d) any corporation or other entity owned or controlled, through stock or capital ownership or otherwise, by any of such entities or other bodies pursuant to the foregoing;
“Hazardous Substance” means any waste or other substance that is prohibited, listed, defined, designated or classified as hazardous, radioactive, corrosive, explosive, infectious, carcinogenic, or toxic or a pollutant or a contaminant under or pursuant to, or that could result in any Liability under, any applicable Environmental Laws;
“IFRS” means International Financial Reporting Standards;
“Intellectual Property” means domestic and foreign intellectual property rights, whether or not registrable, patentable or otherwise formally protectable, including: (a) inventions (whether patentable or unpatentable and whether or not reduced to practice), patents, applications for patents and reissues, divisions, continuations, renewals, extensions and continuations-in-part of patents or patent applications; (b) works, copyrights, copyright registrations and applications for copyright registration, including all moral rights or similar rights of authorship or attribution; (c) designs, design registrations, design registration applications and integrated circuit topographies; (d) trade names, business names, corporate names, domain names, website names and world wide web addresses, common law trade-marks, trade-mark registrations, trade-mark applications, trade dress and logos, and all goodwill related thereto; (e) know-how, trade secrets, proprietary information, algorithms, formulae, recipes, systems, compositions, manufacturing and production processes, methods and techniques and related documentation, clinical and testing data, customer and supplier information, and market and survey information; and (f) telephone numbers, domain names and social media identities, and the goodwill associated with any of the foregoing;
| 4 |
“Interim Order” means an order of the Court in form and substance acceptable to each of the Parties, acting reasonably, providing for, among other things, the calling and holding of the SRx Meeting, as the same may be amended by the Court with the consent of the Parties, each acting reasonably;
“IT Systems” means Computer Systems, hardware, servers, databases, Software, networks, telecommunications systems and related infrastructure;
“Key Regulatory Approvals” means those rulings, consents, orders, exemptions, Permits, Authorizations and other approvals of Governmental Entities, necessary to proceed with the transactions contemplated by this Agreement and the Plan of Arrangement, as listed in Schedule E hereto;
“Law” means, with respect to any Person, any and all applicable law (statutory, common, civil or otherwise), constitution, treaty, convention, ordinance, code, rule, regulation, order, injunction, judgment, decree, ruling or other similar requirement, whether domestic or foreign, enacted, adopted, promulgated or applied by a Governmental Entity that is binding upon or applicable to such Person or its business, property or securities, and to the extent that they have the force of law, policies, guidelines, notices and protocols of any Governmental Entity, as amended;
“Latest Balance Sheet Date” means June 30, 2024.
“Liability” means, in respect of any Person, any debt, liability or obligation of any kind or nature whatsoever, including (a) any right against such Person to payment, whether or not such right is reduced to judgment, liquidated, unliquidated, fixed, contingent, matured, unmatured, disputed, undisputed, legal, equitable, secured or unsecured, (b) any right against such Person to an equitable remedy for breach of performance, whether or not such right to any equitable remedy is reduced to judgment, fixed, contingent, matured, unmatured, disputed, undisputed, secured or unsecured, and (c) any obligation of such Person for the performance of any covenant or agreement (whether for the payment of money or otherwise);
“Lock-Up Agreements” means lock-up agreements, to be effective as of the Effective Time, among Parent and each of the Locked-Up Persons, pursuant to which, among other things, the Locked-Up Persons will agree to lock-up and not sell, transfer or otherwise dispose of their respective securities in the capital of Parent or AcquireCo, as applicable, for a period of 180 days after the Effective Date, subject to customary exceptions, in customary form and substance to be agreed upon by the Parties;
“Locked-Up Persons” means, in each case as of the Effective Time after giving effect to the transactions hereunder, all of the executive officers, directors and five percent (5%) shareholders of Parent (calculated on a fully-diluted basis, including issuance of Parent Shares upon exchange of the Exchangeable Shares, but disregarding any awards reserved but not yet issued under equity incentive plans);
“material change”, “material fact” and “misrepresentation” have the meanings ascribed thereto in the Securities Act;
“Material Contract” means any of the following for a Party:
| (a) | any material management, employment, severance, retention, transaction bonus, change in control, consulting, relocation, repatriation or expatriation agreement or other similar Contract; | |
| (b) | any Contract with any distributor, reseller or sales representative with an annual value in excess of CAD$100,000; | |
| (c) | any Contract with any manufacturer, vendor, or other Person for the supply of materials or performance of services by such third party to the Party in relation to the manufacture of the Party’s products or product candidates with an annual value in excess of CAD$100,000; |
| 5 |
| (d) | any agreement or plan, including any stock option plan, stock appreciation right plan or stock purchase plan, any of the benefits of which will be increased, or the vesting of benefits of which will be accelerated, by the occurrence of any of the transactions contemplated by this Agreement; | |
| (e) | any Contract incorporating or relating to any guaranty, any sharing of liabilities or any indemnity not entered into in the ordinary course of business, including any indemnification agreements between a Party and any of its officers or directors; | |
| (f) | any Contract imposing any restriction on the right or ability of the Party or that would by the terms of the Contract would impose any restriction on the right or ability of the Party: (i) to compete with any other Person; (ii) to acquire any product or other asset or any services from any other Person; (iii) to solicit, hire or retain any Person as a director, an officer or other employee, a consultant or an independent contractor; (iv) to develop, sell, supply, distribute, offer, support or service any product or any technology or other asset to or for any other Person; (v) to perform services for any other Person; or (vi) to transact business with any other Person; | |
| (g) | any Contract currently in force relating to the disposition or acquisition of assets not in the ordinary course of business or any ownership interest in any corporation, partnership, joint venture or other business enterprise; | |
| (h) | any mortgages, indentures, loans or credit agreements, security agreements or other agreements or instruments relating to the borrowing of money or extension of credit; | |
| (i) | any joint marketing or development agreement; | |
| (j) | any Contract that provides for: (i) any right of first refusal, right of first negotiation, right of first notification or similar right with respect to any securities or assets of the Party; (ii) any “no shop” provision or similar exclusivity provision with respect to any securities or assets of the Party; or (iii) contains most favored nation pricing provisions with any third party or any requirements or minimum purchase obligations of the Party; | |
| (k) | any Contract that contemplates or involves the payment or delivery of cash or other consideration in an amount or having a value in excess of CAD$100,000 or more in the aggregate, or contemplates or involves the performance of services having a value in excess of CAD$100,000 in the aggregate other than any arrangement or agreement expressly contemplated or provided for under this Agreement; | |
| (l) | any Contract that does not allow the Party to terminate the Contract for convenience with no more than sixty (60) days prior notice to the other party and without the payment of any rebate, chargeback, penalty or other amount to such third party in connection with any such termination in an amount or having a value in excess of CAD$100,000 in the aggregate; or | |
| (m) | with respect to Parent, any Contract that is a “material contract” as such term is defined in Item 601(b)(10) of Regulation S-K of the SEC; |
“New Employment Agreements” means new employment agreements, to be effective at the Effective Time, in form and substance reasonably acceptable to the Parties, between Parent or SRx, on the one hand, and such current employees of SRx as mutually agreed by the Parties, on the other hand.
“NYSE American” means the NYSE American stock exchange;
“OBCA” means the Business Corporations Act (Ontario);
| 6 |
“ordinary course of business” or any similar reference, means, with respect to an action taken by a Person, that such action is consistent with the past practices (in terms of nature, scope and magnitude) of such Person and is taken in the ordinary course of the normal day-to-day business and operations of such Person;
“Outside Date” means January 31, 2025 or such later date as may be agreed to in writing by the Parties; provided, however, that such initial January 31, 2025 date may be extended (a) by either Parent or SRx upon written notice to the other Party for up to thirty (30) days from such date or (b) upon mutual written agreement of Parent and SRx to such date as mutually agreed upon.
“Parent” has the meaning ascribed thereto in the recitals above;
“Parent Acquisition Proposal” means, other than the transactions contemplated by this Agreement and the Parent Regulation A Offering, any offer, proposal or inquiry from any Person or group of Persons acting jointly or in concert, whether or not in writing and whether or not delivered to Parent, after the date hereof relating to: (a) any acquisition or purchase, direct or indirect, of: (i) the assets of Parent or one or more of its subsidiaries that, individually or in the aggregate, constitute twenty percent (20%) or more of the consolidated assets of Parent and its subsidiaries, taken as a whole, or which contribute twenty percent (20%) or more of the consolidated revenue of Parent and its subsidiaries, taken as a whole (or any lease, long-term supply, hedging arrangement, joint venture, strategic alliance, partnership or other transaction having the same economic effect as a sale of such assets), or (ii) beneficial ownership of twenty percent (20%) or more of the issued and outstanding voting or equity securities of Parent or any one or more of its subsidiaries that, individually or in the aggregate, contribute twenty percent (20%) or more of the consolidated revenues or constitute twenty percent (20%) or more of the consolidated assets of Parent and its subsidiaries, taken as a whole; (b) any take-over bid, tender offer or exchange offer that, if consummated, would result in such Person or group of Persons beneficially owning twenty percent (20%) or more of the issued and outstanding voting or equity securities of any class of voting or equity securities of Parent or any of its subsidiaries; (c) any plan of arrangement, merger, amalgamation, consolidation, share exchange, business combination, reorganization, recapitalization, liquidation, dissolution or other similar transaction involving Parent or any of its subsidiaries; in all cases, whether in a single transaction or in a series of related transactions; (d) any direct or indirect sale of assets (or any alliance, joint venture, earn-in right, option to acquire, lease, license or other arrangement having a similar economic effect as a sale) by Parent or one or more of its subsidiaries, which assets represent twenty percent (20%) or more of the consolidated assets of Parent and its subsidiaries measured by fair market value, or contribute twenty percent (20%) or more of the consolidated revenue or operating income of Parent; or (e) any other transaction, the consummation of which prevents, or materially delays, impedes or interferes with, the transactions contemplated by this Agreement;
“Parent Amended and Restated Bylaws” means the Amended and Restated Bylaws of Parent, in the form and substance to be determined by SRx and reasonably acceptable to Parent;
“Parent Amended and Restated Certificate” means the Amended and Restated Certificate of Incorporation of Parent, which shall be in form and substance as determined by SRx and reasonably acceptable to Parent;
“Parent Board” means the board of directors of Parent as the same is constituted from time to time;
“Parent Board Matters” has the meaning ascribed thereto in Section 2.13(a)(i);
“Parent Board Recommendation” has the meaning ascribed thereto in Section 2.10(c)(iii);
“Parent Business” means the business and affairs of the Parent Group as described in the Parent Disclosure Documents;
“Parent Certificate of Designation” means the Certificate of Designation of Preferences, Rights and Limitations of the Special Voting Share, in the form and substance to be determined by SRx and reasonably acceptable to Parent;
| 7 |
“Parent Change in Recommendation” occurs or is made when, (a) the Parent Board or any committee of the Parent Board fails to unanimously recommend or withdraws, amends, modifies or qualifies, publicly proposes or states its intention to do so, or fails to publicly reaffirm (without qualification) within five (5) Business Days (and in any case prior to the Parent Meeting) after having been requested in writing by SRx to do so, the Parent Board Recommendation, or (b) the Parent Board or any committee of the Parent Board takes no position or a neutral position with respect to a Parent Acquisition Proposal for more than five (5) Business Days after a Parent Acquisition Proposal is made or publicly announced, or (c) the Parent Board or any committee of the Parent Board resolves or publicly proposes to take any of the foregoing actions;
“Parent Disclosure Documents” means all information, disclosure, forms, reports, schedules, statements, certifications and other documents, including all press releases, forms, reports, schedules, financial statements and notes and schedules to such financial statements, management’s discussion and analysis of financial condition and results of operations, certifications, annual information forms, management information circulars, material change reports, business acquisition reports and other documents publicly disclosed or filed by the Parent with the Securities Authorities since January 1, 2024;
“Parent Disclosure Letter” means the disclosure letter delivered by Parent, AcquireCo and CallCo to SRx prior to or concurrently with the execution of this Agreement;
“Parent Financial Advisor” means Strategic Capital Advisors Ltd;
“Parent Financial Statements” means (a) the audited consolidated financial statements of Parent for the years ended December 31, 2023 and December 31, 2022, including the auditor’s report thereon and the notes thereto; and (b) the unaudited interim consolidated financial statements of SRx for the six months ended June 30, 2024 and June 30, 2023;
“Parent Group” means Parent and all of its direct and indirect subsidiaries, including AcquireCo and CallCo;
“Parent Incentive Plan” means the Better Choice Company, Inc. Amended and Restated 2019 Incentive Award Plan;
“Parent Material Adverse Effect” means any effect, fact, change, event, occurrence or circumstance that is, or would reasonably be expected to be, material and adverse to the business, condition (financial or otherwise), properties, assets (tangible or intangible), liabilities (whether absolute, accrued, conditional or otherwise), capital, operations or results of operations of Parent and its subsidiaries, taken as a whole, other than any effect arising from, relating to or resulting from, as applicable: (a) the global economy, political conditions (including the outbreak of war or any acts of terrorism), international trade or securities, financial or credit markets in general, natural disasters or other acts of God; (b) the pet health industry in general, (c) any generally applicable change in applicable Law (other than orders, judgments, claims or decrees against Parent or any of its subsidiaries), or accounting standards or the enforcement or interpretation thereof; (d) a change in the market trading price or trading volume of Parent Shares (it being understood that the underlying cause of any such change may be taken into consideration when determining whether a Parent Material Adverse Effect has occurred, unless otherwise excepted under this definition); (e) the announcement of this Agreement, including the impact thereof on the relationships, contractual or otherwise, on Parent or its subsidiaries with customers, suppliers, business partners, regulators, vendors, Governmental Entities or other third Persons; (f) any action taken or refrained from being taken by Parent or its subsidiaries in connection with this Agreement, to the extent SRx has expressly consented to, approved or requested such action in writing following the date of this Agreement; and (g) any disease outbreaks, pandemics or epidemics or other related condition; provided, however, that (i) in the event that Parent and its subsidiaries, taken as a whole, are materially and disproportionately affected by an effect described in clause (a), (b), (c) or (g) above relative to other participants in the industries in which Parent and its subsidiaries operate, the extent (and only the extent) of such effect, relative to such other participants, on Parent or any of its subsidiaries, taken as a whole, may be taken into account in determining whether there has been a Parent Material Adverse Effect; and (ii) references in certain sections of this Agreement to dollar amounts are not intended to be, and shall not be deemed to be, illustrative or interpretive for the purposes of determining whether a “Parent Material Adverse Effect” has occurred;
| 8 |
“Parent Meeting” means the special meeting of Parent Shareholders, including any adjournment or postponement thereof, to be called and held in accordance with this Agreement, for the purpose of voting on the Parent Shareholder Approval Matters and for any other purpose as may be set out in the Parent Proxy Statement if and as agreed to by SRx;
“Parent Proxy Statement” shall mean the proxy statement to be sent to the Parent Shareholders in connection with the approval of the Parent Shareholder Approval Matters.
“Parent Record Date” has the meaning ascribed thereto in Section 2.10(b);
“Parent Regulation A Offering” means the securities offering contemplated by the Offering Statement initially filed by Parent with the SEC on August 30, 2024, as may be amended from time to time, being conducted pursuant to Regulation A promulgated under the Securities Act.
“Parent Share Consideration” has the meaning ascribed thereto to the term in the Plan of Arrangement;
“Parent Shareholder Approval” means the approval of the Parent Shareholder Approval Matters in accordance with the requirements of applicable Law;
“Parent Shareholder Approval Matters” has the meaning ascribed thereto in Section 2.11(a);
“Parent Shareholders” means the holders of Parent Shares;
“Parent Shares” means the shares of common stock of Parent;
“Parent Supporting Shareholders” means the executive officers and directors of Parent.
“Parent Tail Policy” has the meaning ascribed thereto in Section 5.5(a);
“Parent Voting Agreements” means the voting agreements to be entered into between SRx and the Parent Supporting Shareholders setting forth the terms and conditions upon which the Parent Supporting Shareholders will agree, among other things, to vote the Parent Shares and any securities convertible, exercisable or exchangeable into Parent Shares held by them in favor of the Parent Shareholder Approval Matters, in customary form and substance to be agreed upon by the Parties;
“Parties” means, collectively, SRx, Parent, AcquireCo and CallCo and “Party” means any one of them;
“Permit” means any license, permit, certificate, consent, order, grant, approval, agreement, classification, restriction, registration or other authorization of, from or required by any Governmental Entity;
“Permitted Encumbrance” means, with respect to a Party:
| (a) | assignments of insurance provided to landlords (or their mortgagees) pursuant to the terms of any lease to which the Party or any of its subsidiaries is the tenant; | |
| (b) | statutory liens for Taxes not yet due and payable and liens for Taxes, assessments and governmental charges due and being contested in good faith and diligently by appropriate proceedings and for the payment of which adequate provision has been made in the Party’s financial statements; | |
| (c) | registered servitudes, easements, restrictions, rights of way and other similar rights in real property or any interest therein, provided: (i) the same are not of such nature as to materially restrict, limit, impair or impede the use of the property subject thereto in the Party’s business; and (ii) each such encumbrance has been complied with and is in good standing; |
| 9 |
| (d) | security given in the ordinary course of the Party’s business to any public utility, municipality or government or to any statutory or public authority in connection with the operations of the Party’s business, other than security for borrowed money, provided that such security does not materially restrict, limit, impair of impede the ability of the Party or any of its subsidiaries to carry on its business; and | |
| (e) | undetermined or inchoate liens, charges and privileges incidental to current construction or current operations and statutory liens, charges, adverse Claims, security interests or Encumbrances to which any Governmental Entity may be entitled that have not at the time been filed or registered against the title to the asset or served upon the owner or lessee of the property subject thereto pursuant to Law and that relate to obligations not due or delinquent, provided that they do not materially restrict, limit, impair of impede the ability of the Party or any of its subsidiaries to carry on its business; |
“Person” includes any individual, firm, partnership, limited partnership, limited liability partnership, joint venture, venture capital fund, limited liability company, unlimited liability company, association, trust, trustee, executor, administrator, legal personal representative, estate, body corporate, corporation, company, unincorporated association or organization, Governmental Entity, syndicate or other entity, whether or not having legal status;
“Personal Information” means any information (regardless of form) that relates to an identified or identifiable individual; an identifiable individual is one who can be identified, directly or indirectly, in particular by reference to an identifier, such as a name, an identification number, location data, an online identifier or to one or more factors specific to the physical, physiological, genetic, mental, economic, cultural or social identity of that natural person; or any other information about an individual that is defined as “personal data” or “personal information” by applicable Law. Personal Information may include information such as name, street address, telephone number, e-mail address, photograph, date of birth, social security / insurance number, driver’s license number or data collected through an automated license plate recognition system, passport number, financial account information, username and password combinations or customer or account number, geolocation information of an individual or device, biometric data, medical or health information, cookie identifiers associated with registration information, or any other browser- or device-specific number or identifier, and web or mobile browsing or usage information that is linked to the foregoing;
“Plan of Arrangement” means the plan of arrangement of SRx, substantially in the form of Schedule A hereto, and any amendments or variations thereto made from time to time in accordance with this Agreement, the plan of arrangement or upon the direction of the Court in the Final Order with the consent of the Parties, each acting reasonably;
“Proceeding” means any action, cause of action, claim, demand, litigation, suit, investigation, citation, summons, subpoena, audit, hearing, originating application to a tribunal, arbitration or other similar proceeding of any nature, civil, criminal, regulatory, administrative or otherwise, whether in equity or at law, in contract, in tort or otherwise;
“Processing” means any operation or set of operations that is performed upon data or information, whether or not by automatic means, including collection, access, acquisition, creation, derivation, recordation, organization, storage, adaptation, alteration, modification, correction, retrieval, maintenance, consultation, use, disclosure, dissemination, transmission, transfer, sale, making available, alignment, combination, blocking, storage, retention, deleting, disposal, erasure, destruction, or any other processing (as defined under any Law to which a Party is subject) of such data or information;
“Reorganization” has the meaning ascribed thereto in Section 2.19.
| 10 |
“Representative” means, collectively, in respect of a Person, its subsidiaries and its affiliates and its and their officers, directors, employees, consultants, advisors, agents or other representatives (including financial, legal or other advisors);
“Reverse Split” has the meaning ascribed thereto in Section 2.14;
“SEC” means the U.S. Securities and Exchange Commission;
“SEC Clearance Date” has the meaning ascribed thereto in Section 2.10(b);
“Section 3(a)(10) Exemption” means the exemption from the registration requirements of the U.S. Securities Act provided by section 3(a)(10) thereof;
“Securities Act” means the Securities Act (Ontario) and the rules, regulations, instruments (including national and multilateral instruments) and published policies made thereunder, as now in effect and as they may be promulgated or amended from time to time;
“Securities Authorities” means all securities regulatory authorities (including the applicable securities commission or similar regulatory authorities in the United States and each of the provinces and territories of Canada), the SEC and the NYSE American, that are applicable to SRx or Parent, as the case may be;
“Securities Laws” means the Securities Act, together with all other applicable Canadian provincial securities laws, the U.S. Securities Act, the U.S. Exchange Act, the Sarbanes-Oxley Act of 2002, and applicable securities laws of the United States and the states thereof, and the rules and regulations and published policies of the securities authorities thereunder, as now in effect and as they may be promulgated or amended from time to time, and includes the rules and policies of the NYSE American, that are applicable to SRx or Parent, as the case may be;
“Security Breach” means any: (a) loss of Personal Information; (b) unauthorized or unlawful Processing, or corruption of Personal Information, or unauthorized access to the IT Systems; (c) other incident that has compromised the privacy, confidentiality or security of Personal Information or the security or operation of the IT Systems; or (d) any other incident that may require notification to any Person, any Governmental Entity or any entity under any Law to which a Party is subject;
“Spin-Out” “has the meaning ascribed thereto in Section 5.6(b);
“Spin-Out SPV” “has the meaning ascribed thereto in Section 5.6(a);
“Software” means computer software and programs (both source code and object code form), all proprietary rights in the computer software and programs and all documentation and other materials related to the computer software and programs;
“Special Voting Share” means the special voting share of Parent having substantially the rights, privileges, restrictions and conditions described in the Voting Trust Agreement and the Parent Certificate of Designation which rights, privileges, restrictions and conditions shall be agreed to by the Parties, acting reasonably;
“SRx” has the meaning ascribed thereto in the recitals above;
| 11 |
“SRx Acquisition Proposal” means, other than the transactions contemplated by this Agreement, any offer, proposal or inquiry from any Person or group of Persons acting jointly or in concert, whether or not in writing and whether or not delivered to SRx, after the date hereof relating to: (a) any acquisition or purchase, direct or indirect, of: (i) the assets of SRx or one or more of its subsidiaries that, individually or in the aggregate, constitute twenty percent (20%) or more of the consolidated assets of SRx and its subsidiaries, taken as a whole, or which contribute twenty percent (20%) or more of the consolidated revenue of SRx and its subsidiaries, taken as a whole (or any lease, long-term supply, hedging arrangement, joint venture, strategic alliance, partnership or other transaction having the same economic effect as a sale of such assets), or (ii) beneficial ownership of twenty percent (20%) or more of the issued and outstanding voting or equity securities of SRx or any one or more of its subsidiaries that, individually or in the aggregate, contribute twenty percent (20%) or more of the consolidated revenues or constitute twenty percent (20%) or more of the consolidated assets of SRx and its subsidiaries, taken as a whole; (b) any take-over bid, tender offer or exchange offer that, if consummated, would result in such Person or group of Persons beneficially owning twenty percent (20%) or more of the issued and outstanding voting or equity securities of any class of voting or equity securities of SRx or any of its subsidiaries; (c) any plan of arrangement, merger, amalgamation, consolidation, share exchange, business combination, reorganization, recapitalization, liquidation, dissolution or other similar transaction involving SRx or any of its subsidiaries; in all cases, whether in a single transaction or in a series of related transactions; or (d) any direct or indirect sale of assets (or any alliance, joint venture, earn-in right, option to acquire, lease, license or other arrangement having a similar economic effect as a sale) by SRx or one or more of its subsidiaries, which assets represent twenty percent (20%) or more of the consolidated assets of SRx and its subsidiaries measured by fair market value, or contribute twenty percent (20%) or more of the consolidated revenue or operating income of SRx; or (e) any other transaction, the consummation of which prevents, or materially delays, impedes or interferes with, the transactions contemplated by this Agreement;
“SRx Arrangement Resolution” means the special resolution of the SRx Securityholders approving the Plan of Arrangement, which is to be considered at the SRx Meeting in the form of Schedule B hereto (unless Parent agrees in writing to any changes to such form);
“SRx Board” means the board of directors of SRx as the same is constituted from time to time;
“SRx Board Recommendation” has the meaning ascribed thereto in Section 2.5(b)(i);
“SRx Business” means the business and affairs of the SRx Group, being a Canadian healthcare service provider specializing in the specialty pharmacy of the pharmaceutical industry;
“SRx Change in Recommendation” occurs or is made when, (a) the SRx Board or any committee of the SRx Board fails to unanimously recommend or withdraws, amends, modifies or qualifies, publicly proposes or states its intention to do so, or fails to publicly reaffirm (without qualification) within five (5) Business Days (and in any case prior to the SRx Meeting) after having been requested in writing by the Parent to do so, the SRx Board Recommendation, or (b) the SRx Board or any committee of the SRx Board takes no position or a neutral position with respect to an SRx Acquisition Proposal for more than five (5) Business Days after an SRx Acquisition Proposal is made or publicly announced, or (iii) the SRx Board or any committee of the SRx Board resolves or publicly proposes to take any of the foregoing actions;
“SRx Circular” means the notice of the SRx Meeting and accompanying management information circular, including all schedules, appendices and exhibits thereto and enclosures therewith, to be sent to the SRx Securityholders, as required by the Court in the Interim Order, in connection with the SRx Meeting, as amended, supplemented or otherwise modified from time to time in accordance with the terms of this Agreement;
“SRx Disclosure Letter” means the disclosure letter delivered by SRx to Parent prior to or concurrently with the execution of this Agreement;
“SRx Financial Statements” means (a) the audited consolidated financial statements of SRx for the years ended September 30, 2023 and September 30, 2022, including the auditor’s report thereon and the notes thereto; and (b) the unaudited interim consolidated financial statements of SRx for the nine (9) months ended June 30, 2024 and June 30, 2023;
“SRx Group” means SRx and all of its direct and indirect subsidiaries;
| 12 |
“SRx Material Adverse Effect” means any effect, fact, change, event, occurrence or circumstance that is, or would reasonably be expected to be, material and adverse to the business, condition (financial or otherwise), properties, assets (tangible or intangible), liabilities (whether absolute, accrued, conditional or otherwise), capital, operations or results of operations of SRx and its subsidiaries, taken as a whole, other than any effect arising from, relating to or resulting from, as applicable: (a) the global economy, political conditions (including the outbreak of war or any acts of terrorism), international trade or securities, financial or credit markets in general, natural disasters or other acts of God; (b) the healthcare industry in general, (c) any generally applicable change in applicable Law (other than orders, judgments, claims or decrees against SRx or any of its subsidiaries), or accounting standards or the enforcement or interpretation thereof; (d) the announcement of this Agreement, including the impact thereof on the relationships, contractual or otherwise, on SRx or its subsidiaries with customers, suppliers, business partners, regulators, vendors, Governmental Entities or other third Persons; (e) any action taken or refrained from being taken by SRx or its subsidiaries in connection with this Agreement, to the extent Parent has expressly consented to, approved or requested such action in writing following the date of this Agreement and (f) any disease outbreaks, pandemics or epidemics or other related condition; provided, however, that (i) in the event that SRx and its subsidiaries, taken as a whole, are materially and disproportionately affected by an effect described in clause (a), (b), (c) or (f) above relative to other participants in the industries in which SRx and its subsidiaries operate, the extent (and only the extent) of such effect, relative to such other participants, on SRx or any of its subsidiaries, taken as a whole, may be taken into account in determining whether there has been an SRx Material Adverse Effect; and (ii) references in certain sections of this Agreement to dollar amounts are not intended to be, and shall not be deemed to be, illustrative or interpretive for the purposes of determining whether a “SRx Material Adverse Effect” has occurred;
“SRx Meeting” means the special meeting of SRx Securityholders, including any adjournment or postponement thereof, to be called and held in accordance with the Interim Order to consider the SRx Arrangement Resolution, and for any other purpose as may be set out in the SRx Circular;
“SRx Net Debt” means an amount equal to (a) the aggregate indebtedness for borrowed money of SRx (including accrued interest and prepayment penalties, if applicable) as of 12:01 a.m. ET on the date that is five (5) Business Days before the closing of the Arrangement, minus (b) all cash and cash equivalents of SRx (including money market accounts, money market funds, money market instruments), including cash in transit and all such cash and cash equivalents held by third-party processors, as of 12:01 a.m. ET on the date that is five (5) Business Days before the closing of the Arrangement. For greater clarity, and without limiting the generality of the foregoing, the aggregate indebtedness for borrowed money of SRx shall include all amounts owed under (i) that certain Credit Agreement, dated September 14, 2023, by and among SRx, the guarantors and lenders named therein, and CWB Maximum Financial Inc., as administrative agent, and (ii) certain unsecured convertible debentures issued by SRx between November 2022 and January 2023, in each case to the extent unpaid as of 12:01 a.m. ET on the date that is five (5) Business Days before the closing of the Arrangement.
“SRx RSU” means a restricted stock unit of SRx;
“SRx RSU Holders” means the holders of SRx RSUs;
“SRx Securityholders” means SRx Shareholders, SRx RSU Holders and SRx Warrantholders;
“SRx Securityholder Approval” has the meaning ascribed thereto in Section 2.3(c);
“SRx Shareholders” means the holders of SRx Shares;
“SRx Shares” means the common shares in the capital of SRx;
“SRx Supporting Shareholders” means those SRx shareholders set forth on Schedule G hereto.
“SRx Tail Policy” has the meaning ascribed thereto in Section 5.5(b);
| 13 |
“SRx Voting Agreements” means the voting agreements entered into, or to be entered into, between Parent and the SRx Supporting Shareholders setting forth the terms and conditions upon which the SRx Supporting Shareholders have agreed, or will agree, among other things, to vote the SRx Shares and any securities convertible, exercisable or exchangeable into SRx Shares held by them in favor of the SRx Arrangement Resolution, substantially in the form and substance of Schedule F hereto;
“SRx Warrantholders” means the holders of SRx Warrants;
“SRx Warrants” means, as may be outstanding at any time, common share purchase warrants to acquire SRx Shares;
“subsidiary” has the meaning ascribed thereto in the National Instrument 45-106 - Prospectus Exemptions;
“Superior Proposal” means any unsolicited bona fide written Parent Acquisition Proposal from a Person who is an arm’s length third party to acquire not less than all of the outstanding Parent Shares or all or substantially all of the assets of the Parent on a consolidated basis that: (a) complies with Securities Laws and did not result from or involve a breach of Article VII; (b) is capable of being completed without undue delay, taking into account, all financial, legal, regulatory and other aspects of such proposal and the Person making such proposal; (c) if any consideration is cash, is not subject to any financing contingency or condition; (d) is not subject to any due diligence or access condition; (e) does not provide for the payment of any break, termination or other fees or expenses to the other party in the event that the Parent completes the Arrangement or any similar other transaction with SRx or any of its affiliates agreed prior to any termination of this Agreement and (f) that the Parent Board determines, in its good faith judgment, after receiving the advice of its outside legal and financial advisors and after taking into account all the terms and conditions of the Parent Acquisition Proposal, including all legal, financial, regulatory and other aspects of such Parent Acquisition Proposal and the party making such Parent Acquisition Proposal, (i) would, if consummated in accordance with its terms, but without assuming away the risk of non-completion, result in a transaction which is more favorable, from a financial point of view, to the Parent Shareholders than the Arrangement (including any amendments to the terms and conditions of the Arrangement proposed by SRx pursuant to Section 7.4(b)), and (ii) the failure to recommend such Parent Acquisition Proposal to the Parent Shareholders would be contrary to the fiduciary duties of the Parent Board;
“Superior Proposal Matching Period” has the meaning ascribed thereto in Section 7.4(a)(i)(D);
“Superior Proposal Notice” has the meaning ascribed thereto in Section 7.4(a)(i)(C);
“Support Agreement” means an agreement to be made among Parent, AcquireCo and CallCo in connection with the Plan of Arrangement in a form as agreed between the Parties, acting reasonably;
“Tax Act” means the Income Tax Act (Canada) and the regulations made thereunder, as now in effect and as they may be promulgated or amended from time to time;
“Tax Returns” means all domestic and foreign federal, state, provincial, territorial, municipal and local returns, reports, declarations, disclosures, elections, notices, filings, forms, statements, information statements and other documents (whether in tangible, electronic or other form) and including any amendments, schedules, attachments, supplements, appendices and exhibits thereto, made, prepared, filed or required to be made, prepared or filed by Law in respect of Taxes;
“Taxes” means any and all domestic and foreign federal, state, provincial, municipal, territorial and local taxes, assessments and other governmental charges, duties, fees, levies, impositions and liabilities imposed by any Governmental Entity (whether payable directly or by withholding and whether or not requiring the filing of a Tax Return), including pension plan contributions, tax instalment payments, unemployment insurance contributions and employment insurance contributions, disability, severance, social security, workers’ compensation and deductions at source, including taxes based on or measured by gross receipts, income, profits, sales, capital, use, and occupation, and including goods and services, value added, ad valorem, sales, capital gains, capital stock, windfall profits, premium, transfer, franchise, stamp, license, non-resident withholding, customs, payroll, recapture, employment, excise and property duties and taxes, together with all estimated taxes, deficiency assessments, interest, penalties, fines and additions to tax imposed with respect to such amounts, and shall include any liability for such amounts as a result of (i) being a transferee or successor or member of a combined, consolidated, unitary or affiliated group, or (ii) a contractual obligation to indemnify any Person or other entity;
| 14 |
“Termination Payment” means an amount equal to US$3,200,000;
“Transaction Personal Information” has the meaning ascribed thereto in Section 9.1;
“U.S. Exchange Act” means the United States Securities Exchange Act of 1934, as amended, and the rules and regulations promulgated thereunder;
“U.S. GAAP” means United States generally accepted accounting principles;
“U.S. Securities Act” means the United States Securities Act of 1933, as amended, and the rules and regulations promulgated thereunder;
“United States” and “U.S.” means the United States of America, its territories and possessions, any state of the United States and the District of Columbia; and
“Voting Trust Agreement” means an agreement to be made among Parent, AcquireCo and such Person as may be appointed by SRx and Parent (each acting reasonably), as trustee, in connection with the Plan of Arrangement, in a form as agreed between the Parties, acting reasonably.
| 1.2. | Interpretation |
For the purposes of this Agreement, except as otherwise expressly provided:
| (a) | “this Agreement” means this Arrangement Agreement, including the recitals and Schedules hereto, and not any particular Article, Section, Section or other subdivision, recital or Schedule hereof, and includes any agreement, document or instrument entered into, made or delivered pursuant to the terms hereof, as the same may, from time to time, be supplemented or amended and in effect; | |
| (b) | the words “hereof”, “herein”, “hereto” and “hereunder” and other words of similar import refer to this Agreement as a whole and not to any particular Article, Section, Section, or other subdivision, recital or appendix hereof; | |
| (c) | the word “including” means including without limitation, and “include” and “includes” have a corresponding meaning; | |
| (d) | the word “or” is inclusive and not exclusive; | |
| (e) | all references in this Agreement to a designated “Article”, “Section” or other subdivision, recital or “Schedule” hereof are references to the designated Article, Section or other subdivision, recital or Schedule to, this Agreement; | |
| (f) | a reference to a statute in this Agreement includes all regulations, rules, policies or instruments made thereunder, all amendments to the statute, regulations, rules, policies or instruments in force from time to time, and any statutes, regulations, rules, policies or instruments that supplement or supersede such statute, regulations, rules, policies or instruments; | |
| (g) | the division of this Agreement into Articles, Sections and other subdivisions, recitals or Schedules, the inclusion of a table of contents and the insertion of headings and captions are for convenience of reference only and are not intended to interpret, define or limit the scope, extent or intent of this Agreement or any provision hereof; and |
| 15 |
| (h) | Any reference in a particular Section of the SRx Disclosure Letter or Parent Disclosure Letter shall be deemed to be an exception to (or, as applicable, a disclosure for purposes of) (i) the representations and warranties or covenants, as applicable, of SRx or Parent, AcquireCo and CallCo, as applicable, that are contained in the corresponding Section of this Agreement and (ii) all other representations, warranties and covenants of SRx or Parent, AcquireCo and CallCo, as applicable, that are contained in this Agreement if the relevance of that reference as an exception to (or a disclosure for purposes of) such representations, warranties and covenants would be reasonably apparent based on the content and context of such disclosure that such information, item or matter is relevant to such other section or subsection. The listing of any matter on the SRx Disclosure Letter or Parent Disclosure Letter shall not be deemed to constitute an admission by SRx or Parent, AcquireCo and CallCo, as applicable, or to otherwise imply, that any such matter is material, is required to be disclosed by SRx or Parent, AcquireCo and CallCo, as applicable, under this Agreement or falls within relevant minimum thresholds or materiality standards set forth in this Agreement. No disclosure in the SRx Disclosure Letter or Parent Disclosure Letter relating to any possible breach or violation by SRx or Parent, AcquireCo and CallCo, as applicable, of any Contract or applicable Law, the enforceability of any Contract, the existence or non-existence of third-party rights or similar matters or statements shall be construed as an admission or indication with respect to any of the foregoing. All disclosures in SRx Disclosure Letter or Parent Disclosure Letter are intended only to allocate rights and risks between the Parties and are not intended to be admissible against any Party by any Person who is not a party to this Agreement, or give rise to any claim or benefit to any Person who is not a party to this Agreement. |
| 1.3. | Number, Gender and Persons |
In this Agreement, unless the context otherwise requires, words importing the singular shall include the plural and vice versa, words importing the use of either gender shall include both genders and neuters.
| 1.4. | Date for Any Action |
If the date on which any action is required to be taken hereunder by a Party is not a Business Day, such action shall be required to be taken on the next succeeding day which is a Business Day.
| 1.5. | Currency |
Unless otherwise stated, all references in this Agreement to sums of money are expressed in lawful money of Canada, and “$” or “CAD$” refers to Canadian dollars. “US$” refers to the lawful money of the United States.
| 1.6. | Accounting Matters |
Unless otherwise stated, all accounting terms used in this Agreement in respect of SRx shall have the meanings attributable thereto under IFRS, and all determinations of an accounting nature in respect of SRx, required to be made shall be made in a manner consistent with IFRS consistently applied.
Unless otherwise stated, all accounting terms used in this Agreement in respect of Parent, AcquireCo and CallCo shall have the meanings attributable thereto under U.S. GAAP, and all determinations of an accounting nature in respect of Parent, AcquireCo and CallCo required to be made shall be made in a manner consistent with U.S. GAAP consistently applied.
| 16 |
| 1.7. | Knowledge |
Where any representation or warranty in this Agreement is expressly qualified by reference to the knowledge of SRx, it shall be deemed to refer to the actual knowledge, after making reasonable inquiries regarding the relevant subject matter, of any of the President & Chief Executive Officer and the Chief Financial Officer, in each case as of the date hereof.
Where any representation or warranty in this Agreement is expressly qualified by reference to the knowledge of Parent, AcquireCo or CallCo, it shall be deemed to refer to the actual knowledge, after making reasonable inquiries regarding the relevant subject matter, of any of the Chief Executive Officer, the Chief Financial Officer and the Chair of the Parent Board, in each case as of the date hereof.
| 1.8. | Schedules |
The Schedules annexed to this Agreement are incorporated by reference into this Agreement and form a part hereof.
Article
II.
THE ARRANGEMENT
| 2.1. | Arrangement |
The Parties agree that the Arrangement will be implemented in accordance with and subject to the terms and conditions contained in this Agreement and the Plan of Arrangement, pursuant to which (among other things) each SRx Shareholder (other than SRx Shareholders who have validly exercised Dissent Rights) shall receive the Consideration for each SRx Share held.
| 2.2. | Obligations of SRx |
Subject to the terms and conditions of this Agreement, SRx will take all actions reasonably needed to facilitate the Arrangement in accordance with all applicable Law, including Securities Laws, to:
| (a) | apply for and diligently prosecute a motion to the Court for the Interim Order in connection with the application for the Final Order in respect of the Arrangement; | |
| (b) | in accordance with the terms of and the procedures contained in the Interim Order, duly call, give notice of, convene and hold the SRx Meeting as soon as practicable after the date hereof; | |
| (c) | solicit proxies of the SRx Shareholders in favor of the SRx Arrangement Resolution and against any resolution or proposal submitted by any Person that is inconsistent with the SRx Arrangement Resolution or that would reasonably be expected to materially impair, delay or impede the completion of any of the transactions contemplated by this Agreement; | |
| (d) | fix the date of the SRx Meeting, which date shall be no later than thirty-five (35) days following the SEC Clearance Date, give notice to Parent of the SRx Meeting, and allow Parent and Parent’s Representatives (including legal counsel) to attend the SRx Meeting; | |
| (e) | subject to obtaining the approvals as contemplated in the Interim Order and as may be directed by the Court in the Interim Order, take all steps necessary to submit the Arrangement to the Court and appear at Court to seek the Final Order as soon as reasonably practicable (and, in any event, within five (5) Business Days following the approval of the SRx Arrangement Resolution at the SRx Meeting); | |
| (f) | deliver the Articles of Arrangement to the Director in accordance with Section 2.8 upon satisfaction or waiver of the conditions set out in Article VI; and | |
| (g) | consult with Parent in respect of the actions as set out in this Article II, including providing Parent with a reasonable opportunity to comment on all draft documentation prepared by SRx in connection with the foregoing, and to give due consideration to and act reasonably with respect to adopting such comments. |
| 17 |
| 2.3. | Interim Order |
As soon as reasonably practicable after the date of this Agreement, and in any event no later than three (3) Business Days following the SEC Clearance Date, SRx shall apply to the Court in a manner and on terms acceptable to Parent, acting reasonably, pursuant to Section 182 of the OBCA and, in cooperation with Parent, prepare, file and diligently pursue an application for the Interim Order, which shall provide, among other things:
| (a) | for the class of Persons to whom notice is to be provided in respect of the Arrangement and the SRx Meeting and for the manner in which such notice is to be provided; | |
| (b) | for a fixed record date for the purposes of determining the SRx Securityholders entitled to receive notice of and vote at the SRx Meeting, which date shall be the close of business on the Business Day immediately preceding the day on which the SRx Circular is mailed to the SRx Shareholders; | |
| (c) | that the requisite approval for the SRx Arrangement Resolution shall be two-thirds of the votes cast by the SRx Shareholders and the SRx Warrantholders, voting together as a single class (on an as-converted to SRx Share basis in the case of the SRx Warrants), present in person or by proxy at the SRx Meeting (collectively, “SRx Securityholder Approval”); | |
| (d) | that, in all other respects, the terms, conditions and restrictions of the constating documents of SRx relating to a meeting of SRx Shareholders, including quorum requirements, shall apply in respect of the SRx Meeting; | |
| (e) | for the grant of Dissent Rights to the SRx Shareholders who are registered SRx Shareholders, as set out in the Plan of Arrangement; | |
| (f) | for the notice requirements with respect to the presentation of the application to the Court for the Final Order; | |
| (g) | that the SRx Meeting may be adjourned or postponed from time to time by SRx in accordance with the terms of this Agreement without the need for additional approval of the Court; | |
| (h) | that the Parties intend to rely upon the Section 3(a)(10) Exemption, subject to and conditioned on the Court’s determination that the Arrangement is substantively and procedurally fair to the SRx Securityholders, with respect to the issuance of the Consideration to the SRx Securityholders pursuant to the Arrangement (including pursuant to the exchange of Exchangeable Shares), to implement the transactions contemplated hereby in respect of the SRx Securityholders; | |
| (i) | that each SRx Securityholder shall have the right to appear before the Court at the hearing of the Court to approve the application for the Final Order so long as they enter a notice of appearance within a reasonable time; and | |
| (j) | for such other matters as Parent or SRx may reasonably require, subject to obtaining the prior consent of SRx or Parent, respectively, such consent not to be unreasonably withheld or delayed provided that such other matters would not reasonably be expected to materially impair, delay or impede the completion of the transactions contemplated by this Agreement. |
| 18 |
| 2.4. | SRx Meeting |
Subject to the terms of this Agreement:
| (a) | SRx agrees to convene and conduct the SRx Meeting in accordance with the Interim Order, the constating documents of SRx and applicable Law as soon as practicable, and in any event no later than thirty-five (35) days following the SEC Clearance Date; | |
| (b) | SRx will promptly advise Parent on a daily basis on each of the last ten (10) Business Days prior to the date of the SRx Meeting as to the aggregate tally of the proxies received by SRx in respect of the SRx Arrangement Resolution; | |
| (c) | SRx will promptly advise Parent of any written communication from or written claims brought by (or threatened in writing, to be brought by) any SRx Securityholder or any other Person in opposition to the Arrangement, the SRx Arrangement Resolution or any exercise or purported exercise by any SRx Shareholder of Dissent Rights received by SRx and any withdrawal of Dissent Rights received by SRx and any written communications sent by or on behalf of SRx to any SRx Shareholder exercising or purporting to exercise Dissent Rights; and | |
| (d) | except as required by applicable Law, SRx will not propose or submit for consideration at the SRx Meeting any business other than the approval of the SRx Arrangement Resolution without Parent’s prior written consent, which consent shall not be unreasonably withheld or delayed provided that such business would not reasonably be expected to materially impair, delay or impede the completion of the transactions contemplated by this Agreement. |
| 2.5. | SRx Circular |
| (a) | As soon as reasonably practicable following execution of this Agreement, but subject to Section 2.5(c), SRx shall (i) prepare, in consultation with Parent, the SRx Circular, together with any other documents required by applicable Law and (ii) following receipt of the Interim Order, cause the SRx Circular to be sent to SRx Securityholders and any other Person as required by the Interim Order and applicable Law, and, in each case so as to permit the SRx Meeting to be held by the date specified in Section 2.4(a). SRx shall ensure that the SRx Circular complies in all material respects with all applicable Law, does not include any misrepresentation (other than with respect to any information relating solely to Parent, AcquireCo or CallCo and provided by Parent in writing specifically for inclusion in the SRx Circular) and contains sufficient detail to permit the SRx Securityholders, to form a reasoned judgment concerning the Arrangement and the SRx Arrangement Resolution to be placed before them at the SRx Meeting. SRx shall be permitted to append to the SRx Circular all of, or selected extracts from, the Parent Proxy Statement. |
| (b) | SRx shall disclose in the SRx Circular: |
| (i) | that the SRx Board has unanimously determined, after receiving financial and legal advice, that (A) the Arrangement is fair and reasonable to the SRx Shareholders, (B) the Arrangement is in the best interests of SRx, and (C) the SRx Board unanimously recommends that the SRx Securityholders vote in favor of the SRx Arrangement Resolution (the “SRx Board Recommendation”); | |
| (ii) | that each SRx Supporting Shareholder has signed an SRx Voting Agreement and agreed to vote all of such Person’s SRx Shares (including any SRx Shares issued upon the exercise of any securities convertible, exercisable or exchangeable into or for SRx Shares) in favor of the SRx Arrangement Resolution, and against any resolution submitted by any Person that is inconsistent with the Arrangement, subject to the other terms of the SRx Voting Agreements; and | |
| (iii) | such information as may be required to allow Parent and AcquireCo to rely upon the Section 3(a)(10) Exemption with respect to the issuance of the Consideration. |
| 19 |
| (c) | Parent shall promptly provide to SRx all information regarding Parent or its subsidiaries and affiliates, as required by the Interim Order and applicable Law for inclusion in the SRx Circular, or in any amendments or supplements to such SRx Circular. Parent shall ensure that no such information provided by Parent specifically for inclusion in the SRx Circular will contain any misrepresentation concerning Parent. | |
| (d) | Parent and its legal counsel shall be given a reasonable opportunity to review and comment on the SRx Circular and all such other documents required to be filed or distributed to SRx Shareholders under applicable Laws in connection with the Arrangement. SRx and its legal counsel will incorporate all reasonable comments of Parent and its legal counsel into the SRx Circular and all such other documents. The SRx Circular and all such other documents shall be satisfactory to Parent, acting reasonably, before they are printed, or distributed to SRx Shareholders or filed with any Governmental Entity. SRx agrees that all information relating solely to Parent and its subsidiaries and affiliates included in the SRx Circular must be in a form and content satisfactory to Parent. | |
| (e) | Each of SRx and Parent shall promptly notify the other Party if at any time before the Effective Date either becomes aware that the SRx Circular contains a misrepresentation, or otherwise requires an amendment or supplement. The Parties shall co-operate in the preparation of any amendment or supplement to the SRx Circular as required or appropriate, and SRx shall promptly mail or otherwise publicly disseminate any amendment or supplement to the SRx Circular to SRx Securityholders and, if required by the Court or applicable Law, file the same with any Governmental Entity and as otherwise required. |
| 2.6. | Final Order |
If the Interim Order is obtained and the SRx Arrangement Resolution is passed at the SRx Meeting in accordance with applicable Law and the Interim Order, then SRx shall take all steps necessary or desirable to submit the Arrangement to the Court as soon as practicable (and, in any event, within five (5) Business Days following the SRx Meeting) and apply to the Court for the Final Order pursuant to Section 185 of the OBCA approving the Arrangement on terms reasonably satisfactory to each of SRx and Parent.
| 2.7. | Court Proceedings |
Subject to the terms of this Agreement, SRx shall diligently pursue, and SRx and Parent shall cooperate with each other in pursuing, the Interim Order and the Final Order. SRx will provide Parent and its legal counsel with a reasonable opportunity to review and comment upon drafts of all material to be filed with the Court in connection with the Interim Order and the Final Order and will incorporate all reasonable comments of Parent and its counsel. SRx will ensure that all materials filed with the Court in connection with the Arrangement are consistent with this Agreement and the Plan of Arrangement. Subject to applicable Law, SRx will not file any material with the Court in connection with the Arrangement or serve any such material, and will not agree to modify or amend materials so filed or served, except with Parent’s prior written consent, such consent not to be unreasonably withheld, conditioned or delayed; provided, however, that nothing herein shall require Parent to agree or consent to any increase or change in the Consideration or any modification or amendment to such filed or served materials that expands or increases Parent’s obligations set forth in any such filed or served materials or under this Agreement or the Arrangement. SRx shall also provide to Parent and to Parent’s legal counsel on a timely basis copies of any notice of appearance or other Court documents served on SRx in respect of the application for the Interim Order or the Final Order or any appeal therefrom and of any notice, whether written or oral, received by SRx indicating any intention to oppose the granting of the Interim Order or the Final Order or to appeal the Interim Order or the Final Order. In addition, SRx will not object to legal counsel to Parent making such submissions on the hearing of the motion for the Interim Order and the application for the Final Order as such counsel considers appropriate; provided, however, that SRx is advised of the nature of any submissions prior to the hearing and such submissions are consistent with this Agreement and the Plan of Arrangement. SRx will also oppose any proposal from any party that the Interim Order or the Final Order contain any provision inconsistent with this Agreement, and, if at any time after the issuance of the Final Order and prior to the Effective Time, SRx is required by the terms of the Final Order or by Law to return to Court with respect to the Final Order, it shall do so only after reasonable advance notice to, and in consultation and cooperation with, Parent. If the Courts in Ontario are closed due to disease outbreaks, pandemics or epidemics or other related conditions, then the time to make application to the Court or convene and conduct the SRx Meeting in Section 2.2(d), Section 2.4 and Section 2.6, shall be tolled for such period as the Courts are closed plus three (3) Business Days; provided that in no event shall such tolling and three (3) Business Day period extend beyond the Outside Date.
| 20 |
| 2.8. | Articles of Arrangement and Effective Date |
| (a) | The Articles of Arrangement shall implement the Plan of Arrangement and will become effective as of the Effective Time. On the second (2nd) Business Day after the satisfaction or, where permitted, the waiver of the conditions (excluding conditions that, by their terms, cannot be satisfied until the Effective Date, but subject to the satisfaction or, where not prohibited, the waiver of those conditions as of the Effective Date) set forth in Article VI, unless another time or date is agreed to in writing by the Parties, the Articles of Arrangement shall be filed by SRx with the Director; provided, however, that the Articles of Arrangement shall not be sent to the Director, for endorsement and filing by the Director, except as contemplated hereby or with Parent’s prior written consent. From and after the Effective Time, the Plan of Arrangement will have all of the effects provided by applicable Law, including the OBCA. Each of SRx and Parent agrees to amend the Plan of Arrangement at any time prior to the Effective Time in accordance with Section 8.4 of this Agreement to include such other terms determined to be reasonably necessary or desirable by Parent or SRx, as the case may be. | |
| (b) | The closing of the Arrangement will take place by electronic exchange of documents on the Effective Date, or at such other location as may be agreed to by the Parties. |
| 2.9. | Payment of Consideration |
| (a) | At least five (5) Business Days prior to the Effective Date, SRx shall deliver to Parent the information required for variable ‘B’ (SRx U.S. Dollar Net Debt) in the definition of Exchange Ratio, and Parent shall deliver to SRx the information required for variable ‘C’ (30 Day VWAP) in the definition of Exchange Ratio. Parent and AcquireCo will, following receipt by SRx of the Final Order and prior to the filing by SRx of the Articles of Arrangement, issue in escrow with the Depositary (the terms and conditions of such escrow to be satisfactory to the parties, acting reasonably) sufficient Parent Shares and Exchangeable Shares to satisfy the aggregate Consideration for the SRx Shares outstanding. | |
| (b) | At the Effective Time, the Depositary shall release all Consideration to the SRx Shareholders in accordance with the direction of SRx. | |
| (c) | Subject to the provisions of the Plan of Arrangement, AmalCo shall execute joint elections under subsection 85(1) or 85(2) of the Tax Act and any equivalent provincial or territorial legislation with SRx Shareholders who are Eligible Holders (as defined in the Plan of Arrangement) and who are entitled to receive Exchangeable Shares under the Arrangement, subject to and in accordance with the Plan of Arrangement. Such election shall be filed on or before the due date set out in subsection 85(6) of the Tax Act. |
| 2.10. | Parent Proxy Statement |
| (a) | As promptly as practicable following execution of this Agreement, but subject to Section 2.10(c), Parent shall (i) prepare, in consultation with SRx, the preliminary Parent Proxy Statement (and the letter to shareholders, notice of meeting and form of proxy included therewith), and (ii) cause the preliminary Parent Proxy Statement to be filed with the SEC. |
| 21 |
| (b) | Parent covenants and agrees that the definitive Parent Proxy Statement (including the letter to shareholders, notice of meeting and form of proxy included therewith), will not, at the time that the definitive Parent Proxy Statement or any amendment or supplement thereto is first mailed to the Parent Shareholders and at the time of the Parent Meeting, contain any untrue statement of a material fact or omit to state any material fact required to be stated therein or necessary in order to make the statements made therein, in light of the circumstances under which they were made, not misleading. Notwithstanding the foregoing, Parent makes no covenant, representation or warranty with respect to statements made in the definitive Parent Proxy Statement (and the letter to shareholders, notice of meeting and form of proxy included therewith) (i) based on information furnished in writing by SRx specifically for inclusion therein, or (ii) that otherwise reflect information about SRx or the planned business of Parent or SRx following the Effective Time. Parent shall use commercially reasonable efforts to cause the definitive Parent Proxy Statement to comply with the applicable rules and regulations promulgated by the SEC and to respond promptly to any comments of the SEC or its staff. Parent shall use commercially reasonable efforts to cause the definitive Parent Proxy Statement to be filed with the SEC, and mailed to the Parent Shareholders as of the record date established for the Parent Meeting (the “Parent Record Date”), as promptly as practicable after (A) the 10th day after the preliminary Parent Proxy Statement therefor has been filed with the SEC if by such date the SEC has not informed Parent that it intends to review the preliminary Parent Proxy Statement or (B) if the SEC has, by the 10th day after the preliminary Parent Proxy Statement therefor has been filed with the SEC, informed Parent that it intends to review the preliminary Parent Proxy Statement, the date on which the SEC confirms that it has no further comments on the preliminary Parent Proxy Statement (each such date, the “SEC Clearance Date”). | |
| (c) | Except in the case of a Parent Change in Recommendation specifically permitted pursuant to Section 7.4, Parent shall disclose in the Parent Proxy Statement: |
| (i) | that the Parent Board has received a fairness opinion from the Parent Financial Advisor stating that, as at the date of such opinion, the Consideration to be paid by Parent and AcquireCo pursuant to the Arrangement is fair, from a financial point of view, to the Parent Shareholders; | |
| (ii) | the general terms of the fairness opinion from the Parent Financial Advisor and a copy of such fairness opinion shall be included in the Parent Proxy Statement; | |
| (iii) | that the Parent Board has unanimously determined, after receiving financial and legal advice, that (A) the Arrangement is fair and reasonable to the Parent Shareholders, (B) the Arrangement is in the best interests of the Parent and (C) the Parent Board unanimously recommends that the Parent Shareholders vote in favor of the Parent Shareholder Approval Matters (the “Parent Board Recommendation”); and | |
| (iv) | that each Parent Supporting Shareholder has signed a Parent Voting Agreement and agreed to vote all of such Person’s Parent Shares (including any Parent Shares issued upon the exercise of any securities convertible, exercisable or exchangeable into or for Parent Shares) in favor of the Parent Shareholder Approval Matters, and against any matter submitted by any Person that is inconsistent with the Arrangement, subject to the other terms of the Parent Voting Agreements. |
| (d) | SRx shall promptly provide to Parent all information regarding SRx or its subsidiaries and affiliates, as required by applicable Law for inclusion in the Parent Proxy Statement, or in any amendments or supplements to such Parent Proxy Statement. SRx covenants and agrees that no such information provided by SRx specifically for inclusion in the Parent Proxy Statement will contain any untrue statement of a material fact or omit to state any material fact required to be stated therein or necessary in order to make the statements made therein, in light of the circumstances under which they were made, not misleading. Without limiting the generality of the foregoing, SRx shall promptly provide to Parent all financial statements of SRx required to be included in the Parent Proxy Statement, which financial statements shall comply in all material respects with all applicable accounting requirements and with the rules and regulations of the SEC, the U.S. Exchange Act and the U.S. Securities Act, including applicable “staleness” requirements; |
| 22 |
| (e) | SRx and its legal counsel shall be given a reasonable opportunity to review and comment on the Parent Proxy Statement and all such other documents required to be filed or distributed to Parent Shareholders in connection with the Arrangement. Parent and its legal counsel will incorporate all reasonable comments of SRx and its legal counsel into the Parent Proxy Statement and all such other documents. The Parent Proxy Statement and all such other documents shall be satisfactory to SRx, acting reasonably, before they are printed, or distributed to Parent Shareholders or filed with any Governmental Entity, subject to any disclosure obligations imposed on Parent by any Securities Authorities. Parent agrees that all information relating solely to SRx and its subsidiaries and affiliates included in the Parent Proxy Statement must be in a form and content satisfactory to SRx. | |
| (f) | Each of SRx and Parent shall promptly notify the other Party if at any time before the Effective Date either becomes aware that the Parent Proxy Statement contains any untrue statement of a material fact or omits to state any material fact required to be stated therein or necessary in order to make the statements made therein, in light of the circumstances under which they were made, not misleading, or otherwise requires an amendment or supplement, and the Parties shall co-operate in the preparation of any amendment or supplement to the Parent Proxy Statement as required or appropriate. Parent shall promptly mail or otherwise publicly disseminate any amendment or supplement to the Parent Proxy Statement to Parent Shareholders and, if required by applicable Law, file the same with any Governmental Entity and as otherwise required. | |
| (g) | Parent shall keep SRx informed of any requests or comments made by any Securities Authorities in connection with the Parent Proxy Statement and, as promptly as reasonably practicable, provide SRx with copies of any correspondence received by Parent from, or sent by Parent to, any Securities Authorities in connection with the Parent Proxy Statement. |
| 2.11. | Parent Meeting |
| (a) | Parent shall take all action necessary under applicable Law to call, give notice of and hold the Parent Meeting as soon as practicable, and in any event no later than sixty (60) days following the SEC Clearance Date, to vote on the (i) transactions contemplated by this Agreement, (ii) issuance of Parent Shares pursuant to this Agreement and the Plan of Arrangement, (iii) Parent Amended and Restated Articles and Parent Amended and Restated Bylaws, (iv) change of control of Parent resulting from the transaction contemplated by this Agreement pursuant to rules of the NYSE American, (v) Reverse Split, if so determined by the Parent Board in accordance with Section 2.14, (vi) increase in the number of authorized shares of Parent to an amount to be determined by SRx and to create the Special Voting Share, (vii) amendment to the Parent Incentive Plan to increase the number of Parent Shares reserved for awards (taking into account the annual “evergreen” adjustment) to twenty percent (20%) of the number of Parent Shares outstanding immediately after the Effective Time (calculated on a fully-diluted basis, including issuance of Parent Shares upon exchange of the Exchangeable Shares), and (viii) the Parent Board Matters, in each case to the extent required by applicable Law (collectively, the “Parent Shareholder Approval Matters”). The Parent Meeting shall be held as promptly as practicable, and in any event within sixty (60) days, after the definitive Parent Proxy Statement is mailed to Parent Shareholders as of the Parent Record Date. Parent shall take commercially reasonable measures to ensure that all proxies solicited in connection with the Parent Meeting are solicited in compliance with all applicable Law. Notwithstanding anything to the contrary contained herein, if on a date preceding the date on which the Parent Meeting is scheduled, Parent reasonably believes that (A) it will not receive proxies sufficient to obtain the Parent Shareholder Approval, whether or not a quorum would be present or (B) it will not have sufficient Parent Shares represented (either in person or by proxy) to constitute a quorum necessary to conduct the business of the Parent Meeting, Parent may (or will, at SRx’s direction) postpone or adjourn, or make one or more successive postponements or adjournments of, the Parent Meeting, provided that (1) the date of the Parent Meeting is not postponed or adjourned more than an aggregate of fifteen (15) days in connection with any postponements or adjournments in reliance on the preceding sentence, (2) Parent shall not be required to postpone or adjourn the Parent Meeting more than once at SRx’s direction and (III) the postponed or adjourned Parent Meeting is held at least ten (10) Business Days in advance of the Outside Date. In addition, Parent may postpone or adjourn the Parent Meeting to allow reasonable additional time for the filing and mailing of any amendment or supplement to the Parent Proxy Statement that the Parent Board determines in good faith to be required or advisable pursuant to Section 2.10(f), and for such amendment or supplement to be disseminated and reviewed by the Parent Shareholders prior to the Parent Meeting, provided that the postponed or adjourned Parent Meeting is held at least ten (10) Business Days in advance of the Outside Date. |
| 23 |
| (b) | Parent will promptly advise SRx on a daily basis on each of the last ten (10) Business Days prior to the date of the Parent Meeting as to the aggregate tally of the proxies received by Parent in respect of the Parent Shareholder Approval Matters. | |
| (c) | Except in the case of a Parent Change in Recommendation specifically permitted pursuant to Section 7.4, Parent agrees that (i) the Parent Board shall unanimously issue the Parent Board Recommendation that the Parent Shareholders vote in favor of the Parent Shareholder Approval Matters and shall use commercially reasonable efforts to solicit such approval within the timeframe set forth in Section 2.11(a) and (ii) the Parent Board Recommendation shall not be withdrawn or modified in a manner adverse to SRx, and no resolution by the Parent Board or any committee thereof to withdraw or modify the Parent Board Recommendation in a manner adverse to SRx shall be adopted or proposed; and (iii) Parent shall use its reasonable best efforts to solicit proxies from the Parent Shareholders to obtain the Parent Shareholder Approval. |
| 2.12. | Obligations Regarding Exchangeable Shares |
Parent, AcquireCo and CallCo shall, on a joint and several basis, use their commercially reasonable efforts:
| (a) | to cause the listing and admission to trading on the NYSE American of the Parent Shares to be issued at the Exchange Time and from time to time upon exchange of the Exchangeable Shares; | |
| (b) | to ensure that AcquireCo is, at the Effective Time and for so long as there are Exchangeable Shares outstanding (other than those Exchangeable Shares held by Parent, CallCo or any of its affiliates), a “taxable Canadian corporation” and not a “mutual fund corporation,” each within the meaning of the Tax Act (as of the Effective Time and any modifications to such definitions which are consistent with the principles thereof); | |
| (c) | to file a registration statement on Form S-3 (or, if Parent is not eligible to use Form S-3, such other form of registration statement as is appropriate) in order to register under the U.S. Securities Act the Parent Shares to be issued upon exchange of the Exchangeable Shares from time to time after the Effective Time, and use its commercially reasonable efforts to cause such registration statement to become effective as promptly as reasonably practicable following the Effective Time and to maintain the effectiveness of such registration for the period that such Exchangeable Shares remain outstanding; | |
| (d) | to enter into the Support Agreement and the Voting Trust Agreement effective as of the Effective Time; and | |
| (e) | take all actions required in order to create and issue the Special Voting Share as of the Effective Time. |
| 24 |
| 2.13. | Parent Post-Closing Governance |
| (a) | Unless otherwise agreed by the Parties, at the Effective Time, and subject to applicable Laws, including applicable NYSE American requirements relating to director independence: |
| (i) | all members of the Parent Board, other than Kent Cunningham, Michael Young and Lionel Conacher, will resign, and the Parent Board shall be reconstituted such that it will consist of the following five (5) members (collectively, the “Parent Board Matters”): |
| (A) | two (2) director nominees selected by SRx in its sole discretion prior to the date on which the Parent Proxy Statement is filed with the SEC, one (1) of whom shall be independent in accordance with NYSE American requirements (presently intended to be Adesh Vora and David White, with the former as Chairman and the latter as the independent director); and | |
| (B) | two (2) director nominees selected by Parent in its sole discretion prior to the date on which the Parent Proxy Statement is filed with the SEC, one (1) of whom shall be independent in accordance with NYSE American requirements (presently intended to be Kent Cunningham and Michael Young, with the latter as the independent director); and | |
| (C) | one (1) director nominee mutually selected by the Parties prior to the date on which the Parent Proxy Statement is filed with the SEC, who shall be independent in accordance with NYSE American requirements (presently intended to be Lionel Conacher); |
| (ii) | all executive officers of the Parent will resign from their offices currently held, except for Nina Martinez in her capacity as Chief Financial Officer, and the executive officers of the Parent shall consist of the following: |
| (A) | Adesh Vora as Chief Executive Officer; | |
| (B) | Dave Sohi as President; and | |
| (C) | Nina Martinez as Chief Financial Officer. |
| 2.14. | Reverse Split |
Parent may, but is not required to, submit to the Parent Shareholders at the Parent Meeting a proposal to authorize the Parent Board to effect a reverse stock split of all outstanding Parent Shares on the basis of a reverse stock split ratio within the range of one (1) new Parent Share for up to three (3) “old” Parent Shares then outstanding, with such ratio to be determined solely by the Parent Board (the “Reverse Split”); provided, however, that the Parent Board shall have sole discretion as to (a) whether to submit such proposal and (b) if such proposal is submitted and approved by the Parent Shareholders, whether to implement the Reverse Split. Following any such approval by the Parent Shareholders, the Parent Board may implement the Reverse Split on at least five (5) Business Days’ prior written notice to SRx. For the avoidance of doubt, if the Reverse Split is implemented, the Exchange Ratio shall be adjusted accordingly such that the Parties obtain the same economic position following the Reverse Split as they were entitled to prior to the Reverse Split.
| 2.15. | Announcements and Consultations |
Parent and SRx shall consult with each other in respect to issuing any press release, preparing any presentations or otherwise making any public statement with respect to this Agreement or the Arrangement and, except as otherwise set forth in this Agreement, in making any filing with any Governmental Entity with respect to this Agreement or the Arrangement. Each of Parent and SRx shall use all commercially reasonable efforts to enable the other Party to review and comment on all such press releases, presentations, public statements and, except as otherwise set forth in this Agreement, filings prior to the release or filing, respectively, thereof, and neither Parent nor SRx shall release, make or file any press release, presentation, public statements or, except as otherwise set forth in this Agreement, filing without the prior written consent of the other Party (which consent shall not be unreasonably withheld or delayed); provided, however, that the obligations herein shall not prevent a Party from making such disclosure as is required by applicable Law or the rules and policies of any applicable securities exchange, and the Party making such disclosure shall use all commercially reasonable efforts to enable the other Party to review or comment on the disclosure or filing, and if such prior notice is not possible, to give such notice immediately following the making of such disclosure or filing. Reasonable consideration shall be given to any comments made by the other Party and its counsel.
| 25 |
| 2.16. | Withholding Taxes |
SRx, Parent, AcquireCo, CallCo, the Depositary and their respective agents in connection with the Arrangement shall be entitled to deduct and withhold from any dividend or consideration payable to any Person (including, for greater certainty, any SRx Shareholder, any SRx RSU Holder, any SRx Warrantholder and any Dissenting Shareholder), such amounts as SRx, Parent, AcquireCo, CallCo, the Depositary, or their respective agents are required to deduct and withhold with respect to such payment under the Tax Act, United States Tax Laws or any other applicable Law. To the extent that amounts are so withheld, such withheld amounts shall be treated for all purposes hereof as having been paid to the holder of the securities in respect of which such deduction and withholding was made, provided that such withheld amounts are actually remitted to the appropriate Governmental Entity. SRx, Parent, AcquireCo, CallCo, the Depositary and their respective agents are hereby authorized to sell or otherwise dispose of such portion of the non-cash consideration as is necessary to provide sufficient funds to SRx, Parent, AcquireCo, CallCo, the Depositary or their respective agents, as the case may be, to enable it to comply with such deduction or withholding requirement and SRx, Parent, AcquireCo, CallCo the Depositary, or their respective agents, as applicable, shall notify the holder thereof and remit any unapplied balance of the net proceeds of such sale. Any such sale will be made in accordance with applicable Law and at prevailing market prices and none of SRx, Parent, AcquireCo, CallCo, the Depositary, or any of their respective agents shall be under any obligation to obtain a particular price, or indemnify any Person (including, for greater certainty, any SRx Shareholder, any SRx RSU Holder, any SRx Warrantholder and any Dissenting Shareholder) in respect of a particular price, for the portion of the non-cash consideration so sold.
| 2.17. | Treatment of SRx RSUs and SRx Warrants |
| (a) | At the Effective Time, pursuant to the Plan of Arrangement, each SRx RSU outstanding immediately prior to the Effective Time will vest and constitute issued and outstanding SRx Shares for all purposes under this Agreement. | |
| (b) | At the Effective Time, pursuant to the Plan of Arrangement, each SRx Warrant outstanding and not already exercised in accordance with the terms thereof, will be terminated. |
| 2.18. | U.S. Securities Law Matters |
The Parties intend that the Arrangement shall be carried out such that the issuance of the Parent Shares and Exchangeable Shares to SRx Shareholders in exchange for SRx Shares qualifies for the exemption from the registration requirements of the U.S. Securities Act provided by the Section 3(a)(10) Exemption and applicable U.S. state securities laws in reliance upon similar exemptions under applicable U.S. state securities laws. Each Party agrees to act in good faith, consistent with the intent of the Parties and the intended treatment of the Arrangement as set forth in this Section 2.18. In order to ensure the availability of the Section 3(a)(10) Exemption, the Parties agree that the Arrangement will be carried out on the following basis:
| (a) | the Arrangement will be subject to the approval of the Court; | |
| (b) | the Court will be advised as to the intention of the Parties to rely on the Section 3(a)(10) Exemption prior to the Court hearing required to issue the Interim Order; | |
| (c) | the Court will be required to satisfy itself as to the substantive and procedural fairness of the Arrangement to the SRx Shareholders; |
| 26 |
| (d) | the Court will hold a hearing before approving the procedural and substantive fairness of the terms and conditions of the Arrangement; | |
| (e) | the Final Order will expressly state that the Arrangement is approved by the Court as being substantively and procedurally fair to the SRx Shareholders to whom Parent Shares and Exchangeable Shares will be issued; | |
| (f) | the Parties will ensure that each SRx Shareholder entitled to receive Parent Shares or Exchangeable Shares on completion of the Arrangement will (i) be given adequate notice advising them of their right to attend the Court hearing and providing them with sufficient information necessary for them to exercise that right; (ii) be advised that the Parent Shares and Exchangeable Shares issuable pursuant to the Arrangement have not been and will not be registered under the U.S. Securities Act and will be issued by Parent and AcquireCo in reliance on the Section 3(a)(10) Exemption, and that certain restrictions on resale under the securities laws of the United States, including, as applicable, Rule 144 under the United States Securities Act of 1933, as amended (the “U.S. Securities Act”), may be applicable with respect to securities issued to “affiliates” (as defined in Rule 144 under the U.S. Securities Act) of Parent or AcquireCo, as applicable; and (iii) each SRx Shareholder entitled to receive Exchangeable Shares pursuant to the Arrangement will be advised that the 3(a)(10) Exemption does not exempt the issuance of securities upon the exchange of such Exchangeable Shares and that; therefore, the Parent Shares issuable upon exchange of the Exchangeable Shares cannot be issued in reliance on the Section 3(a)(10) Exemption, and such Parent Shares issuable upon exchange of the Exchangeable Shares may only be issued and subsequently resold pursuant to one or more alternative exemptions from registration or an effective registration statement under the U.S. Securities Act and compliance with applicable state securities laws; | |
| (g) | the Interim Order will specify that each SRx Shareholder entitled to receive Parent Shares or Exchangeable Shares on completion of the Arrangement will have the right to appear before the Court at the Court hearing on the Final Order so long as such SRx Shareholder enters an appearance within a reasonable time and in accordance with the requirements of the Section 3(a)(10) Exemption; and | |
| (h) | Parent will request that the Final Order include a statement to substantially the following effect: “This Order will serve as a basis of a claim to an exemption, pursuant to Section 3(a)(10) of the U.S. Securities Act from the registration requirements otherwise imposed by the U.S. Securities Act, regarding the distribution of Parent Shares or Exchangeable Shares, pursuant to the Plan of Arrangement.” |
| 2.19. | U.S. Tax Matters |
The Arrangement is intended to qualify as a reorganization within the meaning of Section 368(a) of the U.S. Tax Code and the Treasury Regulations promulgated thereunder (a “Reorganization”), and this Agreement, together with the Plan of Arrangement, is intended to be, and is hereby adopted as a “plan of reorganization” within the meaning of the Treasury Regulations promulgated under Section 368 of the U.S. Tax Code. The Parties will cooperate with each other to make any changes to the terms of the Arrangement, reasonably requested by the other party upon advice of tax counsel, necessary for the Arrangement to qualify as a Reorganization; provided that no Party hereto provides any assurances or representations regarding the qualification of the Arrangement as a Reorganization. Provided the Arrangement satisfies all of the applicable requirements of a Reorganization, each Party agrees to treat the Arrangement as a Reorganization for all United States federal income tax purposes, to treat this Agreement, together with the Plan of Arrangement, as a “plan of reorganization” within the meaning of the Treasury Regulations promulgated under Section 368 of the U.S. Tax Code, and to not take any position on any Tax return or otherwise take any Tax reporting position inconsistent with such treatment, unless otherwise required as a result of a “determination” within the meaning of Section 1313(a) of the U.S. Tax Code. Following the Effective Date, Parent will prepare and file in accordance with Treasury Regulations (including by posting a copy on the investor relations section of its website) an IRS Form 8937 with respect to the Arrangement. Each Party agrees to act in good faith, consistent with the intent of the Parties and the intended treatment of the Arrangement as set forth herein and to use commercially reasonable efforts to not take any action, or knowingly fail to take any action, if such action or failure to act would reasonably be expected to prevent the Arrangement from qualifying as a Reorganization. Notwithstanding the foregoing, no Party hereto makes any representation, warranty or provides any other assurances to any SRx Shareholder, SRx RSU Holder, or SRx Warrantholder regarding the U.S. tax treatment of the Arrangement.
| 27 |
Article
III.
REPRESENTATIONS AND WARRANTIES OF SRX
| 3.1. | Representations and Warranties of SRx |
Except as disclosed in the SRx Disclosure Letter, SRx represents and warrants to Parent as set forth in Schedule C hereto and acknowledges and agrees that Parent is relying upon such representations and warranties in connection with the entering into of this Agreement. Any investigation by Parent or its Representatives shall not mitigate, diminish or affect the representations and warranties of SRx pursuant to this Agreement.
| 3.2. | Survival of Representations and Warranties |
The representations and warranties of SRx contained in this Agreement shall not survive the completion of the Arrangement and shall expire and be terminated on the earlier of the Effective Time and the date on which this Agreement is terminated in accordance with its terms.
Article
IV.
REPRESENTATIONS AND WARRANTIES OF PARENT, ACQUIRECO
AND CALLCO
| 4.1. | Representations and Warranties of Parent |
Except as disclosed in the Parent Disclosure Letter, each of Parent, AcquireCo and CallCo jointly and severally represents and warrants to SRx as set forth in Schedule D hereto and acknowledges and agrees that SRx is relying upon such representations and warranties in connection with the entering into of this Agreement. Any investigation by SRx or its Representatives shall not mitigate, diminish or affect the representations and warranties of Parent, AcquireCo and CallCo pursuant to this Agreement.
| 4.2. | Survival of Representations and Warranties |
The representations and warranties of Parent, AcquireCo and CallCo contained in this Agreement shall not survive the completion of the Arrangement and shall expire and be terminated on the earlier of the Effective Time and the date on which this Agreement is terminated in accordance with its terms.
Article
V.
COVENANTS
| 5.1. | Covenants of Parent, AcquireCo and CallCo Relating to the Arrangement |
Except such actions as are expressly permitted pursuant to any other term of this Agreement, Parent, AcquireCo and CallCo shall, on a joint and several basis, perform all obligations required to be performed by Parent, AcquireCo and CallCo under this Agreement, co-operate with SRx in connection therewith, and do all such other acts and things as may be necessary or desirable in order to consummate and make effective, as soon as reasonably practicable, the Arrangement and the other transactions contemplated in this Agreement and, without limiting the generality of the foregoing, Parent, AcquireCo and CallCo shall:
| (a) | apply for and use all commercially reasonable efforts in co-operation with SRx to obtain all Key Regulatory Approvals and, in doing so, keep SRx informed in a timely manner as to the status of the proceedings or other actions related to obtaining the Key Regulatory Approvals, including (i) providing SRx with copies of all related applications and notifications, in draft form, in order for SRx to provide its comments thereon, and Parent, AcquireCo and CallCo shall consult with the SRx on any comments provided in good faith; (ii) promptly furnishing to SRx copies of notices or other formal communications received by Parent, AcquireCo or CallCo from, or given by Parent, AcquireCo or CallCo to, any Governmental Entity (including any Securities Authority) with respect to the transactions contemplated by this Agreement or otherwise; (iii) not making any commitments, providing any undertakings or assuming any obligations, in each case, that are outside the ordinary course of business, without the prior written consent of SRx; and (iv) subject to applicable Law, each of Parent, AcquireCo and CallCo shall, to the extent reasonably practicable, provide SRx and its counsel with the opportunity to participate in any substantive meeting, teleconference or other material communication with any Governmental Entity in respect of any filing, investigation or other inquiry in connection with the Key Regulatory Approvals; |
| 28 |
| (b) | use all commercially reasonable efforts to satisfy all conditions precedent in this Agreement in its power to satisfy and comply promptly with all requirements which applicable Law may impose on Parent, AcquireCo and CallCo with respect to the Arrangement or the other transactions contemplated by this Agreement and including effecting all necessary registrations, filings and submissions of information requested by Governmental Entities required to be effected by Parent, AcquireCo, CallCo or any of their subsidiaries in connection with the Arrangement and cooperating with SRx in connection with its performance of its obligations hereunder; | |
| (c) | use all commercially reasonable efforts to defend all lawsuits or other legal, regulatory or other proceedings against Parent, AcquireCo or CallCo challenging or affecting this Agreement or the consummation of the transactions contemplated hereby and use all commercially reasonable efforts to have lifted or rescinded any injunction or restraining order or other order relating to Parent, AcquireCo or CallCo which may materially impede the ability of the Parties to consummate the Arrangement or the other transactions contemplated by this Agreement; | |
| (d) | use all commercially reasonable efforts to obtain, and to assist SRx with respect to obtaining, as applicable, all consents, waivers or approvals required under all Material Contracts, including waivers required in connection with any change of control provisions contained in any Material Contracts; | |
| (e) | use all commercially reasonable efforts to take, or cause to be taken, all actions and do or cause to be done all things reasonably necessary, proper or advisable on its part under applicable Law and the policies of NYSE American to enable the listing on NYSE American by Parent of the Parent Shares on the Effective Date; | |
| (f) | use its commercially reasonable efforts to ensure that the Section 3(a)(10) Exemption is available for the issuance of Consideration to the SRx Shareholders in exchange for their SRx Shares pursuant to the Plan of Arrangement; | |
| (g) | until the earlier of the Effective Time and termination of this Agreement in accordance with its terms, subject to applicable Law, make available and cause to be made available to SRx, and its Representatives, information reasonably requested by SRx for the purposes of preparing, considering and implementing integration and strategic plans for the acquisition by Parent of SRx following the Effective Date; and | |
| (h) | until the earlier of the Effective Time and termination of this Agreement in accordance with its terms, Parent, AcquireCo and CallCo shall, to the extent not precluded by applicable Law, promptly notify SRx, in writing, and promptly provide copies of any related documentation received, when Parent has knowledge of: |
| (i) | any notice or other communication from any Person alleging that the consent (or waiver, permit, exemption, order, approval, agreement, amendment or confirmation) of such Person (or other Person) is or may be required in connection with this Agreement or the Arrangement; |
| 29 |
| (ii) | any notice or other communication from any Governmental Entity in connection with the Arrangement or this Agreement; | |
| (iii) | any matter that has resulted in, or is reasonably likely to result in, a condition set forth in Section 6.1 or 6.3 not being satisfied; | |
| (iv) | the failure of Parent, AcquireCo or CallCo to perform any obligations to be performed by it under this Agreement such that any conditions set forth in Section 6.1 or 6.3 would not be satisfied; or | |
| (v) | any filing, actions, suits, claims, investigations or proceedings commenced or, to the knowledge of Parent, AcquireCo or CallCo, threatened orally or in writing against, or, in respect of any filing, actions, suits, claims, investigations or proceedings existing as at the date hereof, if any additional filing, actions, suits, claims, investigations or proceedings are made or threatened orally or in writing, in each case relating to or involving or otherwise affecting Parent, its subsidiaries or any of their respective assets that would reasonably be expected to be material to Parent and its subsidiaries, taken as a whole; and |
| (i) | not take any action, or refrain from taking any commercially reasonable action, or permit any action to be taken or not taken, which is inconsistent with this Agreement or which would reasonably be expected to, individually or in the aggregate, prevent, materially delay or otherwise materially impede the consummation of the Arrangement. |
| 5.2. | Covenants of SRx Relating to the Arrangement |
Except such actions as are expressly permitted pursuant to any other term of this Agreement, SRx shall perform all obligations required to be performed by SRx under this Agreement, co-operate with Parent in connection therewith, and do all such other acts and things as may be necessary or desirable in order to consummate and make effective, as soon as reasonably practicable, the Arrangement and the other transactions contemplated in this Agreement and, without limiting the generality of the foregoing, SRx shall:
| (a) | apply for and use all commercially reasonable efforts in co-operation with Parent to obtain all Key Regulatory Approvals and, in doing so, keep Parent informed in a timely manner as to the status of the proceedings or other actions related to obtaining the Key Regulatory Approvals, including (i) providing Parent with copies of all related applications and notifications, in draft form, in order for Parent to provide its comments thereon, and SRx shall consult with the Parent on any comments provided in good faith; (ii) promptly furnishing to Parent copies of notices or other formal communications received by SRx from, or given by SRx to, any Governmental Entity (including any Securities Authority) with respect to the transactions contemplated by this Agreement or otherwise; (iii) not making any commitments, providing any undertakings or assuming any obligations, in each case, that are outside the ordinary course of business, without the prior written consent of Parent; and (iv) subject to applicable Law, SRx shall, to the extent reasonably practicable, provide Parent and its counsel with the opportunity to participate in any substantive meeting, teleconference or other material communication with any Governmental Entity in respect of any filing, investigation or other inquiry in connection with the Key Regulatory Approvals; | |
| (b) | use all commercially reasonable efforts to satisfy all conditions precedent in this Agreement in its power to satisfy and take all steps set forth in the Interim Order and Final Order applicable to it and comply promptly with all requirements which applicable Law may impose on SRx with respect to the Arrangement or the other transactions contemplated by this Agreement and including effecting all necessary registrations, filings and submissions of information requested by Governmental Entities required to be effected by SRx or its subsidiaries in connection with the Arrangement and cooperating with Parent in connection with its performance of its obligations hereunder; |
| 30 |
| (c) | use all commercially reasonable efforts to defend all lawsuits or other legal, regulatory or other proceedings against SRx challenging or affecting this Agreement or the consummation of the transactions contemplated hereby and use all commercially reasonable efforts to have lifted or rescinded any injunction or restraining order or other order relating to SRx which may materially impede the ability of the Parties to consummate the Arrangement or the other transactions contemplated by this Agreement; | |
| (d) | use all commercially reasonable efforts to obtain, and to assist Parent with respect to obtaining, as applicable, all consents, waivers or approvals required under all Material Contracts, including waivers required in connection with any change of control provisions contained in any Material Contracts; | |
| (e) | use its commercially reasonable efforts to ensure that the Section 3(a)(10) Exemption is available for the issuance of Consideration to the SRx Shareholders in exchange for their SRx Shares pursuant to the Plan of Arrangement; | |
| (f) | until the earlier of the Effective Time and termination of this Agreement in accordance with its terms, SRx shall, to the extent not precluded by applicable Law, promptly notify Parent, in writing, and promptly provide copies of any related documentation received, when SRx has knowledge of: |
| (i) | any notice or other communication from any Person alleging that the consent (or waiver, permit, exemption, order, approval, agreement, amendment or confirmation) of such Person (or other Person) is or may be required in connection with this Agreement or the Arrangement; | |
| (ii) | any notice or other communication from any Governmental Entity in connection with the Arrangement or this Agreement; | |
| (iii) | any matter that has resulted in, or is reasonably likely to result in, a condition set forth in Section 6.1 or 6.2 not being satisfied; | |
| (iv) | the failure of SRx to perform any obligations to be performed by it under this Agreement such that any conditions set forth in Section 6.1 or 6.2 would not be satisfied; or | |
| (v) | any filings, actions, suits, claims, investigations or proceedings commenced or, to the knowledge of SRx, threatened orally or in writing against, or, in respect of any filings, actions, suits, claims, investigations or proceedings existing as at the date hereof, if any additional filings, actions, suits, claims, investigations or proceedings are made or threatened orally or in writing, in each case relating to or involving or otherwise affecting SRx, its subsidiaries or any of their respective assets that would reasonably be expected to be material to SRx and its subsidiaries, taken as a whole; and |
| (g) | not take any action, or refrain from taking any commercially reasonable action, or permit any action to be taken or not taken, which is inconsistent with this Agreement or which would reasonably be expected to, individually or in the aggregate, prevent, materially delay or otherwise materially impede the consummation of the Arrangement. |
| 31 |
| 5.3. | Covenants of Parent, AcquireCo and CallCo Relating to the Conduct of Parent Business |
| (a) | Parent, AcquireCo and CallCo jointly and severally covenant and agree, during the period from the date of this Agreement until the earlier of the Effective Time and the time that this Agreement is terminated in accordance with its terms, except (i) with the prior written consent of SRx (which consent may not be unreasonably withheld, conditioned or delayed), (ii) as required or expressly permitted by this Agreement, or (iii) as required by applicable Law or a Governmental Entity, Parent shall, and shall cause the other members of the Parent Group to: |
| (i) | conduct its business in the ordinary course in all material respects and in accordance with applicable Laws and consistent with past practice, and use commercially reasonable efforts to maintain and preserve in all material respects its and its subsidiaries’ business organization, assets (including associated intellectual property), goodwill, employment relationships and material business relationships with suppliers, distributors, employees, consultants, customers and other Persons with which Parent or any of its subsidiaries have business relations: | |
| (ii) | use all commercially reasonable efforts to cause its current insurance (or re-insurance) policies not to be cancelled or terminated or any of the coverage thereunder to lapse before the Outside Date, unless simultaneously with such termination, cancellation or lapse, replacement policies underwritten by insurance and re-insurance companies of nationally recognized standing providing coverage equal to or greater than the coverage under the cancelled, terminated or lapsed policies for substantially similar premiums are in full force and effect; and | |
| (iii) | promptly notify SRx orally and in writing upon becoming aware of any circumstance or development that, to the knowledge of Parent, would, or would reasonably be expected to, constitute or result in a Parent Material Adverse Effect. |
| (b) | Parent covenants and agrees that, during the period from the date of this Agreement until the earlier of the Effective Time and the time that this Agreement is terminated in accordance with its terms, except (i) as set out in the corresponding subsection of Schedule 5.3(b) of the Parent Disclosure Letter, (ii) with the prior written consent of SRx (which consent may not be unreasonably withheld, conditioned or delayed), (iii) as required or expressly permitted by this Agreement, or (iv) as required by applicable Law or a Governmental Entity, Parent shall not, and shall cause the other members of the Parent Group not to: |
| (i) | Other than in connection with the Parent Regulation A Offering and the Spin-Out, issue, deliver, sell, pledge, lease, dispose of or encumber, or agree or offer to issue, deliver sell, pledge, lease, dispose of or encumber, any Parent Shares or securities of its subsidiaries, or any securities convertible, exchangeable or exercisable into or for Parent Shares or securities of its subsidiaries, or any options, warrants, stock appreciation rights, phantom stock awards or other rights or equity-based or convertible securities that are linked to the price or value of the Parent Shares or securities of the Parent subsidiaries (other than pursuant to the exercise, in accordance with their respective terms, of convertible or exercisable securities of Parent outstanding on the date hereof) or amend, extend or terminate, or agree to amend, extend or terminate, any of the terms of, or agreements governing, any of the outstanding options, warrants or other convertible securities of Parent or its subsidiaries; | |
| (ii) | amend or propose to amend its certificate of incorporation or bylaws or other constating documents or the terms of any of its securities; reduce its stated capital; or split, consolidate, subdivide or reclassify, or propose to split, consolidate, subdivide or reclassify, any of the Parent Shares or undertake or propose to undertake any other capital reorganization or change in or exchange of Parent Shares, any other of its securities or its share capital; | |
| (iii) | declare, set aside or pay any dividend or other distribution or payment (whether in cash, securities or property or any combination thereof) in respect of the Parent Shares or any other securities of Parent, redeem, purchase or otherwise acquire, or offer to redeem, purchase or otherwise acquire, any outstanding securities of Parent, adopt a plan of liquidation or resolution providing for the complete or partial liquidation, winding-up, dissolution, merger, consolidation, restructuring, recapitalization, or sale of all or substantially all of the assets of Parent or any of its subsidiaries, or enter into any agreement with respect to any of the foregoing; |
| 32 |
| (iv) | except with respect to inter-company transfers between Parent and its subsidiaries, sell, pledge, lease, transfer, dispose of or encumber any assets, rights or properties of Parent or any of its subsidiaries, other than in the ordinary course of business and in connection with the Spin-Out; | |
| (v) | acquire or agree to acquire (by merger, amalgamation, arrangement, acquisition of shares or assets or otherwise) any Person or division or business unit thereof, or incorporate or form, or agree to incorporate or form, any Person or make or agree to make any investment either by purchase of shares or securities, contributions of capital, property transfer or purchase of, any property or assets of any other Person; | |
| (vi) | make any material change to the Parent Business or, other than in the ordinary course of business, enter into enter into any Contract that, if entered into prior to the date hereof, would be a Material Contract of Parent; | |
| (vii) | enter into or agree to the terms of any joint venture, strategic alliance, partnership, or similar agreement, arrangement or relationship, other than in the ordinary course of business; | |
| (viii) | other than in respect of trade payables and a refinancing of the existing indebtedness of the Parent and its subsidiaries, incur, create, assume or otherwise become liable for, any additional indebtedness for borrowed money exceeding CAD$1,000,000 in the aggregate; | |
| (ix) | make any capital expenditures exceeding CAD$1,000,000 in the aggregate; | |
| (x) | other than in the ordinary course of business, enter into or modify (or make a promise regarding entering into or modifying) any Employee Plan or any employment, consulting, severance or similar agreements or arrangements with, or grant any bonuses, salary or fee increases, severance or termination pay to, any officers, directors, employees or consultants; provided, however, that it is acknowledged and agreed that Parent will abide by the terms and conditions of any Employee Plan and any employment agreements and consulting agreements in effect on the date of this Agreement, including with respect to the payments of any severance amounts or change of control payments, if applicable; | |
| (xi) | enter into any collective bargaining or similar agreement; | |
| (xii) | enter into or adopt any shareholder rights plan or similar agreement or arrangement; | |
| (xiii) | take any action or fail to take any action which action or failure to act would result in the material loss, expiration or surrender of, or the loss of any material benefit under, or reasonably be expected to cause any Governmental Entities to institute proceedings for the suspension, revocation or limitation of rights under, any Authorizations or Permits; | |
| (xiv) | make, revoke or change any Tax election; amend any previously filed Tax Return except as may be required by applicable Law; file any Tax Return inconsistent with past practice; settle or compromise any Liability for Taxes; agree to an extension or waiver of the limitation period with respect to the assessment, reassessment, or determination of Taxes; enter into any closing agreement with respect to any Tax; surrender any right to claim a material Tax refund; change an annual accounting period; adopt or change any accounting method with respect to Taxes; or consent to any extension or waiver of the limitation period applicable to any Tax claim or assessment unless, in each case, such action is required by Law; |
| 33 |
| (xv) | other than in connection with the Spin-Out, make any loan or advance to, or any capital contribution or investment in, or assume, guarantee or otherwise become liable with respect to the liabilities or obligations of, any Person (other than any advance payments or other investments made by the SRx or any of its subsidiaries to a customer in the Ordinary Course based on sales volume or purchase commitments (typically known as customer investments)) including, for the avoidance of doubt, any “investment” (within the meaning of subsection 212.3(10) of the Tax Act) in any corporation that is a non-resident for the purposes of the Tax Act; | |
| (xvi) | amend its accounting policies or adopt new accounting policies, except as may be required by applicable Law or U.S. GAAP; | |
| (xvii) | waive, release, settle, agree to settle or compromise any material suit, action, claim, arbitration, mediation, inquiry, proceeding or investigation pending or threatened against Parent or any of its subsidiaries; | |
| (xviii) | take any action, or fail to take any action, which action or omission would jeopardize the validity or enforceability of material Intellectual Property of Parent or its subsidiaries; | |
| (xix) | engage in any transaction with any related parties, other than transactions with subsidiaries or in the ordinary course of business (including with respect to employment arrangements); | |
| (xx) | take any action that would cause a violation by any Person of economic sanctions or export controls; | |
| (xxi) | take any action or fail to take any action that prevents, or materially delays, impedes or interferes with, or that would reasonably be expected to prevent or materially delay, impede or interfere with, the ability of the Parties to consummate the transactions contemplated by this Agreement; | |
| (xxii) | enter into any transaction or perform any act that would render, or would reasonably be expected to render any representations and warranties made by Parent, AcquireCo and CallCo set forth in this Agreement untrue or inaccurate in any respect; or | |
| (xxiii) | announce an intention, authorize or propose, or enter into or modify any Contract, agreement, commitment or arrangement, to do any of the matters prohibited by the foregoing provisions of this Section 5.2. |
| 5.4. | Covenants of SRx Relating to the Conduct of SRx Business |
| (a) | SRx covenants and agrees that, during the period from the date of this Agreement until the earlier of the Effective Time and the time that this Agreement is terminated in accordance with its terms, except (i) with the prior written consent of Parent (which consent may not be unreasonably withheld, conditioned or delayed), (ii) as required or expressly permitted by this Agreement, or (iii) as required by applicable Law or a Governmental Entity, SRx shall, and shall cause the other members of the SRx Group to: |
| (i) | conduct its business in the ordinary course in all material respects and in accordance with applicable Laws and consistent with past practice, and use commercially reasonable efforts to maintain and preserve in all material respects its and its subsidiaries’ business organization, assets (including associated intellectual property), goodwill, employment relationships and material business relationships with suppliers, distributors, employees, consultants, customers and other Persons with which SRx or any of its subsidiaries have business relations; |
| 34 |
| (ii) | use all commercially reasonable efforts to cause its current insurance (or re-insurance) policies not to be cancelled or terminated or any of the coverage thereunder to lapse before the Outside Date, unless simultaneously with such termination, cancellation or lapse, replacement policies underwritten by insurance and re-insurance companies of nationally recognized standing providing coverage equal to or greater than the coverage under the cancelled, terminated or lapsed policies for substantially similar premiums are in full force and effect; and | |
| (iii) | promptly notify Parent orally and in writing upon becoming aware of any circumstance or development that, to the knowledge of SRx, would, or would reasonably be expected to, constitute or result in an SRx Material Adverse Effect. |
| (b) | SRx covenants and agrees that, during the period from the date of this Agreement until the earlier of the Effective Time and the time that this Agreement is terminated in accordance with its terms, except (i) as set out in the corresponding subsection of Schedule 5.4(b) of the SRx Disclosure Letter, (ii) with the prior written consent of Parent (which consent may not be unreasonably withheld, conditioned or delayed), (iii) as required or expressly permitted by this Agreement, or (iv) as required by applicable Law or a Governmental Entity, SRx shall not, and shall cause the other members of the SRx Group not to: |
| (i) | issue, deliver, sell, pledge, lease, dispose of or encumber, or agree or offer to issue, deliver sell, pledge, lease, dispose of or encumber, any SRx Shares or securities of its subsidiaries, or any securities convertible, exchangeable or exercisable into or for SRx Shares or securities of its subsidiaries, or any options, warrants, stock appreciation rights, phantom stock awards or other rights or equity-based or convertible securities that are linked to the price or value of the SRx Shares or securities of the SRx subsidiaries (other than pursuant to the exercise, in accordance with their respective terms, of convertible or exercisable securities of SRx outstanding on the date hereof) or amend, extend or terminate, or agree to amend, extend or terminate, any of the terms of, or agreements governing, any of the outstanding options, warrants or other convertible securities of SRx or its subsidiaries; | |
| (ii) | amend or propose to amend its articles of incorporation or bylaws or other constating documents or the terms of any of its securities; reduce its stated capital; or split, consolidate, subdivide or reclassify, or propose to split, consolidate, subdivide or reclassify, any of the SRx Shares or undertake or propose to undertake any other capital reorganization or change in or exchange of SRx Shares, any other of its securities or its share capital; | |
| (iii) | declare, set aside or pay any dividend or other distribution or payment (whether in cash, securities or property or any combination thereof) in respect of the SRx Shares or any other securities of SRx, redeem, purchase or otherwise acquire, or offer to redeem, purchase or otherwise acquire, any outstanding securities of SRx, adopt a plan of liquidation or resolution providing for the complete or partial liquidation, winding-up, dissolution, merger, consolidation, restructuring, recapitalization, or sale of all or substantially all of the assets of SRx or any of its subsidiaries, or enter into any agreement with respect to any of the foregoing; | |
| (iv) | except with respect to inter-company transfers between SRx and its subsidiaries, sell, pledge, lease, transfer, dispose of or encumber any assets, rights or properties of SRx or any of its subsidiaries, other than in the ordinary course of business; |
| 35 |
| (v) | acquire or agree to acquire (by merger, amalgamation, arrangement, acquisition of shares or assets or otherwise) any Person or division or business unit thereof, or agree to incorporate or form, any Person or make or agree to make any investment either by purchase of shares or securities, contributions of capital, property transfer or purchase of, any property or assets of any other Person; | |
| (vi) | make any material change to the SRx Business or, other than in the ordinary course of business, enter into enter into any Contract that, if entered into prior to the date hereof, would be a Material Contract of SRx; | |
| (vii) | enter into or agree to the terms of any joint venture, strategic alliance, partnership, or similar agreement, arrangement or relationship, other than in the ordinary course of business; | |
| (viii) | other than in respect of trade payables, incur, create, assume or otherwise become liable for, any indebtedness for borrowed money exceeding CAD$1,000,000 in the aggregate; | |
| (ix) | make any capital expenditures exceeding CAD$1,000,000 in the aggregate; | |
| (x) | other than in the ordinary course of business, enter into or modify (or make a promise regarding entering into or modifying) any Employee Plan or any employment, consulting, severance or similar agreements or arrangements with, or grant any bonuses, salary or fee increases, severance or termination pay to, any officers, directors, employees or consultants; provided, however, that it is acknowledged and agreed that SRx will abide by the terms and conditions of any Employee Plan and any employment agreements and consulting agreements in effect on the date of this Agreement, including with respect to the payments of any severance amounts or change of control payments, if applicable; | |
| (xi) | enter into any collective bargaining or similar agreement; | |
| (xii) | enter into or adopt any shareholder rights plan or similar agreement or arrangement; | |
| (xiii) | take any action or fail to take any action which action or failure to act would result in the material loss, expiration or surrender of, or the loss of any material benefit under, or reasonably be expected to cause any Governmental Entities to institute proceedings for the suspension, revocation or limitation of rights under, any Authorizations or Permits; | |
| (xiv) | make, revoke or change any Tax election; amend any previously filed Tax Return except as may be required by applicable Law; file any Tax Return inconsistent with past practice; settle or compromise any Liability for Taxes; agree to an extension or waiver of the limitation period with respect to the assessment, reassessment, or determination of Taxes; enter into any closing agreement with respect to any Tax; surrender any right to claim a material Tax refund; change an annual accounting period; adopt or change any accounting method with respect to Taxes; or consent to any extension or waiver of the limitation period applicable to any Tax claim or assessment unless, in each case, such action is required by Law; | |
| (xv) | make any loan or advance to, or any capital contribution or investment in, or assume, guarantee or otherwise become liable with respect to the liabilities or obligations of, any Person (other than any advance payments or other investments made by Parent or any of its subsidiaries to a customer in the Ordinary Course based on sales volume or purchase commitments (typically known as customer investments)); | |
| (xvi) | amend its accounting policies or adopt new accounting policies, except as may be required by applicable Law or IFRS; |
| 36 |
| (xvii) | waive, release, settle, agree to settle or compromise any material suit, action, claim, arbitration, mediation, inquiry, proceeding or investigation pending or threatened against SRx or any of its subsidiaries; | |
| (xviii) | take any action, or fail to take any action, which action or omission would jeopardize the validity or enforceability of material Intellectual Property of SRx or its subsidiaries; | |
| (xix) | engage in any transaction with any related parties, other than transactions with subsidiaries or in the ordinary course of business (including with respect to employment arrangements); | |
| (xx) | take any action that would cause a violation by any Person of economic sanctions or export controls; | |
| (xxi) | take any action or fail to take any action that prevents, or materially delays, impedes or interferes with, or that would reasonably be expected to prevent or materially delay, impede or interfere with, the ability of the Parties to consummate the transactions contemplated by this Agreement; | |
| (xxii) | enter into any transaction or perform any act that would render, or would reasonably be expected to render any representations and warranties made by SRx set forth in this Agreement untrue or inaccurate in any respect; or | |
| (xxiii) | announce an intention, authorize or propose, or enter into or modify any Contract, agreement, commitment or arrangement, to do any of the matters prohibited by the foregoing provisions of this Section 5.4. |
| 5.5. | Covenant of Parent and SRx Relating to D&O Tail Policy |
| (a) | Prior to the Effective Time, Parent may purchase a prepaid “tail” policy (the “Parent Tail Policy”) with respect to directors’ and officers’ liability insurance coverage for the benefit of those Persons who are currently covered by any comparable insurance policies of Parent as of the date hereof. If Parent or any of its successors or assigns (i) shall merge or consolidate with or merge into any other corporation or entity and shall not be the surviving or continuing corporation or entity of such consolidation or merger or (ii) shall transfer all or substantially all of their respective properties and assets as an entity in one or a series of related transactions to any Person, then in each such case, proper provisions shall be made so that the successors or assigns of Parent shall assume all of the obligations set forth in this Section 5.5(a). | |
| (b) | Prior to the Effective Time, SRx may purchase a prepaid “tail” policy (the “SRx Tail Policy”) with respect to directors’ and officers’ liability insurance coverage for the benefit of those Persons who are currently covered by any comparable insurance policies of SRx as of the date hereof. If SRx or any of its successors or assigns (i) shall merge or consolidate with or merge into any other corporation or entity and shall not be the surviving or continuing corporation or entity of such consolidation or merger or (ii) shall transfer all or substantially all of their respective properties and assets as an entity in one or a series of related transactions to any Person, then in each such case, proper provisions shall be made so that the successors or assigns of SRx shall assume all of the obligations set forth in this Section 5.5(b). |
| 37 |
| 5.6. | Spin-Out |
Parent shall take the following actions prior to the Effective Time:
| (a) | cause eight percent (8%) of the issued and outstanding capital stock of Parent’s wholly-owned subsidiary, Halo, Purely For Pets, Inc., a Delaware corporation, to be contributed to a new wholly-owned special purpose subsidiary of Parent (the “Spin-Out SPV”), which Spin-Out SPV shall be established for the sole purpose of holding and transacting the capital stock of Halo, taxed as a U.S. corporation, governed by Parent’s Board of Directors prior to the Effective Time and by Michael Young following the Effective Time, and have such other rights and restrictions mutually acceptable to the Parties, acting reasonably; and | |
| (b) | immediately prior to the Effective Time on the Effective Date (the “Spin-Out”):(i) cause the equity interests in the Spin-Out SPV to be distributed as a dividend to the Parent Shareholders of record on the Effective Date and immediately prior to the Effective Time; and (ii) enter into a support agreement with the Spin-Out SPV on terms and conditions mutually agreed to by the parties, acting reasonably, pursuant to which Parent shall pay, or reimburse Spin-Out SPV for, all costs and expenses incurred by Spin-Out SPV or Michael Young, in connection with the on-going existence, administration and maintenance of Spin-Out SPV, including, without, limitation, all taxes payable by Spin-Out SPV and all expenses related to taxes, tax filings, accounting and legal expenses. |
Article
VI.
CONDITIONS
| 6.1. | Mutual Conditions Precedent |
The obligations of the Parties to complete the Arrangement are subject to the fulfillment of each of the following conditions precedent on or before the Effective Time or the waiver by each of SRx and Parent to the extent permitted by applicable Law and without prejudice to their right to rely on the fulfilment of any other of such conditions:
| (a) | the Interim Order shall have been granted on terms consistent with this Agreement and the Interim Order shall not have been set aside or modified in a manner unacceptable to either Party, acting reasonably, on appeal or otherwise; | |
| (b) | the Final Order shall have been granted on terms consistent with this Agreement and the Final Order shall not have been set aside or modified in a manner unacceptable to either Party, acting reasonably, on appeal or otherwise; | |
| (c) | the SRx Arrangement Resolution shall have been passed by the SRx Shareholders in accordance with the Interim Order and applicable Laws; | |
| (d) | the Parent Shareholder Approval Matters shall have been approved by the Parent Shareholders in accordance with applicable Laws; | |
| (e) | there shall have been delivered letters of resignation and mutual releases from such directors and officers of SRx and Parent as mutually agreed to, including as needed to implement the Parent Board Matters; | |
| (f) | the New Employment Agreements shall have been duly executed by each of the parties thereto; | |
| (g) | there shall have been no action taken under any applicable Law or by any Governmental Entity of competent jurisdiction which makes it illegal or otherwise directly or indirectly restrains, enjoins or prohibits the completion of the Arrangement; | |
| (h) | the Key Regulatory Approvals shall have been obtained on terms acceptable to Parent and SRx, each acting reasonably, and each such Key Regulatory Approval is in full force and effect and has not been modified; |
| 38 |
| (i) | holders of no more than five percent (5%) of the SRx Shares shall have exercised, and at the date of the SRx Meeting, have not withdrawn, Dissent Rights; | |
| (j) | the Parent Certificate of Designation shall have been filed with the Secretary of State of the State of Delaware, shall constitute a valid Parent Certificate of Designation under applicable Laws and shall have not been rescinded or amended in any way; and | |
| (k) | (i) the existing Parent Shares shall have been continually listed on NYSE American as of and from the date of this Agreement through the Effective Time and (ii) (a) the Parent Shares issuable to SRx Shareholders pursuant to the Arrangement (including pursuant to the exchange of the Exchangeable Shares) shall have been approved for listing on the NYSE American, subject to official notice of issuance, (b) immediately following the Effective Time, Parent shall satisfy any applicable continuing listing requirements of the NYSE American and (c) Parent shall not have received any notice of non-compliance with such listing requirements that has not been cured, or that would not be cured at or immediately following the Effective Time. |
| 6.2. | Additional Conditions Precedent in Favor of Parent, AcquireCo and CallCo |
The obligation of Parent, AcquireCo and CallCo to complete the Arrangement is subject to the fulfillment of each of the following additional conditions precedent on or before the Effective Time (each of which is for the exclusive benefit of Parent, AcquireCo and CallCo and may be waived by Parent):
| (a) | all covenants of SRx under this Agreement to be performed on or before the Effective Time shall have been duly performed by SRx in all material respects and Parent shall have received a certificate of SRx addressed to Parent and dated the Effective Date, signed on behalf of SRx by two senior executive officers of SRx (on SRx’s behalf and without personal liability), confirming the same as of the Effective Time; | |
| (b) | the representations and warranties of SRx set forth in this Agreement shall have been true and correct in all respects as of the date of this Agreement, and shall be true and correct in all respects as of the Effective Time as if made as of the Effective Time (except, in each case, for representations and warranties made as of a specified date, the accuracy of which shall be determined as of that specified date), except where any failure or failures of such representations and warranties to be so true and correct would not have, individually or in the aggregate, an SRx Material Adverse Effect (it being understood that, for purposes of determining the accuracy of such representations and warranties, all materiality, SRx Material Adverse Effect and similar qualifiers set forth in such representations and warranties shall be disregarded), and Parent shall have received a certificate of SRx addressed to Parent and dated the Effective Date, signed on behalf of SRx by two senior executive officers of SRx (on SRx’s behalf and without personal liability), confirming the same as at the Effective Time; | |
| (c) | there shall not have occurred an SRx Material Adverse Effect on or prior to the date hereof which is continuing, nor shall there have occurred an SRx Material Adverse Effect following the date hereof, and Parent shall have received a certificate signed on behalf of SRx by two senior executive officers of SRx (on SRx’s behalf and without personal liability) to such effect; | |
| (d) | all covenants of the SRx Supporting Shareholders under the SRx Voting Agreement to be performed on or before the Effective Time shall have been duly performed by the parties thereto (other than Parent) in all respects; | |
| (e) | the Lock-Up Agreements shall have been duly executed by each of the directors, executive officers and shareholders of SRx who will fall within the definition of “Locked-Up Persons” at the Effective Time; and |
| 39 |
| (f) | Parent shall have received a certificate of SRx, addressed to Parent and dated as of the Effective Date, signed on behalf of SRx by two senior executive officers of SRx (on SRx’s behalf and without personal liability), certifying as to (i) the SRx Net Debt, (ii) the SRx U.S. Dollar Net Debt as defined in the Plan of Arrangement, and (iii) the number of issued and outstanding securities of SRx immediately prior to the Effective Time. |
The foregoing conditions will be for the sole benefit of Parent, AcquireCo and CallCo and may be waived by the Parent in whole or in part at any time in its sole discretion.
| 6.3. | Additional Conditions Precedent in Favor of SRx |
The obligation of SRx to complete the Arrangement is subject to the fulfillment of each of the following additional conditions precedent on or before the Effective Time (each of which is for the exclusive benefit of SRx and may be waived by SRx):
| (a) | all covenants of Parent, AcquireCo and CallCo under this Agreement to be performed on or before the Effective Time shall have been duly performed by Parent, AcquireCo and CallCo in all material respects and SRx shall have received a certificate of Parent, AcquireCo and CallCo addressed to SRx and dated the Effective Date, signed on behalf of Parent, AcquireCo and CallCo by two senior executive officers of such Parties (on Parent’s, AcquireCo’s and CallCo’s behalf and without personal liability), confirming the same as of the Effective Time; | |
| (b) | the representations and warranties of Parent, AcquireCo and CallCo set forth in this Agreement shall have been true and correct in all respects as of the date of this Agreement, and shall be true and correct in all respects as of the Effective Time as if made as of the Effective Time (except, in each case, for representations and warranties made as of a specified date, the accuracy of which shall be determined as of that specified date), except where any failure or failures of such representations and warranties to be so true and correct would not have, individually or in the aggregate, a Parent Material Adverse Effect (it being understood that for purposes of determining the accuracy of such representations and warranties, all materiality, Parent Material Adverse Effect and similar qualifiers set forth in such representations and warranties shall be disregarded), and SRx shall have received a certificate of Parent, AcquireCo and CallCo addressed to SRx and dated the Effective Date, signed on behalf of Parent, AcquireCo and CallCo by two senior executive officers of Parent, AcquireCo and CallCo (on Parent’s, AcquireCo’s and CallCo’s behalf and without personal liability), confirming the same as at the Effective Time; | |
| (c) | there shall not have occurred a Parent Material Adverse Effect on or prior to the date hereof which is continuing, nor shall there have occurred a Parent Material Adverse Effect following the date hereof, and SRx shall have received a certificate signed on behalf of Parent by two senior executive officers of Parent (on Parent’s behalf and without personal liability) to such effect; | |
| (d) | all covenants of the Parent Supporting Shareholders under the Parent Voting Agreement to be performed on or before the Effective Time shall have been duly performed by the parties thereto (other than SRx) in all respects; | |
| (e) | the Lock-Up Agreements shall have been duly executed by each of the directors, executive officers and shareholders of SRx who will fall within the definition of “Locked-Up Persons” at the Effective Time; | |
| (f) | SRx shall have received a certificate of Parent, addressed to SRx and dated as the Effective Date, signed on behalf of Parent by two senior executive officers of Parent (on Parent’s behalf and without personal liability), certifying as to (i) 30-Day VWAP as defined in the Plan of Arrangement and (ii) the number of issued and outstanding securities of Parent immediately prior to the Effective Time; | |
| (g) | the Special Voting Share shall have been created and issued at or prior to the Effective Time; |
| 40 |
| (h) | the Support Agreement and the Voting Trust Agreement shall have been duly executed by the parties thereto at or prior to the Effective Time and shall remain in effect; | |
| (i) | the distribution of the Parent Shares and the Exchangeable Shares pursuant to the Arrangement shall be exempt from the prospectus and registration requirements of applicable Law by virtue of applicable exemptions under applicable law, and the first trade of the Parent Shares shall be exempt from the prospectus and registration requirements of applicable Law by virtue of applicable exemptions under applicable Law (provided that all conditions of the applicable prospectus or registration exemption relied on by the holder are satisfied); and | |
| (j) | Parent and AcquireCo shall have complied with its obligations under Section 2.9 and the Depositary shall have confirmed receipt of the aggregate Consideration contemplated thereby. |
The foregoing conditions will be for the sole benefit of SRx and may be waived by SRx in whole or in part at any time in its sole discretion.
| 6.4. | Notice and Cure Provisions |
| (a) | Each Party will give prompt notice to the other of the occurrence, or failure to occur, at any time from the date hereof until the earlier to occur of the termination of this Agreement and the Effective Time, of any event or state of facts which occurrence or failure would, or would be likely to: |
| (i) | cause any of the representations or warranties of any Party contained herein to be untrue or inaccurate in any material respect on the date hereof or at the Effective Time; or | |
| (ii) | result in the failure to comply with or satisfy any covenant, condition or agreement to be complied with or satisfied by any Party hereunder prior to the Effective Time. |
| (b) | Notice provided under this Section 6.4 will not affect the representations, warranties, covenants, agreements or obligations of the Parties (or remedies with respect thereto) or the conditions to the obligations of the Parties under this Agreement. | |
| (c) | Parent may not exercise its rights to terminate this Agreement pursuant to Section 8.2(a)(iii)(C), and SRx may not exercise its right to terminate this Agreement pursuant to Section 8.2(a)(iv)(C), unless the Party intending to rely thereon has delivered a written notice to the other Party specifying in reasonable detail all breaches of covenants, representations and warranties or other matters which the Party delivering such notice is asserting as the basis for the non-fulfilment or the applicable condition or termination right, as the case may be. If any such notice is delivered, provided that a Party is proceeding diligently to cure such matter and such matter is capable of being cured prior to the Outside Date, no Party may terminate this Agreement until the expiration of a period of ten (10) Business Days from such notice, and then only if such matter has not been cured by such date. If such notice has been delivered less than ten (10) Business Days prior to the making of the application for the Final Order, such application and such filing shall be postponed until the expiry of such period, provided that such extension does not result in a filing of the Final Order after the Outside Date. For greater certainty, in the event that such matter is cured within the time period referred to herein without having a Parent Material Adverse Effect or an SRx Material Adverse Effect, as the case may be, this Agreement may not be terminated as a result of the cured breach. |
| 6.5. | Satisfaction of Conditions |
Other than as set forth in this Article VI, the conditions precedent set out in Section 6.1, Section 6.2 and Section 6.3 shall be conclusively deemed to have been satisfied, waived or released when the Certificate of Arrangement is issued by the Director following filing of the Articles of Arrangement with the consent of the Parties in accordance with the terms of this Agreement.
| 41 |
Article
VII.
ADDITIONAL COVENANTS
| 7.1. | Covenant Regarding Non-Solicitation |
Each Party shall, and shall direct and cause its Representatives to immediately, cease and cause to be terminated any solicitation, encouragement, activity, discussion or negotiation with any parties that may be ongoing with respect to an Acquisition Proposal involving such Party whether or not initiated by such Party, discontinue access to any parties (other than a Party to this Agreement and its Representatives) to any dataroom that contains information regarding the SRx Group or the Parent Group (as applicable), and to the extent such Party entered into a confidentiality agreement with any such parties, such Party shall request the return of information regarding the SRx Group or the Parent Group (as applicable) previously provided to such parties and shall request the destruction of all materials including or incorporating any confidential information regarding the SRx Group or the Parent Group (as applicable) pursuant to any such confidentiality agreement. Each Party represents and warrants that it has not, and agrees not to, release or permit the release of any Person from, or waive or forbear in the enforcement of, any confidentiality agreement or other similar agreement relating to a potential Acquisition Proposal involving such Party to which such third party is a party. Each Party further represents and warrants that it has not, and agrees not to, release or permit the release of any Person from, or waive or forbear in the enforcement of, any standstill or similar agreement or obligation to which such third party is a party or by which such third party is bound.
| 7.2. | Covenant Regarding Acquisition Proposals |
| (a) | Each Party agrees that it shall not, and shall cause its Representatives (including the SRx Board or the Parent Board, as applicable) not to, directly or indirectly: |
| (i) | make, solicit, initiate, entertain, knowingly encourage, promote or facilitate, (including by way of furnishing non-public information, permitting any visit to its facilities or properties or entering into any form of agreement, arrangement or understanding) any inquiries or offers or the making of any proposals regarding or that would reasonably be expected to constitute an Acquisition Proposal involving such Party or that would be reasonably be expected to lead to an actual or potential Acquisition Proposal involving such Party; | |
| (ii) | participate, directly or indirectly, in any discussions or negotiations regarding, or furnish to any Person any non-public information or otherwise co-operate with, respond to, assist or participate in any Acquisition Proposal involving such Party or potential Acquisition Proposal involving such Party or participate in any discussions or negotiations regarding an actual or potential Acquisition Proposal involving such Party, or furnish any information or access to any Person (other than a Party to this Agreement and its Representatives) with respect to any inquiries, proposals or offers that constitute, or that would reasonably be expected to lead to, an actual or potential Acquisition Proposal involving such Party; | |
| (iii) | remain neutral with respect to, or agree to, approve or recommend any, Acquisition Proposal involving such Party or potential Acquisition Proposal involving such Party (it being understood that publicly taking no position or a neutral position with respect to an Acquisition Proposal involving such Party for a period of no more than five (5) Business Days following formal announcement of such Acquisition Proposal shall not be considered to be a violation of this Section 7.2(a)(iii)); | |
| (iv) | enter into any agreement, arrangement or understanding related to any Acquisition Proposal involving such Party (other than, in the case of the Parent, an Acceptable Confidentiality Agreement) or requiring it to abandon, terminate or fail to consummate the Arrangement or the transactions contemplated by this Agreement or providing for the payment of any break, termination or other fees or expenses to any Person in the event that the Arrangement or the transactions contemplated by this Agreement are completed or in the event that it completes any other transaction with the other Party or Parties or with an affiliate of the other Party or Parties that is agreed to prior to any termination of this Agreement (any such agreement, arrangement or understanding, an “Alternative Acquisition Agreement”); or | |
| (v) | subject to Article VII, make a Change in Recommendation. |
| 42 |
| (b) | SRx shall promptly (and in any event within 24 hours) notify Parent, at first orally and then in writing, of any proposals, offers or inquiries relating to or constituting or that would reasonably be expected to lead to an SRx Acquisition Proposal or any request for non-public information relating to SRx or any of its subsidiaries. Such notice shall include a description of the terms and conditions of any proposal, inquiry or offer, the identity of the Person making such proposal, inquiry or offer, a copy of the proposal, offer or inquiry (if written), and provide such other details of the proposal, inquiry or offer as Parent may reasonably request. SRx shall keep Parent fully informed on a prompt basis of the status, including any change to the material terms, of any such proposal, inquiry or offer, provided that, for greater certainty, SRx shall at all times comply with its obligations under Section 7.2(a) | |
| (c) | Parent, AcquireCo and CallCo shall promptly (and in any event within 24 hours) notify SRx, at first orally and then in writing, of any proposals, offers or inquiries relating to or constituting or that would reasonably be expected to lead to a Parent Acquisition Proposal or any request for non-public information relating to Parent or any of its subsidiaries. Such notice shall include a description of the terms and conditions of any proposal, inquiry or offer, the identity of the Person making such proposal, inquiry or offer, a copy of the proposal, offer or inquiry (if written), and provide such other details of the proposal, inquiry or offer as SRx may reasonably request. Parent shall keep SRx fully informed on a prompt basis of the status, including any change to the material terms, of any such proposal, inquiry or offer. | |
| (d) | SRx shall ensure that its officers, directors and any financial advisors or other advisors or Representatives retained by it are aware of the provisions of Section 7.1 and this Section 7.2, and SRx shall be responsible for any breach of Section 7.1 or this Section 7.2 by such officers, directors, financial advisors or other advisors or Representatives. Each of Parent, AcquireCo and CallCo shall ensure that its officers, directors and any financial advisors or other advisors or Representatives retained by it are aware of the provisions of Section 7.1 and this Section 7.2, and each of Parent and AcquireCo shall be responsible for any breach of Section 7.1 or this Section 7.2 by such officers, directors, financial advisors or other advisors or Representatives. | |
| (e) | Nothing contained in Section 7.1 or Section 7.2 shall prohibit Parent from taking and disclosing a position contemplated by Rule 14e-2(a), Rule 14d-9 or Item 1012(a) of Regulation M-A promulgated under the U.S. Exchange Act. |
| 7.3. | Responding to a Parent Acquisition Proposal |
| (a) | Notwithstanding Section 7.1 and Section 7.2, if Parent receives a bona fide written Parent Acquisition Proposal from a third party prior to obtaining the Parent Shareholder Approval, Parent may engage in or participate in discussions or negotiations with such Person regarding such Parent Acquisition Proposal, and may provide copies of, access to or disclosure of confidential information, properties, facilities, books or records of itself and its subsidiaries, if and only if: |
| (i) | the Parent Board first determines in good faith, based on the advice of its financial advisors and its outside counsel, that such Parent Acquisition Proposal is bona fide and constitutes or would reasonably be expected to constitute a Superior Proposal, and, based on the advice of its outside counsel, that the failure to engage in such discussions or negotiations would be inconsistent with its fiduciary duties; |
| 43 |
| (ii) | such Person was not restricted from making such Parent Acquisition Proposal pursuant to an existing standstill confidentiality, non-disclosure, business purpose, use or similar restriction or agreement; | |
| (iii) | it has been, and continues to be, in compliance with its obligations under Section 7.1 through Section 7.4, and such Parent Acquisition Proposal was unsolicited and did not otherwise result from a breach of Section 7.1 or Section 7.2; | |
| (iv) | prior to providing any such copies, access, or disclosure, it enters into a confidentiality and standstill agreement with such Person having terms at least as favorable to Parent as the Confidentiality Agreement (an “Acceptable Confidentiality Agreement”); and | |
| (v) | it promptly provides SRx with: |
| (A) | prior written notice stating its intention to participate in such discussions or negotiations and to provide such copies, access or disclosure, together with a copy of written advice from its outside counsel that the failure to engage in such discussions or negotiations would be inconsistent with the fiduciary duties of the Parent Board; and | |
| (B) | prior to providing any such copies, access or disclosure, a true, complete and final executed copy of the Acceptable Confidentiality Agreement referred to in Section 7.3(a)(iv), |
provided, that Parent shall not, and shall not allow its Representatives to, disclose any non-public information with respect to it or any of its subsidiaries to such Person if such non-public information has not been previously provided to, or is not concurrently provided to, SRx.
| 7.4. | Superior Proposals; Right to Match |
| (a) | Notwithstanding Section 7.1 and Section 7.2, at any time prior to obtaining the Parent Shareholder Approval, the Parent Board may, if the Parent Board determines in good faith, based on the advice of its outside counsel and financial advisors, that the Superior Proposal remains a Superior Proposal (after taking into account all adjustments to the terms of this Agreement that may be offered by SRx pursuant to this Section 7.4), (A) make a Parent Change in Recommendation in response to a Superior Proposal and (B) cause Parent to terminate this Agreement in accordance with Section 8.2(a)(iii)(A), and concurrently enter into a binding Alternative Acquisition Agreement with respect to any such Superior Proposal, provided that: |
| (i) | the Parent Board may not make a Parent Change in Recommendation or terminate this Agreement pursuant to Section 8.2(a)(iii)(A), unless: |
| (A) | such Person was not restricted from making such Parent Acquisition Proposal pursuant to an existing standstill confidentiality, non-disclosure, business purpose, use or similar restriction or agreement; |
| 44 |
| (B) | Parent has been, and continues to be, in compliance with its obligations under Section 7.1 through Section 7.4, and such Parent Acquisition Proposal was unsolicited and did not otherwise result from a breach of Section 7.1 or Section 7.2; |
| (C) | Parent has delivered to SRx a written notice of the determination of Parent Board that such Parent Acquisition Proposal constitutes a Superior Proposal and of the intention of the Parent Board to make a Parent Change in Recommendation, terminate this Agreement pursuant to Section 8.2(a)(iii)(A), and enter into a definitive Alternative Acquisition Agreement with respect to such Superior Proposal, together with (1) a written notice from the Parent Board regarding the value and financial terms that the Parent Board, in consultation with its financial advisors, has determined should be ascribed to any non-cash consideration offered under such Superior Proposal and (2) a copy of the proposed definitive Alternative Acquisition Agreement and any other relevant transaction documents (the “Superior Proposal Notice”); |
| (D) | at least five (5) Business Days (the “Superior Proposal Matching Period”) have elapsed from the date on which SRx received the Superior Proposal Notice; |
| (E) | during any Superior Proposal Matching Period, SRx has had the opportunity (but not the obligation), in accordance with Section 7.4(b), to offer to amend this Agreement and the Arrangement in order for such Parent Acquisition Proposal to cease to be a Superior Proposal; and |
| (F) | if SRx has offered to amend this Agreement and the Arrangement under Section 7.4(b), the Parent Board has determined in good faith, based on the advice of its outside legal counsel and financial advisers, that such Parent Acquisition Proposal continues to constitute a Superior Proposal compared to the terms of the Arrangement as proposed to be amended under Section 7.4(b). |
| (b) | During any Superior Proposal Matching Period, or such longer period as Parent may approve in writing for such purpose: (i) the Parent Board shall review any offer made by SRx under Section 7.4(a)(i)(F) to amend the terms of this Agreement and the Arrangement in good faith in order to determine whether such proposal would, upon acceptance, result in the Parent Acquisition Proposal previously constituting a Superior Proposal ceasing to be a Superior Proposal; and (ii) Parent shall negotiate in good faith with SRx to make such amendments to the terms of this Agreement and the Arrangement as would enable SRx to proceed with the transactions contemplated by this Agreement on such amended terms. If the Parent Board determines that such Parent Acquisition Proposal would cease to be a Superior Proposal, Parent shall promptly so advise SRx, and the Parties shall amend this Agreement to reflect such offer made by SRx, and shall take and cause to be taken all such actions as are necessary to give effect to the foregoing. |
| (c) | Each successive amendment to any Parent Acquisition Proposal that results in an increase in, or modification of, the consideration (or value of such consideration) to be received by the Parent Shareholders or other material terms or conditions thereof shall constitute a new Parent Acquisition Proposal for the purposes of this Section 7.4, which shall require a new Superior Proposal Notice to SRx. SRx shall be afforded a new five (5) Business Day Superior Proposal Matching Period from the date on which SRx receives the Superior Proposal Notice with respect to such amended Parent Acquisition Proposal from Parent. |
| (d) | The Parent Board shall promptly reaffirm the Parent Board Recommendation by press release after any Parent Acquisition Proposal which is not determined to be a Superior Proposal is publicly announced or the Parent Board determines that a proposed amendment to the terms of this Agreement as contemplated under Section 7.4(b) would result in a Parent Acquisition Proposal no longer being a Superior Proposal. Parent shall provide SRx and its outside legal counsel with a reasonable opportunity to review the form and content of any such press release and shall make all reasonable amendments to such press release as requested by SRx and its outside legal counsel. |
| 45 |
| (e) | If Parent provides a Superior Proposal Notice to SRx after a date that is less than ten (10) Business Days before the Parent Meeting, Parent shall either proceed with or shall postpone such meeting, as directed by SRx acting reasonably, to a date that is not more than ten (10) Business Days after the scheduled date of that meeting but before the Outside Date. |
| 7.5. | Access to Information; Confidentiality; Transition From the date hereof until the earlier of the Effective Time and the termination of this Agreement pursuant to its terms, subject to compliance with applicable Law and the terms of any existing Contracts, each Party shall, and shall cause its Representatives to, afford to the other Party and its Representatives reasonable access during normal business hours upon reasonable notice, to the properties, information and records relating to, and the personnel of, such Party, including the related facilities, books, contracts, financial statements, forecasts, financial projections (to the extent permitted by confidentiality agreements in force on the date hereof), studies, records, operating Permits, and any other documentation (whether in writing or stored in computerized, electronic, disk, tape, microfilm or any other form); provided, however, that each Party shall provide the other Party with at least one (1) Business Day prior written notice of any requested on site access to any real property of the other Party. Each of Parent and SRx shall, and shall cause their subsidiaries and their respective Representatives to, as the case may be, work cooperatively and in good faith to ensure an orderly transition following the Effective Time, including with respect to transitional planning, transitional services, and the retention of personnel (and any related arrangements thereto). From the date hereof until the earlier of the Effective Time and the termination of this Agreement pursuant to its terms, each Party will maintain the access of the other Party and its Representatives to the information contained as at the date of this Agreement in any dataroom that contains information regarding the such Party to which the other Party and its Representatives have access as at the date of this Agreement. |
| 7.6. | Other Deliveries |
| (a) | Within ten (10) Business Days after the date hereof, (i) SRx shall deliver to Parent all of the SRx Voting Agreements, and (ii) Parent shall deliver to SRx all of the Parent Voting Agreements (provided, however, that the SRx Voting Agreement with Adesh Vora has been entered into prior to or contemporaneously with the execution of this Agreement). | |
| (b) | As promptly as practicable after the execution and deliver of this Agreement, and in any event prior to the Effective Time, (i) SRx shall deliver to Parent Lock-Up Agreements duly executed by each of the directors, executive officers and shareholders of SRx who will fall within the definition of “Locked-Up Persons” at the Effective Time, and (ii) Parent shall deliver to SRx Lock-Up Agreements duly executed by each of the directors, executive officers and shareholders of Parent who will fall within the definition of “Locked-Up Persons” at the Effective Time. |
Article
VIII.
TERM, TERMINATION, AMENDMENT AND WAIVER
| 8.1. | Term |
| This Agreement shall be effective from the date hereof until the earlier of the Effective Time and the termination of this Agreement in accordance with its terms. |
| 8.2. | Termination |
| (a) | This Agreement may be terminated: | |
| (i) | at any time prior to the Effective Time by mutual written agreement of SRx and Parent; |
| 46 |
| (ii) | by either SRx or Parent, if: |
| (A) | the Effective Time shall not have occurred on or before the Outside Date, except that the right to terminate this Agreement under this Section 8.2(a)(ii)(A) shall not be available to any Party whose failure to fulfill any of its obligations or breach any of its covenants, representations and warranties under this Agreement has been the cause of, or resulted in, the failure of the Effective Time to occur on or before the Outside Date; provided however, that if completion of the Arrangement is delayed by (i) an injunction or order made by a Governmental Entity of competent jurisdiction, or (ii) Parent or SRx not having obtained any Key Regulatory Approval or the Interim Order or the Final Order which is necessary to permit the completion of the Arrangement such that the conditions set forth in Section 6.1(a), 6.1(b) or 6.1(h) shall not have been satisfied or waived then, provided that such injunction or order is being contested or appealed or such regulatory waiver, consent or approval or the Interim Order or the Final Order is being actively sought, as applicable, the Outside Date shall automatically be extended for an additional period of thirty (30) days; |
| (B) | after the date of this Agreement, any Governmental Entity of competent jurisdiction shall have issued an order, decree or ruling or there shall be enacted or made any applicable Law that makes consummation of the Arrangement illegal or otherwise prohibited or otherwise restrains, enjoins or prohibits SRx or Parent, AcquireCo or CallCo from consummating the Arrangement (unless such order, decree, ruling or applicable Law has been withdrawn, reversed or otherwise made inapplicable) and such order, decree, ruling or applicable Law or enjoinment shall have become final and non-appealable; |
| (C) | the SRx Securityholder Approval shall not have been obtained at the SRx Meeting (at which a vote was held) in accordance with applicable Law and the Interim Order; |
| (D) | the Parent Shareholder Approval Matters shall not have been approved at the Parent Meeting (at which a vote was held) in accordance with applicable Law; or |
| (E) | as of the date of the SRx Meeting, the condition set forth in Section 6.1(i) has not been satisfied or waived by all Parties. |
| (iii) | by Parent, if: |
| (A) | prior to obtaining the Parent Shareholder Approval, the Parent Board authorizes Parent to accept a Superior Proposal, provided that Parent shall have (1) simultaneously with such termination, entered into the Alternative Acquisition Agreement associated with such Superior Proposal, (2) otherwise complied with its obligations set forth in Section 7.1 through Section 7.4 and (3) paid any amounts due pursuant to Section 8.3(b); |
| (B) | there shall have occurred an SRx Material Adverse Effect which is incapable of being cured by the Outside Date; |
| (C) | subject to Section 6.4, SRx is in default of a covenant or obligation hereunder (other than the covenants and obligations set forth in Section 7.1 and Section 7.2, as to which Section 8.2(a)(iii)(D) shall apply) such that the condition contained in Section 6.2(a) is not satisfied or is incapable of satisfaction, or any representation or warranty of SRx or SRx under this Agreement is untrue or incorrect or shall have become untrue or incorrect such that the condition contained in Section 6.2(b) would be incapable of satisfaction; provided that Parent, AcquireCo and CallCo are not then in breach of this Agreement so as to cause any of the conditions set forth in Section 6.2(a) or Section 6.2(b) not to be satisfied; or |
| (D) | SRx shall have breached or failed to perform any of its obligations set forth in Section 7.1 through Section 7.4. |
| 47 |
| (iv) | by SRx, if: |
| (A) | there shall have occurred a Parent Change in Recommendation; |
| (B) | there shall have occurred a Parent Material Adverse Effect which is incapable of being cured by the Outside Date; |
| (C) | subject to Section 6.4, Parent, AcquireCo or CallCo is in default of a covenant or obligation hereunder (other than the covenants and obligations set forth in Section 7.1 and Section 7.2, as to which Section 8.2(a)(iv)(D) shall apply) such that the condition contained in Section 6.3(a) is not satisfied or is incapable of satisfaction, or any representation or warranty of Parent or AcquireCo under this Agreement is untrue or incorrect or shall have become untrue or incorrect such that the condition contained in Section 6.3(b) would be incapable of satisfaction; provided that SRx is not then in breach of this Agreement so as to cause any of the conditions set forth in Section 6.3(a) or 6.3(b) not to be satisfied; or |
| (D) | Parent shall have breached or failed to perform any of its obligations set forth in Section 7.1 through Section 7.4. |
| (b) | Subject to Section 6.4(b), the Party desiring to terminate this Agreement pursuant to this Section 8.2 (other than pursuant to Section 8.2(a)(i)) shall give notice of such termination to the other Party, specifying in reasonable detail the basis for such Party’s exercise of its termination right. |
| (c) | If this Agreement is terminated pursuant to this Section 8.2, this Agreement shall become void and be of no further force or effect without liability of any Party (or any shareholder or other Representative of such Party) to any other Party hereto, except that the provisions of this Section 8.2(c) and Section 8.3, Section 9.1, Section 9.3, Section 9.4, Section 9.6, Section 9.7 and Section 9.8 and all related definitions set forth in Section 1.1 and the provisions of the Confidentiality Agreement shall survive any termination of this Agreement pursuant to this Section 8.2; provided further that neither the termination of this Agreement pursuant to this Section 8.2 nor anything contained in this Section 8.2 shall relieve a Party from any Liability arising prior to such termination arising from any willful and material breach of this Agreement or fraud. |
| 8.3. | Expenses and Termination Payment |
| (a) | Except as otherwise provided herein, the Parties agree that all costs and expenses of the Parties relating to the Arrangement and the transactions contemplated in this Agreement, including legal fees, accounting fees, financial advisory fees, strategic advisory fees, regulatory filing fees, stock exchange fees, all disbursements of advisors and printing and mailing costs, shall be paid by the Party incurring such expenses. | |
| (b) | The Termination Payment shall be payable by Parent to SRx in the event that this Agreement is terminated in the following circumstances: |
| (i) | pursuant to Section 8.2(a)(iv)(A) (Parent Change in Recommendation), Section 8.2(a)(iv)(D) (Breach of Parent Non-Solicitation Covenants) or Section 8.2(a)(iii)(A) (Superior Proposal); or |
| 48 |
| (ii) | pursuant to Section 8.2(a)(ii)(A) (Outside Date), Section 8.2(a)(ii)(D) (Failure to Approve Parent Shareholder Approval Matters), Section 8.2(a)(iv)(B) (Parent Material Adverse Effect) or Section 8.2(a)(iv)(C) (Parent Breach) if, in any such case, prior to the earlier of the termination of this Agreement or the holding of the Parent Meeting, (A) a Parent Acquisition Proposal, or the intention to make a Parent Acquisition Proposal, shall have been publicly announced by any Person (other than SRx or any of its affiliates) and not withdrawn prior to such termination or holding of the Parent Meeting, and (B) within twelve (12) months after the later of the date of termination of this Agreement or the holding of the Parent Meeting, (1) Parent has entered into a definitive agreement with respect to or consummated a Parent Acquisition Proposal, (2) a Parent Acquisition Proposal has been publicly accepted or recommended by the Parent Board, or (3) a Parent Acquisition Proposal has been approved by or submitted for approval to the Parent Shareholders. For the purpose of this Section 8.3(b)(ii), the term “Parent Acquisition Proposal” shall have the meaning ascribed to such term in Section 1.1, except that references to “20%” shall be deemed to be “50%”. For the avoidance of doubt, the Parent Acquisition Proposal referred to in clauses (B)(1), (B)(2) and (B)(3) of this Section 8.3(b)(ii) need not be the same Parent Acquisition Proposal that was made to Parent or publicly announced prior to the termination of this Agreement or holding of the Parent Meeting. |
The Termination Payment shall be made by Parent by wire transfer of same-day funds, to an account designated by SRx, (x) in the event that this Agreement is terminated pursuant to Section 8.2(a)(iii)(A), simultaneously with, and as a condition to the effectiveness of, such termination, (y) in the event that this Agreement is terminated pursuant to Section 8.2(a)(iv)(A) or Section 8.2(a)(iv)(D), as soon as practicable, and in any event within two (2) Business Days of the date on which this Agreement is terminated, and (z) in the event that the Termination Payment is payable pursuant to Section 8.3(b)(ii), on the earliest occur of the events referred to in clauses (B)(1), (B)(2) and (B)(3) thereof.
SRx hereby acknowledges that the Termination Payment to which it may become entitled to is a payment of liquidated damages which is a genuine pre-estimate of the damages which it will suffer or incur as a result of the event giving rise to such damages and the resultant non-completion of the Arrangement and the transactions contemplated by this Agreement and is not a penalty. Parent hereby irrevocably waives any right it may have to raise as a defense that any such liquidated damages are excessive or punitive. Upon receipt by SRx of the Termination Payment, SRx shall have no further Claim against Parent at law or in equity or otherwise (including injunctive relief to restrain any breach or threatened breach by Parent of any of its obligations hereunder or otherwise to obtain specific performance).
| 8.4. | Amendment Subject to the provisions of the Interim Order and Final Order, the Plan of Arrangement and applicable Law, this Agreement and the Plan of Arrangement may, at any time and from time to time prior to the Effective Time, be amended only by mutual written agreement of Parent and SRx, and any such amendment may, without limitation: |
| (a) | change the time for performance of any of the obligations or acts of the Parties; |
| (b) | waive any inaccuracies or modify any representation or warranty contained herein or in any document delivered pursuant hereto; |
| (c) | waive compliance with or modify any of the covenants herein contained and waive or modify performance of any of the obligations of the Parties; and |
| (d) | waive compliance with or modify any mutual conditions precedent herein contained. |
Notwithstanding the foregoing, after each of the SRx Securityholder Approval and the Parent Shareholder Approval has been obtained, no amendment shall be made that pursuant to applicable Law requires further approval or adoption by the SRx Shareholders or the Parent Shareholders without such further approval or adoption.
| 49 |
| 8.5. | Waiver
Any Party may (a) extend the time for the performance of any of the obligations or acts of the other Party, (b) waive compliance, except as provided herein, with any of the other Party’s agreements or the fulfilment of any conditions to its own obligations contained herein, or (c) waive inaccuracies in any of the other Party’s representations or warranties contained herein or in any document delivered by the other Party, in each case only to the extent such obligations, agreements and conditions are intended for its benefit. Notwithstanding the foregoing, after each of the SRx Securityholder Approval and the Parent Shareholder Approval has been obtained, no waiver shall be made that pursuant to applicable Law requires further approval or adoption by the SRx Shareholders or the Parent Shareholders without such further approval or adoption. No extension or waiver shall be valid unless set forth in an instrument in writing signed on behalf of the waiving Party and, unless otherwise provided in the written waiver, will be limited to the specific breach or condition waived and shall not extend to any other matter or occurrence. No failure or delay in exercising any right, power or privilege under this Agreement will operate as a waiver thereof, nor will any single or partial exercise thereof preclude any other or further exercise thereof or the exercise of any right, power or privilege under this Agreement. |
Article
IX.
GENERAL PROVISIONS AND MISCELLANEOUS
| 9.1. | Privacy
Each Party shall comply with applicable privacy Laws in the course of collecting, using and disclosing Personal Information in connection with the transactions contemplated hereby (the “Transaction Personal Information”). No Party shall disclose Transaction Personal Information originally collected by any other Party to any Person other than to its advisors who are evaluating and advising on the transactions contemplated by this Agreement. If Parent completes the transactions contemplated by this Agreement, Parent shall not, following the Effective Date, without the consent of the individuals to whom such Transaction Personal Information relates or as permitted or required by applicable Law, use or disclose Transaction Personal Information originally collected by SRx: |
| (a) | for purposes other than those for which such Transaction Personal Information was collected by SRx prior to the Effective Date; and |
| (b) | which does not relate directly to the carrying on of the business of SRx (including carrying on the SRx Business) or to the carrying out of the purposes for which the transactions contemplated by this Agreement were implemented. |
The Parties shall protect and safeguard the Transaction Personal Information against unauthorized collection, use or disclosure. Parent shall cause its advisors to observe the terms of this Section 9.1 and to protect and safeguard all Transaction Personal Information in their possession. If this Agreement shall be terminated, each Party shall promptly deliver to the other Party all Transaction Personal Information originally collected by such other Party in its possession or in the possession of any of its advisors, including all copies, reproductions, summaries or extracts thereof, except, unless prohibited by applicable Law, for electronic backup copies made automatically in accordance with the usual backup procedures of the Party returning such Transaction Personal Information.
| 50 |
| 9.2. | Notices
All notices and other communications given or made pursuant to this Agreement shall be in writing and shall be deemed to have been duly given and received on the day it is delivered, provided that it is delivered on a Business Day prior to 4:30 p.m. Toronto time in the place of delivery or receipt. However, if notice is delivered after 4:30 p.m. Toronto time or if such day is not a Business Day then the notice shall be deemed to have been given and received on the next Business Day. Notice shall be sufficiently given if delivered (either in person, by courier service or other personal method of delivery), or if transmitted by e-mail to the Parties at the following addresses (or at such other addresses as shall be specified by any Party by notice to the other given in accordance with these provisions): |
| (a) | if to Parent, AcquireCo or CallCo: |
12400 Race Track Road
Tampa, FL 33626
Attention: Mike Young and Carolina Martinez
Email: myoung@cottcap.com / nmartinez@bttrco.com
Wildeboer Dellelce LLP
Suite 800, Wildeboer Dellelce Place
365 Bay Street
Toronto, ON M5H 2V1
Attention: Perry Dellelce and James Brown
Email: perry@wildlaw.ca; jbrown@wildlaw.ca
and to:
Meister Seelig & Fein PLLC
125 Park Avenue, 7th Floor
New York, New York 10017
Attention Louis Lombardo
Email: LL@msf-law.com
| (b) | if to SRx: |
SRX Health Solutions Inc.
65 Queen street West
8th floor Toronto, On
M5H 2M5
Attention: Adesh Vora and Dave Sohi
Email: adesh.vora@srxhealth.ca / dave.sohi@srxhealth.ca
and to:
Borden Ladner Gervais LLP
Bay Adelaide Centre, East Tower,
22 Adelaide St. West
Toronto, ON, Canada M5H 4E3
Attention: Colin Cameron-Vendrig
Email: ccameronvendrig@blg.com
Dorsey & Whitney LLP
TD Canada Trust Tower
Brookfield Place 161 Bay Street, Suite 4310
Toronto, ON M5J 2S1
Attention: Richard Raymer
Email: raymer.richard@dorsey.com
| 9.3. | Governing Law |
This Agreement shall be governed, including as to validity, interpretation and effect, by the Laws of the Province of Ontario and the Laws of Canada applicable therein, without giving effect to any principles of conflict of Laws thereof which would result in the application of the Laws of any other jurisdiction. Each of the Parties hereby irrevocably attorns to the exclusive jurisdiction of the courts of the Province of Ontario in respect of all matters arising under and in relation to this Agreement and the Arrangement. Notwithstanding the foregoing, any provisions of this Agreement with respect to US Securities Laws shall be governed by applicable US Laws, and any provisions with respect to the corporate governance, existence, good standing and authority of Parent shall be governed by the DGCL.
| 9.4. | Injunctive Relief |
Subject to Section 8.3(b), the Parties acknowledge and agree that irreparable harm would occur for which money damages would not be an adequate remedy at law in the event that any of the provisions of this Agreement were not performed in accordance with their specific terms or were otherwise breached. Accordingly, the Parties agree that, in the event of any breach or threatened breach of this Agreement by a Party, the non-breaching Party will be entitled, without the requirement of posting a bond or other security, to seek equitable relief, including injunctive relief and specific performance, and the Parties shall not object to the granting of injunctive or other equitable relief on the basis that there exists an adequate remedy at law. Subject to Section 8.3(b), such remedies will not be the exclusive remedies for any breach of this Agreement but will be in addition to all other remedies available at law or equity to each of the Parties.
| 51 |
| 9.5. | Time of Essence |
Time shall be of the essence in this Agreement.
| 9.6. | Entire Agreement, Binding Effect and Assignment |
This Agreement (including the exhibits and schedules hereto and the SRx Disclosure Letter, the Parent Disclosure Letter and the other agreements, documents and certificates delivered or to be delivered pursuant to this Agreement) and the Confidentiality Agreement constitute the entire agreement, and supersede all other prior agreements and understandings, both written and oral, among the Parties, or any of them, with respect to the subject matter hereof and thereof and, except as expressly provided herein, this Agreement is not intended to and shall not confer upon any Person other than the Parties any rights or remedies hereunder. This Agreement shall inure to the benefit of and be binding upon the Parties and their respective successors and permitted assigns. Neither this Agreement nor any of the rights, interests or obligations hereunder may be assigned by any of the Parties without the prior written consent of the other Parties.
| 9.7. | No Liability |
No director or officer of Parent shall have any personal liability whatsoever to SRx under this Agreement, or any other document delivered in connection with the transactions contemplated hereby on behalf of Parent. No director or officer of SRx shall have any personal liability whatsoever to Parent, AcquireCo or CallCo under this Agreement, or any other document delivered in connection with the transactions contemplated hereby on behalf of SRx.
| 9.8. | Severability |
If any term or other provision of this Agreement is invalid, illegal or incapable of being enforced by any rule or Law or public policy, all other conditions and provisions of this Agreement shall nevertheless remain in full force and effect so long as the economic or legal substance of the transactions contemplated hereby is not affected in any manner materially adverse to any Party. Upon such determination that any term or other provision is invalid, illegal or incapable of being enforced, the Parties shall negotiate in good faith to modify this Agreement so as to effect the original intent of the Parties as closely as possible in an acceptable manner to the end that the transactions contemplated hereby are fulfilled to the fullest extent possible.
| 9.9. | Counterparts; Execution |
This Agreement may be executed in one or more counterparts, each of which shall be deemed to be an original but all of which together shall constitute one and the same instrument. The Parties shall be entitled to rely upon delivery of an executed facsimile or similar executed electronic copy of this Agreement, and such facsimile or similar executed electronic copy shall be legally effective to create a valid and binding agreement among the Parties.
| 52 |
IN WITNESS WHEREOF, the Parties have executed this Arrangement Agreement as of the date first written above by their respective officers thereunto duly authorized.
| BETTER CHOICE COMPANY INC. | ||
| By: | ||
| Name: | Kent Cunningham | |
| Title: | Chief Executive Officer | |
| 1000994476 ONTARIO INC. | ||
| By: | ||
| Name: | Michael Young | |
| Title: | President | |
| 1000994085 ONTARIO INC. | ||
| By: | ||
| Name: | Michael Young | |
| Title: | President | |
| SRX HEALTH SOLUTIONS INC. | ||
| By: | ||
| Name: | Adesh Vora | |
| Title: | President & Chief Executive Officer | |
| SRX HEALTH SOLUTIONS INC. | ||
| By: | ||
| Name: | Dave Sohi | |
| Title: | Chief Financial Officer | |
Schedule
A
Plan of Arrangement
[See Attached]
| A-1 |
Schedule
B
SRx Arrangement
Resolution
| a) | the arrangement (the “Arrangement”) under Section 182 of the Business Corporations Act (Ontario) (the “OBCA”) involving BETTER CHOICE COMPANY INC., a corporation existing under the laws of the State of Delaware (“Parent”), 1000994476 ONTARIO INC., a corporation existing under the laws of the Province of Ontario (“AcquireCo”), 1000994085 ONTARIO INC., a corporation existing under the laws of the Province of Ontario (“CallCo”), and SRX HEALTH SOLUTIONS INC., a corporation existing under the laws of the Province of Ontario (“SRx”), as more particularly described and set forth in the management information circular of SRx (the “Circular”) dated ________, 2024 accompanying the notice of this meeting (as the Arrangement may be, or may have been, modified, amended or supplemented in accordance with the definitive arrangement agreement (as it may be amended, the “Arrangement Agreement”) made as of September 3, 2024 between Parent, AcquireCo, CallCo and SRx) is hereby authorized, approved and adopted; |
| b) | the plan of arrangement of SRx (as may be, or may have been, modified, amended or supplemented in accordance with its terms and the terms of the Arrangement Agreement as the “Plan of Arrangement”) implementing the Arrangement, the full text of which is set out in Schedule __ to the Circular, is hereby authorized, approved and adopted; |
| c) | the (i) Arrangement Agreement and related transactions, (ii) actions of the director of SRx in approving the Arrangement Agreement, and (iii) actions of the director and officers of SRx in executing and delivering the Arrangement Agreement, and any amendments, modifications or supplements thereto, are hereby ratified and approved; |
| d) | SRx be and is hereby authorized to apply for a final order from the Ontario Superior Court of Justice (Commercial List) (the “Court”) to approve the Arrangement on the terms set forth in the Arrangement Agreement and the Plan of Arrangement (as they may be modified, amended or supplemented as described in the Circular); |
| e) | notwithstanding that this resolution has been passed (and the Arrangement approved) by the shareholders of SRx or that the Arrangement has been approved by the Court, the directors of SRx are hereby authorized and empowered, without further notice to, or approval of, the shareholders of SRx to (i) modify, amend or supplement the Arrangement Agreement or the Plan of Arrangement to the extent permitted by the terms of the Arrangement Agreement or the Plan of Arrangement; and (ii) subject to the terms of the Arrangement Agreement, not to proceed with the Arrangement and related transactions; |
| f) | any director or officer of SRx is hereby authorized and directed for and on behalf of SRx to execute, whether under corporate seal of SRx or otherwise, and to deliver for filing with the Director under the OBCA articles of arrangement and such other documents as are necessary or desirable to give effect to the Arrangement in accordance with the Arrangement Agreement, such determination to be conclusively evidenced by the execution and delivery of such articles of arrangement and any such other documents; and |
| g) | any one director or officer of SRx is hereby authorized and directed, for and on behalf and in the name of SRx, to execute or cause to be executed and to deliver or cause to be delivered, whether under corporate seal of SRx or otherwise, all such agreements, forms, waivers, notices, certificate, confirmations and other documents and instruments, and to perform or cause to be performed all such other acts and things, as in the opinion of such director or officer may be necessary, desirable or useful for the purpose of giving effect to these resolutions and the matters authorized thereby, the Arrangement Agreement and completion of the Plan of Arrangement, including: |
| a. | a. all actions required to be taken by or on behalf of SRx, and all necessary filings and obtaining the necessary approvals, consents and acceptances of appropriate regulatory authorities; and |
| b. | the signing of the certificates, consents and other documents or declarations required under the Arrangement Agreement or otherwise to be entered into by SRx; such determination to be conclusively evidenced by the execution and delivery of such document, agreement or instrument or the doing of any such act or thing. |
| B-1 |
Schedule
C
Representations and Warranties of SRx
SRx represents and warrants to and in favor of Parent as follows, and acknowledges that Parent is relying upon such representations and warranties in connection with the completion of the transactions contemplated herein:
| (a) | Schedule C(a) of the SRx Disclosure Letter sets forth the name and jurisdiction of incorporation of SRx and each of its subsidiaries (in this Schedule C, the “SRx Subsidiaries”). Each of SRx and the SRx Subsidiaries (i) has been duly incorporated and is validly existing and in good standing under the laws of its jurisdiction of incorporation and is up-to-date in respect of all material corporate filings; (ii) has all requisite corporate or other organization, as applicable power and authority to carry on its business as now conducted and to own or lease and operate its assets and properties; and (iii) in respect of SRx, has all requisite corporate power and authority to enter into and carry out its obligations under this Agreement. |
| (b) | SRx does not beneficially own, or exercise control or direction over, directly or indirectly, any interest in any other Person other than the SRx Subsidiaries or any agreement, option or commitment to acquire any such investment. All of the issued and outstanding securities of the SRx Subsidiaries are owned by SRx. |
| (c) | No steps or proceedings have been taken, instituted or, to the knowledge of SRx, are pending for the dissolution, liquidation or winding up of SRx or an SRx Subsidiary. Except as disclosed in Schedule C(c) of the SRx Disclosure Letter, neither SRx nor any SRx Subsidiary: (i) is insolvent or bankrupt under or pursuant to any corporate, insolvency, winding-up, restructuring, reorganization, administration or other Laws applicable to it; (ii) has commenced, approved, authorized or taken any action in furtherance of proceedings in respect of it under any applicable bankruptcy, insolvency, restructuring, reorganization, administration, winding up, liquidation, dissolution, or similar Law; (iii) has proposed a compromise or arrangement with its creditors generally or is or has been subject to any actions taken, orders received or proceedings commenced by creditors or other Persons for or in respect of the bankruptcy, receivership, insolvency, restructuring, reorganization, administration, winding-up, liquidation or dissolution of it, or any of its property or assets; (iv) had any encumbrancer take possession of any of its property, or (v) had any execution or distress become enforceable or become levied upon any of its property. SRx is not unable to pay its liabilities as they become due and the realizable value of the assets of SRx are not less than the aggregate of its liabilities and stated capital of all classes. |
| (d) | Each of SRx and the SRx Subsidiaries is, in all material respects, conducting its business in compliance with all applicable Laws (including all material applicable federal, provincial, state, municipal and local laws, regulations and other lawful requirements of any Governmental Entity) of each jurisdiction in which its business is carried on and is duly licensed, registered or qualified in all jurisdictions in which it owns, leases or operates its property or carries on business to enable its business to be carried on as now conducted and its property and assets to be owned or leased and operated and all such licenses, registrations and qualifications are valid, subsisting and in good standing and it has not received a notice of non-compliance, nor knows of, nor has reasonable grounds to know of, any facts that could give rise to a notice of non-compliance with any such Laws, licenses, permits, registrations or qualifications which would reasonably be expected to result in an SRx Material Adverse Effect. |
| (e) | SRx has the requisite corporate power and authority to enter into, deliver and perform its obligations under this Agreement. The execution and delivery of this Agreement and performance by SRx of its obligations under this Agreement and the consummation of the Arrangement and other transactions contemplated hereby have been duly authorized by all necessary corporate action of SRx and no other corporate proceedings on the part of SRx are necessary to authorize the execution, delivery and performance of this Agreement or the consummation of the Arrangement and the other transactions contemplated hereby other than the approval by the SRx Board of the SRx Circular and the approval by the SRx Securityholders in the manner required by the Interim Order, applicable Law and approval of the Arrangement by the Court. |
| C-1 |
| (f) | This Agreement has been duly and validly executed and delivered by SRx and, assuming due authorization, execution and delivery by Parent, AcquireCo and CallCo, constitutes a legal, valid and binding obligation of SRx, enforceable against SRx in accordance with its terms, subject however, to limitations with respect to enforcement imposed by Law in connection with bankruptcy, insolvency, reorganization or other Laws affecting creditors’ rights generally and to the extent that equitable remedies such as specific performance and injunctions are only available in the discretion of the court from which they are sought. |
| (g) | Other than the Interim Order and any approvals required by the Interim Order, the Final Order, filings with the Director under the OBCA and such filings and other actions required under applicable Securities Laws and the Key Regulatory Approvals set out in in Schedule E, no Authorization or consent of any Governmental Entity, and no notice, registration, declaration or filing by SRx or any of the SRx Subsidiaries with any such Governmental Entity is required in connection with the execution and delivery of, and performance by SRx of its obligations under, this Agreement or the consummation of the Arrangement and the other transactions contemplated in this Agreement. |
| (h) | Other than as set out in Schedule C(h) of the SRx Disclosure Letter, there is no requirement under any SRx Material Contract to make a filing with, give any notice to, or to obtain the consent or approval of, any party to such SRx Material Contract relating to the transactions contemplated by this Agreement. |
| (i) | The execution and delivery of this Agreement by SRx, the performance by SRx of its obligations hereunder and the consummation of the transactions contemplated hereby do not and will not (whether after notice or lapse of time or both) (i) conflict with or result in a breach or violation of any of the terms or provisions of, or constitute a default under (whether after notice or lapse of time or both) or give rise to any right of termination or acceleration of any obligations or indebtedness, and neither SRx nor an SRx Subsidiary is currently in material breach or default of, (A) any Law applicable to SRx or an SRx Subsidiary; (B) the constating documents or resolutions of SRx or any SRx Subsidiary, as applicable; (C) any Contract or Debt Instrument to which SRx or any SRx Subsidiary is a party or by which it is bound, except as disclosed in Schedule C(i) of the SRx Disclosure Letter, or (D) any judgment, decree or order binding SRx or any SRx Subsidiary, as applicable, or the assets or properties thereof; (ii) allow any Person to exercise any rights, require any consent or other action by any Person or permit the termination, cancellation, acceleration or other change of any right or other obligation or the loss of any benefit to which SRx or any SRx Subsidiary is entitled (including by triggering any rights of first refusal or first offer, change in control provision or other restriction or limitation) under any Material Contract; or (iii) result in the creation or imposition of any Encumbrance up on any of SRx’s assets or the assets of the SRx Subsidiaries. |
| (j) | Schedule C(j) of the SRx Disclosure Letter sets forth the authorized, issued and outstanding share capital of SRx and each of the SRx Subsidiaries. All of the issued and outstanding shares of capital stock of, or other equity or voting interests in, each of SRx and the SRx Subsidiaries has been duly authorized and validly issued in compliance with applicable Laws and, is fully paid and non-assessable, were not issued in violation of any pre-emptive rights, purchase options, call options, rights of first refusal, first offer, co-sale or participation or subscription rights or other similar rights. Except as set out in Schedule C(j) of the SRx Disclosure Letter, all of the issued and outstanding shares of capital stock of, or other equity or voting interests in, each SRx Subsidiary is owned, directly or indirectly, both as a matter of record and beneficially by SRx and is free and clear of all Encumbrances (except for Permitted Encumbrances). Schedule C(k) of the SRx Disclosure Letter sets forth a list of all other securities of SRx. |
| C-2 |
| (k) | Except for the securities set forth in Schedule C(k) of the SRx Disclosure Letter, no Person now has any agreement or option or right or privilege (whether at law, pre-emptive or contractual) capable of becoming an agreement for the purchase, subscription, redemption, repurchase or issuance of, or conversion into, any shares, securities, warrants or convertible obligations of any nature of SRx and a sufficient number of SRx Shares are reserved for issuance pursuant to outstanding options, warrants, share incentive plans, convertible, exercisable and exchangeable securities and other rights to acquire SRx Shares. Schedule C(k) of the SRx Disclosure Letter sets forth all issued and outstanding securities of SRx convertible into SRx Shares. |
| (l) | SRx is not aware of any legislation, or proposed legislation published by a legislative body, which it anticipates will result in an SRx Material Adverse Effect. |
| (m) | The SRx Financial Statements (i) have been prepared in accordance with IFRS applied on a consistent basis throughout the periods involved (except as may be indicated in the notes thereto), (ii) fairly present, in all material respects, the consolidated financial position of SRx and the SRx Subsidiaries as at the respective dates thereof and the consolidated results of their operations and cash flows for the periods indicated (except that the unaudited interim financial statements were or are subject to normal and recurring year-end adjustments) and (iii) when delivered by SRx for inclusion in the Parent Proxy Statement for filing with the SEC following the date of this Agreement in accordance with Section 2.10, will comply in all material respects with the applicable accounting requirements and with the rules and regulations of the SEC, the U.S. Exchange Act and the U.S. Securities Act applicable to a registrant, in effect as of the date thereof. Since September 30, 2023, there have been no formal investigations regarding financial reporting or accounting policies and practices discussed with, reviewed by or initiated at the direction of the Chief Executive Officer or Chief Financial Officer of SRx, the SRx Board or any committee thereof. Since September 30, 2023, neither SRx nor its independent auditors have identified (i) any significant deficiency or material weakness in the system of internal accounting controls utilized by SRx, (ii) any fraud, whether or not material, that involves SRx’s management or other employees who have a role in the preparation of financial statements or the internal accounting controls utilized by SRx, or (iii) any claim or allegation regarding any of the foregoing. Except as disclosed in the SRx Financial Statements, neither SRx nor any of the SRx Subsidiaries has any liabilities, indebtedness, obligation, expense, claim, deficiency, guaranty, or endorsement, whether accrued, absolute, contingent, matured, or unmatured of the kind required to be disclosed on a balance sheet or in the related notes to the consolidated financial statements prepared in accordance with IFRS which are, individually or in the aggregate, material to the business, results of operations or financial condition of SRx and the SRx Subsidiaries taken as a whole, except liabilities (i) identified in the balance sheet of SRx as of the Latest Balance Sheet Date or the notes thereto, (ii) incurred in connection with the transactions contemplated by this Agreement, (iii) described on Schedule C(m) of the SRx Disclosure Letter, (iv) executory obligations under any Contract or (v) incurred since the date of the balance sheet of SRx as of the Latest Balance Sheet Date in the ordinary course of business. SRx does not intend to correct or restate, nor is there any basis for any correction or restatement of, any aspect of the SRx Financial Statements. |
| (n) | Since the Latest Balance Sheet Date through the date of this Agreement and other than with respect to the negotiation, execution and performance of this Agreement, each of SRx and the SRx Subsidiaries has conducted its business only in the ordinary course of business, and there has not been: (i) any event that has had an SRx Material Adverse Effect, or (ii) any material change by SRx or any SRx Subsidiary in its accounting methods, principles or practices, except as required by concurrent changes in IFRS or as disclosed in the notes to the SRx Financial Statements. |
| (o) | Neither SRx nor any of the SRx Subsidiaries has any material liabilities or obligations of any nature, whether or not accrued, contingent or otherwise, except for: (i) liabilities and obligations that are adequately presented or reserved on the SRx Financial Statements or disclosed in the notes thereto; or (ii) liabilities and obligations incurred in the ordinary course of business that are not and would not, individually or in the aggregate with all other liabilities and obligations of SRx and the SRx Subsidiaries (other than those disclosed on the SRx Financial Statements), be material to SRx and the SRx Subsidiaries (taken as a whole). Without limiting the foregoing, the SRx Financial Statements reflects reasonable reserves in accordance with IFRS for contingent liabilities of SRx and the SRx Subsidiaries. |
| C-3 |
| (p) | Each of SRx and the SRx Subsidiaries maintains internal control over financial reporting. Such internal control over financial reporting is effective in providing reasonable assurance regarding the reliability of financial reporting and the preparation of financial statements for external purposes in accordance with IFRS and includes policies and procedures that: (A) provide reasonable assurance that transactions are recorded as necessary to permit preparation of financial statements in accordance with IFRS, and that receipts and expenditures of SRx and the SRx Subsidiaries are being made only with appropriate authorizations of management and directors of SRx and the SRx Subsidiaries, as applicable; and (B) provide reasonable assurance regarding prevention or timely detection of unauthorized acquisition, use, or disposition of the assets of SRx or the SRx Subsidiaries that could have a material effect on its financial statements. As of the date of this Agreement, there neither is, nor has been, any fraud with respect to SRx or the SRx Subsidiaries, whether or not material, relating to the financial reporting or internal control over financial reporting of SRx or the SRx Subsidiaries, as applicable. As of the date of this Agreement, to the knowledge of SRx, there is no fraud that involves management or any other employees who have a role in the internal control over financial reporting of SRx or the SRx Subsidiaries. |
| (q) | There are no actions, proceedings or, to SRx’s knowledge, investigations (whether or not purportedly by or on behalf of SRx) commenced or, to the knowledge of SRx, threatened or pending against or relating to SRx or any SRx Subsidiary or the business thereof or affecting any of their assets and properties or against any current officer or director relating to such individual’s role with SRx or any SRx Subsidiary at law or in equity (whether in any court, arbitration or similar tribunal) or before or by any Governmental Entity, that would reasonably be expected to result in an SRx Material Adverse Effect or prevent or materially delay the consummation of the Arrangement. |
| (r) | Except as disclosed in Schedule C(r) of the SRx Disclosure Letter, none of SRx or any SRx Subsidiary is a party to or bound or affected by any commitment, agreement or document containing any covenant which expressly limits the freedom of SRx or the SRx Subsidiary to compete or operate in any line of business, transfer or move any of its assets or operations or which materially or adversely affects the business practices, operations or condition of SRx or the SRx Subsidiary. |
| (s) | Except as disclosed in Schedule C(s) of the SRx Disclosure Letter, neither SRx nor any of the SRx Subsidiaries is party to, bound by or subject to any indenture, mortgage, lease, agreement, license, permit, authorization, certification, instrument, statute, regulation, order, judgment, decree or law that would be violated or breached by, or under which default would occur or which could be terminated, cancelled or accelerated, in whole or in part, or that would require consent or notice, as a result of the execution, delivery and performance of this Agreement or the consummation of any of the transactions provided for in this Agreement and the Plan of Arrangement (except (i) as would not, individually or in the aggregate, have or reasonably be expected to have, individually or in the aggregate, an SRx Material Adverse Effect or (ii) as set out in Schedule E of this Agreement (Key Regulatory Approvals)). |
| (t) | Except as disclosed in Schedule C(t) of the SRx Disclosure Letter, SRx is not party to any Contract or arrangement, nor to the knowledge of SRx, is there any shareholders agreement or other Contract, which in any manner affects the voting control of any of the securities of SRx. |
| (u) | Except as disclosed in Schedule C(u) of the SRx Disclosure Letter, SRx and the SRx Subsidiaries have duly and timely filed all income and other Tax Returns required to be filed by them and all such Tax Returns are complete and correct in all material respects. |
| (v) | SRx and the SRx Subsidiaries have paid on a timely basis all Taxes which are due and payable or required to be paid by them, other than those which are being or have been contested in good faith and in respect of which adequate reserves have been provided in the SRx Financial Statements. SRx and the SRx Subsidiaries have provided adequate accruals in accordance with IFRS in the SRx Financial Statements for any Taxes for the period covered by such financial statements that have not been paid whether or not shown as being due on any Tax Returns. |
| C-4 |
| (w) | neither SRx nor the SRx Subsidiaries have declared nor paid (nor been deemed to have paid) any “taxable dividend”, “eligible dividend” or “capital dividend”, all as defined in the Tax Act. |
| (x) | Except as disclosed in Schedule C(x) of the SRx Disclosure Letter, no deficiencies, litigation, proposed adjustments or matters in controversy exist or have been asserted in writing with respect to any Taxes or Tax Returns of SRx or the SRx Subsidiaries, and neither SRx nor the SRx Subsidiaries are a party to any action or proceeding for assessment or collection of Taxes, and no such event has been asserted in writing or, to the knowledge of SRx, threatened against SRx or the SRx Subsidiaries. |
| (y) | No written claim has been made by any Governmental Entity in a jurisdiction where SRx or any of the SRx Subsidiaries does not file a Tax Return that SRx, or any of the SRx Subsidiaries, is or may be liable to Tax by that jurisdiction or is or may be required to file a Tax Return with a Governmental Entity of that jurisdiction. |
| (z) | For the purposes of the Tax Act, and any applicable Tax treaty and any other relevant Tax purposes, (i) SRx is resident in Canada and is a “table Canadian corporation” for purposes of the Tax Act; and (ii) the SRx Subsidiaries are each resident in the jurisdiction in which they were formed, and are not resident in any other country. |
| (aa) | There are no Encumbrances (other than Permitted Encumbrances) with respect to Taxes upon any of the assets of SRx or the SRx Subsidiaries. |
| (bb) | Each of SRx and the SRx Subsidiaries has withheld, deducted, charged or collected all amounts required to be withheld, deducted, charged or collected by it on account of Taxes and has remitted all such amounts to the appropriate Governmental Entity when required by Law to do so. SRx and the SRx Subsidiaries are in compliance with, and their respective records contain all information and documents necessary to comply with, all applicable information reporting and withholding requirements under all Law. |
| (cc) | Neither SRx nor any of the SRx Subsidiaries is a party or is bound by any Tax sharing, allocation, indemnification agreement or arrangement. Without limiting the generality of the foregoing, neither SRx nor any of the SRx Subsidiaries has entered into an agreement contemplated in section 80.04 or 191.3, or subsection 18(2.3), 125(3), 127(13) to (17) or 127(20) of the ITA or any analogous provision of any comparable Law of any province or territory of Canada. |
| (dd) | There are no outstanding agreements extending or waiving the statutory period of limitations applicable to any claim for, or the period for the collection or assessment or reassessment of Taxes due from SRx or any of the SRx Subsidiaries, for any taxable period and no request for any such waiver or extension is currently pending. |
| (ee) | SRx and the SRx Subsidiaries have complied with applicable transfer pricing Laws (including with respect to the preparing, obtaining or retaining all required documentation), including for greater certainty, with the provisions of section 247 of the Tax Act (and the corresponding provisions of any other Law). |
| (ff) | Except as disclosed in Schedule C(ff) of the SRx Disclosure Letter, SRx and the SRx Subsidiaries have not, at any time, directly or indirectly transferred any property or supplied any services to, or acquired any property or services from, a Person with whom SRx or the SRx Subsidiaries was not dealing at arm’s length (within the meaning of the Tax Act) for consideration other than consideration equal to the fair market value of such property or services at the time of transfer, supply or acquisition, as the case may be, nor has SRx or the SRx Subsidiaries been deemed to have done so for purposes of the Tax Act or any other Law. |
| C-5 |
| (gg) | There are no circumstances existing which could result in the application of sections 17, 78, 79, 79.1, sections 80 to 80.04 or subsection 90(6) of the Tax Act, or any equivalent provision of any other Law, to SRx or the SRx Subsidiaries. Except as in accordance with past practices, SRx and the SRx Subsidiaries have not claimed any reserve, credit, deduction or other amount under any provision of the Tax Act or any other Law, if any amount could be included in the income of SRx or the SRx Subsidiaries for any period ending after or including the Effective Date. |
| (hh) | Neither SRx nor any of the SRx Subsidiaries will be required to include an item of income or gain in, or exclude any item of deduction or loss from, taxable income for or otherwise be liable for Tax in any period (or any portion thereof) ending after the Effective Date as a result of any (i) transaction, income or gain attributable to any period (or portion thereof) ending on or prior to the Effective Date, (ii) installment sale, open transaction disposition or other transaction occurring on or prior to the Effective Date, (iii) change in method of accounting made or requested on or prior to the Effective Date, (iv) use of an improper method of accounting on or prior to the Effective Date, (v) prepaid amount received, or deferred revenue accrued, on or prior to the Effective Date, or (vi) closing agreement with any Tax authority executed on or prior to the Effective Date. |
| (ii) | The SRx Shares are not “taxable Canadian property” as such term is defined in the Tax Act (or any analogous provision of any applicable comparable Law of any province or territory of Canada.). |
| (jj) | Neither SRx nor any of the SRx Subsidiaries has (i) undertaken, participated in, entered into or been contractually obligated to enter into a “reportable transaction” or “notifiable transaction” (each as defined in the Tax Act), or (ii) had any “reportable uncertain tax treatment” (as defined in the Tax Act). |
| (kk) | All research and development investment tax credits and other tax credits (“ITCs”) claimed by the SRx or any of the SRx Subsidiaries were claimed in accordance with the Tax Act or any other Law and SRx and or the SRx Subsidiaries, as applicable, has satisfied at all times the relevant criteria and conditions entitling it to such ITCs. |
| (ll) | The total fair market value of all shares of “foreign affiliates” (as defined in subsection 95(1) of the Tax Act) that are held directly or indirectly by SRx does not exceed 75% of the total fair market value (determined without reference to debt obligations of any corporation resident in Canada in which SRx has a direct or indirect interest) of all properties owned by SRx. |
| (mm) | Except as disclosed in Schedule C(mm) of the SRx Disclosure Letter, neither SRx nor any SRx Subsidiary nor, to SRx’s knowledge, any other Person, is in default in any material respect in the observance or performance of any term, covenant or obligation to be performed by SRx or an SRx Subsidiary or such other Person under any Material Contract, and no event has occurred which with notice or lapse of time or both would constitute such a default by SRx or any SRx Subsidiary or, to SRx’s knowledge, any other party, except where such default or event would not reasonably be expected to result in an SRx Material Adverse Effect. |
| (nn) | Since the Latest Balance Sheet Date: |
| (i) | Except as disclosed in Schedule C(nn)(i) of the SRx Disclosure Letter, there has not been any material change in the assets, liabilities, obligations (absolute, accrued, contingent or otherwise), business, condition (financial or otherwise) or results of operations of SRx or any SRx Subsidiary; |
| (ii) | Except as disclosed in Schedule C(nn)(ii) of the SRx Disclosure Letter, there has not been any material change in the share capital or long-term debt of SRx; |
| C-6 |
| (iii) | There has not been any entering into, or an amendment of, any SRx Material Contract other than (A) in the ordinary course of business, or (B) renewals of any such contract; |
| (iv) | There has not been any satisfaction or settlement of any material claims or material liabilities, other than the settlement of such claims or such liabilities incurred in the ordinary course of business; |
| (v) | Except for ordinary course adjustments to salary, bonus, or other remuneration payable to any officers or senior or executive officers, there has not been any increase in the salary, bonus, severance, termination pay, change of control entitlements or other remuneration payable to any senior or executive officers of SRx or any SRx Subsidiary; and |
| (vi) | SRx and the SRx Subsidiaries have carried on their business in the ordinary course consistent with past practice. |
| (oo) | Except as disclosed in Schedule C(oo) of the SRx Disclosure Letter, there has been no interruption to or discontinuity in any material supplier or distributor arrangement or relationship of SRx and the SRx Subsidiaries with each of their respective material suppliers and distributors and the relationships of SRx and the SRx Subsidiaries with each of their respective material suppliers and distributors are satisfactory, and there are no unresolved disputes with any such supplier or distributor. Except as disclosed in Schedule C(oo) of the SRx Disclosure Letter, no material supplier or distributor of SRx or any SRx Subsidiary has notified SRx or the SRx Subsidiary that such material supplier or distributor will not continue dealing with SRx or the SRx Subsidiary on substantially the same terms as presently conducted, and to the knowledge of SRx, there is no reason to believe that, any such supplier or distributor will not continue dealing with SRx or the SRx Subsidiary on substantially the same terms as presently conducted, in each case subject to changes in pricing and volume in the ordinary course. |
| (pp) | Each of SRx and the SRx Subsidiaries possesses permits, licenses, approvals, consents and other authorizations issued by a federal, provincial, state, local or foreign regulatory agencies or bodies (in this Schedule C, collectively, “Governmental Licenses”) required by Law to conduct the business now operated by them, except where the failure to hold such Governmental Licenses would not, individually or in the aggregate, result in an SRx Material Adverse Effect. Each Governmental License is valid and in full force and effect, and is renewable by its terms or in the ordinary course without the need for SRx to comply with any special rules of procedures, agree to any materially different terms or conditions or pay any amounts other than routine filing fees. To the knowledge of SRx, each of SRx and the SRx Subsidiaries is in compliance in all material respects with the terms and conditions of all such Governmental Licenses. No consent, license, order, authorization, approval, permit, registration or declaration of, or filing with, any Governmental Entity is required in connection with: (i) the closing of the Arrangement; (ii) the execution and delivery by SRx of this Agreement or any document delivered by SRx at the closing of the Arrangement to which it is a party; (iii) the observance and performance by SRx of its obligations under this Agreement or any document delivered by SRx at the closing of the Arrangement to which it is a party; or (iv) avoiding the loss of any Governmental Licenses relating to SRx or the SRx Subsidiaries, any of their properties and assets, or the business now operated by them. |
| (qq) | To the knowledge of SRx, no event has occurred that, with or without notice or lapse of time or both, would reasonably be expected to result in the revocation, suspension, lapse or limitation of any Governmental License. |
| (rr) | There are no actions, proceedings or, to SRx’s knowledge, investigations commenced or, to the knowledge of SRx, pending in respect of or regarding any such Governmental License. None of SRx and the SRx Subsidiaries has received any written notice of revocation or non-renewal of any Governmental License, or of any intention of any Person to revoke or refuse to renew any of such Governmental License. |
| C-7 |
| (ss) | SRx and the SRx Subsidiaries do not carry on any pharmacy activity outside of the provinces of Alberta, British Columbia, Manitoba, Saskatchewan, Ontario, New Brunswick, Nova Scotia and Newfoundland & Labrador. |
| (tt) | There is no Person acting or purporting to act at the request of SRx who is entitled to any brokerage, agency or other fiscal advisory or similar fee in connection with the transactions contemplated by this Agreement and the Plan of Arrangement. |
| (uu) | Except as disclosed in Schedule C(uu) of the SRx Disclosure Letter or in the SRx Financial Statements, neither SRx nor any SRx Subsidiary has any loan or other indebtedness outstanding which has been made to any of its securityholders, officers, directors or employees, past or present, or any Person not dealing at arm’s length with it, other than for the reimbursement of ordinary course business expenses. |
| (vv) | Except for (i) employment, consulting or employment compensation agreements entered into in the ordinary course of business, (ii) customary director and officer indemnification arrangements on market terms, or (iii) financing agreements or shareholder agreements with the SRx Shareholders entered into in connection with financings or other transactions to which SRx Shareholders are generally parties and that will terminate at or prior to the Effective Time as a result of the Arrangement, there are no current contracts or other transactions (including relating to indebtedness by SRx or the SRx Subsidiaries) between SRx or any SRx Subsidiaries on the one hand, and (A) any officer or director of SRx or the SRx Subsidiaries, (B) any holder of record or beneficial owner of five percent (5%) or more of the voting securities of SRx, or (C) any affiliate or associate of any officer, director or beneficial owner, on the other hand except as disclosed in Schedule C(vv) of the SRx Disclosure Letter or in the SRx Financial Statements. |
| (ww) | The assets and properties of SRx and the SRx Subsidiaries and their business and operations are insured against loss or damage with responsible insurers on a basis consistent with insurance obtained by reasonably prudent participants in comparable businesses, and such coverage is in full force and effect, and SRx and the SRx Subsidiaries have not failed to promptly give any notice or present any material claim thereunder. |
| (xx) | The vehicles, machinery, equipment and other tangible personal property of SRx and the SRx Subsidiaries are, in all material respects, in good operating condition and repair having regard to their use and age, and are not in need of maintenance or repairs other than preventative maintenance and repairs in the ordinary course of business, and are adequate for the uses subject to normal wear and tear to which they are being put to use, have been maintained in all material respects in accordance with generally accepted industry practice and are free from any material defects. All leased equipment and other leased personal property of SRx and the SRx Subsidiaries is in all material respects in the condition required of such property by the terms of the lease applicable thereto. |
| (yy) | To the knowledge of SRx, none of SRx or any SRx Subsidiary is suspended or otherwise restricted from participating in any drug insurance plan, nor, to the knowledge of SRx, are there any facts or circumstances that are materially inconsistent with market practices and that provide a reasonable basis for any material adverse regulatory communication or action against SRx or any SRx Subsidiary, in respect of the SRx Business or relating to non-compliance with any applicable Law. |
| C-8 |
| (zz) | Neither SRx nor the SRx Subsidiaries own any real property or hold an ownership interest in any real property, or have owned or held such ownership interest in the past five years, save and except as set out in Schedule C(zz) of the SRx Disclosure Letter. With respect to each of the material leased premises of SRx and the SRx Subsidiaries, SRx and the SRx Subsidiaries occupies the applicable leased premises and has the right to occupy and use the leased premises, subject to the terms of the respective leases, and each of the leases pursuant to which SRx and the SRx Subsidiaries occupies such leased premises is valid, legally binding and enforceable against SRx or an SRx Subsidiary, as applicable, and to the knowledge of SRx, the other parties in accordance with its terms is in good standing and in full force and effect, and none of SRx or any of the SRx Subsidiaries is in breach of, or default under, such lease, sublease, license or occupancy agreement, and no event has occurred which, with notice, lapse of time or both, would constitute such a breach or default by SRx or any of the SRx Subsidiaries or permit termination, modification or acceleration by any third party thereunder. No third party has repudiated or has the right to terminate or repudiate any such lease (except for the normal exercise of remedies in connection with a default thereunder or any termination rights set forth in the lease) or any provision thereof. None of the aforementioned leases has been assigned by SRx or any of the SRx Subsidiaries in favor of any Person or sublet or sublicensed. There exists no claim of any kind or right of set-off against SRx or any SRx Subsidiary, as the case may be, as tenant by the landlord or against the landlord by SRx or any SRx Subsidiary, as the case may be, as tenant as of the date hereof. SRx and the SRx Subsidiaries own, lease or license all personal or movable property as is necessary to conduct their business as presently conducted, and SRx and the SRx Subsidiaries have good and valid title to, or a valid and enforceable interest (whether a leasehold interest or otherwise) in, all of such personal or movable property. |
| (aaa) | SRx and the SRx Subsidiaries as tenants are in actual possession of all properties leased by them. Except as disclosed in Schedule C(aaa) of the SRx Disclosure Letter, SRx and the SRx Subsidiaries are not in arrears of rent required to be paid pursuant to any applicable lease. |
| (bbb) | The minute books and records of SRx and the SRx Subsidiaries made available to Parent and its counsel in connection with their due diligence investigation in respect of the Arrangement contain full, true and correct copies of all constating documents, including all amendments thereto, and contain copies of all proceedings of securityholders and directors (and committees thereof) and are complete in all material respects. |
| (ccc) | Schedule C(ccc) of the SRx Disclosure Letter sets out separately all Intellectual Property owned by SRx or the SRx Subsidiaries that has been registered or which applications for registration have been filed and all other material Intellectual Property that is owned by SRx or the SRx Subsidiaries (in this Schedule C, the “SRx Owned Intellectual Property”) and the Intellectual Property that is duly licensed by SRx as part of its business as presently conducted, except for commercially available, off-the-shelf software licensed to SRx or any SRx Subsidiary on a royalty-free basis pursuant to standard, nondiscriminatory terms and conditions (in this Schedule C, the “SRx Licensed Intellectual Property”, and together with the SRx Owned Intellectual Property, the “SRx Intellectual Property”). SRx or an SRx Subsidiary is the sole and exclusive owner of the SRx Owned Intellectual Property and all other Intellectual Property that it owns or purports to own with good, valid and marketable title thereto, free and clear of all Encumbrances (other than Permitted Encumbrances). SRx or an SRx Subsidiary has valid and enforceable licenses to use all of the SRx Licensed Intellectual Property used by it in connection with, and as required for, its business as presently conducted. SRx has no knowledge to the effect that it will be unable to obtain or maintain any rights or licenses to use all Intellectual Property necessary for the conduct of its business. The SRx Owned Intellectual Property and the SRx Licensed Intellectual Property constitute all of the Intellectual Property required by SRx and the SRx Subsidiaries to conduct their respective businesses as currently conducted. To the knowledge of SRx, no third parties have rights to any Intellectual Property, except for the ownership rights of the owners of the SRx Licensed Intellectual Property which is licensed to SRx or an SRx Subsidiary. To the knowledge of SRx, there is no infringement, misappropriation or misuse by third parties of any SRx Owned Intellectual Property. There is no pending or, to the knowledge of SRx, threatened action, suit, proceeding or claim by third parties challenging the rights in or to any SRx Owned Intellectual Property, and SRx is not aware of any facts which form a reasonable basis for any such claim. The SRx Owned Intellectual Property that is the subject of an application or registration is valid, in full force and effect. There is no pending or, to the knowledge of SRx, threatened action, suit, proceeding or claim by others challenging the validity or enforceability of any SRx Owned Intellectual Property, and SRx is not aware of any allegations or finding of unenforceability or invalidity of the SRx Owned Intellectual Property or any facts which form a reasonable basis for any such claim. All applications, registrations, filings, renewals and payments necessary to preserve the rights of SRx or any SRx Subsidiary in and to SRx Owned Intellectual Property have been duly filed, made, prosecuted, maintained, paid, are in good standing and are recorded in the name of SRx or an SRx Subsidiary. There is no pending or, to the knowledge of SRx, threatened action, suit, proceeding or claim by third parties that SRx or an SRx Subsidiary infringes, misappropriates or otherwise violates any patent, trademark, copyright, trade secret or other proprietary rights of others. To the knowledge of SRx, the business of SRx and the SRx Subsidiaries does not infringe, misappropriate or otherwise violate any patent, trademark, copyright, trade secret or other proprietary rights of third parties and, without limiting the foregoing, to the knowledge of SRx, there is no patent or patent application by third parties that contains claims that interfere with the issued or pending claims of any SRx Owned Intellectual Property. |
| C-9 |
| (ddd) | Except in respect of the Intellectual Property set forth in Schedule C(ddd) of the SRx Disclosure Letter, no licenses or other rights have been granted to any third party in, to and in respect of the SRx Owned Intellectual Property. |
| (eee) | Other than in respect of those contracts disclosed in Schedule C(eee) of the SRx Disclosure Letter, neither SRx nor any SRx Subsidiary is a party to or bound by any Contract or other obligation that limits or impairs its ability to use, sell, transfer, assign or convey, or that otherwise affects any SRx Intellectual Property. |
| (fff) | Except as set forth in Schedule C(fff) of the SRx Disclosure Letter, neither SRx nor any SRx Subsidiary is obligated to pay any royalties, fees or other compensation to any third party in respect of its ownership, use, practice, exploitation or commercialization of any Intellectual Property. |
| (ggg) | Except as disclosed in Schedule C(ggg) of the SRx Disclosure Letter, no permits, licenses, approvals, consents or other authorizations issued by any federal, provincial, state, local or foreign regulatory agency or body are required to import or sell the products of SRx or any SRx Subsidiary. |
| (hhh) | Except in respect of the individuals listed in Schedule C(hhh) of the SRx Disclosure Letter, all current and former employees of, and current and former consultants who have contributed to the creation of any SRx Owned Intellectual Property to, SRx and the SRx Subsidiaries have entered into proprietary rights or similar agreements with SRx or the applicable SRx Subsidiary, whereby any Intellectual Property required by SRx to conduct its business as presently conducted created by them in the course of the performance of their employment or engagement has been fully and irrevocably assigned to SRx or the applicable SRx Subsidiary without additional consideration, and, to the knowledge of SRx, no employee of, or consultant to, SRx or the applicable SRx Subsidiary is in violation of such agreements. |
| (iii) | Each of SRx and the SRx Subsidiaries have taken all reasonably necessary and appropriate steps (including appropriately marking and labelling Intellectual Property) to protect the secrecy, confidentiality and proprietary nature of all such Intellectual Property. To the knowledge of SRx, the employment or engagement by SRx or the applicable SRx Subsidiary of such Persons does not violate any non-disclosure or non-competition agreement between any such Person and a third party. |
| (jjj) | The conduct of SRx and the SRx Subsidiaries in carrying on the SRx Business and the operation of the SRx Business by SRx and the SRx Subsidiaries have been and is in compliance with all Environmental Laws, in all material respects, and there are no existing events, conditions, or circumstances that would reasonably be expected to materially and adversely affect the ability of SRx or the SRx Subsidiaries to comply with Environmental Laws. |
| (kkk) | Each of SRx and the SRx Subsidiaries has obtained all licenses, permits, approvals, consents, certificates, registrations and other authorizations under all applicable Environmental Laws (in this Schedule C, the “Environmental Permits”) necessary as at the date hereof for the operation of the business carried by SRx and the SRx Subsidiaries, and each Environmental Permit is valid, subsisting and in good standing in all material respects and none of SRx nor any of the SRx Subsidiaries is in default or breach of any Environmental Permit in any respect and no proceeding is outstanding or, to the knowledge of SRx, has been threatened or is pending to revoke or limit any Environmental Permit. |
| C-10 |
| (lll) | To the knowledge of SRx, each of SRx and the SRx Subsidiaries has not used, except in compliance in all respects with all Environmental Laws and Environmental Permits, any property or facility which it owns, controls manages, operates or leases or previously owned, controlled, operated, managed or leased, to generate, manufacture, process, distribute, use, treat, store, dispose of, transport or handle any Hazardous Substance and, to the knowledge of SRx, there have been no releases of Hazardous Substances at any property or facility which it owns, controls, manages, operates or leases or previously owned, controlled, operated, managed or leased. |
| (mmm) | Each of SRx and the SRx Subsidiaries has not received any notice of, or been prosecuted for, an offence alleging, non-compliance in any material respect with any Environmental Laws, and none of SRx nor any of the SRx Subsidiaries has settled any allegation of non-compliance short of prosecution. There are no orders or directions issued against each of SRx and the SRx Subsidiaries under Environmental Laws including those requiring any material work, repairs, construction or capital expenditures to be made with respect to any of the assets of SRx or the SRx Subsidiaries, nor has SRx or any SRx Subsidiary received notice of any of the same. |
| (nnn) | There are no past unresolved or, to the knowledge of SRx, any threatened or pending claims, complaints, notices or requests for information received by SRx or any SRx Subsidiary with respect to any alleged violation of any Environmental Laws, and to the knowledge of SRx, no conditions exist at, on or under any property now or previously owned, operated, optioned or leased by SRx or an SRx Subsidiary which, with the passage of time, or the giving of notice or both, would give rise to liability under Environmental Laws that, individually or in the aggregate, would reasonably be expected to result in an SRx Material Adverse Effect. |
| (ooo) | None of SRx nor any SRx Subsidiary has received any notice wherein it is alleged or stated that it is potentially responsible for a federal, provincial, state, municipal or local clean-up site or corrective action under Environmental Laws that would reasonably be expected to result in an SRx Material Adverse Effect. |
| (ppp) | Except as disclosed in Schedule C(ppp) of the SRx Disclosure Letter, there are no environmental audits, evaluations, assessments, studies or tests relating to SRx or an SRx Subsidiary. |
| (qqq) | None of SRx or the SRx Subsidiaries have agreed by contract or other agreement to indemnify or be responsible for any liabilities or obligations under Environmental Laws. |
| (rrr) | To the knowledge of SRx, SRx and the SRx Subsidiaries are and have been in compliance in all material respects with all applicable Laws pertaining to employment and employment practices, including all Laws relating to labor relations, equal employment opportunities, fair employment practices, employment discrimination, harassment, retaliation, reasonable accommodation, disability rights or benefits, immigration, wages, hours, overtime compensation, child labor, hiring, promotion and termination of employees, working conditions, meal and break periods, privacy, health and safety, workers’ compensation, leaves of absence and unemployment insurance. All individuals characterized and treated by SRx or any SRx Subsidiary as independent contractors or consultants are properly treated as independent contractors under all applicable Laws. There are no actions against SRx or any SRx Subsidiary pending or, to the knowledge of SRx, threatened to be brought or filed, by or with any Governmental Entity or arbitrator in connection with the employment of any current or former applicant, employee, consultant or independent contractor of SRx or any SRx Subsidiary, including any claim relating to unfair labor practices, employment discrimination, harassment, retaliation, equal pay, wage and hours or any other employment related matter arising under applicable Laws. |
| C-11 |
| (sss) | Neither SRx nor any SRx Subsidiary is subject to any claim for wrongful dismissal, constructive dismissal or any other tort claim, actual or threatened, or any litigation actual or threatened, relating to employment or termination of employment of employees or independent contractors. |
| (ttt) | Each plan for retirement, bonus, stock purchase, profit sharing, stock option, deferred compensation, severance or termination pay, insurance, medical, hospital, dental, vision care, drug, sick leave, disability, salary continuation, legal benefits, unemployment benefits, vacation, incentive or otherwise contributed to or required to be contributed to, by SRx or an SRx Subsidiary for the benefit of any current or former director, officer, employee or consultant of SRx or an SRx Subsidiary (in this Schedule C, the “SRx Employee Plans”) has been maintained in compliance with its terms and with the requirements prescribed by any and all Laws that are applicable to such SRx Employee Plans, in each case in all material respects. |
| (uuu) | All material accruals for unpaid vacation pay, premiums for unemployment insurance, health premiums, federal or state pension plan premiums, accrued wages, salaries and commissions and employee benefit plan payments have been reflected in the books and records of SRx and the SRx Subsidiaries. |
| (vvv) | There is not currently any labor disruption, dispute, slowdown, stoppage, complaint or grievance or, to the knowledge of SRx, threatened or pending which is adversely affecting or would reasonably be expected to adversely affect, in a material manner, the carrying on of the business of SRx and the SRx Subsidiaries, and, to the knowledge of SRx, there is no proposal to unionize its employees and no collective bargaining agreements are in place or currently being negotiated by SRx or any SRx Subsidiary. |
| (www) | Except as set forth on Schedule C(www) of the SRx Disclosure Letter, neither the execution and delivery of this Agreement, shareholder or other approval of this Agreement nor the consummation of the transactions contemplated by this Agreement could, alone or in combination with another event, (i) entitle any employee, director, officer or independent contractor of the SRx Group to severance pay, termination pay, change of control payment or benefits, or any material increase in severance pay, (ii) accelerate the time of payment or vesting, or materially increase the amount of compensation due to any such employee, director, officer or independent contractor, (iii) directly or indirectly cause the SRx Group to transfer or set aside any assets to fund any material benefits under any Employee Plan, (iv) otherwise give rise to any material liability under any Employee Plan, or (v) limit or restrict the right to merge, materially amend, terminate or transfer the assets of any Employee Plan on or following the consummation of the transactions contemplated by this Agreement. |
| (xxx) | Other than this Agreement or as set forth on Schedule C(xxx) of the SRx Disclosure Letter, neither SRx nor any SRx Subsidiary is currently party to any agreement in respect of: (i) the purchase of any material property or assets or any interest therein or the sale, transfer or other disposition of any material property or assets or any interest therein currently owned, directly or indirectly, by SRx or an SRx Subsidiary whether by asset sale, transfer of shares or otherwise; or (ii) the change of control of SRx or an SRx Subsidiary (whether by sale or transfer of shares or otherwise). |
| (yyy) | None of SRx nor any SRx Subsidiary is a party to any Material Contract, other than the SRx Material Contracts. |
| (zzz) | The operations of SRx and the SRx Subsidiaries are and have been conducted, at all times, in material compliance with all applicable Anti-Money Laundering Laws, and no action by or before any Governmental Entity against SRx or any SRx Subsidiary with respect to the Anti-Money Laundering Laws is pending. None of SRx nor any SRx Subsidiary has, directly or indirectly: (i) made or authorized any contribution, payment or gift of funds or property to any official, employee or agent of any governmental agency, authority or instrumentality of any jurisdiction in violation of applicable Laws; or (ii) made any contribution to any candidate for public office, in either case where either the payment or the purpose of such contribution, payment or gift was, is or would be prohibited under the Corruption of Foreign Public Officials Act (Canada), the Proceeds of Crime (Money Laundering) and Terrorist Financing Act (Canada) or the Uniting and Strengthening America by Providing Appropriate Tools Required to Intercept and Obstruct Terrorism Act (United States) or the rules and regulations promulgated thereunder or under any other Laws of any relevant jurisdiction covering a similar subject matter applicable to SRx, the SRx Subsidiaries and their operations. None of SRx, the SRx Subsidiaries, or, to the knowledge of SRx, any director, officer, agent, employee, affiliate or Person acting on behalf of SRx or any SRx Subsidiary has been or is currently subject to any United States sanctions administered by the Office of Foreign Assets Control of the United States Treasury Department. |
| C-12 |
| (aaaa) | None of SRx, any SRx Subsidiary or, to the knowledge of SRx, any of their officers, directors or employees acting on behalf of SRx has violated the United States’ Foreign Corrupt Practices Act (and the regulations promulgated thereunder), the Corruption of Foreign Public Officials Act (Canada) (and the regulations promulgated thereunder) or any other applicable Law covering a similar subject matter applicable to SRx, the SRx Subsidiaries and their operations, and to the knowledge of SRx, no such action has been taken by any of its agents, representatives or other Persons acting on behalf of SRx. |
| (bbbb) | No order, ruling or determination having the effect of suspending the sale or ceasing the trading in any securities of SRx has been issued by any regulatory authority and is continuing in effect and no proceedings for that purpose have been instituted or, to the knowledge of SRx, are pending, contemplated or threatened by any regulatory authority. |
| (cccc) | Except where non-compliance would not have a SRx Material Adverse Effect, SRx and the SRx Subsidiaries have complied and is in compliance with all applicable Laws governing, and all applicable contractual obligations to third parties relating to privacy, data protection, Processing, or security of Personal Information, including with respect to obtaining consent or authorization to collect, use, and disclose Personal Information, as well as all internal and external privacy policies regarding Personal Information; and, no written notices, complaints or other communications have been received by, and no claims are pending (whether by a Governmental Entity or person), or, to the knowledge of SRx, threatened against SRx or an SRx Subsidiary alleging a violation of any third party’s privacy rights or other rights relating to Personal Information including any alleged violation of applicable Laws, contractual obligations or internal or external privacy policies. |
| (dddd) | SRx and the SRx Subsidiaries maintain commercially reasonable measures designed to protect the privacy, confidentiality, integrity and security of Personal Information, including against a Security Breach, consistent with industry standards and practices and applicable Law. |
| (eeee) | To the knowledge of SRx, none of SRx or an SRx Subsidiary’s suppliers have experienced a Security Breach, including any such incident or breach that may require notification to any Person, any Governmental Authority or any entity under any Law to which the supplier is subject. |
| (ffff) | Except for the representations and warranties expressly made by SRx in this Schedule C or in any certificate delivered pursuant to this Agreement, neither SRx nor any other Person makes or has made any representation or warranty of any kind whatsoever, express or implied, at law or in equity, with respect to SRx or any of the SRx Subsidiaries or their respective business, operations, assets, liabilities, condition (financial or otherwise), notwithstanding the delivery or disclosure to Parent or any of its affiliates or Representatives of any documentation, forecasts or other information with respect to any one or more of the foregoing. Without limiting the generality of the foregoing, neither SRx nor any other Person makes or has made any express or implied representation or warranty to Parent or any of its Representatives with respect to (A) any financial projection, forecast, estimate, or budget relating to SRx, any of its subsidiaries or their respective businesses or, (B) except for the representations and warranties made by SRx in this Schedule C, any oral or written information presented to Parent or any of its Representatives in the course of their due diligence investigation of SRx and the SRx Subsidiaries, the negotiation of this Agreement or the course of the Arrangement. |
| C-13 |
Schedule
D
Representations and Warranties of Parent
Parent represents and warrants to and in favor of SRx as follows, and acknowledges that SRx is relying upon such representations and warranties in connection with the completion of the transactions contemplated herein:
| (a) | The name and jurisdiction of incorporation of Parent and each of its subsidiaries (in this Schedule D, the “Parent Subsidiaries”) is set forth in the Parent Disclosure Documents. Each of Parent and the Parent Subsidiaries (i) has been duly incorporated and is validly existing and in good standing under the laws of its jurisdiction of incorporation and is up-to-date in respect of all material corporate filings; (ii) has all requisite corporate or other organization as applicable, power and authority to carry on its business as now conducted and to own or lease and operate its assets and properties; and (iii) in respect of Parent, AcquireCo and CallCo, has all requisite corporate power and authority to enter into and carry out its obligations under this Agreement. |
| (b) | Parent does not beneficially own, or exercise control or direction over, directly or indirectly, any interest in any other Person other than the Parent Subsidiaries or any agreement, option or commitment to acquire any such investment. All of the issued and outstanding securities of the Parent Subsidiaries are owned by Parent. |
| (c) | No steps or proceedings have been taken, instituted or, to the knowledge of Parent, are pending for the dissolution, liquidation or winding up of Parent or a Parent Subsidiary. Except as disclosed in Schedule D(c) of the Parent Disclosure Letter, neither Parent nor any Parent Subsidiary: (i) is insolvent or bankrupt under or pursuant to any corporate, insolvency, winding-up, restructuring, reorganization, administration or other Laws applicable to it; (ii) has commenced, approved, authorized or taken any action in furtherance of proceedings in respect of it under any applicable bankruptcy, insolvency, restructuring, reorganization, administration, winding up, liquidation, dissolution, or similar Law; (iii) has proposed a compromise or arrangement with its creditors generally or is or has been subject to any actions taken, orders received or proceedings commenced by creditors or other Persons for or in respect of the bankruptcy, receivership, insolvency, restructuring, reorganization, administration, winding-up, liquidation or dissolution of it, or any of its property or assets; (iv) had any encumbrancer take possession of any of its property, or (v) had any execution or distress become enforceable or become levied upon any of its property. Parent is not unable to pay its liabilities as they become due and the realizable value of the assets of Parent are not less than the aggregate of its liabilities and stated capital of all classes. |
| (d) | Each of Parent and the Parent Subsidiaries is, in all material respects, conducting its business in compliance with all applicable Laws (including all material applicable federal, provincial, state, municipal and local laws, regulations and other lawful requirements of any Governmental Entity) of each jurisdiction in which its business is carried on and is duly licensed, registered or qualified in all jurisdictions in which it owns, leases or operates its property or carries on business to enable its business to be carried on as now conducted and its property and assets to be owned or leased and operated and all such licenses, registrations and qualifications are valid, subsisting and in good standing and it has not received a notice of non-compliance, nor knows of, nor has reasonable grounds to know of, any facts that could give rise to a notice of non-compliance with any such Laws, licenses, permits, registrations or qualifications which would reasonably be expected to result in a Parent Material Adverse Effect. |
| (e) | Parent has the requisite corporate power and authority to enter into, deliver and perform its obligations under this Agreement. The execution and delivery of this Agreement and performance by Parent of its obligations under this Agreement and the consummation of the Arrangement and other transactions contemplated hereby have been duly authorized by all necessary corporate action of Parent and no other corporate proceedings on the part of Parent are necessary to authorize the execution, delivery and performance of this Agreement or the consummation of the Arrangement and the other transactions contemplated hereby other than the approval by the Parent Board of the Parent Proxy Statement and the approval of the Parent Shareholder Approval Matters by the Parent Shareholders in the manner required by applicable Law. |
| D-1 |
| (f) | This Agreement has been duly and validly executed and delivered by each of Parent, AcquireCo and CallCo and, assuming due authorization, execution and delivery by SRx, constitutes a legal, valid and binding obligation of Parent, AcquireCo and CallCo, enforceable against Parent, AcquireCo and CallCo in accordance with its terms, subject however, to limitations with respect to enforcement imposed by Law in connection with bankruptcy, insolvency, reorganization or other Laws affecting creditors’ rights generally and to the extent that equitable remedies such as specific performance and injunctions are only available in the discretion of the court from which they are sought. |
| (g) | Other than the actions required under applicable Securities Laws and the Key Regulatory Approvals set out in Schedule E of this Agreement (Key Regulatory Approvals), no Authorization or consent of any Governmental Entity, and no notice, registration, declaration or filing by Parent or any of the Parent Subsidiaries with any such Governmental Entity is required in connection with the execution and delivery of, and performance by Parent, AcquireCo and CallCo of their obligations under, this Agreement or the consummation of the Arrangement and the other transactions contemplated in this Agreement. |
| (h) | Other than as set out in Schedule D(h) of the Parent Disclosure Letter, there is no requirement under any Parent Material Contract to make a filing with, give any notice to, or to obtain the consent or approval of, any party to such Parent Material Contract relating to the transactions contemplated by this Agreement. |
| (i) | The execution and delivery of this Agreement by Parent, the performance by Parent of its obligations hereunder and the consummation of the transactions contemplated hereby do not and will not (whether after notice or lapse of time or both) (i) conflict with or result in a breach or violation of any of the terms or provisions of, or constitute a default under (whether after notice or lapse of time or both) or give rise to any right of termination or acceleration of any obligations or indebtedness, and neither Parent nor a Parent Subsidiary is currently in material breach or default of, (A) any Law applicable to Parent or a Parent Subsidiary; (B) the constating documents or resolutions of Parent or any Parent Subsidiary, as applicable; (C) any Contract or Debt Instrument to which Parent or any Parent Subsidiary is a party or by which it is bound, except as disclosed in Schedule D(i) of the Parent Disclosure Letter, or (D) any judgment, decree or order binding Parent or any Parent Subsidiary, as applicable, or the assets or properties thereof; (ii) allow any Person to exercise any rights, require any consent or other action by any Person or permit the termination, cancellation, acceleration or other change of any right or other obligation or the loss of any benefit to which Parent or any Parent Subsidiary is entitled (including by triggering any rights of first refusal or first offer, change in control provision or other restriction or limitation) under any Material Contract; or (iii) result in the creation or imposition of any Encumbrance up on any of Parent’s assets or the assets of the Parent Subsidiaries. |
| (j) | The authorized, issued and outstanding share capital of Parent and each of the Parent Subsidiaries is set forth in the Parent Disclosure Documents. All of the issued and outstanding shares of capital stock of, or other equity or voting interests in, each of Parent and the Parent Subsidiaries has been duly authorized and validly issued in compliance with applicable Laws and, is fully paid and non-assessable, were not issued in violation of any pre-emptive rights, purchase options, call options, rights of first refusal, first offer, co-sale or participation or subscription rights or other similar rights. Except as set out in Schedule D(j) of the Parent Disclosure Letter, all of the issued and outstanding shares of capital stock of, or other equity or voting interests in, each Parent Subsidiary is owned, directly or indirectly, both as a matter of record and beneficially by Parent and is free and clear of all Encumbrances (except for Permitted Encumbrances). Schedule D(k) of the Parent Disclosure Letter sets forth a list of all other securities of Parent. |
| D-2 |
| (k) | Except for the securities set forth in Schedule D(k) of the Parent Disclosure Letter, no Person now has any agreement or option or right or privilege (whether at law, pre-emptive or contractual) capable of becoming an agreement for the purchase, subscription, redemption, repurchase or issuance of, or conversion into, any shares, securities, warrants or convertible obligations of any nature of Parent and a sufficient number of Parent Shares are reserved for issuance pursuant to outstanding options, warrants, share incentive plans, convertible, exercisable and exchangeable securities and other rights to acquire Parent Shares. Schedule D(k) of the Parent Disclosure Letter sets forth all issued and outstanding securities of Parent convertible into Parent Shares. |
| (l) | Parent is not aware of any legislation, or proposed legislation published by a legislative body, which it anticipates will result in a Parent Material Adverse Effect. |
| (m) | The Parent Financial Statements (i) have been prepared in accordance with U.S. GAAP applied on a consistent basis throughout the periods involved (except as may be indicated in the notes thereto) and (ii) fairly present, in all material respects, the consolidated financial position of Parent and the Parent Subsidiaries as at the respective dates thereof and the consolidated results of its operations and cash flows for the periods indicated (except that the unaudited interim financial statements were or are subject to normal and recurring year-end adjustments). Since December 31, 2023, there have been no formal investigations regarding financial reporting or accounting policies and practices discussed with, reviewed by or initiated at the direction of the Chief Executive Officer or Chief Financial Officer of Parent, the Parent Board or any committee thereof. Since December 31, 2023, neither Parent nor its independent auditors have identified (i) any significant deficiency or material weakness in the system of internal accounting controls utilized by Parent, (ii) any fraud, whether or not material, that involves Parent’s management or other employees who have a role in the preparation of financial statements or the internal accounting controls utilized by Parent, or (iii) any claim or allegation regarding any of the foregoing. Except as disclosed in the Parent Financial Statements, neither Parent nor any of the Parent Subsidiaries has any liabilities, indebtedness, obligation, expense, claim, deficiency, guaranty, or endorsement, whether accrued, absolute, contingent, matured, or unmatured of the kind required to be disclosed on a balance sheet or in the related notes to the consolidated financial statements prepared in accordance with U.S. GAAP which are, individually or in the aggregate, material to the business, results of operations or financial condition of Parent and the Parent Subsidiaries taken as a whole, except liabilities (i) identified in the balance sheet of Parent as of the Latest Balance Sheet Date or the notes thereto, (ii) incurred in connection with the transactions contemplated by this Agreement, (iii) described on Schedule D(m) of the Parent Disclosure Letter, (iv) executory obligations under any Contract or (v) incurred since the date of the balance sheet of Parent as of the Latest Balance Sheet Date in the ordinary course of business. Parent does not intend to correct or restate, nor is there any basis for any correction or restatement of, any aspect of the Parent Financial Statements. |
| (n) | Since the Latest Balance Sheet Date through the date of this Agreement and other than with respect to the negotiation, execution and performance of this Agreement, each of Parent and the Parent Subsidiaries has conducted its business only in the ordinary course of business, and there has not been: (A) any event that has had a Parent Material Adverse Effect, or (B) any material change by Parent or any Parent Subsidiary in its accounting methods, principles or practices, except as required by concurrent changes in U.S. GAAP or as disclosed in the notes to the Parent Financial Statements. |
| (o) | Neither Parent nor any of the Parent Subsidiaries has any material liabilities or obligations of any nature, whether or not accrued, contingent or otherwise, except for: (i) liabilities and obligations that are adequately presented or reserved on the Parent Financial Statements or disclosed in the notes thereto; or (ii) liabilities and obligations incurred in the ordinary course of business that are not and would not, individually or in the aggregate with all other liabilities and obligations of Parent and the Parent Subsidiaries (other than those disclosed on the Parent Financial Statements), be material to Parent and the Parent Subsidiaries (taken as a whole). Without limiting the foregoing, the Parent Financial Statements reflects reasonable reserves in accordance with U.S. GAAP for contingent liabilities of Parent and the Parent Subsidiaries. |
| D-3 |
| (p) | Each of Parent and the Parent Subsidiaries maintains internal control over financial reporting. Such internal control over financial reporting is effective in providing reasonable assurance regarding the reliability of financial reporting and the preparation of financial statements for external purposes in accordance with U.S. GAAP and includes policies and procedures that: (A) provide reasonable assurance that transactions are recorded as necessary to permit preparation of financial statements in accordance with U.S. GAAP, and that receipts and expenditures of Parent and the Parent Subsidiaries are being made only with appropriate authorizations of management and directors of Parent and the Parent Subsidiaries, as applicable; and (B) provide reasonable assurance regarding prevention or timely detection of unauthorized acquisition, use, or disposition of the assets of Parent or the Parent Subsidiaries that could have a material effect on its financial statements. As of the date of this Agreement, there neither is, nor has been, any fraud with respect to Parent or the Parent Subsidiaries, whether or not material, relating to the financial reporting or internal control over financial reporting of Parent or the Parent Subsidiaries, as applicable. As of the date of this Agreement, to the knowledge of Parent, there is no fraud that involves management or any other employees who have a significant role in the internal control over financial reporting of Parent or the Parent Subsidiaries. |
| (q) | There are no actions, proceedings or, to Parent’s knowledge, investigations (whether or not purportedly by or on behalf of Parent) commenced or, to the knowledge of Parent, threatened or pending against or relating to Parent or any Parent Subsidiary or the business thereof or affecting any of their assets and properties or against any current officer or director relating to such individual’s role with Parent or any Parent Subsidiary at law or in equity (whether in any court, arbitration or similar tribunal) or before or by any Governmental Entity, that would reasonably be expected to result in a Parent Material Adverse Effect or prevent or materially delay the consummation of the Arrangement. |
| (r) | Except as disclosed in Schedule D(r) of the Parent Disclosure Letter or in the Parent Disclosure Documents, none of Parent or any Parent Subsidiary is a party to or bound or affected by any commitment, agreement or document containing any covenant which expressly limits the freedom of Parent or the Parent Subsidiary to compete or operate in any line of business, transfer or move any of its assets or operations or which materially or adversely affects the business practices, operations or condition of Parent or the Parent Subsidiary. |
| (s) | Except as disclosed in Schedule D(s) of the Parent Disclosure Letter or in the Parent Disclosure Documents, neither Parent nor any of the Parent Subsidiaries is party to, bound by or subject to any indenture, mortgage, lease, agreement, license, permit, authorization, certification, instrument, statute, regulation, order, judgment, decree or law that would be violated or breached by, or under which default would occur or which could be terminated, cancelled or accelerated, in whole or in part, or that would require consent or notice, as a result of the execution, delivery and performance of this Agreement or the consummation of any of the transactions provided for in this Agreement and the Plan of Arrangement (except (i) as would not, individually or in the aggregate, have or reasonably be expected to have, individually or in the aggregate, a Parent Material Adverse Effect or (ii) as set out in Schedule E of this Agreement (Key Regulatory Approvals)). |
| (t) | Except as disclosed in Schedule D(t) of the Parent Disclosure Letter or in the Parent Disclosure Documents, Parent is not party to any Contract or arrangement, nor to the knowledge of Parent, is there any shareholders agreement or other Contract, which in any manner affects the voting control of any of the securities of Parent. |
| (u) | Parent and the Parent Subsidiaries have duly and timely filed all income and other Tax Returns required to be filed by them and all such Tax Returns are complete and correct in all material respects. |
| D-4 |
| (v) | Parent and the Parent Subsidiaries have paid on a timely basis all Taxes which are due and payable or required to be paid by them, other than those which are being or have been contested in good faith and in respect of which adequate reserves have been provided in the Parent Financial Statements. Parent and the Parent Subsidiaries have provided adequate accruals in accordance with U.S. GAAP in the Parent Financial Statements for any Taxes for the period covered by such financial statements that have not been paid whether or not shown as being due on any Tax Returns. |
| (w) | Neither Parent nor the Parent Subsidiaries have declared nor paid (nor been deemed to have paid) any dividends. |
| (x) | No deficiencies, litigation, proposed adjustments or matters in controversy exist or have been asserted in writing with respect to any Taxes or Tax Returns of Parent or the Parent Subsidiaries, and neither Parent nor the Parent Subsidiaries are a party to any action or proceeding for assessment or collection of Taxes, and no such event has been asserted in writing or, to the knowledge of Parent, threatened against Parent or the Parent Subsidiaries. |
| (y) | No written claim has been made by any Governmental Entity in a jurisdiction where Parent or any of the Parent Subsidiaries does not file a Tax Return that Parent, or any of the Parent Subsidiaries, is or may be liable to Tax by that jurisdiction or is or may be required to file a Tax Return with a Governmental Entity of that jurisdiction. |
| (z) | For the purposes of any applicable Tax treaty and any other relevant Tax purposes, (i) Parent is a domestic corporation for U.S. federal income tax purposes and is classified for U.S. federal income tax purposes as a “C corporation”; and (ii) the Parent Subsidiaries are each resident in the jurisdiction in which they were formed, and are not resident in any other country. |
| (aa) | There are no Encumbrances (other than Permitted Encumbrances) with respect to Taxes upon any of the assets of Parent or the Parent Subsidiaries. |
| (bb) | Each of Parent and the Parent Subsidiaries has withheld, deducted, charged or collected all amounts required to be withheld, deducted, charged or collected by it on account of Taxes and has remitted all such amounts to the appropriate Governmental Entity when required by Law to do so. Parent and the Parent Subsidiaries are in compliance with, and their respective records contain all information and documents necessary to comply with, all applicable information reporting and withholding requirements under all Law. |
| (cc) | Neither Parent nor any of the Parent Subsidiaries is a party or is bound by any Tax sharing, allocation, indemnification agreement or arrangement. |
| (dd) | Except for any affiliated group of which Parent is the parent, each of Parent and each of the Parent Subsidiaries has never been a member of an affiliated group for U.S. federal or applicable state income Tax purposes or filed or been included in a combined, consolidated or unitary income Tax Return. None of Parent or any of the Parent Subsidiaries has any liability for Taxes of any other Person (i) as a result of being or ceasing to be a member of any affiliated group for U.S. federal or applicable state income Tax purposes (including any liability under Treasury Regulation Section 1.1502-6 or any comparable provision of other applicable Law) or (ii) arising under contract, by operation of law, by reason of being a successor or transferee, or otherwise, whether or not as a consequence of such third person failing to discharge such liability. |
| (ee) | None of Parent any of the Parent Subsidiaries has been either a “distributing corporation” or a “controlled corporation” within the respective meanings of such terms under Section 355(a)(1)(A) of the U.S. Tax Code in a distribution of stock qualifying under Section 355 of the U.S. Tax Code (i) in the six years before the date of this Agreement or (ii) in a distribution that could otherwise constitute part of a “plan” or “series of related transactions” within the meaning of Section 355(e) of the U.S. Tax Code in conjunction with the Arrangement. |
| D-5 |
| (ff) | There are no outstanding agreements extending or waiving the statutory period of limitations applicable to any claim for, or the period for the collection or assessment or reassessment of Taxes due from Parent or any of the Parent Subsidiaries, for any taxable period and no request for any such waiver or extension is currently pending. |
| (gg) | Parent and the Parent Subsidiaries have complied with applicable transfer pricing Laws (including with respect to the preparing, obtaining or retaining all required documentation). |
| (hh) | Parent and the Parent Subsidiaries have not, at any time, directly or indirectly transferred any property or supplied any services to, or acquired any property or services from, a Person with whom Parent or the Parent Subsidiaries was not dealing at arm’s length for consideration other than consideration equal to the fair market value of such property or services at the time of transfer, supply or acquisition, as the case may be, nor has Parent or the Parent Subsidiaries been deemed to have done so for purposes of any Tax Law. |
| (ii) | Except as in accordance with past practices, Parent and the Parent Subsidiaries have not claimed any reserve, credit, deduction or other amount under any provision of any Tax Law, if any amount could be included in the income of Parent or the Parent Subsidiaries for any period ending after or including the Effective Date. |
| (jj) | Neither Parent nor any of the Parent Subsidiaries will be required to include an item of income or gain in, or exclude any item of deduction or loss from, taxable income for or otherwise be liable for Tax in any period (or any portion thereof) ending after the Effective Date as a result of any (i) transaction, income or gain attributable to any period (or portion thereof) ending on or prior to the Effective Date, (ii) installment sale, open transaction disposition or other transaction occurring on or prior to the Effective Date, (iii) change in method of accounting made or requested on or prior to the Effective Date, (iv) use of an improper method of accounting on or prior to the Effective Date, (v) prepaid amount received, or deferred revenue accrued, on or prior to the Effective Date, or (vi) closing agreement with any Tax authority executed on or prior to the Effective Date. |
| (kk) | Parent and each of the Parent Subsidiaries has never been a party to a “reportable transaction” or listed transaction within the meaning of Section 6707A(c) of the U.S. Tax Code or Treasury Regulation Section 1.6011-4(b) (or any comparable provision under state, local or foreign Laws). All transactions that could give rise to an understatement of Tax (within the meaning of Section 6662 of the U.S. Tax Code) were reported by Parent or the applicable Parent Subsidiary in a manner for which there is substantial authority or were adequately disclosed on the Tax Returns in accordance with Section 6662(d)(2)(B) of the U.S. Tax Code. |
| (ll) | Any and all tax credits claimed by the Parent or any of the Parent Subsidiaries were claimed in accordance with applicable Tax Law and Parent and each of the Parent Subsidiaries has satisfied at all times the relevant criteria and conditions entitling it to such tax credits. |
| (mm) | Neither Parent nor any Parent Subsidiary nor, to Parent’s knowledge, any other Person, is in default in any material respect in the observance or performance of any term, covenant or obligation to be performed by Parent or a Parent Subsidiary or such other Person under any Material Contract, and no event has occurred which with notice or lapse of time or both would constitute such a default by Parent or any Parent Subsidiary or, to Parent’s knowledge, any other party, except where such default or event would not reasonably be expected to result in a Parent Material Adverse Effect. |
| (nn) | Since the Latest Balance Sheet Date: |
| (i) | Except as disclosed in the Parent Disclosure Documents, there has not been any material change in the assets, liabilities, obligations (absolute, accrued, contingent or otherwise), business, condition (financial or otherwise) or results of operations of Parent or any Parent Subsidiary; |
| D-6 |
| (ii) | Except as disclosed in the Parent Disclosure Documents, there has not been any material change in the share capital or long-term debt of Parent; |
| (iii) | There has not been any entering into, or an amendment of, any Parent Material Contract other than (A) in the ordinary course of business, or (B) renewals of any such contract; |
| (iv) | There has not been any satisfaction or settlement of any material claims or material liabilities, other than the settlement of such claims or such liabilities incurred in the ordinary course of business; |
| (v) | Except for ordinary course adjustments to salary, bonus, or other remuneration payable to any officers or senior or executive officers, there has not been any increase in the salary, bonus, severance, termination pay, change of control entitlements or other remuneration payable to any senior or executive officers of Parent or any Parent Subsidiary; and |
| (vi) | Parent and the Parent Subsidiaries have carried on their business in the ordinary course consistent with past practice. |
| (oo) | There has been no interruption to or discontinuity in any material supplier or distributor arrangement or relationship of Parent and the Parent Subsidiaries with each of their respective material suppliers and distributors and the relationships of Parent and the Parent Subsidiaries with each of their respective material suppliers and distributors are satisfactory, and there are no unresolved disputes with any such supplier or distributor. No material supplier or distributor of Parent or any Parent Subsidiary has notified Parent or the Parent Subsidiary that such material supplier or distributor will not continue dealing with Parent or the Parent Subsidiary on substantially the same terms as presently conducted, and to the knowledge of Parent, there is no reason to believe that, any such material supplier or distributor will not continue dealing with Parent or the Parent Subsidiary on substantially the same terms as presently conducted, in each case subject to changes in pricing and volume in the ordinary course. |
| (pp) | Each of Parent and the Parent Subsidiaries possesses permits, licenses, approvals, consents and other authorizations issued by a federal, provincial, state, local or foreign regulatory agencies or bodies (in this Schedule D, collectively, “Governmental Licenses”) required by Law to conduct the business now operated by them, except where the failure to hold such Governmental Licenses would not, individually or in the aggregate, result in a Parent Material Adverse Effect. Each Governmental License is valid and in full force and effect, and is renewable by its terms or in the ordinary course without the need for Parent to comply with any special rules of procedures, agree to any materially different terms or conditions or pay any amounts other than routine filing fees. To the knowledge of Parent, each of Parent and the Parent Subsidiaries is in compliance in all material respects with the terms and conditions of all such Governmental Licenses. No consent, license, order, authorization, approval, permit, registration or declaration of, or filing with, any Governmental Entity is required in connection with: (i) the closing of the Arrangement; (ii) the execution and delivery by Parent of this Agreement or any document delivered by Parent at the closing of the Arrangement to which it is a party; (iii) the observance and performance by Parent of its obligations under this Agreement or any document delivered by Parent at the closing of the Arrangement to which it is a party; or (iv) avoiding the loss of any Governmental Licenses relating to Parent or the Parent Subsidiaries, any of their properties and assets, or the business now operated by them. |
| (qq) | To the knowledge of Parent, no event has occurred that, with or without notice or lapse of time or both, would reasonably be expected to result in the revocation, suspension, lapse or limitation of any Governmental License. |
| (rr) | There are no actions, proceedings or, to Parent’s knowledge, investigations commenced or, to the knowledge of Parent, pending in respect of or regarding any such Governmental License. None of Parent and the Parent Subsidiaries has received any written notice of revocation or non-renewal of any Governmental License, or of any intention of any Person to revoke or refuse to renew any of such Governmental License. |
| D-7 |
| (ss) | Other than the Parent Financial Advisor, there is no Person acting or purporting to act at the request of Parent who is entitled to any brokerage, agency or other fiscal advisory or similar fee in connection with the transactions contemplated by this Agreement and the Plan of Arrangement. |
| (tt) | Except as disclosed in the Parent Disclosure Documents or in the Parent Financial Statements, neither Parent nor any Parent Subsidiary has any loan or other indebtedness outstanding which has been made to any of its securityholders, officers, directors or employees, past or present, or any Person not dealing at arm’s length with it, other than for the reimbursement of ordinary course business expenses. |
| (uu) | Except for (i) employment, consulting or employment compensation agreements entered into in the ordinary course of business, (ii) customary director and officer indemnification arrangements on market terms, or (iii) financing agreements or shareholder agreements with the Parent Shareholders entered into in connection with financings or other transactions to which Parent Shareholders are generally parties and that will terminate at or prior to the Effective Time as a result of the Arrangement, there are no current contracts or other transactions (including relating to indebtedness by Parent or the Parent Subsidiaries) between Parent or any Parent Subsidiaries on the one hand, and (A) any officer or director of Parent or the Parent Subsidiaries, (B) any holder of record or beneficial owner of five percent (5%) or more of the voting securities of Parent, or (C) any affiliate or associate of any officer, director or beneficial owner, on the other hand except as disclosed in the Parent Disclosure Documents or in the Parent Financial Statements. |
| (vv) | The assets and properties of Parent and the Parent Subsidiaries and their business and operations are insured against loss or damage with responsible insurers on a basis consistent with insurance obtained by reasonably prudent participants in comparable businesses, and such coverage is in full force and effect, and Parent and the Parent Subsidiaries have not failed to promptly give any notice or present any material claim thereunder. |
| (ww) | The vehicles, machinery, equipment and other tangible personal property of Parent and the Parent Subsidiaries are, in all material respects, in good operating condition and repair having regard to their use and age, and are not in need of maintenance or repairs other than preventative maintenance and repairs in the ordinary course of business, and are adequate for the uses subject to normal wear and tear to which they are being put to use, have been maintained in all material respects in accordance with generally accepted industry practice and are free from any material defects. All leased equipment and other leased personal property of Parent and the Parent Subsidiaries is in all material respects in the condition required of such property by the terms of the lease applicable thereto. |
| (xx) | To the knowledge of Parent, none of Parent or any Parent Subsidiary is suspended or otherwise restricted from participating in any drug insurance plan, nor, to the knowledge of Parent, are there any facts or circumstances that are materially inconsistent with market practices and that provide a reasonable basis for any material adverse regulatory communication or action against Parent or any Parent Subsidiary, in respect of the Parent Business or relating to non-compliance with any applicable Law. |
| D-8 |
| (yy) | Neither Parent nor the Parent Subsidiaries own any real property or hold an ownership interest in any real property, or have owned or held such ownership interest in the past five years, save and except as set out in the Parent Disclosure Documents. With respect to each of the material leased premises of Parent and the Parent Subsidiaries, Parent and the Parent Subsidiaries occupies the applicable leased premises and has the right to occupy and use the leased premises, subject to the terms of the respective leases, and each of the leases pursuant to which Parent and the Parent Subsidiaries occupies such leased premises is valid, legally binding and enforceable against Parent or a Parent Subsidiary, as applicable, and to the knowledge of Parent, the other parties in accordance with its terms is in good standing and in full force and effect, and none of Parent or any of the Parent Subsidiaries is in breach of, or default under, such lease, sublease, license or occupancy agreement, and no event has occurred which, with notice, lapse of time or both, would constitute such a breach or default by Parent or any of the Parent Subsidiaries that would permit termination, modification or acceleration by any third party thereunder. No third party has repudiated or has the right to terminate or repudiate any such lease (except for the normal exercise of remedies in connection with a default thereunder or any termination rights set forth in the lease) or any provision thereof. None of the aforementioned leases has been assigned by Parent or any of the Parent Subsidiaries in favor of any Person or sublet or sublicensed. There exists no claim of any kind or right of set-off against Parent or any Parent Subsidiary, as the case may be, as tenant by the landlord or against the landlord by Parent or any Parent Subsidiary, as the case may be, as tenant as of the date hereof. Parent and the Parent Subsidiaries own, lease or license all personal or movable property as is necessary to conduct their business as presently conducted, and Parent and the Parent Subsidiaries have good and valid title to, or a valid and enforceable interest (whether a leasehold interest or otherwise) in, all of such personal or movable property. |
| (zz) | Parent and the Parent Subsidiaries as tenants are in actual possession of all properties leased by them. Except as disclosed in Schedule D(zz) of the Parent Disclosure Letter, Parent and the Parent Subsidiaries are not in arrears of rent required to be paid pursuant to any applicable lease. |
| (aaa) | The minute books and records of Parent and the Parent Subsidiaries made available to SRx and its counsel in connection with their due diligence investigation in respect of the Arrangement contain full, true and correct copies of all constating documents, including all amendments thereto, and contain copies of all proceedings of securityholders and directors (and committees thereof) and are complete in all material respects. |
| (bbb) | The Parent Disclosure Documents set out all Intellectual Property owned by Parent or a Parent Subsidiary that has been registered or which applications for registration have been filed and all other material Intellectual Property that is owned by Parent or the Parent Subsidiary (in this Schedule D, the “Parent Owned Intellectual Property”) and the Intellectual Property that is duly licensed by Parent as part of its business as presently conducted, except for commercially available, off-the-shelf software licensed to Parent or any Parent Subsidiary on a royalty-free basis pursuant to standard, nondiscriminatory terms and conditions (in this Schedule D, the “Parent Licensed Intellectual Property”, and together with the Parent Owned Intellectual Property, the “Parent Intellectual Property”). Parent or a Parent Subsidiary is the sole and exclusive owner of the Parent Owned Intellectual Property and all other Intellectual Property that it owns or purports to own with good, valid and marketable title thereto, free and clear of all Encumbrances (other than Permitted Encumbrances). Parent or a Parent Subsidiary has valid and enforceable licenses to use all of the Parent Licensed Intellectual Property used by it in connection with, and as required for, its business as presently conducted. Parent has no knowledge to the effect that it will be unable to obtain or maintain any rights or licenses to use all Intellectual Property necessary for the conduct of its business. The Parent Owned Intellectual Property and the Parent Licensed Intellectual Property constitute all of the Intellectual Property required by Parent or the Parent Subsidiaries to conduct their respective businesses as currently conducted. To the knowledge of Parent, no third parties have rights to any Intellectual Property, except for the ownership rights of the owners of the Parent Licensed Intellectual Property which is licensed to Parent or a Parent Subsidiary. To the knowledge of Parent, there is no infringement, misappropriation or misuse by third parties of any Parent Owned Intellectual Property. There is no pending or, to the knowledge of Parent, threatened action, suit, proceeding or claim by third parties challenging the rights in or to any Parent Owned Intellectual Property, and Parent is not aware of any facts which form a reasonable basis for any such claim. The Parent Owned Intellectual Property that is the subject of an application or registration is valid, in full force and effect. There is no pending or, to the knowledge of Parent, threatened action, suit, proceeding or claim by others challenging the validity or enforceability of any Parent Owned Intellectual Property, and Parent is not aware of any allegations or finding of unenforceability or invalidity of the Parent Owned Intellectual Property or any facts which form a reasonable basis for any such claim. All applications, registrations, filings, renewals and payments necessary to preserve the rights of Parent or any Parent Subsidiary in and to Parent Owned Intellectual Property have been duly filed, made, prosecuted, maintained, paid, are in good standing and are recorded in the name of Parent or a Parent Subsidiary. There is no pending or, to the knowledge of Parent, threatened action, suit, proceeding or claim by third parties that Parent or a Parent Subsidiary infringes, misappropriates or otherwise violates any patent, trademark, copyright, trade secret or other proprietary rights of others. To the knowledge of Parent, the business of Parent and the Parent Subsidiaries does not infringe, misappropriate or otherwise violate any patent, trademark, copyright, trade secret or other proprietary rights of third parties and, without limiting the foregoing, to the knowledge of Parent, there is no patent or patent application by third parties that contains claims that interfere with the issued or pending claims of any Parent Intellectual Property. |
| D-9 |
| (ccc) | Except in respect of the Intellectual Property set forth in Schedule D(ccc) of the Parent Disclosure Letter, no licenses or other rights have been granted to any third party in, to and in respect of the Parent Owned Intellectual Property. |
| (ddd) | Other than in respect of those contracts disclosed in Schedule D(ddd) of the Parent Disclosure Letter, neither Parent nor any Parent Subsidiary is a party to or bound by any Contract or other obligation that limits or impairs its ability to use, sell, transfer, assign or convey, or that otherwise affects any Parent Intellectual Property. |
| (eee) | Except as set forth in Schedule D(eee) the Parent Disclosure Letter, neither Parent nor any Parent Subsidiary is obligated to pay any royalties, fees or other compensation to any third party in respect of its ownership, use, practice, exploitation or commercialization of any Parent Intellectual Property. |
| (fff) | Except as disclosed in Schedule D(fff) of the Parent Disclosure Letter, no permits, licenses, approvals, consents or other authorizations issued by any federal, provincial, state, local or foreign regulatory agency or body are required to import or sell the products of Parent or any Parent Subsidiary. |
| (ggg) | Except in respect of the individuals listed in Schedule D(ggg)(i) of the Parent Disclosure Letter, all current and former employees of, and current and former consultants who have contributed to the creation of any Parent Owned Intellectual Property to, Parent and the Parent Subsidiaries have entered into proprietary rights or similar agreements with Parent or the applicable Parent Subsidiary, whereby any Intellectual Property required by Parent to conduct its business as presently conducted created by them in the course of the performance of their employment or engagement has been fully and irrevocably assigned to Parent or the applicable Parent Subsidiary without additional consideration, and, to the knowledge of Parent, no employee of, or consultant to, Parent or the applicable Parent Subsidiary is in violation of such agreements. |
| (hhh) | Each of Parent and the Parent Subsidiaries have taken all reasonably necessary and appropriate steps (including appropriately marking and labelling Intellectual Property) to protect the secrecy, confidentiality and proprietary nature of all such Intellectual Property. To the knowledge of Parent, the employment or engagement by Parent or the applicable Parent Subsidiary of such Persons does not violate any non-disclosure or non-competition agreement between any such Person and a third party. |
| (iii) | The conduct of Parent and the Parent Subsidiaries in carrying on the Parent Business and the operation of the Parent Business by Parent and the Parent Subsidiaries have been and is in compliance with all Environmental Laws, in all material respects, and there are no existing events, conditions, or circumstances that would reasonably be expected to materially and adversely affect the ability of Parent or the Parent Subsidiaries to comply with Environmental Laws. |
| (jjj) | Each of Parent and the Parent Subsidiaries has obtained all licenses, permits, approvals, consents, certificates, registrations and other authorizations under all applicable Environmental Laws (in this Schedule D, the “Environmental Permits”) necessary as at the date hereof for the operation of the business carried by Parent and the Parent Subsidiaries, and each Environmental Permit is valid, subsisting and in good standing in all material respects and none of Parent nor any of the Parent Subsidiaries is in default or breach of any Environmental Permit in any respect and no proceeding is outstanding or, to the knowledge of Parent, has been threatened or is pending to revoke or limit any Environmental Permit. |
| D-10 |
| (kkk) | To the knowledge of Parent, each of Parent and the Parent Subsidiaries has not used, except in compliance in all respects with all Environmental Laws and Environmental Permits, any property or facility which it owns, controls manages, operates or leases or previously owned, controlled, operated, managed or leased, to generate, manufacture, process, distribute, use, treat, store, dispose of, transport or handle any Hazardous Substance and, to the knowledge of Parent, there have been no releases of Hazardous Substances at any property or facility which it owns, controls, manages, operates or leases or previously owned, controlled, operated, managed or leased. |
| (lll) | Each of Parent and the Parent Subsidiaries has not received any notice of, or been prosecuted for, an offence alleging, non-compliance in any material respect with any Environmental Laws, and none of Parent nor any of the Parent Subsidiaries has settled any allegation of non-compliance short of prosecution. There are no orders or directions issued against each of Parent and the Parent Subsidiaries under Environmental Laws including those requiring any material work, repairs, construction or capital expenditures to be made with respect to any of the assets of Parent or the Parent Subsidiaries, nor has Parent or any Parent Subsidiary received notice of any of the same. |
| (mmm) | There are no past unresolved or, to the knowledge of Parent, any threatened or pending claims, complaints, notices or requests for information received by Parent or a Parent Subsidiary with respect to any alleged violation of any Environmental Laws; and, to the knowledge of Parent, no conditions exist at, on or under any property now or previously owned, operated, optioned or leased by Parent or a Parent Subsidiary which, with the passage of time, or the giving of notice or both, would give rise to liability under Environmental Laws that, individually or in the aggregate, would reasonably be expected to result in a Parent Material Adverse Effect. |
| (nnn) | None of Parent nor any Parent Subsidiary has received any notice wherein it is alleged or stated that it is potentially responsible for a federal, provincial, state, municipal or local clean-up site or corrective action under Environmental Laws that would reasonably be expected to result in a Parent Material Adverse Effect. |
| (ooo) | Except as disclosed in Schedule D(ooo) of the Parent Disclosure Letter, there are no environmental audits, evaluations, assessments, studies or tests relating to Parent or a Parent Subsidiary. |
| (ppp) | None of Parent or the Parent Subsidiaries have agreed by contract or other agreement to indemnify or be responsible for any liabilities or obligations under Environmental Laws. |
| (qqq) | To the knowledge of Parent, Parent and the Parent Subsidiaries are and have been in compliance in all material respects with all applicable Laws pertaining to employment and employment practices, including all Laws relating to labor relations, equal employment opportunities, fair employment practices, employment discrimination, harassment, retaliation, reasonable accommodation, disability rights or benefits, immigration, wages, hours, overtime compensation, child labor, hiring, promotion and termination of employees, working conditions, meal and break periods, privacy, health and safety, workers’ compensation, leaves of absence and unemployment insurance. All individuals characterized and treated by Parent or any Parent Subsidiary as independent contractors or consultants are properly treated as independent contractors under all applicable Laws. There are no actions against Parent or any Parent Subsidiary pending or, to the knowledge of Parent, threatened to be brought or filed, by or with any Governmental Entity or arbitrator in connection with the employment of any current or former applicant, employee, consultant or independent contractor of Parent or any Parent Subsidiary, including any claim relating to unfair labor practices, employment discrimination, harassment, retaliation, equal pay, wage and hours or any other employment related matter arising under applicable Laws. |
| D-11 |
| (rrr) | Neither Parent nor any Parent Subsidiary is subject to any claim for wrongful dismissal, constructive dismissal or any other tort claim, actual or threatened, or any litigation actual or threatened, relating to employment or termination of employment of employees or independent contractors. |
| (sss) | Each plan for retirement, bonus, stock purchase, profit sharing, stock option, deferred compensation, severance or termination pay, insurance, medical, hospital, dental, vision care, drug, sick leave, disability, salary continuation, legal benefits, unemployment benefits, vacation, incentive or otherwise contributed to or required to be contributed to, by Parent or a Parent Subsidiary for the benefit of any current or former director, officer, employee or consultant of Parent or a Parent Subsidiary (in this Schedule D, the “Parent Employee Plans”) has been maintained in compliance with its terms and with the requirements prescribed by any and all Laws that are applicable to such Parent Employee Plans, in each case in all material respects and has been publicly disclosed to the extent required by Securities Laws. |
| (ttt) | All material accruals for unpaid vacation pay, premiums for unemployment insurance, health premiums, federal or state pension plan premiums, accrued wages, salaries and commissions and employee benefit plan payments have been reflected in the books and records of Parent and the Parent Subsidiaries. |
| (uuu) | There is not currently any labor disruption, dispute, slowdown, stoppage, complaint or grievance or, to the knowledge of Parent, threatened or pending which is adversely affecting or would reasonably be expected to adversely affect, in a material manner, the carrying on of the business of Parent and the Parent Subsidiaries, and to the knowledge of Parent, there is no proposal to unionize its employees and no collective bargaining agreements are in place or currently being negotiated by Parent or any Parent Subsidiary. |
| (vvv) | Except as set forth on Schedule D(vvv) of the Parent Disclosure Letter, neither the execution and delivery of this Agreement, shareholder or other approval of this Agreement nor the consummation of the transactions contemplated by this Agreement could, alone or in combination with another event, (i) entitle any employee, director, officer or independent contractor of the Parent Group to severance pay, termination pay, change of control payment or benefits, or any material increase in severance pay, (ii) accelerate the time of payment or vesting, or materially increase the amount of compensation due to any such employee, director, officer or independent contractor, (iii) directly or indirectly cause the Parent Group to transfer or set aside any assets to fund any material benefits under any Employee Plan, (iv) otherwise give rise to any material liability under any Employee Plan, or (v) limit or restrict the right to merge, materially amend, terminate or transfer the assets of any Employee Plan on or following the consummation of the transactions contemplated by this Agreement. |
| (www) | Other than this Agreement, neither Parent nor any Parent Subsidiary is currently party to any agreement in respect of: (i) the purchase of any material property or assets or any interest therein or the sale, transfer or other disposition of any material property or assets or any interest therein currently owned, directly or indirectly, by Parent or a Parent Subsidiary whether by asset sale, transfer of shares or otherwise; or (ii) the change of control of Parent or a Parent Subsidiary (whether by sale or transfer of shares or otherwise). |
| (xxx) | None of Parent nor any Parent Subsidiary is a party to any Material Contract, other than the Parent Material Contracts. |
| (yyy) | The operations of Parent and the Parent Subsidiaries are and have been conducted, at all times, in material compliance with all applicable Anti-Money Laundering Laws, and no action by or before any Governmental Entity against Parent or any Parent Subsidiary with respect to the Anti-Money Laundering Laws is pending. None of Parent nor any Parent Subsidiary has, directly or indirectly: (i) made or authorized any contribution, payment or gift of funds or property to any official, employee or agent of any governmental agency, authority or instrumentality of any jurisdiction in violation of applicable Laws; or (ii) made any contribution to any candidate for public office, in either case where either the payment or the purpose of such contribution, payment or gift was, is or would be prohibited under the Corruption of Foreign Public Officials Act (Canada), the Proceeds of Crime (Money Laundering) and Terrorist Financing Act (Canada) or the Uniting and Strengthening America by Providing Appropriate Tools Required to Intercept and Obstruct Terrorism Act (United States) or the rules and regulations promulgated thereunder or under any other Laws of any relevant jurisdiction covering a similar subject matter applicable to Parent, the Parent Subsidiaries and their operations. None of Parent, the Parent Subsidiaries, or, to the knowledge of Parent, any director, officer, agent, employee, affiliate or Person acting on behalf of Parent or any Parent Subsidiary has been or is currently subject to any United States sanctions administered by the Office of Foreign Assets Control of the United States Treasury Department. |
| D-12 |
| (zzz) | None of Parent, any Parent Subsidiary, or, to the knowledge of Parent, any of their officers, directors or employees acting on behalf of Parent has violated the United States’ Foreign Corrupt Practices Act (and the regulations promulgated thereunder), the Corruption of Foreign Public Officials Act (Canada) (and the regulations promulgated thereunder) or any other applicable Law covering a similar subject matter applicable to Parent, the Parent Subsidiaries and their operations, and to the knowledge of Parent, no such action has been taken by any of its agents, representatives or other Persons acting on behalf of Parent. |
| (aaaa) | The Parent is a “reporting issuer” or equivalent thereof under applicable Securities Laws in the United States, and is not in default of any material requirements of any Securities Laws or the rules and regulations of the SEC or NYSE American. Parent has not taken any action to cease to be a reporting issuer nor has Parent received notification from any Securities Authority seeking to revoke the reporting issuer status of Parent. No delisting, suspension of trading in or cease trading order with respect to any of its securities and, to the knowledge of the Parent, no inquiry or investigation of any Securities Authority, is pending, in effect or ongoing or threatened, except as disclosed in the Parent Disclosure Documents and as would not, individually or in the aggregate, reasonably be expected to result in a Parent Material Adverse Effect. The Parent Shares are listed on NYSE American and trading of the Parent Shares is not currently halted or suspended. The Parent does not have any securities listed for trading on any securities exchange other than NYSE American. Parent is not subject to any cease trade or other order of NYSE American or any Securities Authority, and, to the knowledge of the Parent, no investigation or other proceedings involving the Parent that may operate to prevent or restrict trading of any securities of the Parent are currently in progress or pending before NYSE American or any Securities Authority. Parent has timely filed or furnished all Parent Disclosure Documents required to be filed or furnished by Parent under applicable Securities Laws. Each of the Parent Disclosure Documents complied in all material respects with applicable Securities Laws and did not, as of the date filed (or, if amended or superseded by a subsequent filing prior to the date of this Agreement, on the date of such filing), contain any misrepresentation (as defined under applicable Securities Laws). Parent has not filed any confidential filings (including redacted filings) filed to or furnished with, as applicable, any Securities Authority. There are no outstanding or unresolved comments in comment letters from any Securities Authority with respect to any of the Parent Disclosure Documents and, to the knowledge of Parent, neither Parent nor any of the Parent Disclosure Documents is the subject of an ongoing audit, review, comment or investigation by any Securities Authority or the SEC. |
| (bbbb) | No order, ruling or determination having the effect of suspending the sale or ceasing the trading in any securities of Parent has been issued by any regulatory authority and is continuing in effect and no proceedings for that purpose have been instituted or, to the knowledge of Parent, are pending, contemplated or threatened by any regulatory authority. |
| (cccc) | Parent is not a shell company (as defined in Rule 405 under the Securities Act) and has not been a shell company for at least twelve (12) calendar months prior to the date of this Agreement. |
| (dddd) | The Parent Certificate of Designation is in a form which complies with Delaware Law and, when filed, will constitute the valid Parent Certificate of Designation under Delaware Law. |
| D-13 |
| (eeee) | Except where non-compliance would not have a Parent Material Adverse Effect, Parent and the Parent Subsidiaries have complied and is in compliance with all applicable Laws governing, and all applicable contractual obligations to third parties relating to privacy, data protection, Processing, or security of Personal Information, including with respect to obtaining consent or authorization to collect, use, and disclose Personal Information, as well as all internal and external privacy policies regarding Personal Information; and, no written notices, complaints or other communications have been received by, and no claims are pending (whether by a Governmental Entity or person), or, to the knowledge of Parent, threatened against Parent or a Parent Subsidiary alleging a violation of any third party’s privacy rights or other rights relating to Personal Information including any alleged violation of applicable Laws, contractual obligations or internal or external privacy policies. |
| (ffff) | Parent and the Parent Subsidiaries maintain commercially reasonable measures designed to protect the privacy, confidentiality, integrity and security of Personal Information, including against a Security Breach, consistent with industry standards and practices and applicable Law. |
| (gggg) | To the knowledge of Parent, none of Parent or a Parent Subsidiary’s suppliers have experienced a Security Breach, including any such incident or breach that may require notification to any Person, any Governmental Authority or any entity under any Law to which the supplier is subject. |
| (hhhh) | Except for the representations and warranties expressly made by Parent in this Schedule D or in any certificate delivered pursuant to this Agreement, neither Parent nor any other Person makes or has made any representation or warranty of any kind whatsoever, express or implied, at law or in equity, with respect to Parent or any of the Parent Subsidiaries or their respective business, operations, assets, liabilities, condition (financial or otherwise), notwithstanding the delivery or disclosure to SRx or any of its affiliates or Representatives of any documentation, forecasts or other information with respect to any one or more of the foregoing. Without limiting the generality of the foregoing, neither Parent nor any other Person makes or has made any express or implied representation or warranty to SRx or any of its Representatives with respect to (A) any financial projection, forecast, estimate, or budget relating to Parent, any of its subsidiaries or their respective businesses or, (B) except for the representations and warranties made by Parent in this Schedule D, any oral or written information presented to SRx or any of its Representatives in the course of their due diligence investigation of Parent and the Parent Subsidiaries, the negotiation of this Agreement or the course of the Arrangement. |
| D-14 |
Schedule
E
Key Regulatory Approvals
Filings required under the U.S. Securities Act and U.S. Exchange Act, and other actions required by the SEC pursuant thereto
NYSE American approval
| E-1 |
Schedule
F
Form of SRx Voting Agreement
[See Attached]
| F-1 |
Schedule
G
SRx Supporting
Shareholders
All Persons holding 5% or more of the SRx Shares (on a fully diluted basis) as of the date hereof.
| G-1 |
AMENDMENT NO. 1 TO ARRANGEMENT AGREEMENT
This AMENDMENT NO. 1 TO ARRANGEMENT AGREEMENT (this “Amendment”) entered into as of December 6, 2024 by and among BETTER CHOICE COMPANY INC., a corporation existing under the laws of the State of Delaware (“Parent”), 1000994476 ONTARIO INC., a corporation existing under the laws of the Province of Ontario (“AcquireCo”), 1000994085 ONTARIO INC., a corporation existing under the laws of the Province of Ontario (“CallCo”), and SRX HEALTH SOLUTIONS INC., a corporation existing under the laws of the Province of Ontario (“SRx”). Capitalized terms used herein and not otherwise defined shall have the meanings ascribed to such terms in the Arrangement Agreement (as defined below).
WHEREAS, Parent, AcquireCo, CallCo and SRx have entered into that certain Arrangement Agreement dated September 3, 2024 (the “Arrangement Agreement”), pursuant to which, among other things, Parent will, indirectly through AcquireCo, acquire all of the SRx Shares in exchange for the Consideration, by way of a statutory plan of arrangement, which is to be completed under the provisions of the OBCA on and subject to the terms and conditions contained in the Arrangement Agreement; and
WHEREAS, the Parties now desire to amend the Arrangement Agreement to increase the percentage of the issued and outstanding capital stock of Halo, Purely For Pets, Inc., that will be contributed to the Spin-Out SPV and subject to the Spin-Out.
NOW, THEREFORE, in consideration of the mutual promises and covenants contained herein and other good and valuable consideration, the receipt and sufficiency of which are hereby acknowledged, the Parties intending to be legally bound hereby agree as follows:
1. Section 5.6(a) of the Arrangement Agreement is hereby amended by deleting the phrase “eight percent (8%)” and replacing it with the phrase “seventeen percent (17%)”.
2. Upon and after the effectiveness of this Amendment, each reference in: (i) the Arrangement Agreement to “this Agreement,” “hereunder,” “hereof,” or words of like import referring to the Arrangement Agreement; and (ii) any document related to the Arrangement Agreement to the “Arrangement Agreement”, “thereunder”, “thereunder” or words of like import referring to the Arrangement Agreement, in each case shall mean and be a reference to the Arrangement Agreement as modified hereby. Except as modified in this Amendment, the Arrangement Agreement is and shall continue to be in full force and effect and is hereby, in all respects, ratified and confirmed. The execution, delivery and effectiveness of this Amendment shall not, except as previously provided herein, operate as a waiver of any right, power or remedy of any party under the Arrangement Agreement, nor, except as expressly provided herein, constitute a waiver or amendment of any provision of the Arrangement Agreement.
3. This Amendment may be executed in counterparts, each of which shall be deemed an original but all of which when taken together shall constitute one and the same instrument. Such counterparts shall together constitute one and the same document. The Parties agree that facsimile, PDF, JPEG, DocuSign, and/or other electronically transmitted or scanned signatures shall be treated as original signatures for all purposes.
4. THIS AMENDMENT SHALL BE GOVERNED BY AND CONSTRUED IN ACCORDANCE WITH THE LAWS IN FORCE IN THE PROVINCE OF ONTARIO (EXCLUDING ANY RULE OR PRINCIPLE OF THE CONFLICT OF LAWS WHICH MIGHT REFER SUCH INTERPRETATION TO THE LAWS OF ANOTHER JURISDICTION) AND THE FEDERAL LAWS OF CANADA APPLICABLE THEREIN.
[signature page follows]
| 1 |
IN WITNESS WHEREOF, the Parties have executed this Amendment as of the date first written above by their respective officers thereunto duly authorized.
| BETTER CHOICE COMPANY INC. | ||
| By: | ||
| Name: | Kent Cunningham | |
| Title: | Chief Executive Officer | |
| 1000994476 ONTARIO INC. | ||
| By: | ||
| Name: | Michael Young | |
| Title: | President | |
| 1000994085 ONTARIO INC. | ||
| By: | ||
| Name: | Michael Young | |
| Title: | President | |
| SRX HEALTH SOLUTIONS INC. | ||
| By: | ||
| Name: | Adesh Vora | |
| Title: | President & Chief Executive Officer | |
| By: | ||
| Name: | Davender Sohi | |
| Title: | Chief Financial Officer | |
| 2 |
Execution Version
PLAN OF ARRANGEMENT
Article
1
INTERPRETATION
| 1.1 | Definitions |
In this Plan of Arrangement:
“Acquireco” means 1000994476 Ontario Inc., an indirect subsidiary of Parent, incorporated under the laws of the Province of Ontario that issues the Exchangeable Shares pursuant to the Arrangement.
“Amalgamation” has the meaning set out in Section 2.2(i).
“Ancillary Rights” means all rights relating to the Exchangeable Shares which are provided outside of the Exchangeable Share Provisions, including, the interest of a holder of Exchangeable Shares as a beneficiary of the trust created under the Voting Trust Agreement and all rights created under the Support Agreement.
“affiliate” has the meaning ascribed thereto in the Securities Act (Ontario), as amended.
“Amalco” means the indirect subsidiary of Parent, existing under the laws of the Province of Ontario formed upon the amalgamation of Acquireco and SRx pursuant to Section 2.2(h).
“Arrangement” means an arrangement under Section 182 of the OBCA on the terms and subject to the conditions set out in this Plan of Arrangement, subject to any amendments or variations hereto made in accordance with this Plan of Arrangement and the Arrangement Agreement or made at the direction of the Court.
“Arrangement Agreement” means the arrangement agreement made as of September 3, 2024 between Parent, Acquireco, Callco and SRx, as amended, supplemented and/or restated in accordance with its terms.
“Articles of Arrangement” means the articles of arrangement of SRx in respect of the Arrangement required by the OBCA to be sent to the Director after the Final Order is made, which shall be in a form and content satisfactory to Parent and SRx, each acting reasonably.
“Business Day” means a day other than a Saturday, a Sunday or any other day on which commercial banking institutions in Toronto, Ontario or Tampa, Florida are authorized or required by applicable Law to be closed.
“Callco” means 1000994085 Ontario Inc, being a wholly-owned subsidiary of Parent incorporated under the laws of the Province of Ontario.
“Canadian Resident” means (i) a person who is not a non-resident of Canada for the purposes of the Tax Act, or (ii) a partnership that is a “Canadian partnership” for purposes of the Tax Act.
| 1 |
“Certificate of Arrangement” means the certificate of arrangement to be issued by the Director pursuant to subsection 183(2) of the OBCA in respect of the Articles of Arrangement.
“Code” means the United States Internal Revenue Code of 1986, as amended.
“Consideration” means the consideration to be received by SRx Shareholders pursuant to the Plan of Arrangement in respect of each SRx Share that is issued and outstanding immediately prior to the Effective Time, being either the Parent Share Consideration or the Exchangeable Share Consideration as elected by a SRx Shareholder or as otherwise determined in accordance with Section 2.3 in respect of each SRx Share held.
“Court” means the Ontario Superior Court of Justice (Commercial List).
“CRA” means the Canada Revenue Agency.
“Current Market Price” has the meaning set out in the Exchangeable Share Provisions.
“Depositary” means the person acting as depositary under the Arrangement.
“Director” means the Director appointed pursuant to Section 278 of the OBCA.
“Dissent Rights” has the meaning set out in Section 3.1.
“Dissenting Shareholder” means a registered holder of SRx Shares that has duly and validly exercised Dissent Rights and who is ultimately entitled to be paid the fair value of such holder’s SRx Shares as determined in accordance with Section 3.1.
“Effective Date” means the date shown on the Certificate of Arrangement giving effect to the Arrangement.
“Effective Time” means 12:01 a.m. (Toronto time) on the Effective Date.
“Election Deadline” means 4:00 p.m. (Toronto time) on the Business Day `which is not less than five (5) Business Days preceding the Effective Date, unless otherwise agreed in writing by Parent and SRx.
“Eligible Holder” means an SRx Shareholder who is (i) a Canadian Resident, or (ii) a partnership, any member of which is a Canadian Resident.
“Exchange Ratio” means the number of Parent Shares or Exchangeable Shares that an SRx Shareholder will receive at the Effective Time in exchange for each one (1) SRx Share held, determined as follows:

A = the number of Parent Shares or Exchangeable Shares to be received in exchange for each one (1) SRx Share, rounded to three decimal places;
| 2 |
B = US$80,000,000 plus US$43,000,000 minus the SRx U.S. Dollar Net Debt;
C = 30 Day VWAP; and
D = the total number of SRx Shares outstanding immediately prior to the Effective Time,
provided that if:
| i. |
| |
| ii. |
is less than 19,750,000, then
shall for the purposes of the calculation of the Exchange Ratio be deemed to be 19,750,000. |
“Exchange Time” means the time that the steps in Sections 2.2(d) and 2.2(f) occur.
“Exchangeable Elected Shares” means SRx Shares (other than SRx Shares held by Parent or an affiliate) that the holder thereof shall have elected, in accordance with Section 2.3(a) in a duly completed Letter of Transmittal and Election Form deposited with the Depositary no later than the Election Deadline, to transfer to Acquireco under the Arrangement for the Exchangeable Share Consideration.
“Exchangeable Share Consideration” means the consideration in the form of Exchangeable Shares, together with the Ancillary Rights, elected for each SRx Share held by a SRx Shareholder (other than a Dissenting Shareholder) pursuant to Section 2.3(a), which shall be that number of Exchangeable Shares equal to the Exchange Ratio for each SRx Share held immediately prior to the Effective Time.
“Exchangeable Share Provisions” means the rights, privileges, restrictions and conditions attaching to the Exchangeable Shares shall be the rights, privileges, restrictions and conditions as set forth in the articles of incorporation of Acquireco.
“Exchangeable Shares” means the exchangeable shares in the capital of Acquireco having the rights, privileges, restrictions and conditions set forth in the Exchangeable Share Provisions.
“Final Order” means an Order of the Court granted pursuant to Section 185 of the OBCA, in a form acceptable to each of Parent and SRx, each acting reasonably, approving the Arrangement after a hearing upon the procedural and substantive fairness of the terms and conditions of the Arrangement, as such Order may be affirmed, amended, modified, supplemented or varied by the Court (with the consent of Parent and SRx, each acting reasonably) at any time prior to the Effective Date or, if appealed, as affirmed or amended (provided, however, that any such amendment is acceptable to Parent and SRx, each acting reasonably) on appeal, unless such appeal is withdrawn, abandoned or denied.
| 3 |
“Governmental Entity” means (i) any multinational or supranational body or organization, nation, government, state, province, country, territory, municipality, quasi-government, administrative, judicial or regulatory authority, agency, board, body, bureau, commission, instrumentality, court or tribunal or any political subdivision thereof, or any central bank (or similar monetary or regulatory authority) thereof, any taxing authority, any ministry or department or agency of any of the foregoing, (ii) any self-regulatory organization or stock exchange, including the NYSE, (iii) any entity exercising executive, legislative, judicial, regulatory or administrative functions of or pertaining to government; and (iv) any corporation or other entity owned or controlled, through stock or capital ownership or otherwise, by any of such entities or other bodies pursuant to the foregoing.
“holder” means the holder of SRx Shares, SRx RSUs or SRx Warrants shown from time to time in the central securities register maintained by or on behalf of SRx in respect of such securities, as the context requires.
“including” means “including without limitation” and “includes” means “includes without limitation”.
“Interim Order” means an Order of the Court in a form acceptable to each of Parent and SRx, acting reasonably, providing for, among other things, the calling and holding of the SRx Meeting, as the same may be amended by the Court with the consent of Parent and SRx, each acting reasonably.
“Judgment” means any judgment, Order, decree, award, ruling, decision, verdict, subpoena, injunction or settlement entered, issued, made or rendered by any Governmental Entity (in each case whether temporary, preliminary or permanent).
“Law” means, with respect to any person, any and all applicable law (statutory, common, civil or otherwise), constitution, treaty, convention, ordinance, code, rule, regulation, Order, injunction, Judgment, decree, ruling or other similar requirement, whether domestic or foreign, enacted, adopted, promulgated or applied by a Governmental Entity that is binding upon or applicable to such person or its business, undertaking, property or securities, and to the extent that they have the force of law, policies, guidelines, notices and protocols of any Governmental Entity, as amended.
“Letter of Transmittal and Election Form” means the letter of transmittal and election form sent by SRx for use by holders of SRx Securityholders, as applicable, in connection with the Arrangement, in the form accompanying the SRx Circular.
“NYSE” means the New York Stock Exchange.
“OBCA” means the Business Corporations Act (Ontario), as amended.
“Order” means an order, injunction, Judgment, administrative complaint, decree, ruling, award, assessment, direction, instruction, penalty or sanction issued, filed or imposed by any Governmental Entity.
| 4 |
“person” includes any individual, firm, partnership, limited partnership, limited liability partnership, joint venture, venture capital fund, limited liability company, unlimited liability company, association, trust, trustee, executor, administrator, legal personal representative, estate, body corporate, corporation, company, unincorporated association or organization, Governmental Entity, syndicate or other entity, whether or not having legal status.
“Plan of Arrangement” means this plan of arrangement.
“Preferred Voting Share Provisions” means the rights, privileges, restrictions and conditions attaching to the special voting shares of Acquireco, set forth in the articles of incorporation of Acquireco.
“Principal” means Adesh Vora, the Founder, President and Chief Executive Officer of SRx.
“Parent” means Better Choice Company Inc., a corporation existing under the laws of the State of Delaware.
“Parent Share Consideration” means the Consideration in the form of Parent Shares elected or deemed to be elected for each SRx Share held by an SRx Shareholder (other than a Dissenting Shareholder) pursuant to Section 2.3, which shall be that number of Parent Shares equal to the Exchange Ratio for each SRx Share held immediately prior to the Effective Time.
“Parent Shares” means the common stock, par value $0.001 per share, in the capital of Parent.
“SEC” means the U.S. Securities and Exchange Commission.
“Securities Authorities” means all securities regulatory authorities, including the applicable securities commission or similar regulatory authorities in each of the provinces and territories of Canada, the SEC and the NYSE, that are applicable to SRx or Parent, as the case may be.
“Special Voting Share” means the special voting share in the capital of Parent having substantially the rights, privileges, restrictions and conditions described in the Arrangement Agreement.
“SRx” means SRx Health Solutions Inc., a corporation governed under the OBCA.
“SRx Arrangement Resolution” means the special resolution of SRx Shareholders and the SRx Warrantholders (on an as-converted to SRx Share basis) voting together as a single class, approving the Arrangement to be considered at the SRx Meeting.
“SRx Circular” means the notice of the SRx Meeting and accompanying management information circular, including all schedules, appendices and exhibits thereto and enclosures therewith, sent to the SRx Shareholders, as required by the Court in the Interim Order, in connection with the SRx Meeting, as amended, supplemented or otherwise modified from time to time in accordance with the terms of this Agreement.
| 5 |
“SRx Meeting” means the special meeting of SRx Securityholders, including any adjournment or postponement thereof, to be called and held in accordance with the Interim Order to consider the SRx Arrangement Resolution, and for any other purpose as may be set out in the SRx Circular.
“SRx Net Debt” means an amount equal to (a) the aggregate indebtedness for borrowed money of SRx (including accrued interest and prepayment penalties, if applicable) as of 12:01 a.m. ET on the date that is five (5) Business Days before the Effective Date, minus (b) all cash and cash equivalents of SRx (including money market accounts, money market funds, money market instruments), including cash in transit and all such cash and cash equivalents held by third-party processors, as of 12:01 a.m. ET on the date that is five (5) Business Days before the Effective Date. For greater clarity, and without limiting the generality of the foregoing, the aggregate indebtedness for borrowed money of SRx shall include all amounts owed under (i) that certain Credit Agreement, dated September 14, 2023, by and among SRx, the guarantors and lenders named therein, and CWB Maximum Financial Inc., as administrative agent, and (ii) certain unsecured convertible debentures issued by SRx between November 2022 and January 2023, in each case to the extent unpaid as of 12:01 a.m. ET on the date that is five (5) Business Days before the Effective Date.
“SRx RSU Holders” means the holders at the relevant time of SRx RSUs.
“SRx RSU Plan” means the Omnibus Long Term Incentive Plan of SRx.
“SRx RSUs” means, at any time, restricted share units of SRx granted under the SRx RSU Plan which are, at such time, outstanding, whether or not vested.
“SRx Securityholders” means SRx Shareholders, SRx RSU Holders and SRx Warrantholders;
“SRx Securities” means SRx Shares, SRx RSUs and SRx Warrants;
“SRx Shareholders” means the holders of SRx Shares.
“SRx Shares” means issued and outstanding common shares in the capital of SRx.
“SRx U.S. Dollar Net Debt” the U.S. Dollar Equivalent of the SRx Net Debt based calculated as of the date that is five (5) Business Days before the Effective Date.
“SRx Warrantholders” means the holders at the relevant time of SRx Warrants.
“SRx Warrants” means the common share purchase warrants to acquire SRx Shares which are at such time outstanding.
| 6 |
“Support Agreement” means an agreement to be made among Parent, Callco and Acquireco in connection with this Plan of Arrangement, which shall be in a form and content satisfactory to Parent and SRx, each acting reasonably.
“Tax Act” means the Income Tax Act (Canada) and the regulations made thereunder, as now in effect and as they may be promulgated or amended from time to time.
“Tax Election Package” a copy of CRA form T2057, or, if the SRx Shareholder is a partnership, a copy of CRA form T2058 and a copy of any applicable equivalent provincial or territorial election form, each of which has been duly and properly completed and executed by the SRx Shareholder in accordance with the rules contained in the Tax Act or the relevant provincial or territorial legislation.
“30 Day VWAP” means the volume weighted average trading price of the Parent Shares on the NYSE or such other principal stock exchange on which the Parent Shares are trading, calculated by dividing the total value by the total volume of the Parent Shares trade for thirty (30) trading days preceding the date that is five (5) Business Days prior to the Effective Time.
“Trading Day” means any day on which Parent Shares are actually traded on the NYSE or such other stock exchange or automated quotation system on which Parent Shares are actually traded if such shares do not trade on the NYSE.
“Transfer Agent” means such person as may from time to time be appointed by Acquireco as the registrar and transfer agent for the Exchangeable Shares.
“Trustee” means the Principal or any other such person that the Principal determines.
“U.S. Dollar Equivalent” means in respect of an amount expressed in a currency other than U.S. dollars (the “Foreign Currency Amount”) the product obtained by multiplying:
| a) | the Foreign Currency Amount by, | |
| b) | the single daily exchange rate on such date for such foreign currency expressed in U.S. dollars as reported by the Bank of Canada or, in the event such exchange rate is not available, such exchange rate on such date for such foreign currency expressed in U.S. dollars as may be deemed by the Board of Directors of SRx, acting reasonably, to be appropriate for such purpose. |
“U.S. Securities Act” means the United States Securities Act of 1933.
“Voting Trust Agreement” means the trust agreement to be made among Parent, Acquireco and the Trustee in connection with this Plan of Arrangement, which shall be in a form and content satisfactory to Parent and SRx, each acting reasonably, as the same may be amended, supplemented or otherwise modified from time to time in accordance with the terms thereof.
| 7 |
| 1.2 | Headings and References |
The division of this Plan of Arrangement into Sections and the insertion of headings are for convenience of reference only and do not affect the construction or interpretation of this Plan of Arrangement. Unless otherwise specified, references to Sections are to Sections of this Plan of Arrangement.
| 1.3 | Currency |
Except as expressly indicated otherwise, all sums of money referred to in this Plan of Arrangement are expressed and shall be payable in lawful money of the United States and “$” refers to United States dollars. “CA$” refers to the lawful money of Canada.
| 1.4 | Time |
Time shall be of the essence in each and every matter or thing herein provided. Unless otherwise indicated, all times expressed herein are local time at Toronto, Ontario.
Article
2
THE ARRANGEMENT
| 2.1 | Binding Effect |
Subject to the terms of the Arrangement Agreement, the Arrangement will become effective at the Effective Time and shall be binding at and after the Effective Time on SRx, Parent, Acquireco, Callco, the Depositary, the Trustee and all holders and beneficial holders of SRx Shares, SRx RSUs and SRx Warrants, including Dissenting Shareholders.
| 2.2 | The Arrangement |
Commencing at the Effective Time on the Effective Date, subject to the terms and conditions of the Arrangement Agreement, the following shall occur as part of the Arrangement and shall be deemed to occur sequentially in the following order (except that the steps in Sections 2.2(d) to Section 2.2(g) shall be deemed to occur contemporaneously) without any further act or formality:
| (a) | each SRx Share held by a Dissenting Shareholder shall be deemed to be transferred by the holder thereof, without any further act or formality on its part, free and clear of all Encumbrances, to SRx and SRx shall thereupon be obliged to pay the amount therefor determined and payable in accordance with Article 3 hereof, and the name of such holder shall be removed from the central securities register of SRx as a holder of SRx Shares and SRx shall be recorded as the registered holder of the SRx Shares so transferred and shall be deemed to be the legal owner of such SRx Shares, which SRx Shares shall thereupon be cancelled; | |
| (b) | each SRx Warrant outstanding immediately prior to the Effective Time that has not been exercised in advance of the exercise deadline set out in the SRx Circular, shall be cancelled without consideration; |
| 8 |
| (c) | notwithstanding the terms of the SRx RSU Plan, each SRx RSU outstanding immediately prior to the Effective Time shall be deemed to be vested, without any further action by or on behalf of an SRx RSU Holder, and each SRx RSU Holder shall receive one SRx Share for each SRx RSU, and all of SRx’ obligations under such SRx RSUs shall be deemed to be fully satisfied and the SRx RSU Holders shall cease to have any rights as holders of the SRx RSUs, other than the right to receive the compensation contemplated by this Plan of Arrangement and the SRx Shares issued in connection with this Section 2.2(c) shall be treated as all other SRx Shares at the Effective Time in accordance with Section 2.2(d) or Section 2.2(e), as applicable; | ||
| (d) | contemporaneously with the steps in Section 2.2(e) and Section 2.2(f), each issued and outstanding SRx Share (other than Exchangeable Elected Shares and SRx Shares held by the Parent or Dissenting Shareholders) held by a SRx Shareholder shall be transferred by the holder thereof, without any further act or formality on its part, free and clear of all Encumbrances, to Acquireco in exchange for Parent Share Consideration in accordance with the election or deemed election of such SRx Shareholder pursuant to Section 2.3; | ||
| (e) | contemporaneously with the step in Section 2.2(d) and Section 2.2(f), each Exchangeable Elected Share shall be transferred by the holder thereof, without any further act or formality on its part, free and clear of all Encumbrances, to Acquireco in exchange for Exchangeable Share Consideration in accordance with the election of such SRx Shareholder pursuant to Section 2.3; | ||
| (f) | contemporaneously with the step in Section 2.2(d) and Section 2.2(e): (i) Parent, Acquireco and Callco shall execute the Support Agreement, and the Exchangeable Shareholders shall be deemed to be parties thereto; (ii) Parent, Acquireco and the Trustee shall execute the Voting Trust Agreement and Parent shall issue to and deposit with the Trustee the Special Voting Share in consideration of the payment to Parent by SRx on behalf of the SRx Shareholders of ten dollars in Canadian funds (CA$10.00), to be thereafter held of record by the Trustee for and on behalf of, and for the use and benefit of, the holders of the Exchangeable Shares in accordance with the Voting Trust Agreement, and the Exchangeable Shareholders shall be deemed to be parties thereto to the extent necessary; | ||
| (g) | SRx shall reduce the stated capital of the SRx Shares to CA$1.00; and | ||
| (h) | Acquireco and SRx shall merge (the “Amalgamation”) to form one corporate entity, Amalco, with the same effect as if they had amalgamated under Section 177(1) of the OBCA, except that the legal existence of Acquireco shall not cease and AcquireCo shall survive the merger as Amalco and the Amalgamation is intended to qualify as an amalgamation as defined in subsection 87(1) of the Tax Act, and without limiting the generality of the foregoing, upon and as a consequence of the Amalgamation; | ||
| (i) | the separate legal existence of the SRx shall cease without SRx being liquidated or wound up and Acquireco and SRx shall continue as one company and the property, rights, interests and obligations of SRx shall become the property, rights, interests and obligations of Amalco; | ||
| 9 |
| (ii) | the properties, rights, interests and obligations of Acquireco shall continue to be the properties, rights, interests and obligations of Amalco, and the Amalgamation shall not constitute an assignment by operation of law, a transfer or any other disposition of the properties, rights and interests of Acquireco to Amalco; | |
| (iii) | Amalco will own and hold the property of Acquireco and SRx and, without limiting the provisions hereof, all rights of creditors or others of Acquireco and SRx will be unimpaired by the Amalgamation, and all liabilities and obligations of Acquireco and SRx, whether arising by contract or otherwise, may be enforced against Amalco to the same extent as if such obligations had been incurred or contracted by Amalco; | |
| (iv) | Amalco will continue to be liable for all of the liabilities and obligations of Acquireco and SRx; | |
| (v) | all rights, contracts, permits and interests of Acquireco and SRx will continue as rights, contracts, permits and interests of Amalco as if Acquireco and SRx continued and, for greater certainty, the Amalgamation will not constitute a transfer or assignment of the rights or obligations of either Acquireco or SRx under any such rights, contracts, permits and interests; | |
| (vi) | any existing cause of action, claim or liability to prosecution will be unaffected; | |
| (vii) | a civil, criminal or administrative action or proceeding pending by or against either Acquireco or SRx may be continued by or against Amalco; | |
| (viii) | a conviction against, or ruling, order or judgment in favour of or against either Acquireco or SRx may be enforced by or against Amalco; | |
| (ix) | each issued and outstanding share of each class of shares of Acquireco shall become a share of the same class of shares of Amalco having the same terms and conditions as such Acquireco shares had immediately prior to the Amalgamation and all of the issued and outstanding shares of SRx will be cancelled without repayment of capital in respect thereof; | |
| (x) | the name of Amalco shall be SRX Health Solutions Inc.; |
| 10 |
| (xi) | Amalco shall be authorized to issue an unlimited number of Exchangeable Shares, Preferred Voting Shares and common shares each without par value; | |
| (xii) | the articles and bylaws of Amalco shall be in the form of the articles and bylaws of Acquireco; | |
| (xiii) | the first annual general meeting of Amalco or resolutions in lieu thereof shall be held within 18 months from the Effective Date; | |
| (xiv) | the first directors of Amalco following the amalgamation shall be the then current Acquireco directors; and | |
| (xv) | the stated capital of each class of shares of Amalco will be an amount equal to the stated capital attributable to the corresponding class of Acquireco shares immediately prior to the Amalgamation. |
| 2.3 | Consideration Elections |
With respect to the exchange of securities effected pursuant to Section 2.2(e):
| (a) | SRx Shareholders who are Eligible Holders may elect to (i) receive in respect of any or all of their SRx Shares, the Exchangeable Share Consideration, and (ii) receive in respect of the balance of their SRx Shares, if any, the Parent Share Consideration; | |
| (b) | the election provided for in Section 2.3(a) shall be made by an SRx Shareholder depositing with the Depositary, prior to the Election Deadline, a duly completed Letter of Transmittal and Election Form indicating such SRx Shareholder’s election, together with certificates representing such holder’s SRx Shares, if any; | |
| (c) | any SRx Shareholder who does not deposit with the Depositary a duly completed Letter of Transmittal and Election Form prior to the Election Deadline, or otherwise fails to comply with the requirements of Section 2.3(b) and the Letter of Transmittal and Election Form in respect of any such SRx Shareholder’s SRx Shares (including SRx Shareholders who duly exercise Dissent Rights but are ultimately not entitled, for any reason, to be paid fair value for their SRx Shares in respect of which they have exercised Dissent Rights), shall be deemed to have elected to receive the Parent Share Consideration; | |
| (d) | Letters of Transmittal and Election Forms must be received by the Depositary on or before the Election Deadline; and | |
| (e) | any Letter of Transmittal and Election Form, once deposited with the Depositary, shall be irrevocable and may not be withdrawn by an SRx Shareholder. |
| 11 |
| 2.4 | Income Tax Elections |
| (a) | SRx Shareholders who are Eligible Holders who are entitled to receive Exchangeable Share Consideration under the Arrangement shall be entitled to make an income tax election pursuant to subsection 85(1) of the Tax Act or, if an SRx Shareholder is a partnership, subsection 85(2) of the Tax Act (and in each case, where applicable, the analogous provisions of provincial or territorial income tax Law) with respect to the transfer of their SRx Shares to Acquireco by providing the Tax Election Package to the Depositary within 90 days following the Effective Date, duly completed with the details of the number of Acquireco Shares transferred and the applicable agreed amounts (which cannot be less than the fair market value of the Ancillary Rights at the Exchange Time). Thereafter, subject to the Tax Election Package being duly completed, the relevant forms will be signed by Acquireco and returned to such persons within 150 days after the Effective Date for filing with the CRA (or the applicable provincial taxing agency). Acquireco will not be responsible for the proper or accurate completion of the Tax Election Package or to check or verify the content of any election form and, except for Acquireco’s obligation to return duly completed Tax Election Packages which are received by the Depositary within 90 days of the Effective Date, within 150 days after the Effective Date, Acquireco will not be responsible for any taxes, interest or penalties or any other costs or damages resulting from the failure by an SRx Shareholder to properly and accurately complete or file the necessary election forms in the form and manner and within the time prescribed by the Tax Act (or any applicable provincial or territorial legislation). In its sole discretion, Acquireco may choose to sign and return Tax Election Packages received more than 90 days following the Effective Date, but Acquireco will have no obligation to do so. | |
| (b) | Upon receipt of the Letter of Transmittal and Election Form in which an Eligible Holder has indicated that the Eligible Holder intends to make an income tax election pursuant to subsection 85(1) of the Tax Act or, if the person is a partnership, subsection 85(2) of the Tax Act (and in each case, where applicable, the analogous provisions of provincial or territorial income tax Law), Acquireco will promptly deliver a tax instruction letter (and a tax instruction letter for the equivalent Quebec election, if applicable), together with the relevant tax elections forms (including the Quebec election forms, if applicable) to the Eligible Holder. |
| 2.5 | Share Registers |
Every SRx Shareholder from whom a SRx Share is transferred and acquired pursuant to the Arrangement shall be removed from the register of holders of SRx Shares at the Effective Time and shall cease to have any rights in respect of such SRx Shares, and Acquireco shall become the holder of such SRx Shares and shall be added to that register at the Effective Time and shall be entitled as of that time to all of the rights and privileges attached to the SRx Shares. Every SRx Shareholder who acquires Exchangeable Shares and/or Parent Shares pursuant to the Arrangement shall be added to the register of holders of Exchangeable Shares and/or Parent Shares, as applicable, and shall be entitled as of the Effective Time to all of the rights and privileges attached to the Exchangeable Shares and/or Parent Shares, as the case may be.
| 12 |
| 2.6 | Convertible Security Registers |
Every SRx RSU Holder and SRx Warrantholder from whom an SRx RSU or SRx Warrant is terminated pursuant to the Arrangement shall be removed from the registers of SRx RSU Holders and SRx Warrantholders, as applicable, at the Effective Time and shall cease to have any rights in respect of such SRx RSUs or SRx Warrants, as applicable.
| 2.7 | Adjustments to Consideration |
The consideration to be paid pursuant to Sections 2.2(b), 2.2(c), 2.2(d), and 2.2(e) shall be adjusted to reflect fully the effect of any stock split, reverse split, stock dividend (including any dividend or distribution of securities convertible into Parent Shares or SRx Shares, other than stock dividends paid in lieu of ordinary course dividends), reorganization, recapitalization or other like change with respect to Parent Shares or SRx Shares occurring after the date of the Arrangement Agreement and prior to the Effective Time.
| 2.8 | U.S. Securities Laws |
Notwithstanding any provision herein to the contrary, SRx, Parent and Acquireco agree that this Plan of Arrangement will be carried out with the intention that all Consideration to be issued in connection with the Arrangement shall be exempt from registration requirements of the U.S. Securities Act pursuant to the Section 3(a)(10) Exemption thereunder, and available exemptions from the registration or qualification requirements of applicable U.S. state securities laws, and shall be without trading restrictions under the U.S. Securities Act (other than those that would apply under the U.S. Securities Act to persons who are, have been within 90 days of the Effective Time, or, at the Effective Time, become affiliates (as defined by Rule 144 of the U.S. Securities Act) of Acquireco or Parent as applicable).
Article
3
DISSENT RIGHTS
| 3.1 | Rights of Dissent |
Registered holders of SRx Shares may exercise rights of dissent with respect to those SRx Shares pursuant to, and (except as expressly indicated to the contrary in this Section 3.1), in the manner set forth in, Section 185 of the OBCA and this Section 3.1 in connection with the Arrangement (the “Dissent Rights”); provided that, notwithstanding Section 185(6) of the OBCA, the written objection to the resolution approving the Arrangement referred to in Section 185(6) of the OBCA must be received by SRx not later than 5:00 p.m. (Toronto time) on the second Business Day before the SRx Meeting; and provided further that, notwithstanding the provisions of Section 185 of the OBCA, SRx Shareholders who duly exercise Dissent Rights and who have not withdrawn or been deemed to have withdrawn such exercise of Dissent Rights and who:
| (a) | ultimately are determined to be entitled to be paid fair value for their SRx Shares, which fair value, notwithstanding anything to the contrary contained in Section 185 of the OBCA, shall be determined as of the Exchange Time, shall be deemed to have transferred those SRx Shares as of the Exchange Time at the fair value of the SRx Shares determined as of the Exchange Time in accordance with Section 2.2(a), without any further act or formality and free and clear of all Encumbrances, to SRx and shall not be entitled to any other payment or consideration, including any payment that would be payable under the Arrangement had such holder not exercised their Dissent Rights in respect of such SRx Shares; or |
| 13 |
| (b) | ultimately are determined not to be entitled, for any reason, to be paid fair value for their SRx Shares, shall be deemed to have participated in the Arrangement on the same basis as a holder of SRx Shares who has not exercised Dissent Rights and shall be deemed to have elected to receive, and shall receive, the consideration provided in Section 2.3(c), but in no case shall SRx, Parent, Acquireco, the Depositary or any other person be required to recognize any such holder as a holder of SRx Shares after the Exchange Time, and the names of each such holder shall be deleted from the register of holders of SRx Shares at the Exchange Time. For greater certainty, in addition to any other restrictions in the Interim Order, no SRx Shareholder shall be entitled to exercise Dissent Rights with respect to SRx Shares in respect of which a SRx Shareholder has voted or has instructed a proxyholder to vote in favour of the SRx Arrangement Resolution. |
Article
4
SHARE DEPOSIT AND FRACTIONAL SHARES
| 4.1 | Share Deposit |
At least five (5) Business Days prior to the Effective Date, Parent shall deliver to SRx the information required for the 30 Day VWAP and SRx shall deliver to Parent the information required for the SRx U.S. Dollar Net Debt. At least three (3) Business Days prior to the Effective Time, Acquireco and Parent shall deposit or cause to be deposited with the Depositary, for the benefit of the holders of SRx Shares, the aggregate number of whole Exchangeable Shares and the aggregate number of whole Parent Shares issuable to holders of SRx Shares in accordance with Sections 2.2(d) and Section 2.2(f) under this Plan of Arrangement. Upon surrender to the Depositary by a holder of SRx Shares of a duly completed Letter of Transmittal and Election Form and such other documents and instruments as the Depositary may reasonably require along with the certificate or certificates, if any, representing such SRx Shares to be exchanged under the Arrangement for cancellation, such holder of SRx Shares shall be entitled to receive, and promptly after the Exchange Time the Depositary shall deliver to such person, written evidence of the book entry issuance in uncertificated form to, or certificates registered in the name of, such person representing that number of Parent Shares and/or Exchangeable Shares which such person is entitled to receive in accordance with Section 2.2(d) and Section 2.2(f) less any amounts withheld pursuant to Section 4.6, and any certificate so surrendered shall forthwith be cancelled. In the event of a transfer of ownership of such SRx Shares which was not registered in the transfer records of SRx, written evidence of the book entry issuance of, or certificates representing, the number of Parent Shares and/or Exchangeable Shares issuable to the registered holder may be registered in the name of and issued to the transferee if the certificate representing such SRx Shares is presented to the Depositary, accompanied by a duly completed Letter of Transmittal and Election Form and all documents required to evidence and effect such transfer. Without limiting the provisions of Section 2.5, until surrendered as contemplated by this Section 4.1, each certificate which immediately prior to the Exchange Time represented one or more outstanding SRx Shares that, under the Arrangement, were exchanged pursuant to Section 2.2(d) or Section 2.2(f), shall be deemed at all times after the Exchange Time to represent only the right to receive upon such surrender (i) the Consideration to which the holder thereof is entitled under the Arrangement, or as to a certificate held by a Dissenting Shareholder (other than a shareholder who exercised Dissent Rights who is deemed to have participated in the Arrangement pursuant to Section 3.1(b)), to receive the fair value of the SRx Shares represented by such certificate, and (ii) any dividends or distributions with a record date after the Exchange Time theretofore paid or payable with respect to any Parent Shares or Exchangeable Shares issued in exchange therefor as contemplated by Section 4.2, in each case less any amounts withheld pursuant to Section 4.6.
| 14 |
| 4.2 | Distributions with Respect to Unsurrendered Certificates |
No dividends or other distributions paid, declared or made with respect to Parent Shares or Exchangeable Shares, in each case with a record date after the Exchange Time, shall be paid to the holder of any unsurrendered certificate which immediately prior to the Exchange Time represented outstanding SRx Shares, unless and until such person shall have surrendered its certificates representing SRx Shares in accordance with the provisions of Section 4.1. Subject to applicable Law, at the time such person shall have surrendered its certificates representing SRx Shares in accordance with the provisions of Section 4.1, there shall be paid to such person, without interest (i) the amount of dividends or other distributions with a record date after the Exchange Time theretofore paid with respect to the Parent Share or the Exchangeable Share, as the case may be, to which such person is entitled pursuant hereto, and (ii) on the appropriate payment date, the amount of dividends or other distributions with a record date after the Exchange Time but prior to the date of surrender of certificates representing SRx Shares by such person in accordance with the provisions of Section 4.1 and a payment date subsequent to the date of such compliance and payable with respect to such Parent Shares or Exchangeable Shares, as the case may be.
| 4.3 | No Fractional Shares |
No fractional Parent Shares or fractional Exchangeable Shares shall be issued upon compliance with the provisions of Section 4.1 and no dividend, stock split or other change in the capital structure of Parent or Acquireco shall relate to any such fractional security and such fractional interests shall not entitle the owner thereof to exercise any rights as a security holder of Parent or Acquireco. Where the aggregate number of Parent Shares or Exchangeable Shares to be issued to a SRx Shareholder as consideration under the Arrangement would result in a fraction of an Parent Share or an Exchangeable Share being issuable, the number of Parent Shares or Exchangeable Shares, as the case may be to be received by such SRx Shareholder shall be rounded down to the nearest whole Parent Share or Exchangeable Share, as the case may be, and such person shall not be entitled to any compensation in respect of such fractional Parent Share or fractional Exchangeable Share.
| 15 |
| 4.4 | Lost Certificates |
In the event any certificate which immediately prior to the Exchange Time represented one or more outstanding SRx Shares that were exchanged pursuant to Section 2.2 shall have been lost, stolen or destroyed, upon the making of an affidavit of that fact by the person claiming such certificate to be lost, stolen or destroyed, the Depositary will issue in exchange for such lost, stolen or destroyed certificate, any Parent Shares or Exchangeable Shares (and any dividends or distributions with respect thereto) deliverable in accordance with Section 2.2 and such holder’s Letter of Transmittal and Election Form. When authorizing such payment in exchange for any lost, stolen or destroyed certificate, the person to whom Parent Shares or Exchangeable Shares (and any dividends or distributions with respect thereto) are to be issued shall, as a condition precedent to the issuance thereof, give a bond satisfactory to SRx, and Parent and its transfer agent (each acting reasonably) in such amount as Parent may direct or otherwise indemnify SRx, Acquireco and Parent in a manner satisfactory to SRx, Acquireco and Parent against any claim that may be made against SRx, Acquireco or Parent with respect to the certificate alleged to have been lost, stolen or destroyed.
| 4.5 | Extinction of Rights |
Any certificate which immediately prior to the Exchange Time represented outstanding SRx Shares that were exchanged pursuant to Section 2.2 that is not deposited with all other instruments required by Section 4.1 on the second anniversary of the Effective Date shall cease to represent a claim or interest of any kind or nature as a securityholder of Parent or Acquireco. On such date, the Parent Shares and/or Exchangeable Shares to which the former holder of the certificate referred to in the preceding sentence was ultimately entitled shall be deemed to have been surrendered for no consideration to Acquireco. None of Parent, SRx, Acquireco, Callco or the Depositary shall be liable to any person in respect of any cash or property delivered to a public official pursuant to any applicable abandoned property, escheat or similar Law.
| 4.6 | Withholding Rights |
SRx, Acquireco, Callco, Parent, the Depositary and their respective agents shall be entitled to deduct and withhold from any dividend, consideration or amount otherwise payable to any holder of SRx Securities, Parent Shares or Exchangeable Shares such amounts as SRx, Acquireco, Callco, Parent, the Depositary or their respective agents are required to deduct and withhold with respect to such payment under the Tax Act, United States Tax Laws or any other applicable Law. To the extent that amounts are so withheld, such withheld amounts shall be treated for all purposes hereof as having been paid to the holder of the securities in respect of which such deduction and withholding was made, provided that such withheld amounts are actually remitted to the appropriate Governmental Entity. SRx, Acquireco, Callco, Parent, the Depositary and their respective agents are hereby authorized to sell or otherwise dispose of such other portion of the consideration as is necessary to provide sufficient funds to SRx, Acquireco, Callco, Parent, the Depositary or their respective agents, as the case may be, to enable it to comply with such deduction or withholding requirement and SRx, Acquireco, Callco, Parent, the Depositary and their respective agents, as applicable, shall notify the holder thereof and remit any unapplied balance of the net proceeds of such sale. Any such sale will be made in accordance with applicable Law and at prevailing market prices and none of SRx, AcquireCo, Callco, Parent, the Depositary, or any of their respective agents shall be under any obligation to obtain a particular price, or indemnify any Person (including, for greater certainty, any SRx Shareholder, any SRx RSU Holder, any SRx Warrantholder and any Dissenting Shareholder) in respect of a particular price, for the portion of the non-cash consideration so sold.
| 16 |
| 4.7 | Paramountcy |
From and after the Effective Time: (i) this Plan of Arrangement shall take precedence and priority over any and all SRx Shares issued prior to the Effective Time; (ii) the rights and obligations of the registered holders of SRx Shares (other than Parent, Acquireco or any of their respective affiliates), and of SRx, Parent, Acquireco, the Depositary and any transfer agent or other depositary in relation thereto, shall be solely as provided for in this Plan of Arrangement and the Arrangement Agreement; and (iii) all actions, causes of action, claims or proceedings (actual or contingent and whether or not previously asserted) based on or in any way relating to any SRx Shares shall be deemed to have been settled, compromised, released and determined without liability except as set forth herein.
Article
5
AMENDMENT
| 5.1 | Plan of Arrangement Amendment | |
| (a) | With the prior written consent of Parent, not to be unreasonably withheld, SRx may amend, modify and/or supplement this Plan of Arrangement at any time and from time to time, provided that any such amendment, modification and/or supplement must be contained in a written document that is filed with the Court and, if made after the SRx Meeting, approved by the Court and communicated to the SRx Securityholders if and as required by the Court. | |
| (b) | With the prior written consent of Parent, not to be unreasonably withheld, any amendment, modification or supplement to this Plan of Arrangement may be proposed by SRx at any time before or at the SRx Meeting with or without any other prior notice or communication and, if so proposed and accepted by the persons voting at the SRx Meeting in the manner required under the Interim Order, shall become part of this Plan of Arrangement for all purposes. | |
| (c) | Any amendment, modification or supplement to this Plan of Arrangement that is approved or directed by the Court following the SRx Meeting shall be effective only if it is consented to in writing by SRx and Parent and, (ii) if required by the Court, it is consented to by SRx Shareholders, SRx RSU Holders and/or SRx Warrantholders. | |
| (d) | With the prior written consent of Parent, not to be unreasonably withheld, any amendment, modification or supplement to this Plan of Arrangement may be made prior to the Effective Date by SRx and without the approval of the Court, SRx Shareholders, SRx RSU Holders or SRx Warrantholders, provided that it concerns a matter which, in the reasonable opinion of SRx, is of an administrative nature required to better give effect to the implementation of this Plan of Arrangement and is not materially adverse to the financial or economic interests of any SRx Shareholder, SRx RSU Holder or SRx Warrantholder. | |
| (e) | This Plan of Arrangement may be withdrawn prior to the Exchange Time in accordance with the Arrangement Agreement. | |
| 17 |
Article
6
FURTHER ASSURANCES
Notwithstanding that the transactions and events set out in this Plan of Arrangement shall occur and shall be deemed to occur in the order set out in this Plan of Arrangement without any further act or formality, each of SRx, Parent, Callco and Acquireco shall make, do and execute, or cause to be made, done and executed, all such further acts, deeds, agreements, transfers, assurances, instruments or documents as may reasonably be required by any of them to document or evidence any of the transactions or events set out in this Plan of Arrangement.
Article
7
NOTICE
Any notice to be given by Parent or Acquireco to SRx Shareholders, SRx RSU Holders or SRx Warrantholders pursuant to the Arrangement will be deemed to have been properly given if it is mailed by first class mail, postage prepaid, to registered SRx Shareholders, SRx RSU Holders and SRx Warrantholders, as the case may be, at their addresses as shown on the applicable register of such holders maintained by SRx and will be deemed to have been received on the first day following the date of mailing which is a Business Day.
The provisions of this Plan of Arrangement, the Arrangement Agreement and the Letter of Transmittal and Election Form apply notwithstanding any accidental omission to give notice to any one or more SRx Shareholders, SRx Warrantholders or SRx RSU Holders and notwithstanding any interruption of mail services in Canada, the United States or elsewhere following mailing. In the event of any interruption of mail service following mailing, Parent intends to make commercially reasonable efforts to disseminate any notice by other means, such as dissemination by press release. Notwithstanding the provisions of the Arrangement Agreement, this Plan of Arrangement and the Letter of Transmittal and Election Form, certificates, if any, for Parent Shares and Exchangeable Shares issuable, pursuant to the Arrangement need not be mailed if Parent determines that delivery thereof by mail may be delayed. Persons entitled to cheques and certificates which are not mailed for the foregoing reason may take delivery thereof at the office of the Transfer Agent in respect of which the certificates being issued were deposited, upon application to the Transfer Agent, until such time as Parent has determined that delivery by mail will no longer be delayed. Notwithstanding the provisions of the Arrangement Agreement, this Plan of Arrangement and the Letter of Transmittal and Election Form, the deposit of cheques and certificates with the Transfer Agent in such circumstances will constitute delivery to the persons entitled thereto and the Parent Shares will be deemed to have been paid for immediately upon such deposit.
| 18 |
Annex C
FORM OF SRX VOTING AGREEMENT
THIS AGREEMENT is made as of the ____ day of ________________, 2024.
BETWEEN:
[●], (the “Securityholder”)
- and –
BETTER CHOICE COMPANY INC., a corporation existing under the laws of the State of Delaware (“Better Choice”)
WHEREAS the Securityholder is the registered and/or direct or indirect beneficial owner of the common shares (“SRx Shares”), restricted stock units (“SRx RSUs”) and/or common share purchase warrants (“SRx Warrants”) in the capital of SRx Health Solutions, a corporation existing under the laws of the Province of Ontario (“SRx”) set forth opposite the Securityholder’s name in Appendix “A” hereto (collectively, the “Subject Securities”);
AND WHEREAS the Securityholder understands that, concurrently with the execution and delivery of this Agreement, SRx and Better Choice are entering into the Arrangement Agreement (as defined herein) providing for the Arrangement (as defined herein) whereby Better Choice proposes to indirectly acquire all of the issued and outstanding voting and equity securities of SRx;
AND WHEREAS in order for the Securityholder to realize the benefits that will accrue to the Securityholder in connection with the consummation of the Arrangement, the Securityholder desires to enter into this Agreement to provide his or her support for completion of the Arrangement on the terms and conditions set forth herein;
AND WHEREAS the Securityholder acknowledges that Better Choice would not enter into the Arrangement Agreement but for the execution and delivery of this Agreement by the Securityholder;
AND WHEREAS this Agreement sets out the terms and conditions of the agreement of the Securityholder to abide by the covenants in respect of the Subject Securities and the other restrictions and covenants set forth herein;
NOW THEREFORE this Agreement witnesses that, in consideration of the premises and the covenants and agreements herein contained, the parties hereto agree as follows:
ARTICLE
1
INTERPRETATION
| 1.1 | Definitions |
In this Agreement:
“Affiliate” has the meaning ascribed thereto in the Securities Act (Ontario) and the rules, regulations, instruments (including national and multilateral instruments) and published policies made thereunder, as now in effect and as they may be promulgated or amended from time to time;
“Arrangement” means the arrangement of SRx under Section 182 of the OBCA on the terms and subject to the conditions set out in the Plan of Arrangement, subject to any amendments or variations to the Plan of Arrangement made in accordance with the terms of the Arrangement Agreement or Article 6 of the Plan of Arrangement or made at the direction of the Court in the Final Order with the consent of the parties to the Arrangement Agreement, each acting reasonably;
“Arrangement Agreement” means the arrangement agreement, including the schedules thereto, of even date herewith, between Better Choice and SRx, a copy of which is attached hereto as Appendix “B”, as it may be amended, supplemented or modified from time to time in accordance with its terms;
| 1 |
“Plan of Arrangement” means the plan of arrangement of SRx, substantially in the form of Schedule A to the Arrangement Agreement, and any amendments or variations thereto made from time to time in accordance with the Arrangement Agreement, the plan of arrangement or upon the direction of the Court in the Final Order with the consent of the parties to the Arrangement Agreement, each acting reasonably;
“SRx Arrangement Resolution” means the special resolution of SRx securityholders approving the Plan of Arrangement, as contemplated in the Arrangement Agreement;
“SRx Meeting” means the special meeting of SRx securityholders, including any adjournment or postponement thereof, to be called and held in accordance with the Interim Order to consider the SRx Arrangement Resolution, and for any other purpose as may be set out in the SRx Circular; and
“SRx Securityholder Approval” has the meaning ascribed thereto in Section 2.1.
| 1.2 | Definitions in Arrangement Agreement |
All terms used in this Agreement that are not defined in Section 1.1 or elsewhere in this Agreement and that are defined in the Arrangement Agreement shall have the respective meanings ascribed to them in the Arrangement Agreement.
| 1.3 | Appendices |
The following Appendices attached hereto constitute an integral part of this Agreement:
Appendix “A” - Subject Securities
Appendix “B” - Arrangement Agreement
ARTICLE
2
COVENANTS OF THE SHAREHOLDERS
| 2.1 | Securityholder Support |
In connection with the Arrangement (and any transactions contemplated in connection with the Arrangement Agreement) and obtaining the requisite approval for the SRx Arrangement Resolution (“SRx Securityholder Approval”), the Securityholder hereby covenants, undertakes and agrees from time to time, until such time as this Agreement is terminated in accordance with Article 4, to cause to be counted as present for purposes of establishing quorum and to vote (or cause to be voted) all of the Subject Securities (to the extent they carry a right to vote): (i) at the SRx Meeting, or any other meeting of any of the securityholders of SRx at which the Securityholder or any registered or beneficial owner of the Subject Securities are entitled to vote, to obtain the SRx Securityholder Approval; or (ii) in any action by written consent of the securityholders of SRx, in favour of the approval, consent, ratification and adoption of any resolution approving the Arrangement (and any transactions contemplated in connection with the Arrangement Agreement).
| 2.2 | Restrictions with Respect to Subject Securities |
The Securityholder hereby covenants and agrees that, from the date hereof until the earlier of (i) the Effective Time, (ii) the termination of this Agreement in accordance with Article 4, or (iii) it being determined (by mutual agreement of Better Choice and SRx) that the SRx Securityholder Approval is not required, except as permitted by this Agreement, the Securityholder will:
| (a) | not, directly or indirectly, option, sell, assign, transfer, pledge, encumber, grant a participation or security interest in or power of attorney over, hypothecate or otherwise convey or dispose of any Subject Securities, or any right or interest therein (legal or equitable), to any Person or group or Persons acting jointly or in concert or enter into any agreement, option or other arrangement to do any of the foregoing (each of the foregoing, a “Transfer”), other than to one or more of a parent, spouse, child or grandchild of, or a corporation, partnership, limited liability company or other entity controlled solely by, the Securityholder or a trust or account (including a Registered Retirement Savings Plan, Registered Education Savings Plan, Registered Retirement Income Fund or similar account) existing for the benefit of such Person or entity; provided, that a Transfer referred to in this sentence shall only be permitted if, as a precondition to such Transfer, the transferee agrees in writing, in form and substance reasonably acceptable to Better Choice, to be bound by all of the terms of this Agreement with respect to the Subject Securities; and provided further, that in the case of a Transfer to a corporation, partnership, limited liability company or other entity solely controlled by, the Securityholder, such entity shall remain solely controlled by the Securityholder until the earlier of: (i) the Effective Time; and (ii) the termination of this Agreement in accordance with Article 4. Any purported transfer of any Subject Securities or interest therein in violation of this Section 2.2(a) shall be null and void; |
| 2 |
| (b) | not, directly or indirectly, grant or agree to grant any proxy or other right to vote any Subject Securities, except for any proxies granted to vote in favour of any SRx Securityholder Approval in accordance with Section 2.1, or enter into any voting trust, vote pooling or other agreement with respect to the right to vote, call meetings of any of the shareholders of SRx or give consents or approval of any kind as to any Subject Securities; | |
| (c) | not vote or cause to be voted any Subject Securities in favor of, and vote or cause to be voted all Subject Securities against, any proposed action, transaction or agreement by or involving SRx or any of its Affiliates or the Securityholder or any other Person in a manner which could reasonably be expected to (i) prevent, hinder or delay the successful completion of the Arrangement or the transactions contemplated by the Arrangement Agreement; or (ii) change in any manner the voting rights of any class of shares of SRx; | |
| (d) | not, directly or indirectly, (i) solicit, assist, initiate, knowingly encourage or otherwise knowingly facilitate any inquiry, proposal or offer (whether public or otherwise) that constitutes or would reasonably be expected to constitute or lead to, an SRx Acquisition Proposal, (ii) enter into, engage in, continue or otherwise participate in any discussions or negotiations with any Person (other than Better Choice or its Affiliates) regarding any inquiry, proposal or offer that constitutes or would reasonably be expected to constitute or lead to, an SRx Acquisition Proposal, or (iii) accept or enter into, or publicly propose to accept or enter into, any agreement, understanding or arrangement with any Person in respect of an SRx Acquisition Proposal; | |
| (e) | take all such steps as are necessary or advisable to ensure that at all relevant times his, her or its Subject Securities will not be subject to any shareholders’ agreements, voting trust or similar agreements or any option, right or privilege (whether by law, pre-emptive or contractual) capable of becoming a shareholders’ agreement, voting trust or other agreement affecting or restricting the ability of him or her to exercise all voting rights attaching to such Subject Securities; | |
| (f) | not withdraw, amend, modify or qualify, or publicly propose or state an intention to withdraw, amend, modify or qualify, support for the transactions contemplated by the Arrangement Agreement; and | |
| (g) | irrevocably waives to the fullest extent permitted by Law any and all rights of the Securityholder to dissent with respect to the Arrangement, and will not exercise any such rights with respect to the Arrangement or the transactions contemplated by the Arrangement Agreement. |
| 2.3 | Voting of the Securityholder |
The Securityholder hereby agrees with Better Choice that it will, on or before the 10th Business Day prior to any meeting of any of the securityholders of SRx in respect of any SRx Securityholder Approval, duly complete forms of proxy in respect of all of his, her or its Subject Securities, and any other required documents in connection therewith , and cause same to be validly delivered in support of (and indicating that all Subject Securities are voted in favour of approving) the Arrangement (and any transactions contemplated in connection with the Arrangement Agreement) and will not withdraw the forms of proxy except as expressly otherwise provided in this Agreement. The Securityholder further agrees that it will, on or before the 10th Business Day prior to any meeting of any of the securityholders of SRx in respect of any SRx Securityholder Approval to be called to approve the Arrangement (and any transactions contemplated in connection with the Arrangement Agreement), deliver or cause to be delivered to Better Choice in accordance with Section 5.10 of this Agreement, a copy or screenshot of the duly completed and signed forms of proxy described in the preceding sentence.
| 3 |
| 2.4 | Meaning of Subject Securities. |
The term “Subject Securities” means that number of SRx Shares, SRx RSUs and SRx Warrants set forth opposite the Securityholder’s name in Appendix “A” hereto, being all of the securities of SRx owned legally or beneficially, either directly or indirectly, by such Securityholder or over which the Securityholder exercises direct or indirect control or discretion, and will be deemed to also include (a) any SRx Shares, SRx RSUs and SRx Warrants issued to the Securityholder pursuant to any stock dividend, stock split, recapitalization, reclassification, combination or exchange of SRx Shares, SRx RSUs or SRx Warrants on, of, or affecting the Subject Securities on or after the date of this Agreement and (b) any SRx Shares, SRx RSUs and SRx Warrants acquired by the Securityholder on or after the date of this Agreement, or issued to the Securityholder, on or after the date of this Agreement (including pursuant to the exercise, conversion or vesting of any securities of SRx that are exercisable for, convertible into or vest as SRx Shares (including all Subject Securities)), and all such acquired SRx Shares, SRx RSUs and SRx Warrants shall be deemed Subject Securities and subject to the terms of this Agreement as though owned by the Securityholder as of the date hereof.
ARTICLE
3
REPRESENTATIONS AND WARRANTIES
| 3.1 | Representations and Warranties of the Securityholder |
The Securityholder represents and warrants to and covenants with Better Choice as follows, and acknowledges that Better Choice is relying upon such representations, warranties and covenants in entering into this Agreement:
| (a) | Incorporation; Authorization. If the Securityholder is a corporation or other legal entity, the Securityholder is a subsisting corporation or other entity under the laws of its incorporating or organizational jurisdiction. The Securityholder has all necessary power, authority, capacity and right to enter into this Agreement and to carry out each of its obligations under this Agreement. This Agreement has been duly executed and delivered by the Securityholder and, assuming due authorization, execution and delivery by Better Choice, constitutes a legal, valid and binding agreement enforceable by Better Choice against the Securityholder in accordance with its terms, subject, however, to limitations with respect to enforcement imposed by law in connection with bankruptcy, insolvency, reorganization or other laws affecting creditors’ rights generally and to the extent that equitable remedies such as specific performance and injunctions are only available in the discretion of the court from which they are sought. | |
| (b) | Ownership of Subject Securities. The Securityholder is, and, subject to any Transfer permitted pursuant to Section 2.2(a), will be continuously up until the Effective Time, the direct or indirect beneficial owner of the Subject Securities set out opposite the Securityholder’s name at Appendix “A”, with good and marketable title thereto, free and clear of any and all mortgages, liens, charges, restrictions, security interests, adverse claims, pledges, encumbrances and demands or rights of others of any nature or kind whatsoever. The Securityholder does not own or have any interest in any securities of SRx other than the Subject Securities. The Securityholder is not a party to, bound or affected by or subject to, any charter or by-law, contract, agreement provision, statute, regulation, judgment, order, decree or law which would be violated, contravened, breached by, or under which any default would occur as a result of, the execution and delivery of this Agreement or the consummation of any of the transactions provided for in this Agreement. | |
| (c) | No Agreements. No Person has any agreement or option, or any right or privilege (whether by law, pre-emptive or contractual) capable of becoming an agreement or option, for the purchase, acquisition or transfer of any of the Subject Securities, or any interest therein or right thereto, except pursuant to this Agreement. |
| 4 |
| (d) | Voting. None of such Subject Securities is subject to any proxy, power of attorney, voting trust, vote pooling or other agreement with respect to the right to vote, call meetings of any of the shareholders of SRx or give consents or approvals of any kind, except pursuant to this Agreement. | |
| (e) | Consents. No consent, waiver, approval, authorization, exemption, registration, licence or declaration of or by, or filing with, or notification to any Governmental Entity which has not been made or obtained is required to be made or obtained by the Securityholder in connection with (i) the execution and delivery by the Securityholder and enforcement against the Securityholder of this Agreement, or (ii) the consummation of any transactions by the Securityholder provided for herein. | |
| (f) | Legal Proceedings. There are no legal proceedings in progress or pending before any Governmental Entity or, to the knowledge of the Securityholder, threatened against the Securityholder or any of its Affiliates, or any of the Subject Securities or other property of the Securityholder or any of its Affiliates, and there is no judgment, decree or order against the Securityholder or its Affiliates, or any of the Subject Securities or other property of the Securityholder or any of its Affiliates, that would adversely affect in any manner the ability of the Securityholder to enter into this Agreement or adversely affect the Securityholder’s ability to perform its obligations hereunder or the title of the Securityholder to any of its Subject Securities. | |
| (g) | No Commitment. None of the Subject Securities held by the Securityholder is the subject of any commitment, undertaking or agreement, the terms of which would affect in any way the ability of the Securityholder to perform the Securityholder’s obligations with respect to such Subject Securities as set out in this Agreement. |
| 3.2 | Representations and Warranties of Better Choice |
Better Choice hereby represents and warrants to the Securityholder as follows, and acknowledges that the Securityholder is relying upon such representations, warranties and covenants in entering into this Agreement:
| (a) | Better Choice is a corporation duly incorporated and validly existing under the laws of Delaware and it has the requisite corporate power, authority and capacity to enter into this Agreement and to perform its obligations hereunder; | |
| (b) | this Agreement has been duly executed and delivered by Better Choice and constitutes a legal, valid and binding agreement enforceable by the Securityholder against Better Choice in accordance with its terms, subject, however, to limitations with respect to enforcement imposed by law in connection with bankruptcy, insolvency, reorganization or other laws affecting creditors’ rights generally and to the extent that equitable remedies such as specific performance and injunctions are only available in the discretion of the court from which they are sought; | |
| (c) | none of the execution and delivery by Better Choice of this Agreement or the compliance by Better Choice with its obligations hereunder will violate, contravene, result in any breach of, or be in conflict with, or constitute a default under, or create a state of facts which after notice or lapse of time or both would constitute a default under, any term or provision of: (i) any organizational documents of Better Choice; (ii) any contract to which Better Choice is a party or by which Better Choice is bound; (iii) any judgment, decree, order or award of any Governmental Entity; or (iv) any applicable law, except in each case as would not reasonably be expected, either individually or in the aggregate, to materially impair the ability of Better Choice to perform its obligations hereunder or that would reasonably be expected to prevent or materially delay the completion of the Arrangement; and | |
| (d) | there are no legal proceedings in progress or pending against or, to the knowledge of Better Choice, threatened against Better Choice or any of its Affiliates that would adversely affect in any manner the ability of Better Choice to enter into this Agreement and to perform its obligations hereunder or that would reasonably be expected to prevent or materially delay the completion of the Arrangement. |
| 5 |
ARTICLE
4
TERMINATION
| 4.1 | Termination |
This Agreement shall terminate: (i) by a written instrument executed by each of the parties; (ii) in the event that the Arrangement Agreement is terminated in accordance with its terms; (iii) on the Effective Time, or (iv) it being determined (by mutual agreement of Better Choice and SRx) that the SRx Securityholder Approval is not required.
| 4.2 | Effect of Termination |
If this Agreement is terminated in accordance with this Article 4, the provisions of this Agreement will become void in relation to such Securityholder and Better Choice and no such party shall have liability to such other party in respect of whom this Agreement has been terminated, except in respect of a wilful, intentional or material breach of the representations, warranties, obligations, terms or conditions of this Agreement which occurred prior to such termination in which case the non-breaching party to this Agreement shall be entitled to pursue any and all remedies at law or equity which may be available to it.
ARTICLE
5
GENERAL
| 5.1 | Fiduciary Obligations |
Better Choice agrees and acknowledges that the Securityholder is bound hereunder solely in his, her or its capacity as a securityholder of SRx and that the provisions of this Agreement shall not be deemed or interpreted to bind the Securityholder or any of its directors, officers or principal shareholders in his or her capacity as a director or officer of SRx or any of SRx’s subsidiaries. For the avoidance of doubt, nothing in this Agreement shall limit or restrict any party from properly fulfilling his or her fiduciary duties as a director or officer of SRx.
| 5.2 | Further Assurances |
The Securityholder will, from time to time, execute and deliver all such further documents and instruments and do all such acts and things as Better Choice may reasonably require to effectively carry out or better evidence or perfect the full intent of the parties and meaning of this Agreement.
| 5.3 | Survival of Representations and Warranties |
No investigations made by or on behalf any party or any of its authorized agents at any time shall have the effect of waiving, diminishing the scope of or otherwise affecting any representation, warranty or covenant made by any other party herein or pursuant hereto.
| 5.4 | Disclosure |
No press release or other disclosure (public or otherwise) with respect to the existence or details of this Agreement or the Arrangement shall be made by a Securityholder without the prior written consent of Better Choice, except to the extent required by applicable law. The Securityholder hereby consents to the disclosure of the substance of this Agreement in any press release by Better Choice and to the filing of this Agreement as an exhibit to any filing by Better Choice with the United States Securities and Exchange Commission.
| 5.5 | Assignment |
Subject to prior written notice to the Securityholder, Better Choice may assign all or part of its rights under this Agreement to an Affiliate of Better Choice. Other then as expressly contemplated by Section 2.2(a), this Agreement shall not be otherwise assignable by the Securityholder without the prior written consent of Better Choice.
| 6 |
| 5.6 | Time |
Time shall be of the essence of this Agreement.
| 5.7 | Governing Law |
This Agreement will be governed by, and interpreted and enforced in accordance with, the laws in force in the Province of Ontario (excluding any rule or principle of the conflict of laws which might refer such interpretation to the laws of another jurisdiction) and the federal laws of Canada applicable therein. Each party hereto irrevocably submits to the non-exclusive jurisdiction of the courts of Ontario with respect to any matter arising hereunder or related hereto. The parties to this Agreement hereby irrevocably and unconditionally waive any objection to the laying of venue of any action, suit or proceeding arising out of this Agreement or the matters contemplated hereby in the courts of the Province of Ontario and hereby further irrevocably and unconditionally waive and agree not to plead or claim in any such court that any such action, suit or proceeding so brought has been brought in an inconvenient forum. This Section 5.7 shall survive the termination of this Agreement.
| 5.8 | Entire Agreement |
This Agreement, including the appendices hereto constitutes the entire agreement between the parties pertaining to the subject matter hereof. There are no representations, warranties, conditions, undertakings, commitments, other agreements or acknowledgements, whether direct or collateral, express or implied, that form part of or affect this Agreement, or which induced any party hereto to enter into this Agreement or on which reliance is placed by any party hereto, except as specifically set forth in this Agreement.
| 5.9 | Amendments |
This Agreement may be amended, modified or supplemented only by a written agreement signed by all of the parties hereto.
| 5.10 | Severability |
If any term or other provision of this Agreement is invalid, illegal or incapable of being enforced by any rule of law or public policy, all other conditions and provisions of this Agreement shall nevertheless remain in full force and effect. Upon such determination that any term or other provision is invalid, illegal or incapable of being enforced, the parties hereto shall negotiate in good faith to modify this Agreement so as to effect the original intent of the parties as closely as possible in a mutually acceptable manner in order that the terms of this Agreement remain as originally contemplated to the fullest extent possible.
| 5.11 | Notices |
All notices and other communications given or made pursuant to this Agreement shall be in writing and shall be deemed to have been duly given and received on the day it is delivered, provided, however, that it is delivered on a Business Day prior to 4:30 p.m. Toronto time in the place of delivery or receipt. However, if notice is delivered after 4:30 p.m. Toronto time or if such day is not a Business Day then the notice shall be deemed to have been given and received on the next Business Day. Notice shall be sufficiently given if delivered (either in person, by courier service or other personal method of delivery), or if transmitted by e-mail to the following addresses (or at such other addresses as shall be specified by any party by notice to the other given in accordance with these provisions;
| a. | in the case of a notice to the Securityholder, to the Securityholder at the email address indicated opposite to the name of the Securityholder in Appendix “A”; and | |
| b. | in the case of a notice to Better Choice: |
Better Choice Company Inc.
12400 Race Track Road
Tampa, FL 33626
Attention: Mike Young and Carolina Martinez
E-mail: myoung@cottcap.com / nmartinez@bttrco.com
with a copy (which shall not constitute notice) to:
Wildeboer Dellelce LLP
365 Bay Street, Suite 800
Toronto, Ontario M5H 2V1
Attention: Perry Dellelce and James Brown
E-mail: perry@wildlaw.ca / jbrown@wildlaw.ca
| 7 |
| 5.12 | Specific Performance and other Equitable Rights |
It is recognized and acknowledged that a breach by any party of any material obligations contained in this Agreement will cause the other party to sustain injury for which it would not have an adequate remedy at law for money damages. Accordingly, in the event of any such breach, any aggrieved party shall be entitled to the remedy of specific performance of such obligations and interlocutory, preliminary and permanent injunctive and other equitable relief in addition to any other remedy to which it may be entitled, at law or in equity, and the Securityholder will waive, in any action for specific performance, interlocutory, preliminary and permanent injunctive relief and/or any other equitable relief, the defence of adequacy of a remedy at law and any requirement for the securing or posting of any bond in connection with the obtaining of any such relief.
| 5.13 | Expenses |
Each of the parties shall pay its respective legal, financial advisory and accounting costs and expenses incurred in connection with the preparation, execution and delivery of this Agreement and all documents and instruments executed or prepared pursuant hereto and any other related costs and expenses whatsoever and howsoever incurred.
| 5.14 | Counterparts |
This Agreement may be executed in any number of counterparts. Each executed counterpart will be deemed to be an original. All executed counterparts taken together will constitute one agreement.
To evidence the fact that a party hereto has executed this Agreement, such party may send a copy of its executed counterpart to the other parties hereto by Electronic Transmission and if sent by email, in Portable Document File (PDF) format. That party will be deemed to have executed this Agreement on the date it sent such Electronic Transmission.
| 5.15 | Independent Legal Advice |
The Securityholder acknowledges that:
| (a) | the Securityholder has read this Agreement in its entirety, understands this Agreement and agrees to be bound by its terms and conditions; | |
| (b) | the Securityholder has been advised to seek independent legal advice with respect to the Securityholder executing and delivering this Agreement and has received such advice or has, without undue influence, elected to waive the benefit of any such advice; and | |
| (c) | the Securityholder is entering into this Agreement voluntarily. |
[REMAINDER
OF PAGE INTENTIONALLY LEFT BLANK.
SIGNATURE PAGES FOLLOW.]
| 8 |
IN WITNESS WHEREOF the parties have executed this Agreement as of the date first written above.
| [●] | ||
| Per: | ||
| Name: |
Signature Page to SRx Voting Agreement
| 9 |
| BETTER CHOICE COMPANY INC. | ||
| Per: | ||
| Name: | ||
| Title: | ||
Signature Page to SRx Voting Agreement
| 10 |
APPENDIX
“A”
Subject Securities
| Securityholder Name | SRx Shares | SRx RSUs | SRx Warrants | Securityholder Contact Email | ||||
| 11 |
APPENDIX
“B”
Arrangement Agreement
See attached.
Annex D
FORM OF PARENT VOTING AGREEMENT
THIS AGREEMENT is made as of the ____ day of September, 2024.
BETWEEN:
[●], (the “Securityholder”)
- and –
SRX HEALTH SOLUTIONS INC., a corporation existing under the laws of the Province of Ontario (“SRx”)
WHEREAS the Securityholder is the registered and/or direct or indirect beneficial owner of the shares of common stock (“Parent Shares”), options to purchase shares of common stock (“Parent Options”) and/or common stock purchase warrants (“Parent Warrants”) in the capital of Better Choice Company Inc., a corporation existing under the laws of the State of Delaware (“Parent”) set forth opposite the Securityholder’s name in Appendix “A” hereto (collectively, the “Subject Securities”);
AND WHEREAS the Securityholder understands that SRx and Parent entered into the Arrangement Agreement (as defined herein) providing for the Arrangement (as defined herein) whereby Parent proposes to indirectly acquire all of the issued and outstanding voting and equity securities of SRx;
AND WHEREAS in order for the Securityholder to realize the benefits that will accrue to the Securityholder in connection with the consummation of the Arrangement, the Securityholder desires to enter into this Agreement to provide his or her support for completion of the Arrangement on the terms and conditions set forth herein;
AND WHEREAS the Securityholder acknowledges that Parent would not have entered into the Arrangement Agreement but for the execution and delivery of this Agreement by the Securityholder;
AND WHEREAS this Agreement sets out the terms and conditions of the agreement of the Securityholder to abide by the covenants in respect of the Subject Securities and the other restrictions and covenants set forth herein;
NOW THEREFORE this Agreement witnesses that, in consideration of the premises and the covenants and agreements herein contained, the parties hereto agree as follows:
ARTICLE
1
INTERPRETATION
| 1.1 | Definitions |
In this Agreement:
“Affiliate” has the meaning ascribed thereto in the Securities Act (Ontario) and the rules, regulations, instruments (including national and multilateral instruments) and published policies made thereunder, as now in effect and as they may be promulgated or amended from time to time;
“Arrangement” means the arrangement of SRx under Section 182 of the OBCA on the terms and subject to the conditions set out in the Plan of Arrangement, subject to any amendments or variations to the Plan of Arrangement made in accordance with the terms of the Arrangement Agreement or Article 6 of the Plan of Arrangement or made at the direction of the Court in the Final Order with the consent of the parties to the Arrangement Agreement, each acting reasonably;
“Arrangement Agreement” means the arrangement agreement, including the schedules thereto, entered into on September 3, 2024 between Parent, SRx, 1000994085 Ontario Inc. and 1000994476 Ontario Inc., a copy of which is attached hereto as Appendix “B”, as it may be amended, supplemented or modified from time to time in accordance with its terms;
| 1 |
“Parent Meeting” means the special meeting of Parent securityholders, including any adjournment or postponement thereof, to be called and held to consider the Parent Shareholder Approval Matters, and for any other purpose as may be set out in the Parent Proxy Statement;
“Parent Securityholder Approval” has the meaning ascribed thereto in Section 2.1; and
“Parent Shareholder Approval Matters” has the meaning ascribed thereto in Section 2.11 of the Arrangement Agreement.
| 1.2 | Definitions in Arrangement Agreement |
All terms used in this Agreement that are not defined in Section 1.1 or elsewhere in this Agreement and that are defined in the Arrangement Agreement shall have the respective meanings ascribed to them in the Arrangement Agreement.
| 1.3 | Appendices |
The following Appendices attached hereto constitute an integral part of this Agreement:
Appendix “A” - Subject Securities
Appendix “B” - Arrangement Agreement
ARTICLE
2
COVENANTS OF THE SHAREHOLDERS
| 2.1 | Securityholder Support |
In connection with the Arrangement (and any transactions contemplated in connection with the Arrangement Agreement) and obtaining the requisite approval for the Parent Shareholder Approval Matters (“Parent Securityholder Approval”), the Securityholder hereby covenants, undertakes and agrees from time to time, until such time as this Agreement is terminated in accordance with Article 4, to cause to be counted as present for purposes of establishing quorum and to vote (or cause to be voted) all of the Subject Securities (to the extent they carry a right to vote): (i) at the Parent Meeting, or any other meeting of any of the securityholders of Parent at which the Securityholder or any registered or beneficial owner of the Subject Securities are entitled to vote, to obtain the Parent Securityholder Approval; or (ii) in any action by written consent of the securityholders of Parent, in favour of the approval, consent, ratification and adoption of any resolution approving the Arrangement (and any transactions contemplated in connection with the Arrangement Agreement).
| 2.2 | Restrictions with Respect to Subject Securities |
The Securityholder hereby covenants and agrees that, from the date hereof until the earlier of (i) the Effective Time, (ii) the termination of this Agreement in accordance with Article 4, or (iii) it being determined (by mutual agreement of Parent and SRx) that the Parent Securityholder Approval is not required, except as permitted by this Agreement, the Securityholder will:
| (a) | not, directly or indirectly, option, sell, assign, transfer, pledge, encumber, grant a participation or security interest in or power of attorney over, hypothecate or otherwise convey or dispose of any Subject Securities, or any right or interest therein (legal or equitable), to any Person or group or Persons acting jointly or in concert or enter into any agreement, option or other arrangement to do any of the foregoing (each of the foregoing, a “Transfer”), other than to one or more of a parent, spouse, child or grandchild of, or a corporation, partnership, limited liability company or other entity controlled solely by, the Securityholder or a trust or account (including a Registered Retirement Savings Plan, Registered Education Savings Plan, Registered Retirement Income Fund or similar account) existing for the benefit of such Person or entity; provided, that a Transfer referred to in this sentence shall only be permitted if, as a precondition to such Transfer, the transferee agrees in writing, in form and substance reasonably acceptable to SRx, to be bound by all of the terms of this Agreement with respect to the Subject Securities; and provided further, that in the case of a Transfer to a corporation, partnership, limited liability company or other entity solely controlled by, the Securityholder, such entity shall remain solely controlled by the Securityholder until the earlier of: (i) the Effective Time; and (ii) the termination of this Agreement in accordance with Article 4. Any purported transfer of any Subject Securities or interest therein in violation of this Section 2.2(a) shall be null and void; |
| 2 |
| (b) | not, directly or indirectly, grant or agree to grant any proxy or other right to vote any Subject Securities, except for any proxies granted to vote in favour of any Parent Securityholder Approval in accordance with Section 2.1, or enter into any voting trust, vote pooling or other agreement with respect to the right to vote, call meetings of any of the shareholders of Parent or give consents or approval of any kind as to any Subject Securities; | |
| (c) | not vote or cause to be voted any Subject Securities in favor of, and vote or cause to be voted all Subject Securities against, any proposed action, transaction or agreement by or involving Parent or any of its Affiliates or the Securityholder or any other Person in a manner which could reasonably be expected to (i) prevent, hinder or delay the successful completion of the Arrangement or the transactions contemplated by the Arrangement Agreement; or (ii) change in any manner the voting rights of any class of shares of Parent; | |
| (d) | not, directly or indirectly, (i) solicit, assist, initiate, knowingly encourage or otherwise knowingly facilitate any inquiry, proposal or offer (whether public or otherwise) that constitutes or would reasonably be expected to constitute or lead to, a Parent Acquisition Proposal, (ii) enter into, engage in, continue or otherwise participate in any discussions or negotiations with any Person (other than SRx or its Affiliates) regarding any inquiry, proposal or offer that constitutes or would reasonably be expected to constitute or lead to, a Parent Acquisition Proposal, or (iii) accept or enter into, or publicly propose to accept or enter into, any agreement, understanding or arrangement with any Person in respect of a Parent Acquisition Proposal; | |
| (e) | take all such steps as are necessary or advisable to ensure that at all relevant times his, her or its Subject Securities will not be subject to any shareholders’ agreements, voting trust or similar agreements or any option, right or privilege (whether by law, pre-emptive or contractual) capable of becoming a shareholders’ agreement, voting trust or other agreement affecting or restricting the ability of him or her to exercise all voting rights attaching to such Subject Securities; and | |
| (f) | not withdraw, amend, modify or qualify, or publicly propose or state an intention to withdraw, amend, modify or qualify, support for the transactions contemplated by the Arrangement Agreement. |
| 2.3 | Voting of the Securityholder |
The Securityholder hereby agrees with SRx that it will, on or before the 10th Business Day prior to any meeting of any of the securityholders of Parent in respect of any Parent Securityholder Approval, duly complete forms of proxy in respect of all of his, her or its Subject Securities, and any other required documents in connection therewith , and cause same to be validly delivered in support of (and indicating that all Subject Securities are voted in favour of approving) the Arrangement (and any transactions contemplated in connection with the Arrangement Agreement) and will not withdraw the forms of proxy except as expressly otherwise provided in this Agreement. The Securityholder further agrees that it will, on or before the 10th Business Day prior to any meeting of any of the securityholders of Parent in respect of any SRx Securityholder Approval to be called to approve the Arrangement (and any transactions contemplated in connection with the Arrangement Agreement), deliver or cause to be delivered to SRx in accordance with Section 5.10 of this Agreement, a copy or screenshot of the duly completed and signed forms of proxy described in the preceding sentence.
| 3 |
| 2.4 | Meaning of Subject Securities. |
The term “Subject Securities” means that number of Parent Shares, Parent Options and Parent Warrants set forth opposite the Securityholder’s name in Appendix “A” hereto, being all of the securities of Parent owned legally or beneficially, either directly or indirectly, by such Securityholder or over which the Securityholder exercises direct or indirect control or discretion, and will be deemed to also include (a) any Parent Shares, Parent Options and Parent Warrants issued to the Securityholder pursuant to any stock dividend, stock split, recapitalization, reclassification, combination or exchange of Parent Shares Parent Options or Parent Warrants on, of, or affecting the Subject Securities on or after the date of this Agreement and (b) any Parent Shares, Parent Options and Parent Warrants acquired by the Securityholder on or after the date of this Agreement, or issued to the Securityholder, on or after the date of this Agreement (including pursuant to the exercise, conversion or vesting of any securities of Parent that are exercisable for, convertible into or vest as Parent Shares (including all Subject Securities)), and all such acquired Parent Shares, Parent Options and Parent Warrants shall be deemed Subject Securities and subject to the terms of this Agreement as though owned by the Securityholder as of the date hereof.
ARTICLE
3
REPRESENTATIONS AND WARRANTIES
| 3.1 | Representations and Warranties of the Securityholder |
The Securityholder represents and warrants to and covenants with SRx as follows, and acknowledges that SRx is relying upon such representations, warranties and covenants in entering into this Agreement:
| (a) | Incorporation; Authorization. If the Securityholder is a corporation or other legal entity, the Securityholder is a subsisting corporation or other entity under the laws of its incorporating or organizational jurisdiction. The Securityholder has all necessary power, authority, capacity and right to enter into this Agreement and to carry out each of its obligations under this Agreement. This Agreement has been duly executed and delivered by the Securityholder and, assuming due authorization, execution and delivery by SRx, constitutes a legal, valid and binding agreement enforceable by SRx against the Securityholder in accordance with its terms, subject, however, to limitations with respect to enforcement imposed by law in connection with bankruptcy, insolvency, reorganization or other laws affecting creditors’ rights generally and to the extent that equitable remedies such as specific performance and injunctions are only available in the discretion of the court from which they are sought. | |
| (b) | Ownership of Subject Securities. The Securityholder is, and, subject to any Transfer permitted pursuant to Section 2.2(a), will be continuously up until the Effective Time, the direct or indirect beneficial owner of the Subject Securities set out opposite the Securityholder’s name at Appendix “A”, with good and marketable title thereto, free and clear of any and all mortgages, liens, charges, restrictions, security interests, adverse claims, pledges, encumbrances and demands or rights of others of any nature or kind whatsoever. The Securityholder does not own or have any interest in any securities of Parent other than the Subject Securities. The Securityholder is not a party to, bound or affected by or subject to, any charter or by-law, contract, agreement provision, statute, regulation, judgment, order, decree or law which would be violated, contravened, breached by, or under which any default would occur as a result of, the execution and delivery of this Agreement or the consummation of any of the transactions provided for in this Agreement. | |
| (c) | No Agreements. No Person has any agreement or option, or any right or privilege (whether by law, pre-emptive or contractual) capable of becoming an agreement or option, for the purchase, acquisition or transfer of any of the Subject Securities, or any interest therein or right thereto, except pursuant to this Agreement. | |
| (d) | Voting. None of such Subject Securities is subject to any proxy, power of attorney, voting trust, vote pooling or other agreement with respect to the right to vote, call meetings of any of the shareholders of Parent or give consents or approvals of any kind, except pursuant to this Agreement. |
| 4 |
| (e) | Consents. No consent, waiver, approval, authorization, exemption, registration, licence or declaration of or by, or filing with, or notification to any Governmental Entity which has not been made or obtained is required to be made or obtained by the Securityholder in connection with (i) the execution and delivery by the Securityholder and enforcement against the Securityholder of this Agreement, or (ii) the consummation of any transactions by the Securityholder provided for herein. | |
| (f) | Legal Proceedings. There are no legal proceedings in progress or pending before any Governmental Entity or, to the knowledge of the Securityholder, threatened against the Securityholder or any of its Affiliates, or any of the Subject Securities or other property of the Securityholder or any of its Affiliates, and there is no judgment, decree or order against the Securityholder or its Affiliates, or any of the Subject Securities or other property of the Securityholder or any of its Affiliates, that would adversely affect in any manner the ability of the Securityholder to enter into this Agreement or adversely affect the Securityholder’s ability to perform its obligations hereunder or the title of the Securityholder to any of its Subject Securities. | |
| (g) | No Commitment. None of the Subject Securities held by the Securityholder is the subject of any commitment, undertaking or agreement, the terms of which would affect in any way the ability of the Securityholder to perform the Securityholder’s obligations with respect to such Subject Securities as set out in this Agreement. |
| 3.2 | Representations and Warranties of SRx |
SRx hereby represents and warrants to the Securityholder as follows, and acknowledges that the Securityholder is relying upon such representations, warranties and covenants in entering into this Agreement:
| (a) | SRx is a corporation duly incorporated and validly existing under the laws of the Province of Ontario and it has the requisite corporate power, authority and capacity to enter into this Agreement and to perform its obligations hereunder; | |
| (b) | this Agreement has been duly executed and delivered by SRx and constitutes a legal, valid and binding agreement enforceable by the Securityholder against SRx in accordance with its terms, subject, however, to limitations with respect to enforcement imposed by law in connection with bankruptcy, insolvency, reorganization or other laws affecting creditors’ rights generally and to the extent that equitable remedies such as specific performance and injunctions are only available in the discretion of the court from which they are sought; | |
| (c) | none of the execution and delivery by SRx of this Agreement or the compliance by SRx with its obligations hereunder will violate, contravene, result in any breach of, or be in conflict with, or constitute a default under, or create a state of facts which after notice or lapse of time or both would constitute a default under, any term or provision of: (i) any organizational documents of SRx; (ii) any contract to which SRx is a party or by which SRx is bound; (iii) any judgment, decree, order or award of any Governmental Entity; or (iv) any applicable law, except in each case as would not reasonably be expected, either individually or in the aggregate, to materially impair the ability of SRx to perform its obligations hereunder or that would reasonably be expected to prevent or materially delay the completion of the Arrangement; and | |
| (d) | there are no legal proceedings in progress or pending against or, to the knowledge of SRx, threatened against SRx or any of its Affiliates that would adversely affect in any manner the ability of SRx to enter into this Agreement and to perform its obligations hereunder or that would reasonably be expected to prevent or materially delay the completion of the Arrangement. |
| 5 |
ARTICLE
4
TERMINATION
| 4.1 | Termination |
This Agreement shall terminate: (i) by a written instrument executed by each of the parties; (ii) in the event that the Arrangement Agreement is terminated in accordance with its terms; (iii) on the Effective Time, or (iv) it being determined (by mutual agreement of Parent and SRx) that the Parent Securityholder Approval is not required.
| 4.2 | Effect of Termination |
If this Agreement is terminated in accordance with this Article 4, the provisions of this Agreement will become void in relation to such Securityholder and SRx and no such party shall have liability to such other party in respect of whom this Agreement has been terminated, except in respect of a wilful, intentional or material breach of the representations, warranties, obligations, terms or conditions of this Agreement which occurred prior to such termination in which case the non-breaching party to this Agreement shall be entitled to pursue any and all remedies at law or equity which may be available to it.
ARTICLE
5
GENERAL
| 5.1 | Fiduciary Obligations |
SRx agrees and acknowledges that the Securityholder is bound hereunder solely in his, her or its capacity as a securityholder of Parent and that the provisions of this Agreement shall not be deemed or interpreted to bind the Securityholder or any of its directors, officers or principal shareholders in his or her capacity as a director or officer of Parent or any of Parent’s subsidiaries. For the avoidance of doubt, nothing in this Agreement shall limit or restrict any party from properly fulfilling his or her fiduciary duties as a director or officer of Parent.
| 5.2 | Further Assurances |
The Securityholder will, from time to time, execute and deliver all such further documents and instruments and do all such acts and things as Parent may reasonably require to effectively carry out or better evidence or perfect the full intent of the parties and meaning of this Agreement.
| 5.3 | Survival of Representations and Warranties |
No investigations made by or on behalf any party or any of its authorized agents at any time shall have the effect of waiving, diminishing the scope of or otherwise affecting any representation, warranty or covenant made by any other party herein or pursuant hereto.
| 5.4 | Disclosure |
No press release or other disclosure (public or otherwise) with respect to the existence or details of this Agreement or the Arrangement shall be made by a Securityholder without the prior written consent of SRx, except to the extent required by applicable law.
| 5.5 | Assignment |
Subject to prior written notice to the Securityholder, SRx may assign all or part of its rights under this Agreement to an Affiliate of SRx. Other then as expressly contemplated by Section 2.2(a), this Agreement shall not be otherwise assignable by the Securityholder without the prior written consent of SRx.
| 5.6 | Time |
Time shall be of the essence of this Agreement.
| 5.7 | Governing Law |
This Agreement will be governed by, and interpreted and enforced in accordance with, the laws in force in the Province of Ontario (excluding any rule or principle of the conflict of laws which might refer such interpretation to the laws of another jurisdiction) and the federal laws of Canada applicable therein. Each party hereto irrevocably submits to the non-exclusive jurisdiction of the courts of Ontario with respect to any matter arising hereunder or related hereto. The parties to this Agreement hereby irrevocably and unconditionally waive any objection to the laying of venue of any action, suit or proceeding arising out of this Agreement or the matters contemplated hereby in the courts of the Province of Ontario and hereby further irrevocably and unconditionally waive and agree not to plead or claim in any such court that any such action, suit or proceeding so brought has been brought in an inconvenient forum. This Section 5.7 shall survive the termination of this Agreement.
| 6 |
| 5.8 | Entire Agreement |
This Agreement, including the appendices hereto constitutes the entire agreement between the parties pertaining to the subject matter hereof. There are no representations, warranties, conditions, undertakings, commitments, other agreements or acknowledgements, whether direct or collateral, express or implied, that form part of or affect this Agreement, or which induced any party hereto to enter into this Agreement or on which reliance is placed by any party hereto, except as specifically set forth in this Agreement.
| 5.9 | Amendments |
This Agreement may be amended, modified or supplemented only by a written agreement signed by all of the parties hereto.
| 5.10 | Severability |
If any term or other provision of this Agreement is invalid, illegal or incapable of being enforced by any rule of law or public policy, all other conditions and provisions of this Agreement shall nevertheless remain in full force and effect. Upon such determination that any term or other provision is invalid, illegal or incapable of being enforced, the parties hereto shall negotiate in good faith to modify this Agreement so as to effect the original intent of the parties as closely as possible in a mutually acceptable manner in order that the terms of this Agreement remain as originally contemplated to the fullest extent possible.
| 5.11 | Notices |
All notices and other communications given or made pursuant to this Agreement shall be in writing and shall be deemed to have been duly given and received on the day it is delivered, provided, however, that it is delivered on a Business Day prior to 4:30 p.m. Toronto time in the place of delivery or receipt. However, if notice is delivered after 4:30 p.m. Toronto time or if such day is not a Business Day then the notice shall be deemed to have been given and received on the next Business Day. Notice shall be sufficiently given if delivered (either in person, by courier service or other personal method of delivery), or if transmitted by e-mail to the following addresses (or at such other addresses as shall be specified by any party by notice to the other given in accordance with these provisions;
| a. | in the case of a notice to the Securityholder, to the Securityholder at the email address indicated opposite to the name of the Securityholder in Appendix “A”; and | |
| b. | in the case of a notice to SRx: |
SRX Health Solutions Inc.
65 Queen street West
8th floor Toronto, On
M5H 2M5
Attention: Adesh Vora and Dave Sohi
Email: adesh.vora@srxhealth.ca / dave.sohi@srxhealth.ca
| 7 |
with a copy (which shall not constitute notice) to:
Borden Ladner Gervais LLP
Bay Adelaide Centre, East Tower,
22 Adelaide St. West
Toronto, ON, Canada M5H 4E3
Attention: Colin Cameron-Vendrig
Email: ccameronvendrig@blg.com
Dorsey & Whitney LLP
TD Canada Trust Tower
Brookfield Place 161 Bay Street, Suite 4310
Toronto, ON M5J 2S1
Attention: Richard Raymer
Email: raymer.richard@dorsey.com
| 5.12 | Specific Performance and other Equitable Rights |
It is recognized and acknowledged that a breach by any party of any material obligations contained in this Agreement will cause the other party to sustain injury for which it would not have an adequate remedy at law for money damages. Accordingly, in the event of any such breach, any aggrieved party shall be entitled to the remedy of specific performance of such obligations and interlocutory, preliminary and permanent injunctive and other equitable relief in addition to any other remedy to which it may be entitled, at law or in equity, and the Securityholder will waive, in any action for specific performance, interlocutory, preliminary and permanent injunctive relief and/or any other equitable relief, the defence of adequacy of a remedy at law and any requirement for the securing or posting of any bond in connection with the obtaining of any such relief.
| 5.13 | Expenses |
Each of the parties shall pay its respective legal, financial advisory and accounting costs and expenses incurred in connection with the preparation, execution and delivery of this Agreement and all documents and instruments executed or prepared pursuant hereto and any other related costs and expenses whatsoever and howsoever incurred.
| 5.14 | Counterparts |
This Agreement may be executed in any number of counterparts. Each executed counterpart will be deemed to be an original. All executed counterparts taken together will constitute one agreement.
To evidence the fact that a party hereto has executed this Agreement, such party may send a copy of its executed counterpart to the other parties hereto by Electronic Transmission and if sent by email, in Portable Document File (PDF) format. That party will be deemed to have executed this Agreement on the date it sent such Electronic Transmission.
| 5.15 | Independent Legal Advice |
The Securityholder acknowledges that:
| (a) | the Securityholder has read this Agreement in its entirety, understands this Agreement and agrees to be bound by its terms and conditions; | |
| (b) | the Securityholder has been advised to seek independent legal advice with respect to the Securityholder executing and delivering this Agreement and has received such advice or has, without undue influence, elected to waive the benefit of any such advice; and | |
| (c) | the Securityholder is entering into this Agreement voluntarily. |
[REMAINDER OF PAGE INTENTIONALLY LEFT BLANK.
SIGNATURE PAGES FOLLOW.]
| 8 |
IN WITNESS WHEREOF the parties have executed this Agreement as of the date first written above.
| [●] | ||
| Per: | ||
| Name: |
Signature Page to SRx Voting Agreement
| 9 |
| SRX HEALTH SOLUTIONS INC. | ||
| Per: | ||
| Name: | ||
| Title: | ||
Signature Page to Parent Voting Agreement
| 10 |
APPENDIX
“A”
Subject Securities
| Securityholder Name | Parent Shares | Parent Options | Parent Warrants | Securityholder Contact Email | ||||
| 11 |
APPENDIX “B”
Arrangement Agreement
See attached.
Annex E
BETTER CHOICE COMPANY, INC.
CERTIFICATE OF DESIGNATION
OF
SERIES A SPECIAL VOTING PREFERRED STOCK
SETTING FORTH THE
POWERS, PREFERENCES, RIGHTS, LIMITATIONS AND RESTRICTIONS
OF SUCH SERIES OF PREFERRED STOCK
Pursuant to Section 151 of the General Corporation Law of the State of Delaware (“DGCL”), the undersigned does hereby certify, in accordance with the provisions of Section 103 thereof, on behalf of Better Choice Company, Inc., a Delaware corporation (“Company”), that the following resolution was duly adopted by the board of directors of the Company (the “Board”).
WHEREAS, the Certificate of Incorporation of the Company (as amended, the “Certificate of Incorporation”) authorizes the issuance of up to 4,000,000 shares of preferred stock, par value $0.001 per share, of the Company (“Preferred Stock”) in one or more series, which Preferred Stock shall have such distinctive designation or title, voting powers or no voting powers, and such preferences, rights, qualifications, limitations or restrictions, as shall be stated in such resolution or resolutions providing for the issuance of such class or series of Preferred Stock as may be adopted from time to time by the Board prior to the issuance of any shares thereof;
WHEREAS, it is the desire of the Board to establish and fix the number of shares to be included in a new series of Preferred Stock and the designation, rights, preferences, powers, restrictions and limitations of the shares of such new series.
NOW, THEREFORE, BE IT RESOLVED, that the Board does hereby provide for the issue of a series of Preferred Stock and does hereby in this Certificate of Designation (this “Certificate of Designation”) establish and fix and herein state and express the designation, rights, preferences, powers, restrictions, and limitations of such series of Preferred Stock as follows:
TERMS OF SPECIAL VOTING PREFERRED STOCK
Section 1. Designation, Amount and Par Value. The series of Preferred Stock shall be designated as Series A Special Voting Preferred Stock (the “Special Voting Preferred Stock”) and the number of shares so designated shall be one (1). The sole outstanding share of Special Voting Preferred Stock shall have a par value of $0.001 per share.
Section 2. Dividends. The holder of record of the share of Special Voting Preferred Stock shall not be entitled to receive any dividends declared and paid by the Company.
Section 3. Voting Rights.
(a) The holder of record of the share of Special Voting Preferred Stock, except as otherwise required under applicable law or as set forth in subparagraph (b) below, shall not be entitled to vote on any matter required or permitted to be voted upon by the stockholders of the Company.
(b) With respect to all meetings of the stockholders of the Company at which the holders of the Company’s common stock, par value $0.001 per share, are entitled to vote (each, a “Stockholder Meeting”) and with respect to any written consents sought by the Company from the holders of such common stock (each, a “Stockholder Consent”), the holder of the share of Special Voting Preferred Stock shall vote together with the holders of such common stock as a single class except as otherwise required under applicable law, and the holder of the share of Special Voting Preferred Stock shall be entitled to cast on such matter a number of votes equal to one vote plus the number of Exchangeable Shares (the “Exchangeable Shares”) of 1000994476 Ontario Inc., a corporation existing under the laws of the Province of Ontario (“AcquireCo”), outstanding as of the record date for determining stockholders entitled to vote at such Stockholder Meeting or in connection with the applicable Stockholder Consent (i) that are not owned by the Company or its affiliates and (ii) as to which the holder of the share of Special Voting Preferred Stock has received voting instructions from the holders of such Exchangeable Shares in accordance with the Voting Trust Agreement (the “Trust Agreement”) to be entered into among the Company, AcquireCo and the trustee thereunder (the “Trustee”).
Section 4. Liquidation. Upon any liquidation, dissolution or winding up of the Company, whether voluntary or involuntary, the holder of record of the Special Voting Preferred Stock shall not be entitled to receive any assets of the Company available for distribution to its stockholders.
Section 5. Other Provisions.
(a) The holder of record of the share of Special Voting Preferred Stock shall not have any rights hereunder to convert such share into, or exchange such share for, shares of any other series or class of capital stock of the Company.
(b) The Trustee shall exercise the voting rights attached to the share of Special Voting Preferred Stock pursuant to and in accordance with the Trust Agreement. The voting rights attached to the share of Special Voting Preferred Stock shall terminate pursuant to and in accordance with the Trust Agreement.
(c) At such time as the share of Special Voting Preferred Stock has no votes attached to it, the Special Voting Preferred Stock shall be automatically cancelled.
(d) The effective date of this Certificate of Designation shall be , 2025.
Section 6. No Other Rights or Privileges. Except as specifically set forth herein, the holder of the share of Special Voting Preferred Stock shall have no other rights, privileges or preferences with respect to the Special Voting Preferred Stock.
RESOLVED, FURTHER, that the Chairman, the president or any vice-president, and the secretary or any assistant secretary, of the Company be and they hereby are authorized and directed to prepare and file this Certificate of Designation in accordance with the foregoing resolution and the provisions of the DGCL.
IN WITNESS WHEREOF, the undersigned has executed this Certificate this day of , 2025 .
| Name: | Mike Young | |
| Title: | Chairman |
Annex F
Better Choice Company, Inc. and SRx Health Solutions, Inc.
Lock-Up Agreement
_______________, 2025
This Lock-Up Agreement (this “Agreement”) is executed in connection with the Arrangement Agreement (the “Arrangement Agreement”) by and among Better Choice Company, Inc., a Delaware corporation (the “Company”), SRx Health Solutions, Inc., a corporation organized under the laws of the Province of Ontario (“SRX”), 1000994476 Ontario Inc., an indirect wholly-owned subsidiary of the Company and a corporation existing under the laws of the Province of Ontario (“AcquireCo”), and 1000994085 Ontario Inc., a direct wholly-owned subsidiary of the Company and corporation existing under the laws of the Province of Ontario (“CallCo”), dated as of September 3, 2024, as amended December 6, 2024 (each, a “Party” and collectively, the “Parties”). Capitalized terms used herein but not defined shall have the meanings ascribed to such terms in the Arrangement Agreement. For purposes of this Agreement, “Shares” means all issued and outstanding shares of common stock in the capital of either of Company or SRX that the undersigned directly or indirectly owns beneficially or of record as of immediately prior to the Effective Time.
In connection with, and as an inducement to, the parties entering into the Arrangement Agreement and for other good and valuable consideration the receipt and sufficiency of which is hereby acknowledged, the undersigned, by executing this Agreement, agrees that, without the prior written consent of SRX prior to the Effective Time or Company following the Effective Time, with respect to the Shares, during the period commencing at the Effective Time and continuing until the date that is one hundred and eighty (180) days after the Closing Date, the undersigned will not: (a) offer, pledge, sell, contract to sell, sell any option or contract to purchase, purchase any option or contract to sell, grant any option, right or warrant to purchase, make any short sale or otherwise transfer or dispose of or lend, directly or indirectly, any Shares or any securities convertible into, exercisable or exchangeable for or that represent the right to receive Shares (including without limitation, Shares which may be deemed to be, directly or indirectly, beneficially owned or held of record by the undersigned in accordance with the rules and regulations of the Securities and Exchange Commission) whether now owned or hereafter acquired; (b) enter into any swap or other agreement that transfers, in whole or in part, any of the economic consequences of ownership of the Shares, whether any such transaction described in clause (a) or (b) above is to be settled by delivery of Shares or such other securities, in cash or otherwise; (c) make any demand for or exercise any right with respect to, the registration of any Shares; or (d) publicly disclose the intention to do any of the foregoing (each of the foregoing restrictions, the “Lock-Up Restrictions”). The period during which the Lock-Up Restrictions apply to any particular portion of the Shares shall be deemed the “Lock-Up Period” with respect thereto.
The undersigned agrees that the Lock-Up Restrictions preclude the undersigned from engaging in any hedging or other transaction with respect to any then-subject Shares which is designed to or which reasonably could be expected to lead to or result in a sale or disposition of such Shares even if such Shares would be disposed of by someone other than the undersigned. Such prohibited hedging or other transactions would include without limitation any short sale or any purchase, sale or grant of any right (including without limitation any put or call option) with respect to such Shares or with respect to any security that includes, relates to, or derives any significant part of its value from such Shares.
Notwithstanding the foregoing, the undersigned may transfer any of the Shares (i) as a bona fide gift or gifts or charitable contribution(s), (ii) to any trust for the direct or indirect benefit of the undersigned or the immediate family of the undersigned, (iii) if the undersigned is a corporation, partnership, limited liability company, trust or other business entity (1) to another corporation, partnership, limited liability company, trust or other business entity that is a direct or indirect affiliate (as defined in Rule 405 promulgated under the Securities Act of 1933, as amended) of the undersigned or (2) as distributions of Shares to limited partners, limited liability company members or stockholders of the undersigned or holders of similar equity interests in the undersigned, (iv) if the undersigned is a trust, to the beneficiary of such trust, (v) by testate succession or intestate succession, (vi) to any immediate family member, any investment fund, family partnership, family limited liability company or other entity controlled or managed by the undersigned, (vii) to a nominee or custodian of a person or entity to whom a disposition or transfer would be permissible under clauses (i) through (vi), (viii) pursuant to a bona fide third party tender offer, merger, consolidation or other similar transaction (or series of related transactions) made to all holders of the common stock of Company pursuant to which a person or “group” (as defined in or under Section 13(d) of the Exchange Act) would beneficially own fifty percent (50%) or more of the total outstanding voting securities of Company, provided that in the event that such tender offer, merger, consolidation or other such transaction is not completed, the Shares shall remain subject to the restrictions contained in this Agreement, or (ix) pursuant to an order of a court or regulatory agency; provided, in the case of clauses (i)-(vii), that (A) such transfer shall not involve a disposition for value and (B) the transferee agrees in writing with Company to be bound by the terms of this Agreement; and provided further, in the case of clauses (i)-(vii), No filing by any party under Section 16(a) of the Exchange Act shall be required or shall be made voluntarily in connection with such transfer. For purposes of this Agreement, “immediate family” shall mean any relationship by blood, marriage, domestic partnership or adoption, not more remote than first cousin.
In addition, for the avoidance of doubt, the foregoing restrictions shall not apply to (i) the exercise of stock options granted pursuant to either of Company or SRX’s equity incentive plans, including the “net” exercise of such options in accordance with their terms and the surrender of shares of common stock of Company or SRX in lieu of payment in cash of the exercise price and any tax withholding obligations due as a result of such exercise, or for any of the shares of common stock of Company or SRX issued upon such exercise, (ii) conversion or exercise of warrants into shares of common stock of Company or SRX or into any other security convertible into or exercisable for common stock of Company or SRX that are outstanding as of the Effective Time, or for any shares of common stock of Company or SRX issued upon such exercise or conversion; or (iii) the establishment of any contract, instruction or plan (a “Plan”) that satisfies all of the requirements of Rule 10b5-1(c)(1)(i)(B) under the Exchange Act; provided that No sales of the Shares shall be made pursuant to such a Plan prior to the expiration of the applicable Lock-Up Period, and such a Plan may only be established if no public announcement of the establishment or existence thereof and No filing with the Securities and Exchange Commission or other regulatory authority in respect thereof or transactions thereunder or contemplated thereby, by the undersigned, Company, SRX or any other person, shall be required, and No such announcement or filing is made voluntarily, by the undersigned, Company, SRX or any other person, prior to the expiration of the applicable Lock-Up Period. In furtherance of the foregoing, Company and the transfer agent of the Company (the “Transfer Agent”) and registrar are hereby authorized to decline to make any transfer of the Shares if such transfer would constitute a violation or breach of this Agreement.
The undersigned agrees and consents to the entry of stop transfer instructions with the Transfer Agent against the transfer of the Shares subject to this Agreement except in compliance with the foregoing restrictions.
The undersigned hereby consents to receipt of this Agreement in electronic form and understands and agrees that this Agreement may be signed electronically. In the event that any signature is delivered by facsimile transmission, electronic mail, or otherwise by electronic transmission evidencing an intent to sign this Agreement, such facsimile transmission, electronic mail or other electronic transmission shall create a valid and binding obligation of the undersigned with the same force and effect as if such signature were an original.
The undersigned hereby represents and warrants that the undersigned has full power and authority to enter into this Agreement and that upon request, the undersigned will execute any additional documents reasonably necessary to ensure the validity or enforcement of this Agreement. All authority herein conferred or agreed to be conferred and any obligations of the undersigned shall be binding upon the successors, assigns, heirs or personal representatives of the undersigned.
The undersigned understands that the undersigned shall be released from all obligations under this Agreement if the Arrangement Agreement is terminated pursuant to its terms.
The undersigned understands that Company, AcquireCo, CallCo, and SRX are entering into the Arrangement Agreement in reliance upon this Agreement.
[Remainder of Page Intentionally Left Blank]
This Agreement shall be governed by, and construed in accordance with, the laws of the State of New York.
| Very truly yours, | ||
| Printed Name of Holder | ||
| By: | ||
| Signature | ||
| Printed Name of Person Signing (and indicate capacity of person signing if signing as custodian, trustee, or on behalf of an entity) | ||
[Signature Page to Look-Up Agreement]
Annex G
SCA
Old Ford Bay Town Center
Unit 7 Building 2
Nassau NP
SCA
August 13, 2024
Better Choice Company Inc.
12400 Race Track Road Tampa, FL
33626
To the Board of Directors:
Strategic Capital Advisors, LTD. (“SCA” or “we”) understands that Better Choice Company Inc. (“Better Choice” or the “Company”) has entered into a definitive stock purchase agreement (the “Purchase Agreement”) with SRX Health Solutions Inc (“SRX”), pursuant to which Better Choice will acquire all of the issued and outstanding common shares of SRX (the “SRX Shares”) by way of a stock purchase agreement (the “Agreement”). Pursuant to the terms of the Agreement, each issued and outstanding SRX share shall be exchanged for 1.1534 common shares (each such whole common share, a “Better Choice Common Share”) of Better Choice (the “Consideration”).
All dollar amounts herein are expressed in United States dollars.
Engagement of SCA
On August 7, 2024, the Company and its board of directors (the “Board of Directors”) engaged SCA (the “Engagement Agreement”), to deliver a fairness opinion in connection with Better Choice’s potential acquisition of SRX Health Solutions, Inc
Pursuant to the Engagement Agreement, the Board of Directors has asked for our written opinion (the “Opinion”) as to whether, as of the date hereof, the Consideration to be paid by Better Choice pursuant to the Agreement is fair, from a financial point of view, to Better Choice. The effective date of this Opinion is August 13, 2024 SCA has not been asked to prepare and has not prepared a formal valuation of the Company or SRX Health Solutions, Inc, or a valuation of any of the securities or assets of the Company or SRX Health Solutions, Inc and this Opinion should not be construed as such. We have not been requested to opine as to, and our opinion does not in any manner address, the underlying business decision to proceed with or effect the Agreement, or the relative merits of the Agreement as compared to other potential strategies or transactions that maybe available to the Company.
SCA will be paid a fixed fee upon delivery of this Opinion, which is not contingent upon completion of the Agreement or any other transaction. In addition, the Company as agreed to reimburse SCA for its reasonable expenses (including the fees, disbursements and taxes of our external legal counsel) and to indemnify SCA and its representatives in respect of certain liabilities that may arise out of our engagement.
Relationship with Interested Parties
SCA is not an insider, associate or affiliate (as each such term is defined in the Securities Act (Ontario)) (the “Securities Act”) of either the Company or SRX Health Solutions, Inc or any of their respective subsidiaries, associates or affiliates (collectively, the “Interested Parties”), nor is it a financial advisor to any Interested Party or any other person in connection with the Agreement, except for providing our Opinion to the Board of Directors in connection with the Agreement.
As the Company has been advised, except for the Engagement Agreement, during the two years preceding the date of this Opinion we have not been engaged by, performed any services for or received any compensation from Better Choice, SRX Health Solutions, Inc or any of their respective affiliates.
| 1 |
SCA may, in the ordinary course of business, provide financial advisory services to one or more of the Interested Parties from time to time.
Credentials of SCA
SCA is an independent advisory firm that offers advice on mergers and acquisitions and corporate restructurings. SCA principals have extensive financial experience in diverse industries including consumer products, healthcare, financial services, technology and agriculture. They have extensive experience providing advisory services on complex, transformative transactions and related capital markets activity.
Scope of Review
In connection with the Fairness Opinion, SCA has reviewed (where applicable) and relied upon (without attempting to verify independently the completeness or accuracy or fair presentation thereof), among other things, the following:
| a) | a executed copy of the Term Sheet between the Company and SRX Health Solutions, Inc dated August 6, 2024; |
| b) | discussions with the Company’s senior management concerning the Company’s financial condition, the industry and its future business prospects; |
| c) | publicly filed financials of the Company; |
| d) | discussions with the Company’s Board of Directors; |
| e) | select public market trading statistics and relevant financial information in respect of other comparable public entities considered by SCA to be relevant; |
| f) | selected financial statistics and relevant financial information with respect to relevant precedent transactions; |
| g) | due diligence meetings with officers of the Company concerning past and current operations and financial conditions and the prospects of the Company; |
| h) | representations contained in certificates, addressed to SCA and dated the date hereof, from senior officers of the Company as to the completeness and accuracy of the information upon which this Opinion is based and certain other matters; and |
| i) | such other corporate, industry and financial market information, investigations and analyses as SCA considered necessary or appropriate at the time and in the circumstances. |
In preparing this Opinion, to the best of our knowledge, the Company did not deny access to any information requested by us.
Assumptions and Limitations
Our Opinion is subject to the assumptions, qualifications and limitations set forth below. With your permission, we have assumed and relied upon, without independent verification, the accuracy, completeness and fair presentation of all financial and other information, data, advice, opinions and representations obtained by us from publicly available sources, or supplied or otherwise made available to us by the Company in respect of the Company and its subsidiaries and their relevant businesses, properties and assets, and in respect of SRX Health Solutions, Inc and its subsidiaries and their relevant businesses, properties and assets, including the information and discussions referred to above under the heading “Scope of Review”. SCA did not meet with the Company’s auditors or any other third party to verify any such information.
With respect to any forecasts, projections, estimates and/or budgets, we have assumed that they were reasonably prepared on a basis reflecting the best currently available estimates, assumptions and good faith judgments of the management of the Company and that such forecasts, projections, estimates and/or budgets were prepared or reviewed using the assumptions identified therein and that such assumptions are (or were at the time) reasonable in the circumstances. We express no opinion with respect to the forecasts, projections, budgets or the assumptions upon which they are based, although we note that the preparation of any future-oriented financial information involves the application of management’s subjective judgements about future conditions and is inherently subject to uncertainty. Actual results will likely be different from the results implied by the forecasts and any such differences could be material. We have not made any independent evaluation or appraisal of the assets or liabilities (contingent or otherwise) of the Company or SRX Health Solutions, Inc nor have we been furnished with any such evaluation or appraisal.
| 2 |
We have assumed that the Agreement will be consummated in accordance with the terms of the Letter of Intent, to be set forth in a final, executed Purchase Agreement, which we have further assumed will be substantially in the form and substance agreements for similar transactions of this type and substantially in the form of the terms agreed to in the Letter of Intents, the representations and warranties of the parties to the Purchase Agreement contained therein will be complete, true and correct in all material respects, such parties will each perform all of the respective covenants and agreements to be performed by them under the Purchase Agreement, and and all conditions to the obligations of such parties as specified in the Purchase Agreement will be satisfied or waived without waiver or modification of any terms or conditions the effect of which would be in any way meaningful to our financial analysis.
We have further assumed that all shareholder, governmental, regulatory, and other consents and approvals necessary for the consummation of the Agreement will be obtained and, that in connection with any necessary approvals and consents, no limitations, restrictions or conditions will be imposed that would have an adverse effect on the Company or SRX Health Solutions, Inc the Agreement or the contemplated benefits of the Agreement that would be in any way meaningful to our financial analysis.
We are not legal, regulatory, accounting or tax experts and have relied on the assessments made by Better Choice and SRX Health Solutions, Inc and their respective advisors with respect to all such matters.
Better Choice has represented to us, that (i) the financial and other information, data, advice, opinions, representations and other material (financial or otherwise) provided to us orally by or on behalf of the Company, or in writing by or on behalf of the Company or any of its subsidiaries (as defined in National Instrument 45-106 – Prospectus Exemptions) or any of its or their representatives in connection with our engagement, including the written information and discussions concerning the Company or SRX Health Solutions, Inc referred to above under the heading “Scope of Review” (collectively, the “Information”), (A) in respect of the Company or any of its subsidiaries, was, at the date the Information was provided to us, and is as of the date hereof, complete, true and correct in all material respects, and did not and does not contain a misrepresentation (as defined in the Securities Act), and (B) in respect of Better Choice or any of its subsidiaries, to the best of their knowledge, was, at the date the Information was provided to us, and is as of the date hereof, complete, true and correct in all material respects, and did not and does not contain a misrepresentation (as defined in the Securities Act), (ii) since the dates on which the Information was provided to us, except as has been disclosed in writing to us, (A) there has been no material change, financial or otherwise, in the financial condition, assets, liabilities (contingent or otherwise), business, operations or prospects of the Company and its subsidiaries, taken as a whole, and there has been no change in any material fact or any material element of any of the Information or any new material fact, any of which is of a nature as to render any portion of the Information untrue or misleading in any material respect or which could reasonably be expected to have a material effect on the Opinion, and (B) to the best of their knowledge, there has been no material change, financial or otherwise, in the financial condition, assets, liabilities (contingent or otherwise), business, operations or prospects of Better Choice and its subsidiaries, taken as a whole, and there has been no change in any material fact or any material element of any of the Information or any new material fact, any of which is of a nature as to render any portion of the Information untrue or misleading in any material respect or which could reasonably be expected to have a material effect on the Opinion, and (iii) based on their understanding of the assumptions used, procedures adopted and scope of the review undertaken, they have no knowledge of any facts not contained in or referred to in the Information that could reasonably be expected to affect the Opinion, including the assumptions used, the procedures adopted, the scope of the review undertaken or the conclusion reached by us.
| 3 |
Our Opinion is necessarily based on financial, economic, market and other conditions as in effect on, and the information made available to us as of, the date hereof. It should be understood that subsequent developments may affect this Opinion, and we do not have any obligation to update, revise, or reaffirm this Opinion. Without limiting the generality of the foregoing, the COVID-19 pandemic, current international protest movements and related social unrest, and other recent unanticipated and significant macroeconomic factors have together contributed to extraordinary equity market volatility. If those factors persist, they could also affect the values of SRX Health Solutions, Inc and Better Choice, and the impact could differ significantly between SRX Health Solutions, Inc and Better Choice.
This Opinion addresses only the fairness to Better Choice, from a financial point of view, of the Consideration to be paid pursuant to the Agreement. We are not expressing any view or opinion as to any other terms or aspect of the Agreement, including the form, terms or conditions of the Letter of Intent, the Purchase Agreement, or any other agreement or instrument entered into or amended in connection with the arrangement. We have not been asked to prepare, and have not prepared, an independent evaluation, formal valuation or appraisal of the securities or assets of the Company, SRX Health Solutions, Inc or any of their respective affiliates, nor were we provided with any such evaluations, valuations or appraisals. Except as set forth above under “Scope of Review”, we did not conduct any physical inspection of the properties or facilities of the Company or SRX Health Solutions, Inc Our Opinion does not address the relative merits of the Agreement as compared to other business strategies or potential transaction opportunities that may be available to the Company. We are also not expressing any view or opinion as to the impact of the Agreement on the solvency or the viability of the Company or SRX Health Solutions, Inc or their respective ability to pay their obligations when they come due. We also express no view or opinion regarding any legal, regulatory, accounting, insurance, tax, environmental, executive compensation, corporate governance or other matters that may be relevant to any evaluation of the Agreement.
Our Opinion has been provided to the Board of Directors for its exclusive use only in considering the Agreement as currently contemplated pursuant to the Letter of Intent and may not be published, disclosed to or relied upon any other person, or used for any other purpose, without our prior written consent. Our Opinion is not intended to be and does not constitute a recommendation to the Board of Directors as to whether they should approve the Agreement or the Purchase Agreement, nor as a recommendation to any shareholder as to how to vote, nor as an opinion or advice concerning the value of any securities of the Company at any time, including following the announcement or completion of the Agreement.
This Opinion is given as of the date hereof, and, although we reserve the right to change or withdraw our Opinion if we learn that any of the information that we relied upon in preparing the Opinion was inaccurate, incomplete or misleading in any material respect, we disclaim any obligation to change or withdraw the Opinion, to advise any person of any change that may come to our attention or to update the Opinion after the date of this Opinion.
The preparation of a fairness opinion is a complex process and is not necessarily capable of being partially analyzed or summarized. SCA believes that its analyses must be considered as a whole and that selecting portions of the analyses or the factors considered by it, without considering all factors and analyses together, could create an incomplete view of the process underlying the Opinion. The Opinion should be read in its entirety.
Approach to Financial Fairness
In connection with the Opinion, SCA has performed a variety of financial and comparative analyses. In arriving at the Opinion, SCA has not attributed any particular weight to any specific analysis or factor, but rather has made qualitative judgments based on our experience in rendering such opinions and on the circumstances and Information as a whole.
| 4 |
Conclusion
Based upon and subject to the foregoing, including the assumptions, limitations and qualifications set forth therein and such other matters as SCA considered relevant, SCA is of the opinion that, as of the date hereof, the Consideration to be paid by Better Choice pursuant to the Agreement is fair, from a financial point of view, to Better Choice.
Yours very truly,
(Signed) “Strategic Capital Advisors, LTD.”

SCA, LTD
| 5 |
Annex H







































































