Please wait

 

 

 

UNITED STATES

SECURITIES AND EXCHANGE COMMISSION

Washington, D.C. 20549

 

SCHEDULE 14A

(RULE 14a-101)

SCHEDULE 14A INFORMATION

 

Proxy Statement Pursuant to Section 14(a) of the Securities Exchange Act of 1934

 

Filed by Registrant x

 

Filed by a Party other than the Registrant ¨

 

Check the appropriate box:

¨ Preliminary Proxy Statement
¨ Confidential, for Use of the Commission Only  (as permitted by Rule 14a-6(e)(2))
¨ Definitive Proxy Statement
x Definitive Additional Materials
¨ Soliciting Material Under Rule 14a-12

 

TRILOGY METALS INC. 

 

 

 

(Name of Registrant as Specified In Its Charter)

  

 

 

(Name of Person(s) Filing Proxy Statement, if other than the Registrant)

 

Payment of Filing Fee (Check the appropriate box):

 

x No fee required.
¨  Fee computed on table below per Exchange Act Rules 14A-6(i)(1) and 0-11.
¨  Fee paid previously with preliminary materials.
¨  Check box if any part of the fee is offset as provided by Exchange Act Rule 0-11(a)(2) and identify the filing for which the offsetting fee was paid previously. Identify the previous filing by registration number, or the Form or Schedule and the date of its filing.

 

 

 

 

 

GRAPHIC

How to Obtain Paper Copies of the Proxy Materials Securityholders may request to receive paper copies of the current meeting materials by mail at no cost. Requests for paper copies may be made using your Control Number as it appears on your enclosed Voting Instruction Form or Proxy. To ensure you receive the materials in advance of the voting deadline and meeting date, all requests must be received no later than May 10, 2024. If you do request the current materials, please note that another Voting Instruction Form/Proxy will not be sent; please retain your current one for voting purposes. For Holders with a 15 digit Control Number: Request materials by calling Toll Free, within North America - 1-866-962-0498 or direct, from Outside of North America - (514) 982-8716 and entering your control number as indicated on your Voting Instruction Form or Proxy. To obtain paper copies of the materials after the meeting date, please contact (604) 638-8088. For Holders with a 16 digit Control Number: Request materials by calling Toll Free, within North America - 1-855-638-8088 or direct, from Outside of North America - (604) 638-8088. To obtain paper copies of the materials after the meeting date, please contact (604) 638-8088. 01ZLLB Fold Fold Have questions about this notice? Call the Toll Free Number below or scan the QR code to find out more Toll Free – 1-866 964-0492 www.computershare.com/ noticeandaccess Notice of Availability of Proxy Materials for TRILOGY METALS INC. Annual General Meeting Meeting Date and Location: When: May 22, 2024 Where: 1150-609 Granville Street, Vancouver, BC 10:00 am (Pacific Time) You are receiving this notice to advise that the proxy materials for the above noted securityholders’ meeting are available on the Internet. This communication presents only an overview of the more complete proxy materials that are available to you on the Internet. We remind you to access and review all of the important information contained in the information circular and other proxy materials before voting. The information circular and other relevant materials are available at: https://trilogymetals.com/investors/proxy-circular/ OR www.sedar.com TRILOGY METALS INC. CPUQC01.E.INT/000001/i1234

GRAPHIC

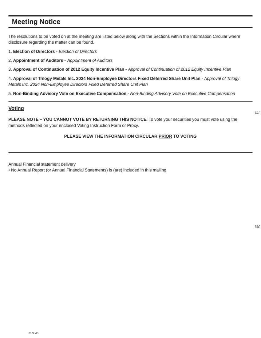
Voting PLEASE NOTE – YOU CANNOT VOTE BY RETURNING THIS NOTICE. To vote your securities you must vote using the methods reflected on your enclosed Voting Instruction Form or Proxy. PLEASE VIEW THE INFORMATION CIRCULAR PRIOR TO VOTING 01ZLMB Fold Fold Meeting Notice The resolutions to be voted on at the meeting are listed below along with the Sections within the Information Circular where disclosure regarding the matter can be found. 1. Election of Directors - Election of Directors 2. Appointment of Auditors - 3. Approval of Continuation of 2012 Equity Incentive Plan - Approval of Continuation of 2012 Equity Incentive Plan 4. Approval of Trilogy Metals Inc. 2024 Non-Employee Directors Fixed Deferred Share Unit Plan - Approval of Trilogy Metals Inc. 2024 Non-Employee Directors Fixed Deferred Share Unit Plan 5. Non-Binding Advisory Vote on Executive Compensation - Non-Binding Advisory Vote on Executive Compensation Annual Financial statement delivery • No Annual Report (or Annual Financial Statements) is (are) included in this mailing