Please wait
INDEX TO FINANCIAL STATEMENTS Page Report of Independent Registered Public Accounting Firm for Anywhere Real Estate Inc. . . . . . . . . . . . . . . . . . . . . . . F-2 Consolidated Statements of Operations for the years ended December 31, 2024, 2023 and 2022 . . . . . . . . . . . . . . . . . F-4 Consolidated Statements of Comprehensive Loss for the years ended December 31, 2024, 2023 and 2022 . . . . . . . . . F-5 Consolidated Balance Sheets as of December 31, 2024 and 2023 . . . . . . . . . . . . . . . . . . . . . . . . . . . . . . . . . . . . . . . . . . F-6 Consolidated Statements of Cash Flows for the years ended December 31, 2024, 2023 and 2022 . . . . . . . . . . . . . . . . . F-7 Consolidated Statements of Equity for the years ended December 31, 2024, 2023 and 2022 . . . . . . . . . . . . . . . . . . . . . F-9 Notes to Consolidated Financial Statements . . . . . . . . . . . . . . . . . . . . . . . . . . . . . . . . . . . . . . . . . . . . . . . . . . . . . . . . . . F-10 Report of Independent Registered Public Accounting Firm To the Board of Directors and Stockholders of Anywhere Real Estate Inc. Opinion on the Financial Statements We have audited the accompanying consolidated balance sheets of Anywhere Real Estate Inc. and its subsidiaries (the “Company”) as of December 31, 2024 and 2023, and the related consolidated statements of operations, of comprehensive loss, of equity and of cash flows for each of the three years in the period ended December 31, 2024, including the related notes (collectively referred to as the “consolidated financial statements”). In our opinion, the consolidated financial statements present fairly, in all material respects, the financial position of the Company as of December 31, 2024 and 2023, and the results of its operations and its cash flows for each of the three years in the period ended December 31, 2024 in conformity with accounting principles generally accepted in the United States of America. Basis for Opinion These consolidated financial statements are the responsibility of the Company’s management. Our responsibility is to express an opinion on the Company’s consolidated financial statements based on our audits. We are a public accounting firm registered with the Public Company Accounting Oversight Board (United States) (PCAOB) and are required to be independent with respect to the Company in accordance with the U.S. federal securities laws and the applicable rules and regulations of the Securities and Exchange Commission and the PCAOB. We conducted our audits of these consolidated financial statements in accordance with the standards of the PCAOB. Those standards require that we plan and perform the audits to obtain reasonable assurance about whether the consolidated financial statements are free of material misstatement, whether due to error or fraud. Our audits included performing procedures to assess the risks of material misstatement of the consolidated financial statements, whether due to error or fraud, and performing procedures that respond to those risks. Such procedures included examining, on a test basis, evidence regarding the amounts and disclosures in the consolidated financial statements. Our audits also included evaluating the accounting principles used and significant estimates made by management, as well as evaluating the overall presentation of the consolidated financial statements. We believe that our audits provide a reasonable basis for our opinion. Critical Audit Matters The critical audit matters communicated below are matters arising from the current period audit of the consolidated financial statements that were communicated or required to be communicated to the audit committee and that (i) relate to accounts or disclosures that are material to the consolidated financial statements and (ii) involved our especially challenging, subjective, or complex judgments. The communication of critical audit matters does not alter in any way our opinion on the consolidated financial statements, taken as a whole, and we are not, by communicating the critical audit matters below, providing separate opinions on the critical audit matters or on the accounts or disclosures to which they relate. Annual Goodwill Impairment Assessment—Cartus Reporting Unit As described in Notes 2 and 7 to the consolidated financial statements, the Company’s consolidated goodwill balance was $2,499 million as of December 31, 2024, a portion of which related to the Cartus reporting unit within the Franchise Group segment. Management conducts an impairment assessment annually as of October 1, or whenever events or changes in circumstances indicate that the carrying amount may not be fully recoverable. This assessment compares the carrying value of each reporting unit to their respective fair values and, when appropriate, the carrying value is reduced to fair value. The fair value of each reporting unit is estimated using the discounted cash flow method under the income approach. The fair value of the Company’s reporting units is determined utilizing the best estimate of future revenues, operating expenses, market and general economic conditions, trends in the industry, as well as assumptions that management believes marketplace participants would utilize including discount rates, cost of capital, and long-term growth rates. The principal considerations for our determination that performing procedures relating to the annual goodwill impairment assessment of the Cartus reporting unit is a critical audit matter are (i) the significant judgment by management when developing the fair value estimate of the reporting unit; (ii) a high degree of auditor judgment, subjectivity, and effort in performing procedures and evaluating management’s significant assumptions related to future revenues, certain operating expenses, and discount rate; and (iii) the audit effort involved the use of professionals with specialized skill and knowledge. F-2 Addressing the matter involved performing procedures and evaluating audit evidence in connection with forming our overall opinion on the consolidated financial statements. These procedures included testing the effectiveness of controls relating to management’s annual goodwill impairment assessment, including controls over the valuation of the Cartus reporting unit. These procedures also included, among others (i) testing management’s process for developing the fair value estimate of the Cartus reporting unit; (ii) evaluating the appropriateness of the discounted cash flow method used by management; (iii) testing the completeness and accuracy of the underlying data used by management in the discounted cash flow method; and (iv) evaluating the significant assumptions used by management related to future revenues, certain operating expenses, and discount rate. Evaluating management’s assumptions related to future revenues and certain operating expenses involved evaluating whether the assumptions used by management were reasonable considering (i) the current and past performance of the reporting unit; (ii) the consistency with external market and industry data; and (iii) the consistency with evidence obtained in other areas of the audit. Professionals with specialized skill and knowledge were used to assist in evaluating (i) the appropriateness of the discounted cash flow method and (ii) the reasonableness of the discount rate assumption. Annual Indefinite-Lived Asset Impairment Assessment—Franchise Trademarks Intangible Asset As described in Notes 2 and 7 to the consolidated financial statements, the Company’s consolidated indefinite-lived intangible assets balance was $614 million as of December 31, 2024, including trademark intangible assets of $584 million, a significant portion of which relates to the franchise trademarks intangible asset. Management conducts an impairment assessment annually as of October 1, or whenever events or changes in circumstances indicate that the carrying amount may not be fully recoverable. This assessment compares the carrying values of each of the other indefinite lived intangible assets to their respective fair values and, when appropriate, the carrying value is reduced to fair value. The fair value of each indefinite-lived intangible asset is estimated using the relief from royalty method. The fair value of the Company’s indefinite lived intangible assets are determined utilizing the best estimate of future revenues, market and general economic conditions, trends in the industry, as well as assumptions that management believes marketplace participants would utilize including discount rates, cost of capital, trademark royalty rates, and long-term growth rates. The principal considerations for our determination that performing procedures relating to the impairment assessment of the franchise trademarks intangible asset is a critical audit matter are (i) the significant judgment by management when developing the fair value estimate of the franchise trademarks intangible asset; (ii) a high degree of auditor judgment, subjectivity, and effort in performing procedures and evaluating management’s significant assumptions related to future revenues and discount rate; and (iii) the audit effort involved the use of professionals with specialized skill and knowledge. Addressing the matter involved performing procedures and evaluating audit evidence in connection with forming our overall opinion on the consolidated financial statements. These procedures included testing the effectiveness of controls relating to management’s annual trademarks intangible asset impairment assessment, including controls over the valuation of the franchise trademarks intangible asset. These procedures also included, among others (i) testing management’s process for developing the fair value estimate of the franchise trademarks intangible asset; (ii) evaluating the appropriateness of the relief from royalty method used by management; (iii) testing the completeness and accuracy of the underlying data used by management in the relief from royalty method; and (iv) evaluating the significant assumptions used by management related to future revenues and discount rate. Evaluating management’s assumption related to future revenues involved evaluating whether the assumption used by management was reasonable considering (i) the current and past performance of the business associated with the trademark; (ii) the consistency with external market and industry data; and (iii) the consistency with evidence obtained in other areas of the audit. Professionals with specialized skill and knowledge were used to assist in evaluating (i) the appropriateness of the relief from royalty method and (ii) the reasonableness of the discount rate assumption. /s/ PricewaterhouseCoopers LLP Florham Park, New Jersey February 25, 2025 We have served as the Company's auditor since 2009. F-3 ANYWHERE REAL ESTATE INC. CONSOLIDATED STATEMENTS OF OPERATIONS (In millions, except per share data Year Ended December 31, 2024 2023 2022 Revenues Gross commission income . . . . . . . . . . . . . . . . . . . . . . . . . . . . . . . . . . . . . . . . . . . . . $ 4,629 $ 4,570 $ 5,538 Service revenue . . . . . . . . . . . . . . . . . . . . . . . . . . . . . . . . . . . . . . . . . . . . . . . . . . . . . 574 569 793 Franchise fees . . . . . . . . . . . . . . . . . . . . . . . . . . . . . . . . . . . . . . . . . . . . . . . . . . . . . . 356 351 417 Other . . . . . . . . . . . . . . . . . . . . . . . . . . . . . . . . . . . . . . . . . . . . . . . . . . . . . . . . . . . . . 133 146 160 Net revenues . . . . . . . . . . . . . . . . . . . . . . . . . . . . . . . . . . . . . . . . . . . . . . . . . . . . . . . . . . . 5,692 5,636 6,908 Expenses Commission and other agent-related costs . . . . . . . . . . . . . . . . . . . . . . . . . . . . . . . . 3,718 3,664 4,415 Operating . . . . . . . . . . . . . . . . . . . . . . . . . . . . . . . . . . . . . . . . . . . . . . . . . . . . . . . . . . 1,125 1,147 1,377 Marketing . . . . . . . . . . . . . . . . . . . . . . . . . . . . . . . . . . . . . . . . . . . . . . . . . . . . . . . . . 195 215 252 General and administrative . . . . . . . . . . . . . . . . . . . . . . . . . . . . . . . . . . . . . . . . . . . . 392 422 388 Former parent legacy cost, net . . . . . . . . . . . . . . . . . . . . . . . . . . . . . . . . . . . . . . . . . . 2 18 1 Restructuring costs, net . . . . . . . . . . . . . . . . . . . . . . . . . . . . . . . . . . . . . . . . . . . . . . . 32 49 32 Impairments . . . . . . . . . . . . . . . . . . . . . . . . . . . . . . . . . . . . . . . . . . . . . . . . . . . . . . . . 20 65 483 Depreciation and amortization . . . . . . . . . . . . . . . . . . . . . . . . . . . . . . . . . . . . . . . . . . 198 196 214 Interest expense, net . . . . . . . . . . . . . . . . . . . . . . . . . . . . . . . . . . . . . . . . . . . . . . . . . 153 151 113 (Gain) loss on the early extinguishment of debt . . . . . . . . . . . . . . . . . . . . . . . . . . . . (7) (169) 96 Other income, net . . . . . . . . . . . . . . . . . . . . . . . . . . . . . . . . . . . . . . . . . . . . . . . . . . . — — (140) Total expenses . . . . . . . . . . . . . . . . . . . . . . . . . . . . . . . . . . . . . . . . . . . . . . . . . . . . . . . . . 5,828 5,758 7,231 Loss before income taxes, equity in (earnings) losses and noncontrolling interests . (136) (122) (323) Income tax benefit . . . . . . . . . . . . . . . . . . . . . . . . . . . . . . . . . . . . . . . . . . . . . . . . . . . . . . (2) (15) (68) Equity in (earnings) losses of unconsolidated entities . . . . . . . . . . . . . . . . . . . . . . . . . . . (7) (9) 28 Net loss . . . . . . . . . . . . . . . . . . . . . . . . . . . . . . . . . . . . . . . . . . . . . . . . . . . . . . . . . . . . . . . (127) (98) (283) Less: Net (income) loss attributable to noncontrolling interests . . . . . . . . . . . . . . . . . . . (1) 1 (4) Net loss attributable to Anywhere and Anywhere Group . . . . . . . . . . . . . . . . . . . . . $ (128) $ (97) $ (287) Loss per share attributable to Anywhere shareholders: Basic loss per share . . . . . . . . . . . . . . . . . . . . . . . . . . . . . . . . . . . . . . . . . . . . . . . . . . . $ (1.15) $ (0.88) $ (2.52) Diluted loss per share . . . . . . . . . . . . . . . . . . . . . . . . . . . . . . . . . . . . . . . . . . . . . . . . . . $ (1.15) $ (0.88) $ (2.52) Weighted average common and common equivalent shares of Anywhere outstanding: Basic . . . . . . . . . . . . . . . . . . . . . . . . . . . . . . . . . . . . . . . . . . . . . . . . . . . . . . . . . . . . . . . 111.1 110.3 113.8 Diluted . . . . . . . . . . . . . . . . . . . . . . . . . . . . . . . . . . . . . . . . . . . . . . . . . . . . . . . . . . . . . 111.1 110.3 113.8 See Notes to Consolidated Financial Statements. F-4


 
ANYWHERE REAL ESTATE INC. CONSOLIDATED STATEMENTS OF COMPREHENSIVE LOSS (In millions Year Ended December 31, 2024 2023 2022 Net loss . . . . . . . . . . . . . . . . . . . . . . . . . . . . . . . . . . . . . . . . . . . . . . . . . . . . . . . . . . . . . . $ (127) $ (98) $ (283) Currency translation adjustment . . . . . . . . . . . . . . . . . . . . . . . . . . . . . . . . . . . . . . . . . . . (1) — — Defined Benefit Plans: Actuarial gain for the plans . . . . . . . . . . . . . . . . . . . . . . . . . . . . . . . . . . . . . . . . . . . 3 2 1 Less: amortization of actuarial gain (loss) to periodic pension cost . . . . . . . . . . . . (2) (3) (2) Defined benefit plans . . . . . . . . . . . . . . . . . . . . . . . . . . . . . . . . . . . . . . . . . . . . . 5 5 3 Other comprehensive income, before tax . . . . . . . . . . . . . . . . . . . . . . . . . . . . . . . . . . . . 4 5 3 Income tax expense related to items of other comprehensive income . . . . . . . . . . . . . . 2 1 1 Other comprehensive income, net of tax . . . . . . . . . . . . . . . . . . . . . . . . . . . . . . . . . . 2 4 2 Comprehensive loss . . . . . . . . . . . . . . . . . . . . . . . . . . . . . . . . . . . . . . . . . . . . . . . . . . . (125) (94) (281) Less: comprehensive (income) loss attributable to noncontrolling interests . . . . . . . . . (1) 1 (4) Comprehensive loss attributable to Anywhere and Anywhere Group . . . . . . . . . . $ (126) $ (93) $ (285) See Notes to Consolidated Financial Statements. F-5 ANYWHERE REAL ESTATE INC. CONSOLIDATED BALANCE SHEETS (In millions, except share data) December 31, 2024 2023 ASSETS Current assets: Cash and cash equivalents . . . . . . . . . . . . . . . . . . . . . . . . . . . . . . . . . . . . . . . . . . . . . . . . . . . . $ 118 $ 106 Restricted cash . . . . . . . . . . . . . . . . . . . . . . . . . . . . . . . . . . . . . . . . . . . . . . . . . . . . . . . . . . . . . 6 13 Trade receivables (net of allowance for doubtful accounts of $17 and $18) . . . . . . . . . . . . . . 101 105 Relocation receivables . . . . . . . . . . . . . . . . . . . . . . . . . . . . . . . . . . . . . . . . . . . . . . . . . . . . . . . 150 138 Other current assets . . . . . . . . . . . . . . . . . . . . . . . . . . . . . . . . . . . . . . . . . . . . . . . . . . . . . . . . . 206 218 Total current assets . . . . . . . . . . . . . . . . . . . . . . . . . . . . . . . . . . . . . . . . . . . . . . . . . . . . . . 581 580 Property and equipment, net . . . . . . . . . . . . . . . . . . . . . . . . . . . . . . . . . . . . . . . . . . . . . . . . . . . . . . 247 280 Operating lease assets, net . . . . . . . . . . . . . . . . . . . . . . . . . . . . . . . . . . . . . . . . . . . . . . . . . . . . . . . . 331 380 Goodwill . . . . . . . . . . . . . . . . . . . . . . . . . . . . . . . . . . . . . . . . . . . . . . . . . . . . . . . . . . . . . . . . . . . . . 2,499 2,499 Trademarks . . . . . . . . . . . . . . . . . . . . . . . . . . . . . . . . . . . . . . . . . . . . . . . . . . . . . . . . . . . . . . . . . . . 584 586 Franchise agreements, net . . . . . . . . . . . . . . . . . . . . . . . . . . . . . . . . . . . . . . . . . . . . . . . . . . . . . . . . 821 887 Other intangibles, net . . . . . . . . . . . . . . . . . . . . . . . . . . . . . . . . . . . . . . . . . . . . . . . . . . . . . . . . . . . 106 127 Other non-current assets . . . . . . . . . . . . . . . . . . . . . . . . . . . . . . . . . . . . . . . . . . . . . . . . . . . . . . . . . 467 500 Total assets . . . . . . . . . . . . . . . . . . . . . . . . . . . . . . . . . . . . . . . . . . . . . . . . . . . . . . . . . . . . . . . . . . . $ 5,636 $ 5,839 LIABILITIES AND EQUITY Current liabilities: Accounts payable . . . . . . . . . . . . . . . . . . . . . . . . . . . . . . . . . . . . . . . . . . . . . . . . . . . . . . . . . . . $ 101 $ 99 Securitization obligations . . . . . . . . . . . . . . . . . . . . . . . . . . . . . . . . . . . . . . . . . . . . . . . . . . . . . 140 115 Current portion of long-term debt . . . . . . . . . . . . . . . . . . . . . . . . . . . . . . . . . . . . . . . . . . . . . . 490 307 Current portion of operating lease liabilities . . . . . . . . . . . . . . . . . . . . . . . . . . . . . . . . . . . . . . 105 113 Accrued expenses and other current liabilities . . . . . . . . . . . . . . . . . . . . . . . . . . . . . . . . . . . . 553 573 Total current liabilities . . . . . . . . . . . . . . . . . . . . . . . . . . . . . . . . . . . . . . . . . . . . . . . . . . . 1,389 1,207 Long-term debt . . . . . . . . . . . . . . . . . . . . . . . . . . . . . . . . . . . . . . . . . . . . . . . . . . . . . . . . . . . . . . . . 2,031 2,235 Long-term operating lease liabilities . . . . . . . . . . . . . . . . . . . . . . . . . . . . . . . . . . . . . . . . . . . . . . . . 284 333 Deferred income taxes . . . . . . . . . . . . . . . . . . . . . . . . . . . . . . . . . . . . . . . . . . . . . . . . . . . . . . . . . . . 207 207 Other non-current liabilities . . . . . . . . . . . . . . . . . . . . . . . . . . . . . . . . . . . . . . . . . . . . . . . . . . . . . . 155 176 Total liabilities . . . . . . . . . . . . . . . . . . . . . . . . . . . . . . . . . . . . . . . . . . . . . . . . . . . . . . . . . . . . . . . . 4,066 4,158 Commitments and contingencies (Note 15) Equity: Anywhere preferred stock: $0.01 par value; 50,000,000 shares authorized, none issued and outstanding at December 31, 2024 and December 31, 2023 . . . . . . . . . . . . . . . . . . . . . . . . — — Anywhere common stock: $0.01 par value; 400,000,000 shares authorized, 111,261,825 shares issued and outstanding at December 31, 2024 and 110,488,093 shares issued and outstanding at December 31, 2023 . . . . . . . . . . . . . . . . . . . . . . . . . . . . . . . . . . . . . . . . . . . . 1 1 Additional paid-in capital . . . . . . . . . . . . . . . . . . . . . . . . . . . . . . . . . . . . . . . . . . . . . . . . . . . . 4,827 4,813 Accumulated deficit . . . . . . . . . . . . . . . . . . . . . . . . . . . . . . . . . . . . . . . . . . . . . . . . . . . . . . . . . (3,219) (3,091) Accumulated other comprehensive loss . . . . . . . . . . . . . . . . . . . . . . . . . . . . . . . . . . . . . . . . . . (42) (44) Total stockholders' equity . . . . . . . . . . . . . . . . . . . . . . . . . . . . . . . . . . . . . . . . . . . . . . . . . 1,567 1,679 Noncontrolling interests . . . . . . . . . . . . . . . . . . . . . . . . . . . . . . . . . . . . . . . . . . . . . . . . . . . . . . 3 2 Total equity . . . . . . . . . . . . . . . . . . . . . . . . . . . . . . . . . . . . . . . . . . . . . . . . . . . . . . . . . . . . . . . . . . 1,570 1,681 Total liabilities and equity . . . . . . . . . . . . . . . . . . . . . . . . . . . . . . . . . . . . . . . . . . . . . . . . . . . . . . $ 5,636 $ 5,839 See Notes to Consolidated Financial Statements. F-6 ANYWHERE REAL ESTATE INC. CONSOLIDATED STATEMENTS OF CASH FLOWS (In millions Operating Activities Net loss . . . . . . . . . . . . . . . . . . . . . . . . . . . . . . . . . . . . . . . . . . . . . . . . . . . . . . . . . . . . . . . . . $ (127) $ (98) $ (283) Adjustments to reconcile net loss to net cash provided by (used in) operating activities: Depreciation and amortization . . . . . . . . . . . . . . . . . . . . . . . . . . . . . . . . . . . . . . . . . . . . . 198 196 214 Deferred income taxes . . . . . . . . . . . . . . . . . . . . . . . . . . . . . . . . . . . . . . . . . . . . . . . . . . . (2) (33) (96) Impairments . . . . . . . . . . . . . . . . . . . . . . . . . . . . . . . . . . . . . . . . . . . . . . . . . . . . . . . . . . . 20 65 483 Amortization of deferred financing costs and debt premium . . . . . . . . . . . . . . . . . . . . . 8 8 9 (Gain) loss on the early extinguishment of debt . . . . . . . . . . . . . . . . . . . . . . . . . . . . . . . (7) (169) 96 Loss (gain) on the sale of businesses, investments or other assets, net . . . . . . . . . . . . . . 3 2 (135) Equity in (earnings) losses of unconsolidated entities . . . . . . . . . . . . . . . . . . . . . . . . . . . (7) (9) 28 Stock-based compensation . . . . . . . . . . . . . . . . . . . . . . . . . . . . . . . . . . . . . . . . . . . . . . . . 17 12 22 Mark-to-market adjustments on derivatives . . . . . . . . . . . . . . . . . . . . . . . . . . . . . . . . . . — — (40) Other adjustments to net loss . . . . . . . . . . . . . . . . . . . . . . . . . . . . . . . . . . . . . . . . . . . . . . (2) (6) (7) Net change in assets and liabilities, excluding the impact of acquisitions and dispositions: Trade receivables . . . . . . . . . . . . . . . . . . . . . . . . . . . . . . . . . . . . . . . . . . . . . . . . . . . 4 97 (55) Relocation receivables . . . . . . . . . . . . . . . . . . . . . . . . . . . . . . . . . . . . . . . . . . . . . . . (12) 72 (96) Other assets . . . . . . . . . . . . . . . . . . . . . . . . . . . . . . . . . . . . . . . . . . . . . . . . . . . . . . . . 93 105 (13) Accounts payable, accrued expenses and other liabilities . . . . . . . . . . . . . . . . . . . . (65) (47) (195) Dividends received from unconsolidated entities . . . . . . . . . . . . . . . . . . . . . . . . . . . . . . . . 3 8 3 Other, net . . . . . . . . . . . . . . . . . . . . . . . . . . . . . . . . . . . . . . . . . . . . . . . . . . . . . . . . . . . . . . . (20) (16) (27) Net cash provided by (used in) operating activities . . . . . . . . . . . . . . . . . . . . . . . . . . . . . 104 187 (92) Investing Activities Property and equipment additions . . . . . . . . . . . . . . . . . . . . . . . . . . . . . . . . . . . . . . . . . . . . (78) (72) (109) Payments for acquisitions, net of cash acquired . . . . . . . . . . . . . . . . . . . . . . . . . . . . . . . . . . — (1) (17) Net proceeds from the sale of businesses . . . . . . . . . . . . . . . . . . . . . . . . . . . . . . . . . . . . . . . — 8 63 Investment in unconsolidated entities . . . . . . . . . . . . . . . . . . . . . . . . . . . . . . . . . . . . . . . . . — (1) (22) Proceeds from the sale of investments in unconsolidated entities . . . . . . . . . . . . . . . . . . . . — 6 13 Other, net . . . . . . . . . . . . . . . . . . . . . . . . . . . . . . . . . . . . . . . . . . . . . . . . . . . . . . . . . . . . . . . 1 1 17 Net cash used in investing activities . . . . . . . . . . . . . . . . . . . . . . . . . . . . . . . . . . . . . . . . . (77) (59) (55) Year Ended December 31, 2024 2023 2022 See Notes to Consolidated Financial Statements. F-7 Financing Activities Net change in Revolving Credit Facility . . . . . . . . . . . . . . . . . . . . . . . . . . . . . . . . . . . . . . . 205 (65) 350 Repayment of Term Loan A Facility . . . . . . . . . . . . . . . . . . . . . . . . . . . . . . . . . . . . . . . . . . (194) — — Proceeds from issuance of Senior Secured Second Lien Notes . . . . . . . . . . . . . . . . . . . . . . — 640 — Proceeds from issuance of Senior Notes . . . . . . . . . . . . . . . . . . . . . . . . . . . . . . . . . . . . . . . — — 1,000 Redemption of Senior Secured Second Lien Notes . . . . . . . . . . . . . . . . . . . . . . . . . . . . . . . — — (550) Repurchases and redemption of Senior Notes . . . . . . . . . . . . . . . . . . . . . . . . . . . . . . . . . . . (19) (688) (956) Amortization payments on term loan facilities . . . . . . . . . . . . . . . . . . . . . . . . . . . . . . . . . . (12) (16) (10) Net change in securitization obligations . . . . . . . . . . . . . . . . . . . . . . . . . . . . . . . . . . . . . . . 25 (48) 44 Debt issuance costs . . . . . . . . . . . . . . . . . . . . . . . . . . . . . . . . . . . . . . . . . . . . . . . . . . . . . . . . — (13) (22) Cash paid for fees associated with early extinguishment of debt . . . . . . . . . . . . . . . . . . . . . — (2) (83) Repurchase of common stock . . . . . . . . . . . . . . . . . . . . . . . . . . . . . . . . . . . . . . . . . . . . . . . . — — (97) Taxes paid related to net share settlement for stock-based compensation . . . . . . . . . . . . . . (3) (4) (16) Other, net . . . . . . . . . . . . . . . . . . . . . . . . . . . . . . . . . . . . . . . . . . . . . . . . . . . . . . . . . . . . . . . (23) (31) (36) Net cash used in financing activities . . . . . . . . . . . . . . . . . . . . . . . . . . . . . . . . . . . . . . . . . (21) (227) (376) Effect of changes in exchange rates on cash, cash equivalents and restricted cash . . . . . . . (1) — (2) Net increase (decrease) in cash, cash equivalents and restricted cash . . . . . . . . . . . . . . . . . 5 (99) (525) Cash, cash equivalents and restricted cash, beginning of period . . . . . . . . . . . . . . . . . . . . . 119 218 743 Cash, cash equivalents and restricted cash, end of period . . . . . . . . . . . . . . . . . . . . . . . $ 124 $ 119 $ 218 Supplemental Disclosure of Cash Flow Information Interest payments (including securitization interest of $10, $12 and $7 respectively) . . . . $ 158 $ 168 $ 164 Income tax payments, net . . . . . . . . . . . . . . . . . . . . . . . . . . . . . . . . . . . . . . . . . . . . . . . . . . . 1 14 62 Year Ended December 31, 2024 2023 2022 See Notes to Consolidated Financial Statements. F-8


 
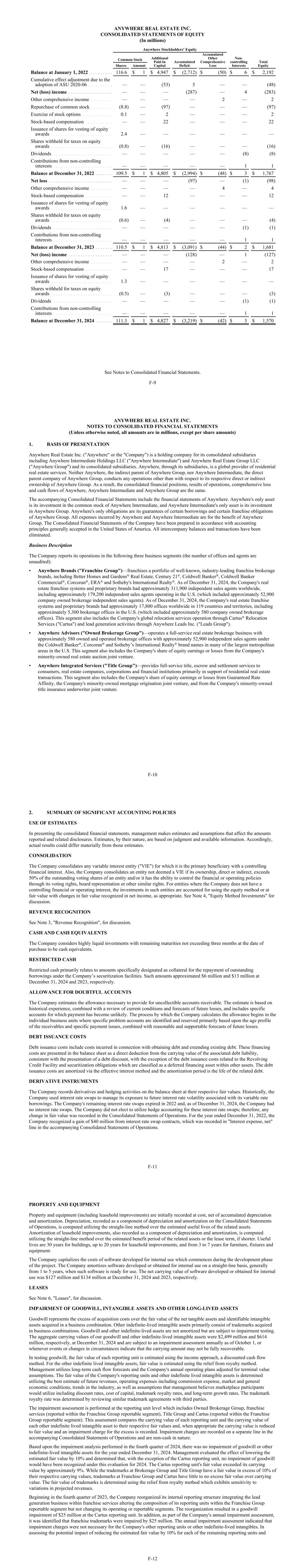
ANYWHERE REAL ESTATE INC. CONSOLIDATED STATEMENTS OF EQUITY (In millions) Anywhere Stockholders' Equity Common Stock Additional Paid-In Capital Accumulated Deficit Accumulated Other Comprehensive Loss Non- controlling Interests Total EquityShares Amount Balance at January 1, 2022 . . . . . . . . . 116.6 $ 1 $ 4,947 $ (2,712) $ (50) $ 6 $ 2,192 Cumulative effect adjustment due to the adoption of ASU 2020-06 . . . . . . . . . . — — (53) 5 — — (48) Net (loss) income . . . . . . . . . . . . . . . . . . — — — (287) — 4 (283) Other comprehensive income . . . . . . . . . — — — — 2 — 2 Repurchase of common stock . . . . . . . . . (8.8) — (97) — — — (97) Exercise of stock options . . . . . . . . . . . . 0.1 — 2 — — — 2 Stock-based compensation . . . . . . . . . . . — — 22 — — — 22 Issuance of shares for vesting of equity awards . . . . . . . . . . . . . . . . . . . . . . . . . 2.4 — — — — — — Shares withheld for taxes on equity awards . . . . . . . . . . . . . . . . . . . . . . . . . (0.8) — (16) — — — (16) Dividends . . . . . . . . . . . . . . . . . . . . . . . . — — — — — (8) (8) Contributions from non-controlling interests . . . . . . . . . . . . . . . . . . . . . . . . — — — — — 1 1 Balance at December 31, 2022 . . . . . . . 109.5 $ 1 $ 4,805 $ (2,994) $ (48) $ 3 $ 1,767 Net loss . . . . . . . . . . . . . . . . . . . . . . . . . . — — — (97) — (1) (98) Other comprehensive income . . . . . . . . . — — — — 4 — 4 Stock-based compensation . . . . . . . . . . . — — 12 — — — 12 Issuance of shares for vesting of equity awards . . . . . . . . . . . . . . . . . . . . . . . . . 1.6 — — — — — — Shares withheld for taxes on equity awards . . . . . . . . . . . . . . . . . . . . . . . . . (0.6) — (4) — — — (4) Dividends . . . . . . . . . . . . . . . . . . . . . . . . — — — — — (1) (1) Contributions from non-controlling interests . . . . . . . . . . . . . . . . . . . . . . . . — — — — — 1 1 Balance at December 31, 2023 . . . . . . . 110.5 $ 1 $ 4,813 $ (3,091) $ (44) $ 2 $ 1,681 Net (loss) income . . . . . . . . . . . . . . . . . . — — — (128) — 1 (127) Other comprehensive income . . . . . . . . . — — — — 2 — 2 Stock-based compensation . . . . . . . . . . . — — 17 — — — 17 Issuance of shares for vesting of equity awards . . . . . . . . . . . . . . . . . . . . . . . . . 1.3 — — — — — — Shares withheld for taxes on equity awards . . . . . . . . . . . . . . . . . . . . . . . . . (0.5) — (3) — — — (3) Dividends . . . . . . . . . . . . . . . . . . . . . . . . — — — — — (1) (1) Contributions from non-controlling interests . . . . . . . . . . . . . . . . . . . . . . . . — — — — — 1 1 Balance at December 31, 2024 . . . . . . . 111.3 $ 1 $ 4,827 $ (3,219) $ (42) $ 3 $ 1,570 See Notes to Consolidated Financial Statements. F-9 ANYWHERE REAL ESTATE INC. NOTES TO CONSOLIDATED FINANCIAL STATEMENTS (Unless otherwise noted, all amounts are in millions, except per share amounts) 1. BASIS OF PRESENTATION Anywhere Real Estate Inc. ("Anywhere" or the "Company") is a holding company for its consolidated subsidiaries including Anywhere Intermediate Holdings LLC ("Anywhere Intermediate") and Anywhere Real Estate Group LLC ("Anywhere Group") and its consolidated subsidiaries. Anywhere, through its subsidiaries, is a global provider of residential real estate services. Neither Anywhere, the indirect parent of Anywhere Group, nor Anywhere Intermediate, the direct parent company of Anywhere Group, conducts any operations other than with respect to its respective direct or indirect ownership of Anywhere Group. As a result, the consolidated financial positions, results of operations, comprehensive loss and cash flows of Anywhere, Anywhere Intermediate and Anywhere Group are the same. The accompanying Consolidated Financial Statements include the financial statements of Anywhere. Anywhere's only asset is its investment in the common stock of Anywhere Intermediate, and Anywhere Intermediate's only asset is its investment in Anywhere Group. Anywhere's only obligations are its guarantees of certain borrowings and certain franchise obligations of Anywhere Group. All expenses incurred by Anywhere and Anywhere Intermediate are for the benefit of Anywhere Group. The Consolidated Financial Statements of the Company have been prepared in accordance with accounting principles generally accepted in the United States of America. All intercompany balances and transactions have been eliminated. Business Description The Company reports its operations in the following three business segments (the number of offices and agents are unaudited): • Anywhere Brands ("Franchise Group")—franchises a portfolio of well-known, industry-leading franchise brokerage brands, including Better Homes and Gardens® Real Estate, Century 21®, Coldwell Banker®, Coldwell Banker Commercial®, Corcoran®, ERA® and Sotheby's International Realty®. As of December 31, 2024, the Company's real estate franchise systems and proprietary brands had approximately 311,900 independent sales agents worldwide, including approximately 179,200 independent sales agents operating in the U.S. (which included approximately 52,900 company owned brokerage independent sales agents). As of December 31, 2024, the Company's real estate franchise systems and proprietary brands had approximately 17,800 offices worldwide in 119 countries and territories, including approximately 5,300 brokerage offices in the U.S. (which included approximately 580 company owned brokerage offices). This segment also includes the Company's global relocation services operation through Cartus® Relocation Services ("Cartus") and lead generation activities through Anywhere Leads Inc. ("Leads Group"). • Anywhere Advisors ("Owned Brokerage Group")—operates a full-service real estate brokerage business with approximately 580 owned and operated brokerage offices with approximately 52,900 independent sales agents under the Coldwell Banker®, Corcoran® and Sotheby’s International Realty® brand names in many of the largest metropolitan areas in the U.S. This segment also includes the Company's share of equity earnings or losses from the Company's minority-owned real estate auction joint venture. • Anywhere Integrated Services ("Title Group")—provides full-service title, escrow and settlement services to consumers, real estate companies, corporations and financial institutions primarily in support of residential real estate transactions. This segment also includes the Company's share of equity earnings or losses from Guaranteed Rate Affinity, the Company's minority-owned mortgage origination joint venture, and from the Company's minority-owned title insurance underwriter joint venture. F-10 2. SUMMARY OF SIGNIFICANT ACCOUNTING POLICIES USE OF ESTIMATES In presenting the consolidated financial statements, management makes estimates and assumptions that affect the amounts reported and related disclosures. Estimates, by their nature, are based on judgment and available information. Accordingly, actual results could differ materially from those estimates. CONSOLIDATION The Company consolidates any variable interest entity ("VIE") for which it is the primary beneficiary with a controlling financial interest. Also, the Company consolidates an entity not deemed a VIE if its ownership, direct or indirect, exceeds 50% of the outstanding voting shares of an entity and/or it has the ability to control the financial or operating policies through its voting rights, board representation or other similar rights. For entities where the Company does not have a controlling financial or operating interest, the investments in such entities are accounted for using the equity method or at fair value with changes in fair value recognized in net income, as appropriate. See Note 4, "Equity Method Investments" for discussion. REVENUE RECOGNITION See Note 3, "Revenue Recognition", for discussion. CASH AND CASH EQUIVALENTS The Company considers highly liquid investments with remaining maturities not exceeding three months at the date of purchase to be cash equivalents. RESTRICTED CASH Restricted cash primarily relates to amounts specifically designated as collateral for the repayment of outstanding borrowings under the Company’s securitization facilities. Such amounts approximated $6 million and $13 million at December 31, 2024 and 2023, respectively. ALLOWANCE FOR DOUBTFUL ACCOUNTS The Company estimates the allowance necessary to provide for uncollectible accounts receivable. The estimate is based on historical experience, combined with a review of current conditions and forecasts of future losses, and includes specific accounts for which payment has become unlikely. The process by which the Company calculates the allowance begins in the individual business units where specific problem accounts are identified and reserved primarily based upon the age profile of the receivables and specific payment issues, combined with reasonable and supportable forecasts of future losses. DEBT ISSUANCE COSTS Debt issuance costs include costs incurred in connection with obtaining debt and extending existing debt. These financing costs are presented in the balance sheet as a direct deduction from the carrying value of the associated debt liability, consistent with the presentation of a debt discount, with the exception of the debt issuance costs related to the Revolving Credit Facility and securitization obligations which are classified as a deferred financing asset within other assets. The debt issuance costs are amortized via the effective interest method and the amortization period is the life of the related debt. DERIVATIVE INSTRUMENTS The Company records derivatives and hedging activities on the balance sheet at their respective fair values. Historically, the Company used interest rate swaps to manage its exposure to future interest rate volatility associated with its variable rate borrowings. The Company's remaining interest rate swaps expired in 2022 and, as of December 31, 2024, the Company had no interest rate swaps. The Company did not elect to utilize hedge accounting for these interest rate swaps; therefore, any change in fair value was recorded in the Consolidated Statements of Operations. For the year ended December 31, 2022, the Company recognized a gain of $40 million from interest rate swap contracts, which was recorded in "Interest expense, net" line in the accompanying Consolidated Statements of Operations. F-11 PROPERTY AND EQUIPMENT Property and equipment (including leasehold improvements) are initially recorded at cost, net of accumulated depreciation and amortization. Depreciation, recorded as a component of depreciation and amortization on the Consolidated Statements of Operations, is computed utilizing the straight-line method over the estimated useful lives of the related assets. Amortization of leasehold improvements, also recorded as a component of depreciation and amortization, is computed utilizing the straight-line method over the estimated benefit period of the related assets or the lease term, if shorter. Useful lives are 30 years for buildings, up to 20 years for leasehold improvements, and from 3 to 7 years for furniture, fixtures and equipment. The Company capitalizes the costs of software developed for internal use which commences during the development phase of the project. The Company amortizes software developed or obtained for internal use on a straight-line basis, generally from 1 to 5 years, when such software is ready for use. The net carrying value of software developed or obtained for internal use was $127 million and $134 million at December 31, 2024 and 2023, respectively. LEASES See Note 6, "Leases", for discussion. IMPAIRMENT OF GOODWILL, INTANGIBLE ASSETS AND OTHER LONG-LIVED ASSETS Goodwill represents the excess of acquisition costs over the fair value of the net tangible assets and identifiable intangible assets acquired in a business combination. Other indefinite-lived intangible assets primarily consist of trademarks acquired in business combinations. Goodwill and other indefinite-lived assets are not amortized but are subject to impairment testing. The aggregate carrying values of our goodwill and other indefinite-lived intangible assets were $2,499 million and $614 million, respectively, at December 31, 2024 and are subject to an impairment assessment annually as of October 1, or whenever events or changes in circumstances indicate that the carrying amount may not be fully recoverable. In testing goodwill, the fair value of each reporting unit is estimated using the income approach, a discounted cash flow method. For the other indefinite lived intangible assets, fair value is estimated using the relief from royalty method. Management utilizes long-term cash flow forecasts and the Company's annual operating plans adjusted for terminal value assumptions. The fair value of the Company's reporting units and other indefinite lived intangible assets is determined utilizing the best estimate of future revenues, operating expenses including commission expense, market and general economic conditions, trends in the industry, as well as assumptions that management believes marketplace participants would utilize including discount rates, cost of capital, trademark royalty rates, and long-term growth rates. The trademark royalty rate was determined by reviewing similar trademark agreements with third parties. The impairment assessment is performed at the reporting unit level which includes Owned Brokerage Group, franchise services (reported within the Franchise Group reportable segment), Title Group and Cartus (reported within the Franchise Group reportable segment). This assessment compares the carrying value of each reporting unit and the carrying value of each other indefinite lived intangible asset to their respective fair values and, when appropriate the carrying value is reduced to fair value and an impairment charge for the excess is recorded. Impairment charges are recorded on a separate line in the accompanying Consolidated Statements of Operations and are non-cash in nature. Based upon the impairment analysis performed in the fourth quarter of 2024, there was no impairment of goodwill or other indefinite-lived intangible assets for the year ended December 31, 2024. Management evaluated the effect of lowering the estimated fair value by 10% and determined that, with the exception of the Cartus reporting unit, no impairment of goodwill would have been recognized under this evaluation for 2024. The Cartus reporting unit's fair value exceeded its carrying value by approximately 9%. While the trademarks at Brokerage Group and Title Group have a fair value in excess of 10% of their respective carrying values, trademarks at Franchise Group and Cartus have little to no excess fair value over carrying value. The fair value of trademarks is determined using the relief from royalty method which exhibits sensitivity to variations in projected revenues. Beginning in the fourth quarter of 2023, the Company reorganized its internal reporting structure integrating the lead generation business within franchise services altering the composition of its reporting units within the Franchise Group reportable segment but not changing its operating or reportable segments. The reorganization resulted in a goodwill impairment of $25 million at the Cartus reporting unit. In addition, as part of the Company's annual impairment assessment, it was identified that franchise trademarks were impaired by $25 million. The annual impairment assessment indicated that impairment charges were not necessary for the Company's other reporting units or other indefinite-lived intangibles. In assessing the potential impact of reducing the estimated fair value by 10% for each of the remaining reporting units and F-12


 
other indefinite-lived intangible assets, management concluded that, excluding the Company's trademarks, no impairment of goodwill or indefinite-lived intangibles would have been recognized for 2023. For the remaining trademarks that were not impaired, which included trademarks at Title Group and Cartus, the fair value exceeded the carrying value by approximately 3%. The fair value of trademarks is determined using the relief from royalty method which exhibits sensitivity to variations in projected revenues. During the fourth quarter of 2022, the Company performed its annual impairment assessment of goodwill and other indefinite-lived intangible assets. The decline in transaction volume during 2022 largely due to rapidly rising mortgage rates, high inflation, reduced affordability, and broader macroeconomic concerns resulted in lower homesale transaction volume for the brokerage and franchise business and lower referral volume for the lead generation business. These market conditions as well as an increase in the weighted average cost of capital resulted in the recognition of an impairment of goodwill at the Owned Brokerage Group reporting unit of $280 million, an impairment of goodwill at the Franchise Group segment of $114 million related to the Cartus reporting unit and an impairment of franchise trademarks of $76 million. The results of the Company's annual impairment assessment indicated no other impairment charges were required for the other reporting units or other indefinite-lived intangibles. Management evaluated the effect of lowering the estimated fair value for each of the remaining reporting units and indefinite-lived intangible assets by 10% and determined that no impairment of goodwill or indefinite-lived intangibles would have been recognized under this evaluation for 2022 with the exception of the title trademark. The fair value of trademarks is determined using the relief from royalty method which is sensitive to fluctuations in projected revenues. The Company evaluates the recoverability of its other long-lived assets, including amortizable intangible assets, if circumstances indicate an impairment may have occurred. This assessment is performed by comparing the respective carrying values of the assets to the current and expected future cash flows, on an undiscounted basis, to be generated from such assets. If such assessment indicates that the carrying value of these assets is not recoverable, then the carrying value of such assets is reduced to fair value through a charge to the Company’s Consolidated Statements of Operations. ADVERTISING EXPENSES Advertising costs are generally expensed in the period incurred. Advertising expenses, recorded within the "Marketing" expense line item on the Company’s Consolidated Statements of Operations, were approximately $123 million, $140 million and $175 million for the years ended December 31, 2024, 2023 and 2022, respectively. INCOME TAXES The Company’s provision for income taxes is determined using the asset and liability method, under which deferred tax assets and liabilities are calculated based upon the differences between the financial statement and income tax bases of assets and liabilities using currently enacted tax rates. These differences are based upon estimated differences between the book and tax basis of the assets and liabilities for the Company. Certain tax assets and liabilities of the Company may be adjusted in connection with the finalization of income tax audits. The Company’s deferred tax assets are recorded net of a valuation allowance when, based on the weight of available evidence, it is more likely than not that all or some portion of the recorded deferred tax balances will not be realized in future periods. Decreases to the valuation allowance are recorded as reductions to the Company’s provision for income taxes and increases to the valuation allowance result in additional provision for income taxes. STOCK-BASED COMPENSATION The Company grants stock-based awards to certain senior management members, employees and directors including restricted stock units and performance share units. The fair value of each award is measured based on the closing price of the Company's common stock on the grant date for restricted stock units and performance share units, and is estimated using the Monte Carlo simulation method for awards with a market condition. Compensation expense is generally recognized over the requisite service period of the award. Compensation expense for awards with a performance condition is adjusted each period based upon a probability assessment of the expected outcome of the performance metric with a final adjustment made at the end of the performance period. Compensation expense for awards with a market condition is not adjusted based on achievement of the market condition. The Company recognizes forfeitures as they occur. F-13 RECENTLY ADOPTED ACCOUNTING PRONOUNCEMENTS During the fourth quarter of 2024, the Company adopted Accounting Standards Update 2023-07, "Segment Reporting (Topic 280): Improvements to Reportable Segment Disclosures" and updated its segment disclosures retrospectively. This standard did not alter the methodology employed by the Company in identifying its operating segments, aggregating those operating segments or applying the quantitative thresholds to determine its reportable segments. Instead, the new standard added required disclosures concerning significant segment expenses that are regularly provided to or easily computed from information regularly provided to the chief operating decision maker and included within the Company's reported measure of segment profit of loss, as well as certain other disclosures. The new standard also allows disclosure of multiple measures of segment profitability if those measures are used to allocate resources and assess performance by the chief operating decision maker. Furthermore, certain annual disclosures will be required on an interim basis. See Note 19, "Segment Information", for additional information related to the new disclosures. RECENTLY ISSUED ACCOUNTING PRONOUNCEMENTS The Company systematically reviews and evaluates the relevance and implications of all Accounting Standards Updates. While recently issued standards not expressly listed below were scrutinized, they were deemed either inapplicable or anticipated to have minimal impact on the Company's consolidated financial position or results of operations. The FASB issued ASU 2024-03, "Disaggregation of Income Statement Expenses" which aims to enhance the transparency and usefulness of financial statements by requiring public business entities to provide more detailed disclosures about their expenses. The final ASU mandates new tabular disclosures that break down specific natural expense categories within relevant income statement captions, as well as disclosures about selling expenses. These categories include purchases of inventory, employee compensation, depreciation, intangible asset amortization, and depletion. The new requirements are effective for annual financial statements of public business entities for fiscal years beginning after December 15, 2026, and interim periods beginning after December 15, 2027, with early adoption permitted. The Company is currently evaluating the impact of the new guidance on its financial statement disclosures. The FASB issued ASU 2023-09, "Income Taxes (Topic 740): Improvements to Income Tax Disclosures". This standard includes enhanced income tax disclosures primarily related to the effective tax rate reconciliation and income taxes paid for annual periods. The new standard is effective for annual financial statements of public business entities for fiscal years beginning after December 15, 2024, with early adoption permitted. The new guidance should be adopted on a prospective basis with retrospective application permitted. The Company is currently evaluating the impact of the new guidance on its financial statement disclosures. SEC Rule on Climate-Related Disclosures In March 2024, the SEC adopted final rules aimed at improving and streamlining climate-related disclosures for publicly traded companies and in public offerings. These regulations represent the SEC's response to investors' calls for more uniform, comparable, and trustworthy data regarding the financial implications of climate-related risks on a company's operations, as well as its strategies for managing such risks. The registrants will be required to provide disclosure, subject to existing audit requirements, regarding the effects of severe weather events and other natural conditions on the financial statements; financial information related to certain carbon offsets and renewable energy certificates; and material impacts on financial estimates and assumptions that are due to severe weather events and other natural conditions or disclosed climate- related targets or transition plans. Additional disclosure requirements will include: material direct and indirect (Scope 1 and Scope 2) greenhouse gas emissions; governance and oversight of material climate-related risks; the material impact of climate risks on the company’s strategy, results of operations and financial condition; risk management processes for material climate-related risks; and material climate targets and goals. The final rule was scheduled to become effective May 28, 2024, however, the SEC has voluntarily stayed the rule's effective date pending judicial review of consolidated challenges to those rules by the U.S. Court of Appeals for the Eighth Circuit. The SEC final rules follow on the heels of the California climate legislation that will require public and private companies that do business in California to disclose their greenhouse gas emissions and their climate-related financial risks. The Company continues to evaluate the impact of the new laws and regulations and monitor legal developments. F-14 3. REVENUE RECOGNITION Revenue is recognized upon the transfer of control of promised services to customers in an amount that reflects the consideration the Company expects to receive in exchange for those services in accordance with the revenue accounting standard. The Company's revenue is disaggregated by major revenue categories on our Consolidated Statements of Operations and further disaggregated by business segment as follows: Years Ended December 31, 2024 vs December 31,2023 Franchise Group Owned Brokerage Group Title Group Corporate and Other Total Company 2024 2023 2024 2023 2024 2023 2024 2023 2024 2023 Gross commission income (a) . $ — $ — $ 4,629 $ 4,570 $ — $ — $ — $ — $ 4,629 $ 4,570 Service revenue (b) . . . . . . . . . 204 223 24 21 346 325 — — 574 569 Franchise fees (c) . . . . . . . . . . . 660 652 — — — — (304) (301) 356 351 Other (d) . . . . . . . . . . . . . . . . . . 97 108 35 37 16 15 (15) (14) 133 146 Net revenues . . . . . . . . . . . . $ 961 $ 983 $ 4,688 $ 4,628 $ 362 $ 340 $ (319) $ (315) $ 5,692 $ 5,636 Years Ended December 31, 2023 vs December 31, 2022 Franchise Group Owned Brokerage Group Title Group Corporate and Other Total Company 2023 2022 2023 2022 2023 2022 2023 2022 2023 2022 Gross commission income (a) . $ — $ — $ 4,570 $ 5,538 $ — $ — $ — $ — $ 4,570 $ 5,538 Service revenue (b) . . . . . . . . . 223 260 21 22 325 511 — — 569 793 Franchise fees (c) . . . . . . . . . . . 652 775 — — — — (301) (358) 351 417 Other (d) . . . . . . . . . . . . . . . . . . 108 110 37 46 15 19 (14) (15) 146 160 Net revenues . . . . . . . . . . . . $ 983 $ 1,145 $ 4,628 $ 5,606 $ 340 $ 530 $ (315) $ (373) $ 5,636 $ 6,908 _______________ (a) Gross commission income at Owned Brokerage Group is recognized at a point in time at the closing of a homesale transaction. (b) Service revenue primarily consists of title and escrow fees at Title Group and are recognized at a point in time at the closing of a homesale transaction. Service revenue at Franchise Group includes relocation fees, which are recognized as revenue when or as the related performance obligation is satisfied dependent on the type of service performed, and fees related to leads and related services, which are recognized at a point in time at the closing of a homesale transaction or at the completion of the related service. (c) Franchise fees at Franchise Group primarily include domestic royalties which are recognized at a point in time when the underlying franchisee revenue is earned (upon close of the homesale transaction). (d) Other revenue is comprised of brand marketing funds received from franchisees at Franchise Group and other miscellaneous revenues across all of the business segments. The Company's revenue streams are discussed further below by business segment: Franchise Group Domestic Franchisees In the U.S., the Company employs a direct franchising model whereby it franchises its real estate brands to real estate brokerage businesses that are independently owned and operated. Franchise revenue principally consists of royalty and marketing fees from the Company’s franchisees. The royalty received is primarily based on a gross percentage of the franchisee’s gross commission income. Royalty fees are recorded as the underlying franchisee revenue is earned (upon close of the homesale transaction). Annual volume incentives given to certain franchisees on royalty fees are recorded as a reduction to revenue and are accrued for in relative proportion to the recognition of the underlying gross franchise revenue. Other sales incentives are generally recorded as a reduction to revenue ratably over the related performance period or from the date of issuance through the remaining life of the related franchise agreement. Franchise revenue also includes domestic initial franchise fees which are generally non-refundable and recognized by the Company as revenue upon the execution or opening of a new franchisee office to cover the upfront costs associated with opening the franchisee for business under one of Anywhere’s brands. The Company also earns marketing fees from its franchisees and utilizes such fees to fund marketing campaigns on behalf of its franchisees. As such, brand marketing fund fees are recorded as deferred revenue when received and recognized into revenue as earned when these funds are spent on marketing activities. The balance for deferred brand marketing fund fees decreased from $19 million at January 1, 2024 to $15 million at December 31, 2024 primarily due to amounts recognized into revenue matching expenses for marketing activities, offset by additional fees received from franchisees during the year ended December 31, 2024. F-15 International Franchisees The Company utilizes a direct franchising model outside of the U.S. for Sotheby's International Realty® and Corcoran® and, in some cases, Better Homes and Gardens® Real Estate. For all other brands, the Company generally employs a master franchise model outside of the U.S., whereby it contracts with a qualified third party to build a franchise network in the country or region in which franchising rights have been granted. Under both the direct and master franchise models outside of the U.S., the Company enters into long-term franchise agreements (generally 25 years in duration) and receives an initial area development fee ("ADF") and ongoing royalties. Ongoing royalties are generally a percentage of the royalties received by the master franchisor from its franchisees with which it contracts and are recorded once the funds are received by the master franchisor. Under the direct franchise model, a royalty fee is paid to the Company on transactions conducted by its franchisees in the applicable country or region. The ADFs that the Company collects are recorded as deferred revenue when received and are classified as current or non-current liabilities in the Consolidated Balance Sheets based on the expected timing of revenue recognition. ADFs are recognized into franchise revenue over the average 25 year life of the related franchise agreement as consideration for the right to access and benefit from Anywhere’s brands. In the event an ADF agreement is terminated prior to the end of its term, the unamortized deferred revenue balance will be recognized into revenue immediately upon termination. The balance for deferred ADFs decreased from $39 million at January 1, 2024 to $37 million at December 31, 2024 due to $4 million of revenues recognized during the year ended December 31, 2024 that were included in the deferred revenue balance at the beginning of the period, partially offset by $2 million of ADFs received during the year ended December 31, 2024. In addition, the Company recognizes a deferred asset for commissions paid to Anywhere franchise sales employees upon the sale of a new franchise as these are considered costs of obtaining a contract with a customer that are expected to provide benefits to the Company for longer than one year. The Company classifies prepaid commissions as current or non-current assets in the Consolidated Balance Sheets based on the expected timing of expense recognition. The amount of commissions is calculated as a percentage of the anticipated gross commission income of the new franchisee or ADF and is amortized over 30 years for domestic franchise agreements or the agreement term for international franchise agreements (generally 25 years). The amount of prepaid commissions was $28 million and $29 million at December 31, 2024 and 2023, respectively. Franchise Other Through Cartus, the Company offers a broad range of employee relocation services to clients designed to manage all aspects of transferring their employees ("transferees") and provides value through the generation of leads to real estate agent and brokerage participants. These services include, but are not limited to, homesale assistance, relocation policy counseling and group move management services, consulting services, expense processing and relocation-related accounting, compensation support and compliance, and visa and immigration support. The Company also arranges household goods moving services and provides support for all aspects of moving a transferee's household goods. There are a number of different revenue streams associated with relocation services including fees earned from real estate brokers and household goods moving companies that provide services to the transferee which are recognized at a point in time at the completion of services. The Company earns revenues from outsourcing management fees charged to clients that may cover several of the relocation services listed above, according to the clients' specific needs. Outsourcing management fees are recorded as deferred revenue when billed (usually at the start of the relocation) and are recognized as revenue over the average time period required to complete the transferee's move, or a phase of the move that the fee covers, which is typically 3 to 6 months depending on the move type. The balance for deferred outsourcing management fees remained flat at $3 million at January 1, 2024 and December 31, 2024 due to a $38 million increase primarily related to additions for management fees billed on new relocation files in advance of the Company satisfying its performance obligation, offset by $38 million of revenues recognized during the year as performance obligations were satisfied. Through the Leads Group, the Company provides high-quality leads to independent sales agents, through real estate benefit programs that provide home-buying and selling assistance to customers of lenders, organizations such as credit unions and interest groups that have established members who are buying or selling a home as well as to consumers and corporations who have expressed interest in a certain brand, product or service (such as relocation services), including those offered by Anywhere. Owned Brokerage Group As an owner-operator of real estate brokerages, the Company assists home buyers and sellers in listing, marketing, selling and finding homes. Real estate commissions earned by the Company’s real estate brokerage business are recorded as revenue at a point in time which is upon the closing of a real estate transaction (i.e., purchase or sale of a home). These revenues are referred to as gross commission income. The commissions the Company pays to real estate agents are F-16


 
recognized concurrently with associated revenues and presented as the "Commission and other agent-related costs" line item on the accompanying Consolidated Statements of Operations. The Company has relationships with developers in select major cities (in particular, New York City) to provide marketing and brokerage services in new developments. New development closings generally have a development period of between 18 and 24 months from contracted date to closing. In some cases, the Company receives advanced commissions which are recorded as deferred revenue when received and recognized as revenue when units within the new development close. The balance of advanced commissions related to developments decreased from $12 million at January 1, 2024 to $11 million at December 31, 2024 due to a $7 million decrease as a result of revenues recognized on units closed, offset by a $6 million increase related to additional commissions received for new developments. Title Group The Company provides title, escrow and settlement services to consumers, real estate companies, corporations and financial institutions with many of these services provided in connection with the Company's real estate brokerage and relocation services businesses. These services relate to the closing of home purchases and refinancing of home loans and therefore, title revenues and title and closing service fees are recorded at a point in time which occurs at the time a homesale transaction or refinancing closes. Deferred Revenue The following table shows the total change in the Company's contract liabilities related to revenue contracts by reportable segment (as discussed in detail above) for the year ended December 31, 2024: Year Ended December 31, 2024 Beginning Balance at January 1, 2024 Additions during the period Recognized as Revenue during the period Ending Balance at December 31, 2024 Franchise Group (a) . . . . . . . . . . . . $ 69 $ 138 $ (147) $ 60 Owned Brokerage Group . . . . . . . . . 15 9 (12) 12 Total . . . . . . . . . . . . . . . . . . . . . . $ 84 $ 147 $ (159) $ 72 _______________ (a) Revenues recognized include intercompany marketing fees paid by Owned Brokerage Group. The majority of the Company's contracts are transactional in nature or have a duration of one-year or less. Accordingly, the Company does not disclose the value of unsatisfied performance obligations for contracts with an original expected length of one year or less. 4. EQUITY METHOD INVESTMENTS The Company applies the equity method of accounting for investments in ventures when it possesses significant influence over operational and financial decisions but lacks controlling interests. The Company records its proportionate share of net earnings or losses from these equity method investments under the "Equity in (earnings) losses of unconsolidated entities" line in the Consolidated Statements of Operations. Investments not subject to the equity method are valued at fair market value with adjustments recognized in net income. If the fair value is not readily determinable, these investments are measured at cost minus impairment (if any), plus or minus changes reflecting observable price changes in orderly transactions for an identical or similar investment. The Company has various equity method investments classified within other non-current assets on the Consolidated Balance Sheets. Although the Company holds certain governance rights, it lacks controlling financial or operational interests in these investments. Equity earnings or losses attributable to these investments are included in the financial results of the Title Group and Owned Brokerage Group reportable segments. The Company's equity method investment balances at December 31, 2024 and 2023 were as follows: December 31, 2024 2023 Guaranteed Rate Affinity (a) . . . . . . . . . . . . . . . . . . . . . . . . . . . . . . . . . . . . . . . . . . . . $ 65 $ 67 Title Insurance Underwriter Joint Venture (b) . . . . . . . . . . . . . . . . . . . . . . . . . . . . . . . 73 74 Other equity method investments (c) . . . . . . . . . . . . . . . . . . . . . . . . . . . . . . . . . . . . . . 44 37 Total equity method investments . . . . . . . . . . . . . . . . . . . . . . . . . . . . . . . . . . . . . . . $ 182 $ 178 F-17 _______________ (a) Represents the Company's 49.9% minority-owned mortgage origination joint venture with Guaranteed Rate, Inc at Title Group which originates and markets its mortgage lending services to the Company's real estate brokerage as well as other real estate brokerage companies across the country. (b) Represents the Company's 22% equity interest in the Title Insurance Underwriter Joint Venture at Title Group (see below under the header "Title Insurance Underwriter Joint Venture" for further discussion). (c) Includes the Company's various other equity method investments at Title Group and Brokerage Group, including the Company's 50% owned unconsolidated real estate auction joint venture with Sotheby's which holds an 80% ownership stake in Sotheby's Concierge Auctions. The Company received $3 million in cash dividends related to these investments during the year ended December 31, 2024. The Company recorded equity in (earnings) losses from its equity method investments as follows: Year Ended December 31, 2024 2023 2022 Guaranteed Rate Affinity . . . . . . . . . . . . . . . . . . . . . . . . . . . . . . . . . . . . . . . . . . . . . . $ 2 $ — $ 22 Title Insurance Underwriter Joint Venture . . . . . . . . . . . . . . . . . . . . . . . . . . . . . . . . 1 (4) (6) Other equity method investments . . . . . . . . . . . . . . . . . . . . . . . . . . . . . . . . . . . . . . . . (10) (5) 12 Equity in (earnings) losses of unconsolidated entities . . . . . . . . . . . . . . . . . . . . . . $ (7) $ (9) $ 28 Title Insurance Underwriter Joint Venture In 2022, the Company sold its title insurance underwriter, Title Resources Guaranty Company, for $210 million and a 30% equity interest in a joint venture that owns the title insurance underwriter (the "Title Insurance Underwriter Joint Venture"). The sale resulted in a net gain of $131 million recorded in the Other income, net line on the Consolidated Statements of Operations. During the second quarter of 2022, the Company sold a portion of its interest in the Title Insurance Underwriter Joint Venture, reducing its equity interest from 30% to 26% and resulting in a gain of $4 million. In 2023, the Company sold another portion, further reducing its equity interest from 26% to 25% and resulting in a gain of $1 million. In 2024, the Company's equity interest was further diluted to 22%. During the fourth quarter of 2024, the Company entered into a binding term sheet with a subsidiary of the Title Insurance Underwriter Joint Venture related to the sale of 10% of the preferred equity in entities containing the assets of certain of the Company's title and escrow entities for $18.8 million, with a right to purchase 100% of those entities at the same valuation used for the initial purchase. The transaction includes customary minority protections, is contingent on certain conditions, and remains subject to termination provisions outlined in the term sheet. 5. PROPERTY AND EQUIPMENT, NET Property and equipment, net consisted of: December 31, 2024 2023 Furniture, fixtures and equipment . . . . . . . . . . . . . . . . . . . . . . . . . . . . . . . . . . . . . . . . . . . . . . $ 87 $ 146 Capitalized software . . . . . . . . . . . . . . . . . . . . . . . . . . . . . . . . . . . . . . . . . . . . . . . . . . . . . . . . . 488 530 Finance lease assets . . . . . . . . . . . . . . . . . . . . . . . . . . . . . . . . . . . . . . . . . . . . . . . . . . . . . . . . . 72 81 Building and leasehold improvements . . . . . . . . . . . . . . . . . . . . . . . . . . . . . . . . . . . . . . . . . . . 268 285 Land . . . . . . . . . . . . . . . . . . . . . . . . . . . . . . . . . . . . . . . . . . . . . . . . . . . . . . . . . . . . . . . . . . . . . 1 2 Gross property and equipment . . . . . . . . . . . . . . . . . . . . . . . . . . . . . . . . . . . . . . . . . . . . . . . . 916 1,044 Less: accumulated depreciation . . . . . . . . . . . . . . . . . . . . . . . . . . . . . . . . . . . . . . . . . . . . . . . . (669) (764) Property and equipment, net . . . . . . . . . . . . . . . . . . . . . . . . . . . . . . . . . . . . . . . . . . . . . . . . . $ 247 $ 280 The Company recorded depreciation expense related to property and equipment of $109 million, $106 million and $118 million for the years ended December 31, 2024, 2023 and 2022, respectively. F-18 6. LEASES The Company's lease portfolio consists primarily of office space and equipment. The Company has approximately 1,000 real estate leases with lease terms ranging from less than 1 year to 17 years and includes the Company's brokerage sales offices, regional and branch offices for title and relocation operations, corporate headquarters, regional headquarters, and facilities serving as local administration, training and storage. The Company's brokerage sales offices are generally located in shopping centers and small office parks, typically with lease terms of 1 year to 5 years. In addition, the Company has equipment leases which primarily consist of furniture, computers and other office equipment. Right-of-use assets represent the Company's right to use an underlying asset for the lease term and lease liabilities represent the Company's obligation to make lease payments arising from the lease. At lease commencement, the Company records a liability for its lease obligation measured at the present value of future lease payments and a right-of-use asset equal to the lease liability adjusted for prepayments and lease incentives. The Company uses its collateralized incremental borrowing rate to calculate the present value of lease liabilities as most of its leases do not provide an implicit rate that is readily determinable. The Company does not recognize a lease obligation and right-of-use asset on its balance sheet for any leases with an initial term of 12 months or less. Some real estate leases include one or more options to renew or terminate a lease. The exercise of a lease renewal or termination option is assessed at commencement of the lease and only reflected in the lease term if the Company is reasonably certain to exercise the option. The Company has lease agreements that contain both lease and non-lease components, such as common area maintenance fees, and has made a policy election to combine both fixed lease and non-lease components in total gross rent for all of its leases. Expense for operating leases is recognized on a straight-line basis over the lease term. Finance lease assets are amortized on a straight-line basis over the shorter of the estimated useful life of the underlying asset or the lease term. The interest component of a finance lease is included in interest expense and recognized using the effective interest method over the lease term. Furthermore, the Company recognizes impairment charges related to the exit and sublease of certain real estate operating leases. Supplemental balance sheet information related to the Company's leases was as follows: December 31, Lease Type Balance Sheet Classification 2024 2023 Assets: Operating lease assets . . . . . . Operating lease assets, net . . . . . . . . . . . . . . . . . . . $ 331 $ 380 Finance lease assets (a) . . . . . Property and equipment, net . . . . . . . . . . . . . . . . . 21 29 Total lease assets, net . . . . . . . . . . . . . . . . . . . . . . . . . . . . . . . . . . . . . . . . . . . . . . . . $ 352 $ 409 Liabilities: Current: Operating lease liabilities . . . Current portion of operating lease liabilities . . . . . $ 105 $ 113 Finance lease liabilities . . . . . Accrued expenses and other current liabilities . . . 7 9 Non-current: Operating lease liabilities . . . Long-term operating lease liabilities . . . . . . . . . . . 284 333 Finance lease liabilities . . . . . Other non-current liabilities . . . . . . . . . . . . . . . . . 8 12 Total lease liabilities . . . . . . . . . . . . . . . . . . . . . . . . . . . . . . . . . . . . . . . . . . . . . . . . . $ 404 $ 467 Weighted Average Lease Term and Discount Rate Weighted average remaining lease term (years): Operating leases . . . . . . . . . . . . . . . . . . . . . . . . . . . . . . . . . . . . . . . . . . . . . . . . . . . . . . 4.7 5.0 Finance leases . . . . . . . . . . . . . . . . . . . . . . . . . . . . . . . . . . . . . . . . . . . . . . . . . . . . . . . 2.6 3.0 Weighted average discount rate: Operating leases . . . . . . . . . . . . . . . . . . . . . . . . . . . . . . . . . . . . . . . . . . . . . . . . . . . . . . 4.9 % 4.6 % Finance leases . . . . . . . . . . . . . . . . . . . . . . . . . . . . . . . . . . . . . . . . . . . . . . . . . . . . . . . 5.2 % 4.8 % _______________ (a) Finance lease assets are recorded net of accumulated amortization of $51 million and $52 million at December 31, 2024 and 2023, respectively. F-19 As of December 31, 2024, maturities of lease liabilities by fiscal year were as follows: Maturity of Lease Liabilities Operating Leases Finance Leases Total 2025 . . . . . . . . . . . . . . . . . . . . . . . . . . . . . . . . . . . . . . . . . . . . . . . . . . . . $ 119 $ 7 $ 126 2026 . . . . . . . . . . . . . . . . . . . . . . . . . . . . . . . . . . . . . . . . . . . . . . . . . . . . 102 5 107 2027 . . . . . . . . . . . . . . . . . . . . . . . . . . . . . . . . . . . . . . . . . . . . . . . . . . . . 75 3 78 2028 . . . . . . . . . . . . . . . . . . . . . . . . . . . . . . . . . . . . . . . . . . . . . . . . . . . . 52 1 53 2029 . . . . . . . . . . . . . . . . . . . . . . . . . . . . . . . . . . . . . . . . . . . . . . . . . . . . 37 — 37 Thereafter . . . . . . . . . . . . . . . . . . . . . . . . . . . . . . . . . . . . . . . . . . . . . . . 52 — 52 Total lease payments . . . . . . . . . . . . . . . . . . . . . . . . . . . . . . . . . . . . . . 437 16 453 Less: Interest . . . . . . . . . . . . . . . . . . . . . . . . . . . . . . . . . . . . . . . . . . . 48 1 49 Present value of lease liabilities . . . . . . . . . . . . . . . . . . . . . . . . . . . . $ 389 $ 15 $ 404 Supplemental income statement information related to the Company's leases is as follows: Year Ended December 31, Lease Costs 2024 2023 2022 Operating lease costs . . . . . . . . . . . . . . . . . . . . . . . . . . . . . . . . . . . . . . . $ 122 $ 132 $ 140 Finance lease costs: Amortization of leased assets . . . . . . . . . . . . . . . . . . . . . . . . . . . . . . . 11 12 12 Interest on lease liabilities . . . . . . . . . . . . . . . . . . . . . . . . . . . . . . . . . 1 1 1 Other lease costs (a) . . . . . . . . . . . . . . . . . . . . . . . . . . . . . . . . . . . . . . . 23 23 23 Impairment (b) . . . . . . . . . . . . . . . . . . . . . . . . . . . . . . . . . . . . . . . . . . . 8 11 6 Less: Sublease income, gross . . . . . . . . . . . . . . . . . . . . . . . . . . . . . . . . 2 2 2 Net lease cost . . . . . . . . . . . . . . . . . . . . . . . . . . . . . . . . . . . . . . . . . . . . . $ 163 $ 177 $ 180 _______________ (a) Primarily consists of variable lease costs. (b) Impairment charges relate to the exit and sublease of certain real estate operating leases. Supplemental cash flow information related to leases was as follows: Year Ended December 31, 2024 2023 2022 Cash paid for amounts included in the measurement of lease liabilities: Operating cash flows from operating leases . . . . . . . . . . . . . . . . . . . . $ 142 $ 148 $ 162 Operating cash flows from finance leases . . . . . . . . . . . . . . . . . . . . . . 1 1 1 Financing cash flows from finance leases . . . . . . . . . . . . . . . . . . . . . . 12 13 13 Supplemental non-cash information: Lease assets obtained in exchange for lease obligations: Operating leases . . . . . . . . . . . . . . . . . . . . . . . . . . . . . . . . . . . . . . . . $ 73 $ 92 $ 92 Finance leases . . . . . . . . . . . . . . . . . . . . . . . . . . . . . . . . . . . . . . . . . . 4 7 14 F-20


 
7. GOODWILL AND INTANGIBLE ASSETS Goodwill Changes in the carrying amount of Goodwill and Accumulated impairment losses by reportable segment is as follows: Franchise Group Owned Brokerage Group Title Group Total Company Goodwill (gross) at December 31, 2022 . . . . . . . . . . . . . . . . . . . . . . . . . $ 3,953 $ 1,088 $ 455 $ 5,496 Goodwill acquired (a) . . . . . . . . . . . . . . . . . . . . . . . . . . . . . . . . . . . . . . — 1 — 1 Goodwill reduction . . . . . . . . . . . . . . . . . . . . . . . . . . . . . . . . . . . . . . . . — — — — Goodwill (gross) at December 31, 2023 . . . . . . . . . . . . . . . . . . . . . . . . . 3,953 1,089 455 5,497 Accumulated impairment losses at December 31, 2022 . . . . . . . . . . . . . (1,561) (1,088) (324) (2,973) Goodwill impairment . . . . . . . . . . . . . . . . . . . . . . . . . . . . . . . . . . . . . . (25) — — (25) Accumulated impairment losses at December 31, 2023 . . . . . . . . . . . . . (1,586) (1,088) (324) (2,998) Goodwill (net) at December 31, 2023 . . . . . . . . . . . . . . . . . . . . $ 2,367 $ 1 $ 131 $ 2,499 Goodwill (gross) at December 31, 2023 . . . . . . . . . . . . . . . . . . . . . . . . . $ 3,953 $ 1,089 $ 455 $ 5,497 Goodwill acquired . . . . . . . . . . . . . . . . . . . . . . . . . . . . . . . . . . . . . . . . — — — — Goodwill reduction . . . . . . . . . . . . . . . . . . . . . . . . . . . . . . . . . . . . . . . . — — — — Goodwill (gross) at December 31, 2024 . . . . . . . . . . . . . . . . . . . . . . . . . 3,953 1,089 455 5,497 Accumulated impairment losses at December 31, 2023 . . . . . . . . . . . . . (1,586) (1,088) (324) (2,998) Goodwill impairment . . . . . . . . . . . . . . . . . . . . . . . . . . . . . . . . . . . . . . — — — — Accumulated impairment losses at December 31, 2024 (b) . . . . . . . . . . (1,586) (1,088) (324) (2,998) Goodwill (net) at December 31, 2024 . . . . . . . . . . . . . . . . . . . . $ 2,367 $ 1 $ 131 $ 2,499 _______________ (a) Goodwill acquired during the year ended December 31, 2023 relates to the acquisition of one real estate brokerage operation. (b) Includes impairment charges which reduced goodwill by $25 million during 2023, $394 million during 2022, $540 million during 2020, $253 million during 2019, $1,279 million during 2008 and $507 million during 2007. Intangible Assets Intangible assets are as follows: As of December 31, 2024 As of December 31, 2023 Gross Carrying Amount Accumulated Amortization Net Carrying Amount Gross Carrying Amount Accumulated Amortization Net Carrying Amount Amortizable—Franchise agreements (a) . . . . . $ 2,010 $ 1,189 $ 821 $ 2,010 $ 1,123 $ 887 Indefinite life—Trademarks (b) . . . . . . . . . . . . $ 584 $ 584 $ 586 $ 586 Other Intangibles Amortizable—License agreements (c) . . . . . $ 45 $ 17 $ 28 $ 45 $ 16 $ 29 Amortizable—Customer relationships (d) . . 449 401 48 454 385 69 Indefinite life—Title plant shares (e) . . . . . . 30 30 28 28 Amortizable—Other (f) . . . . . . . . . . . . . . . . 4 4 — 7 6 1 Total Other Intangibles . . . . . . . . . . . . . . . . . . . $ 528 $ 422 $ 106 $ 534 $ 407 $ 127 _______________ (a) Generally amortized over a period of 30 years. (b) Primarily related to real estate franchise, title and relocation trademarks which are expected to generate future cash flows for an indefinite period of time. The year ended December 31, 2024 includes $2 million reduction for the sale of a business. (c) Relates to the Sotheby’s International Realty® and Better Homes and Gardens® Real Estate agreements which are being amortized over 50 years (the contractual term of the license agreements). (d) Relates to the customer relationships which are being amortized over a period of 10 to 20 years. F-21 (e) Ownership in a title plant is required to transact title insurance in certain states. The Company expects to generate future cash flows for an indefinite period of time. (f) Consists of covenants not to compete which are amortized over their contract lives and other intangibles which are generally amortized over periods ranging from 3 to 5 years. Intangible asset amortization expense is as follows: For the Year Ended December 31, 2024 2023 2022 Franchise agreements . . . . . . . . . . . . . . . . . . . . . . . . . . . . . . . . . . . . . . . . . . . . . . . . $ 66 $ 67 $ 67 License agreements . . . . . . . . . . . . . . . . . . . . . . . . . . . . . . . . . . . . . . . . . . . . . . . . . . 1 1 1 Customer relationships . . . . . . . . . . . . . . . . . . . . . . . . . . . . . . . . . . . . . . . . . . . . . . . 21 21 21 Other . . . . . . . . . . . . . . . . . . . . . . . . . . . . . . . . . . . . . . . . . . . . . . . . . . . . . . . . . . . . . 1 1 7 Total . . . . . . . . . . . . . . . . . . . . . . . . . . . . . . . . . . . . . . . . . . . . . . . . . . . . . . . . . . . $ 89 $ 90 $ 96 Based on the Company’s amortizable intangible assets as of December 31, 2024, the Company expects related amortization expense to be approximately $89 million, $89 million, $74 million, $68 million, $68 million and $509 million in 2025, 2026, 2027, 2028, 2029 and thereafter, respectively. Impairment of Goodwill and Other Indefinite-lived Intangibles Based upon the impairment analysis performed in the fourth quarter of 2024, there was no impairment of goodwill or other indefinite-lived intangible assets for the year ended December 31, 2024. As a result of the 2023 annual impairment assessment, goodwill at Franchise Group related to the Cartus reporting unit was impaired by $25 million and franchise trademarks were impaired by $25 million. See Note 2, "Summary of Significant Accounting Policies—Impairment of Goodwill, Intangible Assets and Other Long-Lived Assets", for additional information. 8. OTHER CURRENT ASSETS AND ACCRUED EXPENSES AND OTHER CURRENT LIABILITIES Other current assets consisted of: December 31, 2024 2023 Prepaid contracts and other prepaid expenses . . . . . . . . . . . . . . . . . . . . . . . . . . . . . . . . . . . . . $ 75 $ 78 Prepaid agent incentives . . . . . . . . . . . . . . . . . . . . . . . . . . . . . . . . . . . . . . . . . . . . . . . . . . . . . . 37 49 Franchisee sales incentives . . . . . . . . . . . . . . . . . . . . . . . . . . . . . . . . . . . . . . . . . . . . . . . . . . . . 29 30 Income tax receivables . . . . . . . . . . . . . . . . . . . . . . . . . . . . . . . . . . . . . . . . . . . . . . . . . . . . . . . 35 27 Other . . . . . . . . . . . . . . . . . . . . . . . . . . . . . . . . . . . . . . . . . . . . . . . . . . . . . . . . . . . . . . . . . . . . . 30 34 Total other current assets . . . . . . . . . . . . . . . . . . . . . . . . . . . . . . . . . . . . . . . . . . . . . . . . . . . . $ 206 $ 218 Accrued expenses and other current liabilities consisted of: December 31, 2024 2023 Accrued payroll and related employee costs . . . . . . . . . . . . . . . . . . . . . . . . . . . . . . . . . . . . . . $ 170 $ 158 Advances from clients . . . . . . . . . . . . . . . . . . . . . . . . . . . . . . . . . . . . . . . . . . . . . . . . . . . . . . . 24 29 Accrued volume incentives . . . . . . . . . . . . . . . . . . . . . . . . . . . . . . . . . . . . . . . . . . . . . . . . . . . 27 28 Accrued commissions . . . . . . . . . . . . . . . . . . . . . . . . . . . . . . . . . . . . . . . . . . . . . . . . . . . . . . . 41 34 Restructuring accruals . . . . . . . . . . . . . . . . . . . . . . . . . . . . . . . . . . . . . . . . . . . . . . . . . . . . . . . 9 14 Deferred income . . . . . . . . . . . . . . . . . . . . . . . . . . . . . . . . . . . . . . . . . . . . . . . . . . . . . . . . . . . . 45 53 Accrued interest . . . . . . . . . . . . . . . . . . . . . . . . . . . . . . . . . . . . . . . . . . . . . . . . . . . . . . . . . . . . 36 34 Current portion of finance lease liabilities . . . . . . . . . . . . . . . . . . . . . . . . . . . . . . . . . . . . . . . . 7 9 Due to former parent . . . . . . . . . . . . . . . . . . . . . . . . . . . . . . . . . . . . . . . . . . . . . . . . . . . . . . . . 40 38 Other . . . . . . . . . . . . . . . . . . . . . . . . . . . . . . . . . . . . . . . . . . . . . . . . . . . . . . . . . . . . . . . . . . . . . 154 176 Total accrued expenses and other current liabilities . . . . . . . . . . . . . . . . . . . . . . . . . . . . . . . $ 553 $ 573 F-22 9. SHORT AND LONG-TERM DEBT Total indebtedness is as follows: December 31, 2024 2023 Revolving Credit Facility . . . . . . . . . . . . . . . . . . . . . . . . . . . . . . . . . . . . . . . . . . . . . . . . . . . . . $ 490 $ 285 Term Loan A Facility . . . . . . . . . . . . . . . . . . . . . . . . . . . . . . . . . . . . . . . . . . . . . . . . . . . . . . . . — 206 7.00% Senior Secured Second Lien Notes . . . . . . . . . . . . . . . . . . . . . . . . . . . . . . . . . . . . . . . . 630 627 5.75% Senior Notes . . . . . . . . . . . . . . . . . . . . . . . . . . . . . . . . . . . . . . . . . . . . . . . . . . . . . . . . . 558 576 5.25% Senior Notes . . . . . . . . . . . . . . . . . . . . . . . . . . . . . . . . . . . . . . . . . . . . . . . . . . . . . . . . . 444 451 0.25% Exchangeable Senior Notes . . . . . . . . . . . . . . . . . . . . . . . . . . . . . . . . . . . . . . . . . . . . . 399 397 Total Short-Term & Long-Term Debt . . . . . . . . . . . . . . . . . . . . . . . . . . . . . . . . . . . . . . . . . $ 2,521 $ 2,542 Securitization Obligations: Apple Ridge Funding LLC . . . . . . . . . . . . . . . . . . . . . . . . . . . . . . . . . . . . . . . . . . . . . . . . . $ 140 $ 115 Indebtedness Table As of December 31, 2024, the Company’s borrowing arrangements were as follows: Interest Rate Expiration Date Principal Amount Unamortized Premium and Debt Issuance Costs Net Amount Revolving Credit Facility (a) . . . . . . . . . . . . . . . . (b) July 2027 (b) $ 490 $ * $ 490 Senior Secured Second Lien Notes (c) . . . . . . . . 7.00% April 2030 640 10 630 Senior Notes (d) . . . . . . . . . . . . . . . . . . . . . . . . . . 5.75% January 2029 558 — 558 Senior Notes (d) . . . . . . . . . . . . . . . . . . . . . . . . . . 5.25% April 2030 449 5 444 Exchangeable Senior Notes (e) . . . . . . . . . . . . . . 0.25% June 2026 403 4 399 Total Short-Term & Long-Term Debt . . . . . . . . . . . . . . . . . . . . . . . . . . . . . . . . $ 2,540 $ 19 $ 2,521 Securitization obligations: (f) Apple Ridge Funding LLC . . . . . . . . . . . . . . . . . . . . . . May 2025 $ 140 $ * $ 140 _______________ * The debt issuance costs related to our Revolving Credit Facility and securitization obligations are classified as a deferred financing asset within other assets. (a) As of December 31, 2024, the Company had $1,100 million of borrowing capacity under its Revolving Credit Facility. As of December 31, 2024, there were $490 million outstanding borrowings under the Revolving Credit Facility and $33 million of outstanding undrawn letters of credit. On February 21, 2025, the Company had $585 million outstanding borrowings under the Revolving Credit Facility and $33 million of outstanding undrawn letters of credit. (b) See below under the header "Senior Secured Credit Agreement" for additional information. (c) See below under the header "7.00% Senior Secured Second Lien Notes" for additional information. (d) See below under the header "Unsecured Notes" for additional detail and repurchases information in the third quarter of 2024. (e) See below under the header "Exchangeable Senior Notes" for additional information. (f) See below under the header "Securitization Obligations" for additional information. Maturities Table As of December 31, 2024, the combined aggregate amount of maturities for long-term borrowings for each of the next five years is as follows: Year Amount 2025 (a) . . . . . . . . . . . . . . . . . . . . . . . . . . . . . . . . . . . . . . . . . . . . . . . . . . . . . . . . . . . . . . . . . . . . . . . . . . . . $ 490 2026 . . . . . . . . . . . . . . . . . . . . . . . . . . . . . . . . . . . . . . . . . . . . . . . . . . . . . . . . . . . . . . . . . . . . . . . . . . . . . . 403 2027 . . . . . . . . . . . . . . . . . . . . . . . . . . . . . . . . . . . . . . . . . . . . . . . . . . . . . . . . . . . . . . . . . . . . . . . . . . . . . . — 2028 . . . . . . . . . . . . . . . . . . . . . . . . . . . . . . . . . . . . . . . . . . . . . . . . . . . . . . . . . . . . . . . . . . . . . . . . . . . . . . — 2029 . . . . . . . . . . . . . . . . . . . . . . . . . . . . . . . . . . . . . . . . . . . . . . . . . . . . . . . . . . . . . . . . . . . . . . . . . . . . . . 558 F-23 _______________ (a) Outstanding borrowings under the Revolving Credit Facility expire in July 2027 (subject to earlier springing maturity) but are classified on the balance sheet as current due to the revolving nature of borrowings and terms and conditions of the facility. Senior Secured Credit Agreement The Company’s Amended and Restated Credit Agreement dated as of March 5, 2013 (as amended, amended and restated, modified or supplemented from time to time, the "Senior Secured Credit Agreement") governs its senior secured credit facility (the "Senior Secured Credit Facility"), which includes the revolving credit facility (the "Revolving Credit Facility"). The maturity date of the Revolving Credit Facility is July 27, 2027; however, it may spring forward to March 16, 2026 if the 0.25% Exchangeable Senior Notes have not been extended, refinanced or replaced to have a maturity date after October 26, 2027 (or are not otherwise discharged, defeased or repaid by March 16, 2026). The Senior Secured Credit Facility includes a $1,100 million Revolving Credit Facility which includes a $150 million letter of credit sub-facility. The interest rate with respect to revolving loans under the Revolving Credit Facility is based on, at Anywhere Group's option, Term Secured Overnight Financing Rate ("SOFR") plus a 10 basis point credit spread adjustment or JP Morgan Chase Bank, N.A.'s prime rate ("ABR"), plus (in each case) an additional margin subject to the following adjustments based on the Company’s then current senior secured leverage ratio: Senior Secured Leverage Ratio Applicable SOFR Margin Applicable ABR Margin Greater than 3.50 to 1.00 . . . . . . . . . . . . . . . . . . . . . . . . . . . . . . . . . . . . . . . . . . . . . . . . . . 2.50% 1.50% Less than or equal to 3.50 to 1.00 but greater than or equal to 2.50 to 1.00 . . . . . . . . . . . 2.25% 1.25% Less than 2.50 to 1.00 but greater than or equal to 2.00 to 1.00 . . . . . . . . . . . . . . . . . . . . 2.00% 1.00% Less than 2.00 to 1.00 . . . . . . . . . . . . . . . . . . . . . . . . . . . . . . . . . . . . . . . . . . . . . . . . . . . . 1.75% 0.75% Based on the previous quarter's senior secured leverage ratio, the SOFR margin was 1.75% and the ABR margin was 0.75% for the three months ended December 31, 2024. The obligations under the Senior Secured Credit Agreement are secured to the extent legally permissible by substantially all of the assets of Anywhere Group, Anywhere Intermediate and all of their domestic subsidiaries, other than certain excluded subsidiaries and subject to certain exceptions. The Senior Secured Credit Agreement contains financial, affirmative and negative covenants as well as a financial covenant that Anywhere Group maintain (so long as commitments under the Revolving Credit Facility are outstanding) a maximum permitted senior secured leverage ratio, not to exceed 4.75 to 1.00. The leverage ratio is tested quarterly regardless of the amount of borrowings outstanding and letters of credit issued under the Revolving Credit Facility at the testing date. Total senior secured net debt does not include the Apple Ridge securitization obligations or our unsecured indebtedness, including the Unsecured Notes and the Exchangeable Senior Notes. At December 31, 2024, Anywhere Group was in compliance with the senior secured leverage ratio covenant. Term Loan A Facility and Repayment The Company's Term Loan A Agreement dated as of October 23, 2015 (as amended, amended and restated, modified or supplemented from time to time, the "Term Loan A Agreement") governed its senior secured term loan A credit facility (the "Term Loan A Facility") until its repayment in full on August 30, 2024. The Company repaid the entire outstanding principal amount of approximately $196 million along with accrued interest under the Term Loan A Facility with a combination of cash on hand and borrowings from the Revolving Credit Facility. The interest rate on outstanding borrowings under the Term Loan A Facility was based on, at the Company's option, Term SOFR plus a 10 basis point credit spread adjustment or ABR, plus (in each case) an additional margin subject to adjustment based on the then current senior secured leverage ratio. 7.00% Senior Secured Second Lien Notes The 7.00% Senior Secured Second Lien Notes mature on April 15, 2030 and interest is payable semiannually on April 15 and October 15 of each year which commenced October 15, 2023. F-24


 
The 7.00% Senior Secured Second Lien Notes are guaranteed on a senior secured second priority basis by Anywhere Intermediate and each domestic direct or indirect restricted subsidiary of Anywhere, other than certain excluded entities, that is a guarantor under its Senior Secured Credit Facility and certain of its outstanding debt securities. The 7.00% Senior Secured Second Lien Notes are also guaranteed by Anywhere on an unsecured senior subordinated basis. The 7.00% Senior Secured Second Lien Notes are secured by substantially the same collateral as Anywhere Group's existing first lien obligations under its Senior Secured Credit Facility on a second priority basis. The indentures governing the 7.00% Senior Secured Second Lien Notes contain various covenants that limit the ability of Anywhere Intermediate, Anywhere Group and Anywhere Group's restricted subsidiaries to take certain actions, which covenants are subject to a number of important exceptions and qualifications. These covenants are substantially similar to the covenants in the indenture governing the 5.75% Senior Notes due 2029 and 5.25% Senior Notes due 2030, as described below under the header "Unsecured Notes". Unsecured Notes The 5.75% Senior Notes and 5.25% Senior Notes (collectively the "Unsecured Notes") are unsecured senior obligations of Anywhere Group. The 5.75% Senior Notes mature on January 15, 2029 with interest on such notes payable each year semiannually on January 15 and July 15. The 5.25% Senior Notes mature on April 15, 2030 with interest on such notes payable each year semiannually on April 15 and October 15 which commenced April 15, 2022. During the third quarter of 2024, the Company repurchased a total of $26 million of its Unsecured Notes, including $24 million held by funds managed by Angelo, Gordon & Co., L.P., a Delaware limited partnership, at an aggregate purchase price of $19 million, plus accrued interest to the respective repurchase dates. The Company may redeem all or a portion of the 5.75% Senior Notes or 5.25% Senior Notes, as applicable, at the redemption price set forth in the applicable indenture governing such notes, commencing on January 15, 2024 and April 15, 2025, respectively. Prior to those dates, the Company may redeem the applicable notes at its option, in whole or in part, at a redemption price equal to 100% of the principal amount of such notes redeemed plus a "make-whole" premium as set forth in the applicable indenture governing such notes. In addition, prior to the dates noted above, the Company may redeem up to 40% of the notes from the proceeds of certain equity offerings as set forth in the applicable indenture governing such notes. The Unsecured Notes are guaranteed on an unsecured senior basis by each domestic subsidiary of Anywhere Group that is a guarantor under the Senior Secured Credit Facility and Anywhere Group's outstanding debt securities and are guaranteed by Anywhere Holdings on an unsecured senior subordinated basis. The indentures governing the Unsecured Notes contain various negative covenants that limit Anywhere Group's and its restricted subsidiaries' ability to take certain actions, which covenants are subject to a number of important exceptions and qualifications. These covenants include limitations on Anywhere Group's and its restricted subsidiaries' ability to (a) incur or guarantee additional indebtedness, or issue disqualified stock or preferred stock, (b) pay dividends or make distributions to their stockholders, (c) repurchase or redeem capital stock, (d) make investments or acquisitions, (e) incur restrictions on the ability of certain of their subsidiaries to pay dividends or to make other payments to Anywhere Group, (f) enter into transactions with affiliates, (g) create liens, (h) merge or consolidate with other companies or transfer all or substantially all of their assets, (i) transfer or sell assets, including capital stock of subsidiaries and (j) prepay, redeem or repurchase debt that is subordinated in right of payment to the Unsecured Notes. In particular, under the Unsecured Notes: • the cumulative credit basket is not available to repurchase shares to the extent the consolidated leverage ratio is equal to or greater than 4.0 to 1.0 on a pro forma basis giving effect to such repurchase; • the consolidated leverage ratio must be less than 3.0 to 1.0 to use the unlimited general restricted payment basket; and • a restricted payment basket is available for up to $45 million of dividends per calendar year (with any actual dividends deducted from the available cumulative credit basket). The consolidated leverage ratio is measured by dividing Anywhere Group's total net debt (excluding securitizations) by the trailing twelve-month EBITDA. EBITDA, as defined in the applicable indentures governing the Unsecured Notes, is substantially similar to EBITDA calculated on a Pro Forma Basis, as those terms are defined in the Senior Secured Credit Agreement. Net debt under the indentures governing the Unsecured Notes is Anywhere Group's total indebtedness (excluding securitizations) less (i) its cash and cash equivalents in excess of restricted cash and (ii) a $200 million seasonality adjustment permitted when measuring the ratio on a date during the period of March 1 to May 31. F-25 Exchangeable Senior Notes In June 2021, Anywhere Group issued $403 million of 0.25% Exchangeable Senior Notes due 2026. The net proceeds from the offering were used to pay the cost of the exchangeable note hedge transactions described below (partially offset by proceeds from the warrant transactions described below). The Exchangeable Senior Notes mature on June 15, 2026 with semiannually interest payments on June 15 and December 15. The Exchangeable Senior Notes are guaranteed on an unsecured senior basis by each domestic subsidiary of Anywhere Group that is a guarantor under the Senior Secured Credit Facility and Anywhere Group's outstanding debt securities and are guaranteed by Anywhere on an unsecured senior subordinated basis. Noteholders have the right to exchange their Exchangeable Senior Notes before March 15, 2026 upon the occurrence of certain events (as described in the indenture governing the notes) and on or after March 15, 2026 at their election until the close of business on the second scheduled trading day immediately before the maturity date of the notes. Upon exchange, Anywhere Group will pay cash up to the principal amount being exchanged and pay or deliver cash, shares of the Company’s common stock or a combination of both at the Company's election for the portion of the exchange obligation in excess of the aggregate principal amount being exchanged. The initial exchange rate for Exchangeable Senior Notes is 40.8397 shares of the Company’s common stock per $1,000 principal amount of notes (which represents an initial exchange price of approximately $24.49 per share). The exchange rate and exchange price are subject to customary adjustments upon the occurrence of certain events and may be increased for a specified period of time if a “Make-Whole Fundamental Change” (as defined in the indenture governing the Exchangeable Senior Notes) occurs. Initially, a maximum of approximately 23,013,139 shares of the Company’s common stock may be issued upon the exchange of the Exchangeable Senior Notes, based on the initial maximum exchange rate of 57.1755 shares of the Company’s common stock per $1,000 principal amount of notes, which is subject to customary anti-dilution adjustment provisions. The Exchangeable Senior Notes are redeemable, in whole or in part, at the Company's option between June 20, 2024 and maturity, if the Company’s common stock exceeds 130% of the exchange price for at least 20 trading days, at a cash redemption price equal to the principal amount of the Exchangeable Senior Notes to be redeemed plus accrued and unpaid interest. In addition, calling any Exchangeable Senior Notes for redemption will constitute a Make-Whole Fundamental Change which may increase the exchange rate applicable to the exchange of that note in certain circumstances. In addition, if certain corporate events that constitute a "Fundamental Change" (as defined in the indenture governing the Exchangeable Senior Notes) occurs, then noteholders may require the Company to repurchase their Exchangeable Senior Notes at a cash repurchase price equal to the principal amount of the notes to be repurchased, plus accrued and unpaid interest. The indenture governing the Exchangeable Senior Notes also provides for events of default which, if any of them occurs, would permit or require the principal of and accrued interest on the Exchangeable Senior Notes to become or to be declared due and payable. Exchangeable Note Hedge and Warrant Transactions In relation to the pricing of the Exchangeable Senior Notes and the exercise by the initial purchasers to buy more notes, the Company engaged in exchangeable note hedge transactions with certain counterparties (the "Option Counterparties"). These transactions, which cost a total of $67 million, protect against potential dilution in the Company's common stock underlying the Notes, with adjustments similar to those applicable to the Exchangeable Senior Notes. Simultaneously, as part of these transactions, the Company entered into warrant transactions with the Option Counterparties selling warrants to purchase, subject to customary adjustments, up to the same number of shares of the Company’s common stock. The initial strike price for the warrants was $30.6075 per share, and the Company received $46 million in cash from these transactions. The combined effect of acquiring exchangeable note hedges and selling warrants is aimed at mitigating potential dilution and/or cash payments upon the exchange of the Exchangeable Senior Notes, effectively raising the overall exchange price from $24.49 to $30.6075 per share. Securitization Obligations Anywhere Group has secured obligations through Apple Ridge Funding LLC under a securitization program which expires in May 2025. As of December 31, 2024, the Company had $200 million of borrowing capacity under the Apple Ridge Funding LLC securitization program with $140 million being utilized leaving $60 million of available capacity subject to maintaining sufficient relocation related assets to collateralize the securitization obligation. F-26 The Apple Ridge entities are consolidated special purpose entities that are utilized to securitize relocation receivables and related assets. These assets are generated from advancing funds on behalf of clients of Anywhere Group’s relocation operations in order to facilitate the relocation of their employees. Assets of these special purpose entities are not available to pay Anywhere Group’s general obligations. Under the Apple Ridge securitization program, provided no termination or amortization event has occurred, any new receivables generated under the designated relocation management agreements are sold into the securitization program and as new eligible relocation management agreements are entered into, the new agreements are designated to the program. The Apple Ridge securitization program has restrictive covenants and trigger events, the occurrence of which could restrict our ability to access new or existing funding under this facility or result in termination of the facility, either of which would adversely affect the operation of the Company's relocation services. Certain of the funds that Anywhere Group receives from relocation receivables and related assets are required to be utilized to repay securitization obligations. These obligations are collateralized by $156 million and $146 million of underlying relocation receivables and other related relocation assets at December 31, 2024 and 2023, respectively. Substantially all relocation related assets are realized in less than twelve months from the transaction date. Accordingly, all of Anywhere Group's securitization obligations are classified as current in the accompanying Consolidated Balance Sheets. Interest incurred in connection with borrowings under the facility amounted to $10 million and $12 million for the years ended December 31, 2024 and 2023, respectively. This interest is recorded within net revenues in the accompanying Consolidated Statements of Operations as related borrowings are utilized to fund Anywhere Group's relocation operations where interest is generally earned on such assets. The securitization obligations represent floating rate debt for which the average weighted interest rate was 7.9% and 7.5% for the years ended December 31, 2024 and 2023, respectively. Gain/Loss on the Early Extinguishment of Debt During the year ended December 31, 2024, the Company recorded gains on the early extinguishment of debt totaling $7 million as a result of the repurchases of Unsecured Notes occurring in the third quarter of 2024. During the year ended December 31, 2023, the Company recorded gains on the early extinguishment of debt totaling $169 million which consisted of $151 million as a result of the debt exchange transactions and $18 million as a result of the open market repurchases occurring in the third quarter of 2023. During the year ended December 31, 2022, the Company recorded a loss on the early extinguishment of debt of $96 million, as a result of the refinancing transactions during 2022, which included $80 million related to the make-whole premiums paid in connection with the early redemption of the 7.625% Senior Secured Second Lien Notes due 2025 and 9.375% Senior Notes due 2027. 10. FRANCHISING AND MARKETING ACTIVITIES Domestic franchisee agreements generally require the franchisee to pay the Company an initial franchise fee for the franchisee's principal office plus a royalty fee that is a percentage of gross commission income, if any, earned by the franchisee. Franchisee fees can be structured in numerous ways. The Company utilizes multiple franchise fee models, including: (i) volume-based incentive (under which royalty fee rate is subject to reduction based on volume incentives); (ii) flat percentage royalty fee (under which the franchisee pays a fixed percentage of their commission income); (iii) capped fee (under which the franchisee pays a royalty fee capped at a set amount per independent sales agents per year); and (iv) tiered royalty fee (under which the franchisee pays a percentage of their gross commission income as a royalty fee). The volume incentives currently in effect vary for each eligible franchisee for which the Company provides a detailed table that describes the gross revenue thresholds required to achieve a volume incentive and the corresponding incentive amounts and are subject to change. Domestic initial franchise fees and international area development fees were $5 million, $5 million and $4 million for each of the years ended December 31, 2024, 2023 and 2022, respectively. Franchise royalty revenue is recorded net of annual volume incentives provided to real estate franchisees of $46 million, $43 million and $61 million for the years ended December 31, 2024, 2023 and 2022, respectively. The Company’s wholly-owned real estate brokerage services segment, Owned Brokerage Group, pays royalties to the Company’s franchise business; however, such amounts are eliminated in consolidation. Owned Brokerage Group paid royalties to Franchise Group of $304 million, $301 million and $358 million for the years ended December 31, 2024, 2023 and 2022, respectively. F-27 Marketing fees are generally paid by the Company’s real estate franchisees and are generally calculated based on a specified percentage of gross closed commissions earned on real estate transactions, and may be subject to certain minimum and maximum payments. Brand marketing fund revenue was $75 million, $82 million and $89 million for the years ended December 31, 2024, 2023 and 2022, respectively, which included marketing fees paid to Franchise Group from Owned Brokerage Group of $15 million, $14 million and $15 million for the years ended December 31, 2024, 2023 and 2022, respectively. As provided for in the franchise agreements and generally at the Company’s discretion, all of these fees are to be expended for marketing purposes. The number of franchised and company owned offices in operation are as follows: (Unaudited) As of December 31, 2024 2023 2022 Franchised (domestic and international): Century 21® . . . . . . . . . . . . . . . . . . . . . . . . . . . . . . . . . . . . . . . . . . . . . . . . . . . . . . 10,986 11,972 13,611 ERA® . . . . . . . . . . . . . . . . . . . . . . . . . . . . . . . . . . . . . . . . . . . . . . . . . . . . . . . . . . . 2,291 2,395 2,407 Coldwell Banker® . . . . . . . . . . . . . . . . . . . . . . . . . . . . . . . . . . . . . . . . . . . . . . . . . 2,145 2,140 2,100 Coldwell Banker Commercial® . . . . . . . . . . . . . . . . . . . . . . . . . . . . . . . . . . . . . . . 208 189 171 Sotheby’s International Realty® . . . . . . . . . . . . . . . . . . . . . . . . . . . . . . . . . . . . . . 1,065 1,071 1,035 Better Homes and Gardens® Real Estate . . . . . . . . . . . . . . . . . . . . . . . . . . . . . . . . 386 440 418 Corcoran® . . . . . . . . . . . . . . . . . . . . . . . . . . . . . . . . . . . . . . . . . . . . . . . . . . . . . . . 124 96 82 Total Franchised . . . . . . . . . . . . . . . . . . . . . . . . . . . . . . . . . . . . . . . . . . . . . . . . 17,205 18,303 19,824 Company owned: Coldwell Banker® . . . . . . . . . . . . . . . . . . . . . . . . . . . . . . . . . . . . . . . . . . . . . . . . . 506 551 606 Sotheby’s International Realty® . . . . . . . . . . . . . . . . . . . . . . . . . . . . . . . . . . . . . . 44 44 44 Corcoran® . . . . . . . . . . . . . . . . . . . . . . . . . . . . . . . . . . . . . . . . . . . . . . . . . . . . . . . 25 28 29 Total Company Owned . . . . . . . . . . . . . . . . . . . . . . . . . . . . . . . . . . . . . . . . . . . 575 623 679 The number of franchised and company owned offices (in the aggregate) changed as follows: (Unaudited) For the Year Ended December 31, 2024 2023 2022 Franchised (domestic and international): Beginning balance . . . . . . . . . . . . . . . . . . . . . . . . . . . . . . . . . . . . . . . . . . . . . . . . . 18,303 19,824 20,355 Additions . . . . . . . . . . . . . . . . . . . . . . . . . . . . . . . . . . . . . . . . . . . . . . . . . . . . . . . 403 571 548 Terminations . . . . . . . . . . . . . . . . . . . . . . . . . . . . . . . . . . . . . . . . . . . . . . . . . . . . (1,501) (2,092) (1,079) Ending balance . . . . . . . . . . . . . . . . . . . . . . . . . . . . . . . . . . . . . . . . . . . . . . . . . . . 17,205 18,303 19,824 Company owned: Beginning balance . . . . . . . . . . . . . . . . . . . . . . . . . . . . . . . . . . . . . . . . . . . . . . . . . 623 679 675 Additions . . . . . . . . . . . . . . . . . . . . . . . . . . . . . . . . . . . . . . . . . . . . . . . . . . . . . . . 1 5 46 Closures . . . . . . . . . . . . . . . . . . . . . . . . . . . . . . . . . . . . . . . . . . . . . . . . . . . . . . . . (49) (61) (42) Ending balance . . . . . . . . . . . . . . . . . . . . . . . . . . . . . . . . . . . . . . . . . . . . . . . . . . . 575 623 679 As of December 31, 2024, there were an insignificant number of franchise agreements that were executed for which offices are not yet operating. Additionally, as of December 31, 2024, there were an insignificant number of franchise agreements pending termination. In order to assist franchisees in converting to one of the Company’s brands or as an incentive to renew their franchise agreement, the Company may at its discretion, provide incentives, primarily in the form of conversion notes or other note- backed funding. Provided the franchisee meets certain minimum annual revenue thresholds during the term of the notes and is in compliance with the terms of the franchise agreement, the amount of the note is forgiven annually in equal ratable amounts generally over the life of the franchise agreement. If the revenue performance thresholds are not met or the F-28


 
franchise agreement terminates, franchisees may be required to repay a portion of the outstanding notes. The amount of such franchisee conversion notes or other note-backed funding was $164 million and $174 million at December 31, 2024 and 2023, respectively. These notes are principally classified within other non-current assets in the Company’s Consolidated Balance Sheets. The Company recorded a contra-revenue in the statement of operations related to the forgiveness and impairment of these notes and other sales incentives of $35 million, $34 million and $45 million for the years ended December 31, 2024, 2023 and 2022, respectively. 11. EMPLOYEE BENEFIT PLANS DEFINED BENEFIT PENSION PLAN The Company’s defined benefit pension plan was closed to new entrants as of July 1, 1997 and existing participants do not accrue any additional benefits. The net periodic pension cost for 2024 was $2 million and was comprised of interest cost of approximately $5 million and the amortization of the actuarial net loss of $2 million, offset by a benefit of $5 million for the expected return on assets. The net periodic pension cost for 2023 was $3 million and was comprised of interest cost of approximately $5 million and the amortization of the actuarial net loss of $3 million, offset by a benefit of $5 million for the expected return on assets. At December 31, 2024 and 2023, the accumulated benefit obligation of this plan was $92 million and $100 million, respectively, and the fair value of the plan assets were $80 million and $86 million, respectively, resulting in an unfunded accumulated benefit obligation of $12 million and $14 million, respectively, which is recorded in Other current and non- current liabilities in the Consolidated Balance Sheets. Estimated future benefit payments from the plan as of December 31, 2024 are as follows: Year Amount 2025 . . . . . . . . . . . . . . . . . . . . . . . . . . . . . . . . . . . . . . . . . . . $ 9 2026 . . . . . . . . . . . . . . . . . . . . . . . . . . . . . . . . . . . . . . . . . . . 9 2027 . . . . . . . . . . . . . . . . . . . . . . . . . . . . . . . . . . . . . . . . . . . 9 2028 . . . . . . . . . . . . . . . . . . . . . . . . . . . . . . . . . . . . . . . . . . . 8 2029 . . . . . . . . . . . . . . . . . . . . . . . . . . . . . . . . . . . . . . . . . . . 8 2030 through 2034 . . . . . . . . . . . . . . . . . . . . . . . . . . . . . . . . 37 The minimum funding required during 2025 is estimated to be $2 million. The following table presents the fair values of plan assets by category as of December 31, 2024: Asset Category Quoted Price in Active Market for Identical Assets (Level I) Significant Other Observable Inputs (Level II) Significant Unobservable Inputs (Level III) Total Cash and cash equivalents . . . . . . . . . . . . . . . . . . . . $ 2 $ — $ — $ 2 Equity securities . . . . . . . . . . . . . . . . . . . . . . . . . . . . — — — — Fixed income securities . . . . . . . . . . . . . . . . . . . . . . — 39 — 39 Total . . . . . . . . . . . . . . . . . . . . . . . . . . . . . . . . . . . . $ 2 $ 39 $ — $ 41 Plan assets measured at Net Asset Value ("NAV") (a) . . . . . . . . . . . . . . . . . . . . . . . . . . . . . . . . . . . . . . . . . . 39 Total plan assets . . . . . . . . . . . . . . . . . . . . . . . . . . . . . . . . . . . . . . . . . . . . . . . . . . . . . . . . . . . . . . . . . . . . . $ 80 _______________ (a) The fair values of these plan assets were determined using the NAV as a practical expedient and therefore have not been classified in the fair value hierarchy. F-29 The following table presents the fair values of plan assets by category as of December 31, 2023: Asset Category Quoted Price in Active Market for Identical Assets (Level I) Significant Other Observable Inputs (Level II) Significant Unobservable Inputs (Level III) Total Cash and cash equivalents . . . . . . . . . . . . . . . . . . . . $ 3 $ — $ — $ 3 Equity securities . . . . . . . . . . . . . . . . . . . . . . . . . . . . — — — — Fixed income securities . . . . . . . . . . . . . . . . . . . . . . — 35 — 35 Total . . . . . . . . . . . . . . . . . . . . . . . . . . . . . . . . . . . . $ 3 $ 35 $ — $ 38 Plan assets measured at NAV (a) . . . . . . . . . . . . . . . . . . . . . . . . . . . . . . . . . . . . . . . . . . . . . . . . . . . . . . . . . . 48 Total plan assets . . . . . . . . . . . . . . . . . . . . . . . . . . . . . . . . . . . . . . . . . . . . . . . . . . . . . . . . . . . . . . . . . . . . . $ 86 _______________ (a) The fair values of these plan assets were determined using the NAV as a practical expedient and therefore have not been classified in the fair value hierarchy. OTHER EMPLOYEE BENEFIT PLANS The Company also maintains post-retirement health and welfare plans for certain subsidiaries and a non-qualified pension plan for certain individuals. The related projected benefit obligation for these plans accrued on the Company’s Consolidated Balance Sheets (primarily within other non-current liabilities) was $3 million at both December 31, 2024 and 2023. DEFINED CONTRIBUTION SAVINGS PLAN The Company sponsors a defined contribution savings plan that provides certain of its eligible employees an opportunity to accumulate funds for retirement and has a Company match for a portion of the contributions made by participating employees. The Company’s cost for contributions to this plan was $21 million, $21 million and $22 million for the years ended December 31, 2024, 2023 and 2022, respectively. 12. INCOME TAXES The components of pretax loss for domestic and foreign operations consisted of the following: Year Ended December 31, 2024 2023 2022 Domestic . . . . . . . . . . . . . . . . . . . . . . . . . . . . . . . . . . . . . . . . . . . . . . . . . . . . . . $ (133) $ (119) $ (368) Foreign . . . . . . . . . . . . . . . . . . . . . . . . . . . . . . . . . . . . . . . . . . . . . . . . . . . . . . . . 4 6 17 Pretax loss . . . . . . . . . . . . . . . . . . . . . . . . . . . . . . . . . . . . . . . . . . . . . . . . . . . . . $ (129) $ (113) $ (351) The components of income tax benefit consisted of the following: Year Ended December 31, 2024 2023 2022 Current: Federal . . . . . . . . . . . . . . . . . . . . . . . . . . . . . . . . . . . . . . . . . . . . . . . . . . . . $ (2) $ 9 $ 24 State . . . . . . . . . . . . . . . . . . . . . . . . . . . . . . . . . . . . . . . . . . . . . . . . . . . . . . (1) 5 — Foreign . . . . . . . . . . . . . . . . . . . . . . . . . . . . . . . . . . . . . . . . . . . . . . . . . . . . 3 4 4 Total current . . . . . . . . . . . . . . . . . . . . . . . . . . . . . . . . . . . . . . . . . . . . . . — 18 28 Deferred: Federal . . . . . . . . . . . . . . . . . . . . . . . . . . . . . . . . . . . . . . . . . . . . . . . . . . . . (13) (31) (78) State . . . . . . . . . . . . . . . . . . . . . . . . . . . . . . . . . . . . . . . . . . . . . . . . . . . . . . 11 (2) (18) Foreign . . . . . . . . . . . . . . . . . . . . . . . . . . . . . . . . . . . . . . . . . . . . . . . . . . . . — — — Total deferred . . . . . . . . . . . . . . . . . . . . . . . . . . . . . . . . . . . . . . . . . . . . . (2) (33) (96) Income tax benefit . . . . . . . . . . . . . . . . . . . . . . . . . . . . . . . . . . . . . . . . . . . . . . $ (2) $ (15) $ (68) F-30 A reconciliation of the Company’s effective income tax rate at the U.S. federal statutory rate of 21% to the actual expense was as follows: Year Ended December 31, 2024 2023 2022 Federal statutory rate . . . . . . . . . . . . . . . . . . . . . . . . . . . . . . . . . . . . . . . . . . . . . 21 % 21 % 21 % State and local income taxes, net of federal tax benefits . . . . . . . . . . . . . . . . . . 5 1 3 Non-deductible equity compensation . . . . . . . . . . . . . . . . . . . . . . . . . . . . . . . . . (1) (1) — Non-deductible executive compensation . . . . . . . . . . . . . . . . . . . . . . . . . . . . . . (4) (4) (1) Goodwill impairment . . . . . . . . . . . . . . . . . . . . . . . . . . . . . . . . . . . . . . . . . . . . . — (5) (8) Uncertain tax positions . . . . . . . . . . . . . . . . . . . . . . . . . . . . . . . . . . . . . . . . . . . . — — (1) Tax credits (a) . . . . . . . . . . . . . . . . . . . . . . . . . . . . . . . . . . . . . . . . . . . . . . . . . . 5 6 7 Net change in valuation allowance (b) . . . . . . . . . . . . . . . . . . . . . . . . . . . . . . . . (21) (5) — Other permanent differences . . . . . . . . . . . . . . . . . . . . . . . . . . . . . . . . . . . . . . . (3) — (2) Effective tax rate . . . . . . . . . . . . . . . . . . . . . . . . . . . . . . . . . . . . . . . . . . . . . . 2 % 13 % 19 % _______________ (a) This item in 2022 includes a benefit related to the completion of a research tax credit study for tax years 2016 through 2022. (b) As a result of the Company's recent history of losses, the Company increased the valuation allowance, primarily on foreign tax credits and state net operating losses. Deferred income taxes result from temporary differences between the amount of assets and liabilities recognized for financial reporting and tax purposes. The components of the deferred income tax assets and liabilities are as follows: December 31, 2024 2023 Deferred income tax assets: Net operating loss carryforwards . . . . . . . . . . . . . . . . . . . . . . . . . . . . . . . . . . . . . . . . . . . . . $ 37 $ 36 Tax credit carryforwards . . . . . . . . . . . . . . . . . . . . . . . . . . . . . . . . . . . . . . . . . . . . . . . . . . . 32 28 Accrued liabilities and deferred income . . . . . . . . . . . . . . . . . . . . . . . . . . . . . . . . . . . . . . . . 108 117 Interest expense limitation carryforward . . . . . . . . . . . . . . . . . . . . . . . . . . . . . . . . . . . . . . . 20 5 Operating leases . . . . . . . . . . . . . . . . . . . . . . . . . . . . . . . . . . . . . . . . . . . . . . . . . . . . . . . . . . 105 120 Minimum pension obligations . . . . . . . . . . . . . . . . . . . . . . . . . . . . . . . . . . . . . . . . . . . . . . . 12 13 Provision for doubtful accounts . . . . . . . . . . . . . . . . . . . . . . . . . . . . . . . . . . . . . . . . . . . . . . 9 10 Liability for unrecognized tax benefits . . . . . . . . . . . . . . . . . . . . . . . . . . . . . . . . . . . . . . . . 2 2 Total deferred tax assets . . . . . . . . . . . . . . . . . . . . . . . . . . . . . . . . . . . . . . . . . . . . . . . . . 325 331 Less: valuation allowance . . . . . . . . . . . . . . . . . . . . . . . . . . . . . . . . . . . . . . . . . . . . . . . . . . (51) (25) Total deferred income tax assets after valuation allowance . . . . . . . . . . . . . . . . . . . . . . 274 306 Deferred income tax liabilities: Depreciation and amortization . . . . . . . . . . . . . . . . . . . . . . . . . . . . . . . . . . . . . . . . . . . . . . . 367 384 Operating leases . . . . . . . . . . . . . . . . . . . . . . . . . . . . . . . . . . . . . . . . . . . . . . . . . . . . . . . . . . 87 99 Prepaid expenses . . . . . . . . . . . . . . . . . . . . . . . . . . . . . . . . . . . . . . . . . . . . . . . . . . . . . . . . . 9 9 Basis difference in investment in joint ventures . . . . . . . . . . . . . . . . . . . . . . . . . . . . . . . . . 18 21 Total deferred tax liabilities . . . . . . . . . . . . . . . . . . . . . . . . . . . . . . . . . . . . . . . . . . . . . . . 481 513 Net deferred income tax liabilities . . . . . . . . . . . . . . . . . . . . . . . . . . . . . . . . . . . . . . . . . . . . . . $ (207) $ (207) As of December 31, 2024, the Company’s deferred tax asset for net operating loss carryforwards is primarily related to certain state net operating loss carryforwards which expire between 2025 and 2036. The Company’s deferred tax asset for tax credits carryforwards is primarily related to foreign tax credits which expire between 2024 and 2034. The Company's interest expense limitation carryforward never expires. F-31 Accounting for Uncertainty in Income Taxes The Company utilizes the FASB guidance for accounting for uncertainty in income taxes, which prescribes a recognition threshold and a measurement attribute for the financial statement recognition and measurement of tax positions taken or expected to be taken in a tax return. The Company reflects changes in its liability for unrecognized tax benefits as income tax expense in the Consolidated Statements of Operations. As of December 31, 2024, the Company’s gross liability for unrecognized tax benefits was $20 million, of which $18 million would affect the Company’s effective tax rate, if recognized. The Company files U.S., state and foreign income tax returns in jurisdictions with varying statutes of limitations. Tax returns for the 2006 through 2024 tax years remain subject to examination by federal and certain state tax authorities. In significant foreign jurisdictions, tax returns for the 2018 through 2024 tax years generally remain subject to examination by their respective tax authorities. The Company believes that it is reasonably possible that the total amount of its unrecognized tax benefits could decrease by $12 million in certain taxing jurisdictions where the statute of limitations is set to expire within the next twelve months. The Company recognizes accrued interest and penalties related to unrecognized tax benefits in interest expense and operating expenses, respectively. The Company recognized an increase in interest expense of $1 million in each of the years ended December 31, 2024, 2023 and 2022. The rollforward of unrecognized tax benefits are summarized in the table below: Unrecognized tax benefits—January 1, 2022 . . . . . . . . . . . . . . . . . . . . . . . . . . . . . . . . . . . . . . . . . . . . . . . . . . . $ 17 Gross increases - tax positions in prior periods . . . . . . . . . . . . . . . . . . . . . . . . . . . . . . . . . . . . . . . . . . . . . . 3 Gross decreases - tax positions in prior periods . . . . . . . . . . . . . . . . . . . . . . . . . . . . . . . . . . . . . . . . . . . . . (1) Gross increases - tax positions in current period . . . . . . . . . . . . . . . . . . . . . . . . . . . . . . . . . . . . . . . . . . . . . 1 Unrecognized tax benefits—December 31, 2022 . . . . . . . . . . . . . . . . . . . . . . . . . . . . . . . . . . . . . . . . . . . . . . . . 20 Gross decreases - tax positions in prior periods . . . . . . . . . . . . . . . . . . . . . . . . . . . . . . . . . . . . . . . . . . . . . (1) Gross increases - tax positions in current period . . . . . . . . . . . . . . . . . . . . . . . . . . . . . . . . . . . . . . . . . . . . . 1 Unrecognized tax benefits—December 31, 2023 . . . . . . . . . . . . . . . . . . . . . . . . . . . . . . . . . . . . . . . . . . . . . . . . 20 Gross decreases - tax positions in prior periods . . . . . . . . . . . . . . . . . . . . . . . . . . . . . . . . . . . . . . . . . . . . . (1) Gross increases - tax positions in current period . . . . . . . . . . . . . . . . . . . . . . . . . . . . . . . . . . . . . . . . . . . . . 1 Unrecognized tax benefits—December 31, 2024 . . . . . . . . . . . . . . . . . . . . . . . . . . . . . . . . . . . . . . . . . . . . . . . . $ 20 The Company is subject to income taxes in the United States and several foreign jurisdictions. Significant judgment is required in determining the worldwide provision for income taxes and recording related assets and liabilities. In the ordinary course of business, there are many transactions and calculations where the ultimate tax determination is uncertain. The Company is regularly under audit by tax authorities whereby the outcome of the audits is uncertain. The Company believes there is appropriate support for positions taken on its tax returns. The liabilities that have been recorded represent the best estimates of the probable loss on certain positions and are adequate for all open years based on an assessment of many factors including past experience and interpretations of tax law applied to the facts of each matter. However, the outcomes of tax audits are inherently uncertain. Tax Sharing Agreement Under the Tax Sharing Agreement with Cendant, Wyndham Worldwide and Travelport, the Company is generally responsible for 62.5% of payments made to settle claims with respect to tax periods ending on or prior to December 31, 2006 that relate to income taxes imposed on Cendant and certain of its subsidiaries, the operations (or former operations) of which were determined by Cendant not to relate specifically to the respective businesses of Anywhere, Wyndham Worldwide, Avis Budget or Travelport. With respect to any remaining residual legacy Cendant tax liabilities, the Company and its former parent believe there is appropriate support for the positions taken on Cendant’s tax returns. However, tax audits and any related litigation, including disputes on the allocation of tax liabilities between parties under the Tax Sharing Agreement, could result in outcomes for the Company that are different from those reflected in the Company’s historical financial statements. F-32


 
13. STOCK-BASED COMPENSATION The Company grants stock-based compensation awards to certain senior management members, employees and directors. These awards include non-qualified stock options, restricted stock unit ("RSU") awards, and performance share unit ("PSU") awards. Equity Based Awards 2018 Long-Term Incentive Plan The Company's stockholders approved the Second Amended and Restated 2018 Long-Term Incentive Plan (the "2018 Plan") at the 2023 Annual Meeting of Stockholders held on May 3, 2023. Under the 2018 Plan, a total of 14 million shares were authorized for issuance and as of December 31, 2024, approximately 1.8 million shares remain available for future grants. Equity Grant Provisions The form of equity award agreements includes a retirement provision for equity grants, allowing for continued vesting of awards once an employee has attained the age of 65 years, or 55 years of age or older plus at least ten years of tenure with the Company, provided the employee has been employed or provided services to the Company for at least one year following the grant date or start of the performance period. Historically, equity awards granted annually generally included a mix of RSU awards, PSU awards and options. However, in 2020 the Company shifted away from granting options, limited equity awards to a small group of executives and granted other key employees cash-based awards. Restricted Stock Units (RSUs) RSU awards vest over three years, with 33.33% vesting on each anniversary of the grant date. The fair value of RSU awards is equal to the closing sale price of the Company's common stock on the grant date. During 2024, the Company granted RSU awards related to 1.7 million shares with a weighted average grant date fair value of $5.87. These include shares granted to certain executives in February 2024 and directors in May 2024. At December 31, 2024, there were 3.1 million shares underlying share-settled RSUs outstanding with a weighted average grant date fair value of $6.99. Performance Share Units (PSUs) PSU awards are incentives tied to the Company's financial performance. PSUs granted in 2023 and 2022 were based on two metrics over a three-year performance period which began January 1st of the grant year and ends on December 31st of the third year following the grant year. The first metric was based upon the total stockholder return of Anywhere's common stock relative to the total stockholder return of the S&P MidCap 400 index ("RTSR"), and the second metric was based upon the achievement of cumulative free cash flow goals ("CFCF"). The payout under each PSU award is variable and based upon the extent to which the performance goals are achieved over the performance period (with a range of payout from 0% to 175% of target for the RTSR award and 0% to 200% of target for the CFCF award) and will be distributed during the first quarter after the end of the performance period. The fair value of the CFCF awards was based on the Company's stock price at the grant date and the fair value of the RTSR awards was estimated at the grant date using the Monte Carlo Simulation method. The 2024 PSU awards are tied to three equally weighted, annually established free cash flow goals, averaged over a three- year performance period ending December 31, 2026. Final payouts are subject to a potential 15% upward or downward adjustment based on the Company’s relative total stockholder return against its compensation peer group (with double weighting for direct real estate competitors). Consistent with FASB ASC Topic 718, the grant date for each third of the 2024 PSU award will occur as performance targets are established annually. The fair value for each third of the 2024 PSU award is estimated using the Monte Carlo Simulation method on its respective grant date, with compensation expense recorded over the corresponding performance year and adjusted based on actual performance relative to the established free cash flow target. Of the total 2024 PSU award of 1.3 million units at target, 0.4 million units were granted in February 2024 with a grant date fair value of $6.44, to align with the 2024 established free cash flow target. As of December 31, 2024, there were 2.6 million performance share units outstanding with a weighted average grant date fair value of $8.40. Stock Options Stock options have a maximum term of ten years and vest over four years, with 25% vesting on each anniversary of the grant date. The options have an exercise price equal to the closing sale price of the Company's common stock on the grant F-33 date. The fair value of options is estimated on the grant date using the Black-Scholes option-pricing model. At December 31, 2024, there were 1.4 million options outstanding with a weighted average exercise price of $21.97, all of which are exercisable with an intrinsic value of zero and a weighted average remaining contractual life of 3.3 years. The Company has not granted options since 2019, and forfeiture and exercise activity was immaterial for the year ended December 31, 2024. Equity Based Compensation Expense As of December 31, 2024, based on current performance achievement expectations, there was $17 million of unrecognized compensation cost related to incentive equity awards under the plans which would be recorded in future periods as compensation expense over a remaining weighted average period of approximately 1.7 years. The Company recorded compensation expense related to the incentive equity awards of $17 million, $12 million and $22 million for the years ended December 31, 2024, 2023 and 2022, respectively. 14. RESTRUCTURING COSTS Restructuring charges for the years ended December 31, 2024, 2023 and 2022 were $32 million, $49 million and $32 million, respectively. The components of the restructuring charges for the years ended December 31, 2024, 2023 and 2022 were as follows: Years Ended December 31, 2024 2023 2022 Personnel-related costs (a) . . . . . . . . . . . . . . . . . . . . . . . . . . . . . . . . . . . . . . . . . . $ 15 $ 21 $ 16 Facility-related costs (b) . . . . . . . . . . . . . . . . . . . . . . . . . . . . . . . . . . . . . . . . . . . . 15 28 16 Other (c) . . . . . . . . . . . . . . . . . . . . . . . . . . . . . . . . . . . . . . . . . . . . . . . . . . . . . . . . 2 — — Total restructuring charges (d) . . . . . . . . . . . . . . . . . . . . . . . . . . . . . . . . . . . . . $ 32 $ 49 $ 32 _______________ (a) Personnel-related costs consist of severance costs provided to employees who have been terminated. (b) Facility-related costs consist of costs associated with planned facility closures such as contract termination costs, amortization of lease assets that will continue to be incurred under the contract for its remaining term without economic benefit to the Company, accelerated depreciation on asset disposals and other facility and employee relocation related costs. (c) Other restructuring costs consist of costs related to professional fees, consulting fees and other costs associated with restructuring activities which are primarily recorded at Corporate. (d) Restructuring charges for the year ended December 31, 2024 include $2 million of expense related to the Reimagine25 Plan, $26 million of expense related to the Operational Efficiencies Plan and $4 million of expense related to prior restructuring plans. Restructuring charges for the year ended December 31, 2023 include $43 million of expense related to the Operational Efficiencies Plan and $6 million of expense related to prior restructuring plans. Restructuring charges for the year ended December 31, 2022 include $20 million of expense related to the Operational Efficiencies Plan and $12 million of expense related to prior restructuring plans. Reimagine25: Strategic Transformation Initiative In 2025, the Company launched Reimagine25 to transform how it operates as a Company, seizing new opportunities unlocked by generative AI and other emerging technologies to deliver better experiences for its customers faster and at lower cost. These efforts position the Company for long-term success and a stronger competitive edge in an ever-evolving industry. As part of Reimagine25, the Company expects to incur restructuring costs to implement these changes. While these costs will likely include investments in technology, process optimization, and workforce realignment, the Company is still evaluating the scope of the program. Operational Efficiencies Plan The Company's Operational Efficiencies Plan, which began at the end of 2022, improved operational efficiency, reduced office footprint costs, and centralized operational support. Additionally, the Company implemented a workforce reduction due to housing market trends and invested in digital transformation and technology to support its agents, franchisees, and consumers. F-34 The following is a reconciliation of the beginning and ending reserve balances related to the Operational Efficiencies Plan: Personnel-related costs Facility-related costs Total Balance at December 31, 2023 . . . . . . . . . . . . . . . . . . . . . . . . . . . . . . . $ 10 $ 4 $ 14 Restructuring charges (a) . . . . . . . . . . . . . . . . . . . . . . . . . . . . . . . . . 15 11 26 Costs paid or otherwise settled . . . . . . . . . . . . . . . . . . . . . . . . . . . . . (18) (12) (30) Balance at December 31, 2024 . . . . . . . . . . . . . . . . . . . . . . . . . . . . . . . $ 7 $ 3 10 _______________ (a) In addition, the Company incurred $8 million of facility-related costs for lease asset impairments in connection with the Operational Efficiencies Plan during the year ended December 31, 2024. The following table shows the total costs by type of cost related to the Operational Efficiencies Plan: Total amount expected to be incurred Amount incurred to date Total amount remaining to be incurred Personnel-related costs . . . . . . . . . . . . . . . . . . . . . . . . . . . . . . . . . . . . . $ 50 $ 50 $ — Facility-related costs . . . . . . . . . . . . . . . . . . . . . . . . . . . . . . . . . . . . . . . 39 39 — Total . . . . . . . . . . . . . . . . . . . . . . . . . . . . . . . . . . . . . . . . . . . . . . . . . $ 89 $ 89 $ — The following table shows the total costs by reportable segment and in Corporate and Other related to the Operational Efficiencies Plan: Total amount expected to be incurred Amount incurred to date Total amount remaining to be incurred Franchise Group . . . . . . . . . . . . . . . . . . . . . . . . . . . . . . . . . . . . . . . . . . $ 17 $ 17 $ — Owned Brokerage Group . . . . . . . . . . . . . . . . . . . . . . . . . . . . . . . . . . . 54 54 — Title Group . . . . . . . . . . . . . . . . . . . . . . . . . . . . . . . . . . . . . . . . . . . . . . 5 5 — Corporate and Other . . . . . . . . . . . . . . . . . . . . . . . . . . . . . . . . . . . . . . . 13 13 — Total . . . . . . . . . . . . . . . . . . . . . . . . . . . . . . . . . . . . . . . . . . . . . . . . . $ 89 $ 89 $ — Prior Restructuring Plans During 2019, the Company took various strategic initiatives to reduce costs and institute operational and facility related efficiencies to drive profitability. During 2020, as a result of the COVID-19 pandemic, the Company transitioned substantially all of its employees to a remote-work environment which allowed the Company to reevaluate its office space needs. As a result, additional facility and operational efficiencies were identified and implemented which included the transformation of its corporate headquarters in Madison, New Jersey to an open-plan innovation hub. At December 31, 2023, the remaining liability related to these initiatives was $9 million. During the year ended December 31, 2024, the Company incurred $4 million of costs and paid or settled $6 million of costs resulting in a remaining accrual of $7 million at December 31, 2024. The remaining accrual of $7 million and total amount remaining to be incurred of $13 million primarily relate to the transformation of the Company's corporate headquarters. 15. COMMITMENTS AND CONTINGENCIES Litigation The Company is involved in various claims, legal proceedings, alternative dispute resolution and governmental inquiries or regulatory actions, including the matters described below. Litigation and other disputes are inherently unpredictable and subject to substantial uncertainties. Even cases brought by us can involve counterclaims asserted against us and even in matters in which we are not a named party, regulatory investigations and other litigation can have significant implications for the Company, particularly to the extent that changes in industry rules and practices can directly impact us. In addition, litigation and other legal matters, including class action lawsuits, multi-party litigation and regulatory proceedings challenging practices that have broad impact, can be costly to defend and, depending on the class size and claims, could be costly to settle. Certain types of claims, such as RESPA and antitrust laws, generally provide for joint and several liability and treble damages. Insurance coverage may be unavailable F-35 for certain types of claims (including antitrust and Telephone Consumer Protection Act ("TCPA") litigation), insurance carriers may dispute coverage, and even where coverage is provided, it may not cover the full amount of losses the Company incurs. The Company believes that it has adequately accrued for legal matters as appropriate. The Company records litigation accruals for legal matters when it is both probable that a liability will be incurred, and the amount of the loss can be reasonably estimated. Where the reasonable estimate of the probable loss is a range, the Company records as an accrual in its financial statements the most likely estimate of the loss, or the low end of the range if there is no "most likely" estimate. For other litigation, management is unable to provide a meaningful estimate of the possible loss or range of possible losses that could potentially result from such litigation. The captioned matters described herein cover evolving, complex litigation and the Company assesses its accruals on an ongoing basis taking into account the procedural stage and developments in the litigation. The Company could incur charges or judgments or enter into settlements of claims, based upon future events or developments, with liabilities that are materially in excess of amounts accrued and these judgments or settlements could have a material adverse effect on the Company’s financial condition, results of operations or cash flows in any particular period. As such, an increase in accruals for one or more of these matters in any reporting period may have a material adverse effect on the Company's results of operations and cash flows for that period. From time to time, even if the Company believes it has substantial defenses, it may consider litigation settlements based on a variety of circumstances. Litigation contingencies incurred in connection with industry-wide antitrust lawsuits and class action lawsuits were: $2 million for the year ended December 31, 2024; $43 million for the year ended December 31, 2023; and $63 million for the year ended December 31, 2022. All of these matters are presented as currently captioned, but as noted elsewhere in this Annual Report, Realogy Holdings Corp. has been renamed Anywhere Real Estate Inc. Antitrust Litigation The three bulleted cases directly below are class actions covering sellers of homes utilizing a broker during the class period that challenge residential real estate industry rules and practices that require an offer of compensation and payment of buyer- broker commissions and certain alleged associated practices, including in the following cases: • Burnett, Hendrickson, Breit, Trupiano, and Keel v. The National Association of Realtors, Realogy Holdings Corp., Homeservices of America, Inc., BHH Affiliates LLC, HSF Affiliates, LLC, RE/MAX LLC, and Keller Williams Realty, Inc. (U.S. District Court for the Western District of Missouri) (formerly captioned as Sitzer); • Moehrl, Cole, Darnell, Ramey, Umpa and Ruh v. The National Association of Realtors, Realogy Holdings Corp., Homeservices of America, Inc., BHH Affiliates, LLC, The Long & Foster Companies, Inc., RE/MAX LLC, and Keller Williams Realty, Inc. (U.S. District Court for the Northern District of Illinois); and • Nosalek, Hirschorn and Hirschorn v. MLS Property Information Network, Inc., Realogy Holdings Corp., Homeservices of America, Inc., BHH Affiliates, LLC, HSF Affiliates, LLC, RE/MAX LLC, and Keller Williams Realty, Inc. (U.S. District Court for the District of Massachusetts). In October 2023, the Company agreed to a settlement, on a nationwide basis, of all claims asserted or that could have been asserted against Anywhere in the Burnett, Moehrl and Nosalek cases, including claims asserted on behalf of home sellers in similar matters (the “Anywhere Settlement”) and the court granted final approval of the Anywhere Settlement on May 9, 2024. The final approval has been appealed by several parties, including a plaintiff class member from the Batton buy-side case (described below), specifically claiming that the release in the Anywhere Settlement should not release any buy-side claims that sellers may also have. The Anywhere Settlement releases the Company, all subsidiaries, brands, affiliated agents, and franchisees from all claims that were or could have been asserted by all persons who sold a home that was listed on a multiple listing service anywhere in the United States where a commission was paid to any brokerage in connection with the sale of the home in the relevant class period. The Anywhere Settlement is not an admission of liability, nor does it concede or validate any of the claims asserted against Anywhere. Under the terms of the nationwide Anywhere Settlement, Anywhere has agreed to injunctive relief as well as monetary relief of $83.5 million, of which $30 million has been paid and the remaining $53.5 million will be due within 21 business days F-36


 
after all appellate rights are exhausted, the timing of which is uncertain. The Company currently expects the payment to occur no earlier than mid-2025. The Anywhere Settlement includes injunctive relief for a period of five years, requiring practice changes in the Company owned brokerage operations and that the Company recommend and encourage these same practice changes to its independently owned and operated franchise network. The injunctive relief, includes but is not limited to, reminding Company owned brokerages, franchisees and their respective agents that Anywhere has no rule requiring offers of compensation to buyer brokers; prohibiting Company-owned brokerages (and recommending to franchisees) and agents from using technology (or manually) to sort listings by offers of compensation, unless requested by the client; eliminating any minimum client commission for Company-owned brokerages; and refraining from adopting any requirement that Company-owned brokerages, franchisees or their respective agents belong to NAR or follow NAR’s Code of Ethics or MLS handbook. The practice changes are to take place no later than six months after the Anywhere Settlement receives final court approval and all appellate rights are exhausted. In addition, since late October 2023, dozens of copycat additional lawsuits with similar or related claims have been filed against various real estate brokerages, NAR, MLSs, and/or state and local Realtor associations, about a third of which name Anywhere, its subsidiaries or franchisees. In those cases, plaintiffs have generally either agreed to dismiss or stay the actions against Anywhere, its subsidiaries or franchisees pending the conclusion of the appeals of the trial court's grant of final approval of the Anywhere Settlement. Separately, a putative nationwide class action on behalf of home buyers (instead of sellers) captioned Batton, Bolton, Brace, Kim, James, Mullis, Bisbicos and Parsons v. The National Association of Realtors, Realogy Holdings Corp., Homeservices of America, Inc., BHH Affiliates, LLC, HSF Affiliates, LLC, The Long & Foster Companies, Inc., RE/MAX LLC, and Keller Williams Realty, Inc. (U.S. District Court for the Northern District of Illinois Eastern Division) was filed on January 25, 2021 ("Batton", formerly captioned as Leeder), in which the plaintiffs take issue with certain NAR policies, including those related to buyer-broker compensation at issue in the Moehrl,Burnett and Nosalek matters, but claim the alleged conspiracy has harmed buyers (instead of sellers), and seek a permanent injunction enjoining NAR from establishing in the future the same or similar rules, policies, or practices as those challenged in the action as well as an award of damages and/or restitution, interest, and reasonable attorneys’ fees and expenses. The only claims remaining outstanding are state law claims. The Company's motion to dismiss has been denied. The Company disputes the allegations against it in this case, believes it has substantial defenses to plaintiffs’ claims, and is vigorously defending this litigation. In addition to these substantial defenses, the final approval of the Anywhere Settlement has limited the size of the Batton case because the settling plaintiffs are releasing claims of the type alleged in Batton. As noted above, the named plaintiffs in the Batton case have filed an appeal of the final approval of the Anywhere Settlement, objecting to the release of buy-side claims in that settlement. Homie Technology v. National Association of Realtors, et al. (U.S. District Court for the District of Utah). On August 22, 2024, Homie Technology filed a complaint against NAR, the Company, several other real estate brokerages and franchisors and a MLS, seeking damages and injunctive relief, alleging that the defendants had conspired to exclude Homie and other new market entrants from the market for real estate brokerage services. The alleged conspiracy includes creating a market structure that facilitates boycotts of new entrants, including through the implementation and enforcement of NAR rules governing the operation of MLSs, which Homie claims to be exclusionary. Homie asserts violations of federal and state antitrust laws along with a common law claim of economic harm. The Company filed a motion to dismiss on October 18, 2024, which was heard by the court on February 20, 2025. McFall v. Canadian Real Estate Association, et al., Federal Court, Canada, Court File No. T-119-24. In this putative class action, filed on January 18, 2024, plaintiff alleges that Coldwell Banker Canada, amongst other brokers, franchisors, Regional Real Estate Boards and the Canadian Real Estate Board conspired to fix the price of buyer brokerage services in violation of civil and criminal statutes. On March 14, 2024, the Court entered an order functionally staying the matter pending further order of the court. We believe the court will reexamine this order upon conclusion of the appeal in a previously filed matter involving similar allegations but different parties. Telephone Consumer Protection Act Litigation Bumpus, et al. v. Realogy Holdings Corp., et al. (U.S. District Court for the Northern District of California, San Francisco Division). In this class action filed on June 11, 2019, plaintiffs allege that independent sales agents affiliated with Anywhere Advisors LLC violated the Telephone Consumer Protection Act of 1991 (TCPA) using dialers provided by Mojo Dialing Solutions, LLC and others. Plaintiffs seek relief on behalf of a National Do Not Call Registry class, an Internal Do Not Call class, and an Artificial or Prerecorded Message class. F-37 In January 2025, the Company entered into a settlement of the case, which remains subject to preliminary and final approval of the court, pursuant to which it will pay $20 million. The court’s preliminary approval hearing for the settlement is currently scheduled for February 27, 2025. Other Examples of other legal matters involving the Company may include but are not limited to: • antitrust and anti-competition claims, including claims alleging exclusionary conduct or boycotts, among others; • TCPA claims; • claims alleging violations of RESPA, state consumer fraud statutes, federal consumer protection statutes or other state real estate law violations; • employment law claims, including claims that independent residential real estate sales agents engaged by our company owned brokerages or by affiliated franchisees—under certain state or federal laws—are potentially employees instead of independent contractors, and they or regulators therefore may bring claims against our Owned Brokerage Group for breach of contract, wage and hour classification claims, wrongful discharge, unemployment and workers' compensation and could seek benefits, back wages, overtime, indemnification, penalties related to classification practices and expense reimbursement available to employees or make similar claims against Franchise Group as an alleged joint employer of an affiliated franchisee’s independent sales agents; • other employment law matters, including other types of worker classification claims as well as wage and hour claims and retaliation claims; • claims alleging violations of consumer protection laws; • claims regarding non-competition, non-solicitation and restrictive covenants together with claims of tortious interference and other improper recruiting conduct; • information privacy and security claims, including claims under new and emerging data privacy laws related to the protection of customer, employee or third-party information, claims related to the implementation of various consumer opt-out rights, and claims under biometric data laws such as the Illinois Biometric Information Privacy Act; • cyber-crime claims, including claims related to the diversion of homesale transaction closing funds; • vicarious or joint liability claims based upon the conduct of individuals or entities traditionally outside of our control, including franchisees and independent sales agents, under joint employer claims or other theories of actual or apparent agency; • claims by current or former franchisees that franchise agreements were breached, including improper terminations; • claims generally against the company owned brokerage operations for negligence, misrepresentation or breach of fiduciary duty in connection with the performance of real estate brokerage or other professional services as well as other brokerage claims associated with listing information and property history; • claims related to intellectual property or copyright law, including infringement actions alleging improper use of copyrighted photographs on websites or in marketing materials without consent of the copyright holder or claims challenging our trademarks; • claims concerning breach of obligations to make websites and other services accessible for consumers with disabilities; • claims against the title agent contending that the agent knew or should have known that a transaction was fraudulent or that the agent was negligent in addressing title defects or conducting the settlement; • claims related to disclosure or securities law violations as well as derivative suits; and • fraud, defalcation or misconduct claims. Other ordinary course legal proceedings that may arise from time to time include those related to commercial arrangements, indemnification (under contract or common law), franchising arrangements, the fiduciary duties of brokers, standard brokerage disputes like the failure to disclose accurate square footage or hidden defects in the property such as mold, claims under the False Claims Act (or similar state laws), consumer lending and debt collection law claims, state auction law, and violations of similar laws in countries where we operate around the world with respect to any of the foregoing. In addition, with the increasing requirements resulting from government laws and regulations concerning data breach notifications and data privacy and protection obligations, claims associated with these laws may become more common. While most litigation F-38 involves claims against the Company, from time to time the Company commences litigation, including litigation against former employees, franchisees and competitors when it alleges that such persons or entities have breached agreements or engaged in other wrongful conduct. * * * Cendant Corporate Liabilities and Legacy Tax Matter Anywhere Group (then Realogy Corporation) separated from Cendant on July 31, 2006 (the "Separation"), pursuant to a plan by Cendant (now known as Avis Budget Group, Inc.) to separate into four independent companies—one for each of Cendant's business units—real estate services (Anywhere Group, formerly referred to as Realogy Group), travel distribution services ("Travelport"), hospitality services, including timeshare resorts ("Wyndham Worldwide"), and vehicle rental ("Avis Budget Group"). Pursuant to the Separation and Distribution Agreement dated as of July 27, 2006 among Cendant, Anywhere Group, Wyndham Worldwide and Travelport (the "Separation and Distribution Agreement"), each of Anywhere Group, Wyndham Worldwide and Travelport have assumed certain contingent and other corporate liabilities (and related costs and expenses), which are primarily related to each of their respective businesses. In addition, Anywhere Group has assumed 62.5% and Wyndham Worldwide has assumed 37.5% of certain contingent and other corporate liabilities (and related costs and expenses) of Cendant. The due to former parent balance was $40 million and $38 million at December 31, 2024 and 2023, respectively. The due to former parent balance was comprised of the Company’s portion of the following: (i) Cendant’s remaining contingent tax liabilities, (ii) potential liabilities related to Cendant’s terminated or divested businesses, and (iii) potential liabilities related to the residual portion of accruals for Cendant operations. In December 2022, a hearing was held with the California Office of Tax Appeals ("OTA") on a Cendant legacy tax matter involving Avis Budget Group that related to a 1999 transaction. The case presented two issues: (i) whether the notices of proposed assessment issued by the California Franchise Tax Board were barred by the statute of limitations; and (ii) whether a transaction undertaken by Avis Budget Group in tax year 1999 constituted a tax-free reorganization under the Internal Revenue Code. In March 2023, the OTA decided in favor of the California Franchise Tax Board on both issues. As a result, the Company increased its accrual for this legacy tax matter in the first quarter of 2023 and as of December 31, 2024 the accrual is $40 million. On April 10, 2024, the Company's petition for rehearing was denied by the OTA, and the tax assessment is anticipated to become payable as early as first quarter of 2025, even if judicial relief is sought. Tax Matters The Company is subject to income taxes in the United States and several foreign jurisdictions. Significant judgment is required in determining the worldwide provision for income taxes and recording related assets and liabilities. In the ordinary course of business, there are many transactions and calculations where the ultimate tax determination is uncertain. The Company is regularly under audit by tax authorities whereby the outcome of the audits is uncertain. The Company believes there is appropriate support for positions taken on its tax returns. The liabilities that have been recorded represent the best estimates of the probable loss on certain positions and are adequate for all open years based on an assessment of many factors including past experience and interpretations of tax law applied to the facts of each matter. However, the outcomes of tax audits are inherently uncertain. Escrow and Trust Deposits As a service to its customers, the Company administers escrow and trust deposits which represent undisbursed amounts received for the settlement of real estate transactions. Deposits at FDIC-insured institutions are insured up to $250,000. These escrow and trust deposits totaled approximately $518 million at December 31, 2024 and while these deposits are not assets of the Company (and, therefore, are excluded from the accompanying Consolidated Balance Sheets), the Company remains contingently liable for the disposition of these deposits. Purchase Commitments and Minimum Licensing Fees In the normal course of business, the Company makes various commitments to purchase goods or services from specific suppliers, including those related to capital expenditures. The purchase commitments made by the Company as of December 31, 2024 are approximately $98 million. The Company is required to pay a minimum licensing fee to Sotheby’s which began in 2009 and continues through 2054. The annual minimum licensing fee is approximately $2 million per year. The Company is also required to pay a minimum licensing fee to Meredith Operations Corporation from 2009 through 2058 for the licensing of the Better Homes and F-39 Gardens® Real Estate brand. The annual minimum fee was approximately $4 million in 2024 and will generally remain the same thereafter. Future minimum payments for these purchase commitments and minimum licensing fees as of December 31, 2024 are as follows: Year Amount 2025 . . . . . . . . . . . . . . . . . . . . . . . . . . . . . . . . . . . . . . . . . . . . . . . . $ 61 2026 . . . . . . . . . . . . . . . . . . . . . . . . . . . . . . . . . . . . . . . . . . . . . . . . 23 2027 . . . . . . . . . . . . . . . . . . . . . . . . . . . . . . . . . . . . . . . . . . . . . . . . 18 2028 . . . . . . . . . . . . . . . . . . . . . . . . . . . . . . . . . . . . . . . . . . . . . . . . 13 2029 . . . . . . . . . . . . . . . . . . . . . . . . . . . . . . . . . . . . . . . . . . . . . . . . 13 Thereafter . . . . . . . . . . . . . . . . . . . . . . . . . . . . . . . . . . . . . . . . . . . 180 Total . . . . . . . . . . . . . . . . . . . . . . . . . . . . . . . . . . . . . . . . . . . . . $ 308 Standard Guarantees/Indemnifications In the ordinary course of business, the Company enters into numerous agreements that contain standard guarantees and indemnities whereby the Company indemnifies another party for breaches of representations and warranties. In addition, many of these parties are also indemnified against any third-party claim resulting from the transaction that is contemplated in the underlying agreement. Such guarantees or indemnifications are granted under various agreements, including those governing: (i) purchases, sales or outsourcing of assets or businesses, (ii) leases and sales of real estate, (iii) licensing of trademarks, (iv) use of derivatives, and (v) issuances of debt securities. The guarantees or indemnifications issued are for the benefit of the: (i) buyers in sale agreements and sellers in purchase agreements, (ii) landlords in lease contracts, (iii) franchisees in licensing agreements, (iv) financial institutions in derivative contracts, and (v) underwriters in issuances of securities. While some of these guarantees extend only for the duration of the underlying agreement, many survive the expiration of the term of the agreement or extend into perpetuity (unless subject to a legal statute of limitations). There are no specific limitations on the maximum potential amount of future payments that the Company could be required to make under these guarantees, nor is the Company able to develop an estimate of the maximum potential amount of future payments to be made under these guarantees as the triggering events are not subject to predictability. With respect to certain of the aforementioned guarantees, such as indemnifications of landlords against third-party claims for the use of real estate property leased by the Company, the Company maintains insurance coverage that mitigates any potential payments to be made. Other Guarantees/Indemnifications In the normal course of business, the Company coordinates numerous events for its franchisees and thus reserves a number of venues with certain minimum guarantees, such as room rentals at hotels local to the conference center. However, such room rentals are paid by each individual franchisee. If the franchisees do not meet the minimum guarantees, the Company is obligated to fulfill the minimum guaranteed fees. The maximum potential amount of future payments that the Company would be required to make under such guarantees is approximately $6 million. The Company would only be required to pay this maximum amount if none of the franchisees attended the planned events at the reserved venues. Historically, the Company has not been required to make material payments under these guarantees. Insurance and Self-Insurance The Consolidated Balance Sheets include liabilities relating to: (i) self-insured risks for errors and omissions and other legal matters incurred in the ordinary course of business within Owned Brokerage Group and (ii) premium and claim reserves for the Company’s title underwriting business. The Company may also be subject to legal claims arising from the handling of escrow transactions and closings. Owned Brokerage Group carries errors and omissions insurance for errors made during the real estate settlement process of $15 million in the aggregate, subject to a deductible of $1.5 million per occurrence. In addition, the Company carries an additional errors and omissions insurance policy for Anywhere Real Estate Inc. and its subsidiaries for errors made for real estate related services up to $45 million in the aggregate, subject to a deductible of $2.5 million per occurrence. This policy also provides excess coverage to Owned Brokerage Group creating an aggregate limit of $60 million, subject to Owned Brokerage Group's deductible of $1.5 million per occurrence. The Company, through its appropriately licensed subsidiaries within Title Group, acts as a title agent in real estate transactions and helps to provide coverage for real property to mortgage lenders and buyers of real property. When a F-40


 
subsidiary within Title Group is acting as a title agent issuing a policy on behalf of an underwriter, assuming no negligence on the part of the title agent, such subsidiary is not liable for losses under those policies but rather the title insurer is typically liable for such losses. Fraud, defalcation and misconduct by employees are also risks inherent in the business. The Company is the custodian of cash deposited by customers with specific instructions as to its disbursement from escrow, trust and account servicing files. The Company maintains fidelity insurance covering the loss or theft of funds of up to $30 million per occurrence, subject to a deductible of $1 million per occurrence. The Company also maintains self-insurance arrangements relating to health and welfare, workers’ compensation, auto and general liability in addition to other benefits provided to the Company’s employees. The accruals for these self-insurance arrangements totaled approximately $13 million and $12 million for December 31, 2024 and 2023, respectively. 16. EQUITY Changes in Accumulated Other Comprehensive Loss The components of accumulated other comprehensive losses are as follows: Balance at January 1, 2022 . . . . . . . . . . . . . . . . . . . . . . . . . . . . . . . . . . . . . . . . $ (9) $ (41) $ (50) Other comprehensive income before reclassifications . . . . . . . . . . . . . . . . . . — 1 1 Amounts reclassified from accumulated other comprehensive loss . . . . . . . — 2 (c) 2 Income tax expense . . . . . . . . . . . . . . . . . . . . . . . . . . . . . . . . . . . . . . . . . . . . — (1) (1) Current period change . . . . . . . . . . . . . . . . . . . . . . . . . . . . . . . . . . . . . . . . . — 2 2 Balance at December 31, 2022 . . . . . . . . . . . . . . . . . . . . . . . . . . . . . . . . . . . . . (9) (39) (48) Other comprehensive income before reclassifications . . . . . . . . . . . . . . . . . . — 2 2 Amounts reclassified from accumulated other comprehensive loss . . . . . . . — 3 (c) 3 Income tax expense . . . . . . . . . . . . . . . . . . . . . . . . . . . . . . . . . . . . . . . . . . . . — (1) (1) Current period change . . . . . . . . . . . . . . . . . . . . . . . . . . . . . . . . . . . . . . . . . — 4 4 Balance at December 31, 2023 . . . . . . . . . . . . . . . . . . . . . . . . . . . . . . . . . . . . . (9) (35) (44) Other comprehensive (loss) income before reclassifications . . . . . . . . . . . . . (1) 3 2 Amounts reclassified from accumulated other comprehensive loss . . . . . . . — 2 (c) 2 Income tax expense . . . . . . . . . . . . . . . . . . . . . . . . . . . . . . . . . . . . . . . . . . . . — (2) (2) Current period change . . . . . . . . . . . . . . . . . . . . . . . . . . . . . . . . . . . . . . . . . (1) 3 2 Balance at December 31, 2024 . . . . . . . . . . . . . . . . . . . . . . . . . . . . . . . . . . . . . $ (10) $ (32) $ (42) Currency Translation Adjustments (a) Minimum Pension Liability Adjustment Accumulated Other Comprehensive Loss (b) _______________ (a) Assets and liabilities of foreign subsidiaries having non-U.S. dollar functional currencies are translated at exchange rates at the balance sheet dates and equity accounts are translated at historical spot rates. Revenues and expenses are translated at average exchange rates during the periods presented. The gains or losses resulting from translating foreign currency financial statements into U.S. dollars are included in accumulated other comprehensive income (loss). Gains or losses resulting from foreign currency transactions are included in the Consolidated Statements of Operations. (b) As of December 31, 2024, the Company does not have any after-tax components of accumulated other comprehensive loss attributable to noncontrolling interests. (c) These amounts represent the amortization of actuarial gain (loss) to periodic pension cost and were reclassified from accumulated other comprehensive loss to the general and administrative expenses line on the Consolidated Statement of Operations. F-41 Anywhere Group Statements of Equity for the years ended December 31, 2024, 2023 and 2022 Total equity for Anywhere Group equals that of Anywhere, but the components, common stock and additional paid-in capital are different. The table below presents information regarding the balances and changes in common stock and additional paid-in capital of Anywhere Group for each of the three years ended December 31, 2024, 2023 and 2022. Balance at January 1, 2022 . . . . . . . . . . — $ — $ 4,948 $ (2,712) $ (50) $ 6 $ 2,192 Cumulative effect adjustment due to the adoption of ASU 2020-06 . . . . . . . . . — — (53) 5 — — (48) Net (loss) income . . . . . . . . . . . . . . . . . . — — — (287) — 4 (283) Other comprehensive income . . . . . . . . — — — — 2 — 2 Repurchase of common stock . . . . . . . . — — (97) — — — (97) Contributions from Anywhere . . . . . . . . — — 2 — — — 2 Stock-based compensation . . . . . . . . . . . — — 6 — — — 6 Dividends . . . . . . . . . . . . . . . . . . . . . . . . — — — — — (8) (8) Contributions from non-controlling interests . . . . . . . . . . . . . . . . . . . . . . . — — — — — 1 1 Balance at December 31, 2022 . . . . . . . . — $ — $ 4,806 $ (2,994) $ (48) $ 3 $ 1,767 Net loss . . . . . . . . . . . . . . . . . . . . . . . . . — — — (97) — (1) (98) Other comprehensive income . . . . . . . . — — — — 4 — 4 Stock-based compensation . . . . . . . . . . . — — 8 — — — 8 Dividends . . . . . . . . . . . . . . . . . . . . . . . . — — — — — (1) (1) Contributions from non-controlling interests . . . . . . . . . . . . . . . . . . . . . . . — — — — — 1 1 Balance at December 31, 2023 . . . . . . . . — $ — $ 4,814 $ (3,091) $ (44) $ 2 $ 1,681 Net (loss) income . . . . . . . . . . . . . . . . . . — — — (128) — 1 (127) Other comprehensive income . . . . . . . . — — — — 2 — 2 Stock-based compensation . . . . . . . . . . . — — 14 — — — 14 Dividends . . . . . . . . . . . . . . . . . . . . . . . . — — — — — (1) (1) Contributions from non-controlling interests . . . . . . . . . . . . . . . . . . . . . . . — — — — — 1 1 Balance at December 31, 2024 . . . . . . . . — $ — $ 4,828 $ (3,219) $ (42) $ 3 $ 1,570 Anywhere Group Stockholder’s Equity Common Stock Additional Paid-In Capital Accumulated Deficit Accumulated Other Comprehensive Loss Non- controlling Interests Total EquityShares Amount 17. EARNINGS (LOSS) PER SHARE Earnings (loss) per share attributable to Anywhere Basic earnings (loss) per common share is computed based on net income (loss) attributable to Anywhere stockholders divided by the weighted average number of common shares outstanding during the period. Diluted earnings (loss) per common share is computed consistently with the basic computation plus the effect of dilutive potential common shares outstanding during the period. Dilutive potential common shares include shares that the Company could be obligated to issue from its Exchangeable Senior Notes and warrants if dilutive (see Note 9, "Short and Long-Term Debt", for further discussion) and outstanding stock-based compensation awards (see Note 13, "Stock-Based Compensation", for further discussion). For purposes of computing diluted earnings (loss) per common share, weighted average common shares do not include potentially dilutive common shares if their effect is anti-dilutive. As such, the shares that the Company could be obligated to issue from its stock options, warrants and Exchangeable Senior Notes are excluded from the earnings (loss) per share calculation if the exercise or exchangeable price exceeds the average market price of common shares. The Company uses the treasury stock method to calculate the dilutive effect of outstanding stock-based compensation. If dilutive, the Company uses the if converted method to calculate the dilutive effect of its Exchangeable Senior Notes. These F-42 notes will have a dilutive impact when the average market price of the Company’s common stock exceeds the initial exchange price of $24.49 per share. The Exchangeable Senior Notes were not dilutive as of December 31, 2024 as the closing price of the Company's common stock as of December 31, 2024 was less than the initial exchange price. The Company was in a net loss position for the years ended December 31, 2024, 2023 and 2022. Therefore, the impact of incentive equity awards was excluded from the computation of dilutive loss per share as the inclusion of such amounts would be anti-dilutive. Stock Repurchases The Company may repurchase shares of its common stock under authorizations from its Board of Directors. Shares repurchased are retired and not displayed separately as treasury stock on the consolidated financial statements. The par value of the shares repurchased and retired is deducted from common stock and the excess of the purchase price over par value is first charged against any available additional paid-in capital with the balance charged to retained earnings. Direct costs incurred to repurchase the shares are included in the total cost of the shares. The Company's Board of Directors authorized a share repurchase program of up to $300 million of the Company's common stock in February 2022. From the date of authorization through December 31, 2024, the Company repurchased and retired 8.8 million shares of common stock for $97 million. The Company has not repurchased any shares under the share repurchase program since 2022. As of December 31, 2024, $203 million remained available for repurchase under the share repurchase program. The purchase of shares under this plan reduces the weighted-average number of shares outstanding in the basic earnings per share calculation. The Company is subject to limitations on share repurchases, which include compliance with the terms of our debt agreements. 18. RISK MANAGEMENT AND FAIR VALUE OF FINANCIAL INSTRUMENTS RISK MANAGEMENT The following is a description of the Company’s risk management policies. Interest Rate Risk The Company is exposed to market risk from changes in interest rates primarily through senior secured debt. At December 31, 2024, the Company's primary interest rate exposure was to interest rate fluctuations, specifically SOFR, due to its impact on our borrowings under the Revolving Credit Facility. As of December 31, 2024, the Company had variable interest rate debt from outstanding amounts under Revolving Credit Facility of $490 million, which was based on Term SOFR, excluding $140 million of securitization obligations. Credit Risk and Exposure The Company is exposed to counterparty credit risk in the event of nonperformance by counterparties to various agreements and sales transactions. The Company manages such risk by evaluating the financial position and creditworthiness of such counterparties and by requiring collateral in instances in which financing is provided. The Company mitigates counterparty credit risk associated with its derivative contracts by monitoring the amounts at risk with each counterparty to such contracts, periodically evaluating counterparty creditworthiness and financial position, and where possible, dispersing its risk among multiple counterparties. As of December 31, 2024, there were no significant concentrations of credit risk with any individual counterparty or a group of counterparties. The Company actively monitors the credit risk associated with the Company’s receivables. Market Risk Exposure Owned Brokerage Group operates real estate brokerage offices located in and around large metropolitan areas in the U.S. Owned Brokerage Group has more offices and realizes more of its revenues in California, Florida and the New York metropolitan area than any other regions of the country. For the year ended December 31, 2024, Owned Brokerage Group generated approximately 23% of its revenues from California, 21% from the New York metropolitan area and 13% from Florida. For the year ended December 31, 2023, Owned Brokerage Group generated approximately 22% of its revenues from California, 21% from the New York metropolitan area and 14% from Florida. For the year ended December 31, 2022, Owned Brokerage Group generated approximately 23% of its revenues from California, 21% from the New York metropolitan area and 13% from Florida. F-43 Fair Value Measurements The following tables present the Company’s assets and liabilities that are measured at fair value on a recurring basis and are categorized using the fair value hierarchy. The fair value hierarchy has three levels based on the reliability of the inputs used to determine fair value. Level Input: Input Definitions: Level I Inputs are unadjusted, quoted prices for identical assets or liabilities in active markets at the measurement date. Level II Inputs other than quoted prices included in Level I that are observable for the asset or liability through corroboration with market data at the measurement date. Level III Unobservable inputs that reflect management’s best estimate of what market participants would use in pricing the asset or liability at the measurement date. The availability of observable inputs can vary from asset to asset and is affected by a wide variety of factors including, for example, the type of asset, whether the asset is new and not yet established in the marketplace, and other characteristics particular to the transaction. To the extent that valuation is based on models or inputs that are less observable or unobservable in the market, the determination of fair value requires more judgment. Accordingly, the degree of judgment exercised by the Company in determining fair value is greatest for instruments categorized in Level III. In certain cases, the inputs used to measure fair value may fall into different levels of the fair value hierarchy. In such cases, for disclosure purposes, the level in the fair value hierarchy within which the fair value measurement in its entirety falls is determined based on the lowest level input that is significant to the fair value measurement in its entirety. The fair value of financial instruments is generally determined by reference to quoted market values. In cases where quoted market prices are not available, fair value is based on estimates using present value or other valuation techniques, as appropriate. The fair value of interest rate swaps is determined based upon a discounted cash flow approach. The Company measures financial instruments at fair value on a recurring basis and recognizes transfers within the fair value hierarchy at the end of the fiscal quarter in which the change in circumstances that caused the transfer occurred. The following table summarizes fair value measurements by level at December 31, 2024 for assets and liabilities measured at fair value on a recurring basis: Level I Level II Level III Total Deferred compensation plan assets (included in other non-current assets) . . $ 1 $ — $ — $ 1 Contingent consideration for acquisitions (included in accrued expenses and other current liabilities and other non-current liabilities) . . . . . . . . . . — — 2 2 The following table summarizes fair value measurements by level at December 31, 2023 for assets and liabilities measured at fair value on a recurring basis: Level I Level II Level III Total Deferred compensation plan assets (included in other non-current assets) . . $ 1 $ — $ — $ 1 Contingent consideration for acquisitions (included in accrued expenses and other current liabilities and other non-current liabilities) . . . . . . . . . . — — 4 4 The fair value of the Company’s contingent consideration for acquisitions is measured using a probability weighted-average discount rate to estimate future cash flows based upon the likelihood of achieving future operating results for individual acquisitions. These assumptions are deemed to be unobservable inputs and as such the Company’s contingent consideration is classified within Level III of the valuation hierarchy. The Company reassesses the fair value of the contingent consideration liabilities on a quarterly basis. F-44


 
The following table presents changes in Level III financial liabilities measured at fair value on a recurring basis: Level III Fair value of contingent consideration at December 31, 2023 . . . . . . . . . . . . . . . . . . . . . . . . . . . . . . . . . . . . . $ 4 Additions: contingent consideration related to acquisitions completed during the period . . . . . . . . . . . . . — Reductions: payments of contingent consideration . . . . . . . . . . . . . . . . . . . . . . . . . . . . . . . . . . . . . . . . . . (2) Changes in fair value (reflected in general and administrative expenses) . . . . . . . . . . . . . . . . . . . . . . . . . — Fair value of contingent consideration at December 31, 2024 . . . . . . . . . . . . . . . . . . . . . . . . . . . . . . . . . . . . . $ 2 The following table summarizes the principal amount of the Company’s indebtedness compared to the estimated fair value, primarily determined by quoted market values, at: December 31, 2024 December 31, 2023 Debt Principal Amount Estimated Fair Value (a) Principal Amount Estimated Fair Value (a) Revolving Credit Facility . . . . . . . . . . . . . . . . . . . . . . . . . $ 490 $ 490 $ 285 $ 285 Term Loan A Facility . . . . . . . . . . . . . . . . . . . . . . . . . . . . — — 206 205 7.00% Senior Secured Second Lien Notes . . . . . . . . . . . . 640 564 640 590 5.75% Senior Notes . . . . . . . . . . . . . . . . . . . . . . . . . . . . . 558 442 576 448 5.25% Senior Notes . . . . . . . . . . . . . . . . . . . . . . . . . . . . . 449 337 457 336 0.25% Exchangeable Senior Notes . . . . . . . . . . . . . . . . . . 403 359 403 314 _______________ (a) The fair value of the Company's indebtedness is categorized as Level II. 19. SEGMENT INFORMATION The reportable segments presented represent those for which the Company maintains separate financial information regularly provided to and reviewed by its chief operating decision maker ("CODM") for performance assessment and resource allocation. The Company's CODM is the Company's Chief Executive Officer and President. The classification of reportable segments also considers the distinctive nature of services offered by each segment as follows: • Franchise Group is comprised of the Company's franchise business which franchises a portfolio of well-known, industry-leading franchise brokerage brands and also includes the Company's global relocation services operation and lead generation activities. • Owned Brokerage Group operates a full-service real estate brokerage business and also includes the Company's share of equity earnings or losses from its minority-owned real estate auction joint venture. • Title Group provides full-service title, escrow and settlement services to consumers, real estate companies, corporations and financial institutions primarily in support of residential real estate transactions. This segment also includes the Company's share of equity earnings or losses from Guaranteed Rate Affinity, its minority-owned mortgage origination joint venture, and from its minority-owned title insurance underwriter joint venture. The CODM evaluates the performance of the Company's reportable segments primarily through two measures: revenue and operating EBITDA. The CODM focuses on revenue and operating EBITDA by reportable segment in evaluating period over period performance, including budget-to-actual variances, while also taking into consideration current market conditions. This approach provides greater transparency into the operating results of each reportable segment and facilitates effective resource allocation. Operating EBITDA is defined as net income (loss) adjusted for depreciation and amortization, interest expense, net (excluding relocation services interest for securitization assets and securitization obligations), income taxes, and certain non- core items. Non-core items include non-cash stock-based compensation, restructuring charges, impairments, former parent legacy items, legal contingencies unrelated to normal operations which currently includes industry-wide antitrust lawsuits and class action lawsuits, gains or losses on the early extinguishment of debt, and gains or losses on discontinued operations or the sale of businesses, investments, or other assets. Effective December 31, 2024, the definition of Operating EBITDA was updated to include adjustments for non-cash stock-based compensation and legal contingencies unrelated to normal operations which currently includes industry-wide antitrust lawsuits and class action lawsuits to conform with similar adjustments and measures disclosed by industry competitors. These updates primarily impact total company Operating F-45 EBITDA. For consistency and to align with how the CODM evaluates performance, prior periods have been recast to align with the updated definition. The changes have an immaterial impact on segment profitability and do not materially alter trends or comparability across reporting periods. Set forth in the tables below are Segment net revenues and a reconciliation to Total consolidated net revenues and Segment operating EBITDA and a reconciliation to Net loss attributable to Anywhere and Anywhere Group before income taxes for the years ended December 31, 2024, 2023 and 2022. Year Ended December 31, 2024 Franchise Group Owned Brokerage Group Title Group Totals Net revenues from external customers . . . . . . . . . . . . . . . $ 642 $ 4,688 $ 362 $ 5,692 Intersegment revenues (a) . . . . . . . . . . . . . . . . . . . . . . . . 319 — — 319 Segment net revenues . . . . . . . . . . . . . . . . . . . . . . . . . . . 961 4,688 362 6,011 Reconciliation of Segment net revenues to Total consolidated net revenues Elimination of intersegment revenues (a) . . . . . . . . . . . . . . . . . . . . . . . . . . . . . . . . . . . . . . . . . . . . . . . . . . . . (319) Total consolidated net revenues . . . . . . . . . . . . . . . . . . . . . . . . . . . . . . . . . . . . . . . . . . . . . . . . . . . . . . . . . . 5,692 Less (b): Commission and other agent-related costs . . . . . . . . . . . — 3,718 — 3,718 Operating . . . . . . . . . . . . . . . . . . . . . . . . . . . . . . . . . . . . 248 882 299 1,429 Marketing . . . . . . . . . . . . . . . . . . . . . . . . . . . . . . . . . . . . 89 102 18 209 General and administrative (c) . . . . . . . . . . . . . . . . . . . . 103 85 59 247 Equity in earnings . . . . . . . . . . . . . . . . . . . . . . . . . . . . . — (5) (2) (7) Other segment items (d) . . . . . . . . . . . . . . . . . . . . . . . . . — (1) 1 — Segment operating EBITDA . . . . . . . . . . . . . . . . . . . . . 521 (93) (13) 415 Reconciliation of Segment operating EBITDA to Net loss attributable to Anywhere and Anywhere Group before income taxes Unallocated amounts: Former parent legacy cost, net . . . . . . . . . . . . . . . . . . . . . . . . . . . . . . . . . . . . . . . . . . . . . . . . . . . . . . . . . 2 Gain on the early extinguishment of debt . . . . . . . . . . . . . . . . . . . . . . . . . . . . . . . . . . . . . . . . . . . . . . . . (7) Other corporate expenses . . . . . . . . . . . . . . . . . . . . . . . . . . . . . . . . . . . . . . . . . . . . . . . . . . . . . . . . . . . . . 125 Depreciation and amortization . . . . . . . . . . . . . . . . . . . . . . . . . . . . . . . . . . . . . . . . . . . . . . . . . . . . . . . . . . . 198 Interest expense, net . . . . . . . . . . . . . . . . . . . . . . . . . . . . . . . . . . . . . . . . . . . . . . . . . . . . . . . . . . . . . . . . . . . 153 Stock-based compensation . . . . . . . . . . . . . . . . . . . . . . . . . . . . . . . . . . . . . . . . . . . . . . . . . . . . . . . . . . . . . . 17 Restructuring costs, net . . . . . . . . . . . . . . . . . . . . . . . . . . . . . . . . . . . . . . . . . . . . . . . . . . . . . . . . . . . . . . . . . 32 Impairments . . . . . . . . . . . . . . . . . . . . . . . . . . . . . . . . . . . . . . . . . . . . . . . . . . . . . . . . . . . . . . . . . . . . . . . . . 20 Legal contingencies . . . . . . . . . . . . . . . . . . . . . . . . . . . . . . . . . . . . . . . . . . . . . . . . . . . . . . . . . . . . . . . . . . . 2 Loss on the sale of businesses, investments or other assets, net . . . . . . . . . . . . . . . . . . . . . . . . . . . . . . . . . . 3 Net loss attributable to Anywhere and Anywhere Group before income taxes . . . . . . . . . . . . . . . . . . . . . $ (130) _______________ (a) Intersegment revenues include intercompany royalties and marketing fees paid by Owned Brokerage Group to Franchise Group and are eliminated in consolidation. (b) The significant expense categories and amounts align with the segment-level information that is regularly provided to the chief operating decision maker. Intersegment expenses are included within the amounts shown. (c) General and administrative expenses exclude non-cash stock-based compensation and legal contingencies unrelated to normal operations which currently includes industry-wide antitrust lawsuits and class action lawsuits. (d) Other segment items include Net income (loss) attributable to noncontrolling interests and other non-operating items. Amounts are immaterial to each segment. F-46 Year Ended December 31, 2023 Franchise Group Owned Brokerage Group Title Group Totals Net revenues from external customers . . . . . . . . . . . . . . . $ 668 $ 4,628 $ 340 $ 5,636 Intersegment revenues (a) . . . . . . . . . . . . . . . . . . . . . . . . 315 — — 315 Segment net revenues . . . . . . . . . . . . . . . . . . . . . . . . . . . 983 4,628 340 5,951 Reconciliation of Segment net revenues to Total consolidated net revenues Elimination of intersegment revenues (a) . . . . . . . . . . . . . . . . . . . . . . . . . . . . . . . . . . . . . . . . . . . . . . . . . . . . (315) Total consolidated net revenues . . . . . . . . . . . . . . . . . . . . . . . . . . . . . . . . . . . . . . . . . . . . . . . . . . . . . . . . . . . 5,636 Less (b): Commission and other agent-related costs . . . . . . . . . . . — 3,664 — 3,664 Operating . . . . . . . . . . . . . . . . . . . . . . . . . . . . . . . . . . . . 259 893 294 1,446 Marketing . . . . . . . . . . . . . . . . . . . . . . . . . . . . . . . . . . . . 95 114 19 228 General and administrative (c) . . . . . . . . . . . . . . . . . . . . 102 93 52 247 Equity in earnings . . . . . . . . . . . . . . . . . . . . . . . . . . . . . — (2) (7) (9) Other segment items (d) . . . . . . . . . . . . . . . . . . . . . . . . . — 1 (2) (1) Segment operating EBITDA . . . . . . . . . . . . . . . . . . . . . 527 (135) (16) 376 Reconciliation of Segment operating EBITDA to Net loss attributable to Anywhere and Anywhere Group before income taxes Unallocated amounts: Former parent legacy cost, net . . . . . . . . . . . . . . . . . . . . . . . . . . . . . . . . . . . . . . . . . . . . . . . . . . . . . . . . . 18 Gain on the early extinguishment of debt . . . . . . . . . . . . . . . . . . . . . . . . . . . . . . . . . . . . . . . . . . . . . . . . (169) Other corporate expenses . . . . . . . . . . . . . . . . . . . . . . . . . . . . . . . . . . . . . . . . . . . . . . . . . . . . . . . . . . . . . 121 Depreciation and amortization . . . . . . . . . . . . . . . . . . . . . . . . . . . . . . . . . . . . . . . . . . . . . . . . . . . . . . . . . . . 196 Interest expense, net . . . . . . . . . . . . . . . . . . . . . . . . . . . . . . . . . . . . . . . . . . . . . . . . . . . . . . . . . . . . . . . . . . . 151 Stock-based compensation . . . . . . . . . . . . . . . . . . . . . . . . . . . . . . . . . . . . . . . . . . . . . . . . . . . . . . . . . . . . . . 12 Restructuring costs, net . . . . . . . . . . . . . . . . . . . . . . . . . . . . . . . . . . . . . . . . . . . . . . . . . . . . . . . . . . . . . . . . . 49 Impairments . . . . . . . . . . . . . . . . . . . . . . . . . . . . . . . . . . . . . . . . . . . . . . . . . . . . . . . . . . . . . . . . . . . . . . . . . 65 Legal contingencies . . . . . . . . . . . . . . . . . . . . . . . . . . . . . . . . . . . . . . . . . . . . . . . . . . . . . . . . . . . . . . . . . . . 43 Loss on the sale of businesses, investments or other assets, net . . . . . . . . . . . . . . . . . . . . . . . . . . . . . . . . . . 2 Net loss attributable to Anywhere and Anywhere Group before income taxes . . . . . . . . . . . . . . . . . . . . . $ (112) _______________ (a) Intersegment revenues include intercompany royalties and marketing fees paid by Owned Brokerage Group to Franchise Group and are eliminated in consolidation. (b) The significant expense categories and amounts align with the segment-level information that is regularly provided to the chief operating decision maker. Intersegment expenses are included within the amounts shown. (c) General and administrative expenses exclude non-cash stock-based compensation and legal contingencies unrelated to normal operations which currently includes industry-wide antitrust lawsuits and class action lawsuits. (d) Other segment items include Net income (loss) attributable to noncontrolling interests and other non-operating items. Amounts are immaterial to each segment. F-47 Year Ended December 31, 2022 Franchise Group Owned Brokerage Group Title Group Totals Net revenues from external customers $ 772 $ 5,606 $ 530 $ 6,908 Intersegment revenues (a) . . . . . . . . . . . . . . . . . . . . . . . . 373 — — 373 Segment net revenues . . . . . . . . . . . . . . . . . . . . . . . . . . . 1,145 5,606 530 7,281 Reconciliation of Segment net revenues to Total consolidated net revenues Elimination of intersegment revenues (a) . . . . . . . . . . . . . . . . . . . . . . . . . . . . . . . . . . . . . . . . . . . . . . . . . . . . (373) Total consolidated net revenues . . . . . . . . . . . . . . . . . . . . . . . . . . . . . . . . . . . . . . . . . . . . . . . . . . . . . . . . . . . 6,908 Less (b): Commission and other agent-related costs . . . . . . . . . . . — 4,415 — 4,415 Operating . . . . . . . . . . . . . . . . . . . . . . . . . . . . . . . . . . . . 272 1,034 428 1,734 Marketing . . . . . . . . . . . . . . . . . . . . . . . . . . . . . . . . . . . . 106 141 20 267 General and administrative (c) . . . . . . . . . . . . . . . . . . . . 94 71 59 224 Equity in losses . . . . . . . . . . . . . . . . . . . . . . . . . . . . . . . — 17 11 28 Other segment items (d) . . . . . . . . . . . . . . . . . . . . . . . . . — — 1 1 Segment operating EBITDA . . . . . . . . . . . . . . . . . . . . . 673 (72) 11 612 Reconciliation of Segment operating EBITDA to Net loss attributable to Anywhere and Anywhere Group before income taxes Unallocated amounts: Former parent legacy cost, net . . . . . . . . . . . . . . . . . . . . . . . . . . . . . . . . . . . . . . . . . . . . . . . . . . . . . . . . . 1 Loss on the early extinguishment of debt . . . . . . . . . . . . . . . . . . . . . . . . . . . . . . . . . . . . . . . . . . . . . . . . 96 Other corporate expenses . . . . . . . . . . . . . . . . . . . . . . . . . . . . . . . . . . . . . . . . . . . . . . . . . . . . . . . . . . . . . 78 Depreciation and amortization . . . . . . . . . . . . . . . . . . . . . . . . . . . . . . . . . . . . . . . . . . . . . . . . . . . . . . . . . . . 214 Interest expense, net . . . . . . . . . . . . . . . . . . . . . . . . . . . . . . . . . . . . . . . . . . . . . . . . . . . . . . . . . . . . . . . . . . . 113 Stock-based compensation . . . . . . . . . . . . . . . . . . . . . . . . . . . . . . . . . . . . . . . . . . . . . . . . . . . . . . . . . . . . . . 22 Restructuring costs, net . . . . . . . . . . . . . . . . . . . . . . . . . . . . . . . . . . . . . . . . . . . . . . . . . . . . . . . . . . . . . . . . . 32 Impairments . . . . . . . . . . . . . . . . . . . . . . . . . . . . . . . . . . . . . . . . . . . . . . . . . . . . . . . . . . . . . . . . . . . . . . . . . 483 Legal contingencies . . . . . . . . . . . . . . . . . . . . . . . . . . . . . . . . . . . . . . . . . . . . . . . . . . . . . . . . . . . . . . . . . . . 63 Gain on the sale of businesses, investments or other assets, net . . . . . . . . . . . . . . . . . . . . . . . . . . . . . . . . . (135) Net loss attributable to Anywhere and Anywhere Group before income taxes . . . . . . . . . . . . . . . . . . . . . $ (355) _______________ (a) Intersegment revenues include intercompany royalties and marketing fees paid by Owned Brokerage Group to Franchise Group and are eliminated in consolidation. (b) The significant expense categories and amounts align with the segment-level information that is regularly provided to the chief operating decision maker. Intersegment expenses are included within the amounts shown. (c) General and administrative expenses exclude non-cash stock-based compensation and legal contingencies unrelated to normal operations which currently includes industry-wide antitrust lawsuits and class action lawsuits. (d) Other segment items include Net income (loss) attributable to noncontrolling interests and other non-operating items. Amounts are immaterial to each segment. F-48


 
Reconciliations of reportable segment assets and other significant items to consolidated totals: As of and for the year ended December 31, 2024 Franchise Group Owned Brokerage Group Title Group Segment Total Unallocated Corporate Amounts Consolidated Total Total assets . . . . . . . . . . . . . . . . . . . . . . . . . . . $ 4,326 $ 561 $ 509 $ 5,396 $ 240 $ 5,636 Capital expenditures . . . . . . . . . . . . . . . . . . . 26 28 7 61 17 78 Investment in equity method investees . . . . . — 31 151 182 — 182 Depreciation and amortization . . . . . . . . . . . . 117 46 18 181 17 198 As of and for the year ended December 31, 2023 Franchise Group Owned Brokerage Group Title Group Segment Total Unallocated Corporate Amounts Consolidated Total Total assets . . . . . . . . . . . . . . . . . . . . . . . . . . . $ 4,430 $ 630 $ 531 $ 5,591 $ 248 $ 5,839 Capital expenditures . . . . . . . . . . . . . . . . . . . 28 24 7 59 13 72 Investment in equity method investees . . . . . — 26 152 178 — 178 Depreciation and amortization . . . . . . . . . . . . 114 52 12 178 18 196 As of and for the year ended December 31, 2022 Franchise Group Owned Brokerage Group Title Group Segment Total Unallocated Corporate Amounts Consolidated Total Capital expenditures . . . . . . . . . . . . . . . . . . . $ 42 $ 40 $ 11 $ 93 $ 16 $ 109 Depreciation and amortization . . . . . . . . . . . . 119 63 11 193 21 214 The geographic segment information provided below is classified based on the geographic location of the Company’s subsidiaries. United States All Other Countries Total On or for the year ended December 31, 2024 Net revenues . . . . . . . . . . . . . . . . . . . . . . . . . . . . . . . . . . . . . . . . . . . . . . . $ 5,626 $ 66 $ 5,692 Total assets . . . . . . . . . . . . . . . . . . . . . . . . . . . . . . . . . . . . . . . . . . . . . . . . 5,589 47 5,636 Net property and equipment . . . . . . . . . . . . . . . . . . . . . . . . . . . . . . . . . . . 246 1 247 On or for the year ended December 31, 2023 Net revenues . . . . . . . . . . . . . . . . . . . . . . . . . . . . . . . . . . . . . . . . . . . . . . . $ 5,562 $ 74 $ 5,636 Total assets . . . . . . . . . . . . . . . . . . . . . . . . . . . . . . . . . . . . . . . . . . . . . . . . 5,784 55 5,839 Net property and equipment . . . . . . . . . . . . . . . . . . . . . . . . . . . . . . . . . . . 279 1 280 On or for the year ended December 31, 2022 Net revenues . . . . . . . . . . . . . . . . . . . . . . . . . . . . . . . . . . . . . . . . . . . . . . . $ 6,829 $ 79 $ 6,908 Total assets . . . . . . . . . . . . . . . . . . . . . . . . . . . . . . . . . . . . . . . . . . . . . . . . 6,309 74 6,383 Net property and equipment . . . . . . . . . . . . . . . . . . . . . . . . . . . . . . . . . . . 316 1 317 F-49