Please wait

 

 

UNITED STATES

SECURITIES AND EXCHANGE COMMISSION

Washington, D.C. 20549

 

 

SCHEDULE 14A

Proxy Statement Pursuant to Section 14(a) of the

Securities Exchange Act of 1934

(Amendment No.    )

 

 

 

Filed by the Registrant  ☒                                Filed by a party other than the Registrant  ☐

Check the appropriate box:

 

Preliminary Proxy Statement

 

Confidential, for Use of the Commission Only (as permitted by Rule 14a-6(e)(2))

 

Definitive Proxy Statement

 

Definitive Additional Materials

 

Soliciting Material under §240.14a-12

e.l.f. Beauty, Inc.

(Name of Registrant as Specified In Its Charter)

(Name of Person(s) Filing Proxy Statement, if Other Than The Registrant)

Payment of Filing Fee (Check the appropriate box):

 

No fee required.

 

Fee paid previously with preliminary materials.

 

Fee computed on table in exhibit required by Item 25(b) per Exchange Act Rules 14a-6(i)(1) and 0-11.

 

 

 


LOGO

+
C 1234567890
000004
ENDORSEMENT_LINE SACKPACK_____________
Online
Go to www.envisionreports.com/ELF or scan the QR code — login details are located in the shaded bar below.
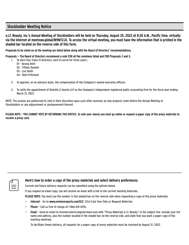
Stockholder Meeting Notice    
123456789012345
Important Notice Regarding the Availability of Proxy Materials for the e.l.f. Beauty, Inc. Annual Meeting of Stockholders to be Held on August 25, 2022
Under Securities and Exchange Commission rules, you are receiving this notice that the proxy materials for the annual stockholders’ meeting are available on the Internet. Follow the instructions below to view the materials and vote online or request a copy. The items to be voted on and location of the annual meeting are on the reverse side. Your vote is important!
This communication presents only an overview of the more complete proxy materials that are available to you on the Internet. We encourage you to access and review all of the important information contained in the proxy materials before voting. The 2022 Proxy Statement and 2022 Form 10-K are available at
www.envisionreports.com/ELF
Easy Online Access — View your proxy materials and vote.
Step 1: Go to www.envisionreports.com/ELF
Step 2: Click on Cast Your Vote or Request Materials.
Step 3: Follow the instructions on the screen to log in.
Step 4: Make your selections as instructed on each screen for your delivery preferences.
Step 5: Vote your shares.
When you go online, you can also help the environment by consenting to receive electronic delivery of future materials.
Obtaining a Copy of the Proxy Materials – If you want to receive a copy of the proxy materials, you must request one. There is no charge to you for requesting a copy. Please make your request as instructed on the reverse side on or before August 12, 2022 to facilitate timely delivery.
2NOT COY +
03NWDB


LOGO

Stockholder Meeting Notice
e.l.f. Beauty, Inc.’s Annual Meeting of Stockholders will be held on Thursday, August 25, 2022 at 8:30 A.M., Pacific time, virtually via the internet at meetnow.global/M9M72JX. To access the virtual meeting, you must have the information that is printed in the shaded bar located on the reverse side of this form.
Proposals to be voted on at the meeting are listed below along with the Board of Directors’ recommendations.
Proposals – The Board of Directors recommend a vote FOR all the nominees listed and FOR Proposals 2 and 3.
1. To elect four Class III directors, each to serve for three years.:
01 - Tarang Amin
02 - Tiffany Daniele
03 - Lori Keith
04 - Beth Pritchard
2. To approve, on an advisory basis, the compensation of the Company’s named executive officers.
3. To ratify the appointment of Deloitte & Touche LLP as the Company’s independent registered public accounting firm for the fiscal year ending March 31, 2023.
NOTE: The proxies are authorized to vote in their discretion upon such other business as may properly come before the Annual Meeting of Stockholders or any adjournment or postponement thereof.
PLEASE NOTE – YOU CANNOT VOTE BY RETURNING THIS NOTICE. To vote your shares you must go online or request a paper copy of the proxy materials to receive a proxy card.
Here’s how to order a copy of the proxy materials and select delivery preferences:
Current and future delivery requests can be submitted using the options below.
If you request an email copy, you will receive an email with a link to the current meeting materials.
PLEASE NOTE: You must use the number in the shaded bar on the reverse side when requesting a copy of the proxy materials.
– Internet – Go to www.envisionreports.com/ELF. Click Cast Your Vote or Request Materials.
– Phone – Call us free of charge at 1-866-641-4276.
– Email – Send an email to investorvote@computershare.com with “Proxy Materials e.l.f. Beauty” in the subject line. Include your full name and address, plus the number located in the shaded bar on the reverse side, and state that you want a paper copy of the meeting materials.
To facilitate timely delivery, all requests for a paper copy of proxy materials must be received by August 12, 2022.

 


LOGO

Your Vote Counts!
E.L.F. BEAUTY, INC.
2022 Annual Meeting
Vote by August 24, 2022 11:59 PM ET
Hextone, Inc.
P.O. Box 9142
Farmingdale, NY 11735
Ricky Campana
P.O. Box 123456
Suite 500
51 Mercedes Way
Edgewood, NY 11717
1 OF 2 322,224 148,294
30#
FLASHID-JOB#
You invested in E.L.F. BEAUTY, INC. and it’s time to vote!
You have the right to vote on proposals being presented at the Annual Meeting. This is an important notice regarding the availability of proxy material for the shareholder meeting to be held on August 25, 2022.
Get informed before you vote
View the Form 10-K, Notice & Proxy Statement online OR you can receive a free paper or email copy of the material(s) by requesting prior to August 11, 2022. If you would like to request a copy of the material(s) for this and/or future shareholder meetings, you may (1) visit www.ProxyVote.com, (2) call 1-800-579-1639 or (3) send an email to sendmaterial@proxyvote.com. If sending an email, please include your control number (indicated below) in the subject line. Unless requested, you will not otherwise receive a paper or email copy.
For complete information and to vote, visit www.ProxyVote.com
Control #    XXXX XXXX XXXX XXXX
Smartphone users
Point your camera here and
vote without entering a
control number
Vote in Person at the Meeting*
August 25, 2022 8:30 AM PDT
Virtually via the internet at:
meetnow.global/M9M72JX
To access the virtual meeting, you must refer to the
“General Information” section of the proxy statement.
*If you choose to vote these shares in person at the meeting, you must request a “legal proxy.” To do so, please follow the instructions at www.ProxyVote.com or request a paper copy of the materials, which will contain the appropriate instructions. Please check the meeting materials for any special requirements for meeting attendance.


LOGO

Vote at www.ProxyVote.com    Control # XXXX XXXX XXXX XXXX
THIS IS NOT A VOTABLE BALLOT
This is an overview of the proposals being presented at the upcoming shareholder meeting. Please follow the instructions on the reverse side to vote these important matters.
E.L.F. BEAUTY, INC.
2022 Annual Meeting Vote by August 24, 2022 11:59 PM ET
Board
Recommends
Voting Items    
1. Election of Directors
Nominees:    
For
Tarang Amin
Tiffany Daniele    
03 Lori Keith
04 Beth Pritchard
2. To approve, on an advisory basis, the compensation of the Company’s named executive officers. For
3. To ratify the appointment of Deloitte & Touche LLP as the Company’s independent registered public accounting firm For
for the fiscal year ending March 31, 2023    
NOTE: The proxies are authorized to vote in their discretion upon such other business as may properly come before the annual meeting
or any adjournment or postponement thereof.
Under New York Stock Exchange rules, brokers may vote “routine” matters at their discretion if your voting instructions are not communicated    
to us at least 10 days before the meeting. We will nevertheless follow your instructions, even if the broker’s discretionary vote has    
already been given, provided your instructions are received prior to the meeting date.    
1.00000
322,224
148,294
FLASHID-JOB#