UNITED STATES
SECURITIES AND EXCHANGE COMMISSION
Washington, D.C. 20549
SCHEDULE 14A
Proxy Statement Pursuant to Section 14(a) of
the Securities Exchange Act of 1934 (Amendment No. )
|
Filed by the Registrant |
☒ |
|
|
Filed by a party other than the Registrant |
☐ |
Check the appropriate box:
|
☐ |
Preliminary Proxy Statement |
|
|
☐ |
Confidential, for Use of the Commission Only (as permitted by Rule 14a-6(e)(2)) |
|
|
☐ |
Definitive Proxy Statement |
|
|
☒ |
Definitive Additional Materials |
|
|
☐ |
Soliciting Material under §240.14a-l2 |
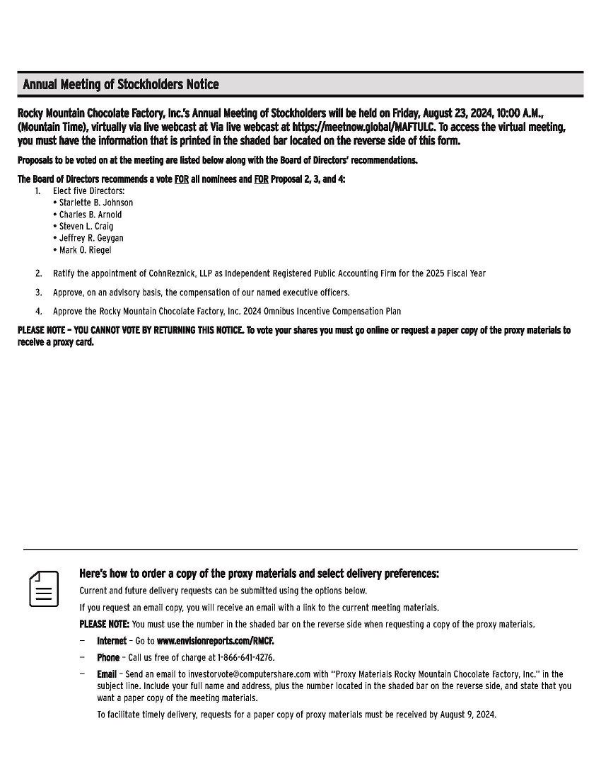
Rocky Mountain Chocolate Factory, Inc.
(Name of Registrant as Specified in its Charter)
Payment of Filing Fee (Check all boxes that apply):
|
☒ |
No fee required |
|
|
☐ |
Fee paid previously with preliminary materials |
|
|
☐ |
Fee computed on table in exhibit required by Item 25(b) per Exchange Act Rules 14a-6(i)(1) and 0-11 |

