UNITED STATES
SECURITIES AND EXCHANGE COMMISSION
WASHINGTON, D.C. 20549
SCHEDULE 14A
Proxy Statement Pursuant to Section 14(a) of the
Securities Exchange Act of 1934
(Amendment No. )
| Filed by the Registrant ☒ | Filed by a Party other than the Registrant ☐ |
Check the appropriate box:
| ☐ | Preliminary Proxy Statement |
| ☐ | Confidential, for Use of the Commission Only (as permitted by Rule 14a-6(e)(2)) |
| ☐ | Definitive Proxy Statement |
| ☒ | Definitive Additional Materials |
| ☐ | Soliciting Material Under Rule 14a-12 |
EVOFEM BIOSCIENCES, INC.
(Name of Registrant as Specified In Its Charter)
(Name of Person(s) Filing Proxy Statement, if other than the Registrant)
Payment of Filing Fee (Check the appropriate box):
| ☒ | No fee required. |
| ☐ | Fee previously paid with preliminary materials. |
| ☐ | Fee computed on table below per Exchange Act Rules 14a-6(i)(1) and 0-11. |
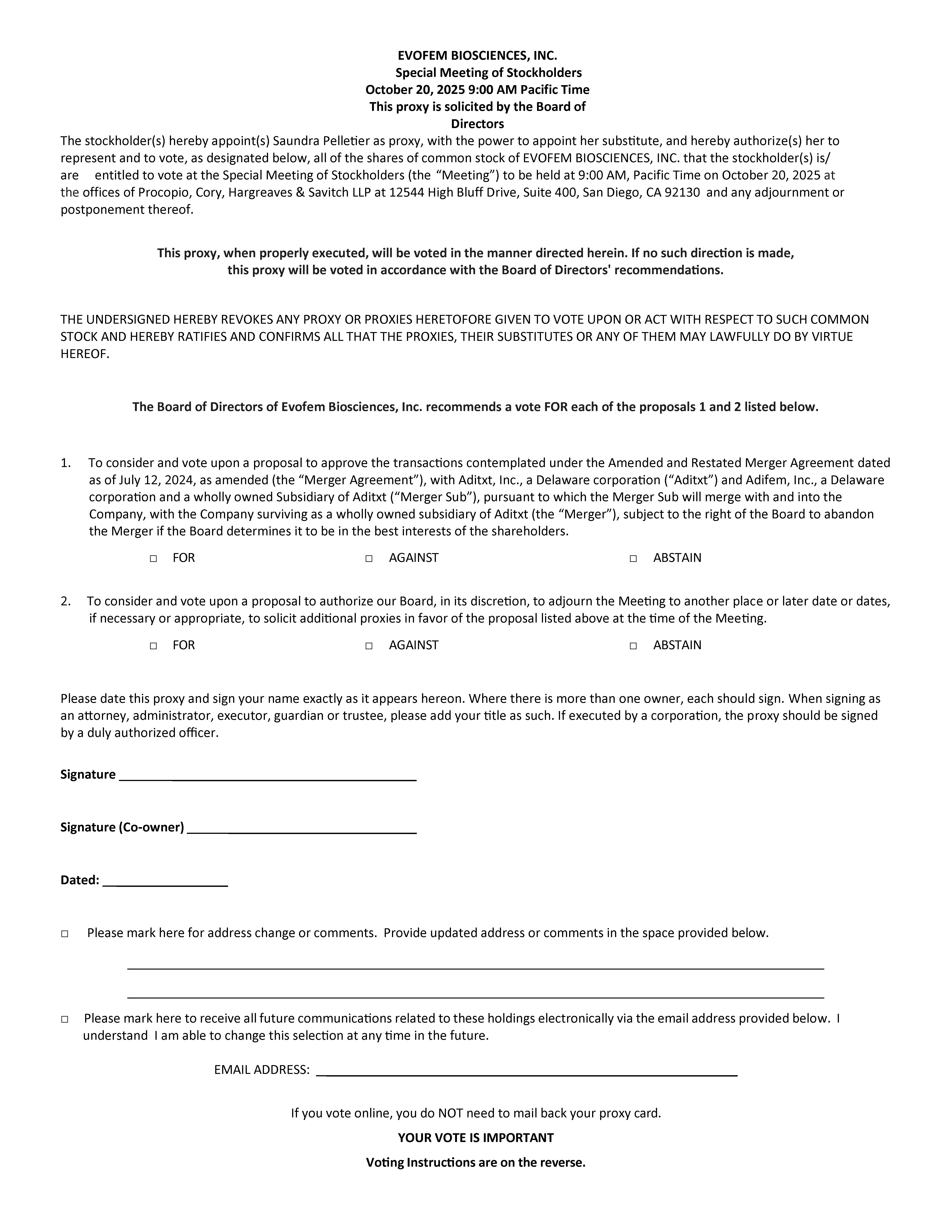
This definitive additional proxy material is being filed to announce a change in the date of the Special Meeting of Stockholders (the “Special Meeting” or “Meeting”) of Evofem Biosciences, Inc. (“Evofem”, the “Company”, “we”, or “our”), to October 20, 2025 at 9:00am Pacific Time. The proposals to be presented at the meeting remain unchanged from those previously disclosed in the Definitive Proxy Statement filed with the Securities and Exchange Commission (“SEC”) on September 8, 2025 (the “Proxy Statement”). The matters to be considered and voted upon at the Special Meeting remain the same in all respects.
As further clarification, in the “Notice of Special Meeting of Stockholders” in the original Proxy Statement, we inadvertently included one sentence indicating that “dissenters’ rights are not available with respect to any of the proposals to be voted on at the Meeting.” However, dissenters’ rights, or appraisal rights, are available, as per Delaware General Corporation Law (“DGCL”) Section 262. The data included in the “Dissenters’ Rights” section included in the Proxy Statement gave an accurate summary of the rights of Company Stockholders under the DCGL. Further information is available at https://delcode.delaware.gov/title8/c001/sc09/index.html#262.
Company Stockholders of record and beneficial owners who wish to exercise appraisal rights or who wish to preserve the right to do so should review the summary contained in the “Dissenters’ Rights” section of the original Definitive Proxy Statement filed with the SEC on September 8, 2025 and the applicable statutory provisions carefully. Failure to comply with the procedures of Section 262 of the DGCL in a timely and proper manner will result in the loss of appraisal rights. In addition, the Delaware Court of Chancery will dismiss appraisal proceedings in respect of the Company unless certain stock ownership conditions are satisfied by the Company Stockholders of record and beneficial owners seeking appraisal. Because of the complexity of the procedures for exercising the right to seek appraisal, Company Stockholders of record and beneficial owners who wish to exercise appraisal rights are urged to consult with their own legal and financial advisors in connection with compliance under Section 262 of the DGCL. A Company Stockholder of record or beneficial owner who loses, waives or otherwise fails to properly exercise his, her or its appraisal rights will be entitled to receive the Merger Consideration. Company Stockholders of record or beneficial holders who wish to exercise the right to seek an appraisal of your shares of common stock, you must follow the conditions in the “How to Exercise and Perfect Your Appraisal Rights” subsection in the “Dissenters’ Rights” section of the aforementioned originally filed Definitive Proxy Statement. This includes the delivery to the Company a written demand for appraisal before the vote on the Merger Proposal at the Special Meeting, no later than October 19, 2025 at 11:59 PM Pacific Time.
Proxy cards, updated to reflect the new meeting date and the closure of telephone and online voting are included herein.
THIS SHOULD BE READ IN CONJUNCTION WITH THE PROXY STATEMENT
Except as provided above, these definitive additional proxy materials do not amend or replace or change any portion of the Proxy Statement. These definitive additional proxy materials should be read in conjunction with the Proxy Statement, including the appendices thereto, all of which should be read in their entirety. Except as specifically supplemented by the information contained herein, the Proxy Statement continues to be in full force and effect as originally filed with the Commission and made available to stockholders





