Please wait

 

    

TERMS AND CONDITIONS GOVERNING DIRECTOR STOCK OPTIONS 2019/2023 IN SPOTIFY TECHNOLOGY S.A.

 

1.

STOCK OPTION ISSUER AND RECIPIENT

 

1.1

Spotify Technology S.A., a Luxembourg société anonyme, with registered offices at 42-44, avenue de la Gare, L-1610 Luxembourg, registered with the Luxembourg Trade and Companies’ Register under number B 123.052 (the “Company”).

 

1.2

Selected members of the Company’s board of directors (the “Board”) in accordance with an individual notice of grant (the “Directors”) (the “Notice”).

 

2.

BACKGROUND

 

2.1

At the Board meeting held on 11 December 2018, it was resolved to propose to the general meeting of shareholders to approve a remuneration plan to the members of the Board. At the annual meeting of the Company’s shareholders held on 18 April 2019, the Company’s shareholders voted in favor of a resolution to approve a remuneration plan in the form of cash bonuses, warrants, stock options, restricted stock units or any other form to the Board. It was resolved to implement such resolution by granting Stock Options (as defined below) to the Directors in accordance with these Terms and Conditions.

 

2.2

Neither the granting of a Stock Option under this director stock option program (the “Director Stock Option Program”) nor a Director’s appointment as director of the Company shall give the Director any right or expectation to be granted additional Stock Options at any time.

 

3.

OPTION; SHARES AVAILABLE

 

    

Subject to the terms and conditions set out herein, the Director is entitled to delivery of one share in the Company (a “Share”) per stock option (a “Stock Option”) at the exercise price communicated to the Director (the “Exercise Price”). The Exercise Price may be re-calculated under certain circumstances pursuant to clause 8.

 

    

Subject to the provisions of clauses 8 and 9.3.3, the maximum aggregate number of Shares that may be subject to Stock Options under the Director Stock Option Program is 220,000 Shares. Shares available for grant under the Director Stock Option Program will be reduced by the net Shares granted under the Terms and Conditions Governing Director Restricted Stock Units 2019/2023 in the Company.

 

4.

IMPLEMENTATION AND GRANT

 

4.1

The Director Stock Option Program shall be effective as of April 19, 2019 (the “Implementation Date”).

 

4.2

Stock Options may be granted to Directors during the period as from and including 1 January 2019 up to and including 31 December 2019. The date or dates of grants of Stock Options during such period (each, a “Date of Grant”) shall be determined by the Board in its sole discretion.


5.

VESTING

 

5.1

General

 

    

Except as set forth in clause 9.1 below, vesting of the Director’s granted Stock Options shall occur on the dates set out in the Notice, subject to the Director’s continued mandate with the Company.

 

5.1.1

Notwithstanding the aforesaid, the Board shall be entitled, in its sole discretion, to resolve that some or all unvested Stock Options shall vest in advance.

 

5.2

Termination of mandate

 

5.2.1

If (i) the Director resigns for any reason or (ii) the Company’s shareholders terminate the Director’s mandate with the Company for any reason (including, for the avoidance of doubt, as a result of the decision to not re-elect the Director as a member of the Board), all unvested Stock Options shall cease vesting as of the date of termination of the Director’s mandate in accordance with clause 5.2.2 and shall immediately lapse.

 

5.2.2

If the Director resigns, termination of his/her mandate for purposes of the Stock Options shall be deemed to occur immediately on the Company’s receipt of the Director’s written notice of resignation. If the Company’s shareholders terminate the Director’s mandate with the Company (including, for the avoidance of doubt, as a result of the decision to not re-elect the Director as a member of the Board), termination of his/her mandate for purposes of the Stock Options shall be deemed to occur immediately after the resolution to not re-elect or to discharge, as applicable, the Director is adopted at a general meeting of shareholders. Notwithstanding the foregoing in this clause 5.2.2 or in clause 5.2.1, the Board shall be entitled, in its sole discretion, to resolve that termination of the Director’s mandate shall be deemed to occur at a later point in time.

 

5.2.3

If a Director ceases to serve as a member of the Board, but is appointed as director of any company controlled by the Company (the “Group”), such change will not be deemed a termination of the mandate for purposes of his/her Stock Options, provided that there is no other interruption or termination between the termination of mandate as Director and the provision of such services, unless the Board, in its sole discretion, determines that the entity to which the Director transfers is not a qualified affiliate of the Group.

 

6.

EXERCISE

 

6.1

General

 

6.1.1

The Director is entitled to exercise his/her rights under the Stock Options to the extent the Stock Options have vested pursuant to these terms and conditions by requesting exercise at any time up to and including the fifth anniversary of the Date of Grant in the manner set forth below (“Exercise”), provided such Stock Options have not previously lapsed.

 

6.1.2

In the event the Director has not requested Exercise on or before the fifth anniversary of the Date of Grant (such date, or an earlier date set for the expiration of the term of the Stock Options as provided for in clause 9, the “Expiration Date”), all rights under the Stock Options shall lapse.

 

6.1.3

Exercise may only be requested through an electronic platform where the Director will be able (i) to place requests on the said electronic platform in order to exercise some or all of her/his vested Stock Options (the “Exercise Request”) and (ii) carry out any actions required to settle the Director’s Payment Obligations (as defined in clause 7.1).

 

2


6.1.4

The Exercise Request placed by the Director must be placed not later than on the Expiration Date and state the number of Stock Options that the Director wishes to Exercise. An Exercise Request is binding and irrevocable.

 

6.1.5

If the Director’s Stock Options at Exercise entitle the Director to subscribe for a number of Shares which is not an integer, the number of Shares to which the entitlement relates shall be rounded down to the nearest integer.

 

6.1.6

Exercise may not take place in the event the Company is declared bankrupt. However, Exercise may take place in the event the bankruptcy order is subsequently overturned on appeal.

 

6.1.7

The Expiration Date and the periods during which Exercise can take place may be amended pursuant to this clause 6, clause 9, or by other express action of the Board as provided for in these terms and conditions.

 

6.2

Termination of mandate

 

6.2.1

If (i) the Director resigns for any reason or (ii) the Company’s shareholders terminate the Director’s mandate with the Company for any reason (including, for the avoidance of doubt, as a result of the decision to not re-elect the Director as a member of the Board), the new Expiration Date shall be the 90th calendar day following the termination of mandate (as determined pursuant to clause 5.2.2) or such later dates as determined by the Company (but in no event later than the fifth anniversary of the Date of Grant or such date as follows pursuant to clause 9).

 

6.2.2

In the event that the Director’s termination of mandate occurs due to death or physical disability, the new Expiration Date shall be the 194th calendar day following such event or such later dates as determined by the Board (but in no event later than the fifth anniversary of the Date of Grant or such date as follows pursuant to clause 9). The Director (or, in the event of the Director’s death, the Director’s estate (Sw. dödsbo)) shall up to and including the new Expiration Date be entitled to Exercise any Stock Options, which have vested in accordance with these terms and conditions as of such event. Following the new Expiration Date, the Director (or, in the event of the Director’s death, the Director’s estate) shall have no rights pursuant to the Stock Options and all rights under the Stock Options which have not been subject to Exercise shall lapse. In the event of the Director’s death, the rights and obligations in accordance with these terms and conditions shall be binding upon and inure to the Director’s estate.

 

7.

PAYMENT AND DELIVERY OF SHARES

 

7.1

Payment of the Exercise Price and, to the extent applicable, any Withholding Obligation (as defined in clause 13.1 below) (Director’s obligation to pay the Exercise Price jointly with any such Withholding Obligation that the Board requires to be so settled, the “Directors Payment Obligations) shall, unless the Board determines otherwise, be satisfied by a “cash settlement” arrangement pursuant to which the Director’s Payment Obligations shall be satisfied with money that shall have been paid by the Director to the Director’s personal account on the electronic platform (“Cash Settlement”).

 

3


7.2

To the extent the Board determines that Cash Settlement will not be used to satisfy a Director’s Payment Obligations, the Board may require the Director to satisfy such Director’s Payment Obligations by any other method or combination of methods determined in the Board’s sole discretion, including, without limitation, by

 

    

(i) placing a market sell order with a broker acceptable to the Board covering the minimum number of Shares (rounded up to the nearest whole Share) then being distributed in respect of vested Stock Options as are sufficient to satisfy such Director’s Payment Obligations. The net proceeds of such sale shall be delivered to the Company or its applicable Subsidiary upon the settlement of such sale, and any excess proceeds resulting from rounding up to the nearest whole Share shall be deposited into the Director’s account on the electronic platform; or

 

    

(ii) a “net settlement” arrangement pursuant to which the Company will reduce the number of Shares deliverable to the Director upon vesting or settlement by the minimum number of Shares (rounded up to the nearest whole Share, without any consideration to the Director for such rounding) as are sufficient to satisfy Director’s Payment Obligations.

 

7.3

If the Company receives a valid Exercise Request and all actions required by the Director to settle the Director’s Payment Obligation have been completed, the Company shall deliver Shares to the Director within 10 days on which banks are open for business generally (and not for internet banking only) in Luxembourg and the U.S (a “Business Day”) (less any Shares reduced or sold pursuant to this clause 7).

 

7.4

As a condition to the exercise of a Stock Option, the Director shall make such arrangements as the Board may require for the satisfaction of any Director’s Payment Obligations that may arise in relation to the Stock Options.

 

8.

RE-CALCULATION OF EXERCISE PRICE ETC.

 

8.1

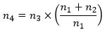
The Exercise Price and the number of Shares to which each Stock Option entitles the Director to subscribe for shall be re-calculated in the event that there are changes in the Company’s share capital by way of a bonus issue of shares, share split, reverse share split, or a reduction of the share capital (a “Re-calculation Event”), in order not to affect the value of the Stock Options. The re-calculation shall be carried out by the Board in accordance with the following formula:

 

LOGO

 

    

    where:

    

    n1 =     number of shares issued in the Company prior to the Re-calculation Event

    

    n2 =     number of shares issued/reduced in the Re-calculation Event

    

    n3 =     number of Shares which each Stock Option entitled the Director to subscribe for immediately prior to the Re-calculation Event

    

    n4 =     number of Shares that each Stock Option gives the right to subscribe for after the Re-calculation Event

 

    

Consequently, the Exercise Price for the Stock Option shall be re-calculated in accordance with the following formula:

 

LOGO

 

4


    

    where (in addition to the above definitions):

    

    p1 =    Exercise Price per Share prior to the Re-calculation Event

    

    p2 =    Exercise Price per Share after the Re-calculation Event

 

8.2

In the event that a Re-calculation Event would lead to an Exercise Price after the Re-calculation Event which is less than the par value of the Company’s shares, the Exercise Price at Exercise shall instead equal the par value of the Company’s shares.

 

9.

AMENDMENT OF VESTING SCHEDULE AND EXPIRATION DATE ETC.

 

9.1

Change in Control

 

9.1.1

Notwithstanding clause 5, in the event of a Change in Control the Board shall decide to set a period during which the Director may request Exercise (an “Exercise Period”) and, if determined by the Board, a new Expiration Date, in accordance with the provisions of clause 9.1.2.

 

9.1.2

The Board shall, immediately prior to closing of such Change in Control (“Closing”), notify the Director of the Exercise Period and, if the Board so decides, the new Expiration Date. All of the Director’s unvested Stock Options shall vest immediately prior to Closing, subject to the Director’s continued mandate as director of the Company immediately prior to Closing. The Board’s notice will set forth the Exercise Period, which shall, to the extent possible taking into account the circumstances and process related to the Change in Control, give the Director reasonable time to decide whether to Exercise any vested Stock Options. The Director shall during the Exercise Period be entitled to Exercise any Stock Options which have vested in accordance with these terms and conditions. The Board shall be entitled, in its sole discretion, to decide whether any vested Stock Options which have not been subject to Exercise during an Exercise Period shall be subject to a new Expiration Date and therefore lapse, or whether the vested Stock Options will be exercisable following the expiration of an Exercise Period. If the Board decides to establish a new Expiration Date so that any vested but unexercised Stock Options shall lapse, the Director shall have no further rights pursuant to the Stock Options. If no Closing takes place, Shares underlying Stock Options will not be issued under this clause 9.1.2, any cash payment made by the Director will be returned and these terms and conditions will remain unaffected.

 

9.1.3

If permitted by applicable law, the Board may, instead of allowing the Director to acquire Shares in accordance with clause 9.1.2, in its sole discretion, cause the cancellation of any vested Stock Options outstanding immediately prior to Closing, in whole or in part, in exchange for a payment to the Director, in such form as determined by the Board, provided that the Board shall ensure that the tax treatment and economic returns of the Director is not affected adversely compared to the procedure described in clause 9.1.2 and may provide that any such payment to the Director shall be subject to the same conditions as are imposed on holders of the Shares in the Change in Control (e.g., an earn out or escrow) as well as to the satisfaction of any Director’s Payment Obligations.

 

9.1.3.1

Change in Control” shall mean and include each of the following:

 

    

(i) a transaction or series of transactions (other than an offering of Shares to the general public through a registration statement filed with the Securities and Exchange Commission) whereby any “person” or related “group” of “persons” (as such terms are used in Sections 13(d) and 14(d)(2) of the Securities Exchange Act of 1934, as amended from time to time (the “Exchange Act”)) directly or indirectly acquires beneficial

 

5


  ownership (within the meaning of Rules 13d-3 and 13d-5 under the Exchange Act) of securities of the Company possessing more than 50% of the total combined voting power of the Company’s securities outstanding immediately after such acquisition; provided, however, that the following acquisitions shall not constitute a Change in Control: (w) any acquisition by the Company; (x) any acquisition by an employee benefit plan maintained by the Company, (y) any acquisition which complies with clauses 9.1.3.1(iii)(I)-(III); or (z) in respect of an Stock Option held by a particular Director, any acquisition by the Director or any group of persons including the Director (or any entity controlled by the Director or any group of persons including the Director);

 

    

(ii) the Incumbent Directors cease for any reason to constitute a majority of the Board;

 

    

(iii) the consummation by the Company (whether directly involving the Company or indirectly involving the Company through one or more intermediaries) of (x) a merger, consolidation, reorganization, or business combination, (y) a sale or other disposition of all or substantially all of the Company’s assets in any single transaction or series of related transactions or (z) the acquisition of assets or stock of another entity, in each case other than a transaction: (I) which results in the Company’s voting securities outstanding immediately before the transaction continuing to represent (either by remaining outstanding or by being converted into voting securities of the Company or the person that, as a result of the transaction, controls, directly or indirectly, the Company or owns, directly or indirectly, all or substantially all of the Company’s assets or otherwise succeeds to the business of the Company (the Company or such person, the “Successor Entity”)) directly or indirectly, at least a majority of the combined voting power of the Successor Entity’s outstanding voting securities immediately after the transaction, and (II) after which no person or group beneficially owns voting securities representing 50% or more of the combined voting power of the Successor Entity; provided, however, that no person or group shall be treated for purposes of this clause (II) as beneficially owning 50% or more of the combined voting power of the Successor Entity solely as a result of the voting power held in the Company prior to the consummation of the transaction; and (III) after which at least a majority of the members of the board of directors (or the analogous governing body) of the Successor Entity were Board members at the time of the Board’s approval of the execution of the initial agreement providing for such transaction; or

 

    

(iv) the date which is 10 Business Days prior to the completion of a liquidation or dissolution of the Company.

 

9.1.3.2

Incumbent Directors’ shall mean for any period of 12 consecutive months, individuals who, at the beginning of such period, constitute the Board together with any new director(s) (other than a director designated by a person who shall have entered into an agreement with the Company to effect a transaction described in clause 9.1.3.1(i) or 9.1.3.1(iii)) whose election or nomination for election to the Board was approved by a vote of at least a majority (either by a specific vote or by approval of the proxy statement of the Company in which such person is named as a nominee for director without objection to such nomination) of the directors then still in office who either were directors at the beginning of the 12-month period or whose election or nomination for election was previously so approved. No individual initially elected or nominated as a director of the Company as a result of an actual or threatened election contest with respect to directors or as a result of any other actual or threatened solicitation of proxies by or on behalf of any person other than the Board shall be an Incumbent Director.

 

6


9.2

Merger and de-merger

 

    

In the event of a merger through which the Company is absorbed into another company (other than a Change in Control) or a de-merger through which the Company is divided into two or more new entities (other than a Change in Control), the Board shall, before the adoption of any resolution in the aforementioned respects, determine an Exercise Period, the first day of which shall fall at least 20 calendar days after the date of the notice by the Board to the Director of such Exercise Period. During such Exercise Period the Director shall be entitled to Exercise any Stock Options which have vested in accordance with these terms and conditions. At the conclusion of such Exercise Period, all Stock Options which have not been subject to Exercise during the Exercise Period shall lapse and the Director shall have no rights pursuant to the Stock Options.

 

9.3

Share for share exchange etc.

 

9.3.1

If the Company’s shareholders perform a share for share exchange for the purpose of creating a new holding company to the Company, or if a new company otherwise replaces the Company as the holding company in the Group, and such transaction is not a Change in Control, the Board shall use reasonable efforts to either: (a) ensure that the Director receives substantially equivalent rights to acquire securities in the new holding company as the Director had in the Company immediately before such transaction, provided that the Director in writing waives any rights under the Stock Options, which shall lapse as a consequence thereof; or (b) amend these terms and conditions to the effect that the new holding company assumes the Company’s rights and obligations hereunder and that the Director’s right to subscribe for Shares in accordance with clause 3 shall relate to shares in the new holding company.

 

9.3.2

In the event of a transaction as described in clause 9.3.1, the Director shall always be obliged upon the Board’s request to, in case of (a) in clause 9.3.1, waive any rights under the Stock Options provided that the Director receives substantially equivalent rights in the new holding company as the Director had in the Company immediately before such transaction or, in case of (b) in clause 9.3.1, approve any such amendment to these terms and conditions. No waiver shall be requested or required, and the Company may act unilaterally in accordance with this clause 9.3.2, provided that the Stock Options preserve the material terms and conditions of the underlying rights, including the vesting schedule and the intrinsic value of the Stock Option as of immediately prior to such transaction.

 

9.3.3

If the Company effects a change of the classes of outstanding Company securities, the Board shall, appropriately and proportionately adjust the class of securities subject to the Stock Options. The Board will make such adjustments, and its determination will be final, binding and conclusive.

 

10.

CANCELLATION OF STOCK OPTIONS IN CASE OF A MATERIAL BREACH

 

10.1

If the Director commits a material breach of any of its obligations under these terms and conditions, and the breach has not been rectified within 15 calendar days from the date the Director receives a written demand for rectification, the Company shall be entitled to cancel the Director’s unexercised Stock Options (vested as well as unvested) which as a consequence thereof shall lapse.

 

7


10.2

A material breach for purposes of clause 10 and 11 shall mean a breach by the Director of the provisions in clauses 9.3, 12, 13, 15.1 or 15.5 or any other breach by the Director of these terms and conditions that is reasonably likely to have a material adverse effect on the Company.

 

11.

LIQUIDATED DAMAGES IN CASE OF A MATERIAL BREACH

 

11.1

If the Director commits a material breach in accordance with clause 10.2 and the breach has not been rectified within 15 calendar days from the date the Director receives a written demand for rectification, the Director shall upon written request by the Company pay liquidated damages in an amount corresponding to 50 per cent of the aggregate then-current fair market value of the Shares represented by, or delivered upon exercise of, the Stock Options. The Company shall not be entitled to demand liquidated damages if the Company has cancelled the Director’s Stock Options pursuant to clause 10.1.

 

11.2

If the Director commits a material breach of any of its obligations under these terms and conditions, the Company is entitled, in addition to any liquidated damages in accordance with the provisions of clause 11.1, to claim damages in an amount corresponding to the difference between the actual damage suffered and the liquidated damages (if any), if such damage exceeds the amount of the liquidated damages (if any).

 

11.3

The payment by the Director of any liquidated damages and damages shall not affect the Company’s right to pursue other remedies that the Company may have against the Director as a result of a breach.

 

12.

APPOINTMENT OF AGENT ETC.

 

12.1

The Director hereby irrevocably authorises the Board, with full power of substitution, to endorse such documents on behalf of the Director and to take any other action reasonably necessary to effect any of the Director’s obligations under these terms and conditions, including but not limited to, execution of a transfer of Shares owned by the Director. The Board shall hold any payment received for the benefit of the Director under this clause 12 on behalf of the Director and separated from any other funds. A withdrawal of the authorisation as provided for in this clause 12 constitutes a material breach of these terms and conditions for purposes of clause 10 and 11.

 

12.2

The Director hereby undertakes to sign, execute and deliver such documents, and to take any other actions, as reasonably required by the Board in order to ensure compliance with or observation of the Director’s obligations under these terms and conditions.

 

13.

PAYMENT OF CERTAIN TAXES

 

13.1

The Company will perform withholding of taxes in relation to the Stock Options and the Shares acquired at Exercise if and to the extent required by law or decisions by governmental authorities or if the Board in its reasonable opinion considers it appropriate for the Company to perform such withholding of taxes (any such withholding tax obligation of the Director, “Withholding Obligation”). For the avoidance of doubt, this clause 13.1 shall not affect the Director’s liabilities and undertakings pursuant to the remainder of this clause 13.

 

13.2

The Director is liable for and undertakes to pay any taxes (including but not limited to income taxes, capital taxes, employment taxes, self-employment taxes, social security contributions as well as any tax penalties thereon) for which he/she may be liable in

 

8


  relation to the Stock Options and any Shares acquired at Exercise (“Director’s Tax Liability”). For the avoidance of doubt, any Withholding Obligation (whether preliminary or deducted at source) on employment income, dividends and capital gains will always be considered as Director’s Tax Liability.

 

13.3

The calculation of any Withholding Obligation, as applicable, will be subject to applicable rules and regulations and based on the applicable tax rates, as determined by the Board in its sole discretion in connection with determining the Director’s Payment Obligations.

 

13.4

The Company assumes no responsibility for any Director’s Tax Liability. The Director represents that the Director is not relying on the Company for any tax advice and explicitly agrees not to demand any compensation from the Company to cover any Director’s Tax Liability.

 

14.

DATA PROTECTION

 

    

For the purposes of implementing, managing and administering the Stock Option Program, and for the Director to participate in the Stock Option Program, it is necessary for the Company, acting as data controller, and other companies in the Group to process the Director’s personal data. For more information regarding the processing of the Director’s personal data, see the Privacy Notice attached as Appendix 1.

 

15.

MISCELLANEOUS

 

15.1

The Stock Options may not be transferred, otherwise disposed, pledged, borrowed against or used as any form of security.

 

15.2

The Company shall be entitled to amend these terms and conditions to the extent required by legislation, court decisions, decisions by public authorities or agreements, or if such amendments, in the reasonable judgment of the Company, are otherwise necessary for practical reasons, and provided in all of the aforementioned cases that the Director’s rights are in no material respects adversely affected. If the Director’s rights would be materially adversely affected, the Director’s written consent shall be necessary for such amendment.

 

15.3

Nothing in these terms and conditions or in any right or Stock Option granted under these terms and conditions shall confer upon the Director the right to continue his/her mandate for any period of specific duration or interfere with or otherwise restrict in any way the rights of the Group or of the Director, which rights are hereby expressly reserved by each, to terminate the Director’s mandate at any time.

 

15.4

The Director has no right to compensation or damages for any loss in respect of the Stock Option where such loss arises (or is claimed to arise), in whole or in part, from the termination of the Director’s mandate; or notice to terminate the mandate given by or to the Director.

 

15.5

The Director undertakes not to use or disclose the contents of these terms and conditions, or any financial information, trade secrets, customer lists or other information which it may from time to time receive or obtain (orally or in writing or in disc or electronic form) as a result of entering into or performing its obligations pursuant to these terms and conditions or otherwise, relating to the Group unless: (i) required to do so by law or pursuant to any order of court or other competent authority or tribunal; or (ii) such disclosure has been consented to by the Company, provided, however, that the Director may disclose the terms and conditions of his or her Stock Options to the Director’s spouse, personal attorney and/or tax preparer. If a Director becomes required, in circumstances contemplated by (i) to disclose any information, the disclosing Director shall use its best efforts to consult with the Company prior to any such disclosure.

 

9


15.6

The Stock Options (and Shares issued on settlement of a Stock Option) will be subject to recoupment in accordance with any clawback policy that the Group adopts pursuant to the listing standards of any national, foreign or international securities exchange or association on which the Company’s securities are listed or as is otherwise required by the Dodd-Frank Wall Street Reform and Consumer Protection Act or other applicable law, or as the Board otherwise deems necessary or appropriate. The Board may include such other clawback, recovery or recoupment provisions in the Notice of Grant or other written agreement with the Director, as the Board determines necessary or appropriate.

 

15.7

Shares will not be issued under this Stock Option Program unless the issuance and delivery of such Shares comply with (or are exempt from) all applicable requirements of law, including (without limitation) the Securities Act of 1933, as amended, the rules and regulations promulgated thereunder, state securities laws and regulations, and the regulations of any stock exchange or other securities market on which the Company’s securities may then be traded. In addition to the terms and conditions provided herein, the Board may require that a Director make such reasonable covenants, agreements and representations as the Board, in its sole discretion, deems advisable in order to comply with applicable law. The Board shall have the right to require any Director to comply with any timing or other restrictions with respect to the settlement, distribution or exercise of any Stock Option, including a window-period limitation, as may be imposed in the sole discretion of the Board.

 

16.

TERM AND TERMINATION

 

    

These terms and conditions shall enter into force on the Implementation Date and remain in force until close of business in Sweden on 31 December 2028. The parties shall, however, after such date continue to be bound by the provisions set out in clause 15.5 and 17.

 

17.

GOVERNING LAW AND JURISDICTION

 

17.1

These terms and conditions shall be governed by and construed in accordance with the substantive law of Sweden (excluding its rules on conflict of laws).

 

17.2

The Company and the Director undertake to use their best efforts to resolve any disagreements or disputes regarding these terms and conditions between them or any two or more of them through discussions and mutual agreement.

 

17.3

Any dispute, controversy or claim arising out of or in connection with these terms and conditions, or the breach, termination or invalidity thereof, shall be finally settled by arbitration in accordance with the Arbitration Rules of the Arbitration Institute of the Stockholm Chamber of Commerce. Unless otherwise agreed between the parties to such arbitration, the Arbitral Tribunal shall be composed of a sole arbitrator, the seat of arbitration shall be Stockholm and the language to be used in the arbitral proceedings shall be English.

 

17.4

The arbitral proceedings and all information and documentation related thereto shall be confidential, unless a disclosure is required under any applicable law, relevant stock exchange regulations or order of court, other tribunal or competition authority or as otherwise agreed between the Company and the Director in writing.

 

10