Please wait
Exhibit 4.1 Adient – CONFIDENTIAL ADIENT GLOBAL HOLDINGS LTD, as the Company THE GUARANTORS PARTY THERETO FROM TIME TO TIME, as Guarantors $795,000,000 7.500% SENIOR UNSECURED NOTES DUE 2033 _________________________________ INDENTURE Dated as of February 3, 2025 _________________________________ U.S. Bank Trust Company, National Association, as Trustee


 
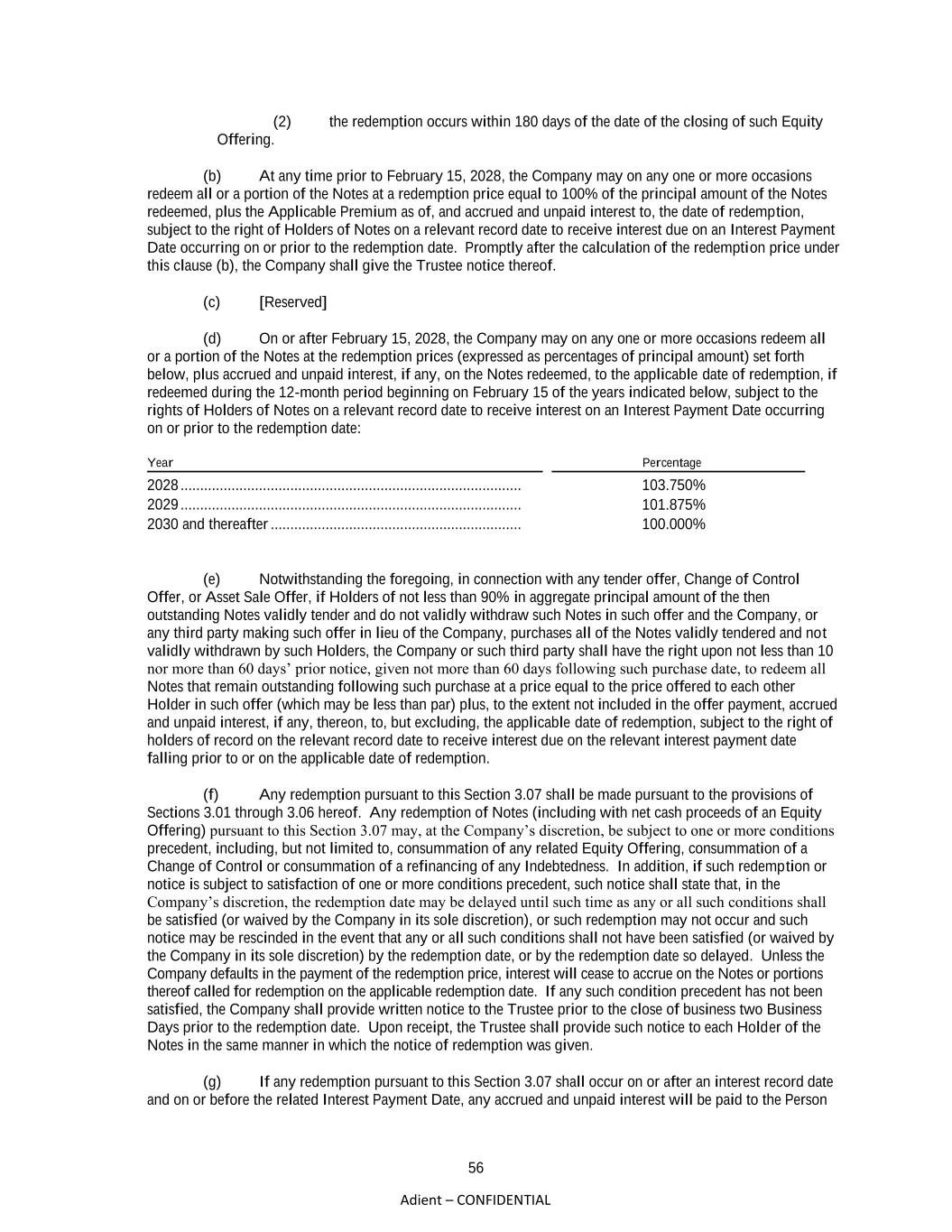
i Adient – CONFIDENTIAL TABLE OF CONTENTS Page Article 1 DEFINITIONS AND INCORPORATION BY REFERENCE Section 1.01 Definitions. ......................................................................................................................................... 1 Section 1.02 Other Definitions. ............................................................................................................................. 36 Section 1.03 Rules of Construction. ...................................................................................................................... 37 Section 1.04 Limited Condition Transactions. ...................................................................................................... 38 Section 1.05 Divisive Merger. ............................................................................................................................... 39 Section 1.06 Jersey terms. ..................................................................................................................................... 39 Section 1.07 Spanish terms and definitions. .......................................................................................................... 39 Section 1.08 Certain Compliance Calculations ..................................................................................................... 40 Article 2 THE NOTES Section 2.01 Form and Dating. .............................................................................................................................. 41 Section 2.02 Execution and Authentication. .......................................................................................................... 42 Section 2.03 Registrar and Paying Agent. ............................................................................................................. 43 Section 2.04 Paying Agent to Hold Money in Trust. ............................................................................................. 43 Section 2.05 Holder Lists. ..................................................................................................................................... 43 Section 2.06 Transfer and Exchange. .................................................................................................................... 43 Section 2.07 Replacement Notes. .......................................................................................................................... 51 Section 2.08 Outstanding Notes. ........................................................................................................................... 52 Section 2.09 Treasury Notes. ................................................................................................................................. 52 Section 2.10 Temporary Notes. ............................................................................................................................. 52 Section 2.11 Cancellation. ..................................................................................................................................... 52 Section 2.12 Defaulted Interest. ............................................................................................................................. 53 Section 2.13 CUSIP Numbers. .............................................................................................................................. 53 Article 3 REDEMPTION AND PREPAYMENT Section 3.01 Notices to Trustee. ............................................................................................................................ 53 Section 3.02 Selection of Notes to Be Redeemed or Purchased. ........................................................................... 53 Section 3.03 Notice of Redemption. ...................................................................................................................... 54 Section 3.04 Effect of Notice of Redemption. ....................................................................................................... 55 Section 3.05 Deposit of Redemption or Purchase Price. ....................................................................................... 55 Section 3.06 Notes Redeemed or Purchased in Part. ............................................................................................. 55 Section 3.07 Optional Redemption. ....................................................................................................................... 55 Section 3.08 Mandatory Redemption. ................................................................................................................... 57 Section 3.09 Offer to Purchase by Application of Excess Proceeds. ..................................................................... 57 Section 3.10 Redemption for Tax Reasons ............................................................................................................ 58 Article 4 COVENANTS Section 4.01 Payment of Notes. ............................................................................................................................. 59 Section 4.02 Maintenance of Office or Agency. .................................................................................................... 59 Section 4.03 Reports. ............................................................................................................................................. 59 Section 4.04 Compliance Certificate. .................................................................................................................... 60 Section 4.05 Taxes. ................................................................................................................................................ 60


 
ii Adient – CONFIDENTIAL Section 4.06 Stay, Extension and Usury Laws. ..................................................................................................... 60 Section 4.07 Restricted Payments. ......................................................................................................................... 61 Section 4.08 Dividend and Other Payment Restrictions Affecting Restricted Subsidiaries. ................................. 64 Section 4.09 Incurrence of Indebtedness and Issuance of Disqualified Stock or Preferred Stock. ........................ 66 Section 4.10 Asset Sales. ....................................................................................................................................... 72 Section 4.11 Transactions with Affiliates. ............................................................................................................. 74 Section 4.12 Liens. ................................................................................................................................................ 76 Section 4.13 Corporate Existence. ......................................................................................................................... 77 Section 4.14 Offer to Repurchase Upon Change of Control. ................................................................................. 77 Section 4.15 [Reserved]. ........................................................................................................................................ 78 Section 4.16 Future Guarantees. ............................................................................................................................ 78 Section 4.17 Designation of Restricted and Unrestricted Subsidiaries. ................................................................. 79 Section 4.18 Payment of Additional Amounts. ..................................................................................................... 79 Section 4.19 Changes in Covenants When Notes Rated Investment Grade. ......................................................... 81 Section 4.20 Spanish Post-Closing Covenant. ....................................................................................................... 82 Article 5 SUCCESSORS Section 5.01 Merger, Consolidation or Sale of Assets. ......................................................................................... 82 Section 5.02 Successor Corporation Substituted. .................................................................................................. 83 Article 6 DEFAULTS AND REMEDIES Section 6.01 Events of Default. ............................................................................................................................. 84 Section 6.02 Acceleration. ..................................................................................................................................... 86 Section 6.03 Other Remedies. ............................................................................................................................... 86 Section 6.04 Waiver of Past Defaults. ................................................................................................................... 86 Section 6.05 Control by Majority. ......................................................................................................................... 87 Section 6.06 Limitation on Suits............................................................................................................................ 87 Section 6.07 Rights of Holders of Notes to Receive Payment. .............................................................................. 87 Section 6.08 Collection Suit by Trustee. ............................................................................................................... 87 Section 6.09 Restoration of Rights and Remedies. ................................................................................................ 88 Section 6.10 Trustee May File Proofs of Claim. ................................................................................................... 88 Section 6.11 Priorities. ........................................................................................................................................... 88 Section 6.12 Undertaking for Costs. ...................................................................................................................... 88 Article 7 TRUSTEE Section 7.01 Duties of Trustee. .............................................................................................................................. 89 Section 7.02 Rights of Trustee. .............................................................................................................................. 90 Section 7.03 Individual Rights of Trustee. ............................................................................................................ 91 Section 7.04 Trustee’s Disclaimer. ........................................................................................................................ 91 Section 7.05 Notice of Defaults. ............................................................................................................................ 92 Section 7.06 [Reserved]. ........................................................................................................................................ 92 Section 7.07 Compensation and Indemnity. .......................................................................................................... 92 Section 7.08 Replacement of Trustee. ................................................................................................................... 93 Section 7.09 Successor Trustee by Merger, etc. .................................................................................................... 93 Section 7.10 Eligibility; Disqualification. ............................................................................................................. 93 Article 8 LEGAL DEFEASANCE AND COVENANT DEFEASANCE Section 8.01 Option to Effect Legal Defeasance or Covenant Defeasance. .......................................................... 94


 
iii Adient – CONFIDENTIAL Section 8.02 Legal Defeasance and Discharge. ..................................................................................................... 94 Section 8.03 Covenant Defeasance. ....................................................................................................................... 94 Section 8.04 Conditions to Legal or Covenant Defeasance. .................................................................................. 95 Section 8.05 Deposited Money and Government Securities to be Held in Trust; Other Miscellaneous Provisions. ................................................................................................................................... 96 Section 8.06 Repayment to the Company. ............................................................................................................. 96 Section 8.07 Reinstatement. .................................................................................................................................. 96 Article 9 AMENDMENT, SUPPLEMENT AND WAIVER Section 9.01 Without Consent of Holders of Notes. .............................................................................................. 97 Section 9.02 With Consent of Holder of Notes. .................................................................................................... 98 Section 9.03 [Reserved]. ........................................................................................................................................ 99 Section 9.04 Revocation and Effect of Consents. .................................................................................................. 99 Section 9.05 Notation on or Exchange of Notes. ................................................................................................... 99 Section 9.06 Trustee to Sign Amendments, etc. .................................................................................................... 99 Article 10 NOTE GUARANTEES Section 10.01 Guarantee. ....................................................................................................................................... 100 Section 10.02 Limitation on Guarantor Liability. .................................................................................................. 101 Section 10.03 Execution and Delivery of Note Guarantee. ................................................................................... 101 Section 10.04 Guarantors May Consolidate, etc., on Certain Terms. .................................................................... 101 Section 10.05 Releases. ......................................................................................................................................... 102 Section 10.06 English Guarantee Limitation. ........................................................................................................ 103 Section 10.07 Polish Guarantee Limitation. .......................................................................................................... 103 Section 10.08 Belgian Guarantee Limitation. ........................................................................................................ 103 Section 10.09 Swedish Guarantee Limitation. ....................................................................................................... 104 Section 10.10 Luxembourg Guarantee Limitation. ................................................................................................ 104 Section 10.11 Spanish Law Particulars. ................................................................................................................. 104 Section 10.12 Jersey law particulars ...................................................................................................................... 105 Section 10.13 Irish Guarantee Limitation .............................................................................................................. 105 Article 11 SATISFACTION AND DISCHARGE Section 11.01 Satisfaction and Discharge. ............................................................................................................. 105 Section 11.02 Application of Trust Money............................................................................................................ 106 Article 12 [RESERVED] Article 13 MISCELLANEOUS Section 13.01 [Reserved]. ...................................................................................................................................... 107 Section 13.02 Notices ............................................................................................................................................ 107 Section 13.03 [Reserved]. ...................................................................................................................................... 108 Section 13.04 Certificate and Opinion as to Conditions Precedent. ...................................................................... 108 Section 13.05 Statements Required in Certificate or Opinion. .............................................................................. 109 Section 13.06 Rules by Trustee and Agents. ......................................................................................................... 109 Section 13.07 No Personal Liability of Directors, Officers, Employees and Equity Holders, including Members. ................................................................................................................................... 109


 
iv Adient – CONFIDENTIAL Section 13.08 Governing Law. .............................................................................................................................. 109 Section 13.09 Consent to Jurisdiction; Consent to Service of Process. ................................................................. 109 Section 13.10 No Adverse Interpretation of Other Agreements. ........................................................................... 110 Section 13.11 Successors. ...................................................................................................................................... 110 Section 13.12 Severability. .................................................................................................................................... 110 Section 13.13 [Reserved]. ...................................................................................................................................... 110 Section 13.14 Counterpart Originals. .................................................................................................................... 110 Section 13.15 Table of Contents, Headings, etc. ................................................................................................... 111 Section 13.16 Force Majeure. ................................................................................................................................ 111 Section 13.17 Waiver of Jury Trial. ....................................................................................................................... 111 Section 13.18 Foreign Account Tax Compliance Act (FATCA). .......................................................................... 111 Section 13.19 Spanish provisions relating to executive proceedings .................................................................... 111 Section 13.20 Swedish Terms. ............................................................................................................................... 113


 
v Adient – CONFIDENTIAL EXHIBITS Exhibit A FORM OF 144A AND REGULATION S NOTE Exhibit B FORM OF CERTIFICATE OF TRANSFER Exhibit C FORM OF CERTIFICATE OF EXCHANGE Exhibit D FORM OF CERTIFICATE OF ACQUIRING INSTITUTIONAL ACCREDITED INVESTOR Exhibit E FORM OF NOTATION OF GUARANTEE Exhibit F FORM OF SUPPLEMENTAL INDENTURE Exhibit G FORM OF CERTIFICATE OF BENEFICIAL OWNERSHIP


 
1 Adient – CONFIDENTIAL INDENTURE dated as of February 3, 2025 among Adient Global Holdings Ltd, a public company under the Companies (Jersey) Law 1991 (the “Company”), the Guarantors (as defined herein) party hereto from time to time and U.S. Bank Trust Company, National Association, as trustee (the “Trustee”). The Company, the Guarantors and the Trustee agree as follows for the benefit of each other and for the equal and ratable benefit of the Holders (as defined herein) of the 7.500% Senior Unsecured Notes due 2033 (the “Notes”): ARTICLE 1 DEFINITIONS AND INCORPORATION BY REFERENCE Section 1.01 Definitions. “144A Global Note” means a Global Note substantially in the form of Exhibit A hereto bearing the Global Note Legend, the Private Placement Legend and the Tax Legend (if applicable) and deposited with or on behalf of, and registered in the name of, the Depositary or its nominee that will be issued in a denomination equal to the outstanding principal amount of the Notes sold in reliance on Rule 144A. “2026 Unsecured Notes” means the initial aggregate principal amount of $900.0 million of 4.875% Senior Unsecured Notes due 2026 that were issued August 19, 2016 under the 2026 Unsecured Notes Indenture. “2026 Unsecured Notes Indenture” means that certain indenture dated as of August 19, 2016 by and among Adient Global Holdings Ltd, the guarantors party thereto and U.S. Bank Trust Company, National Association, as trustee, pursuant to which the 2026 Unsecured Notes were issued. “2028 Secured Notes” means the initial aggregate principal amount of $500.0 million of 7.000% Senior Secured Notes due 2028 that were issued on March 14, 2023 under the 2028 Secured Notes Indenture. “2028 Secured Notes Indenture” means that certain indenture dated as of March 14, 2023 by and among Adient Global Holdings Ltd, the guarantors party thereto and U.S. Bank Trust Company, National Association, as trustee and collateral agent, pursuant to which the 2028 Secured Notes were issued. “2031 Unsecured Notes” means the initial aggregate principal amount of $500.0 million of 8.250% Senior Unsecured Notes due 2031 that were issued March 14, 2023 under the 2031 Unsecured Notes Indenture. “2031 Unsecured Notes Indenture” means that certain indenture dated as of March 14, 2023 by and among Adient Global Holdings Ltd, the guarantors party thereto and U.S. Bank Trust Company, National Association, as trustee, pursuant to which the 2031 Unsecured Notes were issued. “ABL Credit Agreement” means that certain amended and restated revolving credit agreement, dated as of November 2, 2022, as amended as of March 13, 2023, by and among Adient US, as lead borrower, JPMorgan Chase Bank, N.A., as administrative agent and collateral agent, and the lenders, agents and other parties party thereto, and including any related notes, Guarantees, collateral documents, instruments and agreements executed in connection therewith, and, in each case, as amended, restated, supplemented, waived, renewed or otherwise modified from time to time, and (if designated by the Company) as replaced (whether or not upon termination, and whether with the original lenders or otherwise), restructured, repaid, refunded, refinanced or otherwise modified from time to time, including (if designated by the Company) any agreement or indenture or commercial paper facilities with banks or other institutional lenders or investors extending the maturity thereof, refinancing, replacing or otherwise restructuring all or any portion of the Indebtedness under such agreement or agreements or indenture or indentures or any successor or replacement agreement or agreements or indenture or indentures or increasing the amount loaned or issued thereunder permitted under Section 4.09 hereof or altering the maturity thereof or adding Restricted Subsidiaries as additional borrowers or guarantors thereunder and whether by the same or any other agent, lender or group of lenders.


 
2 Adient – CONFIDENTIAL “Acquired Debt” means, with respect to any specified Person: (1) Indebtedness of any other Person existing at the time such other Person is merged with or into or consolidated or otherwise combined with or became a Subsidiary of such specified Person, whether or not such Indebtedness is incurred in connection with, or in contemplation of, such other Person merging with or into, consolidating or otherwise combining with or becoming a Restricted Subsidiary of, such specified Person; provided, however, that any Indebtedness of such acquired Person that is redeemed, defeased, retired or otherwise repaid at the time of or immediately upon consummation of the transactions by which such Person merges with or into, consolidates or otherwise combines with or becomes a Subsidiary of such Person shall not be considered to be Acquired Debt; and (2) Indebtedness secured by a Lien encumbering any asset acquired by such specified Person. “Additional Notes” means additional Notes (other than the Initial Notes) issued under this Indenture in accordance with Sections 2.02, 4.09 and 4.12 hereof, as part of the same series as the Initial Notes. “Adient US” means Adient US LLC, a Michigan limited liability company. “Affiliate” of any specified Person means any other Person directly or indirectly controlling or controlled by or under direct or indirect common control with such specified Person. For purposes of this definition, “control,” as used with respect to any Person, means the possession, directly or indirectly, of the power to direct or cause the direction of the management or policies of such Person, whether through the ownership of voting securities, by agreement or otherwise. For purposes of this definition, the terms “controlling,” “controlled by” and “under common control with” have correlative meanings. “Agent” means any Registrar, co-registrar, Custodian, Paying Agent, additional paying agent or authenticating agent. “Applicable Premium” means, with respect to any Note on any redemption date, the greater of: (1) 1.0% of the principal amount of the Note; and (2) the excess of (to the extent positive): (a) the present value at such redemption date of (i) the redemption price of the Note at February 15, 2028 (such redemption price being set forth in the table appearing in Section 3.07 hereof), plus (ii) all required interest payments due on the Note through February 15, 2028 (excluding accrued but unpaid interest (if any) to the redemption date), computed using a discount rate equal to the Treasury Rate as of such redemption date plus 50 basis points; over (b) the outstanding principal amount of the Note. Calculation of the Applicable Premium will be made by the Company or on behalf of the Company by such Person as the Company shall designate; provided that such calculation or the correctness thereof shall not be a duty or obligation of the Trustee. “Applicable Procedures” means, with respect to any transfer or exchange of or for beneficial interests in any Global Note, the rules and procedures of the Depositary, Euroclear and Clearstream that apply to such transfer or exchange. “Asset Sale” means: (1) the sale, lease, conveyance or other disposition of any assets or rights by Parent, the Company or any of their Restricted Subsidiaries; provided that the sale, lease, conveyance or other


 
3 Adient – CONFIDENTIAL disposition of all or substantially all of the assets of Parent, the Company and their Restricted Subsidiaries taken as a whole will be governed by Sections 4.14 and 5.01 hereof (and not by Section 4.10 hereof); and (2) the issuance of Equity Interests (other than directors’ qualifying shares or shares or interests required to be held by foreign nationals or third parties to the extent required by applicable law or any preferred stock or Disqualified Stock of a Restricted Subsidiary of Parent issued in compliance with Section 4.09 hereof) by any of Parent’s or the Company’s Restricted Subsidiaries or the sale by Parent, the Company or any of their Restricted Subsidiaries of Equity Interests in any of Parent or the Company’s Restricted Subsidiaries. Notwithstanding the foregoing, none of the following items will be deemed to be an Asset Sale: (1) any single transaction that involves assets, properties or Equity Interests having a Fair Market Value of less than the greater of (x) $25.0 million and (y) 0.30% of Total Assets; (2) a transfer of assets between or among Parent, the Company and their Restricted Subsidiaries; (3) an issuance or sale of Equity Interests by a Restricted Subsidiary to Parent, the Company or to another Restricted Subsidiary; (4) the sale, lease or other transfer of products, equipment, inventory, services or accounts receivable in the ordinary course of business or consistent with past practice, the discount or forgiveness of accounts receivable or the conversion of accounts receivable into notes receivable in connection with the collection or compromise thereof, the disposition of a business not comprising the disposition of an entire line of business and any sale or other disposition of surplus, damaged, worn-out or obsolete assets in the ordinary course of business or consistent with past practice (including the abandonment or other disposition of intellectual property that is, in the reasonable judgment of the Company, no longer economically practicable or commercially reasonable to maintain or used or useful in any material respect, taken as a whole, in the conduct of the business of Parent and its Restricted Subsidiaries taken as whole); (5) licenses, sublicenses, or covenants not to sue by Parent, the Company or any of their Restricted Subsidiaries of or under intellectual property or software or other technology; (6) any surrender, termination or waiver of contract rights or settlement, release, waiver of, recovery on or surrender of contract, tort or other claims of any kind; (7) the granting of Liens not prohibited by Section 4.12 hereof; (8) the sale or other disposition of cash, Cash Equivalents or Investment Grade Securities; (9) a Restricted Payment that does not violate Section 4.07 hereof or a Permitted Investment; (10) leases and subleases and licenses and sublicenses by Parent, the Company or any of their Restricted Subsidiaries of real or personal property in the ordinary course of business; (11) any liquidation or dissolution of a Restricted Subsidiary of Parent, provided that such Restricted Subsidiary’s direct parent is also either Parent, the Company or a Restricted Subsidiary of Parent and immediately becomes the owner of such Restricted Subsidiary’s assets; (12) any financing transaction with respect to property built, acquired, replaced, repaired or improved (including any reconstruction, refurbishment, renovation and/or development of real property) by Parent, the Company or any of their Restricted Subsidiaries after the Issue Date, including, without limitation, Sale/Leaseback Transactions and Securitization Transactions permitted by this Indenture;


 
4 Adient – CONFIDENTIAL (13) the sale or discount (with or without recourse, on customary or commercially reasonable terms and for credit management purposes) or the granting of any option or other right to purchase, lease or otherwise acquire inventory, notes and delinquent accounts receivable in the ordinary course of business or consistent with past practice; (14) any issuance, sale, pledge or other disposition of Equity Interests in, or Indebtedness or other securities of, an Unrestricted Subsidiary; (15) the sale, transfer, termination or other disposition of Hedging Obligations incurred in compliance with this Indenture or the partial or total unwinding of any Cash Management Services or Hedging Obligations in compliance with this Indenture; (16) sales of assets received by Parent, the Company or any of their Restricted Subsidiaries upon the enforcement on a Lien; (17) any disposition of Securitization Assets or Receivables Assets, or participations therein, in connection with any Qualified Securitization Transaction or Qualified Receivables Facility; (18) any trade-in of equipment by Parent, the Company or any of their Restricted Subsidiaries in exchange for other equipment; provided that in the good faith judgment of Parent, the Company or such Restricted Subsidiary receives equipment having a Fair Market Value equal or greater than the equipment being traded in; (19) dispositions arising from enforcements, condemnations, eminent domain, seizure, nationalization or any similar action with respect to assets, and dispositions of property subject to casualty events (including, without limitation, resulting from any involuntary loss or damage to or destruction of any property or assets of Parent, the Company or any Restricted Subsidiary); (20) the termination of leases and subleases in the ordinary course of business; (21) to the extent allowable under Section 1031 of the Code, any exchange of like property (excluding any boot thereon) for use in a Permitted Business; (22) dispositions of assets or Investments (including Equity Interests) in connection with the establishment or operation of joint ventures to the extent required by, or made pursuant to (including customary buy/sell arrangements or rights of first refusal between the joint venture parties set forth in) joint venture arrangements and similar binding arrangements; (23) any exchange of assets for Related Business Assets (including a combination of Related Business Assets and a de minimis amount of cash or Cash Equivalents) of comparable or greater market value than the assets exchanged, as determined in good faith by the Company, which exchange occurs within 90 days of the transfer of such assets; (24) any Sale/Leaseback Transaction of any property acquired or built after the Issue Date; provided that such sale is otherwise permitted pursuant to the terms of this Indenture; (25) the surrender or waiver of obligations of trade creditors or customers or other contract rights that were incurred in the ordinary course of business of Parent, the Company or any of their Restricted Subsidiaries, including pursuant to any plan of reorganization or similar arrangement upon the bankruptcy or insolvency of any trade creditor or customer or compromise, settlement, release or surrender of a contract, tort or other litigation claim, arbitration or other disputes; and (26) dispositions of property to the extent that (i) such property is exchanged for credit against the purchase price of similar replacement property that is purchased within 90 days of such disposition or


 
5 Adient – CONFIDENTIAL (ii) the proceeds of such Asset Sale are applied within 90 days of such disposition to the purchase price of such replacement property (which replacement property is purchased within 90 days of such disposition). “Bankruptcy Code” means Title 11 of the United States Code, as amended. “Bankruptcy Law” means the Bankruptcy Code, and any other federal, state or foreign law for the relief of debtors or governing any arrangement, reorganization, insolvency, concurso mercantil, examinership, liquidation, receivership, moratorium, assignment for the benefit of creditors, any other marshalling of the assets or liabilities of Parent or any of its Subsidiaries, or similar law affecting creditors’ rights generally. “Beneficial Owner” has the meaning assigned to such term in Rule 13d-3 and Rule 13d-5 under the Exchange Act, except that in calculating the beneficial ownership of any particular “person” (as that term is used in Section 13(d)(3) of the Exchange Act), such “person” will be deemed to have beneficial ownership of all securities that such “person” has the right to acquire by conversion or exercise of other securities, whether such right is currently exercisable or is exercisable only after the passage of time. The terms “Beneficially Owns” and “Beneficially Owned” have a corresponding meaning. “Board of Directors” means: (1) with respect to a corporation, the board of directors of the corporation or any committee thereof duly authorized to act on behalf of such board; (2) with respect to a partnership, the Board of Directors of the general partner of the partnership; (3) with respect to a limited liability company, the managing member or members or any controlling committee of managing members thereof; and (4) with respect to any other Person, the board or committee of such Person serving a similar function. “Borrowing Base” means, as of any date, an amount equal to (x) 65% of the book value of all accounts receivable owned by Parent and its Restricted Subsidiaries as of the end of the most recent fiscal quarter preceding such date; plus (y) 45% of the book value of all inventory owned by Parent and its Restricted Subsidiaries as of the end of the most recent fiscal quarter preceding such date, all calculated on a consolidated basis and in accordance with GAAP. “Business Day” shall mean any day except Saturday, Sunday and any day which shall be in New York, New York, the United States or in the jurisdiction of the place of payment a legal holiday or a day on which banking institutions are authorized or required by law or other government action to close. “Capital Lease Obligation” means an obligation that is required to be accounted for as a financing or capital lease (and, for the avoidance of doubt, not a straight-line or operating lease) on both the balance sheet and income statement for financial reporting purposes in accordance with GAAP as in effect prior to giving effect to the adoption of ASU No. 2016-02 “Leases (Topic 842)” and ASU No. 2018-11 “Leases (Topic 842),” and the Stated Maturity thereof shall be the date of the last payment of rent or any other amount due under such lease prior to the first date upon which such lease may be prepaid by the lessee without payment of a penalty. “Capital Stock” means: (1) in the case of a corporation, corporate stock or shares; (2) in the case of an association or business entity, any and all shares, interests, participations, rights or other equivalents (however designated) of corporate stock;


 
6 Adient – CONFIDENTIAL (3) in the case of a partnership, partnership interests (whether general or limited); (4) in the case of a limited liability company, membership interests; and (5) any other interest or participation that confers on a Person the right to receive a share of the profits and losses of, or distributions of assets of, the issuing Person, but excluding from all of the foregoing any debt securities convertible into Capital Stock, whether or not such debt securities include any right of participation with Capital Stock. “Cash” means, for purposes of certain agreements between and/or among Parent, the Company and/or their respective affiliates (as applicable), cash and the defined term “Cash Equivalents.” “Cash Equivalents” means: (1) United States dollars, Canadian dollars, pounds sterling, euros, the national currency of any participating member state of the European Union or, in the case of any Foreign Subsidiary, such local currencies held by it from time to time in the ordinary course of business; (2) readily marketable direct obligations of any member of the European Economic Area, Switzerland, or Japan, or any agency or instrumentality thereof or obligations unconditionally guaranteed by the full faith and credit of such country, and, at the time of acquisition thereof, having a credit rating of at least AA- (or the equivalent grade) by Moody’s or Aa3 by S&P; (3) marketable general obligations issued by (a) any state of the United States or any political subdivision thereof or any instrumentality thereof that are guaranteed by the full faith and credit of such state or (b) in the case of Cash Equivalents of any Subsidiary organized under the laws of Canada, Canada or any agency or instrumentality thereof that are guaranteed by the full faith and credit of Canada, and in each case, at the time of acquisition thereof, having a credit rating of at least AA- (or the equivalent grade) by Moody’s or Aa3 by S&P; (4) securities or any other evidence of Indebtedness or readily marketable direct obligations issued or directly and fully guaranteed or insured by (a) the United States government or any agency or instrumentality of the United States government; provided that the full faith and credit of the United States is pledged in support of those securities or (b) in the case of Cash Equivalents of any Subsidiary organized under the laws of Canada, Canada or any agency or instrumentality thereof; provided that the full faith and credit of Canada is pledged in support of those securities, and in each case, having maturities of not more than 24 months from the date of acquisition; (5) certificates of deposit, time deposits and Eurodollar time deposits with maturities of 24 months or less from the date of acquisition, bankers’ acceptances with maturities not exceeding 24 months and overnight bank deposits, in each case, with any commercial bank or trust company having capital and surplus in excess of $250 million in the case of domestic banks or $100 million (or the dollar equivalent thereof) in the case of foreign banks; (6) repurchase obligations with a term of not more than 30 days for underlying securities of the types described in clauses (4) and (5) above and clause (12) below, in each case entered into with any financial institution meeting the qualifications specified in clause (5) above; (7) commercial paper having one of the two highest ratings obtainable from Moody’s or S&P and, in each case, maturing within 24 months after the date of acquisition, if no rating is available in respect of the commercial paper, the issuer of which has an equivalent rating of its long-term debt; (8) securities with maturities of one year or less from the date of acquisition backed by standby letters of credit issued by any Person referenced in clause (5) above;


 
7 Adient – CONFIDENTIAL (9) readily marketable direct obligations issued by any state of the United States of America, any province of Canada, any member of the European Union or any political subdivision, taxing authority or public instrumentality thereof, in each case, having one of the two highest rating categories obtainable from either Moody’s or S&P (or, if at the time, neither is issuing comparable ratings, then a comparable rating of another nationally recognized statistical rating organization selected by the Company) with maturities of not more than 24 months from the date of creation or acquisition; (10) with respect to any Foreign Subsidiary: (i) obligations of the national government of the country in which such Foreign Subsidiary maintains its chief executive office and principal place of business provided such country is a member of the Organization for Economic Cooperation and Development, in each case maturing within one year after the date of investment therein, (ii) certificates of deposit of, bankers’ acceptance of, or time deposits with, any commercial bank which is organized and existing under the laws of the country in which such Foreign Subsidiary maintains its chief executive office and principal place of business provided such country is a member of the Organization for Economic Cooperation and Development, and whose short-term commercial paper rating from S&P is at least “A-1” or the equivalent thereof or from Moody’s is at least “P-1” or the equivalent thereof (any such bank being an “Approved Foreign Bank”), and in each case with maturities of not more than 270 days from the date of acquisition and (iii) the equivalent of demand deposit accounts which are maintained with an Approved Foreign Bank; (11) bills of exchange issued in the United States, Canada, a member state of the European Union or Japan eligible for rediscount at the relevant central bank and accepted by a bank (or any dematerialized equivalent); and (12) interests in any investment company, money market, enhanced high yield fund or other investment fund which invests 90% or more of its assets in instruments of the type specified in clauses (1) through (11) above or the following paragraph. In the case of Investments by any Foreign Subsidiary that is a Restricted Subsidiary or Investments made in a country outside the United States of America, Cash Equivalents shall also include (a) investments of the type and maturity described in clauses (1) through (6) and clauses (8) through (11) above of foreign obligors, which Investments or obligors (or the parent entities of such obligors) have ratings described in such clauses or equivalent ratings from comparable foreign rating agencies and (b) other short-term investments utilized by Foreign Subsidiaries that are Restricted Subsidiaries in accordance with normal investment practices for cash management in investments analogous to the foregoing investments in clauses (1) through (12) and in this paragraph. Notwithstanding the foregoing, Cash Equivalents shall include amounts denominated in currencies other than those set forth in clause (1) above, provided that such amounts are converted into any currency listed in clause (1) above as promptly as practicable and in any event within 10 Business Days following the receipt of such amounts. For the avoidance of doubt, any items identified as Cash Equivalents under this definition will be deemed to be Cash Equivalents for all purposes under this Indenture regardless of the treatment of such items under GAAP. “Cash Management Services” means any of the following services, and any agreement or other arrangement governing the provision of the same: automated clearing house transactions, treasury, depository, credit or debit card, purchasing card, stored value card, returned check concentration, controlled disbursement, lockbox, account reconciliation and reporting and trade finance services, electronic fund transfer services and/ or cash management services, including, without limitation, controlled disbursement services, overdraft facilities, foreign exchange facilities, deposit, zero balance and other accounts and merchant services or other cash management arrangements in the ordinary course of business or consistent with past practice. “CFC” means a controlled foreign corporation within the meaning of Section 957 of the Code. “Change of Control” means the occurrence of any of the following: (1) any person or “group” (within the meaning of Rules 13d-3 and 13d-5 under the Exchange Act, but excluding any employee benefit plan and any person or entity acting in its capacity as trustee, agent or other fiduciary or administrator of any such plan) acquires beneficial ownership of Voting Stock of


 
8 Adient – CONFIDENTIAL Parent representing more than 50% of the aggregate ordinary voting power for the election of directors of Parent (determined on a fully diluted basis); (2) the sale, lease or transfer (other than by way of merger, consolidation or other business combination transaction), in one or a series of related transactions, of all or substantially all of the assets of Parent and its Subsidiaries, taken as a whole, to any Person, other than Parent or any of its Restricted Subsidiaries; or (3) Parent fails to own, either directly or indirectly through one or more Wholly Owned Subsidiaries, 100% of the issued and outstanding voting Equity Interests of the Company. “Clearstream” means Clearstream Banking, S.A. “Code” means the U.S. Internal Revenue Code of 1986, as amended from time to time. “Commission” means the Securities and Exchange Commission, as from time to time constituted, created under the Exchange Act, or if at any time after the execution of this Indenture such Commission is not existing and performing the duties now assigned to it under the Securities Act of 1933, as amended, the Exchange Act and the Trust Indenture Act, then the body performing such duties at such time. “Company” means the Person named as the “Company” in the first paragraph of this instrument until a successor Person shall have become such pursuant to the applicable provisions of this Indenture, and thereafter “Company” shall mean such successor Person. The term “Company” does not include any of the Subsidiaries of the Company. “Consolidated EBITDA” means, with respect to any specified Person for any period, the Consolidated Net Income of such Person for such period plus, without duplication: (1) provision for taxes based on income, profits or capital (including state franchise taxes and similar taxes in the nature of income tax) of such Person and its Restricted Subsidiaries for such period and foreign withholding taxes; plus (2) the consolidated depreciation and amortization expense of such Person and its Restricted Subsidiaries for such period (including amortization of intangibles, deferred financing fees, debt issuance costs, commissions, fees and expenses), to the extent such expenses were deducted in computing such Consolidated Net Income; plus (3) the Fixed Charges of such Person and its Restricted Subsidiaries for such period, to the extent that such Fixed Charges were deducted in computing such Consolidated Net Income; plus (4) any other consolidated non-cash charges and expenses of such Person and its Restricted Subsidiaries for such period, to the extent that such consolidated non-cash charges or expenses were included in computing such Consolidated Net Income; provided that if any such non-cash charge or expense represents an accrual or reserve for anticipated cash charges or expenses in a future period, the cash payment in respect thereof in such future period shall be subtracted from Consolidated EBITDA to such extent, and excluding amortization of a prepaid cash item that was paid in a prior period; plus (5) any losses from foreign currency transactions (including losses related to currency remeasurements of Indebtedness) of such Person and its Restricted Subsidiaries for such period, to the extent that such losses were taken into account in computing such Consolidated Net Income; plus (6) losses in respect of post-retirement benefits of such Person, as a result of the application of ASC 715, Compensation-Retirement Benefits, to the extent that such losses were deducted in computing such Consolidated Net Income; plus


 
9 Adient – CONFIDENTIAL (7) any proceeds from business interruption insurance received by such Person during such period, to the extent the associated losses arising out of the event that resulted in the payment of such business interruption insurance proceeds were included in computing Consolidated Net Income; plus (8) any fees and expenses related to a Qualified Securitization Transaction or a Qualified Receivables Facility, as applicable, to the extent such fees and expenses are included in computing Consolidated Net Income; plus (9) earn-out obligation expense incurred in connection with any acquisition or other Investment (including any acquisition or other Investment consummated prior to the Issue Date) and paid or accrued during the applicable period; plus (10) losses attributable to, and payments of, legal settlements, fines, judgments or orders; plus (11) non-controlling or minority interest expense consisting of income attributable to third parties in respect of their Capital Stock in non-Wholly Owned Subsidiaries; plus (12) such Person’s pro rata share, whether direct or indirect, of any dividends or distributions declared but not paid during such period by any joint venture entity in which such Person has a direct or indirect interest (“Declared Dividends”); plus (13) the amount of loss on sales of Securitization Assets to a Securitization Entity in connection with a Qualified Securitization Transaction or Receivables Assets in connection with a Qualified Receivables Facility, as applicable, to the extent included in computing Consolidated Net Income; minus (14) the amount of any gain in respect of post-retirement benefits as a result of the application of ASC 715, to the extent such gains were taken into account in computing such Consolidated Net Income; minus (15) any gains from foreign currency transactions (including gains related to currency remeasurements of Indebtedness) of such Person and its Restricted Subsidiaries for such period, to the extent that such gains were taken into account in computing such Consolidated Net Income; minus (16) non-cash gains increasing such Consolidated Net Income for such period, other than the accrual of revenue in the ordinary course of business and other than reversals of an accrual or reserve for a potential cash item that reduced Consolidated EBITDA in any prior period; minus (17) on the last day of each fiscal year of such Person, the amount of such Person’s pro rata share of Declared Dividends during such fiscal year that have not actually been received by such Person, directly or indirectly, as of such date, in each case, on a consolidated basis and determined in accordance with GAAP. “Consolidated Secured Debt Ratio” means, as of any date of determination, the ratio of (1) (x) Consolidated Total Indebtedness of Parent and its Restricted Subsidiaries that is secured by a Lien as of such date, minus (y) unrestricted cash and Cash Equivalents that would be stated on the balance sheet of Parent and its Restricted Subsidiaries for which internal financial statements are available immediately preceding such date and held by Parent and its Restricted Subsidiaries as of such date of determination, and in each case, calculated on a Pro Forma Basis to (2) the Consolidated EBITDA of Parent for the most recently ended four full fiscal quarters for which internal financial statements are available immediately preceding such date, calculated on a Pro Forma Basis. For purposes of calculating the Consolidated Secured Debt Ratio with respect to any revolving Indebtedness, the Company may elect, at the time of the initial borrowing under such revolving Indebtedness, to either (x) give pro forma effect to the incurrence of the entire committed amount of such Indebtedness, in which case such committed amount may thereafter be borrowed or reborrowed, in whole or in part, from time to time, without further


 
10 Adient – CONFIDENTIAL compliance with the Consolidated Secured Debt Ratio component of any provision hereunder, or (y) give pro forma effect to the incurrence of the actual amount drawn under such revolving Indebtedness, in which case, the ability to incur the amounts committed to under such Indebtedness will be subject to the Consolidated Secured Debt Ratio (to the extent being incurred pursuant to such ratio) at the time of each such incurrence. “Consolidated Net Income” means, with respect to any specified Person for any period, the aggregate of the net income (loss) of such Person and its Restricted Subsidiaries for such period, on a consolidated basis, determined in accordance with GAAP and without any reduction in respect of (x) preferred stock dividends or (y) any dividend with proceeds of the offering of the Notes; provided that: (1) any after-tax effect of all extraordinary, nonrecurring or unusual gains or losses or income or expenses or any restructuring charges or reserves, including, without limitation, any expenses related to any reconstruction, recommissioning or reconfiguration of fixed assets for alternate uses, retention, severance, system establishment cost, contract termination costs, costs to consolidate facilities and relocate employees, advisor fees and other out of pocket costs and non-cash charges to assess and execute operational improvement plans and restructuring programs, will be excluded; (2) the net income (or loss) of any Person that is not a Restricted Subsidiary or that is accounted for by the equity method of accounting will be excluded; provided that the income of such Person will be included to the extent of the amount of dividends or similar distributions paid in cash (or converted to cash) to the specified Person or a Restricted Subsidiary of the Person; (3) the net income (or loss) of any Person and its Restricted Subsidiaries will be calculated without deducting the income attributed to, or adding the losses attributed to, the minority equity interests of third parties in any non-Wholly Owned Restricted Subsidiary except to the extent of the dividends paid in cash (or convertible into cash) during such period on the shares of Capital Stock of such Restricted Subsidiary held by such third parties; (4) solely for the purpose of Section 4.07 hereof, the net income (but not loss) of any Restricted Subsidiary (other than any Guarantor) will be excluded to the extent that the declaration or payment of dividends or similar distributions by that Restricted Subsidiary of that net income is not at the date of determination permitted without any prior governmental approval (that has not been obtained) or, directly or indirectly, by operation of the terms of its charter or any agreement, instrument, judgment, decree, order, statute, rule or governmental regulation applicable to that Restricted Subsidiary or its stockholders, unless such restrictions with respect to the payment of dividends or similar distributions have been legally waived; provided that the Consolidated Net Income of such Person will be increased by the amount of dividends or distributions or other payments actually paid in cash (or converted to cash) by any such Restricted Subsidiary to such Person in respect of such period, to the extent not already included therein; (5) the cumulative effect of any change in accounting principles will be excluded; (6) (a) any non-cash expenses resulting from the grant or periodic remeasurement of stock options, restricted stock grants or other equity incentive programs (including any stock appreciation and similar rights) and (b) any costs or expenses incurred pursuant to any management equity plan or stock option plan or other management or employee benefit plan or agreement or any stock subscription or shareholder agreement, to the extent, in the case of clause (b), that such costs or expenses are funded with cash proceeds contributed to the common equity capital of Parent or a Restricted Subsidiary of Parent, will be excluded; (7) the effect of any non-cash impairment charges or write-ups, write-downs or write-offs of assets or liabilities resulting from the application of GAAP and the amortization of intangibles arising from the application of GAAP, including pursuant to ASC 805, Business Combinations, ASC 350, Intangibles- Goodwill and Other, or ASC 360, Property, Plant and Equipment, as applicable, will be excluded;


 
11 Adient – CONFIDENTIAL (8) any net after-tax income or loss from disposed, abandoned or discontinued operations and any net after-tax gains or losses on disposed, abandoned or discontinued, transferred or closed operations will be excluded; (9) unrealized gains and losses relating to foreign currency transactions, including those relating to mark-to-market of Indebtedness resulting from the application of GAAP, including pursuant to ASC 830, Foreign Currency Matters, (including any net loss or gain resulting from Hedging Obligations for currency exchange risk) will be excluded; (10) any net gain or loss from Hedging Obligations or in connection with the early extinguishment of Hedging Obligations (including of ASC 815, Derivatives and Hedging) or from the early extinguishment or cancellation of Indebtedness shall be excluded; (11) to the extent covered by insurance and actually reimbursed, or, so long as such Person has made a determination that there exists reasonable evidence that such amount will in fact be reimbursed by the insurer and only to the extent that such amount is (i) not denied by the applicable carrier in writing within 180 days and (ii) in fact reimbursed within 365 days of the date of such evidence (with a deduction for any amount so added back to the extent not so reimbursed within 365 days), expenses with respect to liability or casualty events or business interruption shall be excluded; (12) non-cash charges for deferred tax asset valuation allowances shall be excluded (except to the extent reversing a previously recognized increase to Consolidated Net Income); and (13) effects of purchase accounting adjustments (including the effects of such adjustments pushed down to such Person and such Restricted Subsidiaries) in amounts required or permitted by GAAP, resulting from the application of purchase accounting in relation to any consummated acquisition or the amortization or write-off of any amounts thereof, net of taxes, shall be excluded. In addition, to the extent not already included in the Consolidated Net Income of such Person and its Restricted Subsidiaries, notwithstanding anything to the contrary in the foregoing, Consolidated Net Income shall include (i) any expenses and charges that are reimbursed by indemnification or other reimbursement provisions in connection with any investment or any sale, conveyance, transfer or other disposition of assets permitted hereunder, or, so long as the Company has made a determination that there exists reasonable evidence that such amount will in fact be reimbursed and only to the extent that such amount is (A) not denied by the applicable payor in writing within 180 days and (B) in fact reimbursed within 365 days of the date of such evidence (with a deduction for any amount so added back to the extent not so reimbursed within 365 days) and (ii) to the extent covered by insurance (including business interruption insurance) and actually reimbursed, or, so long as the Company has made a determination that there exists reasonable evidence that such amount will in fact be reimbursed by the insurer and only to the extent that such amount is (A) not denied by the applicable carrier in writing within 180 days and (B) in fact reimbursed within 365 days of the date of such evidence (with a deduction for any amount so added back to the extent not so reimbursed within 365 days), expenses with respect to liability or casualty events or business interruption. “Consolidated Total Debt Ratio” means, as of any date of determination, the ratio of (1) (x) Consolidated Total Indebtedness of Parent and its Restricted Subsidiaries as of such date minus (y) unrestricted cash and Cash Equivalents that would be stated on the balance sheet of Parent and its Restricted Subsidiaries for which internal financial statements are available immediately preceding such date and held by Parent and its Restricted Subsidiaries as of such date of determination, and in each case, calculated on a Pro Forma Basis to (2) the Consolidated EBITDA of Parent for the most recently ended four full fiscal quarters for which internal financial statements are available immediately preceding such date, calculated on a Pro Forma Basis. “Consolidated Total Indebtedness” means, as of any date of determination, without duplication, an amount equal to (1) the aggregate principal amount of Indebtedness of Parent and its Restricted Subsidiaries outstanding on such date, determined on a consolidated basis, to the extent required to be recorded on a balance sheet in accordance with GAAP, consisting of Indebtedness (other than Indebtedness representing clause (6) of the definition of “Indebtedness,” or with respect to Cash Management Services or that are otherwise removed in consolidation) and


 
12 Adient – CONFIDENTIAL (2) the aggregate amount of all outstanding Disqualified Stock of Parent and its Restricted Subsidiaries and all preferred stock of its Restricted Subsidiaries that are not Guarantors on a consolidated basis, with the amount of such Disqualified Stock and preferred stock equal to the greater of their respective voluntary or involuntary liquidation preferences and Maximum Fixed Repurchase Prices, in each case determined on a consolidated basis in accordance with GAAP, in each case of clauses (1) and (2) above, based on internal financial statements that are available immediately preceding such date and calculated on a Pro Forma Basis; provided that Consolidated Total Indebtedness shall not include Indebtedness in respect of any letter of credit, except to the extent of unreimbursed amounts under standby letters of credit, provided that any unreimbursed amounts under commercial letters of credit shall not be counted as Consolidated Total Indebtedness until 5 Business Days after such amount is drawn. For purposes hereof, the “Maximum Fixed Repurchase Price” of any Disqualified Stock or preferred stock that does not have a fixed repurchase price shall be calculated in accordance with the terms of such Disqualified Stock or preferred stock as if such Disqualified Stock or preferred stock were purchased on any date on which Consolidated Total Indebtedness shall be required to be determined pursuant to this Indenture, and if such price is based upon, or measured by, the fair market value of such Disqualified Stock or preferred stock, such fair market value shall be determined reasonably and in good faith by the Company. For the avoidance of doubt, Consolidated Total Indebtedness shall exclude Indebtedness in respect of any Receivables Facility or any Qualified Securitization Transaction. “continuing” means, with respect to any Default or Event of Default, that such Default or Event of Default has not been cured or waived. “Corporate Trust Office of the Trustee” means the designated office of the Trustee at which at any time its corporate trust business shall be administered, which office at the date hereof is located at 1555 North RiverCenter Drive, Suite 203, Milwaukee, WI 53212, Attention: Yvonne Siira, or such other address as the Trustee may designate from time to time by notice to the Holders and the Company, or the principal corporate trust office of any successor Trustee (or such other address as such successor Trustee may designate from time to time by notice to the Holders and the Company). “Credit Agreement” means (i) the Senior Credit Agreements and (ii) whether or not either of the Senior Credit Agreements remain outstanding, if designated by the Company to be included in the definition of “Credit Agreement,” one or more (A) debt facilities, indentures or commercial paper facilities providing for revolving credit loans, term loans, notes, debentures, receivables financing (including through the sale of receivables to lenders or to special purpose entities formed to borrow from lenders against such receivables) or letters of credit, (B) debt securities, notes, mortgages, guarantees, collateral documents, indentures or other forms of debt financing (including convertible or exchangeable debt instruments or bank guarantees or bankers’ acceptances), or (C) instruments or agreements evidencing any other Indebtedness, in each case, with the same or different borrowers or issuers and, in each case, as amended, supplemented, modified, extended, restructured, renewed, refinanced, restated or increased; provided that such increase in borrowings is permitted under this Indenture, replaced or refunded in whole or in part from time to time and whether by the same or any other agent, lender or investor or group of lenders or investors. “Custodian” means the Trustee, as custodian with respect to the Global Notes, or any successor entity thereto. “Declared Dividends” has the meaning set forth in the definition of “Consolidated EBITDA”. “Default” means any event that is, or with the passage of time or the giving of notice or both would be, an Event of Default. “Definitive Note” means a certificated Note registered in the name of the Holder thereof and issued in accordance with Section 2.06 hereof, substantially in the form of Exhibit A hereto except that such Note shall not bear the Global Note Legend and shall not have the “Schedule of Exchanges of Interests in the Global Note” attached thereto. “Depositary” means, with respect to the Global Notes, the Person specified in Section 2.03 hereof as the Depositary with respect to the Global Notes, and any and all successors thereto appointed as depositary hereunder and having become such pursuant to the applicable provision of this Indenture.


 
13 Adient – CONFIDENTIAL “Designated Non-cash Consideration” means the Fair Market Value of non-cash consideration received by Parent, the Company or one of their Restricted Subsidiaries in connection with an Asset Sale that is so designated as Designated Non-cash Consideration pursuant to an Officer’s Certificate, setting forth the basis of such valuation, less the amount of Cash Equivalents received in connection with a subsequent sale of such Designated Non-cash Consideration. “Designated Preferred Stock” means preferred stock of the Company or any direct or indirect parent of the Company (other than Disqualified Stock), that is issued for cash (other than to Parent, the Company or any of their Subsidiaries or an employee stock plan or trust established by Parent, the Company or any of their Subsidiaries) and is so designated as Designated Preferred Stock, pursuant to an Officer’s Certificate, on the date of issuance thereof, the cash proceeds of which are excluded from the calculation set forth in Section 4.07(a)(z) hereof. “Disinterested Director” means, with respect to any Affiliate Transaction, a member of the Board of Directors of the Company having no material direct or indirect financial interest in or with respect to such Affiliate Transaction. A member of the Board of Directors of the Company shall be deemed not to have such a financial interest by reason of such member’s holding Capital Stock of the Company or any direct or indirect parent of the Company or any options, warrants or other rights in respect of such Capital Stock. “Disqualified Stock” means any Capital Stock that, by its terms (or by the terms of any security into which it is convertible, or for which it is exchangeable, in each case, at the option of the holder of the Capital Stock), or upon the happening of any event, matures or is mandatorily redeemable, pursuant to a sinking fund obligation or otherwise, or is redeemable at the option of the holder of the Capital Stock, in whole or in part, on or prior to the date that is 91 days after the date on which the Notes mature; provided, however, that only the portion of Capital Stock which so matures or is mandatorily redeemable, is so convertible or exchangeable or is so redeemable at the option of the holder thereof prior to such date will be deemed to be Disqualified Stock; provided, further, however, that, if such Capital Stock is issued to any employee or to any plan for the benefit of employees of the Company, any direct or indirect parent of the Company, or the Company’s Restricted Subsidiaries or by any such plan to such employees, such Capital Stock will not constitute Disqualified Stock solely because it may be required to be repurchased by the Company in order to satisfy applicable statutory or regulatory obligations or as a result of such employee’s termination, death or disability; provided, further, that any class of Capital Stock of such Person that by its terms authorizes such Person to satisfy its obligations thereunder by delivery of Capital Stock that is not Disqualified Stock will not be deemed to be Disqualified Stock; provided, further, that any Capital Stock that would constitute Disqualified Stock solely because the holders thereof have the right to require the Company to repurchase such Capital Stock upon the occurrence of a change of control or asset sale (howsoever defined or referred to) shall not constitute Disqualified Stock if any such redemption or repurchase obligation is subject to compliance by the relevant Person with the covenant described under Section 4.07 hereof. “Domestic Subsidiary” means any Subsidiary of the Company that was formed under the laws of the United States or any state of the United States or the District of Columbia (and, for the avoidance of doubt, excluding Puerto Rico). “Equity Interests” means Capital Stock and all warrants, options or other rights to acquire Capital Stock (but excluding any debt security that is convertible into, or exchangeable for, or referencing any, Capital Stock). “Equity Offering” means a public or private sale either (1) of Equity Interests of the Company by the Company (other than Disqualified Stock and other than to a Subsidiary of the Company or any direct or indirect parent of the Company) or (2) of Equity Interests of a direct or indirect parent of the Company (other than to the Company, a Subsidiary of the Company or any direct or indirect parent of the Company), in each case other than public offerings with respect to the Company’s or Parent’s common stock registered on Form S-8. “Euroclear” means Euroclear Bank, S.A./N.V., as operator of the Euroclear system. “Examiner” and “examinership” shall have the meaning given to them in, and shall be construed in accordance with, the Companies Act 2014 (as amended) of Ireland and references to bankruptcy or insolvency proceedings in this document shall include examinership.


 
14 Adient – CONFIDENTIAL “Exchange Act” means the Securities Exchange Act of 1934, as amended. “Excluded Subsidiaries” means, Unrestricted Subsidiaries, Immaterial Subsidiaries, Not-for-Profit Subsidiaries, Securitization Entities, Receivables Subsidiaries, any Foreign Subsidiaries (other than a Foreign Subsidiary organized under Specified Foreign Laws that is not a Foreign Subsidiary of Adient US that is a CFC or a FSHCO (provided that any Foreign Subsidiary organized under the laws of Ireland, Luxembourg or Jersey shall be an Excluded Subsidiary unless it holds, directly or indirectly, Equity Interests in the Company or a Guarantor or is designated by Parent as a Guarantor), any Domestic Subsidiary that is a FSHCO or that is a Subsidiary of a Foreign Subsidiary of Adient US that is a CFC, and any Subsidiary that is prohibited, but only so long as such Subsidiary would be prohibited, by applicable law, rule or regulation or by any contractual obligation existing on the Issue Date or existing at the time of acquisition thereof after the Issue Date (so long as such prohibition did not arise as part of such acquisition), in each case, from guaranteeing the Notes or which would require governmental (including regulatory) consent, approval, license or authorization to provide a Guarantee unless such consent, approval, license or authorization has been received (but without obligation to seek the same). “Fair Market Value” means the value (which, for the avoidance of doubt, will take into account any liabilities, contingent or otherwise, associated with related assets) that would be paid by a willing buyer to an unaffiliated willing seller in an arm’s-length transaction, determined in good faith by the Board of Directors of the Company (unless otherwise provided in this Indenture). “Fixed Charge Coverage Ratio” means, with respect to any Person as of any date, the ratio of (1) Consolidated EBITDA of such Person for the most recent period of four consecutive fiscal quarters for which internal financial statements are available immediately preceding the date on which such calculation of the Fixed Charge Coverage Ratio is made, calculated on a Pro Forma Basis for such period to (2) the Fixed Charges of such Person for such period calculated on a Pro Forma Basis. In the event that Parent or any of its Restricted Subsidiaries incurs or redeems or repays any Indebtedness (other than in the case of revolving credit borrowings or revolving advances under any Qualified Securitization Transaction unless the related commitments have been terminated and such Indebtedness has been permanently repaid and has not been replaced) or issues or redeems Disqualified Stock or, in the case of non-Guarantor Restricted Subsidiaries, preferred stock, subsequent to the commencement of the period for which the Fixed Charge Coverage Ratio is being calculated but prior to or simultaneously with the event for which the calculation of the Fixed Charge Coverage Ratio is made, then the Fixed Charge Coverage Ratio shall be calculated on a Pro Forma Basis; provided that, in the event that the Company shall classify Indebtedness incurred on the date of determination as incurred in part as Ratio Debt and in part pursuant to one or more clauses of the definition of “Permitted Debt” (other than in Section 4.09(b)(12) hereof), as provided in Section 1.08(e) hereof, any calculation of Fixed Charges pursuant to this definition on such date (but not in respect of any future calculation following such date) shall not include any such Indebtedness (and shall not give effect to any repayment, repurchase, redemption, defeasance or other acquisition, retirement or discharge of Indebtedness from the proceeds thereof) to the extent incurred pursuant to any such other clause of such definition. “Fixed Charges” means, with respect to any specified Person for any period, the sum, without duplication, of: (1) the consolidated interest expense of such Person and its Restricted Subsidiaries for such period, whether paid or accrued, to the extent such expense was deducted in computing Consolidated Net Income, including, without limitation, amortization of original issue discount, the interest component of all payments associated with Capital Lease Obligations, and the net of the effect of all payments made or received pursuant to Hedging Obligations in respect of interest rates (but excluding any non-cash interest expense attributable to the mark-to-market valuation of Hedging Obligations or other derivatives pursuant to GAAP) and excluding (a) penalties and interest relating to taxes, (b) amortization or write-off of deferred financing fees and expensing of any other financing fees, including any expensing of bridge or commitment fees, (c) any additional cash interest owing pursuant to any registration rights agreement, (d) the non-cash portion of interest expense resulting from the reduction in the carrying value under purchase accounting of the Company’s outstanding Indebtedness, (e) commissions, discounts, yield and other fees and charges (including any interest expense) related to any Securitization Transaction and Receivables Facility, (f) annual agency fees paid to the administrative agents and collateral agents under any Senior Credit Agreements, (g) costs associated with obtaining Hedging Obligations, (h) any expense resulting from the


 
15 Adient – CONFIDENTIAL discounting of any Indebtedness in connection with the application of recapitalization accounting or, if applicable, purchase accounting in connection with any acquisition, (i) any accretion of accrued interest on discounted liabilities and any prepayment premium or penalty and (j) interest expense resulting from push- down accounting; provided that, for purposes of calculating consolidated interest expense, no effect will be given to the discount and/or premium resulting from the bifurcation of derivatives under ASC 815, Derivatives and Hedging, as a result of the terms of the Indebtedness to which such consolidated interest expense applies; plus (2) the consolidated interest expense of such Person and its Restricted Subsidiaries that was capitalized during such period; plus (3) all cash dividends, whether paid or accrued, on any series of Disqualified Stock of such Person or any of its Restricted Subsidiaries or preferred stock of any non-Guarantor Restricted Subsidiaries, excluding items eliminated in consolidation, in each case, determined on a consolidated basis in accordance with GAAP; minus (4) the consolidated interest income of such Person and its Restricted Subsidiaries for such period, whether received or accrued, to the extent such income was included in determining Consolidated Net Income. “Foreign Subsidiary” means any Restricted Subsidiary of Parent that is not a Domestic Subsidiary. “FSHCO” means any Domestic Subsidiary of Adient US that owns no material assets (directly or indirectly through subsidiaries), other than the Equity Interests of one or more Foreign Subsidiaries of Adient US that are CFCs. “GAAP” means generally accepted accounting principles set forth in the opinions and pronouncements of the Accounting Principles Board of the American Institute of Certified Public Accountants and statements and pronouncements of the Financial Accounting Standards Board Accounting Standards Codification or in such other statements by such other entity as have been approved by a significant segment of the accounting profession. For the purposes of this Indenture, the term “consolidated,” with respect to any Person, shall mean such Person consolidated with its Restricted Subsidiaries, and shall not include any Unrestricted Subsidiary, but the interest of such Person in an Unrestricted Subsidiary will be accounted for as an Investment. “Global Note Legend” means the legend set forth in Section 2.06(g)(2) hereof, which is required to be placed on all Global Notes issued under this Indenture. “Global Notes” means, individually and collectively, each of the Restricted Global Notes deposited with or on behalf of and registered in the name of the Depositary or its nominee, substantially in the form of Exhibit A hereto and that bears the Global Note Legend and that has the “Schedule of Exchanges of Interests in the Global Note” attached thereto, issued in accordance with Section 2.01, 2.06(b)(3) or 2.06(d)(1) hereof. “Government Securities” means direct obligations of, or obligations guaranteed by, the United States of America, and the payment for which the United States pledges its full faith and credit. “Guarantee” means a guarantee other than by endorsement of negotiable instruments for collection in the ordinary course of business, direct or indirect, in any manner including, without limitation, by way of a pledge of assets or through letters of credit or reimbursement agreements in respect thereof, of all or any part of any Indebtedness (whether arising by virtue of partnership arrangements, or by agreements to keep-well, to purchase assets, goods, securities or services, to take or pay or to maintain financial statement conditions or otherwise). “Guarantors” means Parent and any Subsidiary of Parent that executes a Note Guarantee in accordance with the provisions of this Indenture and their respective successors and assigns that constitute Subsidiaries (other than Excluded Subsidiaries), in each case, until the Note Guarantee of such Person has been released in accordance with the provisions of this Indenture.


 
16 Adient – CONFIDENTIAL “Hedging Obligations” means, with respect to any specified Person, the obligations of such Person under: (1) interest rate swap agreements (whether from fixed to floating or from floating to fixed), interest rate cap agreements and interest rate collar agreements; (2) other agreements or arrangements designed to manage interest rates or interest rate risk; and (3) other agreements or arrangements (including any foreign exchange contract, currency swap agreement or other similar agreement or arrangements (including derivative agreements or arrangements)) designed to protect such Person against fluctuations in currency exchange rates or commodity prices. “Holder” means a Person in whose name a Note is registered. “Immaterial Subsidiary” shall mean any Restricted Subsidiary that (a) did not, as of the last day of the fiscal quarter of Parent most recently ended for which internal financial statements are available, have assets with a value in excess of 2.5% of the Total Assets or revenues representing in excess of 2.5% of total revenues of Parent and the Restricted Subsidiaries on a consolidated basis as of such date, and (b) taken together with all such Restricted Subsidiaries as of such date, did not have assets with a value in excess of 5.0% of Total Assets or revenues representing in excess of 5.0% of total revenues of Parent and the Restricted Subsidiaries on a consolidated basis as of such date. “Indebtedness” means, with respect to any specified Person, without duplication, any indebtedness of such Person (excluding accrued expenses and trade payables, deferred compensation, deferred rent (other than for Capital Lease Obligations), and landlord allowances), whether or not contingent: (1) in respect of borrowed money; (2) evidenced by bonds, notes, debentures or similar instruments or letters of credit (or reimbursement agreements in respect thereof); (3) in respect of banker’s acceptances; (4) representing Capital Lease Obligations; (5) representing the balance of deferred and unpaid purchase price of any property or services due more than 60 days after such property is acquired or such services are completed; or (6) representing any Hedging Obligations, if and to the extent any of the preceding items (other than letters of credit and Hedging Obligations) would appear as a liability upon a balance sheet of the specified Person prepared in accordance with GAAP. In addition, the term “Indebtedness” includes all Indebtedness of others secured by a Lien on any asset of the specified Person (whether or not such Indebtedness is assumed by the specified Person) and, to the extent not otherwise included, the Guarantee by the specified Person of any Indebtedness of any other Person; provided that (a) contingent obligations incurred in the ordinary course of business or consistent with past practice, (b) obligations under or in respect of Qualified Securitization Transactions or Qualified Receivables Facilities, (c) any balance that constitutes a trade payable, accrued expense or similar obligation to a trade creditor, in each case incurred in the ordinary course of business, (d) intercompany liabilities that would be eliminated on the consolidated balance sheet of Parent and its consolidated Subsidiaries, (e) prepaid or deferred revenue arising in the ordinary course of business, (f) Cash Management Services, (g) in connection with the purchase by Parent or any Restricted Subsidiary of any business, assets, Capital Stock or Person, any postclosing payment adjustments to which the seller may become entitled to the extent such payment is determined by a final closing balance sheet or such payment depends on the performance of such business after the closing; provided, however, that, at the time of closing, the amount of any such payment is


 
17 Adient – CONFIDENTIAL not determinable and, to the extent such payment thereafter becomes fixed and determined, the amount is paid in a timely manner, (h) obligations, to the extent such obligations would otherwise constitute Indebtedness, under any agreement that have been irrevocably defeased or irrevocably satisfied and discharged pursuant to the terms of such agreement, or (i) for the avoidance of doubt, any obligations in respect of workers’ compensation claims, early retirement or termination obligations, deferred compensatory or employee or director equity plans pension fund obligations or contributions or similar claims, obligations or contributions or social security or wage taxes, in each case, shall be deemed not to constitute Indebtedness. The term “Indebtedness” shall not include any lease, concession or license of property (or Guarantee thereof) which would be considered an operating lease under GAAP as in effect prior to giving effect to the adoption of ASU No. 2016-02 “Leases (Topic 842)” and ASU No. 2018-11 “Leases (Topic 842),” any prepayments of deposits received from clients or customers in the ordinary course of business or consistent with past practices, or obligations under any license, permit or other approval (or Guarantees given in respect of such obligations) incurred prior to the Issue Date or in the ordinary course of business or consistent with past practices. Indebtedness shall be calculated without giving effect to the provisions of ASC 815, Derivatives and Hedging and related interpretations to the extent such provisions would otherwise increase or decrease an amount of Indebtedness for any purpose under this Indenture as a result of accounting for any embedded derivatives created by the terms of such Indebtedness. “Indenture” means this Indenture, as amended or supplemented from time to time. “Independent Financial Advisor” means an accounting, appraisal or investment banking firm or consultant to Persons engaged in a Permitted Business, in each case of nationally recognized standing that is, in the good faith determination of the Company, qualified to perform the task for which it has been engaged. “Indirect Participant” means a Person who holds a beneficial interest in a Global Note through a Participant. “Initial Notes” means the $795.0 million aggregate principal amount of Notes issued under this Indenture on the date hereof. “Initial Purchasers” means Barclays Capital Inc., Citigroup Global Markets Inc., J.P. Morgan Securities LLC, BofA Securities, Inc., Credit Agricole Securities (USA) Inc., MUFG Securities Americas Inc., Deutsche Bank Securities Inc., CIBC World Markets Corp., ING Financial Markets LLC, KeyBanc Capital Markets Inc., Truist Securities, Inc., UniCredit Capital Markets LLC and U.S. Bancorp Investments, Inc. “Institutional Accredited Investor” means an institution that is an “accredited investor” as defined in Rule 501(a)(1), (2), (3) or (7) under the Securities Act that is not also a QIB. “Investment Grade Securities” means: (1) securities issued or directly and fully guaranteed or insured by the U.S. government or any agency or instrumentality thereof (other than Cash Equivalents) and in each case with maturities not exceeding two years from the date of acquisition; (2) securities that have a rating equal to or higher than Baa3 (or the equivalent) by Moody’s or BBB- (or the equivalent) by S&P, or an equivalent rating by any other “nationally recognized statistical rating organization” within the meaning of Rule 15c3-1(c)(2)(vi)(F) under the Exchange Act; (3) investments in any fund that invests at least 95% of its assets in investments of the type described in clauses (1) and (2) which fund may also hold immaterial amounts of cash pending investment and/or distribution; and (4) instruments of the general type described in clauses (1), (2) or (3) above in countries other than the United States customarily utilized for high quality investments and in each case with maturities not exceeding two years from the date of acquisition.


 
18 Adient – CONFIDENTIAL “Investments” means, with respect to any Person, all direct or indirect investments by such Person in other Persons (including Affiliates) in the form of loans (including Guarantees), advances or capital contributions (excluding accounts receivable, trade credit and advances to customers and commission, travel, relocation and similar advances to directors, officers and employees made in the ordinary course of business), purchases or other acquisitions for consideration of Indebtedness, Equity Interests or other securities issued by any other Person, together with all items that are required to be classified as investments on a balance sheet prepared in accordance with GAAP in the same manner as the other investments included in this definition to the extent such transactions involve the transfer of cash or other property. If Parent or any Restricted Subsidiary of Parent sells or otherwise disposes of any Equity Interests of any direct or indirect Restricted Subsidiary of Parent such that, after giving effect to any such sale or disposition, such Person is no longer a Restricted Subsidiary of Parent, Parent will be deemed to have made an Investment on the date of any such sale or disposition equal to the Fair Market Value of Parent’s Investments in such Subsidiary that were not sold or disposed of in an amount determined as provided in Section 4.07(c) hereof. The acquisition by Parent or any Restricted Subsidiary of Parent of a Person that holds an Investment in a third Person will be deemed to be an Investment by Parent or such Restricted Subsidiary in such third Person in an amount equal to the Fair Market Value of the Investments held by the acquired Person in such third Person in an amount determined as provided in Section 4.07(c) hereof. Except as otherwise provided in this Indenture, the amount of an Investment will be determined at the time the Investment is made and without giving effect to subsequent changes in value. Notwithstanding anything in this Indenture to the contrary, for purposes of Section 4.07 hereof: (1) “Investments” shall include the portion (proportionate to Parent’s equity interest in such Subsidiary) of the Fair Market Value of the net assets of a Subsidiary of Parent at the time that such Subsidiary is designated an Unrestricted Subsidiary; provided, however, that upon a redesignation of such Subsidiary as a Restricted Subsidiary of Parent, Parent shall be deemed to continue to have a permanent “Investment” in an Unrestricted Subsidiary equal to an amount (if positive) equal to: (a) Parent’s “Investment” in such Subsidiary at the time of such redesignation; minus (b) the portion (proportionate to Parent’s equity interest in such Subsidiary) of the Fair Market Value of the net assets of such Subsidiary at the time of such redesignation; and (2) any property transferred to or from an Unrestricted Subsidiary shall be valued at its Fair Market Value at the time of such transfer, in each case as determined in good faith by the Company. “Ireland” means the Republic of Ireland. “Irish Companies Act” means the Companies Act 2014 (as amended) of Ireland. “Issue Date” means the first date on which the Initial Notes (excluding, for the avoidance of doubt, any Additional Notes) are issued. “Legal Holiday” means a Saturday, a Sunday or a day on which banking institutions in the City of New York or at a place of payment are authorized by law, regulation or executive order to remain closed. If a payment date is a Legal Holiday at a place of payment, payment may be made at that place on the next succeeding day that is not a Legal Holiday, and no interest shall accrue on such payment for the intervening period. “Lien” means, with respect to any asset, any mortgage, lien, pledge, charge, security interest or encumbrance of any kind in respect of such asset, whether or not filed, recorded or otherwise perfected under applicable law, including any conditional sale or other title retention agreement, any lease in the nature thereof, any option or other agreement to sell or give a security interest in and any filing of or agreement to give any financing statement under the Uniform Commercial Code (or equivalent statutes) of any jurisdiction. “Limited Condition Transaction” means (1) any Investment or acquisition (whether by merger, amalgamation, consolidation or other business combination or the acquisition of Capital Stock or otherwise) whose


 
19 Adient – CONFIDENTIAL consummation is not conditioned on the availability of, or on obtaining, third party financing and (2) any redemption, repurchase, defeasance, satisfaction and discharge or repayment of Indebtedness or Disqualified Stock or any preferred stock requiring irrevocable notice in advance of such redemption, repurchase, defeasance, satisfaction and discharge or repayment. “LTM EBITDA” means Consolidated EBITDA of Parent measured for the period of the most recent four consecutive fiscal quarters ending prior to the date of such determination for which internal consolidated financial statements of Parent are available calculated on a Pro Forma Basis. “Luxembourg Guarantors” shall mean, collectively, each Guarantor that is organized under the laws of the Grand Duchy of Luxembourg. “Material Real Property” means each parcel of real property that is now or hereafter owned in fee by the Company or any Guarantor that (together with any other parcels constituting a single site or operating property) has a Fair Market Value (as determined by the Company in good faith) that is equal to or greater than $10,000,000. “Mexican Guarantors” shall mean, collectively, each Guarantor that is incorporated under the laws of Mexico. “Mexico” means the United Mexican States (Estados Unidos Mexicanos). “Moody’s” means Moody’s Investors Service, Inc. “Net Proceeds” means the aggregate cash proceeds and Cash Equivalents received by Parent or any of its Restricted Subsidiaries in respect of any Asset Sale (including, without limitation, any cash or Cash Equivalents received upon the sale or other disposition of any Designated Non-cash Consideration received in any Asset Sale, but excluding the assumption by the acquiring Person of Indebtedness relating to the disposed asset or other consideration received in any other non-cash form), net of the costs relating to such Asset Sale and the sale or disposition of such Designated Non-cash Consideration, including, without limitation, legal, accounting and investment banking fees, discounts and sales commissions, and any relocation expenses incurred as a result of the Asset Sale, taxes paid, payable or reasonably estimated in good faith to be payable as a result of the Asset Sale, in each case, after taking into account any current reduction in tax liability (determined on a “with and without” basis) due to available tax credits or deductions and any tax sharing arrangements, amounts applied to the repayment of principal, premium (if any) and interest on Senior Indebtedness required (other than pursuant to Section 4.10(c) hereof) to be paid as a result of such transaction, and any deduction of appropriate amounts to be provided by Parent as a reserve in accordance with GAAP against any liabilities associated with the asset disposed of in such transaction and retained by Parent after such sale or other disposition thereof, including, without limitation, pension and other post-employment benefit liabilities and liabilities related to environmental matters or against any indemnification obligations associated with such transaction. “Non-Guarantor Subsidiary” means a Subsidiary that is not a Guarantor. “Non-Recourse Debt” means Indebtedness: (1) as to which neither Parent nor any of its Restricted Subsidiaries (a) provides credit support of any kind (including any undertaking, agreement or instrument that would constitute Indebtedness) or (b) is directly or indirectly liable as a guarantor or otherwise; and (2) as to which the obligees in respect of such Indebtedness have been notified in writing that they will not have any recourse to the stock or assets of Parent, or any of its Restricted Subsidiaries (other than the Equity Interests of an Unrestricted Subsidiary). “Non-U.S. Person” means a Person who is not a U.S. Person.


 
20 Adient – CONFIDENTIAL “Not-for-Profit Subsidiary” means an entity, including entities qualifying under Section 501(c)(3) of the Code, that uses surplus revenue to achieve its goals rather than distributing them as profit or dividends. “Note Guarantee” means the Guarantee by each Guarantor of the Company’s obligations under this Indenture and the Notes, executed pursuant to the provisions of this Indenture. “Notes” has the meaning assigned to it in the preamble to this Indenture. The Initial Notes and the Additional Notes shall be treated as a single class for all purposes under this Indenture, and unless the context otherwise requires, all references to the Notes shall include the Initial Notes and any Additional Notes. “Notes Obligations” means Obligations in respect of the Notes, this Indenture and the Guarantees relating to the Notes. “Obligations” means any principal, interest (including any interest, fees, expenses, and other amounts accruing subsequent to the filing of a petition in bankruptcy, liquidation, insolvency, examinership, reorganization or similar case or proceeding at the rate provided for in the documentation with respect thereto, whether or not such interest, fees, expenses, and other amounts is an allowed claim under applicable state, federal or foreign law), premium, penalties, fees, indemnifications, reimbursements (including reimbursement obligations with respect to letters of credit and bankers’ acceptances), damages and other liabilities, and guarantees of payment of such principal, interest, penalties, fees, indemnifications, reimbursements, damages and other liabilities, payable under the documentation governing any Indebtedness. “Offering Memorandum” means the Company’s final offering memorandum dated as of January 30, 2025, relating to the initial offering of the Notes. “Officer” means the Chairman of the Board, the Chief Executive Officer, the President, any Executive Vice President, Senior Vice President or Vice President, the Treasurer, Director Treasury, the Secretary or the Assistant Secretary of the Company and any other director, officer or similar official thereof responsible for the administration of the obligations of such person in respect of this Indenture, or any other duly authorized employee or signatory of such person. “Officer’s Certificate” means, with respect to any Person, a certificate signed on behalf of such Person by an Officer thereof, whom, solely in respect of the Officer’s Certificate required by Section 4.04(a), must be the principal executive officer, the principal financial officer, the treasurer, principal accounting officer or other executive responsible for the financial affairs of the Company, that, if applicable, meets the requirements of Section 12.05 hereof. “Opinion of Counsel” means an opinion from legal counsel who is reasonably acceptable to the Trustee and that, if applicable, meets the requirements of Section 12.05 hereof. The counsel may be an employee of or counsel to Parent, the Company, any Subsidiary of Parent or the Trustee. “Parent” means Adient plc, a public limited company incorporated under the laws of Ireland. “Participant” means, with respect to the Depositary, Euroclear or Clearstream, a Person who has an account with the Depositary, Euroclear or Clearstream, respectively (and, with respect to DTC, shall include Euroclear and Clearstream). “Permitted Asset Swap” means the substantially concurrent purchase and sale or exchange of Related Business Assets or a combination of Related Business Assets and cash and Cash Equivalents; provided, that any cash and Cash Equivalents received are applied in accordance with Section 4.10 hereof. “Permitted Business” means any business, service or activity that is the same as, or reasonably related, incidental, ancillary, complementary or similar to, or that is a reasonable extension or development of, any of the businesses, services or activities in which Parent and its Restricted Subsidiaries are engaged on the Issue Date.


 
21 Adient – CONFIDENTIAL “Permitted Bond Hedge Transaction” means any bond hedge, capped call or similar option transaction entered into in connection with the issuance of Permitted Convertible Indebtedness. “Permitted Convertible Indebtedness” means any notes, bonds, debentures or similar instruments issued by Parent, the Company or their Restricted Subsidiaries that are convertible into or exchangeable for (x) cash, (y) shares of Parent’s common stock or preferred stock or other Equity Interests other than Disqualified Stock or (z) a combination thereof. Notwithstanding any other provision contained in this Indenture, all computations of amounts and ratios referred to herein shall be made without giving effect to any treatment of Indebtedness relating to convertible debt securities under Accounting Standards Codification 470-20 (or any other Accounting Standards Codification or Financial Accounting Standard having a similar result or effect) requiring the valuation of any such Indebtedness in a reduced or bifurcated manner as described therein. In addition, in the case of any Permitted Convertible Indebtedness for which the embedded conversion obligation must be settled by paying solely cash, so long as substantially concurrently with the offering of such Permitted Convertible Indebtedness, Parent, the Company or a Restricted Subsidiary enters into a cash-settled Permitted Bond Hedge Transaction relating to such Permitted Convertible Indebtedness, notwithstanding any other provision contained herein, for so long as such Permitted Bond Hedge Transaction (or a portion thereof corresponding to the amount of outstanding Permitted Convertible Indebtedness) remains in effect, all computations of amounts and ratios referred to herein shall be made as if the amount of Indebtedness represented by such Permitted Convertible Indebtedness were equal to the face principal amount thereof without regard to any mark-to-market derivative accounting for such Indebtedness. “Permitted Investments” means: (1) any Investment in Parent, the Company or in any of their Restricted Subsidiaries (including in the Notes and any Capital Stock of Parent, the Company or any Restricted Subsidiary); (2) any Investment in cash, Cash Equivalents or Investment Grade Securities; (3) any Investment by Parent, the Company or any of their Restricted Subsidiaries in a Person, if as a result of such Investment: (a) such Person becomes a Restricted Subsidiary of Parent or the Company; or (b) such Person is merged or consolidated with or into, or transfers or conveys substantially all of its assets to, or is liquidated into, Parent, the Company or any of their Restricted Subsidiaries; (4) any Investment made as a result of the receipt of non-cash consideration from an Asset Sale that was made in compliance with Section 4.10 hereof or from any disposition of property or assets not constituting an Asset Sale; (5) any acquisition of assets or Capital Stock solely in exchange for, or out of the proceeds of, the issuance of Equity Interests (other than Disqualified Stock) of the Company or any direct or indirect parent of the Company; (6) any Investments received in compromise or resolution of (a) obligations of trade creditors or customers that were incurred in the ordinary course of business or consistent with past practice of Parent, the Company or any of their Restricted Subsidiaries, including as a result of foreclosure, perfection or enforcement of any Lien, or in satisfaction of judgments or pursuant to any plan of reorganization or similar arrangement upon the bankruptcy or insolvency of any trade creditor or customer or otherwise in respect of any secured Investment or other transfer of title with respect to any secured Investment in default; or (b) litigation, arbitration or other disputes; (7) Investments represented by Hedging Obligations;


 
22 Adient – CONFIDENTIAL (8) loans or advances to directors, officers, employees or consultants made in the ordinary course of business of Parent, the Company or any Subsidiary of Parent in an aggregate principal amount not to exceed $10.0 million at any one time outstanding; (9) to the extent constituting an Investment, repurchases of the Notes, the 2026 Unsecured Notes, the 2028 Secured Notes, the 2031 Unsecured Notes and other Indebtedness that is not Subordinated Indebtedness; (10) any guarantee of Indebtedness permitted to be incurred under Section 4.09 hereof; (11) any Investment existing on, or made pursuant to binding commitments, agreements or arrangements existing on the Issue Date and any Investment consisting of an extension, modification, renewal, replacement, refunding or refinancing of any Investment existing on, or made pursuant to a binding commitment, agreements or arrangements existing on the Issue Date; provided that the amount of any such Investment may be increased (a) as required by the terms of such Investment as in existence on the Issue Date or (b) as otherwise permitted under this Indenture; (12) Investments acquired after the Issue Date as a result of the acquisition by Parent, the Company or any Restricted Subsidiary of Parent of another Person, including by way of a merger or consolidation with or into Parent, the Company or any of its Restricted Subsidiaries in a transaction that is not prohibited by Section 5.01 hereof after the Issue Date to the extent that such Investments were not made in contemplation of such acquisition, merger or consolidation and were in existence on the date of such acquisition, merger or consolidation; (13) Investments by Parent, the Company or its Restricted Subsidiaries consisting of deposits, prepayment and other credits to suppliers or landlords made in the ordinary course of business; (14) guaranties, keepwells and similar arrangements made in the ordinary course of business of obligations owed to landlords, suppliers, customers, franchisees and licensees of Parent, the Company or their Subsidiaries and performance guarantees with respect to the obligations that are permitted by this Indenture; (15) any Investment acquired by Parent, the Company or any of their Restricted Subsidiaries (a) in exchange for any other Investment or accounts receivable held by Parent, the Company or any such Restricted Subsidiary in connection with or as a result of a bankruptcy, insolvency, liquidation, examinership, workout, reorganization or recapitalization of Parent, the Company or any of their Restricted Subsidiaries of such other Investment or accounts receivable, or (b) as a result of an enforcement by Parent, the Company or any of their Restricted Subsidiaries with respect to any secured Investment or other transfer of title with respect to any secured Investment in default; (16) Investments consisting of the licensing, sublicensing or contribution of intellectual property or technology pursuant to joint marketing arrangements with other Persons; (17) Investments in joint ventures and Permitted Businesses and Unrestricted Subsidiaries of Parent, the Company or any of their Restricted Subsidiaries in an aggregate amount, taken together with all other Investments made pursuant to this clause (17) that are at the time outstanding, not to exceed the greater of (x) $750.0 million and (y) 8.00% of Total Assets, at any one time outstanding (with the Fair Market Value of each Investment being measured at the time made and without giving effect to subsequent changes in value) plus the amount of any cash returns to Parent, the Company or any of their Restricted Subsidiaries (including dividends, payments, interest, distributions, returns of principal, profits on sale, repayments, income or similar amounts) in respect of such Investments; (18) Investments consisting of purchases and acquisitions of inventory, supplies, materials and equipment or purchases of contract rights or licenses of intellectual property or technology or leases, in each case, in the ordinary course of business; provided, however, that if any Investment pursuant to this


 
23 Adient – CONFIDENTIAL clause (18) is made in any Person that is not a Restricted Subsidiary of Parent at the date of the making of such Investment and such Person becomes a Restricted Subsidiary of Parent after such date, such Investment shall thereafter be deemed to have been made pursuant to clause (1) above and shall cease to have been made pursuant to this clause (18) for so long as such Person continues to be a Restricted Subsidiary of Parent; (19) (i) Investments by Parent, the Company or any of their Restricted Subsidiaries in any Receivables Facility or any Securitization Entity or any Investments by a Securitization Entity in any other Person in connection with a Qualified Securitization Transaction, including Investments of funds held in accounts permitted or required by the arrangements governing such Qualified Securitization Transaction or any related Indebtedness or (ii) distributions or payments of Securitization Fees and purchases of Securitization Assets or Receivables Assets pursuant to a Securitization Repurchase Obligation in connection with a Qualified Securitization Transaction or a Receivables Facility; provided, however, that such Investment is solely in the form of a Purchase Money Note, equity interests or contribution of additional accounts receivable generated by Parent, the Company or any of their Subsidiaries; (20) any transaction to the extent it constitutes an Investment that is permitted by and made in accordance with Section 4.11(b) (except transactions described in clauses (6), (9), (10) and (12) of Section 4.11(b)); (21) any acquisition of assets or Capital Stock solely in exchange for, or out of the net cash proceeds received from, the issuance of Equity Interests (other than Disqualified Stock) of Parent, the Company or any contribution to the common equity of Parent or the Company; provided that the amount of any such net cash proceeds that are utilized for any such Investment pursuant to this clause (21) will be excluded from Section 4.07(a)(z)(B); (22) other Investments in any Person having an aggregate Fair Market Value (measured on the date each such Investment was made and without giving effect to subsequent changes in value), when taken together with all other Investments made pursuant to this clause (22) that are at the time outstanding not to exceed the greater of (x) $1,000 million and (y) 10.0% of Total Assets at the time of incurrence, at any one time outstanding plus the amount of any cash returns to Parent, the Company or any of their Restricted Subsidiaries (including dividends, payments, interest, distributions, returns of principal, profits on sale, repayments, income or similar amounts) in respect of such Investments; provided, however, that if any Investment pursuant to this clause (22) is made in any Person that is not a Restricted Subsidiary of Parent or the Company at the date of the making of such Investment and such Person becomes a Restricted Subsidiary of Parent or the Company after such date, such Investment shall thereafter be deemed to have been made pursuant to clause (1) above and shall cease to have been made pursuant to this clause (22) for so long as such Person continues to be a Restricted Subsidiary of Parent or the Company; (23) any Investment by Parent, the Company or any of their Restricted Subsidiaries so long as immediately after giving effect to the making of such Investment, Parent’s Consolidated Total Debt Ratio would be no greater than 4.00 to 1.00; provided, however, that at the time of, and after giving effect to, any Investment permitted under this clause (23), no Event of Default pursuant to clauses (1), (2) or (7) of Section 6.01 shall have occurred and be continuing or would occur as a consequence thereof; (24) Investments consisting of earnest money deposits required in connection with a purchase agreement, or letter of intent, or other acquisitions to the extent not otherwise prohibited by this Indenture; (25) contributions to a “rabbi” trust for the benefit of employees or other grantor trusts subject to claims of creditors in the case of bankruptcy, insolvency, liquidation or examinership of Parent or the Company; (26) Investments in the ordinary course of business or consistent with past practice consisting of Uniform Commercial Code Article 3 endorsements for collection of deposit and Article 4 customary trade arrangements with customers consistent with past practices;


 
24 Adient – CONFIDENTIAL (27) Investments consisting of promissory notes issued by the Company or any Guarantor to future, present or former officers, directors and employees, members of management, or consultants of Parent or any of its Subsidiaries or their respective estates, spouses or former spouses to finance the purchase or redemption of Equity Interests of the Company or any direct or indirect parent thereof, to the extent the applicable Restricted Payment is permitted by Section 4.07; (28) Investments in another Person if such Person is engaged in any Permitted Business and as a result of such Investment such other Person is merged, consolidated or otherwise combined with or into, or transfers or conveys all or substantially all its assets to, Parent or a Restricted Subsidiary; and (29) Investments in any Permitted Bond Hedge Transaction. “Permitted Liens” means: (1) Liens on assets of Parent, the Company or any of their Restricted Subsidiaries securing Indebtedness and other Obligations that were incurred pursuant to clause (1), (8) or (14) of Section 4.09(b); (2) Liens in favor of the Company or Guarantors, if any; (3) Liens on assets, property or Capital Stock of a Person existing at the time such Person becomes a Restricted Subsidiary of Parent or is merged with or into or consolidated with the Company, Parent or a Restricted Subsidiary of Parent; provided that such Liens (a) were in existence prior to the contemplation of such Person becoming a Restricted Subsidiary of Parent or the Company or such merger or consolidation and (b) do not extend to any assets other than those of the Person that becomes a Restricted Subsidiary of Parent or the Company or the surviving entity of any such merger or consolidation; (4) Liens on assets or on property (including Capital Stock) existing at the time of acquisition of the assets or property by Parent or any Subsidiary of Parent; provided that such Liens (a) were in existence prior to such acquisition and not incurred in contemplation of, such acquisition and (b) do not extend to any other assets of Parent or any of its Subsidiaries; (5) Liens, pledges or deposits to secure the performance of bids, trade contracts, leases, statutory obligations, insurance and other insurance-related obligations, judgments, surety or appeal bonds, workers’ compensation obligations, performance bonds, unemployment insurance obligations, social security obligations or other obligations of a like nature incurred in the ordinary course of business (including Liens to secure letters of credit issued to assure payment of such obligations and pledges or deposits securing liability to insurance carriers under insurance or self-insurance arrangements) or pledges or deposits as security for contested taxes or import or customs duties or for the payment of rent, or other obligations of like nature, incurred in the ordinary course of business; (6) Liens to secure Indebtedness (including Capital Lease Obligations) permitted by Section 4.09(b)(4) hereof covering only the assets acquired with or financed by such Indebtedness or securing the payment of all or a part of the purchase price of, or securing other Indebtedness incurred to finance or refinance the acquisition, improvement or construction of, assets or property acquired or constructed in the ordinary course of business; provided that individual financings of property or equipment provided by one lender may be cross collateralized to other financings of property or equipment provided by such lender; (7) Liens existing on the Issue Date (other than with respect to the Senior Credit Agreements); (8) Liens for taxes, assessments or governmental charges or claims that are not yet delinquent or that are being contested in good faith by appropriate proceedings; provided that any reserve or other appropriate provision as is required in conformity with GAAP has been made therefor;


 
25 Adient – CONFIDENTIAL (9) Liens imposed by law, such as carriers’, warehousemen’s, materialmen’s, landlord’s, workmen’s, repairmen’s and mechanics’ Liens, in each case, incurred in the ordinary course of business and securing obligations that are not overdue by more than 30 days or that are being contested in good faith by appropriate proceedings in respect of which, if applicable, the Company or any Guarantor shall have set aside on its books reserves in accordance with GAAP; (10) survey exceptions, easements or reservations of, or rights of others for, licenses, rights- of-way, sewers, electric lines, telegraph and telephone lines and other similar purposes, or zoning or other restrictions as to the use of real property that were not incurred in connection with Indebtedness and that do not in the aggregate materially adversely affect the value of said properties or materially impair their use in the operation of the business of such Person; (11) [reserved]; (12) Liens to secure any Refinancing Indebtedness permitted to be incurred under this Indenture; provided, however, that (x) the new Lien is limited to all or part of the same property and assets that secured or, under the written agreements pursuant to which the original Lien arose, could secure the original Lien (plus improvements and accessions to, such property or proceeds or distributions thereof), and (y) the Indebtedness secured by the new Lien is not increased to any amount greater than the sum of (x) the outstanding principal amount (or accreted amount, if applicable, or, if greater, committed amount) of the Indebtedness renewed, refunded, refinanced, replaced, defeased or discharged with such Refinancing Indebtedness and (y) an amount necessary to pay any fees and expenses, including premiums, related to such renewal, refunding, refinancing, replacement, defeasance or discharge. (13) Liens arising by operation of law or contract on insurance policies and proceeds thereof, or other deposits, to secure insurance premium financings; (14) filing of UCC financing statements (or similar filings in other applicable jurisdictions) as a precautionary measure in connection with operating leases; (15) (i) bankers’ Liens, rights of set-off, Liens arising out of judgments, decrees, orders or awards not constituting an Event of Default and notices of lis pendens and associated rights related to litigation being contested in good faith by appropriate proceedings and for which adequate reserves have been made to the extent required by GAAP and (ii) Liens arising out of judgments, decrees, orders or awards not giving rise to an Event of Default so long as (a) the period within which such proceedings may be initiated has not expired or (b) no more than 60 days have passed after (x) such judgment, decree, order or award has become final or (y) such period within which such proceedings may be initiated has expired; (16) Liens on Cash Equivalents or other property arising in connection with the defeasance, discharge or redemption of Indebtedness; (17) Liens on specific items of inventory or other goods and the proceeds thereof (including documents, instruments, accounts, chattel paper, letter of credit rights, general intangibles, supporting obligations, and claims under insurance policies relating thereto) of any Person securing such Person’s obligations in respect of bankers’ acceptances or letters of credit issued or created in the ordinary course of business for the account of such Person to facilitate the purchase, shipment or storage of such inventory or other goods; (18) leases, subleases, licenses or sublicenses (including licenses, sublicenses, or covenants not to sue of or under intellectual property or software or other technology) in the ordinary course of business or otherwise not materially interfering with the conduct of the business of Parent or any of its Restricted Subsidiaries; (19) Liens arising out of conditional sale, title retention, hire purchase, consignment or similar arrangements for the sale of goods entered into in the ordinary course of business;


 
26 Adient – CONFIDENTIAL (20) statutory, common law or contractual Liens of creditor depository institutions or institutions holding securities accounts (including the right of set-off or similar rights and remedies); (21) customary Liens granted in favor of a trustee (including the Trustee) to secure fees and other amounts owing to such trustee under an indenture or other agreement pursuant to which Indebtedness not prohibited by this Indenture is issued (including this Indenture); (22) Liens in favor of customs and revenue authorities arising as a matter of law to secure payment of custom duties in connection with the importation of goods; (23) Liens securing Hedging Obligations (including with respect to any hedge agreement, Liens on any margin or collateral posted by Parent or any of its Restricted Subsidiaries under a hedge agreement as a result of any regulatory requirement, swap clearing organization, or other similar regulations, rule, or requirement) entered into in the ordinary course of business and not for speculative purposes; provided that such Hedging Obligations are permitted to be incurred under this Indenture; (24) Liens on assets pursuant to merger agreements, stock or asset purchase agreements and similar agreements in respect of the disposition of such assets otherwise permitted under this Indenture for so long as such agreements are in effect; (25) other Liens with respect to obligations that do not exceed the greater of (x) $300.0 million and (y) 3.25% of Total Assets at any one time outstanding; (26) Liens securing Indebtedness or other Obligations of Parent, the Company or a Restricted Subsidiary of Parent owing to Parent, the Company or another Restricted Subsidiary of Parent permitted to be incurred in accordance with Section 4.09 hereof; (27) leases and subleases of real property that do not materially interfere with the ordinary conduct of the business of Parent or any of its Restricted Subsidiaries; (28) Liens on Securitization Assets incurred in connection with a Qualified Securitization Transaction and Liens on Receivables Assets arising in connection with a Receivables Facility; (29) Liens on the real property and tangible personal property (and any related intangible property) that has been sold or transferred by Parent, the Company or any Restricted Subsidiary to a third Person to secure Obligations in respect of such Sale/Leaseback Transaction permitted under this Indenture; provided that any Indebtedness incurred in connection therewith is permitted by Section 4.09(b)(4) hereof; (30) Liens incurred to secure any Cash Management Services incurred in the ordinary course of business; (31) Liens solely on any cash earnest money deposits made by Parent, the Company or any Restricted Subsidiary of Parent or the Company in connection with any letter of intent or purchase agreement permitted under this Indenture; (32) any encumbrances or restrictions (including, without limitation, put and call agreements) with respect to the Capital Stock of any joint venture or similar arrangement pursuant to the agreement evidencing such joint venture or similar arrangement; (33) Liens that may arise on inventory or equipment in the ordinary course of business as a result of such inventory or equipment being located on premises owned by Persons (including, without limitation, any client or supplier) other than Parent, the Company or their Restricted Subsidiaries;


 
27 Adient – CONFIDENTIAL (34) Liens securing Secured Indebtedness permitted to be incurred pursuant to Section 4.09 hereof if at the time of any incurrence of such Secured Indebtedness and after giving pro forma effect thereto the Consolidated Secured Debt Ratio would not exceed 2.50 to 1.00; (35) (i) mortgages, liens, security interests, restrictions, encumbrances or any other matters of record that have been placed by any developer, landlord or other third party on property over which Parent, the Company or any Restricted Subsidiary has easement rights or on any leased property and subordination or similar agreements relating thereto and (ii) any condemnation or eminent domain proceedings affecting any real property; (36) Liens on assets or property of a Restricted Subsidiary that is not a Guarantor securing Indebtedness of any Restricted Subsidiary that is not a Guarantor that was permitted by the terms of this Indenture to be incurred; (37) Liens encumbering reasonable customary initial deposits and margin deposits and similar Liens attaching to commodity trading accounts or other brokerage accounts incurred in the ordinary course of business, consistent with past practice and not for speculative purposes; (38) Liens on Capital Stock or other securities or assets of any Unrestricted Subsidiary that secure Indebtedness of such Unrestricted Subsidiary; and (39) Liens created in connection with any Qualified Securitization Transaction or Qualified Receivables Facility that, in the good faith determination of the Company, are necessary or advisable to effect such Qualified Securitization Transaction or Qualified Receivables Facility. “Person” means any individual, corporation, partnership, joint venture, association, joint-stock company, trust, unincorporated organization, limited liability company or government or other entity. “Private Placement Legend” means the legend set forth in Section 2.06(g)(1) hereof to be placed on all Notes issued under this Indenture except where otherwise permitted by the provisions of this Indenture. “Pro Forma Basis” means, with respect to the calculation of any test, financial ratio, basket or covenant under this Indenture, including the Consolidated Secured Debt Ratio, the Consolidated Total Debt Ratio and the Fixed Charge Coverage Ratio and the calculation of Total Assets, of any Person and its Restricted Subsidiaries, as of any date, that pro forma effect will be given to any acquisition, merger, consolidation, Investment, any issuance, incurrence, assumption or repayment or redemption of Indebtedness (including Indebtedness issued, incurred or assumed or repaid or redeemed as a result of, or to finance, any relevant transaction and for which any such test, financial ratio, basket or covenant is being calculated), any issuance or redemption of preferred stock or Disqualified Stock, all sales, transfers and other dispositions or discontinuance of any Subsidiary, line of business, division, segment or operating unit, any operational change (including the entry into any material contract or arrangement) or any designation of a Restricted Subsidiary to an Unrestricted Subsidiary or of an Unrestricted Subsidiary to a Restricted Subsidiary, in each case that have occurred during the four consecutive fiscal quarter period of such Person being used to calculate such test, financial ratio, basket or covenant (the “Reference Period”), or subsequent to the end of the Reference Period but prior to such date or prior to or simultaneously with the event for which a determination under this definition is made (including any such event occurring at a Person who became a Restricted Subsidiary of the subject Person or was merged or consolidated with or into the subject Person or any other Restricted Subsidiary of the subject Person after the commencement of the Reference Period), as if each such event occurred on the first day of the Reference Period. For purposes of making any computation referred to above: (1) if any Indebtedness bears a floating rate of interest and is being given pro forma effect, the interest on such Indebtedness shall be calculated as if the rate in effect on the date for which a determination under this definition is made had been the applicable rate for the entire period (taking into


 
28 Adient – CONFIDENTIAL account any Swap Contracts applicable to such Indebtedness if such Swap Contracts has a remaining term in excess of 12 months); (2) interest on a Capital Lease Obligation shall be deemed to accrue at an interest rate reasonably determined by a responsible financial or accounting officer, in his or her capacity as such and not in his or her personal capacity, of the Company to be the rate of interest implicit in such Capital Lease Obligation in accordance with GAAP; (3) interest on Indebtedness that may optionally be determined at an interest rate based upon a factor of a prime or similar rate, an eurocurrency interbank offered rate, or other rate, shall be deemed to have been based upon the rate actually chosen, or, if none, then based upon such optional rate chosen as the Company may designate; and (4) interest on any Indebtedness under a revolving credit facility or a Qualified Securitization Transaction or Qualified Receivables Facility computed on a pro forma basis shall be computed based upon the average daily balance of such Indebtedness during the applicable period. Any pro forma calculation may include, without limitation, (1) adjustments calculated in accordance with Regulation S-X under the Securities Act and (2) adjustments calculated to give effect to any Pro Forma Cost Savings to the extent such adjustments, without duplication, continue to be applicable to the Reference Period; provided that any such adjustments that consist of reductions in costs and other operating improvements or synergies (whether added pursuant to this definition, the definition of “Pro Forma Cost Savings” or otherwise added to Consolidated Net Income or Consolidated EBITDA) shall be calculated in accordance with, and satisfy the requirements specified in, the definition of “Pro Forma Cost Savings.” “Pro Forma Cost Savings” means, without duplication of any amounts referenced in the definition of “Pro Forma Basis,” an amount equal to the amount of cost savings, operating expense reductions, operating improvements (including the entry into any material contract or arrangement) and acquisition synergies, in each case, projected in good faith to be realized (calculated on a pro forma basis as though such items had been realized on the first day of such period) as a result of actions taken on or prior to, or to be taken by Parent (or any successor thereto) or any Restricted Subsidiary within 24 months of, the date of such pro forma calculation, net of the amount of actual benefits realized or expected to be realized during such period that are otherwise included in the calculation of Consolidated EBITDA from such action; provided that (i) such cost savings, operating expense reductions, operating improvements and synergies are factually supportable and reasonably identifiable (as determined in good faith by a responsible financial or accounting officer, in his or her capacity as such and not in his or her personal capacity, of the Company (or any successor thereto)) and are reasonably anticipated to be realized within 24 months after the date of such pro forma calculation and (ii) no cost savings, operating expense reductions, operating improvements and synergies shall be added pursuant to this definition to the extent duplicative of any expenses or charges otherwise added to Consolidated Net Income or Consolidated EBITDA, whether through a pro forma adjustment or otherwise, for such period; provided, further, that (i) the aggregate amount added in respect of the foregoing proviso (or otherwise added to Consolidated Net Income or Consolidated EBITDA) shall not exceed with respect to any four quarter period 25% of Consolidated EBITDA (calculated after giving effect to any such adjustments) (such limitation, the “Cost Savings Cap”) and (ii) the aggregate amount added in respect of the foregoing proviso (or otherwise added to Consolidated Net Income or Consolidated EBITDA) shall no longer be permitted to be added back to the extent the cost savings, operating expense reductions, operating improvements and synergies have not been achieved within 24 months of the action or event giving rise to such cost savings, operating expense reductions, operating improvements and synergies. “Process Advisor” has the meaning given to that term, and shall be construed in accordance with, the Companies Act 2014 (as amended) of Ireland. “Purchase Money Note” means a promissory note of a Securitization Entity evidencing a line of credit, which may be irrevocable, from Parent or any of its Subsidiaries to a Securitization Entity in connection with a Qualified Securitization Transaction, which note is intended to finance that portion of the purchase price that is not paid by cash or a contribution of equity.


 
29 Adient – CONFIDENTIAL “QIB” means a “qualified institutional buyer” as defined in Rule 144A. “Qualifying Equity Interests” means Equity Interests of the Company or any direct or indirect parent of the Company other than Disqualified Stock. “Qualified Receivables Facility” means any Receivables Facility that meets the following conditions: (x) the Board of Directors of the Company shall have determined in good faith that such Qualified Receivables Facility (including financing terms, covenants, termination events or other provisions) is in the aggregate economically fair and reasonable to Parent or the applicable Restricted Subsidiary and any Receivables Subsidiary subject thereto; (y) the financing terms, covenants, termination events and other provisions thereof shall be market terms (as determined in good faith by the Company) and may include Standard Receivables Undertakings; and (z) such arrangements are non-recourse to Parent and the Restricted Subsidiaries and their assets, other than with respect to Receivables Repurchase Obligations. “Qualified Securitization Transaction” means any Securitization Transaction of a Securitization Entity that meets the following conditions: (1) the Board of Directors of the Company shall have determined in good faith that such Qualified Securitization Transaction (including financing terms, covenants, termination events or other provisions) is in the aggregate economically fair and reasonable to Parent and the Securitization Entity; (2) all sales of accounts receivable and related assets to the Securitization Entity are made at Fair Market Value (as determined in good faith by the Company, and which may include any discounts customary for a Securitization Transaction) and may include Standard Securitization Undertakings; and (3) the financing terms, covenants, termination events and other provisions thereof shall be market terms (as determined in good faith by the Company) and may include Standard Securitization Undertakings. Notwithstanding anything to the contrary, for the avoidance of doubt, the grant of a security interest in any accounts receivable of Parent or any of its Restricted Subsidiaries (other than a Securitization Entity) to secure Indebtedness or other obligations under the Senior Credit Agreements shall not be deemed a Qualified Securitization Transaction. “Receivables Assets” means (1) any accounts receivable owed to Parent, the Company or a Restricted Subsidiary subject to a Receivables Facility and the proceeds thereof and (2) all collateral securing such accounts receivable, all contracts and contract rights, guarantees or other obligations in respect of such accounts receivable, all records with respect to such accounts receivable and any other assets customarily transferred together with accounts receivable in connection with an accounts receivable factoring arrangement and which are sold, conveyed, assigned or otherwise transferred or pledged by Parent, the Company or a Restricted Subsidiary to a commercial bank or other investor thereof in connection with a Receivables Facility. “Receivables Facility” means an arrangement pursuant to which Parent, the Company or a Restricted Subsidiary, as applicable, sells (directly or indirectly) its accounts receivable, together with any other Receivables Assets related thereto, which accounts receivable may be sold at a market discount (as determined in good faith by Parent, the Company or such Restricted Subsidiary), to (a) a Person that is not a Restricted Subsidiary or (b) a Receivables Subsidiary that in turn funds such purchase by purporting to sell its accounts receivable to a Person that is not a Restricted Subsidiary or by borrowing from such a Person or from another Receivables Subsidiary that in turn funds itself by borrowing from such a Person. “Receivables Fees” means distributions or payments made directly or by means of discounts with respect to any accounts receivable or participation interest therein issued or sold in connection with, and other fees paid to a Person that is not a Restricted Subsidiary in connection with, any Receivables Facility.


 
30 Adient – CONFIDENTIAL “Receivables Repurchase Obligation” means any obligation of a seller of receivables in a Receivables Facility to repurchase receivables arising as a result of a breach of a representation, warranty or covenant or otherwise, including as a result of a receivable or portion thereof becoming subject to any asserted defense, dispute, off-set or counterclaim of any kind as a result of any action taken by, any failure to take action by or any other event relating to the seller. “Receivables Subsidiary” means any Wholly Owned Restricted Subsidiary of Parent which is designated by the Board of Directors of the Company (as provided below) as a Receivables Subsidiary and engages in no activities other than in connection with facilitating or entering into, one or more Receivables Facilities and in each case engages only in activities reasonably related or incidental thereto and: (x) no portion of the Indebtedness or any other obligations (contingent or otherwise) of which (a) is guaranteed by Parent, the Company or any of their Restricted Subsidiaries (other than any Receivables Subsidiary) (excluding guarantees of obligations pursuant to Standard Receivables Undertakings), (b) is recourse to or obligates Parent, the Company or any of their Restricted Subsidiaries (other than the Receivables Subsidiary) in any way other than pursuant to Standard Receivables Undertakings or (c) subjects any asset of Parent, the Company or any of their Restricted Subsidiaries (other than the Receivables Subsidiary), directly or indirectly, contingently or otherwise, to the satisfaction thereof, other than pursuant to Standard Receivables Undertakings; (y) with which neither Parent, the Company nor any of their Restricted Subsidiaries has any material contract, agreement, arrangement or understanding other than on terms no less favorable to Parent, the Company or such Restricted Subsidiary than those that might be obtained at the time from Persons that are not Affiliates of the Company (except in respect of the transfer of Receivables Assets to the Receivables Subsidiary and the Standard Receivables Undertakings); and (z) to which neither Parent nor any of its Subsidiaries has any obligation to maintain or preserve such entity’s financial condition or cause such entity to achieve certain levels of operating results. Any designation by the Board of Directors of the Company shall be evidenced to the Trustee by filing with the Trustee a certified copy of the resolutions of the Board of Directors of the Company giving effect to such designation and an Officer’s Certificate certifying that such designation complied with the foregoing conditions. “Regulation S” means Regulation S promulgated under the Securities Act. “Regulation S Global Note” means a Regulation S Temporary Global Note or Regulation S Permanent Global Note, as appropriate. “Regulation S Permanent Global Note” means a permanent Global Note in the form of Exhibit A hereto bearing the Global Note Legend, the Private Placement Legend and the Tax Legend (if applicable) and deposited with or on behalf of and registered in the name of the Depositary or its nominee, issued in a denomination equal to the outstanding principal amount of the Regulation S Temporary Global Note exchanged therefor upon and after expiration of the Restricted Period. “Regulation S Temporary Global Note” means a temporary Global Note in the form of Exhibit A hereto bearing the Global Note Legend, Private Placement Legend, Tax Legend (if applicable) and Regulation S Temporary Global Legend deposited with or on behalf of and registered in the name of the Depositary or its nominee, issued in a denomination equal to the outstanding principal amount of the Notes initially sold in reliance on Rule 903 of Regulation S. “Regulation S Temporary Global Note Legend” means the legend set forth in Section 2.06(g)(3) hereof to be placed on all Regulation S Temporary Global Notes. “Related Business Assets” means assets (other than cash or Cash Equivalents) used or useful in a Permitted Business and not classified as current assets under GAAP; provided that assets received by Parent, the Company or a Restricted Subsidiary in exchange for assets transferred by Parent, the Company or a Restricted Subsidiary will not qualify as Related Business Assets if they consist of securities of a Person, unless upon receipt of such securities such Person becomes a Restricted Subsidiary of Parent. “Responsible Officer” means, when used with respect to the Trustee, any officer within the corporate trust department of the Trustee, including any vice president, assistant vice president, assistant secretary, assistant treasurer, trust officer, senior associate or any other officer of the Trustee who customarily performs functions


 
31 Adient – CONFIDENTIAL similar to those performed by the Persons who at the time shall be such officers, respectively, and who shall have direct responsibility for the administration of this Indenture or to whom any corporate trust matter is referred because of such person’s knowledge of and familiarity with the particular subject. “Restricted Definitive Note” means a Definitive Note bearing the Private Placement Legend. “Restricted Global Note” means a Global Note bearing the Private Placement Legend. “Restricted Investment” means an Investment other than a Permitted Investment. “Restricted Period” means the 40-day distribution compliance period as defined in Regulation S. “Restricted Subsidiary” of a Person means any Subsidiary of the referent Person that is not an Unrestricted Subsidiary. “Rule 144” means Rule 144 promulgated under the Securities Act. “Rule 144A” means Rule 144A promulgated under the Securities Act. “Rule 903” means Rule 903 promulgated under the Securities Act. “Rule 904” means Rule 904 promulgated under the Securities Act. “S&P” means S&P Global Ratings, a business unit of Standard & Poor’s Financial Services LLC, and any successor thereto. “Sale/Leaseback Transaction” means any arrangement relating to property now owned or hereafter acquired by Parent, the Company or any of their Restricted Subsidiaries whereby Parent, the Company or a Restricted Subsidiary of Parent or the Company transfers such property to a Person and Parent, the Company or such Restricted Subsidiary of Parent or the Company leases it from such Person, other than leases between or among Parent, the Company and a Restricted Subsidiary of the Company or Parent. “SCARP” means the appointment of a Process Advisor to an eligible company in accordance with the Companies Act 2014 (as amended) of Ireland and references to bankruptcy or insolvency proceedings to this document shall include SCARP. “Secured Indebtedness” means any Indebtedness secured by a Lien other than Indebtedness with respect to Cash Management Services. “Securities Act” means the Securities Act of 1933, as amended. “Securitization Assets” means (1) any accounts receivable, real estate asset, mortgage receivables or related assets and the proceeds thereof subject to a Qualified Securitization Transaction and the proceeds thereof and (2) all collateral securing such receivable or asset, all contracts and contract rights, guarantees or other obligations in respect of such receivable or asset, lockbox accounts and records with respect to such accounts and all records with respect to such account or asset and any other assets customarily transferred (or in respect of which security interests are customarily granted), together with accounts or assets in each case subject to a Qualified Securitization Transaction. “Securitization Entity” means a Wholly Owned Restricted Subsidiary of Parent (or another Person formed for the purposes of engaging in a Qualified Securitization Transaction with Parent in which Parent or any Restricted Subsidiary of Parent makes an Investment and to which Parent or any Restricted Subsidiary of Parent transfers accounts receivable and related assets) which is designated by the Board of Directors of the Company (as provided below) as a Securitization Entity and engages in no activities other than in connection with the financing of accounts receivable and other Securitization Assets of Parent and its Subsidiaries, all proceeds thereof and all rights


 
32 Adient – CONFIDENTIAL (contractual or other), collateral and other assets relating thereto, and any business or activities incidental or related to such business and: (1) no portion of the Indebtedness or any other obligations (contingent or otherwise) of which (a) is guaranteed by Parent or any of its Restricted Subsidiaries (other than the Securitization Entity) (excluding guarantees of obligations pursuant to Standard Securitization Undertakings), (b) is recourse to or obligates Parent or any of its Restricted Subsidiaries (other than the Securitization Entity) in any way other than pursuant to Standard Securitization Undertakings or (c) subjects any asset of Parent or any of its Restricted Subsidiaries (other than the Securitization Entity), directly or indirectly, contingently or otherwise, to the satisfaction thereof, other than pursuant to Standard Securitization Undertakings; (2) with which neither Parent nor any of its Restricted Subsidiaries has any material contract, agreement, arrangement or understanding other than on terms no less favorable to Parent or such Subsidiary than those that might be obtained at the time from Persons that are not Affiliates of Parent (except in respect of the transfer of Securitization Assets to the Securitization Entity and the Standard Securitization Undertakings); and (3) to which neither Parent nor any of its Subsidiaries has any obligation to maintain or preserve such entity’s financial condition or cause such entity to achieve certain levels of operating results. Any such designation by the Board of Directors of the Company shall be evidenced to the Trustee by filing with the Trustee a certified copy of the resolutions of the Board of Directors of the Company giving effect to such designation and an Officer’s Certificate certifying that such designation complied with the foregoing conditions. “Securitization Fees” means distributions or payments made directly or by means of discounts with respect to any participation interest issued or sold in connection with, and other fees paid to a Person that is not a Restricted Subsidiary of Parent or any of its Restricted Subsidiaries in connection with, a Qualified Securitization Transaction. “Securitization Repurchase Obligation” means any obligation of a seller of receivables in a Qualified Securitization Transaction to repurchase receivables arising as a result of a breach of a representation, warranty or covenant or otherwise, including as a result of a receivable or portion thereof becoming subject to any asserted defense, dispute, off-set or counterclaim of any kind as a result of any action taken by, any failure to take action by or any other event relating to the seller. “Securitization Transaction” means any transaction or series of transactions that may be entered into by Parent, the Company, any of their Restricted Subsidiaries or a Securitization Entity pursuant to which Parent, the Company, such Restricted Subsidiary or such Securitization Entity may sell, convey or otherwise transfer to, or grant a security interest in for the benefit of, (1) a Securitization Entity, Parent, the Company, any of their Restricted Subsidiaries which subsequently transfers to a Securitization Entity (in the case of a transfer by Parent, the Company or such Restricted Subsidiary) and (2) any other Person (in the case of transfer by a Securitization Entity), any accounts receivable (whether now existing or arising or acquired in the future) of Parent, the Company, any of their Restricted Subsidiaries which arose in the ordinary course of business of Parent, the Company or such Restricted Subsidiary, and any assets related thereto, including, without limitation, all collateral securing such accounts receivable, all contracts and contract rights and all guarantees or other obligations in respect of such accounts receivable, proceeds of such accounts receivable and other assets (including contract rights) which are customarily transferred or in respect of which security interests are customarily granted in connection with asset securitization transactions involving accounts receivable. “Senior Credit Agreements” means collectively any ABL Credit Agreement and any Term Loan Credit Agreement (including any related notes, Guarantees, collateral documents, instruments, mortgages and agreements executed in connection therewith).


 
33 Adient – CONFIDENTIAL “Senior Indebtedness” means: (1) all Indebtedness of the Company or any Guarantor outstanding under the Senior Credit Agreements, the 2026 Unsecured Notes, the 2028 Secured Notes, the 2031 Unsecured Notes or the Notes and related Guarantees (including interest, fees, and expenses accruing on or after the filing of any petition in bankruptcy, liquidation, insolvency, examinership, or similar case or proceeding or for reorganization of the Company or any Guarantor (at the rate provided for in the documentation with respect thereto, regardless of whether or not a claim for post-filing interest, fees, or expenses is allowed in such case or proceedings)), and any and all other fees, expense reimbursement obligations, indemnification amounts, penalties, and other amounts (whether existing on the Issue Date or thereafter created or incurred) and all obligations of the Company or any Guarantor to reimburse any bank or other Person in respect of amounts paid under letters of credit, acceptances or other similar instruments; (2) all Hedging Obligations (and guarantees thereof) owing to a Lender (as defined in the Senior Credit Agreements) or any of its Affiliates (or any Person that was a Lender or an Affiliate of such Lender at the time the applicable agreement giving rise to such Hedging Obligation was entered into), provided that such Hedging Obligations are permitted to be incurred under the terms of this Indenture; (3) any other Indebtedness of the Company or any Guarantor permitted to be incurred under the terms of this Indenture, unless the instrument under which such Indebtedness is incurred expressly provides that it is subordinated in right of payment to the Notes or any related Guarantee; and (4) all Obligations with respect to the items listed in the preceding clauses (1), (2) and (3); provided, however, that Senior Indebtedness shall not include: (a) any obligation of such Person to Parent, the Company or any of its Subsidiaries; (b) any liability for federal, state, local or other taxes owed or owing by such Person; (c) any accounts payable or other liability to trade creditors arising in the ordinary course of business; (d) any Indebtedness or other Obligation of such Person which is subordinate or junior in any respect to any other Indebtedness or other Obligation of such Person; or (e) that portion of any Indebtedness which at the time of incurrence is incurred in violation of this Indenture. “Significant Subsidiary” means any Restricted Subsidiary that would be a “significant subsidiary” as deemed in Article 1, Rule 1-02 of Regulation S-X, promulgated pursuant to the Securities Act, as such Regulation is in effect on the Issue Date. “Specified Foreign Laws” shall mean the laws of Belgium, England and Wales, Germany (from and after the joinder of a German borrower to the ABL Credit Agreement), Ireland, Jersey, Luxembourg, Mexico, Poland, Spain and Sweden. “Standard Receivables Undertakings” means representations, warranties, covenants, indemnities and guarantees of obligations thereunder entered into by Parent or any of its Subsidiaries which the Company has determined in good faith to be customary in a Receivables Facility including, without limitation, those relating to the servicing of the assets of a seller of Receivables Assets, it being understood that any Receivables Repurchase Obligation and a non-credit related recourse accounts receivable factoring arrangement shall each be deemed to be a Standard Receivables Undertaking.


 
34 Adient – CONFIDENTIAL “Standard Securitization Undertakings” means representations, warranties, covenants, indemnities and guarantees of obligations thereunder entered into by Parent or any of its Subsidiaries which the Company has determined in good faith to be customary in a Securitization Transaction including, without limitation, those relating to the servicing of the assets of a Securitization Entity, it being understood that any Securitization Repurchase Obligation shall be deemed to be a Standard Securitization Undertaking. “Stated Maturity” means, with respect to any installment of interest or principal on any series of Indebtedness, the date on which the payment of interest or principal was scheduled to be paid in the original documentation governing such Indebtedness and will not include any contingent obligations to repay, redeem or repurchase any such interest or principal prior to the date originally scheduled for the payment thereof. “Subordinated Indebtedness” means (a) with respect to the Company, any Indebtedness of the Company which is by its terms expressly subordinated in right of payment to the Notes, and (b) with respect to any Guarantor, any Indebtedness of such Guarantor which is by its terms expressly subordinated in right of payment to its Note Guarantee. “Subsidiary” means, with respect to any specified Person: (1) any corporation, association or other business entity (other than a partnership, joint venture, limited liability company or similar entity) of which more than 50% of the total voting power of shares of Capital Stock entitled (without regard to the occurrence of any contingency and after giving effect to any voting agreement or stockholders’ agreement that effectively transfers voting power) to vote in the election of directors, managers or trustees of the corporation, association or other business entity is at the time owned or controlled, directly or indirectly, by that Person or one or more of the other Subsidiaries of that Person (or a combination thereof); (2) any partnership, joint venture or limited liability company or similar entity of which (a) more than 50% of the capital accounts, distribution rights, total equity and voting interests or general and limited partnership interests, as applicable, are owned or controlled, directly or indirectly, by such Person or one or more of the other Subsidiaries of that Person or a combination thereof, whether in the form of membership, general, special or limited partnership interests or otherwise, and (b) such Person or any Subsidiary of such Person is a controlling general partner or otherwise controls such entity; and (3) any Person that is consolidated in the consolidated financial statements of the specified Person in accordance with GAAP. “Swap Contract” means (a) any and all rate swap transactions, basis swaps, credit derivative transactions, forward rate transactions, commodity swaps, commodity options, forward commodity contracts, equity or equity index swaps or options, bond or bond price or bond index swaps or options or forward bond or forward bond price or forward bond index transactions, interest rate options, forward foreign exchange transactions, cap transactions, floor transactions, collar transactions, currency swap transactions, cross-currency rate swap transactions, currency options, spot contracts, or any other similar transactions or any combination of any of the foregoing (including any options to enter into any of the foregoing), whether or not any such transaction is governed by or subject to any master agreement, and (b) any and all transactions of any kind, and the related confirmations, which are subject to the terms and conditions of, or governed by, any form of master agreement published by the International Swaps and Derivatives Association, Inc., any International Foreign Exchange Master Agreement, or any other master agreement, including any obligations or liabilities under any such master agreement. “Swedish Obligor” means each Person incorporated under the laws of Sweden that is a Guarantor or otherwise provides any guarantee, security or other credit support hereunder from time to time, including as issuer, co-issuer, guarantor, grantor of security, joint liability or similar. “Tax Legend” means the legend set forth in Section 2.06(g)(4) hereof to be placed on all Notes (if applicable) issued under this Indenture except where otherwise permitted by the provisions of this Indenture.


 
35 Adient – CONFIDENTIAL “Term Loan Credit Agreement” means that certain credit agreement, dated as of May 6, 2019, as amended and extended on April 8, 2021 and as further amended on March 13, 2023, April 24, 2023, January 31, 2024 and December 12, 2024, by and among Adient US, as a borrower, Bank of America, N.A., as administrative agent and collateral agent, and the lenders, agents and other parties party thereto, and including any related notes, Guarantees, collateral documents, instruments and agreements executed in connection therewith, and, in each case, as amended, restated, supplemented, waived, renewed or otherwise modified from time to time, and (if designated by Adient US) as replaced (whether or not upon termination, and whether with the original lenders or otherwise), restructured, repaid, refunded, refinanced or otherwise modified from time to time, including (if designated by Adient US) any agreement or indenture or commercial paper facilities with banks or other institutional lenders or investors extending the maturity thereof, refinancing, replacing or otherwise restructuring all or any portion of the Indebtedness under such agreement or agreements or indenture or indentures or any successor or replacement agreement or agreements or indenture or indentures or increasing the amount loaned or issued thereunder permitted under Section 4.09 hereof or altering the maturity thereof or adding Restricted Subsidiaries as additional borrowers or guarantors thereunder and whether by the same or any other agent, lender or group of lenders. “Total Assets” means the total consolidated assets of Parent and its Restricted Subsidiaries as set forth on the most recent consolidated balance sheet of Parent and its Restricted Subsidiaries, determined on a Pro Forma Basis. “Treasury Rate” means, as of any redemption date, the yield to maturity as of the earlier of (a) such redemption date or (b) the date on which the Notes are defeased or satisfied and discharged, of the weekly average rounded to the nearest 1/100th of a percentage point (for the most recently completed week for which such information is available as of the date that is two business days prior to the redemption date) of the United States Treasury securities with a constant maturity (as compiled and published in Federal Reserve Statistical Release H.15 with respect to each applicable day during such week (or, if such Statistical Release is no longer published, any publicly available source of similar market data)) most nearly equal to the period from the redemption date to February 15, 2028; provided, however, that if the period from the redemption date to February 15, 2028 is not equal to the constant maturity of a United States Treasury Security for which such a yield is given, the Treasury Rate shall be obtained by linear interpolation (calculated to the nearest one-twelfth of a year) from the weekly average yields of United States Treasury Securities for which such yields are given, except that if the period from the redemption date to February 15, 2028 is less than one year, the weekly average yield on actively traded United States Treasury securities adjusted to a constant maturity of one year will be used. “Trust Indenture Act” or “TIA” means the Trust Indenture Act of 1939, as amended (15 U.S.C. §§ 77aaa- 77bbbb), as in effect on the Issue Date and, to the extent required by law, as amended. “Trustee” means U.S. Bank Trust Company, National Association, until a successor replaces it in accordance with the applicable provisions of this Indenture and thereafter means the successor serving hereunder. “Uniform Commercial Code” or “UCC” means the Uniform Commercial Code (or any successor statute) as in effect from time to time in the relevant jurisdiction. “Unrestricted Definitive Note” means a Definitive Note that does not bear and is not required to bear the Private Placement Legend. “Unrestricted Subsidiary” means any Subsidiary of Parent (other than the Company) that is designated by the Board of Directors of the Company as an Unrestricted Subsidiary pursuant to a resolution of the Board of Directors, but only to the extent that such Subsidiary: (1) has no Indebtedness other than Non-Recourse Debt; (2) is not party to any agreement, contract, arrangement or understanding with Parent, the Company, any of their Restricted Subsidiaries unless the terms of any such agreement, contract, arrangement or understanding are not materially less favorable to Parent, the Company or such Restricted Subsidiary than those that might have been obtained at the time of any such agreement, contract,


 
36 Adient – CONFIDENTIAL arrangement or understanding than those that could have been obtained from Persons who are not Affiliates of the Company; (3) is a Person with respect to which neither Parent, the Company nor any of their Restricted Subsidiaries has any direct or indirect obligation (a) to subscribe for additional Equity Interests or (b) to maintain or preserve such Person’s financial condition or to cause such Person to achieve any specified levels of operating results; and (4) has not guaranteed or otherwise directly or indirectly provided credit support for any Indebtedness of Parent, the Company or any of their Restricted Subsidiaries. Any such designation by the Board of Directors of the Company shall be evidenced to the Trustee by filing with the Trustee a certified copy of the resolutions of the Board of Directors of the Company giving effect to such designation and an Officer’s Certificate certifying that such designation complied with the conditions set forth in this definition. “U.S. Person” means a U.S. Person as defined in Rule 902(k) promulgated under the Securities Act. “Voting Stock” of any specified Person as of any date means the Capital Stock of such Person that is at the time entitled to vote (without regard to the occurrence of any contingency) in the election of the Board of Directors of such Person. “Weighted Average Life to Maturity” means, when applied to any Indebtedness at any date, the number of years obtained by dividing: (1) the sum of the products obtained by multiplying (a) the amount of each then remaining installment, sinking fund, serial maturity or other required payments of principal, including payment at final maturity, in respect of the Indebtedness, by (b) the number of years (calculated to the nearest one- twelfth) that will elapse between such date and the making of such payment; by (2) the then outstanding principal amount of such Indebtedness. “Wholly Owned Restricted Subsidiary” means any Wholly Owned Subsidiary that is a Restricted Subsidiary. “Wholly Owned Subsidiary” means, with respect to any Person, a direct or indirect Subsidiary of such Person, 100% of the outstanding Capital Stock or other ownership interest of which (other than directors’ qualifying shares or shares or interests required to be held by foreign nationals or other third parties to the extent required by applicable law) shall at the time be owned by such Person or by one or more Wholly Owned Subsidiaries of such Person. Section 1.02 Other Definitions. Term Defined in Section “Additional Amounts” ........................................................................................ 4.18 “Affiliate Transaction” ....................................................................................... 4.11 “Asset Sale Offer” .............................................................................................. 3.09 “Authentication Order” ...................................................................................... 2.02 “Capital Markets Debt” ..................................................................................... 4.16 “Change in Tax Law” ......................................................................................... 3.10 “Change of Control Offer” ................................................................................. 4.14 “Change of Control Payment” ........................................................................... 4.14 “Change of Control Payment Date” .................................................................. 4.14


 
37 Adient – CONFIDENTIAL Term Defined in Section “Covenant Defeasance” ..................................................................................... 8.03 “DTC” ................................................................................................................ 2.03 “Event of Default” .............................................................................................. 6.01 “Excess Proceeds” ............................................................................................. 4.10 “Exchange” ........................................................................................................ Exhibit C “fixed baskets” ................................................................................................... 1.08 “Increased Amount” ........................................................................................... 4.12 “incur” ............................................................................................................... 4.09 “Initial Default” ................................................................................................. 6.04 “Interest Payment Date” .................................................................................... 2.01 “LCT Election” .................................................................................................. 1.04 “LCT Test Date” ............................................................................................... 1.04 “Legal Defeasance” ........................................................................................... 8.02 “Note Register” .................................................................................................. 2.03 “Offer Amount” .................................................................................................. 3.09 “Offer Period” .................................................................................................... 3.09 “Owner” ............................................................................................................. Exhibit C “Paying Agent” .................................................................................................. 2.03 “Payment Default” ............................................................................................. 6.01 “Permitted Debt” ............................................................................................... 4.09 “Purchase Date” ................................................................................................ 3.09 “ratio-based basket” .......................................................................................... 1.08 “Ratio Debt”....................................................................................................... 4.09 “Refinancing Indebtedness” ............................................................................... 4.09 “Registrar” ......................................................................................................... 2.03 “Relevant Taxing Jurisdiction” .......................................................................... 4.18 “Relevant Transaction” ...................................................................................... 1.08 “Restricted Payments” ....................................................................................... 4.07 “Retained Declined Proceeds” ........................................................................... 4.10 “Reversion Date” ............................................................................................... 4.19 “Supplemental Indenture” .................................................................................. Exhibit F “Surviving Entity” .............................................................................................. 5.01 “Suspended Covenants” ..................................................................................... 4.19 “Suspension Period” .......................................................................................... 4.19 “Taxes” ............................................................................................................... 4.18 “Transfer” .......................................................................................................... Exhibit B Section 1.03 Rules of Construction. Unless the context otherwise requires: 1) a term has the meaning assigned to it; 2) an accounting term not otherwise defined has the meaning assigned to it in accordance with GAAP; 3) “or” is not exclusive; 4) the term “including” is not limiting; 5) words in the singular include the plural, and in the plural include the singular; 6) “will” shall be interpreted to express a command;


 
38 Adient – CONFIDENTIAL 7) provisions apply to successive events and transactions; 8) references to sections of or rules under the Securities Act will be deemed to include substitute, replacement or successor sections or rules adopted by the Commission from time to time; and 9) notwithstanding anything to the contrary in this Indenture, prior to the qualification of this Indenture under the TIA, no provision of the TIA shall apply or be incorporated by reference into this Indenture or the Notes, except as specifically set forth in this Indenture. Section 1.04 Limited Condition Transactions. When calculating the availability under any basket or ratio under this Indenture or compliance with any provision of this Indenture in connection with any Limited Condition Transaction and any actions or transactions related thereto (including, without limitation, acquisitions, Investments, the incurrence or issuance of Indebtedness, Disqualified Stock or preferred stock and the use of proceeds thereof, the incurrence of Liens, repayments and Restricted Payments), in each case, at the option of the Company (the Company’s election to exercise such option, an “LCT Election”), the date of determination for availability under any such basket or ratio and whether any such action or transaction is permitted (or any requirement or condition therefor is complied with or satisfied (including, without limitation, as to the absence of any continuing Default or Event of Default)) under this Indenture shall be deemed to be the date (the “LCT Test Date”) the definitive agreements for such Limited Condition Transaction are entered into (or, if applicable, the date of delivery of an irrevocable notice or similar event), and if, after giving pro forma effect to the Limited Condition Transaction and any actions or transactions related thereto (including, without limitation, acquisitions, Investments, the incurrence or issuance of Indebtedness, Disqualified Stock or preferred stock and the use of proceeds thereof, the incurrence of Liens, repayments and Restricted Payments) and any related pro forma adjustments, the Company, Parent or any of its Restricted Subsidiaries would have been permitted to take such actions or consummate such transactions on the relevant LCT Test Date in compliance with such ratio, test or basket (and any related requirements and conditions), such ratio, test or basket (and any related requirements and conditions) shall be deemed to have been complied with (or satisfied) for all purposes under this Indenture (in the case of Indebtedness, for example, whether such Indebtedness is committed, issued or incurred at the LCT Test Date or at any time thereafter); provided, that (a) if financial statements for one or more subsequent fiscal quarters shall have become available, the Company may elect, in its sole discretion, to re-determine all such ratios, tests or baskets on the basis of such financial statements, in which case, such date of redetermination shall thereafter be deemed to be the applicable LCT Test Date for purposes of such ratios, tests or baskets, and (b) except as contemplated in the foregoing clause (a), compliance with such ratios, tests or baskets (and any related requirements and conditions) shall not be determined or tested at any time after the applicable LCT Test Date for such Limited Condition Transaction and any actions or transactions related thereto (including, without limitation, acquisitions, Investments, the incurrence or issuance of Indebtedness, Disqualified Stock or preferred stock and the use of proceeds thereof, the incurrence of Liens, repayments and Restricted Payments). For the avoidance of doubt, if the Company has made an LCT Election, (1) if any of the ratios, tests or baskets for which compliance was determined or tested as of the LCT Test Date would at any time after the LCT Test Date have been exceeded or otherwise failed to have been complied with as a result of fluctuations in any such ratio, test or basket, including due to fluctuations in Consolidated EBITDA, Total Assets or LTM EBITDA of Parent or the Person subject to such Limited Condition Transaction, such baskets, tests or ratios will not be deemed to have been exceeded or failed to have been complied with as a result of such fluctuations; (2) if any related requirements and conditions (including as to the absence of any continuing Default or Event of Default) for which compliance or satisfaction was determined or tested as of the LCT Test Date would at any time after the LCT Test Date not have been complied with or satisfied (including due to the occurrence or continuation of an Default or Event of Default), such requirements and conditions will not be deemed to have been failed to be complied with or satisfied (and such Default or Event of Default shall be deemed not to have occurred or be continuing); and (3) in calculating the availability under any ratio, test or basket in connection with any action or transaction unrelated to such Limited Condition Transaction following the relevant LCT Test Date and prior to the earlier of the date on which such Limited Condition Transaction is consummated or the date that the definitive agreement or date for redemption, purchase or repayment specified in an irrevocable notice for such Limited Condition Transaction is terminated, expires or passes, as applicable, without consummation of such Limited Condition Transaction, any such ratio, test or basket shall be determined or tested giving pro forma effect to such Limited Condition Transaction.


 
39 Adient – CONFIDENTIAL Section 1.05 Divisive Merger. Any reference to a merger, consolidation, amalgamation, distribution, assignment, sale, transfer, disposition or similar term, shall be deemed to apply to a division of or by a limited liability company, limited partnership or trust, or an allocation of assets of or to a series of a limited liability company, limited partnership or trust (or the unwinding of such a division or allocation), as if it were a merger, consolidation, amalgamation, distribution, assignment, sale, transfer, disposition or similar term, as applicable, to, of or with a separate Person. Any division of a limited liability company, limited partnership or trust shall constitute a separate Person hereunder (and each division of any limited liability company, limited partnership or trust that is a Subsidiary, Restricted Subsidiary, Unrestricted Subsidiary, joint venture or any other like term shall also constitute such a Person or entity). Section 1.06 Jersey terms. In this Agreement, where it relates to a person incorporated or formed or having its center of main interests in Jersey, a reference to: (a) an involuntary case, winding up, administration or dissolution includes, without limitation, bankruptcy (as that term is interpreted pursuant to Article 8 of the Interpretation (Jersey) Law 1954), a compromise or arrangement of the type referred to in Article 125 of the Companies (Jersey) Law 1991, any procedure or process referred to in Part 21 of the Companies (Jersey) Law 1991, and any other similar proceedings affecting the rights of creditors generally under Jersey law, and shall be construed so as to include any equivalent or analogous proceedings; (b) a custodian, receiver, administrative receiver, administrator or the like includes, without limitation, the Viscount of the Royal Court of Jersey, autorisés or any other person performing the same function of each of the foregoing; and (c) a lien or a security interest includes, without limitation, any hypothèque whether conventional, judicial granted or arising by operation of law and any security interest created pursuant to the Security Interest (Jersey) Law 1983 or Security Interests (Jersey) Law 2012 and any related legislation. Section 1.07 Spanish terms and definitions. 1) In this Indenture, where it relates to a person incorporated or formed or having its center of main interests in Spain, a reference to: (a) “insolvency” (concurso) or “insolvency proceeding” (procedimiento concursal) and any step or proceeding relating to it has the meaning attributed to them under the Spanish Insolvency Law, including a declaración de concurso con independencia de su carácter necesario o voluntario (including any notice to a competent court pursuant to article 585 of the Spanish Insolvency Law and its solicitud de inicio de procedimiento de concurso, auto de declaración de concurso, convenio judicial o extrajudicial con acreedores and transacción extrajudicial). A person being unable to pay its debts includes that person being in a state of insolvencia or in concurso according to Spanish Insolvency Law; (b) “control” has the meaning stated under article 42 of the Spanish Commercial Code. (c) “liquidation” or “dissolution” includes, without limitation, disolución, liquidación, procedimiento concursal or any other similar proceedings and shall be used to those circumstances as regulated under the laws of Spain from time to time; (d) a “receiver”, “administrative receiver”, “administrator” or the like includes, without limitation, administración concursal or a liquidador or any other person performing the same function; (e) a “composition”, “compromise”, “assignment” or “arrangement” with any creditor includes, without limitation, the celebration of a convenio de acreedores within the context of a concurso or


 
40 Adient – CONFIDENTIAL a plan de reestructuración (restructuring plan) under Title III of the Second Book of the Spanish Insolvency Law; (f) a “security” includes any mortgage (hipoteca), pledge (prenda) (with or without transfer of possession), financial collateral agreement (garantía financiera pignoraticia) and, in general, any in rem security right governed by the laws of Spain; and (g) a “guarantee” includes any accessory personal guarantee (fianza), performance bond (aval), joint and several guarantee (garantía solidaria) and first demand guarantee (garantía a primer requerimiento). 2) In this Indenture, the following terms shall have the following definitions: “Spain” shall mean the Kingdom of Spain. “Spanish Civil Code” shall mean the Spanish Código Civil, as amended from time to time. “Spanish Civil Procedural Law” shall mean Law 1/2000 of 7 January (Ley de Enjuiciamiento Civil), as amended from time to time. “Spanish Commercial Code” shall mean the Spanish Commercial Code published by virtue of the Royal Decree of 22 August 1885 (Real decreto de 22 de agosto de 1885 por el que se publica el Código de Comercio), as amended from time to time. “Spanish Companies Law” shall mean the Royal Legislative Decree 1/2010, of 2 July, whereby the companies act is approved (Real Decreto Legislativo 1/2010, de 2 de julio, por el que se aprueba el texto refundido de la Ley de Sociedades de Capital), as amended from time to time. “Spanish Guarantors” shall mean, collectively, each Guarantor that is incorporated under the laws of Spain. “Spanish Insolvency Law” shall mean the Royal Legislative Decree 1/2020 of 5 May (Real Decreto Legislativo 1/2020, de 5 de mayo, por el que se aprueba el texto refundido de la Ley Concursal) approving the Spanish recast insolvency law, as amended or superseded from time to time. “Spanish Public Document” shall mean a Spanish law notarial deed (documento público), being either an escritura pública or a póliza o efecto intervenido por notario español. Section 1.08 Certain Compliance Calculations (a) If any baskets, thresholds or exceptions determined by reference to a fixed currency amount or a percentage of Total Assets (“fixed baskets”) are intended to be utilized together with any baskets, thresholds or exceptions determined by reference to the Consolidated Secured Debt Ratio, the Consolidated Total Debt Ratio, the Fixed Charge Coverage Ratio or any other financial ratio or metric (a “ratio-based basket”) in a single transaction or action or series of related transactions or actions (for the purposes of this paragraph, a “Relevant Transaction”): (x) amounts available to be incurred under the applicable ratio-based baskets shall be calculated without giving effect to amounts to be incurred under the applicable fixed baskets in connection with such Relevant Transaction and (y) full pro forma effect shall be given to all increases to Consolidated EBITDA and repayments or discharges of Indebtedness in connection with such Relevant Transaction in accordance with this Indenture. (b) If Indebtedness originally incurred in reliance upon a percentage of Total Assets is being refinanced and such refinancing would cause the maximum amount of Indebtedness thereunder to be exceeded at such time, then such refinancing will nevertheless be permitted thereunder and such additional Indebtedness will be deemed to have been incurred under the applicable clause so long as the principal amount of such


 
41 Adient – CONFIDENTIAL additional Indebtedness does not exceed the principal amount of Indebtedness being refinanced plus the aggregate amount of fees, underwriting discounts, accrued and unpaid interest, premiums and other costs and expenses incurred in connection with such refinancing. (c) If (x) a proposed action, matter, transaction or amount (or a portion thereof) is incurred or entered into pursuant to a fixed basket or the grower component of any other basket and (y) at a later time would subsequently be permitted under a ratio based basket, unless otherwise elected by the Company, such action, matter, transaction or amount (or a portion thereof) shall automatically be reclassified to such ratio based basket. (d) If (x) any transaction is entered into between (A) Parent or any Restricted Subsidiary and (B) any other Person which is not a Restricted Subsidiary on the date of such transaction; (y) such transaction is permitted pursuant to a fixed basket or an incurrence-based basket; and (z) following such transaction, such other Person becomes a Restricted Subsidiary, such transaction shall be deemed to be reallocated to any applicable basket allowing transactions of such type to be entered into on an unlimited basis between Parent and a Restricted Subsidiary or between Restricted Subsidiaries. (e) If a proposed action, matter, transaction or amount (or a portion thereof) meets the criteria of more than one applicable basket, permission or threshold under this Indenture, the Company shall be entitled to divide or classify or later divide or reclassify (based on circumstances existing on the date of such reclassification) such action, matter or amount (or a portion thereof) between such baskets, permissions or thresholds as it shall elect from time to time, provided that (x) Indebtedness under the ABL Credit Agreement and the Term Loan Credit Agreement outstanding on the Issue Date shall at all times be classified as incurred under Section 4.09(b)(1) and (y) Indebtedness under the ABL Credit Agreement and the Term Loan Credit Agreement outstanding on the Issue Date shall be deemed secured under clause (1) of the definition of “Permitted Liens” on the Issue Date and may not be reclassified. ARTICLE 2 THE NOTES Section 2.01 Form and Dating. (a) General. The Notes and the Trustee’s certificate of authentication will be substantially in the form of Exhibit A hereto. The Notes may have notations, legends or endorsements required by law, stock exchange rule or usage; provided that any such notations, legends or endorsements are in a form reasonably acceptable to the Company. Each Note will be dated the date of its authentication. Each note will bear interest at a rate of 7.500% per annum from the Issue Date or from the most recent date to which interest has been paid or provided for, payable semiannually on each February 15 and August 15 of each year (each such date, an “Interest Payment Date”), commencing with August 15, 2025 to holders of record at the close of business on the February 1 or August 1, whether or not a Business Day, immediately preceding each Interest Payment Date. Interest will be paid on the basis of a 360-day year consisting of twelve 30-day months. The Notes will be issued in minimum denominations of $2,000 and integral multiples of $1,000 in excess thereof. The terms and provisions contained in the Notes will constitute, and are hereby expressly made, a part of this Indenture and the Company, the Guarantors and the Trustee, by their execution and delivery of this Indenture, expressly agree to such terms and provisions and to be bound thereby. However, to the extent any provision of any Note conflicts with the express provisions of this Indenture, the provisions of this Indenture shall govern and be controlling. (b) Global Notes. Notes issued in global form will be substantially in the form of Exhibit A hereto (including the Global Note Legend thereon and the “Schedule of Exchanges of Interests in the Global Note” attached thereto). Notes issued in definitive form will be substantially in the form of Exhibit A hereto (but without the Global Note Legend thereon and without the “Schedule of Exchanges of Interests in the Global Note” attached thereto). Each Global Note will represent such of the outstanding Notes as will be specified therein and each shall provide that it represents the aggregate principal amount of outstanding Notes from time to time endorsed thereon and that the aggregate principal amount of outstanding Notes represented


 
42 Adient – CONFIDENTIAL thereby may from time to time be reduced or increased, as appropriate, to reflect exchanges and redemptions. Any endorsement of a Global Note to reflect the amount of any increase or decrease in the aggregate principal amount of outstanding Notes represented thereby will be made by the Trustee or the Custodian, at the direction of the Trustee, in accordance with instructions given by the Holder thereof as required by Section 2.06 hereof. (c) Temporary Global Notes. Notes offered and sold in reliance on Regulation S will be issued initially in the form of the Regulation S Temporary Global Note, which will be deposited on behalf of the purchasers of the Notes represented thereby with the Trustee, as custodian for the Depositary, and registered in the name of the Depositary or the nominee of the Depositary for the accounts of designated agents holding on behalf of Euroclear or Clearstream, duly executed by the Company and authenticated by the Trustee as hereinafter provided. After the expiration of the Restricted Period and upon the receipt by the Trustee of: 1) certificates from Euroclear and Clearstream, substantially in the form of Exhibit G hereto, certifying that they have received certification of non-United States beneficial ownership of 100% of the aggregate principal amount of the Regulation S Temporary Global Note (except to the extent of any beneficial owners thereof who acquired an interest therein during the Restricted Period pursuant to another exemption from registration under the Securities Act and who will take delivery of a beneficial ownership interest in a 144A Global Note bearing a Private Placement Legend, all as contemplated by Section 2.06(b) hereof); and 2) an Officer’s Certificate from the Company beneficial interests in the Regulation S Temporary Global Note will be exchanged for beneficial interests in the Regulation S Permanent Global Note pursuant to the Applicable Procedures. Simultaneously with such exchange of the Regulation S Permanent Global Note, the Trustee will cancel the Regulation S Temporary Global Note. The aggregate principal amount of the Regulation S Temporary Global Note and the Regulation S Permanent Global Note may from time to time be increased or decreased by adjustments made on the records of the Trustee and the Depositary or its nominee, as the case may be, in connection with transfers of interests as hereinafter provided. (d) Euroclear and Clearstream Procedures Applicable. The provisions of the “Operating Procedures of the Euroclear System” and “Terms and Conditions Governing Use of Euroclear” and the “General Terms and Conditions of Clearstream Banking” and “Customer Handbook” of Clearstream will be applicable to transfers of beneficial interests in the Regulation S Temporary Global Note and the Regulation S Permanent Global Note that are held by Participants through Euroclear or Clearstream. (e) Issuance of Additional Notes. Additional Notes ranking pari passu with the Initial Notes may be issued from time to time by the Company without notice to or consent of the Holders and shall be consolidated with and form a single class with the Initial Notes (other than the issue date, the issue price, the first Interest Payment Date and the initial interest accrual date) and shall have the same terms as to status, redemption or otherwise as the Initial Notes; provided that any Additional Notes that are not fungible with the Initial Notes for U.S. federal income tax purposes shall have a separate CUSIP number and ISIN; provided, further, that the Company’s ability to issue Additional Notes shall be subject to the Company’s compliance with Sections 4.09 and 4.12 of this Indenture. Section 2.02 Execution and Authentication. At least one Officer must sign the Notes for the Company by manual or facsimile signature. If an Officer whose signature is on a Note no longer holds that office at the time a Note is authenticated, the Note will nevertheless be valid. A Note will not be valid until authenticated by the manual signature of an authorized signatory of the Trustee. The signature will be conclusive evidence that the Note has been duly authenticated and delivered under this Indenture.


 
43 Adient – CONFIDENTIAL The Trustee will, upon receipt of a written order of the Company signed by an Officer of the Company (an “Authentication Order”), authenticate (i) Notes for original issue, of which $795,000,000 in aggregate principal amount will be issued on the Issue Date and (ii) any Additional Notes. The aggregate principal amount of Notes outstanding at any time may not exceed the aggregate principal amount of Notes authorized for issuance by the Company pursuant to one or more Authentication Orders, except as provided in Section 2.07 hereof. The Trustee may appoint an authenticating agent acceptable to the Company to authenticate Notes. An authenticating agent may authenticate Notes whenever the Trustee may do so. Each reference in this Indenture to authentication by the Trustee includes authentication by such agent. An authenticating agent has the same rights as an Agent to deal with Holders or an Affiliate of the Company. Section 2.03 Registrar and Paying Agent. The Company will maintain an office or agency where Notes may be presented for registration of transfer or for exchange (“Registrar”) and an office or agency where Notes may be presented for payment (“Paying Agent”). The Registrar will keep a register of the Notes (“Note Register”) and of their transfer and exchange. The Company may appoint one or more co-registrars and one or more additional paying agents. The term “Registrar” includes any co-registrar and the term “Paying Agent” includes any additional paying agent. The Company may change any Paying Agent or Registrar without notice to any Holder. The Company shall notify the Trustee in writing of the name and address of any Agent not a party to this Indenture. If the Company fails to appoint or maintain another entity as Registrar or Paying Agent, the Trustee shall act as such. The Company, Parent or any of its Subsidiaries may act as Paying Agent or Registrar, subject to applicable mandatory laws. The Company initially appoints The Depository Trust Company (“DTC”) to act as Depositary with respect to the Global Notes. The Company initially appoints the Trustee to act as the Registrar and Paying Agent and to act as Custodian with respect to the Global Notes. Section 2.04 Paying Agent to Hold Money in Trust. The Company will require each Paying Agent other than the Trustee to agree in writing that the Paying Agent will hold in trust for the benefit of Holders or the Trustee all money held by the Paying Agent for the payment of principal of, premium on, if any, and interest on, the Notes, and will notify the Trustee of any default by the Company in making any such payment. While any such default continues, the Trustee may require a Paying Agent to pay all money held by it to the Trustee. The Company at any time may require a Paying Agent to pay all money held by it to the Trustee. Upon payment over to the Trustee, the Paying Agent (if other than the Company or a Subsidiary) will have no further liability for the money. If the Company, Parent or a Subsidiary acts as Paying Agent, it will segregate and hold in a separate trust fund for the benefit of the Holders all money held by it as Paying Agent. Upon any bankruptcy, liquidation, examinership, insolvency or reorganization proceedings relating to the Company, the Trustee will serve as Paying Agent for the Notes. Section 2.05 Holder Lists. The Trustee will preserve in as current a form as is reasonably practicable the most recent list available to it of the names and addresses of all Holders. If the Trustee is not the Registrar, the Company will furnish to the Trustee at least seven Business Days before each Interest Payment Date and at such other times as the Trustee may request in writing, a list in such form and as of such date as the Trustee may reasonably require of the names and addresses of the Holders of Notes. Section 2.06 Transfer and Exchange. (a) Transfer and Exchange of Global Notes. A Global Note may not be transferred except as a whole by the Depositary to a nominee of the Depositary, by a nominee of the Depositary to the Depositary or to another nominee of the Depositary, or by the Depositary or any such nominee to a successor Depositary or a


 
44 Adient – CONFIDENTIAL nominee of such successor Depositary. All Global Notes will be exchanged by the Company for Definitive Notes if: (1) the Company delivers to the Trustee notice from the Depositary that it is unwilling or unable to continue to act as Depositary or that it is no longer a clearing agency registered under the Exchange Act and, in either case, a successor Depositary is not appointed by the Company within 120 days after the date of such notice from the Depositary; (2) the Company in its sole discretion determines, subject to the procedures of the Depositary, that the Global Notes (in whole but not in part) should be exchanged for Definitive Notes and delivers a written notice to such effect to the Trustee; provided that in no event shall the Regulation S Temporary Global Note be exchanged by the Company for Definitive Notes prior to (A) the expiration of the Restricted Period and (B) the receipt by the Trustee of the certificates required pursuant to Section 2.01(c) hereof; or (3) there has occurred and is continuing an Event of Default with respect to the Notes and the beneficial owners thereof have requested such exchange. Upon the occurrence of either of the preceding events in (1) or (2) above, Definitive Notes shall be issued in such names as the Depositary shall instruct the Trustee. Global Notes also may be exchanged or replaced, in whole or in part, as provided in Sections 2.07 and 2.10 hereof. Every Note authenticated and delivered in exchange for, or in lieu of, a Global Note or any portion thereof, pursuant to this Section 2.06 or Section 2.07 or 2.10 hereof, shall be authenticated and delivered in the form of, and shall be, a Global Note. A Global Note may not be exchanged for another Note other than as provided in this Section 2.06(a), however, beneficial interests in a Global Note may be transferred and exchanged as provided in Section 2.06(b), (c), (d) or (f) hereof. (b) Transfer and Exchange of Beneficial Interests in the Global Notes. The transfer and exchange of beneficial interests in the Global Notes will be effected through the Depositary, in accordance with the provisions of this Indenture and the Applicable Procedures. None of the Company, Trustee, Paying Agent, nor any Agent of the Company shall have any responsibility or liability for any aspect of the records relating to or payment made on account of beneficial ownership interests in a Global Note, or for maintaining, supervising or reviewing any records relating to such beneficial ownership interests. Beneficial interests in the Restricted Global Notes will be subject to restrictions on transfer comparable to those set forth herein to the extent required by the Securities Act. Transfers of beneficial interests in the Global Notes also will require compliance with either subparagraph (1) or (2) below, as applicable, as well as one or more of the other following subparagraphs, as applicable: (1) Transfer of Beneficial Interests in the Same Global Note. Beneficial interests in any Restricted Global Note may be transferred to Persons who take delivery thereof in the form of a beneficial interest in the same Restricted Global Note in accordance with the transfer restrictions set forth in the Private Placement Legend; provided, however, that prior to the expiration of the Restricted Period, transfers of beneficial interests in the Regulation S Temporary Global Note may not be made to a U.S. Person or for the account or benefit of a U.S. Person (other than an Initial Purchaser). No written orders or instructions shall be required to be delivered to the Registrar to effect the transfers described in this Section 2.06(b)(1). (2) All Other Transfers and Exchanges of Beneficial Interests in Global Notes. In connection with all transfers and exchanges of beneficial interests that are not subject to Section 2.06(b)(1) above, the transferor of such beneficial interest must deliver to the Registrar either: (A) both: (i) a written order from a Participant or an Indirect Participant given to the Depositary in accordance with the Applicable Procedures directing the Depositary to


 
45 Adient – CONFIDENTIAL credit or cause to be credited a beneficial interest in another Global Note in an amount equal to the beneficial interest to be transferred or exchanged; and (ii) instructions given in accordance with the Applicable Procedures containing information regarding the Participant account to be credited with such increase; or (B) both: (i) a written order from a Participant or an Indirect Participant given to the Depositary in accordance with the Applicable Procedures directing the Depositary to cause to be issued a Definitive Note in an amount equal to the beneficial interest to be transferred or exchanged; and (ii) instructions given by the Depositary to the Registrar containing information regarding the Person in whose name such Definitive Note shall be registered to effect the transfer or exchange referred to in (1) above; provided that in no event shall Definitive Notes be issued upon the transfer or exchange of beneficial interests in the Regulation S Temporary Global Note prior to (A) the expiration of the Restricted Period and (B) the receipt by the Trustee of the certificates required by Section 2.01(e) hereof. (3) Transfer of Beneficial Interests to Another Restricted Global Note. A beneficial interest in any Restricted Global Note may be transferred to a Person who takes delivery thereof in the form of a beneficial interest in another Restricted Global Note if the transfer complies with the requirements of Section 2.06(b)(2) above and the Registrar receives the following: (A) if the transferee will take delivery in the form of a beneficial interest in the 144A Global Note, then the transferor must deliver a certificate in the form of Exhibit B hereto, including the certifications in item (1) thereof, or (B) if the transferee will take delivery in the form of a beneficial interest in the Regulation S Temporary Global Note or the Regulation S Permanent Global Note, then the transferor must deliver a certificate in the form of Exhibit B hereto, including the certifications in item (2) thereof, (c) Transfer or Exchange of Beneficial Interests for Definitive Notes. (1) Beneficial Interests in Restricted Global Notes to Restricted Definitive Notes. If any holder of a beneficial interest in a Restricted Global Note proposes to exchange such beneficial interest for a Restricted Definitive Note or to transfer such beneficial interest to a Person who takes delivery thereof in the form of a Restricted Definitive Note, then, upon receipt by the Registrar of the following documentation: (A) if the holder of such beneficial interest in a Restricted Global Note proposes to exchange such beneficial interest for a Restricted Definitive Note, a certificate from such holder substantially in the form of Exhibit C hereto, including the certifications in item (1)(a) thereof; (B) if such beneficial interest is being transferred to a QIB in accordance with Rule 144A, a certificate to the effect set forth in Exhibit B hereto, including the certifications in item (1) thereof; (C) if such beneficial interest is being transferred to a Non-U.S. Person in an offshore transaction in accordance with Rule 903 or Rule 904, a certificate to the effect set forth in Exhibit B hereto, including the certifications in item (2) thereof;


 
46 Adient – CONFIDENTIAL (D) if such beneficial interest is being transferred pursuant to an exemption from the registration requirements of the Securities Act in accordance with Rule 144, a certificate to the effect set forth in Exhibit B hereto, including the certifications in item (3)(a) thereof; (E) if such beneficial interest is being transferred to an Institutional Accredited Investor and the Institutional Accredited Investor takes delivery in the form of a Restricted Definitive Note in reliance on an exemption from the registration requirements of the Securities Act other than those listed in subparagraphs (B) through (D) above, a certificate to the effect set forth in Exhibit B hereto, including the certifications, certificates and Opinion of Counsel required by item (3)(d) thereof, if applicable; (F) if such beneficial interest is being transferred to the Company, Parent or any of its Subsidiaries, a certificate to the effect set forth in Exhibit B hereto, including the certifications in item (3)(b) thereof; or (G) if such beneficial interest is being transferred pursuant to an effective registration statement under the Securities Act, a certificate to the effect set forth in Exhibit B hereto, including the certifications in item (3)(c) thereof, the Trustee shall cause the aggregate principal amount of the applicable Global Note to be reduced accordingly pursuant to Section 2.06(h) hereof, and the Company shall execute and the Trustee shall authenticate and deliver to the Person designated in the instructions a Definitive Note in the appropriate principal amount. Any Definitive Note issued in exchange for a beneficial interest in a Restricted Global Note pursuant to this Section 2.06(c) shall be registered in such name or names and in such authorized denomination or denominations as the holder of such beneficial interest shall instruct the Registrar through instructions from the Depositary and the Participant or Indirect Participant. The Trustee shall deliver such Definitive Notes to the Persons in whose names such Notes are so registered. Any Definitive Note issued in exchange for a beneficial interest in a Restricted Global Note pursuant to this Section 2.06(c)(1) shall bear the Private Placement Legend and the Regulation S Temporary Global Note Legend, as applicable, and shall be subject to all restrictions on transfer contained therein. (2) Beneficial Interests in Regulation S Temporary Global Note to Definitive Notes. Notwithstanding Sections 2.06(c)(1)(A) and (C) hereof, a beneficial interest in the Regulation S Temporary Global Note may not be exchanged for a Definitive Note or transferred to a Person who takes delivery thereof in the form of a Definitive Note prior to (A) the expiration of the Restricted Period and (B) the receipt by the Trustee of the certificates required pursuant to Section 2.01(c) hereof, except in the case of a transfer pursuant to an exemption from the registration requirements of the Securities Act other than Rule 903 or Rule 904. (3) Beneficial Interest in Restricted Global Notes to Unrestricted Definitive Notes. A holder of a beneficial interest in a Restricted Global Note may exchange such beneficial interest for an Unrestricted Definitive Note or may transfer such beneficial interest to a Person who takes delivery thereof in the form of an Unrestricted Definitive Note only if the Registrar receives the following: (i) if the holder of such beneficial interest in a Restricted Global Note proposes to exchange such beneficial interest for an Unrestricted Definitive Note, a certificate from such Holder substantially in the form of Exhibit C hereto, including the certifications in item (1)(b) thereof, or (ii) if the Holder of such beneficial interest in a Restricted Global Note proposes to transfer such beneficial interest to a Person who shall take delivery thereof in the form of an Unrestricted Definitive Note, a certificate from such Holder in the form of Exhibit B hereto, including the certifications in item (4) thereof; and, in each case, if the Company so requests or if the Applicable Procedures so require, an Opinion of Counsel in form reasonably acceptable to the Company to the effect that such exchange or transfer is in compliance with the Securities Act and that the restrictions on transfer contained herein and in the Private Placement Legend are no longer required in order to maintain compliance with the Securities Act. (d) Transfer and Exchange of Definitive Notes for Beneficial Interests. 1) Restricted Definitive Notes to Beneficial Interests in Restricted Global Notes. If any Holder of a Restricted Definitive Note proposes to exchange such Note for a beneficial interest in a Restricted Global Note or to transfer such Restricted Definitive Notes to a Person who takes delivery thereof in the form of a beneficial interest in a Restricted Global Note, then, upon receipt by the Registrar of the following documentation:


 
47 Adient – CONFIDENTIAL (A) if the Holder of such Restricted Definitive Note proposes to exchange such Note for a beneficial interest in a Restricted Global Note, a certificate from such Holder in the form of Exhibit C hereto, including the certifications in item (1)(b) thereof; (B) if such Restricted Definitive Note is being transferred to a QIB in accordance with Rule 144A, a certificate to the effect set forth in Exhibit B hereto, including the certifications in item (1) thereof; (C) if such Restricted Definitive Note is being transferred to a Non-U.S. Person in an offshore transaction in accordance with Rule 903 or Rule 904, a certificate to the effect set forth in Exhibit B hereto, including the certifications in item (2) thereof; (D) if such Restricted Definitive Note is being transferred pursuant to an exemption from the registration requirements of the Securities Act in accordance with Rule 144, a certificate to the effect set forth in Exhibit B hereto, including the certifications in item (3)(a) thereof; (E) [Reserved]; (F) if such Restricted Definitive Note is being transferred to the Company, Parent or any of its Subsidiaries, a certificate to the effect set forth in Exhibit B hereto, including the certifications in item (3)(b) thereof; or (G) if such Restricted Definitive Note is being transferred pursuant to an effective registration statement under the Securities Act, a certificate to the effect set forth in Exhibit B hereto, including the certifications in item (3)(e) thereof, the Trustee will cancel the Restricted Definitive Note, increase or cause to be increased the aggregate principal amount of, in the case of clause (A) above, the appropriate Restricted Global Note, in the case of clause (B) above, the 144A Global Note, and in the case of clause (C) above, the Regulation S Global Note. (e) Transfer and Exchange of Definitive Notes for Definitive Notes. Upon request by a Holder of Definitive Notes and such Holder’s compliance with the provisions of this Section 2.06(e), the Registrar will register the transfer or exchange of Definitive Notes. Prior to such registration of transfer or exchange, the requesting Holder must present or surrender to the Registrar the Definitive Notes duly endorsed or accompanied by a written instruction of transfer in form satisfactory to the Registrar duly executed by such Holder or by its attorney, duly authorized in writing. In addition, the requesting Holder must provide any additional certifications, documents and information, as applicable, required pursuant to the following provisions of this Section 2.06(e). (1) Restricted Definitive Notes to Restricted Definitive Notes. Any Restricted Definitive Note may be transferred to and registered in the name of Persons who take delivery thereof in the form of a Restricted Definitive Note if the Registrar receives the following: (A) if the transfer will be made to a QIB in accordance with Rule 144A, then the transferor must deliver a certificate substantially in the form of Exhibit B hereto, including the certifications in item (1) thereof; (B) if the transfer will be made pursuant to Rule 903 or Rule 904, then the transferor must deliver a certificate in the form of Exhibit B hereto, including the certifications in item (2) thereof; and (C) if the transfer will be made pursuant to any other exemption from the registration requirements of the Securities Act, then the transferor must deliver a certificate in the form of Exhibit B hereto, including the certifications, certificates and Opinion of Counsel required by item (3) thereof, if applicable.


 
48 Adient – CONFIDENTIAL (2) Restricted Definitive Notes to Unrestricted Definitive Notes. Any Restricted Definitive Note may be exchanged by the Holder thereof for an Unrestricted Definitive Note or transferred to a Person or Persons who take delivery thereof in the form of an Unrestricted Definitive Note if (i) the Holder of such Restricted Definitive Note proposes to exchange such Notes for an Unrestricted Definitive Note, a certificate from such Holder in the form of Exhibit C hereto, including the certifications in item (1)(d) thereof; or (ii) the Holder of such Restricted Definitive Notes proposes to transfer such Notes to a Person who shall take delivery thereof in the form of an Unrestricted Definitive Note, a certificate from such Holder in the form of Exhibit B hereto, including the certifications in item (4) thereof, and in each case, if the Company so requests, an Opinion of Counsel in form reasonably acceptable to the Company to the effect that such exchange or transfer is in compliance with the Securities Act and that the restrictions on transfer contained herein and in the Private Placement Legend are no longer required in order to maintain compliance with the Securities Act. (3) Unrestricted Definitive Notes to Unrestricted Definitive Notes. A Holder of Unrestricted Definitive Notes may transfer such Notes to a Person who takes delivery thereof in the form of an Unrestricted Definitive Note. Upon receipt of a request to register such a transfer, the Registrar shall register the Unrestricted Definitive Notes pursuant to the instructions from the Holder thereof. (f) [Reserved]. (g) Legends. The following legends will appear on the face of all Global Notes and Definitive Notes issued under this Indenture unless specifically stated otherwise in the applicable provisions of this Indenture. (1) Private Placement Legend. Each Global Note and each Definitive Note (and all Notes issued in exchange therefor or substitution thereof) shall bear the legend in substantially the following form: “THIS SECURITY HAS NOT BEEN REGISTERED UNDER THE SECURITIES ACT OF 1933, AS AMENDED (THE “SECURITIES ACT”), OR THE SECURITIES LAWS OF ANY STATE OR OTHER JURISDICTION. NEITHER THIS SECURITY NOR ANY INTEREST OR PARTICIPATION HEREIN MAY BE REOFFERED, SOLD, ASSIGNED, TRANSFERRED, PLEDGED, ENCUMBERED OR OTHERWISE DISPOSED OF IN THE ABSENCE OF SUCH REGISTRATION OR UNLESS SUCH TRANSACTION IS EXEMPT FROM, OR NOT SUBJECT TO, SUCH REGISTRATION. THE HOLDER OF THIS SECURITY, BY ITS ACCEPTANCE HEREOF, AGREES ON ITS OWN BEHALF AND ON BEHALF OF ANY INVESTOR ACCOUNT FOR WHICH IT HAS PURCHASED SECURITIES, TO OFFER, SELL OR OTHERWISE TRANSFER SUCH SECURITY, PRIOR TO THE DATE (THE “RESALE RESTRICTION TERMINATION DATE”) THAT IS [IN THE CASE OF RULE 144A NOTES, ONE YEAR AFTER THE LATER OF THE ORIGINAL ISSUE DATE HEREOF, THE ORIGINAL ISSUE DATE OF THE ISSUANCE OF ANY ADDITIONAL NOTES AND THE LAST DATE ON WHICH THE COMPANY OR ANY AFFILIATE OF THE COMPANY WAS THE OWNER OF THIS SECURITY (OR ANY PREDECESSOR OF SUCH SECURITY)], [OR, IN THE CASE OF REGULATION S NOTES, 40 DAYS AFTER THE LATER OF THE ORIGINAL ISSUE DATE HEREOF AND THE DATE ON WHICH THIS SECURITY (OR ANY PREDECESSOR OF SUCH SECURITY) WAS FIRST OFFERED TO PERSONS OTHER THAN DISTRIBUTORS (AS DEFINED IN RULE 902 OF REGULATION S) IN RELIANCE ON REGULATION S], ONLY (A) TO THE COMPANY OR ANY SUBSIDIARY THEREOF, (B) PURSUANT TO A REGISTRATION STATEMENT THAT HAS BEEN DECLARED EFFECTIVE UNDER THE SECURITIES ACT, (C) FOR SO LONG AS THE SECURITIES ARE ELIGIBLE FOR RESALE PURSUANT TO RULE 144A UNDER THE SECURITIES ACT (“RULE 144A”), TO A PERSON IT REASONABLY BELIEVES IS A “QUALIFIED INSTITUTIONAL BUYER” AS DEFINED IN RULE 144A THAT PURCHASES FOR ITS OWN ACCOUNT OR FOR THE ACCOUNT OF A QUALIFIED INSTITUTIONAL BUYER TO WHOM NOTICE IS GIVEN THAT THE TRANSFER IS BEING MADE IN RELIANCE ON RULE 144A, (D) PURSUANT TO OFFERS AND SALES TO NON-U.S. PERSONS THAT OCCUR OUTSIDE THE UNITED STATES WITHIN THE MEANING OF REGULATION S UNDER THE SECURITIES ACT OR (E) PURSUANT TO ANOTHER AVAILABLE


 
49 Adient – CONFIDENTIAL EXEMPTION FROM THE REGISTRATION REQUIREMENTS OF THE SECURITIES ACT, SUBJECT TO THE COMPANY’S AND THE TRUSTEE’S RIGHT PRIOR TO ANY SUCH OFFER, SALE OR TRANSFER PURSUANT TO CLAUSES (D) OR (E) TO REQUIRE THE DELIVERY OF AN OPINION OF COUNSEL, CERTIFICATION AND/OR OTHER INFORMATION SATISFACTORY TO EACH OF THEM. [IN THE CASE OF REGULATION S NOTES: BY ITS ACQUISITION HEREOF, THE HOLDER HEREOF REPRESENTS AND WARRANTS THAT IT IS NOT A U.S. PERSON NOR IS IT PURCHASING FOR THE ACCOUNT OF A U.S. PERSON AND IS ACQUIRING THIS SECURITY IN AN OFFSHORE TRANSACTION IN ACCORDANCE WITH REGULATION S UNDER THE SECURITIES ACT.] BY ITS ACQUISITION OF THIS SECURITY, THE HOLDER HEREOF WILL BE DEEMED TO HAVE REPRESENTED AND WARRANTED THAT EITHER (1) NO PORTION OF THE ASSETS USED BY SUCH HOLDER TO ACQUIRE OR HOLD THIS SECURITY CONSTITUTES THE ASSETS OF AN EMPLOYEE BENEFIT PLAN THAT IS SUBJECT TO TITLE I OF THE U.S. EMPLOYEE RETIREMENT INCOME SECURITY ACT OF 1974, AS AMENDED (“ERISA”), OF A PLAN, INDIVIDUAL RETIREMENT ACCOUNT OR OTHER ARRANGEMENT THAT IS SUBJECT TO SECTION 4975 OF THE U.S. INTERNAL REVENUE CODE OF 1986, AS AMENDED (THE “CODE”) OR PROVISIONS UNDER ANY OTHER FEDERAL, STATE, LOCAL, NON-U.S. OR OTHER LAWS OR REGULATIONS THAT ARE SIMILAR TO SUCH PROVISIONS OF ERISA OR THE CODE (“SIMILAR LAWS”), OR OF AN ENTITY WHOSE UNDERLYING ASSETS ARE CONSIDERED TO INCLUDE “PLAN ASSETS” OF ANY SUCH PLAN, ACCOUNT OR ARRANGEMENT, OR (2) THE ACQUISITION AND HOLDING OF THIS SECURITY BY SUCH HOLDER WILL NOT CONSTITUTE A NON-EXEMPT PROHIBITED TRANSACTION UNDER SECTION 406 OF ERISA OR SECTION 4975 OF THE CODE OR A SIMILAR VIOLATION UNDER ANY APPLICABLE SIMILAR LAWS, AND NONE OF THE ISSUER NOR ANY OF ITS AFFILIATES IS A FIDUCIARY OF SUCH HOLDER IN CONNECTION WITH ITS INVESTMENT IN THIS SECURITY.” (2) Global Note Legend. Each Global Note will bear a legend in substantially the following form: “THIS GLOBAL NOTE IS HELD BY OR ON BEHALF OF THE DEPOSITARY (AS DEFINED IN THE INDENTURE GOVERNING THIS NOTE) OR ITS NOMINEE IN CUSTODY FOR THE BENEFIT OF THE BENEFICIAL OWNERS HEREOF, AND IS NOT TRANSFERABLE TO ANY PERSON UNDER ANY CIRCUMSTANCES EXCEPT THAT (1) THE TRUSTEE MAY MAKE SUCH NOTATIONS HEREON AS MAY BE REQUIRED PURSUANT TO SECTION 2.06 OF THE INDENTURE, (2) THIS GLOBAL NOTE MAY BE EXCHANGED IN WHOLE BUT NOT IN PART PURSUANT TO SECTION 2.06(a) OF THE INDENTURE, (3) THIS GLOBAL NOTE MAY BE DELIVERED TO THE TRUSTEE FOR CANCELLATION PURSUANT TO SECTION 2.11 OF THE INDENTURE AND (4) THIS GLOBAL NOTE MAY BE TRANSFERRED TO A SUCCESSOR DEPOSITARY WITH THE PRIOR WRITTEN CONSENT OF THE COMPANY. UNLESS AND UNTIL IT IS EXCHANGED IN WHOLE OR IN PART FOR NOTES IN DEFINITIVE FORM, THIS NOTE MAY NOT BE TRANSFERRED EXCEPT AS A WHOLE BY THE DEPOSITARY TO A NOMINEE OF THE DEPOSITARY OR BY A NOMINEE OF THE DEPOSITARY TO THE DEPOSITARY OR ANOTHER NOMINEE OF THE DEPOSITARY OR BY THE DEPOSITARY OR ANY SUCH NOMINEE TO A SUCCESSOR DEPOSITARY OR A NOMINEE OF SUCH SUCCESSOR DEPOSITARY. UNLESS THIS CERTIFICATE IS PRESENTED BY AN AUTHORIZED REPRESENTATIVE OF THE DEPOSITORY TRUST COMPANY (55 WATER STREET, NEW YORK, NEW YORK) (“DTC”), TO THE COMPANY OR ITS AGENT FOR REGISTRATION OF TRANSFER, EXCHANGE OR PAYMENT, AND ANY CERTIFICATE ISSUED IS REGISTERED IN THE NAME OF CEDE & CO. OR SUCH OTHER NAME AS MAY BE REQUESTED BY AN AUTHORIZED REPRESENTATIVE OF DTC (AND ANY PAYMENT IS MADE TO CEDE &


 
50 Adient – CONFIDENTIAL CO. OR SUCH OTHER ENTITY AS MAY BE REQUESTED BY AN AUTHORIZED REPRESENTATIVE OF DTC), ANY TRANSFER, PLEDGE OR OTHER USE HEREOF FOR VALUE OR OTHERWISE BY OR TO ANY PERSON IS WRONGFUL INASMUCH AS THE REGISTERED OWNER HEREOF, CEDE & CO., HAS AN INTEREST HEREIN.” (3) Regulation S Temporary Global Note Legend. In addition to the Private Placement Legend and the Tax Legend (if applicable), the Regulation S Temporary Global Note will bear a legend in substantially the following form: “THE RIGHTS ATTACHING TO THIS REGULATION S TEMPORARY GLOBAL NOTE, AND THE CONDITIONS AND PROCEDURES GOVERNING ITS EXCHANGE FOR DEFINITIVE NOTES, ARE AS SPECIFIED IN THE INDENTURE (AS DEFINED HEREIN). NEITHER THE HOLDER NOR THE BENEFICIAL OWNERS OF THIS REGULATION S TEMPORARY GLOBAL NOTE SHALL BE ENTITLED TO RECEIVE PAYMENT OF INTEREST HEREON.” (4) Tax Legend. Each Global Note and each Definitive Note (and all Notes issued in exchange therefor or substitution thereof) will bear a legend in substantially the following form: “THIS NOTE HAS BEEN ISSUED WITH “ORIGINAL ISSUE DISCOUNT” (WITHIN THE MEANING OF SECTION 1272 OF THE INTERNAL REVENUE CODE OF 1986, AS AMENDED). UPON WRITTEN REQUEST, THE COMPANY WILL PROMPTLY MAKE AVAILABLE TO ANY HOLDER OF THIS NOTE THE FOLLOWING INFORMATION: (1) THE ISSUE PRICE AND DATE OF THE NOTE; (2) THE AMOUNT OF ORIGINAL ISSUE DISCOUNT ON THE NOTE; AND (3) THE YIELD TO MATURITY OF THE NOTE. HOLDERS SHOULD CONTACT THE COMPANY AT ADIENT GLOBAL HOLDINGS LTD, C/O ADIENT US LLC, 49200 HALYARD DRIVE, PLYMOUTH, MICHIGAN 48170, ATTENTION: TREASURY.” (h) Cancellation and/or Adjustment of Global Notes. At such time as all beneficial interests in a particular Global Note have been exchanged for Definitive Notes or a particular Global Note has been redeemed, repurchased or canceled in whole and not in part, each such Global Note will be returned to or retained and canceled by the Trustee in accordance with Section 2.11 hereof. At any time prior to such cancellation, if any beneficial interest in a Global Note is exchanged for or transferred to a Person who will take delivery thereof in the form of a beneficial interest in another Global Note or for Definitive Notes, the principal amount of Notes represented by such Global Note will be reduced accordingly and an endorsement will be made on such Global Note by the Trustee or by the Custodian at the direction of the Trustee to reflect such reduction; and if the beneficial interest is being exchanged for or transferred to a Person who will take delivery thereof in the form of a beneficial interest in another Global Note, such other Global Note will be increased accordingly and an endorsement will be made on such Global Note by the Trustee or by the Custodian at the direction of the Trustee to reflect such increase. (i) General Provisions Relating to Transfers and Exchanges. (1) To permit registrations of transfers and exchanges, the Company will execute and the Trustee will authenticate Global Notes and Definitive Notes upon receipt of an Authentication Order in accordance with Section 2.02 hereof or at the Registrar’s request. (2) No service charge will be made to a Holder of a beneficial interest in a Global Note or to a Holder of a Definitive Note for any registration of transfer or exchange, but the Company may require payment of a sum sufficient to cover any transfer tax or similar governmental charge payable in connection therewith (other than any such transfer taxes or similar governmental charge payable upon exchange or transfer pursuant to Sections 2.10, 3.06, 3.09, 4.10, 4.14 and 9.05 hereof). (3) [Reserved].


 
51 Adient – CONFIDENTIAL (4) All Global Notes and Definitive Notes issued upon any registration of transfer or exchange of Global Notes or Definitive Notes will be the valid obligations of the Company, evidencing the same debt, and entitled to the same benefits under this Indenture, as the Global Notes or Definitive Notes surrendered upon such registration of transfer or exchange. (5) Neither the Registrar nor the Company will be required: (A) to issue, to register the transfer of, or to exchange any Notes during a period beginning at the opening of business 15 days before the day of any selection of Notes for redemption under Section 3.02 hereof and ending at the close of business on the day of selection; (B) to register the transfer of or to exchange any Note selected for redemption in whole or in part, except the unredeemed portion of any Note being redeemed in part; or (C) to register the transfer of or to exchange a Note between a record date and the next succeeding Interest Payment Date, (6) Prior to due presentment for the registration of a transfer of any Note, the Trustee, any Agent and the Company may deem and treat the Person in whose name any Note is registered as the absolute owner of such Note for the purpose of receiving payment of principal of and (subject to the record date provisions of the Notes) interest on such Notes and for all other purposes, and none of the Trustee, any Agent or the Company shall be affected by notice to the contrary. (7) The Trustee will authenticate Global Notes and Definitive Notes in accordance with the provisions of Section 2.02 hereof. (8) All certifications, certificates and Opinions of Counsel required to be submitted to the Registrar pursuant to this Section 2.06 to effect a registration of transfer or exchange may be submitted by facsimile. (9) The Trustee shall have no obligation or duty to monitor, determine or inquire as to compliance with any restrictions on transfer imposed under this Indenture or under applicable law with respect to any transfer of any interest in any Note (including any transfers between or among Depositary Participants or beneficial owners of interests in any Global Note) other than to require delivery of such certificates and other documentation or evidence as are expressly required by, and to do so if and when expressly required by the terms of, this Indenture, and to examine the same to determine substantial compliance as to form with the express requirements hereof. (10) Neither the Trustee nor any Agent shall have any responsibility for any actions taken or not taken by the Depositary. Section 2.07 Replacement Notes. If any mutilated Note is surrendered to the Trustee or the Company and the Trustee receives evidence to its satisfaction of the destruction, loss or theft of any Note, the Company will issue and the Trustee, upon receipt of an Authentication Order, will authenticate a replacement Note if the Trustee’s requirements are met. If required by the Trustee or the Company, an indemnity bond must be supplied by the Holder that is sufficient in the judgment of the Trustee and the Company to protect the Company, the Trustee, any Agent and any authenticating agent from any loss that any of them may suffer if a Note is replaced. The Company may charge for its expenses in replacing a Note. In case any such mutilated, destroyed, lost, or stolen Note has become due and payable, the Company in its sole discretion may, instead of issuing a new Note, pay such Note. Upon the issuance of any new Note under this Section 2.07, the Company may require the payment of a sum sufficient to cover any tax, assessment, fee or other governmental charge that may be imposed in relation thereto and any other expenses (including the fees and expenses of the Trustee) connected therewith.


 
52 Adient – CONFIDENTIAL Every new Note issued pursuant to this Section 2.07 in exchange for any mutilated Note or in lieu of any destroyed, lost, or stolen Note will constitute an original additional contractual obligation of the Company, whether or not the mutilated, destroyed, lost, or stolen Note shall be at any time enforceable by anyone, and will be entitled to all the benefits of this Indenture equally and proportionately with any and all other Notes duly issued hereunder. The provisions of this Section 2.07 are exclusive and will preclude (to the extent lawful) all other rights and remedies with respect to the replacement or payment of mutilated, destroyed, lost, or stolen Notes. Section 2.08 Outstanding Notes. The Notes outstanding at any time are all the Notes authenticated by the Trustee except for those canceled by it, those delivered to the Company for cancellation, those reductions in the interest in a Global Note effected by the Trustee in accordance with the provisions hereof, and those described in this Section 2.08 as not outstanding. Except as set forth in Section 2.09 hereof, a Note does not cease to be outstanding because the Company or an Affiliate of the Company holds the Note. If a Note is replaced pursuant to Section 2.07 hereof, it ceases to be outstanding unless the Trustee receives proof satisfactory to it that the replaced Note is held by a bona fide purchaser. If the principal amount of any Note is considered paid under Section 4.01 hereof, it ceases to be outstanding and interest on it ceases to accrue. If the Paying Agent (other than the Company, Parent, a Subsidiary or an Affiliate of any thereof) holds, on a redemption date or maturity date, money sufficient to pay Notes payable on that date, then on and after that date such Notes will be deemed to be no longer outstanding and will cease to accrue interest. Section 2.09 Treasury Notes. In determining whether the Holders of the required principal amount of Notes have concurred in any direction, waiver or consent, Notes owned by the Company or any Guarantor, or by any Person directly or indirectly controlling or controlled by or under direct or indirect common control with the Company or any Guarantor, will be considered as though not outstanding, except that for the purposes of determining whether the Trustee will be protected in relying on any such direction, waiver or consent, only Notes with respect to which a Responsible Officer of the Trustee has received written notice as being so owned at the Corporate Trust Office of the Trustee will be so disregarded. Section 2.10 Temporary Notes. Until certificates representing Notes are ready for delivery, the Company may prepare and the Trustee, upon receipt of an Authentication Order, will authenticate temporary Notes. Temporary Notes will be substantially in the form of certificated Notes but may have variations that the Company considers appropriate for temporary Notes and as may be reasonably acceptable to the Trustee. Without unreasonable delay, the Company will prepare and the Trustee will authenticate Definitive Notes in exchange for temporary Notes. Holders of temporary Notes will be entitled to all of the benefits of this Indenture. Section 2.11 Cancellation. The Company at any time may deliver Notes to the Trustee for cancellation. The Registrar and Paying Agent will forward to the Trustee for cancellation any Notes surrendered to them for registration of transfer, exchange or payment. The Trustee and no one else will cancel all Notes surrendered for registration of transfer, exchange, payment, replacement or cancellation and will dispose of cancelled Notes in accordance with its customary procedures (subject to the record retention requirements of the Exchange Act). Certification of the disposition of all canceled Notes will be delivered to the Company. The Company may not issue new Notes to replace Notes that it has paid or that have been delivered to the Trustee for cancellation.


 
53 Adient – CONFIDENTIAL Section 2.12 Defaulted Interest. If the Company defaults in a payment of interest on the Notes, it will pay the defaulted interest in any lawful manner plus, to the extent lawful, interest payable on the defaulted interest, to the Persons who are Holders on a subsequent special record date, in each case at the rate provided in the Notes and in Section 4.01 hereof; provided that if the Company pays the defaulted interest prior to the date that is 30 days after the date of default in payment of interest, payment shall be to the recordholders of the Notes as of the original record date. The Company will notify the Trustee in writing of the amount of defaulted interest proposed to be paid on each Note and the date of the proposed payment. If such default in interest continues for 30 days, the Company will fix or cause to be fixed each such special record date and payment date; provided that no such special record date may be less than 10 days prior to the related payment date for such defaulted interest. At least 15 days before the special record date, the Company (or, upon the written request of the Company, the Trustee in the name and at the expense of the Company) will mail or cause to be mailed to Holders a notice that states the special record date, the related payment date and the amount of such interest to be paid. Section 2.13 CUSIP Numbers. The Company in issuing the Notes may use “CUSIP” numbers (if then generally in use) and, if so, the Trustee shall use “CUSIP” numbers in notices of redemption as a convenience to Holders; provided, that any such notice may state that no representation is made as to the correctness of such numbers either as printed on the Notes or as contained in any notice of redemption and that reliance may be placed only on the other identification numbers printed on the Notes, and any such redemption shall not be affected by any defect in or omission of such numbers. The Company will as promptly as practicable notify the Trustee in writing of any change in “CUSIP” numbers. ARTICLE 3 REDEMPTION AND PREPAYMENT Section 3.01 Notices to Trustee. If the Company elects to redeem Notes pursuant to the optional redemption provisions of Section 3.07 hereof, it must furnish to the Trustee, at least 30 days (or 45 days in case of a partial redemption of Definitive Notes) (or such shorter period acceptable to the Trustee) but not more than 60 days before a redemption date, an Officer’s Certificate setting forth: (1) the clause of this Indenture pursuant to which the redemption shall occur; (2) the redemption date; (3) the principal amount of Notes to be redeemed; and (4) the redemption price, if then ascertainable. and stating that all conditions to such redemption have been complied with or that such redemption is subject to Section 3.07(f). Section 3.02 Selection of Notes to Be Redeemed or Purchased. If less than all of the Notes are to be redeemed or purchased in an offer to purchase at any time, and the Notes subject to redemption are represented by Definitive Notes, the Trustee (subject to Section 4.10 or 4.14, as applicable) will select Notes for redemption or purchase by pro rata pass-through distribution of principal, by lot or by such method as it shall deem fair and appropriate in its sole and absolute discretion. If the Notes are represented by Global Notes, interests in such Global Notes will be selected for redemption or purchase by the Depositary in accordance with the Applicable Procedures.


 
54 Adient – CONFIDENTIAL In the event of partial redemption or purchase, the particular Notes to be redeemed or purchased will be selected, unless otherwise provided herein, not less than 10 nor more than 60 days prior to the redemption or purchase date by the Trustee from the outstanding Notes not previously called for redemption or purchase. With respect to Definitive Notes, the Trustee will promptly notify the Company in writing of the Notes selected for redemption or purchase and, in the case of any Note selected for partial redemption or purchase, the principal amount thereof to be redeemed or purchased. Notes and portions of Notes selected will be in amounts of $2,000 or whole multiples of $1,000 in excess thereof; except that if all of the Notes of a Holder are to be redeemed or purchased, the entire outstanding amount of Notes held by such Holder shall be redeemed or purchased; provided, that the unredeemed or unpurchased portion of a Note must be in a minimum denomination of $2,000. Except as provided in the preceding sentence, provisions of this Indenture that apply to Notes called for redemption or purchase also apply to portions of Notes called for redemption or purchase. Section 3.03 Notice of Redemption. Subject to the provisions of Section 3.09 hereof, at least 10 days but not more than 60 days before a redemption date, the Company will mail or cause to be mailed, by first class mail (or with respect to Global Notes, to the extent permitted or required by the Depositary’s Applicable Procedures, send electronically), a notice of redemption to each Holder whose Notes are to be redeemed at its registered address, except that redemption notices may be mailed more than 90 days prior to a redemption date if the notice is issued in connection with a defeasance of the Notes or a satisfaction and discharge of this Indenture pursuant to Articles 8 or 11 hereof. The notice will identify the Notes to be redeemed and will state: (1) the redemption date; (2) the redemption price, or if not then ascertainable, the manner of calculation thereof; (3) if any Note is being redeemed in part, the portion of the principal amount of such Note to be redeemed and that, after the redemption date upon surrender of such Note, a new Note or Notes in principal amount equal to the unredeemed portion will be issued upon cancellation of the original Note (or transferred by book entry); (4) the name and address of the Paying Agent; (5) that Notes called for redemption must be surrendered to the Paying Agent to collect the redemption price; (6) that, unless the Company defaults in making such redemption payment, interest on Notes called for redemption ceases to accrue on and after the redemption date; (7) the paragraph of the Notes and/or Section of this Indenture pursuant to which the Notes called for redemption are being redeemed; (8) that no representation is made as to the correctness or accuracy of the CUSIP number, if any, listed in such notice or printed on the Notes; and (9) if the redemption or notice is conditional, the one or more conditions precedent and that the Company may delay the redemption in its discretion until such time as the condition or conditions are satisfied or waived or that such redemption may not occur and such notice may be rescinded in the event that all such conditions have not been satisfied or waived by the redemption date, or by the redemption date so delayed.


 
55 Adient – CONFIDENTIAL At the Company’s request, the Trustee will give the notice of redemption in the Company’s name and at the Company’s expense; provided, however, that the Company has delivered to the Trustee, at least 30 days prior to the redemption date (or such shorter period as is acceptable to the Trustee), an Officer’s Certificate requesting that the Trustee give such notice and setting forth the information to be stated in such notice as provided in the preceding paragraph. Section 3.04 Effect of Notice of Redemption. Except as provided in Section 3.07(f) hereof, once notice of redemption is mailed or transmitted in accordance with Section 3.03 hereof, Notes called for redemption become irrevocably due and payable on the redemption date at the redemption price. The notice, if mailed or transmitted in a manner herein provided, shall be conclusively presumed to have been given whether or not the Holder receives such notice. In any case, failure to give such notice by mail or by such other means as may be required hereby or any defect in the notice to the Holder of any Note designated for redemption in whole or in part shall not affect the validity of the proceedings for the redemption of any other Note. Subject to Section 3.05 hereof, on and after the redemption date, interest will cease to accrue on the Notes or portion thereof called for redemption. Section 3.05 Deposit of Redemption or Purchase Price. Prior to 10:00 a.m. Eastern Time on the redemption or purchase date, the Company will deposit with the Trustee or with the Paying Agent money sufficient to pay the redemption or purchase price of, and accrued interest, if any, on, all Notes to be redeemed or purchased on that date. The Trustee or the Paying Agent will promptly return to the Company any money deposited with the Trustee or the Paying Agent by the Company in excess of the amounts necessary to pay the redemption or purchase price of, and accrued interest, if any, on, all Notes to be redeemed or purchased. If the Company complies with the provisions of the preceding paragraph, on and after the redemption or purchase date, interest will cease to accrue on the Notes or the portions of Notes called for redemption or purchase. If any Note called for redemption or purchase is not so paid upon surrender for redemption or purchase because of the failure of the Company to comply with the preceding paragraph, interest shall be paid on the unpaid principal, from the redemption or purchase date until such principal is paid, and to the extent lawful on any interest not paid on such unpaid principal, in each case at the rate provided in the Notes and in Section 4.01 hereof. Section 3.06 Notes Redeemed or Purchased in Part. Upon surrender of a Note that is redeemed or purchased in part, the Company will issue, and upon receipt of an Authentication Order, the Trustee will authenticate for the Holder at the expense of the Company, a new Note equal in principal amount to the unredeemed or unpurchased portion of the Note surrendered (or transfer such Note by book entry). Section 3.07 Optional Redemption. (a) At any time prior to February 15, 2028, the Company may on any one or more occasions redeem up to 40% of the aggregate principal amount of Notes (calculated after giving effect to the issuance of any Additional Notes) issued under this Indenture at a redemption price equal to 107.500% of the principal amount of Notes redeemed, plus accrued and unpaid interest, if any, to the date of redemption (subject to the right of Holders of Notes on a relevant record date to receive interest on an Interest Payment Date occurring on or prior to the redemption date), with the net cash proceeds of an Equity Offering; provided that: (1) at least 50% of the aggregate principal amount of Notes issued under this Indenture (including any Additional Notes, but excluding Notes held by the Company, any direct or indirect parent of the Company or any of the Company’s Subsidiaries) remain outstanding immediately after the occurrence of such redemption; and


 
56 Adient – CONFIDENTIAL (2) the redemption occurs within 180 days of the date of the closing of such Equity Offering. (b) At any time prior to February 15, 2028, the Company may on any one or more occasions redeem all or a portion of the Notes at a redemption price equal to 100% of the principal amount of the Notes redeemed, plus the Applicable Premium as of, and accrued and unpaid interest to, the date of redemption, subject to the right of Holders of Notes on a relevant record date to receive interest due on an Interest Payment Date occurring on or prior to the redemption date. Promptly after the calculation of the redemption price under this clause (b), the Company shall give the Trustee notice thereof. (c) [Reserved] (d) On or after February 15, 2028, the Company may on any one or more occasions redeem all or a portion of the Notes at the redemption prices (expressed as percentages of principal amount) set forth below, plus accrued and unpaid interest, if any, on the Notes redeemed, to the applicable date of redemption, if redeemed during the 12-month period beginning on February 15 of the years indicated below, subject to the rights of Holders of Notes on a relevant record date to receive interest on an Interest Payment Date occurring on or prior to the redemption date: Year Percentage 2028 ....................................................................................... 103.750% 2029 ....................................................................................... 101.875% 2030 and thereafter ................................................................ 100.000% (e) Notwithstanding the foregoing, in connection with any tender offer, Change of Control Offer, or Asset Sale Offer, if Holders of not less than 90% in aggregate principal amount of the then outstanding Notes validly tender and do not validly withdraw such Notes in such offer and the Company, or any third party making such offer in lieu of the Company, purchases all of the Notes validly tendered and not validly withdrawn by such Holders, the Company or such third party shall have the right upon not less than 10 nor more than 60 days’ prior notice, given not more than 60 days following such purchase date, to redeem all Notes that remain outstanding following such purchase at a price equal to the price offered to each other Holder in such offer (which may be less than par) plus, to the extent not included in the offer payment, accrued and unpaid interest, if any, thereon, to, but excluding, the applicable date of redemption, subject to the right of holders of record on the relevant record date to receive interest due on the relevant interest payment date falling prior to or on the applicable date of redemption. (f) Any redemption pursuant to this Section 3.07 shall be made pursuant to the provisions of Sections 3.01 through 3.06 hereof. Any redemption of Notes (including with net cash proceeds of an Equity Offering) pursuant to this Section 3.07 may, at the Company’s discretion, be subject to one or more conditions precedent, including, but not limited to, consummation of any related Equity Offering, consummation of a Change of Control or consummation of a refinancing of any Indebtedness. In addition, if such redemption or notice is subject to satisfaction of one or more conditions precedent, such notice shall state that, in the Company’s discretion, the redemption date may be delayed until such time as any or all such conditions shall be satisfied (or waived by the Company in its sole discretion), or such redemption may not occur and such notice may be rescinded in the event that any or all such conditions shall not have been satisfied (or waived by the Company in its sole discretion) by the redemption date, or by the redemption date so delayed. Unless the Company defaults in the payment of the redemption price, interest will cease to accrue on the Notes or portions thereof called for redemption on the applicable redemption date. If any such condition precedent has not been satisfied, the Company shall provide written notice to the Trustee prior to the close of business two Business Days prior to the redemption date. Upon receipt, the Trustee shall provide such notice to each Holder of the Notes in the same manner in which the notice of redemption was given. (g) If any redemption pursuant to this Section 3.07 shall occur on or after an interest record date and on or before the related Interest Payment Date, any accrued and unpaid interest will be paid to the Person


 
57 Adient – CONFIDENTIAL in whose name a Note is registered at the close of business on such record date, and no additional interest will be payable to Holders of the Notes which are redeemed. Section 3.08 Mandatory Redemption. The Company is not required to make mandatory redemption or sinking fund payments with respect to the Notes. Section 3.09 Offer to Purchase by Application of Excess Proceeds. In the event that, pursuant to Section 4.10 hereof, the Company is required to commence an offer to all Holders to purchase Notes (an “Asset Sale Offer”), it will follow the procedures specified below. The Asset Sale Offer shall be made to all Holders and all holders of other Senior Indebtedness of the Company or any Guarantor and contains provisions similar to those set forth in Section 4.10. The Asset Sale Offer will remain open for a period of at least 20 Business Days following its commencement and not more than 30 Business Days, except to the extent that a longer period is required by applicable law (the “Offer Period”). Promptly after the termination of the Offer Period (the “Purchase Date”), the Company will apply all Excess Proceeds (the “Offer Amount”) to the purchase of Notes and such other Senior Indebtedness in accordance with Section 4.10(c). Payment for any Notes so purchased will be made in the same manner as principal and interest payments are made. If the Purchase Date is on or after an interest record date and on or before the related Interest Payment Date, any accrued and unpaid interest will be paid to the Person in whose name a Note is registered at the close of business on such record date, and no additional interest will be payable to Holders who tender Notes pursuant to the Asset Sale Offer. Upon the commencement of an Asset Sale Offer, the Company will send, by first class mail (or with respect to Global Notes to the extent permitted or required by the Depositary’s Applicable Procedures, send electronically), a notice to the Trustee and each of the Holders, with a copy to the Trustee. The notice will contain all instructions and materials necessary to enable such Holders to tender Notes pursuant to the Asset Sale Offer. The notice, which will govern the terms of the Asset Sale Offer, will state: (1) that the Asset Sale Offer is being made pursuant to this Section 3.09 and Section 4.10 hereof and the length of time the Asset Sale Offer will remain open; (2) the Offer Amount, the purchase price and the Purchase Date; (3) that any Note not tendered or accepted for payment will continue to accrue interest; (4) that, unless the Company defaults in making such payment, any Note accepted for payment pursuant to the Asset Sale Offer will cease to accrue interest after the Purchase Date; (5) that Holders electing to have a Note purchased pursuant to an Asset Sale Offer may elect to have Notes purchased in minimum denominations of $2,000 or an integral multiple of $1,000 in excess thereof; provided that any unpurchased portion of a Note must be in a minimum denomination of $2,000; (6) that Holders electing to have Notes purchased pursuant to any Asset Sale Offer will be required to surrender the Note, with the form entitled “Option of Holder to Elect Purchase” attached to the Notes completed, or transfer the Note by book-entry transfer, to the Company, a depositary, if appointed by the Company, or a Paying Agent at the address specified in the notice at least three Business Days before the Purchase Date;


 
58 Adient – CONFIDENTIAL (7) that Holders will be entitled to withdraw their election if the Company, the depositary or the Paying Agent, as the case may be, receives, not later than the expiration of the Offer Period, a telegram, telex, facsimile transmission or letter setting forth the name of the Holder, the principal amount of the Note the Holder delivered for purchase and a statement that such Holder is withdrawing his election to have such Note purchased; (8) that, if the aggregate principal amount of Notes and other Senior Indebtedness surrendered by holders thereof exceeds the Offer Amount, the Company will select the Notes and other Senior Indebtedness to be purchased on a pro rata basis based on the principal amount of Notes and such other pari passu Indebtedness tendered or required to be prepaid or redeemed, and thereafter the Trustee will select the Notes to be purchased on a pro rata pass-through distribution of principal basis (subject to the Depositary’s Applicable Procedures with respect to Global Notes) based on the principal amount tendered (with, in each case, such adjustments as may be deemed appropriate by the Company or the Trustee, as applicable, so that only Notes in minimum denominations of $2,000, or an integral multiple of $1,000 in excess thereof, will be purchased; provided that any unpurchased portion of a Note must be in a minimum denomination of $2,000); and (9) that Holders whose Notes were purchased only in part will be issued new Notes equal in principal amount to the unpurchased portion of the Notes surrendered (or transferred by book-entry transfer). On or before the Purchase Date, the Company will, to the extent lawful, accept for payment (on a pro rata basis to the extent necessary), the Offer Amount of Notes or portions thereof tendered pursuant to the Asset Sale Offer, or if less than the Offer Amount has been tendered, all Notes tendered, and will deliver or cause to be delivered to the Trustee the Notes properly accepted together with an Officer’s Certificate stating that such Notes or portions thereof were accepted for payment by the Company in accordance with the terms of this Section 3.09. The Company, the depositary or the Paying Agent, as the case may be, will promptly mail or deliver to each tendering Holder an amount equal to the purchase price of the Notes tendered by such Holder and accepted by the Company for purchase, and the Company will promptly issue a new Note, and the Trustee, upon written request from the Company, will authenticate and mail or deliver (or cause to be transferred by book entry) such new Note to such Holder, in a principal amount equal to any unpurchased portion of the Note surrendered. Any Note not so accepted shall be promptly mailed or delivered by the Company to the Holder thereof. The Company will publicly announce the results of the Asset Sale Offer on the Purchase Date. Section 3.10 Redemption for Tax Reasons If, as a result of any change in, or amendment to, the laws or regulations of a Relevant Taxing Jurisdiction, or any change in the official position regarding the application or interpretation of such laws or regulations (a “Change in Tax Law”), the enactment or adoption of which Change in Tax Law is publicly announced, and which Change in Tax Law becomes effective, after the date of the Offering Memorandum (or, if a Relevant Taxing Jurisdiction becomes a Relevant Taxing Jurisdiction after the date of the Offering Memorandum, after such later date), the Company is or will become obligated to pay Additional Amounts as described in Section 4.18 with respect to the Notes, then the Company may at any time at its option redeem, in whole, but not in part, all of the Notes, on not less than 10 nor more than 60 days’ prior notice, at a redemption price equal to 100% of their principal amount, together with accrued and unpaid interest on those Notes, if any, to, but not including, the date fixed for redemption. Notwithstanding the foregoing, no such notice of redemption may be given earlier than 90 days prior to the first date on which the Company would be obligated to pay Additional Amounts if it were required to make a payment on that date. Prior to the mailing, or delivery electronically if the Notes are held by any depositary, by the Company to each holder of the Notes of any notice of redemption of the Notes pursuant to the foregoing, the Company will deliver to the Trustee (i) an Officers’ Certificate stating that it is entitled to effect such redemption and setting forth a statement of facts showing that the conditions precedent to its right so to redeem have been satisfied, and (ii) a written opinion of an independent tax counsel of recognized standing to the effect that the Company would be required to pay Additional Amounts in respect of such notes as a result of a Change in Tax Law.


 
59 Adient – CONFIDENTIAL The foregoing will apply mutatis mutandis to any successor to the Company and any jurisdiction in which any successor Person to the Company is incorporated, organized, or engaged in business or resident for tax purposes, or any jurisdiction from or through which such Person (or its Paying Agent) makes any payment under or with respect to any Notes and, in each case, any political subdivision thereof or therein. ARTICLE 4 COVENANTS Section 4.01 Payment of Notes. The Company will pay or cause to be paid the principal of, premium on, if any, and interest, if any, on, the Notes on the dates and in the manner provided in the Notes. Principal, premium, if any, and interest, if any, will be considered paid on the date due if the Paying Agent, if other than the Company, Parent or a Subsidiary thereof, holds as of 11:00 a.m. Eastern Time on the due date money deposited by the Company in immediately available funds and designated for and sufficient to pay all principal, premium, if any, and interest, if any, then due. The Company will pay interest (including post-petition interest in any proceeding under any Bankruptcy Law) on overdue principal at a rate that is 1% higher than the then applicable interest rate on the Notes to the extent lawful; it will pay interest (including post-petition interest in any proceeding under any Bankruptcy Law) on overdue installments of interest at the same stepped-up rate to the extent lawful. Section 4.02 Maintenance of Office or Agency. The Company will maintain in the Borough of Manhattan, the City of New York, an office or agency (which may be an office of the Trustee or an affiliate of the Trustee, Registrar or co-registrar) where Notes may be surrendered for registration of transfer or for exchange and where notices and demands to or upon the Company in respect of the Notes and this Indenture may be served. The Company will give prompt written notice to the Trustee of the location, and any change in the location, of such office or agency. If at any time the Company fails to maintain any such required office or agency or fails to furnish the Trustee with the address thereof, such presentations, surrenders, notices and demands may be made or served at the Corporate Trust Office of the Trustee. The Company may also from time to time designate one or more other offices or agencies where the Notes may be presented or surrendered for any or all such purposes and may from time to time rescind such designations; provided, however, that no such designation or rescission will in any manner relieve the Company of its obligation to maintain an office or agency in the Borough of Manhattan, the City of New York for such purposes. The Company will give prompt written notice to the Trustee of any such designation or rescission and of any change in the location of any such other office or agency. The Company hereby designates the Corporate Trust Office of the Trustee as one such office or agency of the Company in accordance with Section 2.03 hereof. Section 4.03 Reports. (a) So long as any Notes are outstanding (whether or not the Company or Parent is subject to the reporting requirements of Section 13 or 15(d) of the Exchange Act or otherwise reports on an annual and quarterly basis on forms provided for such annual and quarterly reporting pursuant to the rules and regulations of the Commission), Parent or the Company will furnish to the Trustee and to Holders of Notes the following: (1) within the time period specified in the Commission’s rules and regulations, including after giving effect to applicable extensions under rule 12b-25 of the Exchange Act, annual reports of Parent on Form 10-K (as then applicable to Parent) (or any successor or comparable form) containing the information required to be contained therein (or required in such successor or comparable form);


 
60 Adient – CONFIDENTIAL (2) within the time period specified in the Commission’s rules and regulations, including after giving effect to applicable extensions under rule 12b-25 of the Exchange Act, quarterly reports of Parent on Form 10-Q (as then applicable to Parent) (or any successor or comparable form) containing the information required to be contained in such Form (or required in such successor or comparable form); and (3) within 10 days after the time period specified in the Commission’s rules and regulations, all current reports that would be required to be filed with the Commission on Form 8-K if Parent were required to file such reports. (b) The Company will be deemed to have furnished such reports referred to above to the Trustee and the Holders of the Notes if the Company or any direct or indirect parent of the Company has filed such reports with the Commission via the EDGAR (or successor) filing system and such reports are publicly available. (c) In addition, to the extent not satisfied by the foregoing, the Company and the Guarantors shall, for so long as any Notes are not freely transferrable under the Securities Act, furnish to Holders of the Notes and to securities analysts and prospective investors, upon their request, the information required to be delivered pursuant to Rule 144A(d)(4) under the Securities Act (or any successor provision). Section 4.04 Compliance Certificate. (a) The Company shall deliver to the Trustee, within 120 days after the end of each fiscal year, an Officer’s Certificate stating that in the course of the performance by the signer of his or her duties as an Officer of the Company he or she would normally have knowledge of any Default or Event of Default and whether or not the signer knew of any Default or Event of Default that occurred during such period (and, if a Default or Event of Default has occurred, describing all such Defaults or Events of Default of which he or she may have knowledge and what action the Company or Guarantors are taking or propose to take with respect thereto) and that to his or her knowledge no event has occurred and remains in existence by reason of which payments on account of the principal of, premium on, if any, or interest on the Notes is prohibited or if such event has occurred, a description of the event and what action the Company or Guarantors are taking or propose to take with respect thereto. (b) So long as any of the Notes are outstanding, the Company will deliver to the Trustee, within 30 Business Days after any Officer becoming aware of any Default or Event of Default, an Officer’s Certificate specifying such Default or Event of Default and what action the Company or Guarantors are taking or propose to take with respect thereto. Section 4.05 Taxes. The Company will pay, and will cause each of its Subsidiaries to pay, prior to delinquency, all material taxes, assessments, and governmental levies except such as are contested in good faith and by appropriate proceedings or where the failure to effect such payment is not adverse in any material respect to the Holders of the Notes. Section 4.06 Stay, Extension and Usury Laws. The Company and each of the Guarantors covenants (to the extent that it may lawfully do so) that it will not at any time insist upon, plead, or in any manner whatsoever claim or take the benefit or advantage of, any stay, extension or usury law wherever enacted, now or at any time hereafter in force, that may affect the covenants or the performance of this Indenture; the Company and each of the Guarantors (to the extent that it may lawfully do so) hereby expressly waives all benefit or advantage of any such law, and covenants that it will not, by resort to any such law, hinder, delay or impede the execution of any power herein granted to the Trustee, but will suffer and permit the execution of every such power as though no such law has been enacted.


 
61 Adient – CONFIDENTIAL Section 4.07 Restricted Payments. (a) Parent and the Company will not, and will not permit any of their Restricted Subsidiaries to, directly or indirectly: (1) declare or pay any dividend or make any other payment or distribution on account of Parent’s, the Company’s or any of their Restricted Subsidiaries’ Equity Interests (including, without limitation, any payment in connection with any merger or consolidation involving Parent, the Company or any of their Restricted Subsidiaries) (other than dividends or distributions payable in Equity Interests (other than Disqualified Stock) and dividends or distributions payable to Parent, the Company or a Restricted Subsidiary of Parent or the Company); (2) purchase, redeem or otherwise acquire or retire for value (including, without limitation, in connection with any merger or consolidation involving the Company) any Equity Interests of the Company or any direct or indirect parent of the Company; (3) make any voluntary or optional payment on or with respect to, or purchase, redeem, defease or otherwise acquire or retire for value any Indebtedness of the Company or any Guarantor that is contractually subordinated in the right of payment to the Notes or to any Note Guarantee (excluding any intercompany Indebtedness between or among Parent, the Company and any of their Restricted Subsidiaries), except a payment of interest when due or principal at the Stated Maturity thereof or the purchase, redemption, repurchase, defeasance, acquisition or retirement for value of any such Indebtedness within 365 days of the Stated Maturity thereof; or (4) make any Restricted Investment (all such payments and other actions set forth in clauses (1), (2), (3) and (4) of this Section 4.07(a), being collectively referred to as “Restricted Payments”), unless, at the time of and after giving effect to such Restricted Payment: (x) no Default or Event of Default has occurred and is continuing or would occur as a consequence of such Restricted Payment; (y) Parent or the Company, as applicable, would, at the time of such Restricted Payment and after giving pro forma effect thereto as if such Restricted Payment had been made at the beginning of the applicable four-quarter period, have been permitted to incur at least $1.00 of additional Indebtedness pursuant to the Fixed Charge Coverage Ratio test set forth in Section 4.09(a); and (z) such Restricted Payment, together with the aggregate amount of all other Restricted Payments made by Parent, the Company or their Restricted Subsidiaries since January 1, 2023 pursuant to this clause (z) and, Restricted Payments made under clause (3) (solely to the extent relied on to make a Restricted Payment initially permitted pursuant to this clause (z)) of Section 4.07(b) hereof and excluding Restricted Payments permitted by all other clauses of Section 4.07(b) hereof) is less than the sum, without duplication, of: (A) 50% of the Consolidated Net Income of Parent for the period (taken as one accounting period) from January 1, 2023 to the end of the most recently ended fiscal quarter for which internal financial statements are available at the time of such Restricted Payment (or, if such Consolidated Net Income for such period is a deficit, less 100% of such deficit); plus (B) 100% of the aggregate net proceeds, including cash and Fair Market Value of property other than cash (as determined in accordance with Section 4.07(c) hereof), received by the Company or any direct or indirect parent of the Company since January 1, 2023 as a contribution to its common equity capital or from the issue or sale of Qualifying Equity Interests of the Company or any direct or indirect parent of the Company, or from the issue or sale of


 
62 Adient – CONFIDENTIAL Disqualified Stock of the Company or debt securities of the Company or any direct or indirect parent of the Company, in each case that have been converted into or exchanged for Qualifying Equity Interests of the Company or any direct or indirect parent of the Company (other than Qualifying Equity Interests and convertible or exchangeable Disqualified Stock or debt securities sold to a Subsidiary of Parent or the Company); plus (C) 100% of the aggregate amount of cash and the Fair Market Value of property other than cash (as determined in accordance with Section 4.07(c) hereof) received by Parent, the Company or a Restricted Subsidiary of Parent or the Company from (i) the sale or disposition (other than to Parent, the Company or a Restricted Subsidiary of Parent or the Company) of Restricted Investments made after January 1, 2023 and from repurchases and redemptions of such Restricted Investments from Parent, the Company and their Restricted Subsidiaries by any Person (other than Parent, the Company or their Restricted Subsidiaries) and from repayments of loans or advances which constituted Restricted Investments made after January 1, 2023; (ii) the sale (other than to Parent and its Restricted Subsidiaries) of the Capital Stock of an Unrestricted Subsidiary; and (iii) any Restricted Investment that was made after January 1, 2023 in a Person that is not a subsidiary at such time that subsequently becomes a Restricted Subsidiary of Parent; provided that such amount will not exceed the amount of the Restricted Investment initially made; plus (D) in the event that any Unrestricted Subsidiary of Parent or the Company designated as such after January 1, 2023 is redesignated as a Restricted Subsidiary or has been merged or consolidated with or into or transfers or conveys its assets to, or is liquidated into, Parent, the Company or a Restricted Subsidiary of Parent or the Company, in each case after January 1, 2023, the Fair Market Value of Parent’s or the Company’s Restricted Investment in such Subsidiary (as determined in accordance with Section 4.07(c) hereof) as of the date of such redesignation, combination or transfer (or of the assets transferred or conveyed, as applicable), after deducting any Indebtedness associated with the Unrestricted Subsidiary so designated or combined or any Indebtedness associated with the assets so transferred or conveyed (other than in each case to the extent that the designation of such Subsidiary as an Unrestricted Subsidiary constituted a Permitted Investment); plus (E) $500.0 million. (b) The provisions of Section 4.07(a) hereof will not prohibit: (1) the payment of any dividend (or, in the case of any partnership or limited liability company, any similar distribution) by a Restricted Subsidiary of Parent or the Company to the holders of its Equity Interests so long as Parent, the Company or a Restricted Subsidiary receives at least its pro rata share of such dividend or distribution; (2) the making of any Restricted Payment in exchange for, or out of or with the net cash proceeds of the substantially concurrent sale (other than to a Subsidiary of Parent or the Company) of, Equity Interests of the Company or any direct or indirect parent of the Company (other than Disqualified Stock) or from the substantially concurrent contribution of common equity capital to the Company or any direct or indirect parent of the Company; provided that the amount of any such net cash proceeds that are utilized for any such Restricted Payment will not be considered to be net proceeds of Qualifying Equity Interests for purposes of Section 4.07(a)(z)(B) hereof; (3) the payment of any dividend or distribution or the consummation of any redemption, repurchase or retirement of Indebtedness within 60 days after the date of declaration of the dividend or distribution or giving of the redemption notice, as the case may be, if at the date of declaration or notice, the dividend, distribution or redemption payment would have complied with the provisions of this Indenture;


 
63 Adient – CONFIDENTIAL (4) the repurchase, redemption, defeasance or other acquisition or retirement for value of Indebtedness of the Company or any Guarantor that is contractually subordinated in right of payment to the Notes or to any Note Guarantee with the net cash proceeds from a substantially concurrent incurrence of Refinancing Indebtedness; (5) the repurchase, retirement or other acquisition for value (or the declaration and payment of dividends to, or the making of loans to, any direct or indirect parent of the Company, to finance any such repurchase, retirement or other acquisition) of Equity Interests of the Company, Parent or any of their Restricted Subsidiaries held by any future, present or former employee, director or consultant of the Company, Parent or any Subsidiary of Parent (or any such Person’s estates or heirs) pursuant to any management equity plan or stock option plan or any other management or employee benefit plan or other similar agreement or arrangement; provided that the aggregate amounts paid under this Section 4.07(b)(5) do not exceed $60.0 million in any calendar year (with unused amounts in any calendar year being permitted to be carried over to succeeding calendar years, so long as no greater than $120.0 million is paid in any calendar year); provided, further, that such amount in any calendar year may be increased by an amount not to exceed: (a) the cash proceeds received by Parent, the Company or any of their Restricted Subsidiaries from the sale of Qualifying Equity Interests of the Company or any direct or indirect parent of the Company (to the extent contributed to Parent or the Company), to members of management, directors or consultants of Parent, the Company and their Restricted Subsidiaries that occurs after the Issue Date; provided that the amount of such cash proceeds utilized for any such repurchase, retirement, other acquisition or dividend will not increase the amount available for Restricted Payments pursuant to Section 4.07(a)(z) hereof; plus (b) the cash proceeds of key man life insurance policies received by Parent, the Company and their Restricted Subsidiaries after the Issue Date; provided that the Company may elect to apply all or any portion of the aggregate increase contemplated by Section 4.07(b)(5)(a) and Section 4.07(b)(5)(b) in any calendar year; and provided further that cancellation of Indebtedness owing to Parent. the Company or any Restricted Subsidiary from any future, present or former employee, director or consultant of any of Parent, the Company or any Restricted Subsidiary in connection with a repurchase of Equity Interests of any of Parent, the Company or any Restricted Subsidiary will not be deemed to constitute a Restricted Payment for purposes of this Section 4.07 or any other provision of this Indenture; (6) the repurchase of Equity Interests deemed to occur upon (i) the exercise of stock options, warrants or other similar stock-based awards under equity plans of Parent, the Company or any of their Restricted Subsidiaries to the extent such Equity Interests represent a portion of the exercise price of those stock options, warrants or other similar stock-based awards under equity plans of Parent, the Company or any of their Restricted Subsidiaries or (ii) the withholding of a portion of Equity Interests issued upon any such exercise to cover any withholding tax obligations in respect of such issuance; (7) the declaration and payment of regularly scheduled or accrued dividends to holders of a class or series of Disqualified Stock of Parent or the Company or any preferred stock of their Restricted Subsidiaries issued on or after the Issue Date in accordance with Section 4.09 hereof; (8) payments of cash, dividends, distributions, advances or other Restricted Payments by Parent, the Company or any of their Restricted Subsidiaries to allow the payment of cash in lieu of the issuance of fractional shares or upon the purchase, redemption or acquisition of fractional shares, including in connection with (i) the exercise of options or warrants, (ii) the conversion or


 
64 Adient – CONFIDENTIAL exchange of Capital Stock or Indebtedness convertible into, or exchangeable for, Capital Stock or (iii) stock dividends, splits or combinations or business combinations; (9) (i) purchases of receivables pursuant to a Securitization Repurchase Obligation in connection with a Qualified Securitization Transaction and distributions or payments of Securitization Fees, and (ii) purchases of Receivables Assets pursuant to a Receivables Repurchase Obligation in connection with a Qualified Receivables Facility and distributions or payments of Receivables Fees; (10) the payment, purchase, redemption, defeasance or other acquisition or retirement for value of Indebtedness that is contractually subordinated in right of payment to the Notes or Disqualified Stock of Parent, the Company and their Restricted Subsidiaries pursuant to provisions similar to those set forth in Section 4.10 and Section 4.14 hereof; provided that, prior to such payment, purchase, redemption, defeasance or other acquisition or retirement for value, the Company (or a third party to the extent permitted by this Indenture) has made a Change of Control Offer or Asset Sale Offer, as the case may be, with respect to the Notes as a result of such Change of Control or Asset Sale, as the case may be, and has repurchased all Notes validly tendered and not withdrawn in connection with such Change of Control Offer or Asset Sale Offer, as the case may be; (11) other Restricted Payments in an aggregate amount taken together with all other Restricted Payments made pursuant to this Section 4.07(b)(11) not to exceed the greater of (x) $250.0 million and (y) 2.50% of Total Assets; (12) payments and distributions to dissenting stockholders pursuant to applicable law, pursuant to or in connection with a sale, consolidation, merger or transfer of all or substantially all of the assets of Parent, the Company and their Restricted Subsidiaries taken as a whole that complies with the terms of this Indenture, including Section 5.01 hereof; (13) any Restricted Payment so long as immediately after giving effect to the making of such Restricted Payment, Parent’s Consolidated Total Debt Ratio would be no greater than 3.50 to 1.00; provided, however, that at the time of, and after giving effect to, any Restricted Payment permitted under this Section 4.07(b)(13), no Default or Event of Default shall have occurred and be continuing or would occur as a consequence thereof; (14) Parent may pay dividends on, or repurchase or redeem, its Equity Interests in an aggregate amount not to exceed the greater of (x) $100.0 million and (y) 1.00% of Total Assets in any calendar year; and (15) Parent, the Company or any Restricted Subsidiary may (i) pay any premium or other amount in respect of, and otherwise perform its obligations under, any Permitted Bond Hedge Transaction and (ii) make any Restricted Payments and/or payments or deliveries required by the terms of, and otherwise perform its obligations under, any Permitted Bond Hedge Transaction (including making payments and/or deliveries due upon exercise and settlement or termination thereof). (c) For the avoidance of doubt, this Section 4.07 shall not restrict the making of any “AHYDO catch-up payment” with respect to, and required by the terms of, any Indebtedness of Parent, the Company or any of their Restricted Subsidiaries permitted to be incurred under the terms of this Indenture. Section 4.08 Dividend and Other Payment Restrictions Affecting Restricted Subsidiaries. (a) The Company and Parent will not, and will not permit any of their Restricted Subsidiaries to, directly or indirectly, create or permit to exist or become effective any consensual encumbrance or restriction on the ability of any Restricted Subsidiary to:


 
65 Adient – CONFIDENTIAL (1) pay dividends or make any other distributions on its Capital Stock to Parent, the Company or any of their Restricted Subsidiaries, or with respect to any other interest or participation in, or measured by, its profits, or pay any Indebtedness owed to Parent, the Company or any of their Restricted Subsidiaries; (2) make loans or advances to Parent, the Company or any of their Restricted Subsidiaries; or (3) sell, lease or transfer any of its properties or assets to Parent, the Company or any of their Restricted Subsidiaries. (b) The restrictions in Section 4.08(a) hereof will not apply to encumbrances or restrictions existing under or by reason of: (1) contractual encumbrances or restrictions of Parent, the Company or any of their Restricted Subsidiaries in effect on the Issue Date, including pursuant to the Senior Credit Agreements, the 2026 Unsecured Notes Indenture, the 2028 Secured Notes Indenture, the 2031 Unsecured Notes Indenture and other documents relating to the Senior Credit Agreements, the 2026 Unsecured Notes Indenture, the 2028 Secured Notes Indenture and the 2031 Unsecured Notes Indenture; (2) this Indenture, the Notes and the Note Guarantees; (3) agreements governing other Indebtedness permitted to be incurred under the provisions of Section 4.09 hereof and any amendments, restatements, modifications, renewals, supplements, refundings, replacements or refinancings of those agreements; provided that the restrictions therein either (i) are not materially more restrictive, taken as a whole, with respect to such Restricted Subsidiary than those contained in agreements governing Indebtedness in effect on the Issue Date, or (ii) are not materially more disadvantageous to Holders of the Notes than is customary in comparable financings (as determined by the Company in good faith) and in the case of clause (ii) either (x) the Company determines (in good faith) that such encumbrance or restriction will not affect the Company’s ability to make principal or interest payments on the Notes or (y) such encumbrances or restrictions apply only during the continuance of a default in respect of payment or a financial maintenance covenant relating to such Indebtedness; (4) applicable law, rule, regulation, order or requirement; (5) any instrument of a Person acquired by Parent, the Company or any of their Restricted Subsidiaries as in effect at the time of such acquisition (except to the extent such instrument was entered into in connection with or in contemplation of such acquisition), which encumbrance or restriction is not applicable to any Person, or the properties or assets of any Person, other than the Person, or the property or assets of the Person, so acquired; provided that, in the case of Indebtedness, such Indebtedness was permitted by the terms of this Indenture to be incurred; (6) customary non-assignment provisions in contracts, leases, subleases and licenses entered into in the ordinary course of business; (7) purchase money obligations, mortgage financings and Capital Lease Obligations that impose restrictions on the property purchased or leased of the nature described in clause (3) of Section 4.08(a) hereof; (8) contracts for the sale of assets, including any agreement for the sale or other disposition of a Restricted Subsidiary of all or substantially all of the assets of such Restricted Subsidiary in compliance with the terms of this Indenture that restricts distributions by that Restricted Subsidiary pending such sale or other disposition;


 
66 Adient – CONFIDENTIAL (9) Refinancing Indebtedness; provided that the restrictions contained in the agreements governing such Refinancing Indebtedness are (i) not materially more restrictive, taken as a whole, than those contained in the agreements governing the Indebtedness being refinanced (as determined by the Company in good faith) or (ii) are not materially more disadvantageous to holders of the Notes than is customary in comparable financings (as determined by the Company in good faith); (10) Secured Indebtedness otherwise permitted to be incurred pursuant to Section 4.09 hereof and Liens permitted to be incurred pursuant to the provisions of Section 4.12 hereof that limit the right of the debtor to dispose of the assets subject to such Liens; (11) provisions limiting the disposition or distribution of assets or property in joint venture agreements, asset sale agreements, sale-leaseback agreements, stock sale agreements and other similar agreements (including agreements entered into in connection with a Restricted Investment), which limitation is applicable only to the assets that are the subject of such agreements; (12) restrictions on cash or other deposits or net worth imposed by customers under contracts entered into in the ordinary course of business; (13) customary provisions in joint venture agreements and other similar agreements entered into in the ordinary course of business; (14) any Restricted Investment not prohibited by Section 4.07 hereof and any Permitted Investment; (15) restrictions created in connection with any Qualified Securitization Transaction or Qualified Receivables Facility that, in the good faith determination of the Company, are necessary or advisable to effect such Qualified Securitization Transaction or Qualified Receivables Facility; (16) any encumbrances or restrictions of the type referred to in Sections 4.08(a)(1), (2) and (3) hereof imposed by any amendments, modifications, restatements, renewals, increases, supplements, refundings, replacements or refinancings of the contracts, instruments or obligations referred to in clauses (1) through (15) above; provided that such amendments, modifications, restatements, renewals, increases, supplements, refundings, replacements or refinancings are, in the good faith judgment of the Company, no more restrictive as a whole with respect to such dividend and other payment restrictions than those contained in the dividend or other payment restrictions prior to such amendment, modification, restatement, renewal, increase, supplement, refunding, replacement or refinancing; (17) any encumbrance or other restriction that will not otherwise materially impair the Company’s ability to make payments on the Notes when due, in the good faith judgment of the Company; and (18) in the case of the redesignation of an Unrestricted Subsidiary as a Restricted Subsidiary or the merger, amalgamation or consolidation of an Unrestricted Subsidiary into Parent, the Company or a Restricted Subsidiary or the transfer of all or substantially all of the assets of an Unrestricted Subsidiary to Parent, the Company or a Restricted Subsidiary, any agreement or other instrument of such Unrestricted Subsidiary (but, in any such case, not created in contemplation of such redesignation, merger, amalgamation, consolidation or transfer). Section 4.09 Incurrence of Indebtedness and Issuance of Disqualified Stock or Preferred Stock. (a) The Company and Parent will not, and will not permit any of their Restricted Subsidiaries to, directly or indirectly, create, incur, issue, assume, guarantee or otherwise become directly or indirectly liable,


 
67 Adient – CONFIDENTIAL contingently or otherwise, with respect to (collectively, “incur”) any Indebtedness (including Acquired Debt), and neither Parent nor the Company will issue any Disqualified Stock and Parent and the Company will not permit (a) any of their Restricted Subsidiaries to issue any shares of Disqualified Stock or (b) any of their Restricted Subsidiaries that are not Guarantors to issue any shares of preferred stock; provided, however, that Parent and the Company may incur Indebtedness (including Acquired Debt) or issue Disqualified Stock, and any Restricted Subsidiary may incur Indebtedness (including Acquired Debt) or issue Disqualified Stock or preferred stock, if the Fixed Charge Coverage Ratio for Parent’s most recently ended four full fiscal quarters for which internal financial statements are available immediately preceding the date on which such additional Indebtedness is incurred or such Disqualified Stock or such preferred stock is issued, as the case may be, would have been at 2.00 to 1.00 or greater (“Ratio Debt”); provided, further, that the then outstanding aggregate principal amount of Indebtedness (including Acquired Debt), Disqualified Stock or preferred stock that may be incurred or issued, as applicable, pursuant to this paragraph, clause (12) and clause (23) of the definition of “Permitted Debt” (plus any Refinancing Indebtedness in respect thereof) by Restricted Subsidiaries that are not Guarantors shall not exceed the greater of (x) $500.0 million and (y) 5.00% of Total Assets at the time of incurrence. (b) The provisions of Section 4.09(a) hereof will not prohibit the incurrence of any of the following (collectively, “Permitted Debt”): (1) the incurrence by Parent, the Company or their Restricted Subsidiaries of Indebtedness under any Credit Agreement, the guarantees thereof and the issuance and creation of letters of credit and bankers’ acceptances thereunder (with letters of credit and bankers’ acceptances being deemed to have a principal amount equal to the face amount thereof) up to an aggregate outstanding principal amount at any one time outstanding not to exceed the sum of (i) $1,750 million; plus (ii) up to an aggregate amount not to exceed at any one time outstanding, the greater of (x) $1,500.0 million and (y) the Borrowing Base as of the date of such incurrence (this clause (ii) to be limited to Indebtedness under any Credit Agreement that is in the form of a revolving credit facility, including without limitation asset-based and cash flow revolving facilities); plus (iii) in the case of any refinancing of any Indebtedness permitted under this clause (1) or any portion thereof, the aggregate amount of fees, underwriting discounts, accrued and unpaid interest, premiums (including, without limitation, tender premiums) and other costs and expenses (including, without limitation, original issue discount, upfront fees and similar fees) incurred in connection with such refinancing; (2) Indebtedness of Parent, the Company and their Restricted Subsidiaries existing on the Issue Date (including the 2026 Unsecured Notes, the 2028 Secured Notes and the 2031 Unsecured Notes existing on the Issue Date) (but excluding Indebtedness described in Section 4.09(b)(1) and (3); (3) the incurrence by Parent, the Company and the Guarantors of Indebtedness represented by the Notes (other than Additional Notes) and the related Note Guarantees to be issued on the Issue Date; (4) Indebtedness incurred by Parent, the Company or any of their Restricted Subsidiaries, including Indebtedness represented by Capital Lease Obligations (including arising under any Sale/Leaseback Transactions), mortgage financings or purchase money obligations (including such Indebtedness as lessee or guarantor), in each case, incurred for the purpose of financing all or any part of the acquisition, lease or cost of design, construction, installation or improvement of property, plant or equipment used or useful in a Permitted Business, whether through the direct purchase of assets or the purchase of Capital Stock of any Person owning such assets, in an aggregate principal amount, including all Indebtedness incurred to renew, refund, refinance, replace, defease or discharge any Indebtedness incurred pursuant to this clause (4), not to exceed the greater of (x) $500.0 million and (y) 5.00% of Total Assets, at the time of incurrence, at any one time outstanding, plus, in the case of any refinancing of any Indebtedness permitted under this clause (4) or any portion thereof, the aggregate amount of fees, underwriting discounts, accrued


 
68 Adient – CONFIDENTIAL and unpaid interest, premiums and other costs and expenses incurred in connection with such refinancing; (5) the incurrence by Parent, the Company or any of their Restricted Subsidiaries of Indebtedness or the issuance of Disqualified Stock or preferred stock of Parent, the Company or a Restricted Subsidiary that serves to refund, refinance, replace, redeem, repurchase, retire or defease, and is in an aggregate principal amount (or if issued with original issue discount an aggregate issue price) that is equal to or less than, Indebtedness incurred or Disqualified Stock or preferred stock issued as Ratio Debt or permitted under clauses (2), (3), (4), (5), (12) or (24) of this Section 4.09(b) so long as such Refinancing Indebtedness remains outstanding or any Indebtedness incurred or Disqualified Stock or preferred stock issued to so refund, replace, refinance, redeem, repurchase, retire or defease such Indebtedness, Disqualified Stock or preferred stock, plus any additional Indebtedness incurred or Disqualified Stock or preferred stock issued to pay unpaid accrued interest and the aggregate amount of premiums (including reasonable tender premiums), and underwriting discounts, defeasance costs and fees (including, without limitation, original issue discount, upfront fees and similar fees) and expenses in connection therewith (subject to the following proviso, “Refinancing Indebtedness”) prior to its respective maturity; provided, however, that such Refinancing Indebtedness: (A) has a Weighted Average Life to Maturity at the time such Refinancing Indebtedness is incurred that is not less than the remaining Weighted Average Life to Maturity of the Indebtedness, Disqualified Stock or preferred stock being refunded, refinanced, replaced, redeemed, repurchased or retired; (B) has a Stated Maturity which is no earlier than (i) the Stated Maturity of the Indebtedness being refunded, refinanced, replaced, redeemed, repurchased or retired or (ii) 91 days after the Stated Maturity of the Notes; (C) to the extent that such Refinancing Indebtedness refinances (i) Subordinated Indebtedness, such Refinancing Indebtedness is Subordinated Indebtedness or (ii) Disqualified Stock, such Refinancing Indebtedness is Disqualified Stock; and (D) shall not include (x) Indebtedness, Disqualified Stock or preferred stock of a Non-Guarantor Subsidiary that refinances Indebtedness, Disqualified Stock or preferred stock of the Company or a Guarantor, or (y) Indebtedness or Disqualified Stock of Parent or the Company or Indebtedness, Disqualified Stock or preferred stock of a Restricted Subsidiary that refinances Indebtedness, Disqualified Stock or preferred stock of an Unrestricted Subsidiary; (6) the incurrence by Parent, the Company or any of their Restricted Subsidiaries of intercompany Indebtedness between or among Parent, the Company and any of their Restricted Subsidiaries; provided, however, that: (A) if the Company or any Guarantor is the obligor on such Indebtedness and the payee is not the Company or a Guarantor, such Indebtedness must be unsecured and expressly subordinated to the prior payment in full in cash of all Obligations then due with respect to the Notes, in the case of the Company, or the Note Guarantee, in the case of the Company or a Guarantor; and (B) (i) any subsequent issuance or transfer of Equity Interests that results in any such Indebtedness being held by a Person other than Parent, the Company or a Restricted Subsidiary of Parent or the Company and (ii) any sale or other transfer of any such Indebtedness to a Person that is not Parent, the Company or a Restricted Subsidiary of Parent or the Company will be deemed, in each case, to constitute an issuance of such Indebtedness by Parent, the Company or such Restricted Subsidiary, as the case may be, that was not permitted by this Section 4.09(b)(6);


 
69 Adient – CONFIDENTIAL (7) the issuance by any of Parent’s or the Company’s Restricted Subsidiaries to Parent or the Company or to any other Restricted Subsidiary of Parent or the Company of shares of preferred stock; provided, however, that: (A) any subsequent issuance or transfer of Equity Interests that results in any such preferred stock being held by a Person other than Parent, the Company or a Restricted Subsidiary of Parent or the Company will be deemed to constitute an issuance of such preferred stock by such Restricted Subsidiary that was not permitted by this Section 4.09(b)(7); and (B) any sale or other transfer of any such preferred stock to a Person that is not Parent, the Company or a Restricted Subsidiary of Parent or the Company will be deemed to constitute an issuance of such preferred stock by such Restricted Subsidiary that was not permitted by this Section 4.09(b)(7); (8) the incurrence by Parent, the Company or any of their Restricted Subsidiaries of Hedging Obligations in the ordinary course of business and not for speculative purposes or Cash Management Services; (9) the Guarantee by Parent, the Company or any of their Restricted Subsidiaries of Indebtedness of Parent, the Company or a Restricted Subsidiary of the Company, in each case, to the extent that the guaranteed Indebtedness was permitted to be incurred by another provision of this Section 4.09; provided that if the Indebtedness being guaranteed is subordinated to or pari passu in right of payment with the Notes, then the Guarantee must be subordinated or pari passu in right of payment, as applicable, to the Notes or the Note Guarantee, as applicable, to the same extent as the Indebtedness guaranteed; (10) the incurrence by Parent, the Company or any of their Restricted Subsidiaries of Indebtedness in respect of letters of credit, bank guarantees, workers’ compensation claims, self- insurance obligations, supply chain financing transactions, trade contracts, bankers’ acceptances, guarantees, performance, tender, bid, stay, surety, statutory, judgment, appeal, advance payment, completion, export or import, indemnities, customs, value added or similar tax or other guarantees and warranties, revenue bonds or similar instruments in the ordinary course of business or consistent with past practice, including guarantees or obligations with respect thereto (in each case other than for an obligation for money borrowed); provided, however, that upon the drawing of any letters of credit, such obligations are reimbursed within 30 Business Days following such drawing; (11) the incurrence by Parent, the Company or any of their Restricted Subsidiaries of Indebtedness arising from the honoring by a bank or other financial institution of a check, draft or similar instrument inadvertently drawn against insufficient funds, so long as such Indebtedness is covered within 10 Business Days; (12) (x) Indebtedness (i) of Parent, the Company or any of their Restricted Subsidiaries incurred or assumed in connection with an acquisition of any assets (including Capital Stock), business or Person and (ii) of any Person that is acquired by Parent, the Company or any of their Restricted Subsidiaries or merged into or consolidated with Parent, the Company or a Restricted Subsidiary in accordance with the terms of this Indenture and (y) Indebtedness incurred or assumed in anticipation of an acquisition of any assets, business or Person; provided, however, that after giving effect to such acquisition, merger or consolidation and the incurrence of such Indebtedness either: (a) Parent would be permitted to incur at least $1.00 of additional Indebtedness as Ratio Debt; or (b) the Fixed Charge Coverage Ratio of Parent is equal to or greater than immediately prior to such acquisition, merger or consolidation;


 
70 Adient – CONFIDENTIAL provided, further, that the then outstanding aggregate principal amount of Indebtedness (including Acquired Debt), Disqualified Stock or preferred stock that may be incurred or issued, as applicable, pursuant to this clause (12), clause (23) and Section 4.09(a) (plus any Refinancing Indebtedness in respect thereof) by Restricted Subsidiaries that are not Guarantors shall not exceed the greater of (x) $500.0 million and (y) 5.00% of Total Assets at the time of incurrence; (13) the incurrence by Parent, the Company or their Restricted Subsidiaries of Indebtedness arising from agreements providing for guarantees, indemnification, adjustments of purchase price or, in each case, similar obligations, incurred in connection with the disposition of any business, assets, Capital Stock, Person or Restricted Subsidiary of Parent (other than Guarantees of Indebtedness incurred by any Person acquiring all or any portion of such business, assets or Restricted Subsidiary for the purpose of financing such acquisition), so long as the principal amount of such Indebtedness incurred in connection with a disposition does not exceed the gross proceeds (including non-cash proceeds) actually received by Parent, the Company or any Restricted Subsidiary in connection with such disposition; (14) the incurrence by Parent, the Company or any of their Restricted Subsidiaries of Indebtedness arising in connection with endorsement of instruments for collection or deposit (including customary Cash Management Services) in the ordinary course of business; (15) the incurrence by Parent, the Company or any of their Restricted Subsidiaries of Indebtedness consisting of obligations to pay insurance premiums in an amount not to exceed the annual premiums in respect of such insurance premiums at any one time outstanding; (16) Indebtedness of Parent, the Company or any of its Restricted Subsidiaries, the proceeds of which are applied to defease or discharge the Notes pursuant to Article 8 or 11 hereof; (17) take-or-pay obligations contained in supply arrangements entered into by Parent, the Company or any of their Restricted Subsidiaries in the ordinary course of business; (18) Indebtedness related to unfunded pension fund and other employee benefit plan obligations and liabilities to the extent they are permitted to remain unfunded under applicable law; (19) the incurrence by Parent, the Company or any of their Restricted Subsidiaries of additional Indebtedness, the issuance by Parent, the Company or any of their Restricted Subsidiaries of Disqualified Stock, or the issuance by the Company or any Restricted Subsidiary of Parent of preferred stock in an aggregate principal amount (or accreted value, as applicable) or liquidation value at any time outstanding, including all Indebtedness incurred to renew, refund, refinance, replace, defease or discharge any Indebtedness or liquidation value incurred pursuant to this Section 4.09(b)(19), not to exceed the greater of (x) $750.0 million and (y) 8.00% of Total Assets at the time of incurrence, at any one time outstanding, plus in the case of any refinancing of any Indebtedness permitted under this clause or any portion thereof, the aggregate amount of fees, underwriting discounts, accrued and unpaid interest, premiums and other costs and expenses incurred in connection with such refinancing; (20) Indebtedness of Parent, the Company or any of their Restricted Subsidiaries supported by a letter of credit issued pursuant to any Credit Agreement in a principal amount not in excess of the stated amount of such letter of credit; (21) Indebtedness consisting of promissory notes issued by Parent, the Company or any Restricted Subsidiary to current or former officers, directors and employees, their respective permitted transferees, assigns, estates, spouses or former spouses to finance the purchase or redemption of Equity Interests of the Company or Parent permitted by Section 4.07 hereof;


 
71 Adient – CONFIDENTIAL (22) Guarantees of Indebtedness of any joint venture of the Company and the Guarantors or any Unrestricted Subsidiary; provided that the aggregate principal amount of Indebtedness Guaranteed thereby at any one time outstanding pursuant to this Section 4.09(b)(22) shall not exceed the greater of (x) $750.0 million and (y) 8.00% of Total Assets at the time of incurrence; (23) the incurrence of Indebtedness or issuance of Disqualified Stock or preferred stock by any Restricted Subsidiary that is not a Guarantor in an aggregate amount pursuant to this Section 4.09(b)(23), Section 4.09(b)(12) and Section 4.09(a) (plus any Refinancing Indebtedness in respect thereof) not to exceed the greater of (x) $500.0 million and (y) 5.00% of Total Assets at the time of incurrence; (24) Indebtedness constituting Secured Indebtedness if, after giving pro forma effect thereto, the Consolidated Secured Debt Ratio would not exceed 2.50 to 1.00; and (25) Indebtedness in connection with Qualified Securitization Transactions and Qualified Receivables Facilities in an aggregate principal amount outstanding that, immediately after giving effect to the incurrence of such Indebtedness and the use of proceeds thereof, together with the aggregate principal amount of any other Indebtedness outstanding pursuant to this clause (25), would not exceed the greater of (x) $500.0 million and (y) 5.0% of Total Assets when incurred, created or assumed and (y) any Permitted Refinancing Indebtedness in respect thereof. (c) The accrual of interest or dividends on Disqualified Stock or on preferred stock issued by any Restricted Subsidiary of Parent that is not a Guarantor, the accretion or amortization of original issue discount, the payment of interest on any Indebtedness in the form of additional Indebtedness with the same terms, the reclassification of preferred stock as Indebtedness due to a change in accounting principles, and the payment of dividends on Disqualified Stock or on preferred stock issued by any Restricted Subsidiary of Parent that is not a Guarantor in the form of additional shares of Disqualified Stock or preferred stock will not be deemed to be an incurrence of Indebtedness or an issuance of Disqualified Stock or preferred stock for purposes of this Section 4.09 or Section 4.12 hereof. For purposes of determining compliance with any U.S. dollar-denominated restriction on the incurrence of Indebtedness, the U.S. dollar-equivalent principal amount of Indebtedness denominated in a foreign currency shall be calculated based on the relevant currency exchange rate in effect on the date such Indebtedness was incurred, in the case of term debt, or first committed, in the case of revolving credit debt; provided, that if such Indebtedness is incurred to refinance other Indebtedness denominated in a foreign currency, and such refinancing would cause the applicable U.S. dollar-denominated restriction to be exceeded if calculated at the relevant currency exchange rate in effect on the date of such refinancing, such U.S. dollar-denominated restriction shall be deemed not to have been exceeded so long as the principal amount of such refinancing Indebtedness does not exceed (a) the principal amount of such Indebtedness being refinanced plus (b) the aggregate amount of fees, underwriting discounts, accrued and unpaid interest, premiums (including, without limitation, tender premiums) and other costs and expenses (including, without limitation, original issue discount, upfront fees or similar fees) incurred in connection with such refinancing. Notwithstanding any other provision of this Section 4.09, the maximum amount of Indebtedness that Parent, the Company or any Restricted Subsidiary may incur pursuant to this Section 4.09 shall not be deemed to be exceeded solely as a result of fluctuations in exchange rates or currency values. (d) The amount of any Indebtedness outstanding as of any date will be: (1) the accreted value of the Indebtedness, in the case of any Indebtedness issued with original issue discount; (2) the principal amount of the Indebtedness, in the case of any other Indebtedness; and (3) in respect of Indebtedness of another Person secured by a Lien on the assets of the specified Person, the lesser of: (A) the Fair Market Value of such assets at the date of determination; and


 
72 Adient – CONFIDENTIAL (B) the amount of the Indebtedness of the other Person. Section 4.10 Asset Sales. (a) Parent and the Company will not, and will not permit any of their Restricted Subsidiaries to, consummate an Asset Sale unless: (1) Parent, the Company or the Restricted Subsidiary, as the case may be, receives consideration (including, by way of relief from, or by any other Person assuming responsibility for, any liabilities, contingent or otherwise) at the time of the Asset Sale at least equal to the Fair Market Value (measured as of the date of the definitive agreement with respect to such Asset Sale) of the assets or Equity Interests issued or sold or otherwise disposed of; and (2) except in the case of a Permitted Asset Swap, at least 75% of the consideration received in the Asset Sale (including, by way of relief from, or by any other Person assuming responsibility for, any liabilities, contingent or otherwise) by Parent, the Company or such Restricted Subsidiary is in the form of cash or Cash Equivalents. For purposes of this Section 4.10(a)(2), each of the following will be deemed to be cash: (A) any liabilities (other than liabilities that are by their terms subordinated to the Notes or any Note Guarantee), contingent or otherwise, of Parent, the Company or such Restricted Subsidiary (as shown on Parent’s, the Company’s or such Restricted Subsidiary’s most recent consolidated balance sheet or in the notes thereto or, if incurred or accrued subsequent to the date of such balance sheet, such liabilities that would have been reflected on Parent’s, the Company’s or such Restricted Subsidiary’s balance sheet or in the notes thereto if such incurrence or accrual had taken place on or prior to the date of such balance sheet in the good faith determination of the Company) that are extinguished in connection with the transactions relating to such Asset Sale or are assumed by the transferee of any such assets pursuant to a customary novation or indemnity agreement that releases Parent, the Company or such Restricted Subsidiary from or indemnifies against further liability; (B) any securities, notes or other obligations received by Parent, the Company or such Restricted Subsidiary from such transferee that are, within 180 days, converted by Parent, the Company or such Restricted Subsidiary into cash or Cash Equivalents, to the extent of the cash or Cash Equivalents received in that conversion; and (C) any Designated Non-cash Consideration received by Parent, the Company or such Restricted Subsidiary in such Asset Sale having an aggregate Fair Market Value, taken together with all other Designated Non-cash Consideration received pursuant to this Section 4.10(a)(2)(C) that is at that time outstanding, not to exceed the greater of (x) $300.0 million and (y) 3.00% of Total Assets at the time of the receipt of such Designated Non-cash Consideration (with the Fair Market Value of each item of Designated Non-cash Consideration being measured at the time received and without giving effect to subsequent changes in value). (b) Within 365 days after the receipt of any Net Proceeds from an Asset Sale, Parent, the Company, or the applicable Restricted Subsidiary, as the case may be, may apply an amount equal to such Net Proceeds: (1) to repay either, (i) Obligations under the Term Loan Credit Agreement, (ii) Obligations under the ABL Credit Agreement, (iii) Obligations under the 2028 Secured Notes, or (iv) Secured Obligations (other than the 2028 Secured Notes, the ABL Credit Agreement and the Term Loan Credit Agreement), and, if the Indebtedness being repaid is revolving credit Indebtedness (other than Indebtedness with respect to an asset-based credit facility), to correspondingly permanently reduce commitments with respect thereto;


 
73 Adient – CONFIDENTIAL (2) to repay either (i) Indebtedness of any Non-Guarantor Subsidiaries to the extent such assets were those of Non-Guarantor Subsidiaries or (ii) Obligations under any other unsecured Senior Indebtedness (and, if the Indebtedness being repaid is revolving credit Indebtedness, to correspondingly permanently reduce commitments with respect thereto); provided that in the case of any repayment pursuant to clause (ii), the Company shall make an offer (in accordance with the procedures set forth below for an Asset Sale Offer) to all holders to purchase a pro rata (together with any Senior Indebtedness repaid (and in the case of revolving obligations, commitments with respect thereto correspondingly reduced) pursuant to clause (ii) principal amount of the Notes at 100% of the principal amount thereof, plus accrued and unpaid interest, if any, to but not including the date of repayment; (3) to acquire all or substantially all of the assets of, or any Capital Stock of, a Permitted Business; (4) to maintain, develop, construct, improve, upgrade or repair assets useful in the business of Parent, the Company or the Restricted Subsidiaries; (5) to acquire other assets that are not classified as current assets under GAAP and that are used or useful in a Permitted Business; (6) to reimburse the cost of any of the foregoing incurred on or after the date on which the Asset Sale giving rise to such proceeds was contractually committed; or (7) any combination of the foregoing. Parent and the Company will be deemed to have complied with the provisions set forth in clause (3), (4), or (5) of this Section 4.10(b) if within 365 days after the Asset Sale that generated the Net Proceeds, Parent, the Company or the applicable Restricted Subsidiary has entered into and not abandoned or rejected a binding agreement to acquire all or substantially all of such assets of, or any Capital Stock of, another Permitted Business or to maintain, develop, construct, improve, upgrade or repair assets useful in the business of Parent, the Company or the Restricted Subsidiaries and that acquisition or expenditure is thereafter completed within 180 days after the end of such 365-day period. Pending the final application of any such amount of Net Proceeds, Parent or the Company (or the applicable Restricted Subsidiary) may temporarily reduce Indebtedness under a revolving credit facility, if any, or otherwise invest or utilize such Net Proceeds in any manner not prohibited by this Indenture. (c) Any Net Proceeds from Asset Sales that are not applied or invested as provided in Section 4.10(b) hereof will constitute “Excess Proceeds”; provided that any amount of proceeds offered to Holders in accordance with Section 4.10(b)(2) or pursuant to an Asset Sale Offer made at any time after the Asset Sale shall be deemed to have been applied as required and shall not be deemed to be Excess Proceeds without regard to the extent to which such offer is accepted by the Holders. When the aggregate amount of Excess Proceeds exceeds $50.0 million with respect to any one event and $150.0 million in the aggregate, the Company will make an Asset Sale Offer to all Holders of the Notes and, if required by the terms of other Obligations in respect of Senior Indebtedness that contain provisions similar to those set forth in Section 4.10 on a pro rata basis the maximum principal amount (or accreted value, if applicable) of Notes and such Senior Indebtedness (plus all accrued interest on the Indebtedness and the amount of all fees and expenses, including premiums, incurred in connection therewith) that may be purchased, prepaid or redeemed with an amount equal to the Excess Proceeds. The offer price in any Asset Sale Offer will be equal to 100% of the principal amount, plus accrued and unpaid interest, if any, to but not including the date of purchase, prepayment or redemption, subject to the right of Holders of Notes on a relevant record date to receive interest due on an Interest Payment Date occurring on or prior to the purchase date, and will be payable in cash. The Company may satisfy the foregoing obligations with respect to such Net Proceeds from an Asset Sale by making an Asset Sale Offer with respect to such Net Proceeds at any time prior to the expiration of the application period or by electing to make an Asset Sale Offer with respect to such Net Proceeds. If an amount equal to the Excess Proceeds exceeds the amount paid in connection with the consummation of an Asset Sale Offer (any such


 
74 Adient – CONFIDENTIAL excess amount, “Retained Declined Proceeds”), the Company may use those Retained Declined Proceeds for any purpose not otherwise prohibited by this Indenture. If the aggregate principal amount of Notes or the Senior Indebtedness, as applicable, tendered (or required to be prepaid or redeemed in connection with) in such Asset Sale Offer exceeds the amount of Excess Proceeds, the Company will select the Notes and such Senior Indebtedness, as applicable, to be purchased on a pro rata basis, based on the principal amounts tendered or required to be prepaid or redeemed and thereafter the Trustee will select the Notes to be purchased on a pro rata pass-through distribution of principal basis (subject to DTC’s applicable procedures with respect to the Global Notes) based on the principal amount tendered (with, in each case, such adjustments as may be deemed appropriate by the Company or the Trustee, as applicable, so that only Notes in minimum denominations of $2,000, or an integral multiple of $1,000 in excess thereof, will be purchased; provided that any unpurchased portion of a Note must be in a minimum denomination of $2,000 and in integral multiples of $1,000 in excess thereof). Upon completion of each Asset Sale Offer, the amount of Excess Proceeds will be reset at zero. (d) Notwithstanding any other provisions of this Section 4.10, Excess Proceeds shall be (x) calculated net of any additional taxes paid, or estimated by the Company in good faith to be payable, as a result of the repatriation of such Excess Proceeds and (y) limited to the extent that the Company determines in good faith that the repatriation of such Excess Proceeds would result in material adverse tax consequences or would be prohibited or restricted by applicable requirement of law; provided that, (i) the Company shall use commercially reasonable efforts to eliminate such tax effects in order to apply such Excess Proceeds as set forth in this covenant and (ii) once the repatriation of any such Excess Proceeds is permitted under the applicable requirement of law and no longer results in material adverse tax consequences, such funds shall be promptly applied in accordance with this Section 4.10. The non-application of any prepayment amounts as a consequence of the foregoing provisions will not, for the avoidance of doubt, constitute a Default or an Event of Default. (e) The Company will comply with the requirements of Rule 14e-1 under the Exchange Act and any other securities laws and regulations thereunder to the extent those laws and regulations are applicable in connection with each repurchase of Notes pursuant to an Asset Sale Offer. To the extent that the provisions of any securities laws or regulations conflict with the provisions of Section 3.09 hereof or this Section 4.10, the Company will comply with the applicable securities laws and regulations and will not be deemed to have breached its obligations under Section 3.09 hereof or this Section 4.10 by virtue of such compliance. Section 4.11 Transactions with Affiliates. (a) Parent and the Company will not, and will not permit any of their Restricted Subsidiaries to, make any payment to or sell, lease, transfer or otherwise dispose of any of its properties or assets to, or purchase any property or assets from, or enter into or make or amend any transaction, contract, agreement, understanding, loan, advance or guarantee with, or for the benefit of, any Affiliate of the Company (each, an “Affiliate Transaction”) involving aggregate payments or consideration in excess of the greater of (x) $35.0 million and (y) 0.40% of Total Assets, unless: (1) the Affiliate Transaction is on terms that are not materially less favorable, taken as a whole, to Parent, the Company or the relevant Restricted Subsidiary than those that would have been obtained in a comparable transaction at the time of such transaction or the execution of the agreement providing for such transaction by Parent, the Company or such Restricted Subsidiary with an unrelated Person; and (2) with respect to any Affiliate Transaction or series of related Affiliate Transactions involving aggregate consideration in excess of the greater of (x) $75.0 million and (y) 0.80% of Total Assets, the terms of such transaction have been approved by a majority of the members of the Board of Directors of Parent or such Restricted Subsidiary. Any Affiliate Transaction shall be deemed to have satisfied the requirements set forth in clause (2) of this Section 4.11(a) if such Affiliate Transaction is approved by a majority of the Disinterested Directors of Parent or such Restricted Subsidiary, if any.


 
75 Adient – CONFIDENTIAL (b) The following items will not be deemed to be Affiliate Transactions and, therefore, will not be subject to the provisions of Section 4.11(a) hereof: (1) any reasonable or customary employment agreement, consulting agreement, severance agreement, employee benefit plan, compensation arrangement, officer or director indemnification agreement or any similar arrangement entered into by, or policy of, Parent, the Company or any of their Restricted Subsidiaries and payments pursuant thereto; (2) (i) transactions between or among Parent, the Company and/or their Restricted Subsidiaries (or entity that becomes a Restricted Subsidiary as a result of such transaction) or between or among Restricted Subsidiaries, (ii) any customary transaction with a Securitization Entity effected as part of a Qualified Securitization Transaction, including in respect of Standard Securitization Undertakings, any disposition of Securitization Assets or related assets in connection with any Qualified Securitization Transaction and any repurchase of Securitization Assets pursuant to a Securitization Repurchase Obligation and (iii) for the avoidance of doubt, any customary transaction between or among Parent, the Company and/or its Restricted Subsidiaries effected as part of a Qualified Receivables Facility, including in respect of Standard Receivables Undertakings, and any repurchase of Receivables Assets pursuant to a Receivables Repurchase Obligation; (3) transactions with a Person (other than an Unrestricted Subsidiary of Parent or the Company) that is an Affiliate of Parent or the Company solely because Parent or the Company owns, directly or through a Restricted Subsidiary, an Equity Interest in, or controls, such Person; (4) payment of compensation, fees and reimbursements of expenses to (pursuant to indemnity arrangements (including under customary insurance policies) or otherwise), and employee benefit and pension expenses provided on behalf of, officers, directors, employees or consultants of Parent, the Company or any of their Restricted Subsidiaries; (5) any issuance of Equity Interests (other than Disqualified Stock) of the Company or any direct or indirect parent of the Company to Affiliates of the Company; (6) (i) Restricted Payments that do not violate Section 4.07 hereof and (ii) Permitted Investments; (7) sales of Equity Interests of the Company or any direct or indirect parent of the Company to Affiliates of Parent, the Company or their Restricted Subsidiaries not otherwise prohibited by this Indenture and the granting of registration and other customary rights in connection therewith; (8) transactions with an Affiliate where the only consideration paid is Qualifying Equity Interests of the Company or any direct or indirect parent of the Company; (9) transactions in which Parent, the Company or any of their Restricted Subsidiaries, as the case may be, deliver to the Trustee a letter from an Independent Financial Advisor stating that such transaction (i) is fair to Parent, the Company or such Restricted Subsidiary from a financial point of view or (ii) meets the requirements of Section 4.11(a)(1) hereof; (10) payments or loans (or cancellation of loans) to employees or consultants in the ordinary course of business; (11) any agreement as in effect as of the Issue Date or any amendment thereto (so long as any such agreement together with all amendments thereto, taken as a whole, is not more disadvantageous to the Holders of the Notes in any material respect than the original agreement as in effect on the Issue Date) or any transaction contemplated thereby;


 
76 Adient – CONFIDENTIAL (12) payments to, or the receipt of payments from, and entry into and the consummation of transactions with, joint ventures entered into in the ordinary course of business; (13) any contributions to the common equity capital of Parent or the Company or their Restricted Subsidiaries; (14) pledges of Equity Interests of Unrestricted Subsidiaries; (15) the issuances of securities or other payments, awards or grants in cash, securities or otherwise pursuant to, or the funding of, employment arrangements, stock option and stock ownership plans or similar employee benefit plans approved by the Board of Directors of Parent, the Company or of a Restricted Subsidiary of the Company or Parent, as appropriate, in good faith; (16) transactions with customers, clients, lessors, landlords, suppliers, contractors, or purchasers or sellers of goods or services that are Affiliates, in each case, in the ordinary course of business or consistent with past practice and otherwise in compliance with the terms of this Indenture which are fair to Parent, the Company and their Restricted Subsidiaries, in the reasonable determination of the Board of Directors of the Company, or are on no less favorable terms than those that could reasonably have been obtained at such time from an unaffiliated party; (17) transactions between Parent, the Company and any of their Restricted Subsidiaries and any Person a director of which is also a director of the Company or Parent; provided, however, that such director abstains from voting as a director of the Company or Parent, as the case may be, on any matter involving such other Person; and (18) any purchases by the Company’s Affiliates of Indebtedness or Disqualified Stock of the Company or any of its Restricted Subsidiaries the majority of which Indebtedness or Disqualified Stock is purchased by Persons who are not the Company’s Affiliates; provided that such purchases by the Company’s Affiliates are on the same terms as such purchases by such Persons who are not the Company’s Affiliates. Section 4.12 Liens. (a) The Company and Parent will not, and will not permit any of their Restricted Subsidiaries that are Guarantors, to, directly or indirectly, create, incur, assume or suffer to exist any Lien of any kind (other than Permitted Liens) securing Indebtedness of Parent, the Company or their Restricted Subsidiaries that are Guarantors, if any, on any property or assets now owned or hereafter acquired or any interest therein or any income or profits therefrom, unless the Notes (or a Guarantee in the case of Liens of a Guarantor) are equally and ratably secured, with (or on a senior basis to, in the case such Lien secures any Subordinated Indebtedness) the obligations secured by such Lien until such time as such obligations are no longer secured by a Lien or (ii) such Lien is a Permitted Lien. (b) With respect to any Lien securing Indebtedness that was permitted to secure such Indebtedness at the time of the incurrence of such Indebtedness, such Lien shall also be permitted to secure any Increased Amount of such Indebtedness. The “Increased Amount” of any Indebtedness shall mean any increase in the amount of such Indebtedness in connection with any accrual of interest, the accretion of accreted value, the amortization of original issue discount, the payment of interest in the form of additional Indebtedness with the same terms, accretion of original issue discount or liquidation preference, any fees, underwriting discounts, accrued and unpaid interest, premiums and other costs and expenses incurred in connection therewith and increases in the amount of Indebtedness outstanding solely as a result of fluctuations in the exchange rate of currencies or increases in the value of property securing Indebtedness.


 
77 Adient – CONFIDENTIAL Section 4.13 Corporate Existence. Subject to Article 5 hereof, Parent and the Company shall do or cause to be done all things necessary to preserve and keep in full force and effect: (1) its corporate existence, and the corporate, partnership or other existence of each of Parent’s Restricted Subsidiaries, in accordance with the respective organizational documents (as the same may be amended from time to time) of Parent, the Company or any such Restricted Subsidiary; and (2) the rights (charter and statutory), licenses and franchises of the Company, Parent and its Subsidiaries; provided, however, that Parent and the Company shall not be required to preserve any such right, license or franchise, or the corporate, partnership or other existence of any of Parent’s or the Company’s Restricted Subsidiaries, if Parent or the Company, as the case may be, shall determine that the preservation thereof is no longer desirable in the conduct of the business of Parent, the Company and their Restricted Subsidiaries, taken as a whole. Section 4.14 Offer to Repurchase Upon Change of Control. (a) If a Change of Control occurs, each Holder of Notes will have the right to require the Company to repurchase all or any portion (equal to a minimum denomination of $2,000 or an integral multiple of $1,000 in excess thereof) of that Holder’s Notes pursuant to the offer below (the “Change of Control Offer”) on the terms set forth in this Indenture; provided that any unpurchased portion of a Note must be in a minimum denomination of $2,000). In the Change of Control Offer, the Company will offer a Change of Control Payment in cash equal to 101% of the aggregate principal amount of Notes repurchased, plus accrued and unpaid interest, if any, on the Notes repurchased to the date of purchase (such payment the “Change of Control Payment”, and such date of purchase, the “Change of Control Payment Date”), subject to the rights of Holders of Notes on a relevant record date to receive interest due on an Interest Payment Date occurring on or prior to the Change of Control Payment Date. Within 30 days following any Change of Control, except to the extent the Company has delivered notice to the Trustee of its intention to redeem Notes pursuant to Section 3.07 hereof, the Company will mail (or with respect to Global Notes to the extent permitted or required by DTC’s applicable procedures or regulations, send electronically) a notice to each Holder, with a copy to the Trustee, describing the transaction or transactions that constitute the Change of Control and stating: (1) that the Change of Control Offer is being made pursuant to this Section 4.14 and that all Notes tendered will be accepted for payment; (2) the purchase price and the Change of Control Payment Date, which shall be no earlier than 15 days and no later than 60 days from the date such notice is mailed or sent, pursuant to the procedures required by this Indenture; (3) that any Note not tendered will continue to accrue interest; (4) that, unless the Company defaults in the payment of the Change of Control Payment, all Notes accepted for payment pursuant to the Change of Control Offer will cease to accrue interest after the Change of Control Payment Date; (5) that Holders electing to have any Notes purchased pursuant to a Change of Control Offer will be required to surrender the Notes, with the form entitled “Option of Holder to Elect Purchase” attached to the Notes completed, or transfer by book-entry transfer, to the Paying Agent at the address specified in the notice prior to the close of business on the third Business Day preceding the Change of Control Payment Date; (6) that Holders will be entitled to withdraw their election if the Paying Agent receives, not later than the close of business on the second Business Day preceding the Change of


 
78 Adient – CONFIDENTIAL Control Payment Date, a telegram, telex, facsimile transmission or letter setting forth the name of the Holder, the principal amount of Notes delivered for purchase, and a statement that such Holder is withdrawing his election to have the Notes purchased; and (7) that Holders whose Notes are being purchased only in part will be issued new Notes equal in principal amount to the unpurchased portion of the Notes surrendered, which unpurchased portion must be equal to $2,000 in principal amount or an integral multiple of $1,000 in excess thereof. The Company will comply with the requirements of Rule 14e-1 under the Exchange Act and any other securities laws and regulations thereunder to the extent those laws and regulations are applicable in connection with the repurchase of the Notes as a result of a Change of Control. To the extent that the provisions of any securities laws or regulations conflict with the provisions of this Section 4.14, the Company will comply with the applicable securities laws and regulations and will not be deemed to have breached its obligations under this Section 4.14 by virtue of such compliance. (b) On the Change of Control Payment Date, the Company will, to the extent lawful: (1) accept for payment all Notes or portions of Notes properly tendered pursuant to the Change of Control Offer; (2) deposit with the Paying Agent an amount equal to the Change of Control Payment in respect of all Notes or portions of Notes properly tendered; and (3) deliver or cause to be delivered to the Trustee the Notes properly accepted together with an Officer’s Certificate stating the aggregate principal amount of Notes or portions of Notes being purchased by the Company. The Paying Agent will promptly deliver to each Holder of Notes properly tendered the Change of Control Payment for such Notes, and the Trustee will promptly authenticate and mail (or cause to be transferred by book entry) to each Holder a new Note equal in principal amount to any unpurchased portion of the Notes surrendered, if any. The Company will publicly announce the results of the Change of Control Offer on or as soon as practicable after the Change of Control Payment Date. (c) Notwithstanding anything to the contrary in this Section 4.14, the Company will not be required to make a Change of Control Offer upon a Change of Control if (1) a third party makes the Change of Control Offer in the manner, at the times and otherwise in compliance with the requirements set forth in this Section 4.14 and purchases all Notes properly tendered and not withdrawn under the Change of Control Offer, or (2) notice of redemption has been given to the Trustee pursuant to Section 3.07 hereof, unless and until there is a default in payment of the applicable redemption price. (d) Notwithstanding anything to the contrary contained herein, a Change of Control Offer may be made in advance of a Change of Control, or conditioned upon the consummation of such Change of Control, if a definitive agreement is in place for the Change of Control at the time the Change of Control Offer is made. Section 4.15 [Reserved]. Section 4.16 Future Guarantees. (a) If, after the Issue Date, (i) any Wholly-Owned Restricted Subsidiary (including any newly formed, newly acquired or newly redesignated Restricted Subsidiary, but excluding any Excluded Subsidiary) that is not then the Company or a Guarantor guarantees or incurs any other Indebtedness under either of the Senior Credit Agreements or guarantees or incurs any capital markets Indebtedness of Parent, the Company or any of its Restricted Subsidiaries with an aggregate principal amount in excess of $400.0 million (“Capital


 
79 Adient – CONFIDENTIAL Markets Debt”) or (ii) the Company otherwise elects to have any Restricted Subsidiary become a Guarantor, then, in each such case, the Company shall cause such Restricted Subsidiary to execute and deliver to the Trustee a supplemental indenture to this Indenture (in substantially the form of Exhibit F hereto) pursuant to which such Restricted Subsidiary shall become a Guarantor under this Indenture and shall provide a Note Guarantee by such Restricted Subsidiary on the same terms and conditions as those set forth in this Indenture and applicable to the other Guarantors; provided that, in the case of clause (a), such supplemental indenture, together with any other agreements shall be executed and delivered to the Trustee within 20 Business Days following the date that such Indebtedness under the applicable Senior Credit Agreement or such Capital Markets Debt has been guaranteed or incurred by such Restricted Subsidiary. (b) Each Note Guarantee will be limited to an amount not to exceed the maximum amount that can be guaranteed by that Restricted Subsidiary without rendering the Note Guarantee, as it relates to such Restricted Subsidiary, voidable under applicable law relating to fraudulent conveyance or fraudulent transfer or similar laws affecting the rights of creditors generally. (c) Each Note Guarantee shall be released upon the terms and in accordance with the provisions of Article 10. Section 4.17 Designation of Restricted and Unrestricted Subsidiaries. (a) The Board of Directors of the Company may designate any Restricted Subsidiary of Parent (other than the Company) or any newly acquired subsidiary to be an Unrestricted Subsidiary if that designation would not cause a Default. If such Restricted Subsidiary is designated as an Unrestricted Subsidiary, the aggregate Fair Market Value of all outstanding Investments in such Restricted Subsidiary by Parent and its Restricted Subsidiaries will be deemed to be an Investment made as of the time of the designation and will reduce the amount available for Restricted Payments under Section 4.07 hereof or under one or more clauses of the definition of “Permitted Investments,” as determined by the Company. That designation will only be permitted if the Investment would be permitted at that time and if such Restricted Subsidiary otherwise meets the definition of an Unrestricted Subsidiary. (b) Any designation of a Subsidiary of Parent as an Unrestricted Subsidiary will be evidenced to the Trustee by filing with the Trustee a certified copy of a resolution of the Board of Directors of the Company giving effect to such designation and an Officer’s Certificate certifying that such designation complied with the preceding conditions and was permitted by Section 4.07 hereof. If, at any time, any Unrestricted Subsidiary would fail to meet the preceding requirements as an Unrestricted Subsidiary, it will thereafter cease to be an Unrestricted Subsidiary for purposes of this Indenture and any Indebtedness of such Subsidiary will be deemed to be incurred by a Restricted Subsidiary of Parent as of such date and, if such Indebtedness is not permitted to be incurred as of such date pursuant to Section 4.09 hereof, the Company will be in default of Section 4.09 hereof. The Board of Directors of the Company may at any time designate any Unrestricted Subsidiary to be a Restricted Subsidiary of Parent; provided that such designation will be deemed to be an incurrence of Indebtedness by a Restricted Subsidiary of Parent of any outstanding Indebtedness of such Unrestricted Subsidiary, and such designation will only be permitted if (1) such Indebtedness is permitted by Section 4.09 hereof, calculated on a pro forma basis as if such designation had occurred at the beginning of the applicable reference period; and (2) no Default or Event of Default would be in existence following such designation. Any designation of an Unrestricted Subsidiary as a Restricted Subsidiary shall be evidenced to the Trustee by delivery to the Trustee of an Officer’s Certificate certifying that such designation complied with the preceding conditions and was permitted by Section 4.09 hereof. Section 4.18 Payment of Additional Amounts. (a) All payments in respect of the Notes or any Guarantee thereof by or on behalf of the Company or any Guarantor, shall be made without withholding or deduction for or on account of any present or future taxes, duties, levies, assessments, or other governmental charges, including any related interest, penalties or additions to tax (“Taxes”) unless such withholding or deduction is required by law. If any deduction or withholding in respect of any Taxes imposed or levied by or on behalf of (a) any jurisdiction in which the Company or any Guarantor is or was incorporated, organized, or engaged in business or resident for tax purposes, or (b) any jurisdiction from or through which payment is made by or on behalf of the Company or any Guarantor (or any of their respective agents, including the jurisdiction of any Paying Agent) (each of (a)


 
80 Adient – CONFIDENTIAL and (b), and any political subdivision thereof or therein, a “Relevant Taxing Jurisdiction”) will at any time be required to be made by any applicable withholding agent in respect of any payment made under or with respect to any Notes, or any Guarantee thereof, the Company or the relevant Guarantor, as applicable, shall pay such additional amounts (“Additional Amounts”) as shall be necessary in order that the net amounts received by the beneficial owners of the Notes, after such withholding or deduction by such applicable withholding agent shall equal the respective amounts which would otherwise have been received in respect of the Notes or Guarantee thereof, as applicable, in the absence of such withholding or deduction. (b) No Additional Amounts shall be payable: (1) in respect of any Taxes imposed or withheld by reason of the holder or beneficial owner having some current or former connection with the Relevant Taxing Jurisdiction (other than the mere holding or disposition of such Note, the receipt of principal, interest or any other amount in respect of such Note or Guarantee, or the enforcement of such Note or Guarantee); (2) in respect of any Taxes imposed or withheld by reason of the failure of the relevant holder or beneficial owner to satisfy or comply with (or cause any affiliate or owner of such holder or beneficial owner to satisfy or comply with) any certification, declaration, identification, information or other requirements required by statute, treaty, regulation or administrative practice of a Relevant Taxing Jurisdiction as a precondition to any applicable exemption from, or reduction in the rate of deduction or withholding of, such Taxes imposed by the Relevant Taxing Jurisdiction (including, without limitation, a declaration of non-residence), but, in each case, only to the extent such holder or beneficial owner is legally eligible to do so; (3) in respect of any Taxes imposed otherwise than by withholding from payments under or in respect of the Notes or Guarantee; (4) in respect of any Taxes that would not have been imposed but for the presentation by the holder of the Note, where presentation is required, for payment on a date more than 30 days after the date on which payment became due and payable or the date on which payment thereof is duly provided for, whichever occurs later, except to the extent that such holder or beneficial owner would have been entitled to Additional Amounts had such Note been presented on the last day of such 30-day period; (5) in respect of any Taxes imposed pursuant to current Sections 1471 through 1474 of the Code (or any amended or successor provisions that are substantively comparable and not materially more onerous to comply with), any current or future regulations thereunder or any official interpretations thereof, any agreement entered into pursuant to current Section 1471(b) of the Code (or any amended or successor provision described above) or any intergovernmental agreement (and any related laws, regulations or official administrative guidance) implementing the foregoing; (6) in respect of any Taxes that are estate, inheritance, gift, sales, transfer, wealth or personal property Tax or similar Tax, or excise tax imposed on the transfer of the Notes; (7) in respect of any payment to any holder that is not the sole beneficial owner of the Notes, or a portion of the Notes, or that is a fiduciary, partnership or other flow-through entity, but only to the extent that a beneficial owner with respect to the holder, a beneficiary or settlor with respect to the fiduciary, or a beneficial owner or member of the partnership or other flow-through entity would not have been entitled to the payment of Additional Amounts had the beneficiary, settlor, beneficial owner or member received directly its beneficial or distributive share of the payment; and (8) in respect of any combination of items (1), (2), (3), (4), (5), (6) and/or (7). (c) The Company and the Guarantors shall pay any present or future stamp, issue, registration, court, documentary, property or similar Taxes that arise in any Relevant Taxing Jurisdiction from the


 
81 Adient – CONFIDENTIAL execution, issuance, initial delivery, or initial registration (and in any jurisdiction from the enforcement) of the Notes, any Guarantee thereof, this Indenture or any other document or instrument referred to herein. (d) The Notes are subject in all cases to any tax, fiscal or other law or regulation or administrative or judicial interpretation applicable to the notes. Except as specifically provided in this Section 4.18, neither the Company, nor any Guarantor, will be required to make any payment for any Taxes required by any government or a political subdivision or taxing authority of or in any government or political subdivision to be withheld from any payment in respect of the Notes. (e) Wherever in this Indenture or the Notes, there is mentioned, in any context (i) the payment of principal; (ii) the redemption prices or purchase prices in connection with a redemption or purchase of Notes; (iii) interest; or (iv) any other amount payable on or with respect to the Notes, such reference shall be deemed to include payment of Additional Amounts as described under this Section 4.18 to the extent that, in such context, Additional Amounts are, were or would be payable in respect thereof. (f) The Obligations of the Company or any Guarantor under this Section 4.18 will survive any termination, defeasance or discharge of this Indenture and will apply mutatis mutandis to any successor to the Company or such Guarantor, as applicable, and any jurisdiction in which any successor Person to the Company or such Guarantor is incorporated, organized, or engaged in business or resident for tax purposes, or any jurisdiction from or through which such Person (or its Paying Agent) makes any payment under or with respect to the Notes or any Guarantee thereof and, in each case, any political subdivision thereof or therein. Section 4.19 Changes in Covenants When Notes Rated Investment Grade. (a) If on any date following the Issue Date: (1) the Notes are rated Baa3 or better by Moody’s or BBB- or better by S&P (or, if either such entity ceases to rate the Notes for reasons outside of the control of the Company, the equivalent investment grade credit rating from any other “nationally recognized statistical rating organization” registered under Section 15E of the Exchange Act selected by the Company as a replacement agency); and (2) no Default or Event of Default shall have occurred and be continuing, then, beginning on that day and continuing at all times thereafter and subject to the provisions of Section 4.19(c), Sections 4.07, 4.08, 4.09, 4.10, 4.11 and 5.01(4) hereof (collectively, the “Suspended Covenants”) will be suspended. (b) During any period that the Suspended Covenants have been suspended, the Company’s Board of Directors may not designate any of its Subsidiaries as Unrestricted Subsidiaries pursuant to Section 4.17 hereof unless the Company’s Board of Directors would have been able, under the terms of this Indenture, to designate such Subsidiaries as Unrestricted Subsidiaries if the Suspended Covenants were not suspended. Notwithstanding that the Suspended Covenants may be reinstated, the failure to comply with the Suspended Covenants during the Suspension Period (including any action taken or omitted to be taken with respect thereto) will not give rise to a Default or Event of Default under this Indenture. (c) Notwithstanding the foregoing, if the rating assigned to the Notes by both such rating agencies subsequently declines (or remains below) to below Baa3 or BBB-, respectively, the Suspended Covenants will be reinstituted as of and from the date of such rating decline (any such date, a “Reversion Date”). The period of time between the suspension of covenants as set forth above and the Reversion Date is referred to as the “Suspension Period.” All Indebtedness incurred (including Acquired Debt) and Disqualified Stock or preferred stock issued during the Suspension Period will be deemed to have been incurred or issued in reliance on the exception provided by clause (2) of Section 4.09(b). Calculations under the reinstated Section 4.07 will be made as if Section 4.07 had been in effect prior to but not during the Suspension Period. For purposes of determining compliance with Section 4.10 hereof, the Excess Proceeds from all Asset Sales not


 
82 Adient – CONFIDENTIAL applied in accordance with Section 4.10 hereof will be deemed to be reset to zero after the Reversion Date. In addition, for purposes of Section 4.11 hereof, all agreements and arrangements entered into by the Company and any Restricted Subsidiary with an Affiliate of the Company during the Suspension Period prior to such Reversion Date will be deemed to have been entered pursuant to Section 4.11(b)(11), and for purposes of Section 4.08 hereof, all contracts entered into during the Suspension Period prior to such Reversion Date that contain any of the restrictions contemplated by such covenant will be deemed to have been entered pursuant to Section 4.08(b)(1) hereof. (d) Notwithstanding anything herein to the contrary, Parent, the Company and their Restricted Subsidiaries may honor, comply with or otherwise perform any contractual commitments to take actions following a Reversion Date without causing a Default or Event of Default; provided that such contractual commitments were entered into during the Suspension Period and not in contemplation of a reversion of the Suspended Covenants. (e) The Company shall deliver promptly to the Trustee an Officer’s Certificate notifying it of the beginning of any Suspension Period or any Reversion Date. The Trustee shall have no obligation to independently determine or verify if such events have occurred or notify the Holders of any Suspension Period or Reversion Date. The Trustee may provide a copy of such Officer’s Certificate to any Holders of Notes upon request. Section 4.20 Spanish Post-Closing Covenant. The Company shall use commercially reasonable efforts to cause the formalization as a Spanish Public Document of the Supplemental Indenture executed by the Spanish Guarantors (including as schedules to the Spanish Public Document, a copy of this Indenture and the Notation of Guarantee). ARTICLE 5 SUCCESSORS Section 5.01 Merger, Consolidation or Sale of Assets. (a) Parent will not, directly or indirectly: (x) consolidate or merge with or into another Person (whether or not Parent is the surviving corporation), or (y) sell, assign, transfer, convey, lease or otherwise dispose of all or substantially all of the properties or assets of Parent and its Restricted Subsidiaries, taken as a whole, in one or more related transactions, to another Person, unless: (1) either: (A) Parent is the surviving corporation; or (B) the Person formed by or surviving any such consolidation or merger (if other than Parent) or to which such sale, assignment, transfer, conveyance, lease or other disposition has been made is an entity organized or existing under the laws of the United States, any state of the United States, the District of Columbia, Ireland, England and Wales, Jersey or Luxembourg (such Person, the “Surviving Entity”); (2) the Surviving Entity (if other than Parent) or the Person to which such sale, assignment, transfer, conveyance, lease or other disposition has been made assumes all the obligations of Parent under the Notes and this Indenture pursuant to a supplemental indenture or other documents or instruments in form satisfactory to the Trustee; and (3) immediately after such transaction, no Default or Event of Default exists. This Section 5.01 will not apply to any sale, assignment, transfer, conveyance, lease or other disposition of assets between or among the Company and any Guarantor. Clause (3) of this Section 5.01 will not apply to (a) any


 
83 Adient – CONFIDENTIAL merger or consolidation of any Restricted Subsidiary with or into the Company or (b) a merger or consolidation of Parent with or into an Affiliate for the purpose of reincorporating Parent in another jurisdiction so long as the amount of Indebtedness of Parent and its Restricted Subsidiaries is not increased thereby. (b) The Company will not, directly or indirectly: (x) consolidate or merge with or into another Person, (y) sell, convey , transfer or dispose of, all or substantially all its assets, in one transaction or a series of related transactions, to any Person or (z) permit any Person to merge with or into the Company, unless: (1) (A) either (x) the Company is the continuing Person or (y) the resulting, surviving or transferee Person expressly assumes all of the obligations of the Company and the Notes and such Person is an entity organized or existing under the laws of the United States, any state of the United States, the District of Columbia, Ireland, England and Wales, Jersey or Luxembourg; and (B) immediately after giving effect to the transaction, no Default or Event of Default has occurred and is continuing; or (2) the transaction constitutes a sale or other disposition (including by way of consolidation or merger) of the Company or the sale or disposition of all or substantially all the assets of the Company (in each case other than to a Restricted Subsidiary) otherwise permitted by this Indenture. (c) No Guarantor may, directly or indirectly: (x) consolidate with or merge with or into any Person, (y) sell, convey, transfer or dispose of, all or substantially all its assets, in one transaction or a series of related transactions, to any Person or (z) permit any Person to merge with or into the Guarantor, unless: (1) the other Person is Parent or the Company or any Restricted Subsidiary that is a Guarantor or becomes a Guarantor concurrently with the transaction; (2) (A) either (x) a Guarantor is the continuing Person or (y) the resulting, surviving or transferee Person expressly assumes all of the obligations of the Guarantor under its Guarantee of the Notes; and (B) immediately after giving effect to the transaction, no Default or Event of Default has occurred and is continuing; or (3) the transaction constitutes a sale or other disposition (including by way of consolidation or merger) of the Guarantor or the sale or disposition of all or substantially all the assets of the Guarantor (in each case other than to the Company or a Restricted Subsidiary) otherwise permitted by this Indenture. Section 5.02 Successor Corporation Substituted. Upon any consolidation or merger, or any sale, assignment, transfer, lease, conveyance or other disposition of all or substantially all of the properties or assets of the Company in a transaction that is subject to, and that complies with the provisions of, Section 5.01 hereof, (a) the successor Person formed by such consolidation or into or with which the Company is merged or to which such sale, assignment, transfer, lease, conveyance or other disposition is made shall succeed to, and be substituted for (so that from and after the date of such consolidation, merger, sale, assignment, transfer, lease, conveyance or other disposition, the provisions of this Indenture referring to the “Company” shall refer instead to the successor Person and not to the Company), and may exercise every right and power of the Company under this Indenture with the same effect as if such successor Person had been named as the Company herein; and (b) the Company or such predecessor Person, as the case may be, (except in the case of a lease) shall be released from its obligations under this Indenture and the Notes.


 
84 Adient – CONFIDENTIAL ARTICLE 6 DEFAULTS AND REMEDIES Section 6.01 Events of Default. Each of the following is an “Event of Default”: (1) default for 30 days in the payment when due of interest or Additional Amounts on the Notes; (2) default in the payment when due (at maturity, upon redemption, offer to purchase or otherwise) of the principal (but not, for the avoidance of doubt, Additional Amounts) of, or premium, if any, on, the Notes; (3) failure by Parent, the Company or any of their Restricted Subsidiaries for 60 days after notice by the Trustee to the Company or by the Holders of at least 30% in aggregate principal amount of the Notes then outstanding voting as a single class to the Company and the Trustee to comply with any of the agreements in this Indenture (other than a default referred to in clause (1) or (2) of this Section 6.01)); provided that in the case of a failure to comply with Section 4.03, such period of continuance of such default or breach shall be 90 days after written notice described in this clause (3) of Section 6.01 has been given; (4) default under any mortgage, indenture or instrument under which there may be issued or by which there may be secured or evidenced any Indebtedness for money borrowed by Parent, the Company or any of their Restricted Subsidiaries (or the payment of which is guaranteed by Parent, the Company or any of their Restricted Subsidiaries) other than Indebtedness owed to Parent, the Company or any of their Restricted Subsidiaries (and excluding in the case of any Permitted Convertible Indebtedness, any event or condition that would permit the holder or beneficiary of such Permitted Convertible Indebtedness to convert such Permitted Convertible Indebtedness into cash, Equity Interests (other than Disqualified Equity Interests) of Parent or a combination thereof, in each case to the extent permitted hereunder), whether such Indebtedness or Guarantee now exists, or is created after the Issue Date, if that default: (A) is caused by a failure to pay principal of, or premium, if any, on any such Indebtedness at its final Stated Maturity (after giving effect to any applicable grace periods) (a “Payment Default”); or (B) results in the acceleration of such Indebtedness prior to its express maturity, and, in each case of clause (a) and (b) above, the principal amount of any such Indebtedness, together with the principal amount of any other such Indebtedness under which there has been a Payment Default or the maturity of which has been so accelerated, aggregates the greater of (x) $75.0 million and (y) 0.80% of Total Assets or more; (5) failure by Parent, the Company or any of their Restricted Subsidiaries to pay final non- appealable judgments entered by a court or courts of competent jurisdiction aggregating in excess of $75.0 million (other than any judgments covered by indemnities or insurance policies issued by creditworthy companies), which judgments are not paid, discharged or stayed, for a period of 60 days, after the applicable judgment becomes final and non-appealable, and in the event such judgment is covered by insurance, an enforcement proceeding has been commenced by any creditor upon such judgment or decree which is not promptly stayed; (6) Parent, the Company or any of their Restricted Subsidiaries that is a Significant Subsidiary or any group of Restricted Subsidiaries of Parent or the Company that, taken together (as of the


 
85 Adient – CONFIDENTIAL latest audited consolidated financial statements of Parent, the Company and their Restricted Subsidiaries), would constitute a Significant Subsidiary pursuant to or within the meaning of Bankruptcy Law: (A) commences a voluntary case, (B) consents to the entry of an order for relief against it in an involuntary case, (C) consents to the appointment of a custodian, liquidator, examiner or receiver of it or for all or substantially all of its property, (D) makes a general assignment for the benefit of its creditors, or (E) admits in writing its inability to pay its debts as they become due; (7) a court of competent jurisdiction enters an order or decree under any Bankruptcy Law that: (A) is for relief against or in respect of Parent, the Company or any of their Restricted Subsidiaries that is a Significant Subsidiary or any group of Restricted Subsidiaries of Parent or the Company that, taken together (as of the latest audited consolidated financial statements of Parent, the Company and their Restricted Subsidiaries), would constitute a Significant Subsidiary in an involuntary case; (B) appoints a custodian, liquidator, examiner or receiver of or to Parent, the Company or any of their Restricted Subsidiaries that is a Significant Subsidiary or any group of Restricted Subsidiaries of Parent or the Company that, taken together, would constitute a Significant Subsidiary or for or to or in respect of all or substantially all of the property of Parent, the Company or any of their Restricted Subsidiaries that is a Significant Subsidiary or any group of Restricted Subsidiaries of Parent or the Company that, taken together (as of the latest audited consolidated financial statements of Parent, the Company and their Restricted Subsidiaries), would constitute a Significant Subsidiary; or (C) orders the liquidation or examinership of either of Parent, the Company or any of their Restricted Subsidiaries that is a Significant Subsidiary or any group of Restricted Subsidiaries of Parent or the Company that, taken together, (as of the latest audited consolidated financial statements of Parent, the Company and their Restricted Subsidiaries) would constitute a Significant Subsidiary; and (other than in respect of a company incorporated in Ireland or England and Wales) the order or decree remains unstayed and in effect for 60 consecutive days or (in the case of a company incorporated in Ireland or England and Wales) except for a winding up petition which is frivolous or vexatious and which is discharged, stayed or dismissed within 14 days; or (8) except as permitted by this Indenture, any Note Guarantee of Parent or a Significant Subsidiary of Parent is held in any judicial proceeding to be unenforceable or invalid or ceases for any reason to be in full force and effect (except as contemplated by the terms hereof), or Parent or any Guarantor that is a Significant Subsidiary, or any Person acting on behalf of Parent or such Significant Subsidiary, denies, repudiates or disaffirms its obligations under its Note Guarantee and any such Default continues for 10 days. A Default under clause (4) or (5) of this Section 6.01 will not constitute an Event of Default until the Trustee or the Holders of 30% in principal amount of the outstanding Notes notify the Company (with a copy to the Trustee if given by the Holders of the Notes) of the Default.


 
86 Adient – CONFIDENTIAL Section 6.02 Acceleration. In the case of an Event of Default specified in clause (6) or (7) of Section 6.01 hereof, with respect to Parent, the Company, any Restricted Subsidiary of Parent or the Company that is a Significant Subsidiary or any group of Restricted Subsidiaries of the Company that, taken together, would constitute a Significant Subsidiary, all outstanding principal of the Notes and any accrued but unpaid interest thereon will become due and payable immediately without further action or notice. If any other Event of Default occurs and is continuing, the Trustee or the Holders of at least 30% in aggregate principal amount of the then outstanding Notes by notice to the Company (with a copy to the Trustee if given by Holders of Notes) may declare all outstanding principal of the Notes and any accrued but unpaid interest thereon to be due and payable immediately. The Holders of a majority in aggregate principal amount of the then outstanding Notes by written notice to the Trustee may, on behalf of all of the Holders of all the Notes, rescind such an acceleration and its consequences hereunder, if the rescission would not conflict with any judgment or decree, except a continuing Default or Event of Default in the payment of principal of, premium on, if any, or interest, if any, on, the Notes (except nonpayment of principal of, premium on, if any, or interest on, the Notes that has become due solely because of the acceleration) and if all sums paid or advanced by the Trustee hereunder and the reasonable compensation, expenses, disbursements and advances of the Trustee, its agents and counsel have been paid. In the event of a declaration of acceleration of the Notes because an Event of Default has occurred and is continuing as a result of the acceleration of any Indebtedness described in Section 6.01(4) hereof (excluding any resulting payment default under this Indenture or the Notes), the declaration of acceleration of the Notes shall be automatically annulled if the holders of all Indebtedness described in Section 6.01(4) hereof have rescinded the declaration of acceleration in respect of such Indebtedness within 30 days of the date of such declaration of acceleration of the Notes, and if the annulment of the acceleration of the Notes would not conflict with any judgment or decree of a court of competent jurisdiction, and all existing Events of Default, except non-payment of principal or interest on the Notes that became due solely because of the acceleration of the Notes, have been cured or waived and all amounts owing to the Trustee have been paid. Section 6.03 Other Remedies. If an Event of Default occurs and is continuing, the Trustee may pursue any available remedy to collect the payment of principal of, premium on, if any, or interest on, the Notes or to enforce the performance of any provision of the Notes or this Indenture. The Trustee may maintain a proceeding even if it does not possess any of the Notes or does not produce any of them in the proceeding. A delay or omission by the Trustee or any Holder of a Note in exercising any right or remedy accruing upon an Event of Default shall not impair the right or remedy or constitute a waiver of or acquiescence in the Event of Default. All remedies are cumulative to the extent permitted by law. Section 6.04 Waiver of Past Defaults. The Holders of a majority in aggregate principal amount of the then outstanding Notes by written notice to the Trustee may, on behalf of the Holders of all of the Notes waive any existing Default or Event of Default and its consequences hereunder, except a continuing Event of Default specified in clause (1) or (2) of Section 6.01 hereof; provided, however, that the Holders of a majority in aggregate principal amount of the then outstanding Notes may rescind an acceleration and its consequences, including any related payment default that resulted from such acceleration. Upon any such waiver, such Default shall cease to exist, and any Event of Default arising therefrom shall be deemed to have been cured for every purpose of this Indenture; but no such waiver shall extend to any subsequent or other Default or impair any right consequent thereon. If a Default is deemed to occur solely as a consequence of the existence of another Default (the “Initial Default”), then, at the time such Initial Default is cured, the Default that resulted solely because of that Initial Default will also be cured without any further action.


 
87 Adient – CONFIDENTIAL Section 6.05 Control by Majority. Holders of a majority in aggregate principal amount of the then outstanding Notes may direct the time, method and place of conducting any proceeding for exercising any remedy available to the Trustee or of exercising any trust or power conferred on the Trustee. However, the Trustee may refuse to follow any direction that conflicts with law or this Indenture, that the Trustee determines may be unduly prejudicial to the rights of other Holders of Notes (it being understood that the Trustee does not have an affirmative duty to ascertain whether or not any action or forbearance is unduly prejudicial to such Holders) or that may involve the Trustee in personal liability; provided however, that the Trustee may take any other action deemed proper by the Trustee that is not inconsistent with such direction. Section 6.06 Limitation on Suits. Except to enforce the right to receive payment of principal, premium, if any, or interest, if any, when due, no Holder of a Note may pursue any remedy with respect to this Indenture, the Notes or any Note Guarantee unless: (1) such Holder has previously given the Trustee written notice that an Event of Default has occurred and is continuing; (2) Holders of at least 30% in aggregate principal amount of the then outstanding Notes make a written request to the Trustee to pursue the remedy; (3) such Holder or Holders offer and, if requested, provide to the Trustee security or indemnity reasonably satisfactory to the Trustee, as applicable, against any loss, liability or expense; (4) the Trustee does not comply with such request within 60 days after receipt of the notice, request and the offer of security or indemnity; and (5) during such 60-day period, Holders of a majority in aggregate principal amount of the then outstanding Notes do not give the Trustee a direction inconsistent with such request. A Holder of a Note may not use this Indenture to prejudice the rights of another Holder of a Note or to obtain a preference or priority over another Holder of a Note. Section 6.07 Rights of Holders of Notes to Receive Payment. Notwithstanding any other provision of this Indenture, the right of any Holder of a Note to receive payment of principal of, premium on, if any, or interest on, the Note, on or after the respective due dates expressed or provided for in the Note (including in connection with an Asset Sale Offer or a Change of Control Offer), or to bring suit for the enforcement of any such payment on or after such respective dates, shall not be impaired or affected without the consent of such Holder. Section 6.08 Collection Suit by Trustee. If an Event of Default specified in Section 6.01(1) or (2) hereof occurs and is continuing, the Trustee is authorized to recover judgment in its own name and as trustee of an express trust against the Company or any Guarantor for the whole amount of principal of, premium on, if any, and interest remaining unpaid on, the Notes and interest on overdue principal and, to the extent lawful, interest and such further amount as shall be sufficient to cover the costs and expenses of collection, including the reasonable compensation, expenses, disbursements and advances of the Trustee, its agents and counsel.


 
88 Adient – CONFIDENTIAL Section 6.09 Restoration of Rights and Remedies. If the Trustee or any Holder has instituted any proceeding to enforce any right or remedy under this Indenture and such proceeding has been determined or abandoned for any reason, or has been determined adversely to the Trustee or to such Holder, then and in every such case, subject to any determination in such proceedings or any other proceedings, the Company, any Guarantor, the Trustee and the Holders shall be restored severally and respectively to their former positions hereunder and thereafter all rights and remedies hereunder of the Trustee and the Holders shall continue as though no such proceeding had been instituted. Section 6.10 Trustee May File Proofs of Claim. The Trustee is authorized to file such proofs of claim and other papers or documents as may be necessary or advisable in order to have the claims of the Trustee (including any claim for the reasonable compensation, expenses, disbursements and advances of the Trustee, its agents and counsel) and the Holders of the Notes allowed in any judicial proceedings relative to the Company or any Guarantor (or any other obligor upon the Notes), its creditors or its property and shall be entitled and empowered to collect, receive and distribute any money or other property payable or deliverable on any such claims and any custodian in any such judicial proceeding is hereby authorized by each Holder to make such payments to the Trustee, and in the event that the Trustee shall consent to the making of such payments directly to the Holders, to pay to the Trustee any amount due to it for the reasonable compensation, expenses, disbursements and advances of the Trustee, its agents and counsel, and any other amounts due the Trustee under Section 7.07 hereof. To the extent that the payment of any such compensation, expenses, disbursements and advances of the Trustee, its agents and counsel, and any other amounts due the Trustee under Section 7.07 hereof out of the estate in any such proceeding, shall be denied for any reason, payment of the same shall be secured by a Lien on, and shall be paid out of, any and all distributions, dividends, money, securities and other properties that the Holders may be entitled to receive in such proceeding whether in liquidation, examinership, SCARP or under any plan of reorganization or arrangement or otherwise. Nothing herein contained shall be deemed to authorize the Trustee to authorize or consent to or accept or adopt on behalf of any Holder any plan of reorganization, arrangement, adjustment or composition affecting the Notes or the rights of any Holder, or to authorize the Trustee to vote in respect of the claim of any Holder in any such proceeding. Section 6.11 Priorities. If the Trustee collects any money pursuant to this Article 6, it shall pay out the money in the following order: First: to the Trustee, its respective agents and attorneys for amounts due under Section 7.07 hereof, including payment of all compensation, expenses and liabilities incurred, and all advances made, by the Trustee and the costs and expenses of collection; Second: to Holders of Notes for amounts due and unpaid on the Notes for principal, premium, if any, and interest, if any, ratably, without preference or priority of any kind, according to the amounts due and payable on the Notes for principal, premium, if any, and interest, if any, respectively; and Third: to the Company or to such party as a court of competent jurisdiction shall direct. The Trustee, upon written notice to the Company, may fix a record date and payment date for any payment to Holders of Notes pursuant to this Section 6.11. Section 6.12 Undertaking for Costs. In any suit for the enforcement of any right or remedy under this Indenture or in any suit against the Trustee for any action taken or omitted by it as a Trustee, a court in its discretion may require the filing by any party litigant in the suit of an undertaking to pay the costs of the suit, and the court in its discretion may assess reasonable costs, including reasonable attorneys’ fees and expenses, against any party litigant in the suit, having due regard to the merits and good faith of the claims or defenses made by the party litigant. This Section 6.12 does not apply to a


 
89 Adient – CONFIDENTIAL suit by the Trustee, a suit by a Holder of a Note pursuant to Section 6.07 hereof, or a suit by Holders of more than 10% in aggregate principal amount of the then outstanding Notes. ARTICLE 7 TRUSTEE Section 7.01 Duties of Trustee. (a) If an Event of Default has occurred and is continuing, the Trustee will exercise such of the rights and powers vested in it by this Indenture, and use the same degree of care and skill in its exercise, as a prudent person would exercise or use under the circumstances in the conduct of such person’s own affairs. Other than with respect to an Event of Default in the payment when due of interest or an Event of Default in the payment when due of principal of or premium, the Trustee shall not be deemed to have knowledge of Events of Default unless a Responsible Officer has actual knowledge or receives written notice of such Event of Default in accordance with Section 13.02 and such notice references the Notes and this Indenture. If an Event of Default has occurred and is continuing, the Trustee will be under no obligation to exercise any of the rights and powers under this Indenture at the request or direction of any Holders of Notes, unless such Holders shall have offered to the Trustee indemnity satisfactory to it against any loss, liability or expense, and then only to the extent required by the terms of this Indenture. (b) Except during the continuance of an Event of Default: (1) the duties of the Trustee will be determined solely by the express provisions of this Indenture and the Trustee need perform only those duties that are specifically set forth in this Indenture and no others, and no implied covenants or obligations shall be read into this Indenture against the Trustee; and (2) in the absence of bad faith on its part, the Trustee may conclusively rely, as to the truth of the statements and the correctness of the opinions expressed therein, upon certificates or opinions furnished to the Trustee and conforming to the requirements of this Indenture. However, the Trustee will examine the certificates and opinions to determine whether or not they conform to the requirements of this Indenture (however the Trustee shall have no obligation to verify the mathematical calculations contained therein). (c) The Trustee may not be relieved from liabilities for its own negligent action, its own negligent failure to act, or its own willful misconduct, except that: (1) this paragraph does not limit the effect of paragraph (b) of this Section 7.01; (2) the Trustee shall not be liable for any error of judgment made in good faith by a Responsible Officer, unless it is proved that the Trustee was negligent in ascertaining the pertinent facts; and (3) the Trustee shall not be liable with respect to any action it takes or omits to take in good faith in accordance with a direction received by it pursuant to Section 6.05 hereof. (d) Whether or not therein expressly so provided, every provision of this Indenture that in any way relates to the Trustee is subject to paragraphs (a), (b), and (c) of this Section 7.01. (e) No provision of this Indenture will require the Trustee to expend or risk its own funds or incur any liability. The Trustee will be under no obligation to exercise any of its rights or powers under this Indenture at the request or direction of any Holders, unless such Holder has offered to the Trustee reasonable indemnity or security satisfactory to it against any loss, liability or expense.


 
90 Adient – CONFIDENTIAL (f) The Trustee shall not be liable for interest on any money received by it except as the Trustee may agree in writing with the Company. Money held in trust by the Trustee need not be segregated from other funds except to the extent required by law. The Trustee shall have no obligation to invest funds received by it pursuant to this Indenture. (g) The Trustee shall not be liable for any error in judgment exercised in good faith and believed by it to be authorized or within the discretion or rights or powers conferred upon it by this Indenture. Section 7.02 Rights of Trustee. (a) The Trustee may conclusively rely upon any document (whether in its original or facsimile form) believed by it to be genuine and to have been signed or presented by the proper Person. The Trustee need not investigate any fact or matter stated in the document. (b) Before the Trustee acts or refrains from acting, it may require an Officer’s Certificate or an Opinion of Counsel or both. The Trustee shall not be liable for any action it takes or omits to take in good faith in reliance on such Officer’s Certificate or Opinion of Counsel. The Trustee may consult with counsel and the advice of such counsel or any Opinion of Counsel will be full and complete authorization and protection from liability in respect of any action taken, suffered or omitted by it hereunder in good faith and in reliance thereon. (c) The Trustee may act through its attorneys and agents and shall not be responsible for the misconduct or negligence of any agent appointed with due care, and may in all cases pay reasonable compensation to all such attorneys, agents, receivers and employees as may reasonably be employed. (d) The Trustee shall not be liable for any action it takes or omits to take in good faith that it believes to be authorized or within the rights or powers conferred upon it by this Indenture. (e) The Trustee may act on advice or opinion of counsel and shall not be responsible for any loss or damage resulting from any action or non-action by it taken or omitted to be taken in good faith and in reliance on such advice or opinion of counsel. (f) Unless otherwise specifically provided in this Indenture, any demand, request, direction or notice from the Company will be sufficient if signed by an Officer of the Company. (g) The Trustee will be under no obligation to exercise any of the rights or powers vested in it by this Indenture at the request or direction of any of the Holders unless such Holders have offered to the Trustee reasonable indemnity or security satisfactory to the Trustee against the losses, liabilities and expenses that might be incurred by it in compliance with such request or direction. (h) The Trustee shall not be required to give any note, bond or surety in respect of the trusts and powers under this Indenture. (i) The Trustee may request that the Company deliver an Officer’s Certificate setting forth the names of individuals and/or titles of officers authorized at such time to take specified actions pursuant to this Indenture, which Officer’s Certificate may be signed by any person authorized to sign an Officer’s Certificate, including any person specified as so authorized in such certificate previously delivered and not superseded. (j) Except with respect to receipt of payments of principal and interest on the Notes payable by the Company pursuant to Section 4.01 hereof and any Default or Event of Default information contained in the Officer’s Certificate delivered to it pursuant to Section 4.04 hereof, the Trustee shall have no duty to monitor the Company’s or the Guarantors’ compliance with or the breach of any representation, warranty or covenant made in this Indenture.


 
91 Adient – CONFIDENTIAL (k) Delivery of reports, information and documents to the Trustee described in Section 4.03 hereof is for informational purposes only and the Trustee’s receipt of such shall not constitute constructive notice of any information contained therein or determinable from information contained therein, including the Company’s or the Guarantors’ compliance with any of its covenants hereunder (as to which the Trustee is entitled to rely conclusively on Officer’s Certificates). The Trustee is under no duty to examine such reports, information or documents to ensure compliance with the provision of this Indenture or to ascertain the correctness or otherwise of the information or the statements contained therein. (l) In the event the Trustee receives inconsistent or conflicting requests and indemnity from two or more groups of Holders of the Notes, each representing less than a majority in aggregate principal amount of the Notes outstanding, the Trustee, in its sole discretion, may determine what action, if any, shall be taken and the Trustee may, in its sole discretion, take other actions. (m) In no event shall the Trustee be responsible or liable for special, indirect, or consequential loss or damage of any kind whatsoever (including, but not limited to, loss of profit) irrespective of whether the Trustee has been advised of the likelihood of such loss or damage and regardless of the form of action. (n) The Trustee shall not be deemed to have notice of any Default or Event of Default unless a Responsible Officer of the Trustee has received written notice of any event which is in fact such a default at the Corporate Trust Office of the Trustee, and such notice references the Notes and this Indenture. (o) The rights, privileges, protections, immunities and benefits given to the Trustee, including, without limitation, its right to be indemnified, are extended to, and shall be enforceable by, the Trustee in each of its capacities hereunder, and each agent, custodian and other Person employed to act hereunder. (p) Neither the Trustee nor the Registrar shall have any obligation or duty to monitor, determine or inquire as to compliance with any restrictions on transfer imposed under this Indenture or the Private Placement Legend or under applicable law with respect to any transfer of any interest in any Note (including any transfers between or among Depositary participants, members or beneficial owners in any Global Note) other than to require delivery of such certificates and other documentation or evidence as are expressly required by, and to do so if and when expressly required by, the terms of this Indenture, and to examine the same to determine substantial compliance as to form with the express requirements hereof. (q) The permissive rights of the Trustee shall not be construed as a duty. Section 7.03 Individual Rights of Trustee. The Trustee in its individual or any other capacity may become the owner or pledgee of Notes and may otherwise deal with the Company or any Affiliate of the Company with the same rights it would have if it were not Trustee. However, in the event that the Trustee acquires any conflicting interest as defined in the TIA it must eliminate such conflict within 90 days or resign. Any Agent may do the same with like rights and duties. The Trustee is also subject to Sections 7.10 and 7.11 hereof. Section 7.04 Trustee’s Disclaimer. The Trustee shall not be responsible for and makes no representation as to the validity or adequacy of this Indenture or the Notes, it shall not be accountable for the Company’s use of the proceeds from the Notes or any money paid to the Company or upon the Company’s direction under any provision of this Indenture, it shall not be responsible for the use or application of any money received by any Paying Agent other than the Trustee, and it shall not be responsible for any statement or recital herein or any statement in the Notes or any other document in connection with the sale of the Notes or pursuant to this Indenture other than its certificate of authentication.


 
92 Adient – CONFIDENTIAL Section 7.05 Notice of Defaults. If a Default or Event of Default occurs and is continuing and if it is known to the Trustee, the Trustee will mail to Holders of Notes a notice of the Default or Event of Default within 90 days after the Trustee obtains knowledge thereof. Except in the case of a Default or Event of Default in payment of principal of, premium on, if any, or interest on, any Note, the Trustee may withhold the notice if and so long as a committee of its Responsible Officers in good faith determines that withholding the notice is in the interests of the Holders of the Notes. Section 7.06 [Reserved]. Section 7.07 Compensation and Indemnity. (a) The Company will pay to the Trustee from time to time such compensation as is agreed to from time to time in writing by the Company and the Trustee for its acceptance of this Indenture and services hereunder. The Trustee’s compensation will not be limited by any law on compensation of a trustee of an express trust. The Company will reimburse the Trustee promptly upon request for all reasonable out-of-pocket disbursements, advances and expenses incurred or made by it in addition to the compensation for its services except for any such disbursements, advance or expense as shall have been caused by the Trustee’s negligence or willful misconduct. Such expenses will include the reasonable out-of-pocket compensation, disbursements and expenses of the Trustee’s agents and counsel (as well as any notarial fees relating to the granting of any Spanish Public Document and registration fees, if any). (b) The Company and the Guarantors will indemnify on a joint and several basis the Trustee (including its officers, directors, employees and agents) against any and all losses, liabilities or expenses incurred by it arising out of or in connection with the acceptance or administration of its duties under this Indenture, including the reasonable costs and expenses of enforcing this Indenture against the Company and the Guarantors (including this Section 7.07 and notarial fees relating to any Spanish Public Document, court clerk fees (procurador) (even if their intervention is not mandatory), court costs and any sworn translation costs and together with any applicable VAT) and defending itself against any claim (whether asserted by the Company, the Guarantors, any Holder or any other Person) or liability in connection with the exercise or performance of any of its powers or duties hereunder, except to the extent any such loss, liability or expense may be attributable to its negligence or willful misconduct. The Trustee will notify the Company promptly of any claim for which it may seek indemnity. Failure by the Trustee to so notify the Company will not relieve the Company or any of the Guarantors of their obligations hereunder. The Company or such Guarantor will defend the claim and the Trustee will cooperate in the defense. The Trustee may have one separate counsel and the Company will pay the reasonable out-of-pocket fees and expenses of such counsel. Neither the Company nor any Guarantor need pay for any settlement made without its consent, which consent will not be unreasonably withheld. (c) The obligations of the Company and the Guarantors under this Section 7.07 will survive the satisfaction and discharge of this Indenture and the resignation or removal of the Trustee. (d) To secure the Company’s and the Guarantors’ payment obligations in this Section 7.07, the Trustee shall have a Lien prior to the Notes on all money or property held or collected by the Trustee, except that held in trust to pay principal of, premium on, if any, or interest on, particular Notes. Such Lien will survive the satisfaction and discharge of this Indenture and the resignation or removal of the Trustee. (e) Without prejudice to any other rights available to the Trustee under applicable law, when the Trustee incurs expenses or renders services after an Event of Default specified in clauses (6) and (7) of Section 6.01 hereof occurs, the expenses and the compensation for the services (including the fees and expenses of its agents and counsel) are intended to constitute expenses of administration under any Bankruptcy Law.


 
93 Adient – CONFIDENTIAL Section 7.08 Replacement of Trustee. (a) A resignation or removal of the Trustee and appointment of a successor Trustee will become effective only upon the successor Trustee’s acceptance of appointment as provided in this Section 7.08. (b) The Trustee may resign at any time upon 30 days’ prior written notice to the Company and be discharged from the trust hereby created by so notifying the Company. The Holders of a majority in aggregate principal amount of the then outstanding Notes may remove the Trustee upon 30 days written notice to the Trustee and the Company. The Company may remove the Trustee if: (1) the Trustee fails to comply with Section 7.10 hereof; (2) the Trustee is adjudged a bankrupt or an insolvent or an order for relief is entered with respect to the Trustee under any Bankruptcy Law; (3) a custodian or public officer takes charge of the Trustee or its property; or (4) the Trustee becomes incapable of acting. (c) If the Trustee resigns or is removed or if a vacancy exists in the office of Trustee for any reason, the Company will promptly appoint a successor Trustee. Within one year after the successor Trustee takes office, the Holders of a majority in aggregate principal amount of the then outstanding Notes may appoint a successor Trustee to replace the successor Trustee appointed by the Company. (d) If a successor Trustee does not take office within 60 days after the retiring Trustee resigns or is removed, the retiring Trustee, the Company, or the Holders of at least 10% in aggregate principal amount of the then outstanding Notes may petition any court of competent jurisdiction for the appointment of a successor Trustee. (e) If the Trustee, after written request by any Holder who has been a Holder for at least six months, fails to comply with Section 7.10 hereof, such Holder may petition any court of competent jurisdiction for the removal of the Trustee and the appointment of a successor Trustee. (f) A successor Trustee will deliver a written acceptance of its appointment to the retiring Trustee and to the Company. Thereupon, the resignation or removal of the retiring Trustee will become effective, and the successor Trustee will have all the rights, powers and duties of the Trustee under this Indenture. The successor Trustee will mail a notice of its succession to Holders. The retiring Trustee will promptly transfer all property held by it as Trustee to the successor Trustee; provided all sums owing to the Trustee hereunder have been paid and subject to the Lien provided for in Section 7.07 hereof. Notwithstanding replacement of the Trustee pursuant to this Section 7.08, the Company’s and the Guarantors’ obligations under Section 7.07 hereof will continue for the benefit of the retiring Trustee. Section 7.09 Successor Trustee by Merger, etc. If the Trustee consolidates, merges or converts into, or transfers all or substantially all of its corporate trust business to, another entity, the successor entity without any further act will be the successor Trustee. Section 7.10 Eligibility; Disqualification. There will at all times be a Trustee hereunder that is a corporation or national banking association organized and doing business under the laws of the United States of America or of any state thereof that is authorized under such laws to exercise corporate trustee power, that is subject to supervision or examination by federal or state authorities and that has a combined capital and surplus of at least $100.0 million as set forth in its most recent published annual report of condition.


 
94 Adient – CONFIDENTIAL ARTICLE 8 LEGAL DEFEASANCE AND COVENANT DEFEASANCE Section 8.01 Option to Effect Legal Defeasance or Covenant Defeasance. The Company may at any time elect to have either Section 8.02 or 8.03 hereof applied to all outstanding Notes (including the Note Guarantees) upon compliance with the conditions set forth below in this Article 8. Section 8.02 Legal Defeasance and Discharge. Upon the Company’s exercise under Section 8.01 hereof of the option applicable to this Section 8.02, the Company and each of the Guarantors, if any, will, subject to the satisfaction of the conditions set forth in Section 8.04 hereof, be deemed to have been discharged from their obligations with respect to all outstanding Notes (including the Note Guarantees) on the date the conditions set forth below are satisfied (hereinafter, “Legal Defeasance”). For this purpose, Legal Defeasance means that the Company and the Guarantors, if any, will be deemed to have paid and discharged the entire Indebtedness represented by the outstanding Notes (including the Note Guarantees), which will thereafter be deemed to be “outstanding” only for the purposes of Section 8.05 hereof and the other Sections of this Indenture referred to in clauses (1) and (2) below, and to have satisfied all their other obligations under such Notes, the Note Guarantees and this Indenture (and the Trustee, on demand of and at the expense of the Company, shall execute proper instruments acknowledging the same), except for the following provisions which will survive until otherwise terminated or discharged hereunder: (1) the rights of Holders of outstanding Notes to receive payments in respect of the principal of, premium on, if any, and interest, if any, on, such Notes when such payments are due from the trust referred to in Section 8.04 hereof; (2) the Company’s obligations with respect to such Notes under Sections 2.06, 2.07 and 4.02 hereof; (3) the rights, powers, trusts, duties and immunities of the Trustee hereunder and the Company’s and the Guarantors’, if any, obligations in connection therewith (including, without limitation, those contained in Article 7 hereof); and (4) this Article 8. Subject to compliance with this Article 8, the Company may exercise its option under this Section 8.02 notwithstanding the prior exercise of their option under Section 8.03 hereof. Notwithstanding anything to the contrary contained herein, the Company’s and the Guarantors’ obligations under Section 7.07 shall survive a Legal Defeasance. Section 8.03 Covenant Defeasance. Upon the Company’s exercise under Section 8.01 hereof of the option applicable to this Section 8.03, the Company and the Guarantors will, subject to the satisfaction of the conditions set forth in Section 8.04 hereof, be released from each of their obligations under the covenants contained in Sections 4.03, 4.04, 4.05, 4.07, 4.08, 4.09, 4.10, 4.11, 4.12, 4.14, 4.16 and 4.17 hereof and clauses (3) and (4) of Section 5.01 hereof with respect to the outstanding Notes on and after the date the conditions set forth in Section 8.04 hereof are satisfied (hereinafter, “Covenant Defeasance”), the Note Guarantees will be released pursuant to Section 10.05 hereof and the Notes and Note Guarantees will thereafter be deemed not “outstanding” for the purposes of any direction, waiver, consent or declaration or act of Holders (and the consequences of any thereof) in connection with such covenants, but will continue to be deemed “outstanding” for all other purposes hereunder (it being understood that such Notes and the Note Guarantees will not be deemed outstanding for accounting purposes). For this purpose, Covenant Defeasance means that, with respect to the outstanding Notes and Note Guarantees, the Company and the Guarantors, if any, may omit to comply with and will have no liability in respect of any term, condition or limitation set forth in any such covenant, whether directly or indirectly, by reason of any reference elsewhere herein to any such covenant or


 
95 Adient – CONFIDENTIAL by reason of any reference in any such covenant to any other provision herein or in any other document and such omission to comply will not constitute a Default or an Event of Default under Section 6.01 hereof, but, except as specified above, the remainder of this Indenture and such Notes and Note Guarantees will be unaffected thereby. In addition, upon the Company’s exercise under Section 8.01 hereof of the option applicable to this Section 8.03, subject to the satisfaction of the conditions set forth in Section 8.04 hereof, Sections 6.01(3) (to the extent relating to the covenants that are subject to Covenant Defeasance), (4), (5) and (8) hereof will not constitute Events of Default. Notwithstanding anything to the contrary contained herein, the Company’s and the Guarantors’ obligations under Section 7.07 shall survive a Covenant Defeasance. Section 8.04 Conditions to Legal or Covenant Defeasance. In order to exercise either Legal Defeasance or Covenant Defeasance under either Section 8.02 or 8.03 hereof: (1) the Company must irrevocably deposit with the Trustee, in trust, for the benefit of the Holders, (x) cash in U.S. dollars in an amount, (y) non-callable Government Securities, the scheduled payments of principal of and interest thereon which will be in an amount, or (z) a combination thereof in amounts, as will be sufficient, without consideration of any reinvestment of interest, to pay the principal of, premium on, if any, and interest, if any, on, the outstanding Notes to the stated dates for payment of principal thereof and interest accrued thereon to such dates or to the applicable redemption date, as the case may be, and the Company must specify whether the Notes are being defeased to such stated date for payment or to a particular redemption date; (2) in the case of an election under Section 8.02 hereof, the Company must deliver to the Trustee an Opinion of Counsel acceptable to the Trustee confirming that: (A) the Company has received from, or there has been published by, the Internal Revenue Service a ruling; or (B) since the Issue Date, there has been a change in the applicable federal income tax law, in either case to the effect that, and based thereon such Opinion of Counsel will confirm that, the beneficial owners of the outstanding Notes will not recognize income, gain or loss for U.S. federal income tax purposes as a result of such Legal Defeasance and will be subject to U.S. federal income tax on the same amounts, in the same manner and at the same times as would have been the case if such Legal Defeasance had not occurred; (3) in the case of an election under Section 8.03 hereof, the Company must deliver to the Trustee an Opinion of Counsel acceptable to the Trustee confirming that the beneficial owners of the outstanding Notes will not recognize income, gain or loss for U.S. federal income tax purposes as a result of such Covenant Defeasance and will be subject to U.S. federal income tax on the same amounts, in the same manner and at the same time as would have been the case if such Covenant Defeasance had not occurred; (4) no Default or Event of Default has occurred and is continuing on the date of such deposit (other than a Default or Event of Default resulting from the borrowing of funds to be applied to such deposit (and any similar concurrent deposit relating to other Indebtedness), and the granting of Liens to secure such borrowings); (5) such Legal Defeasance or Covenant Defeasance will not result in a breach or violation of, or constitute a default under, any material agreement or instrument (other than this Indenture and the agreements governing any other Indebtedness being defeased, discharged or replaced) to which the Company or any of the Guarantors is a party or by which the Company or any of the Guarantors is bound;


 
96 Adient – CONFIDENTIAL (6) the Company must deliver to the Trustee an Officer’s Certificate stating that the deposit was not made by the Company with the intent of preferring the Holders of Notes over the other creditors of the Company with the intent of defeating, hindering, delaying or defrauding any creditors of the Company or others; and (7) the Company must deliver to the Trustee an Officer’s Certificate and an Opinion of Counsel, each stating that all conditions precedent relating to the Legal Defeasance or the Covenant Defeasance have been complied with. Section 8.05 Deposited Money and Government Securities to be Held in Trust; Other Miscellaneous Provisions. Subject to Section 8.06 hereof, all money and non-callable Government Securities (including the proceeds thereof) deposited with the Trustee pursuant to Section 8.04 hereof in respect of the outstanding Notes will be held in trust and applied by the Trustee, in accordance with the provisions of such Notes and this Indenture, to the payment, either directly or through any Paying Agent (including the Company acting as Paying Agent) as the Trustee may determine, to the Holders of such Notes of all sums due and to become due thereon in respect of principal, premium, if any, and interest, if any, but such money need not be segregated from other funds except to the extent required by law. The Company will pay and indemnify the Trustee against any tax, fee or other charge imposed on or assessed against the cash or non-callable Government Securities deposited pursuant to Section 8.04 hereof or the principal and interest received in respect thereof other than any such tax, fee or other charge which by law is for the account of the Holders of the outstanding Notes. Notwithstanding anything in this Article 8 to the contrary, the Trustee will deliver or pay to the Company from time to time upon the request of the Company any money or non-callable Government Securities held by it as provided in Section 8.04 hereof which are in excess of the amount thereof that would then be required to be deposited to effect an equivalent Legal Defeasance or Covenant Defeasance. Section 8.06 Repayment to the Company. Any money deposited with the Trustee or any Paying Agent, or then held by the Company, in trust for the payment of the principal of, premium on, if any, or interest, if any, on, any Note and remaining unclaimed for two years after such principal, premium, if any, or interest, if any, has become due and payable shall be paid to the Company on its request or (if then held by the Company) will be discharged from such trust; and the Holder of such Note will thereafter be permitted to look only to the Company for payment thereof, and all liability of the Trustee or such Paying Agent with respect to such trust money, and all liability of the Company as trustee thereof, will thereupon cease; provided, however, that the Trustee or such Paying Agent, before being required to make any such repayment, may at the expense of the Company cause to be published once, in The New York Times and The Wall Street Journal (national edition), notice that such money remains unclaimed and that, after a date specified therein, which will not be less than 30 days from the date of such notification or publication, any unclaimed balance of such money then remaining will be repaid to the Company. Section 8.07 Reinstatement. If the Trustee or Paying Agent is unable to apply any U.S. dollars or non-callable Government Securities in accordance with Section 8.02 or 8.03 hereof, as the case may be, by reason of any order or judgment of any court or governmental authority enjoining, restraining or otherwise prohibiting such application, then the Company’s and the Guarantors’ obligations under this Indenture and the Notes and the Note Guarantees will be revived and reinstated as though no deposit had occurred pursuant to Section 8.02 or 8.03 hereof until such time as the Trustee or Paying Agent is permitted to apply all such money in accordance with Section 8.02 or 8.03 hereof, as the case may be; provided, however, that, if the Company makes any payment of principal of, premium on, if any, or interest, if any, on, any Note following the reinstatement of its obligations, the Company will be subrogated to the rights of the Holders of such Notes to receive such payment from the money held by the Trustee or Paying Agent.


 
97 Adient – CONFIDENTIAL ARTICLE 9 AMENDMENT, SUPPLEMENT AND WAIVER Section 9.01 Without Consent of Holders of Notes. Notwithstanding Section 9.02 hereof, without the consent of any Holder of Notes, the Company, the Guarantors and the Trustee may amend or supplement this Indenture, the Notes, any Note Guarantees: (1) to cure any ambiguity, omission, mistake, defect, error or inconsistency contained in this Indenture, or make such other provisions in regard to matters or questions arising under this Indenture as the Board of Directors may deem necessary or desirable and that shall not materially and adversely affect the interests of the holders of the Notes; (2) to provide for uncertificated Notes in addition to or in place of certificated Notes; (3) to provide for the assumption of the Company’s or any Guarantor’s obligations to Holders of Notes and Note Guarantees in the case of a merger or consolidation or sale, assignment, transfer, conveyance, lease or other disposition of all or substantially all of the Company’s or such Guarantor’s assets, as applicable; (4) to make any change that would provide any additional rights or benefits to the Holders of the Notes or that does not adversely affect the legal rights hereunder of any Holder; (5) to conform the text of this Indenture, the Notes or the Note Guarantees to any provision of the “Description of the Notes” section of the Company’s Offering Memorandum; (6) to provide for the issuance of Additional Notes, as determined in good faith by the Company, in accordance with the limitations set forth in this Indenture; (7) to allow any Guarantor to execute a supplemental indenture and/or a Note Guarantee with respect to the Notes in accordance with the terms of this Indenture; (8) to evidence and provide for the acceptance and appointment under this Indenture of a successor Trustee to provide for the accession by the Trustee to any Notes documentation; and (9) to make any amendment to the provisions of this Indenture relating to the transfer and legending of Notes as permitted by this Indenture, including, without limitation, to facilitate the issuance and administration of Notes; provided, however, that (i) compliance with this Indenture as so amended would not result in Notes being transferred in violation of the Securities Act or any applicable securities law and (ii) such amendment does not adversely affect the rights of Holders to transfer Notes in any material respect. Upon the request of the Company accompanied by a resolution of its Board of Directors authorizing the execution of any such amended or supplemental indenture or amendment or supplement of the Notes or any Note Guarantee, and upon receipt by the Trustee of the documents described in Section 9.06, 12.04 and 12.05 hereof, the Trustee will join with the Company and the Guarantors, if any, in the execution of any amended or supplemental indenture or amendment or supplement of the Notes or any Note Guarantee, authorized or permitted by the terms of this Indenture and to make any further appropriate agreements and stipulations that may be therein contained, but the Trustee will not be obligated to enter into such amended or supplemental indenture or amendment or supplement of the Notes or any Note Guarantee, that affects its own rights, duties or immunities under this Indenture or otherwise.


 
98 Adient – CONFIDENTIAL Section 9.02 With Consent of Holder of Notes. Except as provided below in this Section 9.02, the Company, the Guarantors, and/or the Trustee, as applicable, may amend or supplement this Indenture (including, without limitation, Sections 3.09, 4.10 and 4.14 hereof), the Notes or any Note Guarantee with the consent of the Holders of at least a majority in aggregate principal amount of the then outstanding Notes other than the Notes Beneficially Owned by the Company or its Affiliates (including, without limitation, Additional Notes, if any) voting as a single class (including, without limitation, consents obtained in connection with a tender offer or exchange offer for, or purchase of, the Notes), and, subject to Sections 6.04 and 6.07 hereof, any existing Default or Event of Default (other than a Default or Event of Default in the payment of the principal of, premium on, if any, or interest, if any, on, the Notes, except a payment default resulting from an acceleration that has been rescinded) or compliance with any provision of this Indenture or the Notes or any Note Guarantee may be waived with the consent of the Holders of at least a majority in aggregate principal amount of the then outstanding Notes other than the Notes Beneficially Owned by the Company or its Affiliates (including, without limitation, Additional Notes, if any) voting as a single class (including, without limitation, consents obtained in connection with a purchase of, or tender offer or exchange offer for, the Notes). Sections 2.08 and 2.09 hereof shall determine which Notes are considered to be “outstanding” for purposes of this Section 9.02. Upon the request of the Company accompanied by a resolution of its Board of Directors authorizing the execution of any such amended or supplemental indenture, and upon the filing with the Trustee of evidence reasonably satisfactory to the Trustee of the consent of the Holders of Notes as aforesaid, and upon receipt by the Trustee of the documents described in Section 9.06, 12.04 and 12.05 hereof, the Trustee will join with the Company and the Guarantors in the execution of such amended or supplemental indenture or security document unless such amended or supplemental indenture directly affects the Trustee’s own rights, duties or immunities under this Indenture or otherwise, in which case the Trustee may in its discretion, but will not be obligated to, enter into such amended or supplemental indenture. It is not necessary for the consent of the Holders of Notes under this Section 9.02 to approve the particular form of any proposed amendment, supplement or waiver, but it is sufficient if such consent approves the substance thereof. A consent to any amendment or waiver under this Indenture by any Holder of Notes given in connection with a tender of such Holder’s Notes will not be rendered invalid by such tender. After an amendment, supplement or waiver under this Section 9.02 becomes effective, the Company will send to the Holders of Notes affected thereby a notice briefly describing the amendment, supplement or waiver. Any failure of the Company to send such notice, or any defect therein, will not, however, in any way impair or affect the validity of any such amended or supplemental indenture or waiver. Subject to Sections 6.04 and 6.07 hereof, the Holders of a majority in aggregate principal amount of the Notes then outstanding voting as a single class may waive compliance in a particular instance by the Company or Guarantors with any provision of this Indenture, the Notes or any Note Guarantees. However, without the consent of each Holder affected, an amendment, supplement or waiver under this Section 9.02 may not (with respect to any Notes held by a non-consenting Holder): (1) reduce the principal amount of Notes whose Holders must consent to an amendment, supplement or waiver; (2) reduce the principal of or change the fixed maturity of any Note or alter or waive any of the provisions relating to the dates on which the Notes may be redeemed (other than altering or waiving any of the provisions relating to the dates for the redemption periods set forth in this Indenture to the extent that such alteration or waiver does not adversely affect the Holders of the Notes) or the redemption price thereof with respect to the redemption of the Notes (other than provisions relating to Change of Control and Asset Sales); (3) reduce the rate of or change the time for payment of interest, including default interest, on any Note (other than provisions relating to Change of Control and Asset Sales); (4) waive a Default or Event of Default in the payment of principal of, premium on, if any, or interest, if any, on, the Notes (other than a waiver of a payment default that resulted solely


 
99 Adient – CONFIDENTIAL from an acceleration not related to such payment default upon the rescission of such acceleration by Holders of at least a majority in aggregate principal amount of the Notes); (5) make any Note payable in anything other than U.S. dollars; (6) make any change in the provisions of this Indenture relating to waivers of past Defaults or the rights of Holders of Notes to receive payments of principal of, premium on, if any, or interest, if any, on, the Notes; (7) make any change in the preceding amendment and waiver provisions; or (8) make any change to, or modify, the ranking of the Notes in respect of right of payment that would adversely affect the Holders of the Notes. Section 9.03 [Reserved]. Section 9.04 Revocation and Effect of Consents. Until an amendment, supplement or waiver becomes effective, a consent to it by a Holder of a Note is a continuing consent by the Holder of a Note and every subsequent Holder of a Note or portion of a Note that evidences the same debt as the consenting Holder’s Note, even if notation of the consent is not made on any Note. However, any such Holder of a Note or subsequent Holder of a Note may revoke the consent as to its Note if the Trustee receives written notice of revocation before the date on which the Trustee receives an Officer’s Certificate certifying that the Holders of the requisite principal amount of Notes have consented (and not theretofore revoked such consent) to the amendment, supplement or waiver. An amendment, supplement or waiver becomes effective in accordance with its terms and thereafter binds every Holder. Section 9.05 Notation on or Exchange of Notes. The Trustee may place an appropriate notation about an amendment, supplement or waiver on any Note thereafter authenticated. The Company in exchange for all Notes may issue and the Trustee shall, upon receipt of an Authentication Order, authenticate new Notes that reflect the amendment, supplement or waiver. Failure to make the appropriate notation or issue a new Note will not affect the validity and effect of such amendment, supplement or waiver. Section 9.06 Trustee to Sign Amendments, etc. The Trustee will sign any amended or supplemental indenture or amendment or supplement of the Notes or any Note Guarantee, authorized pursuant to this Article 9 if the amendment or supplement does not adversely affect the rights, duties, liabilities or immunities of the Trustee. The Company may not sign an amended or supplemental indenture until the Board of Directors of the Company approves it. In executing any amended or supplemental indenture or amendment or supplement of the Notes or any Note Guarantee, the Trustee will be entitled to receive and (subject to Section 7.01 hereof) will be fully protected in relying upon, in addition to the documents required by Section 12.04 hereof, an Officer’s Certificate and an Opinion of Counsel stating that the execution of such amended or supplemental indenture or amendment or supplement of the Notes or any Note Guarantee, is authorized or permitted by this Indenture and that such supplemental indenture or amendment or supplement of the Note or, any Note Guarantee, constitutes the legal, valid and binding obligation of the Company and the Guarantors, subject to customary exceptions.


 
100 Adient – CONFIDENTIAL ARTICLE 10 NOTE GUARANTEES Section 10.01 Guarantee. (a) Subject to this Article 10, each of the Guarantors hereby, jointly and severally, irrevocably, fully and unconditionally guarantees to each Holder of a Note authenticated and delivered by the Trustee and to the Trustee and its successors and assigns, irrespective of the validity and enforceability of this Indenture, the Notes or the obligations of the Company hereunder or thereunder, that: (1) the principal of, premium on, if any, and interest on, the Notes will be promptly paid in full when due, whether at maturity, by acceleration, redemption or otherwise, and interest on the overdue principal of, premium on, if any, and interest on, the Notes, if lawful, and all other obligations of the Company to the Holders or the Trustee hereunder or thereunder will be promptly paid in full or performed, all in accordance with the terms hereof and thereof (including, without limitation, interest, fees, and expenses accruing after the filing of any petition in bankruptcy, or the commencement of any insolvency, liquidation, examinership, SCARP, reorganization or like case or proceeding under any Bankruptcy Law, relating to the Company or any Guarantor whether or not a claim for post-filing or post-petition interest, fees or expenses is allowed in such case or proceeding and the obligations under Section 7.07); and (2) in case of any extension of time of payment or renewal of any Notes or any of such other obligations, that same will be promptly paid in full when due or performed in accordance with the terms of the extension or renewal, whether at stated maturity, by acceleration or otherwise. Failing payment when due of any amount so guaranteed or any performance so guaranteed for whatever reason, the Guarantors will be jointly and severally obligated to pay the same immediately. Each Guarantor agrees that this is a guarantee of payment and not a guarantee of collection. (b) The Guarantors hereby agree that their obligations hereunder are unconditional, irrespective of the validity, regularity or enforceability of the Notes or this Indenture, the absence of any action to enforce the same, any waiver or consent by any Holder of the Notes with respect to any provisions hereof or thereof, the recovery of any judgment against the Company, any action to enforce the same or any other circumstance which might otherwise constitute a legal or equitable discharge or defense of a Guarantor. Each Guarantor hereby waives (to the fullest extent permitted by law) diligence, presentment, demand of payment, filing of claims with a court in the event of insolvency, liquidation, examinership, or bankruptcy of the Company, any right to require a proceeding first against the Company or any other Guarantor, protest, notice and all demands whatsoever and covenants that this Note Guarantee will not be discharged except by complete performance of the obligations contained in the Notes and this Indenture. (c) If any Holder or the Trustee is required by any court or otherwise to return to the Company, the Guarantors or any custodian, trustee, liquidator or other similar official acting in relation to either the Company or the Guarantors, any amount paid by either to the Trustee or such Holder, this Note Guarantee, to the extent theretofore discharged, will be reinstated in full force and effect. (d) Each Guarantor agrees that it will not be entitled to exercise any right of subrogation in relation to the Holders in respect of any obligations guaranteed hereby until payment in full of all obligations guaranteed hereby. Each Guarantor further agrees that, as between the Guarantors, on the one hand, and the Holders and the Trustee, on the other hand, (1) the maturity of the obligations guaranteed hereby may be accelerated as provided in Article 6 hereof for the purposes of this Note Guarantee, notwithstanding any stay, injunction or other prohibition preventing such acceleration in respect of the obligations guaranteed hereby, and (2) in the event of any declaration of acceleration of such obligations as provided in Article 6 hereof, such obligations (whether or not due and payable) will forthwith become due and payable by the Guarantors for the purpose of this Note Guarantee. The Guarantors will have the right to seek contribution from any non-paying


 
101 Adient – CONFIDENTIAL Guarantor so long as the exercise of such right does not impair the rights of the Holders under the Note Guarantee. Section 10.02 Limitation on Guarantor Liability. Each Guarantor, and by its acceptance of Notes, each Holder, hereby confirms that it is the intention of all such parties that the Note Guarantee of such Guarantor not constitute a fraudulent transfer, unfair, improper or fraudulent disposition or preference or conveyance for purposes of Bankruptcy Law, the Uniform Fraudulent Conveyance Act, the Uniform Fraudulent Transfer Act or any similar or other federal or state law to the extent applicable to any Note Guarantee. To effectuate the foregoing intention, the Trustee, the Holders and the Guarantors hereby irrevocably agree that the obligations of such Guarantor will be limited to the maximum amount that will, after giving effect to such maximum amount and all other contingent and fixed liabilities of such Guarantor that are relevant under such laws, and after giving effect to any collections from, rights to receive contribution from or payments made by or on behalf of any other Guarantor in respect of the obligations of such other Guarantor under this Article 10, result in the obligations of such Guarantor under its Note Guarantee not constituting a fraudulent transfer, unfair, improper or fraudulent disposition or preference or conveyance. Section 10.03 Execution and Delivery of Note Guarantee. To evidence its Note Guarantee set forth in Section 10.01 hereof, each Guarantor hereby agrees that a notation of such Note Guarantee substantially in the form attached as Exhibit E hereto will be endorsed by the manual or facsimile signature of an Officer of such Guarantor on each Note authenticated and delivered by the Trustee and that this Indenture will be executed on behalf of such Guarantor by one of its Officers. Each Guarantor hereby agrees that its Note Guarantee set forth in Section 10.01 hereof will remain in full force and effect notwithstanding any failure to endorse on each Note a notation of such Note Guarantee. If an Officer whose signature is on this Indenture or on the Note Guarantee no longer holds that office at the time the Trustee authenticates the Note on which a Note Guarantee is endorsed, the Note Guarantee will be valid nevertheless. The delivery of any Note by the Trustee, after the authentication thereof hereunder, will constitute due delivery of the Note Guarantee set forth in this Indenture on behalf of the Guarantors. In the event that the Company or any of its Restricted Subsidiaries creates or acquires any Wholly Owned Restricted Subsidiary after the Issue Date, if required by Section 4.16 hereof, the Company will cause such Wholly Owned Restricted Subsidiary to comply with the provisions of Section 4.16 hereof and this Article 10, to the extent applicable. Neither the Company nor any Guarantor shall be required to make a notation on the Notes to reflect a Note Guarantee or any release, termination or discharge thereof. Section 10.04 Guarantors May Consolidate, etc., on Certain Terms. Except as otherwise provided in Section 10.05 hereof, no Guarantor may sell or otherwise dispose of all or substantially all of its assets to, or consolidate with or merge with or into (whether or not such Guarantor is the surviving Person) another Person, other than the Company or another Guarantor, unless either: (1) subject to Section 10.05 hereof, the Person acquiring the property in any such sale or disposition or the Person formed by or surviving any such consolidation or merger unconditionally assumes all the obligations of that Guarantor under its Note Guarantee and this Indenture, on the terms set forth therein or herein, pursuant to a supplemental indenture; or (2) such sale, other disposition, consolidation or merger is permitted and the Net Proceeds of such sale or other disposition if any and if required are applied in accordance with, in


 
102 Adient – CONFIDENTIAL each case, the applicable provisions of this Indenture, including without limitation, Section 4.10 hereof. In case of any such consolidation, merger, sale or conveyance and upon the assumption by the successor Person, by supplemental indenture, executed and delivered to the Trustee and satisfactory in form to the Trustee, of the Note Guarantee endorsed upon the Notes and the due and punctual performance of all of the covenants and conditions of this Indenture to be performed by the Guarantor, such successor Person will succeed to and be substituted for the Guarantor with the same effect as if it had been named herein as a Guarantor. Such successor Person thereupon may cause to be signed any or all of the Note Guarantees to be endorsed upon all of the Notes issuable hereunder which theretofore shall not have been signed by the Company and delivered to the Trustee. All the Note Guarantees so issued will in all respects have the same legal rank and benefit under this Indenture as the Note Guarantees theretofore and thereafter issued in accordance with the terms of this Indenture as though all of such Note Guarantees had been issued at the date of the execution hereof. Except as set forth in Articles 4 and 5 hereof, nothing contained in this Indenture or in any of the Notes will prevent any consolidation or merger of a Guarantor with or into the Company or another Guarantor, or will prevent any sale or conveyance of the property of a Guarantor as an entirety or substantially as an entirety to the Company or another Guarantor. Section 10.05 Releases. A Note Guarantee of a Guarantor will be automatically and unconditionally released and discharged without the consent of Holders of Notes and each Guarantor and its obligations under the Notes Guarantee will be released and discharged upon: (1) the sale, exchange, disposition or other transfer (including through merger or consolidation) of (x) the Capital Stock of such Guarantor to a Person that is not (either before or after giving effect to such transaction) Parent or a Restricted Subsidiary of Parent, if after such transaction the Guarantor is no longer a Restricted Subsidiary, or (y) all or substantially all the assets of such Guarantor if such sale, exchange, disposition or other transfer is made in compliance with this Indenture and such entity does not remain a borrower or guarantor under any of the ABL Credit Agreement or the Term Loan Credit Agreement or an issuer or guarantor of the obligations under the 2028 Secured Notes Indenture, the 2031 Unsecured Notes Indenture or this Indenture (or is contemporaneously released therefrom); (2) the Company designating such Guarantor to be an Unrestricted Subsidiary in accordance with the provisions of Section 4.07 and Section 4.17 hereof and the definition of “Unrestricted Subsidiary;” (3) in the case of any Restricted Subsidiary that after the Issue Date is required to guarantee the Notes pursuant to Section 4.16 hereof, the release or discharge of the guarantee by such Restricted Subsidiary of Indebtedness of the Company or the repayment of the Indebtedness, in each case, that resulted in the obligation to guarantee the Notes, except if a release or discharge is by or as a result of payment in connection with the enforcement of remedies under such other guarantee or Indebtedness; (4) in the case of any Guarantor that becomes an Excluded Subsidiary, the release or discharge of the guarantee by such Restricted Subsidiary of Indebtedness of the Company or the repayment of the Indebtedness, in each case, under the 2028 Secured Notes Indenture and the 2031 Unsecured Notes Indenture, except if a release or discharge is by or as a result of payment in connection with the enforcement of remedies under such other guarantee or Indebtedness; or (5) the Company’s exercise of its Legal Defeasance option or Covenant Defeasance option pursuant to Article 8 hereof or if the Company’s Obligations under this Indenture are discharged in accordance with Article 11 hereof.


 
103 Adient – CONFIDENTIAL In connection with any release under clause (1) above, upon delivery by the Company to the Trustee of an Officer’s Certificate and an Opinion of Counsel to the effect that such sale or other disposition does not violate this Indenture, the Trustee will execute any documents reasonably required in order to evidence the release of any Guarantor from its obligations under its Note Guarantee. The Net Proceeds of such sale or other disposition shall be applied, if required, in accordance with the applicable provisions of this Indenture. Any release of a Guarantor under clause (3) or (5) above shall be evidenced to the Trustee by an Officer’s Certificate. Any Guarantor not released from its obligations under its Note Guarantee as provided in this Section 10.05 will remain liable for the full amount of principal of, premium on, if any, and interest, if any, on, the Notes and for the other obligations of any Guarantor under this Indenture as provided in this Article 10. Section 10.06 English Guarantee Limitation. The obligations of each Guarantor incorporated under the laws of England and Wales does not apply to any liability to the extent that it would result in this guarantee constituting unlawful financial assistance within the meaning of sections 678 or 679 of the Companies Act 2006. Section 10.07 Polish Guarantee Limitation. The obligations of Polish Guarantor shall be limited to the extent required so that such obligations do not and cannot result in: (a) a payment leading to reduction of the assets (majątek) required to cover the total nominal capital pursuant to Article 189 paragraph 2 of the Polish Act of 15 September 2000 - Code of Commercial Companies (Journal of Laws of 2024, item 18, as amended) and (b) insolvency as defined by Article 11 paragraph 2 of the Polish Insolvency Act of 28 February 2003 (Journal of Laws of 2024, item 794, as amended) (the “Polish Insolvency Act”), provided that, for the purpose of the limitation set forth in this letter (b), it shall be disregarded whether this state of affairs persists for a period longer than twenty four months (as provided in Article 11 paragraph 2 of the Polish Insolvency Act) or not. The limitation in clause (b) will not apply if one or more of the following circumstances occur (i) the amount of the liabilities of the Polish Guarantor (other than those under this Indenture) are of such value which results in its insolvency within the meaning of Article 11 paragraph 2 of the Polish Insolvency Act; or (ii) Polish law is amended in such a manner that over-indebtedness defined in Article 11 paragraph 2 of the Polish Insolvency Act (as in force on the date of this Indenture) no longer gives grounds for declaration of bankruptcy or obliges the representatives of the Polish Guarantor to file for bankruptcy. In the case of an Event of Default specified in clause (6) or (7) of Section 6.01 hereof with respect to any Restricted Subsidiary of Parent or the Company that is a Significant Subsidiary incorporated under the laws of Poland, the obligations of each Guarantor incorporated under the laws of Poland resulting from, or related to, the provisions of section 6.02 hereof shall apply subject to the relevant provisions of the Polish Insolvency Act (in particular subject to Article 83 and subsequent thereof), and subject to relevant provisions of the Polish Act of May 15, 2015 Restructuring Law (in particular subject to Art. 225, 247, 273, 297 thereof). Section 10.08 Belgian Guarantee Limitation. The total liability of each Guarantor incorporated under the laws of Belgium (hereinafter, a “Belgian Guarantor”) under this Indenture (together with all its Senior Indebtedness) shall be limited to an aggregate amount equal to the higher of: (a) 90% of the Net Assets (as calculated in accordance with Articles 5:142 and 7:212 of the Belgian Companies and Associations Code) of the Belgian Guarantor as derived from the latest audited financial statements of the Belgian Guarantor available at the time a demand under this Indenture is made; (b) 90% of such Belgian Guarantor’s Net Assets as derived from the latest audited financial statements of the respective Belgian Guarantor available on the date of this Indenture; and (c) the aggregate of any proceeds made under its Senior Indebtedness that has been on-lent or otherwise passed on to that Belgian Guarantor, which has not been repaid. No limitations, including the limitations set out in (a) to (c) shall apply to the liability of the Belgian Guarantor for any amounts owed by the Belgian Guarantor and its direct or indirect subsidiaries under its Senior Indebtedness (other


 
104 Adient – CONFIDENTIAL than under the guarantee provided by it under this Indenture or any other guarantee) and the Belgian Guarantor shall be liable for such amounts in full. Additionally the guarantee may not include any liability that would result in unlawful financial assistance within the meaning of Article 5:152 or 7:227, as applicable, of the Belgian Companies and Associations Code. Therefore, the guarantee and security interests granted by the Belgian guarantor will not include any obligation which if incurred would constitute a violation of the provisions on financial assistance under Article 5:152 or 7:227, as applicable, of the Belgian Companies and Associations Code. Section 10.09 Swedish Guarantee Limitation. The obligations of each Guarantor incorporated under the laws of Sweden shall, notwithstanding any provisions to the contrary contained in this Indenture, be limited by the applicable provisions and laws set forth in Section 13.20 (Swedish Terms) of this Indenture. Section 10.10 Luxembourg Guarantee Limitation. Notwithstanding the foregoing and any other provision of this Indenture or any related document to the contrary, the maximum liability and exposure of any Luxembourg Guarantor in respect of Senior Indebtedness of any company or entity which is not a direct or indirect Subsidiary of that Luxembourg Guarantor shall be limited at any time, to an aggregate amount not exceeding ninety-five per cent (95%) of such Luxembourg Guarantor’s own funds “capitaux propres”, as determined by Annex 1 of the Grand-Ducal Regulation of 18 December 2015 in relation to, inter alia, article 34 of the Luxembourg law of 19 December 2002 on the Register of Commerce and Companies, on accounting and on annual accounts of the companies (the “Net Assets”), as reflected in the Luxembourg Guarantor’s last annual accounts available as at the date of any guarantee provided in respect of the Senior Indebtedness is called. Without prejudice to the foregoing, the payment obligations under the Senior Indebtedness of any Luxembourg Guarantor for any company or entity (each a “Guaranteed Entity”) which is a Subsidiary of that Luxembourg Guarantor shall be limited, at any time, to an amount corresponding to the percentage of ownership in the Guaranteed Entity multiplied by the amount of Senior Indebtedness owed by such Guaranteed Entity. For the purpose of the above guarantee limitation in this Section 10.10, the term “Subsidiary” means any entity in which the relevant Luxembourg Guarantor owns directly or indirectly shares or partnership interests to which voting rights are attached. It is further expressly accepted and confirmed that, notwithstanding the foregoing or anything to the contrary in this Indenture or any related documents, each of the Luxembourg Guarantors shall not grant any guarantee or security other than in respect of the liabilities owed by any holding company, subsidiary, or fellow subsidiary, or any other company which belong to their group of companies. Section 10.11 Spanish Law Particulars. (a) Each Spanish Guarantor acknowledges that Notes Obligations under this Indenture shall constitute, when due and payable under the relevant agreements from which they arise, liquid, due and payable obligations of such Spanish Guarantor (deuda líquida y exigible). (b) Each Spanish Guarantor acknowledges that the Note Guarantee provided by it under this Article 10 must be construed as a first demand guarantee (garantía a primera demanda) and not as a guarantee (fianza) of those detailed in Section 1,822 et seq. of the Spanish Civil Code, and, therefore, the benefits of preference (excusión), order (orden) and division (división) shall not be applicable. (c) The obligations of each Spanish Guarantor under this Indenture vis-a-vis each Notes guaranteed party (the “Notes Guaranteed Party”) shall be governed by the terms of this Indenture at any time such that each Spanish Guarantor’s obligations pursuant to this Article 10 shall not be affected by (i) the fact


 
105 Adient – CONFIDENTIAL that a Notes Guaranteed Party may vote in favor of the approval or ratification of a composition agreement (convenio) as a result of the insolvency (concurso) of a Spanish Guarantor or if the insolvency proceeding has been filed in Spain, provided that in the event of an approval of a composition agreement (convenio) or a restructuring plan in respect of a Spanish Guarantor, the scope of any liability and guaranteed obligations of the Spanish Guarantor will be governed by said convenio or restructuring plan or (ii) the approval or execution of a restructuring plan which may be entered into in connection with a Spanish Guarantor (in any case, prior to the declaration of insolvency, whether voluntary or mandatory). The Notes Obligations of all other Guarantors will remain unaltered in any of the aforementioned events. (d) For the avoidance of doubt, the Notes Obligations of any Spanish Guarantor: 1) shall not extend to any obligations that would constitute unlawful financial assistance within the meaning of Section 143.2 or Section 150 of the Spanish Companies Law. 2) shall be limited to a maximum amount equal to twice its net equity (recursos propios) as reflected in the individual annual financial statements of the relevant Spanish Guarantor as of the year ended on 31 December 2022. Section 10.12 Jersey law particulars Without prejudice to the generality of any waiver granted in this Indenture, each Guarantor irrevocably and unconditionally abandons and waives any right which it may have at any time under the present or future laws of Jersey: (a) whether by virtue of the droit de discussion or otherwise to require that recourse be had to the assets of any other Guarantor or any other person before any claim is enforced against it in respect of the obligations or liabilities assumed by it under this Indenture; and (b) whether by virtue of the droit de division or otherwise to require that any obligation or liability under this Indenture be divided or apportioned with any other Guarantor or any other person or reduced in any manner whatsoever. Section 10.13 Irish Guarantee Limitation The obligations of each Guarantor incorporated under the laws of Ireland shall be limited to the extent required so that such obligations do not and cannot result in the provision of financial assistance within the meaning of Section 82 of the Irish Companies Act. ARTICLE 11 SATISFACTION AND DISCHARGE Section 11.01 Satisfaction and Discharge. This Indenture will be discharged and will cease to be of further effect as to all Notes issued hereunder (except as to Sections 2.06 and 2.07), when: (1) either: (a) all Notes that have been authenticated, except lost, stolen or destroyed Notes that have been replaced or paid and Notes for whose payment money has been deposited in trust and thereafter repaid to the Company or discharged from such trust, have been cancelled or delivered to the Trustee for cancellation; or (b) all such Notes have become due and payable at final maturity or by reason of the mailing of a notice of redemption or will become due and payable within one year or will be


 
106 Adient – CONFIDENTIAL redeemed within one year under arrangements satisfactory to the Trustee for the giving of a notice of redemption in the name and at the expense of the Company and the Company or any Guarantor has irrevocably deposited or caused to be deposited with the Trustee as trust funds in trust solely for the benefit of the Holders, (i) cash in U.S. dollars in an amount, (ii) non-callable Government Securities, the scheduled payments of principal of and interest thereon will be in an amount or (iii) a combination thereof in amounts, as will be sufficient, without consideration of any reinvestment of interest, to pay and discharge the entire Indebtedness on such Notes for principal of, premium on, if any, and interest, if any, on, the Notes to the date of maturity or redemption; (2) the Company or any Guarantor has paid or caused to be paid all sums payable by it under this Indenture; and (3) the Company has delivered irrevocable instructions to the Trustee under this Indenture to apply the deposited money toward the payment of the Notes at maturity or on the redemption date, as the case may be. In addition, the Company must deliver an Officer’s Certificate and an Opinion of Counsel to the Trustee stating that all conditions precedent to satisfaction and discharge have been satisfied. Notwithstanding the satisfaction and discharge of this Indenture, if money has been deposited with the Trustee pursuant to subclause (b) of clause (1) of this Section 11.01, the provisions of Sections 11.02 and 8.06 hereof will survive. In addition, nothing in this Section 11.01 will be deemed to discharge those provisions of Section 7.07 hereof, that, by their terms, survive the satisfaction and discharge of this Indenture. Section 11.02 Application of Trust Money. Subject to the provisions of Section 8.06 hereof, all money and non-callable Government Securities (including the proceeds thereof) deposited with the Trustee pursuant to Section 11.01 hereof shall be held in trust and applied by it, in accordance with the provisions of the Notes and this Indenture, to the payment, either directly or through any Paying Agent (including the Company acting as its own Paying Agent) as the Trustee may determine, to the Persons entitled thereto, of the principal, premium, if any, and interest for whose payment such money has been deposited with the Trustee; but such money need not be segregated from other funds except to the extent required by law. If the Trustee or Paying Agent is unable to apply any money or Government Securities in accordance with Section 11.01 hereof by reason of any legal proceeding or by reason of any order or judgment of any court or governmental authority enjoining, restraining or otherwise prohibiting such application, the Company’s and any Guarantor’s obligations under this Indenture and the Notes shall be revived and reinstated as though no deposit had occurred pursuant to Section 11.01 hereof; provided that if the Company has made any payment of principal of, premium on, if any, or interest on, any Notes because of the reinstatement of its obligations, the Company shall be subrogated to the rights of the Holders of such Notes to receive such payment from the money or Government Securities held by the Trustee or Paying Agent. The Company will pay and indemnify the Trustee against any tax, fee or other charge imposed on or assessed against the cash or non-callable Government Securities deposited pursuant to Section 11.01 hereof or the principal and interest received in respect thereof other than any such tax, fee or other charge which by law is for the account of the Holders of the outstanding Notes. Notwithstanding anything in this Article 11 to the contrary, the Trustee will deliver or pay to the Company from time to time upon the request of the Company any money or non-callable Government Securities held by it as provided in Section 11.01 hereof which are in excess of the amount thereof that would then be required to be deposited to effect a discharge in accordance with this Article 11.


 
107 Adient – CONFIDENTIAL ARTICLE 12 [RESERVED] ARTICLE 13 MISCELLANEOUS Section 13.01 [Reserved]. Section 13.02 Notices. Any notice or communication by the Company, any Guarantor or the Trustee to the others or to them by the Holders is duly given if in writing and delivered in Person or by first class mail (registered or certified, return receipt requested), facsimile transmission or overnight air courier guaranteeing next day delivery, to the others’ address: If to the Company and/or any Guarantor: Adient Global Holdings Ltd c/o Adient US LLC 49200 Halyard Drive Plymouth, Michigan 48170 Email: CO-General.Counsel@adient.com Attention: General Counsel With a copy to: Sullivan & Cromwell LLP 125 Broad Street New York, NY 10004-2498 Facsimile No.: (212) 558-4349 Email: estesj@sullcrom.com; morricec@sullcrom.com Attention: John E. Estes, Esq.; R. Courtland Morrice, Esq. If to the Trustee: U.S. Bank Trust Company, National Association 1555 North RiverCenter Drive, Suite 203 Milwaukee, WI 53212 Facsimile No.: (414) 905-5049 Email: yvonne.siira@usbank.com Attention: Yvonne Siira With a copy to: Stinson LLP 50 South Sixth Street, Suite 2600 Minneapolis, MS 55402 Facsimile No.: (612) 335-1657 Email: iain.johnson@stinson.com Attention: Iain M. Johnson, Esq. The Company, any Guarantor or the Trustee, by notice to the others, may designate additional or different addresses for subsequent notices or communications. All notices and communications (other than those sent to Holders) will be deemed to have been duly given: at the time delivered by hand, if personally delivered; five Business Days after being deposited in the mail, postage


 
108 Adient – CONFIDENTIAL prepaid, if mailed; when receipt acknowledged, if transmitted by facsimile or e-mail; and the next Business Day after timely delivery to the courier, if sent by overnight air courier guaranteeing next day delivery. Any notice or communication to a Holder will be mailed by first class mail, certified or registered, return receipt requested, or by overnight air courier guaranteeing next day delivery to its address shown on the register kept by the Registrar. Failure to mail a notice or communication to a Holder or any defect in it will not affect its sufficiency with respect to other Holders. If a notice or communication is mailed in the manner provided above within the time prescribed, it is duly given, whether or not the addressee receives it. If the Company mails a notice or communication to Holders, it will mail a copy to the Trustee and each Agent at the same time. The Trustee agrees to accept and act upon notice, instructions or directions pursuant to this Indenture sent by unsecured e-mail, pdf, facsimile transmission or other similar unsecured electronic methods; provided, however, that the Trustee shall have received an incumbency certificate listing persons designated to give such instructions or directions and containing specimen signatures of such designated persons, which such incumbency certificate shall be amended and replaced whenever a person is to be added or deleted from the listing. If the Company elects to give the Trustee e-mail or facsimile instructions (or instructions by a similar electronic method) and the Trustee in its discretion elects to act upon such instructions, the Trustee’s understanding of such instructions shall be deemed controlling. The Trustee shall not be liable for any losses, costs or expenses arising directly or indirectly from the Trustee’s reasonable reliance upon and compliance with such notice, instructions or directions notwithstanding such notice, instructions or directions conflict or are inconsistent with a subsequent notice, instructions or directions. The Company agrees to assume all risks arising out of the use of such electronic methods to submit instructions and directions to the Trustee, including without limitation the risk of the Trustee acting on unauthorized instructions, and the risk or interception and misuse by third parties. All notices, approvals, consents, requests and any communications under this Indenture to the Trustee must be in writing and in the form of a document that is signed manually or by way of a digital signature provided by DocuSign (or such other digital signature provider as specified in writing to the Trustee by the Company), in English. The Company agrees to assume all risks arising out of the use of digital signatures and electronic methods to submit communications to the Trustee, including without limitation the risk of the Trustee acting on unauthorized instructions, and the risk of interception and misuse by third parties. Section 13.03 [Reserved]. Section 13.04 Certificate and Opinion as to Conditions Precedent. Upon any request or application by the Company or a Guarantor to the Trustee to take any action under this Indenture, the Company or such Guarantor, as applicable, shall furnish to the Trustee: (1) an Officer’s Certificate in form reasonably satisfactory to the Trustee (which must include the statements set forth in Section 13.05 hereof) stating that, in the opinion of the signers, all conditions precedent and covenants, if any, provided for in this Indenture relating to the proposed action have been satisfied; provided, that such Officer’s Certificate shall not be required to be furnished to the Trustee in connection with the authentication and delivery of the Initial Notes on the Issue Date; and (2) an Opinion of Counsel in form reasonably satisfactory to the Trustee (which must include the statements set forth in Section 13.05 hereof) stating that, in the opinion of such counsel, all such conditions precedent and covenants have been satisfied.


 
109 Adient – CONFIDENTIAL Section 13.05 Statements Required in Certificate or Opinion. Each certificate or opinion with respect to compliance with a condition or covenant provided for in this Indenture must include: (1) a statement that the Person making such certificate or opinion has read such covenant or condition; (2) brief statement as to the nature and scope of the examination or investigation upon which the statements or opinions contained in such certificate or opinion are based; (3) a statement that, in the opinion of such Person, he or she has made such examination or investigation as is necessary to enable him or her to express an informed opinion as to whether or not such covenant or condition has been satisfied; and (4) a statement as to whether or not, in the opinion of such Person, such condition or covenant has been satisfied; provided that an issuer of an Opinion of Counsel may rely as to matters of fact on an Officer’s Certificate or a certificate of a public official and an Officer executing an Officer’s Certificate may rely as to legal conclusions on an Opinion of Counsel. Section 13.06 Rules by Trustee and Agents. The Trustee may make reasonable rules for action by or at a meeting of Holders. The Registrar or Paying Agent may make reasonable rules and set reasonable requirements for its functions. Section 13.07 No Personal Liability of Directors, Officers, Employees and Equity Holders, including Members. No director, officer, employee, incorporator or equity holder, including members, of the Company or any Guarantor, as such, will have any liability for any obligations of the Company or the Guarantors under the Notes, this Indenture, the Note Guarantees or for any claim based on, in respect of, or by reason of, such obligations or their creation. Each Holder of Notes by accepting a Note waives and releases all such liability. The waiver and release are part of the consideration for issuance of the Notes. The waiver may not be effective to waive liabilities under the federal securities laws. Section 13.08 Governing Law. THE INTERNAL LAW OF THE STATE OF NEW YORK WILL GOVERN AND BE USED TO CONSTRUE THIS INDENTURE, THE NOTES AND THE NOTE GUARANTEES WITHOUT GIVING EFFECT TO APPLICABLE PRINCIPLES OF CONFLICTS OF LAW TO THE EXTENT THAT THE APPLICATION OF THE LAWS OF ANOTHER JURISDICTION WOULD BE REQUIRED THEREBY. Section 13.09 Consent to Jurisdiction; Consent to Service of Process. Any legal suit, action or proceeding arising out of or based upon this Indenture or the transactions contemplated hereby may be instituted in the federal courts of the United States of America located in the City of New York or the courts of the State of New York in each case located in the City of New York (collectively, the “Specified Courts”), and each party irrevocably submits to the exclusive jurisdiction of such courts in any such suit, action or proceeding and irrevocably waives the right to any other jurisdiction to which it may be entitled by reason of present or future domicile, place of residence or for any other reason. Service of any process, summons, notice or document by mail (to the extent allowed under any applicable statute or rule of court) to such party’s address set forth in Section 13.02 hereof shall be effective service of process for any suit, action or other proceeding brought in any such court. The parties irrevocably and unconditionally waive any objection to the laying of venue of any suit,


 
110 Adient – CONFIDENTIAL action or other proceeding in the Specified Courts and irrevocably and unconditionally waive and agree not to plead or claim any such suit, action or other proceeding has been brought in an inconvenient forum. Each Guarantor party hereto irrevocably and unconditionally appoints Adient US, with an office on the date hereof at THE CORPORATION COMPANY, 40600 ANN ARBOR RD E, SUITE 201 PLYMOUTH, MI 48170, and its successors hereunder (in each case, the “Process Agent”), as its agent to receive on behalf of each such Guarantor and its property all writs, claims, process, and summonses in any action or proceeding brought against it in the State of New York and, in the case of Mexican Guarantors, agree to grant before a notary public in Mexico an irrevocable power-of-attorney for lawsuits and collections (poder irrevocable para pleitos y cobranzas) in favor of the Process Agent in form and substance reasonably acceptable to the Trustee or its counsel and to maintain such power-of-attorney in effect for at least 6 months after all amounts hereunder and under the other Notes Documents shall have been paid in full; provided that to the extent the Process Agent is incorporated or organized under the laws of any jurisdiction other than the United States of America, any state thereof or the District of Columbia, the Process Agent agrees to maintain an office in the United States (which may be effected through a sub-agent) for service of process. Such service may be made by mailing or delivering a copy of such process to the respective Guarantor in care of the Process Agent at the address specified above for the Process Agent, and such Guarantor irrevocably authorizes and directs the Process Agent to accept such service on its behalf. Failure by the Process Agent to give notice to the respective Guarantor, or failure of the respective Guarantor, to receive notice of such service of process shall not impair or affect the validity of such service on the Process Agent or any such Guarantor, or of any judgment based thereon. Each Guarantor party hereto covenants and agrees that it shall take any and all reasonable action, including the execution and filing of any and all documents, that may be necessary to continue the designation of the Process Agent above in full force and effect, and to cause the Process Agent to act as such. Nothing herein shall in any way be deemed to limit the ability to serve any such writs, process or summonses in any other manner permitted by applicable law. Section 13.10 No Adverse Interpretation of Other Agreements. This Indenture may not be used to interpret any other indenture, loan or debt agreement of the Company or its Subsidiaries or of any other Person. Any such indenture, loan or debt agreement may not be used to interpret this Indenture. Section 13.11 Successors. All agreements of the Company and each Guarantor in this Indenture and the Notes will bind its successors. All agreements of the Trustee in this Indenture will bind its successors. All agreements of each Guarantor in this Indenture will bind its successors, except as otherwise provided in Section 10.05 hereof. Section 13.12 Severability. In case any provision in this Indenture or in the Notes is invalid, illegal or unenforceable, the validity, legality and enforceability of the remaining provisions shall not in any way be affected or impaired thereby. Section 13.13 [Reserved]. Section 13.14 Counterpart Originals. The parties may sign any number of copies of this Indenture. Each signed copy will be an original, but all of them together represent the same agreement. Any signature to this Indenture may be delivered by facsimile, electronic mail (including pdf) or any electronic signature complying with the U.S. Federal ESIGN Act of 2000 or the New York Electronic Signature and Records Act or other transmission method and any counterpart so delivered shall be deemed to have been duly and validly delivered and be valid and effective for all purposes to the fullest extent permitted by applicable law.


 
111 Adient – CONFIDENTIAL Section 13.15 Table of Contents, Headings, etc. The Table of Contents, Cross-Reference Table and Headings of the Articles and Sections of this Indenture have been inserted for convenience of reference only, are not to be considered a part of this Indenture and will in no way modify or restrict any of the terms or provisions hereof. Section 13.16 Force Majeure. In no event shall the Trustee be responsible or liable for any failure or delay in the performance of its obligations hereunder arising out of or caused by, directly or indirectly, forces beyond its control, including, without limitation, strikes, work stoppages, accidents, acts of war or terrorism, civil or military disturbances, nuclear or natural catastrophes or acts of God, and interruptions, loss or malfunctions of utilities, communications or computer (software and hardware) services; it being understood that the Trustee shall use reasonable efforts which are consistent with accepted practices in the banking industry to resume performance as soon as practicable under the circumstances. Section 13.17 Waiver of Jury Trial. EACH OF THE COMPANY, THE GUARANTORS (IF ANY), EACH HOLDER OF A NOTE BY ITS ACCEPTANCE THEREOF AND THE TRUSTEE IRREVOCABLY WAIVES, TO THE FULLEST EXTENT PERMITTED BY APPLICABLE LAW, ANY AND ALL RIGHT TO TRIAL BY JURY IN ANY LEGAL PROCEEDING ARISING OUT OF OR RELATING TO THIS INDENTURE, THE NOTES, THE NOTE GUARANTEES OR THE TRANSACTION CONTEMPLATED HEREBY. Section 13.18 Foreign Account Tax Compliance Act (FATCA). The Company agrees (i) to provide the Trustee with such reasonable information as it has in its possession to enable the Trustee to determine whether any payments pursuant to this Indenture are subject to the withholding requirements described in Section 1471(b) of the US Internal Revenue Code of 1986 (the “Code”) or otherwise imposed pursuant to Sections 1471 through 1474 of the Code and any regulations, or agreements thereunder or official interpretations thereof (“Applicable Law”), and (ii) that the Trustee shall be entitled to make any withholding or deduction from payments under this Indenture to the extent necessary to comply with Applicable Law. Section 13.19 Spanish provisions relating to executive proceedings (a) Spanish Public Documents (i) At the reasonable request of the Trustee, this Indenture, the Notes and such other applicable documents as may be necessary (as well as any supplemental indentures, amendments hereto or thereto and any accession deeds or joinder agreements) shall be formalized as a Spanish Public Document, so that it may have the status of a notarial document for all purposes contemplated in Article 517, numbers 4º or 5º (as applicable) of the Spanish Civil Procedural Law. Any costs and expenses relating to such formalization shall be paid and satisfied by the relevant Spanish Guarantor. (ii) Each Spanish Guarantor also undertakes to grant any public or private document reasonably required by the Trustee for the purposes of or in relation to such Spanish Public Document. (iii) The costs of issuance of first copies (with and without enforcement title) of such Spanish Public Document shall be borne by the relevant Spanish Guarantor, and the cost regarding the issuance of additional copies will be borne by the party requesting such additional copies. (iv) Each Spanish Guarantor undertakes that the Spanish Public Document shall:


 
112 Adient – CONFIDENTIAL (1) expressly state that the Trustee and the Holders are entitled to claim (subject to any of the applicable guarantee limitations established and subject to compliance with the terms of this Indenture) amounts outstanding under this Indenture or Notes following any non-payment of principal or interest under this Indenture, in accordance with the terms of this Indenture. This does not prejudice the exercise of any other right and remedy of the Trustee or the Holders; and (2) state any conditions that the Trustee reasonably consider necessary or convenient in respect of the enforceability of this Indenture or Notes referred to in article 517 et seq. of the Spanish Civil Procedural Law. (b) Enforcement proceedings (i) Upon enforcement, the sum payable by any Spanish Guarantor shall be the total aggregate amount of the balance of the accounts maintained by the Trustee in accordance with this Indenture. For the purposes of Articles 571 et seq. of the Spanish Civil Procedural Law, the Spanish Guarantors and the Trustee expressly agree that such balances shall be considered as due, liquid and payable and may be claimed pursuant to the same provisions of such law. (ii) For the purpose of the provisions of Art. 571 et seq. of the Spanish Civil Procedural Law, it is expressly agreed by the Spanish Guarantors and the Trustee that the determination of the debt to be claimed through the executive proceedings shall be effected by the Trustee by means of the appropriate certificate evidencing the balances shown in the relevant account(s) referred to in paragraph (i) above. By virtue of the foregoing, to exercise executive action by the Trustee it will be sufficient to present (1) an original notarial first or authentic copy of this Indenture (or Supplemental Indenture to the same), (2) a notarial certificate, if necessary, for the purposes described in paragraph (iii) below, (3) the notarial document (acta notarial) which incorporates the certificate issued by the Trustee of the amount due by the Spanish Guarantor including an excerpt of the credits and debits, including the interest applied, which appear in the relevant account(s) referred to in paragraph (i) above, evidencing that the determination of the amounts due and payable by the Spanish Guarantor have been calculated as agreed in this Indenture and that such amounts coincide with the balance of such accounts, and (4) a notarial document (acta notarial) evidencing that the Spanish Guarantor has been served notice of the amount that is due and payable. (iii) The amount of the balances so established shall be notified to the Spanish Guarantor in an attestable manner at least three (3) Business Days in advance of exercising the executive action set out in paragraph (ii) above. (iv) The Spanish Guarantors hereby expressly authorize the Trustee to request and obtain certificates and documents issued by the notary who has formalized this Indenture (or any Supplemental Indenture or amendment thereto) in order to evidence its compliance with the entries of his registry-book and the relevant entry date for the purpose of numbers 4º or 5º (as applicable) of Article 517 of the Spanish Civil Procedural Law. The cost of such certificate and documents will be for the account of the Spanish Guarantor in the manner provided under this Indenture. (v) For the purposes of article 540.2 of the Spanish Civil Procedural Law, the Spanish Guarantors acknowledge and accept that, provided that the relevant assignment, transfer or change of Holders has been made in accordance with the terms of this Indenture, any assignment, transfer or change of Holders shall be duly and sufficiently evidenced to any Spanish court by means of a certificate issued by the Trustee confirming who the Holders are in each moment, and therefore, those who are certified as Holders by the Trustee shall be able to initiate enforcement in Spain through procedimiento ejecutivo without further evidence being required.


 
113 Adient – CONFIDENTIAL Section 13.20 Swedish Terms. Notwithstanding and overriding any other provision of this Indenture, the Notes, the Guarantees and/or any other document relating to the Notes (collectively, the “Notes Documents”) and/or any exhibit if schedule thereto: (a) [reserved]; (b) ANY OBLIGATION FOR ANY ENTITY INCORPORATED IN SWEDEN TO ACT AS TRUSTEE SHALL BE AN OBLIGATION TO ACT AS AGENT AND THE OBLIGATION TO HOLD ASSETS ON TRUST SHALL BE AN OBLIGATION NOT TO HOLD SUCH ASSETS ON TRUST BUT TO HOLD SUCH ASSETS AS AGENT; (c) IF ANY SWEDISH OBLIGOR IS REQUIRED TO HOLD AN AMOUNT ON TRUST ON BEHALF OF ANOTHER PARTY (THE “BENEFICIARY”), SUCH SWEDISH OBLIGOR SHALL HOLD SUCH MONEY AS AGENT FOR THE BENEFICIARY ON A SEPARATE ACCOUNT IN ACCORDANCE WITH THE SWEDISH ACT OF 1944 IN RESPECT OF ASSETS HELD ON ACCOUNT (SW. LAG (1944:181) OM REDOVISNINGSMEDEL) AND SHALL PROMPTLY PAY OR TRANSFER THE SAME TO THE BENEFICIARY OR AS THE BENEFICIARY MAY DIRECT; (d) ANY OBLIGATION, REPRESENTATION, UNDERTAKING, AND/OR LIABILITY OF ANY SWEDISH OBLIGOR UNDER THIS INDENTURE AND/OR ANY OTHER NOTES DOCUMENT IN RESPECT OF OR IN RELATION TO, BUT NOT LIMITED TO, ANY ISSUANCE OR OTHER DEBT INCURRENCE, GUARANTY, GUARANTEE, SECURITY, SUBORDINATION, SUBROGATION, INDEMNITY, PAYMENT, REPAYMENT, PRE-PAYMENT, REDEMPTION, REIMBURSEMENT OR COMPENSATION OBLIGATION, LIABILITY, OBLIGATION, WAIVER OF ANY RIGHTS, DEEMED CONSENT, RELEASE OF ANY RIGHTS OR LIABILITIES, OBLIGATION TO PAY ANY FEES OR COST AND/OR ANY OTHER OBLIGATION OR LIABILITY OF ITSELF OR ITS SUBSIDIARIES OR PARENT'S AND/OR PARENT'S SUBSIDIARIES OR OTHER ENTITY AND ANY RELEASE, DISPOSAL, TRANSFER OR OTHER ACTION IN CONNECTION WITH A DISTRESSED DISPOSAL SHALL BE LIMITED, IF (AND ONLY IF) REQUIRED BY THE PROVISIONS OF THE SWEDISH COMPANIES ACT (SW. AKTIEBOLAGSLAGEN (2005:551) (THE “SWEDISH COMPANIES ACT”) REGULATING DISTRIBUTION OF ASSETS (CHAPTER 17, SECTIONS 1-4) (OR THEIR EQUIVALENTS FROM TIME TO TIME) AND UNLAWFUL LOANS, SECURITY, GUARANTEES AND FINANCIAL ASSISTANCE (CHAPTER 21, SECTIONS 1-5) (OR THEIR EQUIVALENTS FROM TIME TO TIME) AND IT IS UNDERSTOOD AND AGREED THAT THE OBLIGATIONS, REPRESENTATIONS, UNDERTAKINGS AND LIABILITIES OF EACH SWEDISH OBLIGOR UNDER THIS INDENTURE AND ANY OTHER NOTES DOCUMENT AND THE TERMS AND CONDITIONS OF THE NOTES DOCUMENTS ONLY APPLY TO THE EXTENT PERMITTED BY THE ABOVE MENTIONED PROVISIONS OF THE SWEDISH COMPANIES ACT AND THAT ANY ACTION WOULD NOT BREACH ANY OF THE ABOVE MENTIONED PROVISIONS OF THE SWEDISH COMPANIES ACT; (e) ANY OBLIGATION OF A SWEDISH OBLIGOR AS JOINT AND SEVERAL ISSUER OR GUARANTOR SHALL BE SUBJECT TO (d) ABOVE; (F) THE CIRCUMSTANCE OR FACT THAT NO SPECIFIC REFERENCE IS MADE TO OR QUALIFICATION IS MADE IN RESPECT OF THE SWEDISH TERMS IN A NOTES DOCUMENT SHALL NOT MEAN THAT THE SWEDISH TERMS DO NOT APPLY AND OVERRIDE, THE SWEDISH TERMS SHALL ALWAYS OVERRIDE AND NO STATEMENT OR REFERENCE IN ANY NOTES DOCUMENT THAT A PROVISION OR TERM SHALL APPLY NOTWITHSTANDING ANY OTHER PROVISION SHALL APPLY IN RELATION TO THE SWEDISH TERMS; (g) A “COMPROMISE” OR “ARRANGEMENT” WITH ANY CREDITOR INCLUDES (A) ANY WRITE-DOWN OF DEBT (SW. OFFENTLIGT ACKORD) FOLLOWING FROM ANY PROCEDURE OF ‘FÖRETAGSREKONSTRUKTION’ UNDER THE SWEDISH COMPANY REORGANISATION ACT (SW. LAG OM FÖRETAGSREKONSTRUKTION (2022:964)) (THE “SWEDISH COMPANY


 
114 Adient – CONFIDENTIAL REORGANISATION ACT”), OR (B) ANY WRITE-DOWN OF DEBT IN BANKRUPTCY (SW. ACKORD I KONKURS) UNDER THE SWEDISH BANKRUPTCY ACT (SW. KONKURSLAG (1987:672)) (THE “SWEDISH BANKRUPTCY ACT”); (h) A “RECEIVER”, “TRUSTEE” OR “CUSTODIAN” INCLUDES (A) ‘REKONSTRUKTÖR’ UNDER THE SWEDISH COMPANY REORGANISATION ACT, (B) ‘KONKURSFÖRVALTARE’ UNDER THE SWEDISH BANKRUPTCY ACT, OR (C) ‘LIKVIDATOR’ UNDER THE SWEDISH COMPANIES ACT; (i) AN INSOLVENCY INCLUDES SUCH ENTITY BEING SUBJECT TO “KONKURS” UNDER THE SWEDISH BANKRUPTCY ACT, “FÖRETAGSREKONSTRUKTION” UNDER THE SWEDISH COMPANY REORGANISATION ACT OR “TVÅNGSLIKVIDATION” UNDER CHAPTER 25 OF THE SWEDISH COMPANIES ACT; (j) IN RELATION TO THIS INDENTURE AND ANY OTHER NOTE DOCUMENT, ANY WINDING-UP, INSOLVENCY, BANKRUPTCY PROCEEDING, CREDIT BIDDING OR SIMILAR ARRANGEMENT INVOLVING AN ENTITY INCORPORATED IN SWEDEN (INCLUDING BUT NOT LIMITED TO ANY SWEDISH OBLIGOR) WILL ALWAYS BE SUBJECT TO SWEDISH LAW AND IN PARTICULAR TO BUT NOT LIMITED TO THE PROCEDURE SET FORTH IN THE SWEDISH BANKRUPTCY ACT, THE SWEDISH COMPANY REORGANISATION ACT AND THE SWEDISH COMPANIES ACT. [Signatures on following page]


 
[Adient – Signature Page to Indenture] Adient – CONFIDENTIAL SIGNATURES Dated as of February 3, 2025 ADIENT GLOBAL HOLDINGS LTD By: /s/ Justin Fischer Name: Justin Fischer Title: Authorized Representative


 
[Adient – Signature Page to Indenture] Adient – CONFIDENTIAL Guarantors: Adient Global Holdings S.à r.l., a Luxembourg company incorpo- rated under the laws of the Grand Duchy of Luxembourg as a société à responsabilité limitée, with its registered office at 35F, Avenue John F Kennedy, L-1855 Luxembourg, Grand Duchy of Luxembourg and reg- istered with the Luxembourg Register of Commerce and Companies (Registre de Commerce et des Sociétés, Luxembourg) under number B 214.737 By: /s/ Justin Fischer Name: Justin Fischer Title: Authorized Signatory Adient Global Holdings Luxembourg S.à r.l., a Luxembourg com- pany incorporated under the laws of the Grand Duchy of Luxembourg as a société à responsabilité limitée, with its registered office at 35F, Avenue John F Kennedy, L-1855 Luxembourg, Grand Duchy of Lux- embourg and registered with the Luxembourg Register of Commerce and Companies (Registre de Commerce et des Sociétés, Luxembourg) under number B 214.747 By: /s/ Justin Fischer Name: Justin Fischer Title: Authorized Signatory


 
[Adient – Signature Page to Indenture] Adient – CONFIDENTIAL Adient Luxembourg Asia Holding S.à r.l., a Luxembourg company incorporated under the laws of the Grand Duchy of Luxembourg as a société à responsabilité limitée, with its registered office at 35F, Ave- nue John F Kennedy, L-1855 Luxembourg, Grand Duchy of Luxem- bourg and registered with the Luxembourg Register of Commerce and Companies (Registre de Commerce et des Sociétés, Luxembourg) un- der number B 208.006 By: /s/ Justin Fischer Name: Justin Fischer Title: Authorized Signatory Adient Luxembourg Poland Holding S.à r.l., a Luxembourg com- pany incorporated under the laws of the Grand Duchy of Luxembourg as a société à responsabilité limitée, with its registered office at 35F, Avenue John F Kennedy, L-1855 Luxembourg, Grand Duchy of Lux- embourg and registered with the Luxembourg Register of Commerce and Companies (Registre de Commerce et des Sociétés, Luxembourg) under number B 204.878 By: /s/ Justin Fischer Name: Justin Fischer Title: Authorized Signatory


 
[Adient – Signature Page to Indenture] Adient – CONFIDENTIAL Adient plc Signed and delivered as a deed for and on behalf of ADIENT PLC acting by its duly authorised and appointed attorney Name of attorney: Justin Fischer Signature of attorney: /s/ Justin Fischer In the presence of: [Omitted]


 
[Adient – Signature Page to Indenture] Adient – CONFIDENTIAL Adient Holding Ireland Limited Signed and delivered as a deed for and on behalf of ADIENT HOLDING IRELAND LIMITED acting by its duly authorised and appointed attorney Name of attorney: Justin Fischer Signature of attorney: /s/ Justin Fischer In the presence of: [Omitted]


 
[Adient – Signature Page to Indenture] Adient – CONFIDENTIAL Adient International Ltd By: /s/ Justin Fischer Name: Justin Fischer Title: Authorised Representative Adient US LLC By: /s/ Justin Fischer Name: Justin Fischer Title: Authorized Person


 
[Adient – Signature Page to Indenture] Adient – CONFIDENTIAL Adient Eldon Inc. Adient Systems Engineering LLC Adient Clanton Inc. Adient Inc. Adient Holding Mexico LLC Adient Holding Spain LLC Adient Holding Slovakia LLC Adient Holding Turkey LLC Adient Holding South Africa LLC Futuris Global Holdings, LLC Futuris Automotive (NA) Holdings Inc. Futuris Automotive (NA) Intermediate Holdings Inc. Futuris Automotive (US) Inc. Futuris Automotive (CA) LLC CNI Enterprises, Inc. CNI-Duluth, LLC NICA, Inc. Universal Trim, Inc. By: /s/ Justin Fischer Name: Justin Fischer Title: Authorized Person


 
[Adient – Signature Page to Indenture] Adient – CONFIDENTIAL Adient US Enterprises Limited Partnership By /s/ Justin Fischer Name: Justin Fischer Title: Authorized Person


 
[Adient – Signature Page to Indenture] Adient – CONFIDENTIAL Adient Seating UK Ltd By: /s/ Justin Fischer Name: Justin Fischer Title: Attorney Adient Properties UK Ltd By: /s/ Justin Fischer Name: Justin Fischer Title: Attorney Adient Holding Germany Ltd By: /s/ Justin Fischer Name: Justin Fischer Title: Attorney Adient Holding UK Ltd By: /s/ Justin Fischer Name: Justin Fischer Title: Attorney Adient Financing International Ltd By: /s/ Justin Fischer Name: Justin Fischer Title: Attorney Adient UK Financing Ltd By: /s/ Justin Fischer Name: Justin Fischer Title: Attorney


 
[Adient – Signature Page to Indenture] Adient – CONFIDENTIAL Adient Belgium BV, a private limited liability company (besloten vennootschap/société à responsabilité limitée) organised and existing under Belgian law, having its registered office at Paul Christiaenstraat 1, 9960 Assenede and registered under company number 0437.456.835 RLP Ghent, division Ghent. By: /s/ Justin Fischer Name: Justin Fischer Title: Authorized Signatory


 
[Adient – Signature Page to Indenture] Adient – CONFIDENTIAL Adient Sweden AB a Swedish private limited liability company organized and existing un- der the laws of Sweden with its registered address on Hamneviksvägen Building ART-S, 418 79 Gothenburg, having the following company registration number: 556477-1144 By: /s/ Justin Fischer Name: Justin Fischer Title: Authorized Signatory


 
[Adient – Signature Page to Indenture] Adient – CONFIDENTIAL Adient Seating Poland spółka z ograniczoną odpowiedzialnością, a Polish company with its registered office in Siemianowice Śląskie, at 93 Krupanka Street 41-100 Siemianowice Śląskie, entered into the register of entrepreneurs of the National Court Register, maintained by the District Court Katowice-Wschód in Katowice, VIII Commercial Division of the National Register Court, under the number KRS 0000236927, having the following numbers NIP: 5862148358 and REGON: 220066313 and a share capital of PLN 229,741,500.00. By: /s/ Phillip Allan Rotman II Name: Phillip Allan Rotman II Title: Attorney Adient Foam Poland spółka z ograniczoną odpowiedzialnością, a Polish company with its registered office in Żory, 6 Wygoda Street, 44-240 Żory, entered into the register of entrepreneurs of the National Court Register maintained by the District Court in Gliwice, X Com- mercial Division of the National Register Court, under the KRS num- ber: 0000251430, having the following numbers NIP: 7010029670 and REGON: 140581505 and a share capital of PLN 15,529,000.00. By: /s/ Phillip Allan Rotman II Name: Phillip Allan Rotman II Title: Attorney Adient Poland spółka z ograniczoną odpowiedzialnością, a Polish company with its registered office in Świebodzin, at Zachodnia 78, 66- 200 Świebodzin, entered into the register of entrepreneurs of the National Court Register, maintained by the District Court in Zielona Góra, VIII Commercial Division of the National Register Court, under the number KRS: 0000013213, having the following numbers NIP: 9271756246 and REGON: 971291505 and a share capital of PLN 3,465,000.00. By: /s/ Phillip Allan Rotman II Name: Phillip Allan Rotman II Title: Attorney


 
[Adient – Signature Page to Indenture] Adient – CONFIDENTIAL Adient Industries México S. de R.L. de C.V. Adient Leasing México S. de R.L. de C.V. Adient México S. de R.L. de C.V. Adient México Automotriz S. de R.L. de C.V. Adient México Holding S. de R.L. de C.V. Adient Querétaro S. de R.L. de C.V. Adient Shared Services México S. de R.L. de C.V. Adient Servicios S. de R.L. de C.V. Adient Subholding Leasing S. de R.L. de C.V. Brena Mex S. de R.L. de C.V. Ensamble de Interiores Automotrices México S. de R.L. de C.V. Ensamble de Interiores Automotrices, S. de R.L. de C.V. By: /s/ Phillip Allan Rotman II Name: Phillip Allan Rotman II Title: Attorney-in-fact


 
[Adient – Signature Page to Indenture] Adient – CONFIDENTIAL U.S. BANK TRUST COMPANY, NATIONAL ASSOCIATION, as Trustee By: /s/ Yvonne Siira Name: Yvonne Siira Title: Vice President


 
A-1 Adient – CONFIDENTIAL EXHIBIT A [Insert the Global Note Legend, if applicable pursuant to the provisions of the Indenture] [Insert the Private Placement Legend, if applicable pursuant to the provisions of the Indenture] [Insert the Regulation S Temporary Global Note Legend, if applicable pursuant to the provisions of the Indenture] [Insert the Tax Legend, if applicable pursuant to the provisions of the Indenture]


 
A-2 Adient – CONFIDENTIAL CUSIP/CINS ___________1 ISIN _________2 7.500% Senior Unsecured Notes due 2033 No. $_________________ ADIENT GLOBAL HOLDINGS LTD promises to pay to _________________________ or registered assigns, the principal sum of ___________________________________________________________ DOLLARS [or such other principal sum as shall be set forth in the Schedule of Exchanges of Interests in the Global Note attached hereto]3 on February 15, 2033. Interest Payment Dates: February 15 and August 15 Record Dates: February 1 and August 1 Dated: _______________ ADIENT GLOBAL HOLDINGS LTD By: Name: Title: This is one of the Notes referred to in the within-mentioned Indenture: U.S. BANK TRUST COMPANY, NATIONAL ASSOCIATION, as Trustee By: Authorized Signatory Dated: 1 144A: 00687Y AD7 Reg S: G0086C AF0 2 144A: US00687YAD76 Reg S: USG0086CAF08 3 Insert in Global Notes only


 
A-3 Adient – CONFIDENTIAL Back of Note 7.500% Senior Unsecured Note due 2033 Capitalized terms used herein have the meanings assigned to them in the Indenture referred to below unless otherwise indicated. (1) MATURITY. The Notes will mature on February 15, 2033. Any provisions relating to the determination of a minimum tenor, maturity or weighted average life with respect to any permitted Indebtedness (including without limitation Refinancing Indebtedness) in the Indenture (as defined below) shall assume (solely for purposes of such determination) that February 15, 2033 is the maturity date of the Notes. (2) INTEREST. ADIENT GLOBAL HOLDINGS LTD, a public company under the Companies (Jersey) Law 1991 (the “Company”) promises to pay or cause to be paid interest on the principal amount of this Note at the rate of 7.500% per annum from February 3, 2025 until maturity. The Company will pay interest semi- annually in arrears on February 15 and August 15 of each year commencing August 15, 2025 (each, an “Interest Payment Date”), or if any such day is not a Business Day, on the next succeeding Business Day to the Holders of record as of the close of business on the immediately preceding February 1 and August 1 (whether or not a Business Day). Interest on the Notes will accrue from the most recent date to which interest has been paid or duly provided for or, if no interest has been paid or duly provided for, from the date of original issuance of the Notes. Interest will be computed on the basis of a 360-day year comprised of twelve 30-day months. (3) METHOD OF PAYMENT. The Company will pay interest on the Notes (except defaulted interest) to the Persons who are registered Holders of Notes at the close of business on February 1 and August 1 immediately preceding the Interest Payment Date (whether or not a Business Day), even if such Notes are canceled after such record date and on or before such Interest Payment Date, except as provided in Section 2.12 of the Indenture with respect to defaulted interest. The Notes will be payable as to principal, premium, if any, and interest (and defaulted interest, if any), if any, at the office or agency of the Paying Agent and Registrar within the City and State of New York, or, at the option of the Company, payment of interest, if any, due on an Interest Payment Date may be made by check mailed to the Holders at their addresses set forth in the register of Holders. Such payments will be in such coin or currency of the United States of America as at the time of payment is legal tender for payment of public and private debts. (4) PAYING AGENT AND REGISTRAR. Initially, U.S. Bank Trust Company, National Association, the Trustee under the Indenture, will act as Paying Agent and Registrar. The Company may change the Paying Agent or Registrar without prior notice to the Holders of the Notes. The Company or any of its Subsidiaries may act as Paying Agent or Registrar. (5) INDENTURE. The Company issued the Notes under an Indenture dated as of February 3, 2025 (the “Indenture”) between the Company, the guarantors named therein and the Trustee. The terms of the Notes include those stated in the Indenture. The Notes are subject to all such terms, and Holders are referred to the Indenture for a statement of such terms. To the extent any provision of this Note conflicts with the express provisions of the Indenture, the provisions of the Indenture shall govern and be controlling. The Notes are secured obligations of the Company. The Indenture does not limit the aggregate principal amount of Notes that may be issued thereunder. (6) OPTIONAL REDEMPTION. (a) At any time prior to February 15, 2028, the Company may on any one or more occasions redeem up to 40% of the aggregate principal amount of Notes (calculated after giving effect to the issuance of any Additional Notes) issued under the Indenture at a redemption price equal to 107.500% of the principal amount of Notes redeemed, plus accrued and unpaid interest, if any, to the date of redemption (subject to the right of Holders of Notes on a relevant record date to receive interest due on an Interest Payment Date occurring on or prior to the redemption date), with the net cash proceeds of an Equity Offering; provided that:


 
A-4 Adient – CONFIDENTIAL (1) at least 50% of the aggregate principal amount of Notes issued under the Indenture (including any Additional Notes, but excluding Notes held by the Company, any direct or indirect parent of the Company or any of the Company’s Subsidiaries) remain outstanding immediately after the occurrence of such redemption; and (2) the redemption occurs within 180 days of the date of the closing of such Equity Offering. (b) At any time prior to February 15, 2028, the Company may on any one or more occasions redeem all or a portion of the Notes at a redemption price equal to 100% of the principal amount of the Notes redeemed, plus the Applicable Premium as of, and accrued and unpaid interest to, the date of redemption, subject to the right of Holders of Notes on a relevant record date to receive interest due on an Interest Payment Date occurring on or prior to the redemption date. (c) [Reserved]. (d) On or after February 15, 2028, the Company may on any one or more occasions redeem all or a portion of the Notes at the redemption prices (expressed as percentages of principal amount) set forth below, plus accrued and unpaid interest, if any, on the Notes redeemed, to the applicable date of redemption, if redeemed during the 12-month period beginning on February 15 of the years indicated below, subject to the rights of Holders of Notes on a relevant record date to receive interest due on an Interest Payment Date occurring on or prior to the redemption date: Year Percentage 2028 ............................................................................. 103.750% 2029 ............................................................................. 101.875% 2030 and thereafter ...................................................... 100.000% (e) In connection with any tender offer, Change of Control Offer, or Asset Sale Offer, if Holders of not less than 90% in aggregate principal amount of the then outstanding Notes validly tender and do not validly withdraw such Notes in such offer and the Company, or any third party making such offer in lieu of the Company, purchases all of the Notes validly tendered and not validly withdrawn by such Holders, the Company or such third party shall have the right upon not less than 10 nor more than 60 days’ prior notice, given not more than 60 days following such purchase date, to redeem all Notes that remain outstanding following such purchase at a price equal to the price offered to each other Holder in such offer (which may be less than par) plus, to the extent not included in the offer payment, accrued and unpaid interest, if any, thereon, to, but excluding, the applicable date of redemption, subject to the right of holders of record on the relevant record date to receive interest due on the relevant interest payment date falling prior to or on the applicable date of redemption. In connection with any redemption of Notes (including with net cash proceeds of an Equity Offering), any such redemption may, at the Company’s discretion, be subject to one or more conditions precedent, including, but not limited to, consummation of any related Equity Offering, consummation of a Change of Control or consummation of a refinancing of any Indebtedness. In addition, if such redemption or notice is subject to satisfaction of one or more conditions precedent, such notice shall state that, in the Company’s discretion, the redemption date may be delayed until such time as any or all such conditions shall be satisfied (or waived by the Company in its sole discretion), or such redemption may not occur and such notice may be rescinded in the event that any or all such conditions shall not have been satisfied (or waived by the Company in its sole discretion) by the redemption date, or by the redemption date so delayed. If any such condition precedent has not been satisfied, the Company shall provide written notice to the Trustee prior to the close of business two (2) Business Days prior to the redemption date. Upon receipt, the Trustee shall provide such notice to each Holder of the Notes in the same manner in which the notice of redemption was given. Unless the Company defaults in the payment of the redemption price, interest will cease to accrue on the Notes or portions thereof called for redemption on the applicable redemption date.


 
A-5 Adient – CONFIDENTIAL (7) MANDATORY REDEMPTION. The Company is not required to make mandatory redemption or sinking fund payments with respect to the Notes. (8) REPURCHASE AT THE OPTION OF HOLDER. (a) If a Change of Control occurs, each Holder of Notes will have the right to require the Company to repurchase all or any portion (equal to a minimum denomination of $2,000 or an integral multiple of $1,000 in excess thereof) of that Holder’s Notes pursuant to a Change of Control Offer on the terms set forth in the Indenture; provided that any unpurchased portion of a Note must be in a minimum denomination of $2,000. In the Change of Control Offer, the Company will offer a Change of Control Payment in cash equal to 101% of the aggregate principal amount of Notes repurchased, plus accrued and unpaid interest, if any, on the Notes repurchased to the date of purchase (the “Change of Control Payment Date”), subject to the rights of Holders of Notes on a relevant record date to receive interest due on an Interest Payment Date occurring on or prior to the Change of Control Payment Date. Within 30 days following any Change of Control, the Company will mail a notice to each Holder setting forth the procedures governing the Change of Control Offer as required by the Indenture. (b) Following the occurrence of certain Asset Sales, the Company may be required to offer to repurchase the Notes as required by the Indenture. (9) NOTICE OF REDEMPTION. At least 10 days but not more than 60 days before a redemption date, the Company will mail or cause to be mailed, by first class mail (or with respect to Global Notes to the extent permitted or required by DTC’s applicable procedures or regulations, send electronically), a notice of redemption to each Holder whose Notes are to be redeemed at its registered address, except that redemption notices may be mailed more than 90 days prior to a redemption date if the notice is issued in connection with a defeasance of the Notes or a satisfaction and discharge of the Indenture pursuant to Articles 8 or 11 thereof. Notes and portions of Notes selected will be in amounts of $2,000 or whole multiples of $1,000 in excess thereof (provided, that any unpurchased portion of a Note must be in a minimum denomination of $2,000); except that if all of the Notes of a Holder are to be redeemed or purchased, the entire outstanding amount of Notes held by such Holder shall be redeemed or purchased. (10) DENOMINATIONS, TRANSFER, EXCHANGE. The Notes are in registered form in denominations of $2,000 and integral multiples of $1,000 in excess thereof. The transfer of Notes may be registered and Notes may be exchanged as provided in the Indenture. The Registrar and the Trustee may require a Holder, among other things, to furnish appropriate endorsements and transfer documents in connection with a transfer of Notes. Holders will be required to pay all taxes due on transfer. The Company need not exchange or register the transfer of any Note or portion of a Note selected for redemption, except for the unredeemed portion of any Note being redeemed in part. Also, the Company need not exchange or register the transfer of any Notes for a period of 15 days before a selection of Notes to be redeemed. (11) PERSONS DEEMED OWNERS. The registered Holder of a Note may be treated as the owner of it for all purposes. Only registered Holders have rights under the Indenture. (12) AMENDMENT, SUPPLEMENT AND WAIVER. Subject to certain exceptions, the Indenture, the Notes or any Note Guarantee may be amended or supplemented with the consent of the Holders of at least a majority in aggregate principal amount of the then outstanding Notes including Additional Notes, if any, voting as a single class (including, without limitation, consents obtained in connection with a tender offer or exchange offer for, or purchase of, the Notes), and any existing Default or Event of Default (other than a Default or Event of Default in the payment of the principal of, premium on, if any, or interest, if any, on the Notes, except a payment default resulting from an acceleration that has been rescinded) or compliance with any provision of the Indenture or the Notes or any Note Guarantee may be waived with the consent of the Holders of a majority in aggregate principal amount of the then outstanding Notes including Additional Notes, if any, voting as a single class (including, without limitation, consents obtained in connection with a tender offer or exchange offer for, or purchase of, the Notes). Without the consent of any Holder of Notes, the Indenture, the Notes or any Note Guarantee may be amended or supplemented to cure any ambiguity, omission, mistake, defect, error or inconsistency contained in the Indenture, or make such other provisions in regard to matters or questions arising under the Indenture as the Board of Directors may deem necessary or desirable and that shall not materially and adversely affect the interests of the Holders of the Notes; to provide for uncertificated Notes in addition to or in place of certificated Notes; to provide for the


 
A-6 Adient – CONFIDENTIAL assumption of the Company’s or any Guarantor’s obligations to Holders of the Notes and Note Guarantees in the case of a merger or consolidation or sale, assignment, transfer, conveyance, lease or other disposition of all or substantially all of the Company’s or such Guarantor’s assets, as applicable; to make any change that would provide any additional rights or benefits to the Holders of the Notes or that does not adversely affect the legal rights under the Indenture of any Holder; to conform the text of the Indenture or the Notes to any provision of the “Description of the Notes” section of the Company’s Offering Memorandum dated January 30, 2025, relating to the initial offering of the Notes; to provide for the issuance of Additional Notes in accordance with the limitations set forth in the Indenture; to allow any Guarantor to execute a supplemental indenture to the Indenture and/or a Note Guarantee with respect to the Notes; to evidence and provide for the acceptance and appointment under the Indenture of a successor Trustee to provide for the accession by the Trustee to any Notes documentation; to make any amendment to the provisions of the Indenture relating to the transfer and legending of Notes as permitted by the Indenture, including, without limitation, to facilitate the issuance and administration of Notes; provided, however, that (i) compliance with the Indenture as so amended would not result in Notes being transferred in violation of the Securities Act or any applicable securities law and (ii) such amendment does not adversely affect the rights of Holders to transfer Notes in any material respect. (13) DEFAULTS AND REMEDIES. The Notes are subject to the Defaults and Events of Default set forth in Section 6.01 of the Indenture. The Holders of a majority in aggregate principal amount of the then outstanding Notes by written notice to the Trustee may, on behalf of the Holders of all the Notes, rescind an acceleration or waive an existing Default or Event of Default and its respective consequences under the Indenture except a continuing Default or Event of Default in the payment of principal of, premium on, if any, or interest, if any, on, the Notes (except nonpayment of principal, premium, if any, or interest on the Notes that became due solely because of the acceleration of the Notes). The Company is required to deliver to the Trustee annually a statement regarding compliance with the Indenture, and the Company is required, upon becoming aware of any Default or Event of Default, to deliver to the Trustee a statement specifying such Default or Event of Default. (14) TRUSTEE DEALINGS WITH COMPANY. The Trustee, in its individual or any other capacity, may make loans to, accept deposits from, and perform services for the Company or its Affiliates, and may otherwise deal with the Company or its Affiliates, as if it were not the Trustee. (15) NO RECOURSE AGAINST OTHERS. No director, officer, employee, incorporator or stockholder of the Company or any Guarantor, as such, will have any liability for any obligations of the Company or the Guarantors under the Notes, the Indenture, the Note Guarantees or for any claim based on, in respect of, or by reason of, such obligations or their creation. Each Holder of Notes by accepting a Note waives and releases all such liability. The waiver and release are part of the consideration for issuance of the Notes. The waiver may not be effective to waive liabilities under the federal securities laws. (16) AUTHENTICATION. This Note will not be valid until authenticated by the manual signature of an authorized signatory of the Trustee or an authenticating agent. (17) ABBREVIATIONS. Customary abbreviations may be used in the name of a Holder or an assignee, such as: TEN COM (= tenants in common), TEN ENT (=tenants by the entireties), JT TEN (=joint tenants with right of survivorship and not as tenants in common), CUST (= Custodian), and U/G/M/A (= Uniform Gifts to Minors Act). (18) CUSIP NUMBERS. Pursuant to a recommendation promulgated by the Committee on Uniform Security Identification Procedures, the Company has caused CUSIP numbers to be printed on the Notes, and the Trustee may use CUSIP numbers in notices of redemption as a convenience to Holders. No representation is made as to the accuracy of such numbers either as printed on the Notes or as contained in any notice of redemption, and reliance may be placed only on the other identification numbers placed thereon. (19) GOVERNING LAW. THE INTERNAL LAW OF THE STATE OF NEW YORK WILL GOVERN AND BE USED TO CONSTRUE THE INDENTURE, THIS NOTE AND THE NOTE GUARANTEES WITHOUT GIVING EFFECT TO APPLICABLE PRINCIPLES OF CONFLICTS OF LAW TO THE EXTENT THAT THE APPLICATION OF THE LAWS OF ANOTHER JURISDICTION WOULD BE REQUIRED THEREBY.


 
A-7 Adient – CONFIDENTIAL (20) WAIVER OF JURY TRIAL. EACH OF THE COMPANY, THE GUARANTORS (IF ANY), EACH HOLDER OF THIS NOTE BY ITS ACCEPTANCE HEREOF AND THE TRUSTEE HEREBY IRREVOCABLY WAIVES, TO THE FULLEST EXTENT PERMITTED BY APPLICABLE LAW, ANY AND ALL RIGHT TO TRIAL BY JURY IN ANY LEGAL PROCEEDING ARISING OUT OF OR RELATING TO THE INDENTURE, THIS NOTE, THE NOTE GUARANTEES OR THE TRANSACTION CONTEMPLATED THEREBY. The Company will furnish to any Holder upon written request and without charge a copy of the Indenture. Requests may be made to: Adient Global Holdings Ltd c/o Adient US LLC Investor Relations, 49200 Halyard Drive, P.O. Box 8010 Plymouth, MI 48170


 
A-8 Adient – CONFIDENTIAL ASSIGNMENT FORM To assign this Note, fill in the form below: (I) or (we) assign and transfer this Note to: (Insert assignee’s legal name) (Insert assignee’s sec. sec. or tax I.D. no.) (Print or type assignee’s name, address and zip code) and irrevocably appoint attorney to transfer this Note on the books of the Company. The attorney may substitute another to act for him. Date: Your Signature: (Sign exactly as your name appears on the face of this Note) Signature Guarantee*: * Participant in a recognized Signature Guarantee Medallion Program (or other signature guarantor acceptable to the Trustee).


 
A-9 Adient – CONFIDENTIAL OPTION OF HOLDER TO ELECT PURCHASE If you want to elect to have this Note purchased by the Company pursuant to Section 4.10 or Section 4.14 of the Indenture, check the appropriate box below: ☐ Section 4.10 ☐ Section 4.14 If you want to elect to have only part of the Note purchased by the Company pursuant to Section 4.10 or Section 4.14 of the Indenture, state the amount you elect to have purchased: $___________ ($2,000 or an integral multiple of $1,000 in excess thereof, provided that the unpurchased portion of the Note shall be in a minimum principal amount of $2,000). Date: Your Signature: (Sign exactly as your name appears on the face of this Note) Tax Identification No.: Signature Guarantee*: * Participant in a recognized Signature Guarantee Medallion Program (or other signature guarantor acceptable to the Trustee).


 
A-10 Adient – CONFIDENTIAL SCHEDULE OF EXCHANGES OF INTERESTS IN THE GLOBAL NOTE1 The following exchanges of a part of this Global Note for an interest in another Global Note or for a Definitive Note, or exchanges of a part of another Global Note or Definitive Note for an interest in this Global Note, have been made: Date of Exchange/Transfer Amount of decrease in Principal Amount of this Global Note Amount of increase in Principal Amount of this Global Note Principal Amount of this Global Note following such decrease (or increase) Signature of authorized officer of Trustee or Custodian 1 This schedule should be included only if the Note is issued in global form.


 
B-1 Adient – CONFIDENTIAL EXHIBIT B FORM OF CERTIFICATE OF TRANSFER Adient Global Holdings Ltd c/oAdient US LLC 49200 Halyard Drive Plymouth, Michigan 48170 U.S. Bank Trust Company, National Association 1555 North RiverCenter Drive, Suite 203 Milwaukee, WI 53212 Facsimile No.: (414) 905-5049 Attention: Yvonne Siira Re: 7.500% Senior Unsecured Notes due 2033 Reference is hereby made to the Indenture, dated as of February 3, 2025 (the “Indenture”), among Adient Global Holdings Ltd, a public company under the Companies (Jersey) Law 1991 (the “Company”), as issuer, the guarantors party thereto from time to time and U.S. Bank Trust Company, National Association, as trustee. Capitalized terms used but not defined herein shall have the meanings given to them in the Indenture. _____________________, (the “Transferor”) owns and proposes to transfer the Note[s] or interest in such Note[s] specified in Annex A hereto, in the principal amount of $__________________ in such Note[s] or interests (the “Transfer”), to _____________________________ (the “Transferee”), as further specified in Annex A hereto. In connection with the Transfer, the Transferor hereby certifies that: [CHECK ALL THAT APPLY] 1. ☐ Check if Transferee will take delivery of a beneficial interest in the 144A Global Note or a Restricted Definitive Note pursuant to Rule 144A. The Transfer is being effected pursuant to and in accordance with Rule 144A under the Securities Act of 1933, as amended (the “Securities Act”), and, accordingly, the Transferor hereby further certifies that the beneficial interest or Definitive Note is being transferred to a Person that the Transferor reasonably believes is purchasing the beneficial interest or Definitive Note for its own account, or for one or more accounts with respect to which such Person exercises sole investment discretion, and such Person and each such account is a “qualified institutional buyer” within the meaning of Rule 144A in a transaction meeting the requirements of Rule 144A, and such Transfer is in compliance with any applicable blue sky securities laws of any state of the United States. Upon consummation of the proposed Transfer in accordance with the terms of the Indenture, the transferred beneficial interest or Definitive Note will be subject to the restrictions on transfer enumerated in the Private Placement Legend printed on the 144A Global Note and/or the Restricted Definitive Note and in the Indenture and the Securities Act. 2. ☐ Check if Transferee will take delivery of a beneficial interest in the Regulation S Temporary Global Note, the Regulation S Permanent Global Note or a Restricted Definitive Note pursuant to Regulation S. The Transfer is being effected pursuant to and in accordance with Rule 903 or Rule 904 under the Securities Act and, accordingly, the Transferor hereby further certifies that (i) the Transfer is not being made to a Person in the United States and (x) at the time the buy order was originated, the Transferee was outside the United States or such Transferor and any Person acting on its behalf reasonably believed and believes that the Transferee was outside the United States or (y) the transaction was executed in, on or through the facilities of a designated offshore securities market and neither such Transferor nor any Person acting on its behalf knows that the transaction was prearranged with a buyer in the United States, (ii) no directed selling efforts have been made in contravention of the requirements of Rule 903(b) or Rule 904(b) of Regulation S under the Securities Act, (iii) the transaction is not


 
B-2 Adient – CONFIDENTIAL part of a plan or scheme to evade the registration requirements of the Securities Act and (iv) if the proposed transfer is being made prior to the expiration of the Restricted Period, the transfer is not being made to a U.S. Person or for the account or benefit of a U.S. Person (other than an Initial Purchaser). Upon consummation of the proposed transfer in accordance with the terms of the Indenture, the transferred beneficial interest or Definitive Note will be subject to the restrictions on Transfer enumerated in the Private Placement Legend printed on the Regulation S Permanent Global Note, the Regulation S Temporary Global Note and/or the Restricted Definitive Note and in the Indenture and the Securities Act. 3. ☐ Check and complete if Transferee will take delivery of a beneficial interest in a Restricted Definitive Note pursuant to any provision of the Securities Act other than Rule 144A or Regulation S. The Transfer is being effected in compliance with the transfer restrictions applicable to beneficial interests in Restricted Global Notes and Restricted Definitive Notes and pursuant to and in accordance with the Securities Act and any applicable blue sky securities laws of any state of the United States, and accordingly the Transferor hereby further certifies that (check one): (a) ☐ such Transfer is being effected pursuant to and in accordance with Rule 144 under the Securities Act; or (b) ☐ such Transfer is being effected to the Company or a subsidiary thereof; or (c) ☐ such Transfer is being effected pursuant to an effective registration statement under the Securities Act and in compliance with the prospectus delivery requirements of the Securities Act; or (d) ☐ such Transfer is being effected to an Institutional Accredited Investor and pursuant to an exemption from the registration requirements of the Securities Act other than Rule 144A, Rule 144, Rule 903 or Rule 904, and the Transferor hereby further certifies that it has not engaged in any general solicitation within the meaning of Regulation D under the Securities Act and the Transfer complies with the transfer restrictions applicable to beneficial interests in a Restricted Global Note or Restricted Definitive Notes and the requirements of the exemption claimed, which certification is supported by (1) a certificate executed by the Transferee in the form of Exhibit D to the Indenture and (2) an Opinion of Counsel provided by the Transferor or the Transferee (a copy of which the Transferor has attached to this certification), to the effect that such Transfer is in compliance with the Securities Act. Upon consummation of the proposed transfer in accordance with the terms of the Indenture, the transferred beneficial interest or Definitive Note will be subject to the restrictions on transfer enumerated in the Private Placement Legend printed on the Restricted Definitive Notes and in the Indenture and the Securities Act. 4. ☐ Check if Transferee will take delivery of an Unrestricted Definitive Note. (a) ☐ Check if Transfer is pursuant to Rule 144. (i) The Transfer is being effected pursuant to and in accordance with Rule 144 under the Securities Act and in compliance with the transfer restrictions contained in the Indenture and any applicable blue sky securities laws of any state of the United States and (ii) the restrictions on transfer contained in the Indenture and the Private Placement Legend are not required in order to maintain compliance with the Securities Act. Upon consummation of the proposed Transfer in accordance with the terms of the Indenture, the transferred beneficial interest or Definitive Note will no longer be subject to the restrictions on transfer enumerated in the Private Placement Legend printed on the Restricted Global Notes, on Restricted Definitive Notes and in the Indenture.


 
B-3 Adient – CONFIDENTIAL (b) ☐ Check if Transfer is Pursuant to Regulation S. (i) The Transfer is being effected pursuant to and in accordance with Rule 903 or Rule 904 under the Securities Act and in compliance with the transfer restrictions contained in the Indenture and any applicable blue sky securities laws of any state of the United States and (ii) the restrictions on transfer contained in the Indenture and the Private Placement Legend are not required in order to maintain compliance with the Securities Act. Upon consummation of the proposed Transfer in accordance with the terms of the Indenture, the transferred beneficial interest or Definitive Note will no longer be subject to the restrictions on transfer enumerated in the Private Placement Legend printed on the Restricted Global Notes, on Restricted Definitive Notes and in the Indenture. (c) ☐ Check if Transfer is Pursuant to Other Exemption. (i) The Transfer is being effected pursuant to and in compliance with an exemption from the registration requirements of the Securities Act other than Rule 144, Rule 903 or Rule 904 and in compliance with the transfer restrictions contained in the Indenture and any applicable blue sky securities laws of any State of the United States and (ii) the restrictions on transfer contained in the Indenture and the Private Placement Legend are not required in order to maintain compliance with the Securities Act. Upon consummation of the proposed Transfer in accordance with the terms of the Indenture, the transferred beneficial interest or Definitive Note will not be subject to the restrictions on transfer enumerated in the Private Placement Legend printed on the Restricted Global Notes or Restricted Definitive Notes and in the Indenture. [Signature Page Follows]


 
B-4 Adient – CONFIDENTIAL This certificate and the statements contained herein are made for your benefit and the benefit of the Company. [Insert Name of Transferor] By: Name: Title: Dated:


 
B-5 Adient – CONFIDENTIAL ANNEX A TO CERTIFICATE OF TRANSFER 1. The Transferor owns and proposes to transfer the following: [CHECK ONE OF (a) OR (b)] (a) ☐ a beneficial interest in the: (i) ☐ 144A Global Note (CUSIP ________), or (ii) ☐ Regulation S Global Note (CUSIP ________), or (b) ☐ a Restricted Definitive Note. 2. After the Transfer the Transferee will hold: [CHECK ONE] (a) ☐ a beneficial interest in the: (i) ☐ 144A Global Note (CUSIP ________), or (ii) ☐ Regulation S Global Note (CUSIP ________), or (b) ☐ a Restricted Definitive Note; (c) ☐ an Unrestricted Definitive Note; in accordance with the terms of the Indenture.


 
C-1 Adient – CONFIDENTIAL EXHIBIT C FORM OF CERTIFICATE OF EXCHANGE Adient Global Holdings Ltd C/o Adient US LLC 49200 Halyard Drive Plymouth, Michigan 48170 U.S. Bank Trust Company, National Association 1555 North RiverCenter Drive, Suite 203 Milwaukee, WI 53212 Facsimile No.: (414) 905-5049 Attention: Yvonne Siira Re: 7.500% Senior Unsecured Notes due 2033 (CUSIP [ ]) Reference is hereby made to the Indenture, dated as of February 3, 2025 (the “Indenture”), among Adient Global Holdings Ltd, a public company under the Companies (Jersey) Law 1991 (the “Company”), as issuer, the guarantors party thereto from time to time and U.S. Bank Trust Company, National Association, as trustee. Capitalized terms used but not defined herein shall have the meanings given to them in the Indenture. ___________________________ (the “Owner”) owns and proposes to exchange the Note[s] or interest in such Note[s] specified herein, in the principal amount of $__________ in such Note[s] or interests (the “Exchange”). In connection with the Exchange, the Owner hereby certifies that: 1. Exchange of Restricted Definitive Notes or Beneficial Interests in Restricted Global Notes for Restricted Definitive Notes or Beneficial Interests in Restricted Global Notes. (a) ☐ Check if Exchange is from beneficial interest in a Restricted Global Note to Restricted Definitive Note. In connection with the Exchange of the Owner’s beneficial interest in a Restricted Global Note for a Restricted Definitive Note with an equal principal amount, the Owner hereby certifies that the Restricted Definitive Note is being acquired for the Owner’s own account without transfer. Upon consummation of the proposed Exchange in accordance with the terms of the Indenture, the Restricted Definitive Note issued will continue to be subject to the restrictions on transfer enumerated in the Private Placement Legend printed on the Restricted Definitive Note and in the Indenture and the Securities Act. (b) ☐ Check if Exchange is from Restricted Definitive Note to beneficial interest in a Restricted Global Note. In connection with the Exchange of the Owner’s Restricted Definitive Note for a beneficial interest in the [CHECK ONE] ☐ 144A Global Note, ☐ Regulation S Global Note with an equal principal amount, the Owner hereby certifies (i) the beneficial interest is being acquired for the Owner’s own account without transfer and (ii) such Exchange has been effected in compliance with the transfer restrictions applicable to the Restricted Global Notes and pursuant to and in accordance with the Securities Act, and in compliance with any applicable blue sky securities laws of any state of the United States. Upon consummation of the proposed Exchange in accordance with the terms of the Indenture, the beneficial interest issued will be subject to the restrictions on transfer enumerated in the Private Placement Legend printed on the relevant Restricted Global Note and in the Indenture and the Securities Act.


 
C-2 Adient – CONFIDENTIAL 1. Exchange of Restricted Definitive Notes or Beneficial Interests in a Restricted Global Note for Unrestricted Definitive Notes. (a) ☐ Check if Exchange is from beneficial interest in a Restricted Global Note to Unrestricted Definitive Note. In connection with the Exchange of the Owner’s beneficial interest in a Restricted Global Note for an Unrestricted Definitive Note, the Owner hereby certifies (i) the Definitive Note is being acquired for the Owner’s own account without transfer, (ii) such Exchange has been effected in compliance with the transfer restrictions applicable to the Restricted Global Notes and pursuant to and in accordance with the Securities Act, (iii) the restrictions on transfer contained in the Indenture and the Private Placement Legend are not required in order to maintain compliance with the Securities Act and (iv) the Definitive Note is being acquired in compliance with any applicable blue sky securities laws of any state of the United States. (b) ☐ Check if Exchange is from Restricted Definitive Note to Unrestricted Definitive Note. In connection with the Owner’s Exchange of a Restricted Definitive Note for an Unrestricted Definitive Note, the Owner hereby certifies (i) the Unrestricted Definitive Note is being acquired for the Owner’s own account without transfer, (ii) such Exchange has been effected in compliance with the transfer restrictions applicable to Restricted Definitive Notes and pursuant to and in accordance with the Securities Act, (iii) the restrictions on transfer contained in the Indenture and the Private Placement Legend are not required in order to maintain compliance with the Securities Act and (iv) the Unrestricted Definitive Note is being acquired in compliance with any applicable blue sky securities laws of any state of the United States. [Signature Page Follows]


 
C-3 Adient – CONFIDENTIAL This certificate and the statements contained herein are made for your benefit and the benefit of the Company. [Insert Name of Transferor] By: Name: Title: Dated:


 
D-1 Adient – CONFIDENTIAL EXHIBIT D FORM OF CERTIFICATE FROM ACQUIRING INSTITUTIONAL ACCREDITED INVESTOR Adient Global Holdings Ltd C/o Adient US LLC 49200 Halyard Drive Plymouth, Michigan 48170 U.S. Bank Trust Company, National Association 1555 North RiverCenter Drive, Suite 203 Milwaukee, WI 53212 Facsimile No.: (414) 905-5049 Attention: Yvonne Siira Re: 7.500% Senior Unsecured Notes due 2033 Reference is hereby made to the Indenture, dated as of February 3, 2025 (the “Indenture”), among Adient Global Holdings Ltd, a public company under the Companies (Jersey) Law 1991 (the “Company”), as issuer, the guarantors party thereto from time to time and U.S. Bank Trust Company, National Association, as trustee. Capitalized terms used but not defined herein shall have the meanings given to them in the Indenture. In connection with our proposed purchase of $___________ aggregate principal amount of a Definitive Note, we confirm that: 1. We understand that any subsequent transfer of the Notes or any interest therein is subject to certain restrictions and conditions set forth in the Indenture and the undersigned agrees to be bound by, and not to resell, pledge or otherwise transfer the Notes or any interest therein except in compliance with, such restrictions and conditions and the Securities Act of 1933, as amended (the “Securities Act”). 2. We understand that the offer and sale of the Notes have not been registered under the Securities Act, and that the Notes and any interest therein may not be offered or sold except as permitted in the following sentence. We agree, on our own behalf and on behalf of any accounts for which we are acting as hereinafter stated, that if we should sell the Notes or any interest therein, we will do so only (A) to the Company or any subsidiary thereof, (B) in accordance with Rule 144A under the Securities Act to a “qualified institutional buyer” (as defined therein), (C) to an institutional “accredited investor” (as defined below) that, prior to such transfer, furnishes (or has furnished on its behalf by a U.S. broker-dealer) to you and to the Company a signed letter substantially in the form of this letter and an Opinion of Counsel in form reasonably acceptable to the Company to the effect that such transfer is in compliance with the Securities Act, (D) outside the United States in accordance with Rule 904 of Regulation S under the Securities Act, (E) pursuant to the provisions of Rule 144 under the Securities Act or (F) pursuant to an effective registration statement under the Securities Act, and we further agree to provide to any Person purchasing the Definitive Note from us in a transaction meeting the requirements of clauses (A) through (E) of this paragraph a notice advising such purchaser that resales thereof are restricted as stated herein. 3. We understand that, on any proposed resale of the Notes, we will be required to furnish to you and the Company such certifications, legal opinions and other information as you and the Company may reasonably require to confirm that the proposed sale complies with the foregoing restrictions. We further understand that the Notes purchased by us will bear a legend to the foregoing effect. 4. We are an institutional “accredited investor” (as defined in Rule 501(a)(1), (2), (3) or (7) of Regulation D under the Securities Act) and have such knowledge and experience in financial and business matters as


 
D-2 Adient – CONFIDENTIAL to be capable of evaluating the merits and risks of our investment in the Notes, and we and any accounts for which we are acting are each able to bear the economic risk of our or its investment. 5. We are acquiring the Notes purchased by us for our own account or for one or more accounts (each of which is an institutional “accredited investor’) as to each of which we exercise sole investment discretion. [Signature Page Follows]


 
D-1 Adient – CONFIDENTIAL You and the Company are entitled to rely upon this letter and are irrevocably authorized to produce this letter or a copy hereof to any interested party in any administrative or legal proceedings or official inquiry with respect to the matters covered hereby. [Insert Name of Accredited Investor] By: Name: Title: Dated:


 
E-1 Adient – CONFIDENTIAL EXHIBIT E [FORM OF NOTATION OF GUARANTEE] [Letterhead of Luxembourg Guarantors if applicable] For value received, each Guarantor (which term includes any successor Person under the Indenture) has, jointly and severally, unconditionally guaranteed, to the extent set forth in the Indenture and subject to the provisions in the Indenture dated as of February 3, 2025 (the “Indenture”) among Adient Global Holdings Ltd, a public company under the Companies (Jersey) Law 1991 (the “Company”), the other guarantors party thereto and U.S. Bank Trust Company, National Association, as trustee (the “Trustee”), (a) the due and punctual payment of the principal of and premium and interest, if any, on, the Notes, whether at maturity, by acceleration, redemption or otherwise, the due and punctual payment of interest on overdue principal of, premium on, if any, and interest, if any, on, the Notes, if any, if lawful, and the due and punctual performance of all other obligations of the Company to the Holders or the Trustee all in accordance with the terms of the Indenture (including, without limitation, interest, fees and expenses accruing after the filing of any petition in bankruptcy, or the commencement of any insolvency, reorganization, liquidation, examinership, SCARP or like proceeding, relating to the Company or any Guarantor whether or not a claim for post-filing or post-petition interest, fees and expenses is allowed in such proceeding and the obligations under Section 7.07 of the Indenture) and (b) in case of any extension of time of payment or renewal of any Notes or any of such other obligations, that the same will be promptly paid in full when due or performed in accordance with the terms of the extension or renewal, whether at stated maturity, by acceleration or otherwise. The obligations of the Guarantors to the Holders of the Notes and to the Trustee pursuant to the Note Guarantee and the Indenture are expressly set forth in Article 10 of the Indenture and reference is hereby made to the Indenture for the precise terms of the Note Guarantee. Each Guarantor agrees that this is a Guarantee of payment and not a Guarantee of collection. As set forth in Section 10.02 of the Indenture, the obligations of such Guarantor will be limited to the maximum amount that will, after giving effect to such maximum amount and all other contingent and fixed liabilities of such Guarantor that are relevant under such laws, and after giving effect to any collections from, rights to receive contribution from or payments made by or on behalf of any other Guarantor in respect of the obligations of such other Guarantor under Article 10 of the Indenture, result in the obligations of such Guarantor under its Note Guarantee not constituting a fraudulent transfer or conveyance. [Local law guarantee limitation language if applicable] No director, officer, employee, incorporator or stockholder of any Guarantor, as such, shall have any liability for any obligations of the Guarantors under the Notes, the Note Guarantees, the Indenture or for any claim based on, in respect of, or by reason of, such obligations or their creation. Each Holder by accepting a Note waives and releases all such liability. The waiver and release are part of the consideration for issuance of the Notes. Capitalized terms used but not defined herein have the meanings given to them in the Indenture unless otherwise indicated. Sections 13.08, 13.09 and 13.14 of the Indenture are hereby incorporated by reference as if fully set forth in this Notation of Guarantee mutatis mutandis. [Signature Page Follows]


 
E-1 Adient – CONFIDENTIAL [NAME OF GUARANTOR(S)] By: Name: Title: Dated:


 
F-1 Adient – CONFIDENTIAL EXHIBIT F [FORM OF SUPPLEMENTAL INDENTURE TO BE DELIVERED BY SUBSEQUENT GUARANTORS] SUPPLEMENTAL INDENTURE (this “Supplemental Indenture”), dated as of ________________, between _______________________ (the “Guaranteeing Subsidiary”), a subsidiary of Adient plc, a public limited company incorporated under the laws of Ireland, Adient Global Holdings Ltd, a public company under the Companies (Jersey) Law 1991 (the “Company”), and U.S. Bank Trust Company, National Association, as trustee under the Indenture referred to below (the “Trustee”). WITNESSETH WHEREAS, the Company has heretofore executed and delivered to the Trustee an indenture (the “Indenture”), dated as of February 3, 2025, providing for the issuance of 7.500% Senior Unsecured Notes due 2033 (the “Notes”); WHEREAS, the Indenture provides that under certain circumstances the Guaranteeing Subsidiary shall execute and deliver to the Trustee a supplemental indenture pursuant to which the Guaranteeing Subsidiary shall unconditionally guarantee all of the Company’s obligations under the Notes and the Indenture on the terms and conditions set forth herein and under the Indenture (the “Note Guarantee”); WHEREAS, pursuant to Section 9.01 of the Indenture, the Trustee is authorized to execute and deliver this Supplemental Indenture; and WHEREAS, all things necessary to make this Supplemental Indenture a valid indenture and agreement according to its terms have been done. NOW, THEREFORE, in consideration of the foregoing and for other good and valuable consideration, the receipt of which is hereby acknowledged, the Guaranteeing Subsidiary and the Trustee mutually covenant and agree for the equal and ratable benefit of the Holders of the Notes as follows: 1. CAPITALIZED TERMS. Capitalized terms used herein without definition shall have the meanings assigned to them in the Indenture. 2. AGREEMENT TO GUARANTEE. (a) Each Guaranteeing Subsidiary hereby becomes a party to the Indenture as a Guarantor and as such will have all of the rights and be subject to all of the obligations and agreements of a Guarantor under the Indenture, effective upon the execution and delivery of this Supplemental Indenture. (b) The Guaranteeing Subsidiary hereby agrees to provide an unconditional Guarantee on the terms and subject to the conditions set forth in the Note Guarantee and in the Indenture including but not limited to Article 10 thereof. 3. NO RECOURSE AGAINST OTHERS. No director, officer, employee, incorporator or stockholder of the Guaranteeing Subsidiary, as such, will have any liability for any obligations of the Company or the Guarantors under the Notes, the Indenture, the Note Guarantees or for any claim based on, in respect of, or by reason of, such obligations or their creation. Each Holder of Notes by accepting a Note waives and releases all such liability. The waiver and release are part of the consideration for issuance of the Notes. The waiver may not be effective to waive liabilities under the federal securities laws.


 
F-2 Adient – CONFIDENTIAL 4. NEW YORK LAW TO GOVERN. THE INTERNAL LAW OF THE STATE OF NEW YORK SHALL GOVERN AND BE USED TO CONSTRUE THIS SUPPLEMENTAL INDENTURE WITHOUT GIVING EFFECT TO APPLICABLE PRINCIPLES OF CONFLICTS OF LAW TO THE EXTENT THAT THE APPLICATION OF THE LAWS OF ANOTHER JURISDICTION WOULD BE REQUIRED THEREBY. 5. COUNTERPARTS. The parties may sign any number of copies of this Supplemental Indenture. Each signed copy shall be an original, but all of them together represent the same agreement. 6. EFFECT OF HEADINGS. The Section headings herein are for convenience only and shall not affect the construction hereof. 7. THE TRUSTEE. The Trustee shall not be responsible in any manner whatsoever for or in respect of the validity or sufficiency of this Supplemental Indenture or for or in respect of the recitals contained herein, all of which recitals are made solely by the Guaranteeing Subsidiary. 8. BENEFITS ACKNOWLEDGED. The Guaranteeing Subsidiary’s Guarantee is subject to the terms and conditions in the Indenture. The Guaranteeing Subsidiary acknowledges that it will receive direct and indirect benefits from the financing arrangements contemplated by the Indenture and this Supplemental Indenture and that the guarantee and waivers made by it pursuant to this Guarantee are knowingly made in contemplation of such benefits. 9. SUCCESSORS. All agreements of the Guaranteeing Subsidiary in this Supplemental Indenture shall bind its successors, except as otherwise provided in the Indenture. All agreements of the Trustee in this Supplemental Indenture shall bind its successors. 10. [Local law particularities if applicable]. [Signature Page Follows]


 
F-3 Adient – CONFIDENTIAL IN WITNESS WHEREOF, the parties hereto have caused this Supplemental Indenture to be duly executed and attested, all as of the date first above written. Dated: ______________________ [GUARANTEEING SUBSIDIARY] By: Name: Title: U.S. BANK TRUST COMPANY, NATIONAL ASSOCIATION, as Trustee By: Name: Title:


 
G-1 Adient – CONFIDENTIAL EXHIBIT G CERTIFICATE OF BENEFICIAL OWNERSHIP U.S. Bank Trust Company, National Association 1555 North RiverCenter Drive, Suite 203 Milwaukee, WI 53212 Attention: Yvonne Siira Re: $795,000,000 aggregate principal amount of 7.500% Senior Unsecured Notes due 2033 (the “Notes”) of Adient Global Holdings Ltd (the “Company”). Ladies and Gentlemen: This is to certify that based solely on certifications we have received in writing, by tested telex or by electronic transmission from institutions appearing in our records as persons being entitled to a portion of the principal amount of Notes represented by a Regulation S Temporary Global Note issued under the Indenture, dated as of February 3, 2025, between the Company and U.S. Bank Trust Company, National Association, as trustee, as supplemented, that as of the date hereof, $__________ principal amount of Notes represented by the Regulation S Temporary Global Note being submitted herewith for exchange is beneficially owned by persons that are either (i) non-U.S. persons (within the meaning of Regulation S under the Securities Act of 1933, as amended) or (ii) U.S. persons that purchased the Notes in a transaction that did not require registration under the Securities Act of 1933, as amended. We further certify that (i) we are not submitting herewith for exchange any portion of such Regulation S Temporary Global Note excepted in such certifications and (ii) as of the date hereof we have not received any notification from any institution to the effect that the statements made by such institution with respect to any portion of such Regulation S Temporary Global Note submitted herewith for exchange are no longer true and cannot be relied upon as of the date hereof. You and the Company are entitled to rely upon this certificate and are irrevocably authorized to produce this certificate or a copy hereof to any interested party in any administrative or legal proceeding or official inquiry with respect to the matters covered hereby. [Signature Page Follows]


 
G-1 Adient – CONFIDENTIAL Yours faithfully, [NAME OF DTC PARTICIPANT] By: Name: Title: Address: Date: