Exhibit 96.1

S-K 1300 Report
Technical Report Summary on the Darling Range, Western Australia
Alcoa Corporation
201 Isabella Street
Pittsburgh, Pennsylvania
15212-5858
Prepared by:
SLR International Corporation
22118 20th Ave SE, Suite G202, Bothell, WA 98021 USA
SLR Project No.: 123.020514.00001
Effective Date: 31 December 2024
Signature Date: 20 February 2025
Revision: 02
Alcoa Corporation S-K 1300 Report |
Signature Date: 20 February 2025 SLR Project No.: 123.020514.00001 |
Table of Contents
1.0 |
Executive Summary |
1 |
1.1 |
Summary |
1 |
1.2 |
Economic Analysis |
8 |
1.3 |
Technical Summary |
9 |
2.0 |
Introduction |
22 |
2.1 |
Site Visits |
22 |
2.2 |
Sources of Information |
23 |
2.3 |
List of Abbreviations |
24 |
3.0 |
Property Description |
30 |
3.1 |
Location |
30 |
3.2 |
Land Tenure |
30 |
3.3 |
Naming Conventions |
35 |
3.4 |
Encumbrances |
36 |
3.5 |
Royalties |
37 |
3.6 |
Required Permits and Status |
37 |
3.7 |
Other Significant Factors and Risks |
40 |
4.0 |
Accessibility, Climate, Local Resources, Infrastructure and Physiography |
41 |
4.1 |
Accessibility |
41 |
4.2 |
Climate |
41 |
4.3 |
Local Resources |
42 |
4.4 |
Infrastructure |
42 |
4.5 |
Physiography |
43 |
5.0 |
History |
44 |
5.1 |
Prior Ownership |
44 |
5.2 |
Exploration and Development History |
44 |
6.0 |
Geological Setting, Mineralization, and Deposit |
46 |
6.1 |
Bauxite Deposits |
46 |
6.2 |
Regional Geology |
46 |
6.3 |
Local Geology |
49 |
6.4 |
Mineralization |
49 |
6.5 |
Property Geology |
50 |
7.0 |
Exploration |
53 |
7.1 |
Exploration |
53 |
7.2 |
Resource Definition Drilling |
53 |
|
i |
|
Alcoa Corporation S-K 1300 Report |
Signature Date: 20 February 2025 SLR Project No.: 123.020514.00001 |
7.3 |
Drilling Methods |
56 |
7.4 |
Drill Sampling |
59 |
7.5 |
Topography |
62 |
7.6 |
Surveying |
64 |
7.7 |
Sampling Conclusions |
66 |
7.8 |
Hydrogeology Data |
66 |
7.9 |
Geotechnical Data |
67 |
8.0 |
Sample Preparation, Analyses, and Security |
70 |
8.1 |
Sample Security |
70 |
8.2 |
Sample Preparation |
70 |
8.3 |
Assaying |
73 |
8.4 |
Quality Assurance and Quality Control |
78 |
8.5 |
Conclusions |
96 |
9.0 |
Data Verification |
97 |
9.1 |
Data Structures |
97 |
9.2 |
Data Verification Measures |
98 |
9.3 |
QP Opinion |
99 |
10.0 |
Mineral Processing and Metallurgical Testing |
100 |
10.1 |
QP Opinion |
102 |
11.0 |
Mineral Resource Estimates |
103 |
11.1 |
Summary |
103 |
11.2 |
Comparison with Previous Estimate |
105 |
11.3 |
Resource Database |
108 |
11.4 |
Geological Interpretation |
115 |
11.5 |
Resource Assay |
120 |
11.6 |
Treatment of High-Grade Assays |
123 |
11.7 |
Compositing |
123 |
11.8 |
Trend–Analysis - Variography |
123 |
11.9 |
Bulk Density |
125 |
11.10 |
Resource Models |
127 |
11.11 |
Block Model Validation |
130 |
11.12 |
Cut-off Grade and Mining Constraints |
140 |
11.13 |
Reconciliation |
141 |
11.14 |
Mineral Resource Estimation Risk |
143 |
11.15 |
Classification |
145 |
11.16 |
Mineral Resource Reporting |
147 |
11.17 |
QP Opinion |
148 |
|
ii |
|
Alcoa Corporation S-K 1300 Report |
Signature Date: 20 February 2025 SLR Project No.: 123.020514.00001 |
12.0 |
Mineral Reserve Estimates |
150 |
12.1 |
Summary |
150 |
12.2 |
Comparison with Previous Estimate |
151 |
12.3 |
Modifying Factors |
152 |
12.4 |
Basis of Estimate |
154 |
12.5 |
Dilution and Ore Loss |
154 |
12.6 |
Extraction and Mine Planning |
155 |
12.7 |
Economic Cut-off Grade |
161 |
12.8 |
Metallurgical Factors |
161 |
12.9 |
QP Opinion |
163 |
13.0 |
Mining Methods |
164 |
13.1 |
General Description of Operations |
164 |
13.2 |
Haul Roads and Infrastructure |
167 |
13.3 |
Geotechnical and Hydrogeology Considerations |
170 |
13.4 |
Mine Equipment |
174 |
13.5 |
Personnel |
176 |
14.0 |
Processing and Recovery Methods |
178 |
14.1 |
Process Description |
178 |
14.2 |
Primary Equipment List |
180 |
14.3 |
Consumables and Power |
182 |
14.4 |
QP Opinion |
182 |
15.0 |
Infrastructure |
183 |
15.1 |
Access Roads |
185 |
15.2 |
Power |
185 |
15.3 |
Water |
185 |
15.4 |
Accommodation Camp |
186 |
15.5 |
Mine Waste Management |
186 |
16.0 |
Market Studies |
187 |
16.1 |
Overview |
187 |
16.2 |
Market: Darling Range |
188 |
16.3 |
Contracts |
189 |
17.0 |
Environmental Studies, Permitting, and Plans, Negotiations, or Agreements with Local Individuals or Groups |
190 |
17.1 |
Environmental Studies |
190 |
17.2 |
Waste and Tailings Disposal, Site Monitoring, and Water Management |
194 |
17.3 |
Project Permitting |
199 |
17.4 |
Social or Community Requirements |
200 |
|
iii |
|
Alcoa Corporation S-K 1300 Report |
Signature Date: 20 February 2025 SLR Project No.: 123.020514.00001 |
17.5 |
Mine Closure Requirements |
201 |
17.6 |
Local Procurement and Hiring |
202 |
18.0 |
Capital and Operating Costs |
203 |
18.1 |
Capital Costs |
203 |
18.2 |
Operating Costs |
203 |
19.0 |
Economic Analysis |
205 |
19.1 |
Economic Criteria |
205 |
19.2 |
Cash Flow Analysis |
206 |
19.3 |
Sensitivity Analysis |
207 |
20.0 |
Adjacent Properties |
209 |
21.0 |
Other Relevant Data and Information |
210 |
22.0 |
Interpretation and Conclusions |
211 |
22.1 |
Geology and Mineral Resources |
211 |
22.2 |
Mining and Mineral Reserves |
211 |
22.3 |
Mineral Processing |
212 |
22.4 |
Infrastructure |
212 |
22.5 |
Environment |
214 |
23.0 |
Recommendations |
216 |
23.1 |
Geology and Mineral Resources |
216 |
23.2 |
Mining and Mineral Reserves |
217 |
23.3 |
Mineral Processing |
217 |
23.4 |
Infrastructure |
217 |
23.5 |
Environment |
218 |
24.0 |
References |
219 |
25.0 |
Reliance on Information Provided by the Registrant |
222 |
26.0 |
Date and Signature Page |
223 |
|
iv |
|
Alcoa Corporation S-K 1300 Report |
Signature Date: 20 February 2025 SLR Project No.: 123.020514.00001 |
Tables in Text
Table 1‑1: |
LOM Technical-Economic Assumptions |
8 |
Table 1‑2: |
LOM Indicative Economic Results |
9 |
Table 1‑3: |
Nine Year LOM Sustaining Capital Costs by Area |
20 |
Table 1‑4: |
LOM On-site Mine Operating Costs by Category* |
21 |
Table 2‑1: |
Site Visit Summary |
23 |
Table 2‑2: |
List of Alcoa staff who had input into discussions with SLR QPs |
23 |
Table 3‑1: |
ML1SA License Details |
31 |
Table 4‑1: |
Historical Climate Data |
41 |
Table 6‑1: |
Alcoa’s Darling Range Deposit Typical Stratigraphic Column |
50 |
Table 6‑2: |
Summary of Typical (Modal) Stratigraphic Horizons Within Each Area |
50 |
Table 7‑1: |
Drill Quantities by Year and Location |
54 |
Table 7‑2: |
Logging Codes for Material Type |
61 |
Table 7‑3: |
Generalized subsurface profile |
68 |
Table 8‑1: |
Assaying Methodologies for Resource Estimation Samples |
75 |
Table 8‑2: |
Standards Used for Drilling and REF Monitoring (IRMs) |
80 |
Table 8‑3: |
Performance of IRM Samples used in the 2023 - 2024 QA/QC Programs. |
81 |
Table 9‑1: |
Count of Records by Database Table for Two Database Extracts |
98 |
Table 10‑1: |
Product Grades of Darling Range Operation (Willowdale–Wagerup refinery feed) |
100 |
Table 10‑2: |
Product Grades of Darling Range Operations (Huntly–Pinjarra refinery feed) |
101 |
Table 10‑3: |
Product Grades of Darling Range Operations (Huntly–Kwinana refinery feed) |
101 |
Table 11‑1: |
Summary of Darling Range Mineral Resources exclusive of Mineral Reserves – 31 December 2024 |
105 |
Table 11‑2: |
Comparison with Previous Mineral Resource Estimates |
107 |
Table 11‑3: |
Variables in the assay table |
109 |
Table 11‑4: |
Descriptive Statistics for the Main Variables |
121 |
Table 11‑5: |
Top-Cuts Used for the M23 and H12 Areas |
123 |
Table 11‑6: |
Variogram parameters for the M23 area (MineSight ZXY rotation) |
124 |
Table 11‑7: |
Variogram parameters for the H12 area (MineSight ZXY rotation) |
124 |
Table 11‑8: |
Summary of Density Test Data (t/m³) from 1980 to 1992 (Senini, 1993) |
126 |
Table 11‑9: |
Ordinary Kriging Search Parameters (MineSight ZXY rotation). |
129 |
Table 11‑10: |
Tonnage and Grade Information Between the Original Resource Model and the 3D Block Model |
130 |
Table 11‑11: |
Composites, OK, ID2, and NN statistics for the M23 area |
133 |
Table 11‑12: |
Composites, OK, ID2, and NN statistics for the H12 area |
135 |
|
v |
|
Alcoa Corporation S-K 1300 Report |
Signature Date: 20 February 2025 SLR Project No.: 123.020514.00001 |
Table 11‑13: |
Darling Range Mineral Resources exclusive of Mineral Reserves by Mining Region – 31 December 2024 |
148 |
Table 12‑1: |
Summary of Darling Range Mineral Reserves – Effective 31 December 2024 |
150 |
Table 12‑2: |
Comparison with Previous Mineral Reserve Estimates |
152 |
Table 12‑3: |
Highlighted Cut Off Grade Variables |
161 |
Table 13‑1: |
Alcoa Recommended Pit Design Constraints |
171 |
Table 13‑2: |
Darling Range Operations Equipment List |
174 |
Table 13‑3: |
Darling Range Personnel |
177 |
Table 14‑1: |
Primary Equipment List (Willowdale) |
180 |
Table 14‑2: |
Primary Equipment List (Huntly) |
181 |
Table 15‑1: |
Water Abstraction License Volumes |
186 |
Table 18‑1: |
Nine Year LOM Sustaining Capital Costs by Area |
203 |
Table 18‑2: |
LOM Mine Operating Costs by Category* |
204 |
Table 18‑3: |
Workforce Summary |
204 |
Table 19‑1: |
Technical-Economic Assumptions |
205 |
Table 19‑2: |
LOM Production Summary |
205 |
Table 19‑3: |
LOM Indicative Economic Results |
207 |
Figures in Text
Figure 3‑1: |
ML1SA Lease Extents (Alcoa, 2024) |
32 |
Figure 3‑2: |
Map of Mining Reporting Centers, Mining Regions, and Production Sheets (Alcoa, 2024) |
33 |
Figure 3‑3: |
Map of Current Mineral Resource and Mineral Reserve Extents (Alcoa, 2024) |
34 |
Figure 3‑4: |
Exploration Sheet, Production Sheet, and Map Sheet Conventions (SRK, 2021) |
36 |
Figure 5‑1: |
Bauxite Exploration in the Southwest of Western Australia 1961 (adapted from Hickman, 1992) |
45 |
Figure 6‑1: |
Regional Geology (adapted from SRK, 2021) |
47 |
Figure 6‑2: |
Surface Geology Showing Laterite Over Granite (Alcoa, 2015) |
48 |
Figure 6‑3: |
Bauxite Deposit Formation Schematic – Relief Exaggerated (Alcoa, 2021) |
49 |
Figure 6‑4: |
Typical Alcoa Darling Range Mineralogy Profile (Hickman et al, 1992) |
51 |
Figure 6‑5: |
Typical Alcoa Darling Range Grade Profile (Alcoa, 2015) |
51 |
Figure 6‑6: |
Typical Alcoa Darling Range Mining Sequence and Vertical Profile (SLR, 2021) |
52 |
Figure 7‑1: |
Chart of Resource Drill Holes by Year |
56 |
|
vi |
|
Alcoa Corporation S-K 1300 Report |
Signature Date: 20 February 2025 SLR Project No.: 123.020514.00001 |
Figure 7‑2: |
Resource Drilling Tractor Accessing the Forest (SLR, 2021) |
57 |
Figure 7‑3: |
Drill Bits, Reverse Circulation Drill String and Particle Size of the Sample Residue (SLR, 2021) |
58 |
Figure 7‑4: |
Sample Catching and Riffle Splitting Practices (SLR, 2021) |
60 |
Figure 7‑5: |
Barcode Reader and Digital Recorder Mounted on the Drill Rig (SLR, 2021) |
61 |
Figure 7‑6: |
Topographic Data Coverage of the 2015, 2016 and 2018 LiDAR Surveys (Alcoa, 2022) |
63 |
Figure 7‑7: |
Error in Actual Collar Location from the Nominal (planned) Position is Monitored for the Three Drill Rig Types (Alcoa, 2021) |
65 |
Figure 7‑8: |
Possible Lateral and Vertical Sample Location Error on 15° Sloping Ground (SLR, 2021) |
66 |
Figure 8‑1: |
The Bella Robotic Sample Preparation using Rocklabs Ring Mills (SLR, 2021) |
71 |
Figure 8‑2: |
The Pulverized Sample is Stored in a Barcoded Dedicated Receptacle for Assay (SLR, 2021) |
72 |
Figure 8‑3: |
The Pulverized Sample is Tracked Digitally Through the Bella Preparation and Assaying (SLR, 2021) |
72 |
Figure 8‑4: |
Sample Preparation Monitoring: Grind Sizes for the Robotic Sample Preparation Unit Tested by Bella and by KWI |
73 |
Figure 8‑5: |
The Robotic FTIR Assaying Equipment (RHS shows the sampling scoop arm and pulp dish with the lid elevated) (SLR, 2021) |
74 |
Figure 8‑6: |
Digestion and Assay Equipment used for REF Samples at the KWI Clockwise from top left: BD, MD, TICTOC, ICP, XRF, GC (SLR, 2021) |
77 |
Figure 8‑7: |
KH20 control chart of AL, SI, and FE |
82 |
Figure 8‑8: |
KH20 control chart of AL, SI, and FE: Q2 2024 and Q3 2024 |
83 |
Figure 8‑9: |
KH20 control chart of AL, SI, and FE: Q3 2024 and Q4 2024 |
85 |
Figure 8‑10: |
Scatter Plot, Quantile-Quantile Plot and Statistics of AL Umpire Laboratory Checks – Bella and Bureau Veritas |
87 |
Figure 8‑11: |
Scatter Plot, Quantile-Quantile Plot and Statistics of SI Umpire Laboratory Checks – Bella and Bureau Veritas |
87 |
Figure 8‑12: |
Scatter Plot, Quantile-Quantile Plot and Statistics of FE Umpire Laboratory Checks – Bella and Bureau Veritas |
88 |
Figure 8‑13: |
Quantile-Quantile Plot (On the left) and Scatter Plots (on the right) of Parent and Individual Daughters’ Analysis of AL,SI and FE |
90 |
Figure 8‑14: |
Quantile-Quantile Plot (on the left) and Scatter Plots (on the right) of Parent and Average of Daughters’ Analysis of AL, SI and FE |
92 |
Figure 8‑15: |
Scatter Plot, Quantile-Quantile Plot and Statistics of AL Historic and Holyoake Results. |
94 |
Figure 8‑16: |
Scatter Plot, Quantile-Quantile Plot and Statistics of SI Historic and Holyoake Results. |
95 |
Figure 9‑1: |
Visual Display of Hole Status (logged and assayed) for Hole G39150224 in Serpentine (Alcoa, 2021) |
97 |
|
vii |
|
Alcoa Corporation S-K 1300 Report |
Signature Date: 20 February 2025 SLR Project No.: 123.020514.00001 |
Figure 11‑1: |
Circle Charts Showing the Tonnage in Mt (external circle) and Number of Models (internal Circle) and Bar Charts Showing the Tonnage by Mineral Resource Categories |
103 |
Figure 11‑2: |
M23 and H12 area delimitation and drilling. The different colours represent the assay method used for each drilling phase |
112 |
Figure 11‑3: |
Location of the M23 Resource Model Area (MYN-M23) |
113 |
Figure 11‑4: |
Location of the H12 Resource Model Area (HLY-H12) |
114 |
Figure 11‑5: |
Plan View of Polygonal Approach (Pass = red, pass open = green, marginal = yellow, fail = blue) (Alcoa, 2022) |
117 |
Figure 11‑6: |
Section Showing Domain (DOMAF) and the Main Wireframed Surfaces for the M23 (top) and H12 (bottom) areas– vertical scale 5x |
119 |
Figure 11‑7: |
Plan View of Bauxite Zone and Drill Holes Flagged as Laterite and Dykes |
120 |
Figure 11‑8: |
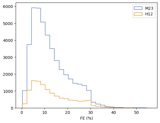
Histograms for AL, SI, FE and Length in the bauxite domain (M23 and H12 areas) |
121 |
Figure 11‑9: |
Ternary Charts of Lithologies for M23 and H12 Areas |
122 |
Figure 11‑10: |
Example Section showing Bauxite Zone and Mining Solid |
129 |
Figure 11‑11: |
Resource Comparison Scatterplots for Huntly (Tonnage, AL, SI, OX) (SLR, 2021) |
131 |
Figure 11‑12: |
Visual validation of Blocks and Composites for AL |
137 |
Figure 11‑13: |
Visual validation of Blocks and Composites for SI |
137 |
Figure 11‑14: |
Visual validation of Blocks and Composites for FE |
138 |
Figure 11‑15: |
Swath Plots in X direction for AL, SI and FE for the M23 and H12 areas – bauxite layer |
139 |
Figure 11‑16: |
Mineral Resource Pits for the M23 (top) and H12 (bottom) areas. Vertical exaggeration 3x |
141 |
Figure 11‑17: |
Resource versus Sample Plant Reconciliation – Huntly (SLR, 2024) |
143 |
Figure 11‑18: |
Resource versus Sample Plant Reconciliation – Willowdale (SLR, 2024) |
143 |
Figure 11‑19: |
Minimum distance histograms showing the resource classification by the distance of the closest sample |
146 |
Figure 11‑20: |
Plan View of M23 and H12 Resource Classification. Block within the Mineral Resource Pit |
147 |
Figure 12‑1: |
Undulating Hanging Wall Hardcap Surface; and Footwall (white clay, lower right in the floor) (Left: Pearman, 2015 & Right: SLR, 2021) |
155 |
Figure 12‑2: |
Willowdale LTMP Resource Confidence (drill hole spacing in meters shown in brackets) (Alcoa, 2024) |
156 |
Figure 12‑3: |
Huntly LTMP Resource Confidence (drill hole spacing in meters shown in brackets) (Alcoa, 2024) |
157 |
Figure 12‑4: |
Example of Reconciliation Between Mineral Resource and Grade Control Models for Tonnage, Al, Si, and OX (Alcoa, 2022) |
159 |
Figure 12‑5: |
LTMP: Huntly |
162 |
Figure 12‑6: |
LTMP: Willowdale |
162 |
|
viii |
|
Alcoa Corporation S-K 1300 Report |
Signature Date: 20 February 2025 SLR Project No.: 123.020514.00001 |
Figure 13‑1: |
SOBR (SLR, 2022) |
165 |
Figure 13‑2: |
Topsoil Removal (Background), Blasting of Hardcap and Marking of Ore (foreground) (SLR, 2021) |
166 |
Figure 13‑3: |
Contour Mining (SLR, 2021) |
167 |
Figure 13‑4: |
Truck on Haul Road (SLR, 2021) |
168 |
Figure 13‑5: |
Haul Roads with Berms (SLR, 2021) |
168 |
Figure 13‑6: |
Covered Conveyor (SLR, 2021) |
170 |
Figure 13‑7: |
Contour Mining (SLR, 2021) |
172 |
Figure 13‑8: |
Soil Being Returned for Backfilling and Landscaping the Pit (Alcoa, 2018) |
172 |
Figure 13‑9: |
Landscaped Mining Area, Prior to Replanting of Forest (SLR, 2021) |
173 |
Figure 13‑10: |
Rehabilitated Pit Through Re-plantation of Native Vegetation (SLR, 2021) |
173 |
Figure 13‑11: |
Ore Mining at Darling Range (SLR, 2021) |
174 |
Figure 13‑12: |
Blasthole Drill Working on Hardcap (SLR, 2021) |
176 |
Figure 14‑1: |
Simplified Block Flow Diagram of the Willowdale Operation |
178 |
Figure 14‑2: |
Simplified Block Flow Diagram of the Huntly Operation |
180 |
Figure 15‑1: |
Infrastructure Layout (Alcoa, 2022) |
184 |
Figure 19‑1: |
Sensitivity Analysis (NPV) |
207 |
|
ix |
|
Alcoa Corporation S-K 1300 Report |
Signature Date: 20 February 2025 SLR Project No.: 123.020514.00001 |
SLR International Corporation (SLR or the QP) was appointed by Alcoa Corporation (Alcoa) to prepare an independent Technical Report Summary (TRS) on the Darling Range bauxite mines, located in Western Australia. The purpose of this report is to support the Mineral Resource and Mineral Reserve estimates for the mines as of December 31, 2024. This TRS conforms to the United States Securities and Exchange Commission’s (SEC) Modernized Property Disclosure Requirements for Mining Registrants as described in Subpart 1300 of Regulation S-K, Disclosure by Registrants Engaged in Mining Operations (S-K 1300), and Item 601(b)(96) of Regulation S-K, Technical Report Summary.
|
1 |
|
Alcoa Corporation S-K 1300 Report |
Signature Date: 20 February 2025 SLR Project No.: 123.020514.00001 |
|
2 |
|
Alcoa Corporation S-K 1300 Report |
Signature Date: 20 February 2025 SLR Project No.: 123.020514.00001 |
|
3 |
|
Alcoa Corporation S-K 1300 Report |
Signature Date: 20 February 2025 SLR Project No.: 123.020514.00001 |
|
4 |
|
Alcoa Corporation S-K 1300 Report |
Signature Date: 20 February 2025 SLR Project No.: 123.020514.00001 |
It is apparent to the QP that the long history of exploration, development and mining of Alcoa’s Darling Range bauxite tenements have established sound knowledge and understanding of the geology and mineral endowment. The QP has not identified any fatal flaws in the current practices of mapping (based on the ArcGIS system), drill sampling (based on progressive continuous improvement), assaying (based on calibrated and
|
5 |
|
Alcoa Corporation S-K 1300 Report |
Signature Date: 20 February 2025 SLR Project No.: 123.020514.00001 |
validated FTIR, with reasonable quality control), estimation (3D Block Model - 3DBM), database management (using acQuire), the application of mining criteria that assure RPEE, and the application of constraints establishing forestry, heritage and noise limits to the Mineral Resource definition. The following recommendations are offered as suggestions for further improvement, aligned with Alcoa’s comprehensive approach to research and development (seen for example in the evolution of their drilling, sampling and assaying technologies). These recommendations are prioritized in terms of their perceived value to the overall operation, but are not expected to add cost:
|
6 |
|
Alcoa Corporation S-K 1300 Report |
Signature Date: 20 February 2025 SLR Project No.: 123.020514.00001 |
The historical operational data for the Darling Range demonstrates that ore consistently met refinery specifications.
The Darling Range mining operations have well established infrastructure, with mining hubs that are periodically moved to reduce transportation distances between mining operations and the hubs. The QP makes no recommendations regarding infrastructure.
Alcoa has established systems to facilitate adherence to environmental commitments and has made progress with modernizing environmental approvals and permits for Huntly, Willowdale and the future mining areas at Holyoake and Myara North. The QP recommends that the following action is taken:
|
7 |
|
Alcoa Corporation S-K 1300 Report |
Signature Date: 20 February 2025 SLR Project No.: 123.020514.00001 |
A technical-economic model was prepared on an after-tax discounted cash flow (DCF) basis, the results of which are presented in this subsection.
Annual estimates of mine production with associated cash flows are provided for years 2025 to 2033 inclusive, based on Proven and Probable Reserves only.
Key criteria used in the analysis are discussed elsewhere throughout this TRS. General assumptions used are summarized in Table 1‑1. All values are presented in United States Dollars ($) unless otherwise stated.
Table 1‑1: LOM Technical-Economic Assumptions
Description |
Value |
Start Date |
January 1, 2025 |
Mine Life based on Mineral Reserves |
9 years |
Average LOM Price Assumption |
$23.19 |
Total Operating Costs |
$4,045.2 million |
Capital over nine years |
$1,174.6 million |
Income tax |
$226.0 million |
Discount Rate |
9.5% |
Discounting Basis |
End of Period |
Corporate Income Tax Rate |
30% |
Model Basis |
Nominal |
The economic analysis presented herein complies with S-K 1300 requirements and is based on a reserve-based discounted cashflow analysis using only Proven and Probable Mineral Reserves for the 9-year mine planning window.
Using the defined 9-year detailed mine plan period, at a 9.5% discount rate and average bauxite price of $23.19/t, the operation generates an after-tax NPV of $54.7 million.
|
8 |
|
Alcoa Corporation S-K 1300 Report |
Signature Date: 20 February 2025 SLR Project No.: 123.020514.00001 |
This figure reflects substantial sustaining capital requirements (major mine moves, conveyor replacements, haul roads, and other sustaining operations) during the period. This valuation is presented on a 100% attributable basis using nominal cash flows which allow for annual price inflation of 3% and cost escalation primarily ranging between 2 and 3%.
Table 1‑2: LOM Indicative Economic Results
Description |
Units |
Total LOM |
LOM |
Years |
9 |
LOM Bauxite Production (wet) |
Mt |
298.5 |
Average LOM Price |
$/t |
23.19 |
Gross Revenue |
$ million |
6,920.5 |
Labor |
$ million |
1,233.1 |
Services |
$ million |
345.4 |
Other Indirect |
$ million |
899.2 |
PAE – Corporate Chargebacks |
$ million |
239.5 |
Energy |
$ million |
28.4 |
Fuel |
$ million |
230.2 |
Supplies |
$ million |
275.6 |
Maintenance |
$ million |
569.6 |
On-site Mine Operating Costs |
$ million |
3,821.0 |
Off-site Mine Operating Costs |
$ million |
224.2 |
Corporate Income Tax |
$ million |
333.7 |
Net Income after Taxes |
$ million |
778.7 |
Depreciation Tax Savings |
$ million |
1,763.0 |
Sustaining Capital (2025 to 2033 inclusive) |
$ million |
1,174.6 |
Closure Costs |
$ million |
Included in ARO under operating costs |
Free Cash Flow |
$ million |
342.3 |
NPV @ 9.5% |
$ million |
54.7 |
Project risks can be identified in both economic and non-economic terms. Key economic risks were examined by running cash flow sensitivities. The operation is nominally most sensitive to market prices (revenues) followed by operating costs.
The Mineral Resource and Reserve estimates declared in this Report were derived for bauxite deposits located within the Darling Range in the southwest of Western Australia. The mining center of Huntly is located approximately 80 km to the southeast of Perth, and approximately 30 km northeast of the township of Pinjarra. Willowdale is located 100 km south-southeast of Perth, and approximately 20 km southeast of the township of Waroona.
|
9 |
|
Alcoa Corporation S-K 1300 Report |
Signature Date: 20 February 2025 SLR Project No.: 123.020514.00001 |
The Pinjarra refinery is located adjacent to the east of the town of Pinjarra and is approximately 25 km southwest of the Huntly mining areas. The Wagerup refinery, supplied by Willowdale, is located immediately adjacent to the east of the South Western Highway, approximately 8 km south of Waroona and 20 km west of the Willowdale mining area. The Kwinana refinery, previously supplied by Huntly, was curtailed in 2024, and lies approximately 50 km northwest of Huntly in the city of Kwinana, a suburb approximately 40 km south of Perth.
The bauxite deposits are all located within ML1SA. The Agreement permits the exploration and mining of bauxite within the tenement boundaries. ML1SA was granted on 24 September 1961, for four 21-year periods, and the current lease expires on 24 September 2045, with provision for renewal extending beyond 2045. The current lease covers an area of 7,022.61 km², and extends from just north of Perth, to Collie in the south. The legislation under which Alcoa operates is overseen by the Mining and Management Program Liaison Group, which comprises representatives from several State Government departments. The current concession of ML1SA covers an area of 7,022.61 km², extending from the north of Perth on the eastern side to the town of Collie in the south.
Alcoa has the exclusive right to explore for and mine bauxite on all Crown Land within the ML1SA, however a number of environmental and statutory constraints exist within the area, and Alcoa is not permitted to access bauxite from the areas covered under these constraints. For example, the 2023-2027 MMP requires:
Mineral Resources have not been defined in the constrained areas.
In August 2001, Alcoa entered a sub-lease arrangement with a consortium referred to as the Worsley Participants. This arrangement permits the Worsley Participants to mine and process bauxites within the sub-lease area. Alcoa has not declared Mineral Resources within the sub-lease area.
The mining rights and assets involved with bauxite mining and alumina refining in Australia are 100% owned by Alcoa of Australia Limited (AofA), an affiliate of Alcoa owned by Alcoa World Alumina and Chemicals (AWAC). Prior to Alcoa’s acquisition of Alumina Limited, Alcoa Corporation and Alumina Limited owned 60% and 40%, respectively, of AWAC, an unincorporated global joint venture consisting of a number of affiliated entities that own, operate, or have an interest in bauxite mines and alumina refineries, as well as an aluminum smelter, in seven countries. In August 2024 Alcoa completed the acquisition of Alumina Limited, putting the AWAC joint venture under full control and ownership of Alcoa. As a result, Alcoa owns 100% of AofA and, indirectly, 100% of the mining rights and assets involved with bauxite mining and alumina refining in Australia.
|
10 |
|
Alcoa Corporation S-K 1300 Report |
Signature Date: 20 February 2025 SLR Project No.: 123.020514.00001 |
Bauxite occurrences were first recorded in the Darling Range in 1902. Bauxite was detected as a result of analyzing laterite from Wongan Hills, and subsequently through examination of lateritic road gravels from several localities in the Darling Range. The Geological Survey of Western Australia (Geological Survey) produced studies and publications, driving the bauxite exploration, though most attention was focused on localities in the Darling Range close either to Perth or to railway lines servicing towns such as Toodyay and York. By 1938 bauxite deposits were known to be common throughout the Darling Range over an area of 560 km long by 40 km to 80 km wide. The Geological Survey maintained interest in Darling Range laterite as an economic source of aluminum until the 1950s. However, by the late 1950s exploration had been taken over by mining companies. The earliest non-government exploration for bauxite was carried out in 1918 by the Electrolytic Zinc Co. of Australia Pty Ltd, deeming the deposits to be generally low grade and not of commercial value, though like earlier explorers, did not focus upon the underlying friable units.
No further private exploration took place until 1957 when Western Mining Corporation Ltd (WMC) began to explore for bauxite in the Darling Range. Following a regional reconnaissance, a joint venture company, Western Aluminum NL (WANL), formed by WMC with North Broken Hill Ltd and Broken Hill South Ltd, explored temporary reserves over a large portion of the southwest. These areas were part of a Special Mineral Lease (ML1SA) granted to WANL in 1961.
By 1961, WANL had delineated 37 Mt of bauxite at an average grade of 33% AL. Also in 1961, WANL joined with the Aluminum Company of America Ltd (Alcoa US), allowing additional systematic exploration of lease ML1SA. Commercial mining was finally started in 1963 at Jarrahdale and continued until 1998, supplying bauxite to the Kwinana refinery.
In 1977 WANL became Alcoa. As of December 2024, the Huntly and Willowdale mining operations remain active. Huntly supplies bauxite to the Pinjarra refinery (approximately 17 million tonnes per annum, Mtpa) while Willowdale supplies the Wagerup refinery (approximately 10 Mtpa).
The Mineral Resource estimates declared in this Technical Report Summary were derived for bauxite deposits located within the Darling Range in the southwest of Western Australia. The Darling Range comprises a low incised plateau formed by uplift along the north-south trending Darling Fault, which is a major structural lineament that separates the Pinjarra Orogen to the west, from the Yilgarn Craton to the east. The range extends for over 250 km, from Bindoon in the north to Collie in the south.
Bauxite deposits have been identified throughout the Darling Range and generally occur as erratically distributed alumina-rich lenses within the eroded laterites that mantle the granites to the east of the scarp line. The bauxites are thought to have formed from the lateritization of the peneplained surface of the Western Gneiss Terrane rocks. Lateritization is thought to have commenced during the Cretaceous and continued through to the Eocene, with the subsequent periodic activity of the Darling Fault resulting in the current landform of scarps and deeply incised valleys on the western edge of the Darling Range.
Most of the bauxites display a typical profile comprising the following sequence, from the top down:
|
11 |
|
Alcoa Corporation S-K 1300 Report |
Signature Date: 20 February 2025 SLR Project No.: 123.020514.00001 |
The Hardcap and Friable Zone are targeted as the ore horizon. Selective mining practices are applied to minimize the inclusion of Overburden, because of its elevated organic carbon levels, and Basal Clay because of its elevated SI concentrations. Within the Hardcap and Friable Zone, the dominant minerals, in order of abundance, are gibbsite, quartz, goethite, kaolinite, and hematite, with lesser amounts of anatase and muscovite.
Systematic exploration for bauxite within the region commenced in the 1960s and is conducted on a continuous basis to maintain sufficient Resources and Reserves to meet refinery supply. Alcoa systematically drills the laterite areas on a regular grid spacing of 60 × 60 m, followed by successive infill programs in selected areas that reduce the spacing to 30 × 30 m, and finally to 15 × 15 m. The 2024 Mineral Resource estimates were derived from data acquired from a total of 420,789 holes, drilled between 1981 and 2024, with approximately 83% of the holes drilled after 2009.
The planned drill hole collar locations are pegged by Alcoa surveying staff using real time kinematic differential global positioning system (RTK DGPS). Prior to mid-2015, theodolite/ total stations and DGPS were used to position the 60 m spaced holes, and the 30 m and 15 m grids were positioned by taping and optical square sighting between the 60 m pegs. If the drill rig cannot be setup within 2 m of the peg, the offset distance is measured and marked on the driller’s log. Alcoa has recently introduced the practice of resurveying all drill hole locations after drilling. However, the planned coordinates are used for subsequent modelling activities.
All holes are assumed to be vertical. However, the drill rigs have limited levelling capability, and most holes are orthogonal to the local surface gradient, resulting in deviations of several degrees from vertical.
A digital elevation model representing the natural surface was prepared from a combination of collar survey data, LiDAR data, and satellite imagery.
The drilling is conducted using a fleet of tractor-mounted vacuum rigs, which have been modified to operate in forested areas with minimal clearing or ground preparation. In 2015, Alcoa added aircore drilling rigs to the fleet. These rigs are also tractor-mounted and are fitted with a similar sample collection system to that used on the vacuum rigs. The rigs are fitted with hollow-bladed bits that have a nominal cutting diameter of 45 mm and an internal retrieval tube diameter of 22–25 mm.
All samples are collected on 0.5 m intervals, with the material extracted via the hollow drill stem into a collector flask attached to the cyclone underflow. Each sample, which weighs approximately 1.5 kg, is repeatedly passed through a riffle splitter to yield a retained split weighing approximately 200 g. This material is placed into barcode-labelled sample packets for dispatch to the test laboratory. The remaining material is discarded.
For each hole, the drillers prepare a log sheet that contains survey, drilling, geological logging, and sample submission information.
|
12 |
|
Alcoa Corporation S-K 1300 Report |
Signature Date: 20 February 2025 SLR Project No.: 123.020514.00001 |
The long production history of Alcoa’s ML1SA operations has resulted in the development of an integrated approach for data collection, bauxite delineation, and production planning, aimed at providing feedstock that meets the technical specification requirements of the local refineries. In the past few years, Alcoa recognized that some of its procedures required optimization and updating to be more consistent with best practice approaches within the industry. They commenced a process of investigation and revision of many of these procedures but recognized that this must be implemented in a staged manner to ensure that the Mineral Resources and Mineral Reserves delineation procedures remain consistent with, and do not result in significant disruption to, current mining practices. In 2019, they began introduction 3D block modelling techniques to replace the polygon and gridded seam modelling resource estimation procedures. Approximately 61% of the tonnages that contribute to the current Mineral Resource (exclusives Mineral Reserves) have been prepared using the new 3D block modelling procedures.
The majority of the estimates that make up the current Mineral Resource inventory were prepared using techniques that Alcoa has developed since the commencement of mining in 1963. Over the period, Alcoa developed an integrated approach to data collection, resource definition, and mining that has proven effective in meeting the refineries’ feedstock requirements.
The development of the resource estimation procedures largely predates the wider industry move to block modelling and geostatistical estimation techniques that occurred in the 1990s. Although there have been numerous changes and refinements to Alcoa’s procedures, these systems are essentially a semi-automated implementation of the traditional 2D polygonal estimation techniques.
A legacy of the development history of the resource estimation system is that different procedures were used to delineate Mineral Resources using the 30 m and 60 m spaced data, termed the ResTag procedures, compared to those defined using the 15 m spaced data, termed the Gridded Seam Model (GSM) procedures.
The estimates defined using the 15 m spaced data are limited to the material that is planned to be mined. The parameters used by Alcoa meant that the resultant estimates were essentially nearest neighbor polygonal estimates.
In essence, all techniques largely rely upon the definition of a resource floor based on AL and SI cut-off grade criteria applied to both individual and accumulated sample grades (for the traditional approaches) or individual and accumulated model grades (for the 3DBM approach). Minimum thickness criteria are also considered. For the models defined using the 15 m spaced data, practical mining constraints are also included in floor definition, including stripping ratios, and the floor heights in surrounding holes. The sample grades in each drill hole or column of model cells are composited over the interval between the base of overburden and the resource floor.
The lateral constraints are initially defined using AL and SI grade thresholds, and then modified to include minimum area, minimum composite numbers, and maximum internal waste criteria. Additional constraints are applied for the resources defined using 15 m spaced data. These include maintaining equipment transit corridors and including minimum buffer distances around environmental exclusion zones and bedrock outcrop.
The resource outlines are divided into resource blocks that delineate sub-regions containing material with similar grade characteristics, and contain tonnages that can be used for long-term, medium-term, and short-term scheduling activities (80 kt to 100 kt for 60 m spacing, down to 20 kt to 40 kt for 15 m spacing). For the 30 m and 60 m areas, the resource blocks are assigned the length-weighted average grades of the enclosed composites.
|
13 |
|
Alcoa Corporation S-K 1300 Report |
Signature Date: 20 February 2025 SLR Project No.: 123.020514.00001 |
The model contains estimates for a range of constituents that are of prime importance for Bayer processing including AL, SI, oxalate, sulphate, boehmite, and iron. Validation included visual and statistical checks between the input data and resource block estimates, comparisons of the estimates derived from different data spacings, and comparisons of the estimates with production data.
The annual reconciliation data for the past 10 years indicate the presence of grade and tonnage biases which, although some show long-term trends, appear to be relatively consistent and predictable on a year-to-year basis. The As Mined tonnage estimates are consistently biased high by approximately 5%. The As Mined AL is biased low but has shown a gradual improvement from 5% to 1%, relative over the past decade. Reactive silica is the most variable element, showing lower differences for Huntly in previous years but reaching 20% in 2024, and displaying a higher variability pattern for Willowdale, usually above 10%.
The Mineral Resource classifications have been applied to the resource estimates based on consideration of the confidence in the geological interpretation, the quality and quantity of the input data, the confidence in the estimation technique, and the likely economic viability of the material.
There are limited quality assurance data to enable a thorough assessment of the reliability of the estimation datasets, and nowadays the minority of the Mineral Resource estimates (inclusive Mineral Reserves) have been prepared using traditional 2D estimation techniques which have known limitations when used to prepare local estimates. However, the long production history and significant amount of reconciliation data indicate that past estimates prepared using these techniques have been relatively reliable and predictable.
Based on the above considerations, the main controlling factors for Mineral Resource classification are deemed to be sample spacing, geological modelling and block model criteria, and data quality.
A Mineral Reserve has been estimated for Alcoa’s Darling Range bauxite mining operations in accordance SEC S–K 1300 which are consistent with the guidelines of the Australasian Code for Reporting of Exploration Results, Mineral Resources and Mineral Reserves (the JORC 2012 Code).
The QP inspected the Alcoa Huntly and Willowdale operations and site Mine Planning Department between October 8th and 9th 2024 and visited Alcoa’s Mine Planning offices in Booragoon on October 10th and 11th 2024, interviewing relevant personnel on these dates and on other occasions. The QP has prior knowledge of the asset being involved in the previous Mineral Reserve Statement in the preceding years (2021, 2022, and 2023).
The Mineral Reserve is classified with reference to the classification of the underlying Mineral Resource and with reference to confidence in the informing Modifying Factors. The QP considers the Proven and Probable classification to be appropriate to the deposit and associated mining operations.
The reference point for the Mineral Reserve is prior to the processing plant at the refinery.
The Proven Mineral Reserve is a subset of Measured Resources only. The Proven Mineral Reserve is included in the Long Term Mine Plan (LTMP) and is approved for mining.
The Probable Mineral Reserve is estimated from that part of the Mineral Resource that has been classified as Indicated or from Measured resources that are not yet approved for mining.
Variable cut-off grades are applied in estimation of the Mineral Reserve, and these are related to operating cost and the nature of the Mineral Resource in relation to blending
|
14 |
|
Alcoa Corporation S-K 1300 Report |
Signature Date: 20 February 2025 SLR Project No.: 123.020514.00001 |
requirements. The Mineral Reserve estimate is expressed in relation to available aluminum oxide (AL) and reactive silica (SI), this being the critical contaminant in relation to the Refinery.
The Huntly and Willowdale mines employ conventional open pit mining practices and equipment. The fleet is mixed between contract and owner-operator, depending on the nature of the task at hand. Owner operator equipment is used for mining the bulk of the Mineral Reserve, operating in areas away from those subject to environmental restrictions. Contract mining operates smaller equipment, day shift only, in environmentally (noise) sensitive areas and at the perimeter of the mining area.
Following definition of Mineral Reserve blocks, vegetation is cleared ahead of mining by the Western Australian State Forest Products Commission (FPC), saleable timber being harvested for use. On receipt of clearance to proceed from the FPC, Alcoa operations commence stripping topsoil and secondary overburden removal (SOBR) using small excavators, scrapers, and trucks. Soil is stockpiled at the site, away from the proposed pit, for rehabilitation purposes.
Mining progresses on 4 m benches, utilizing a contour-mining sequence, cutting benches across the topography, working from top to bottom, maintaining the flattest floor obtainable to a maximum overall gradient of 1:10. This is most pronounced in steep areas. Most of the mineralization lies beneath a gently undulating topography and contour mining is minimal.
After completion of mining, overburden is progressively backfilled into adjacent exhausted pits, topsoiled and rehabilitated by re-establishment of native vegetation, creating a stable post-mining landform that replicates the pre-existing environment.
The QP notes in accordance with the mine planning reviewed, total (T.SiO2) and SI contents, on an annual average basis, remains on the target for refineries for the next nine years. This means, there are no evidence of any deleterious element’s presence in the Darling Range ore within the next nine years of production.
The process plant for the Darling Range operations consists of two separate crushing facilities at the Huntly and Willowdale mines. Both facilities crush the Run-of-Mine (ROM) and currently convey the crushed ore to two separate refineries located at Pinjarra and Wagerup.
The power consumption of the Huntly operation is approximately 5,500 MWh to 6,500 MWh per month. The Willowdale power consumption is approximately 2,000 MWh per month.
The process plant is a dry crushing operation and therefore water is only required for dust suppression and is included as part of mine water consumption. Water is not required as a consumable for the plant.
The infrastructure for the mining operations is established and operational. During 2021, the infrastructure hub for Willowdale was relocated 16 km southwards from Orion (after having been based there for 21 years) to the Larego Hub which is located about 20 km north-east of the town of Harvey. The hub hosts new administrative offices, as well as crushing facilities and maintenance facilities. The Orion Hub site has been decommissioned.
Extensive haul road networks, rail, and overland conveyors transport crushed bauxite from the Hubs to the refineries (namely Kwinana, Wagerup and Pinjarra). Bauxite is transferred from each mine to the refineries primarily via long distance conveyor belt, apart from the
|
15 |
|
Alcoa Corporation S-K 1300 Report |
Signature Date: 20 February 2025 SLR Project No.: 123.020514.00001 |
Kwinana refinery which receives bauxite via railway. The Alumina produced by the refineries is then currently shipped to external and internal smelter customers through the Kwinana and Bunbury ports.
As intended, the Kwinana refinery ceased production in the second quarter of 2024 following phased curtailment announced in January 2024. The updated mine plans have been revised accordingly. The Darling Range’s Pinjarra refinery receives power from the South West Interconnected System (SWIS). The refinery also has internal generation capacity of 100 MW from four steam driven turbine alternators, with steam produced by gas fired boilers and a gas turbine Heat Recovery Steam Generator (HRSG). The refinery supplies power to the Huntly Mine by three different power supply lines (a single 33 kV and two 13.8 kV). Willowdale Mine has a single 22 kV power supply fed from the Wagerup refinery. The Wagerup refinery is a net exporter of power to the SWIS, with internal generation capacity of 108 MW from three steam driven turbine alternators and one gas turbine. The steam is produced by gas fired boilers.
The WA mines are licensed by the Department of Water and Environmental Regulation (DWER) to draw surface water from five locations to meet their water supply requirements. The Huntly mine draws water from Banksiadale Dam and Boronia Waterhole. Huntly mine also holds a license to draw water from Pig Swamp and Marrinup, however these resources are retained as a backup water supply and have not been utilized in recent years. Huntly mine is also permitted to draw water from South Dandalup Dam under an agreement with the Water Corporation. A pumpback facility from South Dandalup Dam to Banksiadale Dam is used to raise levels in Banksiadale Dam during periods of low rainfall runoff. Willowdale Mine draws water from Samson Dam.
There are no Alcoa accommodation facilities within the Darling Range. As described above, the Huntly and Willowdale mining areas are within proximity to established population centers including Pinjarra approximately 30 km to the southwest of Huntly and Waroona approximately 20 km northwest of Willowdale. Onsite facilities include offices, ablutions, crib-rooms and workshops, all of which were observed to be in excellent condition.
No tailings are generated within the boundaries of the mining operations. The management of tailings generated downstream at the refineries is beyond the boundaries of the Darling Range mining operations and are therefore not considered in this TRS. Alcoa’s Darling Range mining operations do not produce mine waste or “mullock” in the same manner as conventional mining operations and waste dumps are not constructed.
Alcoa Corporation is a vertically integrated aluminum company comprising bauxite mining, alumina refining, aluminum production (smelting and casting), and energy generation.
Through direct and indirect ownership, during 2024 Alcoa Corporation had 27 locations in nine countries around the world, situated primarily in Australia, Brazil, Canada, Iceland, Norway, Spain, and the United States. Governmental policies, laws and regulations, and other economic factors, including inflation and fluctuations in foreign currency exchange rates and interest rates, affect the results of operations in these countries.
There are three commodities in the vertically integrated system: bauxite, alumina, and aluminum, with each having their own market and related price and impacted by their own market fundamentals. Bauxite, which contains various aluminum hydroxide minerals, is the principal raw material used to produce alumina. Bauxite is refined using the Bayer process to produce alumina, a compound of aluminum and oxygen, which in turn is the raw material used by smelters to produce aluminum metal.
Alcoa obtains bauxite from its own resources and processes over 80% of its combined bauxite production into alumina.
|
16 |
|
Alcoa Corporation S-K 1300 Report |
Signature Date: 20 February 2025 SLR Project No.: 123.020514.00001 |
China is the largest third-party seaborne bauxite market and accounts for more than 90% of all bauxite traded. Bauxite is sourced primarily from Australia, Guinea, and Indonesia on the third-party market. In the long run, China is expected to continue to be the largest consumer of third-party bauxite with Guinea expected to be the majority supplier. Further, third-party traded bauxite is expected to be in surplus over the next decade, with most new mining projects announced recently being located in Guinea.
Bauxite characteristics and variations in quality heavily impact the selection of refining technology and refinery operating cost. Bauxite with high impurities could limit the customer volume an existing refinery could use, resulting in a discount applied to the value-in-use price basis.
Besides quality and geography, market fundamentals, including macroeconomic trends – the prices of raw materials, like caustic soda and energy, the prices of Alumina and Aluminum, and the cost of freight – will also play a role in bauxite prices.
In 2016, Darling Range entered into a 5-year third-party sales contract with a major alumina producer in China. Following the expiration of the third-party sales contract at the end of 2021, all bauxite production from Huntly and Willowdale was consumed internally by the Darling Range.
Alcoa determines economic cut-off grade by deducting operational costs (mining, refining etc) from a base alumina price of USD 400 per tonne. This approach is described in more detail in Section 12.7.
As per previous disclosures, the bauxite price utilized in the mine cashflow is represented by an intercompany price, indicative of mine sales to the refinery, inflated by 3% YoY. The weighted average of this price is $23.19/t over the detailed mine plan period of nine years.
Alcoa has established practices and processes for enabling conformance to environmental requirements. Sensitive areas are identified and managed ahead of disturbance. Environmental factors are considered prior to infill drilling; hence, mining blocks carrying environmental risks do not feature in the Mineral Reserves (for example, areas around granite outcrops and water courses have a buffer applied and are essentially no-go areas from a mining perspective). Mining in some areas became more constrained in 2023 as a result of internal and external factors, which continued into 2024.
The Final 2023-2027 MMP was developed by Alcoa and approved by the Minister for State Development in December 2023. The MMP describes the way in which Alcoa mines within Mining Lease ML1SA at Huntly and Willowdale. For example, Alcoa undertakes surveys to inform the mine plan development, facilitate characterization of ore quality and volumes, assess geotechnical conditions, identify constraints and protect or manage important environmental, cultural heritage and social values.
As was reported in the previous TRS:
|
17 |
|
Alcoa Corporation S-K 1300 Report |
Signature Date: 20 February 2025 SLR Project No.: 123.020514.00001 |
Alcoa is modernizing its environmental approvals framework for the Huntly Bauxite Mine by referring future mining plans beyond the scope of the 2023-2027 MMP for assessment under Part IV of the Western Australian Environmental Protection Act 1986 (EP) and the Australian Environment Protection and Biodiversity Conservation Act 1999 (EPBC Act). The future mining plans that have currently been referred to both state and federal departments propose to transition the Huntly Mine into the proposed Myara North and Holyoake mine regions within Alcoa’s Mining Lease ML1SA.
The resulting Environmental Impact Assessments (EIAs) under State and Federal legislation will inform stakeholders on long-term mine plans and environmental management requirements and facilitate the setting of approval conditions.
Importantly, on 14 December 2023 the State Government announced the Alcoa Transitional Approvals Framework which will enable Alcoa to continue mining as defined in the 2023-2027 MMP while the formal Western Australian Environmental Protection Authority (EPA) EIA is in progress. In most circumstances, activities under assessment must cease during the EPA’s process. Note, that the State Government reserves the right to, with reasonable notice, withdraw or amend the exemption at any point. In October 2024 the Premier rolled over the 2023-2027 approval to cover 2024-2028 with the same conditions.
Importantly, based on reports provided under Clause 10 of the 2023 Exemption Order for January to June of 2024, Alcoa has been able to comply with increased regulatory requirements while the EPA formally assesses the 2022-2026 and 2023-2027 MMPs.
As reported in the TRS for 2022, numerous baseline studies have been completed to support approvals for future extensions to the mining footprint to the Myara North and Holyoake regions. Baseline studies are guided by the requirements of the EPA and guidelines under the EPBC Act and are well understood.
Construction for Myara North will be commenced pursuant to the requirements of the Ministerial Decision, which will be issued upon completion of the EPA assessment process indicatively forecast for the first quarter of 2026, as opposed to approximately mid-2025 as reported in the TRS for 2023. The timeframe to approval of Myara North and Holyoake under the EP Act and EPBC Act can be estimated, but not predicted with certainty; further delays are possible.
There is no requirement for the monitoring of any tailings or mine waste dumps associated within the mining operations as:
Alcoa’s mine sites are monitored in accordance with the conditions of Government authorizations and its operational licenses at Huntly (L6210/1991/10) and Willowdale (L6465/1989/10). Outcomes of and compliance with the management and monitoring programs are tracked within Alcoa’s Environmental Management System and reported within the Annual Environmental Review report:
|
18 |
|
Alcoa Corporation S-K 1300 Report |
Signature Date: 20 February 2025 SLR Project No.: 123.020514.00001 |
Alcoa has established systems and processes for maintaining its social license to operate and was admitted to the International Council on Mining and Metals (ICMM) in 2019, aligning to its social performance requirements. Related to the requirements of the BSEC, Alcoa’s actions include an annual 5-year consultation process aligned with the 5 Year Mine Plan. The consultation process involves engaging with affected landowners. Alcoa’s consultation extends to shires, as well as state and local government.
Alcoa has established systems and processes to support maintenance of its social license to operate and conducts an extensive program of community relations activities to ensure that the public is aware and informed regarding its operations.
Alcoa strives to align its social performance and community engagement to global leading practice and was admitted to ICMM in 2019. In addition, Alcoa’s Western Australian operations are certified under the Aluminum Stewardship Initiative, valid until 16 January 2026.
Alcoa has formally consulted and engaged survey work from the relevant Traditional Owners across its operational footprint. Following a joint review of the Draft Cultural Heritage Management Plan late in 2024, Alcoa and Gnaala Karla Boodja have agreed that further work is required to finalise the document. In view of Gnaala Karla Boodja Aboriginal Corporation’s capacity constraints, it is likely that finalization of the Cultural Heritage Management Plan will require a minimum of a further six months. A formal request for an extension of time to facilitate this has been submitted to the relevant Government regulator.
Alcoa’s Social Performance Management System (SPMS), SP360, is in place across its global operations. The SPMS supports locations to undertake effective engagement with communities, manage their social risks, and maintain Alcoa’s Social License to Operate.
Alcoa’s Closure Planning and Execution staff for Darling Range are located across multiple teams. The closure staff within the Global Planning Team are primarily responsible for developing the Long-Term Mine Closure Plans (LTMCPs) and life of asset planning of Alcoa’s WA Mining Operations (Huntly and Willowdale). Short to Medium terms closure planning and execution is developed across organizational divisions and includes multidisciplinary inputs such as from Operations, Mid- and Short-term Planning, Finance, Centre for Excellence, Environment and Asset Management (both Fixed and Mobile Plant). The agreed closure requirements for Darling Range centers around the return of Jarrah Forest across the site.
The Alcoa procurement system defines “local” as the localities of Dwellingup, Harvey, Pinjarra, Waroona, Coolup, North Dandalup, Jarrahdale and Yarloop. Within Alcoa’s guidelines of safe, ethical, and competitive business practices, they state they will:
Alcoa also endeavors to add value to Traditional Owners and the local economy through the use of businesses owned by Traditional Owners, businesses that employ and work with Traditional Owners and locally owned businesses.
Alcoa forecasts its capital and operating costs estimates based on annual budgets and historical capital and operating costs over the long life of the current operation.
|
19 |
|
Alcoa Corporation S-K 1300 Report |
Signature Date: 20 February 2025 SLR Project No.: 123.020514.00001 |
The operation is well-established, and the LOM plan outlines capital expenditures aligned with scheduled production rates throughout the mine's life. This includes future capital expenditures for major mine relocations to meet anticipated refinery production while sustaining ongoing operations.
Projected mine capital expenditure over the next nine years of mine life is estimated to total $1,175 million, although this will include capital outlay required to extend the mine life much beyond the nine-year period covered by the valuation. Of this total, it is understood that $182 million is associated with completing the mine move to the Myara North site. Capital for the Holyoake move is estimated to be $471 million.
A breakdown of the major expenditure areas and total expenditure over the Mine Plan is shown in Table 1‑3.
Table 1‑3: Nine Year LOM Sustaining Capital Costs by Area
Project |
Cost |
Percentage of Total |
Mine Moves |
787 |
67.0% |
Conveyor Belt Replacements |
53 |
4.5% |
Haul Road Improvements |
136 |
11.6% |
Other Sustaining capital |
199 |
16.9% |
Total |
1,175 |
100% |
Other capital costs are for replacement of conveyors, haul road improvements and other sustaining capital needed to continue the operations.
Alcoa’s sustaining capital estimates for Darling Range are derived from annual budgets and historical actuals over the long life of the current operation. According to the American Association of Cost Engineers (AACE) International, these estimates would generally be classified as Class 1 or Class 2 with an expected accuracy range of -3% to -10% to +3% to +15%.
The main production mining operations are primarily Owner-operated using Alcoa equipment and employees. Contractors are also used for certain activities on site.
Operating costs for the current LOM of nine years are based on the 2024 long-term plan.
No items have been identified that would significantly impact operating costs either positively or negatively over the life of mine. Minor year-to-year variations should be expected based upon maintenance outages and production schedules. It should be noted that the current mine plans and operational cost projections reviewed by the QP now accommodate the Kwinana refinery curtailment (which was completed in June 2024).
Forecast costs for 2025 and average mine operating costs for the nine-year LOM are shown below in Table 1‑4.
|
20 |
|
Alcoa Corporation S-K 1300 Report |
Signature Date: 20 February 2025 SLR Project No.: 123.020514.00001 |
Table 1‑4: LOM On-site Mine Operating Costs by Category*
Cost Centre |
2025 ($/wmt) |
Average LOM |
Percentage of Operating Cost |
Direct Labor |
$3.70 |
$4.13 |
32% |
Services |
$1.83 |
$1.16 |
9% |
Other |
$1.48 |
$3.01 |
24% |
Corporate Chargebacks for support services |
$1.08 |
$0.80 |
6% |
Energy |
$0.23 |
$0.10 |
1% |
Fuel |
$0.67 |
$0.77 |
6% |
Operating Supplies and Spare Parts |
$0.79 |
$0.92 |
7% |
Maintenance (fixed plant and mobile fleet) |
$1.17 |
$1.91 |
15% |
Mine Operating Cash Cost ($/wmt) |
$10.95 |
$12.80 |
100% |
|
|
|
|
Off-site Costs |
|
|
|
G & A, selling and other expenses |
$0.85 |
$0.57 |
|
R & D Corporate Chargebacks |
$0.13 |
$0.06 |
|
Other COGS |
$0.15 |
$0.12 |
|
Total Cash Operating Costs |
$12.08 |
$13.55 |
|
*Due to rounding, numbers presented may not add up precisely to the totals provided.
Services costs include contractor costs for certain mining activities such as in noise sensitive areas and for haul road construction services, in select areas of pit development, and during landscaping activities for rehabilitation after mining.
As of December 2024, the Huntly and Willowdale operations together employ 981 employees consisting of 36 technical, 122 management and 823 operations employees. Additionally, 171 employees are centrally employed on the combined operations.
|
21 |
|
Alcoa Corporation S-K 1300 Report |
Signature Date: 20 February 2025 SLR Project No.: 123.020514.00001 |
SLR International Corporation (SLR) was appointed by Alcoa Corporation (Alcoa) to prepare an independent Technical Report Summary (TRS) on the Darling Range bauxite mines, located in Western Australia. The purpose of this report is to support the Mineral Resource and Mineral Reserve estimates for the mines as of December 31, 2024. This TRS conforms to the United States Securities and Exchange Commission’s (SEC) Modernized Property Disclosure Requirements for Mining Registrants as described in Subpart 1300 of Regulation S-K, Disclosure by Registrants Engaged in Mining Operations (S-K 1300), and Item 601(b)(96) of Regulation S-K. This Technical Report Summary updates the TRS titled “Technical Report Summary for Darling Range, Western Australia,” with an effective date of December 31, 2023, that was prepared in accordance with S-K 1300 and Item 601(b)(96) by SLR for Alcoa.
Alcoa is one of the world’s largest aluminum producers and is a publicly traded company on the New York Stock Exchange (NYSE). The company owns and operates integrated bauxite mining, alumina refining and aluminum smelting operations at numerous assets globally across nine countries. Alcoa is also a Joint Venture partner for several other integrated operations in Brazil, Canada, Guinea, and Saudi Arabia. Regarding the latter, in September 2024 Alcoa announced an agreement to sell its 25.1% stake in the Ma’aden Joint Venture to Ma’aden.
The Darling Range, located south of Perth in Western Australia, comprises two active bauxite mining areas – the Huntly and Willowdale mines – owned and operated by Alcoa Corporation (Alcoa). The Huntly and Willowdale operations collectively represent one of the world’s largest bauxite mines which currently supplies Alcoa’s alumina refineries Pinjarra and Wagerup. On the basis that both mining areas supply ore to the same local refineries which are also operated by Alcoa, and that both mining areas are located within the same mining lease boundary, SLR considers the mines a single property for the purposes of this report.
Alcoa has a long history of mining in the Darling Range with Huntly and Willowdale commencing commercial production in 1972 and 1984 respectively. These mining areas were preceded by the Jarrahdale bauxite mine which was operational between 1963 and 1998. The Huntly mine currently supplies bauxite to the Pinjarra refinery, while the Willowdale mine supplies the Wagerup refinery. The mines collectively supply approximately 27 Mtpa of bauxite, with approximately 17 Mtpa from Huntly and 10 Mtpa from Willowdale. For the purposes of this report, available alumina (A.Al2O3) is abbreviated to AL, and reactive silica (R.SiO2) is abbreviated to SI.
SLR Qualified Persons (QPs) for Geology/Resources and Mining/Reserves visited the sites between 07 October to 11 October, 2024. The SLR Geologist and SLR Mining Engineer were accompanied by various Alcoa personnel to undertake site visits, inspections of various aspects of the Huntly and Willowdale mining areas. Further discussions on reconciliation, geological modeling, long term mine planning, and permitting were undertaken at the Booragoon office. Table 2‑1 below provides a summary of the site visit. Alcoa provided permission to document the site visit with video, photos, and audio which were shared with the other SLR team members. Further, an SLR Environmental practitioner attended some of the corporate meetings regarding Surveys/Approvals/Reconciliation/Regional Environmental to inquire about pertinent items such as the site constraints and other aspects of rehabilitation (as part of the broader Modifying Factor review).
|
22 |
|
Alcoa Corporation S-K 1300 Report |
Signature Date: 20 February 2025 SLR Project No.: 123.020514.00001 |
Table 2‑1: Site Visit Summary
Date |
Day |
Tasks / Areas of Investigation |
Comments |
07-Oct |
Mon |
Modelling update |
- |
08-Oct |
Tues |
Willowdale Mine tour |
Inspect pre-mining process and mining operation |
Capital Plan/Environmental Operations/WDL MTP |
Capital Plan, Environmental, and MTP discussions at Pinjarra Hub |
||
09-Oct |
Wed |
Mine tour for Huntly Mine Myara |
Inspection of rehabilitation planning & process, and rehab operations |
Economics, Financial modelling/GIS for Environmental reporting and constraint management |
Finance and GIS discussions at Pinjarra Hub |
||
10-Oct |
Thurs |
Long and Medium Term Mine Plans |
LTMP for Huntly and Willowdale, MTP for Huntly |
Surveys/Approvals/Reconciliation/Regional Environmental discussions |
Heritage process/MMP and Part IV Approvals/Reconciliation |
||
11-Oct |
Fri |
Reporting approach/Review feedback, plus Contingency and Follow Up |
Meet with Global Planning Team |
During the preparation of this Technical Report Summary, discussions were held with personnel from Alcoa Corporation and the Huntly and Willowdale Mines, as below:
Table 2‑2: List of Alcoa staff who had input into discussions with SLR QPs
Name |
Position |
Department |
Area of responsibility |
Alex Hatch |
Principal Geologist |
Global Planning |
Geology - Review Coordinator |
Wayne Baird |
Pre-mining co-ordinator |
Willowdale |
Operational Planning |
Bowen Zhang |
Mine Planning Engineer |
WA Mining |
Medium Term Planning - Willowdale |
William Ong |
Rehabilitation Planning Engineer |
Huntly Mine |
Operational planning |
Peter Ladyman |
Rehabilitation Superintendent |
Huntly Mine |
Operations |
Deborah May |
WA Mining Controller |
WA Mining |
Finance |
Luke Gossage |
Environment Manager |
WA Mining |
Environmental Operations |
Rishi Kumar |
Senior Mining Engineer |
Mining CoE |
Mining Improvement Projects - Reconciliation |
Francois Vorster |
Project Director |
Major Projects |
Myara North/Holyoake/O'neil |
Matt George |
Regional Spatial Manager |
Global Planning |
GIS |
Neylor Aguiar |
Principal Mining Engineer |
Global Planning |
Long Term Mine Planning - Darling Range |
|
23 |
|
Alcoa Corporation S-K 1300 Report |
Signature Date: 20 February 2025 SLR Project No.: 123.020514.00001 |
John Un |
Senior Mine Planning Engineer |
Global Planning |
Long Term Mine Planning - Darling Range (Ex MTP Huntly) |
Lucas Tuckwell |
Senior Resource Geologist |
Global Planning |
Geology - Resource/Reserve Modelling |
Kane Moyle |
Director of Regulatory Approvals |
Regulatory Approvals |
Regulatory Approvals - MMP and transition |
Ashley Bird |
Regulatory Approvals Manager |
Regulatory Approvals |
Regulatory Approvals - Part 4/5/EPBC |
Angela Murphy |
Cultural Heritage Lead |
Sustainability |
Indigenous engagement/Cultural Heritage |
Jennifer Longstaff |
Director Environment Australia |
Environmental CoE |
Regional Environmental |
Karthik Sampath |
Global Planning Director |
Global Planning |
Planning |
Alex Greaves |
Global Mine Planning Manager |
Global Planning |
Mine Planning |
The documentation reviewed, and other sources of information, are listed at the end of this report in Section 24.0.
Units of measurement used in this report conform to the metric system. All currency in this report is United States dollars (US$), unless otherwise noted.
Abbreviation |
Description |
$ |
United States Dollars |
°C |
degree Celsius |
°F |
degree Fahrenheit |
2D |
2-dimensional |
3D |
3-dimensional |
3DBM |
3D Block Model |
a |
Annum |
A |
Ampere |
A.Al₂O₃ or AL |
available alumina |
AACE |
American Association of Cost Engineers |
AFFF |
Aqueous Film Forming Foams |
AGD |
Australian Geodetic Datum |
Alcoa |
Alcoa Corporation |
Alcoa US |
Aluminum Company of America Ltd |
AMG |
Australian Map Grid |
AMPD |
Absolute Mean Percentage Difference |
AMSL |
above mean sea level |
AMWU |
Australian Metal Workers Union |
|
24 |
|
Alcoa Corporation S-K 1300 Report |
Signature Date: 20 February 2025 SLR Project No.: 123.020514.00001 |
AofA |
Alcoa of Australia Ltd |
API |
Alumina Price Index |
ARO |
Asset Retirement Obligations |
AWAC |
Alcoa World Alumina and Chemicals |
AWU |
Australian Workers Union |
B&P |
Bias and Precision |
bbl |
barrels |
BD |
Bomb digest |
BD-GC |
bomb digest gas chromatography |
BD-ICP |
bomb digest inductively coupled plasma |
BD-NDIR |
bomb digest non-dispersive infrared |
Bella |
Bella Analytical Systems |
BSEC |
Bauxite Strategic Executive Committee Bauxite |
Btu |
British thermal units |
BV |
Bureau Veritas |
C$ |
Canadian dollars |
cal |
calorie |
CalVal |
calibration and validation for FTIR |
cfm |
cubic feet per minute |
CIM |
CIM (2014) |
cm |
centimeter |
cm² |
square centimeter |
CV |
Coefficient of Variation |
d |
Day |
DBCA |
Department of Biodiversity, Conservation and Attractions |
DCF |
Discounted Cash Flow |
DEM |
Digital Terrain Model |
DG |
Discrete Gaussian |
DGPS |
(Differential) Global Positioning System |
dia |
Diameter |
DIBD |
dry in situ bulk density (t/m3) |
DJTSI |
Department of Jobs, Tourism, Science and Innovation |
DMIRS |
Department of Mines Industry Regulation and Safety |
dmt |
dry metric tonne |
DWER |
Department of Water and Environment Regulation |
dwt |
dead-weight ton |
EMS |
Environmental Management System |
ETU |
Electrical Trades Union |
|
25 |
|
Alcoa Corporation S-K 1300 Report |
Signature Date: 20 February 2025 SLR Project No.: 123.020514.00001 |
EWR |
Ecological water requirements |
FEL |
Front End Loading |
FMS |
Fleet Management System |
FPC |
Forest Products Commission |
FS |
Feasibility Study |
ft |
foot |
ft/s |
foot per second |
ft² |
square foot |
ft³ |
cubic foot |
FTIR |
fourier transform infrared spectrometry |
g |
gram |
G |
giga (billion) |
g/L |
gram per liter |
g/t |
gram per tonne |
Gal |
Imperial gallon |
GC |
gas chromatography |
Geological Survey |
Geological Survey of Western Australia |
GIS |
Geographical Information System |
Gpm |
Imperial gallons per minute |
gr/ft³ |
grain per cubic foot |
gr/m³ |
grain per cubic meter |
GSM |
gridded seam model |
ha |
hectare |
HARD |
Half Absolute Relative Difference |
hp |
horsepower |
hr |
hour |
HRSG |
Heat Recovery Steam Generator |
Hz |
Hertz |
ICP-OES |
inductively coupled plasma optical emission spectrometry |
IDW |
inverse distance weighting |
ID2 |
inverse distance squared |
in. |
inch |
in² |
square inch |
IRM |
internal reference material |
IRR |
Internal Rate of Return |
ISO |
International Standardization Organization |
J |
Joule |
JORC |
JORC Code (2012) |
|
26 |
|
Alcoa Corporation S-K 1300 Report |
Signature Date: 20 February 2025 SLR Project No.: 123.020514.00001 |
k |
kilo (thousand) |
kcal |
kilocalorie |
kg |
kilogram |
km |
kilometer |
km/h |
kilometer per hour |
km² |
square kilometer |
kPa |
kilopascal |
kV |
kilovolt |
kVA |
kilovolt-amperes |
kW |
kilowatt |
kWh |
kilowatt-hour |
KWI |
Kwinana Mining Laboratory |
L |
liter |
L/s |
liters per second |
lb |
pound |
LiDAR |
Light Detecting and Ranging |
LIMS |
laboratory information management system |
LME |
London Metal Exchange |
LOM |
Life of Mine |
LTMCPs |
Long-Term Mine Closure Plans |
LTMP |
Long Term Mine Plan |
m |
micron |
m |
meter |
M |
mega (million); molar |
m² |
square meter |
m³ |
cubic meter |
m³/h |
cubic meters per hour |
Ma |
Million years ago |
MALSI |
microwave available alumina (AL) and reactive silica (SI) |
MASL |
meters above sea level |
MD |
microwave digest |
MD-ICP |
microwave digest inductively coupled plasma optical emission spectrometry |
mg |
microgram |
mi |
mile |
min |
minute |
mL |
milliliters |
ML |
Mineral Lease |
mm |
millimeter |
|
27 |
|
Alcoa Corporation S-K 1300 Report |
Signature Date: 20 February 2025 SLR Project No.: 123.020514.00001 |
MMPLG |
Mining and Management Program Liaison Group |
MMPs |
Mining and Management Programs |
mph |
miles per hour |
MS |
Ministerial Statement or Magnetic Susceptibility |
MTP |
Medium Term Plan |
Mtpa |
Million tonnes per annum |
MVA |
megavolt-amperes |
MW |
megawatt |
MWh |
megawatt-hour |
NATA |
Australian National Association of Testing Authorities |
NI 43-101 |
National Instrument 43-101 (2014) |
NN |
Nearest Neighbor |
NPC |
Net Present Cost |
NPV |
Net Present Value |
NTU |
Nephelometric Turbidity Units |
NYSE |
New York Stock Exchange |
OK |
ordinary kriging |
oz |
Troy ounce (31.1035g) |
oz/st, opt |
ounce per short ton |
PFAS |
per- and polyfluoroalkyl substances |
ppb |
part per billion |
ppm |
part per million |
psia |
pound per square inch absolute |
psig |
pound per square inch gauge |
QA |
Quality Assurance |
QA/QC |
Quality Assurance / Quality Control |
QC |
Quality Control |
QP(s) |
Qualified Person(s) |
R.SiO₂ or SI |
reactive silica |
RC |
Reverse Circulation |
REF |
reference method |
ResTag |
mineral resource estimation system |
RL |
relative elevation |
ROM |
Run of Mine |
RPEE |
Reasonable Prospects for Economic Extraction |
RTK |
real time kinematic |
s |
second |
SEC |
Securities and Exchange Commission |
|
28 |
|
Alcoa Corporation S-K 1300 Report |
Signature Date: 20 February 2025 SLR Project No.: 123.020514.00001 |
S-K 1300 |
Subpart 1300 of Regulation S-K |
SLR |
SLR International Corporation |
SMU |
Single Mining Unit |
Snowden |
Snowden Mining Consultants |
SOBR |
stripping topsoil and secondary overburden removal |
SPU |
sample presentation unit |
SRK |
SRK Consulting (Australasia) Pty Ltd |
st |
short ton |
STE |
sample to extinction |
stpa |
short ton per year |
stpd |
short ton per day |
SWIS |
South West Interconnected System |
t |
metric tonne |
T.Al₂O₃ |
Total Alumina |
T.SiO₂ |
Total silica |
TICTOC |
Total Inorganic Carbon and Extractable Organic Carbon |
tpa |
metric tonne per year |
tpd |
metric tonne per day |
TRS |
Technical Report Summary |
US$ |
United States dollar |
Usg |
United States gallon |
Usgpm |
United States gallon per minute |
V |
volt |
W |
watt |
WA |
Western Australia |
WANL |
Western Aluminum NL |
WMC |
Western Mining Corporation Ltd |
wmt |
wet metric tonne |
wt% |
weight percent |
XRD |
x-ray diffraction |
XRF |
x-ray fluorescence |
Xstract |
Xstract Resources |
yd³ |
cubic yard |
yr |
Year |
|
29 |
|
Alcoa Corporation S-K 1300 Report |
Signature Date: 20 February 2025 SLR Project No.: 123.020514.00001 |
The Darling Range is located in the southwest of Western Australia and comprises an extensive uplifted plateau of bauxite deposits which is host to several mining operations including the Huntly and Willowdale mining areas, approximately 80 km and 100 km southeast of Perth, respectively. The nearest towns to the mining centers are North Dandalup (approximately 15 km west of Huntly) and Waroona (approximately 20 km northwest of Willowdale). Both towns are within the Peel Region of southwest Western Australia and are on the route of the South Western Highway, a major national road connecting Perth with the south coast.
All spatial data used for Mineral Resource estimation are reported using a local grid based on Australian Map Grid 1984 (AMG84) system (Zone 50) and using Australian Geodetic Datum 1984 (AGD84) coordinate set. The approximate coordinates of the mining areas are 410000 m East and 6390000 m North (Huntly) and 410000 m East and 6365000 m North (Willowdale). The Huntly and Willowdale mining areas are separated by approximately 35 km (Figure 3‑1).
The Pinjarra refinery is located adjacent to the east of the town of Pinjarra and is approximately 25 km southwest of the Huntly mining areas. The Wagerup refinery, supplied by Willowdale, is located immediately adjacent to the east of the South Western Highway, approximately 8 km south of Waroona and 20 km west of the Willowdale mining area. The Kwinana refinery, previously supplied by Huntly, was curtailed in 2024, and lies approximately 50 km northwest of Huntly in the city of Kwinana, a suburb approximately 40 km south of Perth.
The Huntly and Willowdale bauxite mines are covered by a single mineral concession referred to as Mineral Lease (ML) 1SA. The concession was originally granted on September 25, 1961, by the State Government of Western Australia under the Alumina Refinery Agreement Act, 1961, permitting the exploration and extraction of bauxite. ML1SA was granted for a period of four, 21-year periods, the fourth period of which is due to expire on September 24, 2045. The State Government concession agreement includes the potential for conditional renewal beyond 2045. This will require negotiation between Alcoa and the State Government prior to this date to agree on an extension of the agreement and is therefore not guaranteed.
Conditions which must be fulfilled by Alcoa to retain ML1SA include annual reporting requirements under several State Agreement Acts, Ministerial Statements, and Environmental Protection Acts. These are described in Section 3.6 below.
The current concession of ML1SA covers an area of 7,022.61 km², extending from the north of Perth on the eastern side to the town of Collie in the south (Table 3‑1). Alcoa has the exclusive right to explore for and mine bauxite on all Crown Land within the ML1SA; however, a number of environmental and statutory constraints exist within the area, and Alcoa is not permitted to access bauxite from the areas covered under these constraints. For example, the 2023-2027 MMP requires:
|
30 |
|
Alcoa Corporation S-K 1300 Report |
Signature Date: 20 February 2025 SLR Project No.: 123.020514.00001 |
The ML1SA area includes sub-lease arrangements made between Alcoa and the Worsley Alumina joint venture participants which include South32, Japan Alumina Associates (Australia) Pty Ltd and Sojitz Alumina Pty Ltd (Worsley Participants). The agreements, made in August 2001 and September 2016, provide bauxite mining concessions to the Worsley Participants. No Mineral Resources or Mineral Reserves attributable to the Darling Range mining areas have been declared within these sub-lease areas.
Table 3‑1: ML1SA License Details
Concession Name |
Title Holder |
Expiry Date |
Area (km²) |
ML1SA |
Alcoa of Australia |
24/09/2045 |
7,022.61 |
Alcoa pays rental for each square mile of ML1SA in accordance with the Alumina Refinery Agreement Act 1961 (WA). In 2024, this amounted to A$13,560.
The boundary of the ML1SA concession area, including the limit of the Worsley Participants’ area, is illustrated in Figure 3‑1. The contained Mining Regions are shown in Figure 3‑4, while the extents of the mined areas and Mineral Resources and Mineral Reserves are shown in Figure 3‑3.
The mining rights and assets involved with bauxite mining and alumina refining in Australia are 100% owned by Alcoa of Australia Limited (AofA), an affiliate of Alcoa owned by Alcoa World Alumina and Chemicals (AWAC). Prior to Alcoa’s acquisition of Alumina Limited, Alcoa Corporation and Alumina Limited owned 60% and 40%, respectively, of AWAC, an unincorporated global joint venture consisting of a number of affiliated entities that own, operate, or have an interest in bauxite mines and alumina refineries, as well as an aluminum smelter, in seven countries. In August 2024 Alcoa completed the acquisition of Alumina Limited, putting the AWAC joint venture under full control and ownership of Alcoa. As a result, Alcoa owns 100% of AofA and, indirectly, 100% of the mining rights and assets involved with bauxite mining and alumina refining in Australia.
|
31 |
|
Alcoa Corporation S-K 1300 Report |
Signature Date: 20 February 2025 SLR Project No.: 123.020514.00001 |
Figure 3‑1: ML1SA Lease Extents (Alcoa, 2024)

|
32 |
|
Alcoa Corporation S-K 1300 Report |
Signature Date: 20 February 2025 SLR Project No.: 123.020514.00001 |
Figure 3‑2: Map of Mining Reporting Centers, Mining Regions, and Production Sheets (Alcoa, 2024)

|
33 |
|
Alcoa Corporation S-K 1300 Report |
Signature Date: 20 February 2025 SLR Project No.: 123.020514.00001 |
Figure 3‑3: Map of Current Mineral Resource and Mineral Reserve Extents (Alcoa, 2024)

|
34 |
|
Alcoa Corporation S-K 1300 Report |
Signature Date: 20 February 2025 SLR Project No.: 123.020514.00001 |
Alcoa has developed a terminology to refer to various parts of the Mineral Lease. There are three major Mining Reporting Centers in ML1SA: North (previously Jarrahdale), Huntly in the central area, and Willowdale in the south. The boundaries are nominal and may change to match the planned ore destination. The southernmost region of the North mining center was reallocated to Huntly in 2017 and named Myara North.
Mining Regions are subdivisions of the Reporting Centers that cover several years of mining activities, focused on a specific crusher location. The boundaries are named after forestry blocks. A total of 11 Mining Regions are represented in the current resource estimate: one in North, seven in Huntly, and three in Willowdale.
Mining Pits are named based on their sequence along haul roads. These names are used by the mining fleet when referring to local short-term production. The map reference system outlined below is used for drilling, estimation, and long-term planning.
The Mineral Lease is divided into a grid of Exploration Sheets being rectangles 4.2 km (north) by 3.6 km (east). Each 15.12 km² Exploration Sheet is assigned a name and coded using letters A to V (west to east), and numbers 10 to 80 (north to south), e.g., G45.
Each Exploration Sheet is divided into 28 Production Sheets 900 m (east) by 600 m (north), an area of 0.54 km². The Production Sheets are assigned a number (1 to 28), sequentially 4 across (towards the east) and 7 down (towards the south), e.g., G4520.
Each Production Sheet is divided using a 15 m by 15 m grid resulting in 2,400 grid cells (40 north by 60 east). Each of these is regarded as a point and assigned a numeric code 1 to 40 towards the south and 1 to 60 towards the east. These are appended to the Production Sheet name to provide a grid point label, e.g., G4520 1430 and used on 1:1000 Map Sheets to define drill hole locations.
The Exploration Sheet, Production Sheet, and Map Sheet conventions are shown in Figure 3‑4:
|
35 |
|
Alcoa Corporation S-K 1300 Report |
Signature Date: 20 February 2025 SLR Project No.: 123.020514.00001 |
Figure 3‑4: Exploration Sheet, Production Sheet, and Map Sheet Conventions (SRK, 2021)

Baseline constraints on mining activities within the ML1SA concession are in place which prevent bauxite mining in these areas including (but not limited to):
Mineral Resources and Mineral Reserves have not been defined in these restricted areas. Operating rights are obtained by Alcoa through annual submission and approval of the Mining and Management Programs (MMPs) which include mining schedules and the authorizations provided by the Bauxite Strategic Executive Committee Bauxite (BSEC; previously the Mining and Management Program Liaison Group (MMPLG)).
Mining on a day-only basis is conducted in “noise zones” where noise from the mining operations will potentially exceed allowable levels. The operation actively seeks to maintain
|
36 |
|
Alcoa Corporation S-K 1300 Report |
Signature Date: 20 February 2025 SLR Project No.: 123.020514.00001 |
lower noise levels than those mandated, thus mining in these areas is undertaken by contract miners on day shifts only.
Alcoa is the holder of ML1SA. For bauxite that is mined and processed in Alcoa’s Western Australian alumina refineries, Alcoa pays royalties on the alumina produced in accordance with the Alumina Refinery Agreement Act 1961 (WA).
Alcoa operates under several State Agreement Acts as well as Ministerial Statements and environmental operating licenses issued under the Environmental Protection Act 1986 (WA) (EP) including:
The MMPLG was first established in 1978 and is chaired by the Department of Jobs, Tourism, Science and Innovation (JTSI). It is now referred to as BSEC. Along with JTSI it is comprised of the following State Government agencies:
The MMPLG is recognized by the Minster for Environment in Ministerial Statements (95, 390, 564, 728, 897 and 1069) regarding expansion of Alcoa operations. The management and oversight of all Darling Range operations by the BSEC/MMPLG involves:
|
37 |
|
Alcoa Corporation S-K 1300 Report |
Signature Date: 20 February 2025 SLR Project No.: 123.020514.00001 |
The permitting and approval processes, as provided by Alcoa, are summarized below:
Alcoa reports that all licenses and permissions for the current mining operations are valid, monthly and annual compliance reports submitted for review by SLR support this. On 28 February 2023, the Western Australian Forest Alliance Inc (WAFA) made two third-party referrals to the EPA under s. 38 of the EP Act. The referrals referenced Alcoa’s Mining and Management Programs (MMPs) and its bauxite mining operations on the Darling Range in
|
38 |
|
Alcoa Corporation S-K 1300 Report |
Signature Date: 20 February 2025 SLR Project No.: 123.020514.00001 |
the southwest of WA for the years 2022 to 2026 and 2023 to 2027. Following receipt of the referrals, the EPA sought further advice from Alcoa including detail on the scope of its planned/completed activities between 2022 to 2026 and 2023 to 2027. On 7 August 2023, EPA conducted a 7-day public comment on whether or not it should assess the proposals and, if so, what level of assessment is considered appropriate.
Section 38B of the EP Act provides that a proposal cannot be referred to the EPA more than once. In considering these referrals, the EPA undertook detailed investigations and enquiries to identify whether the proposals have been previously referred to the EPA.
Importantly, on 14 December 2023, the State Government announced the Alcoa Transitional Approvals Framework which enabled Alcoa to continue mining as defined in the 2023-2027 MMP (this approval was rolled over to 2024-28 in October 2024, with all conditions consistent with the 2023-27 approval) while the formal EPA EIA is in progress. In most circumstances, activities under assessment must cease during the EPA’s process, however, the State Government granted Alcoa an exemption under section 6 of the EP Act to continue operating subject to a series of conditions. Note, that the State Government reserves the right to, with reasonable notice, withdraw or amend the exemption at any point. The Premier rolled over the 2023-2027 approval to cover 2024-2028 with the same conditions in October 2024.
On 18 December 2023, the EPA published its public advice in relation to the third-party referrals. The EPA concluded that five mine areas at Huntly (Myara North, Holyoake, White Road and portions of McCoy and Myara), and two at Willowdale (Mt William/Arundel/part Larego and Willowdale North/part Orion) have been previously referred. The remaining mine areas, the subject of the referrals, were found to be validly referred and that the likely environmental effects are significant warranting formal assessment at the level of public environmental review (10 weeks), the EPA’s assessment numbers for the 2022-2026 MMP and 2023-2027 MMP are 2384 and 2385, respectively.
The EPA prepared a single Environmental Scoping Document (ESD) for both assessments across the first half of 2024, in consultation with Alcoa. The final ESD was published on 29 August 2024. The ESD outlines the basis on which the EPA will assess the MMPs for 2022-2026, and 2023-2027. The ESD acknowledges the short term duration of the Proposals, whereby authorisation to clear and implement the Proposals is sought for a time period not exceeding the years 2026 and 2027 (respectively).
In addition, as reported for 2022 and 2023, Alcoa is seeking formal environmental impact assessment and approval from the State and Federal Government to transition mining from the current Huntly mine area to Myara North and Holyoake, and to increase production at the Pinjarra refinery by 5%. The proposed transition in mining area and production increase has been determined by the EPA to be a significant amendment to an approved proposal. The proposed changes to Ministerial Statement 646 (MS 646) for the Pinjarra Refinery Efficiency Upgrade (PREU), approved in 2004 will be considered by the EPA in accordance with section 40AA of the EP Act; the PREU assessment is EPA’s assessment number 2253.
The EPA acknowledges the unique relationships between assessments 2253, 2384 and 2385. 2384 and 2385 cover a shorter period of time and therefore focus on the avoidance of impacts in the execution of the MMPs up to 2027, whereas assessment 2253 is able to consider longer term mitigations across a wider area. Alcoa reports that all Environmental Review Documents for the three assessments are well progressed, and it is targeting publication in the first half of 2025.
|
39 |
|
Alcoa Corporation S-K 1300 Report |
Signature Date: 20 February 2025 SLR Project No.: 123.020514.00001 |
SLR is not aware of any environmental liabilities on the property. Alcoa has all the required permits to conduct the proposed work on the property. SLR is not aware of any other significant factors and risks that may affect access, title, or the right or ability to perform the proposed work program on the property.
|
40 |
|
Alcoa Corporation S-K 1300 Report |
Signature Date: 20 February 2025 SLR Project No.: 123.020514.00001 |
As described in previous sections, the Darling Range Huntly and Willowdale operations are located approximately 150 km south of Perth. The Darling Range is readily accessible via road from Perth and surrounding areas. The mines are near the towns of Pinjarra and Waroona. Both towns are easily accessible via the national South Western Highway, a sealed single carriageway road, which starts on the southern side of Perth and continues for almost 400 km to the southwest corner of Western Australia.
Huntly is accessible from the South Western Highway via Del Park Road, a sealed single carriageway road which connects the town of North Dandalup in the north with Dwellingup in the south. From Del Park Road, a 3km sealed road following the route of the bauxite conveyor to the Pinjarra refinery provides access to the Huntly site administration offices.
Willowdale is similarly accessible 19 km from the South Western Highway via Willowdale Road, a sealed single carriageway road to the south of Waroona.
There are several airstrips in the region, although the closest major airport is in Perth, approximately 70 km north of North Dandalup. The nearest commercial port is at the curtailed Kwinana refinery, approximately 40 km south of Perth (as illustrated on Figure 15‑1).
An extensive haul road network and overland conveyors transport crushed bauxite from the main mining hub to the Wagerup and Pinjarra refineries. Rail transport of bauxite to the curtailed Kwinana refinery (via the Kwinana freight railway system, using the Kwinana–Mundijong line) is also possible.
The southwest region of Western Australia exhibits a temperate climate, with very hot and dry summers (December to February) and mild winters (June to August). Rainfall is generally low and variable, ranging from an average rainfall of 25 mm during the three summer months and exceeding 200 mm during the three winter months (Australian Government, Bureau of Meteorology). Local climate conditions generally do not interrupt the mining schedule, which continues throughout the year. Occasionally however, significant rainfall inhibits access and can impact mining activities.
Table 4‑1: Historical Climate Data
|
Jan |
Feb |
Mar |
Apr |
May |
Jun |
Jul |
Aug |
Sep |
Oct |
Nov |
Dec |
°C Mean Max |
29.8 |
29.8 |
27.1 |
22.6 |
18.6 |
16.1 |
15.1 |
15.8 |
17.4 |
20.2 |
23.9 |
27.5 |
°C Mean Min |
14.3 |
14.6 |
13.1 |
10.4 |
7.8 |
6.5 |
5.6 |
5.5 |
6.5 |
8.1 |
10.5 |
12.7 |
mm Mean Rainfall |
16.4 |
21.4 |
26.7 |
65.5 |
155.0 |
231.0 |
234.0 |
192.0 |
129.0 |
78.1 |
45.2 |
20.2 |
Notes:
|
41 |
|
Alcoa Corporation S-K 1300 Report |
Signature Date: 20 February 2025 SLR Project No.: 123.020514.00001 |
The Darling Range is located in an easily accessible region of southwest Western Australia with the Huntly and Willowdale mining areas both within 15 km of well-established towns which act as residential and commercial centers. Several other towns and smaller settlements are positioned along the South Western Highway which acts as a major connection for the Darling Range to the city of Perth where a far greater range of general services is available.
The following section refers to several named mining areas within the Huntly and Willowdale mining centers, including Myara, Larego, Orion, and Arundel, each of which is illustrated in
Figure 3‑2 above.
Mining infrastructure in the Darling Range is generally concentrated in the Myara site in the northwest of the Huntly mining center, and at the Larego site in the center of the Willowdale mining area (20 km southeast of Wagerup). Both operations include various ancillary facilities that are not listed exhaustively here, however both infrastructure areas include:
Personnel are sourced from the area around Perth, Western Australia, which benefits from a skilled workforce due to the relatively large number of operating mines in the region. Personnel typically have private accommodation in the nearby city of Mandurah (60 km from the mine) and towns (Waroona, Hamel, Yarloop, Harvey, and Wagerup).
Huntly Mine has three power supplies fed from the Pinjarra refinery. A single 33 kilovolt (KV) supply and two 13.8 kV supplies. The Pinjarra refinery is a net importer of power from the South West Interconnected System (SWIS), with internal generation capacity of 100 Megawatt (MW) from 4 steam driven turbine alternators. The steam is produced by gas fired boilers and a non-Alcoa gas turbine Heat Recovery Steam Generator (HRSG).
Willowdale Mine has a single 22 kV power supply fed from the Wagerup refinery. The Wagerup refinery is a net exporter of power to the SWIS, with internal generation capacity of 108 MW from three steam driven turbine alternators and one gas turbine. The steam is produced by gas fired boilers.
|
42 |
|
Alcoa Corporation S-K 1300 Report |
Signature Date: 20 February 2025 SLR Project No.: 123.020514.00001 |
The western edge of the Darling Range is characterized by scarps and incised valleys, landforms which are attributed to tectonic activity along the Darling Fault, the dominant structural feature in the region which acts as the western boundary of the deposits. This feature is observable in regional topographical survey information and satellite imagery to roughly follow the coastline of southwest Western Australia and is approximately demarcated by the extent of Jarrah Forest, a recognized bioregion.
The topography of the ML1SA concession generally comprises wide valleys and undulating hills separated by minor surface water drainage channels and streams. Vegetation across the ML1SA is dominated by several areas of State Forest including Dwellingup, Lane Poole, and Youraling. These include distinct areas of old growth forest within which mining is prohibited.
The typical elevation ranges from 300 m to 400 m in the mining areas, however the highest points of the region (outside of the mining areas) are approximately 550 m.
Topography data was acquired from:
|
43 |
|
Alcoa Corporation S-K 1300 Report |
Signature Date: 20 February 2025 SLR Project No.: 123.020514.00001 |
Prior to 1961, there were no records of ownership of the Darling Range mines. A Special Mineral Lease (ML1SA) was granted to Western Aluminum NL (WANL) in 1961. In the same year WANL joined Aluminum Company of America Ltd (Alcoa US). In 1977 WANL became Alcoa.
The following text is sourced and modified from Hickman, et al., 1992.
Bauxite occurrences were first recorded in the Darling Range in 1902. Bauxite was detected as a result of analyzing laterite from Wongan Hills, and subsequently through examination of lateritic road gravels from several localities in the Darling Range. The Geological Survey of Western Australia (Geological Survey) produced studies and publications, driving the bauxite exploration, though most attention was focused on localities in the Darling Range close either to Perth or to railway lines servicing towns such as Toodyay and York. The Geological Survey mapped the extent of laterite in the Darling Range (close to Perth) to determine whether it contained commercial deposits of iron or aluminum ore.
The earliest non-government exploration for bauxite was carried out in 1918 by the Electrolytic Zinc Co. of Australia Pty Ltd, deeming the deposits to be generally low grade and not of commercial value, though like earlier explorers, did not focus upon the underlying friable units.
Of 46 early samples of laterite analyzed in 1919, 26 contained 35% or more available alumina. It was then assumed that bauxite in the Darling Range was confined to the duricrust part of the profile, and not considered in the underlying friable units. By 1938 bauxite deposits were known to be common throughout the Darling Range over an area of 560 km long by 40 km to 80 km wide.
The Geological Survey maintained an interest in Darling Range laterite as an economic source of aluminum until the 1950s. However, by the late 1950s exploration had been taken over by mining companies.
No further private exploration took place until 1957 when Western Mining Corporation Ltd (WMC) began to explore for bauxite in the Darling Range. Following a regional reconnaissance, a joint venture company, WANL, formed by WMC with North Broken Hill Ltd and Broken Hill South Ltd, explored temporary reserves over a large portion of the southwest. Profiles were sampled from road cuttings, with samples collected at 400 m intervals along main roads. Selected lateritic ridges and plateaus were sampled at 90 m intervals. These areas were part of a Special Mineral Lease (ML1SA) granted to WANL in 1961.
By 1961, WANL had delineated 37 Mt of bauxite at an average grade of 33% AL. Also in 1961, WANL joined with the Alcoa US, allowing additional systematic exploration of lease ML1SA (Figure 5‑1). Holes were drilled initially on 370 m by 185 m centers. Progressive in-fill drilling down to a spacing of 45 m by 45 m blocked out the ore at Jarrahdale and was followed by grade-control drilling. Commercial mining was finally started in 1963 at the former Jarrahdale mining center and continued until 1998, supplying bauxite to the Kwinana refinery.
In 1977 WANL became Alcoa. As of December 2024, the Huntly and Willowdale mining operations remain active. Huntly supplies bauxite to the Pinjarra refinery (approximately 17 million tonnes per annum, Mtpa) while Willowdale supplies the Wagerup refinery (approximately 10 Mtpa).
|
44 |
|
Alcoa Corporation S-K 1300 Report |
Signature Date: 20 February 2025 SLR Project No.: 123.020514.00001 |
Figure 5‑1: Bauxite Exploration in the Southwest of Western Australia 1961 (adapted from Hickman, 1992)

|
45 |
|
Alcoa Corporation S-K 1300 Report |
Signature Date: 20 February 2025 SLR Project No.: 123.020514.00001 |
Bauxite deposits, economic concentrations of aluminum oxide, represent the world’s major source of aluminum and consist primarily of the minerals gibbsite, boehmite, and diaspore. These are commonly found alongside iron oxide minerals including goethite and hematite, kaolinite clay minerals, and minor accessory minerals.
Lateritic bauxite deposits such as those in the Darling Range of WA generally formed in tropical (hot and humid) environments through chemical weathering. As a result, lateritic bauxite deposits are known to exist across Central and South America, West Africa, Central Asia, and Australia.
With its large available resources, access to a stable workforce, infrastructure (comprising conveyors, rail, road, and port access), and three captive (mine-to-mill) dedicated alumina refineries, Alcoa’s Darling Range Bauxite operations near Perth WA, has been one of the world’s leading alumina producing regions for at least 30 years (Hickman et al, 1992), or approximately 60 years as of 2024.
The bauxite deposits of the Huntly and Willowdale operations are located in the Darling Range region of southwest Western Australia. The predominant topographic feature of the region is the Darling Range Fault, a north-south trending scarp which extends approximately 220 km from Bindoon (70 km north-northeast of Perth) to Collie (160 km south-southeast of Perth).
The Darling Range Fault is the structural boundary between two geological terranes: the Pinjarra Orogen to the west, now the sedimentary Swan Coastal Plain, and the Yilgarn Craton to the east, a gneissic granite complex with greenstones. To the east of the Darling Range Fault intense weathering and erosion of exposed Archean basement rocks of the Western Gneiss Terrane, the western portion of the Yilgarn Craton, formed widespread lateritic bauxite deposits by the intense weathering, accumulation and leaching of the aluminosilicate rich material of the bedrock granites (Hickman et al, 1992).
Alcoa’s current bauxite mining areas of Huntly and Willowdale are on the eastern side of the Darling Range Fault, as low-lying plateaus separated by valleys in which alluvial deposits have accumulated. Figure 6‑1 shows the regional geology of the southwest region of Western Australia and Alcoa’s ML1SA lease boundary in relation to Perth, while Figure 6‑2 shows the distribution of surficial deposits across the region.
The Jarrahdale, Del Park, Huntly and Willowdale areas that have been mined by Alcoa are on laterite within the Western Gneiss Terrane (Figure 6‑2), formed over granites that have been intruded by numerous north trending tholeiitic, quartz dolerite dykes, of early to late Proterozoic age, with thicknesses ranging from 1 m to 200 m.
Lateritic bauxite developed from the Late Cretaceous (65 million years ago, Ma) to the Eocene (40 Ma), with several periods of erosion and intense weathering of the basement granites and dolerites. Subsequent reactivation of the Darling Fault combined with periods of erosion led to the establishment of plateaus and incised valleys, trending to wider valleys and low hills to the east which now characterize the physiography of the region.
|
46 |
|
Alcoa Corporation S-K 1300 Report |
Signature Date: 20 February 2025 SLR Project No.: 123.020514.00001 |
Figure 6‑1: Regional Geology (adapted from SRK, 2021)

|
47 |
|
Alcoa Corporation S-K 1300 Report |
Signature Date: 20 February 2025 SLR Project No.: 123.020514.00001 |
Figure 6‑2: Surface Geology Showing Laterite Over Granite (Alcoa, 2015)

|
48 |
|
Alcoa Corporation S-K 1300 Report |
Signature Date: 20 February 2025 SLR Project No.: 123.020514.00001 |
Laterite remnants are thickest and most extensive over a 150 km long region between the Avon and Harris Rivers, and within about 50 km of the Darling Scarp. The laterite occupies gently sloping (3° to horizontal) upland areas with an average elevation of 280 to 300 meters above sea level (MASL), and high annual rainfall. Steeper slopes may have a thin cover of partly transported laterite with bedrock near the surface. Above 340 m the laterite is penetrated by bedrock which rises above the general topographic level. Below 200 m drainage has removed pre-existing laterite. Blocks of laterite, released by headward erosion of streams, decay to lateritic gravels on the lower slopes of valleys, which pass laterally into alluvial sands and silt in the valley floors (Hickman et al, 1992).
Bauxite deposits typically occur as irregularly shaped lenses on the flanks of plateaus. Critical to this is the laterite position on the slopes (Figure 6‑3): erosion generally dominates on steeper slopes which prevent accumulation and effective bauxite formation, whereas flat areas lack the necessary sub-surface water flows which drive the removal of clays and the enrichment of soluble silicate minerals.
Figure 6‑3: Bauxite Deposit Formation Schematic – Relief Exaggerated (Alcoa, 2021)

Weathering, alteration and leaching of the granite bedrock has developed the bauxite mineralization which principally occurs as 65% microcrystalline gibbsite Al(OH)₃ with minor to rare boehmite AlO(OH), and accessory minerals of 18% goethite FeO(OH), 7% hematite Fe₂O₃, 9% quartz SiO₂, 1% kaolinite/halloysite Al₂Si₂O₅(OH)₄, and 0.5% anatase/rutile TiO₂.
Other minerals within the bauxite that may influence the alumina refinery performance include:
|
49 |
|
Alcoa Corporation S-K 1300 Report |
Signature Date: 20 February 2025 SLR Project No.: 123.020514.00001 |
Table 6‑1 provides a summary of the typical stratigraphy defined by Alcoa across their Darling Range deposits. The Hardcap and Friable Zones represent the primary horizons of economic interest due to their concentrations of alumina. A generalized mineralogical profile through these horizons is provided in Figure 6‑4 and a typical grade profile in Figure 6‑5 showing the alumina and iron-rich Hardcap, with increasing silica and decreasing alumina through the Friable Zone.
Table 6‑1: Alcoa’s Darling Range Deposit Typical Stratigraphic Column
Stratigraphic Horizon |
Typical Thickness Range (m) |
Description |
Overburden |
0 to 0.5 |
Mixed soils and clays, high in organic matter, generally forming a thin layer which can penetrate deeper if the underlying Hardcap surface is variable. |
Hardcap |
1 to 3 |
Ferricrete formed by the remobilization of iron into a layer comprising iron and alumina-rich nodules which can exhibit the highest alumina concentrations across the deposit. Highly variable in thickness but generally 1 m to 3 m with a sharp contact against the underlying Friable Zone. |
Friable Zone |
3 to 5 |
Leached horizon resulting in the accumulation and enrichment of bauxite minerals. The Friable Zone comprises a mixture of the overlying Hardcap, clasts, Al and Fe rich nodules, and clays. Upper contact with the Hardcap is variable, found as a sharp or transitional boundary in places. AL typically reduces with depth as SI increases, defining the lower boundary with the Basal Clay. |
Basal Clay |
- |
Kaolinitic clay horizon which transitions into a saprolitic zone above unweathered basement. This horizon is typically used as a marker indicating the full bauxite zone has been intersected and where drilling is often stopped. |
Alcoa’s bauxite deposits across the Darling Range show high variability in both the thickness and relative proportion of each horizon. Table 6‑2 provides an extract from the acQuire database for the Mining Centres of Huntly (in the north) and Willowdale (more southerly) showing the most common (modal) Depth To Top and Thickness of the four stratigraphic horizons, based on logged drill holes from 2016 to 2020.
Table 6‑2: Summary of Typical (Modal) Stratigraphic Horizons Within Each Area
Area |
Description (m) |
Overburden |
Hardcap |
Friable Zone |
Basal Clay |
Huntly |
Depth to top |
- |
0.64 |
1.51 |
4.54 |
Thickness |
0.64 |
0.87 |
3.04 |
- |
|
Willowdale |
Depth to top |
- |
0.58 |
1.51 |
4.91 |
Thickness |
0.58 |
0.93 |
3.40 |
- |
|
North |
Depth to top |
- |
0.64 |
1.78 |
4.45 |
Thickness |
0.64 |
1.14 |
2.67 |
- |
|
50 |
|
Alcoa Corporation S-K 1300 Report |
Signature Date: 20 February 2025 SLR Project No.: 123.020514.00001 |
Figure 6‑4: Typical Alcoa Darling Range Mineralogy Profile (Hickman et al, 1992)

Figure 6‑5: Typical Alcoa Darling Range Grade Profile (Alcoa, 2015)
|
|
Typical photos of the bauxite profile in current mining areas observed on 14 October 2021 are provided in Figure 6‑6.
|
51 |
|
Alcoa Corporation S-K 1300 Report |
Signature Date: 20 February 2025 SLR Project No.: 123.020514.00001 |
Figure 6‑6: Typical Alcoa Darling Range Mining Sequence and Vertical Profile (SLR, 2021)
|
|
Vegetation cleared prior to mining |
Top soil and oxalate removed leaving Hardcap |
|
|
Blastholes on Hardcap after sheeting with low grade |
Hardcap (hard brown) Friable (soft yellow), relict fresh remnant Dolerite dyke boulder |
|
|
Sandy topsoil, Hardcap (hard brown), Friable (soft yellow), Basal Clay (white clay, lower right in the floor). |
|
|
52 |
|
Alcoa Corporation S-K 1300 Report |
Signature Date: 20 February 2025 SLR Project No.: 123.020514.00001 |
WANL, which became Alcoa (in 1977), carried out exploration over much of the ML1SA lease area in the 1960s as mentioned in Section 5.2. Samples were assayed for Total Al₂O₃ only and the data, referred to as the Imperial Drilling, is still retained comprising approximately 104,400 holes and approximately 670,000 samples.
The Imperial Drilling has not been used to prepare the current Mineral Resource estimate because the sample collection, preparation, and assaying techniques were not consistent with current practices and can no longer be validated.
Resource definition drilling is initially done on a nominal regular grid spacing of 60 by 60 m. Infill drilling programs are then scheduled as required to reduce the drill spacing to 30 by 30 m, and then 15 by 15 m.
The planned drill hole collars are assigned a hole identifier (Hole ID) using the code of the 15 by 15 m grid point on the 1:1,000 Map Sheets (Section 3.3).
A total of 420,789 holes were used for the resource estimate, and these holes were drilled between 1981 to 2024, with approximately 83% drilled after 2009.
A tabulation of the drill quantities by year and location is presented in Table 7‑1, and a graphical summary is shown in Figure 7‑1.
|
53 |
|
Alcoa Corporation S-K 1300 Report |
Signature Date: 20 February 2025 SLR Project No.: 123.020514.00001 |
Table 7‑1: Drill Quantities by Year and Location
Year |
Holes |
Meters |
Assay |
|||||||||
Huntly |
North |
Willowdale |
Total |
Huntly |
North |
Willowdale |
Total |
Huntly |
North |
Willowdale |
Total |
|
1981 |
656 |
--- |
--- |
656 |
5,574 |
--- |
--- |
5,574 |
10,415 |
--- |
--- |
10,415 |
1983 |
199 |
--- |
--- |
199 |
1,090 |
--- |
--- |
1,090 |
1,899 |
--- |
--- |
1,899 |
1984 |
995 |
--- |
--- |
995 |
7,083 |
--- |
--- |
7,083 |
12,119 |
--- |
--- |
12,119 |
1985 |
393 |
--- |
--- |
393 |
2,815 |
--- |
--- |
2,815 |
4,971 |
--- |
--- |
4,971 |
1990 |
13 |
--- |
--- |
13 |
58 |
--- |
--- |
58 |
101 |
--- |
--- |
101 |
1991 |
3,123 |
0 |
1,017 |
4,140 |
17,405 |
0 |
7,726 |
25,130 |
30,133 |
0 |
13,909 |
44,042 |
1992 |
6,669 |
0 |
1,153 |
7,822 |
37,561 |
0 |
8,399 |
45,960 |
65,048 |
0 |
15,234 |
80,282 |
1993 |
2,672 |
0 |
518 |
3,190 |
15,339 |
0 |
3,331 |
18,670 |
26,413 |
0 |
6,117 |
32,530 |
1994 |
7,380 |
632 |
1,168 |
9,180 |
41,092 |
4,019 |
6,453 |
51,563 |
69,785 |
7,103 |
11,224 |
88,112 |
1995 |
5,355 |
79 |
1,839 |
7,273 |
32,111 |
477 |
10,524 |
43,112 |
55,222 |
871 |
18,989 |
75,082 |
1996 |
6,777 |
336 |
634 |
7,747 |
37,195 |
1,522 |
3,998 |
42,715 |
63,627 |
2,667 |
7,256 |
73,550 |
1997 |
583 |
0 |
2,730 |
3,313 |
3,620 |
0 |
17,199 |
20,820 |
6,406 |
0 |
30,917 |
37,323 |
1998 |
12 |
0 |
830 |
842 |
162 |
0 |
5,119 |
5,281 |
307 |
0 |
9,289 |
9,596 |
1999 |
18 |
0 |
842 |
860 |
137 |
0 |
4,082 |
4,219 |
239 |
0 |
7,198 |
7,437 |
2000 |
22 |
0 |
174 |
196 |
187 |
0 |
1,022 |
1,210 |
344 |
0 |
1,852 |
2,196 |
2001 |
633 |
0 |
385 |
1,018 |
5,844 |
0 |
2,693 |
8,536 |
10,817 |
0 |
4,955 |
15,772 |
2002 |
1,818 |
0 |
247 |
2,065 |
16,135 |
0 |
1,417 |
17,552 |
29,624 |
0 |
2,515 |
32,139 |
2003 |
418 |
0 |
1,516 |
1,934 |
2,605 |
0 |
9,855 |
12,459 |
4,662 |
0 |
18,023 |
22,685 |
2004 |
0 |
0 |
389 |
389 |
0 |
0 |
2,000 |
2,000 |
0 |
0 |
3,603 |
3,603 |
2005 |
1,391 |
0 |
2,186 |
3,577 |
8,887 |
0 |
12,442 |
21,329 |
15,930 |
0 |
22,418 |
38,348 |
2006 |
1,652 |
0 |
736 |
2,388 |
11,809 |
0 |
4,561 |
16,370 |
21,749 |
0 |
8,396 |
30,145 |
2007 |
5,229 |
0 |
2,840 |
8,069 |
35,800 |
0 |
19,002 |
54,802 |
65,477 |
0 |
34,677 |
100,154 |
|
54 |
|
Alcoa Corporation S-K 1300 Report |
Signature Date: 20 February 2025 SLR Project No.: 123.020514.00001 |
2008 |
4,371 |
0 |
739 |
5,110 |
25,955 |
0 |
4,524 |
30,478 |
45,654 |
0 |
8,101 |
53,755 |
2009 |
6,491 |
0 |
299 |
6,790 |
38,025 |
0 |
1,744 |
39,769 |
66,797 |
0 |
3,159 |
69,956 |
2010 |
9,776 |
0 |
1,220 |
10,996 |
57,679 |
0 |
8,540 |
66,219 |
100,163 |
0 |
15,718 |
115,881 |
2011 |
10,799 |
0 |
691 |
11,490 |
58,535 |
0 |
4,963 |
63,497 |
101,566 |
0 |
9,095 |
110,661 |
2012 |
11,270 |
0 |
1,127 |
12,397 |
62,056 |
0 |
8,767 |
70,824 |
107,576 |
0 |
16,251 |
123,827 |
2013 |
7,971 |
0 |
2,375 |
10,346 |
48,026 |
0 |
19,297 |
67,322 |
83,988 |
0 |
35,787 |
119,775 |
2014 |
6,297 |
0 |
11,429 |
17,726 |
33,616 |
0 |
80,252 |
113,869 |
58,175 |
0 |
147,213 |
205,388 |
2015 |
9,243 |
0 |
10,789 |
20,032 |
51,370 |
0 |
66,228 |
117,598 |
89,750 |
0 |
120,696 |
210,446 |
2016 |
16,512 |
0 |
443 |
16,955 |
96,102 |
0 |
2,373 |
98,474 |
168,325 |
0 |
4,268 |
172,593 |
2017 |
8,265 |
0 |
6,363 |
14,628 |
44,296 |
0 |
37,777 |
82,073 |
76,690 |
0 |
67,290 |
143,980 |
2018 |
9,476 |
0 |
10,768 |
20,244 |
52,689 |
0 |
56,673 |
109,362 |
92,887 |
0 |
99,811 |
192,698 |
2019 |
15,923 |
0 |
10,138 |
26,061 |
91,912 |
0 |
67,348 |
159,259 |
162,134 |
0 |
121,383 |
283,517 |
2020 |
23,570 |
0 |
14,292 |
37,862 |
124,981 |
0 |
91,537 |
216,518 |
217,667 |
0 |
165,080 |
382,747 |
2021 |
21,347 |
0 |
15,002 |
36,349 |
131,600 |
0 |
114,280 |
245,880 |
231,155 |
0 |
207,367 |
438,522 |
2022 |
29,231 |
0 |
12,165 |
41,396 |
179,487 |
0 |
88,487 |
267,974 |
318,537 |
0 |
160,277 |
478,814 |
2023 |
30,494 |
0 |
16,230 |
46,724 |
183,141 |
0 |
119,708 |
302,848 |
318,665 |
0 |
220,275 |
538,940 |
2024* |
13,419 |
0 |
6,005 |
19,424 |
84,457 |
0 |
45,311 |
129,768 |
147,413 |
0 |
83,504 |
230,917 |
Total |
280,463 |
1,047 |
139,279 |
420,789 |
1,646,435 |
6,018 |
937,628 |
2,590,081 |
2,882,430 |
10,641 |
1,701,847 |
4,594,917 |
* Drill holes completed until June 30, 2024.
|
55 |
|
Alcoa Corporation S-K 1300 Report |
Signature Date: 20 February 2025 SLR Project No.: 123.020514.00001 |
Figure 7‑1: Chart of Resource Drill Holes by Year

The Darling Range deposits contain more than three million drillholes distributed across a lease of over 7,000 km², making it unfeasible to show a plan view of the property with the locations of all drill holes and other samples. Figure 3‑3, however, shows the lateral extent of Alcoa’s mined areas and Mineral Resources and Mineral Reserves within the ML1SA lease.
The Darling Range bauxite project is considered to be in the process of sustaining Mineral Reserve from already defined mineralization, rather than in Exploration mode, looking for new, broader targets. Resource Definition drilling is planned to continue throughout all areas where Alcoa has mining permits as described, to sustain the Mineral Reserves and future production.
The methods currently used for drill sampling in the Darling Range by Alcoa have been consistently used since the 1980s. Drilling is done using dedicated drills mounted on a fleet of tractors which can be driven off tracks into the forest, causing minimal damage or disturbance and obviating the need to clear drilling pads. Planned hole positions are located by the driller using Global Positioning System (GPS). The articulated tractors are highly maneuverable and there is only minor disruption to groundcover vegetation and saplings which may be eased out of the way (Figure 7‑2).
|
56 |
|
Alcoa Corporation S-K 1300 Report |
Signature Date: 20 February 2025 SLR Project No.: 123.020514.00001 |
Figure 7‑2: Resource Drilling Tractor Accessing the Forest (SLR, 2021)
|
|
Drilling is completed by Alcoa using vacuum drill rigs, by contractor Wallis Drilling using their patented reverse circulation (RC) aircore rigs, and by contractor JSW using a similar RC method. Wallis and JSW holes are both referred to as aircore drilling.
In recent years the drilling period has been extended from 9 to 10 months. More wet ground is now encountered and, where required, vacuum drilling is either deferred until the ground conditions improve, or is re-assigned for aircore drilling.
Drilling is rapid with holes typically completed every 15 minutes from locating the collar position to completing the drilling, cleaning the sampling equipment and readying the samples for dispatch. While 12 rigs are currently used, the procedure is consistent across all rigs and virtually unchanged since the early 1990s at Jarrahdale. Minor modifications to the drilling procedures that have occurred include (in order of importance for their impact on the resource database):
|
57 |
|
Alcoa Corporation S-K 1300 Report |
Signature Date: 20 February 2025 SLR Project No.: 123.020514.00001 |
Samples used for Mineral Resource estimation are only acquired using vacuum drilling or aircore reverse circulation. Both methods generally drill dry holes in that water is not added. Water ingress into vacuum holes destroys the sample circulation and wet holes are abandoned. Alcoa commenced aircore drilling in 2015, with the initial plan being to phase out vacuum drilling. The prime advantage of aircore over vacuum is sample recovery when holes do encounter groundwater.
In vacuum drilling the sample is finely ground and sucked up from the bottom of the hole by a top-mounted vacuum pump. In aircore drilling, compressed air is blown down the annulus between the inner and outer drill string tubes, pushed out through ports on the face of the bit and then blows the sample through the center of the bit and up the drill string.
In both methods, the sample material is extracted from inside the bit, avoiding sample delineation error (contamination), and carried up the center of the drill string into the sampling container, avoiding sample extraction error (sample material left down the hole or lost as dust).
The aircore drilling uses a blade bit with a nominal cutting diameter of 45 mm and an internal retrieval tube diameter of 22 mm (Figure 7‑3). Alcoa increased the internal diameter to 25 mm in 2018 to reduce blockages. The particle size of drilled material is sufficiently small (less than 10 mm) to promote good sample splitting in dry conditions.
Figure 7‑3: Drill Bits, Reverse Circulation Drill String and Particle Size of the Sample Residue (SLR, 2021)

Scale pen diameter 13 mm
|
58 |
|
Alcoa Corporation S-K 1300 Report |
Signature Date: 20 February 2025 SLR Project No.: 123.020514.00001 |
The sample catching, splitting, and logging procedures are the same for both vacuum and aircore drilling (Figure 7‑4).
The drilling and logging are controlled by the driller with minimal supervision by geologists. This has been observed and is deemed reasonable by the QP due to the combination of very simple logging, experienced personnel, employment continuity and continual review by geologists.
Sampling begins at the base of the overburden and continues until the driller considers that the basal clays have been penetrated for at least 1 m or for infill holes at a 15 m spacing to the depth defined on the drill hole plan from surrounding data. The depth of basal clays to be penetrated was increased to 2m in 2019 for 60m spaced holes and in 2021 for 30m spaced holes. Alcoa estimates that, most recently, less than 5% of the limited depth holes terminate in bauxite.
Samples are collected at 0.5 m intervals, measured using a laser gauge mounted on the rig. At the end of each 0.5 m interval, the drilling is paused and the sample passes from the cyclone (for aircore) into the collection flask. For vacuum drilling the collection flask is at the end of the vacuum system.
The sample, nominally 1.5 kg, is poured from the flask into a feed tray, distributed evenly, then on the vacuum rigs the tray is pivoted to feed a small 12-vane riffle splitter (the rotating tray is excellent but not yet fitted to the aircore rigs). Where (usually) required, the splitting is repeated to give a retained split of 150 to 200 g, small enough to be collected into a 120 mL measuring cup with minimal spillage. The riffle split subsample is poured into a barcoded Kraft packet and boxed for dispatch to the assay laboratory. The sample retrieval and splitting systems are cleaned with compressed air after each hole.
During the site inspection, the JSW RC sampling procedures were observed closely. It was found that the principles of correct sampling were understood by all personnel at the rig and the equipment and practices were observed to be satisfactory.
Over the period 2015 to 2021 the drill sampling procedures have been externally reviewed (Snowden, 2015; Holmes, 2018; and others) and various improvements have been made such as using riffle splitters with more vanes, using a pivoting tray to consistently feed the splitter, training in the correct splitting and retention of all the subsample, digital recording of logging, monitoring of accuracy with Standards, and monitoring of precision with duplicates.
SLR opinion on the drilling, sampling, and recovery factors are discussed in Sections 8.5 and 11.17.
|
59 |
|
Alcoa Corporation S-K 1300 Report |
Signature Date: 20 February 2025 SLR Project No.: 123.020514.00001 |
Figure 7‑4: Sample Catching and Riffle Splitting Practices (SLR, 2021)

The drill hole and sample information are recorded digitally onto a tablet at the rig during drilling (Figure 7‑5). The data is automatically loaded into an acQuire database. In previous years the same information was all recorded in a ticket book and manually transferred to the database.
|
60 |
|
Alcoa Corporation S-K 1300 Report |
Signature Date: 20 February 2025 SLR Project No.: 123.020514.00001 |
This approach remains as a backup method when needed. Data recorded includes hole number, drill rig number, driller name, offsider name, depth of overburden, depth of Caprock, map reference, material type code, and comments on the reason for ending the hole, e.g. if bedrock or water was encountered.
Figure 7‑5: Barcode Reader and Digital Recorder Mounted on the Drill Rig (SLR, 2021)

The geology of the Darling Range bauxite is well understood. The Material Type codes have been simplified to meet the production needs of the operation and the drill crew has been trained in their identification, which is primarily based on color and hardness.
This results in logging of a reasonably consistent regolith profile formed by surface weathering of the few bedrock types (granite or dolerite). A comprehensive geological log is not produced but the Material Type codes can be ratified by the assay results. The Material Type codes are provided in Table 7‑2.
Table 7‑2: Logging Codes for Material Type
Material Type |
Description |
Comment |
HB |
Hard brown |
Hardcap and Friable Zone |
HSB |
Hard / soft brown |
|
SB |
Soft brown |
|
SY |
Soft yellow |
|
CLB |
Clayish brown |
|
CLY |
Clayish yellow |
Basal Clay Zone |
BC |
Brown clay |
|
YC |
Yellow clay |
|
WC |
White clay |
|
DOL |
Dolerite |
Intrusion |
GR |
Granite |
|
WET |
Wet |
Other |
ROD |
Broken rod |
|
61 |
|
Alcoa Corporation S-K 1300 Report |
Signature Date: 20 February 2025 SLR Project No.: 123.020514.00001 |
Topography data was acquired from:
A digital elevation model representing the natural surface was prepared by combining (in order of priority) the collar survey data, the LiDAR data, and the satellite data.
|
62 |
|
Alcoa Corporation S-K 1300 Report |
Signature Date: 20 February 2025 SLR Project No.: 123.020514.00001 |
Figure 7‑6: Topographic Data Coverage of the 2015, 2016 and 2018 LiDAR Surveys (Alcoa, 2022)

|
63 |
|
Alcoa Corporation S-K 1300 Report |
Signature Date: 20 February 2025 SLR Project No.: 123.020514.00001 |
Alcoa has consistently drilled the Darling Range bauxite deposit on a 60 by 60 m grid (with infills to 30 by 30 m and 15 by 15 m) since the 1970s. Initially collar peg positions were surveyed using either a theodolite or Total Station. The 30 m and 15 m pegs were positioned between the 60 m pegs using tape and an optical square. Alcoa commenced using GPS survey control (RTK DGPS) in mid-2015.
Drilling is conducted before any forest clearing activities, which are only carried out for mine development. Positioning the drill rigs is thus imperfect. If the actual coordinates are within 2 m of the planned coordinates, the hole is considered to be correctly located, and the planned coordinates are used in all subsequent processing. Holes that are collared more than 2 m away from the planned location are flagged accordingly in the database, but the planned coordinates are still used in preference to the actual locations. In 2015, Alcoa commenced check surveying of collar positions after drilling. Most of the holes drilled in 2016 and 2017 were check surveyed. Major discrepancies, such as large differences between the actual coordinates and the coordinates defined by the hole identifier, are investigated and corrected in the database.
The planned coordinates at the 15 by 15 m grid points on Map Sheets (see Section 3.3) were used in preference to the actual coordinates. This choice stems from the fact that the original resource delineation systems (Polygonal and GSM, see Section 11.4) were based on the use of regularly gridded data. However, the current 3DBM methodology prioritizes the use of actual coordinates. The use of planned instead of actual coordinates does introduce some uncertainty in the local sample position and consequently the local estimates. However, it is noted that:
|
64 |
|
Alcoa Corporation S-K 1300 Report |
Signature Date: 20 February 2025 SLR Project No.: 123.020514.00001 |
Figure 7‑7: Error in Actual Collar Location from the Nominal (planned) Position is Monitored for the Three Drill Rig Types (Alcoa, 2021)

Downhole surveys are not performed in drill holes because of their generally shallow depth and narrow diameter, so all holes are assumed to be vertical.
|
65 |
|
Alcoa Corporation S-K 1300 Report |
Signature Date: 20 February 2025 SLR Project No.: 123.020514.00001 |
The drill rigs have limited capacity to be levelled and cannot drill angled holes, so in some circumstances the holes may be drilled perpendicular to the natural surface. The rigs are designed to safely operate on gradients of up to 15°, so holes could be drilled up to 15° off the vertical. For a 6 m hole drilled at the planned collar position, the offset may be up to 1.55 m horizontally and 0.2 m vertically (Figure 7‑8).
Figure 7‑8: Possible Lateral and Vertical Sample Location Error on 15° Sloping Ground (SLR, 2021)

The impact of differences between the actual locations of samples in 3D space compared to their nominal location on the mine plan is considered to not materially impact the Mineral Resource because the errors in the spatial controls on mining are likely to be of the same magnitude as the spatial errors in mining (±2 m laterally and ±0.3 m vertically). Mining is locally controlled by DGPS on mining equipment to meet short-term plans and visually for indications of the base of ore (e.g., WC white clay).
In the QP’s opinion, the drill sampling and sample control procedures at Alcoa’s Darling Range Bauxite Operations are adequate and appropriate for use in the estimation of Mineral Resources. The defined volumes and grades of mineralization are not expected to be systematically impacted (biased) by errors in either the collar location or the 3D sample location.
Historically, no site-specific hydrogeological data was available on the basis that no hydrogeological considerations are required for the definition of mining plans in Alcoa’s Darling Range operations. However, extension of mining activities into the proposed Myara North and Holyoake development envelopes was recently considered to potentially pose a risk to the multiple uses of groundwater in the area including drinking water production, timber harvesting, pine plantation and recreation.
Alcoa has collected groundwater level and groundwater quality data within the Myara North mine region since the 1970s, with available groundwater data typically concentrated within the eastern areas of the mine region. In contrast, only limited water level and water quality data had
|
66 |
|
Alcoa Corporation S-K 1300 Report |
Signature Date: 20 February 2025 SLR Project No.: 123.020514.00001 |
been obtained within the Holyoake mine area. As part of the 2020 to 2021 baseline monitoring program, the monitoring network and program was expanded to include:
In consideration of the data obtained from the expanded monitoring network, several hydrogeologic and hydrologic investigations were undertaken by GHD Pty Ltd (GHD) throughout 2021 and into 2022, including:
The results of these investigations will be assessed as part of the Pinjarra Alumina Refinery Revised Proposal (Assessment No. 2253), which includes the Huntly Bauxite Mine transition to Myara North and Holyoake (See Section 17.1.2).
The work completed by GHD has been incorporated into Alcoa’s Catchment Risk Assessment (CRA). The CRA considers potential hazards to PDWSAs and other factors to evaluate mining related catchment risk. This is an iterative process that will allow refining of the model to ensure it is more accurate on the completion of each subsequent iteration. Iteration 1 was produced in 2022; it will be revised in consultation with DWER, DBCA and other relevant regulators. While the CRA is designed to inform mining risk (and lack of risk) the data and predictions can be applied to exploration. Ultimately, the CRA will help Alcoa understand in more detail the hydrological and hydrogeological risk down to a subcatchment level, supporting the development of future mining areas. The CRA is an integral part of the approved 2023-2027 MMP, and the roll-over approval of 2024-2028.
As the slopes are so shallow, no geotechnical considerations are required for the definition of mining plans in Alcoa’s Darling Range operations.
Some limited material characterization is available within the historic reports carried out for the ROM and bauxite crushing facility and seven other mine infrastructure locations. The crusher site is situated south of Willowdale though the geology is considered similar across the sites. Testing includes cone penetration (CPT), basic laboratory classification, some limited consolidated undrained (Cu) triaxials and point load testing (PLT). Some historical data is available for strength testing within the caprock unit including unconfined compressive strength (UCS), young’s modulus (E), tensile strength and abrasion. A factual laboratory report is
|
67 |
|
Alcoa Corporation S-K 1300 Report |
Signature Date: 20 February 2025 SLR Project No.: 123.020514.00001 |
available from Wirtgen group based off six rock samples (post drilled from cobbles) taken at Huntly with testing including UCS, tensile strength and Cerchar abrasivity. Details for the testing protocols/standards for the Wirtgen tests are not available. As such, it is considered that there is limited information available in terms of material characterization, strength testing, or pit wall design for the mine site.
Recent factual and interpretive results of a geotechnical investigation carried out by Tetra Tech Coffey Pty Ltd (TTC) in July 2023 for the Kisler Stage 1 area are available. Laboratory testing was carried under TTC direction by STATS Australia, a National Association of Testing Authorities (NATA) accredited laboratory located in Canning Vale WA, in accordance with the general requirements of Australian Standard AS1289. A NATA accreditation is to the ISO/IEC 17025 standard, which demonstrates that the laboratory operates competently and generates valid results. TTC states that the geotechnical laboratory assessment was conducted on representative soil and rock samples recovered from test pits and boreholes, with laboratory test certificates available. The investigations were carried out primarily within the footprint of the proposed Kisler facility, located approximately 10 km south-east of the Serpentine Main Dam. The generalized subsurface profile of the site is presented in Table 7‑3, with the assumption that the actual interface between materials may be far more gradual or abrupt than those made based on the facts obtained. An additional assumption is made in that the site conditions as revealed through selective point sampling are indicative of actual conditions throughout an area.
Groundwater was not encountered at any of the test pit locations, to the maximum depth of investigation (i.e. 3.3m BGL). Groundwater was not observable at the borehole locations due to the use of drilling fluid. However, all boreholes have been converted to monitoring bores for future groundwater monitoring purposes.
Based on the results of geotechnical investigation and AS 1170.4 – 2007 Structural Design Actions (Part 4: Earthquake actions in Australia), a sub-soil classification of “Class Ce – Shallow soil” is considered appropriate for the Kisler Stage 1 site at the time of investigation by TTC.
Table 7‑3: Generalized subsurface profile
Layer/Unit |
Typical Depth to Top of Layer (m) |
Typical Layer Thickness (m) |
Description/Remarks |
Sandy Silt / Silty Sand / Sandy Clay / Clayey Sand |
0.2 – 3.0 |
1.2 – To maximum depth of investigation |
Low to medium plasticity, yellow-brown to brown, sand, fine grained, sub-angular, with some gravel. Predominantly encountered at most test locations throughout the course of investigation. |
Clay |
0.00 – 11.0 |
3.0 – 5.4 |
Medium to high plasticity, brown, yellow-brown, grey-brown, with some sand and gravel. |
Silty Gravel / Clayey Gravel |
0.0 – 9.0 |
3.0 – 5.0 |
Fine to coarse grained, sub-rounded and sub- angular, grey-brown and brown, clay, low to medium plasticity, with some sand, trace non-plastic fine. |
Granite / Dolerite |
5.60 – 20.00 |
To maximum depth of investigation |
Medium to coarse grained, pale grey to grey, red- brown, generally very high to extremely high strength. Some boreholes showed very low to medium strength. |
|
68 |
|
Alcoa Corporation S-K 1300 Report |
Signature Date: 20 February 2025 SLR Project No.: 123.020514.00001 |
|
|
|
Granite was encountered at most borehole locations. Generally high to extremely high strength. Dolerite was encountered at 1 location. Extremely high strength. |
|
69 |
|
Alcoa Corporation S-K 1300 Report |
Signature Date: 20 February 2025 SLR Project No.: 123.020514.00001 |
Sample preparation is performed by Bella Analytical Systems (Bella). Although the laboratory is located within Alcoa’s curtailed Kwinana Refinery complex and only processes Alcoa material, it is independently owned and operated by Bella. A link exists between the Bella and Alcoa Laboratory Information Management System (LIMS) for the two-way exchange of data. Bella does not have Australian National Association of Testing Authorities (NATA) accreditation.
All assays produced by Bella are monitored and controlled by Alcoa at the Kwinana Mining Laboratory (KWI), which, although it has a QA/QC system based on ISO 9001 protocols, only has one section of the laboratory certified to ISO 9001 for the purpose of certification of shipment assays of alumina.
A robotic processing system is used to prepare each sample for Fourier Transform Infrared Spectrometry (FTIR) and Reference Method (REF) testing. This entails pulverizing each sample in a flow-through ring mill to a nominal grind size of 85% passing 180 µm, and then splitting off sufficient material to fill a barcoded scanning flask (20 mm high with an 80 mm diameter). The material from the ring mill is discharged through a rotary splitter, with approximately 80–100 g of material retained for geochemical testing, and the remainder discarded. A duplicate sample is collected from 1% of the samples via a rotary splitter fitted with twin select chutes. These samples are used for Reference Methods testing.
Subsamples are collected by the drillers, sealed into Kraft packets with barcodes and submitted for assay. Cardboard boxes holding 50 packets are delivered at the end of each shift, by the drilling crew, to secure sample storage facilities. Unfilled boxes are stored in the drill support vehicle and completed in the next shift.
The filled sample boxes are stacked onto pallets in batches of 40 (i.e., 2,000 samples), wrapped with plastic and dispatched by courier to the Bella assay facility at the curtailed Kwinana Refinery.
Upon receipt by Bella, the sample barcodes are scanned and checked against the submission data in the Bella LIMS. Each sample packet is then split open at the top, placed in a cardboard drying tray and oven-dried at 100°C for 10 hours. The packets are transferred to a customized holder in batches of about 60, with a control between each batch, and automatically fed to a bank of 10 Rocklabs flow-through ring mills (Figure 8‑1), each of which have three concentric milling rings. The barcode is read, the sample is pulverized, a subsample is rotary split, captured in a single-use plastic Petri dish with the barcode printed on the lid, then sent to the spectral analyzer for assay. The ring mills are air flushed and vacuumed between samples.
Each sample is pulverized to a nominal grind size of 85% passing 180 µm. The ring mill discharges through a chute and rotary splitter, retaining 80 to 100 g and discarding the rest. One of the ring mills is set up to take two splits and these are used for pulp duplicate assays and to generate the Reference (REF) samples. These are sent to the KWI for wet chemical assay checking of the spectral assay. Pulverized samples are stored in a barcoded dedicated receptacle for assay (Figure 8‑2).
|
70 |
|
Alcoa Corporation S-K 1300 Report |
Signature Date: 20 February 2025 SLR Project No.: 123.020514.00001 |
The robotic system can run 24 hours a day handling approximately 3,000 samples per day. Only the Mineral Resource estimation samples are processed at Bella with all other stockpile and processing control samples processed using the same methods as the REF samples.
Figure 8‑1: The Bella Robotic Sample Preparation using Rocklabs Ring Mills (SLR, 2021)

|
71 |
|
Alcoa Corporation S-K 1300 Report |
Signature Date: 20 February 2025 SLR Project No.: 123.020514.00001 |
Figure 8‑2: The Pulverized Sample is Stored in a Barcoded Dedicated Receptacle for Assay (SLR, 2021)

A LIMS system controls the progress of the sample packet through the whole of the sample preparation and assay procedure enabling digital tracking of all stages (Figure 8‑3). This ensures inter alia that the sample is valid, not previously assayed, and the assay looks like one for a bauxite sample. It also generates pulp duplicates at a frequency of 1 in 100 which are also the REF samples.
Figure 8‑3: The Pulverized Sample is Tracked Digitally Through the Bella Preparation and Assaying (SLR, 2021)

Grind size monitoring is carried out with the advantage of the robotic sample preparation being consistent grind size. A risk with all such systems is the possibility of contamination between samples. This is usually avoided by inserting blank samples of zero grade into the sample processing stream. The difficulty is that the blank samples may themselves contaminate the next sample being assayed.
Quality control (QC) procedures were developed and implemented to monitor the Bella robotic sample preparation system (Franklin, 2019) and they include:
|
72 |
|
Alcoa Corporation S-K 1300 Report |
Signature Date: 20 February 2025 SLR Project No.: 123.020514.00001 |
Figure 8‑4: Sample Preparation Monitoring: Grind Sizes for the Robotic Sample Preparation Unit Tested by Bella and by KWI


Assaying of the drill samples is based on a spectral method, using a Nicolet 6700 FTIR Spectrometer with a robotic feeder (Figure 8‑5). FTIR obtains an infrared absorption spectrum from the sample. The FTIR spectrometer simultaneously collects high-resolution spectral data over a wide spectral range. A mathematical process (Fourier transformation) converts the raw data into the actual spectrum for subsequent determination of the component analytes.
|
73 |
|
Alcoa Corporation S-K 1300 Report |
Signature Date: 20 February 2025 SLR Project No.: 123.020514.00001 |
All drill samples are currently assayed using a customized, bespoke FTIR method, with the final corrected results used for Mineral Resource estimation. Calibration and monitoring of the FTIR results are done using the Reference Method assay results.
Bella generates the raw FTIR spectral dataset for each sample, which is transferred to the Alcoa LIMS system for post-processing. Alcoa performs all the Reference Method analyses at KWI.
The FTIR spectra are determined using a robotic scoop arm that collects an approximately 5 g aliquot of the pulp from the Petri dish and presents it to a platinum crucible. The material in the crucible is pressed flat to ensure an even surface for scanning. The crucible is then rotated several times through the spectrometer and 20 scans are conducted on the aliquot. The scans are processed and validated by the Bella system and when accepted, they are then transferred to the Alcoa LIMS system for post-processing and further validation.
Figure 8‑5: The Robotic FTIR Assaying Equipment (RHS shows the sampling scoop arm and pulp dish with the lid elevated) (SLR, 2021)

The FTIR Method for bauxite assay uses infrared absorption spectra to characterize the presented sample for multiple analytes as element, compound, or mineral percentages. The approach has been developed using an extensive calibration and validation (CalVal) dataset, constant monitoring of Reference samples and Standards, and periodic revision of the prediction algorithms.
In 1990, an initial set of approximately 2,300 CalVal samples was collected covering the Darling Range tenement. A subset of approximately 700 samples was used to develop the initial FTIR prediction model. Extra CalVal samples have been added to help predictions in areas of low Reactive Silica (less than 0.5% Si) and high Total Iron (greater than 50% Fe). The CalVal samples are run randomly through the FTIR equipment in triplicate, under differing conditions (time of day, season, operator, order, etc.) to test for external factors. The FTIR results based on the prediction model algorithm are monitored using the REF assays (Franklin, 2019).
Initially some FTIR analytes (Available Alumina, Total Iron, Carbonate, Sulphate, Total Silica, Total Phosphorus and Magnetic Susceptibility) were all determined using a ‘common’ algorithm, whereas Reactive Silica, Oxalate, Extractable Organic Carbon, Total Alumina and Boehmite each used a specific algorithm. Since 2017 specific algorithms have been used for all analytes. The algorithms are periodically updated, typically if there has been a change in equipment or Reference Method. Retaining all FTIR spectra now means additional analytes can be
|
74 |
|
Alcoa Corporation S-K 1300 Report |
Signature Date: 20 February 2025 SLR Project No.: 123.020514.00001 |
determined using specific algorithms, with three new analytes being added to Method Set MIC#00005 in 2021 (Potassium, Titanium and Gallium).
The REF assaying is done by Alcoa in the KWI to validate and calibrate the FTIR assays. This is a suite of assays and tests that are carried out by wet chemical and other means and has included:
There are differences in the nature of these tests. Both XRF and ICP methods are instrument-based methods designed to replicate wet chemical analysis results, either total or partial assays depending on the digestion. Both XRD and MS methods are used to investigate mineralogy contents so they are regarded as proxies for assays. Bomb digest (BD) methods have been developed by the alumina refining industry to determine the expected yield of bauxite ore during processing. They are the basis for ‘metallurgical assays’ that are designed to replicate the physicochemical reactions in the refinery and accordingly may be customized for a particular ore type or process plant. At Alcoa some BD assaying has been replaced with a microwave digest (MD) method.
A summary of the assaying used for the REF samples, which are used to calibrate and validate the FTIR Method, is provided in Table 8‑1.
Table 8‑1: Assaying Methodologies for Resource Estimation Samples
Name |
Analyte |
Code |
Units |
Reference Method |
Available Alumina |
A.Al2O3 |
AL |
% |
MD – ICP (MALSI) |
Reactive Silica |
R.SiO2 |
SI |
% |
MD – ICP (MALSI) |
Total Iron |
Fe₂O₃ |
FE |
% |
XRF and FTIR |
Oxalate |
NaC₂O₄ |
OX |
kg/t |
BD – GC |
Carbonate |
Na₂CO₃ |
CO |
kg/t |
BD – NDIR (TICTOC) |
Extractable Organic Carbon |
C |
EO |
kg/t |
BD – NDIR (TICTOC) |
Total Phosphorous |
P₂O₅ |
PT |
% |
XRF |
Sulphate |
Na₂SO₄ |
SU |
kg/t |
XRF |
|
75 |
|
Alcoa Corporation S-K 1300 Report |
Signature Date: 20 February 2025 SLR Project No.: 123.020514.00001 |
Total Silica |
SiO₂ |
ST |
% |
XRF |
Magnetic Susceptibility |
MagSus |
MS |
None |
MS (CGS system) |
Total Alumina |
Al₂O₃ |
AT |
% |
XRF |
Boehmite |
AlO(OH) |
BO |
% |
XRD |
The bomb digest (BD) method involves adding a measured amount of carbonate free 52% caustic soda to the sample aliquot (1 g), sealing it in a small 10 mL pressure vessel and then cooking it at 145°C. After cooling, the solution is assayed by titration or other methods to determine the alumina and silica contents. As the digestion of these elements by the hot caustic solution is determined by the physical conditions during digestion (mainly temperature and pressure) the results provide a proxy for the expected performance of ore of that nature in the alumina refinery plant. The resulting assays are termed available alumina (AL) and reactive silica (SI), measured as percentages.
The MD method was introduced in 1996 to supplant the BD methods for assaying of the Mineral Resource drill samples. Atmospheric digestion is done in a microwave oven using a 13% caustic solution. The advantage of this is that it is faster, more repeatable and uses a bigger aliquot (0.5 g). The MD assays are collectively named ‘microwave available alumina and reactive silica’ (MALSI). The BD methods are still used for the refinery monitoring samples including those taken from the sampling towers prior to the feed stockpiles of crushed ore.
Following digestion using either MD, BD, or wet chemical methods, the analytes are assayed (Table 8‑1) using the following methods (Figure 8‑6):
|
76 |
|
Alcoa Corporation S-K 1300 Report |
Signature Date: 20 February 2025 SLR Project No.: 123.020514.00001 |
Figure 8‑6: Digestion and Assay Equipment used for REF Samples at the KWI
Clockwise from top left: BD, MD, TICTOC, ICP, XRF, GC (SLR, 2021)

Details on the assaying method used for the final (Best) assay value for every sample interval are carried in the acQuire database.
|
77 |
|
Alcoa Corporation S-K 1300 Report |
Signature Date: 20 February 2025 SLR Project No.: 123.020514.00001 |
For resource estimation, the Reference Method results are used to monitor the performance of the FTIR assaying, and to calibrate (adjust) the FTIR results on a batch-by-batch basis. The Reference Method is also used for all monitoring of the refinery performance including the grades of ore presented to the sampling towers at Pinjarra and Wagerup prior to stockpiling and reclaiming of the ore feed.
A consistent approach to sample collection, preparation and assaying for Mineral Resource estimation has been used since 1980. Refinements to the assaying methods have comprised:
The impact of these changes and validation of the results were investigated by Alcoa personnel and independently by SRK (2021a). It was concluded that the assaying precision (i.e. repeatability) and accuracy (lack of bias, as demonstrated by quantile-quantile plots) did not show significant differences between the pre-2018 and post-2018 data sets.
Since completion of the 2023 Mineral Resource inventory, an additional 70,253 vacuum and aircore holes have been drilled and approximately 710,870 routine FTIR analyses performed. These represent holes drilled between September 2023 and June 30, 2024.
Quality assurance (QA) consists of evidence that the assay data has been prepared to a degree of precision and accuracy within generally accepted limits for the sampling and analytical method(s) to support its use in a Mineral Resource estimate. Quality control (QC) consists of procedures used to ensure that an adequate level of quality is maintained in the process of collecting, preparing, and assaying the drilling samples.
The following QA/QC protocols are implemented and managed by Alcoa’s team, and QA/QC samples are not blind to the laboratory, with the exception of Sample To Extinction (STE). Batches of samples are submitted to the Bella laboratory daily. Internal standards created from the stockpile of the Darling Range bauxite are introduced by the Bella Laboratory every 50 samples during the FTIR analysis to check the chain of process. All standard sample insertions and batches maintain consecutive numerical order. Calibration is done at first to generate the reference mean of the standard as well as the acceptable minimum and maximum values totaling three standard deviations.
|
78 |
|
Alcoa Corporation S-K 1300 Report |
Signature Date: 20 February 2025 SLR Project No.: 123.020514.00001 |
After the boxes of drill samples are received at Bella, packets of Reference Method samples (REF) are split out by the robotic sample preparation, based on a random selection by Alcoa LIMS, at a frequency of 1 in 100 (1%). These are submitted to the KWI in batches of 19 for REF assaying to calibrate and validate the quality of the FTIR Bella assays. As the FTIR assays are adjusted to match the REF assays (using a ‘broken stick’ curve adjustment to remove bias and maintain precision) it is expected that there should be minimal bias between REF and FTIR corrected results (FTIR_corr). However, the repeatability between the two methods is an important attribute of the quality of the assay results used for Mineral Resource estimation. Each batch of REF samples includes 1 Blank and 1 Standard. The REF samples are considered to serve the same purpose as pulp repeats in defining the repeatability of the assays. Alcoa also sends checks of REF samples assayed at Bella and KWI to an independent laboratory, Bureau Veritas (BV).
Alcoa introduced in 2018 an alternative procedure to field duplicates, termed Sample To Extinction (STE). This involves taking the normal 0.5 m drill sample (referred to as the Parent) and collecting all the residue from that drilled interval (i.e. the riffle split reject, and previously any material left in the sampling cup). This residue is collected once per shift from each rig under supervision by the geologist. The residue is pulverized and homogenized, then two equal splits (referred to as the Daughters) are assayed.
Following receipt of results from the laboratories, Alcoa geologists review the values, and sample batches identified as anomalous are repeated by the laboratory. Monthly and quarterly QA/QC reports are produced to detect and address potential temporal trends or issues in their results.
The following are the existing written QA/QC procedures available to all staff:
QP reviewed QA/QC information compiled in the previous report (SLR, 2023) and analyzed the new QA/QC data compiled by Alcoa between November 2023 and September 2024. The findings of this analysis are presented in the subsequent sub-sections.
Blanks are not routinely introduced in FTIR submission batches into the robotic mills at Bella and there is no check on cross-contamination during sample preparation. Given the style of mineralization, the ore grades being assayed, and the volume of material milled compared to the final aliquot assayed, the absence of sample preparation blanks is not considered material. There is also no available blank sample on the market that would not introduce contamination of the mills by very low-grade samples at Bella. KWI laboratory submits blanks with a frequency of 1 to 19 in the REF samples sets compiled and dispatched regularly by Bella, however that information was not available for review.
|
79 |
|
Alcoa Corporation S-K 1300 Report |
Signature Date: 20 February 2025 SLR Project No.: 123.020514.00001 |
Standards evaluate accuracy of the assaying by detecting the differences between a result and an expected value, also known as a bias. Alcoa has used a series of specially prepared Internal Reference Material (IRM) samples derived from Darling Range bauxite, pulverized and homogenized by Gannet Holdings, labelled KH09 to KH20. Between 2021 and 2024, only IRM KH14 and KH20 have been used at the Bella Laboratory and KH10 at the mining laboratory. Monitoring using these IRM samples provides arguably better assurance of assaying accuracy than commercial Certified Reference Material samples. The IRMs have generally been sourced from stockpile material and used in both coarse-crushed and pulp form. The IRMs have not been externally certified. A summary of the IRMs used is provided in Table 8‑2.
Table 8‑2: Standards Used for Drilling and REF Monitoring (IRMs)
Standard |
Date |
Comment |
KH09 |
May 1999 to present |
Boehmite analysis, FTIR, MD-ICP, and XRF analysis Mining reference analysis (IRM) |
KH10 |
May 2012 to present |
Mining reference analysis (IRM) |
KH11 |
July 2008 to March 2015 |
FTIR analysis (IRM) |
KH12 |
July 2008 to April 2014 |
Grind size control (IRM) |
KH13 |
April 2014 to present |
Grind size control (IRM) |
KH14 |
March 2015 to October 2021 |
FTIR analysis (IRM) |
KH15 |
October 2015 to September 2017 |
Preparation and analytical control – introduced at the drill rig (IRM) |
KH16 |
September 2017 to December 2018 |
Preparation and analytical control – introduced at the drill rig (IRM) |
KH17 |
September 2017 to December 2018 |
Preparation and analytical control – introduced at the drill rig (IRM) |
KH18 |
September 2017 to December 2018 |
Preparation and analytical control – introduced at the drill rig (IRM) |
KH20 |
October 2021 to present |
FTIR analysis (IRM) |
Control of the accuracy of FTIR samples is currently monitored at the Bella laboratory using IRM KH20. The IRMs are inserted every 50 FTIR samples. FTIR batches totaling 48,855 samples of KH20 analyzed primarily between November 2023 to September 2024 and using Priority Codes P202 to P212, BV002 to BV004, and INT001 grouped by quarters, were sent to SLR for review. Priority Codes represent batches assayed by the FTIR Method using the same batch correction factors.
The QP reviewed all batches from either KH10 or KH20, adhering to the failure limits set by Alcoa, which are three standard deviations (SD) from the expected value. The QP evaluated the available alumina (AL), reactive silica (SI), and iron (FE) through extended timeline series to identify potential bias trends or systematic outliers.
In general, IRMs exhibited robust accuracy biases, ranging from -0.03% to 3.4% for the elements AL, FE, and SI as summarized in Table 8‑3. These results were obtained with a controlled number of failures across all three grade IRM categories: low-grade, intermediate-grade, and high-grade.
|
80 |
|
Alcoa Corporation S-K 1300 Report |
Signature Date: 20 February 2025 SLR Project No.: 123.020514.00001 |
Table 8‑3: Performance of IRM Samples used in the 2023 - 2024 QA/QC Programs.
IRM |
Element |
Unit |
Year Quarter |
N Samples |
Mean |
EV |
SD |
N Outliers |
Bias (%) |
Outliers (%) |
Upper Limit |
Lower Limit |
KH20_BV002 |
AL |
% |
2023Q4 |
1010 |
31.52 |
31.53 |
1.4 |
2 |
-0.02 |
0.2 |
35.63 |
27.43 |
FE |
% |
1010 |
16.39 |
16.38 |
1.23 |
3 |
0.04 |
0.3 |
20.04 |
12.72 |
||
SI |
% |
1010 |
1.03 |
1.03 |
0.11 |
6 |
0.02 |
0.59 |
1.35 |
0.71 |
||
KH20_BV004 |
AL |
% |
2023Q4 |
339 |
34.55 |
34.55 |
0.91 |
3 |
0 |
0.88 |
37.28 |
31.82 |
FE |
% |
339 |
16.51 |
16.51 |
0.8 |
0 |
-0.02 |
0 |
18.92 |
14.1 |
||
SI |
% |
339 |
0.86 |
0.86 |
0.02 |
0 |
0.09 |
0 |
0.92 |
0.8 |
||
KH20_P202 |
AL |
% |
2023Q4 |
1417 |
33.44 |
33.24 |
0.54 |
21 |
0.61 |
1.48 |
34.56 |
31.92 |
FE |
% |
1417 |
15.87 |
16.12 |
0.6 |
34 |
-1.54 |
2.4 |
17.45 |
14.79 |
||
SI |
% |
1417 |
1 |
1.03 |
0.04 |
170 |
-3.42 |
12 |
1.12 |
0.94 |
||
KH20_P203_P204_ P205_P206 |
AL |
% |
2023Q4 - 2024Q1 |
5333 |
33.15 |
33.3 |
0.6 |
178 |
-0.44 |
3.34 |
34.62 |
31.98 |
FE |
% |
5333 |
15.84 |
16.01 |
0.58 |
125 |
-1.06 |
2.34 |
17.34 |
14.68 |
||
SI |
% |
5333 |
0.99 |
0.99 |
0.04 |
153 |
-0.1 |
2.87 |
1.08 |
0.9 |
||
KH20_INT001 |
AL |
% |
2024Q2 |
460 |
33.35 |
33.36 |
0.89 |
0 |
-0.01 |
0 |
38.72 |
27.99 |
FE |
% |
460 |
16.54 |
16.54 |
0.66 |
0 |
-0.02 |
0 |
19.58 |
13.5 |
||
SI |
% |
460 |
1.06 |
1.06 |
0.05 |
0 |
-0.45 |
0 |
1.27 |
0.84 |
||
KH20_P207_P209_ P210_P208 |
AL |
% |
2024Q2 |
5000 |
32.99 |
32.95 |
0.54 |
66 |
0.13 |
1.32 |
34.27 |
31.63 |
FE |
% |
5000 |
15.85 |
15.82 |
0.58 |
96 |
0.21 |
1.92 |
17.14 |
14.49 |
||
SI |
% |
5000 |
0.98 |
0.98 |
0.04 |
68 |
-0.03 |
1.36 |
1.07 |
0.89 |
||
KH10 |
AL |
% |
2024Q3 |
549 |
35.09 |
35.13 |
0.63 |
1 |
-0.13 |
0.18 |
36.93 |
33.34 |
FE |
% |
518 |
15.55 |
15.52 |
0.1 |
0 |
0.18 |
0 |
15.9 |
15.13 |
||
SI |
% |
549 |
1.01 |
1.01 |
0.03 |
14 |
0.16 |
2.55 |
1.08 |
0.94 |
||
KH20_BV003 |
AL |
% |
2024Q3 |
328 |
31.94 |
31.95 |
1.12 |
0 |
-0.03 |
0 |
35.32 |
28.58 |
FE |
% |
328 |
16.74 |
16.74 |
0.92 |
1 |
0 |
0.3 |
19.49 |
13.98 |
||
SI |
% |
328 |
1.15 |
1.15 |
0.1 |
1 |
-0.42 |
0.3 |
1.46 |
0.84 |
||
KH20_P211_P212 |
AL |
% |
2024Q3 |
2398 |
32.95 |
33.03 |
0.55 |
39 |
-0.26 |
1.63 |
34.34 |
31.71 |
FE |
% |
2398 |
15.84 |
15.85 |
0.57 |
38 |
-0.04 |
1.58 |
17.18 |
14.52 |
||
SI |
% |
2398 |
0.98 |
0.99 |
0.04 |
58 |
-0.58 |
2.42 |
1.08 |
0.9 |
SLR selected three IRMs KH20 series for in-depth analysis, based on the number of samples utilized over the entire timeline from the fourth quarter of 2023 to the third quarter of 2024. This selection includes samples from batches P202 to P212.
The results from the IRM KH20, analyzed by the laboratory between Q4 2023 and Q1 2024, as shown in Figure 8‑7, include batches P203, P204, P205, and P206. These batches exhibit a slight negative bias of -0.4% for available alumina (AL), particularly in batches P205 and P206, with 146 instances falling below the -3SD threshold. Although this bias remains below the ±5% threshold, its negative trend makes it worthwhile to investigate the cause and implement corrections to avoid future issues. Conversely, reactive silica (SI) maintains a bias of -0.1%, with 2.8% of outliers, and iron (FE) shows a bias of -1%, with few failures falling below the lower limit.
|
81 |
|
Alcoa Corporation S-K 1300 Report |
Signature Date: 20 February 2025 SLR Project No.: 123.020514.00001 |
Figure 8‑7: KH20 control chart of AL, SI, and FE

|
82 |
|
Alcoa Corporation S-K 1300 Report |
Signature Date: 20 February 2025 SLR Project No.: 123.020514.00001 |

The IRM KH20 including batches P207 to P210, visualized in Figure 8‑8, analyzed between Q2 and part of Q4 2024, shows more stable results with a minimal bias of 0.1% for AL, -0.03% for SI, and 0.21% for FE, and a controlled number of failures. This confirms an improved performance compared to batches P203 to P206. Similarly, batches P211 and P212, analyzed during the third quarter of 2024, display most results within threshold limits and low biases ranging from -0.04% to -0.58% for AL, SI, and FE, as observed in Figure 8‑9.
Figure 8‑8: KH20 control chart of AL, SI, and FE: Q2 2024 and Q3 2024

|
83 |
|
Alcoa Corporation S-K 1300 Report |
Signature Date: 20 February 2025 SLR Project No.: 123.020514.00001 |


|
84 |
|
Alcoa Corporation S-K 1300 Report |
Signature Date: 20 February 2025 SLR Project No.: 123.020514.00001 |
Figure 8‑9: KH20 control chart of AL, SI, and FE: Q3 2024 and Q4 2024


|
85 |
|
Alcoa Corporation S-K 1300 Report |
Signature Date: 20 February 2025 SLR Project No.: 123.020514.00001 |

Duplicate samples help monitor preparation, assay precision, and grade variability as a function of sample homogeneity and laboratory error. The field duplicates are used to evaluate the natural variability of the original core sample, as well as detect errors at all levels of preparation and analysis including core splitting, sample size reduction in the preparation laboratory, subsampling of the pulverized sample, and analytical error. Coarse reject and pulp duplicates provide a measure of the sample homogeneity at different stages of the preparation process (crushing and pulverizing).
In January 2018, Alcoa discontinued the routine collection of field duplicates due to the limited benefits and issues with the sample splitting procedure (SLR, 2022). Consequently, no further data is available for review regarding field duplicates. This process has been replaced by the Sample to Extinction method, detailed in Section 8.4.4.4.
Alcoa sends checks of REF samples assayed at Bella Lab to an independent laboratory, Bureau Veritas Minerals (BV), in Canning Vale, Western Australia for an impartial review. BV holds NATA accreditation No.626 and it is accredited for compliance with ISO/IEC 17025 – Testing. SLR was handed out a spreadsheet to examine, with a total of 5,366 samples that covered the original Bella and REF values as well as the results from the analytes re-assay by FTIR at BV. Results from the REF comparison with BV can be visualized in the form of scatter plots and quantile-quantile plots in Figure 8‑10 to Figure 8‑12 for AL, SI, and FE.
Results for AL show an acceptable difference of 0.1% between means and a very strong correlation of 0.977 for 5,336 pairs. The quantile-quantile plot suggests there does not seem to be any systematic bias in the measurements; since the data points follow the trend line closely and are consistent across the range of values. The analysis of SI showed a difference between
|
86 |
|
Alcoa Corporation S-K 1300 Report |
Signature Date: 20 February 2025 SLR Project No.: 123.020514.00001 |
pairs of -1.9%. Bureau Veritas is reporting marginally lower values from 0% to 1%, slightly higher values between 1-6%, and exhibits a low to moderate bias above 6%. However, the correlation of 0.982 is considered good for 5,265 pairs and it may be worth noting that both populations are statistically similar. Similarly, the results of FE demonstrated a good correlation, with a coefficient of 0.985 and a low difference between means of 0.6%.
Figure 8‑10: Scatter Plot, Quantile-Quantile Plot and Statistics of AL Umpire Laboratory Checks – Bella and Bureau Veritas
|
|
Figure 8‑11: Scatter Plot, Quantile-Quantile Plot and Statistics of SI Umpire Laboratory Checks – Bella and Bureau Veritas
|
|
|
87 |
|
Alcoa Corporation S-K 1300 Report |
Signature Date: 20 February 2025 SLR Project No.: 123.020514.00001 |
Figure 8‑12: Scatter Plot, Quantile-Quantile Plot and Statistics of FE Umpire Laboratory Checks – Bella and Bureau Veritas
|
|
Since the last report (SLR, 2023), the twin hole studies campaign has been suspended because of its limited value and therefore, no additional data is available for an updated analysis.
Following several reviews of the data sets from 2018 to 2021 by independent consultants, biases and poor repeatability were identified. The investigation suggested that the splitting process at the drill rig might have been flawed. It highlighted the sampling principle that pulverizing (reducing particle size) before splitting can significantly reduce errors. Based on these studies and external reviews, modifications were made to the splitting procedure at the rig.
Since 2020, Alcoa has refined the STE sampling procedure to collect one sample per shift from each drill rig and assay three Daughters after pulverizing and splitting. The 2023-2024 STE clean dataset, reviewed by SLR, included results for 380 pairs. SLR utilized this dataset to generate bivariate statistics, scatter plots, and quantile-quantile plots.
Comparisons were carried out for the analytes AL, SI, and FE between:
The evaluation of Parent-Daughter samples demonstrated reliable repeatability for the residue pulp repeats, indicating consistent test results across multiple trials. While the correlation between the tests was strong, the precision of the match was not perfect, with correlation coefficients ranging from 0.912 to 0.956. The Daughters (D1, D2, and D3) closely matched the original Parent sample, suggesting that the sample preparation and division methods were executed correctly.
|
88 |
|
Alcoa Corporation S-K 1300 Report |
Signature Date: 20 February 2025 SLR Project No.: 123.020514.00001 |
The available alumina (AL) results demonstrate overall good reproducibility, with a correlation coefficient of 0.91 when comparing parent samples to D1, D2, and D3. A slight shift in bias from positive to negative is observed at approximately 25%, even though the minimal difference of 0.8% between the means confirms the reproducibility. Conversely, reactive silica (SI) results exhibit some fluctuation along the 45-degree line, particularly at grades of 5% and above, but maintain a good correlation of 0.94 and a mean difference of -1.5% for D2. In contrast, iron (FE) results show a strong correlation coefficient of 0.96 and excellent reproducibility across all grade ranges. Examples are provided in Figure 8‑13 for AL, SI, and FE.
Regarding Average Daughter samples compared to Parent results, the data indicates good repeatability, as anticipated. This suggests that the split taken at the drill rig (parent sample, reduced to 150 g) provides a representative measure of the drill interval grade. This method is as effective as collecting the entire residue followed by pulverizing, homogenization, and splitting, as visualized in Figure 8‑14.
|
89 |
|
Alcoa Corporation S-K 1300 Report |
Signature Date: 20 February 2025 SLR Project No.: 123.020514.00001 |
Figure 8‑13: Quantile-Quantile Plot (On the left) and Scatter Plots (on the right) of Parent and Individual Daughters’ Analysis of AL,SI and FE




|
90 |
|
Alcoa Corporation S-K 1300 Report |
Signature Date: 20 February 2025 SLR Project No.: 123.020514.00001 |




|
91 |
|
Alcoa Corporation S-K 1300 Report |
Signature Date: 20 February 2025 SLR Project No.: 123.020514.00001 |
Figure 8‑14: Quantile-Quantile Plot (on the left) and Scatter Plots (on the right) of Parent and Average of Daughters’ Analysis of AL, SI and FE




|
92 |
|
Alcoa Corporation S-K 1300 Report |
Signature Date: 20 February 2025 SLR Project No.: 123.020514.00001 |




In 2022, SLR undertook a comprehensive re-evaluation of historic assays to monitor the quality of historical data and guide daily production. A total of 33,224 historic and recent assays were provided, which were refined to produce 15,412 perfectly matched pairs. The QP conducted an analysis comparing the original historic FTIR available alumina (AL) and reactive silica (SI) assays with recent Holyoake duplicate assay results. Alcoa implemented the Holyoake check assay in 2021.
The analysis revealed that recent AL values are significantly higher above the 10% grade, indicating a clear high bias. Conversely, values below 10% showed a low bias, often exceeding an acceptable 20% difference limit. Similarly, SI values exhibited a low bias between grades of
|
93 |
|
Alcoa Corporation S-K 1300 Report |
Signature Date: 20 February 2025 SLR Project No.: 123.020514.00001 |
0 and 5%, and a strong high bias for values above 5%. The percent differences between the means were notably high for both analytes, at 5.3% for AL and 13.5% for SI. These trends are illustrated in Figure 8‑15, and Figure 8‑16.
These discrepancies likely result from improvements in analytical methods and procedures since 2005, reflecting a better geochemical understanding of the deposit. SLR recommended addressing these biases by limiting the use of historic data where possible and continuing the re-assay program for assays collected before 2005.
Figure 8‑15: Scatter Plot, Quantile-Quantile Plot and Statistics of AL Historic and Holyoake Results.
Scatter Plot – AL |
Quantile-Quantile Plot – AL |
|
|
|
|
|
94 |
|
Alcoa Corporation S-K 1300 Report |
Signature Date: 20 February 2025 SLR Project No.: 123.020514.00001 |
Figure 8‑16: Scatter Plot, Quantile-Quantile Plot and Statistics of SI Historic and Holyoake Results.
Scatter Plot – SI |
Quantile-Quantile Plot – SI |
|
|
|
|
Refinery feed grade is monitored at Huntly and Willowdale using material collected at the Pinjarra and Wagerup sample plants. At each operation, the sample plants are located at the refinery end of the overland conveyors, just prior to the stockpile stackers.
The stockpile area at the Pinjarra refinery is fed by two conveyor belts (SP-171 and SP-271) that derive their ore from the same crusher (currently at Myara). Prior to the ore being combined from the belts and fed to the stockpile area, it passes through a sampling tower that alternatively takes a primary cut from each belt, dries, crushes, subsamples and combines them into two parallel samples for 12-hour shifts.
A comparison of these paired samples (SLR, 2022) found no material issues and no new data was presented for this review.
|
95 |
|
Alcoa Corporation S-K 1300 Report |
Signature Date: 20 February 2025 SLR Project No.: 123.020514.00001 |
The SLR QP is of the opinion that the data reviewed from November 2023 to September 2024, along with the protocols in place for ensuring accuracy and precision, provide sufficient confidence in the reliability of the data used for resource estimation. Sample and data security protocols adhere to the best industry standards.
In particular:
It is the opinion of the QP that the sample preparation, security, and analytical procedures used for the Alcoa Mineral Resource meet conventional industry practice and are adequate to allow provision of data included in this Mineral Resource estimate. FTIR is not widely used yet in the bauxite industry but is becoming more widely accepted and applied at more operations. At Alcoa, the method has been consistently applied successfully for a decade and is routinely validated by industry standard XRF and wet chemical procedures as discussed in Sections 8.3 and 8.4.
It is the opinion of the SLR QP that, from the studies on FTIR repeatability discussed above, the overall precision and accuracy of the FTIR assaying is acceptable and adequate for use in a Mineral Resource estimate.
|
96 |
|
Alcoa Corporation S-K 1300 Report |
Signature Date: 20 February 2025 SLR Project No.: 123.020514.00001 |
Wherever possible the transfer of geological, sampling and assaying data is now carried out digitally.
The use of rugged field tablets was introduced after an external review (Snowden, 2015). The data recorded at the drill rig is uploaded daily via WiFi for validation prior to importing into the acQuire database. This allows the data to be captured, checked, approved, and then loaded without any further manual keystroke entry.
The sample preparation and assaying data are all recorded at the Bella facility (see Figure 8‑3) allowing all aspects of the sample preparation to be tracked and transferred to KWI through direct connection to their Laboratory Information Management System (LIMS). After calibration, validation and checking of the FTIR and REF assays they are transferred digitally to the acQuire database.
Within the database, scripts are run to prioritize the results and to define the BEST value for each analyte (e.g. AL_BEST, SI_BEST, etc.). The downhole accumulations of all grades are calculated, and the base of mineralization is determined. Other values are also calculated such as the Density using a regression equation (see Section 11.9.5).
An events table is used to change the status of each hole at all stages as it progresses through the validation process from designed, to drilled, to dispatched, to lab pending, to validated.
The various downhole geological features (LithCode, Seam, Geol Floor, etc.) are all verified spatially, validated by geologists using the vertical position and assays (e.g. Figure 7‑6), and where appropriate metadata (e.g. Status Flag) is added to record the basis of the interpretation.
The required modelling files are exported from the acQuire database by the geostatisticians using queries. The final Mineral Resource models are then imported into the over-arching ArcMap environment for mine planning, and integration with the environmental and other planning protocols.
Figure 9‑1: Visual Display of Hole Status (logged and assayed) for Hole G39150224 in Serpentine (Alcoa, 2021)

|
97 |
|
Alcoa Corporation S-K 1300 Report |
Signature Date: 20 February 2025 SLR Project No.: 123.020514.00001 |
The QP interrogated the data extracted from the acQuire database for two areas (Serpentine and Millars). For these two areas, the count of records in each table is summarized in Table 9‑1.
Table 9‑1: Count of Records by Database Table for Two Database Extracts
Data Type |
Table |
Serpentine |
Millars |
Collars |
tblass |
6,362 |
8,298 |
Surveys |
tblsur |
6,362 |
8,298 |
Assays |
tblass |
59,622 |
70,905 |
REF Assays |
tblassrefs |
611 |
711 |
Lithology |
tblgeoLithology |
69,564 |
82,762 |
Geology Floor |
tblgeoGeolFloor |
69,561 |
82,761 |
Seam |
tblgeoSeam |
69,564 |
82,762 |
Extensive checks were run to validate the integrity. These included searching for duplicate records, downhole gaps¸ interval overlaps, missing collar or survey records, etc.
The following observations were made:
Some calculation and range checks were run that highlighted gaps or anomalies in the scripts used to validate that data before resource estimation:
|
98 |
|
Alcoa Corporation S-K 1300 Report |
Signature Date: 20 February 2025 SLR Project No.: 123.020514.00001 |
The database extracts that were provided proved very robust to scrutiny, except for a small number of anomalies noted, none of which are considered material in view of the vast number of drill holes, assays, and other records.
The QP is of the opinion that the database is adequate, and the data is appropriate for the purpose of Mineral Resource estimation.
|
99 |
|
Alcoa Corporation S-K 1300 Report |
Signature Date: 20 February 2025 SLR Project No.: 123.020514.00001 |
Mineral processing and metallurgical test work samples representing the entirety of the Darling Range operations are not available. However, as an operating mine the resource classification is upgraded to measured well before extraction, with samples and test work conducted as part of these operations to confirm process suitability and compliance defining Reserves. SLR has reviewed the available resource data to confirm that this operating data aligns with the LOM schedule for material to be mined over the next nine years. This material is sourced from four mining regions, representing the various types and styles of mineralization within the Darling Range operations.
It is important to note that there is no upgrading involved in the processing and therefore the processing recovery can be considered above 99% allowing for any losses in production.
The operating data between 2010 to September 2024 for the Willowdale operation and 2010 to September 2024 for the Huntly operations0 indicates that the product from the Darling Range operations consisted of an average AL grade of 33% and average Total SiO₂ grade of 20%. It is important to note that higher grades of SI are potentially deleterious (in that they would increase the refinery cost) but that it has remained below 1.31% throughout the 14 years of operation with the recent increase associated with the reduction in available bauxite stocks in the current mining regions. SLR understands that according to the long term mine plan on an annual basis the Total SiO₂ content marginally increases towards 23% over the next three years, and then for the remainder returns to averages of 22.5%. The SI, on the same basis, remains at or below 1.8% (for the combined mine output) both in the short term and over the remaining period of the next nine years. This means there is no evidence of any problematic deleterious elements present in the Darling Range ore within the next nine years of production.
A summary of the product grades from the Darling Range operations are shown in Table 10‑1, Table 10‑2, and Table 10‑3.
Table 10‑1: Product Grades of Darling Range Operation (Willowdale–Wagerup refinery feed)
Year |
Moisture (%) |
LOI (%) |
Total Al₂O₃ (%) |
Total SiO₂ (%) |
Fe₂O₃ (%) |
TiO₂ (%) |
AL (%) |
SI (%) |
2010 |
8.0 |
22.3 |
38.1 |
21.8 |
17.5 |
1.43 |
32.8 |
1.13 |
2011 |
7.9 |
20.9 |
40.6 |
22.3 |
17.6 |
1.47 |
32.8 |
1.14 |
2012 |
8.0 |
21.0 |
38.1 |
21.1 |
18.1 |
1.58 |
33.0 |
1.16 |
2013 |
7.7 |
21.2 |
36.8 |
18.6 |
19.5 |
1.61 |
32.7 |
1.21 |
2014 |
7.9 |
21.2 |
37.2 |
18.1 |
19.3 |
1.62 |
33.1 |
1.17 |
2015 |
7.5 |
21.5 |
37.0 |
18.0 |
19.0 |
1.72 |
33.2 |
1.11 |
2016 |
7.8 |
21.6 |
37.6 |
16.7 |
20.6 |
1.75 |
33.1 |
1.14 |
2017 |
7.8 |
21.8 |
37.9 |
16.0 |
21.4 |
1.83 |
33.0 |
1.10 |
2018 |
8.0 |
21.6 |
38.3 |
15.9 |
21.3 |
1.88 |
33.0 |
1.13 |
2019 |
7.6 |
21.3 |
37.3 |
16.8 |
21.3 |
1.85 |
32.3 |
1.15 |
2020 |
7.8 |
21.5 |
37.4 |
14.1 |
23.3 |
2.10 |
32.5 |
1.07 |
2021 |
8.3 |
21.5 |
37.5 |
18.0 |
21.0 |
1.73 |
32.4 |
1.06 |
|
100 |
|
Alcoa Corporation S-K 1300 Report |
Signature Date: 20 February 2025 SLR Project No.: 123.020514.00001 |
2022 |
7.8 |
21.1 |
37.5 |
17.9 |
21.3 |
1.85 |
32.3 |
1.02 |
2023 |
7.8 |
20.6 |
36.8 |
18.8 |
21.5 |
1.80 |
31.6 |
1.04 |
2024* |
8.0 |
19.1 |
34.0 |
23.2 |
21.1 |
1.81 |
28.4 |
2.00 |
* Data available to 30 September 2024
Table 10‑2: Product Grades of Darling Range Operations (Huntly–Pinjarra refinery feed)
Year |
Moisture (%) |
LOI (%) |
Total Al₂O₃ (%) |
Total SiO₂ (%) |
Fe₂O₃ (%) |
TiO₂ (%) |
AL (%) |
SI (%) |
2010 |
7.4 |
20.8 |
38.6 |
20.8 |
17.4 |
1.34 |
33.1 |
1.05 |
2011 |
7.8 |
21.0 |
38.8 |
20.0 |
18.0 |
1.41 |
33.0 |
1.04 |
2012 |
8.2 |
21.4 |
39.4 |
20.2 |
17.1 |
1.37 |
33.6 |
1.13 |
2013 |
8.1 |
21.5 |
39.8 |
19.5 |
17.1 |
1.35 |
33.9 |
1.12 |
2014 |
8.2 |
21.5 |
39.6 |
18.6 |
17.7 |
1.45 |
33.8 |
1.16 |
2015 |
8.0 |
21.6 |
39.3 |
19.5 |
17.3 |
1.41 |
33.8 |
1.08 |
2016 |
8.2 |
21.4 |
39.2 |
20.3 |
17.0 |
1.38 |
33.8 |
1.13 |
2017 |
8.3 |
21.3 |
39.3 |
19.6 |
17.5 |
1.42 |
33.9 |
1.11 |
2018 |
8.3 |
21.4 |
39.1 |
19.5 |
17.6 |
1.42 |
33.7 |
1.07 |
2019 |
8.1 |
21.3 |
38.9 |
20.1 |
17.2 |
1.38 |
33.5 |
1.12 |
2020 |
8.4 |
21.4 |
39.1 |
18.4 |
18.6 |
1.52 |
33.5 |
1.20 |
2021 |
8.9 |
21.1 |
38.8 |
19.7 |
18.3 |
1.48 |
33.0 |
1.24 |
2022 |
8.5 |
20.8 |
37.9 |
19.3 |
19.9 |
1.62 |
31.9 |
1.31 |
2023 |
9.1 |
19.7 |
35.6 |
20.0 |
21.9 |
1.84 |
29.6 |
1.64 |
2024* |
9.3 |
18.9 |
33.9 |
22.9 |
20.5 |
1.78 |
28.5 |
2.19 |
* Data available to 30 September 2024
Table 10‑3: Product Grades of Darling Range Operations (Huntly–Kwinana refinery feed)
Year |
Moisture (%) |
LOI (%) |
Total Al₂O₃ (%) |
Total SiO₂ (%) |
Fe₂O₃ (%) |
TiO₂ (%) |
AL (%) |
SI (%) |
2006 |
7.8 |
21.7 |
39.3 |
18.7 |
18.0 |
1.37 |
33.9 |
1.10 |
2007 |
8.0 |
21.6 |
39.2 |
19.5 |
17.6 |
1.33 |
33.7 |
1.11 |
2008 |
7.9 |
21.3 |
39.1 |
20.1 |
17.3 |
1.34 |
33.8 |
1.09 |
2009 |
7.8 |
21.3 |
39.0 |
20.7 |
17.3 |
1.29 |
33.5 |
1.02 |
2010 |
7.5 |
21.4 |
38.6 |
20.8 |
17.4 |
1.26 |
33.1 |
1.04 |
2011 |
7.6 |
21.3 |
38.7 |
20.1 |
18.2 |
1.30 |
32.8 |
1.03 |
2012 |
8.2 |
21.5 |
39.4 |
20.3 |
17.0 |
1.25 |
33.5 |
1.13 |
2013 |
8.1 |
21.8 |
39.8 |
19.5 |
17.1 |
1.26 |
33.9 |
1.11 |
2014 |
8.2 |
22.0 |
39.6 |
18.8 |
17.7 |
1.37 |
33.7 |
1.17 |
2015 |
8.0 |
22.0 |
39.4 |
19.7 |
17.2 |
1.31 |
33.8 |
1.08 |
|
101 |
|
Alcoa Corporation S-K 1300 Report |
Signature Date: 20 February 2025 SLR Project No.: 123.020514.00001 |
2016 |
8.2 |
21.7 |
39.1 |
21.3 |
16.1 |
1.32 |
33.8 |
1.03 |
2017 |
8.3 |
22.2 |
38.9 |
20.6 |
16.5 |
1.34 |
33.8 |
1.03 |
2018 |
8.3 |
22.1 |
38.6 |
20.8 |
16.7 |
1.33 |
33.9 |
1.05 |
2019 |
8.0 |
21.8 |
38.9 |
21.2 |
16.4 |
1.32 |
33.5 |
1.12 |
2020 |
8.4 |
21.7 |
39.1 |
19.8 |
17.6 |
1.44 |
33.5 |
1.16 |
2021 |
8.9 |
21.0 |
38.7 |
20.9 |
17.6 |
1.39 |
33.0 |
1.20 |
2022 |
8.5 |
20.8 |
37.6 |
20.7 |
18.6 |
1.50 |
31.9 |
1.26 |
2023 |
9.1 |
20.0 |
35.8 |
21.2 |
20.6 |
1.76 |
29.6 |
1.61 |
2024* |
8.0 |
19.0 |
34.6 |
24.5 |
19.6 |
1.70 |
28.1 |
2.33 |
* Data available to 30 April 2024
SLR is of the opinion that the Darling Range operation demonstrates that ore can be effectively crushed and supplied to a refinery for further upgrading to produce Alumina. The historical operational data confirms that the ore consistently meets refinery specifications without any deleterious elements. Based on this, and the additional information about the mine plan provided by Alcoa, it is reasonable to assume that the ore from Darling Range can be economically processed for the next nine years.
|
102 |
|
Alcoa Corporation S-K 1300 Report |
Signature Date: 20 February 2025 SLR Project No.: 123.020514.00001 |
The Darling Range resource comprises over 20,000 resource blocks, with a combined area of approximately 10,250 ha, averaging 30 kt of Mineral Resource per block. The lateritic bauxites occur as surficial coverings of limited thickness, typically between 4 m to 8 m, but with significant lateral extent. Historically, resource estimation was by 2D plan-polygonal methods (Polygonal) referred to by Alcoa informally as the ResTag procedure. More recently, resource estimation by Alcoa has evolved to include gridded seam (GSM) and 3D block (3DBM) models using geostatistical techniques. Mineral Resource estimates based on GSM and 3DBM models (and some Polygonal models) consider practical mining constraints.
The delineation of Mineral Resources using 3D methods has focused on well drilled areas that fall within the nine-year mine plan. Approximately 82% of the total tonnage, including Mineral Resources and Mineral Reserves (MRMR), of the Darling Range project is already in 3D block models. GSM models were typically constructed in areas with 15 m spaced drilling, which comprises 10 models. Approximately 34% of the Mineral Resources are based on Polygonal (ResTag) estimates which are mostly located in areas of wider-spaced (30 m and 60 m) drilling and are of lower confidence. All new resource updates employ the 3DBM methods irrespective of drill hole spacing.
Figure 11‑1 illustrates the tonnages and number of models for each model type that are being discussed in this section.
Figure 11‑1: Circle Charts Showing the Tonnage in Mt (external circle) and Number of Models (internal Circle) and Bar Charts Showing the Tonnage by Mineral Resource Categories
|
|
103 |
|
Alcoa Corporation S-K 1300 Report |
Signature Date: 20 February 2025 SLR Project No.: 123.020514.00001 |
|
|
Charts on the top refer to all the tonnage of the Darling Range project, and on the bottom to the exclusive Mineral Resources
Mineral Resource estimation was carried out by Alcoa and resources are defined for 92 sheets in 70 mining regions. There are 13,467 discrete zones of mineralization that comprise the resource, each split vertically into 4 domains for which 11 elements were estimated. SLR carried out audits on representative models selected in conjunction with Alcoa and comprising:
The models audited were:
The audit process by SLR comprised examination of the procedures used by Alcoa, independent review, discussion with staff, and normal validation checks (e.g., global statistics, swath plots, visual examination, and change of support analysis). M23 and H12 were the focus of the 2023 work, while R25 and R22 were reviewed in detail in the previous years.
The process used by Alcoa involves an integrated approach to data collection, bauxite delineation, and production planning aimed at the provision of feedstock that meets the requirements of the local alumina refineries.
For all 3 estimation methods drill holes were flagged with geological units using multi-pass geochemical scripts that included thickness constraints. The GSM flagging process incorporated some additional mining constraints. Geological interpretations in both 2D and 3D were constructed with the flagged drill hole composite data, which constrain the spatial estimation of bauxite mineralization. Subsequent to block grade estimation, mining constraints are applied to the 3DBM models to restrict Mineral Resources to areas of potentially economic bauxite mineralization.
|
104 |
|
Alcoa Corporation S-K 1300 Report |
Signature Date: 20 February 2025 SLR Project No.: 123.020514.00001 |
AL, SI, FE, ST, PT, OX, EO, CO, and SU are estimated for all models, but only AL and SI are reported for the Mineral Resource. GSM uses inverse distance weighting methods to assign grades to the bauxite profile, and 3DBMs rely on ordinary kriging block grade estimates. Validation methods differ slightly for the different model types, but all models are reported by Alcoa to validate well against the input drill hole data.
Mineral Resources have been classified in accordance with the definitions for Mineral Resources in S-K 1300, which are consistent with Australasian JORC Code (2012) and Canadian Institute of Mining Metallurgy and Petroleum (CIM) (2014) definitions in NI 43-101 and are determined primarily on drill hole spacing. Models constructed primarily with pre-2010 drill holes are downgraded as this information is considered to be of lower confidence.
Mineral Resource estimates exclusive of Mineral Reserves Darling Range deposit are shown in Table 11‑1, and include a 5% reduction factor in tonnage, based on the results of annual reconciliations (see discussion on density in Section 11.14).
Table 11‑1: Summary of Darling Range Mineral Resources exclusive of Mineral Reserves – 31 December 2024
Category |
Tonnage (Mt) |
AL (%) |
SI (%) |
Measured |
139.6 |
30.4 |
1.77 |
Indicated |
48.7 |
30.3 |
1.42 |
Measured + Indicated |
188.4 |
30.4 |
1.68 |
Inferred |
101.4 |
32.4 |
1.20 |
Notes:
A comparison of the current Alcoa Mineral Resource estimate, exclusive of Mineral Reserves, to the previous 2023 Mineral Resource estimate is presented in Table 11‑2.
Overall, the Measured and Indicated resources decreased 10.1 Mt (-5%), from 198.4 to 188.4 Mt, while the Inferred resource decreased 5.5 Mt (-5%), from 106.9 to 101.4 Mt.
The decreases are primarily due to the following changes:
|
105 |
|
Alcoa Corporation S-K 1300 Report |
Signature Date: 20 February 2025 SLR Project No.: 123.020514.00001 |
Partially offset by:
|
106 |
|
Alcoa Corporation S-K 1300 Report |
Signature Date: 20 February 2025 SLR Project No.: 123.020514.00001 |
Table 11‑2: Comparison with Previous Mineral Resource Estimates
Category |
Mine |
2024 Mineral Resource |
2023 Mineral Resource |
Difference (%) |
||||||
Tonnage (Mt) |
AL (%) |
SI (%) |
Tonnage (Mt) |
AL (%) |
SI (%) |
Tonnage |
AL |
SI |
||
Measured |
Huntly |
106.1 |
30.4 |
1.89 |
51.5 |
30.5 |
1.62 |
106% |
0% |
17% |
North |
0.0 |
0.0 |
0.00 |
0.0 |
0.0 |
0.00 |
--- |
--- |
--- |
|
Willowdale |
33.5 |
30.4 |
1.39 |
41.5 |
30.4 |
1.39 |
-19% |
0% |
0% |
|
Sub-total |
139.6 |
30.4 |
1.8 |
93.0 |
30.4 |
1.52 |
50% |
0% |
17% |
|
Indicated |
Huntly |
40.7 |
30.3 |
1.46 |
66.3 |
31.0 |
1.50 |
-39% |
-2% |
-2% |
North |
0.8 |
32.3 |
1.38 |
0.8 |
32.3 |
1.38 |
0% |
0% |
0% |
|
Willowdale |
7.2 |
29.9 |
1.16 |
38.3 |
30.4 |
1.05 |
-81% |
-2% |
10% |
|
Sub-total |
48.7 |
30.3 |
1.42 |
105.4 |
30.8 |
1.34 |
-54% |
-1% |
6% |
|
Measured + Indicated |
Huntly |
146.9 |
30.4 |
1.8 |
117.7 |
30.8 |
1.55 |
25% |
-1% |
14% |
North |
0.8 |
32.3 |
1.38 |
0.8 |
32.3 |
1.38 |
0% |
0% |
0% |
|
Willowdale |
40.7 |
30.3 |
1.35 |
79.8 |
30.4 |
1.23 |
-49% |
0% |
10% |
|
Sub-total |
188.4 |
30.4 |
1.68 |
198.4 |
30.6 |
1.42 |
-5% |
-1% |
18% |
|
Inferred |
Huntly |
9.0 |
35.7 |
1.25 |
11.2 |
34.4 |
1.35 |
-19% |
4% |
-8% |
North |
15.1 |
31.6 |
1.00 |
15.1 |
31.6 |
1.00 |
0% |
0% |
0% |
|
Willowdale |
77.3 |
32.2 |
1.24 |
80.6 |
32.2 |
1.24 |
-4% |
0% |
0% |
|
Sub-total |
101.4 |
32.4 |
1.2 |
106.9 |
32.3 |
1.22 |
-5% |
0% |
-1% |
|
|
107 |
|
Alcoa Corporation S-K 1300 Report |
Signature Date: 20 February 2025 SLR Project No.: 123.020514.00001 |
Drill hole collar, survey, and assay data are exported from the acQuire database for resource estimation.
Data exports from acQuire currently utilize Python scripts and the Spyder open-source plugin for validation and initial processing, including:
The output is a set of CSV files for collar, survey, assay, and geology. The assay file contains a series of variables, including grades, cumulative grades, and historical domaining fields that are no longer used for the current geological modelling methodology. Table 11‑3 shows the variables available in the assay output file.
|
108 |
|
Alcoa Corporation S-K 1300 Report |
Signature Date: 20 February 2025 SLR Project No.: 123.020514.00001 |
Table 11‑3: Variables in the assay table
Variable |
Description |
Variable |
Description |
Hole ID |
Drill hole identification |
Cumulatives Date |
Date Cumulatives script was run |
Project |
Mining region |
BO_BEST |
Final bohemite AlO(OH) assay - based on DB priority, generally REF first then FTIR |
Sample ID |
Sample identification |
AL_BEST |
Final available alumina (AL) assay |
From |
Beginning of the sample |
EO_BEST |
Final extractable organic carbon (C) assay |
To |
End of the sample |
FE_BEST |
Final Fe2O3 assay |
Seam |
Profile unit - derived from logging. CAP from logged Cap depth then FRI derived from set of rules that determine the first clay sample beneath it |
MS_BEST |
Final magnetic susceptibility assay |
Storage Status |
Information of the sample's storage |
OX_BEST |
Final oxalate (NaC2O4) assay |
Cumulative Density |
Downhole cumulative density calculated in DB from top of CAP |
CO_BEST |
Final carbonate assay |
Cumul_AL |
Downhole cumulative AL calculated in DB from top of CAP |
SU_BEST |
Final sulphate (Na2SO4) assay |
Cumul_AT |
Downhole cumulative AT calculated in DB from top of CAP |
PT_BEST |
Final total phosphorus (P2O5) assay |
Cumul_BO |
Downhole cumulative BO calculated in DB from top of CAP |
SI_BEST |
Final reactive silica (SI) assay |
Cumul_CO |
Downhole cumulative CO calculated in DB from top of CAP |
ST_BEST |
Final total silica (SiO2) assay |
Cumul_EO |
Downhole cumulative EO calculated in DB from top of CAP |
AT_BEST |
Final total alumina (Al2O3) assay |
Cumul_FE |
Downhole cumulative FE calculated in DB from top of CAP |
Density |
Density - calculated and stored as an assay - FE based algorithm for CAP otherwise 2. but are consistent with the values used other than for OVB and CLY |
|
109 |
|
Alcoa Corporation S-K 1300 Report |
Signature Date: 20 February 2025 SLR Project No.: 123.020514.00001 |
Cumul_MS |
Downhole cumulative MS calculated in DB from top of CAP |
DOM1 |
Levels of domain coding - Historical fields no longer used |
Cumul_OX |
Downhole cumulative OX calculated in DB from top of CAP |
DOM2 |
|
Cumul_PT |
Downhole cumulative PT calculated in DB from top of CAP |
DOM3 |
|
Cumul_SI |
Downhole cumulative SI calculated in DB from top of CAP |
DOM4 |
|
Cumul_ST |
Downhole cumulative ST calculated in DB from top of CAP |
DOM5 |
|
Cumul_SU |
Downhole cumulative SU calculated in DB from top of CAP |
DOM6 |
|
Cumulatives By |
Whoever ran the script to calculate Cumulatives |
|
|
|
110 |
|
Alcoa Corporation S-K 1300 Report |
Signature Date: 20 February 2025 SLR Project No.: 123.020514.00001 |
The validation checks have been implemented progressively over time as drill hole data for some project areas includes some samples where AL exceeds AT and SI exceeds ST.
Other than collar elevation adjustments, no further data transformations are applied prior to resource estimation.
A summary of the drillhole database is outlined in Figure 7‑1.
Due to the large lateral extension of the project, SLR randomly selected two areas to be illustrated and detailed in the report, these being MYN-M23 (M23) and HLY-H12 (H12). Figure 11‑2 illustrates the drilling in the M23 and H12 areas; Figure 11‑3 and Figure 11‑4 location of the M23 and H12 areas, respectively.
|
111 |
|
Alcoa Corporation S-K 1300 Report |
Signature Date: 20 February 2025 SLR Project No.: 123.020514.00001 |
Figure 11‑2: M23 and H12 area delimitation and drilling. The different colours represent the assay method used for each drilling phase

|
112 |
|
Alcoa Corporation S-K 1300 Report |
Signature Date: 20 February 2025 SLR Project No.: 123.020514.00001 |
Figure 11‑3: Location of the M23 Resource Model Area (MYN-M23)

|
113 |
|
Alcoa Corporation S-K 1300 Report |
Signature Date: 20 February 2025 SLR Project No.: 123.020514.00001 |
Figure 11‑4: Location of the H12 Resource Model Area (HLY-H12)

|
114 |
|
Alcoa Corporation S-K 1300 Report |
Signature Date: 20 February 2025 SLR Project No.: 123.020514.00001 |
Digital elevations models (DEMs) were generated from (in order of priority) drill collar survey data, LiDAR survey data, and Landgate satellite data. A 7.5 m by 7.5 m mesh is used for the DEMs. Drill hole collar elevations were registered to the DEM for resource estimation.
For Polygonal resource estimates, grade-based ‘geological’ codes are assigned to drill hole intervals. These codes are used to define the top and bottom of the ‘bauxite’ horizon in each hole, which is then used to estimate the bauxite volumes and average grades within polygons.
The top of the bauxite usually coincides with the base of the overburden, as defined in the drillers’ logs. The base of the Bauxite Zone (termed the geological floor) is defined within the acQuire database using a multi-pass script that applies the following hierarchical set of rules to the sample grades:
Pass 1:
Pass 2:
|
115 |
|
Alcoa Corporation S-K 1300 Report |
Signature Date: 20 February 2025 SLR Project No.: 123.020514.00001 |
Pass 3:
Pass 4:
The application of these rules assigns a geological floor depth to each hole, along with a Pass, Pass-Open, Marginal, or Fail flag. Holes flagged as Marginal or Fail are inspected by Alcoa staff members, with manual adjustments applied if warranted. For areas infilled to 15 m spaced holes, the geological floor model is replaced by a mining floor model, which is discussed in the following section.
Results of geological floor flagging are used to subjectively define the lateral extents of the Mineral Resource. Outlines are manually interpreted by Alcoa geologists in ArcGIS or MineSight, and are guided by consistency in thickness, depth, and grade, minimum limits on the number of enclosed samples and the enclosed area, and local geomorphology. The polygons delineate separate areas that typically range in size from 10 ha to 100 ha, with most being around 30 ha. An example plan view is shown below in Figure 11‑5.
|
116 |
|
Alcoa Corporation S-K 1300 Report |
Signature Date: 20 February 2025 SLR Project No.: 123.020514.00001 |
Figure 11‑5: Plan View of Polygonal Approach (Pass = red, pass open = green, marginal = yellow, fail = blue) (Alcoa, 2022)

GSM models are located in areas of 15 m spaced infill drilling and include practical mining constraints as part of the ‘geological’ interpretation used for resource models.
The base of overburden and the base of caprock is identified in each drill hole as 3D points and wireframed as surfaces. The geological bauxite zone floor, which is defined for the wider drill spacings used for Polygonal estimates, is replaced by a mining floor for GSMs. The mining floor is interpreted directly from the drill hole data presented on the 15 m spaced east-west cross sections, digitized in MineSight as strings, then linked to form wireframe surfaces.
The interpretation of the mining floor is a manual process performed by the site geologist, with the objective of achieving acceptable grades and practical mining outlines. The mining floors are defined using a set of guidelines instead of prescribed rules, including:
|
117 |
|
Alcoa Corporation S-K 1300 Report |
Signature Date: 20 February 2025 SLR Project No.: 123.020514.00001 |
The base of overburden and mining floor surfaces are used to flag the drill hole samples. For each drill hole, the samples located below the base of the overburden and above the mining floor are composited into a single interval, with composite grades length- and density-weighted. Additional drill hole composites are generated for second and third pass mining floors.
The composite data are examined in plan view, and polygons are digitized around the interpreted lateral extents of the mining zones using the following guidelines:
The resulting polygons are divided into typically smaller ‘mining’ blocks that each contain approximately 20 kt to 40 kt of Mineral Resource.
Similar to the Polygon and GSM interpretation approaches, a set of rules written in Python scripts are used to assign initial domain codes to individual samples. These domain codes are then modified in several subsequent passes that take into account the grades and coding of other intervals in the hole.
The initial script is used to assign a domain code to each interval based on various combinations of major analyte threshold grades. A total of six main material type domains (DOMAF) are defined:
Figure 11‑6 illustrates an example of those domains in the M23 and H12 areas. Each of these material types (apart from overburden) is divided into up to five grade-based sub-domains. Three subsequent coding passes are conducted that iteratively adjust the codes to combine the sub-domain into the six main domains while ensuring that strict stratigraphic ordering is maintained. A further two passes are coded to assign domain codes that denote whether the material is derived from granite or dolerite.
|
118 |
|
Alcoa Corporation S-K 1300 Report |
Signature Date: 20 February 2025 SLR Project No.: 123.020514.00001 |
Figure 11‑6: Section Showing Domain (DOMAF) and the Main Wireframed Surfaces for the M23 (top) and H12 (bottom) areas– vertical scale 5x

Source: SLR, 2023
The base of each Domain is generated on a 7.5 m by 7.5 m grid using an automated modelling process. To ensure a better fit of the wireframes, the elevation of some collars was adjusted to match the topography surface. Where drill holes do not penetrate the full bauxite profile or the domain contact is not properly defined due to missing assays, a conditional simulation algorithm is used to estimate the domain thickness from adjacent drill holes. The simulation algorithm employs a general variogram and selects the average of 10 simulations for the missing data point. The grid mesh is then wireframed in MineSight to provide 3D surfaces. The base of domain 50 (clay) is set at 10 m below the top of that domain.
Potential dolerite dyke intervals are flagged for samples where FE exceeds 25% and ST is below 10%, and the entire hole is flagged as potential dyke if 3 or more samples are flagged in this manner. The interpretation of dykes is carried out manually using local orientation trends and may be based on one or more holes. They are assumed to be vertical, are extended laterally half-way between drill holes, and can represent up to 15% of material in some areas but unweathered material can generally be screened out in the pit or prior to crushing as oversize boulders. The dykes tend to be well defined only when drill hole spacings are reduced to 15 m by 15 m, as shown in Figure 11‑7.
|
119 |
|
Alcoa Corporation S-K 1300 Report |
Signature Date: 20 February 2025 SLR Project No.: 123.020514.00001 |
Figure 11‑7: Plan View of Bauxite Zone and Drill Holes Flagged as Laterite and Dykes

Source: SLR, 2023
The dolerite dykes are delineated and flagged in the block models. A lateral boundary is interpreted to constrain the resource model, and the 3D surfaces are extended where required. The lateral boundary, domain surfaces, and dolerite dyke interpretations are converted to wireframe solids. All the constraints where mining is not allowed (federal reserves, indigenous heritage sites, and rivers and protection buffers associated) are delimitated and removed after the geological modelling step. This way all the mineable reminiscent area is included in the final orebody perimeters.
The statistical data analysis procedures are carried out in DeepLime and Supervisor. Usually, the statistical analysis is performed using the univariate approach, however, FTIR and ICP scatter plots are also analyzed.
Global statistics by lithology and histograms are created for the statistical population assessment, validation after compositing and for checks against the resulting resource models. For the purposes of this report, a more detailed focus will be given for the caprock bauxite, bauxite and low-grade bauxite layers, as well as the main variables; AL, AT, FE, SI and ST.
Histograms show that AL analytes have distributions that are close to normal, while SI and FE are moderately to strongly positively skewed, as shown in Figure 11‑8.
|
120 |
|
Alcoa Corporation S-K 1300 Report |
Signature Date: 20 February 2025 SLR Project No.: 123.020514.00001 |
Figure 11‑8: Histograms for AL, SI, FE and Length in the bauxite domain (M23 and H12 areas)
|
|
|
|
The descriptive statistics from the histograms of Figure 11‑8 for the bauxite layer, as well as for the caprock bauxite and low-grade bauxite are shown in Table 11‑4.
Table 11‑4: Descriptive Statistics for the Main Variables
Lithology |
Variable |
Count |
Length |
Mean |
SD |
Variance |
Minimum |
Q25 |
Q50 |
Q75 |
Maximum |
M23 Area |
|||||||||||
Caprock Bauxite |
AL (%) |
5,226 |
2,613.0 |
26.83 |
3.96 |
15.72 |
7.75 |
24.57 |
26.47 |
29.25 |
54.73 |
AT (%) |
5,226 |
2,613.0 |
35.35 |
4.32 |
18.65 |
15.30 |
32.55 |
35.34 |
38.05 |
61.36 |
|
FE (%) |
5,226 |
2,613.0 |
33.13 |
7.85 |
61.69 |
0.25 |
30.46 |
33.73 |
37.68 |
59.65 |
|
SI (%) |
5,226 |
2,613.0 |
1.66 |
1.76 |
3.09 |
0.10 |
0.56 |
1.02 |
2.06 |
19.45 |
|
ST (%) |
5,226 |
2,613.0 |
9.32 |
8.13 |
66.04 |
0.25 |
3.96 |
7.07 |
11.61 |
64.66 |
|
Length (m) |
5,226 |
2,613.0 |
0.50 |
0.00 |
0.00 |
0.50 |
0.50 |
0.50 |
0.50 |
0.50 |
|
Bauxite |
AL (%) |
44,460 |
22,230.0 |
34.87 |
6.13 |
37.53 |
0.10 |
30.39 |
34.56 |
39.00 |
55.00 |
AT (%) |
44,460 |
22,230.0 |
39.78 |
5.95 |
35.38 |
11.65 |
35.75 |
40.03 |
43.89 |
64.90 |
|
FE (%) |
44,460 |
22,230.0 |
12.50 |
7.89 |
62.24 |
0.25 |
6.39 |
10.49 |
17.12 |
57.66 |
|
SI (%) |
44,460 |
22,230.0 |
1.30 |
0.96 |
0.93 |
0.10 |
0.64 |
1.03 |
1.70 |
20.10 |
|
ST (%) |
44,460 |
22,230.0 |
24.57 |
12.67 |
160.41 |
0.25 |
14.86 |
22.43 |
33.82 |
80.17 |
|
Length (m) |
44,460 |
22,230.0 |
0.50 |
0.00 |
0.00 |
0.50 |
0.50 |
0.50 |
0.50 |
0.50 |
|
Low-grade Bauxite |
AL (%) |
21,007 |
10,503.5 |
24.59 |
4.89 |
23.89 |
0.10 |
21.71 |
24.29 |
26.69 |
53.94 |
AT (%) |
21,007 |
10,503.5 |
31.63 |
5.89 |
34.64 |
6.09 |
27.54 |
30.90 |
35.37 |
62.25 |
|
FE (%) |
21,007 |
10,503.5 |
12.44 |
10.73 |
115.05 |
0.25 |
4.60 |
7.94 |
17.87 |
75.58 |
|
SI (%) |
21,007 |
10,503.5 |
4.11 |
2.98 |
8.88 |
0.10 |
2.06 |
3.57 |
5.26 |
35.71 |
|
|
121 |
|
Alcoa Corporation S-K 1300 Report |
Signature Date: 20 February 2025 SLR Project No.: 123.020514.00001 |
|
ST (%) |
21,007 |
10,503.5 |
37.35 |
16.81 |
282.48 |
0.25 |
24.50 |
42.05 |
50.74 |
82.62 |
Length (m) |
21,007 |
10,503.5 |
0.50 |
0.00 |
0.00 |
0.50 |
0.50 |
0.50 |
0.50 |
0.50 |
|
H12 Area |
|||||||||||
Caprock Bauxite |
AL (%) |
2,734 |
1,367.0 |
26.92 |
4.22 |
17.82 |
10.63 |
24.46 |
26.54 |
29.43 |
41.38 |
AT (%) |
2,306 |
1,153.0 |
34.79 |
4.12 |
16.95 |
19.41 |
32.20 |
34.85 |
37.34 |
50.27 |
|
FE (%) |
2,734 |
1,367.0 |
33.78 |
7.82 |
61.10 |
1.52 |
30.73 |
34.18 |
38.20 |
64.01 |
|
SI (%) |
2,734 |
1,367.0 |
1.61 |
1.77 |
3.14 |
0.10 |
0.54 |
0.94 |
1.92 |
16.28 |
|
ST (%) |
2,734 |
1,367.0 |
9.07 |
8.40 |
70.56 |
0.25 |
3.77 |
6.29 |
10.99 |
57.78 |
|
Length (m) |
2,981 |
1,490.5 |
0.50 |
0.00 |
0.00 |
0.50 |
0.50 |
0.50 |
0.50 |
0.50 |
|
Bauxite |
AL (%) |
12,287 |
6,143.2 |
33.76 |
5.78 |
33.43 |
2.03 |
29.61 |
33.19 |
37.51 |
55.00 |
AT (%) |
10,651 |
5,325.2 |
38.22 |
5.54 |
30.73 |
15.54 |
34.53 |
38.23 |
42.00 |
67.96 |
|
FE (%) |
12,287 |
6,143.2 |
13.19 |
8.62 |
74.23 |
0.25 |
6.41 |
10.69 |
18.58 |
55.79 |
|
SI (%) |
12,287 |
6,143.2 |
1.30 |
0.99 |
0.97 |
0.10 |
0.61 |
1.02 |
1.70 |
14.71 |
|
ST (%) |
12,287 |
6,143.2 |
25.85 |
13.04 |
170.08 |
0.25 |
16.08 |
25.25 |
35.72 |
70.09 |
|
Length (m) |
14,275 |
7,137.2 |
0.50 |
0.00 |
0.00 |
0.20 |
0.50 |
0.50 |
0.50 |
0.50 |
|
Low-grade Bauxite |
AL (%) |
8,489 |
4,244.5 |
24.40 |
4.95 |
24.54 |
0.10 |
21.50 |
24.23 |
26.79 |
48.61 |
AT (%) |
7,562 |
3,781.0 |
31.77 |
5.68 |
32.29 |
3.28 |
27.82 |
31.27 |
35.44 |
57.73 |
|
FE (%) |
8,489 |
4,244.5 |
14.11 |
11.25 |
126.51 |
0.25 |
5.16 |
9.72 |
22.13 |
64.77 |
|
SI (%) |
8,489 |
4,244.5 |
4.28 |
3.42 |
11.69 |
0.10 |
1.92 |
3.50 |
5.49 |
28.69 |
|
ST (%) |
8,489 |
4,244.5 |
34.83 |
17.14 |
293.95 |
0.25 |
19.83 |
38.84 |
48.83 |
79.03 |
|
Length (m) |
9,600 |
4,800.0 |
0.50 |
0.00 |
0.00 |
0.50 |
0.50 |
0.50 |
0.50 |
0.50 |
|
Clear grade trends at depth exist for most analytes and are consistent with the mineralization style. They have been adequately accounted for by the geological interpretation and the use of unfolding methods during block grade estimation.
Figure 11‑9 illustrates the compositions of the different layers according to AL, SI and FE proportions.
Figure 11‑9: Ternary Charts of Lithologies for M23 and H12 Areas
|
|
Missing values, that are mostly result of the validation routines, are kept as null in the database, as well as results below the detection limit are changed to values that are half of the detection limit.
|
122 |
|
Alcoa Corporation S-K 1300 Report |
Signature Date: 20 February 2025 SLR Project No.: 123.020514.00001 |
High-grade caps for all analytes were applied to individual composites by Alcoa on a domain-by-domain basis following inspection of the data distribution, and no high-grade spatial restrictions were used by Alcoa in the resource estimation process. SLR QP notes that the top-cuts of areas M23 and H12, are in the upper break of the probability plots. Table 11‑5 shows the top-cuts used for the M23 and H12 areas.
Table 11‑5: Top-Cuts Used for the M23 and H12 Areas
Area |
Lithology |
AL |
AT |
FE |
SI |
ST |
BO |
EO |
OX |
PT |
CO |
SU |
M23 |
Caprock Bauxite |
48.44 |
70 |
80 |
12.86 |
56.98 |
8.89 |
9.89 |
15 |
0.248 |
11.9 |
15 |
Bauxite |
55 |
70 |
80 |
13.39 |
69.35 |
9.02 |
8.84 |
9.29 |
0.351 |
10.17 |
7.94 |
|
Low-Grade Bauxite |
55 |
70 |
63.21 |
24.82 |
95 |
6.18 |
9.97 |
8.32 |
1 |
9.6 |
15 |
|
H12 |
Caprock Bauxite |
55 |
70 |
80 |
49.063 |
95.26 |
15 |
15 |
15 |
1 |
34 |
15 |
Bauxite |
55 |
70 |
80 |
49.063 |
95.26 |
15 |
15 |
15 |
1 |
34 |
15 |
|
Low-Grade Bauxite |
55 |
70 |
80 |
49.063 |
95.26 |
15 |
15 |
15 |
1 |
34 |
15 |
Drill holes were sampled at 0.5 m intervals in the bauxite zone below the base of the overburden, with residual intervals sometimes present at domain contacts. The Polygon and GSM estimation approaches used the original drill hole data intervals. Prior to the interpretation of geological surfaces, holes used in the 3DBM resource estimates were composited to 0.5 m, and with residual intervals of maximum 50% the composite length, the total length ranges between 0.25 m and 0.75 m.
Following the interpretation of geological surfaces, drill holes used for Polygonal and GSM resource models were composited to:
All grade compositing for drill holes employs length-weighted linear averages.
Only some variogram analysis was carried out for Polygonal and GSM models as variogram parameters were not required to generate the resource models.
For the 3DBMs, variogram analysis is routine. Experimental variograms are calculated in unfolded space, with bauxite domains 20, 30 and 40 unfolded to the 10/20 domain contact and the clay domain (50) unfolded to the 40/50 domain contact.
Variograms are calculated for AL, SI, ST, and FE for the bauxite zone, standardized to a sill of one, and modelled with 3-structure spherical models, as described in Table 11‑6 and Table 11‑7. A single variogram model that provides the best fit to these four variables was selected.
|
123 |
|
Alcoa Corporation S-K 1300 Report |
Signature Date: 20 February 2025 SLR Project No.: 123.020514.00001 |
Table 11‑6: Variogram parameters for the M23 area (MineSight ZXY rotation)
Parameter |
M23 |
||||
Domain |
Domain 20,30,40 |
||||
Domain Name |
Caprock Bauxite, Bauxite, and Low-Grade Bauxite |
||||
Element |
AL |
SI |
FE |
ST |
Combined Variogram |
Nugget C0 |
0.07 |
0.04 |
0.03 |
0.01 |
0.04 |
First Structure C1 |
0.64 |
0.51 |
0.5 |
0.64 |
0.6 |
Structure Type |
Spherical |
Spherical |
Spherical |
Spherical |
Spherical |
Range 1 |
35 |
60 |
45 |
45 |
45 |
Range 2 |
20 |
50 |
40 |
40 |
40 |
Range 3 |
3 |
3 |
6 |
6 |
5 |
Second Structure C2 |
0.14 |
0.15 |
0.23 |
0.21 |
0.16 |
Structure Type |
Spherical |
Spherical |
Spherical |
Spherical |
Spherical |
Range 1 |
55 |
100 |
120 |
105 |
85 |
Range 2 |
40 |
80 |
115 |
100 |
75 |
Range 3 |
4 |
6 |
7 |
7 |
6 |
Third Structure C3 |
0.15 |
0.3 |
0.24 |
0.14 |
0.2 |
Structure Type |
Spherical |
Spherical |
Spherical |
Spherical |
Spherical |
Range 1 |
120 |
250 |
285 |
315 |
200 |
Range 2 |
95 |
185 |
155 |
190 |
150 |
Range 3 |
5 |
7 |
10 |
8 |
7 |
Rotation Strike (o)(1) |
140 |
140 |
140 |
140 |
140 |
Rotation Plunge (o)(2) |
0 |
0 |
0 |
0 |
0 |
Rotation Dip (o)(3) |
0 |
0 |
0 |
0 |
0 |
Table 11‑7: Variogram parameters for the H12 area (MineSight ZXY rotation)
Parameter |
H12 |
||||
Domain |
Domain 20,30,40 |
||||
Domain Name |
Caprock Bauxite, Bauxite, and Low-Grade Bauxite |
||||
Element |
AL |
SI |
FE |
ST |
Combined Variogram |
Nugget C0 |
0.1 |
0.09 |
0.1 |
0.04 |
0.1 |
First Structure C1 |
0.52 |
0.54 |
0.59 |
0.61 |
0.56 |
Structure Type |
Spherical |
Spherical |
Spherical |
Spherical |
Spherical |
Range 1 |
90 |
95 |
80 |
100 |
90 |
Range 2 |
70 |
80 |
80 |
90 |
80 |
Range 3 |
4 |
4 |
4 |
4 |
4 |
Second Structure C2 |
0.34 |
0.12 |
0.05 |
0.15 |
0.15 |
Structure Type |
Spherical |
Spherical |
Spherical |
Spherical |
Spherical |
Range 1 |
200 |
230 |
200 |
250 |
220 |
|
124 |
|
Alcoa Corporation S-K 1300 Report |
Signature Date: 20 February 2025 SLR Project No.: 123.020514.00001 |
Range 2 |
150 |
150 |
150 |
220 |
170 |
Range 3 |
5 |
5 |
6 |
6 |
6 |
Third Structure C3 |
0.04 |
0.25 |
0.26 |
0.2 |
0.19 |
Structure Type |
Spherical |
Spherical |
Spherical |
Spherical |
Spherical |
Range 1 |
500 |
500 |
600 |
800 |
550 |
Range 2 |
400 |
500 |
400 |
700 |
500 |
Range 3 |
6 |
6 |
7 |
7 |
7 |
Rotation Strike (o)(1) |
120 |
130 |
130 |
120 |
125 |
Rotation Plunge (o)(2) |
0 |
0 |
0 |
0 |
0 |
Rotation Dip (o)(3) |
0 |
0 |
0 |
0 |
0 |
Variogram models display nugget values of less than 10% and total ranges of several hundred meters, but 80% of the sill is generally reached within 100 m laterally. As expected, horizontal to vertical anisotropy ratios are high (typically exceeding 50:1), but there is minor lateral anisotropy. This good definition of continuity compared to the 15 m drill spacing is considered by SLR to be a benefit of the unfolding approach.
Independent variogram models for each bauxite domain and analyte are not used for grade estimation to enable correlations between analytes to be maintained during the change in support from drill hole samples to blocks, which is important for mine planning considerations.
For Mineral Resource estimation purposes, density can be regarded as another analyte, and tests can be evaluated for repeatability (precision) and accuracy (bias). The determination of the metal content of a specified volume of ore is as sensitive for density as it is for grade. For bulk commodities, like bauxite, there is usually much more emphasis on grade since product tonnages are measured by a weightometer.
Alcoa does not routinely collect density data but relies on production records to define averages. This is due to the broad geological consistency of the ore zones and the local chemical and physical nature of the lateritized ore. Porosity and permeability in particular show high lateral and vertical variability, rendering repeatability of density test work meaningless. Even if large numbers of data points were available (for example by developing a density algorithm from the FTIR assaying of every drill sample, and then modelling it), the resulting model would still need to be factored by the actual mining results for local porosity.
For 3DBM resource estimation, each drill hole bauxite composite is assigned a dry in situ bulk density (DIBD) value based on the logged material type and the FTIR iron grade using the regression equation defined below in Section 11.9.5.
The available density test work data is summarized as follows.
Senini (1993) collated and reviewed all previous bauxite density data, including that by Sadleir done in 1986, and modified Sadleir’s algorithm used for computation of density from individual 0.5 m sample assays of Fe2O3. Results are summarized in Table 11‑8.
|
125 |
|
Alcoa Corporation S-K 1300 Report |
Signature Date: 20 February 2025 SLR Project No.: 123.020514.00001 |
Table 11‑8: Summary of Density Test Data (t/m³) from 1980 to 1992 (Senini, 1993)
Year |
Source |
Material |
Count |
Mean |
Min |
Max |
Fe Mean |
Regression On Fe₂O₃ |
|
Slope |
Intercept |
||||||||
1980 |
DOSCO |
Hardcap |
18 |
2.200 |
1.98 |
2.52 |
19.35 |
0.0089 |
2.032 |
1986 |
Sadleir |
Hardcap |
14 |
2.364 |
2.08 |
2.75 |
20.88 |
0.0092 |
2.172 |
1992 |
Senini |
Hardcap |
67 |
2.409 |
1.81 |
3.10 |
21.00 |
0.0103 |
2.192 |
1986 |
Sadleir |
Friable |
11 |
1.846 |
1.64 |
2.12 |
8.80 |
0.0015 |
1.830 |
1992 |
Senini |
Friable |
27 |
2.225 |
1.88 |
2.79 |
14.30 |
0.0045 |
2.–89 |
1980 - 1992 |
reported above |
Granitic |
67 |
2.327 |
1.81 |
3.10 |
16.7– |
|
|
1980 - 1992 |
reported above |
Doleritic |
32 |
2.444 |
2.07 |
2.96 |
28.96 |
|
|
While the approach used has merit, there are some obvious challenges:
The differences between hardcap (caprock) and friable (other material) and between granitic or doleritic derivation are however clear.
Senini (1993) concluded that the dry in situ bulk density (DIBD) should be estimated using a regression equation which is still used.
Various further test programs have been attempted including collection of all material from drill samples (assuming the drill hole volume is constant) and then taking wet and dry weights and assaying for iron. There were 51 samples from 8 holes at Huntly and 93 samples from 24 holes at Willowdale. Scatter plots produced by SRK 2021a showed significant scatter of all available data for both Hardcap and Friable (other) material.
Alcoa collected 2 kg to 5 kg grab samples from 16 Huntly pits (76 samples) and 10 Willowdale pits (41 samples). Water immersion density testing was done by Bureau Veritas. The average of 2.01 t/m³ is significantly lower than that from the 2015 study of 2.23 t/m³. The drill samples did not account for porosity and voids and were not adequately sealed.
FTIR assays for Fe₂O₃ were compared to sealed and unsealed density estimates and it was found that Senini’s regression equation better predicted the unsealed densities. Thus, it appears that the current regression equation based on Fe₂O₃ assays overestimates the in situ dry tonnage.
In December 2018 Alcoa contracted downhole geophysical measurements in 54 aircore holes drilled in the Larego area. The data from this study is still being evaluated and is not used for Mineral Resource estimation.
|
126 |
|
Alcoa Corporation S-K 1300 Report |
Signature Date: 20 February 2025 SLR Project No.: 123.020514.00001 |
Ore grades range from 28 to 38% AL for paired belt sample data (see Section 8.4.4.6) whereas test work densities range from 1.5 t/m³ to 3.2 t/m³, but the data is sparse and unreliable.
For resource estimation, each 0.5 m drill hole sample is assigned a dry in situ bulk density (DIBD) value based on the logged material type and the FTIR iron grade, using Senini’s 1993 regression equation:
Hardcap (caprock) = 2.19 + 0.0103*Fe
Friable (other) = 2.00 (used for all non-Hardcap material)
If the sample is logged as comprising a mix of Hardcap and Friable, the assigned value for that 0.5 m interval represents a volume-weighted average. There is no differentiation between granitic and dolerite derived bauxite, due to the relatively small proportion of the latter (less than 15%).
In resource estimates prior to 2017 a moisture content of 9% was assumed and used to estimate wet tonnes. Since the implementation of 3D block modelling in 2018, densities are assigned after grade estimation, based on the regression equation and Fe grade of Hardcap, and using 2.0 t/m³ for all other material, weighted by the proportion of Hardcap or other material.
Alcoa uses comparisons between the As Mined tonnages and the sampling tower weightometers to apply adjustment factors to mine design estimates, scheduling and stockpile planning. Such adjustments are not applied directly to the Mineral Resource estimate as they vary locally.
Reconciliation of Huntly and Willowdale mined production (see discussion on density in Section 11.14) indicates that the density estimates are biased, with the long-term average As Mined tonnages being approximately 5% higher than the actual production measured on calibrated weightometers.
The density data is limited in coverage and there is significant uncertainty regarding the methodology used for some sampling programs. A simple regression algorithm is used to estimate the DIBD for Hardcap from the FTIR assays of Fe₂O₃. This does not account for voids or porosity, nor does it differentiate between Hardcap derived from granitic or doleritic material. All other material is assigned a density of 2.0 t/m³. A constant moisture content of 9% is assumed for wet tonnages.
The SLR QP is of the opinion that the dry bulk density data is less well controlled than other analytes, however, the long history of mining production and stockpile reconciliation means that the assumed values are adequate for resource estimation.
For each drill hole contained within a polygon, the samples located below the base of the overburden and above the geological floor are composited into a single interval. The following numbers are assigned to each polygon:
|
127 |
|
Alcoa Corporation S-K 1300 Report |
Signature Date: 20 February 2025 SLR Project No.: 123.020514.00001 |
GSM employs 15 m by 15 m cells centered on the nominal drill hole locations. Separate seams are created for the overburden, and for the interpreted Bauxite Zone (BXZ) between the overburden and the mining floor. BXZ is subdivided into separate seams where second and third mining cuts have been interpreted. Interpreted wireframe surfaces are used to assign a seam thickness to each cell, effectively the seam thickness of drill hole at the cell centroid.
Cell grade estimation used inverse distance weighting (IDW) techniques as follows:
Where drill holes are located at the centroid of cells the resulting cell grade estimates are essentially nearest neighbor estimates. In other words, the GSM outcomes are equivalent to 2D polygon estimates, with the usual constraint of that method, specifically that the block variances are not smaller than the composite variances.
The GSM is constrained to the interpreted lateral extents of the mining zones. For each mining zone the following attributes are determined:
In 2019, Alcoa commenced preparing Mineral Resource estimates using 3DBM techniques, with the aim to progressively replace all Polygonal and GSM models. To date, Alcoa has prepared a total of 89 3DBM representing around 76% of the Mineral Resource and Mineral Reserves (MRMR) tonnage.
This section describes the current 3DBM procedures, which have evolved over time, with some parts now automated or semi-automated. Changes in the 3DBM procedures have generally been minor and are not considered material to the resulting resource models.
Block models are initially generated using the ML1SA lease area grid, and with an origin that ensures that the majority of the drill holes are located closer to the block corners rather than
|
128 |
|
Alcoa Corporation S-K 1300 Report |
Signature Date: 20 February 2025 SLR Project No.: 123.020514.00001 |
the centroids. The parent block size is 15 m by 15 m by 0.5 m and a sub-block size of 3 m by 3 m by 0.25 m (XYZ), respectively.
The block grade estimation includes the interpolation by ordinary kriging (OK) of AL, SI, ST, FE, EO, PT, CO, SU, OX, BO, and AT, using the same unfolding surfaces as used in the variogram analysis. Hard boundaries between the bauxite domains (DOMAF 20, 30 and 40) started to be implemented in 2022, where the previous block models were estimated using soft boundaries between these domains. A 3-pass search strategy is used for the bauxite domains and only one pass for the clay zone (DOMAF 50). A list of the search parameters is presented in Table 11‑9. It is important to note that the major and semi-major orientations are in the unfolded horizontal plane, and that a maximum of 3 samples are used from any one drill hole. Thus, a minimum of four holes is required for pass one, two holes for pass two, and one hole for pass 3.
Table 11‑9: Ordinary Kriging Search Parameters (MineSight ZXY rotation).
Domain |
Pass |
Bearing (Z) |
Search Distance (m) |
Number of Samples |
||||
Major |
Semi-major |
Minor |
Min |
Max |
Max Per Hole |
|||
20, 30, 40 |
3 |
140° |
300 |
300 |
50 |
3 |
27 |
3 |
2 |
100 |
100 |
20 |
4 |
27 |
3 |
||
1 |
55 |
55 |
20 |
12 |
27 |
3 |
||
50 |
1 |
130° |
300 |
300 |
50 |
4 |
27 |
3 |
The DIBD (density) is not estimated into individual parent and sub blocks but is a post-estimation calculation based on the block domain compositions (see 11.8.5).
The OK estimation approach is designed to maintain correlations between analytes and assist in ensuring that estimation totals are consistent with the input drill hole data.
A set of wireframe solids representing the mining outlines are generated using a similar grade accumulation and threshold approach to those used for the GSM model, as shown in the example of Figure 11‑10. The sub-block model is then regularized to the parent block size (15 m by 15 m by 0.5 m), with blocks located within the mining solids flagged for reporting Mineral Resources. Block tonnages are factored to reflect the proportion of the block contained below the topographic surface and within the mining solid.
Figure 11‑10: Example Section showing Bauxite Zone and Mining Solid

Notes:
The QP summarized the information of 10 block models, shown in Table 11‑10, where there is available data for a comparison between a soft and hard boundary estimation of the bauxite layer. In overall, the AL grades increased by 7% and SI grades decreased by 23%, and the tonnage is higher in most of the cases, reflecting the additional drilling.
|
129 |
|
Alcoa Corporation S-K 1300 Report |
Signature Date: 20 February 2025 SLR Project No.: 123.020514.00001 |
Table 11‑10: Tonnage and Grade Information Between the Original Resource Model and the 3D Block Model
Model |
Original Resource Model |
3DBM - Resource Model |
Difference |
||||||
Tonnage (000 t) |
AL (%) |
SI (%) |
Tonnage (000 t) |
AL (%) |
SI (%) |
Tonnage (000 t) |
AL (%) |
SI (%) |
|
Holyoake Central |
25,211 |
31.97 |
1.94 |
25,919 |
34.12 |
1.23 |
3% |
7% |
-36% |
Windsor |
8,935 |
32.82 |
2.67 |
8,798 |
33.69 |
2.38 |
-2% |
3% |
-11% |
Cooke |
15,421 |
30.85 |
2.22 |
18,976 |
31.99 |
1.95 |
23% |
4% |
-12% |
Serpentine |
16,444 |
32.00 |
1.96 |
20,299 |
32.75 |
1.72 |
23% |
2% |
-12% |
Gleneagle |
26,333 |
31.58 |
1.67 |
35,144 |
34.69 |
1.14 |
33% |
10% |
-32% |
Buckley |
17,998 |
33.74 |
1.68 |
27,435 |
35.39 |
1.27 |
52% |
5% |
-24% |
Cobiac |
23,498 |
31.15 |
1.70 |
30,865 |
34.81 |
1.18 |
31% |
12% |
-31% |
Frollett |
12,556 |
30.07 |
1.68 |
18,587 |
33.59 |
1.31 |
48% |
12% |
-22% |
Yarri |
10,044 |
30.90 |
2.04 |
30,362 |
32.51 |
1.62 |
202% |
5% |
-20% |
Millars |
26,156 |
30.64 |
2.21 |
24,987 |
32.32 |
1.88 |
-4% |
5% |
-15% |
Total |
182,596 |
31.55 |
1.93 |
241,372 |
33.71 |
1.48 |
32% |
7% |
-23% |
Alcoa uses a similar general approach to validate both the Polygonal and GSM resource models which includes:
Estimated cell grades were compared visually to the drill hole composite grades to ensure that the cell grade estimates appeared consistent with the drill hole seam composite data.
As GSMs were effectively nearest neighbor estimates, checks by SRK (2021a) on several GSM models indicated excellent global and local correlation between the estimated cell grades and the input seam composite grades.
The QP undertook some independent checks on datasets and GSMs for the F54 and F55 blocks to confirm that the modelling procedures had performed as intended. Results were consistent with those observed by previous consultants and no material issues were noted.
Polygonal resource models were updated by Alcoa when drill hole data is infilled from 60 m and 30 m spacings, and then GSM models were previously produced by Alcoa after 15 m infill drilling (3DBM models are now produced routinely at this stage). Changes in tonnages and average grades (AL, SI, OX) are presented as scatterplots in Figure 11‑11 for map sheets at Huntly where such infill drilling has occurred. It is noted that:
|
130 |
|
Alcoa Corporation S-K 1300 Report |
Signature Date: 20 February 2025 SLR Project No.: 123.020514.00001 |
Applying a global correction factor to Polygonal resource model tonnages generated from 30 m and 60 m spaced drill hole datasets is not considered appropriate as local differences are highly variable and not considered to be predictable, as shown by the red dots in the top left-hand plot in Figure 11‑11.
Figure 11‑11: Resource Comparison Scatterplots for Huntly (Tonnage, AL, SI, OX) (SLR, 2021)
|
|
|
|
Source: SLR, 2021. |
|
|
131 |
|
Alcoa Corporation S-K 1300 Report |
Signature Date: 20 February 2025 SLR Project No.: 123.020514.00001 |
Alcoa staff performs the block model validation for the individual areas through the volume checks between the geological interpretation solids and sub-block model, visual validation of block model coding and estimated grades versus composite data, comparison between composite and block model global statistics, and swath plots comparing block grades against composite grades.
SLR evaluated the information provided in the block model summary files provided by Alcoa, and also undertook independent checks on datasets and block models for M23 and H12 areas, obtaining results that were consistent with those provided by Alcoa. The SLR QP ran individual inverse distance squared (ID2) and nearest neighborhood (NN) estimations to assist in the block model validation.
Visual validations, global statistical comparison, and swath plots were built comparing the main variables estimated by Alcoa and the parallel estimation made by SLR. The results of these comparisons for the M23 and H12 areas are provided in the following subsections.
Statistics of the blocks estimated by OK were compared against the composited and capped samples, ID2 and NN estimates. Table 11‑11 and Table 11‑12 present the statistical comparison for the M23 and H12 areas.
In overall, smaller differences are observed for the AL estimation of the bauxite and low-grade bauxite for the M23 area, and more significant differences are observed for the SI estimation of both areas. These differences may be related to either potential differences in the estimation parameters used by the independent estimation made by SLR, and/or small discrepancies in the sample selection used for the estimation due to the parallel workflow used by SLR. The impact of these differences can be minimized once the composites and OK means show a good correlation.
Despite the differences mentioned previously, the SLR QP is of the opinion that the statistical comparisons are reasonable.
|
132 |
|
Alcoa Corporation S-K 1300 Report |
Signature Date: 20 February 2025 SLR Project No.: 123.020514.00001 |
Table 11‑11: Composites, OK, ID2, and NN statistics for the M23 area
M23 |
||||||||||||||
Variable |
Statistical Parameter |
Caprock Bauxite |
Bauxite |
Low-Grade Bauxite |
||||||||||
Samples |
OK |
ID2 |
NN |
Samples |
OK |
ID2 |
NN |
Samples |
OK |
ID2 |
NN |
|||
AL |
Number |
5,226 |
19,988 |
19,988 |
19,988 |
44,460 |
157,444 |
157,444 |
157,444 |
21,007 |
101,770 |
101,770 |
101,770 |
|
Mean |
26.83 |
26.54 |
26.19 |
26.27 |
34.87 |
34.81 |
31.92 |
31.58 |
24.59 |
24.99 |
22.80 |
21.62 |
||
SD |
3.95 |
1.96 |
4.02 |
6.81 |
6.13 |
3.66 |
4.93 |
8.70 |
4.89 |
2.46 |
4.02 |
8.36 |
||
Variance |
15.61 |
3.85 |
16.16 |
46.32 |
37.53 |
13.40 |
24.33 |
75.62 |
23.89 |
6.04 |
16.15 |
69.83 |
||
Minimum |
7.75 |
15.96 |
3.75 |
0.10 |
0.10 |
14.26 |
6.37 |
0.10 |
0.10 |
9.85 |
2.21 |
0.10 |
||
Q25 |
24.57 |
25.32 |
24.14 |
23.34 |
30.39 |
32.36 |
28.75 |
26.54 |
21.71 |
23.44 |
20.71 |
17.71 |
||
Q50 |
26.47 |
26.18 |
26.16 |
26.71 |
34.56 |
34.40 |
32.00 |
32.21 |
24.29 |
24.72 |
22.90 |
22.55 |
||
Q75 |
29.25 |
27.49 |
28.34 |
30.12 |
39.00 |
37.00 |
35.29 |
37.56 |
26.69 |
26.31 |
24.95 |
26.36 |
||
Maximum |
48.44 |
44.72 |
46.46 |
51.45 |
55.00 |
52.67 |
51.84 |
55.00 |
53.94 |
44.67 |
49.55 |
55.00 |
||
SI |
Number |
5,226 |
19,988 |
19,988 |
19,988 |
44,460 |
157,444 |
157,444 |
157,444 |
21,007 |
101,770 |
101,770 |
101,770 |
|
Mean |
1.66 |
1.87 |
2.77 |
2.90 |
1.30 |
1.46 |
2.23 |
2.29 |
4.10 |
4.60 |
5.55 |
5.99 |
||
SD |
1.74 |
1.15 |
2.46 |
3.87 |
0.95 |
0.68 |
1.55 |
2.84 |
2.96 |
1.76 |
2.60 |
4.76 |
||
Variance |
3.02 |
1.32 |
6.05 |
14.97 |
0.90 |
0.46 |
2.42 |
8.06 |
8.76 |
3.10 |
6.77 |
22.64 |
||
Minimum |
0.10 |
0.10 |
0.12 |
0.10 |
0.10 |
0.12 |
0.22 |
0.10 |
0.10 |
0.10 |
0.42 |
0.10 |
||
Q25 |
0.56 |
1.00 |
1.19 |
0.74 |
0.64 |
0.91 |
1.20 |
0.76 |
2.06 |
3.45 |
3.72 |
2.65 |
||
Q50 |
1.02 |
1.67 |
2.18 |
1.48 |
1.03 |
1.40 |
1.85 |
1.37 |
3.57 |
4.51 |
5.09 |
4.58 |
||
Q75 |
2.06 |
2.43 |
3.57 |
3.35 |
1.70 |
1.98 |
2.77 |
2.57 |
5.26 |
5.52 |
7.02 |
7.82 |
||
Maximum |
12.86 |
8.94 |
31.19 |
40.20 |
13.39 |
9.13 |
24.21 |
38.90 |
24.82 |
20.93 |
32.32 |
40.18 |
||
FE |
Number |
5,226 |
19,988 |
19,988 |
19,988 |
44,460 |
157,444 |
157,444 |
157,444 |
21,007 |
101,770 |
101,770 |
101,770 |
|
Mean |
33.13 |
32.70 |
31.04 |
30.33 |
12.50 |
12.77 |
12.72 |
12.28 |
12.44 |
11.49 |
11.07 |
10.83 |
||
SD |
7.85 |
5.31 |
7.13 |
10.55 |
7.89 |
5.30 |
5.74 |
9.04 |
10.72 |
6.31 |
6.90 |
9.88 |
||
|
133 |
|
Alcoa Corporation S-K 1300 Report |
Signature Date: 20 February 2025 SLR Project No.: 123.020514.00001 |
|
Variance |
61.69 |
28.24 |
50.84 |
111.37 |
62.24 |
28.10 |
32.93 |
81.81 |
114.97 |
39.77 |
47.55 |
97.62 |
Minimum |
0.25 |
3.72 |
2.53 |
0.25 |
0.25 |
0.95 |
1.70 |
0.25 |
0.25 |
0.25 |
0.42 |
0.25 |
|
Q25 |
30.46 |
30.88 |
28.08 |
25.78 |
6.39 |
8.74 |
8.32 |
5.44 |
4.60 |
6.81 |
5.97 |
4.05 |
|
Q50 |
33.73 |
33.23 |
32.46 |
32.58 |
10.49 |
12.45 |
11.53 |
9.47 |
7.94 |
9.96 |
8.99 |
6.92 |
|
Q75 |
37.68 |
35.79 |
35.48 |
37.75 |
17.12 |
15.86 |
16.01 |
16.92 |
17.87 |
14.56 |
14.11 |
13.93 |
|
Maximum |
59.65 |
54.35 |
54.97 |
71.06 |
57.66 |
42.37 |
43.65 |
80.00 |
63.21 |
48.80 |
51.35 |
63.21 |
|
134 |
|
Alcoa Corporation S-K 1300 Report |
Signature Date: 20 February 2025 SLR Project No.: 123.020514.00001 |
Table 11‑12: Composites, OK, ID2, and NN statistics for the H12 area
H12 |
|||||||||||||
Variable |
Statistical Parameter |
Caprock Bauxite |
Bauxite |
Low-Grade Bauxite |
|||||||||
Samples |
OK |
ID2 |
NN |
Samples |
OK |
ID2 |
NN |
Samples |
OK |
ID2 |
NN |
||
AL |
Number |
2,981 |
64,964 |
64,964 |
64,964 |
14,275 |
297,393 |
297,393 |
297,393 |
9,600 |
205,206 |
205,206 |
205,206 |
Mean |
26.87 |
26.94 |
26.67 |
26.29 |
33.66 |
33.57 |
31.76 |
30.85 |
24.40 |
24.49 |
23.70 |
23.36 |
|
SD |
4.17 |
2.35 |
3.52 |
6.44 |
5.76 |
3.72 |
4.15 |
7.85 |
4.92 |
2.62 |
3.22 |
6.66 |
|
Variance |
17.41 |
5.52 |
12.40 |
41.45 |
33.23 |
13.81 |
17.25 |
61.56 |
24.23 |
6.86 |
10.38 |
44.40 |
|
Minimum |
10.63 |
16.63 |
0.22 |
0.10 |
2.03 |
9.80 |
1.87 |
0.10 |
0.10 |
7.53 |
0.93 |
0.10 |
|
Q25 |
24.45 |
25.48 |
24.88 |
23.34 |
29.55 |
30.91 |
29.10 |
26.92 |
21.52 |
22.96 |
21.91 |
20.34 |
|
Q50 |
26.49 |
26.60 |
26.52 |
26.39 |
33.11 |
33.18 |
31.54 |
31.01 |
24.23 |
24.27 |
23.51 |
23.70 |
|
Q75 |
29.41 |
28.27 |
28.68 |
29.72 |
37.39 |
35.81 |
34.22 |
35.79 |
26.77 |
25.78 |
25.28 |
27.08 |
|
Maximum |
41.38 |
38.01 |
44.45 |
48.30 |
55.00 |
53.74 |
53.92 |
55.00 |
48.61 |
42.03 |
43.18 |
49.51 |
|
SI |
Number |
2,981 |
64,964 |
64,964 |
64,964 |
14,275 |
297,393 |
297,393 |
297,393 |
9,600 |
205,206 |
205,206 |
205,206 |
Mean |
1.59 |
1.50 |
2.02 |
2.48 |
1.29 |
1.31 |
1.82 |
2.10 |
4.22 |
4.29 |
4.78 |
5.03 |
|
SD |
1.73 |
1.04 |
2.13 |
3.48 |
0.97 |
0.65 |
1.21 |
2.69 |
3.36 |
2.16 |
2.52 |
4.20 |
|
Variance |
2.99 |
1.09 |
4.54 |
12.13 |
0.94 |
0.42 |
1.46 |
7.22 |
11.32 |
4.67 |
6.35 |
17.66 |
|
Minimum |
0.10 |
0.12 |
0.13 |
0.10 |
0.10 |
0.10 |
0.12 |
0.10 |
0.10 |
0.10 |
0.13 |
0.10 |
|
Q25 |
0.54 |
0.73 |
0.78 |
0.54 |
0.61 |
0.81 |
1.02 |
0.69 |
1.85 |
2.82 |
3.02 |
2.07 |
|
Q50 |
0.94 |
1.22 |
1.33 |
1.12 |
0.99 |
1.22 |
1.54 |
1.26 |
3.45 |
4.01 |
4.40 |
3.87 |
|
Q75 |
1.89 |
1.94 |
2.47 |
3.00 |
1.68 |
1.72 |
2.27 |
2.31 |
5.47 |
5.28 |
5.97 |
6.49 |
|
Maximum |
12.08 |
9.48 |
30.96 |
32.19 |
9.69 |
8.81 |
24.69 |
31.65 |
23.16 |
19.91 |
26.87 |
34.39 |
|
FE |
Number |
2,981 |
64,964 |
64,964 |
64,964 |
14,275 |
297,393 |
297,393 |
297,393 |
9,600 |
205,206 |
205,206 |
205,206 |
Mean |
33.64 |
33.30 |
33.21 |
32.11 |
12.94 |
13.70 |
13.82 |
13.91 |
13.93 |
13.76 |
13.29 |
13.21 |
|
SD |
7.90 |
5.17 |
6.02 |
9.13 |
8.48 |
5.97 |
6.21 |
9.67 |
11.16 |
7.51 |
7.81 |
10.76 |
|
Variance |
62.44 |
26.69 |
36.23 |
83.31 |
71.96 |
35.62 |
38.62 |
93.54 |
124.59 |
56.47 |
60.92 |
115.88 |
|
|
135 |
|
Alcoa Corporation S-K 1300 Report |
Signature Date: 20 February 2025 SLR Project No.: 123.020514.00001 |
|
Minimum |
1.52 |
3.09 |
0.66 |
0.25 |
0.25 |
1.16 |
1.54 |
0.25 |
0.25 |
0.25 |
0.36 |
0.25 |
Q25 |
30.63 |
30.66 |
30.70 |
28.01 |
6.32 |
9.08 |
9.06 |
6.31 |
5.11 |
7.89 |
7.28 |
4.94 |
|
Q50 |
34.06 |
33.65 |
33.79 |
32.88 |
10.48 |
12.88 |
12.64 |
10.99 |
9.48 |
12.48 |
11.22 |
8.88 |
|
Q75 |
38.12 |
36.47 |
36.95 |
37.37 |
18.14 |
17.59 |
17.41 |
19.55 |
21.67 |
18.15 |
17.62 |
20.83 |
|
Maximum |
64.43 |
54.00 |
59.79 |
64.43 |
55.79 |
46.11 |
49.60 |
64.01 |
58.53 |
50.54 |
53.11 |
58.53 |
|
136 |
|
Alcoa Corporation S-K 1300 Report |
Signature Date: 20 February 2025 SLR Project No.: 123.020514.00001 |
For the visual validation, several cross sections in multiple orientations were created aiming to assess the grade distribution over the blocks and related to the composites. No major discrepancies were identified, being observed in most of the cases a good adherence of the grades estimated in the blocks with the samples around, and also the grade continuity with the topography.
Figure 11‑12, Figure 11‑13, and Figure 11‑14 illustrate the cross sections in the block models comparing the AL, SI, and FE OK estimation and the composites.
Figure 11‑12: Visual validation of Blocks and Composites for AL

Figure 11‑13: Visual validation of Blocks and Composites for SI

|
137 |
|
Alcoa Corporation S-K 1300 Report |
Signature Date: 20 February 2025 SLR Project No.: 123.020514.00001 |
Figure 11‑14: Visual validation of Blocks and Composites for FE

Swath plots were built comparing the OK, ID2 and NN estimations on the X, Y and Z directions.
AL and SI exhibit opposite behaviors, showing higher values for AL and lower values for SI when compared with ID2 and NN for the bauxite layer. These differences are around +8% and – 5%, respectively, and are also identified in the statistical validation. Additionally, the ID2 and NN estimates show a more variable average grade locally, while the OK behavior is more constant, which indicates a potential over smoothing of the estimation for these variables. FE shows a similar local and global trend between the different estimation methods.
As mentioned before, although some variation is expected due to the differences in the estimation workflows, SLR recommends that additional estimation validation procedures be incorporated to the current validation workflow, such as the comparison with ID2 and NN, and a smoothing degree evaluation.
Figure 11‑15 illustrates the AL, SI, and FE swath plots in the X direction for the bauxite domain of both areas. Sections of 5 and 10 meters were used for the M23 and H12 areas respectively.
|
138 |
|
Alcoa Corporation S-K 1300 Report |
Signature Date: 20 February 2025 SLR Project No.: 123.020514.00001 |
Figure 11‑15: Swath Plots in X direction for AL, SI and FE for the M23 and H12 areas – bauxite layer

|
139 |
|
Alcoa Corporation S-K 1300 Report |
Signature Date: 20 February 2025 SLR Project No.: 123.020514.00001 |
Darling Range uses a historically accepted economic Mineral Resource cut-off grade of ≥27.5% AL, ≤3.5% SI, and ≤4kg/t OX, that is implicit in the delineation of the bauxite layer in the geological modelling stage. A minimum thickness of 2 m is also used to improve the Mineral Resource definition.
In addition to the geological modelling cut-offs criteria, the constraints described below are applied to the GSM and 3DBM Mineral Resource definition:
Bauxite resources can include material outside the geological modelling grade cut-offs that may also be considered as mineable, and a cut-off depth basis is used when AL grade is lower to define whether or not a block is economic.
Mineral Resources have been estimated using a LOM price of $500/t for alumina and $300/t for caustic soda, respectively. These prices were determined based on historical market trends. The $500/t alumina price corresponds to the maximum API average price over a six-month period in the past ten years, while the $300/t caustic soda price reflects the minimum caustic price over the same time frame, adjusted for delivery costs to relevant refinery locations.
The time frame used to estimate these commodity prices aligns with the long-term strategic planning window (2025–2033), which considers average pricing trends for mine scheduling. These prices are in accordance with the criteria of reasonable prospects for economic extraction (RPEE). The selected values are reviewed periodically and will be updated if material changes occur.
The optimized Mineral Resource pits are shown in Figure 11‑16.
|
140 |
|
Alcoa Corporation S-K 1300 Report |
Signature Date: 20 February 2025 SLR Project No.: 123.020514.00001 |
Figure 11‑16: Mineral Resource Pits for the M23 (top) and H12 (bottom) areas. Vertical exaggeration 3x
|
|
Source: SLR, 2023. |
The grade cut-off criteria to report the Mineral Resources is a common approach for the bauxite mines, and the QP is of the opinion that to improve the recoverable resources reporting, a re-blocked block model to a minimum practical mining scale or single mining unit should be considered. Economical parameters considering more flexible costs and bauxite prices related to the Mineral Reserves can also be implemented in the Mineral Resources workflow, aiming to optimize the bauxite mineable portion including potential marginal grades.
Alcoa’s staff is working on an integrated reconciliation process for all operating mines, aimed at standardizing reconciliation terminology, metrics, and standards. The workflow began development in 2023 and entered the testing phase for Darling Range in 2024 to calibrate the inputs and outputs.
The following sections describe the current reconciliation methodology and results.
|
141 |
|
Alcoa Corporation S-K 1300 Report |
Signature Date: 20 February 2025 SLR Project No.: 123.020514.00001 |
Refinery feed grade is monitored for the Huntly and Willowdale mining regions using material collected prior the arrival of the stockpile stackers at the Pinjarra and Wagerup sampling towers.
Alcoa mine planning personnel rely upon historical comparisons between the As Mined estimates, which means the tonnage and grade based on the block model using a mined-out perimeter or surface, and the sampling tower data to apply adjustment factors to mine design estimates, to assist with scheduling and stockpile planning activities. The adjustments are not applied to the global reported Mineral Resource estimates as they are considered to be local factors.
Sampling tower performance was discussed in SLR, 2022.
Alcoa reconciles the resource (mine design) estimates with the sampling tower estimates once mining is completed for each mining zone. It is important to note that the majority of the Mineral Resources are prepared using 30 m or 60 m spaced data, whereas As Mined to sampling tower reconciliation is based on mine planning models constructed from 15 m spaced data that include additional mining constraints.
Figure 11‑17 and Figure 11‑18 show the annual relative grade differences for both Huntly and Willowdale respectively. These plots indicate:
The sources of the reconciliation differences shown in Figure 11‑17 and Figure 11‑18 are not known, but the following factors could contribute:
Incremental reconciliation improvements appear to have started around 2010, which may reflect an improvement in data quality (drilling and assaying procedures) around this time. Consequently, Mineral Resources using data collected prior to approximately 2010 are considered to be of lower confidence and the classification of resource models constructed from this data has been downgraded accordingly.
|
142 |
|
Alcoa Corporation S-K 1300 Report |
Signature Date: 20 February 2025 SLR Project No.: 123.020514.00001 |
Reconciliation data in recent years falls within acceptable limits on an annual basis to support the classifications used for reporting of Alcoa’s Darling Range Mineral Resource.
Figure 11‑17: Resource versus Sample Plant Reconciliation – Huntly (SLR, 2024)

Figure 11‑18: Resource versus Sample Plant Reconciliation – Willowdale (SLR, 2024)

The estimation of Mineral Resources for any commodity, including bauxite, is subject to significant risks, including those described below and elsewhere in the discussion of risks associated with mining and processing of bauxite to produce alumina (see Section 12.9). An investor should carefully consider these risks. If any of the described risks occur, the Darling Range bauxite mining and processing business, financial position and operational results could be materially affected adversely.
The purpose of Technical Report Summaries issued under S-K 1300 and other similarly purposed International Codes (JORC, 2012; NI 43-101, 2014) is to ensure that known risks are disclosed by the QP subject to expectations of Transparency, Materiality and Competency. This Technical Report Summary addresses the technical risks associated with
|
143 |
|
Alcoa Corporation S-K 1300 Report |
Signature Date: 20 February 2025 SLR Project No.: 123.020514.00001 |
the Geology, Sampling, Assaying, Data Management in Sections 6.0 to 9.0 and Mineral Resource Estimation in Section 11.0. The QP considers that no material technical risks are identified in those Sections.
The risks described below are not comprehensive and there may be additional risks and uncertainties not presently known, for example due to market or technology changes, that are currently deemed immaterial but may also affect the business. The QP considers that the following risks specifically pertain to the Mineral Resources declared for Alcoa’s Darling Rang operations.
|
144 |
|
Alcoa Corporation S-K 1300 Report |
Signature Date: 20 February 2025 SLR Project No.: 123.020514.00001 |
The current drill sampling methods have been improved over time, based on independent review, and the requirements for minimum impact on the Darling Range. The assaying methods, including the use of FTIR, have been comprehensively reviewed and validated. The geostatistical estimates of in situ dry tonnages and grades are reasonable and validated by comprehensive reconciliation. The SLR QP considers that these methods are appropriate to produce the declared Mineral Resources and Mineral Reserves.
To ameliorate such risks the Mineral Reserves declaration is limited to material for which extraction is currently planned within the LTMP. The Mineral Resources excluding Mineral Reserves indicate the likely potential beyond that time frame, given all the limitations on future knowledge outlined above.
Definitions for resource categories used in this report are those defined by the SEC in S-K 1300. Mineral Resources are classified into Measured, Indicated, and Inferred categories.
The Mineral Resource estimate for Darling Range is produced by aggregating many different models, produced using data of different qualities at different drilling densities, and modelled using different estimation procedures. The Mineral Resource classification has been applied to the various resource models based on consideration of the quality and quantity of the input data, confidence in the geological interpretation, and confidence in the outcomes from
|
145 |
|
Alcoa Corporation S-K 1300 Report |
Signature Date: 20 February 2025 SLR Project No.: 123.020514.00001 |
the various estimation methods. The main factors that drive the Mineral Resource classification are the drill hole spacing, the quality of data collected, and the resource modelling technique. These elements will be explored in greater detail in the following paragraphs.
A drill hole spacing study (SRK, 2019a) aimed at quantifying the differences in the reliability of local estimates with different drill spacings was undertaken in 2019 using a similar approach to Alcoa’s 3DBM procedures. The study concluded that drill spacings of 30 m by 30 m and 60 m by 60 m were adequate to support the delineation of Measured and Indicated Resources respectively.
Due to the different block model types, the following adjustments in the classification were done aiming to best reflect the uncertainty for each one:
The Mineral Resource material has mining constraints applied, as detailed in the Cut-off Grade and Mining Constraints section, effectively ensuring that reasonable prospects for economic extraction are assured.
Resource classification criteria are applied in the horizontal plane and are consistent for the entire laterite vertical profile. Thus, interpretation of the roof and floor of the Bauxite Zone are implicitly assumed to be of similar confidence. In some areas, the geological floor may be erratic for Polygonal models and of lower confidence than the roof, but these areas are typically excluded when mining constraints are applied to the GSM and 3DBM resource models.
Figure 11‑19 shows histograms of the resource classification and the distance of the closest sample for the M23 and H12 areas.
Figure 11‑19: Minimum distance histograms showing the resource classification by the distance of the closest sample
|
|
A visual example of the final Mineral Resource classification within the Mineral Resource pit is shown in Figure 11‑20 for the M23 and H12 areas. The great majority of the blocks within the Mineral Resource pit in the M23 area are Measured due to the 15x15 and 30x30 m drill
|
146 |
|
Alcoa Corporation S-K 1300 Report |
Signature Date: 20 February 2025 SLR Project No.: 123.020514.00001 |
hole spacing, and for the H12 area the great majority is Indicated, due to the 60x60 m drill hole spacing. The final classification polygons can include small areas where the gaps between drill holes are at the next spacing increment, and they are used to assign resource classification for the full vertical profile of the laterite profile.
Figure 11‑20: Plan View of M23 and H12 Resource Classification. Block within the Mineral Resource Pit

Source: SLR, 2023.
Key refinery target grade requirements for AL, SI, and OX along with practical mining considerations have been taken into account when defining resource blocks using GSM and 3DBM modelling methods. Polygonal resource models do not account for mining constraints other than a 1.5 m minimum thickness.
ML1SA contains some sub-regions for which mining permission has not been granted, due to forestry, environmental, social or other constraints, and Mineral Resources have not been defined in these areas by constraining the Mineral Resource model using ArcGIS software.
For Mineral Resource reporting, the block tonnage estimates have all been reduced by 5% on the basis that:
A summary of the Mineral Resource estimates, exclusive of Mineral Reserves, for the three ML1SA mining regions is shown below.
|
147 |
|
Alcoa Corporation S-K 1300 Report |
Signature Date: 20 February 2025 SLR Project No.: 123.020514.00001 |
Table 11‑13: Darling Range Mineral Resources exclusive of Mineral Reserves by Mining Region – 31 December 2024
Category |
Mine |
Tonnage (Mt) |
AL (%) |
SI (%) |
Measured |
Huntly |
106.1 |
30.4 |
1.89 |
North |
0.0 |
0.00 |
0.00 |
|
Willowdale |
33.5 |
30.4 |
1.39 |
|
Sub-total |
139.6 |
30.4 |
1.77 |
|
Indicated |
Huntly |
40.7 |
30.3 |
1.46 |
North |
0.8 |
32.3 |
1.38 |
|
Willowdale |
7.1 |
29.9 |
1.16 |
|
Sub-total |
48.7 |
30.3 |
1.42 |
|
Measured + Indicated |
Huntly |
146.8 |
30.4 |
1.77 |
North |
0.8 |
32.3 |
1.38 |
|
Willowdale |
40.7 |
30.3 |
1.35 |
|
Sub-total |
188.4 |
30.4 |
1.68 |
|
Inferred |
Huntly |
9.0 |
35.7 |
1.25 |
North |
15.1 |
31.6 |
1.00 |
|
Willowdale |
77.3 |
32.2 |
1.24 |
|
Sub-total |
101.4 |
32.4 |
1.20 |
Notes:
The SLR QP is of the opinion that Alcoa’s Mineral Resource classification scheme is considered appropriate for delineating the expected relative confidence of the Mineral Resource, in accordance with the S-K 1300 definitions as follows:
|
148 |
|
Alcoa Corporation S-K 1300 Report |
Signature Date: 20 February 2025 SLR Project No.: 123.020514.00001 |
The SLR QP is of the opinion that the modelling work completed to date is deemed suitable for its intended purpose. Upon evaluation of diverse technical and economic factors, it has concluded that the conditions stipulated under the Reasonable Prospects For Economic Extraction are met. This includes the effective constraint of the Mineral Resource model using the ArcGIS system, by ensuring that the model defines key parameters for the refinery, and by sound reconciliation practices reincorporating feedback into the geological model.
|
149 |
|
Alcoa Corporation S-K 1300 Report |
Signature Date: 20 February 2025 SLR Project No.: 123.020514.00001 |
A Mineral Reserve has been estimated for Alcoa’s Darling Range bauxite mining operations in accordance SEC S-K 1300 definitions which are consistent with the guidelines of the Australasian Code for Reporting of Exploration Results, Mineral Resources and Mineral Reserves (The JORC 2012 Code).
The QP inspected Alcoa’s Willowdale operations on 08 October 2024 and Huntly on 09 October 2024. Alcoa’s Mine Planning department was visited 10 & 11 October 2024 to review the LTMP, Medium Term Plan (MTP) and to interview relevant personnel on these dates. This supports prior review and discussions and on other occasions (2021 to 2023). A full account of the site visit to the mines, offices, and the refineries is provided in Section 2.1.
The Mineral Reserve is classified with reference to the classification of the underlying Mineral Resource and with reference to confidence in the informing Modifying Factors. The QP considers the Proven and Probable classification to be appropriate to the deposit and associated mining operations.
The reference point for the Mineral Reserve is prior to the processing plant at the refinery.
The Proven Mineral Reserve is a subset of Measured Resources only. The Proven Mineral Reserve is included in the Long Term Mine Plan (LTMP) and is approved for mining.
The Probable Mineral Reserve is estimated from that part of the Mineral Resource that has been classified as Indicated or from Measured Resources that are included in the LTMP but not yet approved for mining.
Variable cut-off grades are applied in estimation of the Mineral Reserves, and these are related to operating cost and the nature of the Mineral Resource in relation to blending requirements. The Mineral Reserve estimate is expressed in relation to available aluminum oxide (AL) and reactive silica (SI), this being the critical contaminant in relation to the Refinery.
Table 12‑1: Summary of Darling Range Mineral Reserves – Effective 31 December 2024
Region |
Class |
Tonnage (Mt) |
AL (%) |
SI (%) |
Huntly |
Proven |
12.4 |
28.3 |
1.87 |
Probable |
254.3 |
30.6 |
1.77 |
|
Total |
266.7 |
30.5 |
1.77 |
|
Willowdale |
Proven |
13.7 |
30.0 |
1.38 |
Probable |
143.3 |
31.2 |
1.19 |
|
Total |
157.0 |
31.1 |
1.21 |
|
Total |
Proven |
26.1 |
29.2 |
1.61 |
Probable |
397.6 |
30.8 |
1.56 |
|
Total |
423.7 |
30.7 |
1.56 |
Notes:
|
150 |
|
Alcoa Corporation S-K 1300 Report |
Signature Date: 20 February 2025 SLR Project No.: 123.020514.00001 |
The QP is not aware of any risk factors associated with, or changes to, any aspects of the Modifying Factors such as mining, metallurgical, infrastructure, permitting, or other relevant factors that could materially affect the current Mineral Reserve estimate.
The LTMP requires that permitting for operational dependencies is achieved timeously. The LTMP also requires two crusher moves (which are costed for). Longer haul distances 25km (+10km pre 2024) will be utilized over short periods at Huntly and the deliverable tonnage to the refinery will be 18Mtpa until 2032.
The QP considers that the accuracy and confidence in the Mineral Reserve estimate to be appropriate for the classification applied, which is supported by both the conservative operational processes and the long operational history.
The Modifying Factors are summarized as follows:
A comparison of the current Alcoa Mineral Reserve estimate, to the previous 2023 Mineral Reserve estimate, is presented in Table 12‑2. Overall, the Proven and Probable Reserves increased by 79.6 Mt (23.1%), from 344.1 Mt to 423.7. The AL grades have decreased by 2.5% and SI has increased by 18% respectively over the same period.
The increase in reserves is primarily due to the following changes:
Partially offset by:
|
151 |
|
Alcoa Corporation S-K 1300 Report |
Signature Date: 20 February 2025 SLR Project No.: 123.020514.00001 |
Table 12‑2: Comparison with Previous Mineral Reserve Estimates
Category |
Mine |
2024 Mineral Reserve |
2023 Mineral Reserve |
Difference (%) |
||||||
Tonnage dmt (Mt) |
AL |
SI |
Tonnage dmt (Mt) |
AL |
SI |
Tonnage (Mt) |
AL |
SI |
||
Proven |
Huntly |
12.4 |
28.3 |
1.87 |
26.2 |
27.81 |
1.87 |
-52.67 |
1.76 |
0.00 |
Willowdale |
13.7 |
30.6 |
1.77 |
21.8 |
30.75 |
1.38 |
-37.16 |
-0.49 |
28.26 |
|
Sub-total |
26.1 |
29.2 |
1.61 |
48.0 |
29.14 |
1.65 |
-45.63 |
0.21 |
-2.42 |
|
Probable |
Huntly |
254.3 |
30.6 |
1.77 |
210.4 |
31.66 |
1.36 |
20.87 |
-3.35 |
30.15 |
Willowdale |
143.3 |
31.2 |
1.19 |
85.6 |
32.43 |
1.04 |
67.39 |
-3.79 |
14.42 |
|
Sub-total |
397.6 |
30.8 |
1.56 |
296.0 |
31.88 |
1.27 |
34.34 |
-3.39 |
22.83 |
|
Proven & Probable |
Huntly |
266.7 |
30.5 |
1.77 |
236.6 |
31.23 |
1.42 |
12.73 |
-2.34 |
24.65 |
Willowdale |
157 |
31.1 |
1.21 |
107.4 |
32.09 |
1.11 |
46.15 |
-3.09 |
9.01 |
|
Sub-total |
423.7 |
30.7 |
1.56 |
344.1 |
31.50 |
1.32 |
23.15 |
-2.54 |
18.18 |
|
A Mineral Reserve is the economically mineable part of a Measured and/or Indicated Mineral Resource. It includes diluting materials and allowances for losses, which may occur when the material is mined or extracted and is defined by application of Modifying Factors that demonstrate that, at the time of reporting, extraction could reasonably be justified.
|
152 |
|
Alcoa Corporation S-K 1300 Report |
Signature Date: 20 February 2025 SLR Project No.: 123.020514.00001 |
|
153 |
|
Alcoa Corporation S-K 1300 Report |
Signature Date: 20 February 2025 SLR Project No.: 123.020514.00001 |
Historically, Alcoa did not report material in the Measured Mineral Resource category, reporting mineralization in areas of 15 m by 15 m spaced drilling as Mineral Reserves reported to the prior SEC standard. Alcoa has subsequently incorporated S-K 1300 and JORC Modifying Factor considerations into its mine planning processes and this was observed and confirmed on site.
The QP has used the December 31, 2024 Mineral Resource estimate as the basis for its Mineral Reserve estimate. The bauxite operations are operating mining projects with a long history of production for which establishment capital has been repaid and for which sustaining capital and supported operating costs have been observed to be applied in economic analysis. Consequently, the QP considers that support by a Feasibility Study is demonstrated by the demonstrable history of profitable operation and the level of technical support for the Modifying Factors and Front-End Loading (FEL 2), or pre-project planning study, for the recent major Myara capital crusher move. Additional capital costs for the forward mines moves to McCoy have also been reviewed. The QP has reviewed the operating and planning procedures and parameters for the operations and considers that the work completed is sufficient to allow definition of Mineral Reserves.
Proven Mineral Reserves are derived from scheduled Measured Mineral Resources which are included in the Long Term Mine Plan (LTMP) and approved for mining. Probable Mineral Reserves are derived from scheduled Measured Mineral Resources which are not yet approved for mining, or from scheduled Indicated Mineral Resources. The Mineral Resource estimate reported in this document (Section 11.0) is exclusive of the Mineral Reserve.
Consequently, Modifying Factors that relate to community and environmental considerations are formally assessed. The QP considers that as a result there is low risk to not establishing Proven Reserves relating to the project.
The QP has formed an independent view of the Modifying Factors applied in the estimation of the Mineral Reserve. This view is supported by examination and verification of mine planning data and procedures and historic reconciliation information. The QP has interviewed technical staff responsible for Alcoa’s operations and reviewed the operating, planning and forecast reports for the operations supplied by Alcoa.
The mine planning process excludes mineralization that is not considered recoverable due to various constraints, defining no Mineral Resource or Mineral Reserve within these zones. Such constrained zones include Aboriginal heritage sites and old-growth forest; however, these are proactively and dynamically updated by Alcoa through engagement with stakeholders, such as the community, and in response to government requests.
Dilution and ore loss are not reported separately to the Mineral Reserve. Internal and edge dilution is modelled at the mine planning stage through the application of 15 m by 15 m mining blocks to the Mineral Resource model. These regularized blocks contain proportional estimates of ore and contaminants and are optimized through the application of a Lerchs-Grossman algorithm developed specifically for the operation. This variation of the conventional Lerchs-Grossman algorithm is applied vertically, given that the shallow nature of the mineralization precludes geotechnical considerations. Blocks that do not satisfy grade and contaminant parameters against revenue are thus excluded from the mine plan.
Mining dilution is controlled by excavation of dilution at the top of the mineralization (a source of oxalate or organic contamination) and the pit floor (SI contamination). The upper contact is a sharp geological contact on an undulating surface. GPS-controlled machinery is used to locate these intersections.
|
154 |
|
Alcoa Corporation S-K 1300 Report |
Signature Date: 20 February 2025 SLR Project No.: 123.020514.00001 |
Figure 12‑1: Undulating Hanging Wall Hardcap Surface; and Footwall (white clay, lower right in the floor) (Left: Pearman, 2015 & Right: SLR, 2021)
|
|
Organic material reacts with sodium hydroxide in the refinery to form oxalate, which is considered to be a contaminant. Alcoa has developed a process known as Secondary Overburden Removal (SOBR) whereby the soil and clay on top of the hardcap that covers the mineralization and contains this organic material is removed by either scraper, surface miner or small excavator. This removes as much carbonaceous material overlying the undulating hardcap layer as possible. Further description of SOBR is given in Section 13.1.
A surface miner is employed as required at the Huntly mine to cut highly contaminated overburden to the hardcap contact. Historically, this results in a 2.9% ore loss, which is considered in the Mineral Reserve estimation.
The lower mineralization contact is gradational, and dilution is minimal on contaminants other than SI. This contact is defined through drilling and chemical analysis and excavation is controlled by GPS to modelled surfaces.
The Grade Control process checks the accuracy of excavation and assesses adherence to excavation of the target floor.
Alcoa prepares an LTMP annually. The first five years of this plan is submitted to the statutory BSEC (previously MMPLG) for approval of mining areas. The LTMP includes a mine production schedule that demonstrates scheduling of mineralization classified as Mineral Resources for estimation as Mineral Reserves. This schedule contemplates higher confidence Mineral Resources during the early production periods, with lower confidence mineralization planned in subsequent periods (Figure 12‑2 and Figure 12‑3).
The schedule has several operational parameters in addition to statutory limitations (refer to Section 12.3 above):
|
155 |
|
Alcoa Corporation S-K 1300 Report |
Signature Date: 20 February 2025 SLR Project No.: 123.020514.00001 |
Confidence in the Mineral Reserves is predicated on confidence in the underlying Mineral Resources in the mining schedule. Continuous Mineral Resource definition drilling maintains an inventory of sufficient confidence to maintain Mineral Reserves.
Figure 12‑2: Willowdale LTMP Resource Confidence (drill hole spacing in meters shown in brackets) (Alcoa, 2024)

|
156 |
|
Alcoa Corporation S-K 1300 Report |
Signature Date: 20 February 2025 SLR Project No.: 123.020514.00001 |
Figure 12‑3: Huntly LTMP Resource Confidence (drill hole spacing in meters shown in brackets) (Alcoa, 2024)

Alcoa has been actively refining the mine planning process in such a way that the Mineral Resource and Mineral Reserve Models are updated continuously using various scripts and rationalizing of computer software. This process is mostly complete, the QP observed its progress both on the mine sites and at the Booragoon mine planning office.
The mine planning process commences with receipt by the mine planning department of the regularized and classified electronic Mineral Resource model from the geologists. The regularization process sees the Mineral Resource blocks agglomerated into blocks of 15 m by 15 m by 0.5 m vertically. Grade, bulk density and contaminant parameters are estimated into the model, which is expressed as a percentage model. This model is then manually checked and validated.
Electronic files are centrally stored, and the master versions are copied by relevant personnel for manipulation.
Optimization of the pits is undertaken using a bespoke variant of the Lerchs-Grossman algorithm designed to operate vertically. The algorithm accumulates blocks vertically on 0.5 m increments, commencing at a minimum thickness of 2m, to find the pit floor.
The optimization is driven by Net Present Cost (NPC), rather than the conventional Net Present Value (NPV). The optimization considers a number of cost and consumption inputs which include caustic, lime, electricity, and gas power to be deducted from the base alumina price of USD 400/tonne.
Geotechnical constraints are not relevant, given that the pits are generally around 4 m in depth and placed on gently undulating country (Section 7.9). Contour mining is applied in areas of greater topographic relief, whereby mining progresses across the contour, maintaining as consistent a pit floor as possible.
|
157 |
|
Alcoa Corporation S-K 1300 Report |
Signature Date: 20 February 2025 SLR Project No.: 123.020514.00001 |
Optimization parameters are calculated for each block, including costs associated with drilling, blasting and ripping and haulage cost, which is estimated from major haulage roads and minor pit access roads against gradient. Electronic surface models are prepared to constrain the optimization; these are informed by LiDAR radar surveys and model the topography, the base of overburden and the base of mineralization, derived from chemical analysis of resource definition drilling samples. Caprock requires drilling and blasting, and modelled surfaces are contoured for thickness, which is derived from examination of drill logs and high-Fe assays.
Pit shells are visually assessed for practicality and minimum mining widths and any impractical pit shells are removed. Minimum mining widths vary according to topography and material type.
Individual areas are optimized separately, and the resultant pit shells are combined to provide grade and contaminant specifications for Life of Mine (LOM) scheduling. Haul roads are divided into 50 m segments with appropriate cost increments applied to each segment using commercial haul road optimization software. This process electronically tags each block with haulage cost information as a function of distance of the relevant node (haul road) from the nearest crusher. The software then normalizes the data by calculating the equivalent flat haul distance, maintaining a gradient of less than 8% for all nodes.
The model is then depleted for mined material and blocks that have been otherwise committed for development or have been mined out and also for environmental constraints.
Environmental constraints include proximity to streams, designated heritage areas (both Aboriginal and European) and the water catchment offset. GIS software is used to continuously generate electronic shape files that are converted daily to string files for import into the mine design software. These are then used to deplete the model in relation to environmental constraints.
Mineralization that has been identified as being under infrastructure is scheduled for mining only after that infrastructure has been removed in the LOM plan.
Noise zones are those where noise from the mining operations will potentially exceed allowable levels and the operation actively seeks to maintain lower noise levels than those mandated. Mining in these areas is undertaken by contract miners on day shift only and attracts higher costs than conventional owner-operator mining, which is applied to most of the operation.
The regularized model is then coded for the above parameters and checked. All the above processes are logged, checked, and validated both electronically and visually. Electronic scripts are then run in the mine planning software, resulting in the reporting of Mineral Reserves.
The Value in Use (VIU) revenue for mined ore is defined from an in-house optimization and integrated mine planning process. This VIU is calculated by subtracting the costs associated with mining and refining activities from the base alumina price. The costs considered in this calculation include various consumable inputs such as caustic, lime, electricity, and gas power, all of which are deducted from the base alumina price of USD 400 per tonne.
A discount rate of 12.00% is mandated by the Finance Department and applied to the NPV scheduler during the mine planning process.
The QP notes that costs and revenues used in this process demonstrate reasonable variations consistent with market trends over time and that revenue has remained constant over the past year.
In practice, the Grade Control Model is used to direct mining at the bench scale, because it has more up-to-date drilling data than the Mineral Resource Model. Reconciliation is undertaken between the Mineral Resource, Mineral Reserve and Grade Control Models, with
|
158 |
|
Alcoa Corporation S-K 1300 Report |
Signature Date: 20 February 2025 SLR Project No.: 123.020514.00001 |
the QP observing the reconciliations between Mineral Resource and Grade Control Models to be within acceptable parameters. Reconciliation of the Mineral Reserve model has not been regularly undertaken in the past and this process was observed to be in development.
Figure 12‑4 shows an example of the reconciliation between Resource and Grade Control models undertaken regularly by Alcoa.
Figure 12‑4: Example of Reconciliation Between Mineral Resource and Grade Control Models for Tonnage, Al, Si, and OX (Alcoa, 2022)
|
|
|
|
159 |
|
Alcoa Corporation S-K 1300 Report |
Signature Date: 20 February 2025 SLR Project No.: 123.020514.00001 |
|
|
The resultant pit shells are scheduled using specialist automated mine scheduling software. A text file containing the model and its parameters is exported to the scheduling software, which is programmed with current wait times and the current mining capacity of 26.5 Mtpa (Huntly) & 11 Mtpa (Willowdale). The software calculates and defers, as much as possible, capital haul road development costs for each block and identifies an optimal schedule.
Sustaining capital is calculated and added for haul road maintenance and equipment replacement. Not all machinery is capitalized, some being leased, and this is included in the operating cost. Review of ownership costs against leasing is constant and appropriate factors applied to the model.
The resultant model is coded for grade and contaminants and blocks are flagged with the appropriate mining sequence. Mineral Reserve blocks are contained within the LTMP schedule. The model is then re-exported as a text file to the mine planning software and distributed to the relevant mine planning departments and mine closure engineers for detailed planning.
Some planned mining areas that are included in the schedule are unable to be totally mined for a variety of operational reasons. These reasons usually relate to issues with rock outcrops, hard ground, contamination and access difficulties that are encountered when developing a new mining area. This process drives the continuous development of new mining areas to maintain production capacity.
|
160 |
|
Alcoa Corporation S-K 1300 Report |
Signature Date: 20 February 2025 SLR Project No.: 123.020514.00001 |
Alcoa’s recorded average abandoned mineralization between 2016 to 2019 (inclusive) is estimated at an average of 4.4% of Huntly (being 1.5% abandoned + 2.9% scalped using surface miner) and 2.0% of Willowdale planned production but can vary materially. These factors are applied to forecast production in the Mineral Reserve estimation process.
An economic cut-off grade has been used for mine production planning. The process is based on mine optimization to define economic boundaries of minable bauxite in measured or indicated classification from the resource model. The economic cut-off grade is dependent on various operating costs deducted against a base alumina price. The base alumina price has been estimated as a 9 year average (2025 to 2033). Mining cost estimations are also based over 9 years as related to the LTMP. The deductions and basis are shown in Table 12‑3. This benefit has been updated for the 2024 LTMP by Alcoa’s Mine Planning Department and was reviewed by the QP during the 2024 site visit to the mine planning department. It is the view of the QP that the economic cut-off grade reflects a reasonable market expectation for the sales of bauxite from the Darling Range based on alumina price movements and associated trend over the previous ten years. SLR have reviewed the various detailed inputs and are satisfied that the economic parameters applied to the cut-off grade definition are appropriate. Mining and refinery costs form part of the LTMP (2025-2033), with some key variables summarised in the table below.
Table 12‑3: Highlighted Cut Off Grade Variables
Plan Input Assumption |
Units |
Value |
Base Alumina Price |
USD/t |
400 |
Caustic Price (delivered) |
USD/t |
500 |
Recovery |
% |
93 |
Exchange Rate |
$A/USD |
0.7 |
Moisture Factor |
- |
0.91 |
The economic cut-off is determined by subtracting all incurred costs from the base alumina price. Operating costs are primarily influenced by haulage distance and the reliance on contract mining. Contract mining is used in areas where operations are limited to day shifts due to environmental restrictions. Haulage costs increase as the distance between the mined ore and the crusher station increases, which depends on the mine layout.
The current economic cut-off process described presents grades generally above 25.5% for AL and below 3.5% for SI. As previously reported an optimization process is followed that considers the costs associated with mining and processing the ore from each resource pit. Each resource area block model has its cut-off calculated before pit optimization is performed. Commodity pricing is described previously in Section 12.6.2.
The Huntly and Willowdale Darling Range mining operations currently feed the Wagerup and Pinjarra refineries. The Huntly mine provides feed for the Pinjarra refinery and the Willowdale mine provides feed for the Wagerup refinery. As announced in January 2024, the Kwinana refinery ceased production in the second quarter of 2024 following phased curtailment. The LTMP allows for a potential restart of Kwinana within the next ten years. Ore is transported via conveyor belt from the relevant crushers, and the battery limit for the mining process is the refinery gate. All three refineries are established, mature and use the conventional low-temperature Bayer refining processes.
|
161 |
|
Alcoa Corporation S-K 1300 Report |
Signature Date: 20 February 2025 SLR Project No.: 123.020514.00001 |
The refineries are designed to accommodate long-term average bauxite and impurity grades from the mines. Internal Alcoa specification contracts are established between the refineries and each of the mining operations and these contracts are updated annually and contemplate a five-year mine plan. These contracts set impurity targets, the key impurities being SI, oxalate, and iron. It is noted that short term (i.e. up to 2027) supply AL grades will be at lower acceptance limits and SI will be at towards upper acceptance limits. Mineral processing testing is discussed in Section 10.0, and processing and recovery in Section 14.0.
The internal LOM (nominally 2045) specification for bauxite is based on a 27.5% AL cut-over acceptance grade, which is supported by the MTP, LTMP and extensive operating history at the refineries. The Figures below show the LTMP for Al schedule for both Huntly (Figure 12‑5) and Willowdale (Figure 12‑6).
Figure 12‑5: LTMP: Huntly

Figure 12‑6: LTMP: Willowdale

Deleterious elements are managed within contracted limits by blending at each mine, with the aim of minimizing variation. The refineries conduct metallurgical test work to ensure that any potential effects of variance caused by new mining areas are understood.
|
162 |
|
Alcoa Corporation S-K 1300 Report |
Signature Date: 20 February 2025 SLR Project No.: 123.020514.00001 |
Geometallurgical analysis is conducted on drill hole samples using FTIR analysis as a primary method. A subset of the samples is assayed using conventional analytical procedures, with the results used for FTIR batch calibration and quality assurance purposes. The Mineral Resource model is coded for geometallurgical grades for available alumina and reactive silica. This information is reported in the Mineral Resource estimate as well as the Mineral Reserve estimate.
The Mineral Reserve is based on geometallurgical criteria that have been set by the refineries as suitable for producing alumina to agreed product marketing specifications.
The QP considers that, because of the integrated process by which Measured and Indicated Mineral Resources translate to Mineral Reserves for Alcoa’s Darling Range operation, there are no foreseeable risks associated with Modifying Factors (mining, processing, metallurgical, infrastructure, economic, marketing, legal, environment, social, or government) that materially affect the Mineral Reserve estimate at 31 December 2024.
The operations are sensitive to the economics related to the actual grade mined, as such lower alumina or higher reactive silica grades or a combination of both remain the main risk to the overall economics. Alcoa has demonstrated through its grade control program an effective control to minimizing the dilution and mining at its forecast grades. Grade control is particularly important along ore-waste boundaries to maintaining expected mined grades, Alcoa demonstrates processes to handle and define boundaries to mitigate these risks.
Haul distance is considered a major cost driver due to the hauling cost making up a significant portion of the mining cost. Hauling directly links to fuel cost and maintenance, the combination of an increased hauling distance as well as an increase in fuel cost and maintenance would result in a significant impact on the operational costs. Haul distances to Reserve blocks typically increase over time until such time there is a plant relocation and so there is an expected increase in hauling distance in the medium term. It is noted because of permitting challenges that there are some significant increases during the MTP schedule in haulage distances. Alcoa has previously managed such risks by defining when the major plant needs to be relocated, however permitting challenges in the short term need to be overcome with some longer than normal average haulage distances.
Alcoa may be unable to obtain or retain necessary permits, which could adversely affect its operations. The Darling Range operation is subject to extensive permitting requirements. The requirements to obtain and/or achieve or maintain full compliance with such permits can be costly and involve extended timelines and possible delays. Alcoa strives to obtain and comply with all required permits but there can be no assurance that all such permits can be obtained and/or always achieve or maintain full compliance with such permits.
|
163 |
|
Alcoa Corporation S-K 1300 Report |
Signature Date: 20 February 2025 SLR Project No.: 123.020514.00001 |
The Huntly and Willowdale mines employ conventional open pit mining practices and equipment. The fleet is mixed between contract and owner-operator, depending on the nature of the task at hand. Owner operator equipment is used for mining the bulk of the Mineral Reserve, operating in areas away from those subject to environmental restrictions. Contract mining operates smaller equipment, day shift only, in environmentally (noise) sensitive areas and at the perimeter of the mining area.
The Huntly mine currently operates at a nominal mining capacity in order to supply about 17 Mtpa to the Pinjarra refinery. The Willowdale mine further supplies 10 Mtpa to Wagerup refinery.
The Darling Range operations currently have a nominal expected LOM until 2045 (when ML1SA expires), although provision exists for Alcoa to apply for a further mineral lease (Section 3.2). As an annual rolling process, a Long Term Mine Plan (9-10 years) for the estimation of Mineral Reserves (Section 12.6.1) is developed from Measured & Indicated classified Mineral Resources. Appropriate modifying factors are applied to facilitate the conversion of the Resources to Reserves. The Reserves currently extend beyond the mine schedule (LTMP) that forms the basis of the 9-year LOM plan (see also Section 19.0). Mining units of 15 m by 15 m by 0.5 m vertically are in use at the operations (Section 12.6.2).
Dilution and ore loss are not reported separately to the Mineral Reserve (Section 12.5). Internal and edge dilution is modelled at the mine planning stage through the application of 15 m by 15 m mining blocks to the Mineral Resource model. These regularized blocks contain proportional estimates of ore and contaminants and are optimized through the application of an algorithm of a similar nature to Lerchs-Grossman developed specifically for the operation. This variation of the conventional Lerchs-Grossman algorithm is applied vertically, given that the shallow nature of the mineralization precludes geotechnical considerations. Blocks that do not satisfy grade and contaminant parameters against revenue are thus excluded from the mine plan.
Mining recovery from Huntly and Willowdale are estimated to be 95.6% and 98%, respectively.
Figure 3‑3 shows the outlines of mined areas, Mineral Resources, and Mineral Reserves, which are collectively taken as representing the final pit outline, as currently understood. This does not account for any required extensions or additional licenses and assumes that all Mineral Resources and Mineral Reserves are ultimately mined.
Following definition of Mineral Reserve blocks, vegetation is cleared ahead of mining by an Alcoa managed contractor on behalf of the Western Australian State Forest Products Commission (FPC), saleable timber being harvested for use. Clearing approval is sought ahead of mining allowing time for harvesting of saleable timber before vegetation clearing.
After vegetation clearing and harvesting of saleable timber, Alcoa operations commence stripping topsoil and Secondary Overburden Removal (SOBR) using small excavators, scrapers, and trucks. Soil is stockpiled at the site, away from the proposed pit, for rehabilitation purposes. Soil is stockpiled in windrows in such a manner that it maintains its organic viability.
|
164 |
|
Alcoa Corporation S-K 1300 Report |
Signature Date: 20 February 2025 SLR Project No.: 123.020514.00001 |
The dieback fungus (Phytopthora spp.) is endemic in parts of the mining areas, which are flagged by Alcoa and precautions are taken to contain the fungus, which is lethal to the eucalyptus forest. The QP observed these precautions, which include separation of machinery fleets in areas where dieback is present and washing of machinery before entry into different areas. This represents a minor short-term scheduling challenge, though it is well managed.
The SOBR process is specialized and aims to remove as much overburden and organic material from the top of the mineralization as possible. This organic material reacts with NaOH in the refinery to produce oxalates, which are deleterious to the process. After scrapers have removed the topsoil and overburden, small (60t class) excavators equipped with swivel buckets are used to scrape clay containing organic material from the undulating surface of the hardcap that sits on top of the mineralization. This is later used to backfill mined out areas.
Figure 13‑1: SOBR (SLR, 2022)

The SOBR process is applied to those areas where hardcap has been identified by Resource definition drilling, using the drillers’ logs. The hardcap is drilled and blasted before mining with the rest of the bauxite sequence.
In areas without hardcap, wheel tractor-scrapers of 24 m³ capacity remove soil overburden, scraping directly to the top of the mineralization model surface, being controlled by GPS. This material is similarly stockpiled for rehabilitation or used as backfill in exhausted mining areas.
|
165 |
|
Alcoa Corporation S-K 1300 Report |
Signature Date: 20 February 2025 SLR Project No.: 123.020514.00001 |
Figure 13‑2: Topsoil Removal (Background), Blasting of Hardcap and Marking of Ore (foreground) (SLR, 2021)

When required a surface miner is employed in limited areas of hardcap in the vicinity of blasting-sensitive infrastructure such as power lines. The surface mining may also be employed in lieu of SOBR where appropriate, for example, where there are high levels of contaminants in the hardcap. During both the 2023 and 2024 visits it was noted that as there were no operations of sensitivity around infrastructure the surface miner was not required.
Mining progresses on 4 m benches, utilizing a contour-mining sequence, cutting benches across the topography, working from top to bottom, maintaining the flattest floor obtainable to a maximum gradient of 1:7. Most of the mineralization lies beneath a gently undulating topography and contour mining is minimal.
|
166 |
|
Alcoa Corporation S-K 1300 Report |
Signature Date: 20 February 2025 SLR Project No.: 123.020514.00001 |
Figure 13‑3: Contour Mining (SLR, 2021)

On completion of overburden removal, the exposed surfaces are sheeted with 0.25 m of suitable mineralized material taken from the dozed second cut in adjacent pits. Where hardcap is present, a drill rig is mobilized, and the hardcap drilled and blasted on an appropriate pattern to fragment the hardcap.
Trucks haul the mined ore to fixed crushers, which crush the material to varying sizes (refer to Section 14.0) before conveying down the escarpment to the refinery where it is stockpiled to give surge capacity.
No visual grade control is applied, the ore contacts being gradational. Grade control is achieved by mining to electronic ore surfaces derived from drill assays, control being achieved using GPS equipped equipment, the GPS being regularly calibrated.
Blending takes place at the pit face before which the crushed ore from different pits is assessed using specialist short-term mine planning software and pit production is scheduled to achieve the desired blend.
The QP is of the opinion that considering the style of mineralization, the average depth of the deposit, and the material characteristics of the overburden material whereby it is amenable to ripping / excavation using conventional earth-moving equipment, the open pit mining method adopted at Darling Range is the most appropriate method for the Mineral Reserves.
Haul roads are the limiting factor to the mining operations. Major haul roads are established to each mining area, honoring the topography at the least possible gradient. Roads are unsealed and formed by conventional bulldozer and grader and sheeted with appropriate material. Once established, haul road maintenance was observed to be continuous and forms part of the operating cost for each mining area. Haul roads are observed by the QP to be treated as sustaining capital in an appropriate manner.
|
167 |
|
Alcoa Corporation S-K 1300 Report |
Signature Date: 20 February 2025 SLR Project No.: 123.020514.00001 |
Figure 13‑4: Truck on Haul Road (SLR, 2021)

Figure 13‑5: Haul Roads with Berms (SLR, 2021)

Secondary haul roads to individual mining areas are formed in the same manner, with provision for rehabilitation once mining is complete.
The Darling Range climate is subject to wet winter months and trafficability of haul roads during these months is included in mine planning. Redundancy during wet months is planned for, allowing well drained areas to be mined in the wet.
|
168 |
|
Alcoa Corporation S-K 1300 Report |
Signature Date: 20 February 2025 SLR Project No.: 123.020514.00001 |
There are some restrictions to the establishment and operation of haul roads, and these are incorporated into the road design and operation:
The QP has observed that Alcoa’s Darling Range operations have a well-established system for haul road design, construction, maintenance and regulation and that this does not present a major impediment to mining efficiency.
The main elements of infrastructure at Alcoa’s Darling Range mining operations are the location of crushers and conveyors to the refineries. These crushers form hubs for the mining operations, connected by the primary haul roads and are scheduled to be moved every ten years or so, in accordance with the requirements of the mining schedule and the location of ore as the mines progress. This crusher movement is planned well in advance and is treated as sustaining capital expenditure.
The crushers would be regarded as on relatively light duty for a mining operation and are well maintained. Similarly, the conveyors, which operate all year round and are covered, negating any potential effect of weather.
|
169 |
|
Alcoa Corporation S-K 1300 Report |
Signature Date: 20 February 2025 SLR Project No.: 123.020514.00001 |
Figure 13‑6: Covered Conveyor (SLR, 2021)

Both the crushers and conveyors were observed to be in excellent condition and subject to scheduled maintenance, including replacement of conveyor belts.
Alcoa plans additional stockpiling compared to the historical direct feed mine to crusher operation as part of the LTMP 2025. In this change stockpiling and reclaim will be utilized to smooth feed grade to the crushers from the variable grades to be mined. Whilst adding a marginal operating cost for the rehandle it is envisaged this provides a cost benefit in completely mining out pits rather than having to return periodically as grade dictated previously.
Other ancillary equipment includes offices, ablutions, crib-rooms, and workshops, all of which were observed to be in excellent condition.
Based on their long operating history, Alcoa’s approach to mine stability has largely been based on strong pit performance. Mining at Alcoa’s Darling Range operations is very shallow, pits being an average of 4 m deep. Consequently, geotechnical considerations are negligible other than immaterial localized batter failures. Similarly, the mining areas are elevated and well drained and groundwater and surface water hydrology is not material in these areas other than the catchment, impoundment, and decantation of runoff during the wet winter months. No drainage diversion occurs or is necessary because the mineralization sits between the stream beds and the bauxite occurs above the groundwater table. Deeper bauxite may be seasonally affected by the water table and is scheduled to be mined in summer. Backfilling of these places occurs before the rain raises the water table.
Contour mining (Figure 13‑7) is practiced in areas of relatively steep topography, maintaining access ramps at less than 1:8 gradient and mining across the contour and downwards, creating a flat working floor. Hydrological considerations in these areas include management of runoff during the wet winter months and trafficability.
Mine overburden is progressively backfilled into adjacent exhausted pits (Figure 13‑8), topsoiled, landscaped (Figure 13‑9), and rehabilitated by re-establishment of native
|
170 |
|
Alcoa Corporation S-K 1300 Report |
Signature Date: 20 February 2025 SLR Project No.: 123.020514.00001 |
vegetation (Figure 13‑10), creating a stable post-mining landform that replicates the pre-existing environment. Recommended pit design constraints are shown in Table 13‑1.
Table 13‑1: Alcoa Recommended Pit Design Constraints
Feature |
Constraint |
Pit total void Crest/Toe offset |
0.15m |
Maximum floor cut for a digger |
4m. Recommended 3.5m |
Maximum floor cut for a loader (depending on loader size) |
7m. Recommended 6m (depending on loader size) |
Dozer Push |
Recommended 50m but can be dependent on the pit and extraction |
Minimum Cut depth (non terrace) |
Huntly 2m, WDL 1.5m |
Maximum Cut depth before a berm |
8m cut, then a 7.5m berm is required |
Offset to Non blasted ground |
7.5m |
WSP-Golder were engaged by Alcoa to undertake a desktop study and gap analyses in February 2023 as part of broader scope to develop a ground control management plan for their Huntly and Willowdale operations. As part of the study, critical geotechnical hazards were identified with any associated failure mechanisms. These include rock fall, excavator stability whilst loading, dump / stockpile stability and land slips / rotational failure of batters. Surface water and groundwater are closely interlinked and are considered a major trigger for initiating all of these events. A geotechnical training package has been developed in order to provide training to mine operating staff. Ideally, all employees should be able to identify warning signals and are responsible for making the mine a safe place to work. All hazards are site specific related to Huntly and Willowdale operations. Recommendations for controls have been provided and can be applied as part of standard work procedures.
Alcoa mines areas of both flatter and steeper terrain, adopting higher walls and multi batter slopes where gradients are higher. It is recommended material strength characterization and stability analyses are continually investigated in particular for areas with planned high walls. A forward work plan with more detailed recommendations is available.
|
171 |
|
Alcoa Corporation S-K 1300 Report |
Signature Date: 20 February 2025 SLR Project No.: 123.020514.00001 |
Figure 13‑7: Contour Mining (SLR, 2021)

Figure 13‑8: Soil Being Returned for Backfilling and Landscaping the Pit (Alcoa, 2018)

|
172 |
|
Alcoa Corporation S-K 1300 Report |
Signature Date: 20 February 2025 SLR Project No.: 123.020514.00001 |
Figure 13‑9: Landscaped Mining Area, Prior to Replanting of Forest (SLR, 2021)

Figure 13‑10: Rehabilitated Pit Through Re-plantation of Native Vegetation (SLR, 2021)

|
173 |
|
Alcoa Corporation S-K 1300 Report |
Signature Date: 20 February 2025 SLR Project No.: 123.020514.00001 |
Mining is undertaken by 250 t and 200 t-class excavators top-loading 140 t and 190 t capacity rigid-bodied mining trucks (Figure 13‑11). This fleet was observed by the QP at Huntly to be aged. The equipment has undergone relatively light duties for a mining fleet, which prolongs its life. Sustaining capital is being invested in equipment replacement and modernization at Willowdale, progressively working toward Huntly. New equipment includes 250 t-class excavators and 140 t-class trucks.
A full list of equipment at Darling Range is provided in Table 13‑2.
Figure 13‑11: Ore Mining at Darling Range (SLR, 2021)

Table 13‑2: Darling Range Operations Equipment List
Location |
Classification |
Type |
No. Units |
Huntly |
Primary |
Excavator |
6x CAT 336D 2x Komatsu PC3000 3x Komatsu PC2000 4x Hitachi 2600-7 |
Haul truck 1 |
8x CAT 789C (190T) 9x CAT 789D (190T) 4x Komatsu HD 1500 |
|
174 |
|
Alcoa Corporation S-K 1300 Report |
Signature Date: 20 February 2025 SLR Project No.: 123.020514.00001 |
|
Ancillary |
Bulldozer / Loader |
3x CAT D11R 3x Komatsu 475 2x Komatsu 375 1x CAT 992K 2x CAT 993K 2x CAT 980 Loaders |
Grader |
2x CAT 16M 1x CAT 24M |
||
Scrapers |
5x CAT 637G |
||
Low Loaders |
1x CAT 785D (220T) 1x CAT 793 (450T) 1x CAT 785C (175T) |
||
Water truck |
3x CAT 785C |
||
Drills |
3x Epiroc D50 (Blast) 5x WB93 (Exploration) |
||
Willowdale |
Primary |
Excavator |
2x Hitachi ZX360 2x CAT 336D 1x Komatsu PC2000 2x Komatsu PC3400 |
Haul truck 1 |
6x Komatsu 730E (190T) |
||
Ancillary |
Bulldozer / Loader |
3x CAT D11T 1x Komatsu 475 2x CAT 993K 2x Komatsu WA320 |
|
Grader |
1x CAT 16H 1x CAT 18M |
||
Scrapers |
3x CAT 637K 1x CAT 637G |
||
Low Loaders |
1x CAT 793 (450T) |
||
Water truck |
2x CAT 777F 2x Komatsu 730E |
||
Drills |
3x Epiroc D50 (Blast) |
Alcoa’s practice in noise sensitive areas such as the perimeter of the operation near residents is to engage contractors. These areas operate on day shift only and attract higher operating costs than the main production areas. The flexibility required in these areas precludes the use of the primary owner-operator fleet and equipment is dry or wet hired or mining takes place under conventional schedule of rates contracts.
Alcoa also engages contractors for aspects of haul road construction services, in select areas of pit development, and during landscaping activities for rehabilitation after mining.
This practice has led to the establishment of a secondary contracting industry around the Darling Range operations. Contractors are overseen by Alcoa personnel.
|
175 |
|
Alcoa Corporation S-K 1300 Report |
Signature Date: 20 February 2025 SLR Project No.: 123.020514.00001 |
Ancillary equipment at Alcoa’s Darling Range operations includes a fleet of bulldozers, graders and loaders that are primarily used for haul road formation, pit development (for the removal of overburden and blasted caprock) and ground preparation for digging, landscaping, clean-up, and road maintenance.
The SOBR process requires small excavators, articulated trucks, scrapers, and specialist skills to grub organic-containing clay from the top of the mineralization.
Figure 13‑12: Blasthole Drill Working on Hardcap (SLR, 2021)

All ancillary equipment was observed to be in good and well-maintained conditions, the conditions being relatively light duty in comparison to other Western Australian mining operations. The current mining areas are shown in Figure 13‑2.
The main production mining operations are primarily Owner-operated using Alcoa equipment and employees. Contractors are also used for certain activities on site.
Three unions are recognized at the operations:
Lost time during strikes is generally uncommon. The Enterprise Agreements (EA) have varied timing for expiration. The AMWU Agreement, negotiated in early 2023, will expire in
|
176 |
|
Alcoa Corporation S-K 1300 Report |
Signature Date: 20 February 2025 SLR Project No.: 123.020514.00001 |
April 2027. The ETU EA was negotiated at the end of 2021, with a 4 year term and the AWU Agreement was negotiated in the fourth quarter of 2023, with a 2.5 year term.
Alcoa’s Darling Range operations were observed to have a stable workforce, drawn from the surrounding areas. The location is highly desirable in the Western Australian mining context and skilled personnel are readily attracted to the operations. Primary haul roads are named after personnel with greater than forty years’ service and there are many of these.
Employee turnover is below industry standard, as the drive in, drive out nature of the work attracts many to work at Alcoa.
As of December 2024, the Huntly and Willowdale operations together employ 981 employees consisting of 36 technical, 122 management and 823 operations employees. Additionally, 171 employees are centrally employed on the combined operations.
A breakdown is shown in Table 13‑3 (current vacancies not accounted for).
Table 13‑3: Darling Range Personnel
Location |
Classification |
No Personnel |
Huntly |
Technical |
24 |
Management |
71 |
|
Operations |
566 |
|
Willowdale |
Technical |
12 |
Management |
51 |
|
Operations |
257 |
|
Central |
Technical |
46 |
Management |
21 |
|
Operations |
104 |
|
Total |
1152 |
|
|
177 |
|
Alcoa Corporation S-K 1300 Report |
Signature Date: 20 February 2025 SLR Project No.: 123.020514.00001 |
The process plant for the Darling Range operations consists of two separate crushing facilities at the Huntly and Willowdale mines. Both facilities crush the ROM and convey the crushed ore to two separate refineries.
The Willowdale operation consists of a single stage crushing flowsheet and includes a series of conveyors to transport the crushed ore at an annual throughput of 10 Mtpa. The ROM is discharged from trucks on a dump hopper. An apron feeder transfers the ore from the dump hopper to a vibrating grizzly with an aperture of 180 mm. The grizzly oversize is discharged into a single toggle jaw crusher which crushes the ore to a top size of 180 mm. A hydraulic rock breaker is installed at the crusher to break the larger rocks that do not pass through the crusher opening. The crushed product and the grizzly undersize are discharged on to a discharge conveyor and subsequently discharged on to an overland conveyor. The discharge conveyor is fitted with a tramp magnet to remove any metal that is present along with the crushed ore product. The overland conveyor, which is 9.4 km long, transports the crushed ore to an intermediate transfer station. The ore is then transported by a second overland conveyor, 8.8 km long, to the transfer station located at Wagerup. An apron feeder is used to transfer the crushed ore from the Wagerup transfer station on to a stockpile conveyor and subsequently discharge on a stacker conveyor. The stacker conveyor discharges the ore into two separate stockpiles. The crushed ore is then reclaimed from there for processing in the Wagerup refinery. The total capacity of the stockpiles is approximately 0.7 Mt and sufficient for three weeks of feed to the refinery.
A simplified block flow diagram of the Willowdale operation is shown in Figure 14‑1.
Figure 14‑1: Simplified Block Flow Diagram of the Willowdale Operation

The Huntly operation consists of multiple stages of crushing and includes a series of conveyors to transport the crushed ore to the refinery at an annual throughput of 17 Mtpa. The primary crushing is achieved by two similar crushing circuits operating in a parallel
|
178 |
|
Alcoa Corporation S-K 1300 Report |
Signature Date: 20 February 2025 SLR Project No.: 123.020514.00001 |
configuration. The ROM is discharged from trucks on dump hoppers. Apron feeders transfer the ore from the dump hopper to vibrating grizzlies with an aperture of 180 mm. The grizzly oversize fractions are fed to jaw crushers which crush the ore to a top size of 200 mm. The crushed product and the grizzly undersize are discharged on to discharge conveyors and transferred to the secondary crushers (sizers). The discharge conveyors are each fitted with a tramp magnet to remove any metal that is present in the crushed ore. Secondary crushing is achieved in sizers with the objective of reducing the ore particle size to a top size of 100 mm. The secondary crusher product is transported by three overland conveyors (operating in series with two intermediate transfer stations in between) to a transfer station and randomly split into two by a splitter bin.
One fraction from the splitter bin is transferred by another overland conveyor and discharged into a stockpile conveyor via an apron feeder. The stockpile conveyor transfers the ore and subsequently discharges onto a stacker conveyor. The stacker conveyor discharges the ore into two separate stockpiles identified as Stockpile 1 and Stockpile 2. The crushed ore is then reclaimed from there for processing in the Pinjarra refinery. The second fraction of the ore is transported by an overland conveyor to an apron feeder, to a transfer conveyor and then to an adjustable splitter chute located at a separate transfer station. One of the splits from the splitter chute previously led to the Kwinana refinery, prior to curtailment in Q2 2024. Currently the whole stream is destined for Pinjarra refinery.
The fraction for the Pinjarra refinery is transported by stockpile conveyor and subsequently discharged on to two sperate stockpiles (identified as Stockpile 3 and Stockpile 4) via a stacker conveyor. The ore is then reclaimed from the stockpiles for processing in Pinjarra refinery along with the ore from Stockpile 1 and Stockpile 2.
The split for Kwinana refinery was transported by a conveyor and processed by a tertiary crushing circuit consisting of two roller crushers operating in parallel configuration. The tertiary crusher product with a top size of 25 mm was transferred by a stockpile conveyor and discharged into two separate stockpiles identified as Stockpile 5 and Stockpile 6 via a stacker conveyor. The crushed ore from Stockpiles 5 and Stockpile 6 was then reclaimed and transferred by a reclaim conveyor to a surge bin for subsequent loading and transport to the refinery by train. This section (System 4) was put into care and maintenance following the curtailment of Kwinana. A simplified block flow diagram of the full Huntly operation, prior to Kwinana curtailment, is shown in Figure 14‑2.
|
179 |
|
Alcoa Corporation S-K 1300 Report |
Signature Date: 20 February 2025 SLR Project No.: 123.020514.00001 |
Figure 14‑2: Simplified Block Flow Diagram of the Huntly Operation

* System 4 of the flowsheet above is currently on care and maintenance following curtailment of the Kwinana refinery. The supply to Pinjarra remains as previous.
The primary equipment lists of the full Willowdale and Huntly operations are shown in Table 14‑1 and Table 14‑2.
Table 14‑1: Primary Equipment List (Willowdale)
Equipment |
Quantity |
Installed Power (kW) |
Apron feeder |
1 |
264 |
Vibrating grizzly |
1 |
75 |
Primary Crusher |
1 |
355 |
Discharge conveyor |
1 |
132 |
Overland conveyor |
1 |
2500 |
|
180 |
|
Alcoa Corporation S-K 1300 Report |
Signature Date: 20 February 2025 SLR Project No.: 123.020514.00001 |
Overland conveyor |
1 |
1800 |
Apron feeder |
1 |
75 |
Stockpile conveyor |
1 |
300 |
Stacker boom conveyor |
1 |
110 |
Table 14‑2: Primary Equipment List (Huntly)
Equipment |
Quantity |
Installed Power (kW) |
Apron feeder |
1 |
260 |
Vibrating grizzly |
1 |
55 |
Primary Crusher |
1 |
250 |
Discharge conveyor |
1 |
140 |
Secondary crusher |
1 |
1000 |
Apron feeder |
1 |
260 |
Vibrating grizzly |
1 |
75 |
Primary Crusher |
1 |
250 |
Discharge conveyor |
1 |
140 |
Secondary crusher |
1 |
1000 |
Overland conveyor |
1 |
7500 |
Overland conveyor |
1 |
5000 |
Overland conveyor |
1 |
6100 |
Apron feeder |
1 |
75 |
Overland conveyor |
1 |
1500 |
Apron feeder |
1 |
55 |
Apron feeder |
1 |
75 |
Overland conveyor |
1 |
1350 |
Apron feeder |
1 |
110 |
Stockpile conveyor |
1 |
225 |
Stacker boom conveyor |
1 |
110 |
Yard conveyor* |
1 |
250 |
Stockpile conveyor* |
1 |
150 |
Stacker boom conveyor* |
1 |
110 |
Conveyor* |
1 |
250 |
Apron feeder* |
1 |
75 |
Tertiary crusher* |
1 |
370 |
Apron feeder* |
1 |
75 |
Tertiary crusher* |
1 |
370 |
Stockpile conveyor* |
1 |
300 |
Stockpile boom conveyor* |
1 |
110 |
Bucket wheel reclaimer* |
1 |
264 |
|
181 |
|
Alcoa Corporation S-K 1300 Report |
Signature Date: 20 February 2025 SLR Project No.: 123.020514.00001 |
Reclaim bridge conveyor* |
1 |
110 |
Transfer conveyor* |
1 |
280 |
Reclaim conveyor* |
1 |
280 |
Reclaim conveyor* |
1 |
900 |
* These items are associated with System 4, which is currently on care and maintenance following curtailment of the Kwinana refinery.
The power consumption of the Huntly operation is approximately 5,500 MWh to 6,500 MWh per month. The Willowdale power consumption is approximately 2,000 MWh per month.
The process plant is a dry crushing operation and therefore water is only required for dust suppression and is included as part of mine water consumption. Water is not required as a consumable for the plant.
Other consumables of the process plant include crusher liners, screen panels and spares for feeders and conveyors. These are kept on site and replaced as part of the routine maintenance schedule according to manufacturer’s guidelines.
Personnel requirements for the operation and maintenance of the plant as described are included in Table 13‑3.
The QP is of the opinion that the selected processing method and the flowsheet are suitable for Darling Range operations. It is important to note that the ore head grades meet the refinery specifications for processing in terms of Al₂O₃ grades and SiO₂ grades, this means the ore can be directly shipped to the refineries for further processing without any upgrading in the mineral processing plant. The crushing circuit reduces the particle size suitable for conveying as well as to meet particle size specified by the refineries.
|
182 |
|
Alcoa Corporation S-K 1300 Report |
Signature Date: 20 February 2025 SLR Project No.: 123.020514.00001 |
The infrastructure for the mining operations is established and operational. In 2021, the infrastructure hub for Willowdale was relocated 16 km southwards from Orion (after having been based there for 21 years) to the Larego Hub which is located about 20 km north-east of the town of Harvey. The hub hosts administrative offices, as well as crushing facilities and maintenance facilities. The Orion Hub site is currently being rehabilitated with planning for infrastructure decommissioning commencing in 2025.
The mining hubs are relocated periodically as production moves away from the hub and thus transportation costs increase. Alcoa plans for the Larego Hub to be in place for approximately 20 years, though this is the fourth relocation since the mines opened in the 1970s/80s (approximately 13 years on average). The mining hub relocations are well-understood with planning and associated budgeting occurring well in advance of relocations; production restarted seven days after the most recent shutdown.
An extensive haul road network, rail, and overland conveyors are able to transport crushed bauxite from the Hub to the refineries on the coast (namely Kwinana, Wagerup and Pinjarra). As announced in January 2024, the Kwinana refinery ceased production in the second quarter of 2024 following phased curtailment; with the associated mine plans being revised accordingly.
Bauxite is transferred from each mine to Wagerup and Pinjarra primarily via long distance conveyor belt. Rail transport of bauxite to the curtailed Kwinana refinery is also possible. The Alumina produced by the refineries is then shipped to external and internal smelter customers through the Kwinana and Bunbury ports.
The infrastructure layout for the Darling Range operations is shown below (Figure 15‑1).
|
183 |
|
Alcoa Corporation S-K 1300 Report |
Signature Date: 20 February 2025 SLR Project No.: 123.020514.00001 |
Figure 15‑1: Infrastructure Layout (Alcoa, 2022)

|
184 |
|
Alcoa Corporation S-K 1300 Report |
Signature Date: 20 February 2025 SLR Project No.: 123.020514.00001 |
The Darling Range is readily accessible via road from Perth and surrounding areas. The mines are near the towns of Pinjarra and Waroona. Both towns are easily accessible via the national South Western Highway, a sealed single carriageway road, which starts on the southern side of Perth and continues for almost 400 km to the southwest corner of Western Australia.
The Huntly mining area is accessible from the South Western Highway via Del Park Road, a sealed single carriageway road which connects the town of North Dandalup in the north with Dwellingup in the south. From Del Park Road, a further sealed road which follows the route of the bauxite conveyor to the Pinjarra refinery provides access to the Huntly site.
The Willowdale mining area is similarly accessible from the South Western Highway via Willowdale Road, a sealed single carriageway road to the south of Waroona.
Major haul roads have been established to each mining area. Roads are unsealed and require continuous ongoing maintenance which was observed during the site visit. Secondary haul roads, also unsealed, cross-cut each individual mining plateau.
The Darling Range’s Pinjarra refinery receives power from the South West Interconnected System (SWIS). The refinery also has internal generation capacity of 100 MW from 4 steam driven turbine alternators, with steam produced by gas fired boilers and a gas turbine Heat Recovery Steam Generator (HRSG). The refinery supplies power to the Huntly Mine by three different power supply lines (a single 33 kV and two 13.8 kV).
Willowdale Mine has a single 22 kV power supply fed from the Wagerup refinery. The Wagerup refinery is a net exporter of power to the SWIS, with internal generation capacity of 108 MW from three steam driven turbine alternators and one gas turbine. The steam is produced by gas fired boilers.
The power consumption of the Huntly operation is approximately 5,500 MWh to 6,500 MWh per month. The Willowdale power consumption is approximately 2,000 MWh per month.
Water is used on the mines for dust suppression, dieback washdown, vehicle washdown, workshops, conveyor belt wash, construction, and domestic purposes. The water supplies for mining consist of licensed surface water sources supplemented with treated wastewater from vehicle washdowns, stormwater runoff and maintenance workshops.
The WA mines are licensed by the Department of Water and Environmental Regulation (DWER) to draw surface water from five locations to meet their water supply requirements. The Huntly mine draws water from Banksiadale Dam and Boronia Waterhole. Huntly mine also holds a license to draw water from Pig Swamp and Marrinup, however these resources are retained as a backup water supply and have not been utilized in recent years. Huntly mine is also permitted to draw water from South Dandalup Dam under an agreement with the Water Corporation. A pumpback facility from South Dandalup Dam to Banksiadale Dam is used to raise levels in Banksiadale Dam during periods of low rainfall runoff. Willowdale Mine draws water from Samson Dam.
Table 15‑1 summarizes the license allocation for water usage. In 2023, water abstraction comprised approximately:
|
185 |
|
Alcoa Corporation S-K 1300 Report |
Signature Date: 20 February 2025 SLR Project No.: 123.020514.00001 |
An additional 126,306 kL was also abstracted from South Dandalup Dam under the agreement with Water Corporation.
Table 15‑1: Water Abstraction License Volumes
Site |
Water Source |
Surface Water License |
Annual Water Entitlement |
Huntly |
South Dandalup Dam |
N/A |
N/A |
Huntly |
Banksiadale Dam |
SWL63409 |
500,000 |
Huntly |
Pig Swamp Waterhole |
SWL153635 |
30,000 |
Huntly |
Boronia Waterholeon Marrinup Brook |
SWL83356 |
70,000 |
Marrinup Nursery |
Lot 908 on Marrinup Brook |
SWL68893 |
45,000 |
Willowdale |
Samson Dam |
SWL61024 |
450,000 |
There are no Alcoa accommodation facilities within the Darling Range. As described above, the Huntly and Willowdale mining areas are within proximity to established population centers including Pinjarra approximately 30 km to the southwest of Huntly and Waroona approximately 20 km northwest of Willowdale.
On site facilities includes offices, ablutions, crib-rooms, and workshops, all of which were observed to be in excellent condition.
No tailings are generated within the boundaries of the mining operations. The management of tailings generated downstream at the refineries is beyond the boundaries of the Darling Range mining operations and are therefore not considered in this TRS.
Alcoa’s Darling Range mining operations do not produce mine waste or “mullock” in the same manner as conventional mining operations and waste dumps are not constructed.
Topsoil and overburden from Darling Range ore blocks is carefully segregated for later rehabilitation of adjacent, completed mining operations. Overburden is used to backfill these shallow, completed pits and the topsoil spread on top and contoured. Maximum slopes (angle and length) are defined in the Completion Criteria. If topsoil has been harvested and stored for up to three months prior to use as a rehabilitation input it is considered ‘direct-return’ and seeding may not be undertaken. If it is older than 3 months, it is considered ‘fallow’ and requires seeding. Nursery-raised seedlings are also used in rehabilitated areas.
To date, some 20,000 ha of mined areas have been backfilled and reforested, which represents around 75% of the area mined since 1966, including areas reserved for long-term infrastructure. Rehabilitation standards are described in Alcoa’s 2016 statutory Bauxite Mine Rehabilitation Completion Criteria. These completion criteria have been progressively revised since inception in the 1990s.
|
186 |
|
Alcoa Corporation S-K 1300 Report |
Signature Date: 20 February 2025 SLR Project No.: 123.020514.00001 |
Alcoa Corporation is a vertically integrated aluminum company comprising bauxite mining, alumina refining, aluminum production (smelting and casting), and energy generation.
Through direct and indirect ownership, Alcoa Corporation has 27 locations in nine countries around the world, situated primarily in Australia, Brazil, Canada, Iceland, Norway, Spain, and the United States. Governmental policies, laws and regulations, and other economic factors, including inflation and fluctuations in foreign currency exchange rates and interest rates, affect the results of operations in these countries.
There are three commodities in the vertically integrated system: bauxite, alumina, and aluminum, with each having their own market and related price and impacted by their own market fundamentals. Bauxite, which contains various aluminum hydroxide minerals, is the principal raw material used to produce alumina. Bauxite is refined using the Bayer process to produce alumina, a compound of aluminum and oxygen, which in turn is the raw material used by smelters to produce aluminum metal.
Alcoa obtains bauxite from its own resources and processes over 80% of its combined bauxite production into alumina. The remainder is sold to the third-party market.
Aluminum is a commodity that is traded freely on the London Metal Exchange (LME) and priced daily. Pricing for primary aluminum products is typically composed of three components:
Further, alumina is subject to market pricing through the Alumina Price Index (API), which is calculated by the Company based on the weighted average of a prior month’s daily spot prices published by the following three indices: CRU Metallurgical Grade Alumina Price; Platts Metals Daily Alumina PAX Price; and Metal Bulletin Non-Ferrous Metals Alumina Index. As a result, the price of both aluminum and alumina is subject to significant volatility and, therefore, influences the operating results of Alcoa Corporation.
Unlike alumina and aluminum, bauxite is not a standard commodity traded on an index. Bauxite’s grades and characteristics vary significantly by deposit location and the value of bauxite deposits for each downstream refinery could be different, based upon:
As such, there is no widely accepted index for bauxite. Most bauxite traded on the third-party market is priced using a value-in-use methodology. The key assumption for the value-in-use methodology is that both the (1) offered bauxite and the (2) comparative bauxite being used in the target refinery will generate the same refining cost. As such, using the known price for the comparative bauxite used in the target refinery, the offered bauxite price will then be derived by considering the bauxite characteristics and quality differences between the offered and comparative bauxite.
Bauxite is the principal ore of alumina (Al₂O₃), which is used to produce aluminum. Bauxite mining and alumina refining are the upstream operations of primary aluminum production.
|
187 |
|
Alcoa Corporation S-K 1300 Report |
Signature Date: 20 February 2025 SLR Project No.: 123.020514.00001 |
China is the largest third-party seaborne bauxite market and accounts for more than 90% of all bauxite traded. Bauxite is sourced primarily from Guinea and Australia on the third-party market. In the long run, China is expected to continue to be the largest consumer of third-party bauxite with Guinea expected to be the majority supplier. Further, third-party traded bauxite is expected to be tight over the next decade, driven by China demand together with new supplies coming from Guinea.
Bauxite characteristics and variations in quality heavily impact the selection of refining technology and refinery operating cost. A market bauxite with high impurities could limit the customer volume an existing refinery could use, resulting in a discount applied to the value-in-use price basis.
Besides quality and geography, market fundamentals, including macroeconomic trends – the prices of raw materials, like caustic soda and energy, the prices of Alumina and Aluminum, and the cost of freight – will also play a role in bauxite prices.
The Darling Range mines are part of an integrated operation of two mines, three refineries and two ports. Subsequent to 2021, production from the Darling Range mines (Huntly and Willowdale) was used exclusively for consumption by the integrated refineries.
Bauxite is transferred from each mine to the refineries primarily via long distance conveyor belt, apart from the Kwinana refinery, which receives bauxite via railway. The Alumina produced by the three refineries is then shipped to external and internal smelter customers through two ports, based in Kwinana and Bunbury.
As intended, the Kwinana refinery ceased production in the second quarter of 2024 following phased curtailment. The updated mine plans have been revised accordingly.
In 2016, Darling Range entered into a 5-year third-party sales contract with a major alumina producer in China. Following the expiration of the third-party sales contract at the end of 2021, all bauxite production from Huntly and Willowdale was consumed internally by Alcoa refineries.
The pricing mechanism of the third-party sales contract was based on a value-in-use methodology (as described in Section 16.1) that was anchored to the customer’s other bauxite sources at the time of execution, with a market adjustment factor linked to the alumina price.
Alcoa determines economic cut-off grade by deducting operational costs (mining, refining etc) from a base alumina price of USD 400 per tonne. This approach is described in more detail in Section 12.7.
As per previous disclosures, the bauxite price utilized in the mine cashflow is represented by an intercompany price, indicative of mine sales to the refinery, inflated by 3% YoY. The weighted average of this price is $23.19/t over the detailed mine plan period of nine years.
|
188 |
|
Alcoa Corporation S-K 1300 Report |
Signature Date: 20 February 2025 SLR Project No.: 123.020514.00001 |
All Darling Range production is shipped via conveyor to one of the Alcoa’s Pinjarra and Wagerup refineries.
Material operational contracts that are in place include:
These types of contracts are typical of other similar mining operations.
|
189 |
|
Alcoa Corporation S-K 1300 Report |
Signature Date: 20 February 2025 SLR Project No.: 123.020514.00001 |
Alcoa has established practices and processes for enabling conformance to environmental requirements. Sensitive areas are identified and managed ahead of disturbance. Environmental factors are considered prior to infill drilling; hence, mining blocks carrying environmental risks do not feature in the Mineral Reserves (for example, areas around granite outcrops and water courses have a buffer applied and are considered no-go areas from a mining perspective). Mining in some areas became more constrained in 2023 as a result of internal and external factors; these constraints continued through 2024 and are associated with:
The Final 2023-2027 MMP was developed by Alcoa and approved by the Minister for State Development in December 2023. It excludes an environmental assessment of mine development activities associated with the Myara North and Holyoake mining regions currently under consideration by the EPA and DCCEEW (section 17.1.2). The MMP describes Alcoa’s proposed mining operations for the Huntly and Willowdale mines within ML1SA from 1 January 2023 to 31 December 2027. For example, Alcoa undertakes surveys to inform the mine plan development, characterization of ore quality and volumes, assess geotechnical conditions, identify constraints and protect or manage important environmental, cultural heritage and social values. Surveys include:
|
190 |
|
Alcoa Corporation S-K 1300 Report |
Signature Date: 20 February 2025 SLR Project No.: 123.020514.00001 |
As reported in the 2023 TRS, the current restrictions on mining while the EPA assesses the 2023-2027 MMP and Alcoa continues to operate under the Exemption Order include but are not limited to:
These changes have resulted in a presumed temporary decrease in operability and associated decrease in Reserve estimation, future operating conditions may be different once the EPA assessment is complete for the 2022-2026 and 2023-2027 MMPs, and conditions on the subsequent Ministerial Statement are known. The MMP ESD states the EPA is aiming to complete its Assessment reports for the 2022-2026 MMP (assessment 2384) and 2023-2027 MMP (assessment 2385) in the third quarter of 2025. This timing is dependent on some factors that are within Alcoa’s ability to influence, and some factors that are beyond Alcoa’s ability to influence. The Ministerial Statement would follow from the EPA Report.
As reported in previous years, the threat of bushfires is the only significant naturally occurring risk identified to the Reserve estimation for existing operations.
Bushfire mitigation and firefighting activities within state forest are managed by the Department of Biodiversity Conservation and Attractions (DBCA). Alcoa maintains fire access tracks as required by the working arrangement with DBCA and complies with requirements of the Bushfires Act including seeking exemptions for certain activities during Total Fire Bans. Asset protection zones are not mandated although Alcoa does maintain them around infrastructure as per internal standards to mitigate risk. Alcoa owned private property is maintained to local government requirements as per the requirements of the Bushfire Act.
Bushfires have occurred in the past, but to date have not had a material impact on production.
Overall SLR is of the opinion that the current plans and well understood processes that are in train with the EPA (specifically EPA assessments 2384 and 2385) are considered adequate to address issues related environmental, social, and permitting risks. However, the timing of the EPA assessments is not wholly within Alcoa’s control.
Alcoa is modernizing its environmental approvals framework for its Huntly Bauxite Mine and Pinjarra Alumina Refinery, by self-referring future mining plans for assessment under Part IV of the Western Australian Environmental Protection Act 1986 (EP) and the Australian Environment Protection and Biodiversity Conservation Act 1999 (EPBC Act). The future mining plans that have currently been referred to both State and Federal departments
|
191 |
|
Alcoa Corporation S-K 1300 Report |
Signature Date: 20 February 2025 SLR Project No.: 123.020514.00001 |
propose to transition the Huntly Mine into the proposed Myara North and Holyoake mine regions within Alcoa’s Mining Lease ML1SA.
The Western Australian Environmental Protection Authority (State) has determined that the Pinjarra Alumina Refinery Revised Proposal (Assessment No. 2253), which includes the Huntly Bauxite Mine, will be assessed via a Public Environmental Review (PER).
Alcoa referred two separate Proposed Actions under the EPBC Act (Federal) for the following components:
The referred actions have been determined as Controlled Actions under the EPBC Act, and as such, require formal assessment.
In 2023, Alcoa proposed changes to the proposal while it was under assessment:
The EPA has recognized:
The EPA has enabled the altered proposal to be assessed as part of assessment 2253 already in progress. DCCEEW made a complementary decision and the assessment under the EPBC Act also continues.
The resulting Environmental Impact Assessments (EIAs) under State and Federal legislation will inform stakeholders on long-term mine plans and environmental management requirements and facilitate the setting of approval conditions.
As reported in the TRS for 2022 and 2023, numerous baseline studies have been completed to support approvals for future extensions to the mining footprint to the Myara North and Holyoake regions. Baseline studies are guided by the requirements of the Western Australian Environmental Protection Authority (EPA) and guidelines under the EPBC Act which are well understood. Studies have been undertaken to define the environmental values and constraints associated with:
|
192 |
|
Alcoa Corporation S-K 1300 Report |
Signature Date: 20 February 2025 SLR Project No.: 123.020514.00001 |
Construction for Myara North will be commenced pursuant to the requirements of the Ministerial Decision, which will be issued upon completion of the EPA assessment process indicatively forecast for the first quarter of 2026, as opposed to approximately mid-2025 as reported in the TRS for 2023. Alcoa plans to commence construction, to facilitate the transition to Holyoake Central, from approximately 2028 and commence operation from approximately 2030, as reported in the MMP dated 10 November 2023. The timeframe to approval of Myara North and Holyoake under the EP and EPBC Act can be estimated, but not predicted with certainty; further delays are possible.
Supporting both the existing and future mining operations, additional environmental studies were further progressed in 2023 to identify regional environmental risks associated with low levels of PFAS in surface water catchments around the current and future Huntly and Willowdale operations. As is the case at most (if not all) mining operations in Western Australia, Per- and Poly-Fluoroalkyl Substances (PFAS) containing aqueous film-forming foams (AFFF) were used at Huntly and Willowdale Mines in vehicle fire suppression systems from approximately 2014 to 2021. Discharge of AFFF has occurred within the Operational Areas due to both testing and maintenance of fire suppression systems (at workshops) and activation (within Operational Areas) in response to vehicle fires or equipment malfunction. Alcoa reported areas around workshops at the Orion, Arundel, McCoy and Myara Operational Areas to the Department of Water and Environmental Regulation (DWER) under the obligations of the Contaminated Sites Act (2003) as possibly contaminated. These areas have subsequently been classified as possibly contaminated – investigation required. Stage 1 and 2 investigations have been endorsed by the DWER-appointed Contaminated Sites Auditor, a Stage 3 Detailed Site Investigation has been completed and submitted to the Auditor. Auditor comments are anticipated to be closed out and the report submitted to DWER in the first quarter of 2025. It is not unusual for these processes to take multiple years to complete alongside ongoing operations.
|
193 |
|
Alcoa Corporation S-K 1300 Report |
Signature Date: 20 February 2025 SLR Project No.: 123.020514.00001 |
No tailings are generated within the boundaries of the mining operations as bauxite processing is undertaken at the refineries. Similarly, Alcoa’s Darling Range mining operations do not produce mine waste or “mullock” in the same manner as conventional mining operations and as such waste dumps are not constructed.
Overburden from Darling Range ore blocks is carefully segregated for later contouring and rehabilitation of adjacent, completed mining operations. Caprock and other non-viable rock is used to backfill these shallow, completed pits and the viable topsoil is spread on top, contoured, and revegetated.
As such, there is no requirement for the monitoring of any tailings or mine waste dumps associated within the mining operations.
Alcoa’s mine sites are monitored in accordance with conditions of Government authorizations and its operational licenses at Huntly (L6210/1991/10, last updated 09/02/21) and Willowdale (L6465/1989/10, last updated 20/02/24). The 2024 update at Willowdale was to enable:
Monitoring and reporting is also required under the approved 2023-2027 Mining and Management Program (2023-2027 MMP) and the Environmental Protection (Darling Range Bauxite Mining Proposals) Exemption Order 2023.
Environmental management and monitoring commitments exist for the following environmental aspects which have been assessed as being significant and therefore require operational controls as a minimum. The significant environmental aspects for which monitoring and/or management undertaken are:
|
194 |
|
Alcoa Corporation S-K 1300 Report |
Signature Date: 20 February 2025 SLR Project No.: 123.020514.00001 |
Outcomes of and compliance with the management and monitoring programs are tracked within Alcoa’s Environmental Management System and reported in monthly and annual reports to regulators including the BSEC (previously MMPLG) and DWER (at least annually, according to MMPLG requirements and Part V Licence requirements), the Minister for State Development (in accordance with the Exemption Order).
Review of the most recent report to JTSI – the Annual Environmental Review 2021-2023 (dated April 2024), largely reported compliance with environmental commitments and success of operational controls to managed environmental objectives. The following incidents were noted:
1 These three restrictions do not apply to:
|
195 |
|
Alcoa Corporation S-K 1300 Report |
Signature Date: 20 February 2025 SLR Project No.: 123.020514.00001 |
2 A drainage event is defined under the approved 2023 – 2027 Mining and Management Program (MMP) as runoff from the mining disturbance footprint to the surrounding environment except where turbidity is measured below 25 nephelometric turbidity units (NTU).
|
196 |
|
Alcoa Corporation S-K 1300 Report |
Signature Date: 20 February 2025 SLR Project No.: 123.020514.00001 |
Alcoa is proactively working with relevant regulatory agencies to address operational incidents and implement operational improvements to reduce releases to the environment.
In addition, Alcoa provided the monthly reports for January to June 2024 required under Clause 10 of the 2023 Exemption Order, and verbally confirmed during meetings to inform this TRS, that no non-compliances had occurred. While not directly related to 2023 activities, the results are considered of interest given the importance of compliance with the Exemption Order to Alcoa’s ongoing ability to operate while the EPA assesses the 2022-2026 and 2023-2027 MMPs.
|
197 |
|
Alcoa Corporation S-K 1300 Report |
Signature Date: 20 February 2025 SLR Project No.: 123.020514.00001 |
Alcoa implements a comprehensive water management and monitoring program in accordance with the requirements of its surface water and operational licenses, and also acts with a view of continuous improvement, particularly in relation to water which is a key operational and environmental consideration for the Darling Range. For example:
Key components of Alcoa’s water management and monitoring program include:
|
198 |
|
Alcoa Corporation S-K 1300 Report |
Signature Date: 20 February 2025 SLR Project No.: 123.020514.00001 |
Baseline water quality monitoring has been undertaken at Myara North and Holyoake as part of the Part IV approvals process for these mining areas. It is anticipated that groundwater monitoring will be required as part of the operational license for these deposits.
The environmental approvals and reviews / reporting form part of the BSEC/MMPLG approvals process outlined in Section 3.6. Compliance with the MMP will be demonstrated through an annual Compliance Assessment Report submitted to the Department of Jobs, Tourism, Science and Innovation.
From 14 December 2023, Alcoa is also required to comply with the requirements of the section 6 exemption. A section 6 exemption under the Environmental Protection Act 1986 (EP) allow continued operations whilst the Environmental Protection Authority undertakes an assessment of the mining activities which were not previously referred. Compliance against the section 6 exemption is monitored on a weekly basis by an independent compliance monitor and reported monthly to the Department of Water and Environmental Regulation.
Operational matters at the Willowdale and Huntly mines are licensed by the Department of Water and Environmental Regulation via instruments L6465/1989/10 and L6210/1991/10, respectively. These licenses condition the processing of ore and reporting is required annually to DWER describing the total volume of bauxite crushed and any non-compliance. The latest available reporting at the time of writing is for the calendar year 2023.
Compliance with the Alcoa ISO14001 accredited EMS was audited in December 2021, with recertification issued in May 2022. This recertification is valid until May 2025.
|
199 |
|
Alcoa Corporation S-K 1300 Report |
Signature Date: 20 February 2025 SLR Project No.: 123.020514.00001 |
The only known requirement to post performance or reclamation bonds is a $100M AUD bank guarantee to help fund the Western Australian Government's response in the unlikely event of an impact to Perth's drinking water dams which is not rectified within the relevant time periods, announced as part of the Alcoa Transitional Approvals Framework (ATAF) on 14 December 2023. In September 2024 and October 2024, AofA delivered bank guarantees totalling $69M (A$100M) demonstrating confidence that operations will not impair drinking water supplies. The requirement to provide financial assurance will expire upon the completion of the WA EPA’s assessment of the Company’s mine plans.
Alcoa has established systems and processes to support maintenance of its social license to operate and conducts an extensive program of community relations activities to ensure that the public is aware and informed regarding its operations.
Alcoa strives to align its social performance and community engagement to global leading practice and was admitted to ICMM in 2019. In addition, Alcoa’s Western Australian operations are certified under the Aluminum Stewardship Initiative, valid until 16 January 2026.
Related to the requirements of the BSEC/MMPLG, Alcoa’s actions include an annual 5-year consultation process aligned with the 5 Year Mine Plan. The consultation process involves engaging with affected landowners.
Alcoa’s consultation extends to state and local government and Gnaala Karla Booja Aboriginal Corporation representing the Traditional Owners of the area.
Where appropriate, the mine plan accommodates community requirements, in particular, concerns related to noise, dust, etc., and allows for buffer zones and modified working hours.
Community consultation (both in-bound (e.g. noise complaints) and out-bound (e.g. Alcoa-initiated engagement with stakeholder groups)) is recorded in the Community Consultation System (CCS). CCS allocates and tracks follow-up actions.
Alcoa’s move towards formal, publicly scrutinized environmental impact assessment and approval under the State and Federal acts (Section 3.6) for the extraction of future resources will provide greater transparency around Alcoa’s future operations that should go some way to addressing the challenges it faces with some parts of the wider community.
Alcoa has formally consulted and engaged survey work from the relevant Traditional Owners across its operational footprint. Following a joint review of the Draft Cultural Heritage Management Plan late in 2024, Alcoa and Gnaala Karla Boodja have agreed that further work is required to finalise the document. In view of Gnaala Karla Boodja Aboriginal Corporation’s capacity constraints, it is likely that finalization of the Cultural Heritage Management Plan will require a minimum of a further six months. A formal request for an extension of time to facilitate this has been submitted to the relevant Government regulator.
Alcoa seeks to add value to the communities where it operates and beyond. Through a drive for sustainable development and desire to support reputable non-profit and community-based organizations, community investment supports partnerships and initiatives that look to deliver long-term community benefits.
Each year Alcoa and its global charity, the Alcoa Foundation, invests in a wide variety of programs at the local, state, and national level. In 2023 Alcoa invested $5.2 million in community partnerships across the Australian regions where it operates its business.
|
200 |
|
Alcoa Corporation S-K 1300 Report |
Signature Date: 20 February 2025 SLR Project No.: 123.020514.00001 |
In addition to community partnerships, employees are encouraged to participate each year in Alcoa Volunteers (volunteering as teams during work time) and employee giving programs. The Alcoa Community Together In Our Neighborhood (ACTION) program encourages employees to make a positive difference by volunteering in their communities with at least eight work-mates, Alcoa then matches these volunteering efforts with a $3,000 grant for nominated organizations.
Alcoa’s Social Performance Management System (SPMS), SP360, is in place across its global operations. The SPMS supports locations to undertake effective engagement with communities, manage their social risks, and maintain Alcoa’s Social License to Operate.
SP360 includes the following management standards which guide social performance management:
Each location maintains a Social Performance Plan which details the activities Alcoa undertakes to support their understanding and management of social impacts and risks, including:
Alcoa’s Closure Planning group for Darling Range (located within the Global Planning Team) is responsible for developing the closure planning process as well as the subsequent Long-Term Mine Closure Plans (LTMCPs) of Alcoa’s WA Mining Operations (Huntly and Willowdale). Closure Strategies, Schedules and Cost Estimates are being developed across organizational divisions and includes multidisciplinary inputs from Operations, Mid- and Short-term Planning, Finance, Centre for Excellence, Environment and Asset Management (both Fixed and Mobile Plant).
As described in Section 15.5.2, overburden is used to backfill adjacent, completed mining operations and the topsoil spread on top and contoured.
Current rehabilitation practices and closure planning have evolved positively since the 1990s.
The agreed closure requirements for Darling Range centers around the return of Jarrah Forest across the site. End land uses are required to comply with the State’s Forest Management Plan and include water catchment protection, timber production and biodiversity conservation. Completion Criteria were revised in 2015 by the MMPLG for rehabilitation works commencing in and after 2016. These criteria do not apply to areas which commenced rehabilitation prior to 2015 and represent a ‘step forward’ in rehabilitation practices at Darling Range.
|
201 |
|
Alcoa Corporation S-K 1300 Report |
Signature Date: 20 February 2025 SLR Project No.: 123.020514.00001 |
The 2023-2027 MMP (and roll-over approval of 2024-28), and EIA process being applied to Myara North and Holyoake represent another step forward in rehabilitation planning. Appropriate mine planning and closure implementation mitigates environmental risks to ecological, hydrological, social and physical receptors. In addition, the current Completion Criteria will be revised in consultation with DBCA by 31 December 2024.
The 2023-2027 MMP (and roll-over approval of 2024-28) aims to establish, and return to the State, a self-sustaining Jarrah Forest ecosystem, that meets the agreed forest values that will support similar management practices as that employed in the surrounding Northern Jarrah Forest.
Mine closure costs are considered as part of Asset Retirement Obligations (ARO) described in Section 18.0.
Alcoa’s Local Community Supplier Policy defines “local” as the localities of Dwellingup, Harvey, Pinjarra, Waroona, Coolup, North Dandalup, Jarrahdale and Yarloop. Within Alcoa’s guidelines of safe, ethical, and competitive business practices, Alcoa’s Local Community Supplier Policy states it will:
Whilst the Policy does not specifically address local hiring, most of the mine’s workforce are based within the close vicinity.
Alcoa also endeavors to add value to Traditional Owners and the local economy through the use of businesses owned by Traditional Owners, businesses that employ and work with Traditional Owners and locally owned businesses. Alcoa will help Traditional Owner businesses and local businesses to do business with Alcoa and encourage the employment of Traditional Owner and local labor. Alcoa have made a policy commitment to:
|
202 |
|
Alcoa Corporation S-K 1300 Report |
Signature Date: 20 February 2025 SLR Project No.: 123.020514.00001 |
Alcoa forecasts its capital and operating costs estimates based on annual budgets and historical actuals over the long life of the current operation. All values are presented in United States Dollars ($) unless otherwise stated.
The operation is well-established, and the LOM plan outlines capital expenditures aligned with scheduled production rates throughout the mine's life. This includes future capital expenditures for major mine relocations to meet anticipated refinery production while sustaining ongoing operations.
Projected mine capital expenditure over the next nine years of mine life is estimated to total $1,175 million, although this will include capital outlay required to extend the mine life much beyond the nine-year period covered by the valuation. Of this total, it is understood that $183 million is associated with completing the mine move to the Myara North site. Capital for the Holyoake move is estimated to be $471 million.
A breakdown of the major expenditure areas and other sustaining capital expenditure over the next nine years of mine life (2025 – 2033) is shown below.
Table 18‑1: Nine Year LOM Sustaining Capital Costs by Area
Project |
Cost |
Percentage of Total |
Mine Moves |
787 |
67.0% |
Conveyor Belt Replacements |
53 |
4.5% |
Haul Road Improvements |
136 |
11.6% |
Other Sustaining capital |
199 |
16.9% |
Total |
1,175 |
100% |
Other capital costs are for replacement of conveyors, haul road improvements and other sustaining capital needed to continue the operations.
Alcoa’s sustaining capital estimates for Darling Range are derived from annual budgets and historical actuals over the long life of the current operation, as well as detailed feasibility studies where required (such as for the mine moves) that include costs and associated contingencies. These are noted to be less than 10% of the total capital costs. According to the American Association of Cost Engineers (AACE) International, these estimates would generally be classified as Class 1 or Class 2 with an expected accuracy range of -3% to -10% to +3% to +15%. The SLR QP is satisfied that the costs meet these accuracy requirements.
The main production mining operations are primarily Owner-operated using Alcoa equipment and employees, with contractors engaged for specific supporting activities.
Operating costs are derived from historical site cost data and, in the QPs opinion, achieve an accuracy range of -10% to +15%, which is appropriate for this level of study.
No material factors have been identified that would significantly impact operating costs over the life of mine. Year-to-year variations are expected due to routine maintenance outages and production schedule fluctuations. Table 18-2 presents both the forecast costs for 2025 and average operating costs over the nine-year LOM. As intended, the Kwinana refinery
|
203 |
|
Alcoa Corporation S-K 1300 Report |
Signature Date: 20 February 2025 SLR Project No.: 123.020514.00001 |
ceased production in the second quarter of 2024 following phased curtailment. The updated mine plans and operational cost projections have been revised accordingly.
Table 18‑2: LOM Mine Operating Costs by Category*
Cost Centre |
2025 ($/wmt) |
Average LOM |
Percentage of Operating Cost |
Direct Labor |
$3.70 |
$4.13 |
32% |
Services |
$1.83 |
$1.16 |
9% |
Other |
$1.48 |
$3.01 |
24% |
Corporate Chargebacks for support services |
$1.08 |
$0.80 |
6% |
Energy |
$0.23 |
$0.10 |
1% |
Fuel |
$0.67 |
$0.77 |
6% |
Operating Supplies and Spare Parts |
$0.79 |
$0.92 |
7% |
Maintenance (fixed plant and mobile fleet) |
$1.17 |
$1.91 |
15% |
Mine Operating Cash Cost ($/wmt) |
$10.95 |
$12.80 |
100% |
|
|
|
|
Off-site Costs |
|
|
|
G & A, selling and other expenses |
$0.85 |
$0.57 |
|
R & D Corporate Chargebacks |
$0.13 |
$0.06 |
|
Other COGS |
$0.15 |
$0.12 |
|
Total Cash Operating Costs |
$12.08 |
$13.55 |
|
* Due to rounding, numbers presented may not add up precisely to the totals provided
Services costs include contractor costs for certain mining activities such as in noise sensitive areas and for haul road construction services, in select areas of pit development, and during landscaping activities for rehabilitation after mining.
As of December 2024, the Huntly and Willowdale operations together employ 981 employees consisting of 36 technical, 122 management and 823 operations employees. Additionally, 171 employees are centrally employed on the combined operations.
Table 18‑3 summarizes the current workforce for the operations.
Table 18‑3: Workforce Summary
Category |
Technical |
Management |
Operations |
Total |
Huntly |
24 |
71 |
566 |
661 |
Willowdale |
12 |
51 |
257 |
320 |
Central |
46 |
21 |
104 |
171 |
Total |
82 |
143 |
927 |
1152 |
As regards mine closure, compensation for vegetation clearing is paid in advance and rehabilitation is an ongoing process that is incorporated into the mining cost (as part of Asset Retirement Obligations (ARO)).
|
204 |
|
Alcoa Corporation S-K 1300 Report |
Signature Date: 20 February 2025 SLR Project No.: 123.020514.00001 |
Alcoa prepares a rolling operational LTMP for the purposes of long-term mine and business planning.
The assumptions used in the analysis are current as of 31 December 2024.
A technical-economic model was prepared on an after-tax discounted cash flow (DCF) basis, the results of which are presented in this subsection.
The cashflow is presented on a 100% attributable basis. Alcoa has applied a 9.5% discount rate for DCF analysis. The QP is of the opinion that a 9.5% discount/hurdle rate for after-tax cash flow discounting of such large-scale bauxite mining projects in Western Australia with a demonstrable operating track record is reasonable and appropriate, considering both project-specific factors and sovereign risk profile.
Key criteria used in the analysis are discussed elsewhere throughout this TRS. General assumptions used are summarized in Table 19‑1. All values are presented in United States Dollars ($) unless otherwise stated.
Table 19‑1: Technical-Economic Assumptions
Description |
Value |
Start Date |
January 1, 2025 |
Mine Life based on Mineral Reserves |
9 years |
Average LOM Price Assumption |
$23.19 |
Total Operating Costs |
$4,045.2 million |
Capital over nine years |
$1,174.6 million |
Income tax |
$226.0 million |
Discount Rate |
9.5% |
Discounting Basis |
End of Period |
Corporate Income Tax Rate |
30% |
Model Basis |
Nominal |
Table 19‑2 provides a summary of the estimated mine production over the nine-year model life.
Table 19‑2: LOM Production Summary
Description |
Units |
Value |
Total ROM Ore |
Mt |
326.0 |
Waste Mined |
Mt |
65.6 |
Total Material Moved |
Mt |
393.4 |
Annual Average Ore Mining Rate |
Mtpa |
33.2 |
|
205 |
|
Alcoa Corporation S-K 1300 Report |
Signature Date: 20 February 2025 SLR Project No.: 123.020514.00001 |
The economic analysis presented herein complies with S-K 1300 requirements and is based on a reserve-based analysis using only Proven and Probable Mineral Reserves for the current 9-year mine planning window.
The economic analysis, consistent with previous submissions, considers only the Proven and Probable Mineral Reserves, supporting a nine-year mine life (2025-2033) with production averaging 33.2 Mtpa (wet tonnes). Production volumes are determined by refinery requirements rather than mining constraints, with annual throughput varying from 27.4 Mtpa (2025) to 37.2 Mtpa (2029). The QP confirms that sufficient Proven and Probable Reserves exist to support this production profile.
Using the defined 9-year detailed mine plan period, at a 9.5% discount rate and average bauxite price of $23.19/t, the operation generates an after-tax NPV of $54.7 million. The bauxite price used in the cashflow is defined by an intercompany price inflated by 3% YoY, equivalent to the $23.19/t average over the detailed mine plan period of nine years.
This figure reflects substantial sustaining capital requirements during the period. This valuation is presented on a 100% attributable basis using nominal cash flows which allow for annual price inflation of 3% and cost escalation ranging primarily between 2 and 3%.
The QP notes several factors supporting potential operation beyond 2033, including demonstrated success in annual Resource to Reserve conversion through infill drilling, extensive operational history, scale of existing deposits, and consistent historical Reserve replacement rate.
Table 19‑3 summarizes the key project economic results and estimated cash flows provided for the period 2025 to 2033. The economic analysis, conducted using the technical inputs and cost estimates presented in this Technical Report Summary, confirms positive cash flows that supports the statement of Mineral Reserves.
|
206 |
|
Alcoa Corporation S-K 1300 Report |
Signature Date: 20 February 2025 SLR Project No.: 123.020514.00001 |
Table 19‑3: LOM Indicative Economic Results

Project risks can be identified in both economic and non-economic terms. Key economic risks were examined by running cash flow sensitivities. The operation is nominally most sensitive to market prices (revenues) followed by operating costs.
|
207 |
|
Alcoa Corporation S-K 1300 Report |
Signature Date: 20 February 2025 SLR Project No.: 123.020514.00001 |
Figure 19‑1: Sensitivity Analysis (NPV)


|
208 |
|
Alcoa Corporation S-K 1300 Report |
Signature Date: 20 February 2025 SLR Project No.: 123.020514.00001 |
The Darling Range has no material adjacent properties.
|
209 |
|
Alcoa Corporation S-K 1300 Report |
Signature Date: 20 February 2025 SLR Project No.: 123.020514.00001 |
No additional information or explanation is necessary to make this Technical Report Summary understandable and not misleading.
|
210 |
|
Alcoa Corporation S-K 1300 Report |
Signature Date: 20 February 2025 SLR Project No.: 123.020514.00001 |
|
211 |
|
Alcoa Corporation S-K 1300 Report |
Signature Date: 20 February 2025 SLR Project No.: 123.020514.00001 |
|
212 |
|
Alcoa Corporation S-K 1300 Report |
Signature Date: 20 February 2025 SLR Project No.: 123.020514.00001 |
|
213 |
|
Alcoa Corporation S-K 1300 Report |
Signature Date: 20 February 2025 SLR Project No.: 123.020514.00001 |
|
214 |
|
Alcoa Corporation S-K 1300 Report |
Signature Date: 20 February 2025 SLR Project No.: 123.020514.00001 |
|
215 |
|
Alcoa Corporation S-K 1300 Report |
Signature Date: 20 February 2025 SLR Project No.: 123.020514.00001 |
It is apparent to the QP that the long history of exploration, development and mining of Alcoa’s Darling Range bauxite tenements have established sound knowledge and understanding of the geology and mineral endowment. The QP has not identified any fatal flaws in the current practices of mapping (based on the ArcGIS system), drill sampling (based on progressive continuous improvement), assaying (based on calibrated and validated FTIR, with reasonable quality control), estimation (3D Block Model - 3DBM), database management (using acQuire), the application of mining criteria that assure RPEE, and the application of constraints establishing forestry, heritage and noise limits to the Mineral Resource definition. The following recommendations are offered as suggestions for further improvement, aligned with Alcoa’s comprehensive approach to research and development (seen for example in the evolution of their drilling, sampling and assaying technologies). These recommendations are prioritized in terms of their perceived value to the overall operation, but are not expected to add cost:
|
216 |
|
Alcoa Corporation S-K 1300 Report |
Signature Date: 20 February 2025 SLR Project No.: 123.020514.00001 |
The historical operational data for the Darling Range demonstrates that ore consistently met refinery specifications.
The Darling Range mining operations have well established infrastructure, with mining hubs that are periodically moved to reduce transportation distances between mining operations and the hubs. The QP makes no recommendations regarding infrastructure.
|
217 |
|
Alcoa Corporation S-K 1300 Report |
Signature Date: 20 February 2025 SLR Project No.: 123.020514.00001 |
Alcoa has established systems to facilitate adherence to environmental commitments and has made progress with modernizing environmental approvals and permits for Huntly, Willowdale and the future mining areas at Holyoake and Myara North. The QP recommends that the following action is taken:
|
218 |
|
Alcoa Corporation S-K 1300 Report |
Signature Date: 20 February 2025 SLR Project No.: 123.020514.00001 |
Abzalov, 2016. Applied Mining Geology. Springer International, 448 pp.
Alcoa of Australia Limited, 2024. JTSI Annual Environmental Review 2023 – Alcoa WA Mining Operations.
Alcoa of Australia Limited, 2024. 2023 Annual DWER Licence Report, Willowdale Mine, Licence No L6465/1989/10.
Alcoa of Australia Limited, 2024. 2023 Annual DWER Licence Report, Huntly Mine, Licence No L6210/1991/10.
Alcoa of Australia Limited, 1993. Bauxite Density. Internal memorandum prepared by Alcoa, dated 10 August 1993.
Barnes, L., 2015. 1m composite twin hole report. 1m sample intervals at the primary exploration stage (60x60m). Internal report by Alcoa Australia Limited, March.
Barnes, L., 2016. Procedure for sampling till extinction. Trial for 0.5m sample homogeneity, testing the representation of a ½ cup measure of 0.5m sample intervals. Internal draft report by Alcoa Australia Limited, March.
Barnes, L., 2018a. Segregation study. Internal draft report by Alcoa Australia Limited, February.
Barnes, L., 2018b. Sample to Extinction (STE) programme report 2017-2018. Internal draft report by Alcoa Australia Limited, July.
BSI, 2022. Certificate of Registration – Environmental Management System – ISO 14001:2015. Certificate EMS 729424.
Canadian Institute of Mining, Metallurgy and Petroleum (CIM), 2014, CIM Definition Standards for Mineral Resources and Mineral Reserves, adopted by the CIM Council on May 10, 2014.
CIM, 2014. Canadian Institute of Mining, Metallurgy and Petroleum (CIM) Definition Standards for Mineral Resources and Mineral Reserves. Prepared by the CIM Standing Committee on Reserve Definitions. Adopted by CIM Council on May 10, 2014
Crockford, L., 2011. 2nd split drill sample testwork in the Larego area. Internal memorandum by Alcoa Australia Limited, 26 October.
Crockford, L., 2012. 1st and 2nd split drill sample testwork in the Myara area. Internal memorandum by Alcoa Australia Limited, 10 April.
Firman, J. B., 2006, Ancient weathering zones, pedocretes and palaeosols on the Australian Precambian shield and in adjoining sedimentary basins: a review, Journal of the Royal Society of Western Australia, 89 (2), 57 – 82, 2006
Franklin, S., 2019. Mining Laboratory FTIR Process Description (KWI). Internal Alcoa of Australia Limited document AUACDS-2047-781, reviewed 15 February.
GHD, 2021. Alcoa Huntly Mine – Holyoake Region Groundwater Modelling Report. Prepared for Alcoa of Australia Limited, 22 December 2021.
Grigg, C., 2016. Summer vacation programme report 2015/2016. Internal report by Alcoa Australia Limited, February
Gy, P. M., 1984. Comments on bauxite sampling, Report to Alcoa No PG/3276, 27 July.
|
219 |
|
Alcoa Corporation S-K 1300 Report |
Signature Date: 20 February 2025 SLR Project No.: 123.020514.00001 |
Hickman, A. H., Smurthwaite, A. J., Brown, I. M., and Davy, R., 1992, Bauxite Mineralization in the Darling Range, Western Australia, Geological Survey of Western Australia, Report 33
Hodgson, S., 2015. Ore development QAQC Processes. Vacation student – summer work program 2014/15. Internal report by Alcoa Australia Limited, February.
Holmes, R. J., 2018. Assessment of Alcoa’s sampling and sample preparation equipment and procedures. Report EP182329 prepared for Alcoa of Australia Limited by CSIRO Mineral Resources, March.
Ipsos, 2022. Reputation Measurement and Management Wave 2 Report, Alcoa of Australia – Western Australia Operation, February.
JORC Code, 2012. Australasian Code for Reporting of Exploration Results, Mineral Resources and Ore Reserves (The JORC Code 2012 Edition). Prepared by the Joint Ore Reserves Committee of the Australasian Institute of Mining and Metallurgy, Australian Institute of Geoscientists and Minerals Council of Australia (JORC), effective 20 December 2012.
Knight., S., Tuckwell, L. and O’Brien, S., 2016. Huntly 2016 sample plant monitoring. Report by Alcoa Australia Limited (PowerPoint file).
Lyman, G. J., 2017. Investigation into Pinjarra and Wagerup sample plants. Report by Downer no 15382‐19‐02‐04‐001, 18 May.
NI 43-101, 2014. Canadian National Instrument 43-101, ‘Standards of Disclosure for Mineral Projects’, Form 43-101F1 and Companion Policy 43-101CP, May.
Rennick, W., Riley, G. and Baker, G., 1992. The constitution heterogeneity of Huntly ore and the resulting fundamental sampling errors using the Pinjarra sample station. Internal Alcoa Report, July.
Ramboll, 2021. Pinjarra Aluimina Refinery Revised Proposal – Health Risk Screening Assessment. Prepared for Alcoa of Australia Limited, June 2021.
Senini, P., 1993. Bauxite density. Internal report and memorandum by Alcoa Australia Limited, August 10.
Shaw, W. 1997. Validation of Sampling and Assaying Quality for Bankable Feasibility Studies. The Resource Database Towards 2000. Wollongong, New South Wales, Australia. 16 May. AusIMM, Melbourne. 41-49.
S-K 1300, 2018. US Securities and Exchange Commission Regulation S-K, Subpart 229.1300, Item 1300 Disclosure by Registrants Engaged in Mining Operations and Item 601 (b)(96) Technical Report Summary.
SLR, 2022. Technical Report Summary for Darling Range, Western Australia, S-K 1300 Report. Report prepared for Alcoa International Corporation by SLR International Corporation, dated February 24, 2022, with an effective date of December 31, 2021
Snowden, 2015. Willowdale and Huntly Bauxite Operations Resource Estimation. Report prepared for Alcoa of Australia Limited by Snowden Mining Industry Consultants Pty Ltd, project number AAU5035 Resource Estimation Review, August.
SRK, 2017. Mineral Resource Estimates for the Alcoa Darling Range Bauxite Operations – December 2016. Report prepared for Alcoa of Australia Limited by SRK Consulting (Australasia) Pty Ltd, project number AOA002, May.
SRK, 2018. Mineral Resource Estimates for the Alcoa Darling Range Bauxite Operations – December 2017. Report prepared for Alcoa of Australia Limited by SRK Consulting (Australasia) Pty Ltd, project number AOA004, March.
|
220 |
|
Alcoa Corporation S-K 1300 Report |
Signature Date: 20 February 2025 SLR Project No.: 123.020514.00001 |
SRK, 2019a. Drillhole spacing study for the Alcoa Darling Range Bauxite Operations. Report prepared for Alcoa of Australia Limited by SRK Consulting (Australasia) Pty Ltd, project number AOA005, April.
SRK, 2019b. Mineral Resource Estimates for the Alcoa Darling Range Bauxite Operations – December 2018. Report prepared for Alcoa of Australia Limited by SRK Consulting (Australasia) Pty Ltd, project number AOA006, October.
SRK, 2021a. Mineral Resource Estimates for the Alcoa Darling Range Bauxite Operations – December 2020. Report prepared for Alcoa of Australia Limited by SRK Consulting (Australasia) Pty Ltd, project number AOA007, April.
SRK, 2021b. Ore Reserve estimates for the Alcoa Darling Range bauxite operations – December 2020. Report prepared for Alcoa of Australia Limited by SRK Consulting (Australasia) Pty Ltd, project number AOA007, April.
US Securities and Exchange Commission, 2018: Regulation S-K, Subpart 229.1300, Item 1300 Disclosure by Registrants Engaged in Mining Operations and Item 601 (b)(96) Technical Report Summary.
Xstract, 2016. Mineral Resource and Ore Reserve audit, Huntly and Willowdale Operations. Report prepared for Alcoa of Australia Limited by Xstract Mining Consultants Pty Ltd, project number P2173, May.
|
221 |
|
Alcoa Corporation S-K 1300 Report |
Signature Date: 20 February 2025 SLR Project No.: 123.020514.00001 |
This report has been prepared by SLR for Alcoa. The information, conclusions, opinions, and estimates contained herein are based on:
For the purpose of this report (namely Section 1.3.3), SLR has relied on ownership information provided by Alcoa in a legal opinion by Paul Volich, Managing Counsel – Australia, dated 22 January 2025, entitled Technical Report Summary on the Darling Range, Western Australia S-K 1300 Report for Alcoa Corporation – that ML1SA in good standing. SLR has not researched property title or mineral rights for the Darling Range as we consider it reasonable to rely on Alcoa’s legal counsel who is responsible for maintaining this information.
SLR has relied on Alcoa for guidance on applicable taxes, royalties, and other government levies or interests, applicable to revenue or income from Darling Range in the Executive Summary and Sections 18.0 and 19.0. As Darling Range has been in operation for over ten years, Alcoa has considerable experience in this area.
The Qualified Persons have taken all appropriate steps, in their professional opinion, to ensure that the above information from Alcoa is sound.
Except for the purposes legislated under applicable securities laws, any use of this report by any third party is at that party’s sole risk.
|
222 |
|
Alcoa Corporation S-K 1300 Report |
Signature Date: 20 February 2025 SLR Project No.: 123.020514.00001 |
This report titled “Technical Report Summary on the Darling Range, Western Australia, S-K 1300 Report” with an effective date of December 31, 2024 was prepared and signed by:
SLR International Corporation
|
John R. Walker FGS, FIMMM, QMR Technical Director, Mining Advisory Europe |
Dated in UK
Signature Date: 20 February 2025
|
223 |
|