 
UNITED STATES SECURITIES AND EXCHANGE COMMISSION WASHINGTON, D.C. 20549 ____________________________________________________________ FORM 10-K ____________________________________________________________ (Mark One) x ANNUAL REPORT PURSUANT TO SECTION 13 OR 15(d) OF THE SECURITIES EXCHANGE ACT OF 1934 For the fiscal year ended May 25, 2025 OR o TRANSITION REPORT PURSUANT TO SECTION 13 OR 15(d) OF THE SECURITIES EXCHANGE ACT OF 1934 For the transition period from                to  Commission File Number: 1-37830 ____________________________________________________________ LAMB WESTON HOLDINGS, INC. (Exact name of registrant as specified in its charter) Delaware 61-1797411 (State or other jurisdiction of incorporation or organization) (I.R.S. Employer Identification No.) 599 S. Rivershore Lane  Eagle, Idaho 83616 (Address of principal executive offices) (Zip Code) (208) 938-1047 (Registrant’s telephone number, including area code) Securities registered pursuant to section 12(b) of the Act: Title of each class Trading Symbol(s) Name of each exchange on which registered Common Stock, $1.00 par value LW New York Stock Exchange Securities registered pursuant to section 12(g) of the Act: None Indicate by check mark if the registrant is a well-known seasoned issuer, as defined in Rule 405 of the Securities Act. Yes x No o Indicate by check mark if the registrant is not required to file reports pursuant to Section 13 or Section 15(d) of the Act. Yes o No x Indicate by check mark whether the registrant (1) has filed all reports required to be filed by Section 13 or 15(d) of the Securities Exchange Act of 1934 during the preceding 12  months (or for such shorter period that the registrant was required to file such reports), and (2) has been subject to such filing requirements for the past 90 days. Yes x No o Indicate by check mark whether the registrant has submitted electronically every Interactive Data File required to be submitted pursuant to Rule 405 of Regulation S-T  (§232.405 of this chapter) during the preceding 12 months (or for such shorter period that the registrant was required to submit such files). Yes x No o Indicate by check mark whether the registrant is a large accelerated filer, an accelerated filer, a non-accelerated filer, a smaller reporting company or an emerging growth  company. See the definitions of “large accelerated filer,” “accelerated filer,” “smaller reporting company,” and “emerging growth company” in Rule 12b-2 of the Exchange  Act.  Large accelerated filer x Accelerated filer o Non-accelerated filer o Smaller reporting company o Emerging growth company o If an emerging growth company, indicate by check mark if the registrant has elected not to use the extended transition period for complying with any new or revised financial  accounting standards provided pursuant to Section 13(a) of the Exchange Act. o  Indicate by check mark whether the registrant has filed a report on and attestation to its management’s assessment of the effectiveness of its internal control over financial  reporting under Section 404(b) of the Sarbanes-Oxley Act (15 U.S.C. 7262(b)) by the registered public accounting firm that prepared or issued its audit report. x If securities are registered pursuant to Section 12(b) of the Act, indicate by check mark whether the financial statements of the registrant included in the filing reflect the  correction of an error to previously issued financial statements. o  Indicate by check mark whether any of those error corrections are restatements that required a recovery analysis of incentive-based compensation received by any of the  registrant’s executive officers during the relevant recovery period pursuant to §240.10D-1(b). o  Indicate by check mark whether the registrant is a shell company (as defined in Rule 12b-2 of the Act). Yes o No x The aggregate market value of the voting common stock of Lamb Weston Holdings, Inc. held by non-affiliates as of November 22, 2024 (the last trading day of the registrant's  most recently completed second fiscal quarter) was approximately $10.9 billion based upon the closing sale price of the common stock as reported on the New York Stock  Exchange on such date. As of July 17, 2025, the registrant had 139,300,813 shares of common stock, par value $1.00 per share, outstanding.  Documents Incorporated by Reference Portions of the registrant’s definitive proxy statement to be filed with the Securities and Exchange Commission in connection with its 2025 Annual Meeting of Stockholders are  incorporated by reference into Part III of this report. 
 
 
 
Table of Contents Part I Item 1 Business   . . . . . . . . . . . . . . . . . . . . . . . . . . . . . . . . . . . . . . . . . . . . . . . . . . . . . . . . . . . . . . . . . . . . . . 1 Item 1A Risk Factors   . . . . . . . . . . . . . . . . . . . . . . . . . . . . . . . . . . . . . . . . . . . . . . . . . . . . . . . . . . . . . . . . . . . 8 Item 1B Unresolved Staff Comments   . . . . . . . . . . . . . . . . . . . . . . . . . . . . . . . . . . . . . . . . . . . . . . . . . . . . . . 22 Item 1C Cybersecurity      . . . . . . . . . . . . . . . . . . . . . . . . . . . . . . . . . . . . . . . . . . . . . . . . . . . . . . . . . . . . . . . . . . 22 Item 2 Properties   . . . . . . . . . . . . . . . . . . . . . . . . . . . . . . . . . . . . . . . . . . . . . . . . . . . . . . . . . . . . . . . . . . . . . 24 Item 3 Legal Proceedings   . . . . . . . . . . . . . . . . . . . . . . . . . . . . . . . . . . . . . . . . . . . . . . . . . . . . . . . . . . . . . . 25 Item 4 Mine Safety Disclosures     . . . . . . . . . . . . . . . . . . . . . . . . . . . . . . . . . . . . . . . . . . . . . . . . . . . . . . . . . 25 Part II Item 5 Market for Registrant’s Common Equity, Related Stockholder Matters and Issuer Purchases of  Equity Securities      . . . . . . . . . . . . . . . . . . . . . . . . . . . . . . . . . . . . . . . . . . . . . . . . . . . . . . . . . . . . . . . 25 Item 6 Reserved     . . . . . . . . . . . . . . . . . . . . . . . . . . . . . . . . . . . . . . . . . . . . . . . . . . . . . . . . . . . . . . . . . . . . . 26 Item 7 Management’s Discussion and Analysis of Financial Condition and Results of Operations   . . . . . 27 Item 7A Quantitative and Qualitative Disclosures About Market Risk  . . . . . . . . . . . . . . . . . . . . . . . . . . . . . 37 Item 8 Financial Statements and Supplementary Data   . . . . . . . . . . . . . . . . . . . . . . . . . . . . . . . . . . . . . . . . 38 Item 9 Changes in and Disagreements With Accountants on Accounting and Financial Disclosure  . . . . . 76 Item 9A Controls and Procedures      . . . . . . . . . . . . . . . . . . . . . . . . . . . . . . . . . . . . . . . . . . . . . . . . . . . . . . . . . 76 Item 9B Other Information    . . . . . . . . . . . . . . . . . . . . . . . . . . . . . . . . . . . . . . . . . . . . . . . . . . . . . . . . . . . . . . 77 Item 9C Disclosure Regarding Foreign Jurisdictions That Prevent Inspections     . . . . . . . . . . . . . . . . . . . . . . 77 Part III Item 10 Directors, Executive Officers and Corporate Governance     . . . . . . . . . . . . . . . . . . . . . . . . . . . . . . . 78 Item 11 Executive Compensation    . . . . . . . . . . . . . . . . . . . . . . . . . . . . . . . . . . . . . . . . . . . . . . . . . . . . . . . . . 78 Item 12 Security Ownership of Certain Beneficial Owners and Management and Related Stockholder  Matters   . . . . . . . . . . . . . . . . . . . . . . . . . . . . . . . . . . . . . . . . . . . . . . . . . . . . . . . . . . . . . . . . . . . . . . . 78 Item 13 Certain Relationships and Related Transactions, and Director Independence      . . . . . . . . . . . . . . . . 79 Item 14 Principal Accountant Fees and Services    . . . . . . . . . . . . . . . . . . . . . . . . . . . . . . . . . . . . . . . . . . . . . 79 Part IV Item 15 Exhibits and Financial Statement Schedules    . . . . . . . . . . . . . . . . . . . . . . . . . . . . . . . . . . . . . . . . . . 79 Item 16 Form 10-K Summary    . . . . . . . . . . . . . . . . . . . . . . . . . . . . . . . . . . . . . . . . . . . . . . . . . . . . . . . . . . . . 83 Signatures     . . . . . . . . . . . . . . . . . . . . . . . . . . . . . . . . . . . . . . . . . . . . . . . . . . . . . . . . . . . . . . . . . . . . 84 ii 
 
 
 
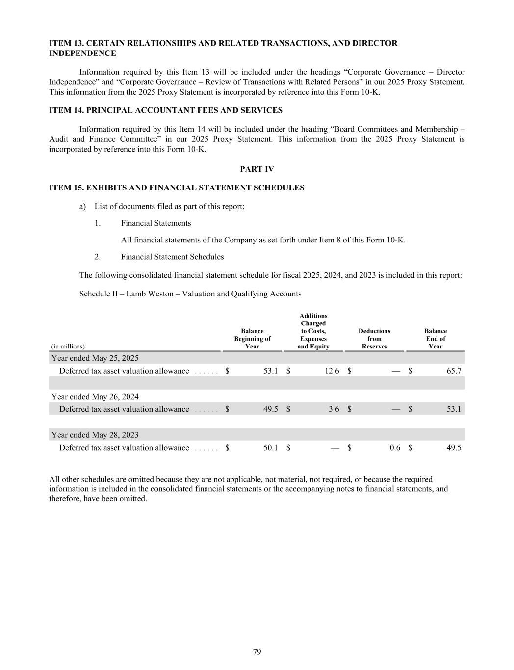
Forward-Looking Statements This Annual Report on Form 10-K (“Form 10-K”) contains forward-looking statements within the meaning of the  federal securities laws. Words such as “will,” “continue,” “may,” “expect,” “believe,” “reduce,” “estimate,” “decline,”  “benefit,” “focus,” “strengthen,” “achieve,” “deliver,” “remain,” “drive,” “increase,” “improve,” “grow,” “invest,”  “evaluate,” “perform,” “create,” “take,” “support,” “win,” “outlook,” and variations of such words and similar expressions  are intended to identify forward-looking statements. Examples of forward-looking statements include, but are not limited  to, statements regarding our business and financial outlook and prospects, our plans and strategies and anticipated benefits  therefrom, including restructuring plans and other cost-savings or efficiency initiatives, capital expenditures and  investments, innovation, employee safety and human capital, pricing actions, operational costs, cash flows, liquidity,  dividends, share repurchases, and anticipated conditions in our industry and the global economy. These forward-looking  statements are based on management’s current expectations and are subject to uncertainties and changes in circumstances.  Readers of this report should understand that these statements are not guarantees of performance or results. Many factors  could affect these forward-looking statements and our actual financial results and cause them to vary materially from the  expectations contained in the forward-looking statements, including those set forth in this report. These risks and  uncertainties include, among other things: consumer preferences, including restaurant traffic in North America and our  international markets, and an uncertain general economic environment, including tariffs, inflationary pressures and  recessionary concerns, any of which could adversely impact our business, financial condition or results of operations,  including the demand and prices for our products; the availability and prices of raw materials and other commodities;  operational challenges; our ability to successfully implement our restructuring plans or other cost-savings or efficiency  initiatives, including achieving the benefits of those activities and possible changes in the size and timing of related  charges; difficulties, disruptions or delays in implementing new technology; levels of labor and people-related expenses;  our ability to successfully execute our long-term value creation strategies; our ability to execute on large capital projects,  including construction of new production lines or facilities; the competitive environment and related conditions in the  markets in which we operate; political and economic conditions in the countries in which we conduct business and other  factors related to our international operations; disruptions in the global economy caused by conflicts such as the war in  Ukraine and conflicts in the Middle East and the possible related heightening of our other known risks; the ultimate  outcome of litigation or any product recalls or withdrawals; changes in our relationships with our growers or significant  customers; impacts on our business due to health pandemics or other contagious outbreaks, such as the COVID-19  pandemic, including impacts on demand for our products, increased costs, disruption of supply, other constraints in the  availability of key commodities and other necessary services or restrictions imposed by public health authorities or  governments; disruption of our access to export mechanisms; risks associated with integrating acquired businesses,  including our former European joint venture, Lamb-Weston/Meijer v.o.f. (“LW EMEA”); risks associated with other  possible acquisitions; our debt levels; actions of governments and regulatory factors affecting our businesses; our ability to  pay regular quarterly cash dividends and the amounts and timing of any future dividends; and other risks described in our  reports filed from time to time with the United States (“U.S.”) Securities and Exchange Commission (“SEC”), including  those described under the heading “Item 1A. Risk Factors” in this Form 10-K. We caution readers not to place undue  reliance on any forward-looking statements included in this report, which speak only as of the date of this report. We  undertake no responsibility for updating these statements, except as required by law. PART I ITEM 1. BUSINESS  Lamb Weston Holdings, Inc. (“we,” “us,” “our,” “the Company,” or “Lamb Weston”) is a leading global  producer, distributor, and marketer of value-added frozen potato products and is headquartered in Eagle, Idaho. We are the  number one supplier of value-added frozen potato products in North America and a leading supplier of value-added frozen  potato products internationally, with a strong presence in high-growth emerging markets. We offer a broad product  portfolio to a diverse channel and customer base in over 100 countries. French fries represent most of our value-added  frozen potato product portfolio. We were organized as a Delaware corporation in July 2016. Our common stock trades under the ticker symbol  “LW” on the New York Stock Exchange. 1 
 
 
 
Segments We have two reportable segments: North America and International. For segment financial information, see “Part  II, Item 7. Management’s Discussion and Analysis of Financial Condition and Results of Operations” and Note 13,  Segments, of the Notes to Consolidated Financial Statements in “Part II, Item 8. Financial Statements and Supplementary  Data” of this Form 10-K. North America Our North America segment primarily includes frozen potato products sold in the United States, Canada, and  Mexico to quick service and full-service restaurants and chains, foodservice distributors, non-commercial channels, and  retailers. Our North America segment’s product portfolio includes frozen potatoes, commercial ingredients, and appetizers  sold under the Lamb Weston brand, as well as frozen potatoes sold under the Company’s owned or licensed brands,  including Grown in Idaho and Alexia, other licensed equities comprised of brand names of major North American  restaurant chains, customer labels, and retailers’ own brands. International Our International segment primarily includes frozen potato products sold outside of North America to quick  service and full-service restaurant chains, foodservice distributors, non-commercial channels, and retailers. Our  International segment’s product portfolio includes frozen potatoes, commercial ingredients, and appetizers sold under the  Lamb Weston brand, as well as many customer labels. Joint Venture Relationships We hold a 50% ownership interest in Lamb-Weston/RDO Frozen (“Lamb Weston RDO”), a joint venture with  RDO Frozen Co., that operates a single potato processing facility in the U.S. We provide all sales and marketing services to  Lamb Weston RDO and receive a fee for these services based on a percentage of the net sales of the venture. We account  for our investment in Lamb Weston RDO under the equity method of accounting. In addition, LW EMEA owns a 75%  interest in a joint venture in Austria. This joint venture’s financial results are consolidated in our financial statements. For more information, see Note 6, Other Assets, of the Notes to Consolidated Financial Statements in “Part II,  Item 8. Financial Statements and Supplementary Data” of this Form 10-K. Sales, Distribution and Customers We benefit from strong relationships with a diverse set of customers. We sell our products through a network of  internal sales personnel and independent brokers, agents, and distributors to chain restaurants, wholesale, grocery, mass  merchants, club retailers, specialty retailers, and foodservice distributors and institutions, including businesses, educational  institutions, independent restaurants, regional chain restaurants, and convenience stores. We have long-tenured  relationships with leading quick service and fast casual restaurant chains, global foodservice distributors, large grocery  retailers, and mass merchants. Products are generally shipped from warehouse distribution centers where they are consolidated for shipment to  customers if an order includes products manufactured in more than one production facility or product category. Some  customers also pick up their orders at distribution centers. A relatively limited number of customers account for a large percentage of our consolidated net sales. In fiscal  2025, our ten largest customers accounted for approximately 50% of our net sales. In fiscal 2025, 2024, and 2023, our  largest customer, McDonald’s Corporation, accounted for approximately 15%, 14%, and 13%, respectively, of our  consolidated net sales. No other customer accounted for more than 10% of our consolidated net sales in fiscal 2025, 2024,  and 2023. Research and Development We leverage our research and development resources for both growth and efficiency initiatives. We seek to drive  growth through innovation by creating new products, enhancing the quality of existing products, and participating in joint  menu planning exercises with our customers. We also evaluate the sustainability impacts of our manufacturing processes  and products in our research and development activities and continue to drive processing innovations aimed at reducing  waste and water usage and improving food safety and quality. 2 
 
 
 
Trademarks, Licenses and Patents Our trademarks are material to our business and are protected by registration or other means in the U.S. and most  other geographic markets where the related food items are sold. Depending on the country, trademarks generally remain  valid for as long as they are in use or their registrations are maintained. Trademark registrations generally are for  renewable, fixed terms. Our significant trademarks include Lamb Weston, Lamb Weston Supreme, Lamb Weston Seeing  Possibilities in Potatoes (and design), Possibilities in Potatoes (and design), Lamb Weston Seasoned, Lamb Weston Private  Reserve, Lamb Weston Stealth Fries, Lamb Weston Colossal Crisp, Lamb Weston Crispy on Delivery, Twister Fries, and  CrissCut. We also sell certain products in connection with marks such as Grown in Idaho and Alexia, which we license  from third parties. We own numerous patents worldwide. We consider our portfolio of patents, patent applications, patent licenses,  proprietary trade secrets, technology, know-how processes, and related intellectual property rights to be material to our  operations. Patents, issued or applied for, cover inventions, including packaging, manufacturing processes, equipment,  formulations, and designs. Our issued patents extend for varying periods according to the date of the patent application  filing or grant, the legal term of patents in the various countries where patent protection is obtained, and, in most countries,  the payment of fees to maintain the patents. The actual protection afforded by a patent, which can vary from country to  country, depends upon the type of patent, the scope of its coverage as determined by the patent office or courts in the  country, and the availability of legal remedies in the country, which may, in some countries, depend in part on appropriate  patent marking and working the patents.  Raw Materials Our primary raw materials are potatoes, edible oils, packaging, grains, starches, and energy inputs. We source a  significant amount of our raw potatoes under both strategic, long-term grower relationships and short-term annual  contracts. In the U.S., most of the potato crop used in our products is grown in Washington, Idaho, and Oregon. In Europe,  growing regions for the necessary potatoes are concentrated in the Netherlands, Austria, Belgium, Germany, France, and  the United Kingdom. We also have grower relationships in potato growing regions in Canada, China, Australia, and  Argentina that support our processing facilities in those countries. We believe that the grower networks to which we have  access provide a sufficient source of raw potato inputs year-to-year. We source edible oils through strategic relationships  with key suppliers, and we source packaging and energy inputs through multiple suppliers under a variety of agreement  types. The prices paid for these raw materials, as well as other raw materials used in making our products, generally  reflect factors such as weather, commodity market fluctuations, currency fluctuations, tariffs, fuel prices, energy costs,  labor, freight transportation, logistics, general U.S. and global economic conditions, and the effects of governmental  agricultural programs. The prices of raw materials can fluctuate as a result of these factors.  During fiscal 2025, we continued to face increased costs for the primary raw materials for our products, including  potatoes, edible oils, packaging, grains, starches, and energy inputs. We seek to mitigate higher input costs through long- term relationships, contracting strategies, and hedging activities where an active market for an input exists, as well as,  through our pricing and productivity initiatives. See also “Item 1A. Risk Factors” for a discussion of risks related to our  input costs. Manufacturing We operate 26 production facilities for our products. See “Item 2. Properties” for more information about our  production facilities. In addition to our own production facilities, we source a portion of our products under “co-packing”  agreements, a common industry practice in which manufacturing is outsourced to other companies. We regularly evaluate  our co-packing arrangements to ensure the most cost-effective manufacturing of our products and to utilize company- owned production facilities most effectively. International Operations  At May 25, 2025, we had operations in 32 countries, with sales support in each of these countries and production  and processing facilities in eight countries. See Note 13, Segments, of the Notes to Consolidated Financial Statements in  “Part II, Item 8. Financial Statements and Supplementary Data” of this Form 10-K for additional information on our U.S.  and non-U.S. operations. Also see “Item 2. Properties,” for more information on our production and other facilities. For a  discussion of risks related to our operations outside the U.S., see “Item 1A. Risk Factors” of this Form 10-K.  3 
 
 
 
Competition The value-added frozen potato products industry in North America, Europe and other international markets is  highly competitive. Competitors include large North American and European frozen potato product companies that  compete globally, as well as local and regional companies. The international markets are highly fragmented with increased  production capacity recently being added by local companies in emerging markets like Saudi Arabia and India. Significant  competitors include Agristo NV, Aviko B.V., Cavendish Farms Corporation, Clarebout Potatoes NV, Farm Frites  International B.V., J.R. Simplot Company, The Kraft Heinz Company, and McCain Foods Limited. Some of our  competitors are larger and have substantially more financial, sales and marketing, and other resources than us. In addition,  some local competitors are vertically integrated, which enables them to produce potato products at lower costs. We  compete with producers of similar products on the basis of, among other things, customer service and support, value,  product innovation, product quality, brand recognition and loyalty, price, and the ability to identify and satisfy customer  and consumer preferences. The markets in which we operate are expected to remain highly competitive for the foreseeable  future. See also “Item 1A. Risk Factors – Industry Risks – Increased competition may result in reduced sales or profits” of  this Form 10-K for further discussion of the risks associated with competition in our industry. Seasonality Our inventory levels, net sales, segment adjusted EBITDA, and cash flows are affected by seasonality. In general,  our segment adjusted EBITDA percentage tends to be highest in our fiscal third quarter, reflecting the cost benefits of  freshly harvested potatoes. We typically harvest potatoes in the Pacific Northwest of the U.S. and Europe in July through  October, which is primarily in our fiscal second quarter. While the quality of potatoes affects production efficiency,  overall, freshly harvested potatoes process more efficiently in our production lines and are not subject to storage or  secondary transport costs. We typically hold 50 to 60 days of finished goods inventory on a first-in-first-out basis, so the  costs incurred from our fiscal second quarter harvest, which are generally favorable, will flow through our income  statement in our fiscal third quarter. Inventory levels also tend to be higher in our fiscal third quarter, requiring more  working capital at that time. In general, net sales and cash flows tend to be higher in our fiscal fourth quarter, reflecting  customer and consumer buying patterns. The number of days of inventory on hand exceeded our typical levels the last two fiscal years primarily due to  lower sales volume compared to forecasted amounts. We have working capital initiatives underway to decrease inventories  in line with historical levels. Human Capital Resources We believe that our employees and our workplace culture are among our most important assets, and that our  employees are integral to our ability to achieve our strategic objectives. Attracting, developing, and retaining the best talent  globally with the right skills to drive our mission, vision, and values are central components of our strategies for long-term  growth. As of July 17, 2025, we had approximately 10,100 employees, of which approximately 3,100 employees work  outside of the U.S. As of July 17, 2025, approximately 30% of our employees are parties to collective bargaining  agreements with terms that we believe are typical for the industry in which we operate. Most of the union workers at our  facilities are represented under contracts that expire at various times over the next several years. Of the hourly employees  who are represented by these contracts, 65% are party to a collective bargaining agreement currently in negotiations or  scheduled to expire over the course of the next twelve months. As the agreements expire, we believe they will be  renegotiated on terms satisfactory to the parties. Health and Safety Our employees’ health, safety, and well-being are our highest priority. We strive for world-class safety at each of  our facilities. This means we continuously focus on creating a zero-incident culture. To help achieve this goal, we foster  safety leadership throughout the organization as part of our comprehensive environment, health, safety, and sustainability  management system. Through ongoing communications, routine assessments of our safety programs, safety and job-related  training, daily risk assessments at facilities, defined standards, and safety measures, we strive to improve our safety  performance each year.  4 
 
 
 
Total Rewards  Our compensation and benefits are designed to support the financial, mental, and physical well-being of our  employees. We are committed to equal pay for equal work. As part of this commitment, we regularly review our  compensation practices and benchmark and set pay ranges based on market data and consider various factors such as an  employee’s role and experience, job location, and performance. In addition to base salaries, many employees also  participate in an annual short-term incentive program and may also receive long-term equity awards. Benefits for U.S.  employees include an employee savings 401(k) plan and company matching contributions, health insurance, disability  insurance, life insurance, health savings and flexible spending accounts, wellness incentives, annual on-site health  screenings, paid time-off, family leave, parental leave, employee assistance programs, and tuition reimbursement  opportunities. Benefits for employees outside of the U.S. vary by country but are generally market competitive and  representative of prevalent local company sponsored benefit programs. Eligibility for, and the level of, compensation and  benefits vary depending on an employee’s full-time or part-time status, work location, job and career level, and tenure with  the Company. We regularly review our compensation and benefit programs with the aim of keeping them competitive and  designed to meet our employees’ health and wellness needs, which we believe is important to attract and retain the best  available talent. Recruitment, Training, and Development We believe maintaining a robust pipeline of talent is crucial to our ongoing success and is a key aspect of  succession planning efforts across the organization. We use recruitment vehicles, including partnerships with universities  and communities, local and national organizations, and various social media outlets, to attract strong talent to our  organization. Our leadership and people teams are responsible for attracting and retaining top talent by facilitating an  environment where employees feel supported and encouraged in their professional and personal development. Specifically,  we promote employee development by regularly reviewing strategic positions and identifying potential internal candidates  to fill those roles, evaluating job skill sets to identify competency gaps, and creating developmental plans to facilitate  employee professional growth. We invest in our employees through training and development programs, including both  custom internal training and external learning resources, utilizing both live and virtual learning experiences, on the job  experiences, rotational assignments, annual and mid-year manager reviews and coaching. These offerings are designed to  position employees to execute with excellence in their current roles, accelerate their learning curves, and grow their careers  by taking advantage of continuing learning opportunities. For example, in our production facilities, we provide multiple  training sessions focused on quality and safety. We also hold courses focused on leadership development for employees  and people leaders across our global organization. In addition, with both in-person and our e-learning resources, employees  can also focus on timely and topical development areas, including leadership capabilities, management excellence,  functional skill building, and inclusion.  Culture and Employee Engagement We believe that having a workplace culture that supports and values all employees is critical to our success. We  believe a workforce with varied perspectives enhances decision-making and drives innovation. We seek to provide a work  environment that fosters respect, inclusion, fairness, and dignity, and is free of harassment, discrimination, or fear of  retaliation. To understand employee sentiments, we conduct a comprehensive survey every other year of our global  workforce, as well as periodic short pulse surveys in between the comprehensive surveys. This survey was completed in  fiscal 2025 and was administered and analyzed by an independent third-party provider. The survey results were then  reviewed by our executive leadership team and our Compensation and Human Capital Committee of the Board of Directors  (the “Board”). Department leaders were also given the engagement survey results and tasked with taking action based on  their employees’ anonymous feedback (both quantitative and qualitative). By considering the results of the survey and  implementing actions based on our findings, both at an aggregate enterprise level as well as at department, business, and  work group levels, we believe that we have been able to enhance our workplace culture and improve overall employee  engagement levels. 5 
 
 
 
We are also committed to creating and building a culture of giving. We encourage and enable our employees to  support many charitable causes. This includes engaging in volunteer programs promoted by the Company or employees.  Our locations also manage their own community outreach programs through local giving committees, which provide  opportunities for employees to financially engage with local nonprofits and volunteer their time. Annually, we make cash  grants through the Lamb Weston Foundation, including through our Pay it Forward program, which gives our employees a  role in directing some of the Foundation’s funds. In addition, we offer a matching gifts program to employees and  directors, paid volunteer time off, non-profit board service grants, and an employee dependent scholarship program.  Further, we have implemented a volunteer reward program that allows employees to provide monetary donations to  organizations where they volunteer and established the Team Member Relief Fund to provide financial support to  employees experiencing hardships such as catastrophic events, illness, domestic violence, and other unforeseen  circumstances. Information About Our Executive Officers The following are our executive officers as of July 17, 2025:  Name Title Age Michael J. Smith    . . . . . . . . . . . . . . . . . Director, President and Chief Executive Officer 48 Michael C. Crowley     . . . . . . . . . . . . . . President, North America 52 Benjamin Heselton    . . . . . . . . . . . . . . . Chief Information Officer 53 Bernadette M. Madarieta  . . . . . . . . . . . Chief Financial Officer 50 Marc Schroeder     . . . . . . . . . . . . . . . . . . President, International 54 Eryk J. Spytek    . . . . . . . . . . . . . . . . . . . General Counsel and Chief Compliance Officer 57 Sylvia Wilks      . . . . . . . . . . . . . . . . . . . . Chief Supply Chain Officer 61 Steven J. Younes   . . . . . . . . . . . . . . . . . Chief Human Resources Officer 59 Michael J. Smith has served as our President and Chief Executive Officer and a member of our board of directors  since January 2025. Prior to that, he served as our Chief Operating Officer since May 2023, Senior Vice President and  General Manager of Foodservice, Retail, Marketing and Innovation from April 2018 until May 2023 and Senior Vice  President, Growth and Strategy from September 2016 until April 2018. Mr. Smith also served as Vice President and  General Manager of Lamb Weston Retail from May 2011 to September 2016, Vice President and General Manager of  Conagra’s Private Brands from March 2014 to February 2016, and Vice President of Global Marketing of Lamb Weston  from July 2012 to March 2014. Prior to joining Conagra in 2007, Mr. Smith held various brand management roles at Dean  Foods Company, a food and beverage company, and its WhiteWave division from May 2003 until December 2007.  Michael C. Crowley has served as our President, North America since January 2025. Prior to that, he served as our  Senior Vice President and General Manager, Multinational Chain from June 2023 to January 2025, Vice President Sales,  Global Accounts from October 2018 to June 2023 and Vice President Sales, National Accounts from January 2017 to  October 2018. Mr. Crowley has more than 25 years of experience working across every aspect of Lamb Weston’s business,  including overseeing production and quality assurance at several North American processing facilities, corporate quality  assurance, managing key global customer relationships, and several commercial leadership roles. Benjamin Heselton has served as our Chief Information Officer since May 2025. Before joining Lamb Weston,  Mr. Heselton served as the Chief Technology Officer of Wurth IT USA, an information technology services company and  a division of The Würth Group, from January 2024 to April 2025. Mr. Heselton joined The Würth Group, a producer and  marketer of fastening and assembly materials, in April 2007. During his 18 years at The Würth Group, Mr. Heselton held  various roles, including Wurth Industry North America’s Chief Information Officer from January 2020 to December 2023  and Vice President of Information Technology and Business Intelligence from September 2008 to December 2019.  Bernadette M. Madarieta has served as our Chief Financial Officer since August 2021. Ms. Madarieta joined  Lamb Weston in October 2016 as our Vice President and Controller and Principal Accounting Officer. Before that, Ms.  Madarieta served as Vice President and Controller of Packaging Corporation of America, a containerboard and corrugated  packaging manufacturer, from October 2013 to March 2016, and Vice President and Controller at Boise Inc., a packaging  and paper products manufacturer, from February 2011 to October 2013. Ms. Madarieta has more than 25 years of finance  management and leadership experience spanning public and privately held companies and Big 4 public accounting firms. 6 
 
 
 
Marc Schroeder has served as our President, International since May 2023. Mr. Schroeder is a Dutch national and  joined Lamb Weston in February 2023 following the completion of our acquisition of the remaining equity interest in LW  EMEA, having previously served as Chief Executive Officer of our former European joint venture since January 2021.  Before joining LW EMEA, Mr. Schroeder served as Chief Executive Officer of Pepsi Lipton, a joint venture between  PepsiCo, Inc. and Unilever for tea branded products, from February 2016 to November 2020. Prior to that, he spent more  than 14 years at PepsiCo, Inc., a food and beverage company, and held various operating, commercial and corporate  leadership roles, including Senior Vice President Global Nutrition Group from August 2014 to January 2016, Vice  President Global Grains (Quaker) from September 2012 to July 2014 and General Manager of Frito-Lay in Russia from  October 2009 to August 2012. Eryk J. Spytek has served as our General Counsel and Chief Compliance Officer since October 2016. He also  served as Corporate Secretary from October 2016 to November 2020. From June 2015 until October 2016, Mr. Spytek was  Of Counsel at Winston & Strawn LLP, a law firm. Before returning to Winston & Strawn LLP, he served from December  2009 until April 2015 in a variety of roles with Mead Johnson Nutrition Company, a manufacturer of infant formula,  including as Vice President, Deputy General Counsel and Assistant Secretary from April 2013 to April 2015 and as Vice  President, Associate General Counsel and Assistant Secretary from December 2009 to April 2013. Before that, Mr. Spytek  served as Senior Vice President, General Counsel and Secretary at SIRVA, Inc., a moving and relocation services provider,  from February 2006 to February 2009. Before joining SIRVA, Inc., Mr. Spytek was a partner at Winston & Strawn LLP,  which he joined as an associate in 1996. Sylvia Wilks has served as our Chief Supply Chain Officer since August 2024. Before joining Lamb Weston, Ms.  Wilks was Chief Supply Chain Officer of Recreational Equipment, Inc. (“REI”), a specialty outdoor retailer, from May  2022 to August 2024, and Vice President, Supply Chain Operations at TireHub LLC, a national distributor of tires, from  July 2018 to April 2022. Ms. Wilks has more than 30 years of supply chain experience in consumer-packaged goods, food  and beverage manufacturing, automotive and retail, including supply chain leadership roles at Kimberly-Clark Corporation  and Starbucks Corporation. Steven J. Younes has served as our Chief Human Resources Officer since January 2022. Mr. Younes joined Lamb  Weston from Loews Hotels & Co., a hospitality company, where he served as Executive Vice President and Chief Human  Resources Officer from April 2019 through December 2021. Prior to that, Mr. Younes was Senior Vice President of  Human Resources for Ascension, a not-for-profit healthcare company, from July 2013 to December 2018. An employment  lawyer by background, he spent 12 years in private practice and served as employment counsel to a number of  organizations earlier in his career. Mr. Younes has more than 30 years of experience in human resources and employment  law. Ethics and Governance We have adopted a code of conduct that applies to all our employees, as well as a code of ethics for senior  corporate financial officers that applies to our Chief Executive Officer, Chief Financial Officer, and Controller. These  codes are available on our website at www.lambweston.com through the “Investors – Corporate Governance” link. We will  disclose any waiver we grant to our Chief Executive Officer, Chief Financial Officer, or Controller under our codes, or  certain amendments to the codes, on our website at www.lambweston.com. In addition, we adopted Corporate Governance Principles and charters for the Audit and Finance Committee (the  “Audit Committee”), Nominating and Corporate Governance Committee, and Compensation and Human Capital  Committee. These materials are available on our website at www.lambweston.com and will be provided free of charge to  any stockholder requesting a copy by writing to: Corporate Secretary, Lamb Weston Holdings, Inc., 599 S. Rivershore  Lane, Eagle, Idaho 83616.  The information on our website is not, and shall not be deemed to be, a part of this Form 10-K or incorporated  into any other filings we make with the SEC. 7 
 
 
 
Food Safety and Labeling We are subject to extensive regulation, including, among other things, the Food, Drug and Cosmetic Act, as  amended by the Food Safety Modernization Act, the Public Health Security and Bioterrorism Preparedness and Response  Act of 2002, and the rules and regulations promulgated thereunder by the U.S. Food and Drug Administration (“FDA”).  This comprehensive and evolving regulatory program governs, among other things, the manufacturing, composition and  ingredients, labeling, packaging, and safety of food, including compliance with current Good Manufacturing Practices. In  addition, the Nutrition Label Reform Act of 2016 and regulations promulgated thereunder by the FDA prescribe the format  and content in which specific nutrition information is required to appear on the labels of food products. We are also subject  to regulation by certain other governmental agencies, including the U.S. Department of Agriculture. In addition, our operations and products are subject to state and local regulation, including the registration and  licensing of production facilities, enforcement by state health agencies of various state standards, and the registration and  inspection of facilities. Compliance with federal, state, and local regulation is costly and time-consuming. Enforcement  actions for violations of federal, state, and local regulations may include seizure and condemnation of products, cease and  desist orders, injunctions, voluntary or mandatory recalls or market withdrawals of products, and monetary penalties. We  believe that our practices are sufficient to maintain compliance with applicable government regulations. Environmental, Health and Safety Regulations We are subject to a number of foreign, domestic, federal, state, and local laws and other regulations relating to the  protection of human health, the environment and the safety and health of personnel. These requirements apply to a broad  range of our activities, including: the regulation and discharge of pollutants into the air, land and water; the identification,  generation, storage, handling, transportation, disposal, recordkeeping, labeling, spill prevention and reporting of, and  emergency response in connection with, hazardous materials and chemical substances; noise and odor emissions from our  facilities; and safety and health standards, practices, and procedures that apply to the workplace and the operation of our  facilities.  In order to comply with these requirements, we may need to spend substantial amounts of money and other  resources from time to time to: (i) construct or acquire new equipment, (ii) acquire or amend permits to authorize facility  operations, (iii) modify, upgrade, or replace existing and proposed equipment, and (iv) clean up or decommission our  facilities or other locations in accordance with regulatory requirements. Our capital and operating budgets include planned  costs and expenses associated with complying with these laws and other requirements.  We expect to spend approximately $100 million in fiscal 2026 to comply with environmental regulations,  including those related to discharges into the air, land, and water. These projects largely focus on wastewater treatment at  our production facilities. Further, we expect to spend about $500 million in the aggregate over the next six years to comply  with government environmental regulations and permit limitations. It is possible that our capital expenditure assumptions,  estimates and project completion dates may change, and our projections are subject to change due to items such as the  finalization of ongoing engineering projects, varying costs or changes in environmental laws and regulations. See “Item  1A. Risk Factors—Legal and Regulatory Risks—If we fail to comply with the many laws and regulations applicable to our  business, we may face lawsuits or incur significant fines and penalties” of this Form 10-K. Available Information We make available, free of charge on our website at www.lambweston.com, our annual reports on Form 10-K,  quarterly reports on Form 10-Q, current reports on Form 8-K, and amendments to those reports filed or furnished pursuant  to Section 13(a) or 15(d) of the Securities Exchange Act of 1934, as amended (the “Exchange Act”), as soon as reasonably  practicable after we electronically file them with, or furnish them to, the SEC. We use our website, through the “Investors”  link, as a channel for routine distribution of important information, including news releases, analyst presentations, and  financial information. The information on our website is not, and shall not be deemed to be, a part of this Form 10-K or  incorporated into any other filings we make with the SEC unless expressly noted in other such filings. ITEM 1A. RISK FACTORS  Our business is subject to various risks and uncertainties. Any of the risks and uncertainties described below could  materially and adversely affect our business, financial condition, and results of operations and should be considered in  evaluating us. Although the risks are organized by heading, and each risk is described separately, many of the risks are  interrelated. While we believe we have identified and discussed below the material risks affecting our business, there may  8 
 
 
 
be additional risks and uncertainties that we do not presently know or that we do not currently believe to be material that  may adversely affect our business, financial condition, or results of operations in the future. Business and Operating Risks We may not be able to offset cost increases on inputs necessary for the production and distribution of our products, such  as labor, raw materials, energy, fuel, and packaging materials.  A significant portion of our cost of goods comes from commodities such as raw potatoes, edible oil, grains,  starches, and energy. These commodities are subject to price volatility and fluctuations in availability caused by many  factors, including: changes in global supply and demand, governmental incentives and controls (including import/export  restrictions, such as new or increased tariffs, sanctions, quotas or trade barriers including the tariffs announced by the U.S.  in April 2025 on U.S. imports, and any retaliatory tariffs imposed by foreign governments on U.S. exports, as well as  selective tariff exemptions), weather conditions (including any potential effects of climate change), fire, natural disasters  (such as a hurricane, tornado, earthquake, wildfire or flooding), disease or pests, agricultural uncertainty, water stress,  health epidemics or pandemics or other contagious outbreaks, as was the case with the COVID-19 pandemic, limited or  sole sources of supply, inflation, political uncertainties, acts of terrorism, governmental instability, war or other conflicts  (such as the war in Ukraine, conflicts in the Middle East and tensions between China and Taiwan), or currency exchange  rates. During fiscal 2025, we continued to experience elevated commodity and supply chain costs, including the costs of  labor, raw materials (such as potatoes, edible oil, grain and starch), energy, fuel, packaging materials, and other inputs  necessary for the production and distribution of our products, as well as transportation and logistics costs. Commodity price  increases, or a sustained interruption or other constraints in the supply or availability of key commodities, including  necessary services such as transportation and warehousing, could adversely affect our business, financial condition, and  results of operations. Our attempts to offset these cost pressures, such as through increases in the selling prices of some of  our products, may not be successful or may not be sustainable. Higher product prices may result in reductions in sales  volume, especially given the current highly competitive frozen potato product market and soft restaurant traffic and the  volatility of the macroeconomic environment. To the extent that price increases are not sufficient to offset these increased  costs adequately or in a timely manner, and/or if they result in significant decreases in sales volume, our business, financial  condition, or results of operations may be adversely affected. Though we provide most of our customers with local/regional  supply, products we manufacture at our one production facility in Canada and import to the U.S., as well as the 5% of our  inputs, primarily edible oils and natural gas, that are sourced in Canada, are currently exempt from these tariffs as they are  compliant with the United States-Mexico-Canada trading agreement. Despite the current exemptions, the implementation  of new tariffs on imports from Canada, Mexico, China or other countries for an extended period and without specific  exemptions for our products may adversely affect our business, financial condition and results of operations. Further, any  retaliatory tariffs on U.S. products by other countries, or other trade protection measures by foreign countries in favor of  their local producers of competing products, such as governmental subsidies, tax benefits, and other measures giving local  producers a competitive advantage over Lamb Weston, may adversely affect our business and results of operations in those  countries. We also may not be successful in mitigating the effects of these cost increases through productivity initiatives or  through our commodity hedging activity. Our future success and earnings growth depend in part on our ability to maintain  the appropriate cost structure and operate efficiently in the highly competitive value-added frozen potato product category.  We continue to implement profit-enhancing initiatives to improve the efficiency of our supply chain and general and  administrative functions. These initiatives are focused on cost-saving opportunities in procurement, manufacturing,  logistics, and customer service, as well as general and administrative functions. However, gaining additional efficiencies  may become more difficult over time. In addition, there is currently no active derivatives market for potatoes in the U.S.  Although we have experience in hedging against commodity price increases, these practices and experience reduce, but do  not eliminate, the risk of negative profit impacts from commodity price increases. As a result, the risk management  procedures that we use may not always work as we intend. To the extent we are unable to offset present and future cost  increases, our business, financial condition, and results of operations could be materially and adversely affected. Disruption to our supply chain could adversely affect our business. Our ability to manufacture or sell our products may be impaired by damage or disruption to our manufacturing,  warehousing or distribution capabilities, or to the capabilities of our suppliers, logistics service providers, or independent  distributors. This damage or disruption could result from execution issues, as well as factors that are difficult to predict or  beyond our control such as increased temperatures due to climate change, water stress, extreme weather events, natural  9 
 
 
 
disasters, product or raw material scarcity, fire, terrorism, pandemics, armed hostilities (including the ongoing war in  Ukraine and conflicts in the Middle East), strikes, labor shortages, cybersecurity breaches, governmental restrictions or  mandates, disruptions in logistics, supplier capacity constraints, or other events. Failure to take adequate steps to mitigate  the likelihood or potential impact of such events, or to effectively manage such events if they occur, may adversely affect  our business, financial condition, and results of operations. Further, the inability of any supplier, including, but not limited  to, those that supply our packaging, ingredients, equipment and other necessary operating materials, co-manufacturer,  independent contractor, logistics service provider, or independent distributor to deliver or perform for us in a timely or  cost-effective manner could cause our operating costs to increase and our profit margins to decrease. We have experienced,  and may continue to experience, disruptions in our supply chain, including as a result of temporary systems disruptions,  labor shortages, increased transportation and warehousing costs, longer shipping times, pandemics or other public health  crisis, the ongoing war in Ukraine and the conflicts in the Middle East. The occurrence of a significant supply chain  disruption or the inability to access or deliver products that meet requisite quality and safety standards in a timely and  efficient manner, could lead to increased warehouse and other storage costs or otherwise adversely affect our profitability  and weaken our competitive position or harm our business. Labor shortages or stoppages, an inability to attract and retain key personnel, increased turnover or increases in labor  costs could adversely affect our business, financial condition, and results of operations. Labor is a primary component of operating our business. A number of factors may adversely affect the available  labor force, or increase labor costs, for us or our third-party business partners, including hybrid or remote work  arrangements, higher unemployment subsidies, other government regulations, and general macroeconomic factors. The  labor market has been increasingly tight and competitive, and we may face sudden and unforeseen challenges in the  availability of labor, such as we experienced in fiscal 2022 and 2023 at some of our production facilities, which reduced  our production run-rates and increased our manufacturing costs, or as we and our suppliers experienced in 2022 with the  shortage of drivers and reduced trucking capacity, which increased transportation costs. As we experienced with the  COVID-19 pandemic, sustained labor shortages or increased turnover rates within our workforce, could lead to production  or shipping delays, increased costs, such as increased overtime to meet demand and increased wage rates to attract and  retain employees, and could negatively affect our ability to efficiently operate our production and distribution facilities and  overall business. Further, our success depends on our ability to attract, retain, and develop effective leaders and personnel  with professional and technical expertise, such as agricultural and food manufacturing experience or emerging technologies  experience, as well as finance, marketing, and other senior management professionals. The loss of the services of these  persons could deplete our institutional knowledge and could have a material adverse effect on our business, financial  condition, and results of operations. The market for these employees is competitive, and we could experience difficulty  from time to time in hiring and retaining the personnel necessary to support our business. In addition, changes in  immigration laws and policies or restrictions could make it more difficult for us to recruit or relocate skilled employees.  Our ability to recruit and retain a highly skilled workforce could also be materially impacted if we fail to adequately  respond to rapidly changing employee expectations regarding fair compensation, an inclusive workplace, flexible working,  or other matters. If we are unable to hire and retain employees capable of performing at a high-level, develop adequate  training and succession plans for leadership positions, or if mitigation measures we may take to respond to a decrease in  labor availability, such as overtime and third-party outsourcing, have unintended negative effects, our business could be  adversely affected.  In addition, health care and workers’ compensation costs have been increasing. Inflationary pressures and any  shortages in the labor market could continue to increase labor costs, which could have a material adverse effect on our  business, financial condition, or results of operations. Our labor costs include the cost of providing employee benefits in the  U.S. and foreign jurisdictions, including pension, health and welfare and severance benefits. We are in the process of  terminating our pension plan for certain of our U.S. employees. The termination and settlement process preserves  retirement benefits due to participants but changes the ultimate payor of such benefits. During fiscal 2026, we expect to  complete the purchase of group annuity contracts that will transfer any remaining pension benefit obligation to an  insurance company. The final pension settlement charges and the actual amount we will be required to contribute to the  plan is dependent on various factors, including the value of plan assets, distributions paid to plan participants, and the cost  to purchase annuity contracts to settle the pension obligation. Additionally, the annual costs of benefits vary with increased  costs of health care and the outcome of collectively bargained wage and benefit agreements. A significant increase in our  obligations could have a negative impact on our results of operations and cash flows from operations. In addition, our  financial condition and ability to meet the needs of our customers could be materially and adversely affected if strikes or  work stoppages or interruptions occur as a result of delayed negotiations with union-represented employees within or  outside the U.S, or if we are unable to renew collectively bargained agreements on satisfactory terms as they expire. As  discussed above, most of the union workers at our facilities are represented under contracts that expire at various times over  the next several years. Of the hourly employees who are represented by these contracts, 65% are party to a collective  10 
 
 
 
bargaining agreement currently in negotiations or scheduled to expire over the course of the next twelve months. As the  agreements expire and are renegotiated, there is no guarantee that they will be renewed in a timely manner or on  satisfactory terms. Our business, financial condition, and results of operations could be adversely affected by the political and economic  conditions of the countries in which we conduct business and other factors related to our international operations,  including foreign currency risks and trade barriers. We conduct a substantial and growing amount of business with customers located outside the U.S. During each of  fiscal 2025, 2024, and 2023, net sales outside the U.S., primarily in Australia, Canada, China, Europe, Japan, Korea,  Mexico, and Taiwan, accounted for approximately 35%, 34%, and 23% of our net sales, respectively. Factors relating to  our domestic and international sales and operations, many of which are outside of our control, have had, and could  continue to have, a material adverse impact on our business, financial condition, and results of operations, including: • foreign exchange rates, foreign currency exchange and transfer restrictions, which may unpredictably and  adversely impact our combined operating results, asset and liability balances, and cash flow in our Consolidated  Financial Statements, even if their value has not changed in their original currency; • our consolidated financial statements are presented in U.S. dollars, and we must translate the assets, liabilities,  revenue and expenses into U.S. dollars for external reporting purposes;  • changes in trade, monetary and fiscal policies of the U.S. and foreign governments, including modification or  termination of existing trade agreements or treaties, creation of new trade agreements or treaties, trade regulations,  and increased or new tariffs, sanctions, quotas, import or export licensing requirements, and other trade barriers  imposed by governments; • changes in capital controls, including currency exchange controls, government currency policies or other limits on  our ability to import raw materials or finished products into various countries or repatriate cash from outside the  United States; • negative economic developments in economies around the world and the instability of governments, including the  actual or threat of wars, terrorist attacks, epidemics or civil unrest, including the war in Ukraine and conflicts in  the Middle East; • currency devaluations or fluctuations in currency values, including in developed and emerging markets, such as  the highly inflationary environment in Argentina;  • earthquakes, tsunamis, droughts, floods or other major disasters that may limit the supply of raw materials that are  purchased abroad for use in our international operations or domestically;  • volatile commodity prices and increased costs of raw and packaging materials, labor, energy and transportation,  disruptions in shipping or reduced availability of freight transportation and warehousing, such as the reduced  availability of shipping containers that we encountered in fiscal 2022; • pandemics and other public health crises, which may lead, and in the case of the COVID-19 pandemic, led, to  measures that decrease revenues, disrupt our supply chain or otherwise increase our storage, production or  distribution costs and adversely affect our workforce, local suppliers, customers and consumers of our products; • differing employment practices and labor standards in the international markets in which we operate;  • differing levels of protection of intellectual property across the international markets in which we operate; • difficulties and costs associated with complying with U.S. laws and regulations applicable to entities with  overseas operations, including the Foreign Corrupt Practices Act;  • the threat that our operations or property could be subject to nationalization and expropriation;  • varying regulatory, tax, judicial and administrative practices in the international markets in which we operate; • difficulties associated with operating under a wide variety of complex foreign laws, treaties and regulations; and  • potentially burdensome taxation. The nature and degree of the various risks we face can differ significantly among our regions and businesses. All  these factors could result in increased costs or decreased revenues and could have an adverse effect on our business,  financial condition, and results of operations. 11 
 
 
 
Changes in our relationships with significant customers could adversely affect us. We maintain a diverse customer base across our reporting segments. Customers include global, national and  regional quick service and fast casual restaurants as well as small, independently operated restaurants, multinational,  broadline foodservice distributors, regional foodservice distributors, and major food retailers. Some of these customers  independently represent a meaningful portion of our sales. In addition, we depend on foodservice distributors to help us  create end-customer demand, provide technical support and other value-added services to customers, fill customer orders,  and stock our products. A material change in our relationship with one or more of these distributors or their failure to  perform as expected could reduce our revenue. The foodservice distributors also sell products that compete with our  products, and we sometimes need to reduce prices or provide rebates and other incentives to focus them on the sale of our  products.  There can be no assurance that our customers will continue to purchase our products in the same quantities or on  the same terms as in the past. The loss of a significant customer or a material reduction in sales to a significant customer  could materially and adversely affect our business, financial condition, and results of operations. In addition, the financial  condition of our significant customers, including restaurants, distributors and retailers, are affected by events that are  largely beyond our control, such as the impacts of past and possible future pandemics or other contagious outbreaks, and  political or military conflicts, such as the war in Ukraine or conflicts in the Middle East. Deterioration in the financial  condition of significant customers could materially and adversely affect our business, financial condition, and results of  operations. Changes in our relationships with our growers could adversely affect us. We expend considerable resources to develop and maintain relationships with many potato growers. In some  instances, we have entered into long-term agreements with growers; however, a portion of our potato needs are sourced on  an annual contracted basis. To the extent we are unable to maintain positive relationships with our long-term growers,  contracted growers deliver less supply than we expect, or we are unable to secure sufficient potatoes from uncontracted  growers in a given year, we may not have sufficient potato supply to satisfy our business opportunities. To obtain sufficient  potato supply, we may be required to purchase potatoes at prices substantially higher than expected, or forgo sales to some  market segments, which would reduce our profitability. If we forgo sales to such market segments, we may lose customers  and may not be able to regain or replace them later. Disruption of our access to export mechanisms could have an adverse impact on our business, financial condition, and  results of operations. To serve our customers globally, we rely primarily on our international operations, but also in part on exports  from the U.S. During fiscal 2025, 2024, and 2023, export sales from the U.S. accounted for approximately 6%, 6% and  11%, respectively, of our total net sales. Circumstances beyond our control, such as retaliatory non-U.S. tariffs  countermeasures, a labor dispute at a port, or workforce disruptions (such as disruptions that occurred during the  COVID-19 pandemic), could prevent us from exporting our products in sufficient quantities to meet customer  opportunities. For example, during the latter half of fiscal 2022, limited shipping container availability along the U.S. West  Coast and disruptions to ocean freight networks across the Pacific Ocean resulted in lower export volumes in our  International segment. We have access to production outside of the U.S. through our facilities in Argentina, Australia,  Austria, Canada, China, the Netherlands, and the United Kingdom, but we may be unsuccessful in mitigating any future  disruption to export mechanisms. If this occurs, we may be unable to adequately supply all our existing customers’ needs  and new customer opportunities, which could adversely affect our business, financial condition, and results of operations. Our operations are dependent on a wide array of third parties.  The success of our end-to-end supply chain relies on the continued performance of a wide array of third parties.  Suppliers, co-packers, third-party outsourcers, warehousing partners, and transportation providers are among our critical  partners. Although we take steps to qualify and audit third parties with whom we do business, we cannot guarantee that all  third parties will perform dependably or at all. It is possible that events beyond our control, such as operational failures,  labor issues, heightened inflation, recession, financial and credit market disruptions, or other economic conditions,  cybersecurity events, global geopolitical conflict, such as the war in Ukraine and conflicts in the Middle East, pandemics or  other health issues, such as was the case with the COVID-19 pandemic, or other issues could impact our third parties. If  our third parties fail to deliver on their commitments, introduce unplanned risk to our operations (e.g., through cyber  activity), or are unable to fulfill their obligations, we could experience manufacturing challenges, shipment delays,  increased costs, or lost revenue, which could also impact our relationships with customers and our brand image.  12 
 
 
 
In addition to our own production facilities, we source a portion of our products under co-packing agreements.  The success of our business depends, in part, on maintaining a strong sourcing and manufacturing platform. We believe  that there are a limited number of competent, high-quality co-packers in the industry, and if we were required to obtain  additional or alternative co-packing agreements or arrangements in the future, we can provide no assurance that we would  be able to do so on satisfactory terms or in a timely manner. Our inability to enter into satisfactory co-packing agreements  could limit our ability to implement our business plan or meet customer demand. Damage to our reputation as a trusted partner to customers and good corporate citizen could have a material adverse  effect on our business, financial condition, and results of operations. Our customers rely on us and our co-manufacturers to manufacture safe, high quality food products. Product  contamination or tampering, the failure to maintain high standards for product quality, safety, and integrity, or allegations  of product quality issues, mislabeling or contamination, even if untrue, may damage the reputation of our customers, and  ultimately our reputation as a trusted industry partner. Damage to either could reduce demand for our products or cause  production and delivery disruptions. Our reputation could also be adversely impacted by any of the following, or by adverse publicity (whether or not  valid) relating thereto: the failure to maintain high ethical, social, and environmental standards for our operations and  activities, including the health, safety, and security of our employees and our supply chain; our research and development  efforts; our environmental impact, including use of agricultural materials, packaging, energy and water use, and waste  management, and the failure to set certain goals, or to achieve any stated goals, with respect to such matters; our failure to  comply with local laws and regulations; our failure to maintain an effective system of internal controls; or our failure to  provide accurate and timely financial information. If we do not successfully manage ESG-related expectations across  stakeholders, it could erode stakeholder trust, impact our reputation and adversely affect our business. Moreover, the  growing use of social and digital media by consumers and other stakeholders has greatly increased the speed and extent  that information or misinformation and opinions can be shared. Negative posts or comments about us, our brands, or our  products on social or digital media could damage our reputation and our brands. Damage to our reputation or loss of  customer confidence in our products for any of these or other reasons could result in decreased demand for our products  and could have a material adverse effect on our business, financial condition, and results of operations, as well as require  additional resources to rebuild our reputation. We may not realize the anticipated cost savings and/or operating efficiencies associated with strategic initiatives,  including our FY25 Restructuring Plan and recently announced Cost Savings Program. Our future success and earnings growth depend in part on our ability to achieve the appropriate cost structure and  operate efficiently in the highly competitive industry. We continuously review our operations in an effort to pursue  initiatives to reduce costs, increase effectiveness, and optimize cash flow. These initiatives may focus on opportunities to  improve the procurement, manufacturing, and logistics within our supply chain as well as general and administrative  processes. We may not realize all the anticipated cost savings or other benefits from such initiatives. Other events and  circumstances, such as financial or strategic difficulties, delays, or unexpected costs, may also adversely impact our ability  to realize all the anticipated cost savings or other benefits, or cause us not to realize such cost savings or other benefits on  the expected timetable. If we are unable to realize the anticipated benefits, our ability to fund other initiatives may be  adversely affected. Finally, the complexity of the implementation may require a substantial amount of management and  operational resources to achieve the anticipated benefits of the initiatives. These and related demands on our resources may  divert the organization’s attention from other business issues, have adverse effects on existing business relationships with  suppliers and customers, and impact employee morale. Any failure or delay in implementing these initiatives in accordance  with our plans could adversely affect our business, operating efficiency, and financial results. In October 2024, we began implementing a restructuring plan (the “FY25 Restructuring Plan”), which is designed  to drive operational and cost efficiencies and improve cash flows, which actions were substantially completed by the end of  fiscal 2025. See Note 4, Restructuring, of the Notes to Consolidated Financial Statements in “Part II, Item 8. Financial  Statements and Supplementary Data” of this Form 10-K for additional information on the plan. In addition, in July 2025,  we announced a new cost savings program (the “Cost Savings Program”). If these initiatives do not achieve the expected  financial impact in the aggregate or on the expected timeline, or if the benefits, even if achieved, are not adequate to meet  our long-term growth and profitability expectations, our financial results and ability to meet our long-term growth  expectations could be adversely impacted.  13 
 
 
 
If we are unable to execute on large capital projects or complete or realize the projected benefits of acquisitions,  divestitures and other strategic transactions, our business, financial condition, and results of operations could be  materially and adversely affected.  To support growth, we have invested in our production capabilities either through capital expansion or  acquisitions, and are currently investing in a new processing facility in Argentina. If we are unable to complete this or other  large capital projects, or encounter unexpected delays, higher costs or other challenges, including those related to supply  chain disruptions and availability of necessary labor, materials, and equipment, our business, financial condition, and  results of operations could be materially and adversely affected. In addition, our ability to meet our objectives with respect to acquisitions and other strategic transactions may  depend in part on our ability to identify suitable counterparties, negotiate favorable financial and other contractual terms,  obtain all necessary regulatory approvals on the terms expected and complete those transactions. Potential risks also  include: • the inability to integrate acquired businesses into our existing operations in a timely and cost-efficient manner; • diversion of management's attention from other business concerns; • potential loss of key employees, suppliers and/or customers of acquired businesses; • assumption of unknown risks and liabilities; • the inability to achieve anticipated benefits, including revenues or other operating results; • operating costs of acquired businesses may be greater than expected; • difficulties integrating personnel and financial and other systems; • inaccurate estimates of fair value made in the accounting for acquisitions and amortization of acquired intangible  assets, which would reduce future reported earnings; • indemnities and potential disputes with the sellers; and • the inability to promptly implement an effective control environment. If we are unable to complete or realize the projected benefits of recent or future acquisitions, divestitures or other  strategic transactions, our business, financial condition, and results of operations may be adversely impacted. Industry Risks Our business is affected by potato crop performance. Our primary input is potatoes and every year, we must procure potatoes that meet the quality standards for  processing into value-added products. Environmental and climate conditions, such as soil quality, moisture, and  temperature, affect the yield and quality of the potato crop on a year-to-year basis. Severe weather conditions, including  protracted periods of extreme heat or cold, during the planting and growing season in our potato crop regions have in the  past significantly affected, and can significantly affect, potato crop performance and our operations. For example, because  of the poor quality of the crop in the Pacific Northwest that was harvested in fall 2021 following the extreme heat in the  summer of 2021, we encountered lower raw potato utilization rates in our production facilities, which increased our  production costs. On the other hand, too much water, such as in times of prolonged heavy rainfalls or flooding, can  promote harmful crop conditions like mildew growth and increase risks of diseases, as well as delay planting or affect our  ability to harvest the potatoes. For example, wet conditions in Europe delayed planting in 2024. Potatoes are also  susceptible to pests and diseases that can cause crop failure, decreased yields, and negatively affect the physical appearance  of the potatoes. If a weather or pest-related event occurs in a particular crop year, and our agronomic programs are  insufficient to mitigate the impacts thereof, we may have insufficient potatoes to meet our existing customers’ needs and  new customer opportunities, or we may experience manufacturing inefficiencies and higher costs, and our competitiveness  and profitability could decrease. Alternatively, overly favorable growing conditions can lead to high per acre yields and  over-supply. An increased supply of potatoes could lead to overproduction of finished goods and associated increased  storage costs or destruction of unused potatoes at a loss. For example, in fiscal 2025, we had an oversupply of potatoes,  largely attributable to soft restaurant traffic trends in North America and other key international markets, which resulted in  the write-off of excess raw potatoes that adversely affected our financial results. 14 
 
 
 
In addition, ideal growing conditions for the potatoes necessary for our value-added products (e.g., french fries)  are concentrated in a few geographic regions globally. As a result, we source potatoes from specific regions of the U.S. and  specific countries abroad, including Argentina, Australia, Austria, Belgium, Canada, China, France, Germany, the  Netherlands, and the United Kingdom, where we believe the optimal potato growing conditions exist. Unfavorable crop  conditions in any one region have led at times, and could lead, to significant demand on the other regions for production.  Our inability to mitigate any such conditions by leveraging our production capabilities in other regions could negatively  impact our ability to meet existing customers’ needs and new customer opportunities and could decrease our profitability.  See also “- Legal and Regulatory Risks - Climate change, or legal, regulatory, or market measures to address climate  change, may negatively affect our business and operations,” in this Item 1A. Risk Factors below. The sophistication and buying power of some of our customers could have a negative impact on profits. Some of our customers are large and sophisticated, with buying power and negotiating strength. These customers  may be more capable of resisting price increases and more likely to demand lower pricing, increased promotional  programs, or specialty tailored products. In addition, some of these customers (e.g., larger distributors and supermarkets)  have the scale to develop supply chains that permit them to operate with reduced inventories or to develop and market their  own brands. Shelf space at food retailers is not guaranteed, and large retail customers may choose to stock their own  retailer and other economy brands that compete with some of our products. This could be exacerbated with a shift in  consumer spending as a result of an economic downturn and consumers moving to private label or lower priced products. If  the initiatives we undertake to counteract these pressures, including efficiency programs and investments in innovation and  quality, are unsuccessful and we are unable to counteract the negotiating strength of these customers, our profitability could  decline.  Increased competition may result in reduced sales or profits. Our business, value-added frozen potato products, is highly competitive. Competitors include large North  American and European frozen potato product companies that compete globally, local and regional companies, and  retailers and foodservice distributors with their own branded and private label products. Some of our competitors are larger  and have substantial financial, sales and marketing, and other resources. We compete based on, among other things,  customer service and support, value, product innovation, product quality, brand recognition and loyalty, price, and the  ability to identify and satisfy customer preferences. A strong competitive response from one or more of our competitors to  our marketplace efforts could result in us reducing pricing, increasing spend on promotional activity, or losing market  share. Competitive pressures may restrict our ability to increase prices, including in response to commodity and other input  cost increases or additional improvements in product quality. Our profits could decrease if a reduction in prices or  increased costs are not counterbalanced with increased sales volume. For example, in fiscal 2025, we faced significant  competition as global restaurant traffic continued to soften. As a result, we increased our investments in price and trade to  compete in the increasingly competitive environment in both the North America and International segments, which  decreased our profits. An imbalance of industry supply and demand may result in reduced sales or profits. Customer and consumer demand for our products may be impacted by weak economic conditions, recession,  equity market volatility, or other negative economic factors in the U.S. or other countries. For example, the U.S. has  experienced significantly heightened inflationary pressures since 2022. Historically, market demand for value-added frozen  potato products has generally been balanced with industry capacity. However, in fiscal 2024 and continuing in fiscal 2025,  we experienced declines in sales volume as a result of a slowdown in restaurant traffic in North America and other key  international markets as our customers and consumers respond to the cumulative effect of inflation on the cost of food  consumed away from home. In addition, if the restaurant traffic trends continue to soften, we may experience sales declines  and may have to decrease prices, all of which could have a material adverse impact on our business, financial condition,  and results of operations. In fiscal 2025, we invested in price and trade support to compete in the increasingly competitive  environment in both North America and other international markets, though there is no guarantee that such support will be  sufficient. As additional industry capacity comes online, restaurant traffic declines, or market demand otherwise decreases,  including as a result of inflation, we may face competitive pressures that would restrict our ability to increase or maintain  prices, or we may lose market share. For example, during fiscal 2025, we have faced increased pricing pressure as  additional industry capacity becomes operational, which capacity is also impacted by softening demand. Our profits would  decrease as a result of a reduction in prices or sales volume.  15 
 
 
 
We must identify changing consumer preferences and consumption trends and develop and offer food products to our  customers that help meet those preferences and trends. Consumer preferences evolve over time and our success depends on our ability to identify the priorities, tastes and  dietary habits of consumers and offer products that appeal to those preferences. We need to continue to respond to these  changing consumer preferences and support our customers in their efforts to evolve to meet those preferences. For  example, as consumers continue to focus on freshly prepared foods and away from processed foods, some restaurants may  choose to limit the frying capabilities of their kitchens. As a result, we must evolve our product offering to provide  alternatives that work in such a preparation environment. In addition, our products may contain carbohydrates, sodium,  genetically modified ingredients, added sugars, saturated fats, and preservatives, the diet and health effects of which remain  the subject of public scrutiny. For example, the increased use and/or prevalence of certain weight loss drugs, which may  suppress a person’s appetite and/or impact a person’s preferences, may impact the demand or consumption patterns for  certain of our products. In addition, consumers have increasingly been focused on well-being including reducing sodium  and trans fats and added sugar consumption, as well as the source and authenticity of ingredients in the foods they  consume. Efforts to reformulate our products, introduce new products and create product extensions require significant  research and development and marketing investments. If our products fail to meet consumer preferences or customer  requirements, or we fail to introduce new and improved products on a timely basis, then the return on those investments  will be less than anticipated, which could materially and adversely affect our business, financial condition, and results of  operations. In addition, we compete against branded products as well as private label products. Our products must provide  higher value and/or quality to our customers and consumers than alternatives, particularly during periods of economic  uncertainty. Consumers may not buy our products if relative differences in value and/or quality between our products and  private label products change in favor of competitors’ products or if consumers perceive this type of change. If consumers  prefer private label products, which are typically sold at lower prices, then we could lose market share or sales volumes or  shift our product mix to lower margin offerings. During an economic downturn, some of the effects of which are present in  our current environment, factors such as increased unemployment, decreases in disposable income, inflation, and declines  in consumer confidence could cause a decrease in demand for our overall product offerings, particularly higher priced  products, which could materially and adversely affect our business, financial condition, and results of operations.  Distributors, restaurants, and retailers may also become more conservative in response to these conditions and seek to  reduce their inventories. A change in consumer preferences could also cause us to increase capital, marketing, and other  expenditures, which could materially and adversely affect our business, financial condition, and results of operations. Financial and Economic Risks Our substantial debt may limit cash flow available to invest in the ongoing needs of our business and could prevent us  from fulfilling our debt obligations. We have incurred substantial indebtedness. As of May 25, 2025, we had approximately $4.1 billion of debt,  including current portion, and short-term borrowings, recorded on our Consolidated Balance Sheet. Our level of debt could  have important consequences. For example, it could:  • make it more difficult for us to make payments on our debt; • require us to dedicate a substantial portion of our cash flow from operations to the payment of debt service,  reducing the availability of our cash flow to fund working capital, capital expenditures, acquisitions, and  other general corporate purposes;  • increase our vulnerability to adverse economic or industry conditions;  • limit our ability to obtain additional financing in the future to enable us to react to changes in our business; or  • place us at a competitive disadvantage compared to businesses in our industry that have less debt. 16 
 
 
 
The agreements governing our debt contain various covenants that impose restrictions on us that may affect our ability  to operate our business. The credit agreements governing our term loans and revolving credit facilities and the indentures governing our  senior notes contain covenants that, among other things, limit our ability to:  • borrow money or guarantee debt; • create liens;  • pay dividends on or redeem or repurchase stock; • make specified types of investments and acquisitions; • enter into agreements that limit the ability of our subsidiaries to pay dividends or other payments to us;  • enter into transactions with affiliates; and • sell assets or merge with other companies. These restrictions on our ability to operate our business could harm our business by, among other things, limiting  our ability to take advantage of financing, merger and acquisition, or other corporate opportunities. Various risks,  uncertainties, and events beyond our control could affect our ability to comply with these covenants. Failure to comply  with any of the covenants in our existing or future financing agreements could result in a default under those agreements  and under other agreements containing cross-default provisions. A default would permit lenders to accelerate the maturity  of the debt under these agreements and to foreclose upon any collateral securing the debt. Under these circumstances, we  might not have sufficient funds or other resources to satisfy all our obligations. Also, the limitations imposed by these  financing agreements on our ability to incur additional debt and to take other actions might significantly impair our ability  to obtain other financing.  In addition, the restrictive covenants in our credit agreements require us to maintain specified financial ratios and  satisfy other financial condition tests. We cannot provide assurance that we will continue to be in compliance with these  ratios and tests. Our ability to continue to meet those financial ratios and tests will depend on our ongoing financial and  operating performance, which, in turn, will be subject to economic conditions and to financial, market, and competitive  factors, many of which are beyond our control. A breach of any of these covenants could result in a default under one or  more of our debt instruments, including as a result of cross default provisions and, in the case of our revolving credit  facility, permit the lenders thereunder to cease making loans to us. Upon the occurrence of an event of default under our  credit facilities, the lenders could elect to declare all amounts outstanding thereunder to be immediately due and payable  and terminate all commitments to extend further credit. Such action by the lenders could cause cross-defaults under our  senior notes indentures. Any failure to meet required payments on our debt, or failure to comply with any covenants in the instruments  governing our debt, could result in a downgrade to our credit ratings. A downgrade in our credit ratings could limit our  access to capital and increase our borrowing costs. We face risks related to financial and credit market disruptions and other economic conditions. Disruptions in financial and/or credit markets may impact our ability to manage normal commercial relationships  with our customers, suppliers, and creditors and might cause us to not be able to continue to have access to preferred  sources of liquidity when needed or on terms we find acceptable, and our borrowing costs could increase. An economic or  credit crisis could occur and impair credit availability and our ability to raise capital when needed. In addition, disruptions  in financial and/or credit markets could result in some of our customers experiencing a significant decline in profits and/or  reduced liquidity. A significant adverse change in the financial and/or credit position of a customer could require us to  assume greater credit risk relating to that customer and could limit our ability to collect receivables. A significant adverse  change in the financial and/or credit position of a supplier or co-packer could result in an interruption of supply. This could  have a material adverse effect on our business, financial condition, results of operations, and liquidity. A disruption in the  financial markets may also have a negative effect on our derivative counterparties and could impair our banking or other  business partners, on whom we rely for access to capital and as counterparties to our derivative contracts. In addition,  changes in tax or interest rates in the U.S. or other countries, whether due to recession, economic disruptions, or other  reasons, may adversely impact us. 17 
 
 
 
Impairment in the carrying value of goodwill, other intangible assets, or long-lived assets could result in the incurrence  of impairment charges and negatively impact our financial results and net worth. As of May 25, 2025, we had goodwill of $1,090.2 million and other intangibles, net of $114.0 million.  Additionally, we had $3,687.9 million of property, plant, and equipment, net, $113.2 million of operating right-of-use  assets, and $354.6 million of other assets as of May 25, 2025. The net carrying value of goodwill represents the fair value  of acquired businesses in excess of identifiable assets and liabilities as of the acquisition date (or subsequent impairment  date, if applicable). The net carrying value of other intangibles represents the fair value of brands, trademarks, licensing  agreements, customer relationships, and other acquired intangibles as of the acquisition date (or subsequent impairment  date, if applicable), net of accumulated amortization.  We perform an annual impairment assessment for goodwill, other intangible assets, and long-lived assets. In  addition, we perform a similar assessment upon the occurrence of events or changes in circumstances which may indicate  that the carrying amount of the assets may not be fully recoverable, measured by comparing their net book value to the  undiscounted projected future cash flows generated by their use. Impairments to goodwill, other intangible assets, and  long-lived assets may be caused by factors outside our control, such as increasing competitive pricing pressures, lower than  expected revenue and profit growth rates, changes in industry earnings before interest, taxes, depreciation and amortization  (“EBITDA”) multiples, changes in discount rates based on changes in cost of capital (interest rates, etc.), or the bankruptcy  of a significant customer, and could result in the incurrence of impairment charges and negatively impact our financial  results and net worth. Cybersecurity and Technology Risks Problems with the transition, design, or implementation of our new ERP system have and could further interfere with  our business and operations and adversely affect our financial condition.  At the beginning of our third quarter of fiscal 2024, we transitioned certain central systems and functions in North  America to a new enterprise resource planning (“ERP”) system. In fiscal 2025, we paused the next phase of our ERP  implementation for our production facilities in North America. The ERP system implementation process required, and  when we restart the next phase of the ERP implementation will require, the investment of significant personnel and  financial resources and could be more costly than we anticipated. We have experienced, and may experience in the future,  difficulties as we transition to new upgraded systems and business processes. For example, after the ERP transition in our  fiscal third quarter 2024, we experienced temporary reduced visibility into finished goods inventories at our distribution  centers, which affected our ability to fill customer orders. Although we partnered closely with our customers to minimize  the impact of the disruptions and resolved the reduced visibility, within the quarter, our sales volume and margins  nevertheless declined. In addition, some customers affected by these disruptions secured supply from alternative sources.  Other difficulties may include loss of data; difficulty in completing financial reporting and filing reports with the SEC in a  timely manner; or challenges in otherwise running our business. We may also experience decreases in productivity as our  personnel implement and become familiar with new systems and processes. Any disruptions, delays, or deficiencies in the  transition, design, and implementation of a new ERP system, particularly any disruptions, delays, or deficiencies that  impact our operations, could have a material adverse effect on our business, financial condition, and results of operations.  We are significantly dependent on information technology, and we may be unable to protect our information systems  against service interruption, misappropriation of data, or breaches of security. We rely on information technology networks and systems, including the Internet, to process, transmit, and store  electronic and financial information, to manage and support a variety of business processes and activities, and to comply  with regulatory, legal, and tax requirements. We also depend upon our information technology infrastructure for digital  marketing activities and for electronic communications among our locations, personnel, customers, third-party  manufacturers and suppliers. The importance of such networks and systems has increased due to our adoption of flexible  work-from-home policies for some of our functional support areas, which in turn has heightened our vulnerability to  cyberattacks or other disruptions. Despite careful security and controls design, implementation and updating, monitoring  and routine testing, independent third-party verification, and annual training of employees on information security and data  protection, our information technology systems, some of which are dependent on services provided by third parties, may be  vulnerable to, among other things, damage, invasions, disruptions, or shutdowns due to any number of causes such as  catastrophic events, natural disasters, infectious disease outbreaks and other public health crises, fires, power outages,  systems failures, telecommunications failures, security breaches, computer viruses, ransomware and malware, hackers,  employee error or malfeasance, potential failures in the incorporation of artificial intelligence, employee or personnel  failures and other causes. While we have experienced threats to our data and systems, to date, we are not aware that we  18 
 
 
 
have experienced a breach that had a material impact on our operations or business. However, third parties, including our  partners and vendors, could also be a source of security risk to us, or cause disruptions to our normal operations, in the  event of a breach of their own products, components, networks, security systems, and infrastructure. For example, in April  2023, Americold Realty Trust, Inc., a third-party finished goods storage provider, suffered a cyber incident that impacted  its operations and resulted in considerable delays in the delivery of our products to our customers and interrupted other key  business processes. While the incident impacted our business and we were unable to ship to certain customers for a short  period of time, it did not have a material adverse impact on our business. Cyber threats are constantly evolving, are becoming more frequent and more sophisticated and are being made by  groups of individuals with a wide range of expertise and motives, which increases the difficulty of detecting and  successfully defending against them. Continued geopolitical turmoil and geopolitical tensions, such as between the U.S.  and China, have heightened the risk of cyberattacks. Sophisticated cybersecurity threats, including potential cyberattacks  from China, Russia or other state actors targeted against the U.S., pose a potential risk to the security and viability of our  information technology systems, as well as the confidentiality, integrity, and availability of the data stored on those  systems, including cloud-based platforms. In addition, new technology, such as artificial intelligence, that could result in  greater operational efficiency may further expose our computer systems to the risk of cyberattacks. Our initiatives to  continue to modernize our operations, increase data digitization and improve our production facilities may increase  potential exposure to cybersecurity risks and increase the complexity of our cybersecurity program. We anticipate that the  risk of cybersecurity attacks will increase as artificial intelligence is increasingly used to identify vulnerabilities and  conduct increasingly sophisticated attacks. If we do not allocate and effectively manage the resources necessary to build  and sustain the proper technology infrastructure and associated automated and manual control processes, we could be  subject to billing and collection errors, business disruptions, or damage resulting from security breaches. If any of our  significant information technology systems suffer severe damage, disruption, or shutdown and our business continuity  plans do not effectively resolve the issues in a timely manner, our product sales, financial condition, and results of  operations may be materially and adversely affected, and we could experience delays in reporting our financial results. Any  interruption of our information technology systems or those of our suppliers and customers could have operational,  reputational, legal, and financial impacts that may have a material adverse effect on our business, financial condition, and  results of operations.  In addition, if we are unable to prevent security breaches, unauthorized disclosure of non-public information or  lost or misappropriated confidential information, we may suffer financial and reputational damage, litigation or remediation  costs, fines, or penalties because of the unauthorized disclosure of such information belonging to us or to our partners,  customers, or suppliers. Misuse, leakage, or falsification of information could result in violations of data privacy laws and  regulations (including federal, state and international), potentially significant fines and penalties, damage to our reputation  and credibility, loss of strategic opportunities, and loss of ability to commercialize products developed through research  and development efforts and, therefore, could have a negative impact on net sales. We could also be required to spend  significant financial and other resources to remedy the damage caused by a security breach or to repair or replace networks  and information systems. While we maintain a cyber insurance policy that provides coverage for security incidents, we  cannot be certain that our coverage will be adequate for liabilities actually incurred, that insurance will continue to be  available to us on financially reasonable terms, or at all, or that any insurer will not deny coverage as to any future claim.  There is no assurance that the measures we have taken to protect our information systems will prevent or limit the impact  of a future cyber incident. Legal and Regulatory Risks We may be subject to product liability claims and product recalls or withdrawals, which could negatively impact our  relationships with customers and harm our business.  We sell food products for human consumption, which involves risks such as product contamination or spoilage,  product tampering, other adulteration of food products, mislabeling, and misbranding. We may voluntarily recall or  withdraw products from the market in certain circumstances, which would cause us to incur associated costs; those costs  could be meaningful. For example, in June 2024, we had a voluntary product withdrawal, which negatively impacted our  financial results. We may also be subject to litigation, requests for indemnification from our customers, or liability if the  consumption or inadequate preparation of any of our products causes injury, illness, or death. A significant product liability  judgment or a widespread product recall or withdrawal may negatively impact our sales and profitability for a period of  time depending on the costs of the recall or withdrawal, the destruction of product inventory, product availability,  competitive reaction, customer reaction, and consumer attitudes. Even if a product liability or labeling claim is  unsuccessful or is not fully pursued, the negative publicity surrounding any assertion that our products caused illness or  injury could adversely affect our reputation with existing and potential customers and our corporate and brand image. Our  19 
 
 
 
business could also be adversely affected if consumers lose confidence in the food safety system generally, even if such  loss of confidence is unrelated to products in our portfolio.  In addition, we could be the target of claims of false or deceptive advertising under U.S. federal and state laws as  well as foreign laws, including consumer protection statutes of some states. The marketing of food products has come  under increased regulatory scrutiny in recent years, and the food industry has been subject to an increasing number of  proceedings and claims relating to alleged false or deceptive labeling and marketing under federal, state and foreign laws or  regulations. Changes in legal or regulatory requirements (such as new food safety requirements, revised or new nutrition  facts or allergen labeling, including front of pack labeling, serving size regulations and bans on certain food ingredients or  packaging materials), or evolving interpretations of existing legal or regulatory requirements, may result in increased  compliance costs, capital expenditures and other financial obligations that could adversely affect our business or financial  results. If we are found to be out of compliance with applicable laws and regulations in these areas, we could be subject to  civil remedies, including fines, injunctions, termination of necessary licenses or permits, or recalls or withdrawals, as well  as potential criminal sanctions, any of which could have a material adverse effect on our business. Additionally, as a manufacturer and marketer of food products, we are subject to extensive regulation by the FDA  and other national, state and local government agencies. The Food, Drug & Cosmetic Act, the Food Safety Modernization  Act, other laws and their respective regulations govern, among other things, the manufacturing, composition and  ingredients, packaging, and safety of food products. Some aspects of these laws use a strict liability standard for imposing  sanctions on corporate behavior, meaning that no intent is required to be established. If we fail to comply with applicable  laws and regulations, we may be subject to civil remedies, including fines, injunctions, recalls, withdrawals, or seizures, as  well as criminal sanctions, any of which could have a material adverse effect on our business, financial condition, and  results of operations.  Regulations imposed by the FDA or EFSA around acrylamide formation in potato products could adversely affect us. The regulation of food products, both within the U.S. and internationally, continues to be a focus for governmental  scrutiny. The presence and/or formation of acrylamide in potato products cooked at high temperatures has become a global  regulatory issue as both the FDA and the European Food Safety Authority (‘‘EFSA’’) have issued guidance to the food  processing industry to work to reduce conditions that favor the formation of this naturally occurring compound.  Acrylamide formation is the result of heat processing reactions that give ‘‘browned foods’’ their desirable flavor.  Acrylamide formation occurs in many food types in the human diet, including but not limited to breads, toast, cookies,  coffee, crackers, potatoes, and olives. The regulatory approach to acrylamide has generally been to encourage the industry  to achieve as low as reasonably achievable content levels through process control (e.g., temperature) and material testing  (e.g., low sugar and low asparagine). However, limits for acrylamide exposure have been established in the State of  California, and point of sale consumer warnings are required if products exceed those limits. In addition, the EFSA has  promulgated regulations establishing specific mitigation measures, sampling, and analysis procedures and benchmark  levels for acrylamide in certain food products. If the global regulatory approach to acrylamide becomes more stringent and  additional legal limits are established, our manufacturing costs could increase. In addition, if consumer perception  regarding the safety of our products is negatively impacted due to regulation, sales of our products could decrease.  If we fail to comply with the many laws and regulations applicable to our business, we may face lawsuits or incur  significant fines and penalties. Our facilities and products are subject to many laws and regulations administered by the U.S. Department of  Agriculture, the FDA, the Occupational Safety and Health Administration, and other federal, state, local, and foreign  governmental agencies relating to the processing, packaging, storage, distribution, advertising, labeling, quality, and safety  of food products, and the health and safety of our employees. Our failure to comply with applicable laws and regulations  could subject us to additional costs, product detentions, substantial delays or a temporary shutdown in manufacturing,  lawsuits, administrative penalties, and civil remedies, including fines, injunctions, and recalls or withdrawals of our  products. 20 
 
 
 
Our operations are also subject to extensive and increasingly stringent regulations administered by foreign  government agencies, the U.S. Environmental Protection Agency, and comparable state agencies, which pertain to the  protection of human health and the environment, including, but not limited to, the discharge of materials into the  environment, such as the land application of our processed water, and the handling and disposition of wastes. Failure to  comply with these regulations can have serious consequences, including civil and administrative penalties and negative  publicity, while compliance could require seasonal shutdowns in manufacturing and increase costs. Changes in applicable  laws or regulations or evolving interpretations thereof may result in increased compliance costs, capital expenditures, and  other financial obligations for us, which could affect our profitability or impede the production or distribution of our  products, which could adversely affect our business, financial condition, and results of operations. Climate change, or legal, regulatory, or market measures to address climate change, may negatively affect our business  and operations.  In the event that climate change has a negative effect on agricultural productivity, we may be subject to decreased  availability or less favorable pricing for certain commodities that are necessary for our products, such as potatoes and  edible oils. Adverse weather conditions and natural disasters may disrupt the productivity of our facilities or the operation  of our supply chain and can reduce crop size and crop quality, which in turn could reduce our supplies of raw potatoes,  lower recoveries of usable raw potatoes, increase the prices of our raw potatoes, increase our cost of transporting and  storing raw potatoes, or disrupt our production schedules or efficiencies. In addition, water is an important part of potato  processing. In times of water stress, we may be subject to decreased availability or less favorable pricing for water, which  could impact our manufacturing and distribution operations. For example, during the summer of 2024, our Quincy,  Washington production facility temporarily curtailed operations due to concerns of water and electricity availability, as  extreme temperatures and dry weather taxed both power grids and water sources. Further, a decrease in the availability of  water in certain regions caused by droughts or other factors could increase competition for land and resources in areas that  have more favorable growing conditions, and thereby increase costs for such land and resources. The increasing concern over climate change also may result in more regional, federal, and/or global legal and  regulatory requirements to reduce or mitigate the effects of greenhouse gases, as well as more stringent regulation of water  rights. In the event that such regulation is enacted and is more aggressive than the sustainability measures that we are  currently undertaking to monitor our emissions, improve our energy efficiency, and reduce, reclaim, and reuse water, we  may be subject to curtailment or reduced access to resources or experience significant increases in our costs of operation  and delivery. In addition, increasing regulation of utility providers, fuel emissions, or fuel suppliers could substantially  increase the distribution and supply chain costs of our products. Further, we may experience significant increases in our  compliance costs, capital expenditures, and other financial obligations to adapt our business and operations to meet new  regulations and standards. For example, in fiscal 2026, we expect our capital expenditures to include approximately $100  million for environmental projects, largely focused on wastewater treatment at our production facilities. Further, we expect  to spend about $500 million in the aggregate over the next six years to comply with government environmental regulations  and permit limitations. Even if we make changes to align ourselves with such legal or regulatory requirements, we may still be subject to  significant penalties or potential litigation if such laws and regulations are interpreted and applied in a manner inconsistent  with our practices. Also, consumers and customers may place an increased priority on purchasing products that are  sustainably grown and made, requiring us to incur increased costs for additional transparency, due diligence, and reporting.  In addition, we might fail to effectively address increased attention from the media, stockholders, activists, and other  stakeholders on climate change and related environmental sustainability matters. From time to time, we establish and  publicly announce goals and commitments, including those related to reducing our impact on the environment. Our ability  to achieve any stated goal, target or objective is subject to numerous factors and conditions, many of which are outside of  our control, including evolving regulatory, tracking and reporting requirements, the pace of scientific and technological  developments, and the availability of suppliers that can meet our standards. We may be required to expend significant  resources to meet these goals and commitments, which could significantly increase our operational costs. Our selection of  voluntary disclosure frameworks and standards, and the interpretation or application of those frameworks and standards,  may change from time to time or differ from those of others. Methodologies for reporting this data may be updated and  previously reported data may be adjusted to reflect improvement in availability and quality of third-party data, changing  assumptions, changes in the nature and scope of our operations (including from acquisitions and divestitures), and other  changes in circumstances, which could result in significant revisions to our current goals, reported progress in achieving  such goals, or ability to achieve such goals in the future. There can be no assurance of the extent to which any of our goals  or commitments will be achieved, or that any future investments we make in furtherance of achieving these goals will meet  customer or investor expectations. Any delay or failure (perceived or actual) to achieve our goals with respect to reducing  our impact on the environment or perception of a delay or failure to act responsibly with respect to the environment or to  21 
 
 
 
effectively respond to regulatory requirements concerning climate change can lead to adverse publicity, which could  damage our reputation, as well as expose us to enforcement actions and litigation. See also “Industry Risks – Our business  is affected by potato crop performance,” in this Item 1A. Risk Factors above. Our intellectual property rights are valuable, and any inability to protect and/or enforce them could reduce the value of  our products and brands. We consider our intellectual property rights to be a significant and valuable aspect of our business. We attempt to  protect our intellectual property rights through a combination of trademark, patent, copyright and trade secret protection,  contractual agreements and policing of third-party misuses of our intellectual property. Our failure to timely obtain or  adequately protect and/or enforce our intellectual property or any change in law that lessens or removes the current legal  protections of our intellectual property may diminish our competitiveness and adversely affect our business and financial  results. We also license certain intellectual property, most notably Grown in Idaho and Alexia, from third parties. To the  extent that we are not able to contract with these third parties on favorable terms or maintain our relationships with these  third parties, our rights to use certain intellectual property could be impacted.  Competing intellectual property claims that impact our brands or products may arise unexpectedly. Any litigation  or disputes regarding intellectual property may be costly and time-consuming and may divert the attention of our  management and key personnel from our business operations. We also may be subject to significant damages or injunctions  against development, launch, and sale of certain products. Any of these occurrences may harm our business and financial  results. ITEM 1B. UNRESOLVED STAFF COMMENTS None. ITEM 1C. CYBERSECURITY Risk Management and Strategy  We assess, identify, and manage material risks from cybersecurity threats through our cybersecurity risk  management program. This program includes cybersecurity policies, standards, and procedures, a cybersecurity incident  response plan, regular risk assessments, including as part of our annual enterprise risk management (“ERM”) assessment,  testing of the Company’s internal infrastructure to identify vulnerabilities, cybersecurity insurance, procedures for  recovering from disruptions to our operations, workforce cybersecurity trainings, and third-party assessments and  programs. We maintain a cybersecurity incident response plan to help enable timely, consistent responses to actual or  attempted cybersecurity incidents impacting the Company. This plan provides guidance to address the overall coordination  of our response to a cybersecurity crisis and plan for resources, actions, and decisions we may need to be prepared for; a  communication plan for timely and accurate dissemination of evolving information to stakeholders during the crisis; and  business continuity plans that document strategies and measures to enable core business activities to continue during a  cybersecurity event. To support our cybersecurity incident response plan, we conduct exercises simulating cybersecurity  incidents to educate and train our management on response capabilities and inform adjustments to our controls and  response. We have engaged third-party cybersecurity firms to advise on these exercises. The status and ongoing  enhancement of our cybersecurity risk management program is reported to senior management, as well as the Audit  Committee of our Board, on a quarterly basis, or more frequently as warranted. As part of our broader risk management and control framework, we have implemented cybersecurity controls over  the information technology and process control systems of the Company and of our third-party service providers, to  support the oversight, identification, and remediation or mitigation of risks from cybersecurity threats. We engage third- party organizations to assess the controls around sensitive data, including but not limited to financial, employee, customer,  and vendor data as well as data affecting our process controls and data used to operate our manufacturing facilities. As part  of our cybersecurity risk management program, we conduct information security and data protection training for  employees, including training on matters such as phishing, social engineering, cybersecurity awareness, and email security  best practices. In addition, we work with third-party providers to undertake penetration testing and maturity assessments of  the Company’s information security program based on the National Institute of Standards and Technology cybersecurity  framework. With respect to third-party service providers, we perform information security assessments and due diligence  reviews prior to entering into a contractual agreement. Further, after engagement, we periodically perform information  security assessments of certain third-party service providers that we consider critical to our operations. In addition, in new  or amended supplier contracts, we look to include provisions that require the suppliers to maintain an effective information  22 
 
 
 
security management program and to notify us in the event of a known or suspected cyber incident. For suppliers with  required access to our data or systems, a cybersecurity risk assessment is performed to identify potential risk to Company  systems or data. If risks are identified, we implement measures to mitigate or remediate the risk and, in cases where we  cannot do so effectively, we will not grant access to our data or systems to the supplier. We also consult with external  advisors and specialists, as necessary, regarding opportunities and enhancements to strengthen our cybersecurity practices  and policies and implement enhancements to our cybersecurity capabilities based on evolving threats. While we have experienced threats to our data and systems, to date, we are not aware of a cybersecurity incident  being experienced by the Company that had, or is reasonably likely to have, a material impact on our business or  operations; however, because of frequently changing attack techniques and the increased volume and sophistication of the  attacks, there is the potential for the Company to be adversely impacted. This impact could result in reputational,  competitive, operational, or other business harm as well as financial costs and regulatory action. See “Item 1A. Risk  Factors–Technology Risks” of this Form 10-K for additional discussion of cybersecurity risks and potential related impacts  on the Company.  Corporate Governance  Our Board has ultimate oversight of cybersecurity risk, which we manage as part of our ERM program. This  program is utilized in making decisions with respect to company priorities, resource allocations, and oversight structures.  The Board is assisted by the Audit Committee, which regularly reviews our cybersecurity program with management and  reports to the Board on its activities on a quarterly basis or more frequently as warranted.  Our cybersecurity program is managed by our interim Chief Information Security Officer (“CISO”), who reports  to our Chief Information Officer (“CIO”). Our CISO is informed about and monitors prevention, detection, mitigation, and  remediation efforts through regular communication and reporting from professionals in the Company’s information  security team, many of whom hold cybersecurity certifications such as a Certified Information Systems Security  Professional or Certified Information Security Manager, and through the use of technological tools and software and results  from third-party audits. Our CISO has extensive experience assessing and managing cybersecurity programs and  cybersecurity risk. Our CISO has served in this position since March 2025 and has over 20 years of experience in  information security. His background includes technical experience, strategy and architecture focused roles, governance,  risk, and compliance roles, secure application development and implementation roles, cyber and threat experience, and  various leadership roles in several areas of information technology. Our CIO joined the Company in May 2025 with 35  years of experience in information technology roles, including implementing new information security teams on a global  scale and overseeing information technology teams in multiple industries, including wholesale distribution, retail,  manufacturing, finance, and information technology services, leading new global software development, and establishing  global information security standards for his previous company. Our CISO and CIO regularly update the Audit Committee on the Company's cybersecurity programs, policies, and  practices as warranted, including review of the state of the Company's cybersecurity programs and risks, emerging  cybersecurity developments, threats and vulnerability, and the Company's strategy and key cybersecurity initiatives  designed to improve the Company’s risk posture. In addition, we have an escalation process in place to inform senior  management and the Board of material cyber-related issues. The Audit Committee also reviews with our CIO, on an annual  basis, our global information technology structure and strategic efforts to protect, optimize, and support the growth of the  Company. The Chair of the Audit Committee reports to the full Board on its activities.  23 
 
 
 
ITEM 2. PROPERTIES We are headquartered in Eagle, Idaho. The following table sets forth our principal production and processing  facilities as of May 25, 2025: Location Type of Facility and Number Owned/ Leased (Number of  Facilities) Domestic: American Falls, ID      . . . . . . . . . . . . Production Facility and Cold Storage Owned (1) Boardman, OR   . . . . . . . . . . . . . . . . Production Facility (2), Production Facility and Cold  Storage Owned (3) Delhi, LA  . . . . . . . . . . . . . . . . . . . . Production Facility, Cold Storage, Farm Owned (1), Leased (2) Hermiston, OR       . . . . . . . . . . . . . . . Production Facility Owned (1) Park Rapids, MN (a)  . . . . . . . . . . . Production Facility and Cold Storage Owned (1) Pasco, WA     . . . . . . . . . . . . . . . . . . . Production Facility (2) Owned (2) Paterson, WA       . . . . . . . . . . . . . . . . Production Facility, Farm (4) Owned (2), Leased (3) Quincy, WA      . . . . . . . . . . . . . . . . . Production Facility Owned (1) Richland, WA   . . . . . . . . . . . . . . . . Production Facility, Innovation Center Owned (2) Twin Falls, ID      . . . . . . . . . . . . . . . . Production Facility Owned (1) Warden, WA  . . . . . . . . . . . . . . . . . Production Facility Owned (1) International: Bergen-op-Zoom, The Netherlands     Production Facility Owned (1) Broekhuizenvorst, The  Netherlands  . . . . . . . . . . . . . . . . . . Production Facility Owned (1) Buenos Aires, Argentina  . . . . . . . . Production Facility Owned (1) Hallam, Australia       . . . . . . . . . . . . . Production Facility and Cold Storage (2) Leased (2) Hollabrunn, Austria (b)      . . . . . . . . . Production Facility Owned (1) Kruiningen, The Netherlands    . . . . Production Facility Owned (1) Oosterbierum, The Netherlands       . . Production Facility Owned (1) Shangdu, China     . . . . . . . . . . . . . . . Production Facility Owned (1) Taber, Canada    . . . . . . . . . . . . . . . . Production Facility and Cold Storage Owned (1) Ulanqab, China   . . . . . . . . . . . . . . . Production Facility and Cold Storage Owned (1) Wisbech, The United Kingdom   . . . Production Facility Owned (1) _____________________________________________________ (a) We own a 50% interest in this facility through our Lamb Weston RDO joint venture. (b) LW EMEA owns a 75% interest in a joint venture in Austria that owns this facility. This joint venture’s financial results are  consolidated in our financial statements. We use our farms as a source of raw materials, to better understand the costs of growing potatoes, and to deploy  agronomic research. Overall, our facilities vary in age and condition, and each of them has an active maintenance program  to ensure a safe operating environment and to keep the facilities in good condition. We believe all our buildings are in  satisfactory operating condition to conduct our business as intended. We also own and lease general office/support facilities  in the regions in which we operate, including North America, Latin America, Europe, the Middle East, and Asia. On October 1, 2024, we announced our FY25 Restructuring Plan, which included the closure of one of our  manufacturing facilities in Connell, Washington. For more information, see Note 4, Restructuring, of the Notes to  Consolidated Financial Statements in “Part II, Item 8. Financial Statements and Supplementary Data” of this Form 10-K.  Our manufacturing assets are shared across all reportable segments. Therefore, we do not identify or allocate  assets by reportable segment. For more information, see Note 13, Segments, of the Notes to Consolidated Financial  Statements in “Part II, Item 8. Financial Statements and Supplementary Data” of this Form 10-K.  24 
 
 
 
ITEM 3. LEGAL PROCEEDINGS For information regarding our legal proceedings, see Note 14, Commitments, Contingencies, Guarantees, and  Legal Proceedings, of the Notes to Consolidated Financial Statements in “Part II, Item 8. Financial Statements and  Supplementary Data” of this Form 10-K. ITEM 4. MINE SAFETY DISCLOSURES  Not applicable. PART II ITEM 5. MARKET FOR REGISTRANT’S COMMON EQUITY, RELATED STOCKHOLDER MATTERS AND  ISSUER PURCHASES OF EQUITY SECURITIES Our common stock is listed on the New York Stock Exchange under the ticker symbol “LW.” At July 17, 2025,  there were 9,362 holders of record of our common stock. The majority of holders of Lamb Weston common stock are  “street name” or beneficial holders, whose shares of record are held by banks, brokers, and other financial institutions.  Dividends Our Board intends to continue to consider declaring and paying dividends on Lamb Weston common stock based  on our financial condition and results of operations, as well as applicable covenants under our debt agreements. However,  our Board has no obligation under Delaware law or our amended and restated certificate of incorporation to declare or pay  dividends, and dividends on Lamb Weston common stock are limited to legally available funds. Purchases of Equity Securities by the Issuer The following table presents information related to total shares purchased during the periods presented below: Period Total Number of Shares (or Units) Purchased (a) Average Price Paid Per Share (or Unit) Total Number of Shares (or Units) Purchased as Part of Publicly Announced Plans or Programs (b) Approximate Dollar Value of Maximum Number of Shares that May Yet be Purchased Under Plans or Programs (in millions) (b) February 24, 2025 through March 23, 2025      . 957 $ 52.73 0 $ 458  March 24, 2025 through April 20, 2025     . . . . 595,178 $ 54.61 584,451 $ 426  April 21, 2025 through May 25, 2025     . . . . . . 1,313,220 $ 51.88 1,310,777 $ 358  Total    . . . . . . . . . . . . . . . . . . . . . . . . . . . . . . . 1,909,355 _____________________________________________________ (a) Represents repurchased shares of our common stock under our publicly announced share repurchase program, which were  repurchased at a weighted average price of $52.76 per share, and shares withheld from employees to cover income and payroll taxes  on equity awards that vested during the period. (b) On December 19, 2024, we announced that the Board increased our total share repurchase authorization under our existing $500  million share repurchase program (originally announced in 2018 and amended in 2021) by $250 million to an aggregate amount of  $750 million. As of May 25, 2025, approximately $358 million remained authorized and available for repurchase under the  program. The program has no expiration date. Repurchases under our share repurchase program may be made at our discretion from  time to time on the open market, subject to applicable laws, including pursuant to a repurchase plan administered in accordance  with Rule 10b5-1 under the Exchange Act, or through privately negotiated transactions or accelerated share repurchases or other  structured transactions. 25 
 
 
 
Performance Graph The following graph and table compare the cumulative total return on our common stock with the cumulative total  return of the Standard & Poor’s (“S&P”) 500 Index, the S&P 400 Packaged Foods Index, which we consider to be our peer  group, and the S&P 500 Packaged Foods Index for the five years ended May 25, 2025 (the last trading day of our fiscal  year). The graph and table assume that $100 was invested in our common stock, the S&P 500 Index, the S&P 400  Packaged Foods Index, and the S&P 500 Packaged Foods Index on May 29, 2020, and that all dividends were reinvested.  The cumulative total return shown below are based on the last trading day in Lamb Weston’s fiscal year.  Comparison of Cumulative Total Return since May 29, 2020 Lamb Weston S&P 500 Index S&P 400 Packaged Foods Index S&P 500 Packaged Foods Index May 29, 2020 May 28, 2021 May 27, 2022 May 26, 2023 May 24, 2024 May 23, 2025 $80 $100 $120 $140 $160 $180 $200 $220 May 29, 2020 May 28, 2021 May 27, 2022 May 26, 2023 May 24, 2024 May 23, 2025 Lamb Weston    . . . . . . . . . . . . . . . . . . $ 100 $ 139 $ 116 $ 190 $ 157 $ 91  S&P 500 Index     . . . . . . . . . . . . . . . . . $ 100 $ 140 $ 141 $ 145 $ 185 $ 205  S&P 400 Packaged Foods Index   . . . $ 100 $ 118 $ 113 $ 117 $ 126 $ 120  S&P 500 Packaged Foods Index   . . . $ 100 $ 119 $ 124 $ 137 $ 124 $ 113  The above performance graph and other information furnished under this Part II, Item 5 of this Form 10-K shall  not be deemed to be “soliciting material” or to be “filed” with the SEC or subject to Regulation 14A or 14C, or to the  provisions of Section 18, of the Exchange Act. ITEM 6. RESERVED 26 
 
 
 
ITEM 7. MANAGEMENT’S DISCUSSION AND ANALYSIS OF FINANCIAL CONDITION AND RESULTS OF  OPERATIONS The following management’s discussion and analysis of our results of operations and financial condition, which  we refer to in this filing as “MD&A,” should be read in conjunction with the audited financial statements and the notes  thereto. Discussions of fiscal 2023 items and fiscal year comparisons between fiscal 2024 and 2023 that are not included in  this Form 10-K can be found in “Part II, Item 7. Management’s Discussion and Analysis of Financial Condition and  Results of Operations” of our Annual Report on Form 10-K for the fiscal year ended May 26, 2024, which we filed with  the SEC on July 24, 2024. Results for the fiscal year ended May 25, 2025 are not necessarily indicative of results that may  be attained in the future. Our MD&A is based on financial data derived from the financial statements prepared in accordance with U.S.  generally accepted accounting principles (“GAAP”). We have also presented Adjusted EBITDA, Adjusted Gross Profit,  Adjusted Selling, General and Administrative expenses (“SG&A”), and Adjusted Equity Method Investment Earnings,  each of which is considered a non-GAAP financial measure, to supplement the financial information included in this  report. Refer to “Non-GAAP Financial Measures” below for the definitions of Adjusted EBITDA, Adjusted Gross Profit,  Adjusted SG&A, and Adjusted Equity Method Investment Earnings, and a reconciliation of these non-GAAP financial  measures to their most directly comparable GAAP financial measures, net income, gross profit, SG&A, and equity method  investment earnings, as applicable. For more information, refer to the “Results of Operations” and “Non-GAAP Financial  Measures” sections below. Overview Lamb Weston is a leading global producer, distributor, and marketer of value-added frozen potato products. We  are the number one supplier of value-added frozen potato products in North America and are a leading supplier of value- added frozen potato products internationally, with a strong and growing presence in high-growth emerging markets. We  offer a broad product portfolio to a diverse channel and customer base in over 100 countries. French fries represent most of  our value-added frozen potato product portfolio.  During fiscal 2025, we operated our business in two reportable segments: North America and International. We  report net sales and adjusted EBITDA by segment and on a consolidated basis. Net sales and Segment Adjusted EBITDA  are the primary measures reported to our chief operating decision maker for purposes of allocating resources to our  segments and assessing their performance. For additional information on our reportable segments, see “Non-GAAP  Financial Measures” below and Note 13, Segments, of the Notes to Consolidated Financial Statements in “Part II, Item 8.  Financial Statements and Supplementary Data” in this Form 10-K. Executive Summary  We ended the year with improved trends in customer wins and retention, leading to volume growth for the full  year. Inflationary pressure persisted in fiscal 2025, which contributed to consumer uncertainty and lower overall restaurant  traffic and frozen potato demand. To compete in this highly competitive environment, we supported our customers with  price and trade investments. Halfway through the year, we made important changes to adapt to the evolving environment  and put our business on a path back to growth. We announced our FY25 Restructuring Plan, which included the permanent  closure of one of our manufacturing facilities, temporarily curtailing certain production lines across our manufacturing  network in North America, and other operating and capital expense reductions. We continue to make important changes to  adapt to the evolving environment. On July 23, 2025, we outlined “Focus to Win,” a new strategic plan to focus on four  pillars including (1) prioritizing markets and channels, (2) strengthening customer partnerships, (3) achieving executional  excellence and (4) setting the pace for industry-leading innovation. This strategic plan includes our Cost Savings Program  which is expected to deliver at least $250 million of annualized run rate savings by the end of fiscal year 2028.  Approximately $200 million of these annualized cost savings are expected by the end of fiscal year 2027. In addition, we  expect to generate approximately $120 million of working capital improvements, compared to current levels, by the end of  fiscal 2027. In connection with the Cost Savings Program, we expect to recognize total pre-tax cash charges of $70 million  to $100 million, most of which will be paid in fiscal 2026. A detailed review of our fiscal 2025 performance compared to fiscal 2024 is included in the “Results of  Operations” and “Non-GAAP Financial Measures” sections below. For more information related to the FY25 Restructuring  Plan, see Note 4, Restructuring, of the Notes to Consolidated Financial Statements in “Part II, Item 8. Financial  Statements” of this Form 10-K. 27 
 
 
 
Outlook  In fiscal 2026, we expect continued pressure on consumers from macroeconomic and geopolitical factors and that  global restaurant traffic will remain approximately even with fiscal 2025 levels. We believe customers and consumers will  continue to prioritize french fries as a menu and at home item and that our customer win momentum that began in the  second half of fiscal 2025 and the contribution of a 53rd week in fiscal 2026, with the additional week falling in the fourth  quarter, will increase sales volumes, despite continued soft restaurant traffic. We expect earnings will decline as they are  pressured by carryover price investments and new investments in fiscal 2026, overall input cost increases, net of the benefit  of lower raw potato costs, incremental depreciation from the capacity expansions in the Netherlands and Argentina, and  increased compensation and benefits as we normalize incentives, which will only be partially offset by benefits from the  FY25 Restructuring Plan and Cost Savings Program. Our outlook does not include additional impacts of evolving trade  policies, including additional changes in tariffs and retaliatory countermeasures. On July 4, 2025, President Trump signed into law the One Big Beautiful Bill Act (“OBBBA”). Accounting  Standards Codification (“ASC”) 740, Income Taxes, requires the effects of changes in tax rates and laws to be recognized  in the period in which the legislation is enacted. We expect the OBBBA to primarily provide cash tax timing benefits with  no material impact to the effective tax rate. We are evaluating the OBBBA impact and will provide further information  related to the estimated effect on our fiscal 2026 financials in our Form 10-Q for the quarter ending August 24, 2025. Results of Operations Fiscal Year Ended May 25, 2025 Compared to Fiscal Year Ended May 26, 2024 For the Fiscal Years Ended May (in millions, except percentages) 2025 2024 % Increase (Decrease) Segment net sales North America       . . . . . . . . . . . . . . . . . . . . . . . . . . . . . . . . . $ 4,265.2 $ 4,363.2 (2)% International   . . . . . . . . . . . . . . . . . . . . . . . . . . . . . . . . . . .  2,186.1  2,104.4 4% $ 6,451.3 $ 6,467.6 —% Segment Adjusted EBITDA North America       . . . . . . . . . . . . . . . . . . . . . . . . . . . . . . . . . $ 1,101.4 $ 1,263.1 (13)% International   . . . . . . . . . . . . . . . . . . . . . . . . . . . . . . . . . . . $ 253.7 $ 331.9 (24)% Net Sales Lamb Weston’s net sales declined $16.3 million to $6,451.3 million in fiscal 2025. Price/mix declined 2%,  reflecting the impact of planned investments in price and trade support in a competitive environment to attract and retain  customers globally. The decrease in price/mix was mostly offset by a 2% increase in volume, primarily in the International  segment and included fully replacing the combined regional, small, and retail customer volume lost, primarily in North  America, in the prior year during the Company’s transition to a new ERP system in the second half of fiscal 2024. Volume  increased despite a decrease in global restaurant traffic in fiscal 2025, compared to fiscal 2024. North America segment net sales declined $98.0 million, or 2%, to $4,265.2 million. Price/mix declined 3%,  reflecting planned investments in price and trade driven by an increasingly competitive market, with moderate offsets in  channel and product mix. Despite a low single-digit percentage point decline related to softer North America restaurant  traffic in fiscal 2025, compared with fiscal 2024, volume increased 1%. Increased regional, small, and retail customer  volume more than offset low single-digit volume declines with large chain customers, in North America, which were  primarily in the first half of the year.  International segment net sales increased $81.7 million, or 4%, to $2,186.1 million. Volume increased 5%, which  reflects growth related to new customer wins and growth with existing customers in all regions. Price/mix declined 1%,  which reflects pricing actions in key international markets in response to the continued competitive environment.  28 
 
 
 
Gross Profit Gross profit declined $368.1 million versus the prior fiscal year to $1,398.6 million. Adjusted Gross Profit  declined $298.2 million versus the prior fiscal year to $1,460.5 million, driven primarily by increased manufacturing costs  per pound, including higher factory burden absorption. In response to softer restaurant traffic and to reduce inventory  levels, we temporarily curtailed production in fiscal 2025. In addition, key input costs increased low-single-digits,  including: potato, labor, and packaging costs, as well as $57.6 million of incremental depreciation expense largely  associated with the Company’s recent capacity expansions in China, the U.S. and the Netherlands. Transportation and  warehousing costs increased in the low double-digits, primarily related to higher warehouse inventories. The increased  costs were partially offset by lapping an estimated $88 million of pre-tax losses associated with the ERP transition in fiscal  2024; $85.1 million pre-tax charge for the write-off of excess raw potatoes; and an estimated $9 million incremental pre- tax loss related to the voluntary product withdrawal initiated in the fourth quarter of the prior year. Selling, General and Administrative Expenses SG&A declined $67.9 million versus the prior fiscal year to $633.5 million. Adjusted SG&A declined $30.3  million to $643.9 million, primarily related to lapping higher expenses associated with the ERP transition in the prior year,  a $13.9 million decrease in advertising and promotion expenses, and the benefit of cost savings associated with the FY25  Restructuring Plan, partially offset by $14.6 million of incremental depreciation and amortization expense primarily related  to our ERP transition in the prior year and higher compensation and benefit expenses. Restructuring Expense Restructuring expense was $100.0 million, which was related to the FY25 Restructuring Plan. For more  information, see Note 4, Restructuring, of the Notes to Consolidated Financial Statements in “Part II, Item 8. Financial  Statements and Supplementary Data” in this Form 10-K. Net Income, Adjusted EBITDA and Segment Adjusted EBITDA Net income was $357.2 million, down $368.3 million versus the prior fiscal year, and diluted EPS was $2.50,  down $2.48 from the prior fiscal year.  Adjusted EBITDA declined $196.2 million from the prior fiscal year to $1,220.5 million, reflecting lower  Adjusted Gross Profit partially offset by lower Adjusted SG&A.  North America Segment Adjusted EBITDA declined $161.7 million to $1,101.4 million, reflecting investments in  price and trade, higher manufacturing costs per pound (which largely reflected higher factory burden absorption related to  temporarily curtailed production as part of our effort to reduce inventory to current demand levels), and higher  transportation and warehousing costs per pound. These cost increases were partially offset by lapping an approximately  $83 million negative impact of the ERP transition in the prior year and lower Adjusted SG&A in fiscal 2025, including a  $9.5 million decrease in advertising and promotion expenses. International Segment Adjusted EBITDA declined $78.2 million to $253.7 million. Higher net sales and lower  Adjusted SG&A were offset by an increase in manufacturing costs per pound, including mid-to-high single-digit increases  in raw potato costs, primarily in the first half of the year and incremental costs related to the start-up of the new production  line in the Netherlands. Higher warehouse inventories also led a mid-to-high single-digit increase in warehousing costs.  These costs more than offset lapping a $9.9 million charge for the write-off of excess raw potatoes, approximately $9  million, net of allocated losses related to the voluntary product withdrawal, and an approximately $5 million negative  impact related to the ERP transition in the prior year. Interest Expense, Net Interest expense, net in fiscal 2025 increased $44.2 million, or 33%, to $180.0 million. The increase in interest  expense, net was driven by a decline of $23.6 million of capitalized interest in fiscal 2025, compared to the prior fiscal  year, and higher borrowings during the year. The increase in our total debt reflected increased borrowing under a new term  loan agreement. For more information, see Note 8, Debt and Financing Obligations, of the Notes to Consolidated Financial  Statements in “Part II, Item 8. Financial Statements and Supplementary Data” in this Form 10-K. 29 
 
 
 
Income Taxes Our effective tax rate for fiscal 2025 was 28.6%, versus 24.1% in fiscal 2024, with the increase largely attributable  to foreign losses without tax benefits and a higher proportion of overall earnings in our International segment. Our effective  tax rate varies from the U.S. statutory tax rate of 21% primarily due to the impact of U.S. state taxes, foreign taxes,  permanent differences, and discrete items. For further information on income taxes, see Note 3, Income Taxes, of the Notes to Consolidated Financial  Statements in “Part II, Item 8. Financial Statements and Supplementary Data” in this Form 10-K. Equity Method Investment Earnings Equity method investment earnings from unconsolidated joint ventures were $15.2 million and $26.0 million for  fiscal 2025 and 2024, respectively. The results for the current and prior fiscal years reflect earnings associated with the  Company's 50 percent interest in Lamb Weston/RDO Frozen, an unconsolidated potato processing joint venture in  Minnesota. Adjusted Equity Method Investment Earnings was slightly down at $25.7 million compared to $26.0 million the  prior fiscal year. The prior fiscal year included a $10.8 million charge for the write-off of excess raw potatoes. The  decrease in equity method investment earnings reflects lower net sales and higher manufacturing costs per pound, primarily  related to softer restaurant traffic contributing to lower production and increased factory burden absorption. Liquidity and Capital Resources The primary source of our liquidity is from cash flow from operations. We generated $868.3 million of cash from  operations in fiscal 2025. We use cash from operations to fund our capital expenditures, acquisitions, and debt service. A  substantial portion of our operating cash flow has been returned to shareholders through dividends and share repurchases. We ended fiscal 2025 with $70.7 million of cash and cash equivalents and approximately $1.2 billion of  availability under our revolving credit facility. We believe we have sufficient liquidity to meet our business requirements  for at least the next 12 months and the foreseeable future thereafter.  Cash Flows Below is a summary table of our cash flows, followed by a discussion of the sources and uses of cash through  operating, investing, and financing activities: For the Fiscal Years Ended May (in millions, except percentages) 2025 2024 Net cash flows provided by (used for): Operating activities    . . . . . . . . . . . . . . . . . . . . . . . . . . . . . . . . . . . . . . . . . . . . . . .  868.3  798.2  Investing activities      . . . . . . . . . . . . . . . . . . . . . . . . . . . . . . . . . . . . . . . . . . . . . . .  (648.0)  (984.1)  Financing activities   . . . . . . . . . . . . . . . . . . . . . . . . . . . . . . . . . . . . . . . . . . . . . . .  (225.0)  (48.0)   (4.7)  (233.9)  Effect of exchange rate changes on cash and cash equivalents   . . . . . . . . . . . . . . .  4.0  0.5  Net decrease in cash and cash equivalents      . . . . . . . . . . . . . . . . . . . . . . . . . . . . . . .  (0.7)  (233.4)  Cash and cash equivalents, beginning of period     . . . . . . . . . . . . . . . . . . . . . . . . . .  71.4  304.8  Cash and cash equivalents, end of period    . . . . . . . . . . . . . . . . . . . . . . . . . . . . . . .  70.7  71.4  30 
 
 
 
Operating Activities During fiscal 2025, cash provided by operating activities increased $70.1 million to $868.3 million, compared to  $798.2 million for fiscal 2024. The increase primarily related to $349.1 million of favorable changes in working capital,  primarily attributable to reduced inventories and a favorable change in accrued liabilities related to changes in  compensation and benefit accruals in the prior year. Inventory days on hand at the end of fiscal 2025 declined eight days  compared with fiscal 2024. This was partially offset by a $279.0 million decrease in net income, adjusted for non-cash  income and expenses. See “Results of Operations” in this MD&A for more information related to the decrease in income  from operations. Investing Activities Investing activities used $648.0 million of cash in fiscal 2025, compared with $984.1 million in fiscal 2024. The  decrease was primarily attributable to reduced cash expenditures in fiscal 2025 as our strategic capacity expansion projects  in China and the U.S. were completed in fiscal 2024 and our capacity expansion in the Netherlands was completed in the  first half of fiscal 2025. We expect our capacity expansion project in Argentina will begin production in August 2025. We expect to use approximately $500 million for investing activities in fiscal 2026, primarily related to  maintenance and facility modernization, as well as expenditures related to environmental projects largely focused on  wastewater treatment at our production facilities.  Financing Activities During fiscal 2025, we used $225.0 million of net cash for financing activities. We had net proceeds of $42.8  million from our revolving credit facility and other short-term credit facilities held by subsidiaries and $500 million of  proceeds from our amended term loan facility that was used primarily to repay an existing term loan facility and  outstanding borrowings under our revolving credit facility. We used $294.4 million to repurchase an aggregate of  4,867,449 shares at a weighted-average price of $57.94 per share and withheld 216,317 shares from employees to cover  income and payroll taxes on equity awards that vested during the period. In addition, we paid $206.9 million in cash  dividends to common stockholders.  During fiscal 2024, proceeds from short-term borrowings and debt issuances were $756.9 million, of which  $164.9 million were short-term and $592.0 million related to upsizing our term loan borrowing capacity in connection with  entering into a new term loan credit agreement in May 2024. We repaid $401.1 million of debt and financial obligations,  which primarily included repayments towards the Term A-2 loan facility and Euro loan facility in connection with entering  into new term loan and revolving credit agreements. We used $225.3 million of cash to repurchase 2,294,654 shares of our  common stock at an average price of $91.51 per share, and we withheld 146,259 shares from employees to cover income  and payroll taxes on equity awards that vested during the year. In addition, we paid $174.0 million in cash dividends to  common stockholders.  For more information about our debt, including among other items, our revolving credit agreement, term loan  facilities, interest rates, maturity dates, and covenants, see Note 8, Debt and Financing Obligations, of the Notes to the  Consolidated Financial Statements in “Part II, Item 8. Financial Statements and Supplementary Data” of this Form 10-K.  At May 25, 2025, we were in compliance with all covenants contained in our credit agreements. Obligations and Commitments As part of our ongoing operations, we enter into arrangements that obligate us to make future payments under  contracts such as debt agreements, lease agreements, potato supply agreements, and unconditional purchase obligations.  The unconditional purchase obligations are enforceable and legally binding arrangements entered into in the normal course  of business to ensure adequate levels of sourced product are available.  31 
 
 
 
A summary of our material cash requirements for our known contractual obligations as of May 25, 2025 are as  follows: (in millions) Total Payable within 12  Months Short-term borrowings and long-term debt, including current portion (a)      . . . . . . $ 4,148.2 $ 448.6  Interest on long-term debt (b)     . . . . . . . . . . . . . . . . . . . . . . . . . . . . . . . . . . . . . . . .  876.9  184.4  Leases (a)   . . . . . . . . . . . . . . . . . . . . . . . . . . . . . . . . . . . . . . . . . . . . . . . . . . . . . . .  150.5  28.8  Purchase obligations and capital commitments (a)    . . . . . . . . . . . . . . . . . . . . . . . .  1,011.0  309.0  Total      . . . . . . . . . . . . . . . . . . . . . . . . . . . . . . . . . . . . . . . . . . . . . . . . . . . . . . . . . . $ 6,186.6 $ 970.8  _____________________________________________________ (a) See the below Notes to the Consolidated Financial Statements included in “Part II, Item 8. Financial Statements and Supplementary  Data” of this Form 10-K for more information. • Short-term borrowings and long-term debt, including current portion. See Note 8, Debt and Financing Obligations, for more  information on debt payments and the timing of expected future payments. • Leases. See Note 9, Leases, for more information on our operating and finance lease obligations and timing of expected future  payments. The total obligation amount for leases includes imputed interest. • Purchase obligations and capital commitments. See Note 14, Commitments, Contingencies, Guarantees, and Legal  Proceedings, for more information on our purchase obligations and the timing of future payments and capital commitments in  connection with the expansion and replacement of existing facilities and equipment. (b) Amounts represent estimated future interest payments assuming our long-term debt is held to maturity and using interest rates in  effect as of May 25, 2025. This does not reflect a reduction for future estimated capitalized interest amounts. Off-Balance Sheet Arrangements We do not have any off-balance sheet arrangements as of May 25, 2025 that are reasonably likely to have a  current or future material effect on our financial condition, results of operations, liquidity, capital expenditures, or capital  resources. Critical Accounting Estimates Critical accounting estimates are those that are most important to the portrayal of our financial condition and  operating results. These estimates require management’s most difficult, subjective, or complex judgments. In many cases,  the accounting treatment of a particular transaction is specifically dictated by GAAP with no need for the application of our  judgment. In certain circumstances, however, the preparation of the Consolidated Financial Statements in conformity with  GAAP requires us to use our judgment to make certain estimates and assumptions. These estimates affect the reported  amounts of assets and liabilities and disclosures of contingent assets and liabilities at the date of the Consolidated Financial  Statements and the reported amounts of net sales and expenses during the reporting period. We have identified the  estimates described below as our critical accounting estimates. See Note 1 to the Consolidated Financial Statements for a  detailed discussion of significant accounting policies. We review the development, selection, and disclosure of our critical  accounting estimates with the Audit Committee of our Board. We have made appropriate accounting estimates based on the facts and circumstances available as of the reporting  date. To the extent there are differences between these estimates and actual results, our Consolidated Financial Statements  may be affected. Sales Incentives and Trade Promotion Allowances We promote our products with advertising, consumer incentives, and trade promotions. Sales promotions include,  but are not limited to, discounts, coupons, rebates, and volume-based incentives. The estimates for sales incentives are  based principally on historical sales and redemption rates, influenced by judgments about current market conditions such as  competitive activity in specific product categories. 32 
 
 
 
Trade promotion programs include introductory marketing funds such as slotting fees, cooperative marketing  programs, temporary price reductions, and other activities conducted by our customers to promote our products. The costs  of these programs are recognized as a reduction to revenue with a corresponding accrued liability. The estimate of trade  promotions is inherently difficult due to information limitations as the products move beyond distributors and through the  supply chain to operators. Estimates made by management in accounting for these costs are based primarily on our  historical experience with marketing programs, with consideration given to current circumstances and industry trends and  include the following: quantity of customer sales, timing of promotional activities, current and past trade-promotion  spending patterns, the interpretation of historical spending trends by customer and category, and forecasted costs for  activities within the promotional programs. The determination of sales incentive and trade promotion costs requires judgment and may change in the future as  a result of changes in customer demand for our products and promotion participation, particularly for new programs related  to the introduction of new products. Final determination of the total cost of promotion is dependent upon customers  providing information about proof of performance and other information related to the promotional event. Because of the  complexity of some of these trade promotions, the ultimate resolution may result in payments that are different from our  estimates. As additional information becomes known, we may change our estimates. At May 25, 2025 and May 26, 2024,  we had $88.2 million and $90.0 million, respectively, of accrued trade promotions payable recorded in “Accrued liabilities”  on our Consolidated Balance Sheets. Income Taxes We compute the provision for income taxes using the asset and liability method, under which deferred tax assets  and liabilities are recognized for the expected future tax consequences of temporary differences between the financial  reporting and tax bases of assets and liabilities, and for operating losses and tax credit carryforwards. We measure deferred  tax assets and liabilities using the currently enacted tax rates that apply to taxable income in effect for the years in which  those tax assets and liabilities are expected to be realized or settled. Inherent in determining the annual tax rate are judgments regarding business plans, planning opportunities, and  expectations about future outcomes. Management judgments are required for the following items: • Management reviews deferred tax assets for realizability. Valuation allowances are established when management  believes that it is more likely than not that some portion of the deferred tax assets will not be realized. Changes in  valuation allowances from period to period are included in the tax provision.  • We establish accruals for unrecognized tax benefits when, despite the belief that our tax return positions are fully  supported, we believe that an uncertain tax position does not meet the recognition threshold of ASC 740, Income  Taxes. These contingency accruals are adjusted in light of changing facts and circumstances, such as the progress  of tax audits, the expiration of the statute of limitations for the relevant taxing authority to examine a tax return,  case law and emerging legislation. While it is difficult to predict the final outcome or timing of resolution for any  particular matter, we believe that the accruals for unrecognized tax benefits at May 25, 2025, reflect the estimated  outcome of known tax contingencies as of such date in accordance with accounting for uncertainty in income  taxes under ASC 740.  • We recognize the tax impact of including certain foreign earnings in U.S. taxable income as a period cost. We  have not recognized deferred income taxes for local country income and withholding taxes that could be incurred  on distributions of certain non-U.S. earnings or for outside basis differences in our subsidiaries, because we plan  to indefinitely reinvest such earnings and basis differences. Remittances of non-U.S. earnings are based on  estimates and judgments of projected cash flow needs, as well as the working capital and investment requirements  of our non-U.S. and U.S. operations. Material changes in our estimates of cash, working capital, and investment  needs in various jurisdictions could require repatriation of indefinitely reinvested non-U.S. earnings, which could  be subject to applicable non-U.S. income and withholding taxes. While we believe the judgments and estimates  discussed above and made by management are appropriate and reasonable under the circumstances, actual  resolution of these matters may differ from recorded estimated amounts. Further information on income taxes is  provided in Note 3, Income Taxes, of the Notes to Consolidated Financial Statements in “Part II, Item 8. Financial  Statements and Supplementary Data” of this Form 10-K.  33 
 
 
 
New and Recently Issued Accounting Standards For a listing of new and recently issued accounting standards, see Note 1, Nature of Operations and Summary of  Significant Accounting Policies, of the Notes to Consolidated Financial Statements in “Part II, Item 8. Financial Statements  and Supplementary Data” of this Form 10-K. Non-GAAP Financial Measures To supplement the financial information included in this report, we have presented Adjusted EBITDA, Adjusted  Gross Profit, Adjusted SG&A, and Adjusted Equity Method Investment Earnings, each of which is considered a non- GAAP financial measure. Management uses these non-GAAP financial measures to assist in analyzing what management  views as our core operating performance for purposes of business decision making. Management believes that presenting  these non-GAAP financial measures provide investors with useful supplemental information because they (i) provide  meaningful supplemental information regarding financial performance by excluding impacts of foreign currency exchange  rates and unrealized mark-to-market derivative gains and losses and other items affecting comparability between periods,  (ii) permit investors to view performance using the same tools that management uses to budget, make operating and  strategic decisions, and evaluate our core operating performance across periods, and (iii) otherwise provide supplemental  information that may be useful to investors in evaluating our financial results. In addition, we believe that the presentation  of these non-GAAP financial measures, when considered together with their most directly comparable GAAP financial  measure and the reconciliations to those GAAP financial measures, provides investors with additional tools to understand  the factors and trends affecting our underlying business than could be obtained absent these disclosures. The non-GAAP financial measures presented in this report should be viewed in addition to, and not as alternatives  for, financial measures prepared in accordance with GAAP that are also presented in this report. These measures are not  substitutes for their comparable GAAP financial measures, such as net income, gross profit, SG&A, equity method  investment earnings, or other measures prescribed by GAAP, and there are limitations to using non-GAAP financial  measures. For example, the non-GAAP financial measures presented in this report may differ from similarly titled non- GAAP financial measures presented by other companies, and other companies may not define these non-GAAP financial  measures the same way we do. The following table reconciles net income to Adjusted EBITDA: For the Fiscal Years Ended May (in millions) 2025 2024 Net income (a)   . . . . . . . . . . . . . . . . . . . . . . . . . . . . . . . . . . . . . . . . . . . . . . . . . . . . . . . . . . . . . . $ 357.2 $ 725.5  Interest expense, net     . . . . . . . . . . . . . . . . . . . . . . . . . . . . . . . . . . . . . . . . . . . . . . . . . . . . . . . . .  180.0  135.8  Income tax expense   . . . . . . . . . . . . . . . . . . . . . . . . . . . . . . . . . . . . . . . . . . . . . . . . . . . . . . . . . .  143.1  230.0  Income from operations including equity method investment earnings    . . . . . . . . . . . . . . . . . .  680.3  1,091.3  Depreciation and amortization (b)  . . . . . . . . . . . . . . . . . . . . . . . . . . . . . . . . . . . . . . . . . . . . . . .  378.2  306.2  Unrealized derivative gains    . . . . . . . . . . . . . . . . . . . . . . . . . . . . . . . . . . . . . . . . . . . . . . . . . . . .  (23.1)  (24.9)  Foreign currency exchange losses     . . . . . . . . . . . . . . . . . . . . . . . . . . . . . . . . . . . . . . . . . . . . . . .  15.2  28.6  Blue chip swap transaction gains        . . . . . . . . . . . . . . . . . . . . . . . . . . . . . . . . . . . . . . . . . . . . . . .  (21.1)  (18.0)  Items impacting comparability: Restructuring Plan and other expenses      . . . . . . . . . . . . . . . . . . . . . . . . . . . . . . . . . . . . . . .  185.8  —  Shareholder activism expense   . . . . . . . . . . . . . . . . . . . . . . . . . . . . . . . . . . . . . . . . . . . . . .  5.2  —  Inventory step-up from acquisition     . . . . . . . . . . . . . . . . . . . . . . . . . . . . . . . . . . . . . . . . . .  —  20.7  Integration and acquisition-related items, net    . . . . . . . . . . . . . . . . . . . . . . . . . . . . . . . . . .  —  12.8  Adjusted EBITDA   . . . . . . . . . . . . . . . . . . . . . . . . . . . . . . . . . . . . . . . . . . . . . . . . . . . . . . . . . . . $ 1,220.5 $ 1,416.7  _____________________________________________________ (a) Net income included: i. Restructuring plan expenses of $185.8 million ($143.7 million after-tax, or $1.01 per share) related to the FY25  Restructuring Plan announced on October 1, 2024, for fiscal 2025. Further information on the FY25 Restructuring Plan is  provided in Note 4, Restructuring, of the Notes to Consolidated Financial Statements in “Part II, Item 8. Financial  Statements and Supplementary Data” of this Form 10-K. ii. Shareholder activism expense of $5.2 million ($4.0 million after-tax, or $0.03 per share). for fiscal 2025. 34 
 
 
 
iii. A $23.1 million unrealized gain ($17.2 million after-tax, or $0.12 per share) and a $24.9 million unrealized gain ($18.6  million after-tax, or $0.13 per share) related to mark-to-market adjustments associated with commodity and currency  hedging contracts for fiscal 2025 and 2024, respectively; iv. Foreign currency exchange losses of $15.2 million ($10.9 million after-tax, or $0.07 per share) and $28.6 million ($21.4  million after-tax, or $0.14 per share) for fiscal 2025 and 2024, respectively. v. Blue chip swap transaction gains of $21.1 million ($20.0 million after-tax, or $0.14 per share) and $18.0 million ($13.4  million after-tax or $0.09 per share) for fiscal 2025 and 2024, respectively; vi. In fiscal 2024, we recorded a $12.8 million loss ($9.6 million after-tax, or $0.07 per share) related to actions taken to  mitigate the effect of changes in currency rates on the purchase of the remaining equity interest in LW EMEA, net of  other acquisition-related costs; vii. In fiscal 2024, we recorded a $20.7 million ($15.4 million after-tax, or $0.11 per share) charge related to the step-up and  sale of inventory following completion of the LW EMEA Acquisition; and viii. In fiscal 2025, we recorded an estimated $31 million loss related to the voluntary product withdrawal that was initiated in  the fourth quarter of fiscal 2024. The total charge to reporting segments was approximately $19 million to the North  America segment and approximately $12 million to the International segment. Fiscal year 2024 included an estimated $40  million loss ($30 million after-tax, or $0.20 per share) related to the voluntary product withdrawal. The total charge to the  reporting segments was approximately $19 million to the North America segment and approximately $21 million to the  International segment. ix. In fiscal 2024, we estimate that we incurred approximately $95 million of losses ($72 million after-tax) related to the ERP  transition in the fiscal third quarter, including approximately $83 million in the North America segment, approximately $5  million in the International segment, and $7 million of unallocated corporate costs. x. In fiscal 2024, we recorded a $95.9 million charge ($72.9 million after-tax, or $0.50 per share) related to a write-off of  excess raw potatoes. The total charge to the reporting segments was as follows: $86.0 million to the North America  segment and $9.9 million to the International segment. (b) Depreciation and amortization included interest expense, income tax expense, and depreciation and amortization from equity  method investments of $8.2 million and $8.3 million for fiscal 2025 and 2024, respectively. 35 
 
 
 
The following tables reconcile gross profit to Adjusted Gross Profit, SG&A to Adjusted SG&A, and Equity  Method Investment Earnings to Adjusted Equity Method Investment Earnings:  (in millions) Gross Profit SG&A Equity Method  Investment  Earnings Fiscal Year Ended May 25, 2025 As reported     . . . . . . . . . . . . . . . . . . . . . . . . . . . . . . . . . . . . . . . . . . . . . . . $ 1,398.6 $ 633.5 $ 15.2  Unrealized derivative gains and losses     . . . . . . . . . . . . . . . . . . . . . . . . . .  (13.4)  9.7  —  Foreign currency exchange losses      . . . . . . . . . . . . . . . . . . . . . . . . . . . . .  —  (15.2)  —  Blue chip swap transaction gains     . . . . . . . . . . . . . . . . . . . . . . . . . . . . . .  —  21.1  —  Items impacting comparability:      . . . . . . . . . . . . . . . . . . . . . . . . . . . . . . . Restructuring Plan and other expenses     . . . . . . . . . . . . . . . . . . . . . . .  75.3  —  10.5  Shareholder activism expense     . . . . . . . . . . . . . . . . . . . . . . . . . . . . . .  —  (5.2)  —  Total adjustments    . . . . . . . . . . . . . . . . . . . . . . . . . . . . . . . . . . . . . . . . .  61.9  10.4  10.5  Adjusted (a) . . . . . . . . . . . . . . . . . . . . . . . . . . . . . . . . . . . . . . . . . . . . . . . $ 1,460.5 $ 643.9 $ 25.7  Fiscal Year Ended May 26, 2024 As reported     . . . . . . . . . . . . . . . . . . . . . . . . . . . . . . . . . . . . . . . . . . . . . . . $ 1,766.7 $ 701.4 $ 26.0  Unrealized derivative gains and losses     . . . . . . . . . . . . . . . . . . . . . . . . . .  (28.7)  (3.8)  —  Foreign currency exchange losses      . . . . . . . . . . . . . . . . . . . . . . . . . . . . .  —  (28.6)  —  Blue chip swap transaction gains     . . . . . . . . . . . . . . . . . . . . . . . . . . . . . .  —  18.0  —  Items impacting comparability:      . . . . . . . . . . . . . . . . . . . . . . . . . . . . . . . Inventory step-up from acquisition     . . . . . . . . . . . . . . . . . . . . . . . . . .  20.7  —  —  Integration and acquisition-related items, net    . . . . . . . . . . . . . . . . . .  —  (12.8)  —  Total adjustments    . . . . . . . . . . . . . . . . . . . . . . . . . . . . . . . . . . . . . . . . .  (8.0)  (27.2)  —  Adjusted (a) . . . . . . . . . . . . . . . . . . . . . . . . . . . . . . . . . . . . . . . . . . . . . . . $ 1,758.7 $ 674.2 $ 26.0  _____________________________________________________ (a) See the footnotes in the reconciliation of net income to Adjusted EBITDA above for a discussion of the items impacting  comparability. 36 
 
 
 
ITEM 7A. QUANTITATIVE AND QUALITATIVE DISCLOSURES ABOUT MARKET RISK  Our operations are exposed to market risks from adverse changes in commodity prices affecting the cost of raw  materials and energy, changes in currency rates, and interest rates. In the normal course of business, we may periodically  enter into derivatives to minimize these risks, but not for trading purposes. All of the following potential changes are based  on sensitivity analyses performed on our financial positions as of May 25, 2025 and May 26, 2024. Actual results may  differ materially. Commodity Price Risk Certain commodities we use in the production and distribution of our products are exposed to market price risk.  To manage that risk, we utilize derivative contracts, many of which qualify for the normal purchase and normal sales scope  exception and are not recorded on the Consolidated Balance Sheets. We may use commodity swap or forward purchase  contracts, in addition to sourcing from multiple providers, to manage risks associated with market fluctuations in oil and  energy prices. Based on our open commodity contract hedge positions as of May 25, 2025, a hypothetical 10% decline in  market prices applied to the fair value of the instruments would result in a charge to “Cost of sales” of $6.8 million ($5.1  million after-tax). Based on our open commodity hedge positions as of May 26, 2024, a hypothetical 10% decline in  market prices applied to the fair value of the instruments would have resulted in a charge to “Cost of sales” of $9.2 million  ($6.9 million after-tax). It should be noted that any change in the fair value of the contracts, real or hypothetical, likely  would be substantially offset by an inverse change in the value of the underlying hedged item. Foreign Currency Exchange Rate Risk We are subject to currency exchange rate risk through investments and businesses owned and operated in foreign  countries. Our operations in foreign countries export to, and compete with imports from, other regions. As such, currency  movements can have a number of direct and indirect impacts on our financial statements. Direct impacts include the  translation of international operations’ local currency financial statements into U.S. dollars and the remeasurement impact  associated with non-functional currency financial assets and liabilities. Indirect impacts include the change in  competitiveness of exports out of the United States (and the impact on local currency pricing of products that are traded  internationally). The currency that has the most impact is the Euro. From time to time, we may economically hedge  currency risk with foreign currency contracts, such as forward contracts. Based on monetary assets and liabilities  denominated in foreign currencies, we estimate that a hypothetical 10% adverse change in exchange rates versus the U.S.  dollar would result in losses of $68.5 million ($52.1 million after-tax) and $63.3 million ($48.1 million after-tax) as of May  25, 2025 and May 26, 2024, respectively.  Interest Rate Risk We issue fixed and floating rate debt in a proportion that management deems appropriate based on current and  projected market conditions. Our exposure to market risk changes in interest rates relates primarily to the amount of  interest expense we expect to pay with respect to our variable-rate debt, which is predominately tied to variable market  rates including the Secured Overnight Financing Rate. At May 25, 2025, we had $2,976.6 million of fixed-rate and  $1,166.4 million of variable-rate debt outstanding. At May 26, 2024, we had $2,495.0 million of fixed-rate and $1,341.7  million of variable-rate debt outstanding. A one percent increase in interest rates related to variable-rate debt would result  in an annual increase in interest expense and a corresponding decrease in income before taxes of $11.8 million ($9.2  million after-tax) and $13.6 million($10.6 million after-tax) at May 25, 2025 and May 26, 2024, respectively. For more information about our debt, see Note 8, Debt and Financing Obligations, of the Notes to Consolidated  Financial Statements in “Part II, Item 8. Financial Statements and Supplementary Data” of this Form 10-K. 37 
 
 
 
ITEM 8. FINANCIAL STATEMENTS AND SUPPLEMENTARY DATA Reports of Independent Registered Public Accounting Firm (KPMG, LLP, Seattle, WA, PCAOB ID No. 185)   . . . 39 Consolidated Statements of Earnings for the fiscal years ended May 25, 2025, May 26, 2024, and May 28, 2023     . 42 Consolidated Statements of Comprehensive Income for the fiscal years ended May 25, 2025, May 26, 2024, and  May 28, 2023       . . . . . . . . . . . . . . . . . . . . . . . . . . . . . . . . . . . . . . . . . . . . . . . . . . . . . . . . . . . . . . . . . . . . . . . . . . . . . . . 43 Consolidated Balance Sheets as of May 25, 2025 and May 26, 2024    . . . . . . . . . . . . . . . . . . . . . . . . . . . . . . . . . . . . 44 Consolidated Statements of Stockholders’ Equity for the fiscal years ended May 25, 2025, May 26, 2024, and  May 28, 2023       . . . . . . . . . . . . . . . . . . . . . . . . . . . . . . . . . . . . . . . . . . . . . . . . . . . . . . . . . . . . . . . . . . . . . . . . . . . . . . . 45 Consolidated Statements of Cash Flows for the fiscal years ended May 25, 2025, May 26, 2024, and May 28,  2023    . . . . . . . . . . . . . . . . . . . . . . . . . . . . . . . . . . . . . . . . . . . . . . . . . . . . . . . . . . . . . . . . . . . . . . . . . . . . . . . . . . . . . . 46 Notes to Consolidated Financial Statements       . . . . . . . . . . . . . . . . . . . . . . . . . . . . . . . . . . . . . . . . . . . . . . . . . . . . . . . 47 38 
 
 
 
Report of Independent Registered Public Accounting Firm To the Stockholders and Board of Directors  Lamb Weston Holdings, Inc.: Opinion on the Consolidated Financial Statements We have audited the accompanying consolidated balance sheets of Lamb Weston Holdings, Inc. and subsidiaries (the  Company) as of May 25, 2025 and May 26, 2024, the related consolidated statements of earnings, comprehensive income,  stockholders’ equity, and cash flows for each of the years in the three-year period ended May 25, 2025, and the related  notes and consolidated financial statement schedule (collectively, the consolidated financial statements). In our opinion, the  consolidated financial statements present fairly, in all material respects, the financial position of the Company as of May  25, 2025 and May 26, 2024, and the results of its operations and its cash flows for each of the years in the three-year period  ended May 25, 2025, in conformity with U.S. generally accepted accounting principles. We also have audited, in accordance with the standards of the Public Company Accounting Oversight Board (United  States) (PCAOB), the Company’s internal control over financial reporting as of May 25, 2025, based on criteria established  in Internal Control – Integrated Framework (2013) issued by the Committee of Sponsoring Organizations of the Treadway  Commission, and our report dated July 23, 2025 expressed an unqualified opinion on the effectiveness of the Company’s  internal control over financial reporting. Basis for Opinion These consolidated financial statements are the responsibility of the Company’s management. Our responsibility is to  express an opinion on these consolidated financial statements based on our audits. We are a public accounting firm  registered with the PCAOB and are required to be independent with respect to the Company in accordance with the U.S.  federal securities laws and the applicable rules and regulations of the Securities and Exchange Commission and the  PCAOB. We conducted our audits in accordance with the standards of the PCAOB. Those standards require that we plan and  perform the audit to obtain reasonable assurance about whether the consolidated financial statements are free of material  misstatement, whether due to error or fraud. Our audits included performing procedures to assess the risks of material  misstatement of the consolidated financial statements, whether due to error or fraud, and performing procedures that  respond to those risks. Such procedures included examining, on a test basis, evidence regarding the amounts and  disclosures in the consolidated financial statements. Our audits also included evaluating the accounting principles used and  significant estimates made by management, as well as evaluating the overall presentation of the consolidated financial  statements. We believe that our audits provide a reasonable basis for our opinion. Critical Audit Matter The critical audit matter communicated below is a matter arising from the current period audit of the consolidated financial  statements that was communicated or required to be communicated to the audit committee and that: (1) relates to accounts  or disclosures that are material to the consolidated financial statements and (2) involved our especially challenging,  subjective, or complex judgments. The communication of a critical audit matter does not alter in any way our opinion on  the consolidated financial statements, taken as a whole, and we are not, by communicating the critical audit matter below,  providing a separate opinion on the critical audit matter or on the accounts or disclosures to which it relates. Sufficiency of audit evidence over the finished goods inventory held at third-party warehouse locations As discussed in Note 1 to the consolidated financial statements, the Company has recognized finished goods inventory  of $755.7 million as of May 25, 2025, the majority of which is held at third-party warehouse locations. The tracking of  the existence and completeness of finished goods inventory quantities held at third-party warehouse locations is reliant  upon manual processes and automated processes within the Company’s enterprise resource planning system. 39 
 
 
 
We identified the evaluation of the sufficiency of audit evidence obtained related to the quantities of finished goods  inventory held at third-party warehouse locations as a critical audit matter. Challenging auditor judgment was required  to determine the nature and extent of procedures to be performed over the quantity of finished goods inventory held at  third-party warehouse locations, including the determination of third-party warehouse locations at which to observe  physical inventory counts and the need to involve information technology (IT) professionals with specialized skills and  knowledge to assess the IT system involved. The following are the primary procedures we performed to address this critical audit matter. We applied auditor  judgment to determine the nature and extent of procedures to be performed over the quantities of finished goods  inventory held at third-party warehouse locations by evaluating: • homogeneity of the locations • historical results of physical counts of inventory • inventory quantities by location. We evaluated the design and tested the operating effectiveness of certain internal controls within the Company’s inventory  process, including controls over finished goods inventory quantities held at third-party warehouse locations. We involved  IT professionals with specialized skills and knowledge, who assisted in testing certain general IT and application controls  related to the Company’s process of recording finished goods inventory quantities held at third-party warehouse locations.  We tested the existence and completeness of finished goods inventory by observing a sample of physical inventory counts  during the year. We also obtained external confirmation of inventory quantities held at certain third-party warehouse  locations for a sample of locations. In addition, we evaluated the overall sufficiency of audit evidence obtained over  finished goods inventory quantities held at third-party warehouse locations by assessing the results of procedures  performed including the appropriateness of such evidence. /s/ KPMG LLP We have served as the Company’s auditor since 2016.  Seattle, Washington July 23, 2025 40 
 
 
 
Report of Independent Registered Public Accounting Firm To the Stockholders and the Board of Directors  Lamb Weston Holdings, Inc.: Opinion on Internal Control Over Financial Reporting We have audited Lamb Weston Holdings, Inc. and subsidiaries' (the Company) internal control over financial reporting as  of May 25, 2025, based on criteria established in Internal Control – Integrated Framework (2013) issued by the Committee  of Sponsoring Organizations of the Treadway Commission. In our opinion, the Company maintained, in all material  respects, effective internal control over financial reporting as of May 25, 2025, based on criteria established in Internal  Control – Integrated Framework (2013) issued by the Committee of Sponsoring Organizations of the Treadway  Commission. We also have audited, in accordance with the standards of the Public Company Accounting Oversight Board (United  States) (PCAOB), the consolidated balance sheets of the Company as of May 25, 2025 and May 26, 2024, the related  consolidated statements of earnings, comprehensive income, stockholders’ equity, and cash flows for each of the years in  the three-year period ended May 25, 2025, and the related notes and consolidated financial statement schedule  (collectively, the consolidated financial statements), and our report dated July 23, 2025 expressed an unqualified opinion  on those consolidated financial statements. Basis for Opinion The Company’s management is responsible for maintaining effective internal control over financial reporting and for its  assessment of the effectiveness of internal control over financial reporting, included in the accompanying Management's  Report on Internal Control Over Financial Reporting. Our responsibility is to express an opinion on the Company’s internal  control over financial reporting based on our audit. We are a public accounting firm registered with the PCAOB and are  required to be independent with respect to the Company in accordance with the U.S. federal securities laws and the  applicable rules and regulations of the Securities and Exchange Commission and the PCAOB. We conducted our audit in accordance with the standards of the PCAOB. Those standards require that we plan and perform  the audit to obtain reasonable assurance about whether effective internal control over financial reporting was maintained in  all material respects. Our audit of internal control over financial reporting included obtaining an understanding of internal  control over financial reporting, assessing the risk that a material weakness exists, and testing and evaluating the design and  operating effectiveness of internal control based on the assessed risk. Our audit also included performing such other  procedures as we considered necessary in the circumstances. We believe that our audit provides a reasonable basis for our  opinion. Definition and Limitations of Internal Control Over Financial Reporting A company’s internal control over financial reporting is a process designed to provide reasonable assurance regarding the  reliability of financial reporting and the preparation of financial statements for external purposes in accordance with  generally accepted accounting principles. A company’s internal control over financial reporting includes those policies and  procedures that (1) pertain to the maintenance of records that, in reasonable detail, accurately and fairly reflect the  transactions and dispositions of the assets of the company; (2) provide reasonable assurance that transactions are recorded  as necessary to permit preparation of financial statements in accordance with generally accepted accounting principles, and  that receipts and expenditures of the company are being made only in accordance with authorizations of management and  directors of the company; and (3) provide reasonable assurance regarding prevention or timely detection of unauthorized  acquisition, use, or disposition of the company’s assets that could have a material effect on the financial statements. Because of its inherent limitations, internal control over financial reporting may not prevent or detect misstatements. Also,  projections of any evaluation of effectiveness to future periods are subject to the risk that controls may become inadequate  because of changes in conditions, or that the degree of compliance with the policies or procedures may deteriorate.  /s/ KPMG LLP Seattle, Washington July 23, 2025 41 
 
 
 
Lamb Weston Holdings, Inc.  Consolidated Statements of Earnings (dollars in millions, except per share amounts) For the Fiscal Years Ended May 2025 2024 2023 Net sales     . . . . . . . . . . . . . . . . . . . . . . . . . . . . . . . . . . . . . . . . . . . . . . . . . . $ 6,451.3 $ 6,467.6 $ 5,350.6  Cost of sales   . . . . . . . . . . . . . . . . . . . . . . . . . . . . . . . . . . . . . . . . . . . . . . .  5,052.7  4,700.9  3,918.5  Gross profit     . . . . . . . . . . . . . . . . . . . . . . . . . . . . . . . . . . . . . . . . . . . . . .  1,398.6  1,766.7  1,432.1  Selling, general and administrative expenses    . . . . . . . . . . . . . . . . . . . . . .  633.5  701.4  550.0  Restructuring expense     . . . . . . . . . . . . . . . . . . . . . . . . . . . . . . . . . . . . . . .  100.0  —  —  Income from operations      . . . . . . . . . . . . . . . . . . . . . . . . . . . . . . . . . . . .  665.1  1,065.3  882.1  Interest expense, net       . . . . . . . . . . . . . . . . . . . . . . . . . . . . . . . . . . . . . . . . .  180.0  135.8  109.2  Income before income taxes and equity method earnings     . . . . . . . . . .  485.1  929.5  772.9  Income tax expense     . . . . . . . . . . . . . . . . . . . . . . . . . . . . . . . . . . . . . . . . .  143.1  230.0  224.6  Equity method investment earnings    . . . . . . . . . . . . . . . . . . . . . . . . . . . . .  15.2  26.0  460.6  Net income     . . . . . . . . . . . . . . . . . . . . . . . . . . . . . . . . . . . . . . . . . . . . . . $ 357.2 $ 725.5 $ 1,008.9  Earnings per share: Basic  . . . . . . . . . . . . . . . . . . . . . . . . . . . . . . . . . . . . . . . . . . . . . . . . . . . $ 2.51 $ 5.01 $ 6.98  Diluted       . . . . . . . . . . . . . . . . . . . . . . . . . . . . . . . . . . . . . . . . . . . . . . . . . $ 2.50 $ 4.98 $ 6.95  Weighted average common shares outstanding: Basic  . . . . . . . . . . . . . . . . . . . . . . . . . . . . . . . . . . . . . . . . . . . . . . . . . . . 142.2 144.9 144.5 Diluted       . . . . . . . . . . . . . . . . . . . . . . . . . . . . . . . . . . . . . . . . . . . . . . . . . 142.7 145.6 145.2 See Notes to Consolidated Financial Statements. 42 
 
 
 
Lamb Weston Holdings, Inc.  Consolidated Statements of Comprehensive Income (dollars in millions) For the Fiscal Years Ended May 2025 2024 2023 Pre-Tax Amount Tax (Expense) Benefit After-Tax Amount Pre-Tax Amount Tax (Expense) Benefit After-Tax Amount Pre-Tax Amount Tax (Expense) Benefit After-Tax Amount Net income    . . . . . . . . . . . . . . . . . $ 500.3 $ (143.1) $ 357.2 $ 955.5 $ (230.0) $ 725.5 $ 1,233.5 $ (224.6) $ 1,008.9  Other comprehensive income  (loss): Unrealized pension and post- retirement benefit obligations  gain (loss)    . . . . . . . . . . . . . . .  1.0  (0.3)  0.7  (5.9)  1.3  (4.6)  3.4  (0.8)  2.6  Unrealized currency  translation gains (losses)      . . . .  66.6  0.5  67.1  19.3  (0.4)  18.9  (16.6)  2.4  (14.2)  Other   . . . . . . . . . . . . . . . . . . .  (0.5)  0.1  (0.4)  (0.5)  0.1  (0.4)  0.5  (0.1)  0.4  Comprehensive income     . . . . . . . $ 567.4 $ (142.8) $ 424.6 $ 968.4 $ (229.0) $ 739.4 $ 1,220.8 $ (223.1) $ 997.7  See Notes to Consolidated Financial Statements. 43 
 
 
 
Lamb Weston Holdings, Inc.  Consolidated Balance Sheets (dollars in millions, except share data) May 25, 2025 May 26, 2024 ASSETS Current assets: Cash and cash equivalents    . . . . . . . . . . . . . . . . . . . . . . . . . . . . . . . . . . . . . . . . . . . . . . . . $ 70.7 $ 71.4  Receivables, net of allowances of $0.9 and $0.9   . . . . . . . . . . . . . . . . . . . . . . . . . . . . . . .  781.6  743.6  Inventories     . . . . . . . . . . . . . . . . . . . . . . . . . . . . . . . . . . . . . . . . . . . . . . . . . . . . . . . . . . . .  1,035.4  1,138.6  Prepaid expenses and other current assets  . . . . . . . . . . . . . . . . . . . . . . . . . . . . . . . . . . . .  145.0  136.4  Total current assets    . . . . . . . . . . . . . . . . . . . . . . . . . . . . . . . . . . . . . . . . . . . . . . . . . . .  2,032.7  2,090.0  Property, plant and equipment, net    . . . . . . . . . . . . . . . . . . . . . . . . . . . . . . . . . . . . . . . . . . .  3,687.9  3,582.8  Operating lease assets   . . . . . . . . . . . . . . . . . . . . . . . . . . . . . . . . . . . . . . . . . . . . . . . . . . . . .  113.2  133.0  Goodwill      . . . . . . . . . . . . . . . . . . . . . . . . . . . . . . . . . . . . . . . . . . . . . . . . . . . . . . . . . . . . . . .  1,090.2  1,059.9  Intangible assets, net   . . . . . . . . . . . . . . . . . . . . . . . . . . . . . . . . . . . . . . . . . . . . . . . . . . . . . .  114.0  104.9  Other assets    . . . . . . . . . . . . . . . . . . . . . . . . . . . . . . . . . . . . . . . . . . . . . . . . . . . . . . . . . . . . .  354.6  396.4  Total assets      . . . . . . . . . . . . . . . . . . . . . . . . . . . . . . . . . . . . . . . . . . . . . . . . . . . . . . . . . . $ 7,392.6 $ 7,367.0  LIABILITIES AND STOCKHOLDERS’ EQUITY Current liabilities: Short-term borrowings     . . . . . . . . . . . . . . . . . . . . . . . . . . . . . . . . . . . . . . . . . . . . . . . . . . . $ 370.8 $ 326.3  Current portion of long-term debt and financing obligations   . . . . . . . . . . . . . . . . . . . . .  77.8  56.4  Accounts payable     . . . . . . . . . . . . . . . . . . . . . . . . . . . . . . . . . . . . . . . . . . . . . . . . . . . . . . .  616.4  833.8  Accrued liabilities     . . . . . . . . . . . . . . . . . . . . . . . . . . . . . . . . . . . . . . . . . . . . . . . . . . . . . .  411.0  407.6  Total current liabilities      . . . . . . . . . . . . . . . . . . . . . . . . . . . . . . . . . . . . . . . . . . . . . .  1,476.0  1,624.1  Long-term liabilities: Long-term debt and financing obligations, excluding current portion     . . . . . . . . . . . . . .  3,682.8  3,440.7  Deferred income taxes     . . . . . . . . . . . . . . . . . . . . . . . . . . . . . . . . . . . . . . . . . . . . . . . . . . .  253.5  256.2  Other noncurrent liabilities     . . . . . . . . . . . . . . . . . . . . . . . . . . . . . . . . . . . . . . . . . . . . . . .  242.6  258.2  Total long-term liabilities        . . . . . . . . . . . . . . . . . . . . . . . . . . . . . . . . . . . . . . . . . . . .  4,178.9  3,955.1  Commitments and contingencies Stockholders’ equity: Common stock of $1.00 par value, 600,000,000 shares authorized; 151,390,267 and  150,735,397 shares issued  . . . . . . . . . . . . . . . . . . . . . . . . . . . . . . . . . . . . . . . . . . . . . . . . . .  151.4  150.7  Treasury stock, at cost, 12,152,507 and 7,068,741 common shares    . . . . . . . . . . . . . . . . . .  (838.0)  (540.9)  Additional distributed capital  . . . . . . . . . . . . . . . . . . . . . . . . . . . . . . . . . . . . . . . . . . . . . .  (479.1)  (508.9)  Retained earnings  . . . . . . . . . . . . . . . . . . . . . . . . . . . . . . . . . . . . . . . . . . . . . . . . . . . . . . .  2,848.9  2,699.8  Accumulated other comprehensive income (loss)   . . . . . . . . . . . . . . . . . . . . . . . . . . . . . .  54.5  (12.9)  Total stockholders’ equity      . . . . . . . . . . . . . . . . . . . . . . . . . . . . . . . . . . . . . . . . . . .  1,737.7  1,787.8  Total liabilities and stockholders’ equity       . . . . . . . . . . . . . . . . . . . . . . . . . . . . . . . $ 7,392.6 $ 7,367.0  See Notes to Consolidated Financial Statements. 44 
 
 
 
Lamb Weston Holdings, Inc.  Consolidated Statements of Stockholders’ Equity (dollars in millions, except share and per share data) Common Stock, net of Treasury Shares Common Stock Amount Treasury Stock Amount Additional  Paid-in (Distributed) Capital Retained Earnings Accumulated  Other  Comprehensive  Income (Loss) Total  Stockholders' Equity Balance at May 29, 2022     . . . . . . . . . . . . . . . . . .  144,071,428 $ 148.0 $ (264.1) $ (813.3) $ 1,305.5 $ (15.6) $ 360.5  Dividends declared, $1.05 per share    . . . . . . . . . .  —  —  —  —  (151.6)  —  (151.6)  Common stock issued   . . . . . . . . . . . . . . . . . . . . . .  2,247,927  2.3  —  196.7  —  —  199.0  Stock-settled, stock-based compensation expense   —  —  —  38.5  —  —  38.5  Repurchase of common stock and common stock  withheld to cover taxes    . . . . . . . . . . . . . . . . . . . . .  (653,672)  —  (50.2)  —  —  —  (50.2)  Other     . . . . . . . . . . . . . . . . . . . . . . . . . . . . . . . . . . .  —  —  —  19.5  (2.1)  —  17.4  Comprehensive income    . . . . . . . . . . . . . . . . . . . .  —  —  —  —  1,008.9  (11.2)  997.7  Balance at May 28, 2023     . . . . . . . . . . . . . . . . . .  145,665,683 $ 150.3 $ (314.3) $ (558.6) $ 2,160.7 $ (26.8) $ 1,411.3  Dividends declared, $1.28 per share    . . . . . . . . . .  —  —  —  —  (184.9)  —  (184.9)  Common stock issued   . . . . . . . . . . . . . . . . . . . . . .  441,886  0.4  —  0.3  —  —  0.7  Stock-settled, stock-based compensation expense   —  —  —  46.8  —  —  46.8  Repurchase of common stock and common stock  withheld to cover taxes    . . . . . . . . . . . . . . . . . . . . .  (2,440,913)  —  (225.3)  —  —  —  (225.3)  Other     . . . . . . . . . . . . . . . . . . . . . . . . . . . . . . . . . . .  —  —  (1.3)  2.6  (1.5)  —  (0.2)  Comprehensive income    . . . . . . . . . . . . . . . . . . . .  —  —  —  —  725.5  13.9  739.4  Balance at May 26, 2024     . . . . . . . . . . . . . . . . . .  143,666,656 $ 150.7 $ (540.9) $ (508.9) $ 2,699.8 $ (12.9) $ 1,787.8  Dividends declared, $1.46 per share    . . . . . . . . . .  —  —  —  —  (206.9)  —  (206.9)  Common stock issued   . . . . . . . . . . . . . . . . . . . . . .  654,870  0.7  —  (0.6)  —  —  0.1  Stock-settled, stock-based compensation expense   —  —  —  39.4  —  —  39.4  Repurchase of common stock and common stock  withheld to cover taxes    . . . . . . . . . . . . . . . . . . . . .  (5,083,766)  —  (294.4)  —  —  —  (294.4)  Other     . . . . . . . . . . . . . . . . . . . . . . . . . . . . . . . . . . .  —  —  (2.7)  (9.0)  (1.2)  —  (12.9)  Comprehensive income    . . . . . . . . . . . . . . . . . . . .  —  —  —  —  357.2  67.4  424.6  Balance at May 25, 2025     . . . . . . . . . . . . . . . . . .  139,237,760 $ 151.4 $ (838.0) $ (479.1) $ 2,848.9 $ 54.5 $ 1,737.7  See Notes to Consolidated Financial Statements. 45 
 
 
 
Lamb Weston Holdings, Inc.  Consolidated Statements of Cash Flows (dollars in millions) For the Fiscal Years Ended May 2025 2024 2023 Cash flows from operating activities Net income   . . . . . . . . . . . . . . . . . . . . . . . . . . . . . . . . . . . . . . . . . . . . . . . . . . . . . . . . . $ 357.2 $ 725.5 $ 1,008.9  Adjustments to reconcile net income to net cash provided by operating activities: Depreciation and amortization of intangibles and debt issuance costs      . . . . . . . .  407.5  306.8  222.8  Stock-settled, stock-based compensation expense   . . . . . . . . . . . . . . . . . . . . . . . .  39.5  46.8  38.5  Gain on acquisition of investments in joint ventures    . . . . . . . . . . . . . . . . . . . . . .  —  —  (425.8)  Equity method investment (earnings) loss, net of distributions   . . . . . . . . . . . . . .  11.9  (15.5)  (35.7)  Deferred income taxes     . . . . . . . . . . . . . . . . . . . . . . . . . . . . . . . . . . . . . . . . . . . . .  0.6  (1.3)  0.4  Blue chip swap transaction gains   . . . . . . . . . . . . . . . . . . . . . . . . . . . . . . . . . . . . .  (21.1)  (18.0)  —  Other    . . . . . . . . . . . . . . . . . . . . . . . . . . . . . . . . . . . . . . . . . . . . . . . . . . . . . . . . . .  (5.4)  24.9  2.2  Changes in operating assets and liabilities: Receivables   . . . . . . . . . . . . . . . . . . . . . . . . . . . . . . . . . . . . . . . . . . . . . . . . . . . . .  (22.2)  (15.1)  (53.6)  Inventories     . . . . . . . . . . . . . . . . . . . . . . . . . . . . . . . . . . . . . . . . . . . . . . . . . . . . . .  112.6  (203.3)  (125.1)  Income taxes payable/receivable, net       . . . . . . . . . . . . . . . . . . . . . . . . . . . . . . . . .  (10.3)  20.1  (12.3)  Prepaid expenses and other current assets  . . . . . . . . . . . . . . . . . . . . . . . . . . . . . .  9.5  9.7  1.8  Accounts payable     . . . . . . . . . . . . . . . . . . . . . . . . . . . . . . . . . . . . . . . . . . . . . . . . .  2.0  36.5  83.1  Accrued liabilities     . . . . . . . . . . . . . . . . . . . . . . . . . . . . . . . . . . . . . . . . . . . . . . . .  (13.5)  (118.9)  56.5  Net cash provided by operating activities       . . . . . . . . . . . . . . . . . . . . . . . . . $ 868.3 $ 798.2 $ 761.7  Cash flows from investing activities Additions to property, plant and equipment      . . . . . . . . . . . . . . . . . . . . . . . . . . . .  (638.2)  (929.5)  (654.0)  Additions to other long-term assets     . . . . . . . . . . . . . . . . . . . . . . . . . . . . . . . . . . .  (33.6)  (62.3)  (82.0)  Acquisition of interests in joint venture, net     . . . . . . . . . . . . . . . . . . . . . . . . . . . .  —  —  (610.4)  Acquisition of business, net of cash acquired    . . . . . . . . . . . . . . . . . . . . . . . . . . .  —  (10.5)  —  Proceeds from blue chip swap transactions, net of purchases    . . . . . . . . . . . . . . .  21.1  18.0  —  Other    . . . . . . . . . . . . . . . . . . . . . . . . . . . . . . . . . . . . . . . . . . . . . . . . . . . . . . . . . .  2.7  0.2  5.5  Net cash used for investing activities       . . . . . . . . . . . . . . . . . . . . . . . . . . . . . $ (648.0) $ (984.1) $ (1,340.9)  Cash flows from financing activities Proceeds from short-term borrowings   . . . . . . . . . . . . . . . . . . . . . . . . . . . . . . . . .  1,738.5  1,074.9  56.5  Repayments of short-term borrowings       . . . . . . . . . . . . . . . . . . . . . . . . . . . . . . . .  (1,695.7)  (910.0)  (15.1)  Proceeds from issuance of debt      . . . . . . . . . . . . . . . . . . . . . . . . . . . . . . . . . . . . . .  525.3  592.0  529.5  Repayments of debt and financing obligations     . . . . . . . . . . . . . . . . . . . . . . . . . .  (276.6)  (401.1)  (32.6)  Dividends paid   . . . . . . . . . . . . . . . . . . . . . . . . . . . . . . . . . . . . . . . . . . . . . . . . . . .  (206.9)  (174.0)  (146.1)  Repurchase of common stock and common stock withheld to cover taxes       . . . .  (294.4)  (225.3)  (51.6)  Other    . . . . . . . . . . . . . . . . . . . . . . . . . . . . . . . . . . . . . . . . . . . . . . . . . . . . . . . . . .  (15.2)  (4.5)  0.2  Net cash used in financing activities      . . . . . . . . . . . . . . . . . . . . . . . . . . . . . . $ (225.0) $ (48.0) $ 340.8  Effect of exchange rate changes on cash and cash equivalents      . . . . . . . . . . . . . . . . .  4.0  0.5  18.2  Net decrease in cash and cash equivalents   . . . . . . . . . . . . . . . . . . . . . . . . . . . . . . .  (0.7)  (233.4)  (220.2)  Cash and cash equivalents, beginning of period     . . . . . . . . . . . . . . . . . . . . . . . . . .  71.4  304.8  525.0  Cash and cash equivalents, end of period      . . . . . . . . . . . . . . . . . . . . . . . . . . . . . . . $ 70.7 $ 71.4 $ 304.8  See Notes to Consolidated Financial Statements. 46 
 
 
 
Notes to Consolidated Financial Statements 1. NATURE OF OPERATIONS AND SUMMARY OF SIGNIFICANT ACCOUNTING POLICIES Lamb Weston Holdings, Inc. (“we,” “us,” “our,” the “Company,” or “Lamb Weston”) is a leading global  producer, distributor, and marketer of value-added frozen potato products and is headquartered in Eagle, Idaho. We have  two reportable segments: North America and International.  Basis of Presentation  These Consolidated Financial Statements present the financial results of Lamb Weston for the fiscal years ended  May 25, 2025, May 26, 2024, and May 28, 2023 (“fiscal 2025, 2024, and 2023”), and have been prepared in accordance  with generally accepted accounting principles (“GAAP”) in the United States of America (“U.S.”). The fiscal year of Lamb  Weston ends the last Sunday in May. The fiscal years for the Consolidated Financial Statements presented consist of 52-  week periods. The financial statements include all adjustments (consisting only of normal recurring adjustments) that we  consider necessary for a fair presentation of such financial statements. Our Consolidated Financial Statements include the  accounts of Lamb Weston and all of our majority-owned subsidiaries. Intercompany investments, accounts, and  transactions have been eliminated.  Certain amounts in the prior year period consolidated financial statements have been reclassified to conform with  the current period presentation. These reclassifications had no financial impact on previously reported net income, cash  flows, or stockholders’ equity. The equity method of accounting is applied for investments when the Company has significant influence over the  investee’s operations, or when the investee is structured with separate capital accounts and our investment is considered  more than minor. Our equity method investments are described in Note 6, Other Assets. Use of Estimates The preparation of the Consolidated Financial Statements in conformity with GAAP requires us to make certain  estimates and assumptions that affect the amounts reported in our Consolidated Financial Statements and the  accompanying notes. On an ongoing basis, we evaluate our estimates, including but not limited to those related to the  measurement of assets acquired and the liabilities assumed based on the fair value at the acquisition date, provisions for  income taxes, estimates of sales incentives and trade promotion allowances. We base our estimates on historical experience  and on various other assumptions that we believe to be reasonable under the circumstances. We adjust such estimates and  assumptions when facts and circumstances dictate. As future events and their effects cannot be determined with precision,  actual results could differ significantly from these estimates. Changes in these estimates will be reflected in the  Consolidated Financial Statements in future periods. Revenue from Contracts with Customers Generally, we recognize revenue on a point-in-time basis when the customer takes title to the product and assumes  the risks and rewards for the product. However, for customized products, which are products manufactured to customers’  unique specifications, we recognize revenue over time, utilizing an output method, which is generally as the products are  produced. This is because once a customized product is manufactured pursuant to a purchase order, we have an enforceable  right to payment for that product. Conversely, for non-customized products, revenue is generally recognized upon  shipment. As a result, the timing of the receipt of a purchase order may create quarterly fluctuations. The nature of our contracts varies based on the business, customer type, and region; however, in all instances it is  our customary business practice to receive a valid order from the customer, in which each party’s rights and related  payment terms are clearly identifiable. Our payment terms are consistent with industry standards and generally include  early pay discounts. Amounts billed and due from customers are short-term in nature and are classified as receivables, since  payments are unconditional and only the passage of time is required before payments are due. As of May 25, 2025 and  May 26, 2024, we had $132.7 million and $104.3 million, respectively, of unbilled receivables for customized products for  which we recognize revenue as performance obligations are met and record the amounts in “Receivables” on our  Consolidated Balance Sheets. We generally do not offer financing to our customers. We also do not provide a general right  of return. However, customers may seek to return defective or non-conforming products. Following a customer return, we  47 
 
 
 
may offer remedies, including cash refunds, credit towards future purchases, or product replacement. As a result,  customers’ right of return and related refund or product liabilities are estimated and recorded as reductions in revenue. We have contract terms that give rise to variable consideration including, but not limited to, discounts, coupons,  rebates, and volume-based incentives. We estimate volume rebates based on the most likely amount method outlined in the  Financial Accounting Standards Board (“FASB”) Accounting Standards Codification (“ASC”) 606, Revenue from  Contracts with Customers. We estimate early payment discounts and other customer trade incentives based principally on  historical sales and coupon utilization and redemption rates, influenced by judgments about current market conditions such  as competitive activity in specific product categories, which is consistent with the expected value method outlined in ASC  606. We have concluded that these methods result in the best estimate of the consideration we are entitled to from our  customers. Because of the complexity of some of these trade promotions, however, the ultimate resolution may result in  payments that are materially different from our estimates. As additional information becomes known, we may change our  estimates. At May 25, 2025 and May 26, 2024, we had $88.2 million and $90.0 million, respectively, of sales incentives  and trade promotions payable recorded in “Accrued liabilities” on our Consolidated Balance Sheets. We have elected to present all sales taxes on a net basis, account for shipping and handling activities as fulfillment  activities, recognize the incremental costs of obtaining a contract as expense when incurred if the amortization period of the  asset we would recognize is one year or less, and not record interest income or interest expense when the difference in  timing of control or transfer and customer payment is one year or less. Advertising and Promotion Advertising and promotion expenses totaled $35.8 million, $49.7 million, and $34.4 million in fiscal 2025, 2024,  and 2023, respectively, and are included in “Selling, general and administrative expenses” in the Consolidated Statements  of Earnings as the expenses are incurred. Research and Development  Research and development costs are expensed as incurred and totaled $22.0 million, $26.4 million, and $17.2  million in fiscal 2025, 2024, and 2023, respectively, and are included in “Selling, general and administrative expenses” in  the Consolidated Statements of Earnings. Stock-Based Compensation Compensation expense resulting from all stock-based compensation transactions is measured and recorded in the  Consolidated Financial Statements based on the grant date fair value of the equity instruments issued. Compensation  expense is recognized over the period the employee or non-employee director provides service in exchange for the award.  See Note 10, Stock-Based Compensation, for additional information. Pension and Post-Retirement Benefits In fiscal 2026, we plan to terminate our defined benefit pension plan (the “Pension Plan”), which is now frozen for  all participants. In connection with the termination, we offered participants two options to receive their benefits, a lump- sum payout or through the purchase of group annuity contracts from a highly-rated insurance company which will  irrevocably transfer the remaining balance of the Pension Plan’s obligations and related assets. As of July 16, 2025, the  Pension Plan made approximately $27 million of payments to eligible participants electing the lump-sum option. As a  result of the Pension Plan termination, we expect to record a pre-tax pension settlement charge of approximately $10  million in fiscal 2026 of which we estimate 40% and 60% to be cash and non-cash, respectively. In early fiscal 2026, we contributed $13.5 million to the plan in connection with the Pension Plan termination. In  fiscal 2025 and 2024, we made $0.6 million and $6.1 million, respectively, of contributions to our qualified plan. We also have a nonqualified defined benefit pension plan that provides unfunded supplemental retirement benefits  to certain U.S. executives. This plan is closed to new participants and pension benefit accruals are frozen for active  participants.  48 
 
 
 
U.S. employees are eligible to participate in a defined contribution savings plans with employer matching  provisions. Eligible employees participate in a contributory defined contribution plan (“the 401(k) Plan”), which permits  participants to make contributions by salary reduction pursuant to Section 401(k) of the Internal Revenue Code of 1986, as  amended. Regardless of employee participation level, we generally provide a 3% contribution to the 401(k) Plan. In  addition to this, we will generally match 100% of the first 6% of the participating employee’s contribution election to the  401(k) Plan. The Plan’s matching contributions have a five-year graded vesting with 20% vesting each year. We made  employer contributions of $41.5 million, $48.1 million, and $38.7 million in fiscal 2025, 2024, and 2023, respectively. We sponsor a non-qualified deferred compensation savings plan that permits eligible U.S. employees to continue  to make deferrals and receive company matching contributions when their contributions to the 401(k) Plan are stopped due  to limitations under U.S. tax law. In addition, we sponsor a non-qualified deferred compensation plan for non-employee  directors that allow directors to defer their cash compensation and stock awards. Both deferred compensation plans are  unfunded nonqualified defined contribution plans. Participant deferrals and company matching contributions (for the  employee deferred compensation plan only) are not invested in separate trusts, but are paid directly from our general assets  at the time benefits become due and payable. At May 25, 2025 and May 26, 2024, we had $27.0 million and $27.6 million,  respectively, of liabilities attributable to participation in our deferred compensation plans recorded on our Consolidated  Balance Sheets. Cash and Cash Equivalents  Cash and all highly liquid investments with an original maturity of three months or less at the date of acquisition  are classified as cash and cash equivalents and stated at cost, which approximates market value. We maintain various  banking relationships with high quality financial institutions, and, from time to time, we invest available cash in money  market funds that are backed by U.S. Treasury securities and can be redeemed without notice. Cash held in money market  funds are treated as cash equivalents. Trade Accounts Receivable and Allowance for Doubtful Accounts Trade accounts receivable are stated at the amount we expect to collect based on our past experience, as well as  reliance on the Perishable Agricultural Commodities Act, which was enacted to help promote fair trade in the fruit and  vegetable industry by establishing a code of fair business practices. The collectability of our accounts receivable is based  upon a combination of factors. In circumstances where a specific customer is unable to meet its financial obligations (e.g.,  bankruptcy filings, substantial downgrading of credit sources), a specific reserve for bad debts is recorded against amounts  due to the Company to reduce the net recorded receivable to the amount that we reasonably believe will be collected. For  all other customers, reserves for bad debts are recognized based on forward-looking information to assess expected credit  losses. If collection experience deteriorates, the estimate of the recoverability of amounts due could be reduced. We  periodically review our allowance for doubtful accounts and adjustments to the valuation allowance are recorded as income  or expense in “Selling, general and administrative expenses” in our Consolidated Statements of Earnings. Trade accounts  receivable balances that remain outstanding after we have used reasonable collection efforts are written off through a  charge to the valuation allowance and a credit to accounts receivable.  Inventories Inventories are valued at the lower of cost (determined using the first-in, first-out method) or net realizable value  and include all costs directly associated with manufacturing products: materials, labor, and manufacturing overhead.  Inventories are reduced to net realizable value after consideration of excess, obsolete, and unsaleable inventories based on  quantities on hand and estimated future usage and sales. The majority of our finished goods inventories are held at third- party warehouses not owned or leased by the Company. The components of inventories were as follows: (in millions) May 25, 2025 May 26, 2024 Raw materials and packaging      . . . . . . . . . . . . . . . . . . . . . . . . . . . . . . . . . . . . . . . . . $ 171.5 $ 178.7  Finished goods   . . . . . . . . . . . . . . . . . . . . . . . . . . . . . . . . . . . . . . . . . . . . . . . . . . . . .  755.7  867.9  Supplies and other   . . . . . . . . . . . . . . . . . . . . . . . . . . . . . . . . . . . . . . . . . . . . . . . . . .  108.2  92.0  Inventories     . . . . . . . . . . . . . . . . . . . . . . . . . . . . . . . . . . . . . . . . . . . . . . . . . . . . . . $ 1,035.4 $ 1,138.6  49 
 
 
 
Leased Assets Leases consist of real property and machinery and equipment. Operating lease assets and liabilities are recognized  at the commencement date of the lease based on the present value of the lease payments over the lease term. Our leases  may include options to extend or terminate. Options to extend are included in the lease term when it is reasonably certain  that we will exercise the option. Some leases have variable payments, however, because they are not based on an index or  rate, they are not included in lease assets and liabilities. Variable payments for leases of land and buildings primarily relate  to common area maintenance, insurance, taxes, and utilities. Variable payments for equipment, vehicles, and leases within  supply agreements primarily relate to usage, repairs, and maintenance. As the implicit rate is not readily determinable for  most of our leases, we use an incremental borrowing rate to determine the initial present value of lease payments over the  lease terms on a collateralized basis over a similar term, which is based on market and company specific information.  Assets and liabilities related to leases having a lease term of twelve months or less are not recorded on the balance sheet  and the related lease expense is recognized on a straight-line basis over the term of the lease. In addition, we account for  lease and non-lease components as a single lease component for all of our leases. See Note 9, Leases, for more information. Property, Plant and Equipment  Property, plant and equipment are recorded at cost. Cost includes expenditures for major improvements and  replacements and the amount of interest cost associated with significant capital additions. The amount of interest  capitalized from construction in progress was $25.9 million, $49.5 million, and $17.5 million in fiscal 2025, 2024, and  2023, respectively. Construction in progress does not include deposits made on equipment, materials, and services yet to be  received. Repairs and maintenance costs are expensed as incurred. The components of property, plant and equipment were  as follows: (in millions) May 25, 2025 May 26, 2024 Land and land improvements    . . . . . . . . . . . . . . . . . . . . . . . . . . . . . . . . . . . . . . . . . . $ 191.6 $ 186.2  Buildings, machinery and equipment  . . . . . . . . . . . . . . . . . . . . . . . . . . . . . . . . . . . .  5,136.3  4,708.8  Furniture, fixtures, office equipment and other     . . . . . . . . . . . . . . . . . . . . . . . . . . . .  161.9  127.7  Construction in progress   . . . . . . . . . . . . . . . . . . . . . . . . . . . . . . . . . . . . . . . . . . . . .  551.7  688.2  Property, plant and equipment, at cost      . . . . . . . . . . . . . . . . . . . . . . . . . . . . . . . . .  6,041.5  5,710.9  Less accumulated depreciation      . . . . . . . . . . . . . . . . . . . . . . . . . . . . . . . . . . . . . . . .  (2,353.6)  (2,128.1)  Property, plant and equipment, net  . . . . . . . . . . . . . . . . . . . . . . . . . . . . . . . . . . . . $ 3,687.9 $ 3,582.8  Depreciation is computed on a straight-line basis over the estimated useful lives of the respective classes of assets  as follows: Land improvements     . . . . . . . . . . . . . . . . . . . . . . . . . . . . . . . . . . . . . . . . . . . . . . . . . . . . . . . . . . . . . . . . . 1-30 years Buildings     . . . . . . . . . . . . . . . . . . . . . . . . . . . . . . . . . . . . . . . . . . . . . . . . . . . . . . . . . . . . . . . . . . . . . . . . . 10-40 years Machinery and equipment   . . . . . . . . . . . . . . . . . . . . . . . . . . . . . . . . . . . . . . . . . . . . . . . . . . . . . . . . . . . . 5-20 years Furniture, fixtures, office equipment, and other     . . . . . . . . . . . . . . . . . . . . . . . . . . . . . . . . . . . . . . . . . . . . 3-15 years Below is a breakout between Cost of sales (“COS”) and Selling, general and administrative expenses (“SG&A”)  for depreciation and total amortization for fiscal 2025, 2024, and 2023. For the Fiscal Years Ended May (in millions) 2025 2024 2023 Depreciation - COS     . . . . . . . . . . . . . . . . . . . . . . . . . . . . . . . . . . . . . . . . . . . . . . . . . $ 323.7 $ 266.1 $ 202.2  Depreciation - SG&A  . . . . . . . . . . . . . . . . . . . . . . . . . . . . . . . . . . . . . . . . . . . . . . . .  15.0  12.1  9.1  Depreciation - Restructuring expense (a)  . . . . . . . . . . . . . . . . . . . . . . . . . . . . . . . . .  32.8  —  —  $ 371.5 $ 278.2 $ 211.3  Amortization   . . . . . . . . . . . . . . . . . . . . . . . . . . . . . . . . . . . . . . . . . . . . . . . . . . . . . . $ 31.4 $ 19.6 $ 7.0  ___________________________________________ (a) See Note 4, Restructuring, of these Notes to Consolidated Financial Statements for additional information. 50 
 
 
 
At May 25, 2025 and May 26, 2024, purchases of property, plant and equipment included in accounts payable  were $85.4 million and $292.0 million, respectively. Long-Lived Asset Impairment We review long-lived assets for impairment upon the occurrence of events or changes in circumstances which  indicate that the carrying amount of the assets may not be fully recoverable, measured by comparing their net book value to  the undiscounted projected future cash flows generated by their use. Impaired assets are recorded at their estimated fair  value. Goodwill and Other Identifiable Intangible Assets We perform an annual impairment assessment of goodwill at the reporting unit level in the fourth quarter of each  year, or more frequently if indicators of potential impairment exist. We have an option to evaluate goodwill for impairment  by first performing a qualitative assessment of events and circumstances to determine whether it is more likely than not that  the fair value of a reporting unit is less than its carrying amount. If we determine that it is not more likely than not that the  fair value of a reporting unit is less than its carrying amounts, then a quantitative goodwill impairment test is not required  to be performed. The quantitative assessment requires us to estimate the fair value of our reporting units using a weighted  approach based on discounted future cash flows, market multiples and transaction multiples. If the carrying amount of the  reporting units is in excess of their estimated fair value, the reporting unit will record an impairment charge by the amount  that the carrying amount exceeds the reporting unit’s fair value, not to exceed the total amount of goodwill allocated to the  reporting unit.  We amortize intangible assets with finite lives over their estimated useful life. We perform a review of significant  finite-lived identified intangible assets to determine whether facts and circumstances indicate that the carrying amount may  not be recoverable. These reviews can be affected by various factors, including external factors such as industry and  economic trends, and internal factors such as changes in our business strategy and our forecasts for our products lines.  See Note 5, Goodwill and Other Identifiable Intangible Assets, for additional information. Fair Values of Financial Instruments  When determining fair value, we consider the principal or most advantageous market in which we would transact,  as well as assumptions that market participants would use when pricing the asset or liability. The three levels of inputs that  may be used to measure fair value are:  Level 1—Quoted market prices in active markets for identical assets or liabilities. We evaluate security-specific  market data when determining whether a market is active.  Level 2—Observable market-based inputs other than those included in Level 1, such as quoted prices for similar  assets and liabilities in active markets or quoted prices for identical assets or liabilities in inactive markets.  Level 3—Unobservable inputs for the asset or liability reflecting our own assumptions and best estimate of what  inputs market participants would use in pricing the asset or liability.  See Note 11, Fair Value Measurements, for additional information.  Foreign Currency  Most of our foreign subsidiaries use the local currency of their respective countries as their functional currency.  Assets and liabilities are translated at exchange rates prevailing at the balance sheet dates. Revenues and expenses are  translated into U.S. dollars using daily and monthly average exchange rates. Gains and losses resulting from the translation  of Consolidated Balance Sheets are recorded as a component of “Accumulated other comprehensive income (loss).”  Foreign currency transactions resulted in losses of $15.2 million and $28.6 million in fiscal 2025 and 2024,  respectively, and a gain of $19.7 million in fiscal 2023. Fiscal 2023 includes a $25.2 million foreign currency transaction  gain related to actions taken to mitigate the effect of changes in currency rates on the purchase price of our former  European joint venture, Lamb-Weston/Meijer v.o.f. (“LW EMEA”). These amounts were recorded in “Selling, general and  administrative expenses” in the Consolidated Statements of Earnings. 51 
 
 
 
In fiscal 2024, we began entering into blue chip swap transactions in Argentina as a way to mitigate the impact of  fluctuations in the currency rate of the Argentinian peso. We recorded gains of $21.1 million and $18.0 million in fiscal  2025 and 2024, respectively. These amounts were recorded in “Selling, general and administrative expenses” in the  Consolidated Statements of Earnings. Derivative Financial Instruments We use derivatives and other financial instruments to hedge a portion of our commodity and interest rate risks. We  do not hold or issue derivatives and other financial instruments for trading purposes. Derivative instruments are reported in  our Consolidated Balance Sheets at their fair values, unless the derivative instruments qualify for the normal purchase  normal sale exception (“NPNS”) under GAAP and such exception has been elected. If the NPNS exception is elected, the  fair values of such contracts are not recognized. Changes in commodity derivative instrument values are recognized in  “Cost of sales” in our Consolidated Statements of Earnings. We do not designate commodity derivatives to achieve hedge  accounting treatment. Income Taxes We recognize current tax liabilities and assets based on an estimate of taxes payable or refundable in the current  year for each of the jurisdictions in which we transact business. As part of the determination of our current tax liability,  management exercises judgment in evaluating positions taken in the tax returns. We recognize the effect of income tax  positions only if those positions are more likely than not of being sustained. Recognized income tax positions are measured  at the largest amount that is greater than a 50% likelihood of being realized. Changes in recognition or measurement are  reflected in the period in which the change in judgment occurs.  We also recognize deferred tax assets and liabilities for the estimated future tax effects attributable to temporary  differences (e.g., the difference in book basis versus tax basis of fixed assets resulting from differing depreciation  methods). Deferred tax assets and liabilities are measured using enacted tax rates expected to apply to taxable income in the  years in which those temporary differences are expected to be recovered or settled. Deferred tax assets and liabilities are  remeasured to reflect new tax rates in the periods rate changes are enacted. If appropriate, we recognize valuation  allowances to reduce deferred tax assets to amounts that are more likely than not to be ultimately realized, based on our  assessment of estimated future taxable income. See Note 3, Income Taxes, for more information. New and Recently Issued Accounting Pronouncements  In November 2023, the FASB issued Accounting Standards Update (“ASU”) 2023-07, Segment Reporting (Topic  280): Improvements to Reportable Segment Disclosures. ASU 2023-07 requires companies to disclose incremental  segment information on an annual and interim basis. It expands segment disclosures by requiring disclosure of significant  segment expenses that are regularly provided to the chief operating decision maker and included within each reported  measure of segment profit or loss, an amount and description of its composition for other segment items, and interim  disclosures of a reportable segment’s profit or loss and assets. We adopted this ASU in the fourth quarter of fiscal 2025 and  added disclosures in Note 13, Segments. The disclosures were applied retrospectively and impacted all prior periods  presented. In December 2023, the FASB issued ASU 2023-09, Income Taxes (Topic 740): Improvements to Income Tax  Disclosures, to enhance transparency and decision usefulness of income tax disclosures, particularly around rate  reconciliations and income taxes paid information. ASU 2023-09 is effective for our Annual Report on Form 10-K for the  fiscal year ending May 31, 2026, on a prospective basis, with early adoption permitted. We adopted this guidance as of  May 26, 2025, and will update disclosures within our fiscal 2026 Annual Report on Form 10-K. In November 2024, the FASB issued ASU 2024-03, Income Statement - Reporting Comprehensive Income -  Expense Disaggregation Disclosures (Subtopic 220-40), which requires companies to provide more detailed information of  certain income statement expenses within the footnotes to the financial statements. ASU 2024-03 is effective for our fiscal  2028 Annual Report on Form 10-K, and interim periods beginning in our fiscal 2029, on a prospective basis, with early  adoption permitted. We are evaluating the impact of adopting this ASU on our consolidated financial statements and  related disclosures.  There were no other accounting pronouncements recently issued that had or are expected to have a material  impact on our Consolidated Financial Statements. 52 
 
 
 
2. EARNINGS PER SHARE The following table sets forth the computation of basic and diluted earnings per common share for the periods  presented: For the Fiscal Years Ended May (in millions, except per share amounts) 2025 2024 2023 Numerator: Net income   . . . . . . . . . . . . . . . . . . . . . . . . . . . . . . . . . . . . . . . . . . . . . . . . . . . . . $ 357.2 $ 725.5 $ 1,008.9  Denominator: Basic weighted average common shares outstanding . . . . . . . . . . . . . . . . . . . . . 142.2 144.9 144.5 Add: Dilutive effect of employee incentive plans (a)  . . . . . . . . . . . . . . . . . . . . . 0.5 0.8 0.7 Diluted weighted average common shares outstanding       . . . . . . . . . . . . . . . . . . . 142.7 145.6 145.2 Earnings per share: Basic     . . . . . . . . . . . . . . . . . . . . . . . . . . . . . . . . . . . . . . . . . . . . . . . . . . . . . . . . . . $ 2.51 $ 5.01 $ 6.98  Diluted     . . . . . . . . . . . . . . . . . . . . . . . . . . . . . . . . . . . . . . . . . . . . . . . . . . . . . . . . $ 2.50 $ 4.98 $ 6.95  _____________________________________________________ (a) Potential dilutive shares of common stock from employee incentive plans are determined by applying the treasury stock method to  the assumed exercise of outstanding stock options and the assumed vesting of outstanding restricted stock units and performance  share awards. As of May 25, 2025, 0.8 million shares of stock-based awards were excluded from the computation of diluted  earnings per share because they would be antidilutive. As of May 26, 2024, and May 28, 2023, an insignificant number of stock- based awards were excluded from the computation of diluted earnings per share because they would be antidilutive. 3. INCOME TAXES Pre-tax income, inclusive of equity method investment earnings, consisted of the following: For the Fiscal Years Ended May (in millions) 2025 2024 2023 United States    . . . . . . . . . . . . . . . . . . . . . . . . . . . . . . . . . . . . . . . . . . . . . . . . . . . . . . $ 418.1 $ 807.8 $ 794.2  Non-U.S.      . . . . . . . . . . . . . . . . . . . . . . . . . . . . . . . . . . . . . . . . . . . . . . . . . . . . . . . . .  82.2  147.7  439.3  Total pre-tax income     . . . . . . . . . . . . . . . . . . . . . . . . . . . . . . . . . . . . . . . . . . . . . . . . $ 500.3 $ 955.5 $ 1,233.5  The provision for income taxes included the following:  For the Fiscal Years Ended May (in millions) 2025 2024 2023 Current U.S. federal     . . . . . . . . . . . . . . . . . . . . . . . . . . . . . . . . . . . . . . . . . . . . . . . . . . . . . $ 85.7 $ 140.5 $ 174.1  State and local    . . . . . . . . . . . . . . . . . . . . . . . . . . . . . . . . . . . . . . . . . . . . . . . . . . .  6.3  36.1  25.8  Non-U.S.     . . . . . . . . . . . . . . . . . . . . . . . . . . . . . . . . . . . . . . . . . . . . . . . . . . . . . . .  50.7  54.8  24.3  Total current provision for taxes       . . . . . . . . . . . . . . . . . . . . . . . . . . . . . . . . . . . .  142.7  231.4  224.2  Deferred U.S. federal     . . . . . . . . . . . . . . . . . . . . . . . . . . . . . . . . . . . . . . . . . . . . . . . . . . . . .  (1.3)  27.7  (12.6)  State and local    . . . . . . . . . . . . . . . . . . . . . . . . . . . . . . . . . . . . . . . . . . . . . . . . . . .  (0.6)  (14.6)  (0.4)  Non-U.S.     . . . . . . . . . . . . . . . . . . . . . . . . . . . . . . . . . . . . . . . . . . . . . . . . . . . . . . .  2.3  (14.5)  13.4  Total deferred provision for taxes        . . . . . . . . . . . . . . . . . . . . . . . . . . . . . . . . . . . $ 0.4 $ (1.4) $ 0.4  Total provision for taxes   . . . . . . . . . . . . . . . . . . . . . . . . . . . . . . . . . . . . . . . . . . . $ 143.1 $ 230.0 $ 224.6  53 
 
 
 
A reconciliation of income tax expense using the 21% U.S. statutory tax rate on income from operations,  including equity method earnings and before income taxes, compared with the actual provision for income taxes follows:  For the Fiscal Years Ended May (in millions) 2025 2024 2023 Provision computed at U.S. statutory rate   . . . . . . . . . . . . . . . . . . . . . . . . . . . . . . . . $ 105.1 $ 200.7 $ 259.0  Increase (decrease) in rate resulting from: State and local taxes, net of federal benefit    . . . . . . . . . . . . . . . . . . . . . . . . . . . . .  5.1  20.1  21.2  Non-U.S. operations (a)     . . . . . . . . . . . . . . . . . . . . . . . . . . . . . . . . . . . . . . . . . . . .  19.0  5.5  (11.7)  Change in valuation allowance (b)    . . . . . . . . . . . . . . . . . . . . . . . . . . . . . . . . . . . .  14.7  3.6  (0.7)  Consolidation of previously held equity interests (c)   . . . . . . . . . . . . . . . . . . . . . .  —  —  (43.1)  Other     . . . . . . . . . . . . . . . . . . . . . . . . . . . . . . . . . . . . . . . . . . . . . . . . . . . . . . . . . . .  (0.8)  0.1  (0.1)  Total income tax expense    . . . . . . . . . . . . . . . . . . . . . . . . . . . . . . . . . . . . . . . . . . . . . $ 143.1 $ 230.0 $ 224.6  Effective income tax rate (b)(d)       . . . . . . . . . . . . . . . . . . . . . . . . . . . . . . . . . . . . . . . .  28.6 %  24.1 %  18.2 % _____________________________________________________ (a) We derive the effective tax rate expense or (benefit) attributed to non-U.S. income taxed at different rates, including the impact of  permanent items. The statutory tax rates range from 8.25% to 35%. (b) The predominant change in the valuation allowance and effective income tax rate in fiscal 2025 is attributable to the establishment  of a valuation allowance against certain international deferred tax assets and international permanent differences. (c) In connection with the joint venture acquisitions, we recorded a $43.1 million rate benefit based on a $425.8 million non-cash gain  ($379.5 million after-tax) related to the remeasurement of our initial equity interests to fair value. (d) The effective income tax rate is calculated as the ratio of income tax expense to pre-tax income, inclusive of equity method  investment earnings. The effective tax rate in fiscal 2023 included the tax impact of the remeasurement of our initial 50% equity  interests in LW EMEA and our joint venture in Argentina, Lamb Weston Alimentos Modernos S.A (“LWAMSA”), and other  acquisition-related items. The fiscal 2023 tax rates were affected by mark-to-market adjustments associated with changes in natural  gas and electricity derivatives as commodity markets in Europe experienced significant volatility. Excluding these items, our  effective tax rate was 21.8% in fiscal 2023. Income Taxes Paid Income taxes paid, net of refunds, were $149.7 million, $188.8 million, and $226.5 million in fiscal 2025, 2024,  and 2023, respectively.  54 
 
 
 
Deferred Income Taxes Deferred income taxes reflect the net tax effects of temporary differences between the carrying amounts of assets  and liabilities for financial reporting purposes and the amounts for income tax purposes. Significant components of our  deferred income tax assets and liabilities were as follows:  May 25, 2025 May 26, 2024 (in millions) Assets Liabilities Assets Liabilities Property, plant and equipment    . . . . . . . . . . . . . . . . . . . . . . . . . . . . . . $ — $ 297.9 $ — $ 322.6  Goodwill and other intangible assets     . . . . . . . . . . . . . . . . . . . . . . . . .  17.1  —  17.4  —  Compensation and benefit related liabilities    . . . . . . . . . . . . . . . . . . .  26.3  —  27.8  —  Net operating loss and credit carryforwards (a)     . . . . . . . . . . . . . . . . .  34.1  —  22.9  —  Accrued expenses and other liabilities     . . . . . . . . . . . . . . . . . . . . . . . .  12.2  —  20.1  —  Inventory and inventory reserves  . . . . . . . . . . . . . . . . . . . . . . . . . . . .  8.7  —  17.7  —  Lease obligations    . . . . . . . . . . . . . . . . . . . . . . . . . . . . . . . . . . . . . . . .  28.9  —  31.4  —  Operating lease assets    . . . . . . . . . . . . . . . . . . . . . . . . . . . . . . . . . . . . .  —  26.6  —  28.9  Research and development expenditures  . . . . . . . . . . . . . . . . . . . . . .  18.4  —  21.4  —  Equity method investments      . . . . . . . . . . . . . . . . . . . . . . . . . . . . . . . .  —  5.7  —  7.1  Other    . . . . . . . . . . . . . . . . . . . . . . . . . . . . . . . . . . . . . . . . . . . . . . . . . .  9.8  12.0  11.0  6.0   155.5  342.2  169.7  364.6  Less: Valuation allowance (b)     . . . . . . . . . . . . . . . . . . . . . . . . . . . .  (65.7)  —  (53.1)  —  Net deferred taxes (c)   . . . . . . . . . . . . . . . . . . . . . . . . . . . . . . . . . $ 89.8 $ 342.2 $ 116.6 $ 364.6  _____________________________________________________ (a) At May 25, 2025, Lamb Weston had approximately $76.4 million of gross ($19.7 million after-tax) non-U.S. net operating loss  carryforwards, of which $6.0 million (after-tax) will expire by fiscal 2031. The remaining $13.7 million (after-tax) non-U.S. net  operating loss carryforwards will not expire. Lamb Weston also had a non-U.S. tax credit carryforward of $0.6 million, which will  expire by fiscal 2033, and a state business credit carryforward of $13.7 million, which will expire by fiscal 2039. (b) The valuation allowance is predominantly related to non-amortizable intangibles in the United States, with a lesser portion  attributable to valuation allowances against certain international deferred tax assets. (c) Deferred tax assets of $1.1 million and $8.2 million, as of May 25, 2025 and May 26, 2024, respectively, were presented in “Other  assets.” Deferred tax liabilities of $253.5 million and $256.2 million as of May 25, 2025 and May 26, 2024, respectively, were  presented in “Deferred income taxes” as“Long-term liabilities” on the Consolidated Balance Sheets. The deferred tax asset and  liability net position is determined by tax jurisdiction. The accounting standards allow companies to adopt an accounting policy to either recognize deferred taxes for  global intangible low-taxed income (“GILTI”) or treat such as a tax cost in the year incurred. We have elected to recognize  the tax on GILTI as a period expense in the period the tax is incurred. Under this policy, we have not provided deferred  taxes on temporary differences that upon their reversal will affect the amount of income subject to GILTI in the period. We have not established deferred income taxes on accumulated undistributed earnings and other basis differences  for operations outside the U.S., as such earnings and basis differences are indefinitely reinvested. Determining the  unrecognized deferred tax liability for these earnings is not practicable. Generally, no significant U.S. federal income taxes  will be imposed on future distributions of non-U.S. earnings under the current law. However, distributions to the U.S. or  other jurisdictions could be subject to withholding and other local taxes, and these taxes would not be material. 55 
 
 
 
Uncertain Tax Positions The aggregate changes in the gross amount of unrecognized tax benefits, excluding interest and penalties,  recorded in the accompanying Balance Sheets, consisted of the following: For the Fiscal Years Ended May (in millions) 2025 2024 2023 Beginning balance    . . . . . . . . . . . . . . . . . . . . . . . . . . . . . . . . . . . . . . . . . . . . . . . . . . $ 79.6 $ 59.6 $ 40.4  Decreases from positions established during prior fiscal years    . . . . . . . . . . . . . . . .  (1.5)  (3.6)  —  Increases from positions established during current and prior fiscal years (a)     . . . .  16.6  29.4  26.3  Decreases relating to settlements with taxing authorities    . . . . . . . . . . . . . . . . . . . .  (1.7)  (0.5)  (4.9)  Expiration of statute of limitations   . . . . . . . . . . . . . . . . . . . . . . . . . . . . . . . . . . . . . .  (10.4)  (5.3)  (2.2)  Ending balance (a)     . . . . . . . . . . . . . . . . . . . . . . . . . . . . . . . . . . . . . . . . . . . . . . . . . . $ 82.6 $ 79.6 $ 59.6  _____________________________________________________ (a) If we were to prevail on the unrecognized tax benefits recorded as of May 25, 2025 and May 26, 2024, it would result in a tax  benefit of $71.4 million and $69.0 million, respectively, and a reduction in the effective tax rate. The ending balances exclude $17.8  million and $15.3 million of gross interest and penalties in fiscal 2025 and 2024, respectively. We accrue interest and penalties  associated with uncertain tax positions as part of income tax expense. Lamb Weston conducts business and files tax returns in numerous countries, states, and local jurisdictions. We do  not have any significant open tax audits. Major jurisdictions where we conduct business generally have statutes of  limitations ranging from three to five years. Statute of limitation expirations could reduce the uncertain tax positions by  approximately $16 million during the next 12 months.  Although the timing of the resolutions and/or closures of audits is highly uncertain, it is reasonably possible that  certain U.S. federal, state, and non-U.S. tax audits may be concluded within the next 12 months. This process could  increase or decrease the balance of our gross unrecognized tax benefits. The estimated impact on income tax expense and  net income is not expected to be significant. 4. RESTRUCTURING  On October 1, 2024, we announced a restructuring plan (the “FY25 Restructuring Plan”), which was designed to  drive operational and cost efficiencies and improve cash flows. The FY25 Restructuring Plan included the permanent  closure of our manufacturing facility in Connell, Washington, the temporary curtailment of certain production lines and  schedules across our manufacturing network in North America, and reductions in employee headcount, other operating  expenses, and capital expenditures.  In fiscal 2025, we recorded $185.8 million of pre-tax charges, of the total charges, $137.1 million were cash and  $48.7 million were non-cash.  (in millions) For the year ended  May 25, 2025 Restructuring Plan expenses related to (a): Accelerated depreciation, retirement of assets, and other plant charges (b)    . . . . . . . . . . . . . . . . . . . . . $ 55.3  Potato contract terminations (c)    . . . . . . . . . . . . . . . . . . . . . . . . . . . . . . . . . . . . . . . . . . . . . . . . . . . . . . .  59.3  Inventory write-off (c)       . . . . . . . . . . . . . . . . . . . . . . . . . . . . . . . . . . . . . . . . . . . . . . . . . . . . . . . . . . . . . .  26.5  Employee-related costs (d)      . . . . . . . . . . . . . . . . . . . . . . . . . . . . . . . . . . . . . . . . . . . . . . . . . . . . . . . . . .  17.5  Other restructuring charges    . . . . . . . . . . . . . . . . . . . . . . . . . . . . . . . . . . . . . . . . . . . . . . . . . . . . . . . . . .  27.2  $ 185.8  ___________________________________________ (a) These charges were included as “unallocated corporate costs” before being reconciled in the Segment Adjusted EBITDA to Net  income table in Note 13, Segments, of these Notes to the Consolidated Financial Statements.  (b) Includes charges related to accelerating depreciation of the manufacturing facility permanently closed under the FY25 Restructuring  Plan, other asset retirements, and plant charges. (c) Includes the cost of contracted raw potatoes that will not be used due to curtailed production and the write-off of inventories,  including spare parts, related to the production curtailment under the FY25 Restructuring Plan.  (d) Includes employee severance and other one-time termination benefits related to the reduction in headcount under the FY25  Restructuring Plan. 56 
 
 
 
The following amounts related to the FY25 Restructuring Plan are included in the Company’s Consolidated  Statements of Earnings: (in millions) For the year ended  May 25, 2025 Restructuring Plan expenses included in: Cost of sales     . . . . . . . . . . . . . . . . . . . . . . . . . . . . . . . . . . . . . . . . . . . . . . . . . . . . . . . . . . . . . . . . . . . . . . $ 75.3  Restructuring expense   . . . . . . . . . . . . . . . . . . . . . . . . . . . . . . . . . . . . . . . . . . . . . . . . . . . . . . . . . . . . . . .  100.0  Equity method investment earnings     . . . . . . . . . . . . . . . . . . . . . . . . . . . . . . . . . . . . . . . . . . . . . . . . . . . .  10.5  $ 185.8  During fiscal 2025, we paid $115.6 million in FY25 Restructuring Plan expenses; accruals remaining under the  FY25 Restructuring Plan of $21.5 million are recorded as current liabilities within “Accounts payable” and “Accrued  liabilities” in the accompanying Consolidated Balance Sheet at May 25, 2025. The actions in connection with the FY25 Restructuring Plan were substantially complete by the end of fiscal 2025,  and the majority of the remaining charges that will occur in fiscal 2026 relate to facility closure, including demolition, and  employee-related costs. Any changes to these estimates or timing will be reflected in our results of operations in future  periods. 5. GOODWILL AND OTHER IDENTIFIABLE INTANGIBLE ASSETS The following table presents changes in goodwill balances, by segment, for fiscal years 2025 and 2024:  (in millions) North  America International Total Balance at May 29, 2023 (a)     . . . . . . . . . . . . . . . . . . . . . . . . . . . . . . . . . . . . . . . . . . $ 722.4 $ 318.3 $ 1,040.7  Acquisitions       . . . . . . . . . . . . . . . . . . . . . . . . . . . . . . . . . . . . . . . . . . . . . . . . . . . . . . .  —  8.5  8.5  Foreign currency translation adjustments    . . . . . . . . . . . . . . . . . . . . . . . . . . . . . . . .  6.4  4.3  10.7  Balance at May 26, 2024  . . . . . . . . . . . . . . . . . . . . . . . . . . . . . . . . . . . . . . . . . . . . . $ 728.8 $ 331.1 $ 1,059.9  Foreign currency translation adjustments    . . . . . . . . . . . . . . . . . . . . . . . . . . . . . . . .  24.4  5.9  30.3  Balance at May 25, 2025  . . . . . . . . . . . . . . . . . . . . . . . . . . . . . . . . . . . . . . . . . . . . . $ 753.2 $ 337.0 $ 1,090.2  _____________________________________________________ (a) As a result of our change in segments, effective May 29, 2023, goodwill was reassigned to the North America and International  segments based on relative fair value using a market-based approach. Before and after the reassignment of our goodwill, we  completed impairment assessments and concluded there were no indications of impairment in our segments. Please refer to Note 13,  Segments, and our Current Report on Form 8-K, which we filed with the Securities and Exchange Commission on August 24, 2023  for further information regarding our segment structure. Other identifiable intangible assets were as follows: May 25, 2025 May 26, 2024 (in millions, except useful lives) Weighted  Average  Useful Life  (in years) Gross  Carrying  Amount Accumulated  Amortization Intangible Assets, Net Weighted  Average  Useful Life  (in years) Gross  Carrying  Amount Accumulated  Amortization Intangible Assets, Net Non-amortizing intangible assets (a)    n/a $ 18.0 $ — $ 18.0 n/a $ 18.0 $ — $ 18.0  Amortizing intangible assets (b)     . . . 13  140.8  (44.8)  96.0 13  123.6  (36.7)  86.9  $ 158.8 $ (44.8) $ 114.0 $ 141.6 $ (36.7) $ 104.9  _____________________________________________________ (a) Non-amortizing intangible assets represent brands and trademarks. (b) Amortizing intangible assets are primarily comprised of licensing agreements, brands, and customer relationships. Foreign  intangible assets are affected by foreign currency translation. 57 
 
 
 
Based on current intangibles subject to amortization, we expect intangible asset amortization expense, excluding  developed technology, will be approximately $8.7 million in fiscal 2026, $8.6 million in fiscal 2027, $8.6 million in fiscal  2028, $8.5 million in fiscal 2029, and $7.7 million in fiscal 2030, and approximately $53.9 million cumulatively thereafter.  Impairment Testing During the annual goodwill impairment test we performed in the fourth quarter of fiscal 2025, we assessed  qualitative and quantitative factors to determine whether it was more likely than not that the fair value of each reporting  unit was less than its carrying value. Based on the results of the qualitative and quantitative impairment test, we determined  that it was not more likely than not that the fair value was less than the carrying value of our North America and  International reporting units. Additionally, we completed our tests of our non-amortizing intangibles in the fourth quarter  of fiscal 2025 and there was no indication of intangible asset impairment. 6. OTHER ASSETS The components of other assets were as follows: (in millions) May 25, 2025 May 26, 2024 Capitalized software costs (a)       . . . . . . . . . . . . . . . . . . . . . . . . . . . . . . . . . . . . . . . . . $ 208.7 $ 227.9  Equity method investments (b)     . . . . . . . . . . . . . . . . . . . . . . . . . . . . . . . . . . . . . . . .  47.5  59.2  Property, plant, and equipment deposits   . . . . . . . . . . . . . . . . . . . . . . . . . . . . . . . . .  30.3  52.6  Other       . . . . . . . . . . . . . . . . . . . . . . . . . . . . . . . . . . . . . . . . . . . . . . . . . . . . . . . . . . . .  68.1  56.7  Other assets     . . . . . . . . . . . . . . . . . . . . . . . . . . . . . . . . . . . . . . . . . . . . . . . . . . . . . $ 354.6 $ 396.4  _____________________________________________________ (a) Capitalized software costs are generally amortized over three to seven years once implemented. (b) Equity method investments include our 50% ownership in Lamb-Weston/RDO Frozen (“Lamb Weston RDO”), our joint venture  with RDO Frozen Co., which is included in our North America segment. Summarized financial information for our equity method investments are as follows: For the Fiscal Years Ended May (in millions) 2025 (a) 2024 (a) 2023 (b) Net sales    . . . . . . . . . . . . . . . . . . . . . . . . . . . . . . . . . . . . . . . . . . . . . . . . . . . . . . . . . . $ 336.3 $ 339.8 $ 1,122.3  Gross profit       . . . . . . . . . . . . . . . . . . . . . . . . . . . . . . . . . . . . . . . . . . . . . . . . . . . . . . .  66.7  88.1  237.0  Income from operations     . . . . . . . . . . . . . . . . . . . . . . . . . . . . . . . . . . . . . . . . . . . . . .  33.7  55.3  83.3  Net income    . . . . . . . . . . . . . . . . . . . . . . . . . . . . . . . . . . . . . . . . . . . . . . . . . . . . . . . .  30.3  51.9  70.1  (in millions) May 25, 2025 (a) May 26, 2024 (a) Current assets    . . . . . . . . . . . . . . . . . . . . . . . . . . . . . . . . . . . . . . . . . . . . . . . . . . . . . . $ 85.8 $ 124.7  Noncurrent assets     . . . . . . . . . . . . . . . . . . . . . . . . . . . . . . . . . . . . . . . . . . . . . . . . . . .  106.3  113.5  Current liabilities  . . . . . . . . . . . . . . . . . . . . . . . . . . . . . . . . . . . . . . . . . . . . . . . . . . .  50.5  64.3  Noncurrent liabilities   . . . . . . . . . . . . . . . . . . . . . . . . . . . . . . . . . . . . . . . . . . . . . . . .  46.7  55.5  ____________________________ (a) Reflects Lamb Weston RDO only (b) The fiscal 2023 financial information includes the financial results for the parts of the fiscal year when LW EMEA and LWAMSA  were being accounted for as unconsolidated joint ventures. 58 
 
 
 
We made the following sales to and purchases from our equity method investments, primarily for finished  products sold to or purchased from our joint ventures. We also provided services, such as sales and marketing services, to  our equity method investments that are recorded as a reduction to “Selling, general and administrative expenses” in our  Consolidated Statements of Earnings. We also received dividends. The following table summarizes the activity with our  equity method investments: For the Fiscal Years Ended May (in millions) 2025 2024 2023 Sales    . . . . . . . . . . . . . . . . . . . . . . . . . . . . . . . . . . . . . . . . . . . . . . . . . . . . . . . . . . . . . $ 9.4 $ 18.1 $ 22.2  Purchases    . . . . . . . . . . . . . . . . . . . . . . . . . . . . . . . . . . . . . . . . . . . . . . . . . . . . . . . . .  82.2  74.9  42.9  Services provided     . . . . . . . . . . . . . . . . . . . . . . . . . . . . . . . . . . . . . . . . . . . . . . . . . . .  21.4  22.8  18.4  Dividends received  . . . . . . . . . . . . . . . . . . . . . . . . . . . . . . . . . . . . . . . . . . . . . . . . . .  23.0  11.8  —  As of May 25, 2025 and May 26, 2024, we had receivables included in “Receivables” on our Consolidated  Balance Sheets from our equity method investments of $6.2 million and $8.2 million, respectively. 7. ACCRUED LIABILITIES The components of accrued liabilities were as follows: (in millions) May 25, 2025 May 26, 2024 Compensation and benefits     . . . . . . . . . . . . . . . . . . . . . . . . . . . . . . . . . . . . . . . . . . . $ 104.5 $ 72.8  Accrued trade promotions     . . . . . . . . . . . . . . . . . . . . . . . . . . . . . . . . . . . . . . . . . . . .  88.2  90.0  Dividends payable to shareholders      . . . . . . . . . . . . . . . . . . . . . . . . . . . . . . . . . . . . .  51.7  51.7  Taxes payable  . . . . . . . . . . . . . . . . . . . . . . . . . . . . . . . . . . . . . . . . . . . . . . . . . . . . . .  37.3  24.8  Accrued interest    . . . . . . . . . . . . . . . . . . . . . . . . . . . . . . . . . . . . . . . . . . . . . . . . . . . .  36.3  31.7  Current portion of operating lease obligations   . . . . . . . . . . . . . . . . . . . . . . . . . . . . .  23.9  29.3  Plant utilities and accruals    . . . . . . . . . . . . . . . . . . . . . . . . . . . . . . . . . . . . . . . . . . . .  23.0  23.9  Derivative liabilities and payables     . . . . . . . . . . . . . . . . . . . . . . . . . . . . . . . . . . . . . .  7.0  24.6  Other       . . . . . . . . . . . . . . . . . . . . . . . . . . . . . . . . . . . . . . . . . . . . . . . . . . . . . . . . . . . .  39.1  58.8  Accrued liabilities      . . . . . . . . . . . . . . . . . . . . . . . . . . . . . . . . . . . . . . . . . . . . . . . . $ 411.0 $ 407.6  59 
 
 
 
8. DEBT AND FINANCING OBLIGATIONS The components of our debt, including financing obligations, were as follows: (in millions) May 25, 2025 May 26, 2024 Amount Interest  Rate Amount Interest  Rate Short-term borrowings: Revolving credit facility      . . . . . . . . . . . . . . . . . . . . . . . . . . . . . . . . . . . $ 333.2  5.940 % $ 291.3  6.580 % Other credit facilities (a)     . . . . . . . . . . . . . . . . . . . . . . . . . . . . . . . . . . .  37.6 (a)  35.0 (a)  370.8  326.3  Long-term debt: Term A-1 loan facility, due June 2026 (b) (c)     . . . . . . . . . . . . . . . . . . .  —  —  228.8  7.240  Term A-3 loan facility, due January 2030 (b)  . . . . . . . . . . . . . . . . . . .  405.0  6.900  427.5  7.390  Term A-4 loan facility, due May 2029 (b)     . . . . . . . . . . . . . . . . . . . . .  312.8  6.630  325.0  6.540  Term A-5 loan facility, due September 2031 (b)   . . . . . . . . . . . . . . . . .  493.8  5.650  —  —  RMB loan facility, due February 2027     . . . . . . . . . . . . . . . . . . . . . . . .  143.8  4.040  142.2  4.450  RMB loan facility, due August 2029    . . . . . . . . . . . . . . . . . . . . . . . . . .  19.6  3.960  —  —  Euro term loan facility, due May 2029    . . . . . . . . . . . . . . . . . . . . . . . .  227.2  4.510  216.9  5.080  4.875% senior notes, due May 2028   . . . . . . . . . . . . . . . . . . . . . . . . . .  500.0  4.875  500.0  4.875  4.125% senior notes, due January 2030      . . . . . . . . . . . . . . . . . . . . . . .  970.0  4.125  970.0  4.125  4.375% senior notes, due January 2032      . . . . . . . . . . . . . . . . . . . . . . .  700.0  4.375  700.0  4.375   3,772.2  3,510.4  Financing obligations: Lease financing obligations due on various dates through 2040 (d)    . .  5.2  5.7  Total debt and financing obligations    . . . . . . . . . . . . . . . . . . . . . . . . . . .  4,148.2  3,842.4  Debt issuance costs (e)       . . . . . . . . . . . . . . . . . . . . . . . . . . . . . . . . . . . .  (16.8)  (19.0)  Short-term borrowings   . . . . . . . . . . . . . . . . . . . . . . . . . . . . . . . . . . . . .  (370.8)  (326.3)  Current portion of long-term debt and financing obligations   . . . . . . .  (77.8)  (56.4)  Long-term debt and financing obligations, excluding current  portion      . . . . . . . . . . . . . . . . . . . . . . . . . . . . . . . . . . . . . . . . . . . . . . . . $ 3,682.8 $ 3,440.7  _____________________________________________________ (a) Other credit facilities consist of short-term facilities at our subsidiaries used for working capital purposes. Borrowings under these  facilities bear interest at various rates. (b) The interest rates applicable to the Term A-1, A-3, A-4, and A-5 loans do not include anticipated patronage dividends. We have  received and expect to continue receiving patronage dividends under the outstanding term loan facilities. (c) The Term A-1 loan facility was repaid in full in connection with our entry into the Term Loan Amendment discussed below. (d) The interest rates on our lease financing obligations ranged from 2.08% to 6.19% at May 25, 2025 and May 26, 2024. For more  information on our lease financing obligations, see Note 9, Leases. (e) Excludes debt issuance costs of $3.9 million and $4.9 million as of May 25, 2025 and May 26, 2024, respectively, related to our  Revolving Credit Facility, which are recorded in “Other assets” on our Consolidated Balance Sheets. In fiscal 2025, 2024, and  2023, we recorded $4.8 million, $4.5 million, and $4.1 million, respectively, of amortization expense in “Interest expense” in our  Consolidated Statements of Earnings.  Revolving Credit Facility On May 3, 2024, we entered into an amended and restated credit agreement (the “Revolving Credit Agreement”),  which replaced our then-existing credit agreement, dated as of November 9, 2016. The Revolving Credit Agreement  modified the former revolving credit agreement for the purpose of, among other things, (i) increasing the commitments  under the Revolving Credit Facility to $1.5 billion, (ii) extending the maturity date of the Revolving Credit Facility from  August 2026 to May 2029, and (iii) establishing a new €200.0 million term loan facility maturing May 2029 (the “Euro  Term Loan Facility”). 60 
 
 
 
Borrowings under the Revolving Credit Facility bear interest at a per annum rate equal to (i) an applicable rate  described in the table below plus (ii)(a) for U.S. dollar denominated loans, Term SOFR, Adjusted Daily Simple SOFR or  the Base Rate (each as defined in the Revolving Credit Agreement), and (b) for Alternative Currency denominated loans,  the Alternative Currency Term Rate or the Alternative Currency Daily Rate (each as defined in the Revolving Credit  Agreement). Borrowings under the Euro Term Loan Facility bear interest at a per annum rate equal to (i) an applicable rate  described in the table below plus (ii) the Alternative Currency Term Rate applicable to Euro denominated loans. The  Revolving Credit Agreement contains certain covenant restrictions, a consolidated net leverage ratio and an interest  coverage ratio and customary events of default. At May 25, 2025, we had approximately $1,166.8 million of availability under the Revolving Credit Facility. Term Loan Facilities On May 3, 2024, we entered into an amended and restated credit agreement (the “Term Loan Credit Agreement”),  which replaced our then-existing credit agreement, dated as of June 28, 2019. The former term loan credit agreement  provided for, among other things, (i) a $300.0 million term loan facility due June 2026 (the “Term A-1 Loan Facility”), (ii)  a $325.0 million term loan facility due April 2025 (the “Term A-2 Loan Facility”) and (iii) a $450.0 million term loan  facility due January 2030 (the “Term A-3 Loan Facility”). The Term Loan Credit Agreement modified the former term  loan agreement for the purpose of, among other things, establishing an additional $325.0 million term loan facility due May  2029 (the “Term A-4 Loan Facility”). Borrowings under the Term A-4 Loan Facility were used in part to repay the Term  A-2 Loan Facility in full.  On September 27, 2024, we amended the Term Loan Credit Agreement (the “Term Loan Amendment”) to, among  other things, establish a new $500 million term loan facility with a maturity date of September 2031 (“Term A-5 Loan  Facility”). Borrowings under the Term A-5 Loan Facility were used to repay the Term A-1 Loan Facility in full and to pay  down borrowings under our Revolving Credit Facility. Borrowings under the Term Loan Credit Agreement bear interest,  before anticipated patronage dividends, at a per annum rate equal to (i) an applicable rate described in the table below plus  (ii) the Adjusted Term SOFR Rate, the Base Rate or, in the case of Term A-4 and Term A-5 Loan Facilities, the Fixed Rate  (each as defined in the Term Loan Credit Agreement). The Term Loan Credit Agreement contains certain covenant  restrictions, a consolidated net leverage ratio and an interest coverage ratio and customary events of default. RMB Loan Facilities On February 18, 2022, our wholly owned subsidiary, Ulanqab Lamb Weston Food Co., Ltd., entered into a facility  agreement providing for a RMB 1,079.0 million ($150.3 million based on prevailing exchange rates on May 25, 2025) term  loan facility (the “RMB Loan Facility”). The RMB Loan Facility matures on February 25, 2027. The RMB Loan Facility  contains covenants that are standard for credit facilities originated in the People’s Republic of China. Payment obligations  under the RMB Loan Facility are unconditionally guaranteed by Lamb Weston.  On August 22, 2024, Ulanqab Lamb Weston Food Co., Ltd., entered into a facility agreement providing for a  RMB 200 million ($27.9 million based on prevailing exchange rates on May 25, 2025) term loan facility (the “RMB 2024  Loan Facility”). The RMB 2024 Loan Facility matures on August 28, 2029. The RMB 2024 Loan Facility contains  covenants that are standard for credit facilities originated in the People’s Republic of China. Payment obligations under the  RMB 2024 Loan Facility are unconditionally guaranteed by Lamb Weston. 4.875% Senior Notes due 2028 In May 2020, we issued $500.0 million aggregate principal amount of 4.875% senior notes due May 15, 2028  (“2028 Notes”). Our obligations under the 2028 Notes are unconditionally guaranteed on a senior unsecured basis by the  same subsidiaries as the Revolving Credit Facility. The 2028 Notes are senior unsecured obligations and rank equally with  all of our current and future senior indebtedness (including the 2030 and 2032 Notes), rank senior to all our current and  future subordinated indebtedness and are subordinated to all of our current and future secured indebtedness (including all  borrowings with respect to the Revolving Credit Facility and Term A-3, A-4 and A-5 Loan Facilities to the extent of the  value of the assets securing such indebtedness). Upon a change of control (as defined in the indenture governing the 2028  Notes), we must offer to repurchase the 2028 Notes at 101% of the principal amount of the notes, plus accrued and unpaid  interest. 61 
 
 
 
4.125% Senior Notes due 2030 and 4.375% Senior Notes due 2032 On November 8, 2021, we issued (i) $970.0 million aggregate principal amount of 4.125% senior notes due  January 31, 2030 (“2030 Notes”) and (ii) $700.0 million aggregate principal amount of 4.375% senior notes due January  31, 2032 (“2032 Notes”) pursuant to indentures, each dated as of November 8, 2021 (together, the “Indentures”). Our  obligations under the 2030 Notes and 2032 Notes are unconditionally guaranteed on a senior unsecured basis by the same  subsidiaries as the Revolving Credit Facility. The 2030 Notes and 2032 Notes are effectively subordinated to all of our existing and future secured debt, rank  equally with all of our existing and future senior debt and rank senior to all of our existing and future subordinated debt.  The guarantees of the 2030 Notes and 2032 Notes are effectively subordinated to all of the guarantors’ existing and future  secured debt, rank equally with all of their existing and future senior debt and rank senior to all of their existing and future  subordinated debt. The 2030 Notes and 2032 Notes are structurally subordinated to all of the liabilities of our non- guarantor subsidiaries. Other Credit Facilities At May 25, 2025 and May 26, 2024, two of our subsidiaries had $50.1 million and $58.3 million, respectively, of  availability under their respective line of credit facilities with financial institutions, with borrowings outstanding of $37.6  million and $35.0 million, respectively. We guarantee the full amount of one of our subsidiaries’ obligations to the  financial institutions up to the maximum amount of borrowings under the credit facility. Variable Rate Interest Additional information regarding our variable rate debt modifiers is shown below: Fixed Rate Loans Reference Rate-Based  Loans Base Rate-Based  Loans Revolving credit facility (a)   . . . . . . . . . . . . . . . . . . . . . . . . . N/A 1.125 - 1.750% 0.125 - 0.750% Term A-1 loan facility (b)      . . . . . . . . . . . . . . . . . . . . . . . . . . N/A 1.850 - 2.600% 0.850 - 1.600% Term A-3 loan facility   . . . . . . . . . . . . . . . . . . . . . . . . . . . . . N/A 2.000 - 2.750% 1.000 - 1.750% Term A-4 loan facility (c)   . . . . . . . . . . . . . . . . . . . . . . . . . . 1.850 - 2.850% 1.850 - 2.850% 0.850 - 1.850% Term A-5 loan facility (d)      . . . . . . . . . . . . . . . . . . . . . . . . . . 1.850 - 2.850% 1.850 - 2.850% 0.850 - 1.850% _____________________________________________________ (a) Borrowings under the Revolving Credit Facility have the same margin whether loans are denominated in U.S. dollars or non-U.S.  currencies. (b) The Term A-1 Loan Facility was repaid in full in connection with our entry into the Term Loan Amendment. (c) The Term A-4 Loan Facility is considered fixed-rate debt. Under the terms of the facility, on May 1, 2028, we may make an  election to treat the remaining year of the term loan as a fixed or variable rate loan. The election can be made for a period that is less  than twelve months, which would then initiate a separate election at the end of the period. (d) The Term A-5 Loan Facility is considered fixed-rate debt. Under the terms of the facility, on October 1, 2026, we may make an  election to treat the term loan as a fixed or variable rate loan. The election can be made for a period that is less than the remainder of  the term loan, which would then initiate a separate election at the end of the period. Reference Rate-Based Loans PRC Prime Rate-Based Loans RMB loan facility, due February 2027      . . . . . . . . . . . . . . . . N/A Prime + 0.300% RMB loan facility, due August 2029      . . . . . . . . . . . . . . . . . . N/A Prime + 0.300% Euro term loan facility, due May 2029      . . . . . . . . . . . . . . . . 1.125 - 1.750% N/A 62 
 
 
 
Debt Maturities The aggregate minimum principal maturities of our long-term debt, including current portion of long-term debt,  for the next five fiscal years and thereafter, are as follows: (in millions) Debt (a) 2026      . . . . . . . . . . . . . . . . . . . . . . . . . . . . . . . . . . . . . . . . . . . . . . . . . . . . . . . . . . . . . . . . . . . . . . . . . . . . . $ 76.5  2027      . . . . . . . . . . . . . . . . . . . . . . . . . . . . . . . . . . . . . . . . . . . . . . . . . . . . . . . . . . . . . . . . . . . . . . . . . . . . .  195.8  2028      . . . . . . . . . . . . . . . . . . . . . . . . . . . . . . . . . . . . . . . . . . . . . . . . . . . . . . . . . . . . . . . . . . . . . . . . . . . . .  565.2  2029      . . . . . . . . . . . . . . . . . . . . . . . . . . . . . . . . . . . . . . . . . . . . . . . . . . . . . . . . . . . . . . . . . . . . . . . . . . . . .  540.7  2030      . . . . . . . . . . . . . . . . . . . . . . . . . . . . . . . . . . . . . . . . . . . . . . . . . . . . . . . . . . . . . . . . . . . . . . . . . . . . .  1,325.3  Thereafter    . . . . . . . . . . . . . . . . . . . . . . . . . . . . . . . . . . . . . . . . . . . . . . . . . . . . . . . . . . . . . . . . . . . . . . . . .  1,068.7  $ 3,772.2  _____________________________________________________ (a) See Note 9, Leases, for maturities of our lease financing obligations. Other During fiscal 2025, 2024, and 2023, we paid $210.7 million, $191.3 million, and $151.8 million, respectively, of  interest on debt.  9. LEASES We lease various real estate, including certain operating facilities, warehouses, office space, and land. We also  lease material handling equipment, vehicles, and certain other equipment. Our leases have remaining lease terms of one to  15 years.  The components of total lease costs, net, consisted of the following:  For the Fiscal Year Ended May (a) (in millions) 2025 2024 2023 Operating lease costs     . . . . . . . . . . . . . . . . . . . . . . . . . . . . . . . . . . . . . . . . . . . . . . . . $ 36.2 $ 38.5 $ 35.8  Short-term and variable lease costs    . . . . . . . . . . . . . . . . . . . . . . . . . . . . . . . . . . . . .  13.5  15.6  10.4  Sublease income  . . . . . . . . . . . . . . . . . . . . . . . . . . . . . . . . . . . . . . . . . . . . . . . . . . . .  (4.3)  (4.7)  (5.0)  Finance lease costs: Amortization of lease assets     . . . . . . . . . . . . . . . . . . . . . . . . . . . . . . . . . . . . . . . . .  1.3  1.4  1.0  Interest on lease obligations     . . . . . . . . . . . . . . . . . . . . . . . . . . . . . . . . . . . . . . . . .  0.3  0.3  0.2  Total lease costs, net      . . . . . . . . . . . . . . . . . . . . . . . . . . . . . . . . . . . . . . . . . . . . $ 47.0 $ 51.1 $ 42.4  _____________________________________________________ (a) Supply-chain-related lease costs are included in “Cost of sales,” and the remainder is recorded in “Selling, general and  administrative expenses,” in our Consolidated Statements of Earnings. Interest on finance lease obligations is included in “Interest  expense, net,” in our Consolidated Statements of Earnings. 63 
 
 
 
Operating and finance leases, with initial terms greater than one year, were as follows: (in millions, except for lease term and discount rate amounts) Classification May 25, 2025 May 26, 2024 Assets: Operating lease assets    . . . . . . . . . . . . . . . . . . . . . . . . Operating lease assets $ 113.2 $ 133.0  Finance lease assets      . . . . . . . . . . . . . . . . . . . . . . . . . . Property, plant and equipment, net (a)  2.7  3.9  Total leased assets     . . . . . . . . . . . . . . . . . . . . . . . . . .    . . . . . . . . . . . . . . . . . . . . . . . . . . . . . . . . $ 115.9 $ 136.9  Liabilities: Lease obligations due within one year: Operating lease obligations    . . . . . . . . . . . . . . . . . . . . Accrued liabilities $ 23.9 $ 29.3  Finance lease obligations       . . . . . . . . . . . . . . . . . . . . . . Current portion of long-term debt and  financing obligations  1.3  1.5  Long-term lease obligations: Operating lease obligations    . . . . . . . . . . . . . . . . . . . . Other noncurrent liabilities  98.9  115.4  Finance lease obligations       . . . . . . . . . . . . . . . . . . . . . . Long-term debt and financing  obligations, excluding current portion  3.9  4.2  Total lease obligations    . . . . . . . . . . . . . . . . . . . . . . .    . . . . . . . . . . . . . . . . . . . . . . . . . . . . . . . . $ 128.0 $ 150.4  Weighted-average remaining lease term - finance  leases    . . . . . . . . . . . . . . . . . . . . . . . . . . . . . . . . . . . . .    . . . . . . . . . . . . . . . . . . . . . . . . . . . . . . . . 10.5 years 11.0 years Weighted-average remaining lease term - operating  leases    . . . . . . . . . . . . . . . . . . . . . . . . . . . . . . . . . . . . .    . . . . . . . . . . . . . . . . . . . . . . . . . . . . . . . . 6.0 years 6.7 years Weighted-average discount rate - finance leases     . . . .    . . . . . . . . . . . . . . . . . . . . . . . . . . . . . . . .  3.6 %  3.7 % Weighted-average discount rate - operating leases    . .    . . . . . . . . . . . . . . . . . . . . . . . . . . . . . . . .  5.4 %  5.6 % _____________________________________________________ (a) Finance leases are net of accumulated amortization of $9.5 million and $8.2 million at May 25, 2025 and May 26, 2024,  respectively. The maturities of our lease obligations for operating and finance leases at May 25, 2025 for the next five fiscal  years and thereafter are as follows: (in millions) Operating Leases Finance Leases Total 2026   . . . . . . . . . . . . . . . . . . . . . . . . . . . . . . . . . . . . . . . . . . . . . . . . . . . . . . . . . . . . . $ 27.4 $ 1.4 $ 28.8  2027   . . . . . . . . . . . . . . . . . . . . . . . . . . . . . . . . . . . . . . . . . . . . . . . . . . . . . . . . . . . . .  25.0  0.9  25.9  2028   . . . . . . . . . . . . . . . . . . . . . . . . . . . . . . . . . . . . . . . . . . . . . . . . . . . . . . . . . . . . .  23.8  0.3  24.1  2029   . . . . . . . . . . . . . . . . . . . . . . . . . . . . . . . . . . . . . . . . . . . . . . . . . . . . . . . . . . . . .  20.7  0.3  21.0  2030   . . . . . . . . . . . . . . . . . . . . . . . . . . . . . . . . . . . . . . . . . . . . . . . . . . . . . . . . . . . . .  19.0  0.3  19.3  Thereafter    . . . . . . . . . . . . . . . . . . . . . . . . . . . . . . . . . . . . . . . . . . . . . . . . . . . . . . . . .  28.3  3.1  31.4  Total lease payments     . . . . . . . . . . . . . . . . . . . . . . . . . . . . . . . . . . . . . . . . . . . . . .  144.2  6.3  150.5  Less: Interest     . . . . . . . . . . . . . . . . . . . . . . . . . . . . . . . . . . . . . . . . . . . . . . . . . . . . . .  (21.4)  (1.1)  (22.5)  Present value of lease obligations     . . . . . . . . . . . . . . . . . . . . . . . . . . . . . . . . . . . . $ 122.8 $ 5.2 $ 128.0  64 
 
 
 
Supplemental cash flow information related to leases was as follows: For the Fiscal Years Ended May (in millions) 2025 2024 2023 Cash paid for amounts included in the measurement of lease obligations: Operating cash flows for operating leases   . . . . . . . . . . . . . . . . . . . . . . . . . . . . . . $ 27.5 $ 29.8 $ 26.2  Financing cash flows for finance leases    . . . . . . . . . . . . . . . . . . . . . . . . . . . . . . . .  0.4  0.5  0.5  Non-cash investing and financing activities: Operating lease assets obtained in exchange for lease liabilities    . . . . . . . . . . . . .  1.0  7.6  49.7  Operating lease assets reduced for reductions to lease liabilities   . . . . . . . . . . . . .  (1.1)  (0.6)  (5.1)  Finance lease assets obtained in exchange for lease liabilities      . . . . . . . . . . . . . .  0.5  0.4  0.5  10. STOCK-BASED COMPENSATION The Compensation and Human Capital Committee (the “Committee”) of our Board of Directors (the “Board”)  administers our stock compensation plan (“Stock Plan”). The Committee, in its discretion, authorizes grants of restricted  stock units (“RSUs”), performance share awards payable upon the attainment of specified performance goals  (“Performance Shares”), dividend equivalents, and other stock-based awards. At May 25, 2025, we had 10.0 million shares  authorized for issuance under the Stock Plan, and 5.5 million were available for future grants.  RSUs and Performance Shares We grant RSUs to eligible employees and non-employee directors. The employee RSUs generally vest over a  three-year period following the grant date, while the non-employee director RSUs generally vest one year after the grant  date. We estimate the fair value of the RSUs based upon the market price of our common stock on the date of grant.  Compensation expense is recognized over the period the employee or non-employee director provides service in exchange  for the award. Performance Shares are granted to certain executives and other key employees with vesting contingent upon  meeting various Company-wide performance goals. Awards actually earned range from 0% to 200% of the targeted  number of Performance Shares for each of the performance periods. Awards, if earned, will be paid in shares of our  common stock. Subject to limited exceptions set forth in the Stock Plan, any shares earned will generally vest over a three- year period following the grant date. The value of these Performance Shares is adjusted based upon the market price of our  common stock and the anticipated attainment of Company-wide performance goals at the end of each reporting period and  amortized as compensation expense over the service period. We have also granted Performance Shares with vesting contingent upon relative total shareholder return goals,  and, under special circumstances, stock price growth goals. Awards actually earned range from —% to 200%, in the case  of awards contingent on total shareholder return goals, or —% to 300%, in the case of awards contingent on stock price  growth goals, of the targeted number of Performance Shares. These Performance Shares are equity-settled awards that vest  over a three-year service period following the grant date, and the number of units that actually vest is determined based on  the achievement of the performance criteria set forth in the respective award agreement. The awards are measured based on  estimated fair value as of the date of grant determined using a Monte Carlo simulation, and are amortized over the service  period. The weighted average Monte Carlo assumptions for Performance Shares granted during the fiscal year ended  May 25, 2025 were: Assumptions Expected volatility of stock (%)     . . . . . . . . . . . . . . . . . . . . . . . . . . . . . . . . . . . . . . . . . . . . . . . . . . . . . . . . 36.1% - 36.6% Risk-free interest rate (%)   . . . . . . . . . . . . . . . . . . . . . . . . . . . . . . . . . . . . . . . . . . . . . . . . . . . . . . . . . . . . . 3.77% - 4.16% Expected life (years)    . . . . . . . . . . . . . . . . . . . . . . . . . . . . . . . . . . . . . . . . . . . . . . . . . . . . . . . . . . . . . . . . . 2.80 - 2.84 Weighted average grant date fair value per unit     . . . . . . . . . . . . . . . . . . . . . . . . . . . . . . . . . . . . . . . . . . . . $56.71 - $58.31 65 
 
 
 
The following table summarizes RSU and Performance Shares activity for fiscal 2025:  RSUs Performance Shares Shares Weighted- Average  Grant- Date Fair  Value Shares Weighted- Average  Grant- Date Fair  Value Outstanding at May 26, 2024      . . . . . . . . . . . . . . . . . . . . . . . . . . . . . . . 974,691 $ 80.55 441,062 $ 89.61  Granted (a)   . . . . . . . . . . . . . . . . . . . . . . . . . . . . . . . . . . . . . . . . . . . 640,481  58.16 221,953  54.56  Performance condition adjustment      . . . . . . . . . . . . . . . . . . . . . . . . 0  — (20,002)  67.38  Vested (b)     . . . . . . . . . . . . . . . . . . . . . . . . . . . . . . . . . . . . . . . . . . . (538,997)  78.34 (73,254)  69.02  Forfeited/expired/cancelled   . . . . . . . . . . . . . . . . . . . . . . . . . . . . . . (173,941)  70.79 (55,537)  72.44  Outstanding at May 25, 2025      . . . . . . . . . . . . . . . . . . . . . . . . . . . . . . . 902,234 $ 67.86 514,222 $ 80.13  _____________________________________________________ (a) Granted represents new grants and dividend equivalents accrued. Dividend equivalents are only paid on RSUs and Performance  Shares that ultimately vest. (b) The aggregate fair value of awards that vested in fiscal 2025, 2024, and 2023 was $37.7 million, $44.3 million, and $20.8 million,  respectively, which represents the market value of our common stock on the date that the RSUs and Performance Shares vested.  The number of RSUs and Performance Shares vested includes shares of common stock that we withheld on behalf of employees to  satisfy the minimum statutory tax withholding requirements. RSUs that are expected to vest are net of estimated future forfeitures. Stock Options Under some circumstances, we have granted options to employees and non-employee directors to purchase shares  of our common stock at exercise prices equal to the fair market value of the underlying common stock on the grant date.  Options granted to employees generally become exercisable in three annual installments beginning on the first anniversary  of the grant date and have a maximum term of seven years. Options granted to non-employee directors generally vest one  year after the grant date and have a term of ten years. During the fiscal year ended May 25, 2025, we granted an immaterial  amount of stock options. The following table summarizes stock option activity for fiscal 2025:  Shares Weighted- Average  Exercise Price (per share) Weighted- Average  Remaining Contractual Term  (Years) Aggregate Intrinsic Value (in millions)  (a) Outstanding at May 26, 2024       . . . . . . . . . . . . . . . . . . . . . . . . . . . . . . . 666,604 $ 69.90 6.9 $ 12.9  Granted   . . . . . . . . . . . . . . . . . . . . . . . . . . . . . . . . . . . . . . . . . . . . . . . 6,356  68.85  Exercised     . . . . . . . . . . . . . . . . . . . . . . . . . . . . . . . . . . . . . . . . . . . . . (2,953)  29.63  Forfeited/cancelled    . . . . . . . . . . . . . . . . . . . . . . . . . . . . . . . . . . . . . . (23,525)  79.66  Outstanding at May 25, 2025       . . . . . . . . . . . . . . . . . . . . . . . . . . . . . . . 646,482 $ 69.72 5.9 $ 2.4  Exercisable at May 25, 2025     . . . . . . . . . . . . . . . . . . . . . . . . . . . . . . . . 570,006 $ 68.25 5.7 $ 2.4  _____________________________________________________ (a) The aggregate intrinsic values represent the total pre-tax intrinsic value (the difference between our closing stock price on the last  trading day of our fiscal 2025, or $50.56 as of May 23, 2025, and the exercise price, multiplied by the number of in-the-money  options) that would have been received by the option holders had all option holders exercised their in-the-money options at the end  of the fiscal year. The amount changes based on the fair market value of our common stock.  66 
 
 
 
Compensation Expense Our stock-based compensation expense is recorded in “Selling, general and administrative expenses.”  Compensation expense for stock-based awards recognized in the Consolidated Statements of Earnings, net of forfeitures,  was as follows: For the Fiscal Years Ended May (in millions) 2025 2024 2023 Stock-settled RSUs      . . . . . . . . . . . . . . . . . . . . . . . . . . . . . . . . . . . . . . . . . . . . . . . . . $ 28.9 $ 27.3 $ 20.1  Performance Shares  . . . . . . . . . . . . . . . . . . . . . . . . . . . . . . . . . . . . . . . . . . . . . . . . .  6.2  14.9  14.2  Stock options    . . . . . . . . . . . . . . . . . . . . . . . . . . . . . . . . . . . . . . . . . . . . . . . . . . . . . .  4.4  4.6  4.2  Stock-settled compensation expense   . . . . . . . . . . . . . . . . . . . . . . . . . . . . . . . . . . . .  39.5  46.8  38.5  Income tax benefit (a)     . . . . . . . . . . . . . . . . . . . . . . . . . . . . . . . . . . . . . . . . . . . . . . .  (6.0)  (7.5)  (7.1)  Total compensation expense, net of tax benefit       . . . . . . . . . . . . . . . . . . . . . . . . . $ 33.5 $ 39.3 $ 31.4  _____________________________________________________ (a) Income tax benefit represents the marginal tax rate, excluding non-deductible compensation. Based on estimates at May 25, 2025, total unrecognized compensation expense related to stock-based awards was  as follows: (in millions, except data in years) Unrecognized Compensation Expense Remaining Weighted Average  Recognition Period (in years) Stock-settled RSUs      . . . . . . . . . . . . . . . . . . . . . . . . . . . . . . . . . . . . . . . . . . . . . . . . . $ 33.0 1.7 Performance Shares  . . . . . . . . . . . . . . . . . . . . . . . . . . . . . . . . . . . . . . . . . . . . . . . . .  8.6 1.7 Stock options    . . . . . . . . . . . . . . . . . . . . . . . . . . . . . . . . . . . . . . . . . . . . . . . . . . . . . .  0.4 0.2 Total unrecognized compensation expense    . . . . . . . . . . . . . . . . . . . . . . . . . . . . $ 42.0  11.  FAIR VALUE MEASUREMENTS The following table presents our financial assets and liabilities measured at fair value on a recurring basis based  upon the level within the fair value hierarchy in which the fair value measurements fall:  As of May 25, 2025 (in millions) Level 1 Level 2 Level 3 Fair Value of Assets (Liabilities) Pension plan assets      . . . . . . . . . . . . . . . . . . . . . . . . . . . . . . . . . . . . . . . $ 23.4 $ — $ — $ 23.4  Derivative assets (a)     . . . . . . . . . . . . . . . . . . . . . . . . . . . . . . . . . . . . . .  —  10.2  —  10.2  Derivative liabilities (a)   . . . . . . . . . . . . . . . . . . . . . . . . . . . . . . . . . . .  —  (7.0)  —  (7.0)  Deferred compensation liabilities (b)   . . . . . . . . . . . . . . . . . . . . . . . . .  —  (27.0)  —  (27.0)  Fair value, net    . . . . . . . . . . . . . . . . . . . . . . . . . . . . . . . . . . . . . . . . . $ 23.4 $ (23.8) $ — $ (0.4)  67 
 
 
 
As of May 26, 2024 (in millions) Level 1 Level 2 Level 3 Fair Value of Assets (Liabilities) Pension plan assets      . . . . . . . . . . . . . . . . . . . . . . . . . . . . . . . . . . . . . . . $ 22.9 $ 0.1 $ — $ 23.0  Derivative assets (a)     . . . . . . . . . . . . . . . . . . . . . . . . . . . . . . . . . . . . . .  —  1.4  —  1.4  Derivative liabilities (a)   . . . . . . . . . . . . . . . . . . . . . . . . . . . . . . . . . . .  —  (21.7)  —  (21.7)  Deferred compensation liabilities (b)   . . . . . . . . . . . . . . . . . . . . . . . . .  —  (27.6)  —  (27.6)  Fair value, net    . . . . . . . . . . . . . . . . . . . . . . . . . . . . . . . . . . . . . . . . . $ 22.9 $ (47.8) $ — $ (24.9)  _____________________________________________________ (a) Derivative assets and liabilities included in Level 2 primarily represent commodity swaps, option contracts, and currency contracts.  The fair values of our Level 2 derivative assets were determined using valuation models that use market observable inputs including  both forward and spot prices for commodities and foreign currencies. Derivative assets are presented within “Prepaid expenses and  other current assets” on our Consolidated Balance Sheets and derivative liabilities are presented within “Accrued liabilities” on our  Consolidated Balance Sheets. (b) The fair values of our Level 2 deferred compensation liabilities were valued using third-party valuations, which are based on the net  asset values of mutual funds in our retirement plans. While the underlying assets are actively traded on an exchange, the funds are  not. Deferred compensation liabilities are primarily presented within “Other noncurrent liabilities” on our Consolidated Balance  Sheets. The fair values of cash equivalents, receivables, accounts payable and short-term debt approximate their carrying  amounts due to their short duration. Non-financial assets such as property, plant and equipment, and intangible assets are recorded at fair value only if  an impairment is recognized. Cost and equity investments are measured at fair value on a non-recurring basis.  At May 25, 2025, we had $2,976.6 million of fixed-rate and $1,166.4 million of variable-rate debt outstanding.  Based on current market rates, the fair value of our fixed-rate debt at May 25, 2025 was estimated to be $2,848 million.  Any differences between the book value and fair value are due to the difference between the period-end market interest rate  and the stated rate of our fixed-rate debt. We estimated the fair value of our fixed-rate debt using quoted market prices  (Level 2 inputs) within the fair value hierarchy that is described above with an exception being the Term A-4 and Term  A-5 Loan Facility, which is quoted at face value (Level 1 inputs). The fair value of our variable-rate term debt  approximates the carrying amount as our cost of borrowing is variable and approximates current market prices. 12. STOCKHOLDERS’ EQUITY  Our certificate of incorporation authorizes 600,000,000 shares of common stock and 60,000,000 shares of  preferred stock. We had 139,237,760 and 143,666,656 shares of common stock issued and outstanding as of May 25, 2025  and May 26, 2024, respectively. Each share of common stock entitles the holder to one vote on matters to be voted on by  our stockholders. No preferred stock was issued or outstanding as of May 25, 2025 and May 26, 2024.  Share Repurchase Program On December 19, 2024, we announced that our Board increased our share repurchase authorization $250 million  to an aggregate amount of $750 million. The program has no expiration date. During fiscal 2025, we purchased an  aggregate of 4,867,449 shares for $282.0 million, or a weighted-average price of $57.94 per share. As of May 25, 2025,  approximately $358 million remained authorized for share repurchases under the program.  Dividends During fiscal 2025, 2024, and 2023, we paid $206.9 million, $174.0 million, and $146.1 million, respectively, of  cash dividends to common stockholders. On May 30, 2025, we paid $51.7 million of dividends to stockholders of record as  of the close of business on May 2, 2025. On July 15, 2025, our Board declared a cash dividend of $0.37 per share of  common stock. This dividend will be paid on August 29, 2025, to stockholders of record as of the close of business on  August 1, 2025. 68 
 
 
 
Accumulated Other Comprehensive Income (Loss) (“AOCI”)  Comprehensive income includes net income, currency translation adjustments, and changes in prior service cost  and net actuarial gains (losses) from pension and post-retirement benefit plans. We generally deem our foreign investments  to be indefinite in nature and we do not provide for taxes on currency translation adjustments arising from converting the  investment denominated in a foreign currency to the U.S. dollar. If we determine that a foreign investment, as well as  undistributed earnings, are no longer indefinite in nature, estimated taxes are provided for the related deferred tax liability  (asset), if any, resulting from currency translation adjustments.  Changes in AOCI, net of tax, as of May 25, 2025, were as follows: (in millions) Foreign Currency  Translation  Losses Pension and  Post-Retirement Benefits Other Accumulated Other Comprehensive Income (Loss) Balance as of May 26, 2024   . . . . . . . . . . . . . . . . . . . . . . . . $ (8.2) $ (5.3) $ 0.6 $ (12.9)  Other comprehensive income (loss) before  reclassifications, net of tax    . . . . . . . . . . . . . . . . . . . . . . .  67.1  0.7  (0.4)  67.4  Net current-period other comprehensive income (loss)     .  67.1  0.7  (0.4)  67.4  Balance as of May 25, 2025   . . . . . . . . . . . . . . . . . . . . . . . . $ 58.9 $ (4.6) $ 0.2 $ 54.5  13. SEGMENTS We manage operations in two business segments, North America and International. As a result of how we manage  the business, we have two operating segments, each of which is a reportable segment: North America and International.  North America includes activity that occurs in the United States, Canada, and Mexico. International includes all activity  that does not occur within the North America segment. Both segments primarily manufacture frozen potato products for  sale to our customers. These reportable segments are each managed by a general manager and supported by a cross  functional team assigned to support the segment. Our president and chief executive officer is our chief operating decision maker (the “CODM”). The CODM  assesses the performance of our reportable segments and decides how to allocate resources based on segment adjusted  earnings before interest, taxes, depreciation, and amortization (“EBITDA”). The adjustments to EBITDA include  unrealized mark-to-market derivative gains and losses (which are a component of both cost of sales and selling, general and  administrative expenses), foreign currency exchange gains and losses (which are a component of selling, general and  administrative expenses), blue chip swap transaction gains (which are a component of selling, general and administrative  expenses), and other items impacting comparability (which are a component of both cost of sales and selling, general and  administrative expenses) that are described below (“Segment Adjusted EBITDA”).  Segment Adjusted EBITDA, along with volume and net sales, informs operating decisions, performance  assessment, and resource allocation decisions at the segment level. Our CODM uses volume, net sales, and Segment  Adjusted EBITDA in the annual operating plan and forecasting process and considers actual versus plan variances in  assessing the performance of each segment. Total asset information by segment is not regularly provided to our CODM or  utilized for purposes of assessing performance or allocating resources by segment and, as a result, such information has not  been presented below. 69 
 
 
 
The following tables illustrate reportable segment net sales and Segment Adjusted EBITDA for fiscal years 2025,  2024, and 2023. The tables also reconcile these amounts to net income for each fiscal year. For the Fiscal Year Ended May 25, 2025 (in millions) North  America International Total Net sales       . . . . . . . . . . . . . . . . . . . . . . . . . . . . . . . . . . . . . . . . . . . . . . . . . . . . . . . . . . . . . . . . . $ 4,265.2 $ 2,186.1 $ 6,451.3  Less: Other segment items (a)   . . . . . . . . . . . . . . . . . . . . . . . . . . . . . . . . . . . . . . . . . . . . . . . .  3,163.8  1,932.4  5,096.2  Segment Adjusted EBITDA (b)    . . . . . . . . . . . . . . . . . . . . . . . . . . . . . . . . . . . . . . . . . . . . . . . $ 1,101.4 $ 253.7 $ 1,355.1  Unallocated corporate costs (c)      . . . . . . . . . . . . . . . . . . . . . . . . . . . . . . . . . . . . . . . . . . . . . . .     . . . . . . . .     . . . . . . . .  (134.6)  Depreciation and amortization (d)    . . . . . . . . . . . . . . . . . . . . . . . . . . . . . . . . . . . . . . . . . . . . .     . . . . . . . .     . . . . . . . .  378.2  Unrealized derivative gains   . . . . . . . . . . . . . . . . . . . . . . . . . . . . . . . . . . . . . . . . . . . . . . . . . .     . . . . . . . .     . . . . . . . .  (23.1)  Foreign currency exchange losses     . . . . . . . . . . . . . . . . . . . . . . . . . . . . . . . . . . . . . . . . . . . . .     . . . . . . . .     . . . . . . . .  15.2  Blue chip swap gains (e) . . . . . . . . . . . . . . . . . . . . . . . . . . . . . . . . . . . . . . . . . . . . . . . . . . . . .     . . . . . . . .     . . . . . . . .  (21.1)  Items impacting comparability: Restructuring Plan and other expenses (f)     . . . . . . . . . . . . . . . . . . . . . . . . . . . . . . . . . . . . .     . . . . . . . .     . . . . . . . .  185.8  Shareholder activism expense (g)       . . . . . . . . . . . . . . . . . . . . . . . . . . . . . . . . . . . . . . . . . . .     . . . . . . . .     . . . . . . . .  5.2  Interest expense, net      . . . . . . . . . . . . . . . . . . . . . . . . . . . . . . . . . . . . . . . . . . . . . . . . . . . . . . . .     . . . . . . . .     . . . . . . . .  180.0  Income before income taxes     . . . . . . . . . . . . . . . . . . . . . . . . . . . . . . . . . . . . . . . . . . . . . . . . . .     . . . . . . . .     . . . . . . . .  500.3  Income tax expense       . . . . . . . . . . . . . . . . . . . . . . . . . . . . . . . . . . . . . . . . . . . . . . . . . . . . . . . .     . . . . . . . .     . . . . . . . .  143.1  Net income       . . . . . . . . . . . . . . . . . . . . . . . . . . . . . . . . . . . . . . . . . . . . . . . . . . . . . . . . . . . . . . .     . . . . . . . .     . . . . . . . . $ 357.2  _____________________________________________________ (a) Other segment items include cost of sales, selling, general, and administrative expenses, and equity method investment income or  loss for each segment.  (b) Segment Adjusted EBITDA for fiscal 2025 included the following: i. Net income associated with our equity method investments. Refer to Note 6, “Other Assets,” in these Notes to  Consolidated Financial Statements of this Form 10-K. ii. An estimated $31 million loss related to the voluntary product withdrawal that was initiated in the fourth quarter of fiscal  2024. The total charge to reporting segments was approximately $19 million to the North America segment and  approximately $12 million to the International segment. (c) Unallocated corporate costs include costs related to corporate support staff and support services, which include, but are not limited  to, our administrative, information technology, human resources, finance, and accounting functions that are not specifically  allocated to the segments. In the table, unallocated costs exclude unrealized mark-to-market derivative gains and losses, foreign  currency exchange gains and losses, gains from blue chip swap transactions in Argentina, and items impacting comparability. These  items are added back to reconcile Segment Adjusted EBITDA to Net income. (d) Depreciation and amortization includes interest expense, income tax expense, and depreciation and amortization from equity  method investments of $8.2 million for the fiscal year ended May 25, 2025. (e) We enter into blue chip swap transactions to transfer U.S. dollars into Argentina primarily related to funding some of our capacity  expansion in Argentina. The blue chip swap rate can diverge significantly from Argentina’s official exchange rate. (f) Restructuring plan and other expenses relate to the FY25 Restructuring Plan and includes $32.8 million of accelerated depreciation  related to the closure of our manufacturing facility in Connell, Washington . See Note 4, Restructuring, of these Notes to  Consolidated Financial Statements for additional information. (g) Represents advisory fees related to shareholder activism matters. 70 
 
 
 
For the Fiscal Year Ended May 26, 2024 (in millions) North  America International Total Net sales       . . . . . . . . . . . . . . . . . . . . . . . . . . . . . . . . . . . . . . . . . . . . . . . . . . . . . . . . . . . . . . . . . $ 4,363.2 $ 2,104.4 $ 6,467.6  Less: Other segment items (a)   . . . . . . . . . . . . . . . . . . . . . . . . . . . . . . . . . . . . . . . . . . . . . . . .  3,100.1  1,772.5  4,872.6  Segment Adjusted EBITDA (b)    . . . . . . . . . . . . . . . . . . . . . . . . . . . . . . . . . . . . . . . . . . . . . . . $ 1,263.1 $ 331.9 $ 1,595.0  Unallocated corporate costs (c)      . . . . . . . . . . . . . . . . . . . . . . . . . . . . . . . . . . . . . . . . . . . . . . .     . . . . . . . .     . . . . . . . .  (178.3)  Depreciation and amortization (d)    . . . . . . . . . . . . . . . . . . . . . . . . . . . . . . . . . . . . . . . . . . . . .     . . . . . . . .     . . . . . . . .  306.2  Unrealized derivative gains   . . . . . . . . . . . . . . . . . . . . . . . . . . . . . . . . . . . . . . . . . . . . . . . . . .     . . . . . . . .     . . . . . . . .  (24.9)  Foreign currency exchange losses     . . . . . . . . . . . . . . . . . . . . . . . . . . . . . . . . . . . . . . . . . . . . .     . . . . . . . .     . . . . . . . .  28.6  Blue chip swap gains (e) . . . . . . . . . . . . . . . . . . . . . . . . . . . . . . . . . . . . . . . . . . . . . . . . . . . . .     . . . . . . . .     . . . . . . . .  (18.0)  Items impacting comparability: Inventory step-up from acquisition    . . . . . . . . . . . . . . . . . . . . . . . . . . . . . . . . . . . . . . . . . .     . . . . . . . .     . . . . . . . .  20.7  Integration and acquisition-related items, net     . . . . . . . . . . . . . . . . . . . . . . . . . . . . . . . . . .     . . . . . . . .     . . . . . . . .  12.8  Interest expense, net      . . . . . . . . . . . . . . . . . . . . . . . . . . . . . . . . . . . . . . . . . . . . . . . . . . . . . . . .     . . . . . . . .     . . . . . . . .  135.8  Income before income taxes     . . . . . . . . . . . . . . . . . . . . . . . . . . . . . . . . . . . . . . . . . . . . . . . . . .     . . . . . . . .     . . . . . . . .  955.5  Income tax expense       . . . . . . . . . . . . . . . . . . . . . . . . . . . . . . . . . . . . . . . . . . . . . . . . . . . . . . . .     . . . . . . . .     . . . . . . . .  230.0  Net income       . . . . . . . . . . . . . . . . . . . . . . . . . . . . . . . . . . . . . . . . . . . . . . . . . . . . . . . . . . . . . . .     . . . . . . . .     . . . . . . . . $ 725.5  _____________________________________________________ (a) Other segment items include cost of sales, selling, general, and administrative expenses, and equity method investment income or  loss for each segment (b) Segment Adjusted EBITDA for fiscal 2024 included the following: i. Net income associated with our equity method investments. Refer to Note 6, “Other Assets,” in these Notes to  Consolidated Financial Statements of this Form 10-K. ii. An estimated $40 million loss related to the voluntary product withdrawal that was initiated in the fourth quarter of fiscal  2024. The total charge to reporting segments was approximately $19 million to the North America segment and  approximately $21 million to the International segment. (c) Unallocated corporate costs include costs related to corporate support staff and support services, which include, but are not limited  to, our administrative, information technology, human resources, finance, and accounting functions that are not specifically  allocated to the segments. In the table, unallocated costs exclude unrealized mark-to-market derivative gains and losses, foreign  currency exchange gains and losses, gains from blue chip swap transactions in Argentina, and items impacting comparability. These  items are added back to reconcile Segment Adjusted EBITDA to Net income. (d) Depreciation and amortization includes interest expense, income tax expense, and depreciation and amortization from equity  method investments of $8.3 million for the fiscal year ended May 26, 2024.  (e) We enter into blue chip swap transactions to transfer U.S. dollars into Argentina primarily related to funding our capacity expansion  in Argentina. The blue chip swap rate can diverge significantly from Argentina’s official exchange rate. 71 
 
 
 
For the Fiscal Year Ended May 28, 2023 (a) (in millions) North  America International  (a) Total Net sales       . . . . . . . . . . . . . . . . . . . . . . . . . . . . . . . . . . . . . . . . . . . . . . . . . . . . . . . . . . . . . . . . . $ 4,249.4 $ 1,101.2 $ 5,350.6  Less: Other segment items (b)     . . . . . . . . . . . . . . . . . . . . . . . . . . . . . . . . . . . . . . . . . . . . . . . .  3,087.1  870.2  3,957.3  Segment Adjusted EBITDA (c)   . . . . . . . . . . . . . . . . . . . . . . . . . . . . . . . . . . . . . . . . . . . . . . . $ 1,162.3 $ 231.0 $ 1,393.3  Unallocated corporate costs (d)     . . . . . . . . . . . . . . . . . . . . . . . . . . . . . . . . . . . . . . . . . . . . . . .     . . . . . . . .     . . . . . . . .  (143.9)  Depreciation and amortization (e)      . . . . . . . . . . . . . . . . . . . . . . . . . . . . . . . . . . . . . . . . . . . . .     . . . . . . . .     . . . . . . . .  247.4  Unrealized derivative losses    . . . . . . . . . . . . . . . . . . . . . . . . . . . . . . . . . . . . . . . . . . . . . . . . . .     . . . . . . . .     . . . . . . . .  41.7  Unconsolidated joint venture unrealized derivative losses . . . . . . . . . . . . . . . . . . . . . . . . . . .     . . . . . . . .     . . . . . . . .  32.7  Foreign currency exchange losses     . . . . . . . . . . . . . . . . . . . . . . . . . . . . . . . . . . . . . . . . . . . . .     . . . . . . . .      . . . . . . . .  5.5  Items impacting comparability: Inventory step-up from acquisition    . . . . . . . . . . . . . . . . . . . . . . . . . . . . . . . . . . . . . . . . . .     . . . . . . . .     . . . . . . . .  27.0  Integration and acquisition-related items, net     . . . . . . . . . . . . . . . . . . . . . . . . . . . . . . . . . .     . . . . . . . .     . . . . . . . .  (21.8)  Gain on acquisition of interest in joint ventures (f)      . . . . . . . . . . . . . . . . . . . . . . . . . . . . .     . . . . . . . .     . . . . . . . .  (425.8)  Interest expense, net      . . . . . . . . . . . . . . . . . . . . . . . . . . . . . . . . . . . . . . . . . . . . . . . . . . . . . . . .     . . . . . . . .     . . . . . . . .  109.2  Income before income taxes     . . . . . . . . . . . . . . . . . . . . . . . . . . . . . . . . . . . . . . . . . . . . . . . . . .     . . . . . . . .     . . . . . . . .  1,233.5  Income tax expense       . . . . . . . . . . . . . . . . . . . . . . . . . . . . . . . . . . . . . . . . . . . . . . . . . . . . . . . .     . . . . . . . .     . . . . . . . .  224.6  Net income       . . . . . . . . . . . . . . . . . . . . . . . . . . . . . . . . . . . . . . . . . . . . . . . . . . . . . . . . . . . . . . .     . . . . . . . .     . . . . . . . . $ 1,008.9  _____________________________________________________ (a) We acquired the remaining equity interest in LW EMEA in the fourth quarter of fiscal 2023. Accordingly, LW EMEA’s net sales  and adjusted EBITDA for the thirteen weeks ended May 28, 2023 are reported in the International segment, whereas in the first  three quarters of fiscal 2023, our initial 50% equity interest in LW EMEA was recorded using equity method accounting. As a  result, LW EMEA’s net sales are not included in the International segment’s net sales for the first three quarters of the fifty-two  weeks ended May 28, 2023, and only 50% of LW EMEA’s adjusted EBITDA is reported in the International segment for those  periods.  (b) Other segment items include cost of sales, selling, general, and administrative expenses, and equity method investment income or  loss for each segment  (c) Segment Adjusted EBITDA for fiscal 2023 included net income associated with our equity method investments. Refer to Note 6,  “Other Assets,” in these Notes to Consolidated Financial Statements of this Form 10-K. (d) Unallocated corporate costs include costs related to corporate support staff and support services, which include, but are not limited  to, our administrative, information technology, human resources, finance, and accounting functions that are not specifically  allocated to the segments. In the table, unallocated costs exclude unrealized derivative gains and losses, foreign currency exchange  gains and losses, blue chip swap transaction gains, and items impacting comparability. These items are added back to reconcile  Segment Adjusted EBITDA to Net income. Unallocated corporate costs included only thirteen weeks associated with the  acquisition of LW EMEA. For the first three quarters of fiscal 2023, our portion of LW EMEA’s unallocated corporate costs were  included in “Equity method investment earnings” in the Consolidated Statements of Earnings in the International segment. (e) Depreciation and amortization includes interest expense, income tax expense, and depreciation and amortization from equity  method investments of $29.1 million for the fiscal year ended May 28, 2023. (f) The fiscal year ended May 28, 2023 included a $425.8 million ($379.5 million after-tax) gain recognized in connection with our  purchase of an additional 50% equity interest in LW EMEA, increasing our equity ownership from 50% to 100%, and our purchase  of an additional 40% equity interest in LWAMSA, increasing our equity ownership from 50% to 90%. The gains related to  remeasuring our initial equity interests in LW EMEA and LWAMSA to fair value. 72 
 
 
 
Concentrations Lamb Weston’s largest customer, McDonald’s Corporation, accounted for approximately 15%, 14%, and 13% of  our consolidated net sales in fiscal 2025, 2024, and 2023, respectively. Information by Geographic Area Sales are classified as domestic or foreign based on the address to which the product is shipped. No individual  foreign country is material to the consolidated results. For the Fiscal Years Ended May (in millions) 2025 2024 2023 Net sales United States     . . . . . . . . . . . . . . . . . . . . . . . . . . . . . . . . . . . . . . . . . . . . . . . . . . . . $ 4,174.5 $ 4,278.0 $ 4,125.4  Other     . . . . . . . . . . . . . . . . . . . . . . . . . . . . . . . . . . . . . . . . . . . . . . . . . . . . . . . . . .  2,276.8  2,189.6  1,225.2  Total net sales  . . . . . . . . . . . . . . . . . . . . . . . . . . . . . . . . . . . . . . . . . . . . . . . . . . . . . . $ 6,451.3 $ 6,467.6 $ 5,350.6   We have 26 production facilities, 14 located in the U.S. and 12 located outside of the U.S. as of May 25, 2025.  Long-lived assets include property, plant, and equipment, net, operating lease assets, and capitalized software costs. (in millions) May 25, 2025 May 26, 2024 Long-lived assets United States     . . . . . . . . . . . . . . . . . . . . . . . . . . . . . . . . . . . . . . . . . . . . . . . . . . . . . . . . . . $ 2,333.0 $ 2,485.8  Netherlands   . . . . . . . . . . . . . . . . . . . . . . . . . . . . . . . . . . . . . . . . . . . . . . . . . . . . . . . . . . .  866.3  777.9  Other      . . . . . . . . . . . . . . . . . . . . . . . . . . . . . . . . . . . . . . . . . . . . . . . . . . . . . . . . . . . . . . . .  810.5  680.0  Total long-lived assets    . . . . . . . . . . . . . . . . . . . . . . . . . . . . . . . . . . . . . . . . . . . . . . . . . . . . . $ 4,009.8 $ 3,943.7  Labor  At May 25, 2025, we had approximately 10,100 employees, of which approximately 3,100 of these employees  work outside of the U.S. Approximately 32% of our employees are parties to collective bargaining agreements with terms  that we believe are typical for the industry in which we operate. Most of the union workers at our U.S. facilities are  represented under contracts that expire at various times over the next several years.  73 
 
 
 
14. COMMITMENTS, CONTINGENCIES, GUARANTEES, AND LEGAL PROCEEDINGS We have financial commitments and obligations that arise in the ordinary course of our business. These include  long-term debt (discussed in Note 8, Debt and Financing Obligations), lease obligations (discussed in Note 9, Leases),  purchase obligations and capital commitments for goods and services, and legal proceedings (discussed below). Purchase Obligations and Capital Commitments A summary of our purchase obligations and capital commitments that are enforceable and legally binding, as of  May 25, 2025, are as follows. The expected timing of payments of the obligations in the table are estimated based on  current information. Timing of payments and actual amounts paid may be different, depending on the time of receipt of  goods or services, or changes to agreed-upon amounts for some obligations:  (in millions) Purchase Obligations and Capital Commitments 2026 (a)       . . . . . . . . . . . . . . . . . . . . . . . . . . . . . . . . . . . . . . . . . . . . . . . . . . . . . . . $ 309.0  2027   . . . . . . . . . . . . . . . . . . . . . . . . . . . . . . . . . . . . . . . . . . . . . . . . . . . . . . . . . .  129.7  2028   . . . . . . . . . . . . . . . . . . . . . . . . . . . . . . . . . . . . . . . . . . . . . . . . . . . . . . . . . .  72.8  2029   . . . . . . . . . . . . . . . . . . . . . . . . . . . . . . . . . . . . . . . . . . . . . . . . . . . . . . . . . .  67.5  2030   . . . . . . . . . . . . . . . . . . . . . . . . . . . . . . . . . . . . . . . . . . . . . . . . . . . . . . . . . .  56.7  Thereafter    . . . . . . . . . . . . . . . . . . . . . . . . . . . . . . . . . . . . . . . . . . . . . . . . . . . . . .  375.3  Total (b)    . . . . . . . . . . . . . . . . . . . . . . . . . . . . . . . . . . . . . . . . . . . . . . . . . . . . . $ 1,011.0  _____________________________________________________ (a) We had capital commitments of 164.1 million and $402.7 million as of May 25, 2025 and May 26, 2024, respectively, that represent  commitments for construction of previously announced capacity expansions or factory modernization investments. While these  commitments are intended to be paid within the next 12-months, we recognize that the timing of payments and actual amounts paid  may be different, depending on the time of receipt of goods or services, or changes to agreed-upon amounts for some obligations.  Capital commitments were not recorded as liabilities on our Consolidated Balance Sheets as of May 25, 2025 as we had not yet  received the related goods nor taken title to the property. Capital purchases that we have taken title to, but not yet paid for, are  recorded as liabilities on our Consolidated Balance Sheets as of May 25, 2025, and are disclosed in Note 1, Nature of Operations  and Summary of Significant Accountant Policies, within Property, Plant and Equipment. (b) The amounts in the table above exclude purchase commitments under potato supply agreements due to uncertainty of pricing and  quantity. Potato supply agreements have maximum contracted pricing with deductions for certain quality attributes, and quantities  purchased are determined by the yields produced on contracted acres. Total purchases under all our potato supply agreements were  $1,304.5 million, $1,397.8 million, and $844.6 million in fiscal 2025, 2024, and 2023, respectively. Guarantees and Indemnifications We provide guarantees, indemnifications, and other assurances to third parties in the normal course of our  business. These include tort indemnifications, environmental assurances, and representations and warranties in commercial  agreements. At May 25, 2025, we were not aware of any material liabilities arising from any guarantee, indemnification, or  financial assurance we have provided. If the fair value of such liability becomes material, we will accrue for it at that time. We are a party to various potato purchase supply agreements with partner growers, under which they deliver their  potato crop from the contracted acres to Lamb Weston during the harvest season, and pursuant to the potato supply  agreements, pricing for this inventory is determined after delivery, taking into account crop size and quality, among other  factors. Total purchases under these agreements were $206.3 million, $213.2 million, and $166.6 million in fiscal 2025,  2024, and 2023, respectively, under the terms of the potato supply agreements. These purchases are initially recorded in  inventory and charged to cost of sales as related inventories are produced and subsequently sold. Under the terms of these  potato supply agreements, we have guaranteed repayment of short-term bank loans of the potato suppliers, under certain  conditions. At May 25, 2025, we have effectively guaranteed $40.6 million of supplier loans. We have not established a  liability for these guarantees, as we have determined that the likelihood of our required performance under the guarantees is  remote. Under certain other potato supply agreements, we make advances to growers prior to the delivery of potatoes. The  aggregate amounts of these advances were $34.8 million and $40.3 million at May 25, 2025 and May 26, 2024,  respectively, and were recorded in “Prepaid expenses and other current assets,” on our Consolidated Balance Sheets.  After taking into account liabilities recognized for all of the foregoing matters, management believes the ultimate  resolution of such matters would not have a material adverse effect on our financial condition, results of operations, or cash  flows. It is reasonably possible that a change to an estimate of the foregoing matters may occur in the future.  74 
 
 
 
Legal Proceedings In June 2024, two putative class actions were filed in the U.S. District Court for the District of Idaho against the  Company and certain of our current and former executive officers alleging violations of the federal securities laws. The  lawsuits were consolidated in November 2024. The amended consolidated complaint alleges the defendants made  misrepresentations and omissions regarding the design and implementation of our enterprise resource planning system and  the Company’s pricing practices. The complaint asserts claims on behalf of a proposed class of purchasers of the  Company’s common stock between July 25, 2023 and December 19, 2024. On April 25, 2025, defendants filed a motion to  dismiss. Briefing is ongoing and no hearing date has been set. In June 2025, a purported Company stockholder filed a  verified stockholder derivative complaint (nominally on behalf of the Company) against certain of our current and former  directors and officers, alleging violations of the federal securities laws and breach of fiduciary duty stemming from the  same or similar purported misrepresentations and omissions regarding the design and implementation of our enterprise  resource planning system as the putative class actions. We believe the lawsuits lack merit and intend to vigorously defend  against the allegations. We are currently unable to predict the outcome of this matter or estimate the range of potential loss,  if any, that may result. In November 2024, a class action complaint was filed in the U.S. District Court for the Northern District of  Illinois against the Company, certain of our subsidiaries and a number of other producers of frozen potato products alleging  violations of antitrust laws. Additional class action complaints were later filed in the same court, based on similar  allegations, bringing antitrust claims on behalf of putative classes of direct purchasers, commercial and institutional  indirect purchasers, and end-consumer indirect purchasers. Some complaints name a data provider and a trade association  as defendants, in addition to producers of frozen potato products. The complaints allege, among other things, that  beginning at least as early as January 1, 2021, the defendants conspired to raise the price of frozen potato products above  competitive levels in violation of U.S. antitrust laws by coordinating prices of frozen potato products and imposing  lockstep price increases, allegedly facilitated by the exchange of non-public information about prices and production. The  complaints on behalf of the putative classes of indirect purchasers also assert claims under various state laws, including  state antitrust laws, unfair competition laws, consumer protection statutes, and common law unjust enrichment. The relief  sought in the complaints includes treble damages, injunctive relief, pre- and post-judgment interest, costs and attorneys’  fees. The complaints for each putative class have been ordered to be consolidated and amended. Class actions based on  similar allegations have also been filed in Canada, in the Supreme Court of British Columbia and the Superior Court of  Quebec. We believe these complaints lack merit and intend to vigorously defend against the allegations. Given the  preliminary stage of the proceedings, we are currently unable to predict the outcome of this matter or estimate the range of  potential loss, if any, that may result. We are also a party to various other legal actions arising in the ordinary course of our business. These claims,  legal proceedings and litigation principally arise from alleged casualty, product liability, employment, and other disputes.  In determining loss contingencies, we consider the likelihood of loss as well as the ability to reasonably estimate the  amount of such loss or liability. An estimated loss is recognized when it is considered probable that a liability has been  incurred and when the amount of loss can be reasonably estimated. While any claim, proceeding or litigation has an  element of uncertainty, we believe the outcome of any of these that are pending or threatened will not have a material  adverse effect on our financial condition, results of operations, or cash flows. 75 
 
 
 
ITEM 9. CHANGES IN AND DISAGREEMENTS WITH ACCOUNTANTS ON ACCOUNTING AND  FINANCIAL DISCLOSURE None. ITEM 9A. CONTROLS AND PROCEDURES Disclosure Controls and Procedures Our management, with the participation of our Chief Executive Officer and Chief Financial Officer, carried out an  evaluation of the effectiveness of the design and operation of our disclosure controls and procedures as defined in Rule  13a-15(e) under the Securities Exchange Act of 1934, as amended (the “Exchange Act”), as of May 25, 2025. Based on  this evaluation, our Chief Executive Officer and Chief Financial Officer concluded that, as of the end of the period covered  by this report, our disclosure controls and procedures were effective to provide reasonable assurance that information  required to be disclosed by us in reports we file or submit under the Exchange Act is recorded, processed, summarized, and  reported within the time periods specified in SEC rules and forms, and is accumulated and communicated to management,  including our Chief Executive Officer and Chief Financial Officer, as appropriate, to allow timely decisions regarding  required disclosures.  Management's Report on Internal Control Over Financial Reporting Our management is responsible for establishing and maintaining adequate internal control over financial reporting  as defined in Rule 13a-15(f) under the Exchange Act. Our internal control over financial reporting is a process designed to  provide reasonable assurance regarding the reliability of financial reporting and the preparation of consolidated financial  statements for external purposes in accordance with U.S. GAAP. Our internal control over financial reporting includes  those policies and procedures that: • pertain to the maintenance of records that, in reasonable detail, accurately and fairly reflect the transactions  and dispositions of assets;  • provide reasonable assurance that transactions are recorded as necessary to permit preparation of consolidated  financial statements in accordance with U.S. GAAP;  • provide reasonable assurance that receipts and expenditures are being made only in accordance with  management and director authorization; • provide reasonable assurance regarding prevention or timely detection of unauthorized acquisition, use or  disposition of assets that could have a material effect on the consolidated financial statements; and • provide reasonable assurance as to the detection of fraud. Our management, under the supervision and with the participation of our Chief Executive Officer and Chief  Financial Officer and oversight of the Board of Directors, assessed the effectiveness of our internal control over financial  reporting as of May 25, 2025. Management based this assessment on criteria for effective internal control over financial  reporting described in Internal Control – Integrated Framework (2013) issued by the Committee of Sponsoring  Organizations of the Treadway Commission. Management’s assessment included evaluation of elements such as the design  and operating effectiveness of key financial reporting controls, process documentation, accounting policies, and our overall  control environment. Based on this assessment, management concluded that, as of May 25, 2025, our internal control over  financial reporting was effective to provide reasonable assurance regarding the reliability of financial reporting and the  preparation of consolidated financial statements for external reporting purposes in accordance with GAAP. We reviewed  the results of management’s assessment with the Audit and Finance Committee of our Board of Directors. Our independent registered public accounting firm, KPMG LLP, audited the consolidated financial statements  prepared by us. KPMG LLP has also issued an attestation report on our internal control over financial reporting. Their  report on the consolidated financial statements and attestation report are included in “Part II, Item 8. Financial Statements  and Supplementary Data” of this Form 10-K. 76 
 
 
 
Inherent Limitations on Effectiveness of Controls Because of its inherent limitations, our internal control over financial reporting may not prevent or detect  misstatements. A control system, no matter how well designed and operated, can provide only reasonable, not absolute,  assurance that the control system’s objectives will be met. Due to these limitations in all control systems, no evaluation of  controls can provide absolute assurance that misstatements due to error or fraud will not occur or that all control issues and  instances of fraud, if any, have been detected. The design of any system of controls is based in part on certain assumptions  about the likelihood of future events, and there can be no assurance that any design will succeed in achieving its stated  goals under all potential future conditions. Projections of any evaluation of the effectiveness of controls to future periods  are subject to risks, including that controls become inadequate because of changes in conditions or that the degree of  compliance with the policies and procedures may deteriorate. Changes in Internal Control over Financial Reporting Our management, with the participation of our Chief Executive Officer and Chief Financial Officer, evaluated any  change in our internal control over financial reporting (as defined in Rule 13a-15(f) under the Exchange Act) that occurred  during the quarter ended May 25, 2025, and determined that there were no changes in our internal control over financial  reporting during the quarter ended May 25, 2025 that have materially affected, or are reasonably likely to materially affect,  our internal control over financial reporting. ITEM 9B. OTHER INFORMATION Cost Savings Program We are reporting the following information for the purpose of providing disclosure required under Form 8-K Item  2.05 “Costs Associated with Exit or Disposal Activities.” On July 23, 2025, we announced a Cost Savings Program which is expected to deliver at least $250 million of  annualized run rate savings by the end of fiscal year 2028. Approximately $200 million of these annualized cost savings  are expected by fiscal year end 2027. In addition, we expect to generate approximately $120 million of working capital  improvements compared to current levels by the end of fiscal 2027. In connection with the Cost Savings Program, we expect to recognize total pre-tax cash charges of $70 million to  $100 million, most of which will be paid in fiscal year 2026, and $30 million of capital expenditures by fiscal 2028. The  program includes a reduction in operating expenses, including headcount reductions approximating 4% of the Company’s  global workforce, which also reflects the elimination of certain unfilled job positions. Insider Trading Arrangements Our directors and officers (as defined in Rule 16a-1 under the Exchange Act) may from time to time enter into  plans or other arrangements for the purchase or sale of our shares that are intended to satisfy the affirmative defense  conditions of Rule 10b5-1(c) or may represent a non-Rule 10b5-1 trading arrangement under the Exchange Act. During the  quarter ended May 25, 2025, no such plans or arrangements were adopted or terminated, including by modification. ITEM 9C. DISCLOSURE REGARDING FOREIGN JURISDICTIONS THAT PREVENT INSPECTIONS Not applicable. 77 
 
 
 
PART III ITEM 10. DIRECTORS, EXECUTIVE OFFICERS AND CORPORATE GOVERNANCE Information required by this Item 10 is included under the headings “Information About Our Executive Officers”  and “Ethics and Governance” in Part 1, Item 1 of this Form 10-K, and will be included under the headings “Item 1.  Election of Directors,” “Corporate Governance – Code of Conduct and Code of Ethics for Senior Corporate Financial  Officers,” “Corporate Governance – Key Corporate Governance Practices – Insider Trading Policy,” and “Board  Committees and Membership – Audit and Finance Committee” in our definitive Proxy Statement for our Annual Meeting  of Stockholders scheduled to be held on September 25, 2025 (the “2025 Proxy Statement”). This information from the  2025 Proxy Statement is incorporated by reference into this Form 10-K. ITEM 11. EXECUTIVE COMPENSATION  Information required by this Item 11 will be included under the headings “Board Committees and Membership –  Compensation and Human Capital Committee,” “Non-Employee Director Compensation,” “Compensation Discussion and  Analysis,” and “Executive Compensation Tables” in our 2025 Proxy Statement. This information from the 2025 Proxy  Statement is incorporated by reference into this Form 10-K. ITEM 12. SECURITY OWNERSHIP OF CERTAIN BENEFICIAL OWNERS AND MANAGEMENT AND  RELATED STOCKHOLDER MATTERS The following table provides information about shares of our common stock that may be issued upon the exercise  of options, warrants, and rights under existing equity compensation plans as of our most recent fiscal year ended May 25,  2025. Plan Category Number of Securities to be Issued Upon Exercise of Outstanding Options, Warrants, and Rights (a) Weighted-Average Exercise Price of Outstanding Options, Warrants, and Rights (b) Number of Securities Remaining Available for Future Issuance Under Equity Compensation  Plans (Excluding Securities Reflected in Column A)  (c) Equity compensation plans approved by  securityholders      . . . . . . . . . . . . . . . . . . . . . . . . . . . . . 2,081,450 $ 69.72 5,532,480 Equity compensation plans not approved by  securityholders      . . . . . . . . . . . . . . . . . . . . . . . . . . . . . N/A N/A N/A Total      . . . . . . . . . . . . . . . . . . . . . . . . . . . . . . . . . . . . . 2,081,450 $ 69.72 5,532,480 _____________________________________________________ (a) Includes outstanding stock options, RSUs, and performance shares (assuming the target performance payout level) granted under  the Amended and Restated Lamb Weston Holdings, Inc. 2016 Stock Plan, as amended in 2017 (the “Stock Plan”). This number also  includes shares payable with respect to certain compensation deferred under the Lamb Weston Holdings, Inc. Voluntary Deferred  Compensation Plan and the Lamb Weston Holdings, Inc. Directors’ Deferred Compensation Plan. The number of securities to be  issued excludes options that were exercised but not settled with our stock transfer agent as of May 25, 2025. (b) Weighted average exercise price of outstanding stock options only. (c) Represents shares available for issuance under the Stock Plan. Information related to the security ownership of certain beneficial owners, directors and management will be  included in our 2025 Proxy Statement under the heading “Information on Stock Ownership” and is incorporated by  reference into this Form 10-K. 78 
 
 
 
ITEM 13. CERTAIN RELATIONSHIPS AND RELATED TRANSACTIONS, AND DIRECTOR  INDEPENDENCE  Information required by this Item 13 will be included under the headings “Corporate Governance – Director  Independence” and “Corporate Governance – Review of Transactions with Related Persons” in our 2025 Proxy Statement.  This information from the 2025 Proxy Statement is incorporated by reference into this Form 10-K. ITEM 14. PRINCIPAL ACCOUNTANT FEES AND SERVICES  Information required by this Item 14 will be included under the heading “Board Committees and Membership –  Audit and Finance Committee” in our 2025 Proxy Statement. This information from the 2025 Proxy Statement is  incorporated by reference into this Form 10-K. PART IV ITEM 15. EXHIBITS AND FINANCIAL STATEMENT SCHEDULES a) List of documents filed as part of this report: 1. Financial Statements All financial statements of the Company as set forth under Item 8 of this Form 10-K. 2. Financial Statement Schedules The following consolidated financial statement schedule for fiscal 2025, 2024, and 2023 is included in this report: Schedule II – Lamb Weston – Valuation and Qualifying Accounts (in millions) Balance Beginning of Year Additions Charged to Costs, Expenses and Equity Deductions from Reserves Balance End of Year Year ended May 25, 2025 Deferred tax asset valuation allowance      . . . . . . $ 53.1 $ 12.6 $ — $ 65.7  Year ended May 26, 2024 Deferred tax asset valuation allowance      . . . . . . $ 49.5 $ 3.6 $ — $ 53.1  Year ended May 28, 2023 Deferred tax asset valuation allowance      . . . . . . $ 50.1 $ — $ 0.6 $ 49.5  All other schedules are omitted because they are not applicable, not material, not required, or because the required  information is included in the consolidated financial statements or the accompanying notes to financial statements, and  therefore, have been omitted. 79 
 
 
 
b) The following exhibits are filed as part of, or incorporated by reference into, this Form 10-K: Exhibit No. Descriptions 2.1 Sale and Purchase Agreement, by and among Lamb Weston Holdings, Inc., Lamb Weston Holland B.V.,  Meijer Beheer B.V. and Mr. Kees Meijer, dated as of October 19, 2022, incorporated herein by reference  to Exhibit 2.1 to Lamb Weston Holdings, Inc.’s Current Report on Form 8-K/A filed on October 21,  2022 (File No. 001-37830) 3.1 Amended and Restated Certificate of Incorporation of Lamb Weston Holdings, Inc., incorporated herein  by reference to Exhibit 3.1 of Lamb Weston Holdings, Inc.’s Current Report on Form 8-K filed on  November 10, 2016 (File No. 001-37830) 3.2 Certificate of Amendment to Amended and Restated Certificate of Incorporation of Lamb Weston  Holdings, Inc., incorporated by reference to Exhibit 3.1 of Lamb Weston Holdings, Inc.’s Current Report  on Form 8-K filed on September 27, 2024 (File No. 001-37830) 3.3 Amended and Restated Bylaws of Lamb Weston Holdings, Inc., incorporated herein by reference to  Exhibit 3.1 of Lamb Weston Holdings, Inc.’s Current Report on Form 8-K filed on March 24, 2023 (File  No. 001-37830) 4.1 2028 Notes Indenture, dated as of May 12, 2020, by and among Lamb Weston Holdings, Inc., the  Guarantors (as defined therein) and Wells Fargo Bank, National Association, as trustee (including form  of note relating to the 2028 Notes), incorporated herein by reference to Exhibit 4.1 of Lamb Weston  Holdings, Inc.’s Current Report on Form 8-K filed on May 12, 2020 (File No. 001-37830) 4.2 2030 Notes Indenture, dated as of November 8, 2021, by and among Lamb Weston Holdings, Inc., the  Guarantors (as defined therein) and Computershare Trust Company, N.A., as trustee (including form of  note relating to the 2030 Notes), incorporated herein by reference to Exhibit 4.1 of Lamb Weston  Holdings, Inc.’s Current Report on Form 8-K filed on November 8, 2021 (File No. 001-37830) 4.3 2032 Notes Indenture, dated as of November 8, 2021, by and among Lamb Weston Holdings, Inc., the  Guarantors (as defined therein) and Computershare Trust Company, N.A., as trustee (including form of  note relating to the 2032 Notes), incorporated herein by reference to Exhibit 4.2 of Lamb Weston  Holdings, Inc.’s Current Report on Form 8-K filed on November 8, 2021 (File No. 001-37830) 4.4 Description of Lamb Weston Holdings, Inc.’s Securities, incorporated herein by reference to Exhibit 4.3  of Lamb Weston Holdings, Inc.’s Annual Report on Form 10-K filed on July 25, 2019 (File No.  001-37830) 10.1 Trademark License Agreement, dated as of November 8, 2016, by and between ConAgra Foods, Inc. and  Lamb Weston Holdings, Inc., incorporated herein by reference to Exhibit 10.4 of Lamb Weston  Holdings, Inc.’s Current Report on Form 8-K filed on November 10, 2016 (File No. 001-37830) 10.2 Amended and Restated Credit Agreement, dated as of May 3, 2024, among Lamb Weston Holdings,  Inc., Lamb-Weston/Meijer v.o.f., the guarantors party thereto, the lenders party thereto and Bank of  America, N.A., as administrative agent, incorporated herein by reference to Exhibit 10.1 of Lamb  Weston Holdings, Inc.’s Current Report on Form 8-K filed on May 8, 2024 (File No. 001-37830) 10.3 Amended and Restated Credit Agreement, dated as of May 3, 2024, among Lamb Weston Holdings,  Inc., the guarantors party thereto, the lenders party thereto and AgWest Farm Credit, PCA, as  administrative agent, incorporated herein by reference to Exhibit 10.2 of Lamb Weston Holdings, Inc.’s  Current Report on Form 8-K filed on May 8, 2024 (File No. 001-37830) 80 
 
 
 
10.4 First Amendment to Amended and Restated Credit Agreement, dated as of September 27, 2024, among  Lamb Weston Holdings, Inc., the guarantors party thereto, the lenders party thereto and AgWest Farm  Credit, PCA, as administrative agent, incorporated by reference to Exhibit 10.1 of Lamb Weston  Holdings, Inc.’s Current Report on Form 8-K filed on September 27, 2024 (File No. 001-37830) 10.5 Facility Agreement, dated as of February 28, 2022, among Ulanqab Lamb Weston Food Co., Ltd., the  financial institutions party thereto and HSBC Bank (China) Company Limited, Shanghai Branch, as the  facility agent, incorporated herein by reference to Exhibit 10.1 of Lamb Weston Holdings, Inc.’s, Current  Report on Form 8-K filed on February 22, 2022 (File No. 001-37830) 10.6 Amended and Restated Lamb Weston Holdings, Inc. 2016 Stock Plan, incorporated herein by reference  to Exhibit 10.2 of Lamb Weston Holdings, Inc.’s Quarterly Report on Form 10-Q filed on January 4,  2018 (File No. 001-37830)* 10.7 Lamb Weston Holdings, Inc. Executive Change of Control Severance Plan, incorporated herein by  reference to Exhibit 10.7 of Lamb Weston Holdings, Inc.’s Annual Report on Form 10-K filed on July  25, 2017 (File No. 001-37830)* 10.8 Form of Lamb Weston Holdings, Inc. Executive Change of Control Severance Plan Participation  Agreement, incorporated herein by reference to Exhibit 10.8 of Lamb Weston Holdings, Inc.’s Annual  Report on Form 10-K filed on July 25, 2017 (File No. 001-37830)* 10.9 Lamb Weston Holdings, Inc. Voluntary Deferred Compensation Plan, amended and restated as of  September 22, 2021, incorporated herein by reference to Exhibit 10.3 of Lamb Weston Holdings, Inc.’s  Quarterly Report on Form 10-Q filed on January 6, 2022 (File No. 001-37830)* 10.10 Lamb Weston Holdings, Inc. Directors’ Deferred Compensation Plan, incorporated herein by reference  to Exhibit 4.4 of Lamb Weston Holdings, Inc.’s Registration Statement on Form S-8 filed on June 14,  2017 (Commission File No. 333-218742)* 10.11 Form of Lamb Weston Holdings, Inc. Nonqualified Stock Option Agreement for Employees (pre-March  2017), incorporated herein by reference to Exhibit 10.14 of Lamb Weston Holdings, Inc.’s Quarterly  Report on Form 10-Q filed on January 10, 2017 (File No. 001-37830)* 10.12 Form of Lamb Weston Holdings, Inc. Nonqualified Stock Option Agreement for Employees (post-March  2017), incorporated herein by reference to Exhibit 10.23 of Lamb Weston Holdings, Inc.’s Annual  Report on Form 10-K filed on July 25, 2017 (File No. 001-37830)* 10.13 Form of Lamb Weston Holdings, Inc. Nonqualified Stock Option Agreement for Employees (post-July  2022), incorporated herein by reference to Exhibit 10.3 of Lamb Weston Holdings, Inc.’s Quarterly  Report on Form 10-Q filed on October 5, 2022 (File No. 001-37830)* 10.14 Form of Lamb Weston Holdings, Inc. Restricted Stock Unit Agreement (Stock-settled) (FY 2023 – FY  2024), incorporated herein by reference to Exhibit 10.1 of Lamb Weston Holdings, Inc.’s Quarterly  Report on Form 10-Q filed on October 5, 2022 (File No. 001-37830)* 10.15 Form of Lamb Weston Holdings, Inc. Restricted Stock Unit Agreement (Stock-settled) (FY 2025),  incorporated herein by reference to Exhibit 10.1 of Lamb Weston Holdings, Inc.’s Quarterly Report on  Form 10-Q filed on October 2, 2024 (File No. 001-37830)* 81 
 
 
 
10.16 Form of Lamb Weston Holdings, Inc. Restricted Stock Unit Agreement for Non-Employee Directors,  incorporated herein by reference to Exhibit 10.3 of Lamb Weston Holdings, Inc.’s Quarterly Report on  Form 10-Q filed on January 4, 2018 (File No. 001-37830)* 10.17 Form of Lamb Weston Holdings, Inc. Nonqualified Stock Option Agreement for Non-Employee  Directors, incorporated herein by reference to Exhibit 10.1 of Lamb Weston Holdings, Inc.’s Quarterly  Report on Form 10-Q filed on January 5, 2023 (File No. 001-37830)* 10.18 Form of Lamb Weston Holdings, Inc. Performance Share Agreement (FY 2023 – FY2024), incorporated  herein by reference to Exhibit 10.2 of Lamb Weston Holdings, Inc.’s Quarterly Report on Form 10-Q  filed on October 5, 2022 (File No. 001-37830)* 10.19 Form of Lamb Weston Holdings, Inc. Performance Share Agreement (FY 2025), incorporated herein by  reference to Exhibit 10.2 of Lamb Weston Holdings, Inc.’s Quarterly Report on Form 10-Q filed on  October 2, 2024 (File No. 001-37830)* 10.20 Form of Lamb Weston Holdings, Inc. Leveraged Performance Share Agreement, incorporated herein by  reference to Exhibit 10.4 of Lamb Weston Holdings, Inc.’s Quarterly Report on Form 10-Q filed on  October 5, 2022 (File No. 001-37830)* 10.21 Letter Agreement, dated as of May 21, 2021, between Lamb Weston Holdings, Inc. and Bernadette  Madarieta, incorporated herein by reference to Exhibit 10.1 of Lamb Weston Holdings, Inc.’s Current  Report on Form 8-K filed on May 25, 2021 (File No. 001-37830)* 10.22 Letter Agreement, dated as of December 18, 2024, between Lamb Weston Holdings, Inc. and Michael J.  Smith, incorporated herein by reference to Exhibit 10.1 of Lamb Weston Holdings, Inc.'s Current Report  on Form 8-K filed on December 23, 2024 (File No. 001-37830)* 10.23 Transition and Separation Agreement, dated as of December 23, 2024, between Lamb Weston Holdings,  Inc. and Thomas P. Werner, incorporated herein by reference to Exhibit 10.2 of Lamb Weston Holdings,  Inc.'s Current Report on Form 8-K filed on December 23, 2024 (File No. 001-37830)* 10.24 Separation Agreement, dated January 7, 2025, between Lamb Weston Holdings, Inc. and Sharon Miller* 10.25 Cooperation Agreement, by and among Lamb Weston Holdings, Inc., JANA Partners Management LP,  and Continental Grain Company dated June 30, 2025, incorporated herein by reference to Exhibit 10.1 of  Lamb Weston Holding Inc.’s Current Report on Form 8-K filed on June 30, 2025 (File No. 001-37830) 19.1 Lamb Weston Holdings, Inc. Insider Trading Policy, incorporated herein by reference to Exhibit 19.1 of  Lamb Weston Holdings, Inc.’s Annual Report on Form 10-K filed on July 24, 2024 (File No.  001-37830) 21.1 Subsidiaries of Lamb Weston Holdings, Inc. 23.1 Consent of KPMG LLP 31.1 Section 302 Certificate of Chief Executive Officer 31.2 Section 302 Certificate of Chief Financial Officer 32.1 Section 906 Certificate of Chief Executive Officer 82 
 
 
 
32.2 Section 906 Certificate of Chief Financial Officer 97.1 Lamb Weston Holdings, Inc. Compensation Recoupment Policy, dated October 2, 2023, incorporated  herein by reference to Exhibit 97.1 of Lamb Weston Holdings, Inc.'s Annual Report on Form 10-K filed  on July 24, 2024 (File No. 001-37830) 101.INS XBRL Instance Document - the instance document does not appear in the Interactive Data File because  its XBRL tags are embedded within the Inline XBRL document. 101.SCH XBRL Taxonomy Extension Schema Document 101.CAL XBRL Taxonomy Extension Calculation Linkbase Document 101.DEF XBRL Taxonomy Extension Definition Linkbase Document 101.LAB XBRL Taxonomy Extension Label Linkbase Document 101.PRE XBRL Taxonomy Extension Presentation Linkbase Document 104 Cover Page Interactive Data File (formatted as inline XBRL with applicable taxonomy extension  information contained in Exhibits 101) _____________________________________________________ * Management contract or compensatory plan. ITEM 16. FORM 10-K SUMMARY None. 83 
 
 
 
SIGNATURES Pursuant to the requirements of Section 13 or 15(d) of the Securities Exchange Act of 1934, the registrant has duly  caused this report to be signed on its behalf by the undersigned, thereunto duly authorized.  LAMB WESTON HOLDINGS, INC. By: /s/ BERNADETTE M. MADARIETA Bernadette M. Madarieta Chief Financial Officer Date: July 23, 2025 84 
 
 
 
Pursuant to the requirements of the Securities Exchange Act of 1934, this report has been signed below by the  following persons on behalf of the registrant and in the capacities and on the dates indicated: Signature Title Date /s/ MICHAEL J. SMITH President and Chief Executive Officer and Director (Principal Executive Officer) July 23, 2025 Michael J. Smith /s/ BERNADETTE M. MADARIETA Chief Financial Officer (Principal Financial Officer) July 23, 2025 Bernadette M. Madarieta /s/ GREGORY W. JONES Vice President and Controller (Principal Accounting Officer) July 23, 2025 Gregory W. Jones /s/ BRADLEY A. ALFORD Director July 23, 2025 Bradley A. Alford /s/ PETER J. BENSEN Director July 23, 2025 Peter J. Bensen /s/ ROBERT J. COVIELLO Director July 23, 2025 Robert J. Coviello /s/ RITA FISHER Director July 23, 2025 Rita Fisher /s/ ANDRÉ J. HAWAUX Director July 23, 2025 André J. Hawaux /s/ RUTH KIMMELSHUE Director July 23, 2025 Ruth Kimmelshue /s/ LAWRENCE E. KURZIUS Director July 23, 2025 Lawrence E. Kurzius /s/ PAUL T. MAASS Director July 23, 2025 Paul T. Maass /s/ TIMOTHY R. MCLEVISH Director July 23, 2025 Timothy R. McLevish /s/ HALA G. MODDELMOG Director July 23, 2025 Hala G. Moddelmog /s/ SCOTT OSTFELD Director July 23, 2025 Scott Ostfeld /s/ NORMAN PRESTAGE Director July 23, 2025 Norman Prestage 85 
 
 
 
                     BR513272-0725-10K