Please wait
Table of Contents

As filed with the U.S. Securities and Exchange Commission on September 8, 2025.

Registration No. 333-289812

 

 
 

UNITED STATES

SECURITIES AND EXCHANGE COMMISSION

Washington, D.C. 20549

 

 

Amendment No. 1 to

FORM S-1

REGISTRATION STATEMENT

UNDER

THE SECURITIES ACT OF 1933

 

 

LB Pharmaceuticals Inc

(Exact Name of Registrant as Specified in Its Charter)

 

 

 

Delaware   2834   81-1854347

(State or Other Jurisdiction of

Incorporation or Organization)

 

(Primary Standard Industrial

Classification Code Number)

 

(I.R.S. Employer

Identification Number)

LB Pharmaceuticals Inc

One Pennsylvania Plaza, Suite 1025

New York, NY 10119

Tel: (212) 605-0300

(Address, Including Zip Code, and Telephone Number, Including Area Code, of Registrant’s Principal Executive Offices)

 

 

Heather Turner

Chief Executive Officer

One Pennsylvania Plaza, Suite 1025

New York, NY 10119

Tel: (212) 605-0300

(Name, Address, Including Zip Code, and Telephone Number, Including Area Code, of Agent for Service)

 

 

Copies to:

 

Divakar Gupta

Brandon Fenn

Marc Recht

Minkyu Park

Cooley LLP

55 Hudson Yards

New York, NY 10001

Tel: (212) 479-6000

 

Gad Soffer

Chief Business Officer

One Pennsylvania Plaza, Suite 1025

New York, NY 10119

Tel: (212) 605-0300

 

William C. Hicks

John T. Rudy

Alok A. Choksi

Samantha M. Silver

Mintz, Levin, Cohn, Ferris, Glovsky and Popeo, P.C.

One Financial Center

Boston, MA 02111

Tel: (617) 542-6000

 

 

Approximate date of commencement of proposed sale to the public: As soon as practicable after the effective date of this registration statement.

If any of the securities being registered on this Form are to be offered on a delayed or continuous basis pursuant to Rule 415 under the Securities Act of 1933, check the following box. ☐

If this Form is filed to register additional securities for an offering pursuant to Rule 462(b) under the Securities Act, check the following box and list the Securities Act registration statement number of the earlier effective registration statement for the same offering. ☐

If this Form is a post-effective amendment filed pursuant to Rule 462(c) under the Securities Act, check the following box and list the Securities Act registration statement number of the earlier effective registration statement for the same offering. ☐

If this Form is a post-effective amendment filed pursuant to Rule 462(d) under the Securities Act, check the following box and list the Securities Act registration statement number of the earlier effective registration statement for the same offering. ☐

Indicate by check mark whether the registrant is a large accelerated filer, an accelerated filer, a non-accelerated filer, a smaller reporting company or an emerging growth company. See the definitions of “large accelerated filer,” “accelerated filer,” “smaller reporting company,” and “emerging growth company” in Rule 12b-2 of the Exchange Act.

 

Large accelerated filer      Accelerated filer  
Non-accelerated filer      Smaller reporting company  
     Emerging growth company  

If an emerging growth company, indicate by check mark if the registrant has elected not to use the extended transition period for complying with any new or revised financial accounting standards provided pursuant to Section 7(a)(2)(B) of the Securities Act. ☐

 

 

The registrant hereby amends this registration statement on such date or dates as may be necessary to delay its effective date until the registrant shall file a further amendment which specifically states that this registration statement shall thereafter become effective in accordance with section 8(a) of the Securities Act of 1933, as amended, or until the registration statement shall become effective on such date as the Securities and Exchange Commission acting pursuant to said section 8(a), may determine.

 

 
 


Table of Contents

The information in this preliminary prospectus is not complete and may be changed. These securities may not be sold until the registration statement filed with the Securities and Exchange Commission is declared effective. This preliminary prospectus is not an offer to sell nor does it seek an offer to buy these securities in any jurisdiction where the offer or sale is not permitted.

 

Subject to Completion. Dated September 8, 2025

16,666,667 Shares

 

LOGO

Common Stock

 

 

This is the initial public offering of LB Pharmaceuticals Inc. We are offering 16,666,667 shares of our common stock. The initial public offering price is expected to be between $14.00 and $16.00 per share.

Prior to this offering, there has been no public market for our common stock. We have applied to list our common stock on the Nasdaq Global Market, or Nasdaq, under the symbol “LBRX.” We believe that upon the completion of this offering, we will meet the standards for listing on Nasdaq, and the completion of this offering is contingent upon such listing.

We are an “emerging growth company” and a “smaller reporting company” under applicable Securities and Exchange Commission rules and have elected to comply with certain reduced public company reporting requirements for this prospectus and future filings.

Investing in our common stock involves a high degree of risk. See the section titled “Risk Factors” beginning on page 13 to read about factors you should consider before buying shares of our common stock.

Neither the Securities and Exchange Commission nor any other state securities commission has approved or disapproved of these securities or determined if this prospectus is truthful or complete. Any representation to the contrary is a criminal offense.

 

 

 

     Per Share      Total  

Initial public offering price

   $           $       

Underwriting discounts and commissions(1)

   $           $       

Proceeds, before expenses, to us

   $           $       
 
  (1)

See the section titled “Underwriting” for additional information regarding compensation payable to the underwriters.

 

 

We have granted the underwriters an option for a period of 30 days to purchase up to 2,500,000 additional shares of common stock from us at the initial public offering price, less the underwriting discounts and commissions.

The underwriters expect to deliver the shares of common stock to purchasers on    , 2025 through the book-entry facilities of The Depository Trust Company.

 

 

 

Leerink Partners  

Piper Sandler

  Stifel

 

 

Prospectus Dated    , 2025


Table of Contents

TABLE OF CONTENTS

 

Prospectus Summary

     1  

The Offering

     8  

Summary Financial Information

     11  

Risk Factors

     13  

Special Note Regarding Forward-Looking Statements

     83  

Market and Industry Data

     85  

Use of Proceeds

     86  

Dividend Policy

     88  

Capitalization

     89  

Dilution

     93  

Management’s Discussion and Analysis of Financial Condition and Results of Operations

     96  

Business

     115  

Management

     179  

Executive Compensation

     190  

Certain Relationships and Related Party Transactions

     210  

Principal Stockholders

     214  

Description of Capital Stock

     217  

Shares Eligible for Future Sale

     225  

Material U.S. Federal Income Tax Consequences to Non-U.S. Holders

     228  

Underwriting

     233  

Legal Matters

     241  

Experts

     241  

Where You Can Find Additional Information

     241  

Index to Financial Statements

     F-1  

 

 

We have not, and the underwriters have not, authorized anyone to provide you with information other than in this prospectus or in any free writing prospectus we may authorize to be delivered or made available to you. We take no responsibility for and cannot provide any assurance as to the reliability of any other information others may give you. We are not, and the underwriters are not, making an offer to sell shares of our common stock in any jurisdiction where the offer or sale is not permitted. The information in this prospectus or any free writing prospectus is accurate only as of its date, regardless of its time of delivery or of any sale of shares of our common stock. Our business, financial condition, results of operations, and prospects may have changed since that date.

For investors outside the United States: We have not, and the underwriters have not, done anything that would permit this offering or possession or distribution of this prospectus in any jurisdiction where action for that purpose is required, other than in the United States. Persons outside the United States who come into possession of this prospectus must inform themselves about, and observe any restrictions relating to, the offering of the shares of our common stock and the distribution of this prospectus outside of the United States.

 


Table of Contents

PROSPECTUS SUMMARY

This summary highlights selected information contained in greater detail elsewhere in this prospectus. This summary is not complete and does not contain all of the information you should consider in making your investment decision. Before investing in our common stock, you should carefully read this entire prospectus. You should carefully consider, among other things, the sections titled Risk Factors,” “Special Note Regarding Forward-Looking Statements,” and “Management’s Discussion and Analysis of Financial Condition and Results of Operations,” and our financial statements and the related notes included elsewhere in this prospectus. Unless the context otherwise requires, the terms the “Company,” “LB Pharmaceuticals,” “we,” “us,” “our,” and similar references in this prospectus refer to LB Pharmaceuticals Inc.

Overview

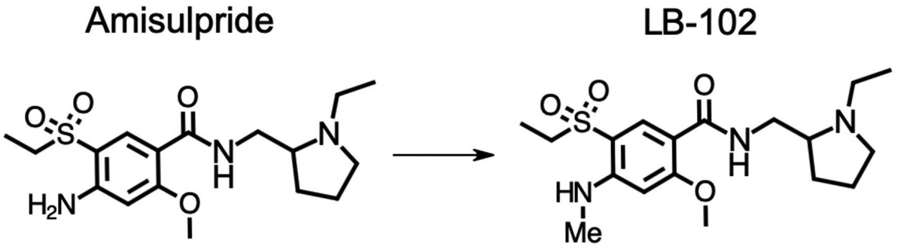
We are a clinical-stage biopharmaceutical company developing novel therapies for the treatment of schizophrenia, bipolar depression, and other neuropsychiatric diseases. We are building a pipeline that leverages the broad therapeutic potential of our lead product candidate, LB-102, which we believe has the potential to be the first benzamide antipsychotic drug approved for neuropsychiatric disorders in the United States. LB-102 is a new chemical entity and a methylated derivative of amisulpride, a second-generation antipsychotic drug approved in over 50 countries, not including the United States, because the development and regulatory requirements of the U.S. Food and Drug Administration, or FDA, for amisulpride were incompatible with patent coverage on the drug. Amisulpride is a generic drug that has been extensively used in clinical practice following its initial approval in France in the 1980s, generating at least two million monthly prescriptions in 2023 in a subset of 16 continental European countries. Among these European prescriptions for amisulpride, our data suggest that approximately 60% are for schizophrenia and schizoaffective disorders, approximately 20% are for mood disorders, approximately 14% are for anxiety, and the remainder are for a variety of other indications. We developed LB-102 in order to address the limitations of amisulpride with a differentiated therapeutic profile and strong intellectual property protection. We believe LB-102’s mechanism of action, data from our recently completed Phase 2 trial of LB-102 in acute schizophrenia, and the legacy of clinical experience with amisulpride support the continued development of LB-102 in schizophrenia and bipolar depression. If successful in treating bipolar depression, we may also develop LB-102 in the treatment of major depressive disorder, or MDD. In the future, we may also develop LB-102 for the treatment of other neuropsychiatric disorders, including schizophrenia with predominantly negative symptoms, Alzheimer’s disease-related agitation and psychosis, manic episodes associated with bipolar disorder, and cognitive impairment associated with schizophrenia, or CIAS. We believe that LB-102, if approved, can become a mainstay of psychiatric practice by offering a potentially attractive alternative to branded and generic therapeutics for the treatment of schizophrenia, bipolar depression, and other neuropsychiatric diseases.

Our product candidate, LB-102, is a Phase 3-ready oral, small molecule for the treatment of acute schizophrenia, defined as a sudden and severe episode of psychotic symptoms, characterized by hallucinations, delusions, and other positive symptoms. Schizophrenia is a chronic, severe, complex, and debilitating psychiatric disorder that affects approximately 1% of the U.S. population and is a leading cause of disability. Symptoms are divided into three categories: (i) psychotic or positive symptoms, which include delusions, hallucinations, thought disorder, and movement disorder; (ii) negative symptoms, which include lack of motivation, interest, or enjoyment in daily activities, withdrawal from social life, and difficulty showing emotions; and (iii) cognitive symptoms, which encompass problems with attention, concentration, and memory. The disease is associated with increased mortality, with approximately 5% of schizophrenia patients dying by suicide, and average overall life expectancy decreasing by as much as 29 years compared to the general population. There is currently no cure for schizophrenia, which means the disease must be managed with life-long therapy, increasing the importance of therapies that can improve compliance rates and dosing challenges.

In January 2025, we announced positive data from our four-week placebo-controlled, double-blinded, Phase 2 trial in the United States, which assessed the safety and efficacy of LB-102 in patients with acute

 

1


Table of Contents

schizophrenia. Results from the trial demonstrated (i) statistically significant clinical activity at all LB-102 doses tested; (ii) a significant average change in overall symptoms (effect size); (iii) a potentially class-leading tolerability profile among D2/D3 antagonists and partial agonists; and (iv) a potentially differentiated impact on cognition as measured by CogState Computerized Schizophrenia Battery of Tests. The trial achieved its primary endpoint of change in the Positive and Negative Syndrome Scale, or PANSS, a 30-item scale that measures the severity of schizophrenia symptoms, from baseline to Week 4. A statistically significant decrease in symptoms was observed for all three dose cohorts (50 mg, 75 mg, and 100 mg) compared to placebo. Additionally, our Phase 2 trial data showed a statistically significant impact on negative symptoms versus placebo at the 50 mg dose even though the inclusion criteria enriched for patients experiencing predominantly positive symptoms of schizophrenia. An exploratory post-hoc analysis of our Phase 2 data on the treatment effect in patients with negative symptoms at baseline (i.e., those patients with a PANSS Negative Subscore greater than or equal to 24) yielded similar results with a statistically significant impact on negative symptoms versus placebo at the 50 mg dose. LB-102 was generally well tolerated in the clinical trial, with adverse events being mostly transient and mild to moderate in severity. If replicated in our planned Phase 3 trial, we believe this tolerability profile has the potential to be class-leading among D2/D3 antagonists and partial agonists specifically with respect to the rate of sedation and extrapyramidal symptoms, or EPS, a group of movement disorders including involuntary movements, muscle stiffness, and tremors, that, together with sedation, are quite burdensome to patients and can result in discontinuation of treatments. The impact of LB-102 on cognitive function was also evaluated as an exploratory endpoint in this trial. After four weeks of treatment with LB-102, a robust, dose-dependent, and significant treatment effect size was identified in a post-hoc analysis in the completer population for all doses of LB-102 compared with placebo.

We designed our Phase 2 acute schizophrenia trial to be potentially registrational by including a large sample size (n=359), robust statistical analyses, as well as numerous sensitivity analyses. Based on positive end-of-Phase 2 feedback from the FDA, as well as historical precedent, we believe that our Phase 2 acute schizophrenia trial may serve as one of the two pivotal trials required for approval of a new drug application, or NDA, in the United States. As a result, we believe there is a viable path to approval of LB-102 in the United States for the treatment of schizophrenia with a single, six-week Phase 3 trial alongside other planned NDA-enabling studies. However, there is no guarantee that our Phase 2 trial may serve as one of the two pivotal trials required for FDA approval, and in such case, we may be required to conduct an additional pivotal trial in acute schizophrenia. The adequacy of our Phase 2 trial to support registration will be a matter of review by the FDA at the time of NDA submission and will depend on the totality of the data included in our submission, including the results of our planned Phase 3 trial. We are planning to initiate a six-week Phase 3 trial of LB-102 in acute schizophrenia patients in the first quarter of 2026, which we believe, if positive, could be sufficient to support a regulatory application for approval in the United States along with our completed Phase 2 trial and other planned NDA-enabling studies. The Phase 3 trial is anticipated to be a three-arm, inpatient, double-blinded, placebo-controlled, oral once-daily dose of LB-102 in patients with acute schizophrenia, with a six-week treatment duration. We plan to study the effects of 50 mg LB-102 or 100 mg LB-102 versus placebo in this trial, and patients will be randomized in a 1:1:1 ratio across the three arms of the trial. The sample size will be approximately 400 patients, and we plan to conduct this trial at approximately 25 sites entirely in the United States. The primary endpoint of the trial is anticipated to be change from baseline in PANSS at Day 42. We expect to disclose topline data from this Phase 3 trial in the second half of 2027 and, if positive, meet with the FDA in the first quarter of 2028 to discuss the potential for submission of an NDA.

In addition to our clinical development program in schizophrenia, we plan to leverage our expertise in neuropsychiatry and the unique mechanism of action of LB-102 to develop our product candidate in other indications, starting with bipolar depression. Most people living with bipolar depression experience dramatic shifts in mood, energy, and behavior, alternating between manic and depressive states. It is estimated that 2.8%, or approximately seven million Americans, experience bipolar disorder in a year, and approximately 40 million people live with bipolar disorder worldwide. Our initial Phase 2 trial will explore the utility of LB-102 in

 

2


Table of Contents

controlling the depressive symptoms of the disease. We plan to initiate this potentially registrational Phase 2 trial in bipolar depression in the first quarter of 2026, with topline data expected in the first quarter of 2028.

We believe LB-102’s strong antagonism of the D2, D3, and 5HT7 receptors makes it well suited for treating bipolar depression, providing potential to control psychosis and mania through its effects on D2 and potential for antidepressive and pro-cognitive effects through its antagonism of 5HT7 and D3. Our Phase 2 trial of LB-102 in acute schizophrenia demonstrated strong antipsychotic activity and suggests opportunities for potential differentiation in bipolar depression given the observed tolerability profile (low rates of EPS, sedation, and gastrointestinal side effects) and positive impact on cognition. Amisulpride is approved for the treatment of dysthymia, a form of depression, in certain countries outside of the United States and has been shown to be as effective as certain approved agents for MDD and dysthymia. We believe that results in dysthymia and MDD provide strong scientific and clinical rationale for development of LB-102 in the treatment of depressive episodes associated with bipolar disorder or bipolar depression because episodes of major depression, whether unipolar (as in MDD) or bipolar (as in bipolar depression), are typically characterized by a similar imbalance in the neurotransmitters serotonin, noradrenaline, and dopamine, regardless of the underlying pathophysiology of the disease. There is wide use of amisulpride in bipolar disorder with approximately 3.4% of at least two million monthly prescriptions written for this indication in a select group of European countries including Germany, France, Italy, Spain, and several others. A non-racemic form of amisulpride also showed antidepressant activity in two independent third-party, placebo-controlled bipolar depression trials with an approximately 17- to 18-point reduction in Montgomery–Åsberg Depression Rating Scale, or MADRS, from baseline observed across these studies. Additionally, among the four antipsychotics approved for schizophrenia and MDD or treatment resistant depression that were also studied in late-stage bipolar depression trials (quetiapine, cariprazine, aripiprazole, and olanzapine), three out of four, or 75%, generated positive data for the treatment of bipolar depression. Our planned Phase 2 trial for bipolar depression will utilize a fixed-flexible dose of LB-102. This trial design allows us to evaluate two doses of LB-102 in the trial, thereby increasing the chances for a patient to derive clinical benefit from treatment with LB-102, while retaining the advantages of a two-arm trial, which is known to mitigate the risk of a high placebo rate. Additionally, flexible dose trials typically have better signal detection than fixed dose trials for depression, as flexible dose trials lower the magnitude of symptom reduction with placebo. We believe LB-102 has the potential to provide improved tolerability and clinical activity in bipolar depression compared to currently available treatments worldwide, which are associated with troubling adverse events and insufficient efficacy for certain symptoms, including cognitive impairment associated with the disease.

We are also developing a long-acting injectable, or LAI, formulation of LB-102, which may improve compliance, a common issue in patients with schizophrenia and bipolar disorder. We believe an effective LAI form of LB-102 has the potential to benefit patients worldwide, as relatively few approved agents are available as long-acting formulations and there are no benzamide class LAIs currently available or in development worldwide. The American Psychiatric Association recommends injectable formulations in circumstances where doing so will improve adherence, decrease mortality, reduce hospitalization risk, and decrease treatment discontinuation rates. We have commenced LAI formulation development and expect to continue these efforts in 2026.

The U.S. market for branded antipsychotic drugs was approximately $12 billion as of 2024. Despite the widespread use of generic antipsychotic drugs, several of these branded drugs each generate U.S. sales in excess of $1 billion annually. Additionally, while available therapeutics to treat schizophrenia and bipolar depression demonstrate clinical benefit, a significant unmet need remains for a treatment that balances tolerability with clinically meaningful efficacy for the chronic management of symptoms related to both psychosis and mood disorders.

 

3


Table of Contents

Our Team and History

Our leadership and advisors are composed of individuals with extensive experience in the discovery, development, and commercialization of neuropsychiatric therapeutics.

Heather Turner, J.D., our Chief Executive Officer, was previously President and Chief Executive Officer of Carmot Therapeutics Inc., prior to its acquisition by Roche Pharmaceuticals for $3.1 billion. Anna Eramo, M.D., our Chief Medical Officer, previously led U.S. clinical and medical affairs at Lundbeck A/S, where her primary responsibilities extended across its U.S. neurology and psychiatric portfolio of products, including brexpiprazole (which is approved in schizophrenia, MDD, and agitation associated with Alzheimer’s disease), vortioxetine (which is approved for MDD), and Abilify Maintena (an LAI form of aripiprazole that is approved for schizophrenia and bipolar 1). Other members of our team held various positions at Celgene Corporation, Genzyme Corporation, and ImmunoGen, Inc., with experience working on late-stage development and commercial products.

Our Chairman of our board of directors, Scott Garland, most recently served as Chief Executive Officer of PACT Pharma, Inc. Previously, Scott was the Chief Executive Officer of Portola Pharmaceuticals, Inc., which Alexion Pharmaceuticals, Inc. acquired for $1.4 billion in 2020. Prior to that, he was President of Relypsa Inc., which Vifor Pharma AG acquired for $1.5 billion in 2016. He is joined on our board of directors by Robert Ruffolo, Ph.D., who previously served as President of Research and Development at Wyeth Pharmaceuticals, Inc., Zachary Prensky, co-founder of LB Pharmaceuticals and former manager of a family office with a heavy focus on investing in the biotechnology and pharmaceutical sectors, and other board representatives from our major investors.

We are advised by renowned experts in treating neuropsychiatric diseases. John Kane, M.D., is a Professor of Psychiatry and Molecular Medicine at the Donald and Barbara Zucker School of Medicine at Hofstra/Northwell and served as Chair of Psychiatry at The Zucker Hillside Hospital for 34 years. Christoph U. Correll, M.D., is a Professor of Psychiatry at the Donald and Barbara Zucker School of Medicine at Hofstra/Northwell. Maurizio Fava, M.D., is the Psychiatrist-In-Chief, Department of Psychiatry and Director, Division of Clinical Research at Mass General Research Institute. Dr. Fava is also the Executive Director of the Clinical Trials Network & Institute, as well as the Associate Dean for Clinical & Translational Research and Slater Family Professor of Psychiatry at Harvard Medical School. Luca Pani, M.D. is Professor of Clinical Psychiatry at the University of Miami and Pharmacology at the University of Modena & Reggio Emilia, former Italy’s AIFA Director General and EMA CHMP/SAWP Representative, with expertise in pre-clinical and clinical CNS drug development strategies.

Since our inception, we have raised over $120 million from a leading syndicate of investors, including Deep Track Capital, Pontifax, TCG Crossover Fund, and Vida Ventures. Prospective investors should not rely on the investment decisions of our existing investors, as these investors may have different risk tolerances and have received their shares in prior offerings at prices lower than the price offered to the public in this offering.

Our Strategy

Our strategy is to develop LB-102 for the treatment of schizophrenia and mood disorders initially and subsequently for other neuropsychiatric disorders in the United States and internationally. Key elements of our strategy include:

 

   

Achieve regulatory approval for LB-102 for the treatment of schizophrenia.

 

   

Advance LB-102 as a potential treatment across the spectrum of disease for patients with schizophrenia.

 

   

Expand development of LB-102 into bipolar depression and other psychosis and mood disorders.

 

4


Table of Contents
   

Extend the life-cycle and global reach of LB-102 by advancing alternate formulations.

 

   

Maximize the commercial opportunity of LB-102.

Risk Factor Summary

Investing in our common stock involves significant risks. You should carefully consider the risks described in the section titled “Risk Factors” immediately following this prospectus summary and elsewhere in this prospectus before making a decision to invest in our common stock. If we are unable to successfully address these risks and challenges, our business, financial condition, results of operations, or prospects could be materially and adversely affected. In such case, the trading price of our common stock would likely decline, and you may lose all or part of your investment. Below is a summary of some of the risks we face.

 

   

We are a clinical-stage biopharmaceutical company with a limited operating history and no history of commercializing products, which may make it difficult to evaluate our approach to the discovery and development of our product candidate and the prospects for our future viability.

 

   

We have incurred substantial losses since our inception. We anticipate incurring substantial and increasing losses for the foreseeable future and may never achieve or maintain profitability.

 

   

As a result of our history of losses and negative cash flows from operations, our consolidated financial statements contain a statement regarding a substantial doubt about our ability to continue as a going concern.

 

   

We will require substantial additional financing in addition to the proceeds of this offering to achieve our goals, and failure to obtain additional capital when needed, or on acceptable terms to us, could cause us to delay, limit, reduce, or terminate our product development or future commercialization efforts.

 

   

We have concentrated our research and development efforts on the treatment of psychiatric and neurological conditions, a field that faces certain challenges in drug development.

 

   

Preclinical and clinical development involves a lengthy and expensive process, with an uncertain outcome, and results of earlier studies and trials may not be predictive of future trial or real-world results. We may incur additional costs or experience delays in completing, or ultimately be unable to complete, the development and commercialization of our current product candidate or any future product candidates.

 

   

Even if we complete the necessary preclinical studies and clinical trials, the marketing approval process is expensive, time-consuming, and uncertain and may prevent us or any future collaboration partners from obtaining approvals for the commercialization of our product candidate.

 

   

Even if our product candidate receives regulatory approval, it may fail to achieve the degree of market acceptance by physicians, patients, and others in the medical community necessary for commercial success, in which case we may not generate significant revenues or become profitable.

 

   

The successful commercialization of our product candidate, if approved, will depend in part on the extent to which governmental authorities and health insurers establish coverage, adequate reimbursement levels, and favorable pricing policies. Failure to obtain or maintain coverage and adequate reimbursement for our product candidate could limit our ability to market those products and decrease our ability to generate revenue.

 

   

Our business depends on the success of our product candidate. If we are ultimately unable to successfully commercialize our product candidate, or experience significant delays in doing so, our business will be materially harmed.

 

   

We rely on, and intend to continue to rely on, our internal clinical development expertise to conduct our current and future clinical trials. This model includes internal teams and systems as well as external vendors and CROs to comprise a full clinical trial team. If our clinical trial team does not comply with

 

5


Table of Contents
 

applicable regulatory requirements, meet expected deadlines, or run trials effectively, our development programs and our ability to seek or obtain regulatory approval for or commercialize our product candidate may be delayed.

 

   

The loss of our third-party manufacturers or suppliers, or their failure to comply with applicable regulatory requirements or to supply sufficient quantities at acceptable quality levels or prices, within acceptable timeframes, or at all, would materially and adversely affect our business.

 

   

The obligations from our royalty agreements may be a drain on our cash resources or may cause us to incur debt obligations to satisfy the payment obligations.

 

   

Competitive products may reduce or eliminate the commercial opportunity for our product candidate for our current or future indications. If our competitors develop technologies or product candidates more rapidly than we do, or their technologies are more effective or safer than ours, our ability to develop and successfully commercialize our current products may be adversely affected.

 

   

We are dependent on the services of our management and other clinical and scientific personnel, and if we are not able to retain these individuals or recruit additional management or clinical and scientific personnel, our business will suffer.

 

   

If we are unable to obtain and maintain sufficient intellectual property protection for our technologies, and product candidate and any future product candidates we may develop, or if the scope of the intellectual property protection obtained is not sufficiently broad, our competitors or other third parties could develop and commercialize products similar or identical to ours, and our ability to successfully develop and commercialize our product candidate may be adversely affected.

 

   

Patent terms may be inadequate to protect our competitive position on our product candidate for a sufficient amount of time.

Corporate Information and Trademarks

LB Pharmaceuticals Inc was incorporated under the laws of the State of Delaware in September 2015. Our principal executive office is located at One Pennsylvania Plaza, Suite 1025, New York, NY 10119. Our telephone number is (212) 605-0300. Our website address is https://lbpharma.us. Information contained in, or accessible through, our website does not constitute a part of, and is not incorporated into, this prospectus.

The LB Pharmaceuticals logo, the name LB Pharmaceuticals, and other trademarks of LB Pharmaceuticals Inc appearing in this prospectus are the property of LB Pharmaceuticals Inc. Solely for convenience, trade names, trademarks, and service marks contained in this prospectus may appear without the “®” or “” symbols. Such references are not intended to indicate, in any way, that the respective owners will not assert, to the fullest extent possible under applicable law, their rights to those trade names, trademarks, and service marks.

Implications of Being an Emerging Growth Company and a Smaller Reporting Company

We are an “emerging growth company” as defined in the Jumpstart Our Business Startups Act, or JOBS Act, and we may remain an emerging growth company for up to five years following the completion of this offering. For so long as we remain an emerging growth company, we are permitted and intend to rely on certain exemptions from various public company reporting requirements, including not being required to have our internal control over financial reporting audited by our independent registered public accounting firm pursuant to Section 404(b) of the Sarbanes-Oxley Act of 2002, or Sarbanes-Oxley Act, reduced disclosure obligations regarding executive compensation in our periodic reports and proxy statements, and exemptions from the requirements of holding a nonbinding advisory vote on executive compensation and any golden parachute payments not previously approved. In particular, in this prospectus, we have provided only two years of audited financial statements and have not included all of the executive compensation-related information that would be

 

6


Table of Contents

required if we were not an emerging growth company. Accordingly, the information contained herein may be different than the information you receive from other public companies in which you hold stock.

In addition, the JOBS Act provides that an emerging growth company can take advantage of an extended transition period for complying with new or revised accounting standards. This provision allows an emerging growth company to delay the adoption of some accounting standards until those standards would otherwise apply to private companies. We have elected to take advantage of the benefits of this extended transition period and, therefore, we are not subject to the same requirements to adopt new or revised accounting standards as other public companies that are not emerging growth companies; however, we may adopt certain new or revised accounting standards early. We would cease to be an emerging growth company upon the earliest to occur of: (i) the last day of the fiscal year in which we have $1.235 billion or more in annual revenue; (ii) the date on which we first qualify as a large accelerated filer under the rules of the SEC; (iii) the date on which we have, in any three-year period, issued more than $1.0 billion in non-convertible debt securities; and (iv) the last day of the fiscal year ending after the fifth anniversary of this offering.

We are also a “smaller reporting company” as defined in the Securities Exchange Act of 1934, as amended, or Exchange Act. We may continue to be a smaller reporting company even after we are no longer an emerging growth company. We may take advantage of certain of the scaled disclosures available to smaller reporting companies and will be able to take advantage of these scaled disclosures for so long as the market value of our voting and non-voting common stock held by non-affiliates is less than $250.0 million measured on the last business day of our second fiscal quarter, or our annual revenue is less than $100.0 million during the most recently completed fiscal year, and the market value of our voting and non-voting common stock held by non-affiliates is less than $700.0 million measured on the last business day of our second fiscal quarter.

 

7


Table of Contents

THE OFFERING

 

Common stock offered by us

16,666,667 shares.

 

Option to purchase additional shares of common stock

The underwriters have a 30-day option to purchase up to 2,500,000 additional shares of our common stock at the initial public offering price less the underwriting discounts and commissions.

 

Total common stock to be outstanding immediately after this offering

20,100,137 shares, or 22,600,137 shares if the underwriters exercise their option to purchase additional shares of our common stock in full.

 

Use of proceeds

We estimate that our net proceeds from this offering will be approximately $228.5 million (or approximately $263.4 million if the underwriters exercise in full their option to purchase additional shares of our common stock), based on the assumed initial public offering price of $15.00 per share, which is the midpoint of the price range set forth on the cover page of this prospectus, after deducting the underwriting discounts and commissions and estimated offering expenses payable by us.

 

  We intend to use the net proceeds of this offering, together with our existing cash and cash equivalents, to advance the clinical development of LB-102 to treat acute schizophrenia and bipolar depression and utilize the remainder for general corporate purposes.

 

  See the section titled “Use of Proceeds” for additional information.

 

Risk factors

You should carefully read and consider the information set forth in the section titled “Risk Factors,” together with all of the other information set forth in this prospectus, before deciding whether to invest in our common stock.

 

Proposed Nasdaq trading symbol

“LBRX.”

The number of shares of our common stock to be outstanding after this offering is based on 3,433,470 shares of common stock outstanding as of June 30, 2025, after giving effect to the conversion of all outstanding shares of our convertible preferred stock into 3,181,815 shares of common stock upon the closing of this offering and excludes:

 

   

427,526 shares of common stock issuable upon the exercise of outstanding stock options under our 2023 Stock Incentive Plan, as amended, or the 2023 Plan, as of June 30, 2025, at a weighted-average exercise price of $41.84 per share (which does not take into account the option repricing described below);

 

   

27,943 shares of common stock issuable upon the exercise of outstanding stock options under our 2018 Stock Incentive Plan, or the 2018 Plan, as of June 30, 2025, at a weighted-average exercise price of $66.40 per share (which does not take into account the option repricing described below);

 

   

10,397 shares of common stock issuable upon the exercise of outstanding stock options under our 2017 Stock Incentive Plan, or the 2017 Plan, as of June 30, 2025, at a weighted-average exercise price of $49.81 per share (which does not take into account the option repricing described below);

 

8


Table of Contents
   

717 shares of common stock issuable upon the exercise of outstanding stock options granted subsequent to June 30, 2025, at an exercise price equal to the initial public offering price per share in this offering;

 

   

24,919 Class A common stock warrants to purchase 24,919 shares of our common stock, of which 24,919 Class A common stock warrants remain to be exercised as of June 30, 2025, with an exercise price of $0.28 per share, as more fully described in the section titled “Description of Capital Stock—Warrants—Class A Warrants;”

 

   

31,605 Class B common stock warrants to purchase 31,605 shares of our common stock, of which 31,605 Class B common stock warrants remain to be exercised as of June 30, 2025, with an exercise price of $0.28 per share, as more fully described in the section titled “Description of Capital Stock—Warrants—Class B Warrants;”

 

   

54,813 warrants held by Maxim Partners LLC to purchase 54,813 shares of our common stock of which 54,813 warrants remain to be exercised as of June 30, 2025, with an exercise price of $0.28 per share, as more fully described in the section titled “Description of Capital Stock—Warrants—Maxim Warrants;”

 

   

2,557 Series B-1 common stock warrants to purchase 2,557 shares of our common stock of which 2,557 Series B-1 common stock warrants remain to be exercised as of June 30, 2025, with an exercise price of $0.28 per share, as more fully described in the section titled “Description of Capital Stock—Warrants—Series B-1 Warrants;”

 

   

3,509 New Series B common stock warrants to purchase 3,509 shares of our common stock of which 3,509 New Series B common stock warrants remain to be exercised as of June 30, 2025, with an exercise price of $41.84 per share, as more fully described in the section titled “Description of Capital Stock—Warrants—New Series B Warrants;”

 

   

2,907,335 shares of common stock reserved for future issuance under our 2025 Equity Incentive Plan, or 2025 Plan, which became effective upon the execution and delivery of the underwriting agreement for this offering (of which we will grant certain options to purchase shares of common stock at an exercise price equal to the initial public offering price, as described in the section titled “Executive Compensation—2025 Equity Incentive Plan”), as well as any future automatic annual increases in the number of shares of common stock reserved for issuance under our 2025 Plan, as more fully described in the section titled “Executive Compensation—Equity Benefit Plans;” and

 

   

201,000 shares of common stock reserved for future issuance under our 2025 Employee Stock Purchase Plan, or ESPP, which became effective upon the execution and delivery of the underwriting agreement for this offering, as well as any future automatic annual increases in the number of shares of common stock reserved for future issuance under our ESPP, as more fully described in the section titled “Executive Compensation—Equity Benefit Plans.”

In September 2025, our board of directors approved the repricing of stock options previously granted to current executive officers, employees and directors with per-share exercise prices above the initial per share to the public in this offering, or the Option Repricing. Assuming an initial price per share to the public in this offering of $15.00 per share, which is the midpoint of the price range set forth on the cover page of the prospectus, upon the execution of the underwriting agreement related to this offering, stock options to purchase approximately 406,998 shares of our common stock will be automatically repriced to an exercise price per share equal to the initial price per share to the public in this offering.

Unless otherwise indicated, all information contained in this prospectus assumes or gives effect to:

 

   

a 1-for-27.8874 reverse stock split of our common stock effected on September 8, 2025 and the resulting adjustments to the respective conversion ratios of our Series A convertible preferred stock, Series B convertible preferred stock and Series C convertible preferred stock, or the Stock Split;

 

9


Table of Contents
   

the automatic conversion of an aggregate of all 4,251,960 shares of our Series Seed convertible preferred stock, Series A convertible preferred stock and Series B convertible preferred stock outstanding prior to the Stock Split into an aggregate of 152,390 shares of common stock upon the closing of this offering;

 

   

the automatic conversion of all 73,820,346 shares of our Series C convertible preferred stock outstanding prior to the Stock Split into 3,029,425 shares of our common stock, including 382,467 shares of common stock issuable in respect of anti-dilution adjustments, upon the closing of this offering, based upon an assumed initial public offering price of $15.00 per share, which is the midpoint of the estimated offering price range set forth on the cover page of this prospectus. A $1.00 decrease in the initial public offering price would increase the number of shares of our common stock issuable in respect of our Series C convertible preferred stock by 19,731 shares, and a $1.00 increase in the initial public offering price would decrease the number of shares of our common stock issuable in respect of our Series C convertible preferred stock by 19,254 shares; provided, however, that in no event would the shares of our Series C convertible preferred stock outstanding prior to the Stock Split convert into more than 3,049,156 shares of our common stock upon the closing of this offering. A 1.0 million share increase in the size of this offering would increase the number of shares of our common stock issuable in respect of our Series C convertible preferred stock by 4,261 shares, and a 1.0 million share decrease in the size of this offering would decrease the number of shares of our common stock issuable in respect of our Series C convertible preferred stock by 4,795 shares;

 

   

the filing of our amended and restated certificate of incorporation and the adoption of our amended and restated bylaws immediately prior to the closing of this offering;

 

   

no exercise of the outstanding options or warrants described above subsequent to June 30, 2025; and

 

   

no exercise by the underwriters of their option to purchase additional shares of our common stock and no issuance of additional shares of common stock issuable in respect of anti-dilution adjustments to the Series C convertible preferred stock that may be made upon the underwriters’ exercise of such option.

 

10


Table of Contents

SUMMARY FINANCIAL INFORMATION

The following tables set forth a summary of our financial data as of, and for the periods ended on, the dates indicated. We have derived the summary statements of operations data for the years ended December 31, 2024 and 2023 from our audited financial statements included elsewhere in this prospectus. The following summary condensed statements of operations data for the six months ended June 30, 2025 and 2024, and the summary condensed balance sheet data as of June 30, 2025 have been derived from our unaudited condensed financial statements included elsewhere in this prospectus. Our financial statements appearing elsewhere in this prospectus have been prepared in accordance with U.S. generally accepted accounting principles, or GAAP. Our unaudited condensed financial statements were prepared on a basis consistent with our audited consolidated financial statements and include, in our opinion, all adjustments of a normal and recurring nature that are necessary for the fair statement of the financial information set forth in those statements included elsewhere in this prospectus.

Our historical results are not necessarily indicative of results that should be expected in any future period. You should read the following summary financial data together with our financial statements and related notes included elsewhere in this prospectus and in the section titled “Management’s Discussion and Analysis of Financial Condition and Results of Operations.”

 

    Year Ended
December 31,
    Six Months Ended
June 30,
 
    2024     2023     2025     2024  
    (in thousands, except share and per share data)  

Statements of Operations Data

       

Operating expenses:

       

Research and development

  $ 51,171     $ 7,845     $ 5,842     $ 40,131  

General and administrative

    13,659       3,531       5,446       3,077  
 

 

 

   

 

 

   

 

 

   

 

 

 

Total operating loss

  $ (64,830   $ (11,376   $ (11,288   $ (43,208

Non-operating income (expense):

       

Interest income

    1,721       811       413       1,039  

Interest expense

    —        (4,825     —        —   

Loss on extinguishment of debt

    —        (7,435     —        —   

Realized gain on sale of marketable securities, net

    955       328       119       90  

(Loss) gain on change in fair value of derivative instruments

    (947     16,257       579       (1,771

Other expenses

    —        (34     —        —   
 

 

 

   

 

 

   

 

 

   

 

 

 

Total non-operating income

  $ 1,729     $ 5,102     $ 1,111     $ (642
 

 

 

   

 

 

   

 

 

   

 

 

 

Loss before income tax

  $ (63,101   $ (6,274   $ (10,177   $ (43,850

Income tax provision

    1       1       —        —   
 

 

 

   

 

 

   

 

 

   

 

 

 

Net loss attributable to common stockholders

  $ (63,102   $ (6,275   $ (10,177   $ (43,850
 

 

 

   

 

 

   

 

 

   

 

 

 

Net loss per share, basic and diluted

  $ (176.15   $ (21.86   $ (28.31   $ (122.67

Weighted average shares outstanding used in calculating net loss per share, basic and diluted

    358,229       287,163       359,438       357,475  
 

 

 

   

 

 

   

 

 

   

 

 

 

Pro forma net loss per share, basic and diluted (unaudited)(1)

  $ (17.83     (1.81   $ (2.87     (12.39 )
 

 

 

     

 

 

   

Pro forma weighted average shares outstanding used in calculating net loss per share, basic and diluted (unaudited)(1)

    3,539,544       3,468,478       3,540,753       3,538,790  
 

 

 

     

 

 

   
 
(1)

The unaudited basic and diluted pro forma net loss per share were computed using the weighted-average shares of common stock outstanding, including the pro forma effect of the conversion of all outstanding redeemable

 

11


Table of Contents
  convertible preferred stock into shares of common stock. Pro forma basic and diluted net loss per share does not include the shares expected to be sold in this offering.

 

     As of June 30, 2025  
     Actual     Pro Forma(1)      Pro Forma As
Adjusted(2)(3)
 
     (in thousands)  

Balance Sheet Data

       

Cash and cash equivalents

   $ 14,225     $ 14,225      $ 242,725  

Working capital(4)

     10,875       10,875        239,375  

Total assets

     19,248       19,248        247,748  

Derivative liability – warrants

     1,925       1,925        1,925  

Total liabilities

     8,862       8,862        8,862  

Redeemable convertible preferred stock

     114,259       —         —   

Total stockholders’ (deficit) equity

     (103,873     10,386        238,886  
 
(1)

The pro forma balance sheet data gives effect to (i) the automatic conversion of all of our outstanding shares of redeemable convertible preferred stock into an aggregate of 3,181,815 shares of common stock immediately upon the closing of this offering and the related reclassification of the carrying value of the redeemable convertible preferred stock and preferred stock warrant liability to stockholders’ equity upon the closing of this offering and (ii) the filing of our amended and restated certificate of incorporation immediately prior to the closing of this offering.

(2)

The pro forma as adjusted balance sheet data gives effect to (i) the pro forma adjustments set forth in footnote (1) above and (ii) the issuance and sale of 16,666,667 shares of common stock in this offering at the assumed initial public offering price of $15.00 per share, which is the midpoint of the price range set forth on the cover page of this prospectus, after deducting the underwriting discounts and commissions and estimated offering expenses payable by us. Each $1.00 increase (decrease) in the assumed initial public offering price of $15.00 per share would increase (decrease) each of our pro forma as adjusted cash and cash equivalents and marketable securities, total assets, working capital, and total stockholders’ (deficit) equity by approximately $15.5 million, assuming that the number of shares offered, as set forth on the cover of this prospectus, remains the same and after deducting the estimated underwriting discounts and commissions payable by us. Each increase (decrease) of 1.0 million shares in the number of shares offered by us would increase (decrease) each of our pro forma cash and cash equivalents and marketable securities, total assets, working capital, and total stockholders’ (deficit) equity by approximately $14.0 million, assuming the assumed initial public offering price per share remains the same and after deducting the estimated underwriting discounts and commissions payable by us.

(3)

This pro forma as adjusted information is illustrative only and will depend on the actual initial public offering price and other terms of this offering determined at pricing.

(4)

Working capital is defined as current assets less current liabilities. See our financial statements and the related notes included elsewhere in this prospectus for further details regarding our current assets and current liabilities.

 

12


Table of Contents

RISK FACTORS

Investing in our common stock involves a high degree of risk. You should carefully consider the risks and uncertainties described below, together with all of the other information contained in this prospectus, including our financial statements and their related notes included elsewhere in this prospectus and the section titled “Management’s Discussion and Analysis of Financial Condition and Results of Operations” before making an investment decision. If any of the following risks actually occurs, our business, prospects, operating results, and financial condition could suffer materially, the trading price of our common stock could decline, and you could lose all or part of your investment. The risks and uncertainties described below are not the only ones we face. Additional risks and uncertainties not presently known to us or that we currently believe to be immaterial also may materially and adversely affect our business, prospects, operating results, and financial condition.

Risks Related to Our Limited Operating History, Financial Position, and Need for Capital

We are a clinical-stage biopharmaceutical company with a limited operating history and no history of commercializing products, which may make it difficult to evaluate our approach to the discovery and development of our product candidate and the prospects for our future viability.

We are a clinical-stage biopharmaceutical company with a limited operating history. We were formed in 2015 and our operations to date have been limited to organizing, staffing, and financing our company, conducting research and development activities, conducting clinical trials for our product candidate, and establishing our intellectual property portfolio. If we are successful in achieving regulatory approval for our product candidate in the future, we will eventually need to transition from a company with a development focus to a company capable of supporting commercial activities. We may not be successful in such a transition.

Our approach to the discovery and development of our product candidate is unproven, and we do not know whether we will be able to develop any product candidate that succeeds in clinical development or products of commercial value. Moreover, as an organization, we have not yet demonstrated an ability to obtain regulatory approvals, manufacture a commercial-scale product or arrange for a third party to do so on our behalf, conduct sales and marketing activities necessary for successful product commercialization, or generate revenues. We may encounter unforeseen expenses, difficulties, complications, delays, and other known or unknown factors in achieving our business objectives. Accordingly, you should consider our prospects in light of the costs, uncertainties, delays, and difficulties frequently encountered by companies in clinical development, especially clinical-stage biopharmaceutical companies such as ours. Any predictions you make about our future success or viability may not be as accurate as they could be if we had a longer operating history or a history of successfully developing and commercializing pharmaceutical products.

We have incurred substantial losses since our inception. We anticipate incurring substantial and increasing losses for the foreseeable future and may never achieve or maintain profitability.

Investment in biopharmaceutical product development is highly speculative because it entails substantial upfront capital expenditures and significant risk that any potential product candidate will fail to demonstrate adequate efficacy or an acceptable safety profile, gain regulatory approval, and become commercially viable. We have no products approved for commercial sale and have not generated any revenue from product sales to date. As a result, we are not profitable, have incurred substantial losses in each period since our inception, and we expect to incur significant losses for the foreseeable future.

For the years ended December 31, 2024 and 2023, and the six months ended June 30, 2025, our net losses were approximately $63.1 million, $6.3 million, and $10.2 million, respectively. As of June 30, 2025, we had an accumulated deficit of approximately $114.5 million. Substantially all of our losses have resulted from expenses incurred in connection with the development of our pipeline, research and development, clinical trial costs, and from general and administrative costs associated with our operations. We expect to incur significant losses for

 

13


Table of Contents

the foreseeable future, and we expect these losses to increase as we continue our development of our product candidate. We anticipate that our expenses will increase substantially if, and as, we:

 

   

conduct further clinical trials for LB-102 in patients with schizophrenia, initiate clinical development of LB-102 in bipolar depression and other neuropsychiatric indications, and advance our preclinical programs into the clinic;

 

   

identify additional product candidates and acquire rights from third parties to those product candidates through licenses or other acquisitions, and conduct development activities, including preclinical studies and clinical trials;

 

   

procure the manufacturing of preclinical, clinical, and commercial supply of our current and future product candidates;

 

   

seek regulatory approvals for our product candidate or any future product candidates;

 

   

commercialize our current product candidate or any future product candidates, if approved;

 

   

take steps toward our goal of being an integrated biopharmaceutical company capable of supporting commercial activities, including establishing sales, marketing and distribution infrastructure;

 

   

attract, hire, and retain qualified clinical, scientific, operations, and management personnel;

 

   

add and maintain operational, financial, and information management systems;

 

   

protect, maintain, enforce, and defend our rights in our intellectual property portfolio;

 

   

defend against third-party interference, infringement, and other intellectual property claims, if any;

 

   

address any competing therapies and market developments;

 

   

experience any delays in our preclinical studies or clinical trials and regulatory approval for our product candidate due to macroeconomic conditions, geopolitical conflicts, or other global events, including any health epidemics and their residual effects; and

 

   

incur additional costs, including legal, accounting, and other expenses, associated with operating as a public company following the completion of this offering.

We have no product candidates approved for commercial sale and have not generated any revenue from the sale of products. Our ability to become and remain profitable depends on our ability to generate revenue. We do not expect to generate significant revenue, if any, unless and until we, either alone or with a collaborator, are able to obtain regulatory approval for, and successfully commercialize, our product candidate for its initial and potential additional indications, or any other product candidates we may develop in the future.

Successful commercialization will require achievement of many key milestones, including demonstrating each product candidate’s safety and efficacy in clinical trials, obtaining regulatory approval for these product candidates, manufacturing, marketing, and selling those products for which we, or any of our future collaborators, may obtain regulatory approval, satisfying any post-marketing requirements, and obtaining reimbursement for our products from private insurance or government payors. Because of the uncertainties and risks associated with these activities, we are unable to accurately and precisely predict the timing and amount of revenues, the extent of any further losses, or if or when we might achieve profitability. We and any future collaborators may never succeed in these activities and, even if we do, or any future collaborators do, we may never generate revenues that are large enough for us to achieve profitability. Even if we do achieve profitability, we may not be able to sustain or increase profitability on a quarterly or annual basis. Additionally, our expenses could increase if we are required by the FDA or any comparable foreign regulatory authority to perform clinical trials in addition to those currently expected, or if there are any delays in completing our clinical trials or in the nonclinical or manufacturing-related activities associated with the development of our product candidate.

Even if we succeed in commercializing LB-102, we expect to incur substantial development costs and other expenditures to develop and market additional product candidates. We may also encounter unforeseen expenses,

 

14


Table of Contents

difficulties, complications, delays, and other unknown factors that may adversely affect our business. The size of our future net losses will depend, in part, on the rate of future growth of our expenses and our ability to generate revenue or raise additional capital. Our prior losses and expected future losses have had and will continue to have an adverse effect on our stockholders’ equity and our working capital. Our failure to become and remain profitable may depress the market price of our common stock and could impair our ability to raise capital, expand our business, diversify our product offerings, or continue our operations. If we continue to suffer losses as we have in the past, you may not receive any return on your investment and may lose your entire investment.

As a result of our history of losses and negative cash flows from operations, our financial statements contain a statement regarding a substantial doubt about our ability to continue as a going concern.

Our history of operating losses and negative cash flows from operations combined with our anticipated use of cash to fund operations raises substantial doubt about our ability to continue as a going concern as our existing cash and cash equivalents of $14.2 million as of June 30, 2025 will not be sufficient to meet operating and capital requirements for at least 12 months from the date of issuance of our audited financial statements. Based on our current operating plan, we will need to raise additional financing to continue our products’ development for the foreseeable future, and until we become profitable. Our future viability as an ongoing business is dependent on our ability to generate cash from our operating activities or to raise additional capital to finance our operations.

If we are unable to raise additional capital as and when needed, our business, financial condition and results of operations will be materially and adversely affected, and we may be forced to delay our development efforts, limit our activities and reduce research and development costs. If we are unable to continue as a going concern, we may have to liquidate our assets, and the values we receive for our assets in liquidation or dissolution could be significantly lower than the values reflected in our financial statements. The inclusion of a going concern explanatory paragraph by our independent registered public accounting firm, our lack of cash resources and our potential inability to continue as a going concern may materially adversely affect our share price and our ability to raise new capital, enter into licensing and collaboration arrangements or other contractual relationships with third parties and otherwise execute our development strategy.

We will require substantial additional financing in addition to the proceeds of this offering to achieve our goals, and failure to obtain additional capital when needed, or on acceptable terms to us, could cause us to delay, limit, reduce, or terminate our product development or future commercialization efforts.

Our operations have consumed substantial amounts of cash since our inception. We expect to continue to spend substantial amounts of cash to conduct further research and development, preclinical studies, and clinical trials of our current and any future product candidates, to seek regulatory approvals for our product candidate, and to launch and commercialize any products if we receive regulatory approval.

As of June 30, 2025, we had $14.2 million of cash and cash equivalents. Based upon our current operating plan, we believe that our existing cash and cash equivalents as of the date of this prospectus will enable us to fund our operating expenses and capital expenditure requirements for at least the next twelve months. In addition, based upon our current operating plan, we believe that the net proceeds from this offering, together with our existing cash and cash equivalents, will enable us to fund our operating expenses and capital expenditure requirements through. Our future capital requirements and the period for which our existing resources will support our operations may vary significantly from what we expect, and we will, in any event, require additional capital in order to complete clinical development of our current program. Our monthly spending levels will vary based on new and ongoing development and corporate activities. Because the length of time and activities associated with development of our programs and product candidate are highly uncertain, we are unable to estimate the actual funds we will require for development and any approved marketing and future commercialization activities, if any. Our future capital requirements will depend on many factors, including:

 

   

the scope, timing, progress, costs, and results of discovery, preclinical development, and clinical trials for our current or future product candidates;

 

15


Table of Contents
   

the number of clinical trials required for regulatory approval of our current or future product candidates, which may differ between the United States and other countries or regions;

 

   

the costs, timing, and outcome of regulatory review of any of our current or future product candidates;

 

   

the costs associated with acquiring or licensing additional product candidates, technologies, or assets, including the timing and amount of any milestones, royalties, or other payments due in connection with our acquisitions and licenses;

 

   

the cost of manufacturing clinical and commercial supplies and any other activities related thereto of our current or future product candidates;

 

   

the costs and timing of preparing, filing, and prosecuting patent applications, maintaining and enforcing our intellectual property rights, and defending any intellectual property-related claims, including any claims by third parties that we are infringing upon their intellectual property rights;

 

   

our ability to maintain existing, and establish new, strategic collaborations or other arrangements and the financial terms of any such agreements, including the timing and amount of any future milestone, royalty, or other payments due under any such agreement;

 

   

the costs and timing of future commercialization activities, including manufacturing, marketing, sales, and distribution, for any product candidate for which we receive marketing approval;

 

   

the revenue, if any, received from commercial sales of the product candidate(s) for which we receive marketing approval;

 

   

expenses to attract, hire, and retain skilled personnel for us to grow as an organization and achieve our business objectives;

 

   

the costs of operating as a public company;

 

   

our ability to establish a commercially viable pricing structure and obtain approval for coverage and adequate reimbursement from third-party and government payors for any products that receive marketing approval;

 

   

our ability to mitigate the impact of adverse macroeconomic conditions or geopolitical events, including any health epidemics and their residual effects, the ongoing conflicts between Ukraine and Russia and between Israel and Hamas, bank failures, or inflation and increased interest rates, on our preclinical and clinical development or operations;

 

   

the effect of competing technological and market developments; and

 

   

the extent to which we acquire or invest in businesses, products, and technologies.

We will require substantial additional capital in addition to the proceeds of this offering to achieve our business objectives. Additional funds may not be available on a timely basis, on favorable terms or at all, and such funds, if raised, may not be sufficient to enable us to continue to implement our long-term business strategy. Market volatility resulting from adverse macroeconomic conditions or geopolitical events, including the ongoing war between Ukraine and Russia and the war in the Middle East, bank failures, inflation, increased interest rates, or other factors, may further adversely impact our ability to access capital as and when needed. Until such time, if ever, as we can generate substantial product revenue, we expect to finance our cash needs through equity offerings, debt financings, or other capital sources, including potential collaborations, licenses, and other similar arrangements. To the extent that we raise additional capital through the sale of equity or convertible debt securities, your ownership interest will be diluted, and the terms of these securities may include liquidation or other preferences that adversely affect your rights as a holder of our common stock. Any future debt financing and preferred equity financing, if available, may involve agreements that include covenants limiting or restricting our ability to take specific actions, such as incurring additional debt, selling or licensing our assets, making capital expenditures, declaring dividends, or encumbering our assets to secure future indebtedness. Such restrictions could adversely impact our ability to conduct our operations and execute our business plan.

 

16


Table of Contents

If we raise additional funds through future collaborations, licenses, and other similar arrangements, we may have to relinquish valuable rights to our future revenue streams or product candidates, or grant licenses on terms that may not be favorable to us and/or that may reduce the value of our common stock. If we are unable to raise additional funds through equity or debt financings or other arrangements when needed or on terms acceptable to us, we would be required to delay, limit, reduce, or terminate our product development or future commercialization efforts or grant rights to develop and market product candidates that we would otherwise prefer to develop and market ourselves.

We have concentrated our research and development efforts on the treatment of psychiatric and neurological conditions, a field that faces certain challenges in drug development.

We have focused our research and development efforts on the treatment of psychiatric and neurological conditions. Efforts by biotechnology and pharmaceutical companies in this field have faced certain challenges in drug development. In particular, clinical trials focused on many neuroscience diseases, such as schizophrenia and bipolar depression, rely on subjective patient-reported outcomes as key endpoints. This makes these trials more difficult to evaluate than indications with more objective endpoints. Furthermore, these indications are often subject to a higher placebo effect, which may make it more challenging to isolate the beneficial effects of our product candidate. While a product candidate may show clinical activity or therapeutic benefit, a high placebo effect in a clinical trial will make it difficult to ascertain that benefit or to show a statistically significant effect of the product candidate as compared to the control arm, which may ultimately cause a clinical trial to fail or otherwise not translate to actual clinical benefit. Moreover, the risk for this higher placebo effect can increase from successful completion of a Phase 2 trial to a Phase 3 trial, as there is clinical evidence of therapeutic benefit to which patients would already be aware of. There can be no guarantee that we will successfully overcome these challenges in our ongoing or any future clinical trials of our product candidate or that we will not encounter other challenges in the development of our product candidate. In addition, negative investor perception of our clinical trial results due to a high placebo effect may adversely affect our stock price.

For example, certain of our primary or secondary endpoints in our clinical trials, including our completed Phase 2 trial of LB-102 in patients with acute schizophrenia, involve subjective assessments by physicians and/or patients, which can increase the uncertainty of clinical trial outcomes. The primary endpoint of our proposed Phase 3 acute schizophrenia trial is to evaluate the efficacy of LB-102 compared to the placebo, as measured by change from baseline in PANSS total score at six weeks, which requires patients and raters to undertake a questionnaire regarding symptoms at protocol specified timepoints in the trial. This and other assessments are inherently subjective, which can increase the variability of clinical results across clinical trials and create a significant degree of uncertainty in determining overall clinical benefit. Accordingly, these subjective assessments can complicate clinical trial design, adversely impact the ability of a study to show a statistically significant improvement, and generally adversely impact a clinical development program by introducing additional uncertainties.

The obligations from our royalty agreements may be a drain on our cash resources or may cause us to incur debt obligations to satisfy the payment obligations.

In August 2023, contemporaneously with the closing of our Series C financing, we entered into several amended and restated royalty participation agreements, or the Amended and Restated Royalty Agreements, with certain of our existing investors, co-founders, former and current directors, and former and current executive officers, including Zachary Prensky, Andrew Vaino, Ph.D., and Marc Panoff, none of whom were new investors of our Series C preferred stock. We received no consideration as part of the Amended and Restated Royalty Agreements. Pursuant to the Amended and Restated Royalty Agreements, we are obligated to pay royalties to all of the holders in an aggregate amount up to 2.75% of net sales arising from LB-102 worldwide through December 31, 2035. Thereafter, we are obligated to pay royalties to such holders in an aggregate amount up to 3.25% in perpetuity. Future sales are defined in these agreements as the gross payments received on total commercial sales of LB-102, whether by us or by any licensee of LB-102. See the section titled “Business—License and Other Agreements” elsewhere in this prospectus for additional information regarding these agreements.

 

17


Table of Contents

In order to satisfy our obligations to make these payments, if and when they are triggered, we may need to issue equity or convertible debt securities that may cause dilution to our stockholders, or we may use our existing cash and cash equivalents or incur debt obligations to satisfy the payment obligations in cash, which may adversely affect our financial position. In addition, these obligations may impede our ability to raise money in future public offerings of debt or equity securities, to obtain a third-party line of credit, or to license, sell or otherwise monetize our rights in LB-102.

Risks Related to Product Candidate Development and Commercialization

Preclinical and clinical development involves a lengthy and expensive process, with an uncertain outcome, and results of earlier studies and trials may not be predictive of future trial or real-world results. We may incur additional costs or experience delays in completing, or ultimately be unable to complete, the development and commercialization of our current product candidate or any future product candidates.

LB-102 is in clinical development and its risk of failure is high. It is impossible to predict when or if our product candidate will receive regulatory approval. To obtain the requisite regulatory approvals to commercialize our product candidate, we must demonstrate through lengthy, complex, and expensive clinical trials that our product candidate is safe and effective in patient populations for the relevant indication(s) for use. Preclinical and clinical testing can take many years to complete, and its outcome is inherently uncertain. There is typically a high rate of failure of product candidates proceeding through clinical trials, and failure can occur at any time during the preclinical study or clinical trial process, despite promising preclinical or clinical results. The results of preclinical studies and early clinical trials of our product candidate may not be predictive of the results of later-stage clinical trials, and results in one indication may not be predictive of results to be expected for the same product candidate in another indication. Differences in trial design between early-stage clinical trials and later-stage clinical trials make it difficult to extrapolate the results of earlier clinical trials to later clinical trials. A number of companies in the biopharmaceutical industry have suffered significant setbacks in advanced clinical trials due to lack of efficacy or unfavorable safety profiles, notwithstanding promising results in earlier trials. For example, emraclidine was previously being developed by Cerevel Therapeutics Holdings, Inc. for the indication of schizophrenia and ceased development due to, among other reasons, not achieving a statistically significant outcome for the primary endpoint in two completed six-week clinical trials. Moreover, preclinical and clinical data are often susceptible to varying interpretations and analyses, and many companies that have believed their product candidates achieved promising results have nonetheless failed to obtain marketing approval of such product candidates or, upon commercialization, achieve or maintain positive real-world results. We may be unable to establish clinical endpoints that applicable regulatory authorities would consider clinically meaningful.

Commencing any future clinical trials is subject to finalizing the trial protocol and submitting an IND to the FDA or a similar application to initiate a clinical study to a comparable foreign regulatory authority. Even after we make our submission, the FDA or comparable foreign regulatory authorities could disagree that we have satisfied their requirements to commence our clinical trials or disagree with our study design, which may require us to complete additional preclinical studies (including additional carcinogenicity studies in animal models) or amend our protocols or impose stricter conditions on the commencement of clinical trials, which may lead to delays and increase the costs of our preclinical development programs. The FDA also has the authority to require a panel of experts, referred to as an Advisory Committee, to deliberate on the adequacy of the safety and efficacy data to support approval. The opinion of such an Advisory Committee, although not binding on the FDA, could have a significant impact on our ability to obtain approval of our product candidate in the future. Similar decisions may also be made by foreign regulatory authorities and have a similar impact.

Most product candidates that commence clinical trials are never approved as commercial products and there can be no assurance that any of our current or future clinical trials will ultimately be successful or support the approval of our current or any future product candidates.

We expect to continue to rely on our clinical trial sites and clinical trial teams to ensure the proper and timely conduct of our clinical trials, including the participant enrollment process, and we have limited influence

 

18


Table of Contents

over their performance. In addition, we may in the future enter into collaboration agreements pursuant to which our collaborator would be responsible for clinical development. We or our collaborators may experience delays in initiating or completing clinical trials due to unforeseen events or otherwise, which could delay or prevent our ability to receive marketing approval or commercialize our current and any future product candidates, including:

 

   

regulators, such as the FDA or comparable foreign regulatory authorities, Institutional Review Boards, or IRBs, or ethics committees may impose additional requirements before permitting us to initiate a clinical trial, may not authorize us or our investigators to commence or conduct a clinical trial at a prospective trial site, may not allow us to amend trial protocols, or regulators may disagree as to the design or implementation of our clinical trials and require that we modify or amend our clinical trial protocols, statistical analysis plans, or diversity action plans developed for recruitment in pivotal clinical trials;

 

   

we may experience delays in reaching, or fail to reach, agreement on acceptable terms with contract research organizations, or CROs, or with individual clinical trial sites, the terms of which can be subject to extensive negotiation and may vary significantly among trial sites;

 

   

delays in identifying, recruiting, and training suitable clinical investigators;

 

   

IRBs refusing to approve, suspending, or terminating the trial at an investigational site, precluding enrollment of additional patients, or withdrawing their approval of the trial;

 

   

changes or amendments to the clinical trial protocol;

 

   

clinical trial sites may deviate from the trial protocol, fail to ensure the integrity of the data being collected at the site, or drop out of a trial;

 

   

failure by any of our third-party contractors to perform in accordance with good clinical practices, or GCP, requirements or applicable regulatory rules and guidelines in other countries;

 

   

the number of participants required for clinical trials may be larger than we anticipate, we may experience difficulty in finding and enrolling sufficient qualified patients for our trials, enrollment in clinical trials may be slower than we anticipate, or participants may drop out or fail to return for post-treatment follow-up at a higher rate than we anticipate;

 

   

patients may fail to enroll or remain in our trials at the rate we expect, or fail to return for post-treatment follow-up, including patients failing to remain in our trials;

 

   

patients choosing an alternative product for the indications for which we are developing our product candidate, or participating in competing clinical trials;

 

   

the cost of clinical trials may be greater than we anticipate;

 

   

the quality or quantity of data relating to our product candidate or other materials necessary to conduct our clinical trials may be inadequate to initiate or complete a given clinical trial;

 

   

we may experience difficulties in manufacturing, or fail to manufacture, sufficient quantities of our product candidate for use in clinical trials;

 

   

patients experiencing severe or serious unexpected drug-related adverse effects;

 

   

reports from clinical testing conducted by other companies of other therapies in the same class of agents that could be considered similar to our product candidate may raise safety, tolerability, or efficacy concerns about our product candidate;

 

   

we may lack adequate funding to initiate or continue one or more of our clinical trials;

 

   

a facility manufacturing our product candidate or any of their components being ordered by the FDA or comparable foreign regulatory authorities to temporarily or permanently shut down due to violations of current good manufacturing practice, or cGMP, regulations or other applicable requirements, or cross-contaminations of product candidates in the manufacturing process;

 

19


Table of Contents
   

changes to our manufacturing processes may be necessary or desired;

 

   

clinical investigators may lose the licenses or permits necessary to perform our clinical trials and may fail to perform our clinical trials on our anticipated schedule or consistent with the clinical trial protocol, GCPs, or other regulatory requirements;

 

   

third-party contractors being unwilling or unable to satisfy their contractual obligations to us in a timely or accurate manner;

 

   

third-party contractors could become debarred or suspended or otherwise penalized by the FDA or other government or regulatory authorities for violations of regulatory requirements, in which case we may need to find a substitute contractor, and we may not be able to use some or all of the data produced by such contractors in support of our marketing applications; and

 

   

clinical trials of our product candidate may fail to show appropriate safety, tolerability, or efficacy, may produce negative or inconclusive results, or may otherwise fail to improve on the existing standard of care, and we may decide, or regulators may require us, to conduct additional clinical trials or we may decide to abandon product development programs.

Clinical trials must be conducted in accordance with the FDA and other applicable regulatory authorities’ legal requirements, regulations, and guidelines, and remain subject to oversight by these governmental agencies as well as ethics committees or IRBs responsible for overseeing the conduct of clinical trials and ensuring the welfare of patients participating in the research. We could encounter delays if a clinical trial is suspended or terminated by us, the IRBs of the institutions in which such trials are being conducted, the FDA or comparable foreign regulatory authorities, or the Data Safety Monitoring Board, for such trial. A suspension or termination may be imposed due to a number of factors, including failure to conduct the clinical trial in accordance with regulatory requirements or our clinical trial protocols, adverse findings from inspection of the clinical trial operations or trial site by the FDA or comparable foreign regulatory authorities, unforeseen safety issues or adverse side effects, failure to establish or achieve clinically meaningful trial endpoints, changes in governmental regulations or administrative actions, or lack of adequate funding to continue the clinical trial. In addition, changes in regulatory requirements and policies may occur, and we may need to amend clinical trial protocols to comply with these changes. Amendments may require us to resubmit our clinical trial protocols to regulators or to IRBs for reexamination, which may impact the costs, timing, or successful completion of a clinical trial. Clinical trials may also be delayed or terminated as a result of ambiguous or negative interim results.

Many of the factors that cause, or lead to, a delay in the commencement or completion of, or the termination or suspension of, clinical trials may also ultimately lead to the denial of regulatory approval of our product candidate. Further, the FDA may disagree with our interpretation of data from clinical trials, or may change the requirements for approval even after it has reviewed and commented on the design for our clinical trials.

We may, in the future, conduct preclinical and clinical research in collaboration with other academic, pharmaceutical, and biotechnology entities in which we combine our development efforts with those of our collaborators. Such collaborations may be subject to additional delays because of the management of the trials, contract negotiations, and the need to obtain agreement from multiple parties, which may increase our future costs and expenses.

Our product development costs will increase if we experience delays in clinical testing or marketing approvals. We do not know whether any of our clinical trials will begin as planned, will need to be restructured, or will be completed on schedule, or at all. Significant clinical trial delays also could shorten any periods during which we may have the exclusive right to commercialize our product candidate and may allow our competitors to bring products to market before we do, potentially impairing our ability to successfully commercialize our product candidate, if approved. Any delays or increase in costs in our clinical development programs may harm our business, financial condition, results of operations, and prospects.

 

20


Table of Contents

Even if we complete the necessary preclinical studies and clinical trials, the marketing approval process is expensive, time-consuming, and uncertain and may prevent us or any future collaboration partners from obtaining approvals for the commercialization of our product candidate.

Any product candidate we may develop and the activities associated with their development and commercialization, including their design, testing, manufacture, recordkeeping, labeling, storage, approval, advertising, promotion, import, export, marketing, and distribution, are subject to comprehensive regulation by the FDA and other regulatory authorities in the United States and by comparable foreign regulatory authorities. Failure to obtain marketing approval for a product candidate will prevent us from commercializing the product candidate in a given jurisdiction. We have not received approval to market any product candidates from regulatory authorities in any jurisdiction and none of the product candidates we may seek to develop in the future may ever obtain regulatory approval. We have no experience in filing and supporting the applications necessary to gain marketing approvals. Although we believe that we have the capabilities to conduct preclinical studies and clinical trials and complete these applications using our internal resources and the necessary personnel we intend to hire in the future, we selectively employ and may in the future rely on CRO or consultants to assist us in this process. Securing regulatory approval requires the submission of extensive preclinical and clinical data and supporting information to the various regulatory authorities for each therapeutic indication to establish the product candidate’s safety and efficacy. The FDA may also not agree with our determination that our Phase 2 acute schizophrenia trial may serve as one of the two pivotal trials required for approval of an NDA in the United States. Securing regulatory approval also requires the submission of information about the product manufacturing process to, and inspection of manufacturing facilities by, the relevant regulatory authority. Any product candidates we develop may not be effective, may be only moderately effective, or may prove to have undesirable or unintended side effects, toxicities, or other characteristics that may preclude our ability to obtain marketing approval for such product candidates or prevent or limit future commercial use.

The process of obtaining marketing approvals, both in the United States and abroad, is expensive, often takes many years following the commencement of clinical trials, if approval is obtained at all, and can vary substantially based upon a variety of factors, including the type, complexity, and novelty of the product candidates involved, as well as the target indications and patient populations. Changes in marketing approval policies during the development period, changes in or the enactment of additional statutes or regulations, or changes in regulatory review for each submitted product application, may cause delays in the approval or rejection of an application. Prior to obtaining approval to commercialize a product candidate in the U.S. or abroad, we must demonstrate with substantial evidence from adequate and well-controlled clinical trials, and to the satisfaction of the FDA or comparable foreign regulatory authorities, that such product candidates are safe and effective for their intended uses. The FDA and comparable foreign regulatory authorities have substantial discretion in the approval process and may delay, limit, or deny approval of a product candidate for many reasons, or may decide that our data are insufficient for approval and require additional preclinical, clinical, or other studies. In addition, varying interpretations of the data obtained from preclinical and clinical testing could delay, limit, or prevent marketing approval of a product candidate. Despite the time and expense invested in clinical development of product candidates, regulatory approval of a product candidate is never guaranteed. Of the large number of drugs in development, only a small percentage successfully complete the FDA or foreign regulatory approval processes and are commercialized.

With respect to foreign markets, approval procedures vary among countries and, in addition to the foregoing risks, may involve additional product testing, administrative review periods, and agreements with pricing authorities.

Even if we eventually complete clinical trials and receive approval of an NDA or comparable foreign marketing application for our product candidate, the FDA or comparable foreign regulatory authority may grant approval contingent on the performance of costly additional clinical trials and/or the implementation of REMS, which may be required because the FDA believes it is necessary to ensure safe use of the product after approval.

 

21


Table of Contents

If we experience delays in obtaining approval or if we fail to obtain approval of any product candidates we may develop, the commercial prospects for those product candidates, including for other indications, may be harmed, and our ability to generate revenues will be materially impaired.

Even if our product candidate receives regulatory approval, it may fail to achieve the degree of market acceptance by physicians, patients, and others in the medical community necessary for commercial success, in which case we may not generate significant revenues or become profitable.

We have never commercialized a product candidate for any indication. Even if our product candidate is approved by the appropriate regulatory authorities for marketing and sale, our product candidate may not gain acceptance among physicians, patients, third-party payors, and others in the medical community. If our product candidate for which we obtain regulatory approval does not gain an adequate level of market acceptance, we may not generate sufficient product revenue or become profitable. Further, the number of patients that our product candidate is designed to treat may be smaller than expected.

The degree of market acceptance of our product candidate, if approved and commercialized, will depend on a number of factors, some of which are beyond our control, including:

 

   

the pricing and cost-effectiveness of our product candidate, as well as the ease of administration, time burden, and market acceptance;

 

   

the safety, efficacy, and tolerability of our product candidate;

 

   

acceptance of our approach to precision psychiatry by patients, the medical community, and third-party payors;

 

   

changes in the standard of care for targeted indications and the reluctance of physicians to switch their patients’ current standard of care;

 

   

the reluctance of patients to switch from their existing therapy regardless of the safety and efficacy of newer products;

 

   

the clinical indications for which our product is approved and the scope of efficacy/safety claims that we may make for the product;

 

   

any restrictions on the use of our product, and the prevalence and severity of any adverse effects;

 

   

any distribution and use restrictions imposed by the FDA as part of a mandatory REMS with respect to such product candidate or to which we agree under a voluntary risk management plan;

 

   

the availability of adequate coverage and reimbursement by third parties, such as insurance companies and other healthcare payors, and by government healthcare programs, including Medicare and Medicaid;

 

   

the willingness of patients to pay all, or a portion of, out-of-pocket costs associated with our products in the absence of sufficient third-party coverage and adequate reimbursement;

 

   

the extent and strength of our marketing and distribution of such product candidate;

 

   

the timing of market introduction of such product candidate, as well as competitive products;

 

   

our ability to offer our product candidate for sale at competitive prices;

 

   

the competitiveness of existing approved therapies;

 

   

adverse publicity about our product or favorable publicity about competitive products; and

 

   

potential product liability claims.

In addition, our lead product candidate, LB-102, is an N-methylated version of amisulpride, a drug already approved in certain parts of Europe for the treatment of schizophrenia, predominantly negative symptoms of

 

22


Table of Contents

schizophrenia and dysthymia. While we are developing LB-102 for acute schizophrenia initially in the United States and potentially in other jurisdictions where amisulpride is not approved, we currently plan to develop LB-102 to treat bipolar depression globally and if there is a recall, safety concern, or adverse regulatory action with respect to amisulpride in Europe, it could prevent us from achieving or maintaining market acceptance of LB-102 or otherwise adversely affect our ability to successfully commercialize LB-102. Furthermore, although LB-102 is structurally similar to amisulpride, which is an approved product in many countries outside of the United States, there can be no assurance that our ongoing and future clinical trials will show similar results with respect to safety and/or efficacy.

Our efforts to educate the medical community and third-party payors about the benefits of our product candidate may require significant resources and may never be successful. Even if our product candidate, if approved, is safe and effective for its approved indications, physicians and patients may not immediately be receptive to such product candidate and may be slow to adopt it as an accepted treatment for the approved indications. If our current or future product candidates are approved, but do not achieve an adequate level of acceptance among physicians, patients, and third-party payors, we may not generate meaningful revenue from our product candidate and may never become profitable.

We may find it difficult to enroll patients in our clinical trials. If we encounter difficulties enrolling patients in our clinical trials, our clinical development activities could be delayed or otherwise adversely affected.

Patient enrollment is a significant factor in the timing of clinical trials, and the timing of our clinical trials depends, in part, on the speed at which we can recruit and enroll patients to participate in our trials, as well as completion of required follow-up periods. We may not be able to initiate or continue clinical trials for our product candidate if we are unable to identify and enroll a sufficient number of eligible patients to participate in these trials to such trial’s conclusion as required by the FDA or comparable foreign regulatory authorities. Patient enrollment is affected by many factors including the size and nature of the patient population, competing clinical trials in the same or similar indications or at the same trial site, the severity of the disease or condition under investigation, the availability and efficacy of approved drugs and diagnostics for the disease or condition under investigation, the number and location of clinical sites, the proximity of patients to clinical sites, willingness of patients to participate in a decentralized clinical trial that may involve remote monitoring technologies, the inclusion and exclusion criteria for the trial, perceived risks and benefits of the product candidate under study, the design of the clinical trial, continued enrollment of prospective patients by clinical trial sites, the risk that enrolled patients will not complete a clinical trial, our ability to recruit clinical trial investigators with the appropriate competencies and experience, efforts to facilitate timely enrollment in clinical trials, patient referral practices of physicians, the ability to monitor patients adequately during and after treatment, competing clinical trials, and clinicians’ and patients’ perceptions as to the potential advantages and risks of the product candidate being studied in relation to other available therapies, including any new products that may be approved for, or any product candidates under investigation for, the indications we are investigating. Clinical trial recruitment and enrollment activities may also be delayed as a result of macro-factors such as public health emergencies or pandemics, natural disasters, acts of terror or war, or staffing shortages.

We will be required to identify and enroll a sufficient number of patients for each of our clinical trials. We may not be able to initiate or continue clinical trials if we are unable to locate a sufficient number of eligible patients to participate in the clinical trials required by the FDA or comparable foreign regulatory authorities. In addition, the process of finding eligible patients may prove costly.

Historically, clinical trials in acute schizophrenia and bipolar depression have experienced significant participant withdrawals or discontinuations. There is no guarantee that our estimated withdrawal rate in any of our clinical trials will be accurate, and if we experience a withdrawal rate larger than expected, this may compromise the quality of our data. Withdrawal of participants from our clinical trials, including participants in any control groups, may compromise the quality of our data. Even if we are able to enroll a sufficient number of participants in our clinical trials, we may have difficulty maintaining enrollment of such patients, and delays in

 

23


Table of Contents

enrollment may result in increased costs or may affect the timing or outcome of our clinical trials. Any of these conditions may negatively impact our ability to complete such trials or include results from such trials in regulatory submissions, which could adversely affect our ability to advance the development of our product candidate. Additionally, participants with neuropsychiatric disorders, including schizophrenia, constitute a vulnerable patient population and may withdraw from the clinical trial if they are not experiencing improvement in their underlying disease or condition or if they experience other difficulties or issues relating to their underlying disease or condition or otherwise.

Further, other biopharmaceutical companies targeting these same diseases are recruiting clinical trial patients from similar patient populations, which may make it more difficult to fully enroll any clinical trials. Our inability to enroll a sufficient number of patients for any of our future clinical trials would result in significant delays or may require us to abandon one or more clinical trials altogether. In addition, we expect to rely on clinical trial sites to ensure proper and timely conduct of our future clinical trials and, while we intend to enter into agreements governing their services, we will have limited influence over their actual performance.

We cannot assure you that our assumptions used in determining expected clinical trial timelines are correct or that we will not experience delays in enrollment, which would result in the delay of completion of such trials beyond our expected timelines.

Use of our product candidate could be associated with adverse side effects, adverse events, or other safety risks, which could delay or preclude the candidate’s approval, cause us to suspend or discontinue clinical trials, cause us to abandon the product candidate, limit the commercial profile of any future approved product, or result in other significant negative consequences that could severely harm our business, prospects, operating results, and financial condition.

Results of our clinical trials could reveal a high and unacceptable severity and prevalence of side effects or unexpected characteristics related to our product candidate. Undesirable side effects caused by our product candidate could cause us, the IRB, or regulatory authorities to interrupt, delay, or halt clinical trials or cause the delay or denial of regulatory approval by the FDA or comparable foreign regulatory authorities, or, if such product candidate is approved, result in a more restrictive label and other post-approval requirements. Any treatment-related side effects could also affect patient recruitment or the ability of enrolled patients to complete the trial or could result in potential product liability claims. Any of these occurrences may harm our business, financial condition, and prospects significantly.

If our product candidate is associated with undesirable side effects or has unexpected characteristics in clinical trials, we may need to interrupt, delay, or abandon their development or limit development to more narrow uses or subpopulations in which the undesirable side effects or other characteristics are less prevalent, less severe, or more acceptable from a risk-benefit perspective. To date, TEAEs from our Phase 1 and Phase 2 trials were generally mild or moderate. TEAEs included events typically associated with dopamine antagonists. In the Phase 2 trial the most frequently occurring TEAEs were insomnia, headache, anxiety and agitation. Low rates of adverse events associated with EPS and modest increases in QT prolongation were observed. Consistent with other antipsychotics, use of LB-102 resulted in elevated serum prolactin levels, but these elevations were associated with very few adverse events associated with that increase. In our Phase 2 acute schizophrenia trial, 10 participants reported TEAEs leading to withdrawal, including two in each of the placebo and 50 mg cohorts, as well as three in each of the 75 mg and 100 mg cohorts. There were five reported serious adverse events, or SAEs, overall with two SAEs in the placebo cohort (psychotic disorder and death), one SAE in the 50 mg cohort (suicidal ideation—deemed possibly related to treatment), one SAE in the 75 mg cohort (dystonia—deemed possibly related to treatment) and one SAE in the 100 mg cohort (psychotic disorder—deemed not related to treatment). The incidence of TEAEs was similar across groups, with most events being mild or moderate. For additional information, see the section titled “Business—Our Solution: LB-102 for the Treatment of Schizophrenia—LB-102 Clinical Data.”

 

24


Table of Contents

Patients in our ongoing and planned clinical trials may in the future suffer significant adverse events or other side effects not observed in our preclinical studies or previous clinical trials. Even if such side effects do not preclude the product candidate from obtaining or maintaining regulatory approval, undesirable side effects may inhibit market acceptance due to tolerability concerns as compared to other available therapies. Any of these developments could materially harm our business, financial condition, and prospects.

Additionally, if our product candidate receives regulatory approval, and we or others later identify undesirable side effects caused by such product, a number of potentially significant negative consequences could result. For example, the FDA could require us to adopt a Risk Evaluation and Mitigation Strategy, or REMS, to ensure that the benefits of treatment with such product candidate outweigh the risks for each potential patient, which may include, among other things, a communication plan to health care practitioners, patient education, extensive patient monitoring, or distribution systems and processes that are highly controlled, restrictive, and more costly than what is typical for the industry. Other potentially significant negative consequences associated with post-marketing identification of adverse events or other safety risks include:

 

   

we may be required to suspend marketing of a product, or we may decide to remove such product from the marketplace;

 

   

regulatory authorities may withdraw or modify their approvals of a product;

 

   

regulatory authorities may require additional warnings or new contraindications on the label, or may limit access of a product to selective specialized centers with additional safety reporting and with requirements that patients be geographically close to these centers for all or part of their treatment;

 

   

we may be required to create a medication guide outlining the risks of a product for patients, or to conduct post-marketing studies;

 

   

we may be required to change the way a product is distributed or administered;

 

   

we could be subject to fines, injunctions, or the imposition of criminal or civil penalties, or be sued and held liable for harm caused to subjects or patients; and

 

   

a product may become less competitive, and our reputation may suffer.

In addition, participants with neuropsychiatric disorders, including schizophrenia and bipolar depression, constitute a vulnerable patient population, and any adverse side effects or adverse events may be exacerbated in such patient population. Any of these events could diminish the usage or otherwise limit the commercial success of our product candidate and prevent us from achieving or maintaining market acceptance of our product candidate, if approved by the FDA or other regulatory authorities.

We have never commercialized a product candidate and may experience delays or unexpected difficulties in obtaining, or fail to obtain, regulatory approval for our product candidate.

We have never obtained regulatory approval for, or commercialized, a drug product in the United States or elsewhere.

Our clinical trial results may not support regulatory approval. In addition, our product candidate could fail to receive regulatory approval for many reasons, including the following:

 

   

the FDA or comparable foreign regulatory authorities may disagree with the design or implementation of our clinical trials, such as our determination that our Phase 2 acute schizophrenia trial may serve as one of the two pivotal trials required for approval of an NDA in the United States;

 

   

we may be unable to demonstrate to the satisfaction of the FDA or comparable foreign regulatory authorities that our product candidate is safe and effective for any of their proposed indications;

 

   

we may have negative or ambiguous results from our clinical trials, or results may not meet the level of statistical significance required by the FDA or comparable foreign regulatory authorities for approval;

 

25


Table of Contents
   

the population studied in the clinical trial may not be sufficiently broad or representative to assure safety in the full population for which we seek approval;

 

   

regulatory authorities may not accept clinical data from trials that are conducted at clinical facilities or in countries where the standard of care is potentially different from that of their own country;

 

   

serious and unexpected drug-related side effects may be experienced by participants in our clinical trials or by individuals using drugs similar to our product candidate;

 

   

the FDA or comparable foreign regulatory authorities may disagree with our interpretation of data from preclinical studies or clinical trials;

 

   

the data collected from clinical trials of our product candidate may not be sufficient to the satisfaction of the FDA or comparable foreign regulatory authorities to support the submission of an NDA, or other comparable submission in foreign jurisdictions or to obtain regulatory approval in the United States or elsewhere, and such authorities may impose requirements for additional preclinical studies or clinical trials;

 

   

such authorities may disagree with us regarding the formulation, labeling, and/or release/stability specifications of our product candidate;

 

   

approval may be granted only for indications that are significantly more limited than those sought by us, and/or may include significant restrictions on distribution and use;

 

   

regulatory authorities may not accept a submission due to, among other reasons, the content or formatting of the submission; and

 

   

the FDA or comparable foreign regulatory authorities may find deficiencies in or fail to approve the manufacturing processes or facilities of third-party manufacturers with which we contract for clinical and commercial supplies.

In addition, our lead product candidate, LB-102, is an N-methylated version of amisulpride, a drug already approved in certain parts of Europe for the treatment of schizophrenia, predominantly negative symptoms of schizophrenia and dysthymia. While we are developing LB-102 for acute schizophrenia initially in the United States and potentially in other jurisdictions where amisulpride is not approved, we currently plan to develop LB-102 to treat bipolar depression globally and if there is a recall, safety concern, or adverse regulatory action with respect to amisulpride in Europe, it could adversely affect our ability to obtain regulatory approval for LB-102.

Finally, the FDA and comparable foreign regulatory authorities may change their approval policies and new regulations may be enacted, which could delay or prevent our ability to obtain approval. If our product candidate fails to achieve regulatory approval due to the above factors, or otherwise, any such failure would adversely affect our business, results of operations, and financial condition. In addition, difficulties in obtaining approval of a product candidate in any of the initial indications for which we are developing it could adversely affect our efforts to seek approval from regulatory authorities for other indications.

Interim, “top-line,” and preliminary data from our clinical trials that we announce or publish from time to time may change as more patient data become available and are subject to audit and verification procedures that could result in material changes in the final data.

From time to time, we may publicly disclose preliminary or top-line data from our preclinical studies and clinical trials, which are based on preliminary analyses of then-available data, and the results and related findings and conclusions are subject to change following a more comprehensive review of the data related to the particular preclinical study or clinical trial. We also make assumptions, estimations, calculations, and conclusions as part of our analyses of data, and we may not have received or had the opportunity to fully and carefully evaluate all data. As a result, the top-line or preliminary results that we report may differ from future results of the same studies or trials, or different conclusions or considerations may qualify such results, once additional data have been received

 

26


Table of Contents

and fully evaluated. Top-line and preliminary data also remain subject to audit and verification procedures that may result in the final data being materially different from the top-line or preliminary data we previously published. As a result, top-line and preliminary data should be viewed with caution until the final data are available.

From time to time, we may also disclose interim data from our preclinical studies and clinical trials. Interim data from clinical trials that we may complete are subject to the risk that one or more of the clinical outcomes may materially change as participant enrollment continues and more participant data become available or as participants from our clinical trials continue other treatments for their disease. Adverse differences between interim data and final data could significantly harm our business prospects.

Further, others, including regulatory agencies, may not accept or agree with our assumptions, estimates, calculations, conclusions, or analyses or may interpret or weigh the importance of data differently, which could impact the value of the particular program, the approvability or commercialization of the particular product candidate or product and could adversely affect the success of our business. In addition, the information we choose to publicly disclose regarding a particular study or clinical trial is based on what is typically extensive information, and you or others may not agree with what we determine is material or otherwise appropriate information to include in our disclosure.

If the interim, top-line or preliminary data that we report differ from actual results, or if others, including regulatory authorities, disagree with the conclusions reached, our ability to obtain approval for, and commercialize, our product candidate may be harmed, which could harm our business, financial condition, results of operations, and prospects. Further, disclosure of interim, top-line, or preliminary data by us or by our competitors could result in volatility in the price of our common stock after this offering.

Furthermore, if we fail to replicate the positive results from our preclinical studies or clinical trials in our future clinical trials, we may be unable to successfully develop, obtain regulatory approval for, and commercialize our current or future product candidates.

If we fail to develop and commercialize our current product candidate for additional indications or fail to discover, develop, and commercialize other product candidates, we may be unable to grow our business and our ability to achieve our strategic objectives would be impaired.

Although the development and commercialization of our current product candidate for the treatment of schizophrenia and bipolar depression is our primary focus, as part of our longer-term growth strategy, we plan to evaluate our current product candidates in other indications (such as MDD, negative symptoms of schizophrenia, bipolar mania, and Alzheimer’s disease psychosis and agitation) and develop other product candidates. We intend to evaluate internal opportunities from our current product candidate or other potential product candidates, and also may choose to in-license or acquire other product candidates as well as commercial products to treat patients suffering from other disorders with significant unmet medical needs and limited treatment options. These other potential product candidates will require additional, time-consuming development efforts prior to commercial sale, including preclinical studies, clinical trials, and approval by the FDA and/or comparable foreign regulatory authorities. All product candidates are prone to the risks of failure that are inherent in pharmaceutical product development, including the possibility that the product candidate will not be shown to be sufficiently safe and effective for approval by regulatory authorities. In addition, we cannot assure you that any such products, if approved, will be manufactured or produced economically, successfully commercialized, or widely accepted in the marketplace, or be more effective than other commercially available alternatives.

Research programs to identify product candidates require substantial technical, financial, and human resources, whether or not any product candidates are ultimately identified. Our research programs may initially show promise in identifying potential product candidates, yet fail to yield product candidates for clinical development for many reasons, including the following:

 

   

the research methodology used may not be successful in identifying potential product candidates;

 

27


Table of Contents
   

competitors may develop alternatives that render our product candidate(s) obsolete;

 

   

product candidates that we develop may nevertheless be covered by third parties’ patents or other exclusive rights;

 

   

a product candidate may, on further study, be shown to have harmful side effects or other characteristics that indicate it is unlikely to be effective or otherwise does not meet applicable regulatory criteria;

 

   

a product candidate may not be capable of being produced in commercial quantities at an acceptable cost, or at all; and

 

   

a product candidate may not be accepted as safe and effective by patients, the medical community, or third-party payors.

If we are unsuccessful in identifying and developing additional product candidates, our potential for growth and achieving our strategic objectives may be impaired.

We may expend our resources to pursue a particular product candidate or indication and forgo the opportunity to capitalize on product candidates or indications that may ultimately be more profitable or for which there is a greater likelihood of success.

Because we have limited financial and managerial resources, we intend to focus on developing product candidate for specific indications that we identify as most likely to succeed, in terms of both their potential for regulatory approval and commercialization. As a result, we may forego or delay pursuit of opportunities with other product candidates or for other indications that may prove to have greater commercial potential.

Our resource allocation decisions may cause us to fail to capitalize on viable commercial products or profitable market opportunities. Our spending on research and development programs and product candidate for specific indications may not yield any commercially viable product candidate. If we do not accurately evaluate the commercial potential or target market for a particular product candidate, we may relinquish valuable rights to that product candidate through collaboration, licensing, or other royalty arrangements in cases in which it would have been more advantageous for us to retain sole development and commercialization rights to the product candidate.

Obtaining and maintaining regulatory approval of LB-102 or any future product candidates we may develop in one jurisdiction does not mean that we will be successful in obtaining regulatory approval of such product candidate in other jurisdictions.

We may seek regulatory approval for LB-102 or any future product candidates we may develop outside the United States. Foreign regulatory authorities have requirements for approval of product candidates with which we must comply prior to marketing in those jurisdictions. Obtaining and maintaining regulatory approval of LB-102 or any future product candidates we may develop in one jurisdiction does not guarantee that we will be able to obtain or maintain regulatory approval in any other jurisdiction. However, a failure or delay in obtaining regulatory approval in one jurisdiction may have a negative effect on the regulatory approval process in others. For example, even if the FDA grants marketing approval of a product candidate, comparable regulatory authorities in foreign jurisdictions also must approve the manufacturing, marketing, and promotion of the product candidate in those jurisdictions. Approval procedures vary among jurisdictions and can involve requirements and administrative review periods different from, and greater than, those in the United States, including additional preclinical studies or clinical trials, as clinical trials conducted in one jurisdiction may not be accepted by regulatory authorities in other jurisdictions. In addition, in some jurisdictions outside the United States, a product candidate must be approved for reimbursement before it can be approved for sale in that jurisdiction. In some cases, the price that we intend to charge for our products is also subject to approval.

Obtaining foreign regulatory approvals and compliance with foreign regulatory requirements could result in significant delays, difficulties, and costs for us and could delay or prevent the introduction of our products in

 

28


Table of Contents

certain countries. If we fail to comply with the regulatory requirements in international markets and/or receive and maintain applicable marketing approvals, or if regulatory approvals in international markets are delayed, our target market will be reduced and our ability to realize the full market potential of our product candidate will be harmed, which could adversely affect our business, results of operations, and financial condition.

The successful commercialization of our product candidate, if approved, will depend in part on the extent to which governmental authorities and health insurers establish coverage, adequate reimbursement levels, and favorable pricing policies. Failure to obtain or maintain coverage and adequate reimbursement for our product candidate could limit our ability to market those products and decrease our ability to generate revenue.

The availability of coverage and the adequacy of reimbursement by governmental healthcare programs such as Medicare and Medicaid, private health insurers, and other third-party payors are essential for most patients to be able to afford prescription medications such as our product candidate, if approved. Our ability to achieve coverage and acceptable levels of reimbursement for our product by third-party payors will have an effect on our ability to successfully commercialize the product and any future products we may successfully develop. Even if we obtain coverage for a given product by a third-party payor, the resulting reimbursement payment rates may not be adequate or may require co-payments that patients find unacceptably high. We cannot be sure that coverage and reimbursement in the United States, the European Union, or the EU, or elsewhere will be available for any product that we may develop, and any reimbursement that may become available may be decreased or eliminated in the future.

Third-party payors increasingly are challenging prices charged for pharmaceutical products and services, and many third-party payors may refuse to provide coverage and reimbursement for particular drugs when an equivalent generic drug or a less expensive therapy is available. It is possible that a third-party payor may consider our product candidate as substitutable and only offer to reimburse patients for the less expensive product. These payors may deny or revoke the reimbursement status of a given product or establish prices for new or existing marketed products at levels that are too low to enable us to realize an appropriate return on our investment in product development. If reimbursement is not available or is available only at limited levels, we may not be able to successfully commercialize our products, if approved, and may not be able to obtain a satisfactory financial return on products that we may develop.

There is significant uncertainty related to third-party payor coverage and reimbursement of newly approved products. Regulatory approvals, pricing, and reimbursement for new drug products vary widely from country to country. In the United States, third-party payors, including private and governmental payors, such as the Medicare and Medicaid programs, play an important role in determining the extent to which new drugs will be covered. Some third-party payors may require pre-approval of coverage for new or innovative drug therapies before they will reimburse healthcare providers who use such therapies. It is difficult to predict at this time what third-party payors will decide with respect to the coverage and reimbursement for our products, if approved.

Obtaining and maintaining reimbursement status is time-consuming, costly, and uncertain. The Medicare and Medicaid programs increasingly are used as models for how private payors and other governmental payors develop their coverage and reimbursement policies for drugs. However, no uniform policy for coverage and reimbursement for products exists among third-party payors in the United States. Therefore, coverage and reimbursement for products can differ significantly from payor to payor. As a result, the coverage determination process is often a time-consuming and costly process that will require us to provide scientific and clinical support for the use of our products to each payor separately, with no assurance that coverage and adequate reimbursement will be applied consistently or obtained in the first instance. Furthermore, rules and regulations regarding reimbursement change frequently, in some cases at short notice, and we believe that changes in these rules and regulations are likely.

Under currently applicable U.S. law, certain products not usually self-administered (including injectable drugs) may be eligible for coverage under Medicare through Medicare Part B. Medicare Part B is part of original

 

29


Table of Contents

Medicare, the federal health care program that provides health care benefits to the aged and disabled, and covers outpatient services and supplies, including certain biopharmaceutical products, that are medically necessary to treat a beneficiary’s health condition. As a condition of receiving Medicare Part B reimbursement for a manufacturer’s eligible drugs, the manufacturer is required to participate in other government healthcare programs, including the Medicaid Drug Rebate Program and the 340B Drug Pricing Program. The Medicaid Drug Rebate Program requires pharmaceutical manufacturers to enter into and have in effect a national rebate agreement with the U.S. Department of Health and Human Services, or HHS, as a condition for states to receive federal matching funds for the manufacturer’s outpatient drugs furnished to Medicaid patients. Under the 340B Drug Pricing Program, the manufacturer must extend discounts to entities that participate in the program.

Outside the United States, international operations are generally subject to extensive governmental price controls and other market regulations, and we believe the increasing emphasis on cost-containment initiatives in Europe and other countries has and will continue to put pressure on the pricing and usage of pharmaceutical products. In many countries, the prices of medicinal products are subject to varying price control mechanisms as part of national health systems. Other countries allow companies to fix their own prices for medical products but monitor and control company profits. Additional foreign price controls or other changes in pricing regulation could restrict the amount that we are able to charge for our product candidate, if approved. Accordingly, in markets outside the United States, the reimbursement for our product candidate may be reduced compared with the United States and may be insufficient to generate commercially reasonable revenue and profits. See “—EU drug marketing and reimbursement regulations may materially affect our ability to market and receive coverage for our products in the EU member states” below for further discussion of risks related to foreign marketing and reimbursement regulations.

Moreover, increasing efforts by governmental and third-party payors in the United States and abroad to cap or reduce healthcare costs may cause such organizations to limit both coverage and the level of reimbursement for newly approved products and, as a result, they may not cover or provide adequate payment for our products. We expect to experience pricing pressures in connection with the sale of our product candidate, if approved for marketing, due to the trend toward managed healthcare, the increasing influence of health maintenance organizations, and additional legislative changes. The downward pressure on healthcare costs in general, particularly prescription drugs and other treatments, has become very intense. As a result, increasingly high barriers are being erected to the entry of new products.

Changes in methods of product candidate manufacturing or formulation may result in additional costs or delay.

As product candidates are developed through pre-clinical to late-stage clinical trials towards approval and commercialization, it is common that various aspects of the development program, such as manufacturing methods and formulation (including raw materials and starting materials), are altered in an effort to optimize processes and results. Such changes carry the risk that they will not achieve these intended objectives. Any of these changes could cause our product candidate to perform differently and affect the results of planned clinical trials or future clinical trials to be conducted with the altered materials. Such changes may also require additional testing, notification to the FDA or comparable foreign regulatory authorities or approval from the FDA or comparable foreign regulatory authorities. This could delay completion of clinical trials, require the conduct of bridging clinical trials or the repetition of one or more clinical trials, increase clinical trial costs, delay approval of our product candidate and/or jeopardize our ability to commence product sales and generate revenue.

We may conduct certain of our clinical trials for our product candidate outside of the United States in the future. However, the FDA may not accept data from such trials, in which case our development plans may be delayed, which could materially harm our business.

Although we currently conduct all of our clinical trials in the United States, in the future we may conduct one or more of our clinical trials for our product candidate outside the United States. Although the FDA may accept data from clinical trials conducted outside the United States, acceptance of these data is subject to certain

 

30


Table of Contents

conditions imposed by the FDA. For example, to accept data from a clinical trial that was conducted only at sites outside of the United States and not subject to an IND, the FDA requires such clinical trial to have been conducted in accordance with GCPs, and the FDA must be able to validate the data from the clinical trial through an on-site inspection if the FDA deems such inspection necessary. In cases where data from foreign clinical trials are intended to serve as the sole basis for marketing approval in the United States, the FDA will generally not approve the application on the basis of foreign data alone unless (i) the data are applicable to the U.S. population and U.S. medical practice; (ii) the trials were performed by clinical investigators of recognized competence and pursuant to GCP regulations; and (iii) the data may be considered valid without the need for an on-site inspection by the FDA, or if the FDA considers such inspection to be necessary, the FDA is able to validate the data through an on-site inspection or other appropriate means. For studies not subject to an IND, the FDA generally does not review clinical protocols for the studies, and therefore there is an additional potential risk that the FDA could determine that the study design, protocol, and/or results from a non-U.S. clinical trial were inadequate for the purposes we intend, which could require us to conduct additional clinical trials. Many foreign regulatory authorities have similar requirements for clinical data gathered outside of their respective jurisdictions. In addition, such foreign trials would be subject to the applicable local laws of the foreign jurisdictions where the trials are conducted. There can be no assurance the FDA or any comparable foreign regulatory authority will accept data from clinical trials conducted outside of the United States or the relevant jurisdiction. If the FDA or any comparable foreign regulatory authority does not accept data from our clinical trials of our product candidate, it may result in the need for additional clinical trials, which would be costly and time-consuming and could delay or permanently halt our development of our product candidate.

Risks Related to Our Business and Operations

Neuroscience drug development is a field that has seen limited success. The ability to successfully develop drugs in this field is difficult and is subject to a number of unique challenges.

Drug development in the field of brain diseases, neuropsychiatric disorders and neurodegenerative diseases in particular, has seen limited success historically. Developing a successful product candidate for treatment of these brain diseases is difficult and subjects us to a number of unique challenges, including obtaining regulatory approval from the FDA and other regulatory authorities who have only a limited set of precedents to rely on.

We intend to work closely with the FDA and comparable foreign regulatory authorities to perform the requisite scientific analyses and evaluation in an effort to obtain regulatory approval for our product candidate; however, the process of developing our product candidate may be more complex and time-consuming relative to other more well-known approaches to drug development. We cannot be certain that our approach will lead to the development of a product candidate that effectively and safely addresses the underlying brain diseases.

Moreover, given the history of clinical failures in this field, future clinical or regulatory failures by us or others may result in further negative perception of the likelihood of success in this field, which may significantly and adversely affect the market price of our common stock.

Our business depends on the success of our product candidate. If we are ultimately unable to successfully commercialize our product candidate, or experience significant delays in doing so, our business will be materially harmed.

We currently have no products approved for commercial sale or for which regulatory approval to market has been sought. We have invested a significant portion of our efforts and financial resources in the development of our product candidate, which is still in clinical development, and expect that we will continue to invest heavily in such product candidate, as well as in any future product candidates we may develop. Our business and our ability to generate revenue, which we do not expect will occur for many years, if ever, are substantially dependent on our ability to develop, obtain regulatory approval for, and then successfully commercialize LB-102, which may never occur.

 

31


Table of Contents

If approved for marketing by applicable regulatory authorities, our ability to generate revenue from our product candidate will depend on our ability to:

 

   

achieve market acceptance of our future approved product by patients, the medical community, and third-party payors;

 

   

create market demand for our approved product through our own marketing and sales activities, and any other arrangements to promote the approved product that we may otherwise establish in the future;

 

   

receive regulatory approval for the targeted patient populations and efficacy/safety claims that are necessary or desirable for successful marketing;

 

   

price our product competitively such that third-party and government reimbursement permits broad product adoption;

 

   

manufacture our product candidate through contract development and manufacturing organizations, or CDMOs, in sufficient quantities and at acceptable quality and manufacturing cost to meet commercial demand at launch and thereafter;

 

   

establish and maintain agreements with wholesalers, distributors, pharmacies, and group purchasing organizations on commercially reasonable terms;

 

   

obtain, maintain, protect, and enforce patent and other intellectual property protection and regulatory exclusivity for our product, if approved;

 

   

maintain compliance with applicable laws, regulations, and guidance specific to commercialization including interactions with health care professionals, patient advocacy groups, and communication of health care economic information to payors and formularies; and

 

   

assure that our product candidate, if approved, will be used as directed and that additional unexpected safety risks will not arise.

We rely on, and intend to continue to rely on, our internal clinical development expertise to conduct our current and future clinical trials. This model includes internal teams and systems as well as external vendors and CROs to comprise a full clinical trial team. If our clinical trial team does not comply with applicable regulatory requirements, meet expected deadlines, or run trials effectively, our development programs and our ability to seek or obtain regulatory approval for or commercialize our product candidate may be delayed.

We conduct much of our clinical trial work (e.g., clinical and medical monitoring, data management, and project management) with CROs as well as utilizing internal personnel to augment and oversee our CROs. Although we believe that our CROs currently have the capabilities to conduct clinical trials in collaboration with our internal staff, we may need to rely on additional third party CROs to conduct clinical trials if our internal and existing CRO capabilities cannot scale as we work to progress LB-102 through development, as we potentially expand our product candidate portfolio, or if we do not have sufficient personnel to support our clinical program. Our failure or the failure of any CROs we may employ to conduct the trials in compliance with FDA regulations could result in a delay or failure in obtaining FDA approval and could require us to repeat any preclinical studies or clinical trials we or the CRO administered.

Further, as part of our engagement with CROs, we have to negotiate budgets and contracts with them and/or each trial site, which may result in delays to our development timelines and increased costs. If any of our relationships with CROs and/or trial sites terminate, we may not be able to enter into arrangements with alternative trial sites or do so on commercially reasonable terms. Switching or adding additional trial sites can also involve additional costs and requires time and focus of our clinical trial operations management team.

 

32


Table of Contents

Competitive products may reduce or eliminate the commercial opportunity for our product candidate for our current or future indications. If our competitors develop technologies or product candidates more rapidly than we do, or their technologies are more effective or safer than ours, our ability to develop and successfully commercialize our current products may be adversely affected.

The biopharmaceutical industry is characterized by rapid innovation and intense competition. While we believe that our clinical program provides us with competitive advantages, we face competition from multiple biopharmaceutical and biotechnology companies that are similarly working to develop therapeutics targeting neuropsychiatry and, central nervous system, or CNS, disorders, as well as from academic institutions, governmental agencies, and public and private research institutions. Many of our potential competitors, either alone or with collaboration partners, have significantly greater financial resources than we do, as well as equal or greater experience in the discovery and development of product candidates, obtaining FDA and other regulatory approvals of products, and the commercialization of those products. Accordingly, our potential competitors may be more successful than we are in achieving regulatory approvals and commercializing their products. We anticipate that we will face intense and increasing competition from existing, approved drugs, as well as new drugs entering the market and emerging technologies that become available.

We are developing LB-102 for the treatment of schizophrenia and bipolar depression. While there remains significant unmet need in schizophrenia and bipolar depression, we believe LB-102, if approved, may face competition from product candidates also being developed for treatment of schizophrenia and bipolar depression. See “Business—Competition” for additional information relating to our competitors.

We believe the key competitive factors affecting the success of our product candidate that we develop to address schizophrenia, bipolar depression and other CNS disorders, if approved, are likely to be efficacy, safety, convenience, price, the level of generic competition, and the availability of reimbursement from government and other third-party payors. Our profitability and financial position will suffer if our product candidate receives regulatory approval but cannot compete effectively in the marketplace.

We will need to grow our organization, and we may experience difficulties in managing our growth and expanding our operations, which could adversely affect our business.

As of August 15, 2025, we had 16 employees. As our development and commercialization plans and strategies develop, and as we transition into operating as a public company, we expect to expand our employee base for managerial, operational, financial, and other resources. In addition, we have limited experience in manufacturing and commercialization. As our product candidate enters and advances through clinical trials, we will need to expand our development and regulatory capabilities and contract with other organizations to provide manufacturing and other capabilities for us. In the future, we expect to have to manage additional relationships with collaborators or partners, suppliers and other organizations. Our ability to manage our operations and future growth will require us to continue to improve our operational, financial, and management controls, reporting systems and procedures, which may lead to significant costs and may divert management attention. We may not be able to implement improvements to our management information and control systems in an efficient or timely manner and may discover deficiencies in existing systems and controls.

Our inability to successfully manage our growth and expand our operations could adversely affect our business, financial condition, results of operations, and prospects.

We are dependent on the services of our management and other clinical and scientific personnel, and if we are not able to retain these individuals or recruit additional management or clinical and scientific personnel, our business will suffer.

Our success depends in part on our continued ability to attract, retain, and motivate highly qualified management, clinical, and scientific personnel. We are highly dependent upon our Chief Executive Officer, Heather

 

33


Table of Contents

Turner, and other members of our management team. The loss of services of any of these individuals could delay or prevent the successful development and commercialization of our product candidate. Although we have executed employment agreements or offer letters with each member of our senior management team, these agreements are terminable at will with or without notice and, therefore, we may not be able to retain their services as expected.

Additionally, in light of our insourced clinical trial model, we are heavily reliant on the expertise of our clinical trial team, and the loss of even a small number of those employees could have a significant adverse impact on our ability to conduct our clinical trials in a compliant and timely manner. Additionally, as we expand our clinical trial operations, or if we experience turnover within our clinical trial team, even if we are able to recruit qualified personnel to support our insourced clinical trial model, the onboarding and integration process takes time and can result in delays to our clinical development timeline.

We will need to expand and effectively manage our managerial, operational, financial, and other resources in order to successfully pursue our clinical development and commercialization efforts. We may not be successful in maintaining our company culture and continuing to attract or retain qualified management and scientific and clinical personnel in the future due to the intense competition for qualified personnel among biopharmaceutical, biotechnology, and other businesses, particularly in the greater New York Area. If we are not able to attract and grow our headcount with the appropriate personnel or integrate, retain, and motivate necessary personnel to accomplish our business objectives, we may experience constraints that will significantly impede the achievement of our development objectives, our ability to raise additional capital, and our ability to implement our business strategy.

Our employees, independent contractors, consultants, commercial partners, and vendors may engage in misconduct or other improper activities, including noncompliance with regulatory standards and requirements.

We are exposed to the risk of employee fraud or other illegal activity by our current and any future employees, independent contractors, consultants, commercial partners, CROs, CDMOs, and vendors. Misconduct by these parties could include intentional, reckless, and/or negligent conduct that fails to comply with FDA or other regulations, provide true, complete and accurate information to the FDA, European Medicines Agency, and other comparable foreign regulatory authorities, comply with manufacturing standards we may establish, comply with healthcare fraud and abuse laws and regulations, report financial information or data accurately, or disclose unauthorized activities to us. If we obtain FDA approval of our product candidate and begin commercializing the product in the United States, our potential exposure under these laws will increase significantly, and our costs associated with compliance with these laws are likely to increase. In particular, sales, marketing, and business arrangements in the healthcare industry are subject to extensive laws and regulations intended to prevent fraud, kickbacks, self-dealing, and other abusive practices. These laws and regulations may restrict or prohibit a wide range of pricing, discounting, marketing and promotion, sales commission, customer incentive programs, and other business arrangements. Employee misconduct could also involve the improper use of information obtained in the course of clinical trials, which could result in regulatory sanctions and serious harm to our reputation. Additionally, we are subject to the risk that a person could allege such fraud or other misconduct, even if none occurred. It is not always possible to identify and deter employee misconduct, and the precautions we take to detect and prevent this activity may not be effective in controlling unknown or unmanaged risks or losses or in protecting us from governmental investigations or other actions or lawsuits stemming from a failure to comply with such laws or regulations. If any such actions are instituted against us, and we are not successful in defending ourselves or asserting our rights, those actions could have a material and adverse effect on our business, financial condition, results of operations, and prospects, including the imposition of significant civil, criminal, and administrative penalties, damages, fines, disgorgement, imprisonment, the curtailment or restructuring of our operations, loss of eligibility to obtain approvals from the FDA, exclusion from participation in government contracting, healthcare reimbursement or other government programs, including Medicare and Medicaid, integrity oversight and reporting obligations, or reputational harm.

 

34


Table of Contents

Our business entails a significant risk of product liability and our ability to obtain sufficient insurance coverage could adversely affect our business, financial condition, results of operations, and prospects.

As we conduct clinical trials of our current or future product candidates, we are exposed to significant product liability risks inherent in the development, testing, manufacturing, and marketing of new treatments. Product liability claims could delay or prevent completion of our development programs. If we succeed in obtaining approval for, and marketing products, such claims or certain adverse event trends could result in an investigation by the FDA, comparable foreign regulatory authorities, or other regulators into the safety and efficacy of our future approved products, our manufacturing processes and facilities, or our marketing programs and potentially a recall of our products or more serious enforcement action, limitations on the approved indications for which they may be used, or suspension or withdrawal of approvals. Regardless of the merits or eventual outcome, liability claims may also result in decreased demand for our future approved products, termination of clinical trial sites or entire trial programs, withdrawal of clinical trial participants, injury to our reputation and significant negative media attention, significant costs to defend the related litigation, a diversion of management’s time and our resources from our business operations, substantial monetary awards to trial participants or patients, loss of revenue, the inability to commercialize any products that we may develop, and a decline in our stock price. We may need to obtain higher levels of product liability insurance for later stages of clinical development or marketing our product candidate. Any insurance we may obtain may not provide sufficient coverage against potential liabilities. Furthermore, clinical trial and product liability insurance is becoming increasingly expensive. As a result, we may be unable to obtain sufficient insurance at a reasonable cost to protect us against losses caused by product liability claims that could adversely affect our business, financial condition, results of operations, and prospects.

We do not carry insurance for all categories of risk that our business may encounter. Some of the policies we currently maintain include property, general liability, clinical trials, and directors’ and officers’ liability insurance. We do not know, however, if we will be able to maintain insurance with adequate levels of coverage. Any significant uninsured liability may require us to pay substantial amounts, which would adversely affect our business, financial condition, results of operations, and prospects.

If our information technology systems or those of third parties with whom we work, or our data are or were compromised, we could experience adverse consequences resulting from such compromise, including but not limited to regulatory investigations or actions; litigation; fines and penalties; disruptions of our business operations; reputational harm; loss of revenue or profits; and other adverse consequences.

In the ordinary course of business, we and the third parties with whom we work, collect, receive, store, process, generate, use, transfer, disclose, make accessible, protect, secure, dispose of, transmit, and share, or collectively, process, personal data and other sensitive information, including proprietary and confidential business information, trade secrets, intellectual property, information we collect about trial participants in connection with clinical trials, and sensitive third-party information, or collectively, sensitive data. As a result, we and the third parties with whom we work face a variety of evolving threats that could cause security incidents. Cyber-attacks, malicious internet-based activity, online and offline fraud, and other similar activities threaten the confidentiality, integrity, and availability of our sensitive data and information technology systems, and those of the third parties with whom we work. Such threats are prevalent and continue to rise, are increasingly difficult to detect, and come from a variety of sources, including traditional computer “hackers,” threat actors, “hacktivists,” organized criminal threat actors, personnel (such as through theft or misuse), sophisticated nation states, and nation-state-supported actors.

Some actors now engage and are expected to continue to engage in cyber-attacks, including without limitation nation-state actors for geopolitical reasons and in conjunction with military conflicts and defense activities. During times of war and other major conflicts, we and the third parties upon with whom we work may be vulnerable to a heightened risk of these attacks, including retaliatory cyber-attacks, that could materially disrupt our systems and operations, supply chain, and ability to produce, sell and distribute our services.

 

35


Table of Contents

We and the third parties with whom we work are subject to a variety of evolving threats, including but not limited to social-engineering attacks (including through deep fakes, which may be increasingly more difficult to identify as fake, and phishing attacks), malicious code (such as viruses and worms), malware (including as a result of advanced persistent threat intrusions), denial-of-service attacks, credential stuffing, credential harvesting, personnel misconduct or error, ransomware attacks, supply-chain attacks, software bugs, server malfunctions, software or hardware failures, loss of data or other information technology assets, adware, attacks enhanced or facilitated by artificial intelligence, or AI, telecommunications failures, earthquakes, fires, floods, and other similar threats.

In particular, severe ransomware attacks are becoming increasingly prevalent and can lead to significant interruptions in our operations, ability to provide our products or services, loss of sensitive data and income, reputational harm, and diversion of funds. Extortion payments may alleviate the negative impact of a ransomware attack, but we may be unwilling or unable to make such payments due to, for example, applicable laws or regulations prohibiting such payments.

It may be difficult and/or costly to detect, investigate, mitigate, contain, and remediate a security incident. Our efforts to do so may not be successful. Actions taken by us or the third parties with whom we work to detect, investigate, mitigate, contain, and remediate a security incident could result in outages, data losses, and disruptions of our business. Threat actors may also gain access to other networks and systems after a compromise of our networks and systems.

Remote work has increased risks to our information technology systems and data, as more of our personnel utilize network connections, computers, and devices outside our premises or network, including working at home, while in transit or in public locations. Additionally, future or past business transactions (such as acquisitions or integrations) could expose us to additional cybersecurity risks and vulnerabilities, as our systems could be negatively affected by vulnerabilities present in acquired or integrated entities’ systems and technologies. Furthermore, we may discover security issues that were not found during due diligence of such acquired or integrated entities, and it may be difficult to integrate companies into our information technology environment and security program.

In addition, our reliance on third parties could introduce new cybersecurity risks and vulnerabilities, including supply-chain attacks, and other threats to our business operations. We rely on various third parties and technologies to operate critical business systems to process sensitive data in a variety of contexts, including, without limitation, cloud-based infrastructure, data center facilities, encryption and authentication technology, personnel email, and other functions. We also rely on third parties to provide other products, services, parts, or otherwise to operate our business, including with respect to our cybersecurity infrastructure. Our ability to monitor these third parties’ information security practices is limited, and these third parties may not have adequate information security measures in place. If the third parties with whom we work experience a security incident or other interruption, we could experience adverse consequences. While we may be entitled to damages if such third parties fail to satisfy their privacy or security-related obligations to us, any award may be insufficient to cover our damages, or we may be unable to recover such award. In addition, supply-chain attacks have increased in frequency and severity, and we cannot guarantee that third parties’ infrastructure in our supply chain or that of the third parties with whom we work have not been compromised.

While we have implemented security measures designed to protect against security incidents, there can be no assurance that these measures will be effective. We may not, however, detect and remediate all such vulnerabilities including on a timely basis. Further, we may experience delays in developing and deploying remedial measures and patches designed to address identified vulnerabilities. Vulnerabilities could be exploited and result in a security incident.

Any of the previously identified or similar threats could cause a security incident or other interruption that could result in unauthorized, unlawful, or accidental acquisition, modification, destruction, loss, alteration,

 

36


Table of Contents

encryption, disclosure of, or access to our sensitive data or our information technology systems, or those of the third parties with whom we work. A security incident or other interruption could disrupt our ability (and that of third parties with whom we work) to provide our services.

We may expend significant resources or modify our business activities (including our clinical trial activities) to try to protect against security incidents. Additionally, certain data privacy and security obligations may require us to implement and maintain specific security measures or industry-standard or reasonable security measures to protect our information technology systems and sensitive data.

Applicable data privacy and security obligations may require us, or we may voluntarily choose, to notify relevant stakeholders, including affected individuals, regulators, and investors, of security incidents, or take other actions, such as providing credit monitoring and identity theft protection services. Such disclosures and related actions can be costly, and the disclosure or the failure to comply with such applicable requirements could lead to adverse consequences.

If we (or a third party with whom we work) experience a security incident or are perceived to have experienced a security incident, we may experience material adverse consequences, such as government enforcement actions (for example, investigations, fines, penalties, audits, and inspections); additional reporting requirements and/or oversight; restrictions on processing sensitive data (including personal data); litigation (including class claims); indemnification obligations; negative publicity; reputational harm; monetary fund diversions; diversion of management attention; interruptions in our operations (including availability of data); financial loss; and other similar harms. Security incidents and attendant material consequences may negatively impact our ability to grow and operate our business.

Our contracts may not contain limitations of liability, and even where they do, there can be no assurance that limitations of liability in our contracts are sufficient to protect us from liabilities, damages, or claims related to our data privacy and security obligations. We cannot be sure that our insurance coverage, if any, will be adequate or sufficient to protect us from or to mitigate liabilities arising out of our privacy and security practices, that such coverage will continue to be available on commercially reasonable terms or at all, or that such coverage will pay future claims.

In addition to experiencing a security incident, third parties may gather, collect, or infer sensitive data about us from public sources, data brokers, or other means that reveals competitively sensitive details about our organization and could be used to undermine our competitive advantage or market position. Additionally, sensitive data that we possess could be leaked, disclosed, or revealed as a result of or in connection with our personnel’s or vendors’ use of generative AI technologies.

We have identified material weaknesses in our internal control over financial reporting. If we fail to remediate these material weaknesses, or if we experience additional material weaknesses in the future or otherwise fail to maintain effective internal control over financial reporting in the future, we may not be able to accurately or timely report our financial condition or results of operations, which may adversely affect investor confidence in us and, as a result, the value of our common stock.

As of December 31, 2024, we had limited accounting personnel and other resources to address our internal control over financial reporting. In connection with the preparation of our financial statements for the year ended December 31, 2024, material weaknesses were identified in the design and operating effectiveness of our internal control over financial reporting. A material weakness is a deficiency, or combination of deficiencies, in internal control over financial reporting, such that there is a reasonable possibility that a material misstatement of the annual or interim financial statements will not be prevented or detected on a timely basis.

 

37


Table of Contents

Based on our assessment, we did not appropriately design and maintain entity-level controls impacting the control environment, control activities, information and monitoring activities to prevent or detect material misstatements to the financial statements. These material weaknesses relate to:

(i) an insufficient number of qualified resources to ensure adequate oversight and accountability over the performance of controls, including:

 

   

proper segregation of duties,

 

   

controls over the completeness and accuracy of information used in the operation of control activities across substantially all financial statement areas, and

 

   

retention of control evidence, and

(ii) improper access and a lack of review over user access and user provisioning as it relates to our information technology environment and general controls over information systems that support the financial reporting process.

These material weaknesses could result in a misstatement of our accounts or disclosures in our annual or interim financial statements that would not be prevented or detected on a timely basis.

These material weaknesses have not been remediated as of the date of this prospectus. To remediate the material weaknesses, we continue to hire finance and accounting personnel, as well as improve our financial controls and accounting systems. We continue using services of a third-party firm to assist in the design and implementation of controls. We intend to continue to take further steps to remediate these material weaknesses through formalizing documentation of policies and procedures and further evolving the accounting processes. The material weaknesses will not be considered remediated until management completes the design and implementation of the measures described above and the controls operate for a sufficient period of time and management has concluded, through testing, that these controls are effective. Although we currently expect to remediate these material weaknesses by December 31, 2025, we cannot assure you that we will be able to successfully do so on this timeline.

The measures we have taken to date, and those that we are continuing to design and implement, may not be sufficient to remediate the material weaknesses we have identified or avoid potential future material weaknesses. If the steps we take do not correct these material weaknesses in a timely manner, we will be unable to conclude that we maintain effective internal control over financial reporting. Accordingly, there could continue to be a reasonable possibility that a material misstatement of our financial statements would not be prevented or detected on a timely basis.

If we fail to remediate our existing material weaknesses or identify new material weaknesses in our internal control over financial reporting, if we are unable to comply with the disclosure and attestation requirements of Section 404 of the Sarbanes-Oxley Act in a timely manner, if we are unable to conclude that our internal control over financial reporting is effective, or if our independent registered public accounting firm is unable to conclude that our internal control over financial reporting is effective when we are no longer an emerging growth company, investors may lose confidence in the accuracy and completeness of our financial reports and the market price of our common stock could be negatively affected. As a result, we could also become subject to investigations by Nasdaq, the SEC or other regulatory authorities, and become subject to litigation from investors and stockholders, which could harm our reputation and financial condition or divert financial and management resources from our regular business activities.

Our projections regarding the market opportunities for our product candidate may not be accurate, and the actual market for our products may be smaller than we estimate.

The precise incidence and prevalence for all the conditions we aim to address with our product candidate are unknown. Our projections of both the number of people who have these diseases, as well as the subset of people

 

38


Table of Contents

with these diseases who have the potential to benefit from treatment with our product candidate, are based on our beliefs and estimates. These estimates have been derived from a variety of sources, including sales of our competitors, scientific literature, surveys of clinics, patient foundations, or market research, and may prove to be incorrect in general, or as to their applicability to our company. Further, new trials may change the estimated incidence or prevalence of these diseases. The total addressable market of our product candidate, if approved, will ultimately depend upon, among other things, the diagnosis criteria included in the final label for our product candidate approved for sale for these indications, if any, the ability of our product candidate to improve on the safety, convenience, cost, and efficacy of competing therapies or therapies in development, acceptance by the medical community and patients, drug pricing, and reimbursement. The number of patients in the United States and other major markets and elsewhere may turn out to be lower than expected, patients may not be otherwise amenable to treatment with our product, if approved, and our product candidate or new patients may become increasingly difficult to identify or gain access to, all of which would adversely affect our business, financial condition, results of operations, and prospects.

Our business could be adversely affected by the effects of health pandemics or epidemics, such as the COVID-19 pandemic, which could cause significant disruptions in our operations and those of our current or future CDMOs, CROs, and other third parties upon whom we rely.

Health pandemics or epidemics, such as the COVID-19 pandemic, have in the past and could again in the future result in quarantines, stay-at-home orders, remote work policies, or other similar events that may disrupt businesses, delay our research and development programs and timelines, negatively impact productivity and increase risks associated with cybersecurity, the future magnitude of which will depend, in part, on the length and severity of the restrictions and other limitations. More specifically, these types of events may negatively impact personnel at third-party manufacturing facilities or the availability or cost of materials, which could disrupt our supply chain. Moreover, our clinical trials may be negatively affected. Clinical site initiation and patient enrollment may be delayed due to prioritization of hospital resources. Some patients may not be able or willing to comply with trial protocols if quarantines impede patient movement or interrupt healthcare services. Our ability to recruit and retain patients, principal investigators, and site staff (who as healthcare providers may have heightened exposure) may be hindered, which would adversely affect our trial operations. Disruptions or restrictions on our ability to travel to monitor data from our trials, or to conduct trials, or the ability of patients enrolled in our trials or staff at trial sites to travel, as well as temporary closures of our trial partners and CDMOs’ facilities, would negatively impact our trial activities. In addition, we rely on independent clinical investigators, CROs, and other third-party service providers to assist us in managing, monitoring, and otherwise carrying out certain of our preclinical studies and clinical trials, including the collection of data from our trials, and the effects of health pandemics or epidemics, such as the COVID-19 pandemic, may affect their ability to devote sufficient time and resources to our programs or to travel to sites to perform work for us. Similarly, our trials could be delayed and/or disrupted. As a result, the expected timeline for data readouts, including incompleteness in data collection and analysis and other related activities, and certain regulatory filings may be negatively impacted, which would adversely affect our ability to obtain regulatory approval for and to commercialize our product candidate, if approved, increase our operating expenses, and adversely affect our business, financial condition, results of operations, and prospects. In addition, impact on the operations of the FDA or comparable foreign regulatory authorities could negatively affect our planned trials and approval processes. Finally, economic conditions and business activity may be negatively impacted and may not recover as quickly as anticipated.

Our future growth may depend, in part, on our ability to operate in foreign markets, where we would be subject to additional regulatory burdens and other risks and uncertainties.

Our future growth may depend, in part, on our ability to develop and commercialize our product candidate in foreign markets, including in the European Union, United Kingdom and Japan, for which we may rely on collaboration with third parties. We are not permitted to market or promote our product candidate before we receive regulatory approval from the applicable regulatory authority in that foreign market and may never receive

 

39


Table of Contents

such regulatory approval for our product candidate. To obtain separate regulatory approval in many other countries, we must comply with numerous and varying regulatory requirements of such countries regarding safety and efficacy and governing, among other things, clinical trials and commercial sales, pricing, and distribution of our product candidate, and we cannot predict success in these jurisdictions. If we fail to comply with the regulatory requirements in international markets and receive applicable marketing approvals, our target market will be reduced and our ability to realize the full market potential of our product candidate will be harmed and our business will be adversely affected. We may not obtain foreign regulatory approvals on a timely basis, if at all. Our failure to obtain approval of our product candidate by regulatory authorities in another country may significantly diminish the commercial prospects of that product candidate and our business, financial condition, results of operations, and prospects could be adversely affected. Moreover, even if we obtain approval of our product candidate and ultimately commercialize our product candidate in foreign markets, we would be subject to the risks and uncertainties, including the burden of complying with complex and changing foreign regulatory, tax, accounting, and legal requirements, and reduced protection of intellectual property rights in some foreign countries.

Risks Related to Intellectual Property, Collaborations, and Related Agreements

If we are unable to obtain and maintain sufficient intellectual property protection for our technologies, and product candidate and any future product candidates we may develop, or if the scope of the intellectual property protection obtained is not sufficiently broad, our competitors or other third parties could develop and commercialize products similar or identical to ours, and our ability to successfully develop and commercialize our product candidate may be adversely affected.

We rely upon a combination of patents, know-how, trade secrets, and confidentiality agreements, to protect the intellectual property related to our technologies, and product candidate and to prevent third parties from copying and surpassing our achievements, thus eroding our competitive position in our market. We may also rely on protection afforded by in-licensed intellectual property rights and proprietary technology of third parties in the future.

Our success depends in large part on our ability to obtain and maintain patent protection in the United States and other countries for our product candidate and its uses, as well as our ability to operate without infringing, misappropriating, or otherwise violating the proprietary rights of others. We seek to protect our proprietary position by filing patent applications in the United States and abroad related to our novel discoveries and technologies that are important to our business. Although we own issued patents, our pending and future patent applications may not result in patents being issued. Even if our patent applications result in issued patents, we cannot assure you that such issued patents will afford sufficient protection of our product candidate or its intended uses against competitors, nor can there be any assurance that the patents issued will not be infringed, designed around, invalidated by third parties, or that they will effectively prevent others from commercializing competitive technologies, products, or product candidates.

Obtaining and enforcing patents is expensive and time-consuming, and we may not be able to file, prosecute, maintain, enforce, or license all necessary or desirable patent applications or maintain and/or enforce patents that may issue based on our patent applications at a reasonable cost or in a timely manner. We may not be able to obtain or maintain patent applications and patents due to the subject matter claimed in such patent applications and patents being in disclosures in the public domain. It is also possible that we will fail to identify patentable aspects of our research and development results before it is too late to obtain patent protection. Therefore, patents and applications that are relevant to our product candidate may not be prosecuted and enforced in a manner consistent with the best interests of our business. Although we enter into non-disclosure and confidentiality agreements with parties who have access to confidential or patentable aspects of our research and development output, such as our employees, corporate collaborators, outside scientific collaborators, CROs, CDMOs, consultants, advisors, and other third parties, any of these parties may breach these agreements and disclose such results before a patent application is filed, thereby jeopardizing our ability to seek patent protection.

 

40


Table of Contents

Consequently, we may not be able to prevent any third parties from using any of our technologies that are in the public domain to compete with our technologies or product candidate.

Composition of matter patents for pharmaceutical product candidates often provide a strong form of intellectual property protection for those types of products, as such patents provide protection without regard to any method of use or preparation. However, we cannot be certain that the claims in any of our patent applications directed to composition of matter of our product candidate will be considered patentable by the United States Patent and Trademark Office, or the USPTO, or by patent offices in foreign countries, or that the claims in any of our issued patents will be considered valid and enforceable by courts in the United States or foreign countries. Further, our issued composition of matter patents covering our pharmaceutical product candidate may expire at such a date that our patents may not prevent competitors from developing, making and marketing a product that is identical to our product candidate after expiration of any applicable regulatory exclusivities. Similarly, patents for pharmaceutical formulations containing pharmaceutical product candidates may provide an additional form of intellectual property protection, as such patents provide protection without regard to any method of use. However, we cannot be certain that the claims in our pending patent applications directed to pharmaceutical formulations containing our product candidate will be considered patentable by the USPTO or by patent offices in foreign countries, or that the claims in any of our issued patents will be considered valid and enforceable by courts in the United States or foreign countries. In addition, we cannot be certain that the claims of such patents, if granted, will be sufficiently broad to effectively prevent competitors from working around our claimed inventions by developing alternative compounds and thereby competing with us without infringing our patent rights. Method of use patents protect the use of a product for the specified method or indication. In the absence of separate composition of matter protection, this type of patent does not prevent a competitor from making and marketing a product that is identical to our product candidate for an indication that is outside of the methods of use claimed in our patents. Moreover, even if competitor products are not approved for use in our patented indications, and our competitors do not actively promote their products for indications that are covered by our patents, clinicians may prescribe these competitor products “off-label.” Although off-label prescriptions may infringe or contribute to the infringement of method of use patents, such infringement is difficult to prevent or prosecute.

The patent position of pharmaceutical companies generally is highly uncertain, involves complex legal and factual questions, and has in recent years been the subject of much litigation, resulting in court decisions, including Supreme Court decisions, which have increased uncertainties as to the ability to enforce patent rights in the future. As a result, the issuance, scope, validity, enforceability, and commercial value of any patent rights are highly uncertain. Our pending and future owned and in-licensed patent applications may not result in patents being issued that protect our technologies or product candidate, effectively prevent others from commercializing our technologies or product candidate or otherwise provide any competitive advantage. In fact, patent applications may not issue as patents at all. The coverage claimed in a patent application can also be significantly reduced before the patent is issued, and its scope can be reinterpreted after issuance. In addition, the laws of foreign countries may not protect our rights to the same extent as the laws of the United States, or vice versa.

The patent application process is subject to numerous risks and uncertainties, and there can be no assurance that we will be successful in protecting our product candidate by obtaining and defending patents. For example, we may not be aware of all third-party intellectual property rights potentially relating to our product candidate or its intended uses, and as a result the impact of such third-party intellectual property rights upon the patentability of our patents and patent applications, as well as the impact of such third-party intellectual property upon our freedom to operate, is highly uncertain. Publications of discoveries in the scientific literature often lag behind the actual discoveries, and patent applications in the United States and other jurisdictions are typically not published until 18 months after filing or, in some cases, not at all. Therefore, we cannot know with certainty whether we were the first to make the inventions claimed in our patents or pending patent applications, or that we were the first to file for patent protection of such inventions. If a third party can establish that we were not the first to make or the first to file for patent protection of such inventions, our patent applications may not issue as patents

 

41


Table of Contents

and even if issued, may be challenged and invalidated or rendered unenforceable. As a result, the issuance, inventorship, scope, validity, enforceability, and commercial value of our patent rights are highly uncertain.

The issuance of a patent is not conclusive as to its inventorship, scope, validity, or enforceability, and our pending patent applications may be challenged in patent offices in the United States and abroad. Even issued patents may later be found invalid or unenforceable or may be modified or revoked in proceedings instituted by third parties before various patent offices or in courts. For example, our pending patent applications may be subject to third-party pre-issuance submissions of prior art to the USPTO, and our issued patents may be subject to post-grant review, proceedings, oppositions, derivations, reexaminations, interferences, inter partes review proceedings, or other similar proceedings, in the United States or elsewhere, challenging our patent rights. Such submissions may also be made prior to a patent’s issuance, precluding the granting of a patent based on one or more of our pending patent applications. An adverse determination in any such challenges may result in loss of exclusivity or in patent claims being narrowed, invalidated, or held unenforceable, in whole or in part, which could limit our ability to stop others from using or commercializing similar or identical technologies and product candidates, or limit the duration of the patent protection of our technologies and product candidate. Such challenges also may result in substantial cost and require significant time from our scientists and management, even if the eventual outcome is favorable to us. Any of the foregoing could impair our competitive position and adversely affect our business, financial condition, results of operations, and prospects.

A third party may also claim that our patent rights are invalid or unenforceable in a litigation. We can also be accused of infringement by a third party in a litigation. The outcome following legal assertions of invalidity, unenforceability, or infringement is unpredictable. An adverse result in any legal proceeding could put one or more of our patents at risk of being invalidated or interpreted narrowly and could allow third parties to commercialize our products and compete directly with us, without payment to us, or result in our inability to manufacture or commercialize our technology, products, or product candidate without infringing third-party patent rights.

In addition, given the amount of time required for the development, testing, and regulatory review of new product candidates, patents protecting such candidates might expire before or shortly after such candidates are commercialized. The degree of future protection for our proprietary rights is uncertain. Only limited protection may be available and may not adequately protect our rights or permit us to gain or keep any competitive advantage. Any failure to obtain or maintain patent protection with respect to our product candidate or its uses could adversely affect our business, financial condition, results of operations, and prospects.

Issued patents covering our product candidate, or the method of use of our product candidate could be found invalid or unenforceable if challenged in court or before administrative bodies in the United States or abroad.

If we initiate legal proceedings against a third party to enforce a patent covering our product candidate, or our other proprietary technologies, the defendant could counterclaim that such patent is invalid or unenforceable. In patent litigation in the United States, defendant counterclaims alleging invalidity or unenforceability are commonplace. Grounds for a validity challenge could be an alleged failure to meet any of several statutory requirements, including lack of novelty, obviousness, non-enablement, insufficient written description, or failure to claim patent-eligible subject matter. Grounds for an unenforceability assertion could be an allegation that someone connected with prosecution of the patent withheld relevant information from the USPTO, or made a misleading statement, during prosecution. In addition to such counterclaims, third parties may raise claims challenging the validity or enforceability of a patent before administrative bodies in the United States or abroad, even outside the context of litigation. Such mechanisms include re-examination, post-grant review, inter partes review, derivation proceedings, and equivalent proceedings in foreign jurisdictions (e.g., opposition proceedings). Such proceedings could result in the revocation of, cancellation of, or amendment to our patent rights in such a way that they no longer cover our product candidate, therapeutic programs, and other proprietary technologies we may develop. The outcome following legal assertions of invalidity and unenforceability is unpredictable. With respect to the validity question, for example, we cannot be certain that there is no

 

42


Table of Contents

invalidating prior art of which we and the patent examiner were unaware during prosecution. If a third party were to prevail on a legal assertion of invalidity or unenforceability, we would lose at least part, and perhaps all, of the patent protection provided to our product candidate, proprietary technologies, or other components of our therapeutic programs, as applicable. Such a loss of patent protection could have a material adverse impact on our business, financial condition, results of operations, and prospects.

We may not be successful in obtaining or maintaining necessary rights to third party patents for our product candidate through acquisitions and in-licenses.

The growth of our business may depend in part on our ability to acquire, in-license, or use third-party intellectual property and proprietary rights. Other pharmaceutical companies and academic institutions may own patents or may have filed, or be planning to file, patent applications potentially relevant to our business. In order to avoid infringing such patent rights, we may find it necessary or prudent to obtain licenses to such patent rights from such third parties. For example, we may be required by the FDA or comparable foreign regulatory authorities to provide a specific companion diagnostic test or tests with our product candidate, any of which could require us to obtain rights to use patents or know-how owned or controlled by third parties. In addition, with respect to any patent or other intellectual property rights we may co-own with third parties in the future, we may require licenses to such co-owners’ interest to such patent or other intellectual property rights. We may be unable to acquire or in-license any compositions, methods of use, processes, or other third-party intellectual property rights from third parties that we identify as necessary or important to our business operations. In addition, we may fail to obtain any of these licenses at a reasonable cost or on reasonable terms, if at all. Were that to happen, we may need to cease use of the compositions or methods covered by those third-party intellectual property rights and may need to seek to develop alternative approaches that do not infringe, misappropriate, or otherwise violate those intellectual property rights, which may entail additional costs and development delays, even if we were able to develop such alternatives, which may not be feasible. Even if we are able to obtain a license, it may be non-exclusive, which means that our competitors may also receive access to the same technologies licensed to us. In that event, we may be required to expend significant time and resources to develop or license replacement technology.

The licensing and acquisition of third-party intellectual property rights is a competitive area, and companies that may be more established or have greater resources than we do may also be pursuing strategies to license or acquire third-party intellectual property rights that we may consider necessary or attractive in order to commercialize our product candidate. More established companies may have a competitive advantage over us due to their size, resources, and greater clinical development and commercialization capabilities. In addition, companies that perceive us to be a competitor may be unwilling to assign or license rights to us. There can be no assurance that we will be able to successfully complete these types of negotiations and ultimately acquire the rights to the intellectual property related to the products or product candidate that we may seek to develop or market. If we are unable to successfully obtain rights to required third-party intellectual property or to maintain the existing intellectual property rights we have, we may have to abandon development of certain programs and our business, financial condition, results of operations, and prospects could suffer.

We may enter into license agreements in the future with others to advance our existing or future research or allow commercialization of our existing or future product candidates. These licenses may not provide exclusive rights to use such intellectual property and technology in all relevant fields of use and in all territories in which we may wish to develop or commercialize our technologies and product candidate in the future. In that event, we may be required to expend significant time and resources to redesign our product candidate, or the methods for manufacturing them, all of which may not be feasible on a technical or commercial basis. If we are unable to do so, we may be unable to develop or commercialize the affected product candidate, which could harm our business, financial condition, results of operations, and prospects significantly. We cannot provide any assurances that third-party patents do not exist which might be enforced against our current manufacturing methods, product candidate, or future methods or product candidates resulting in either an injunction prohibiting

 

43


Table of Contents

our manufacture or future sales, or, with respect to our future sales, an obligation on our part to pay royalties and/or other forms of compensation to third parties, which could be significant.

We may form or seek collaborations or strategic alliances, enter into licensing arrangements or other business transactions in the future, and we may not realize the benefits of such transactions.

We may enter into licensing arrangements and strategic transactions to acquire and advance new assets or product candidates in the future, including strategic partnerships, in-licensing of product candidates, strategic collaborations, joint ventures, restructurings, divestitures, acquisitions of companies, asset purchases, business combinations, and investments.

Any future transactions that we enter into may not be successful. In particular, the success of our collaboration arrangements will depend heavily on the efforts and activities of our collaborators. Collaborations are subject to numerous risks, which may include that:

 

   

collaborators have significant discretion in determining the efforts and resources that they will apply to collaborations;

 

   

collaborators may not pursue development and commercialization of our product candidate or may elect not to continue or renew development or commercialization programs based on trial or test results, changes in their strategic focus due to the acquisition of competitive products, availability of funding, or other external factors, such as a business combination that diverts resources or creates competing priorities;

 

   

collaborators could independently develop, or develop with third parties, products that compete directly or indirectly with our product candidate;

 

   

a collaborator with marketing, manufacturing, and distribution rights to one or more products may not commit sufficient resources to or otherwise not perform satisfactorily in carrying out these activities;

 

   

we could grant exclusive rights to our collaborators that would prevent us from collaborating with others;

 

   

collaborators may not properly maintain or defend our intellectual property rights or may use our intellectual property or proprietary information in a way that gives rise to actual or threatened litigation that could jeopardize or invalidate our intellectual property or proprietary information or expose us to potential liability;

 

   

disputes may arise between us and a collaborator that causes the delay or termination of the research, development or commercialization of our future product candidates or that results in costly litigation or arbitration that diverts management attention and resources;

 

   

collaborations may be terminated, and, if terminated, may result in a need for additional capital to pursue further development or commercialization of the applicable future product candidates;

 

   

collaborators may own or co-own intellectual property covering our product candidate that results from our collaborating with them, and in such cases, we would not have the exclusive right to develop or commercialize such intellectual property; and

 

   

a collaborator’s sales and marketing activities or other operations may not be in compliance with applicable laws resulting in civil or criminal proceedings.

In addition, any future transactions could increase our near and long-term expenditures, result in potentially dilutive issuances of our equity securities, including our common stock, or the incurrence of debt, contingent liabilities, amortization expenses, or acquired in-process research and development expenses, any of which could affect our financial condition, liquidity, and results of operations.

 

44


Table of Contents

Future acquisitions may also require us to obtain additional financing, which may not be available on favorable terms or at all. These transactions may never be successful and may require significant time and attention of our management. In addition, the integration of any business that we may acquire in the future may disrupt our existing business and may be a complex, risky, and costly endeavor for which we may never realize the full benefits of the acquisition. Accordingly, although there can be no assurance that we will undertake or successfully complete any additional transactions of the nature described above, any additional transactions that we do complete could adversely affect our business, financial condition, results of operations, and prospects.

We may not be able to protect our intellectual property rights throughout the world.

Patents are of national or regional effect. Filing, prosecuting, and defending patents on all of our research programs and product candidate in all countries throughout the world would be prohibitively expensive, and our intellectual property rights in some countries outside the United States can be less extensive than those in the United States. In addition, the laws of some foreign countries do not protect intellectual property rights to the same extent as federal and state laws in the United States, even in jurisdictions where we do pursue patent protection. Consequently, we may not be able to prevent third parties from practicing our inventions in all countries outside the United States, even in jurisdictions where we do pursue patent protection, or from selling or importing products made using our inventions in and into the United States or other jurisdictions. Competitors may use our technologies in jurisdictions where we have not obtained patent protection to develop their own products and, further, may export otherwise infringing products to territories where we have patent protection, but enforcement is not as strong as that in the United States. These competitor products may compete with our product candidate, and our patents or other intellectual property rights may not be effective or sufficient to prevent them from competing.

Moreover, our ability to protect and enforce our intellectual property rights may be adversely affected by unforeseen changes in foreign intellectual property laws. Additionally, laws of some countries outside of the United States and Europe do not afford intellectual property protection to the same extent as the laws of the United States and Europe. Various companies have encountered significant problems in protecting and defending intellectual property rights in foreign jurisdictions. The legal systems of many countries do not favor the enforcement of patents or other intellectual property protection, particularly those relating to pharmaceuticals, which could make it difficult for us to stop the infringement of our patents or marketing of competing products in violation of our proprietary rights.

Various countries outside the United States have compulsory licensing laws under which a patent owner may be compelled to grant licenses to third parties. In addition, many countries limit the enforceability of patents against government agencies or government contractors. As a result, a patent owner may have limited remedies in certain circumstances, which could materially diminish the value of such patent. If we are forced to grant a license to third parties with respect to any patents relevant to our business, our competitive position may be impaired, and our business, financial condition, results of operations, and prospects may be adversely affected. Accordingly, our efforts to enforce our intellectual property rights around the world may be inadequate to obtain a significant commercial advantage from the intellectual property that we develop or license.

Further, the standards applied by the USPTO and foreign patent offices in granting patents are not always applied uniformly or predictably. As such, we do not know the degree of future protection that we will have on our technologies and product candidate. While we will endeavor to try to protect our technologies and product candidate with intellectual property rights such as patents, as appropriate, the process of obtaining patents is time-consuming, expensive, and unpredictable.

In addition, geopolitical actions in the United States and in foreign countries could increase the uncertainties and costs surrounding the prosecution or maintenance of our patent applications or those of any future licensors and the maintenance, enforcement, or defense of our issued patents or those of any future licensors. As a result, our competitive position may be impaired, and our business, financial condition, results of operations, and prospects may be adversely affected.

 

45


Table of Contents

Intellectual property rights do not necessarily address all potential threats to our competitive advantage.

The degree of future protection afforded by our intellectual property rights is uncertain because intellectual property rights have limitations and may not adequately protect our business or permit us to maintain our competitive advantage. For example:

 

   

others may be able to make or use product candidates that are similar to ours, but that are not covered by the claims of our patents or pending patent applications;

 

   

we or future collaborators might not have been the first to make the inventions covered by the pending patent application that we own or have exclusively licensed;

 

   

we or future collaborators might not have been the first to file patent applications covering certain of our or their inventions;

 

   

others may independently develop similar or alternative technologies or duplicate any of our technologies without infringing or otherwise violating our intellectual property rights;

 

   

it is possible that noncompliance with the USPTO and foreign governmental patent agencies’ requirements for a number of procedural, documentary, fee payment, and other provisions during the patent process can result in abandonment or lapse of a patent or patent application, and partial or complete loss of patent rights in the relevant jurisdiction;

 

   

it is possible that our pending patent applications or those that we may own or license in the future will not lead to issued patents;

 

   

issued patents, if any arise in the future, that we either own or have exclusively licensed may be revoked, modified, or held invalid or unenforceable, as a result of legal challenges by our competitors or other third parties;

 

   

others may have access to the same intellectual property rights licensed to us in the future on a non-exclusive basis;

 

   

our competitors or other third parties might conduct research and development activities in countries where we do not have patent rights and then use the information learned from such activities to develop competitive products for sale in our major commercial markets;

 

   

we may not develop additional proprietary technologies that are patentable;

 

   

we cannot predict the scope of protection of any patent issuing based on our patent applications, including whether the patent applications that we own, or, in the future, in-license will result in issued patents with claims that directed to our product candidate or uses thereof in the United States or in other foreign countries;

 

   

there may be significant pressure on the U.S. government and international governmental bodies to limit the scope of patent protection both inside and outside the United States for disease treatments that prove successful, as a matter of public policy regarding worldwide health concerns;

 

   

countries other than the United States may have patent laws less favorable to patentees than those upheld by U.S. courts, allowing foreign competitors a better opportunity to create, develop, and market competing product candidates;

 

   

the claims of any patent issuing based on our patent applications may not provide protection against competitors or any competitive advantages, or may be challenged by third parties;

 

   

if enforced, a court may not hold that our patents, if they issue in the future, are valid, enforceable, and infringed;

 

   

we may need to initiate litigation or administrative proceedings to enforce and/or defend our patent rights which will be costly whether we win or lose;

 

46


Table of Contents
   

we may choose not to file a patent application in order to maintain certain trade secrets or know-how, and a third party may subsequently file a patent application covering such intellectual property;

 

   

our trade secrets or proprietary know-how may be unlawfully disclosed, thereby losing their trade secret or proprietary status;

 

   

we may fail to adequately protect and police our trademarks and trade secrets; and

 

   

the patents of others may have an adverse effect on our business, including if others obtain patents claiming subject matter similar to or improving that covered by our patent applications.

Even if we receive regulatory approval for our product candidate, the regulatory authorities may also approve generic products that compete directly with our product candidate. Once an NDA is approved, the product covered thereby becomes a “listed drug” which can, in turn, be cited by potential competitors in support of approval of an Abbreviated New Drug Application, or ANDA. The FDA regulations and other applicable regulations and policies provide incentives to manufacturers to create modified, non-infringing versions of a listed drug to facilitate the approval of an ANDA for generic substitutes. These manufacturers might only be required to conduct a relatively inexpensive study to show that their product has the same active ingredient(s), dosage form, strength, route of administration and conditions of use or labeling as our product candidate and that the generic product is bioequivalent to our product candidate. These generic equivalents could be significantly less costly than ours to bring to market and companies that produce generic equivalents may be able to offer their products at lower prices. Accordingly, competition from generic equivalents of our product candidate could materially adversely impact our ability to successfully commercialize our product candidate.

Should any of these or similar events occur, they could significantly harm our business, financial condition, results of operations, and prospects.

We may not identify relevant third-party patents or may incorrectly interpret the relevance, scope, or expiration of a third-party patent, which might adversely affect our ability to develop and market our product candidate.

As the pharmaceutical industry expands and more patents are issued, the risk increases that our product candidate may be subject to claims of infringement of the patent rights of third parties. There can be no assurance that our operations do not, or will not in the future, infringe, misappropriate, or otherwise violate existing or future third-party patents or other intellectual property rights. Identification of third-party patent rights that may be relevant to our operations is difficult because patent searching is imperfect due to differences in terminology among patents, incomplete databases, and the difficulty in assessing the meaning of patent claims. We cannot guarantee that any of our patent searches or analyses, including the identification of relevant patents, the scope of patent claims, or the expiration of relevant patents, are complete or thorough, nor can we be certain that we have identified each and every third-party patent and pending application in the United States and abroad that is relevant to or necessary for the commercialization of our product candidate in any jurisdiction.

Numerous U.S. and foreign patents and pending patent applications exist in our market that are owned by third parties. Our competitors in both the United States and abroad, many of which have substantially greater resources and have made substantial investments in patent portfolios and competing technologies, may have applied for or obtained or may in the future apply for and obtain, patents that will prevent, limit or otherwise interfere with our ability to make, use, and sell our product candidate. We do not always conduct independent reviews of pending patent applications of and patents issued to third parties. Patent applications in the United States and elsewhere are typically published approximately 18 months after the earliest filing for which priority is claimed, with such earliest filing date being commonly referred to as the priority date. Certain United States applications that will not be filed outside the United States can remain confidential until patents issue. In addition, patent applications in the United States and elsewhere can be pending for many years before issuance, or unintentionally abandoned patents or applications can be revived. Furthermore, pending patent applications

 

47


Table of Contents

that have been published can, subject to certain limitations, be later amended in a manner that could cover our technologies, product candidate, or the use of our product candidate. As such, there may be applications of others now pending or recently revived patents of which we are unaware. These patent applications may later result in issued patents, or the revival of previously abandoned patents, that may be infringed by the manufacture, use, or sale of our technologies or product candidate or will prevent, limit, or otherwise interfere with our ability to make, use, or sell our technologies and product candidate.

The scope of a patent claim is determined by an interpretation of the law, the written disclosure in a patent, and the patent’s prosecution history. Our interpretation of the relevance or the scope of a patent or a pending application may be incorrect. For example, we may incorrectly determine that our product candidate is not covered by a third-party patent or may incorrectly predict whether a third-party’s pending application will issue with claims of relevant scope. Our determination of the expiration date of any patent in the United States or abroad that we consider relevant may be incorrect. Our failure to identify and correctly interpret relevant patents may negatively impact our ability to develop and market our product candidate.

We cannot provide any assurances that third-party patents and other intellectual property rights do not exist which might be enforced against our current technology, including our product candidate, its respective methods of use, manufacture, and formulations thereof, and could result in either an injunction prohibiting our manufacture or future sales, or, with respect to our future sales, an obligation on our part to pay royalties and/or other forms of compensation to third parties, which could be significant.

We may be involved in lawsuits to protect or enforce our patents or other intellectual property, which could be expensive, time-consuming and unsuccessful.

Competitors or other third parties may infringe, misappropriate, or violate our patents, trademarks, or other intellectual property. To counter infringement, misappropriation, or unauthorized use, we or one of our licensing partners may be required to file infringement claims, which can be expensive and time-consuming and divert the time and attention of our management and scientific personnel. Our pending patent applications cannot be enforced against third parties practicing the technology claimed in such applications unless and until a patent issues from such applications. Any claims we assert against perceived infringers could provoke these parties to assert counterclaims against us alleging that we infringe their patents, in addition to counterclaims asserting that our patents are invalid or unenforceable, or both. In patent litigation in the United States, defendant counterclaims alleging invalidity and/or unenforceability are commonplace. Grounds for a validity challenge could be an alleged failure to meet any of several statutory requirements, including lack of novelty, obviousness, non-enablement, insufficient written description, or failure to claim patent-eligible subject matter. Grounds for an unenforceability assertion could be an allegation that someone connected with prosecution of the patent withheld relevant information from the USPTO or made a misleading statement during prosecution. The outcome following legal assertions of invalidity and unenforceability is unpredictable. In any patent infringement proceeding, there is a risk that a court will decide that a patent of ours is invalid or unenforceable, in whole or in part, and that we do not have the right to stop the other party from using the invention at issue. There is also a risk that, even if the validity of such patent is upheld, the court will construe the patent’s claims narrowly or decide that we do not have the right to stop the other party from using the invention at issue on the grounds that our patent claims do not cover the other party’s use of our invention, or decide that the other party’s use of our patented technology falls under the safe harbor to patent infringement under 35 U.S.C. §271(e). An adverse outcome in a litigation or proceeding involving our patents could limit our ability to assert our patents against those parties or other competitors and may curtail or preclude our ability to exclude third parties from making and selling similar or competitive products. Any of these occurrences could adversely affect our competitive position, and our business, financial condition, results of operations, and prospects. Similarly, if we assert trademark infringement claims, a court may determine that the marks to be asserted are invalid or unenforceable, or that the party against whom trademark infringement to be asserted has superior rights to the marks in question. In this case, we could ultimately be forced to cease use of such trademarks.

 

48


Table of Contents

Even if we establish infringement, misappropriation, or violation, the court may decide not to grant an injunction against further infringing activity and instead award only monetary damages, which may or may not be an adequate remedy. Furthermore, because of the substantial amount of discovery required in connection with intellectual property litigation, there is a risk that some of our confidential information could be compromised by disclosure during litigation. There could also be public announcements of the results of hearings, motions, or other interim proceedings or developments. If securities analysts or investors perceive these results to be negative, it could adversely affect the price of shares of our common stock. Moreover, we cannot assure you that we will have sufficient financial or other resources to file and pursue such infringement, misappropriation, or violation claims, which typically last for years before they are concluded. Even if we ultimately prevail in such claims, the monetary cost of such litigation and the diversion of the attention of our management and scientific personnel could outweigh any benefit we receive as a result of the proceedings.

Intellectual property rights of third parties could adversely affect our ability to commercialize our product candidate or any future product candidates, and we, or any future licensors, collaborators or strategic partners may become subject to third party claims or litigation alleging infringement of patents or misappropriation or violation of our other proprietary rights or seeking to invalidate patents or other proprietary rights. We might be required to litigate or obtain licenses from third parties in order to develop or market our product candidate or any future product candidates. Such litigation or licenses could be costly or not available on commercially reasonable terms.

Our commercial success depends, in part, on our ability to develop, manufacture, market, and sell our product candidate and use our proprietary technologies without infringing, misappropriating, or otherwise violating the intellectual property and other proprietary rights of third parties. Third parties may allege that we have infringed, misappropriated, or otherwise violated their intellectual property. Litigation or other legal proceedings relating to intellectual property claims, with or without merit, is unpredictable and generally expensive and time-consuming and, even if resolved in our favor, is likely to divert significant resources from our core business, including distracting our technical and management personnel from their normal responsibilities. In addition, there could be public announcements of the results of hearings, motions, or other interim proceedings or developments and if securities analysts or investors perceive these results to be negative, it could have a substantial adverse effect on the market price of our common stock. Such litigation or proceedings could substantially increase our operating losses and reduce the resources available for development activities or any future sales, marketing, or distribution activities. We may not have sufficient financial or other resources to adequately conduct such litigation or proceedings. Some of our competitors may be able to sustain the costs of such litigation or proceedings more effectively than we can because of their greater financial resources and more mature and developed intellectual property portfolios. Uncertainties resulting from the initiation and continuation of patent litigation or other proceedings could adversely affect our ability to compete in the marketplace.

There is a substantial amount of intellectual property litigation in the pharmaceutical industry, and we may become party to, or threatened with, litigation or other adversarial proceedings regarding intellectual property rights with respect to our product candidate. We cannot be certain that our product candidate will not infringe existing or future patents owned by third parties. Third parties may assert infringement claims against us based on existing or future intellectual property rights, regardless of their merit. We may decide in the future to seek a license to such third-party patents or other intellectual property rights, but we might not be able to do so on reasonable terms. Proving patent invalidity may be difficult. For example, in the United States, proving invalidity in court requires a showing of clear and convincing evidence to overcome the presumption of validity enjoyed by issued patents. As this burden is a high one, there is no assurance that a court of competent jurisdiction would invalidate the claims of any such United States patent or find that our technologies or product candidate does not infringe any such claims. If we are found to infringe, misappropriate, or otherwise violate a third party’s intellectual property rights, we could be forced, including by court order, to cease developing, manufacturing, or commercializing the infringing technology or product candidate. Further, we may be required to redesign the technology or product candidate in a non-infringing manner, which may not be commercially feasible.

 

49


Table of Contents

Alternatively, we may be required to obtain a license from such third party in order to use the infringing technology and continue developing, manufacturing, or marketing the infringing product candidate. However, we may not be able to obtain any required license on commercially reasonable terms or at all. Even if we were able to obtain a license, it could be non-exclusive, thereby giving our competitors access to the same technologies licensed to us, and it could require us to make substantial licensing and royalty payments. In addition, we could be found liable for monetary damages, including treble damages and attorneys’ fees if we are found to have willfully infringed a patent. A finding of infringement could prevent us from commercializing our technologies or product candidate or force us to cease some of our business operations, which could materially harm our business. Claims that we have misappropriated the confidential information or trade secrets of third parties could have a similar negative impact on our business.

We may not be aware of patents that have already been issued and that a third party, for example, a competitor in the fields in which we are developing our product candidate, might assert are infringed by our current or future product candidates, including claims to compositions, formulations, methods of manufacture, or methods of use or treatment that cover our current or future product candidates. It is also possible that patents owned by third parties of which we are aware, but which we do not believe are relevant to our current or future product candidates, could be found to be infringed by our current or future product candidates. In addition, because patent applications can take many years to issue, there may be currently pending patent applications that may later result in issued patents that our current or future product candidates may infringe. Our competitors in both the United States and abroad, many of which have substantially greater resources and have made substantial investments in patent portfolios and competing technologies, may have applied for or obtained or may in the future apply for and obtain, patents that will prevent, limit, or otherwise interfere with our ability to make, use, and sell our current or future product candidates. The pharmaceutical industry has produced a considerable number of patents, and it may not always be clear to industry participants, including us, which patents cover various types of products or methods of use. The coverage of patents is subject to interpretation by the courts, and the interpretation is not always uniform. If we were sued for patent infringement, we would need to demonstrate that our current or future product candidates or methods of use either do not infringe the patent claims of the relevant patent or that the patent claims are invalid or unenforceable, and we may not be able to do this. Proving invalidity may be difficult. For example, in the United States, proving invalidity in court requires a showing of clear and convincing evidence to overcome the presumption of validity enjoyed by issued patents, and there is no assurance that a court of competent jurisdiction would invalidate the claims of any such United States patent. Even if we are successful in these proceedings, we may incur substantial costs, and the time and attention of our management and scientific personnel could be diverted in pursuing these proceedings, which could adversely affect our business and operations. Furthermore, because of the substantial amount of discovery required in connection with intellectual property litigation, there is a risk that some of our confidential information could be compromised by disclosure during litigation. In addition, we may not have sufficient resources to bring these actions to a successful conclusion.

We may choose to challenge the enforceability or validity of claims in a third party’s United States patent by requesting that the USPTO review the patent claims in an ex-parte re-exam, inter partes review, or post-grant review proceedings. These proceedings are expensive and may consume our time or other resources. We may choose to challenge a third party’s patent in patent opposition proceedings in the European Patent Office, or EPO, or other foreign patent office. The costs of these opposition proceedings could be substantial and may consume our time or other resources. If we fail to obtain a favorable result at the USPTO, EPO, or other patent office then we may be exposed to litigation by a third party alleging that the patent may be infringed by our product candidate.

Changes in patent law in the United States and other jurisdictions could diminish the value of patents in general, thereby impairing our ability to protect our product candidate.

As is the case with other pharmaceutical companies, our success is heavily dependent on intellectual property, particularly patents. Obtaining, defending, maintaining, and enforcing patents in the pharmaceutical

 

50


Table of Contents

industry involves both technological and legal complexity and is therefore costly, time-consuming and inherently uncertain. Changes in either the patent laws or interpretation of the patent laws in the United States could increase the uncertainties and costs surrounding the prosecution of patent applications and the enforcement or defense of issued patents, and may diminish our ability to protect our inventions, obtain, maintain, enforce and protect our intellectual property rights and, more generally, could affect the value of our intellectual property or narrow the scope of our future owned and licensed patents. For example, patent reform legislation in the United States and other countries, such as the Leahy-Smith America Invents Act, or the Leahy-Smith Act, signed into law on September 16, 2011, could increase those uncertainties and costs surrounding the prosecution of our patent applications and the enforcement or defense of our future issued patents. The Leahy-Smith Act included a number of significant changes to United States patent law. These changes included provisions that affected the way patent applications are prosecuted, redefined prior art, and provided more efficient and cost-effective avenues for competitors to challenge the validity of patents. These included allowing third-party submission of prior art to the USPTO during patent prosecution and additional procedures to attack the validity of a patent by USPTO administered post-grant proceedings, including post-grant review, inter partes review, and derivation proceedings.

Further, because of a lower evidentiary standard in these USPTO post-grant proceedings compared to the evidentiary standard in United States federal courts necessary to invalidate a patent claim, a third party could potentially provide evidence in a USPTO proceeding sufficient for the USPTO to hold a claim invalid even though the same evidence would be insufficient to invalidate the claim if first presented in a district court action. Accordingly, a third party may attempt to use the USPTO procedures to invalidate our patent claims that would not have been invalidated if first challenged by the third party as a defendant in a district court action. Thus, the Leahy-Smith Act and its implementation could increase the uncertainties and costs surrounding the prosecution of our patent applications and the enforcement or defense of our future issued patents, all of which could adversely affect our business, financial condition, results of operations, and prospects.

After March 2013, under the Leahy-Smith Act, the United States transitioned to a first inventor to file system in which, assuming that the other statutory requirements are met, the first inventor to file a patent application will be entitled to the patent on an invention regardless of whether a third-party was the first to invent the claimed invention. Consequently, if a third party that files a patent application in the USPTO before we file an application covering the same invention, the third party could therefore be awarded a patent covering an invention of ours even if we had made the invention before it was made by such third party. This will require us to be cognizant going forward of the time from invention to filing of a patent application. Since patent applications in the United States and most other countries are confidential for a period of time after filing or until issuance, we cannot be certain that we were the first to either (i) file any patent application related to our product candidate and other proprietary technologies we may develop or (ii) invent any of the inventions claimed in our patents or patent applications. Even where we have a valid and enforceable patent, we may not be able to exclude others from practicing the claimed invention where the other party can show that they used the invention in commerce before our filing date or the other party benefits from a compulsory license. Thus, the changes to the United States patent system by the Leahy-Smith Act introduces uncertainties and costs surrounding the prosecution of patent applications and the enforcement or defense of issued patents, all of which could adversely affect our business, financial condition, results of operations, and prospects.

In addition, the patent positions of companies in the development and commercialization of pharmaceuticals are particularly uncertain. The U.S. Supreme Court has ruled on several patent cases in recent years, either narrowing the scope of patent protection available in certain circumstances or weakening the rights of patent owners in certain situations. Depending on future actions by the United States Congress, the United States courts, the USPTO, and the relevant law-making bodies in other countries, the laws and regulations governing patents could change in unpredictable ways that would weaken our ability to obtain new patents and patents that we might obtain in the future. For example, recent decisions raise questions regarding the award of patent term adjustment, or PTA, for patents where related patents have issued without PTA. Thus, it cannot be said with certainty how PTA will or will not be viewed in future and whether patent expiration dates may be impacted.

 

51


Table of Contents

Similarly, changes in patent law and regulations in other countries or jurisdictions or changes in governmental bodies that enforce them or changes in how the relevant governmental authority enforces patent laws or regulations may weaken our ability to obtain new patents or to enforce patents that we may obtain in the future. For example, the complexity and uncertainty of European patent laws have also increased in recent years. In Europe, a new unitary patent system took effect on June 1, 2023, which will significantly impact European patents, including those granted before the introduction of such a system. Under the unitary patent system, all European patents, including those issued prior to June 1, 2023, now by default automatically fall under the jurisdiction of a new European Unified Patent Court, or the UPC, for litigation involving such patents. As the UPC is a new court system, there is no precedent for the court, increasing the uncertainty of any litigation. Our European patent applications, if issued, could be challenged in the UPC. During the first seven years of the UPC’s existence, the UPC legislation allows a patent owner to opt its European patents out of the jurisdiction of the UPC. We may decide to opt out our future European patents from the UPC, but doing so may preclude us from realizing the benefits of the UPC. Moreover, if we do not meet all of the formalities and requirements for opt-out under the UPC, our future European patents could remain under the jurisdiction of the UPC. The UPC will provide our competitors with a new forum to centrally revoke our European patents, and allow for the possibility of a competitor to obtain pan-European injunction. It is uncertain how the UPC will impact granted European patents in the pharmaceutical industry. We cannot predict how future decisions by the courts, the United States Congress, or the USPTO may impact the value of our patents. Any similar adverse change in the patent laws of other jurisdictions could also adversely affect our business, financial condition, results of operations, and prospects.

We may become subject to claims challenging the inventorship or ownership of our or our future licensors’ patents and other intellectual property.

We may be subject to claims that former employees, collaborators, or other third parties have an interest in our patents or other intellectual property as an inventor or co-inventor. The failure to name the proper inventors on a patent application can result in the patents issuing thereon being unenforceable. Inventorship disputes may arise from conflicting views regarding the contributions of different individuals named as inventors, the effects of foreign laws where foreign nationals are involved in the development of the subject matter of the patent, conflicting obligations of third parties involved in developing our product candidate, or as a result of questions regarding co-ownership of potential joint inventions. Litigation may be necessary to resolve these and other claims challenging inventorship or ownership. Alternatively, or additionally, we may enter into agreements to clarify the scope of our rights in such intellectual property. If we fail in defending any such claims, in addition to paying monetary damages, we may lose valuable intellectual property rights, such as exclusive ownership of, or right to use, valuable intellectual property. Such an outcome could adversely affect our business. Even if we are successful in defending against such claims, litigation could result in substantial costs and be a distraction to management and other employees.

Our future licensors may have relied on third-party consultants or collaborators or on funds from third parties, such as the United States government, such that our licensors are not the sole and exclusive owners of the patents we in-license in the future. If other third parties have ownership rights or other rights to our future in-licensed patents, they may be able to license such patents to our competitors, and our competitors could market competing products and technology. This could adversely affect our competitive position, business, financial condition, results of operations, and prospects.

In addition, while it is our policy to require our employees and contractors who may be involved in the conception or development of intellectual property to execute agreements assigning such intellectual property to us, we may be unsuccessful in executing such an agreement with each party who, in fact, conceives or develops intellectual property that we regard as our own. The assignment of intellectual property rights may not be self-executing, or the assignment agreements may be breached, and we may be forced to bring claims against third parties, or defend claims that they may bring against us, to determine the ownership of what we regard as our intellectual property. Such claims could adversely affect our business, financial condition, results of operations, and prospects.

 

52


Table of Contents

Patent terms may be inadequate to protect our competitive position on our product candidate for a sufficient amount of time.

Patents have a limited lifespan. In the United States, if all maintenance fees are timely paid, the natural expiration of a patent is generally 20 years from its earliest United States non-provisional or international patent application filing date. Various extensions may be available, but the life of a patent, and the protection it affords, is limited. Even if patents covering our product candidate are obtained, once the patent life has expired, we may be open to competition from competitive products, including generics. Given the amount of time required for the development, testing, and regulatory review of a product candidate, patents protecting such candidate might expire before or shortly after such candidate is commercialized. As a result, our owned patent portfolio may not provide us with sufficient and continuing rights to exclude others from commercializing products similar or identical to ours.

If we do not obtain patent term extension for our product candidate, our business may be materially harmed.

Depending upon the timing, duration, and specifics of any FDA marketing approval of our product candidate, one or more of our issued United States patents or issued United States patents that we may own in the future may be eligible for limited patent term extension under the Drug Price Competition and Patent Term Restoration Action of 1984, or the Hatch-Waxman Amendments. The Hatch-Waxman Amendments permit a patent extension term of up to five years as compensation for patent term lost during the FDA regulatory review process. A patent term extension cannot extend the remaining term of a patent beyond a total of 14 years from the date of product approval, only one patent may be extended and only those claims covering the approved drug, a method for using it or a method for manufacturing it may be extended. Similar patent term restoration provisions to compensate for commercialization delay caused by regulatory review are also available in certain foreign jurisdictions, such as the EU Regulation (EC) No 469/2009 concerning the Supplementary Protection Certificate for medicinal products. However, we may not be granted any extensions for which we apply because of, for example, failing to exercise due diligence during the testing phase or regulatory review process, failing to apply within applicable deadlines, failing to apply prior to expiration of relevant patents, or otherwise failing to satisfy applicable requirements. In addition, to the extent we wish to pursue patent term extension based on a patent that we in-license from a third party, we would need the cooperation of that third party. Moreover, the applicable time period or the scope of patent protection afforded could be less than we request. If we are unable to obtain patent term extension, or the term of any such extension is less than we request, our competitors may obtain approval of competing products following our patent expiration, and our business, financial condition, results of operations, and prospects could be materially harmed.

Obtaining and maintaining patent protection depends on compliance with various procedural, document submission, fee payment, and other requirements imposed by government patent agencies, and our patent protection could be reduced or eliminated as a result of noncompliance with these requirements.

Periodic maintenance fees, renewal fees, annuity fees, and various other government fees on patents and/or applications will be due to be paid to the USPTO and various government patent agencies outside of the United States over the lifetime of our patents and patent applications. We rely on our outside counsel or third party vendors to pay these fees due to United States and non-United States patent agencies. The USPTO and various non-United States government patent agencies require compliance with several procedural, documentary, fee payment, and other similar provisions during the patent application process. In many cases, an inadvertent lapse can be cured by payment of a late fee or by other means in accordance with the applicable rules. There are situations, however, in which noncompliance can result in abandonment or lapse of the patent or patent application, resulting in partial or complete loss of patent rights in the relevant jurisdiction. In such an event, potential competitors might be able to enter the market and this circumstance could adversely affect our business, financial condition, results of operations, and prospects.

 

53


Table of Contents

If we are unable to protect the confidentiality of our trade secrets, our business and competitive position would be harmed.

In addition to the protection afforded by patents, we rely on trade secret protection and confidentiality agreements to protect proprietary know-how that is not patentable or that we elect not to patent, processes for which patents are difficult to enforce, and any other elements of our discovery and development processes that involve proprietary know-how, information, or technology that is not covered by patents. We may also rely on trade secret protection as temporary protection for concepts that may be included in a future patent filing. However, trade secret protection will not protect us from innovations that a competitor develops independently of our proprietary know-how. If a competitor independently develops a technology that we protect as a trade secret and files a patent application on that technology, then we may not be able to patent that technology in the future, may require a license from the competitor to use our own know-how, and if the license is not available on commercially viable terms, then we may not be able to launch our product candidate. Additionally, trade secrets can be difficult to protect and some courts inside and outside the United States are less willing or unwilling to protect trade secrets. The laws of some foreign countries do not protect proprietary rights to the same extent or in the same manner as the laws within the United States. We may need to share our trade secrets and proprietary know- how with current or future partners, collaborators, contractors, and others located in countries at heightened risk of theft of trade secrets, including through direct intrusion by private parties or foreign actors, and those affiliated with or controlled by state actors. As a result, we may encounter significant problems in protecting and defending our intellectual property both in the United States and abroad. Additionally, although we require all of our employees to assign their inventions to us, and require all of our employees, consultants, advisors, and any third parties who have access to our proprietary know-how, information or technology to enter into confidentiality agreements, we cannot be certain that our trade secrets and other confidential proprietary information will not be disclosed or that competitors will not otherwise gain access to our trade secrets. If our trade secrets are not adequately protected, our business, financial condition, results of operations, and prospects could be adversely affected.

If our trademarks and trade names are not adequately protected, then we may not be able to build name recognition in our markets of interest and our business may be adversely affected.

Our trademarks or trade names may be challenged, infringed, circumvented, or declared generic or determined to be infringing on other marks. During trademark registration proceedings, we may receive rejections of our applications by the USPTO or in other foreign jurisdictions. Although we are given an opportunity to respond to such rejections, we may be unable to overcome them. In addition, in the USPTO and in comparable agencies in many foreign jurisdictions, third parties are given an opportunity to oppose pending trademark applications and to seek to cancel registered trademarks. Opposition or cancellation proceedings may be filed against our trademarks, which may not survive such proceedings. Moreover, any name we propose to use with our product candidate in the United States must be approved by the FDA, regardless of whether we have registered it, or applied to register it, as a trademark. Similar requirements exist in Europe. The FDA typically conducts a review of proposed product names, including an evaluation of potential for confusion with other product names. If the FDA or an equivalent administrative body in a foreign jurisdiction objects to any of our proposed proprietary product names, we may be required to expend significant additional resources in an effort to identify a suitable substitute name that would qualify under applicable trademark laws, not infringe the existing rights of third parties, and be acceptable to the FDA. Furthermore, in many countries, owning and maintaining a trademark registration may not provide an adequate defense against a subsequent infringement claim asserted by the owner of a senior trademark.

We may not be able to protect our rights to these trademarks and trade names, which we need to build name recognition among potential partners or customers in our markets of interest. At times, competitors or other third parties may adopt trade names or trademarks similar to ours, thereby impeding our ability to build brand identity and possibly leading to market confusion. In addition, there could be potential trade name or trademark infringement claims brought by owners of other registered trademarks or trademarks that incorporate variations of our registered or unregistered trademarks or trade names. Over the long term, if we are unable to establish

 

54


Table of Contents

name recognition based on our trademarks and trade names, then we may not be able to compete effectively and our business may be adversely affected. Our efforts to enforce or protect our proprietary rights related to trademarks, trade names, domain name, or other intellectual property may be ineffective and could result in substantial costs and diversion of resources and could adversely affect our business, financial condition, results of operations, and prospects.

We may be subject to claims asserting that our employees, consultants, or advisors have wrongfully used or disclosed alleged trade secrets of their current or former employers or claims asserting ownership of what we regard as our own intellectual property.

Certain of our employees, consultants, or advisors have in the past and may in the future be employed at universities or other pharmaceutical companies, including our competitors or potential competitors. Although we try to ensure that our employees, consultants, and advisors do not use the proprietary information or know-how of others in their work for us, we may be subject to claims that these individuals or we have used or disclosed intellectual property, including trade secrets or other proprietary information, of any such individual’s current or former employer. Litigation may be necessary to defend against these claims. If we fail in defending any such claims, in addition to paying monetary damages, we may lose valuable intellectual property rights. An inability to incorporate such technologies or features would harm our business and may prevent us from successfully commercializing our technologies or product candidate. In addition, we may lose personnel as a result of such claims and any such litigation or the threat thereof may adversely affect our ability to hire employees or contract with independent contractors. A loss of key personnel or their work product could hamper or prevent our ability to commercialize our technologies or product candidate, which could adversely affect our business, financial condition, results of operations, and prospects. Even if we are successful in defending against such claims, litigation could result in substantial costs and be a distraction to management.

In addition, we may in the future be subject to claims by former employees, consultants, or other third parties asserting an ownership right in our patents or patent applications. An adverse determination in any such submission or proceeding may result in loss of exclusivity or freedom to operate or in patent claims being narrowed, invalidated, or held unenforceable, in whole or in part, which could limit our ability to stop others from using or commercializing similar technology and therapeutics, without payment to us, or could limit the duration of the patent protection covering our technologies and product candidate. Such challenges may also result in our inability to develop, manufacture, or commercialize our technologies and product candidate without infringing third-party patent rights. In addition, if the breadth or strength of protection provided by our patents and patent applications is threatened, it could dissuade companies from collaborating with us to license, develop, or commercialize current or future technologies and product candidates. Any of the foregoing could adversely affect our business, financial condition, results of operations, and prospects.

We may develop or license intellectual property for which development was funded or otherwise assisted by, the U.S. government and/or government agencies, such as the National Institutes of Health, for development of our technology and product candidates. Failure to meet our own obligations to future licensors or upstream licensors, including such government agencies, may result in the loss of our rights to such intellectual property, which could harm our business.

The U.S. government and/or government agencies in the future may provide, funding, facilities, personnel or other assistance in connection with the development of the intellectual property rights owned by or licensed to us. The U.S. government and/or government agencies may retain rights in such intellectual property, including the right to grant or require us to grant mandatory licenses or sublicenses to such intellectual property to third parties under certain specified circumstances, including if it is necessary to meet health and safety needs that we are not reasonably satisfying or if it is necessary to meet requirements for public use specified by federal regulations, or to manufacture products in the United States. Any exercise of such rights, including with respect to any such required sublicense of these licenses, could result in the loss of significant rights and could harm our ability to commercialize licensed products. For example, research resulting in future in-licensed patent rights and

 

55


Table of Contents

technology that was funded in part by the U.S. government could result in the government having certain rights, or march-in rights, to such patent rights and technology which may permit the government to disclose our confidential information to third parties and to exercise march-in rights to use or allow third parties to use our licensed technology.

Risks Related to Our Reliance on Third Parties

We have relied and expect to continue to rely on third parties to conduct certain aspects of our clinical trials. If those third parties do not perform as contractually required, fail to satisfy legal or regulatory requirements, miss expected deadlines, or terminate the relationship, our development programs could be delayed, more costly, or unsuccessful, and we may never be able to seek or obtain regulatory approval for or commercialize our product candidate.

We rely on our internal, proprietary systems for data collection and our own clinical trial team to conduct our clinical trials in addition to external vendors and CROs to comprise a full clinical trial team. If our clinical trial team does not comply with applicable regulatory requirements, meet expected deadlines, or run trials effectively, our development programs and our ability to seek or obtain regulatory approval for or commercialize our product candidate may be delayed. Because we currently rely and intend to continue to rely on these third parties, we will have less control over the timing, quality, and other aspects of clinical trials than we would have had we conducted them independently. These parties are not, and will not be, our employees and we will have limited control over the amount of time and resources that they dedicate to our programs. Additionally, such parties may have contractual relationships with other entities, some of which may be our competitors, which may draw time and resources from our programs and harm our competitive position. As a result, delays may occur, which could negatively impact our ability to meet our expected clinical development timelines and harm our business, financial condition, and prospects.

We also rely on other third parties to store and distribute drug supplies for our clinical trials. Any performance failure on the part of our distributors could delay clinical development or regulatory approval of our product candidate or commercialization of any resulting products, producing additional losses and depriving us of potential product revenue.

Our reliance on these third parties for development activities will reduce our control over these activities. Nevertheless, we are responsible for ensuring that each of our clinical trials is conducted in accordance with the applicable trial protocol and applicable legal, regulatory, and scientific standards, and our reliance on clinical trial sites and other third parties does not relieve us of these responsibilities. For example, we will remain responsible for ensuring that each of our preclinical studies is conducted in accordance with good laboratory practices, or GLPs, and clinical trials are conducted in accordance with GCPs. Moreover, the FDA and comparable foreign regulatory authorities require us to comply with GCPs for conducting, recording, and reporting the results of clinical trials to assure that data and reported results are credible and accurate and that the rights, integrity, and confidentiality of trial participants are protected. Regulatory authorities enforce these requirements through periodic inspections (including pre-approval inspections once an NDA is submitted to the FDA) of trial sponsors, clinical investigators, clinical trial sites, and IRBs. If we, our clinical trial sites, or other third parties fail to comply with applicable GLP, GCP, or other regulatory requirements, we or they may be subject to enforcement or other legal actions, the clinical data generated in our clinical trials may be deemed unreliable, and the FDA or comparable foreign regulatory authorities may require us to perform additional clinical trials before approving our marketing applications, if ever. We cannot assure you that upon inspection by a given regulatory authority, such regulatory authority will determine that any of our clinical trials comply with GCPs. Moreover, our business may be significantly impacted if our clinical investigators or other third parties violate federal or state healthcare fraud and abuse or false claims laws and regulations or healthcare privacy and security laws.

In addition, principal investigators for our clinical trials may be asked to serve as scientific advisors or consultants to us from time to time and may receive cash or equity compensation in connection with such

 

56


Table of Contents

services. If these relationships and any related compensation result in perceived or actual conflicts of interest, or the FDA concludes that the financial relationship may have affected the interpretation of the study, the integrity of the data generated at the applicable clinical trial site may be questioned and the utility of the clinical trial itself may be jeopardized, which could result in the delay or rejection by the FDA of any NDA we submit. Any such delay or rejection could prevent us from commercializing our product candidate.

Further, if our third party contractors do not successfully carry out their contractual duties, meet expected deadlines, or conduct our clinical trials in accordance with regulatory requirements or our stated protocols, our clinical trials may need to be repeated, extended, delayed, or terminated and we may not be able to obtain, or may be delayed in obtaining, marketing approvals for our product candidate, and we may not be able to, or may be delayed in our efforts to, successfully commercialize our product candidate(s) or we or they may be subject to regulatory enforcement actions. As a result, our results of operations and the commercial prospects for our product candidate would be harmed, our costs could increase and our ability to generate revenue could be delayed. To the extent we are unable to successfully identify and manage the performance of third-party service providers in the future, our business may be materially and adversely affected.

If any of our relationships with these third parties terminate, we may not be able to enter into alternative arrangements or do so on commercially reasonable terms. Switching or adding additional contractors involves additional cost and time and requires management time and focus. In addition, there is a natural transition period when a new third party commences work. As a result, delays could occur, which could compromise our ability to meet our desired development timelines. Though we work to carefully manage our relationships with our third-party investigators and other third parties, there can be no assurance that we will not encounter challenges or delays in the future or that these delays or challenges will not have a material adverse impact on our business, financial condition, and prospects. In addition, if an agreement with any of our collaborators terminates, our access to technology and intellectual property licensed to us by that collaborator may be restricted or terminate entirely, which may delay our continued development of our product candidate utilizing the collaborator’s technology or intellectual property or require us to stop development of such product candidate completely.

We rely on third-party manufacturers and suppliers to supply our product candidate. The loss of our third-party manufacturers or suppliers, or their failure to comply with applicable regulatory requirements or to supply sufficient quantities at acceptable quality levels or prices, within acceptable timeframes, or at all, would materially and adversely affect our business.

We do not own or operate facilities for drug manufacturing, storage, distribution, or quality testing and have no current plans to develop our own clinical or commercial-scale manufacturing capabilities. We currently rely, and expect to continue to rely, on third-party contract developers and manufacturers to manufacture bulk drug substances, drug products, raw materials, and other components for our product candidate and delivery devices, as well as for commercial manufacture if our product candidate receives regulatory approval. Reliance on third-party manufacturers may expose us to different risks than if we were to manufacture the product candidate ourselves. There can be no assurance that our clinical development product supplies will not be limited, interrupted, terminated, or will be of satisfactory quality or be available at acceptable prices. In addition, any replacement of our manufacturer could require significant effort and time because there may be a limited number of qualified replacements.

The manufacturing process for our product candidate is subject to the FDA’s review and, in the future, may be subject to comparable foreign regulatory authority review. We, our suppliers and our manufacturers must meet applicable manufacturing requirements and undergo rigorous facility and process validation tests required by regulatory authorities in order to comply with regulatory standards, such as cGMPs, and to ensure the quality and safety of drug products. Securing marketing approval also requires the submission of detailed information about the product manufacturing process to, and inspection of manufacturing facilities by, the FDA and, in the future, comparable foreign regulatory authorities. If our CDMOs cannot successfully manufacture material that conforms to our specifications and the strict regulatory requirements of the FDA or comparable foreign

 

57


Table of Contents

regulatory authorities, they will not be able to secure and/or maintain regulatory approval for the use of their manufacturing facilities to produce our product candidate. Moreover, we do not conduct the manufacturing process ourselves and are completely dependent on our CDMOs for manufacturing our product candidate in compliance with cGMP and other applicable requirements. In the event that any of our manufacturers fails to comply with such requirements or to perform its obligations in relation to quality, timing, or otherwise, or if our projected manufacturing capacity or supply of materials becomes limited, interrupted, or more costly than anticipated, we may be forced to enter into an agreement with another third party, which we may not be able to do timely or on reasonable terms, if at all.

In some cases, the technical skills or technology required to manufacture our product candidate may be unique or proprietary to the original manufacturer and we may have difficulty transferring such to another third party. These factors would increase our reliance on such manufacturer or require us to obtain a license from such manufacturer in order to enable us, or to have another third party, manufacture our product candidate. If we are required to change manufacturers for any reason, we will be required to verify that the new manufacturer maintains facilities and procedures that comply with applicable quality standards and regulations and guidelines; and we may be required to repeat some of the development program with the new manufacturer. The delays and costs associated with the verification of a new manufacturer could negatively affect our ability to develop product candidate in a timely manner or within budget, or obtain regulatory approval for or market our product candidate.

We expect to continue to rely on third-party manufacturers if we receive regulatory approval for any product candidate. To the extent that we have existing, or enter into future, manufacturing arrangements with third parties, we will depend on these third parties to perform their obligations in a timely manner consistent with contractual and regulatory requirements, including those related to quality control and assurance. Any manufacturing facilities used to produce our product candidate will be subject to periodic review and inspection by the FDA and comparable foreign regulatory authorities, including for continued compliance with cGMP requirements, quality control, quality assurance, and corresponding maintenance of records and documents. If we are unable to obtain or maintain third-party manufacturing for our product candidate, or to do so on commercially reasonable terms, we may not be able to develop and commercialize our product candidate successfully. Our or a third party’s failure to execute on our manufacturing requirements, comply with cGMPs, or maintain a compliance status acceptable to the FDA or comparable foreign regulatory authorities could adversely affect our business in a number of other ways, including:

 

   

an inability to initiate or complete clinical trials of product candidate in a timely manner;

 

   

delay in submitting regulatory applications, or receiving regulatory approvals, for product candidate;

 

   

subjecting third-party manufacturing facilities to additional inspections by regulatory authorities;

 

   

loss of the cooperation of existing or future collaborators;

 

   

requirements to cease development or to recall batches of our product candidate; and

 

   

in the event of approval to market and commercialize a product candidate, an inability to meet commercial demands for our products.

Reliance on third-party manufacturers entails additional risks such as limitations on supply availability resulting from capacity and scheduling constraints of third parties; the possible breach of manufacturing agreements by third parties because of factors beyond our control; the possible termination or non-renewal of the manufacturing agreements by the third party, at a time that is costly or inconvenient to us; failure to manufacture our product according to our schedule or at all; and the possible misappropriation of our proprietary information, including our trade secrets and know-how. Additionally, our CDMOs may experience difficulties due to resource constraints or as a result of labor disputes or unstable political environments. If any of our CDMOs were to encounter any of these difficulties, our ability to provide our product candidate to participants in clinical trials, or to provide product for treatment of patients if approved, would be jeopardized. Any performance failure on the

 

58


Table of Contents

part of our existing or future manufacturers could delay clinical development or marketing approval, and any related remedial measures may be costly or time-consuming to implement, which would have a material adverse impact on our financial position.

If any third-party manufacturer of our product candidate is unable to increase the scale of its production of our product candidate, and/or increase the product yield of its manufacturing, then our costs to manufacture product candidate may increase and commercialization may be delayed.

In order to produce sufficient quantities to meet the demand for clinical trials and, if approved, subsequent commercialization of our products, our third-party manufacturers will be required to increase their production and optimize their manufacturing processes while maintaining the quality of the output. The transition to larger scale production could prove difficult. In addition, if our third-party manufacturers are not able to optimize their manufacturing processes to increase the product yield for our product candidate, or if they are unable to produce increased amounts of our product candidate while maintaining the quality of the product, then we may not be able to meet the demands of clinical trials or market demands, which could decrease our ability to generate profits and have a material adverse impact on our business and results of operation.

We depend on limited source suppliers for certain drug substances, drug products, raw materials, components, and other materials used in our product candidate. If we are unable to source these supplies on a timely basis, we will not be able to complete our clinical trials on time and the development of our product candidate may be delayed.

We depend on limited source suppliers for certain drug substances, drug products, raw materials, samples, components, and other materials used in our product candidate. Currently, there are limited sources of raw materials and starting materials used in the manufacture of LB-102, and we rely on a single CDMO for the manufacture of LB-102 drug substance. Any change in our relationships with our CDMOs or changes to contractual terms of our agreements with them could adversely affect our business, financial condition, results of operations, and prospects.

Furthermore, any of the limited source suppliers upon whom we rely could stop producing our supplies, cease operations or be acquired by, or enter into exclusive arrangements with, our competitors. Establishing additional or replacement suppliers for these supplies, and obtaining regulatory clearance or approvals that may result from adding or replacing suppliers, could take a substantial amount of time, result in increased costs and impair our ability to produce our products, which would adversely impact our business, financial condition, results of operations, and prospects. Any such interruption or delay may force us to seek similar supplies from alternative sources, which may not be available at reasonable prices, or at all. Any interruption in the supply of limited source components for our product candidate would adversely affect our ability to meet scheduled timelines and budget for the development and commercialization of our product candidate, could result in higher expenses and would harm our business. Although we have not experienced any significant disruption as a result of our reliance on limited suppliers, we have a limited operating history and cannot assure you that we will not experience disruptions in our supply chain in the future as a result of such reliance or otherwise.

The operations of our suppliers that are located outside of the United States are subject to additional risks that are beyond our control and that could harm our business, financial condition, results of operations, and prospects.

Currently, some of our suppliers are located outside of the United States. As a result of our global suppliers, we are subject to risks associated with doing business abroad, including:

 

   

political unrest, terrorism, labor disputes, and economic instability resulting in the disruption of trade from foreign countries in which our products are manufactured;

 

   

the imposition of new laws and regulations, including those relating to labor conditions, quality, and safety standards, imports, duties, taxes, and other charges on imports, as well as trade restrictions and

 

59


Table of Contents
 

restrictions on currency exchange or the transfer of funds, particularly new or increased tariffs imposed on imports from countries where our suppliers operate;

 

   

greater challenges and increased costs with enforcing and periodically auditing or reviewing our suppliers’ and manufacturers’ compliance with cGMPs or status acceptable to the FDA or comparable foreign regulatory authorities;

 

   

reduced protection for intellectual property rights, including trademark protection, in some countries;

 

   

disruptions in operations due to global, regional, or local public health crises or other emergencies or natural disasters;

 

   

disruptions or delays in shipments; and

 

   

changes in local economic conditions in countries where our manufacturers or suppliers are located.

These and other factors beyond our control could interrupt our suppliers’ production, influence the ability of our suppliers to export our clinical supplies cost-effectively or at all, and inhibit our suppliers’ ability to procure certain materials, any of which could harm our business, financial condition, results of operations, and prospects.

We may have conflicts with our current or future licensors or collaborators that could delay or prevent the development or commercialization of our product candidate.

We may have conflicts with our current or future collaborators, such as conflicts concerning the interpretation of preclinical or clinical data, the achievement of milestones, the interpretation of contractual obligations, payments for services, development obligations, or the ownership of intellectual property developed during our collaboration. Moreover, a collaborator with marketing and distribution rights to one or more products may not commit sufficient resources to the marketing and distribution of such product or products. If any conflicts arise with any of our collaborators, such collaborator may act in a manner that is adverse to our best interests. Any such disagreement could result in one or more of the following, each of which could delay or prevent the development or commercialization of our product candidate, and in turn prevent us from generating revenue: disputes regarding milestone payments or royalties; uncertainty regarding ownership of intellectual property rights arising from our collaborative activities, which could prevent us from entering into additional collaborations; unwillingness by the collaborator to cooperate in the development or manufacture of a product candidate, including providing us with data or materials; unwillingness on the part of a collaborator to keep us informed regarding the progress of its development and commercialization activities or to permit public disclosure of the results of those activities; initiating of litigation or alternative dispute resolution options by either party to resolve the dispute; or attempts by either party to terminate the agreement. Collaborations may be terminated and, if terminated, may result in a need for additional capital to pursue further development or commercialization of the applicable product candidates.

Our reliance on third parties requires us to share our trade secrets, which increases the possibility that a competitor will discover them or that our trade secrets will be misappropriated or disclosed.

Because we currently rely on third parties to manufacture our product candidate and to perform quality testing, we must, at times, share our proprietary technology and confidential information, including trade secrets, with them. We seek to protect our proprietary technology, in part, by entering into confidentiality agreements, and, if applicable, material transfer agreements, collaborative research agreements, consulting agreements, or other similar agreements with our collaborators, advisors, employees, and consultants prior to beginning research or disclosing proprietary information. These agreements typically limit the rights of the third parties to use or disclose our confidential information. Despite the contractual provisions employed when working with third parties, the need to share trade secrets and other confidential information increases the risk that such trade secrets become known by our competitors, are intentionally or inadvertently incorporated into the technology of others or are disclosed or used in violation of these agreements. Given that our proprietary position is based, in part, on

 

60


Table of Contents

our know-how and trade secrets and despite our efforts to protect our trade secrets, a competitor’s discovery of our proprietary technology and confidential information or other unauthorized use or disclosure would impair our competitive position and may have a material adverse effect on our business, financial condition, results of operations, and prospects.

We may engage third party collaborators to market and commercialize our product candidate, who may fail to effectively commercialize our product candidate.

We may utilize strategic partners or contract sales forces, where appropriate, to assist in the commercialization of our product candidate, if approved. We currently possess limited resources and may not be successful in establishing collaborations or co-promotion arrangements on acceptable terms, if at all. We also face competition in our search for collaborators and co-promoters. By entering into strategic collaborations or similar arrangements, we will rely on third parties for financial resources and for development, commercialization, sales and marketing and regulatory expertise. Any collaborators may fail to develop or effectively commercialize our product candidate because they cannot obtain the necessary regulatory approvals, they lack adequate financial or other resources or they decide to focus on other initiatives. Any failure to enter into collaboration or co-promotion arrangements or the failure of our third party collaborators to successfully market and commercialize our product candidate would diminish our revenues and harm our results of operations. In addition, conflicts may arise with our collaborators, such as conflicts concerning the interpretation of clinical data, the achievement of milestones, the interpretation of financial provisions or the ownership of intellectual property. If any conflicts arise with our collaborators, they may act in their self-interest, which may be adverse to our best interest.

Risks Related to Government Regulation

Our relationships with healthcare providers and physicians and third-party payors may be subject to applicable anti-kickback, fraud and abuse and other healthcare laws and regulations, which could expose us to criminal sanctions, civil penalties, contractual damages, reputational harm, and diminished profits and future earnings.

Healthcare providers, physicians and third-party payors in the United States and elsewhere play a primary role in the recommendation and prescription of pharmaceutical products. Our current and future arrangements with healthcare providers, third-party payors, and customers can expose us to broadly applicable fraud and abuse and other healthcare laws and regulations, which may constrain the business or financial arrangements and relationships through which we research, and if approved, sell, market, and distribute our products. In particular, the research of our product candidate, as well as the promotion, sales, and marketing of a future approved product, is subject to extensive laws designed to prevent fraud, kickbacks, self-dealing, and other abusive practices. These laws and regulations may restrict or prohibit a wide range of pricing, discounting, marketing and promotion, structuring, and commission(s), certain customer incentive programs, and other business arrangements generally. Activities subject to these laws also involve the improper use of information obtained in the course of patient recruitment for clinical trials. The applicable federal, state, and foreign healthcare laws and regulations laws that may affect our ability to operate now or in the future include, but are not limited to:

 

   

the federal Anti-Kickback Statute, which prohibits, among other things, knowingly and willfully soliciting, receiving, offering, or paying any remuneration (including any kickback, bribe, or rebate), directly or indirectly, overtly or covertly, in cash or in kind, to induce, or in return for, either the referral of an individual, or the purchase, lease, order, or recommendation of any good, facility, item, or service for which payment may be made, in whole or in part, under a federal healthcare program, such as the Medicare and Medicaid programs. A person or entity can be found guilty of violating the statute without actual knowledge of the statute or specific intent to violate it. The federal Anti-Kickback Statute has been interpreted to apply to arrangements between pharmaceutical manufacturers on the one hand and prescribers, purchasers, and formulary managers on the other. The civil monetary penalties statute which imposes penalties against any person or entity who, among other things, is

 

61


Table of Contents
 

determined to have presented or caused to be presented a claim to, among others, a federal healthcare program that the person knows or should know is for a medical or other item or service that was not provided as claimed or is false or fraudulent;

 

   

the federal civil and criminal false claims laws, including the federal False Claims Act, or FCA, which prohibit, among other things, individuals or entities from knowingly presenting, or causing to be presented, false or fraudulent claims for payment to, or approval by Medicare, Medicaid, or other federal healthcare programs, knowingly making, using, or causing to be made or used a false record or statement material to a false or fraudulent claim or an obligation to pay or transmit money to the federal government, or knowingly and improperly avoiding or decreasing or concealing an obligation to pay money to the federal government. Manufacturers can be held liable under the FCA even when they do not submit claims directly to government healthcare programs if they are deemed to “cause” the submission of false or fraudulent claims. In addition, a claim including items or services resulting from a violation of the federal Anti-Kickback Statute constitutes a false or fraudulent claim for purposes of the FCA. The FCA also permits a private individual acting as a “whistleblower” to bring actions on behalf of the federal government alleging violations of the FCA and to share in any monetary recovery;

 

   

the federal Health Insurance Portability and Accountability Act of 1996, or HIPAA, which created additional federal criminal statutes that prohibit knowingly and willfully executing, or attempting to execute, a scheme to defraud any healthcare benefit program or obtain, by means of false or fraudulent pretenses, representations, or promises, any of the money or property owned by, or under the custody or control of, any healthcare benefit program, regardless of the payor (e.g., public or private), and knowingly and willfully falsifying, concealing or covering up by any trick or device a material fact, or making any materially false statements in connection with the delivery of, or payment for, healthcare benefits, items, or services relating to healthcare matters. Similar to the federal Anti-Kickback Statute, a person or entity can be found guilty of violating the health care fraud statute under HIPAA without actual knowledge of the statute or specific intent to violate it;

 

   

HIPAA, as amended by the Health Information Technology for Economic and Clinical Health Act, or HITECH, and its implementing regulations, which also imposes certain obligations, including mandatory contractual terms, with respect to safeguarding the privacy and security of individually identifiable health information of covered entities subject to the rule, including health plans, healthcare clearinghouses and certain healthcare providers and their business associates, independent contractors of a covered entity that perform certain services involving the use or disclosure of individually identifiable health information for or on their behalf, as well as their covered subcontractors;

 

   

the federal Physician Payments Sunshine Act and its implementing regulations, which require some manufacturers of drugs, devices, biologicals, and medical supplies for which payment is available under Medicare, Medicaid, or the Children’s Health Insurance Program (with certain exceptions) to report annually to the HHS information related to payments or other transfers of value made to physicians (defined to include doctors, dentists, optometrists, podiatrists and chiropractors), certain non-physician practitioners (such as physician assistants and nurse practitioners), and teaching hospitals, as well as ownership and investment interests held by physicians and their immediate family members;

 

   

federal consumer protection and unfair competition laws, which broadly regulate marketplace activities and activities that potentially harm consumers; and

 

   

analogous state and foreign laws and regulations, such as state anti-kickback and false claims laws, which may apply to claims involving healthcare items or services reimbursed by non-governmental third-party payors, including private insurers, and may be broader in scope than their federal equivalents; state laws that require pharmaceutical companies to comply with the pharmaceutical industry’s voluntary compliance guidelines and the relevant compliance guidance promulgated by the federal government or otherwise restrict payments that may be made to healthcare providers; state laws

 

62


Table of Contents
 

that require drug manufacturers to report information related to payments and other transfers of value to physicians and other healthcare providers or marketing expenditures; and state and local laws that require the registration of pharmaceutical sales representatives.

The distribution of pharmaceutical products is subject to additional requirements and regulations, including extensive record-keeping, licensing, storage, and security requirements intended to prevent the unauthorized sale of pharmaceutical products. Distribution of prescription drug samples to licensed prescribers is also highly regulated within the United States.

The scope and enforcement of each of these laws is uncertain and subject to rapid change in the current environment of healthcare reform. Federal, state, and foreign enforcement bodies have recently increased their scrutiny of interactions between healthcare companies and healthcare providers, which has led to a number of investigations, prosecutions, convictions, significant fines and penalties, and settlements in the healthcare industry. Ensuring business arrangements comply with applicable healthcare laws, as well as responding to possible investigations by government authorities, can be time- and resource-consuming and may divert our management’s attention from the operation of our business.

It is possible that governmental and enforcement authorities will conclude that our business practices may not comply with current or future statutes, regulations, or case law interpreting applicable fraud and abuse or other healthcare laws and regulations. If any such actions are instituted against us, and we are not successful in defending ourselves or asserting our rights, those actions could have a significant impact on our business, including the imposition of significant civil, criminal, and administrative penalties, damages, fines, disgorgement, individual imprisonment, possible exclusion from participation in federal and state funded healthcare programs, contractual damages, and the curtailment or restricting of our operations, as well as additional reporting obligations and oversight if we become subject to a corporate integrity agreement or other agreement to resolve allegations of non-compliance with these laws. Any action for violation of these laws, even if successfully defended, could cause us to incur significant legal expenses and divert management’s attention from the operation of our business. Prohibitions or restrictions on sales or withdrawal of future marketed products could adversely affect our business, results of operations, and financial condition.

EU drug marketing and reimbursement regulations may materially affect our ability to market and receive coverage for our products in the EU member states.

We intend to seek approval to market our product candidate in the United States and we may also seek to do so in selected foreign jurisdictions, including the European Union. If we obtain approval in one or more foreign jurisdictions for our product candidate, we will be subject to rules and regulations in those jurisdictions. In some foreign countries, particularly those in the European Union, the pricing of medicinal products is subject to governmental control and other market regulations which could put pressure on the pricing and usage of our product candidate. In these countries, pricing negotiations with governmental authorities can take considerable time after obtaining marketing approval of a product candidate. Some countries provide that products may be marketed only after a reimbursement decision has been taken by the relevant regulatory authority. In addition, market acceptance and sales of our product candidate will depend significantly on the availability of adequate coverage and reimbursement from third-party payors for our product candidate and may be affected by existing and future health care reform measures.

Much like the federal Anti-Kickback Statute prohibition in the United States, the provision of benefits or advantages to physicians to induce or encourage the prescription, recommendation, endorsement, purchase, supply, order, or use of medicinal products is also prohibited in the European Union. The provision of benefits or advantages to physicians is governed by the national anti-bribery laws of EU member states and the industry codes of conduct. Infringement of these laws or codes of conduct could result in substantial fines and imprisonment.

 

63


Table of Contents

Payments made to healthcare professionals, healthcare organizations, students, or patient organizations in EU member states must increasingly be publicly disclosed. Moreover, agreements with healthcare professionals must be the subject of a prior written agreement between the parties and often must be the subject of prior notification and/or approval by the healthcare professional’s employer, his or her competent professional organization, and/or the regulatory authorities of the individual EU member states. These requirements are provided in the national laws, industry codes, or professional codes of conduct applicable in the EU member states. Failure to comply with these requirements could result in reputational risk, public reprimands, administrative penalties, or fines.

In addition, in most foreign countries, including the EU member states, the requirements governing drug pricing and reimbursement vary widely from country to country. For example, EU member states may restrict the range of medicinal products for which their national health insurance systems provide reimbursement and control the prices of medicinal products for human use. Reference pricing used by various EU member states and parallel distribution, or arbitrage between low-priced and high-priced EU member states, can further reduce prices. An EU member state may approve a specific price for the medicinal product or it may instead adopt a system of direct or indirect controls on the profitability of the company placing the medicinal product on the market. In some countries, we may be required to conduct a clinical study or other studies that compare the cost-effectiveness of our product candidate to other available therapies in order to obtain or maintain reimbursement or pricing approval. There can be no assurance that any country that has price controls or reimbursement limitations for pharmaceutical products will allow favorable reimbursement and pricing arrangements for our product. Historically, products launched in the European Union do not follow price structures of the United States and generally prices tend to be significantly lower. Publication of discounts by third-party payors or authorities may lead to further pressure on the prices or reimbursement levels within the country of publication and other countries. If pricing is set at unsatisfactory levels or if reimbursement of our products is unavailable or limited in scope or amount, our revenues from sales by us or our strategic partners and the potential profitability of our product candidate in those countries would be negatively affected.

In December 2021, Regulation No. 2021/2282 on Health Technology Assessment, or HTA, amending Directive 2011/24/EU, was adopted. This regulation, which will apply from January 12, 2025 is intended to boost cooperation among EU member states in assessing health technologies, including new medicinal products, and providing the basis for cooperation at the EU level for joint clinical assessments in these areas. The regulation foresees a three-year transitional period individual EU member states will continue to be responsible for assessing non-clinical (e.g., economic, social, ethical) aspects of health technologies, and making decisions on pricing and reimbursement. Entry into application of the HTA regulation is anticipated to increase reliance by competent national authorities on reference pricing mechanisms, the mechanism whereby countries reflect the reimbursement price in other EU member states. This has the potential to result in a decrease in reimbursement price in a number of EU member states to reflect the price fixed in the EU member state with the lowest reimbursement price.

Even if we receive regulatory approval of our product candidate, we will be subject to ongoing regulatory obligations and continued regulatory review, which may result in significant additional expense, and we may be subject to penalties if we fail to comply with regulatory requirements or experience unanticipated problems with our product candidate.

If our product candidate is approved, it will be subject to extensive and ongoing regulatory requirements for manufacturing, labeling, packaging, distribution, storage, advertising, promotion, import, export, sampling, record-keeping, conduct of post-marketing studies and submission of safety, efficacy, and other post-market information, including both federal and state requirements in the United States and requirements of comparable foreign regulatory authorities. In addition, we will be subject to continued compliance with cGMPs and similar requirements outside the United States and GCP requirements for any clinical trials that we conduct post-approval.

 

64


Table of Contents

Manufacturers and manufacturers’ facilities are required to comply with extensive FDA and comparable foreign regulatory authority requirements, including ensuring that quality control and manufacturing procedures conform to cGMPs or similar regulations. As such, we and our contract manufacturers will be subject to continual review and periodic, unannounced inspections by the FDA and other regulatory authorities to assess compliance with cGMPs or similar requirements and adherence to commitments made in any NDA, other marketing application, and previous responses to inspection observations. Accordingly, we and others with which we work must continue to expend time, money, and effort in all areas of regulatory compliance, including manufacturing, production, and quality control.

Any regulatory approvals that we may receive for our product candidate will require the submission of reports to regulatory authorities and surveillance to monitor the safety and efficacy of the product candidate, and such approvals may be subject to significant limitations on the approved indicated uses for which the product may be marketed (e.g., use restrictions for specified age groups, warnings, precautions or contraindications), and may include burdensome post-approval study or risk management requirements. For example, the FDA may require a REMS program as a condition of approval of our product candidate or similar risk management measures, which could entail requirements for long-term patient follow-up, a medication guide, physician training and communication plans, or additional elements to ensure safe use, such as restricted distribution methods, patient registries, and other risk minimization tools.

The FDA or comparable foreign regulatory authorities may impose consent decrees or withdraw approval if compliance with regulatory requirements and standards is not maintained or if problems occur after the product reaches the market. Later discovery of previously unknown problems with our product candidate, such as adverse events of unanticipated severity or frequency, or problems with our third-party manufacturers or manufacturing processes, or failure to comply with regulatory requirements, may result in restrictions on that product, the manufacturing facility or us, including revisions to the approved labeling to add new safety information, contraindications or a “black box” warning, imposition of post-market studies or clinical trials to assess new safety risks, or imposition of distribution restrictions or other restrictions under a REMS. Other potential consequences include, among other things:

 

   

restrictions on the marketing or manufacturing of our products, withdrawal of the product from the market, or product recalls;

 

   

fines, restitutions, disgorgement of profits or revenues, warning letters, untitled letters, or holds on clinical trials;

 

   

refusal by the FDA or comparable foreign regulatory authorities to approve pending applications or supplements to approved applications submitted by us or suspension or revocation of approvals;

 

   

product seizure or detention or refusal to permit the import or export of our products; and

 

   

injunctions or the imposition of civil or criminal penalties.

The occurrence of any event or penalty described above may inhibit our ability to commercialize our product candidate and generate revenue and could require us to expend significant time and resources in response and could generate negative publicity.

The policies of the FDA and comparable regulatory authorities may change and additional government regulations may be enacted that could prevent, limit, or delay regulatory approval of our product candidate. We cannot predict the likelihood, nature, or extent of government regulation that may arise from future legislation or administrative action, either in the United States or abroad. If we are slow or unable to adapt to changes in existing requirements or the adoption of new requirements or policies, or if we are not able to maintain regulatory compliance, we may be subject to enforcement action and our business, results of operations, and financial condition could be adversely affected.

 

65


Table of Contents

The FDA and other regulatory agencies actively enforce the laws and regulations prohibiting the promotion of off-label uses.

The FDA and comparable foreign regulatory authorities strictly regulate marketing, labeling, advertising, and promotion of prescription drugs. These regulations include standards for direct-to-consumer advertising (in the United States only), industry-sponsored scientific and educational activities, and promotional activities involving the internet, as well as restrictions on promoting approved drugs for unapproved uses or patient populations (known as “off-label promotion”). Products may be promoted only for the approved indications and in accordance with the provisions of the approved label. While physicians in the United States may choose, and are generally permitted, to prescribe drugs for off-label uses, manufacturers may not market or promote such uses. However, companies may share truthful and not misleading information that is not inconsistent with the labeling, and the FDA has recently published a draft guidance with recommendations for how drug manufacturers can share scientifically sound and clinically relevant information on unapproved uses with health care providers so long as such presentations are not promotional.

If we are found to have promoted any off-label uses of our future approved products, or to have engaged in the promotion of an unapproved product candidate, we may become subject to significant liability. The U.S. federal government has levied large civil and criminal fines against companies for alleged improper promotion of off-label use and has enjoined several companies from engaging in off-label promotion. The FDA has also requested that companies enter into consent decrees or permanent injunctions under which specified promotional conduct is changed or curtailed. If we cannot successfully manage the promotion of our future approved products, we could become subject to significant liability, which would materially adversely affect our business, results of operations, and financial condition.

Ongoing healthcare legislative and regulatory reform measures may adversely affect our business, results of operations, and financial condition.

Changes in regulations, statutes or the interpretation of existing regulations could impact our business in the future by requiring, for example, changes to our manufacturing arrangements; additions or modifications to product labeling; the recall or discontinuation of our products; or additional record-keeping requirements. If any such changes were to be imposed, they could adversely affect the operation of our business. If we are slow or unable to adapt to changes in existing requirements or the adoption of new requirements or policies, or if we are not able to maintain regulatory compliance, we may lose any marketing approval that we may have obtained, and we may not achieve or sustain profitability.

The United States and many foreign jurisdictions have enacted or proposed legislative and regulatory changes affecting the healthcare system that could prevent or delay marketing approval of our product candidate(s), restrict or regulate post-approval activities and affect our ability to profitably sell any product for which we obtain marketing approval.

The Patient Protection and Affordable Care Act of 2010, as amended by the Health Care and Education Reconciliation Act of 2010, or, collectively, the ACA, includes measures that have significantly changed the way healthcare is financed by both governmental and private insurers. There have been judicial, executive and congressional challenges and amendments to certain aspects of the ACA. For example, the Inflation Reduction Act of 2022, or IRA, among other things, extends enhanced subsidies for individuals purchasing health insurance coverage in ACA marketplaces through plan year 2025. The IRA also eliminates the “donut hole” under the Medicare Part D program beginning in 2025 by significantly lowering the beneficiary maximum out-of-pocket cost and through a newly established manufacturer discount program. It is possible that the ACA will be subject to judicial or Congressional challenges in the future. It is unclear how any such challenges and the healthcare reform measures of the second Trump administration will impact the ACA and our business.

In addition, other legislative changes have been proposed and adopted since the ACA was enacted. For example, on July 4, 2025, the annual reconciliation bill, the “One Big Beautiful Bill Act,” or OBBBA, was signed into law which is expected to reduce Medicaid spending and enrollment by implementing work

 

66


Table of Contents

requirements for some beneficiaries, capping state-directed payments, reducing federal funding, and limiting provider taxes used to fund the program. OBBBA also narrows access to ACA marketplace exchange enrollment and declines to extend the ACA enhanced advanced premium tax credits, set to expire in 2025, which, among other provisions in the law, are anticipated to reduce the number of Americans with health insurance. The Budget Control Act of 2011, among other things, created the Joint Select Committee on Deficit Reduction to recommend Congress proposals in spending reductions. The Joint Select Committee on Deficit Reduction did not achieve a targeted deficit reduction, which triggered the legislation’s automatic reduction to several government programs. This includes aggregate reductions to Medicare payments to providers of, on average, 2% per fiscal year until 2032 unless Congress takes additional action. Additionally, the American Rescue Plan Act of 2021 eliminated the statutory Medicaid drug rebate cap, previously set at 100% of a drug’s average manufacturer price, for single source and innovator multiple source drugs, effective January 1, 2024.

Recently, there has been increasing legislative and enforcement interest in the United States with respect to specialty drug pricing practices. Specifically, there have been several recent U.S. presidential executive orders, congressional inquiries and legislation designed to, among other things, bring more transparency to drug pricing, reduce the cost of prescription drugs under Medicare, review the relationship between pricing and manufacturer patient programs and reform government program reimbursement methodologies for drugs. For example, at the federal level, the IRA, among other things, (1) directs the HHS to negotiate the price of certain high-expenditure, single-source drugs covered under Medicare that have been on the market for at least 7 years, or the “Medicare Drug Price Negotiation Program, and (2) imposes rebates under Medicare Part B and Medicare Part D to penalize price increases that outpace inflation.

These provisions took effect progressively starting in fiscal year 2023. On August 15, 2024, HHS announced the agreed-upon prices of the first ten drugs that were subject to price negotiations, although the Medicare Drug Price Negotiation Program is currently subject to legal challenges. On January 17, 2025, HHS selected fifteen additional drugs covered under Part D for price negotiation in 2025. Each year thereafter more Part B and Part D products will become subject to the Medicare Drug Price Negotiation Program. On February 14, 2023, HHS released a report outlining three new models for testing by the Center for Medicare and Medicaid Innovation which will be evaluated on their ability to lower the cost of drugs, promote accessibility, and improve quality of care. It is unclear whether the models will be utilized in any health reform measures in the future.

Further, in 2023, an initiative to control the price of prescription drugs through the use of march-in rights under the Bayh-Dole Act was announced. Also in 2023, the National Institute of Standards and Technology published for comment a Draft Interagency Guidance Framework for Considering the Exercise of March-In Rights, which for the first time includes the price of a product as one factor an agency can use when deciding to exercise march-in rights. While march-in rights have not previously been exercised, it is uncertain if that will continue under the new framework.

At the state level, legislatures have increasingly passed legislation and implemented regulations designed to control pharmaceutical and biological product pricing, including price or patient reimbursement constraints, discounts, restrictions on certain product access and marketing cost disclosure and transparency measures, and, in some cases, designed to encourage importation from other countries and bulk purchasing. For example, in January 2024, the FDA approved Florida’s Section 804 Importation Program, or SIP, proposal to import certain drugs from Canada for specific state healthcare programs. It is unclear how this program will be implemented, including which drugs will be chosen, and whether it will be subject to legal challenges in the United States or Canada. Other states have also submitted SIP proposals that are pending review by the FDA. Any such approved importation plans, when implemented, may result in lower drug prices for products covered by those programs.

We are unable to predict the future course of federal or state healthcare legislation in the United States directed at broadening the availability of healthcare and containing or lowering the cost of healthcare, particularly in light of the recent U.S. Presidential and Congressional elections. The current Trump administration is pursuing policies to

 

67


Table of Contents

reduce regulations and expenditures across government including at HHS, the FDA, the Centers for Medicare & Medicaid Services, or CMS, and related agencies. These actions, presently directed by executive orders or memoranda from the Office of Management and Budget, may propose policy changes that create additional uncertainty for our business. These actions and proposals include, for example, include (1) directives to reduce agency workforce and cut programs; (2) rescinding a Biden administration executive order tasking the Center for Medicare and Medicaid Innovation to consider new payment and healthcare models to limit drug spending; (3) eliminating the Biden administration’s executive order that directed HHS to establishing establish an AI task force and developing develop a strategic plan; (4) directing HHS and other agencies to lower prescription drug costs through a variety of initiatives, including by improving upon the Medicare Drug Price Negotiation Program and establishing Most-Favored-Nation pricing for pharmaceutical products; (5) imposing tariffs of imported pharmaceutical products; and (6) directing certain federal agencies to enforce existing law regarding hospital and price plan price transparency and by standardizing prices across hospitals and health plans. Additionally, in its June 2024 decision in Loper Bright Enterprises v. Raimondo, or Loper Bright, the U.S. Supreme Court overturned the longstanding Chevron doctrine, under which courts were required to give deference to regulatory agencies’ reasonable interpretations of ambiguous federal statutes. The Loper Bright decision could result in additional legal challenges to current regulations and guidance issued by federal agencies applicable to our operations, including those issued by the FDA. Congress may introduce and ultimately pass health care related legislation that could, among others, impact the drug approval process and make changes to modify the Medicare Drug Price Negotiation Program created under the IRA, and expand the orphan drug exclusion in the IRA.

We expect that the healthcare reform measures that have been adopted and may be adopted in the future, may result in more rigorous coverage criteria and in additional downward pressure on the price that we receive for any approved product and could significantly harm our future revenues. Any reduction in reimbursement from Medicare or other government programs may result in a similar reduction in payments from private payors. The implementation of cost containment measures or other healthcare reforms may prevent us from being able to generate revenue, attain profitability or commercialize our products, if approved.

Disruptions at the FDA and other national and foreign government authorities caused by funding shortages or global health concerns could hinder their ability to hire, retain, or deploy key leadership and other personnel, or prevent new or modified products from being developed, reviewed, approved, or commercialized in a timely manner or at all, which could negatively impact our business.

The ability of the FDA and comparable foreign regulatory authorities to review and approve new products can be affected by a variety of factors, including government budget and funding levels, statutory, regulatory, and policy changes, the FDA’s and comparable foreign regulatory authorities’ ability to hire and retain key personnel and accept the payment of user fees, and other events that may otherwise affect the FDA’s and comparable foreign regulatory authorities’ ability to perform routine functions. Average review times at the FDA and foreign regulatory authorities have fluctuated in recent years as a result. In addition, government funding of other government agencies that fund research and development activities is subject to the political process, which is inherently fluid and unpredictable. Disruptions at the FDA and other national and foreign authorities also may slow the time necessary for review and/or approval by necessary government authorities, which would adversely affect our business.

For example, over the last several years, the U.S. government has shut down several times and certain regulatory agencies, such as the FDA, have had to furlough critical FDA employees and stop critical activities, including as a result of current administration budget cutting activities and significant reductions in force across federal agencies, such as FDA and CMS. During the COVID-19 pandemic, moreover, FDA was required to prioritize resources, which resulted in the slowdown of certain operations including manufacturing facility inspections. If a prolonged government shutdown or slowdown occurs, or if future global health concerns prevent or delay the FDA or other comparable foreign regulatory authorities from conducting their regular inspections, reviews, or other regulatory activities, it could significantly impact the ability of the FDA or other comparable

 

68


Table of Contents

foreign regulatory authorities to timely review and process our regulatory submissions, which could have a material adverse effect on our business.

We and the third parties with whom we work are subject to stringent and evolving U.S. and foreign laws, regulations, and rules, contractual obligations, industry standards, policies and other obligations related to data privacy and security. Our (or the third parties with whom we work) actual or perceived failure to comply with such obligations could lead to regulatory investigations or actions; litigation (including class claims) and mass arbitration demands; fines and penalties; disruptions of our business operations; reputational harm; loss of revenue or profits; and other adverse business consequences.

In the ordinary course of business, we process sensitive data, and such data processing activities subject us to numerous data privacy and security obligations, such as various laws, regulations, guidance, industry standards, external and internal privacy and security policies, contractual requirements and other obligations relating to data privacy and security. Further, our use of AI and/or machine learning technologies in the future may require additional privacy considerations. Sensitive, proprietary, personal, or confidential data and information could be leaked, disclosed, or revealed as a result of or in connection with our or our vendors’ use, if any, of AI and/or machine learning technologies. The rapid development of artificial intelligence and/or machine learning technologies tools could render obsolete certain technologies or tools we currently use, or otherwise provide competitors with a technological edge. New or evolving legislation or regulations might impose restrictions on how AI and/or machine learning technologies can be used and impose various penalties for any noncompliance (such as disgorgement).

In the United States, federal, state, and local governments have enacted numerous data privacy and security laws, including data breach notification laws, personal data privacy laws, consumer protection laws (e.g., Section 5 of the Federal Trade Commission Act), and other similar laws (e.g., wiretapping laws). For example, HIPAA, as amended by HITECH, imposes specific requirements relating to the privacy, security, and transmission of individually identifiable protected health information. In addition, other federal and state laws establish and may in the future establish requirements for protecting the privacy and security of health information that is not protected by HIPAA.

Additionally, numerous U.S. states have enacted comprehensive privacy laws that impose certain obligations on covered businesses, including providing specific disclosures in privacy notices and affording residents with certain rights concerning their personal data. These state laws allow for statutory fines for noncompliance. For example, the California Consumer Privacy Act of 2018, or CCPA, applies to personal data of California residents and requires businesses subject to the CCPA to provide specific disclosures in privacy notices and respond to requests of such individuals to exercise certain privacy rights. Although there are minimum revenue or personal data processing thresholds for entities to be subject to many of these laws and there are limited exemptions for clinical trial data under the CCPA and similar U.S. state comprehensive privacy laws, such laws may impact (possibly significantly) our business activities depending on how they are interpreted, should we become subject to the CCPA or other such state comprehensive privacy laws in the future. In addition, similar laws are being considered in other states, as well as at the international, federal and local levels, and we expect more laws related to personal data to become effective in the future. These developments may further complicate compliance efforts and increase our legal risk and compliance costs.

Outside the United States, an increasing number of laws, regulations, and industry standards govern data privacy and security. For example, the European Union’s General Data Protection Regulation, or EU GDPR, the United Kingdom’s GDPR, or UK GDPR, Brazil’s General Data Protection Law (Lei Geral de Proteção de Dados Pessoais, or LGPD) (Law No. 13,709/2018), and China’s Personal Information Protection Law, or PIPL, impose strict requirements for processing personal data.

For example, under GDPR, companies may face private litigation related to processing of personal data brought by classes of data subjects or consumer protection organizations authorized at law to represent their

 

69


Table of Contents

interests, temporary or definitive prohibitions on data processing and other corrective actions, or fines of up to the greater of 20 million Euros under the EU GDPR / 17.5 million pounds under the UK GDPR, or 4% of their worldwide annual revenue, whichever is higher.

In addition, we may be unable to transfer personal data from Europe and other jurisdictions to the United States or other countries due to data localization requirements or limitations on cross-border data flows. Europe and other jurisdictions have enacted laws requiring data to be localized or limiting the transfer of personal data to other countries. In particular, the European Economic Area, or EEA, and the UK have significantly restricted the transfer of personal data to the United States and other countries whose privacy laws it generally believes are inadequate. Other jurisdictions may adopt or have already adopted similarly stringent data localization and cross-border data transfer requirements. If there is no lawful manner for us to transfer personal data from the EEA, the UK, or other jurisdictions to the United States, or if the requirements for a legally-compliant transfer are too onerous, we could face significant adverse consequences, including the interruption or degradation of our operations (including future clinical trials), the need to relocate part of or all of our business or data processing activities to other jurisdictions (such as Europe) at significant expense, increased exposure to regulatory actions, substantial fines and penalties, the inability to transfer data and work with partners, vendors and other third parties, and injunctions against our processing or transferring of personal data necessary to operate our business. Regulators in the United States such as the Department of Justice are also increasingly scrutinizing certain personal data transfers and have enacted cross-border data transfer restrictions.

In addition to data privacy and security laws, we are and may become contractually subject to industry standards adopted by industry groups. We are also bound by other contractual obligations related to data privacy and security, and our efforts to comply with such obligations may not be successful.

We may also publish privacy policies, marketing materials, and other statements, such as compliance with certain certifications or self-regulatory principles, regarding data privacy and security. Regulators are increasingly scrutinizing these statements, and if these policies, materials, or statements are found to be deficient, lacking in transparency, deceptive, unfair, misleading, or misrepresentative of our practices, we may be subject to investigation, enforcement actions by regulators, or other adverse consequences.

Obligations related to data privacy and security (and individuals’ data privacy expectations) are quickly changing, becoming increasingly stringent, and creating uncertainty. Additionally, these obligations are subject to differing applications and interpretations, which may be inconsistent or conflict among jurisdictions. Preparing for and complying with these obligations requires us to devote significant resources and may necessitate changes to our services, information technologies, systems, and practices and to those of any third parties that process personal data on our behalf.

We may at times fail (or be perceived to have failed) in our efforts to comply with our data privacy and security obligations. Moreover, despite our efforts, our personnel or third parties with whom we work (such as contract research organizations and clinical trial sites) may fail (or be perceived to have failed) to comply with such obligations, which could negatively impact our business operations. If we or the third parties with whom we work fail, or are perceived to have failed, to address or comply with applicable data privacy and security obligations, we could face significant consequences, including but not limited to, government enforcement actions (e.g., investigations, fines, penalties, audits, inspections, and similar); litigation (including class-action claims) and mass arbitration demands; additional reporting requirements and/or oversight; bans or restrictions on processing personal data (including clinical trial data); orders to destroy or not use personal data; and imprisonment of company officials. In particular, plaintiffs have become increasingly more active in bringing privacy-related claims against companies, including class claims and mass arbitration demands. Some of these claims allow for the recovery of statutory damages on a per violation basis, and, if viable, carry the potential for monumental statutory damages, depending on the volume of data and the number of violations. Any of these events could have a material adverse effect on our reputation, business, or financial condition, including but not limited to: interruptions or stoppages in our business operations (including, as relevant, clinical trials); inability

 

70


Table of Contents

to process sensitive data or to operate in certain jurisdictions; limited ability to develop or commercialize our products; expenditure of time and resources to defend any claim or inquiry; adverse publicity; or substantial changes to our business model or operations.

Additional laws and regulations governing international operations could adversely affect our business, results of operations and financial condition.

If we further expand our operations outside of the United States, we must dedicate additional resources to comply with numerous laws and regulations in each jurisdiction in which we plan to operate. The U.S. Foreign Corrupt Practices Act of 1977, as amended, or the FCPA, prohibits any U.S. individual or business from paying, offering, authorizing payment, or offering of anything of value, directly or indirectly, to any foreign official, political party or candidate, and other related parties for the purpose of influencing any act or decision of the foreign entity in order to assist the individual or business in obtaining or retaining business. The FCPA also obligates companies whose securities are listed in the United States to comply with certain accounting provisions requiring the company to maintain books and records that accurately and fairly reflect all transactions of the corporation, including international subsidiaries, and to devise and maintain an adequate system of internal accounting controls for international operations.

Compliance with the FCPA is expensive and difficult, particularly in countries in which corruption is a recognized problem. In addition, the FCPA presents particular challenges in the pharmaceutical industry, because, in many countries, hospitals are operated by the government, and doctors and other hospital employees are considered foreign officials. Certain payments to hospitals in connection with clinical trials and other work have been deemed to be improper payments to government officials and have led to FCPA enforcement actions.

Various laws, regulations, and executive orders also restrict the use and dissemination outside of the United States, or the sharing with certain non-U.S. nationals, of information classified for national security purposes, as well as certain products and technical data relating to those products. If we expand our presence outside of the United States, it will require us to dedicate additional resources to comply with these laws, and these laws may preclude us from developing, manufacturing, or selling certain products and product candidates outside of the United States, which could limit our growth potential and increase our research and development costs.

The failure to comply with laws governing international business practices may result in substantial civil and criminal penalties and suspension or debarment from government contracting. The SEC also may suspend or bar issuers from trading securities on U.S. exchanges for violations of the FCPA’s accounting provisions.

We are subject to certain U.S. and foreign anti-corruption, anti-money laundering, export control, sanctions, and other trade laws and regulations. We can face serious consequences for violations.

We are subject to U.S. and foreign anti-corruption, anti-money laundering, export control, sanctions, and other trade laws and regulations, which are collectively referred to as Trade Laws. Among other things, Trade Laws prohibit companies and their employees, agents, clinical research organizations, contractors, and other partners from authorizing, promising, offering, providing, soliciting, or receiving directly or indirectly, corrupt or improper payments or anything else of value to or from recipients in the public or private sector. Violations of Trade Laws can result in substantial criminal fines and civil penalties, imprisonment, the loss of trade privileges, debarment, tax reassessments, breach of contract and fraud litigation, reputational harm, and other consequences. We have direct or indirect interactions with officials and employees of government authorities or government-affiliated hospitals, universities, and other organizations. We also expect our non-U.S. activities to increase over time. We may engage third parties for clinical trials and/or to obtain necessary permits, licenses, patent registrations, and other regulatory approvals, and we can be held liable for the corrupt or other illegal activities of our personnel, agents, or partners, even if we do not explicitly authorize or have prior knowledge of such activities, and any training or compliance programs or other initiatives we undertake to prevent such activities may not be effective.

 

71


Table of Contents

If we fail to comply with environmental, health and safety laws and regulations, we could become subject to fines or penalties or incur costs that could harm our business.

We are subject to numerous environmental, health and safety laws and regulations, including those governing laboratory procedures and the handling, use, storage, treatment and disposal of hazardous materials and wastes. From time to time and in the future, our operations may involve the use of hazardous and flammable materials, including chemicals and biological materials, and may also produce hazardous waste products. Even if we contract with third parties for the disposal of these materials and waste products, we cannot completely eliminate the risk of contamination or injury resulting from these materials. In the event of contamination or injury resulting from the use or disposal of our hazardous materials, we could be held liable for any resulting damages, and any liability could exceed our resources. We also could incur significant costs associated with civil or criminal fines and penalties for failure to comply with such laws and regulations.

We maintain workers’ compensation insurance to cover us for costs and expenses we may incur due to injuries to our employees, but this insurance may not provide adequate coverage against potential liabilities. However, we do not maintain insurance for environmental liability or toxic tort claims that may be asserted against us.

In addition, we may incur substantial costs in order to comply with current or future environmental, health and safety laws and regulations. Environmental laws and regulations may impair our research, development or production efforts. In addition, failure to comply with these laws and regulations may result in substantial fines, penalties or other sanctions.

Risks Related to this Offering and Ownership of Our Common Stock

An active and liquid trading market for our common stock may not develop, or we may in the future fail to satisfy the continued listing requirements of Nasdaq and our stock may be delisted, and you may not be able to resell your shares of common stock at or above the public offering price, if at all.

Prior to this offering, no market for shares of our common stock existed. We have applied to list our common stock on Nasdaq under the symbol “LBRX.” Assuming that our common stock is listed and after the consummation of this offering, an active or liquid trading market for our common stock may never develop or be sustained following this offering. To the extent certain of our existing stockholders and their affiliated entities participate in this offering, such purchases would reduce the non-affiliated public float of our shares, meaning the number of shares of our common stock that are not held by officers, directors, and affiliated stockholders. A reduction in the public float could reduce the number of shares that are available to be traded at any given time, thereby adversely impacting the liquidity of our common stock and depressing the price at which you may be able to sell your shares. Moreover, the initial public offering price for our common stock will be determined through negotiations with the underwriters and may vary from the market price of our common stock following this offering. As a result of these and other factors, you may be unable to resell your shares of our common stock at or above the initial public offering price, at the time you wish to sell them, or at a price that you consider reasonable. The lack of an active market may also reduce the fair market value of your shares. Furthermore, an inactive market may also impair our ability to raise capital by selling shares of our common stock in the future and may impair our ability to enter into strategic collaborations or acquire companies or products by using our shares of common stock as consideration.

In addition, if, after listing, we fail to satisfy the continued listing requirements of Nasdaq, such as the corporate governance requirements or the minimum closing bid price requirement, Nasdaq may take steps to delist our common stock. Such a delisting would likely have a negative effect on the price of our common stock and would impair your ability to sell or purchase our common stock when you wish to do so. In the event of a delisting, we can provide no assurance that any action taken by us to restore compliance with listing requirements would allow our common stock to become listed again, stabilize the market price or improve the liquidity of our common stock, prevent our common stock from dropping below the Nasdaq minimum bid price requirement or prevent future non-compliance with the listing requirements of Nasdaq.

 

72


Table of Contents

Our quarterly and annual operating results may fluctuate significantly or may fall below the expectations of investors or securities analysts or any guidance we may publicly provide, each of which may cause our stock price to fluctuate or decline.

We expect our operating results to be subject to quarterly and annual fluctuations which may, in turn, cause the price of our common stock to fluctuate substantially. Our net loss and other operating results will be affected by numerous factors, including:

 

   

variations in the level of expense related to the ongoing development of LB-102 or future development programs;

 

   

results and timing of preclinical studies and ongoing and future clinical trials, or the addition or termination of any such clinical trials;

 

   

the timing of payments we may make or receive under existing license and collaboration arrangements or the termination or modification thereof;

 

   

our execution of any strategic transactions, including acquisitions, collaborations, licenses, or similar arrangements, and the timing and amount of payments we may make or receive in connection with such transactions;

 

   

any intellectual property infringement lawsuit or opposition, interference, or cancellation proceeding in which we may become involved;

 

   

recruitment and departures of key personnel;

 

   

if our product candidate receives regulatory approval in the future, the terms of such approval, and market acceptance and demand for such products;

 

   

regulatory developments affecting our product candidate or those of our competitors;

 

   

global or regional public health emergencies, including any health epidemics and their residual effects, natural disasters, or major catastrophic events;

 

   

adverse macroeconomic conditions or geopolitical events, including the conflict between Ukraine and Russia, the conflict between Israel and Hamas, high levels of inflation, heightened interest rates, and bank failures;

 

   

the impacts of inflation and rising interest rates on our business and operations; and

 

   

changes in general market and economic conditions.

If our quarterly or annual operating results fall below the expectations of investors or securities analysts or any forecasts or guidance we may provide to the market, the price of our common stock could decline substantially. Such a stock price decline could occur even when we have met any previously publicly stated guidance we may provide. We believe that quarterly or annual comparisons of our financial results are not necessarily meaningful and should not be relied upon as an indication of our future performance.

Our stock price may be volatile, which could result in substantial losses for investors purchasing shares in this offering.

The market price of our common stock is likely to be volatile and could fluctuate widely in response to many factors, including but not limited to:

 

   

volatility and instability in the financial and capital markets;

 

   

adverse macroeconomic conditions or geopolitical events, including any health epidemics and their residual effects, the conflict between Ukraine and Russia, the conflict between Israel and Hamas, high levels of inflation, heightened interest rates, and bank failures;

 

73


Table of Contents
   

announcements relating to our product candidate, including the results of clinical trials by us or our collaborators and the timing thereof;

 

   

announcements by competitors that impact our competitive outlook;

 

   

negative developments with respect to our product candidate, or similar products or product candidates with which we compete;

 

   

developments with respect to patents or intellectual property rights;

 

   

announcements of technological innovations, new product candidates, new products or new contracts by us or our competitors;

 

   

announcements relating to strategic transactions, including acquisitions, collaborations, licenses, or similar arrangements;

 

   

actual or anticipated variations in our operating results due to the level of development expenses and other factors;

 

   

changes in financial estimates by equities research analysts and whether our earnings (or losses) meet or exceed such estimates;

 

   

announcement or expectation of additional financing efforts and receipt, or lack of receipt, of funding in support of conducting our business;

 

   

sales of our common stock by us, our insiders, or other stockholders, or issuances by us of shares of our common stock in connection with strategic transactions;

 

   

expiration of market standoff or lock-up agreements described in the section titled “Underwriting”;

 

   

conditions and trends in the pharmaceutical, biotechnology, and other industries;

 

   

recruitment and departures of key personnel;

 

   

regulatory developments within, and outside of, the United States, including changes in the structure of health care payment systems;

 

   

litigation or arbitration;

 

   

general economic, political, and market conditions and other factors; and

 

   

the occurrence of any of the risks described in this section titled “Risk Factors”.

In recent years, the stock market in general, and the market for pharmaceutical and biotechnology companies in particular, has experienced significant price and volume fluctuations that have often been unrelated or disproportionate to changes in the operating performance of the companies whose stock is experiencing those price and volume fluctuations. Broad market and industry factors may seriously affect the market price of our common stock, regardless of our actual operating performance. These fluctuations may be even more pronounced in the trading market for our stock shortly following this offering.

We do not intend to pay dividends on our common stock for the foreseeable future, so any returns will be limited to the value of our stock.

We have never declared or paid cash dividends on our common stock. We currently intend to retain all available funds and any future earnings to support operations and to finance the growth and development of our business. We do not intend to declare or pay any cash dividends on our capital stock in the foreseeable future. As a result, any investment return on our common stock will depend upon increases in the value for our common stock, which is not certain.

 

74


Table of Contents

Our principal stockholders and management own a significant percentage of our stock and will be able to exert significant control over matters subject to stockholder approval.

Based on 3,433,470 shares of our common stock outstanding as of June 30, 2025, after giving effect to the Stock Split and the conversion of all outstanding shares of our convertible preferred stock into 3,181,815 shares of our common stock, prior to this offering, our executive officers, directors, holders of 5% or more of our capital stock, and their respective affiliates beneficially owned approximately 43.6% of our voting stock. Immediately following the completion of this offering, our executive officers, directors, holders of 5% or more of our capital stock and their respective affiliates will beneficially hold, in the aggregate, approximately 7.6% of our outstanding common stock (assuming no exercise of the underwriters’ option to purchase additional shares of our common stock, no exercise of outstanding options, and no purchases of shares in this offering). These stockholders, acting together, would be able to significantly influence all matters requiring stockholder approval. For example, these stockholders would be able to significantly influence elections of directors, amendments of our organizational documents, or approval of any merger, sale of assets, or other major corporate transaction. This level of control may prevent or discourage unsolicited acquisition proposals or offers for our common stock that you may feel are in your best interest as one of our stockholders. The significant concentration of stock ownership may adversely affect the trading price of our common stock due to investors’ perception that conflicts of interest may exist or arise.

If you purchase our common stock in this offering, you will incur immediate and substantial dilution in the book value of your shares.

The initial public offering price will be substantially higher than the pro forma as adjusted net tangible book value per share of our common stock after this offering. Investors purchasing common stock in this offering will pay a price per share that substantially exceeds the pro forma as adjusted net tangible book value per share after this offering. As a result, investors purchasing common stock in this offering will incur immediate dilution of $3.12 per share, based on an assumed initial public offering price of $15.00 per share, which is the midpoint of the price range set forth on the cover page of this prospectus, representing the difference between our pro forma as adjusted net tangible book value per share after giving effect to this offering and the assumed initial public offering price.

This dilution is due to our investors who purchased shares prior to this offering having paid substantially less when they purchased their shares than the price offered to the public in this offering. To the extent outstanding options or warrants are exercised, there will be further dilution to new investors. As a result of the dilution to investors purchasing shares in this offering, investors may receive significantly less than the purchase price paid in this offering, if anything, in the event of our liquidation. For a further description of the dilution that you will experience immediately after this offering, see the section titled “Dilution.”

We are an emerging growth company and a smaller reporting company, and the reduced reporting requirements applicable to emerging growth companies and smaller reporting companies may make our common stock less attractive to investors.

We are an “emerging growth company” as defined in the JOBS Act. For as long as we continue to be an emerging growth company, we may take advantage of exemptions from various reporting requirements that are applicable to other public companies that are not emerging growth companies, including (i) not being required to comply with the auditor attestation requirements of Section 404 of the Sarbanes-Oxley Act, (ii) reduced disclosure obligations regarding executive compensation in this prospectus and our periodic reports and proxy statements, and (iii) exemptions from the requirements of holding nonbinding advisory stockholder votes on executive compensation and stockholder approval of any golden parachute payments not approved previously. In addition, as an emerging growth company, we are only required to provide two years of audited financial statements and two years of selected financial data in this prospectus.

 

75


Table of Contents

We could be an emerging growth company for up to five years following the year in which we complete this offering, although circumstances could cause us to lose that status earlier. We will remain an emerging growth company until the earlier of (1) the last day of the fiscal year (a) following the fifth anniversary of the completion of this offering, (b) in which we have total annual gross revenue of at least $1.235 billion and (c) in which we are deemed to be a large accelerated filer, which requires the market value of our common stock that is held by non-affiliates to exceed $700.0 million as of the prior June 30th, and (2) the date on which we have issued more than $1.0 billion in non-convertible debt during the prior three-year period. Investors may find our common stock less attractive because we may rely on these exemptions. If some investors find our common stock less attractive as a result, there may be a less active trading market for our common stock and our stock price may be more volatile.

Under the JOBS Act, emerging growth companies also can delay adopting new or revised accounting standards until such time as those standards apply to private companies. We have elected to avail ourselves of this exemption, and, as a result, our operating results and financial statements may not be comparable to the operating results and financial statements of companies who have adopted the new or revised accounting standards.

We also are a “smaller reporting company,” meaning that the market value of our stock held by non-affiliates plus the proposed aggregate amount of gross proceeds to us as a result of this offering is less than $700.0 million and our annual revenue is less than $100.0 million during the most recently completed fiscal year. We may continue to be a smaller reporting company after this offering if either (i) the market value of our stock held by non-affiliates is less than $250.0 million or (ii) our annual revenue is less than $100.0 million during the most recently completed fiscal year and the market value of our stock held by non-affiliates is less than $700.0 million. If we are a smaller reporting company at the time we cease to be an emerging growth company, we may continue to rely on exemptions from certain disclosure requirements that are available to smaller reporting companies. Specifically, as a smaller reporting company we may choose to present only the two most recent fiscal years of audited financial statements in our annual report on Form 10-K and, similar to emerging growth companies, smaller reporting companies have reduced disclosure obligations regarding executive compensation.

Conflicts of interest may arise because some members of our board of directors are representatives of our principal stockholders.

Certain of our principal stockholders or their affiliates are venture capital funds or other investment vehicles that could invest in entities that directly or indirectly compete with us. As a result of these relationships, when conflicts arise between the interests of the principal stockholders or their affiliates and the interests of other stockholders, members of our board of directors that are representatives of the principal stockholders may not be disinterested.

Sales of a substantial number of shares of our common stock in the public market could cause our stock price to fall.

If our stockholders sell, or indicate an intention to sell, substantial amounts of our common stock in the public market after the lock-up and other legal restrictions on resale discussed in this prospectus lapse, the trading price of our common stock could decline. Based on 3,433,470 shares of common stock outstanding as of June 30, 2025, after giving effect to the conversion of all of our outstanding shares of convertible preferred stock into 3,181,815 shares of common stock upon the closing of this offering, we will have outstanding a total of 20,100,137 shares of common stock immediately after this offering. Of these shares, only the shares of common stock sold in this offering by us, plus any shares sold upon exercise of the underwriters’ option to purchase additional shares, will be freely tradable without restriction in the public market immediately following this offering.

Our directors, our executive officers, and the holders of substantially all of our common stock or securities convertible into, exercisable for, or exchangeable for our common stock have entered into lock-up agreements

 

76


Table of Contents

and/or agreements containing market stand-off provisions imposing restrictions on the ability of such security holders to offer, sell, or transfer such securities for a period of 180 days following the date of this prospectus. After the lock-up agreements and market stand-off provisions expire, based upon the number of shares of common stock, on an as-converted basis, outstanding as of June 30, 2025, up to an additional 3,433,470 shares of common stock will be eligible for sale in the public market. Approximately 43.6% of these additional shares are beneficially held by directors, executive officers, and their affiliates and will be subject to certain limitations of Rule 144 under the Securities Act.

In addition, shares of common stock that are either subject to outstanding options or reserved for future issuance under our existing equity compensation plans will become eligible for sale in the public market to the extent permitted by the provisions of various vesting schedules, the lock-up agreements, and Rule 144 and Rule 701 under the Securities Act. If these additional shares of common stock are sold, or if it is perceived that they will be sold, in the public market, the trading price of our common stock could decline.

After this offering, the holders of 3,244,405 shares of our common stock will be entitled to rights with respect to the registration of their shares under the Securities Act as provided under the terms of our investors’ rights agreement between us and the holders of our convertible preferred stock and our outstanding warrants, as applicable, subject to the 180-day lock-up agreements and market stand-off provisions described above. See the section titled “Description of Capital Stock—Registration Rights.” Registration of these shares under the Securities Act would result in the shares becoming freely tradable without restriction under the Securities Act, except for shares held by affiliates, as defined in Rule 144 under the Securities Act. Any sales of securities by these stockholders could have a material adverse effect on the trading price of our common stock.

We have broad discretion in how we use the net proceeds of this offering and may not use these proceeds effectively, which could affect our results of operations and cause our stock price to decline.

We will have considerable discretion in the application of the net proceeds of this offering, including for any of the purposes described in the section titled “Use of Proceeds,” and you will not have the opportunity as part of your investment decision to assess whether the net proceeds are being used appropriately. As a result, investors will be relying upon management’s judgment with only limited information about our specific intentions for the use of the balance of the net proceeds of this offering. We may use the net proceeds for purposes that do not yield a significant return or any return at all for our stockholders. In addition, pending their use, we may invest the net proceeds from this offering in a manner that does not produce income or that loses value.

Anti-takeover provisions in our charter documents and under Delaware law could make an acquisition of our company more difficult, limit attempts by our stockholders to replace or remove our current management and limit the market price of our common stock.

Provisions in our amended and restated certificate of incorporation, as they will be in effect immediately prior to the closing of this offering, and our amended and restated bylaws, as they will be in effect immediately prior to the closing of this offering, may have the effect of delaying or preventing a change of control or changes in our board of directors and management. Our amended and restated certificate of incorporation and amended and restated bylaws will include provisions that:

 

   

authorize our board of directors to issue, without further action by the stockholders, shares of undesignated preferred stock with terms, rights, and preferences determined by our board of directors that may be senior to our common stock;

 

   

require that any action to be taken by our stockholders be effected at a duly called annual or special meeting and not by written consent;

 

   

specify that special meetings of our stockholders can be called only by directors representing a majority of the total authorized size of our board of directors, the chairperson of our board of directors, or our chief executive officer;

 

77


Table of Contents
   

establish an advance notice procedure for stockholder proposals to be brought before an annual meeting, including proposed nominations of persons for election to our board of directors;

 

   

establish that our board of directors is divided into three classes, with each class serving three-year staggered terms;

 

   

prohibit cumulative voting in the election of directors, therefore allowing the holders of a majority of the shares of common stock entitled to vote in any election of directors to elect all of the directors standing for election, if they should so choose;

 

   

provide that our directors may be removed for cause only upon the vote of at least 66 2/3% of our outstanding shares of voting stock;

 

   

provide that vacancies on our board of directors may be filled only by a majority of directors then in office, even though less than a quorum; and

 

   

require the approval of our board of directors or the holders of at least 66 2/3% of our outstanding shares of voting stock to amend our bylaws and certain provisions of our certificate of incorporation.

These provisions may frustrate or prevent any attempts by our stockholders to replace or remove our current management by making it more difficult for stockholders to replace members of our board of directors, which is responsible for appointing the members of our management. In addition, because we are incorporated in Delaware, we are governed by the provisions of Section 203 of the Delaware General Corporation Law, or DGCL, which generally, subject to certain exceptions, prohibits a Delaware corporation from engaging in any of a broad range of business combinations with any “interested” stockholder for a period of three years following the date on which the stockholder became an “interested” stockholder. Any of the foregoing provisions could limit the price that investors might be willing to pay in the future for shares of our common stock, and they could deter potential acquirers of our company, thereby reducing the likelihood that holders of our common stock would receive a premium for their shares of our common stock in an acquisition.

Our amended and restated certificate of incorporation that will become effective immediately prior to the closing of this offering will provide that the Court of Chancery of the State of Delaware and the federal district court for the District of Delaware of the United States will be the exclusive forums for substantially all disputes between us and our stockholders, which could limit our stockholders’ ability to obtain a favorable judicial forum for disputes with us or our directors, officers, or employees.

Our amended and restated certificate of incorporation that will become effective immediately prior to the closing of this offering will provide that the Court of Chancery of the State of Delaware is the exclusive forum for the following types of actions or proceedings under Delaware statutory or common law:

 

   

any derivative action or proceeding brought on our behalf;

 

   

any action asserting a breach of fiduciary duty;

 

   

any action asserting a claim against us arising under the DGCL, our amended and restated certificate of incorporation, or our amended and restated bylaws;

 

   

any action seeking to interpret, apply, enforce or determine the validity of our amended and restated certificate of incorporation, or our amended and restated bylaws;

 

   

any action to which the DGCL confers jurisdiction on the Court of Chancery of the State of Delaware; and

 

   

any action asserting a claim against us that is governed by the internal-affairs doctrine.

This provision would not apply to suits brought to enforce a duty or liability created by the Exchange Act. Furthermore, Section 22 of the Securities Act creates concurrent jurisdiction for federal and state courts over all

 

78


Table of Contents

such Securities Act actions. Accordingly, both state and federal courts have jurisdiction to entertain such claims. Additionally, investors cannot waive compliance with the federal securities laws and the rules and regulations thereunder. To prevent having to litigate claims in multiple jurisdictions and the threat of inconsistent or contrary rulings by different courts, among other considerations, our amended and restated certificate of incorporation will further provide that the federal district courts of the United States will be the exclusive forum for resolving any complaint asserting a cause of action arising under the Securities Act. While the Delaware courts have determined that such choice of forum provisions are facially valid and several state trial courts have enforced such provisions and required that suits asserting Securities Act claims be filed in federal court, there is no guarantee that courts of appeal will affirm the enforceability of such provisions and a stockholder may nevertheless seek to bring a claim in a venue other than those designated in the exclusive forum provisions. In such instance, we would expect to vigorously assert the validity and enforceability of the exclusive forum provisions of our amended and restated certificate of incorporation. This may require significant additional costs associated with resolving such action in other jurisdictions and the provisions may not be enforced by a court in those other jurisdictions. If a court were to find either exclusive forum provision in our amended and restated certificate of incorporation to be inapplicable or unenforceable in an action, we may incur further significant additional costs associated with litigating Securities Act claims in state court, or both state and federal court, which could seriously harm our business, results of operations, and financial condition.

This exclusive forum provision may result in increased costs to stockholders to bring a claim. Further, this exclusive forum provision may limit a stockholder’s ability to bring a claim in a judicial forum that it finds favorable for disputes with us or our directors, officers, or other employees, which may discourage lawsuits against us and our directors, officers, and other employees. If a court were to find either exclusive forum provision in our amended and restated certificate of incorporation to be inapplicable or unenforceable in an action, we may incur further significant additional costs associated with resolving the dispute in other jurisdictions, all of which could seriously harm our business.

General Risk Factors

Our ability to use our net operating loss carryforwards and certain other tax attributes to offset taxable income or taxes may be limited.

We have incurred significant losses during our history and do not expect to become profitable in the near future, and we may never achieve profitability. As of December 31, 2024, we had federal gross net operating loss, or NOL, carryforwards of $37.2 million and state gross NOL carryforwards of $41.9 million. The federal NOL carryforwards, if not utilized, will begin to expire in 2036. The state NOL carryforwards are expected to begin to expire in 2036, although not all states conform to the federal NOL carryforward period and occasionally limit the use of NOLs for a period of time. As of December 31, 2024 and 2023, we had federal research and development credits of approximately $2.7 million and $0.8 million, respectively. The research and development credits, if not utilized, will expire between 2036 through 2042. Certain of these NOL carryforwards could expire unused and be unavailable to offset future income tax liabilities. Under the Internal Revenue Code of 1986, as amended, or the Code, federal NOL carryforwards arising in taxable years beginning after December 31, 2017 will not expire and may be carried forward indefinitely, but the deductibility of such federal NOL carryforwards in a taxable year is generally limited to no more than 80% of current year taxable income (with certain adjustments in such year).

In addition, under Sections 382 and 383 of the Code, if a corporation undergoes an “ownership change,” generally defined as a greater than 50 percentage point change (by value) in its equity ownership by certain stockholders over a three-year period, the corporation’s ability to use its pre-change NOL carryforwards and certain other pre-change tax attributes (such as research tax credits) to offset its post-change income or taxes may be limited. We have not completed a Section 382 study to assess whether one or more ownership changes have occurred since our formation, due to the complexity and cost associated with such a study. In addition, we also may experience ownership changes in the future including in connection with this offering or as a result of

 

79


Table of Contents

subsequent changes in our stock ownership, some of which may be outside of our control. As a result, if we undergo (or already have undergone) an ownership change, and our ability to use our pre-change NOL carryforwards and other pre-change tax attributes (such as research tax credits) to offset our post-change income or taxes is limited, it could harm our future results of operations by effectively increasing our future tax obligations. Similar provisions of state tax law also may apply to limit our use of accumulated state tax attributes. In addition, at the state level, there may be periods during which the use of net operating losses is suspended or otherwise limited, which could accelerate or permanently increase state taxes owed. Even if we attain profitability, we may be unable to use all or a material portion of our net operating losses and other tax attributes, which could adversely affect our future cash flows. As a result of the foregoing, we have a full valuation allowance for deferred tax assets, including our NOL carryforwards.

Recent and future changes to tax laws could materially adversely affect our company.

The tax regimes we are subject to or operate under, including with respect to income and non-income taxes, are unsettled and may be subject to significant change. Changes in tax laws, regulations, or rulings, or changes in interpretations of existing laws and regulations, could materially adversely affect our company. For example, on July 4, 2025, the U.S. government passed the OBBBA, which made permanent certain of the tax law changes originally enacted under previous tax reform legislation, in addition to other changes that may impact our tax liability. For example, the OBBBA reinstated immediate expensing of certain research and experimental expenses incurred in tax years beginning after December 31, 2024 if incurred in the United States (though the requirement to amortize foreign research and experimental expenses over 15 years remains unchanged). In addition, previous tax reform legislation includes provisions that impacts the U.S. federal income taxation of certain corporations, including imposing a 1% excise tax on corporations that repurchase their stock in certain transactions. Future guidance from the Internal Revenue Service and other tax authorities with respect to this and other legislation may affect us, and certain aspects thereof could be repealed or modified in future legislation.

Unstable economic and market conditions may have serious adverse consequences on our business, financial condition, and stock price.

Global economic and business activities continue to face widespread uncertainties, and global credit and financial markets have experienced extreme volatility and disruptions in the past several years, including severely diminished liquidity and credit availability, rising inflation and monetary supply shifts, tariffs, rising interest rates, bank failures, labor shortages, declines in consumer confidence, declines in economic growth, increases in unemployment rates, recession risks, and uncertainty about economic and geopolitical stability (for example, related to the ongoing Russia-Ukraine and Israel-Hamas wars). For example, there is currently significant uncertainty about the future relationship between the United States and various other countries, including, without limitation, China, Brazil, Mexico, and Canada, with respect to trade policies, treaties, tariffs, taxes, and other limitations on cross-border operations.

The extent of the impact of these conditions on our operational and financial performance, including our ability to execute our business strategies and initiatives in the expected timeframe, as well as that of third parties upon whom we rely, will depend on future developments which are uncertain and cannot be predicted. There can be no assurance that further deterioration in economic or market conditions will not occur, or how long these challenges will persist. If the current equity and credit markets further deteriorate, or do not improve, it may make any necessary debt or equity financing more difficult, more costly, and more dilutive. Furthermore, our stock price may decline due in part to the volatility of the stock market and the general economic downturn.

If securities or industry analysts do not publish research or reports about our business, or if they publish inaccurate or unfavorable research about our business, our stock price and trading volume could decline.

The trading market for our common stock will be influenced in part by the research and reports that industry or securities analysts publish about us or our business. We do not have any control over the industry or securities

 

80


Table of Contents

analysts, or the content and opinions included in their reports and may never obtain research coverage by securities and industry analysts. If no or few securities or industry analysts commence coverage of us, or if analysts cease coverage of us, we could lose visibility in the financial markets, and the trading price for our common stock could be impacted negatively. If any of the analysts who cover us publish inaccurate or unfavorable research or opinions regarding us, our business model, our intellectual property, or our stock performance, or if our clinical trials and operating results fail to meet the expectations of analysts, our stock price would likely decline.

We will incur increased costs as a result of operating as a public company, and our management will be required to devote substantial time to new compliance initiatives and corporate governance practices.

After the completion of this offering, as a public company, and particularly after we are no longer an emerging growth company, we will incur significant legal, accounting, and other expenses that we did not incur as a private company. The Securities Act, the Exchange Act, Sarbanes-Oxley Act, the Dodd-Frank Wall Street Reform and Consumer Protection Act, the listing requirements of Nasdaq and other applicable securities rules and regulations impose various requirements on public companies, including establishment and maintenance of effective disclosure and financial controls and corporate governance practices. Our management and other personnel will need to devote a substantial amount of time to these compliance initiatives. Moreover, we expect these rules and regulations to substantially increase our legal and financial compliance costs and to make some activities more time-consuming and costly. For example, we expect that these rules and regulations may make it more difficult and more expensive for us to obtain director and officer liability insurance and we may be required to incur substantial costs to maintain sufficient coverage. We cannot predict or estimate the amount or timing of additional costs we may incur to respond to these requirements. The impact of these requirements could also make it more difficult for us to attract and retain qualified persons to serve on our board of directors, our board committees, or as executive officers. The increased costs may require us to reduce costs in other areas of our business. Moreover, these rules and regulations are often subject to varying interpretations, in many cases due to their lack of specificity, and, as a result, their application in practice may evolve over time as new guidance is provided by regulatory and governing bodies. This could result in continuing uncertainty regarding compliance matters and higher costs necessitated by ongoing revisions to disclosure and governance practices.

Failure to establish and maintain effective internal control over financial reporting could adversely affect our business and if investors lose confidence in the accuracy and completeness of our financial reports, the market price of our common stock could be negatively affected.

We are not currently required to comply with the rules of the SEC implementing Section 404 of the Sarbanes-Oxley Act and are therefore not required to make a formal assessment of the effectiveness of our internal control over financial reporting for that purpose. Upon becoming a public company, we will be required to comply with the SEC’s rules implementing Sections 302 and 404 of the Sarbanes-Oxley Act, which will require management to certify financial and other information in our quarterly and annual reports and provide an annual management report on the effectiveness of internal control over financial reporting. Although we will be required to disclose changes made in our internal control over financial reporting on a quarterly basis, we will not be required to make our first annual assessment of our internal control over financial reporting until our second annual report on Form 10-K. However, as an emerging growth company, our independent registered public accounting firm will not be required to formally attest to the effectiveness of our internal control over financial reporting until the later of the year following our first annual report required to be filed with the SEC or the date we are no longer an emerging growth company. When we lose our status as an “emerging growth company” and reach an accelerated filer threshold, our independent registered public accounting firm will be required to attest to the effectiveness of our internal control over financial reporting. The rules governing the standards that must be met for our management to assess our internal control over financial reporting are complex and require significant documentation, testing, and possible remediation. To comply with the requirements of being a reporting company under the Exchange Act, we may need to upgrade our information technology systems; implement additional financial and management controls, reporting systems, and procedures; and hire additional

 

81


Table of Contents

accounting and finance staff. If we or, if required, our auditors are unable to conclude that our internal control over financial reporting is effective, investors may lose confidence in our financial reporting and the trading price of our common stock may decline.

As a private company, we do not currently have any internal audit function. To comply with the requirements of being a public company, we have undertaken various actions, and will need to take additional actions, such as implementing numerous internal controls and procedures and hiring additional accounting or internal audit staff or consultants. Additionally, in connection with the preparation of our financial statements for the year ended December 31, 2024, material weaknesses were identified in the design and operating effectiveness of our internal control over financial reporting. If we are unable to remediate these material weaknesses, or we identify more material weaknesses that we are not able to timely remediate to meet the applicable compliance deadline for the disclosure and attestation requirements of Section 404 of the Sarbanes-Oxley Act, or if our independent registered public accounting firm is unable to express an unqualified opinion as to the effectiveness of our internal control over financial reporting once we are no longer an emerging growth company, investors may lose confidence in the accuracy and completeness of our financial reports and the market price of our common stock could be negatively affected, and we could become subject to investigations by the stock exchange on which our securities are listed, the SEC or other regulatory authorities, which could require additional financial and management resources. In addition, if we fail to remedy any material weakness, our financial statements could be inaccurate, and we could face restricted access to capital markets.

Our disclosure controls and procedures may not prevent or detect all errors or acts of fraud.

Upon the completion of this offering, we will become subject to the periodic reporting requirements of the Exchange Act. We must design our disclosure controls and procedures to reasonably assure that information we must disclose in reports we file or submit under the Exchange Act is accumulated and communicated to management, and recorded, processed, summarized, and reported within the time periods specified in the rules and forms of the SEC. Any disclosure controls and procedures, no matter how well-conceived and operated, can provide only reasonable, not absolute, assurance that the objectives of the control system are met.

These inherent limitations include the realities that judgments in decision-making can be faulty, and that breakdowns can occur because of simple error or mistake. For example, our directors or executive officers could inadvertently fail to disclose a new relationship or arrangement causing us to fail to make any related party transaction disclosures. Additionally, controls can be circumvented by the individual acts of some persons, by collusion of two or more people or by an unauthorized override of the controls. Accordingly, because of the inherent limitations in our control system, misstatements due to error or fraud may occur and not be detected. In addition, we do not have a formal risk management program for identifying and addressing risks to our business in other areas.

We may be subject to securities litigation, which is expensive and could divert management attention.

The market price of our common stock is likely to be volatile. The stock market in general, and Nasdaq and biopharmaceutical companies in particular, have experienced extreme price and volume fluctuations that have often been unrelated or disproportionate to the operating performance of companies. In the past, companies that have experienced volatility in the market price of their stock have been subject to securities class action litigation. We may be the target of this type of litigation in the future. Securities litigation (including the cost to defend against, and any potential adverse outcome resulting from any such proceeding) can be expensive, time-consuming, damage our reputation, and divert our management’s attention from other business concerns, which could seriously harm our business.

 

82


Table of Contents

SPECIAL NOTE REGARDING FORWARD-LOOKING STATEMENTS

This prospectus contains forward-looking statements about us and our industry that involve substantial risks and uncertainties. All statements other than statements of historical fact contained in this prospectus, including statements regarding our plans, objectives, goals, strategies, future events, future revenues or performance, financing needs, plans, or intentions relating to product candidates and markets and business trends are forward-looking statements. We have based these forward-looking statements largely on our current expectations and projections. In some cases, you can identify forward-looking statements because they contain words such as “anticipate,” “believe,” “can,” “contemplate,” “continue,” “could,” “design,” “estimate,” “expect,” “intend,” “may,” “might,” “objective,” “plan,” “potential,” “predict,” “project,” “shall,” “should,” “target,” “will,” or “would,” or the negative of these words or other similar terms or expressions.

These statements involve known and unknown risks, uncertainties, and other factors which may cause our actual results, performance or achievements to be materially different from any future results, performance or achievements expressed or implied by the forward-looking statements. Forward-looking statements include, but are not limited to, statements about:

 

   

the initiation, timing, progress, potential registrational quality, and results of our research and development programs, preclinical studies, any clinical trials, Investigational New Drug, or IND, and other regulatory submissions;

 

   

the ability of our approach to reproducibly predict treatment outcomes for LB-102 amongst identified patient populations and achieve clinical success;

 

   

the timing of and costs involved in obtaining and maintaining regulatory approval of LB-102 and any future product candidates that we may identify or develop;

 

   

the beneficial characteristics, including potential safety, efficacy, and therapeutic effects, of LB-102;

 

   

our ability to efficiently and cost-effectively conduct our current and future clinical trials;

 

   

our ability to obtain funding for our operations necessary to complete further development and commercialization of LB-102, if approved;

 

   

our ability to maintain existing, and establish new, strategic collaborations, licensing, or other arrangements, including our ability to comply with our financial obligations pursuant to the terms of such agreements;

 

   

the timing and likelihood of the achievement of milestones pursuant to our existing collaboration and licensing agreements;

 

   

our ability to identify and develop LB-102 for treatment of additional indications;

 

   

the performance of our third-party service providers, including our suppliers and manufacturers;

 

   

the rate and degree of market acceptance and clinical utility for LB-102 and any other product candidates we may develop;

 

   

the effects of competition with respect to LB-102 or any of our future product candidates, as well as innovations by current and future competitors in our industry;

 

   

our estimates regarding the potential market opportunities and the number of patients for LB-102 and any future product candidates, if approved for commercial use;

 

   

the implementation of our strategic plans for our business, LB-102, and any future product candidates we may develop;

 

   

our intellectual property position, including the scope of protection we are able to establish, maintain, defend and enforce for intellectual property rights covering LB-102 and any future product candidates we may develop;

 

83


Table of Contents
   

our ability to attract and retain key scientific or management personnel;

 

   

regulatory and legal developments in the United States and foreign countries;

 

   

our ability to attract and retain employees and collaborators with development, regulatory, and commercialization expertise;

 

   

our ability to comply with the terms of our term loan agreement and our expectations regarding our ability to access additional tranches thereunder;

 

   

the accuracy of our estimates regarding future expenses, future revenue, capital requirements, and need for additional financing;

 

   

the period over which we estimate our existing cash and cash equivalents will be sufficient to fund our future operating expenses and capital expenditure requirements;

 

   

our expectations regarding the period during which we qualify as an emerging growth company under the JOBS Act; and

 

   

our anticipated use of the proceeds from this offering.

These forward-looking statements reflect our management’s beliefs and views with respect to future events and are based on estimates and assumptions as of the date of this prospectus and are subject to risks and uncertainties. In addition, statements that “we believe” and similar statements reflect our beliefs and opinions on the relevant subject. These statements are based upon information available to us as of the date of this prospectus, and while we believe such information forms a reasonable basis for such statements, such information may be limited or incomplete, and our statements should not be read to indicate that we have conducted an exhaustive inquiry into, or review of, all potentially available relevant information. These statements are inherently uncertain and investors are cautioned not to unduly rely upon these statements. We discuss many of the risks associated with the forward-looking statements in this prospectus in greater detail under the heading “Risk Factors.” Moreover, we operate in a very competitive and rapidly changing environment. New risks emerge from time to time. It is not possible for our management to predict all risks, nor can we assess the impact of all factors on our business or the extent to which any factor, or combination of factors, may cause actual results to differ materially from those contained in any forward-looking statements we may make. Given these uncertainties, you should not place undue reliance on these forward-looking statements.

You should carefully read this prospectus and the documents that we have filed as exhibits to the registration statement, of which this prospectus is a part, completely and with the understanding that our actual future results may be materially different from what we expect. We qualify all of the forward-looking statements in this prospectus by these cautionary statements.

Except as required by law, we assume no obligation to update these forward-looking statements publicly, or to update the reasons actual results could differ materially from those anticipated in any forward-looking statements, whether as a result of new information, future events, or otherwise.

 

84


Table of Contents

MARKET AND INDUSTRY DATA

This prospectus contains estimates, projections, and other information concerning our industry, our business, and the markets for our product candidate, including data regarding the estimated size of such markets and the incidence of certain medical conditions. Unless otherwise expressly stated, we obtained the industry, market, and similar data set forth in this prospectus from our internal estimates and research and from academic and industry research, publications, surveys, and studies conducted by third parties, including governmental agencies. In some cases, we do not expressly refer to the sources from which this data is derived. In that regard, when we refer to one or more sources of this type of information in any paragraph, you should assume that other information of this type appearing in the same paragraph is derived from the same sources, unless otherwise expressly stated or the context otherwise requires.

Information that is based on estimates, forecasts, projections, market research, or similar methodologies is inherently subject to uncertainties and involves a number of assumptions and limitations; as a result, actual events or circumstances may differ materially from events and circumstances that are assumed in this information. The industry in which we operate is subject to a high degree of uncertainty and risk due to a variety of factors, including those described in the section titled “Risk Factors.” Although we are responsible for all of the disclosure contained in this prospectus and we believe that the data we use from third parties are reliable, we have not separately verified this data. Further, while we believe that our internal research is reliable, such research has not been verified by any third party. You are cautioned not to give undue weight to any such information, projections, and estimates.

 

85


Table of Contents

USE OF PROCEEDS

We estimate that we will receive net proceeds of approximately $228.5 million (or approximately $263.4 million if the underwriters’ option to purchase additional shares is exercised in full) from the sale of the shares of common stock offered by us in this offering, based on the assumed initial public offering price of $15.00 per share, which is the midpoint of the price range set forth on the cover page of this prospectus, and after deducting the underwriting discounts and commissions and estimated offering expenses payable by us.

Each $1.00 increase (decrease) in the assumed initial public offering price of $15.00 per share, which is the midpoint of the price range set forth on the cover page of this prospectus, would increase (decrease) the net proceeds to us from this offering by approximately $15.5 million, assuming the number of shares of common stock offered by us, as set forth on the cover page of this prospectus, remains the same and after deducting the underwriting discounts and commissions payable by us. Similarly, each increase (decrease) of 1.0 million shares in the number of shares of common stock offered by us, as set forth on the cover page of this prospectus, would increase (decrease) our net proceeds from this offering by approximately $14.0 million, assuming the assumed initial public offering price of $15.00 per share, which is the midpoint of the price range set forth on the cover page of this prospectus, remains the same, and after deducting the underwriting discounts and commissions payable by us.

The principal purposes of this offering are to obtain additional capital to support our operations, to create a public market for our common stock and to facilitate our future access to the public equity markets. We intend to use the net proceeds of this offering, together with our existing cash and cash equivalents and marketable securities, primarily as follows:

 

   

approximately $133.0 million to advance the clinical development of LB-102 to treat acute schizophrenia through a Phase 3 trial, the open label safety trial designed to accrue the requisite safety population required to support approval, and other NDA-enabling studies,

 

   

approximately $25.0 million to advance the clinical development of LB-102 to treat bipolar depression through a Phase 2 trial, and

 

   

the remainder for general corporate purposes.

We may also use a portion of the net proceeds from this offering to in-license, acquire, or invest in complementary businesses, technologies, products, or assets. However, we have no current plans, commitments, or obligations to do so.

Based on our current operating plan, we believe that our existing cash and cash equivalents and marketable securities, together with the estimated net proceeds from this offering, will be sufficient to fund our operating expenses and capital expenditure requirements through the first quarter of 2028. We have based this estimate on assumptions that may prove to be wrong, and we could use our available capital resources sooner than we expect. The expected net proceeds from this offering, together with our existing cash and cash equivalents and marketable securities, will not be sufficient for us to fund our product candidate through regulatory approval and commercialization, and we will need to raise substantial additional capital in order to do so. To obtain the capital necessary to fund our programs through regulatory approval and commercialization, we expect to finance our cash needs primarily through equity offerings and potentially through debt financings, collaborations, licenses, and development agreements.

Our expected use of net proceeds from this offering represents our current intentions based upon our present plans and business condition. As of the date of this prospectus, we cannot predict with certainty all of the particular uses for the net proceeds to be received upon the completion of this offering, or the amounts that we will spend on the uses set forth above. The amounts and timing of our actual use of the net proceeds will vary depending on numerous factors, including the progress, cost, and results of our preclinical and clinical

 

86


Table of Contents

development programs, our ability to obtain additional financing, and other factors described under “Risk Factors” in this prospectus, as well as the amount of cash used in our operations and any unforeseen cash needs. We may find it necessary or advisable to use the net proceeds for other purposes, and our management will have broad discretion in the application of the net proceeds, and investors will be relying on our judgment regarding the application of the net proceeds from this offering. In addition, we might decide to postpone or not pursue clinical trials or preclinical activities if the net proceeds from this offering and the other sources of cash are less than expected.

Pending the use of the proceeds from this offering, we plan to invest the proceeds in short- and intermediate-term, interest-bearing obligations, investment-grade instruments, certificates of deposit, or direct or guaranteed obligations of the U.S. government.

 

87


Table of Contents

DIVIDEND POLICY

We have never declared or paid any cash dividends on our capital stock. We currently intend to retain all available funds and future earnings, if any, to support our operations and finance the growth and development of our business. We have no present intention to pay cash dividends on our common stock for the foreseeable future. Any future determination related to our dividend policy will be made at the discretion of our board of directors and will depend upon, among other factors, our results of operations, financial condition, capital requirements, contractual restrictions (including any restrictions in our then-existing debt arrangements), business prospects, and other factors our board of directors may deem relevant, and subject to the restrictions contained in any future financing instruments.

 

88


Table of Contents

CAPITALIZATION

The following table sets forth our cash and cash equivalents and marketable securities and our capitalization as of June 30, 2025:

 

   

on an actual basis;

 

   

on a pro forma basis to reflect (i) the conversion of all outstanding shares of our redeemable convertible preferred stock into 3,181,815 shares of our common stock and the related reclassification of the carrying value of the redeemable convertible preferred stock to stockholders’ equity upon the closing of this offering, and (ii) the filing of our amended and restated certificate of incorporation immediately prior to the closing of this offering; and

 

   

on a pro forma as adjusted basis to reflect (i) the pro forma adjustments set forth above, (ii) our issuance and sale of 16,666,667 shares of common stock in this offering at the assumed initial public offering price of $15.00 per share, which is the midpoint of the price range set forth on the cover page of this prospectus, after deducting the underwriting discounts and commissions and estimated offering expenses payable by us, and (iii) our issuance of 382,467 additional shares of common stock issuable upon conversion of our Series C convertible preferred stock due to anti-dilution adjustments, based on an assumed initial public offering price of $15.00 per share, which is the midpoint of the estimated offering price range set forth on the cover page of this prospectus.

The pro forma and pro forma as adjusted information below is illustrative only, and our cash and cash equivalents and marketable securities and capitalization following the completion of this offering will be adjusted based on the actual initial public offering price and other terms of this offering determined at pricing.

You should read this information in conjunction with our audited financial statements and the related notes included elsewhere in this prospectus and the section titled “Management’s Discussion and Analysis of Financial Condition and Results of Operations” and other financial information contained in this prospectus.

 

     (Unaudited)
As of June 30, 2025
 
     Actual      Pro Forma      Pro Forma
As Adjusted
 
     (in thousands, except share and per share amounts)  

Cash and cash equivalents

   $ 14,225      $ 14,225      $ 242,725  
  

 

 

    

 

 

    

 

 

 

Derivative liability – warrants

   $ 1,925      $ 1,925      $ 1,925  

Redeemable convertible preferred stock:

        

Series Seed preferred stock, $0.0001 par value; 295,467 shares authorized, issued and outstanding, actual; no shares authorized, issued, or outstanding, pro forma and pro forma as adjusted

     435        —         —   

Series A preferred stock, $0.0001 par value; 3,655,374 shares authorized, issued and outstanding, actual; no shares authorized, issued, or outstanding, pro forma and pro forma as adjusted

     6,179        —         —   

Series B preferred stock, $0.0001 par value; 301,119 shares authorized, issued and outstanding, actual; no shares authorized, issued, or outstanding, pro forma and pro forma as adjusted

     580        —         —   

Series C preferred stock, $0.0001 par value; 75,000,000 shares authorized, 73,820,346 shares issued and outstanding, actual; no shares authorized, issued, or outstanding, pro forma and pro forma as adjusted

     107,065        —         —   

 

89


Table of Contents
     (Unaudited)
As of June 30, 2025
 
     Actual     Pro Forma     Pro Forma
As Adjusted
 
     (in thousands, except share and per share amounts)  

Stockholders’ (deficit) equity:

      

Preferred stock, $0.0001 par value: no shares authorized, issued, or outstanding, actual; 10,000,000 shares authorized and no shares issued and outstanding, pro forma and pro forma as adjusted

   $ —      $ —      $ —   

Common stock, $0.0001 par value; 105,000,000 shares authorized, 251,789 shares issued and outstanding, actual; 500,000,000 shares authorized, 3,433,470 shares issued and outstanding pro forma; 500,000,000 shares authorized, 20,100,137 shares issued and outstanding, pro forma as adjusted

     1       1       2  

Additional paid-in capital

     10,626       124,886       353,385  

Accumulated deficit

     (114,500     (114,500     (114,500

Accumulated other comprehensive income

     —        —        —   
  

 

 

   

 

 

   

 

 

 

Total stockholders’ (deficit) equity

   $ (103,873   $ 10,386     $ 238,887  
  

 

 

   

 

 

   

 

 

 

Total capitalization

   $ 12,311     $ 12,311     $ 240,812  
  

 

 

   

 

 

   

 

 

 

Each $1.00 increase or decrease in the assumed initial public offering price of $15.00, the midpoint of the estimated offering price range set forth on the cover page of this prospectus, would increase or decrease each of the pro forma as adjusted cash and cash equivalents and marketable securities, additional paid-in capital, total stockholders’ equity and total capitalization by approximately $15.5 million, assuming that the number of shares offered by us, as set forth on the cover page of this prospectus, remains the same, after deducting underwriting discounts and commissions and estimated offering expenses payable by us. We may also increase or decrease the number of shares we are offering. An increase or decrease of 1.0 million in the number of shares we are offering would increase or decrease each of the pro forma as adjusted cash and cash equivalents and marketable securities, additional paid-in capital, total stockholders’ equity and total capitalization by approximately $14.0 million, assuming an initial public offering price of $15.00, the midpoint of the estimated offering price range set forth on the cover page of this prospectus, after deducting underwriting discounts and commissions and estimated offering expenses payable by us.

Pursuant to our current certificate of incorporation, the conversion price of the Series C convertible preferred stock will be adjusted as a result of this offering. The current conversion price is $41.8311. Applying the formula set forth in our amended and restated certificate of incorporation for issuances of our common stock below the current conversion price and partially waived anti-dilution adjustments by the holders of our Series C convertible preferred stock, the conversion price of the Series C convertible preferred stock will be adjusted to $36.5499 as a result of this offering, based upon an assumed initial public offering price of $15.00 per share, which is the midpoint of the price range set forth on the cover page of this prospectus. A $1.00 decrease in the initial public offering price would increase the number of shares of our common stock issuable in respect of our Series C convertible preferred stock by 19,731 shares, and a $1.00 increase in the initial public offering price would decrease the number of shares of our common stock issuable in respect of our Series C convertible preferred stock by 19,254 shares; provided, however, that in no event would the shares of our Series C convertible preferred stock outstanding prior to the Stock Split convert into more than 3,049,156 shares of our common stock upon the closing of this offering. A 1.0 million share increase in the size of this offering would increase the number of shares of our common stock issuable in respect of our Series C convertible preferred stock by 4,261 shares, and a 1.0 million share decrease in the size of this offering would decrease the number of shares of our common stock issuable in respect of our Series C convertible preferred stock by 4,795 shares.

The pro forma and pro forma as adjusted information are illustrative only and following the completion of this offering will be adjusted based on the actual initial public offering price and other terms of this offering determined at pricing.

 

90


Table of Contents

You should read this information in conjunction with our financial statements and the related notes included elsewhere in this prospectus, the section of this prospectus titled “Management’s Discussion and Analysis of Financial Condition and Results of Operations” and other financial information contained in this prospectus.

The number of shares of our common stock to be outstanding after this offering is based on 3,433,470 shares of common stock outstanding as of June 30, 2025, after giving effect to the conversion of all outstanding shares of our convertible preferred stock into 3,181,815 shares of common stock upon the closing of this offering and excludes:

 

   

427,526 shares of common stock issuable upon the exercise of outstanding stock options under our 2023 Plan as of June 30, 2025, at a weighted-average exercise price of $41.84 per share (which does not take into account the Option Repricing);

 

   

27,943 shares of common stock issuable upon the exercise of outstanding stock options under our 2018 Plan as of June 30, 2025, at a weighted-average exercise price of $66.40 per share (which does not take into account the Option Repricing);

 

   

10,397 shares of common stock issuable upon the exercise of outstanding stock options under our 2017 Plan as of June 30, 2025, at a weighted-average exercise price of $49.81 per share (which does not take into account the Option Repricing);

 

   

717 shares of common stock issuable upon the exercise of outstanding stock options granted subsequent to June 30, 2025, at an exercise price equal to the initial public offering price per share in this offering;

 

   

24,919 Class A common stock warrants to purchase 24,919 shares of our common stock, of which 24,919 Class A common stock warrants remain to be exercised as of June 30, 2025, with an exercise price of $0.28 per share, as more fully described in the section titled “Description of Capital Stock—Warrants—Class A Warrants;”

 

   

31,605 Class B common stock warrants to purchase 31,605 shares of our common stock, of which 31,605 Class B common stock warrants remain to be exercised as of June 30, 2025, with an exercise price of $0.28 per share, as more fully described in the section titled “Description of Capital Stock—Warrants—Class B Warrants;”

 

   

54,813 warrants held by Maxim Partners LLC to purchase 54,813 shares of our common stock of which 54,813 warrants remain to be exercised as of June 30, 2025, with an exercise price of $0.28 per share, as more fully described in the section titled “Description of Capital Stock—Warrants—Maxim Warrants;”

 

   

2,557 Series B-1 common stock warrants to purchase 2,557 shares of our common stock of which 2,557 Series B-1 common stock warrants remain to be exercised as of June 30, 2025, with an exercise price of $0.28 per share, as more fully described in the section titled “Description of Capital Stock—Warrants—Series B-1 Warrants;”

 

   

3,509 New Series B common stock warrants to purchase 3,509 shares of our common stock of which 3,509 New Series B common stock warrants remain to be exercised as of June 30, 2025, with an exercise price of $41.84 per share, as more fully described in the section titled “Description of Capital Stock—Warrants—New Series B Warrants;”

 

   

2,907,335 shares of common stock reserved for future issuance under our 2025 Plan, which became effective upon the execution and delivery of the underwriting agreement for this offering (of which we will grant certain options to purchase shares of common stock at an exercise price equal to the initial public offering price, as described in the section titled “Executive Compensation—2025 Equity Incentive Plan”), as well as any future automatic annual increases in the number of shares of common stock reserved for issuance under our 2025 Plan, as more fully described in the section titled “Executive Compensation—Equity Benefit Plans;” and

 

91


Table of Contents
   

201,000 shares of common stock reserved for future issuance under our ESPP, which became effective upon the execution and delivery of the underwriting agreement for this offering, as well as any future automatic annual increases in the number of shares of common stock reserved for future issuance under our ESPP, as more fully described in the section titled “Executive Compensation—Equity Benefit Plans.”

 

92


Table of Contents

DILUTION

If you invest in our common stock in this offering, your ownership interest will be immediately diluted to the extent of the difference between the initial public offering price per share of our common stock and the pro forma as adjusted net tangible book value per share of our common stock after this offering.

Our historical net tangible book value as of June 30, 2025 was $10.4 million, or $41.27 per share of common stock. Our historical net tangible book value (deficit) per share represents the amount of our total tangible assets less our total liabilities, divided by the total number of shares of common stock outstanding as of June 30, 2025.

Our pro forma net tangible book value as of June 30, 2025 was $10.4 million, or $3.03 per share of our common stock. Pro forma net tangible book value per share represents the amount of our total tangible assets less our total liabilities, after giving effect to the automatic conversion of all outstanding shares of our redeemable convertible preferred stock and the related reclassification of the carrying value of the redeemable convertible preferred stock and preferred stock warrant liability to stockholders’ equity upon the closing of this offering.

After giving further effect to the sale of 16,666,667 shares of common stock that we are offering and the issuance of 382,467 additional shares of common stock issuable upon conversion of our Series C convertible preferred stock due to anti-dilution adjustments, each based on an assumed initial public offering price of $15.00 per share, which is the midpoint of the price range set forth on the cover page of this prospectus, and after deducting the underwriting discounts and commissions and estimated offering expenses payable by us, our pro forma as adjusted net tangible book value as of June 30, 2025 would have been $238.9 million, or approximately $11.88 per share of common stock. This amount represents an immediate increase (decrease) in pro forma net tangible book value of $(38.24) per share to our existing stockholders and an immediate dilution in pro forma net tangible book value of approximately $8.85 per share to new investors participating in this offering.

Dilution per share to new investors is determined by subtracting pro forma as adjusted net tangible book value per share after this offering from the initial public offering price per share paid by new investors. The following table illustrates this dilution on a per share basis to new investors:

 

Assumed initial public offering price per share

     $ 15.00  

Historical net tangible book value per share as of June 30, 2025

   $ 41.27    

Increase (decrease) in historical net tangible book value per share attributable to pro forma adjustments described above

     (38.24  
  

 

 

   

Pro forma net tangible book value per share as of June 30, 2025

     3.03    

Increase in pro forma net tangible book value per share attributable to new investors purchasing shares from us in this offering

     8.85    
  

 

 

   

Pro forma as adjusted net tangible book value per share after this offering

       11.88  
    

 

 

 

Dilution per share to new investors participating in this offering

     $ 3.12  
    

 

 

 

The dilution information discussed above is illustrative only and will change based on the actual initial public offering price and other terms of this offering determined at pricing. Each $1.00 increase (decrease) in the assumed initial public offering price of $15.00 per share, which is the midpoint of the price range set forth on the cover page of this prospectus, would increase (decrease) the pro forma as adjusted net tangible book value per share after this offering by approximately $(0.77), and dilution in pro forma net tangible book value per share to new investors by approximately $0.22, assuming that the number of shares offered by us, as set forth on the cover page of this prospectus, remains the same and after deducting the underwriting discounts and commissions payable by us. Each increase of 1.0 million shares in the number of shares offered by us, as set forth on the cover page of this prospectus, would increase our pro forma as adjusted net tangible book value per share after this offering by approximately $0.10 and decrease the dilution to investors participating in this offering by approximately $(0.10) per share, assuming that the assumed initial public offering price remains the same, and

 

93


Table of Contents

after deducting the estimated underwriting discounts and commissions. Similarly, each decrease of 1.0 million shares in the number of shares offered by us, as set forth on the cover page of this prospectus, would decrease the pro forma as adjusted net tangible book value per share after this offering by approximately $(0.11) and increase the dilution to investors participating in this offering by approximately $0.10 per share, assuming that the assumed initial public offering price remains the same, and after deducting the underwriting discounts and commissions payable by us.

If the underwriters exercise their option to purchase additional shares of our common stock in full in this offering, the pro forma as adjusted net tangible book value after the offering would be $12.11 per share, the increase in pro forma as adjusted net tangible book value per share to existing stockholders would be $0.23 per share, and the dilution per share to new investors would be $2.89 per share, in each case assuming the assumed initial public offering price of $15.00 per share, which is the midpoint of the price range set forth on the cover page of this prospectus, remains the same and after deducting the underwriting discounts and commissions payable by us.

The following table summarizes on a pro forma as adjusted basis as of June 30, 2025, the number of shares of common stock purchased or to be purchased from us, the total consideration paid or to be paid to us in cash and the average price per share paid by existing stockholders for shares issued prior to this offering and the price to be paid by new investors in this offering. The calculation below is based on the assumed initial public offering price of $15.00 per share, which is the midpoint of the price range set forth on the cover page of this prospectus, before deducting the underwriting discounts and commissions and estimated offering expenses payable by us. As the table below shows, investors participating in this offering will pay an average price per share substantially higher than our existing stockholders paid.

 

     Shares Purchased     Total Consideration     Weighted-
Average
Price Per
Share
 
     Number      Percent     Amount      Percent  

Existing stockholders

     3,433,470        17   $ 124,886,172        33   $ 36.37  

New investors(1)

     16,666,667        83     250,000,005        67     15.00  
  

 

 

    

 

 

   

 

 

    

 

 

   

Total

     20,100,137        100   $ 374,886,177        100     18.65  
  

 

 

    

 

 

   

 

 

    

 

 

   
 
(1)

The presentation in this table regarding ownership by existing stockholders does not give effect to any purchases that existing stockholders may make in this offering.

Each $1.00 increase (decrease) in the assumed initial public offering price of $15.00 per share, which is the midpoint of the price range set forth on the cover page of this prospectus, would increase (decrease) the total consideration paid by new investors in this offering by $16.7 million, assuming the number of shares offered by us, as set forth on the cover page of this prospectus, remains the same and after deducting the underwriting discounts and commissions payable by us. Similarly, each 1.0 million share increase (decrease) in the number of shares offered by us, as set forth on the cover page of this prospectus, would increase (decrease) the total consideration paid by investors participating in this offering, total consideration paid by all stockholders and the average price per share paid by all stockholders by $15.00 million, assuming the assumed initial public offering price of $15.00 per share, which is the midpoint of the price range set forth on the cover page of this prospectus, remains the same, and after deducting the underwriting discounts and commissions payable by us.

The table above assumes no exercise of the underwriters’ option to purchase additional shares of common stock in this offering. If the underwriters were to fully exercise their option to purchase additional shares of common stock from us, the percentage of our common stock held by existing stockholders after this offering would be reduced to 17% of the total number of shares of our common stock outstanding after this offering, and the percentage of our common stock held by new investors would be increased to 83% of the total number of shares of our common stock outstanding after this offering.

 

94


Table of Contents

The number of shares of our common stock to be outstanding after this offering is based on 3,433,470 shares of common stock outstanding as of June 30, 2025, after giving effect to the conversion of all outstanding shares of our convertible preferred stock into 3,181,815 shares of common stock upon the closing of this offering and excludes:

 

   

427,526 shares of common stock issuable upon the exercise of outstanding stock options under our 2023 Plan as of June 30, 2025, at a weighted-average exercise price of $41.84 per share (which does not take into account the Option Repricing);

 

   

27,943 shares of common stock issuable upon the exercise of outstanding stock options under our 2018 Plan as of June 30, 2025, at a weighted-average exercise price of $66.40 per share (which does not take into account the Option Repricing);

 

   

10,397 shares of common stock issuable upon the exercise of outstanding stock options under our 2017 Plan as of June 30, 2025, at a weighted-average exercise price of $49.81 per share (which does not take into account the Option Repricing);

 

   

717 shares of common stock issuable upon the exercise of outstanding stock options granted subsequent to June 30, 2025, at an exercise price equal to the initial public offering price per share in this offering;

 

   

24,919 Class A common stock warrants to purchase 24,919 shares of our common stock, of which 24,919 Class A common stock warrants remain to be exercised as of June 30, 2025, with an exercise price of $0.28 per share, as more fully described in the section titled “Description of Capital Stock—Warrants—Class A Warrants;”

 

   

31,605 Class B common stock warrants to purchase 31,605 shares of our common stock, of which 31,605 Class B common stock warrants remain to be exercised as of June 30, 2025, with an exercise price of $0.28 per share, as more fully described in the section titled “Description of Capital Stock—Warrants—Class B Warrants;”

 

   

54,813 warrants held by Maxim Partners LLC to purchase 54,813 shares of our common stock of which 54,813 warrants remain to be exercised as of June 30, 2025, with an exercise price of $0.28 per share, as more fully described in the section titled “Description of Capital Stock—Warrants—Maxim Warrants;”

 

   

2,557 Series B-1 common stock warrants to purchase 2,557 shares of our common stock of which 2,557 Series B-1 common stock warrants remain to be exercised as of June 30, 2025, with an exercise price of $0.28 per share, as more fully described in the section titled “Description of Capital Stock—Warrants—Series B-1 Warrants;”

 

   

3,509 New Series B common stock warrants to purchase 3,509 shares of our common stock of which 3,509 New Series B common stock warrants remain to be exercised as of June 30, 2025, with an exercise price of $41.84 per share, as more fully described in the section titled “Description of Capital Stock—Warrants—New Series B Warrants;”

 

   

2,907,335 shares of common stock reserved for future issuance under our 2025 Plan, which became effective upon the execution and delivery of the underwriting agreement for this offering (of which we will grant certain options to purchase shares of common stock at an exercise price equal to the initial public offering price, as described in the section titled “Executive Compensation—2025 Equity Incentive Plan”), as well as any future automatic annual increases in the number of shares of common stock reserved for issuance under our 2025 Plan, as more fully described in the section titled “Executive Compensation—Equity Benefit Plans;” and

 

   

201,000 shares of common stock reserved for future issuance under our ESPP, which became effective upon the execution and delivery of the underwriting agreement for this offering, as well as any future automatic annual increases in the number of shares of common stock reserved for future issuance under our ESPP, as more fully described in the section titled “Executive Compensation—Equity Benefit Plans.”

 

95


Table of Contents

MANAGEMENT’S DISCUSSION AND ANALYSIS OF FINANCIAL CONDITION AND RESULTS OF OPERATIONS

You should read the following discussion and analysis of our financial condition and results of operations together with our financial statements and the related notes appearing elsewhere in this prospectus. Some of the information contained in this discussion and analysis or set forth elsewhere in this prospectus, including information with respect to our current plans and strategy for our business and related financing, includes forward-looking statements that involve risks and uncertainties. As a result of many factors, including those factors set forth in the “Risk Factors” section of this prospectus, our actual results could differ materially from the results described in or implied by the forward-looking statements contained in the following discussion and analysis. You should carefully read the “Risk Factors” section of this prospectus to gain an understanding of the important factors that could cause actual results to differ materially from our forward-looking statements. Please also see the section titled “Special Note Regarding Forward-Looking Statements.”

Overview

We are a clinical-stage biopharmaceutical company developing novel therapies for the treatment of schizophrenia, bipolar depression, and other neuropsychiatric diseases. We are building a pipeline that leverages the broad therapeutic potential of our lead product candidate, LB-102, which we believe has the potential to be the first benzamide antipsychotic drug approved for neuropsychiatric disorders in the United States. LB-102 is a new chemical entity and a methylated derivative of amisulpride, a second-generation antipsychotic drug approved in over 50 countries, not including the United States, because the development and regulatory requirements of the U.S. Food and Drug Administration, or FDA, for amisulpride were incompatible with patent coverage on the drug. Amisulpride is a generic drug that has been extensively used in clinical practice following its initial approval in France in the 1980s, generating at least two million monthly prescriptions in 2023 in a subset of 16 continental European countries. Among these European prescriptions for amisulpride, our data suggest that approximately 60% are for schizophrenia and schizoaffective disorders, approximately 20% are for mood disorders, approximately 14% are for anxiety, and the remainder are for a variety of other indications. We developed LB-102 in order to address the limitations of amisulpride with a differentiated therapeutic profile and strong intellectual property protection. We believe LB-102’s mechanism of action, data from our recently completed Phase 2 trial of LB-102 in acute schizophrenia, and the legacy of clinical experience with amisulpride support the continued development of LB-102 in schizophrenia and bipolar depression. If successful in treating bipolar depression, we may also develop LB-102 in the treatment of major depressive disorder, or MDD. In the future, we may also develop LB-102 for the treatment of other neuropsychiatric disorders, including schizophrenia with predominantly negative symptoms, Alzheimer’s disease-related agitation and psychosis, manic episodes associated with bipolar disorder, and cognitive impairment associated with schizophrenia, or CIAS. We believe that LB-102, if approved, can become a mainstay of psychiatric practice by offering a potentially attractive alternative to branded and generic therapeutics for the treatment of schizophrenia, bipolar depression, and other neuropsychiatric diseases.

Our product candidate, LB-102, is a Phase 3-ready oral, small molecule for the treatment of acute schizophrenia, defined as a sudden and severe episode of psychotic symptoms, characterized by hallucinations, delusions, and other positive symptoms. Schizophrenia is a chronic, severe, complex, and debilitating psychiatric disorder that affects approximately 1% of the U.S. population and is a leading cause of disability. Symptoms are divided into three categories: (i) psychotic or positive symptoms, which include delusions, hallucinations, thought disorder, and movement disorder; (ii) negative symptoms, which include lack of motivation, interest, or enjoyment in daily activities, withdrawal from social life, and difficulty showing emotions; and (iii) cognitive symptoms, which encompass problems with attention, concentration, and memory. The disease is associated with increased mortality, with approximately 5% of schizophrenia patients dying by suicide, and average overall life expectancy decreasing by as much as 29 years compared to the general population. There is currently no cure for schizophrenia, which means the disease must be managed with life-long therapy, increasing the importance of therapies that can improve compliance rates and dosing challenges.

 

96


Table of Contents

In addition to our clinical development program in schizophrenia, we plan to leverage our expertise in neuropsychiatry and the unique mechanism of action of LB-102 to develop our candidate in other indications, starting with bipolar depression. Most people living with bipolar depression experience dramatic shifts in mood, energy and behavior, alternating between manic and depressive states. It is estimated that 2.8%, or approximately seven million Americans, experience bipolar disorder in a year, and approximately 40 million people live with bipolar disorder worldwide. Our initial Phase 2 trial will explore the utility of LB-102 in controlling the depressive symptoms of the disease. We plan to initiate this potentially registrational Phase 2 trial in bipolar depression in the first quarter of 2026 with topline data expected in the first quarter of 2028.

We believe LB-102’s strong antagonism of the D2, D3, and 5HT7 receptors makes it well suited for treating bipolar depression, providing potential to control psychosis and mania through its effects on D2 and potential for antidepressive and pro-cognitive effects through its antagonism of 5HT7 and D3. Our Phase 2 trial of LB-102 in acute schizophrenia demonstrated strong antipsychotic activity and suggests opportunities for potential differentiation in bipolar depression given the observed tolerability profile (low rates of EPS, sedation, and gastrointestinal side effects) and positive impact on cognition. Amisulpride is approved for the treatment of dysthymia, a form of depression, in certain countries outside of the United States and has been shown to be as effective as certain approved agents for MDD and dysthymia. We believe that results in dysthymia and MDD provide strong scientific and clinical rationale for development of LB-102 in the treatment of depressive episodes associated with bipolar disorder or bipolar depression because episodes of major depression, whether unipolar (as in MDD) or bipolar (as in bipolar depression), are typically characterized by a similar imbalance in the neurotransmitters serotonin, noradrenaline, and dopamine regardless of the underlying pathophysiology of the disease. There is wide use of amisulpride in bipolar disorder with approximately 3.4% of at least 2 million prescriptions written for this indication in a select group of European countries including Germany, France, Italy, Spain, and several others. A non-racemic form of amisulpride also showed antidepressant activity in two independent third-party, placebo-controlled bipolar depression trials with an approximately 17- to 18-point reduction in Montgomery—Åsberg Depression Rating Scale, or MADRS, from baseline observed across these studies. Additionally, among the four antipsychotics approved for schizophrenia and MDD or treatment resistant depression that were also studied in late-stage bipolar depression trials (quetiapine, cariprazine, aripiprazole, and olanzapine), three out of four, or 75%, generated positive data for the treatment of bipolar depression. Our planned Phase 2 trial for bipolar depression will utilize a fixed-flexible dose of LB-102. This trial design allows us to evaluate two doses of LB-102 in the trial, thereby increasing the chances for a patient to derive clinical benefit from treatment with LB-102, while retaining the advantages of a two-arm trial, which is known to mitigate the risk of a high placebo rate. Additionally, flexible dose trials typically have better signal detection than fixed dose trials for depression, as flexible dose trials lower the magnitude of symptom reduction with placebo. We believe LB-102 has the potential to provide improved tolerability and clinical activity in bipolar depression compared to currently available treatments worldwide, which are associated with troubling adverse events and insufficient efficacy for certain symptoms, including cognitive impairment associated with the disease.

Since our inception in 2015, we have devoted substantially all of our resources to the research and development of LB-102 by conducting clinical trials and preclinical studies and recruiting management and technical staff to support these operations. To date, we have funded our operations primarily through the aggregate gross proceeds of approximately $121.7 million from the sales of our redeemable convertible preferred stock, common stock, and convertible notes.

We have not generated any revenue from product sales and we have incurred recurring losses since our inception. Our net losses were $10.2 million and $43.9 million for the six months ended June 30, 2025 and 2024, respectively. As of June 30, 2025, we had an accumulated deficit of $114.5 million. We expect to continue to generate operating losses and negative operating cash flows for the foreseeable future. We anticipate that our operating expenses and capital expenditures will increase substantially with our ongoing activities, particularly as we:

 

   

continue to progress the clinical development of LB-102 in acute schizophrenia, bipolar depression and other indications;

 

97


Table of Contents
   

advance additional product candidates through clinical development;

 

   

require the manufacture of larger quantities of LB-102 and any additional product candidates to support future clinical trials or potential commercialization;

 

   

seek marketing authorizations for LB-102 and any of our future product candidates that successfully complete clinical development, if any;

 

   

acquire or license other product candidates or technologies;

 

   

make milestone, royalty, or other payments under our current royalty agreements or any future license agreements;

 

   

obtain, maintain, protect, and enforce our intellectual property portfolio;

 

   

seek to attract and retain new and existing skilled personnel; and

 

   

add operational, legal, financial, and management information systems and personnel to support our product development and clinical execution, as well as to support our transition to a public company.

We will not generate any revenue from product sales unless and until we successfully complete clinical development and obtain regulatory approval for one or more of our product candidates. If we obtain regulatory approval for any of our product candidates, we expect to incur significant expenses related to developing our internal commercialization capability to support product sales, marketing, and distribution.

As a result, we will need substantial additional funding to support our operating activities as we advance our product candidates through clinical development, seek regulatory approval, and prepare for and, if any of our product candidates are approved, proceed to commercialization. Until such time, if ever, as we can generate substantial revenue from product sales to support our cost structure, we expect to finance our operating activities through a combination of public or private sales of equity, government or private party grants, debt financings or other capital sources, including potential collaborations with other companies or other strategic transactions. Adequate funding may not be available to us on acceptable terms, or at all.

If we are unable to obtain funding, we will be forced to delay, reduce, or eliminate some or all of our research and development programs, product portfolio expansion, or commercialization efforts, which could adversely affect our business prospects, or we may be unable to continue operations. Although we continue to pursue these plans, there is no assurance that we will be successful in obtaining sufficient funding on terms acceptable to us to fund continuing operations, if at all.

As of June 30, 2025, we had cash and cash equivalents of $14.2 million. Based on our current plans, we believe that our existing cash and cash equivalents, together with the net proceeds from this offering, will be sufficient to meet our anticipated operating and capital expenditure requirements through the first quarter of 2028. See “—Liquidity and Capital Resources.”

In May 2025, we initiated a reduction in force, or RIF, as part of a strategic realignment to streamline operations and extend our cash runway. The RIF impacted several positions, including the Chief Financial Officer and Chief Scientific Officer, while prioritizing continuity in key programs and minimizing operational disruptions. This initiative is intended to enhance our ability to allocate resources efficiently as we focus on advancing LB-102 and other high-priority development programs. We estimate the total cost of the RIF will be approximately $0.7 million in one-time restructuring charges, primarily related to severance and termination benefits, including a reduction in stock-based compensation expenses arising from equity award modifications. We anticipate completing all actions related to the RIF by May 30, 2026. See Note 11 Restructuring in the accompanying unaudited condensed financial statements for additional information.

 

98


Table of Contents

Royalty Agreements

In August 2023, contemporaneously with the closing of the Series C financing, we entered into several Amended and Restated Royalty Agreements with certain of our existing investors, co-founders, former and current directors, and former and current executive officers, including Zachary Prensky, Andrew Vaino, Ph.D., and Marc Panoff, none of whom were new investors of our Series C preferred stock. We received no consideration as part of the Amended and Restated Royalty Agreements. Pursuant to the Amended and Restated Royalty Agreements, we are obligated to pay royalties to all of the holders in an aggregate amount up to 2.75% of net sales arising from LB-102 worldwide through December 31, 2035. Thereafter, we are obligated to pay royalties to such holders in an aggregate amount up to 3.25% in perpetuity. Future sales are defined in these agreements as the gross payments received on total commercial sales of LB-102, whether by us or by any licensee of LB-102. For additional information, see “Business—License and Other Agreements—Royalty Agreements.” As of June 30, 2025, certain of our former and current officers and their affiliates held 1.13% of the future royalties.

Components of Results of Operations

Revenue

To date, we have not recognized any revenues, including revenues from product sales. We do not expect to generate any revenue from the sale of products in the foreseeable future. If our development efforts for LB-102 or any future product candidates are successful and result in regulatory approval, or license agreements with third parties, we may generate revenue in the future from product sales. However, there can be no assurance as to when we will generate such revenue, if at all.

Operating Expenses

Research and Development Expenses

Research and development expenses consist primarily of costs incurred for the development of LB-102, which include:

 

   

personnel expenses, including salaries, benefits, and stock-based compensation expense for our employees engaged in research and development functions;

 

   

expenses incurred in connection with the preclinical and clinical development of LB-102, including under agreements with clinical sites and CROs;

 

   

formulation costs and chemistry, manufacturing and controls, or CMC, costs including formulation and active pharmaceutical ingredients, process development, analytical and quality infrastructure build-out, and validation support;

 

   

expenses incurred under agreements with consultants engaged in research and development functions; and

 

   

expenses related to regulatory affairs.

We expense research and development costs in the periods in which they are incurred. Costs for certain activities are recognized based on an evaluation of the progress to completion of specific tasks, using information provided to us by our vendors and analyzing the progress of our clinical trials or other services performed. Significant judgment and estimates are made in determining the accrued expense balances at the end of any reporting period.

Research and development activities are central to our business model. We expect our research and development expenses to increase substantially for the foreseeable future as we advance LB-102 and any of our future product candidates into and through later stage clinical trials, pursue regulatory approval of our product

 

99


Table of Contents

candidates, build our operational and commercial capabilities for supplying and marketing our products, if approved, and expand our pipeline of product candidates.

The process of conducting the necessary clinical research to obtain regulatory approval is costly and time-consuming. Furthermore, product candidates in later stages of clinical development generally have higher development costs than those in earlier stages of clinical development, primarily due to the increased size and duration of later-stage clinical trials. The actual probability of success for our product candidates may be affected by a variety of factors, including the safety and efficacy of our product candidates, conduct of clinical trials, investment in our clinical programs, competition, manufacturing capability, and commercial viability. We may never succeed in achieving regulatory approval for any of our product candidates. As a result of the uncertainties discussed above, we are unable to determine the duration and completion of costs of our research and development projects or if, when, and to what extent we will generate revenue from the commercialization and sale of LB-102 or any future product candidates, if approved by the FDA and other applicable regulatory authorities.

Our future research and development costs may vary significantly based on factors such as:

 

   

the timing and progress of our clinical development activities;

 

   

the number and scope of preclinical and clinical programs we decide to pursue;

 

   

the amount and timing of any milestone payment due under an existing, or any future, license or collaboration agreement or asset acquisition;

 

   

the number of patients that participate in our clinical trials, and per participant clinical trial costs;

 

   

the number and duration of clinical trials required for approval of our product candidates;

 

   

the number of sites included in our clinical trials, and the locations of those sites;

 

   

delays or difficulties in adding trial sites and enrolling participants in our clinical trials;

 

   

patient drop-out or discontinuation rates;

 

   

potential additional safety monitoring requested by regulatory authorities;

 

   

the phase of development of our product candidates;

 

   

the efficacy and safety profile of our product candidates;

 

   

the timing, receipt, and terms of any approvals from applicable regulatory authorities, including the FDA and non-U.S. regulators;

 

   

maintaining a continued acceptable safety profile of our product candidates following approval, if any, of our product candidates;

 

   

hiring and retaining additional personnel such as clinical, quality control, scientific, commercial, and administrative;

 

   

maintain, expand, and protect our intellectual property portfolio;

 

   

establish sales, marketing, distribution, manufacturing, supply chain, and other commercial infrastructure in the future to commercialize various products for which we may obtain regulatory approval;

 

   

changes in the competitive outlook;

 

   

the extent to which we establish additional strategic collaborations or other arrangements; and

 

   

the impact of any business interruptions to our operations or to those of the third parties with whom we work.

 

100


Table of Contents

A change in the outcome of any of these variables with respect to the development of any of our product candidates could significantly change the costs and timing associated with the development of that product candidate.

We also expect to incur significant manufacturing costs as our CDMOs develop scaled commercial manufacturing processes. However, we do not believe that it is possible at this time to accurately project expenses through commercialization. There are numerous factors associated with the successful commercialization of LB-102 or any future product candidates, including future trial design and various regulatory requirements, many of which cannot be determined with accuracy at this time based on our stage of development. Additionally, future commercial and regulatory factors beyond our control will impact our clinical development programs and plans.

General and Administrative Expenses

General and administrative expenses consist primarily of:

 

   

personnel expenses, including salaries, benefits and stock-based compensation, for personnel in our executive, finance, corporate and business development, and administrative functions;

 

   

professional fees for legal, patent, accounting and audit, information technology, and tax;

 

   

consulting services including fees paid to our board of directors; and

 

   

other expenses including travel expenses, rent expense, and other operating costs.

We expect that our general and administrative expenses will increase in the future as we expand our headcount to support our continued research and development of our product candidates. We also expect to incur increased expenses associated with operating as a public company including:

 

   

costs related to accounting, audit, legal, compliance, regulatory, and tax-related services;

 

   

costs related to compliance with the rules and regulations of the SEC and listing standards applicable to companies listed on a national securities exchange;

 

   

director and officer insurance costs; and

 

   

investor and public relations costs.

In addition, if we obtain regulatory approval for any of our product candidates and do not enter into a third-party commercialization collaboration, we expect to incur significant expenses related to building a sales and marketing team to support product sales, marketing, and distribution activities.

Non-operating Income (Expense)

Non-operating income (expense) consists primarily of interest income on our cash and cash equivalents and marketable securities, interest expense on borrowings under our convertible note agreements, and non-cash changes in the fair value of our outstanding preferred stock warrant liability and conversion feature derivative liability related to our convertible notes.

 

101


Table of Contents

Results of Operations

Comparison of the Years Ended December 31, 2024 and 2023

The following table summarizes our results of operations for the years ended December 31, 2024 and 2023 (in thousands):

 

     Year Ended December 31,  
     2024      2023      Change  

Operating expenses

        

Research and development

   $  51,171      $ 7,845      $ 43,326  

General and administrative

     13,659        3,531        10,128  
  

 

 

    

 

 

    

 

 

 

Total operating loss

     (64,830      (11,376      53,454  

Non-operating income (expense)

        

Interest income

     1,721        811        910  

Interest expense

     —         (4,825      4,825  

Loss on extinguishment of debt

     —         (7,435      7,435  

Realized gain on sale of marketable securities, net

     955        328        627  

(Loss) gain on change in fair value of derivative instruments

     (947      16,257        (17,204

Other expense

     —         (34      34  
  

 

 

    

 

 

    

 

 

 

Total non-operating income

     1,729        5,102        (3,373
  

 

 

    

 

 

    

 

 

 

Loss before income tax

     (63,101      (6,274      (56,827
  

 

 

    

 

 

    

 

 

 

Income tax provision

     1        1        —   
  

 

 

    

 

 

    

 

 

 

Net loss

   $ (63,102    $ (6,275    $ (56,827
  

 

 

    

 

 

    

 

 

 

Revenue

We generated no revenue during the year ended December 31, 2024 or 2023.

Research and Development Expenses

The following table summarizes our research and development expenses for the periods presented (in thousands):

 

     Year Ended December 31,  
     2024      2023      Change  

Direct research and development expenses

        

Clinical trial

   $ 42,369      $ 5,408      $ 36,961  

Formulation and CMC

     2,270        469        1,801  

Preclinical

     1,845        251        1,594  

Indirect and unallocated expenses

        

Personnel-related

     3,689        1,552        2,137  

Consulting and other

     998        165        833  
  

 

 

    

 

 

    

 

 

 

Total research and development expenses

   $ 51,171      $ 7,845      $ 43,326  
  

 

 

    

 

 

    

 

 

 

Research and development expenses were $51.2 million for the year ended December 31, 2024, compared to $7.8 million for the year ended December 31, 2023 . The increase of $43.4 million was primarily due to: (i) a $37.0 million increase in clinical trial expenses related to the conduct of our Phase 2 trial of LB-102 in the treatment of patients with acute schizophrenia, the majority of which took place in 2024; (ii) a $2.1 million

 

102


Table of Contents

increase in personnel-related expenses related to an increase in headcount; (iii) a $1.8 million increase in formulation and CMC expenses due to the scale-up and production of LB-102 to be used for clinical and preclinical development; and (iv) a $1.6 million increase in preclinical research expenses related to the continued clinical development of LB-102 for schizophrenia and other indications.

General and Administrative Expenses

General and administrative expenses were $13.7 million for the year ended December 31, 2024, compared to $3.5 million for the year ended December 31, 2023. The increase of $10.1 million was primarily due to: (i) a $3.2 million increase related to the write off of deferred offering costs; (ii) a $2.3 million increase in stock-based compensation primarily related to modifications of outstanding stock options of our former chief executive officer; (iii) a $1.3 million increase in personnel-related costs related to increased headcount (including the hiring of a chief executive officer and chief financial officer) and merit increases; (iv) a $0.8 million increase in termination benefits related to the resignation of our former chief executive officer; (v) a $0.7 million increase in consulting expenses primarily related to industry market research; (vi) a $0.6 million increase in accounting and audit expenses related to preparation of public company-compliant financial statements; and (vii) a $0.5 million increase in office and rent expense primarily related to relocation of our corporate office in the third quarter of 2024.

Non-operating Income (Expense)

Non-operating income was $1.7 million for the year ended December 31, 2024, compared to $5.1 million for the year ended December 31, 2023. The decrease of $3.4 million was primarily due to: (i) a $17.2 million decrease in the gain (loss) on change in fair value of derivative instruments, resulting from a loss on the change in fair value on warrant liabilities of $0.9 million during 2024 and a $16.3 million gain on the change in fair value of derivative liabilities during 2023; (ii) a $7.4 million loss on extinguishment of debt related to the conversion of the convertible notes to Series C preferred stock in August 2023; (iii) a $4.8 million decrease in interest expense related to the convertible notes converted to Series C preferred stock in August 2023; and (iv) a $1.5 million increase in interest income and realized gain related to the increased investment in marketable securities.

Comparison of the Six Months Ended June 30, 2025 and 2024

The following table summarizes our results of operations for the six months ended June 30, 2025 and 2024 (in thousands):

 

     (Unaudited)
Six Months Ended June 30,
 
     2025      2024      Change  

Operating expenses

        

Research and development

   $ 5,842      $ 40,131      $ (34,289

General and administrative

     5,446        3,077        2,369  
  

 

 

    

 

 

    

 

 

 

Total operating loss

     (11,288 )       (43,208 )       (31,920 ) 

Non-operating income (expense)

        

Interest income

     413        1,039        (626

Realized gain on sale of marketable securities, net

     119        90        29  

Gain (loss) on change in fair value of derivative instruments

     579        (1,771      2,350  
  

 

 

    

 

 

    

 

 

 

Total non-operating income

     1,111        (642 )       1,753  
  

 

 

    

 

 

    

 

 

 

Loss before income tax

     (10,177 )       (43,850 )       33,673  
  

 

 

    

 

 

    

 

 

 

Income tax provision

     —         —         —   
  

 

 

    

 

 

    

 

 

 

Net loss

   $ (10,177    $ (43,850 )     $ 33,673  
  

 

 

    

 

 

    

 

 

 

 

103


Table of Contents

Revenue

We generated no revenue during the six months ended June 30, 2025 or 2024.

Research and Development Expenses

The following table summarizes our research and development expenses for the periods presented (in thousands):

 

     (Unaudited)
Six Months Ended June 30,
 
     2025      2024      Change  

Direct research and development expenses

        

Clinical trial

   $ 487      $ 36,330      $ (35,843

Formulation and CMC

     1,673        917        756  

Preclinical

     117        722        (605

Indirect and unallocated expenses

        

Personnel-related

     2,317        1,861        456  

Consulting and other

     1,248        301        947  
  

 

 

    

 

 

    

 

 

 

Total research and development expenses

   $ 5,842      $ 40,131      $ (34,289 ) 
  

 

 

    

 

 

    

 

 

 

Research and development expenses were $5.8 million for the six months ended June 30, 2025, compared to $40.1 million for the six months ended June 30, 2024. The decrease of $34.3 million was primarily due to: (i) a $35.8 million decrease in clinical trial expenses related to the conduct of our Phase 2 trial of LB-102 in the treatment of patients with acute schizophrenia, the majority of which took place in 2024; and (ii) a $0.6 million decrease in preclinical research expenses related to the completion of preclinical studies in 2024, partially offset by (a) a $0.9 million increase in consulting and other expenses primarily due to engagement of regulatory and industry experts to analyze Phase 2 clinical trial results and planning for future clinical trials; (b) a $0.8 million increase in formulation and CMC expenses due to the scale-up and production of LB-102 to be used for clinical and preclinical development, and (c) a $0.5 million increase in personnel-related expenses primarily due to termination benefits related to the RIF in May 2025, as well as the hiring of the Senior Vice President of Technical Operations in February 2025.

General and Administrative Expenses

General and administrative expenses were $5.4 million for the six months ended June 30, 2025, compared to $3.1 million for the six months ended June 30, 2024. The increase of $2.3 million was primarily due to: (i) a $0.6 million increase in stock-based compensation primarily related to the grant of 5.1 million stock options to our Chief Executive Officer in November 2024; (ii) a $0.7 million increase in personnel-related costs primarily related to the hiring of our Chief Executive Officer in November 2024 and our Chief Business Officer in February 2025; (iii) a $0.4 million increase in termination benefits related to the RIF in May 2025; and (iv) a $0.3 million increase in market research expense to assess product marketability.

Non-operating Income (Expense)

Non-operating income was $1.1 million for the six months ended June 30, 2025, compared to $(0.6) million for the six months ended June 30, 2024. The increase of $1.7 million was primarily due to: a $2.3 million increase in the gain (loss) on change in fair value of derivative instruments, resulting from a gain on the change in fair value on warrant liabilities of $0.6 million during 2025 and a $1.7 million loss on the change in fair value of derivative liabilities during 2024, partially offset by a $0.6 million decrease in interest income related to the decreased investment in marketable securities and money market funds.

 

104


Table of Contents

Liquidity and Capital Resources

We have incurred net losses and negative cash flows from operations since our inception and anticipate we will continue to incur net losses for the foreseeable future. To date, we have funded our operations primarily with proceeds from issuances of our redeemable convertible preferred stock, common stock and convertible notes. Through June 30, 2025, our operations have been financed primarily by gross proceeds of $35.7 million from the issuance of convertible notes and $84.8 million from the sales of shares of redeemable convertible preferred stock. As of June 30, 2025 and December 31, 2024, we had cash and cash equivalents and marketable securities of $14.2 million and $28.0 million, respectively. Until required for use in our business, we typically invest our cash, in accordance with our investment policy, in money market funds and fixed income securities including U.S. treasury bills and government securities. We attempt to minimize credit risk related to our cash and cash equivalents and marketable securities by maintaining a well-diversified portfolio that limits the amount of exposure as to maturity and investment type.

Our primary use of cash has been to fund operating expenses, which consist of research and development and general and administrative expenditures. As we progress through the phases of development of LB-102 and any of our future product candidates, we anticipate that we will incur increasing losses in future quarters and years compared to historical periods.

Cash Flows

The following table sets forth a summary of the net cash flow activity for the years ended December 31, 2024 and 2023 and the six months ended June 30, 2025 and 2024 (in thousands):

 

     Year Ended December 31,      (Unaudited)
Six Months Ended June 30,
 
     2024      2023      2025      2024  

Net cash used in operating activities

   $ (53,052    $ (12,094    $ (13,732    $ (25,350

Net cash provided by (used in) investing activities

     23,234        (28,010      4,989        (19,178

Net cash provided by financing activities

     38,315        33,679        —         38,295  
  

 

 

    

 

 

    

 

 

    

 

 

 

Net increase (decrease) in cash, cash equivalents and restricted cash

   $ 8,497      $ (6,425    $ (8,743    $ (6,233
  

 

 

    

 

 

    

 

 

    

 

 

 

Operating Activities

Cash used in operating activities for the six months ended June 30, 2025 was $13.7 million, consisting of net loss of $10.2 million adjusted for non-cash items, including $0.6 million related to gain from the change in the fair value of the warrant liabilities, partially offset by a $1.0 million charge for stock-based compensation expense. Additionally, we had outflows of $4.0 million due to a change in our net operating assets and liabilities from the year ended December 31, 2024, including a $4.4 million decrease in accounts payable and accrued expense primarily related to timing of payments and clinical trial expenses, partially offset by a $0.3 million decrease in prepaid expenses primarily related to decreased payments to our CRO due to the completion of the Phase 2 acute schizophrenia trial.

Cash used in operating activities for the six months ended June 30, 2024 was $25.4 million, consisting of net loss of $43.9 million partially offset by non-cash items, including (i) the change in fair value of the warrant liabilities of $1.8 million, (ii) stock-based compensation expense of $0.3 million, and (iii) amortization of premiums on investments of $0.2 million. Additionally, we had inflows of $16.2 million due to a change in our net operating assets and liabilities from the year ended December 31, 2023, including a $18.2 million increase in

 

105


Table of Contents

accounts payable and accrued expense primarily related to timing of payments and clinical trial expenses, partially offset by a $1.9 million increase in prepaid expenses primarily related to advance payments to our CRO for the Phase 2 acute schizophrenia trial.

Cash used in operating activities for the year ended December 31, 2024 was $53.1 million, consisting of net loss of $ 63.1 million adjusted for non-cash items, including the realized gain on marketable securities of $1.0 million, partially offset by non-cash items, including: (i) stock-based compensation expense of $3.1 million; (ii) write off of deferred offering costs of $3.2 million; (iii) change in fair value of the warrant derivative liabilities of $0.9 million; and (iv) lease expense of $0.3 million related to the lease agreement executed in May 2024. Additionally, we had inflows of $3.3 million due to a change in our net operating assets and liabilities from the year ended December 31, 2023, including a $5.0 million increase in accounts payable and accrued expense related to timing of payments, clinical trial expenses and compensation and termination expenses, partially offset by a $1.7 million increase in prepaid expenses primarily related to advance payments to our CRO.

Cash used in operating activities for the year ended December 31, 2023 was $12.1 million, consisting of net loss of $6.3 million and non-cash items, including the change in fair value of conversion feature and warrant derivative liabilities of $16.3 million and realized gain on marketable securities of $0.3 million, partially offset by non-cash items including: (i) loss on extinguishment of debt of $7.4 million related to the conversion of the convertible notes in August 2023; (ii) amortization of deferred financing fees related to the convertible notes of $3.9 million; (iii) amortization of premiums on investments, net of $0.4 million; and (iv) stock-based compensation expense of $0.3 million. Additionally, we had outflows of $1.3 million due to a change in our net operating assets and liabilities from the year ended December 31, 2022, including a $2.2 million increase in prepaid expenses primarily related to advance payments to our CRO and a $0.2 million increase in accrued interest on marketable securities, partially offset by a $1.1 million increase in accounts payable and accrued expenses related to timing of payments and clinical trial expenses.

Investing Activities

Cash provided by investing activities for the six months ended June 30, 2025 was $5.0 million primarily related to proceeds from the sales and maturities of marketable securities.

Cash used in investing activities for the six months ended June 30, 2024 was $19.2 million primarily related to $29.7 million for the purchase of marketable securities to invest our excess cash, partially offset by $10.7 million in maturities of marketable securities.

Cash provided by investing activities for the year ended December 31, 2024 was $23.2 million primarily related to proceeds from the sales and maturities of marketable securities, partially offset by the purchase of marketable securities to invest our excess cash.

Cash used in investing activities for the year ended December 31, 2023 was $28.0 million related to the purchase of marketable securities to invest our excess cash, partially offset by maturities of marketable securities.

Financing Activities

Cash provided by financing activities for the six months ended June 30, 2024 was $38.3 million primarily related to the proceeds from the issuance of redeemable convertible Series C preferred stock, net of issuance costs.

Cash provided by financing activities for the year ended December 31, 2024 was $38.3 million primarily related to the proceeds from the issuance of redeemable convertible Series C preferred stock, net of issuance costs.

 

106


Table of Contents

Cash provided by financing activities for the year ended December 31, 2023 was $33.7 million related to $33.0 million in proceeds from the issuance of redeemable convertible Series C preferred stock, net of issuance costs, and $0.6 million in proceeds from the issuance of convertible notes, net of issuance costs.

Future Funding Requirements

We expect our expenses to increase substantially in connection with our ongoing activities, in particular as we continue to advance LB-102 and any of our future product candidates through clinical trials. In addition, upon the completion of this offering, we expect to incur additional costs associated with operating as a public company.

As of June 30, 2025, we had cash and cash equivalents of $14.2 million. Based on our current plans, we believe that our existing cash and cash equivalents and marketable securities, together with the net proceeds from this offering, will be sufficient to meet our anticipated operating and capital expenditure requirements through the first quarter of 2028.

We have based this estimate on assumptions that may prove to be wrong, and we could utilize our available capital resources sooner than we currently expect. Because of the numerous risks and uncertainties associated with research, development, and commercialization of pharmaceutical product candidates, we are unable to estimate the exact amount of our working capital requirements. Our future funding requirements will depend on and could increase significantly as a result of many factors, including:

 

   

the scope, progress, results, and costs of researching and developing LB-102 for our current and future indications, as well as other product candidates we may develop;

 

   

the timing of, and the costs involved in, obtaining marketing approvals for LB-102 for our current and future indications, as well as future product candidates we may develop and pursue;

 

   

the number of future indications and product candidates that we pursue and their development requirements;

 

   

if approved, the costs of commercialization activities for LB-102 for the treatment of acute schizophrenia, bipolar depression or any other approved indication, or any other product candidate that receives regulatory approval to the extent such costs are not the responsibility of any future collaborators, including the costs and timing of establishing product sales, marketing, distribution, and manufacturing capabilities;

 

   

subject to receipt of regulatory approval, revenue, if any, received from commercial sales of LB-102 for any program or revenues received from any future product candidates;

 

   

the extent to which we in-license or acquire rights to other products, product candidates, or technologies;

 

   

our headcount growth and associated costs as we expand our organization to achieve our objectives;

 

   

the costs of preparing, filing, and prosecuting patent applications, and maintaining and protecting our intellectual property rights, including enforcing and defending intellectual property related claims; and

 

   

the costs of operating as a public company.

A change in the outcome of any of these or other variables with respect to the development of any of our product candidates could significantly change the costs and timing associated with the development of that product candidate. Further, our operating plans may change in the future, and we may need additional funds to meet operational needs and capital requirements associated with such operating plans.

Until such time, if ever, as we can generate substantial product revenue, we expect to finance our operations through a combination of equity financings, debt financings, collaborations with other companies or other strategic transactions. We do not currently have any committed external source of funds. To the extent that we

 

107


Table of Contents

raise additional capital through the sale of equity or convertible debt securities, your ownership interest will be diluted, and the terms of these securities may include liquidation or other preferences that adversely affect your rights as a common stockholder. Debt financing and preferred equity financing, if available, may involve agreements that include covenants limiting or restricting our ability to take specific actions, such as incurring additional debt, making acquisitions or capital expenditures, or declaring dividends. If we raise additional funds through collaborations, strategic alliances, or marketing, distribution, or licensing arrangements with third parties, we may have to relinquish valuable rights to our technologies, future revenue streams, research programs, or product candidates or grant licenses on terms that may not be favorable to us. If we are unable to raise additional funds through equity or debt financings or other arrangements when needed, we may be required to delay, limit, reduce, or terminate our research, product development or future commercialization efforts or grant rights to develop and market product candidates that we would otherwise prefer to develop and market ourselves.

Further, our operating plans may change, and we may need additional funds to meet operational needs and capital requirements for clinical trials and other research and development activities. We currently have no credit facility or committed sources of capital. Because of the numerous risks and uncertainties associated with the development and commercialization of our product candidates, we are unable to estimate the amounts of increased capital outlays and operating expenditures associated with our current and anticipated product development programs.

Contractual Obligations and Commitments

Leases

In June 2018, we entered into an operating lease agreement for office space in New York, New York. The lease agreement was month-to-month and could be terminated by either party with three months’ written notice. We terminated the lease effective as of September 30, 2024.

In May 2024, we entered into a new lease agreement for office space in New York, New York totaling approximately 8,900 square feet. The term of this lease commenced on June 21, 2024, which is the date we took control over the leased premises. The lease term continues through March 2032. See Note 7 to our audited financial statements for more information regarding such leases.

Funding Commitments

We enter into contracts in the normal course of business with CROs, CDMOs, and other third parties for clinical trials, preclinical research studies, and testing and manufacturing services. These contracts are cancelable by us upon prior written notice. Payments due upon cancellation consist only of payments for services provided or expenses incurred, including noncancelable obligations of our service providers, up to the date of cancellation. These payments are not included in the preceding table as the amount and timing of such payments are not known.

In September 2023, we entered into a work order with a third-party CRO to provide services with respect to our Phase 2 trial of LB-102 in acute schizophrenia. Minimum advances will be kept by the CRO throughout the duration of the clinical trial.

Recently Issued Accounting Pronouncements

A description of recently issued accounting pronouncements that may potentially impact our financial position, results of operations, or cash flows is disclosed in Note 2 of our audited financial statements included elsewhere in this prospectus.

 

108


Table of Contents

Critical Accounting Estimates

This management’s discussion and analysis of our financial condition and results of operations is based on our financial statements, which have been prepared in accordance with GAAP. The preparation of these financial statements requires us to make estimates and judgments that affect the reported amounts of assets, liabilities, and expenses and the disclosure of contingent assets and liabilities in our financial statements. In accordance with GAAP, we evaluate our estimates and judgments on an ongoing basis, including those related to accrued research and development expenses, preferred stock warrant liabilities, and stock-based compensation. We base our estimates on historical experience, known trends and events, and various other factors that are believed to be reasonable under the circumstances, the results of which form the basis for making judgments about the carrying values of assets and liabilities that are not readily apparent from other sources. Actual results may differ from these estimates under different assumptions or conditions.

We define our critical accounting estimates as those that require us to make subjective estimates and judgments about matters that are uncertain and are likely to have a material impact on our financial condition and results of operations. While our significant accounting policies are more fully described in Note 2 to our audited financial statements appearing elsewhere in this prospectus, we believe the following are the critical accounting policies used in the preparation of our financial statements that require significant estimates and judgments.

Accrued Research and Development Expenses

As part of the process of preparing our financial statements, we are required to estimate our accrued research and development expenses as of each balance sheet date. This process involves reviewing open contracts and purchase orders, including our site contracts for sites that are participating in our ongoing clinical trials, communicating with our personnel to identify services that have been performed on our behalf, and estimating the level of service performed and the associated cost incurred for the service when we have not yet been invoiced or otherwise notified of the actual cost. The majority of our service providers invoice us monthly in arrears for services performed or when contractual milestones are met. We make estimates of our accrued expenses as of each balance sheet date based on facts and circumstances known to us at that time. We periodically confirm the accuracy of our estimates with the service providers and make adjustments if necessary.

We base our expenses related to research and development activities on our estimates of the services received and efforts expended pursuant to quotes and contracts with vendors that conduct research and development on our behalf. The financial terms of these agreements are subject to negotiation, vary from contract to contract, and may result in uneven payment flows. There may be instances in which payments made to our vendors will exceed the level of services provided and result in a prepayment of the research and development expense. In accruing service fees, we estimate the time period over which services will be performed and the level of effort to be expended in each period. If the actual timing of the performance of services or the level of effort varies from our estimate, we adjust the accrual or prepaid balance accordingly. Non-refundable advance payments for goods and services that will be used in future research and development activities are expensed when the activity has been performed or when the goods have been received rather than when the payment is made.

Although we do not expect our estimates to be materially different from amounts incurred, if our estimates of the status and timing of services performed differ from the actual status and timing of services performed, it could result in us reporting amounts that are too high or too low in any particular period.

Costs incurred in obtaining technology licenses through asset acquisitions or in-licensing arrangements are charged to research and development expense if the acquired technology has not reached technological feasibility and has no alternative future use.

 

109


Table of Contents

Stock-Based Compensation

We account for our stock-based compensation awards in accordance with the Financial Accounting Standards Board, or FASB, Accounting Standards Codification, or ASC, Topic 718, Compensation—Stock Compensation, or ASC Topic 718. We have issued stock-based compensation awards including stock options and restricted stock awards and we also account for certain issuances of warrants in accordance with ASC Topic 718.

We measure the cost of employee, nonemployee, and director services received in exchange for an award of equity instruments based on the fair value of the award on the date of grant and recognize the related expense over the period during which the employee, nonemployee or director is required to provide service in exchange for the award on a straight-line basis.

We estimate the fair value of each award on the date of grant using the Black-Scholes option-pricing model. This model requires the use of highly subject assumptions to determine the fair value of each stock-based award, including:

 

   

Fair value of common stock. See “—Determination of the Fair Value of Common Stock” below.

 

   

Expected term. The expected term represents the period that the stock-based awards are expected to be outstanding. The expected term for our stock options was calculated based on the weighted-average vesting term of the awards and the contract period, or simplified method.

 

   

Expected volatility. Since we are not yet a public company and do not have any trading history for our common stock, the expected volatility was estimated based on the average historical volatilities of common stock of comparable publicly traded entities over a period equal to the expected term of the stock option grants. The comparable companies were chosen based on their size, stage of their life cycle, or area of specialty. We will continue to apply this process until enough historical information regarding the volatility of our stock price becomes available.

 

   

Risk-free interest rate. The risk-free interest rate is based on a treasury instrument whose term is consistent with the expected term of the stock options.

 

   

Expected dividend yield. We have never paid dividends on our common stock and have no plans to pay dividends on our common stock. Therefore, we used an expected dividend yield of zero.

Changes in the foregoing assumptions can materially affect the fair value and ultimately how much stock-based compensation expense is recognized. These inputs are subjective and generally require significant analysis and judgment to develop.

Determination of the Fair Value of Common Stock

There are significant judgments and estimates inherent in the determination of the fair value of our common stock. These estimates and assumptions include a number of objective and subjective factors, including external market conditions, the prices at which we sold shares of our redeemable convertible preferred stock, the superior rights and preferences of securities senior to our common stock at the time of, and the likelihood of, achieving a liquidity event, such as an IPO or sale of us.

As there has been no public market for our common stock prior to this offering, the estimated fair value of our common stock underlying our stock-based awards has been determined by our board of directors as of each option grant date with input from management, considering our most recently available third-party valuations of common stock and our board of directors’ assessment of additional objective and subjective factors that it believed were relevant and which may have changed from the date of the most recent valuation through the date of the grant.

These third-party valuations were performed in accordance with the guidance outlined in the American Institute of Certified Public Accountants’ Accounting and Valuation Guide, Valuation of Privately-Held-Company Equity Securities Issued as Compensation, or the Practice Aid. In accordance with Practice Aid, we

 

110


Table of Contents

currently use a hybrid method, which is a hybrid between the option pricing method, or OPM, and the probability-weighted expected return method, or PWERM. The OPM treats common securities and preferred securities as call options on our total equity value, with exercise prices based on the value thresholds at which the allocation among the various holders of our securities changes. Under this method, the common stock has value only if the funds available for distribution to members are expected to exceed the value of the preferred security liquidation preference at the time of the liquidity event, such as a strategic sale or a merger. The PWERM employs additional information not used in the OPM, including various market approach calculations depending upon the likelihood of various discrete future liquidity scenarios, such as an initial public offering or sale of our company, as well as the probability of remaining a private company. In a hybrid method, various exit scenarios are analyzed. A discount for lack of marketability of our common stock is then applied to arrive at an indication of value for the common stock.

We performed common stock valuations, with the assistance of an independent third-party valuation specialist, as of June 30, 2025, March 31, 2025, December 31, 2024, September 30, 2024, June 30, 2024, March 31, 2024, December 31, 2023 and August 29, 2023, which resulted in valuations of our common stock of $28.45, $22.03, $35.14, $31.23, $49.64, $41.83, $23.15, and $21.19, per share, respectively. In conducting the valuations, the independent third-party valuation specialist considered all objective and subjective factors that it believed to be relevant for each valuation conducted in accordance with the Practice Aid, including our best estimate of our business condition, prospects, and operating performance at each valuation date. Other significant factors included:

 

   

the prices of our redeemable convertible preferred stock sold to outside investors in arm’s length transactions, and the rights, preferences and privileges of our preferred stock as compared to those of our common stock, including the liquidation preferences of our preferred stock;

 

   

the progress of our research and development programs, including the status of preclinical studies and clinical trials for LB-102;

 

   

the valuation of publicly traded companies in the life sciences and biotechnology sectors, as well as recently completed mergers and acquisitions of guideline companies;

 

   

our results of operations, including cash on hand, and our historical and forecasted performance and operating results;

 

   

the lack of liquidity of our common stock and redeemable convertible preferred stock;

 

   

any external market conditions affecting the life sciences and biotechnology industry sectors;

 

   

the likelihood of achieving a liquidity event for the holders of our common stock and stock options, such as an IPO or a sale of our company, given prevailing market conditions; and

 

   

the state of the IPO market for similarly situated privately held life sciences companies.

The dates of our contemporaneous valuations have not always coincided with the dates of our stock option grants. In determining the exercise prices of the stock options, our board of directors considered, among other things, the most recent valuation of our common stock and their assessment of additional objective and subjective factors that were relevant as of the grant dates. The additional factors considered when determining whether any changes in the fair value of our common stock had occurred between the most recent valuation and the grant dates included our stage of research and development, our operating and financial performance, and current business conditions.

The estimates of fair value of our common stock are highly complex and subjective. There are significant judgments and estimates inherent in the determination of the fair value of our common stock. These judgments and estimates include assumptions regarding our future operating performance, the time to completing an IPO or other liquidity event, the related valuations associated with these events, and the determinations of the appropriate valuation methods at each valuation date. The assumptions underlying these valuations represent

 

111


Table of Contents

management’s best estimates, which involve inherent uncertainties and the application of management judgment. If we had made different assumptions, our stock-based compensation expense, net loss, and net loss per share applicable to common stockholders could have been materially different.

For valuations after the completion of this offering, our board of directors will determine the fair value of each share of underlying common stock based on the closing price of our common stock as reported on the Nasdaq Global Market on the date of grant.

Warrants

We review the terms of debt instruments, equity instruments, and other financing arrangements to determine whether there are embedded derivative features, including embedded conversion options that are required to be bifurcated and accounted for separately as a derivative financial instrument. Additionally, in connection with the issuance of financing instruments, we may issue freestanding warrants.

We account for warrants as either equity-classified or liability-classified instruments based on an assessment of the warrant’s specific terms and applicable authoritative guidance in FASB ASC Topic 480, Distinguishing Liabilities from Equity, or ASC Topic 480, and FASB ASC Topic 815, Derivatives and Hedging, or ASC Topic 815. The assessment considers whether the warrants are freestanding financial instruments pursuant to ASC Topic 480, meet the definition of a liability pursuant to ASC Topic 480, and whether the warrants meet all of the requirements for equity classification under ASC Topic 815, including whether the warrants are indexed to our own stock and whether the warrant holders could potentially require “net cash settlement” in a circumstance outside of our control, among other conditions for equity classification. This assessment, which requires the use of professional judgment, is conducted at the time of warrant issuance and as of each subsequent quarterly period end date while the warrants are outstanding.

For warrants that meet all criteria for equity classification, the warrants are recorded as a component of additional paid-in capital, on the statement of stockholders’ deficit at the time of issuance. For warrants that do not meet all the criteria for equity classification, the warrants are required to be recorded at their initial fair value on the date of issuance, and on each balance sheet date thereafter. Changes in the estimated fair value of the warrants are recognized as a non-cash gain or loss in other expense, net, on the statements of operations. The fair value of the warrants was estimated using the Black-Scholes option pricing model, which requires the use of highly subjective and unobservable assumptions to determine the fair value of the warrants, including the fair value of common stock, expected term, expected volatility, risk-free interest rate and expected dividend yield.

Option Repricing

In September 2025, our board of directors approved the repricing of stock options previously granted to current executive officers, employees and directors with per-share exercise prices above the initial price per share to the public in this offering, or the Option Repricing. Assuming an initial price per share to the public in this offering of $15.00 per share, which is the midpoint of the price range set forth on the cover page of the prospectus, (i) upon the execution of the underwriting agreement related to this offering, stock options to purchase approximately 406,998 shares of our common stock will be automatically repriced to an exercise price per share equal to the initial price per share to the public in this offering and (ii) we would incur additional compensation expense of approximately $1.7 million in the aggregate, recognized over the remaining service period of the affected options, or through 2029.

The actual amount of total additional compensation expense resulting from the Option Repricing will be determined at the pricing of this offering by comparing the estimated fair market value of the stock options, using the Black-Scholes option-pricing model, immediately before and immediately after the Option Repricing. The estimate of total additional compensation expense set forth above is subject to the actual initial price per share to the public in this offering as well as other assumptions used by the Black-Scholes option-pricing model, including expected volatility and the risk-free interest rate.

 

112


Table of Contents

In addition, on the effective date of the registration statement of which this prospectus forms a part, assuming we issue 16,666,667 shares in connection with this offering at an assumed price of $15.00 per share, we will issue to our current executive officers, employees and directors stock options to purchase an aggregate of 1,618,452 shares of our common stock under the 2025 Plan, subject to continued service through such grant date. Based on an assumed exercise price of $15.00 per share, which is the midpoint of the estimated price range set forth on the cover page of this prospectus, we estimate that the aggregate grant-date fair value of the options to be granted in connection with this offering is $12.7 million, which is expected to be recognized as stock-based compensation expense over a period of four years.

Emerging Growth Company and Smaller Reporting Company Status

We are an “emerging growth company” as defined in the JOBS Act, and we may remain an emerging growth company for up to five years following the completion of this offering. For so long as we remain an emerging growth company, we are permitted and intend to rely on certain exemptions from various public company reporting requirements, including not being required to have our internal control over financial reporting audited by our independent registered public accounting firm pursuant to Section 404(b) of the Sarbanes-Oxley Act, reduced disclosure obligations regarding executive compensation in our periodic reports and proxy statements, and exemptions from the requirements of holding a nonbinding advisory vote on executive compensation and any golden parachute payments not previously approved. In particular, in this prospectus, we have provided only two years of audited financial statements and have not included all of the executive compensation-related information that would be required if we were not an emerging growth company. Accordingly, the information contained herein may be different than the information you receive from other public companies in which you hold stock.

In addition, the JOBS Act provides that an emerging growth company can take advantage of an extended transition period for complying with new or revised accounting standards. This provision allows an emerging growth company to delay the adoption of some accounting standards until those standards would otherwise apply to private companies. We have elected to take advantage of the benefits of this extended transition period, and therefore, we are not subject to the same requirements to adopt new or revised accounting standards as other public companies that are not emerging growth companies; however, we may adopt certain new or revised accounting standards early. We will remain an “emerging growth company” until the earliest to occur of: (i) the last day of the fiscal year in which we have $1.235 billion or more in annual revenue; (ii) the date on which we first qualify as a large accelerated filer under the rules of the SEC; (iii) the date on which we have, in any prior three-year period issued more than $1.0 billion in non-convertible debt securities; and (iv) the last day of the fiscal year following the fifth anniversary of the consummation of this offering.

We are also a “smaller reporting company” as defined in the Exchange Act. We may continue to be a smaller reporting company even after we are no longer an emerging growth company. We may take advantage of certain of the scaled disclosures available to smaller reporting companies and will be able to take advantage of these scaled disclosures for so long as our voting and non-voting common stock held by non-affiliates is less than $250.0 million measured on the last business day of our second fiscal quarter, or our annual revenue is less than $100.0 million during the most recently completed fiscal year and our voting and non-voting common stock held by non-affiliates is less than $700.0 million measured on the last business day of our second fiscal quarter.

Internal Control Over Financial Reporting

In preparation for our initial public offering, we did not appropriately design and maintain entity-level controls impacting the control environment, risk assessment, control activities, information and communication and monitoring activities to prevent or detect material misstatements to the financial statements. These material weaknesses related to: (i) an insufficient number of qualified resources to ensure adequate oversight and accountability over the performance of controls, including proper segregation of duties; controls over the completeness and accuracy of information used in the operation of control activities across substantially all

 

113


Table of Contents

financial statement areas; management review controls at a sufficient level of precision to detect a material misstatement across substantially all financial statement areas that involve complex and judgmental areas of accounting and disclosure; and retention of control evidence, and (ii ) improper access and a lack of review over user access and user provisioning as it relates to our information technology environment and general controls over information systems that support the financial reporting process. A material weakness is a deficiency, or combination of deficiencies, in internal control over financial reporting, such that there is a reasonable possibility that a material misstatement of our annual or interim financial statements will not be prevented or detected and corrected on a timely basis.

We are in the process of implementing our remediation plans with respect to the material weaknesses. We will continue to increase the number of resources (internal or third-party) dedicated to our accounting and finance team, including personnel with additional knowledge, experience, and training, to ensure we have adequate staff, to segregate key duties, and to comply with company policies and procedures. We have engaged a third-party provider to assist in designing and implementing internal control activities, including over information technology.

The process of designing and implementing an effective accounting and financial reporting system is a continuous effort that requires us to anticipate and react to changes in our business and the economic and regulatory environments and to expend significant resources to maintain an accounting and financial reporting system that is adequate to satisfy our reporting obligations. As we continue to evaluate and take actions to improve our internal control over financial reporting, we may determine to take additional actions to address control deficiencies or determine to modify certain of the remediation measures described above. We cannot assure you that the measures we have taken to date, or any measures we may take in the future, will be sufficient to remediate the material weaknesses we have identified or avoid potential future material weaknesses.

Quantitative and Qualitative Disclosures about Market Risk

We are a smaller reporting company as defined by Rule 12b-2 of the Exchange Act and are not required to provide the information required under this item.

 

114


Table of Contents

BUSINESS

Overview

We are a clinical-stage biopharmaceutical company developing novel therapies for the treatment of schizophrenia, bipolar depression, and other neuropsychiatric diseases. We are building a pipeline that leverages the broad therapeutic potential of our lead product candidate, LB-102, which we believe has the potential to be the first benzamide antipsychotic drug approved for neuropsychiatric disorders in the United States. LB-102 is a new chemical entity and a methylated derivative of amisulpride, a second-generation antipsychotic drug approved in over 50 countries, not including the United States, because the development and regulatory requirements of the U.S. Food and Drug Administration, or FDA, for amisulpride were incompatible with patent coverage on the drug. Amisulpride is a generic drug that has been extensively used in clinical practice following its initial approval in France in the 1980s, generating at least two million monthly prescriptions in 2023 in a subset of 16 continental European countries. Among these European prescriptions for amisulpride, our data suggest that approximately 60% are for schizophrenia and schizoaffective disorders, approximately 20% are for mood disorders, approximately 14% are for anxiety, and the remainder are for a variety of other indications. We developed LB-102 in order to address the limitations of amisulpride with a differentiated therapeutic profile and strong intellectual property protection. We believe LB-102’s mechanism of action, data from our recently completed Phase 2 trial of LB-102 in acute schizophrenia, and the legacy of clinical experience with amisulpride support the continued development of LB-102 in schizophrenia and bipolar depression. If successful in treating bipolar depression, we may also develop LB-102 in the treatment of major depressive disorder, or MDD. In the future, we may also develop LB-102 for the treatment of other neuropsychiatric disorders, including schizophrenia with predominantly negative symptoms, Alzheimer’s disease-related agitation and psychosis, manic episodes associated with bipolar disorder, and cognitive impairment associated with schizophrenia, or CIAS. We believe that LB-102, if approved, can become a mainstay of psychiatric practice by offering a potentially attractive alternative to branded and generic therapeutics for the treatment of schizophrenia, bipolar depression, and other neuropsychiatric diseases.

Our product candidate, LB-102, is a Phase 3-ready oral, small molecule for the treatment of acute schizophrenia, defined as a sudden and severe episode of psychotic symptoms, characterized by hallucinations, delusions, and other positive symptoms. Schizophrenia is a chronic, severe, complex, and debilitating psychiatric disorder that affects approximately 1% of the U.S. population and is a leading cause of disability. Symptoms are divided into three categories: (i) psychotic or positive symptoms, which include delusions, hallucinations, thought disorder, and movement disorder; (ii) negative symptoms, which include lack of motivation, interest, or enjoyment in daily activities, withdrawal from social life, and difficulty showing emotions; and (iii) cognitive symptoms, which encompass problems with attention, concentration, and memory. The disease is associated with increased mortality, with approximately 5% of schizophrenia patients dying by suicide, and average overall life expectancy decreasing by as much as 29 years compared to the general population. There is currently no cure for schizophrenia, which means the disease must be managed with life-long therapy, increasing the importance of therapies that can improve compliance rates and dosing challenges.

In January 2025, we announced positive data from our four-week placebo-controlled, double-blinded, Phase 2 trial in the United States, which assessed the safety and efficacy of LB-102 in patients with acute schizophrenia. Results from the trial demonstrated (i) statistically significant clinical activity at all LB-102 doses tested; (ii) a significant average change in overall symptoms (effect size); (iii) a potentially class-leading tolerability profile among D2/D3 antagonists and partial agonists; and (iv) a potentially differentiated impact on cognition as measured by CogState Computerized Schizophrenia Battery of Tests. The trial achieved its primary endpoint of change in the Positive and Negative Syndrome Scale, or PANSS, a 30-item scale that measures the severity of schizophrenia symptoms, from baseline to Week 4. A statistically significant decrease in symptoms was observed for all three dose cohorts (50 mg, 75 mg, and 100 mg) compared to placebo. Additionally, our Phase 2 trial data showed a statistically significant impact on negative symptoms versus placebo at the 50 mg dose even though the inclusion criteria enriched for patients experiencing predominantly positive symptoms of schizophrenia. An exploratory post-hoc analysis of our Phase 2 data on the treatment effect in patients with

 

115


Table of Contents

negative symptoms at baseline (i.e., those patients with a PANSS Negative Subscore greater than or equal to 24) yielded similar results with a statistically significant impact on negative symptoms versus placebo at the 50 mg dose. LB-102 was generally well tolerated in the clinical trial, with adverse events being mostly transient and mild to moderate in severity. If replicated in our planned Phase 3 trial, we believe this tolerability profile has the potential to be class-leading among D2/D3 antagonists and partial agonists specifically with respect to the rate of sedation and extrapyramidal symptoms, or EPS, a group of movement disorders including involuntary movements, muscle stiffness, and tremors, that, together with sedation, are quite burdensome to patients and can result in discontinuation of treatments. The impact of LB-102 on cognitive function was also evaluated as an exploratory endpoint in this trial. After four weeks of treatment with LB-102, a robust, dose-dependent, and significant treatment effect size was identified in a post-hoc analysis in the completer population for all doses of LB-102 compared with placebo.

We designed our Phase 2 acute schizophrenia trial to be potentially registrational by including a large sample size (n=359), robust statistical analyses, as well as numerous sensitivity analyses. Based on positive end-of-Phase 2 feedback from the FDA, as well as historical precedent, we believe that our Phase 2 acute schizophrenia trial may serve as one of the two pivotal trials required for approval of a new drug application, or NDA, in the United States. As a result, we believe there is a viable path to approval of LB-102 in the United States for the treatment of schizophrenia with a single, six-week Phase 3 trial alongside other planned NDA-enabling studies. However, there is no guarantee that our Phase 2 trial may serve as one of the two pivotal trials required for FDA approval, and in such case, we may be required to conduct an additional pivotal trial in acute schizophrenia. The adequacy of our Phase 2 trial to support registration will be a matter of review by the FDA at the time of NDA submission and will depend on the totality of the data included in our submission, including the results of our planned Phase 3 trial. We are planning to initiate a six-week Phase 3 trial of LB-102 in acute schizophrenia patients in the first quarter of 2026, which we believe, if positive, could be sufficient to support a regulatory application for approval in the United States along with our completed Phase 2 trial and other planned NDA-enabling studies. The Phase 3 trial is anticipated to be a three-arm, inpatient, double-blinded, placebo-controlled, oral once-daily dose of LB-102 in patients with acute schizophrenia, with a six-week treatment duration. We plan to study the effects of 50 mg LB-102 or 100 mg LB-102 versus placebo in this trial, and patients will be randomized in a 1:1:1 ratio across the three arms of the trial. The sample size will be approximately 400 patients, and we plan to conduct this trial at approximately 25 sites entirely in the United States. The primary endpoint of the trial is anticipated to be change from baseline in PANSS at Day 42. We expect to disclose topline data from this Phase 3 trial in the second half of 2027 and, if positive, meet with the FDA in the first quarter of 2028 to discuss the potential for submission of an NDA.

In addition to our clinical development program in schizophrenia, we plan to leverage our expertise in neuropsychiatry and the unique mechanism of action of LB-102 to develop our product candidate in other indications, starting with bipolar depression. Most people living with bipolar depression experience dramatic shifts in mood, energy, and behavior, alternating between manic and depressive states. It is estimated that 2.8%, or approximately seven million Americans, experience bipolar disorder in a year, and approximately 40 million people live with bipolar disorder worldwide. Our initial Phase 2 trial will explore the utility of LB-102 in controlling the depressive symptoms of the disease. We plan to initiate this potentially registrational Phase 2 trial in bipolar depression in the first quarter of 2026, with topline data expected in the first quarter of 2028.

We believe LB-102’s strong antagonism of the D2, D3, and 5HT7 receptors makes it well suited for treating bipolar depression, providing potential to control psychosis and mania through its effects on D2 and potential for antidepressive and pro-cognitive effects through its antagonism of 5HT7 and D3. Our Phase 2 trial of LB-102 in acute schizophrenia demonstrated strong antipsychotic activity and suggests opportunities for potential differentiation in bipolar depression given the observed tolerability profile (low rates of EPS, sedation, and gastrointestinal side effects) and positive impact on cognition. Amisulpride is approved for the treatment of dysthymia, a form of depression, in certain countries outside of the United States and has been shown to be as effective as certain approved agents for MDD and dysthymia. We believe that results in dysthymia and MDD provide strong scientific and clinical rationale for development of LB-102 in the treatment of depressive episodes

 

116


Table of Contents

associated with bipolar disorder or bipolar depression because episodes of major depression, whether unipolar (as in MDD) or bipolar (as in bipolar depression), are typically characterized by a similar imbalance in the neurotransmitters serotonin, noradrenaline, and dopamine, regardless of the underlying pathophysiology of the disease. There is wide use of amisulpride in bipolar disorder with approximately 3.4% of at least two million monthly prescriptions written for this indication in a select group of European countries including Germany, France, Italy, Spain, and several others. A non-racemic form of amisulpride also showed antidepressant activity in two independent third-party, placebo-controlled bipolar depression trials with an approximately 17- to 18-point reduction in Montgomery–Åsberg Depression Rating Scale, or MADRS, from baseline observed across these studies. Additionally, among the four antipsychotics approved for schizophrenia and MDD or treatment resistant depression that were also studied in late-stage bipolar depression trials (quetiapine, cariprazine, aripiprazole, and olanzapine), three out of four, or 75%, generated positive data for the treatment of bipolar depression. Our planned Phase 2 trial for bipolar depression will utilize a fixed-flexible dose of LB-102. This trial design allows us to evaluate two doses of LB-102 in the trial, thereby increasing the chances for a patient to derive clinical benefit from treatment with LB-102, while retaining the advantages of a two-arm trial, which is known to mitigate the risk of a high placebo rate. Additionally, flexible dose trials typically have better signal detection than fixed dose trials for depression, as flexible dose trials lower the magnitude of symptom reduction with placebo. We believe LB-102 has the potential to provide improved tolerability and clinical activity in bipolar depression compared to currently available treatments worldwide, which are associated with troubling adverse events and insufficient efficacy for certain symptoms, including cognitive impairment associated with the disease.

We are also developing a long-acting injectable, or LAI, formulation of LB-102, which may improve compliance, a common issue in patients with schizophrenia and bipolar disorder. We believe an effective LAI form of LB-102 has the potential to benefit patients worldwide, as relatively few approved agents are available as long-acting formulations and there are no benzamide class LAIs currently available or in development worldwide. The American Psychiatric Association recommends injectable formulations in circumstances where doing so will improve adherence, decrease mortality, reduce hospitalization risk, and decrease treatment discontinuation rates. We have commenced LAI formulation development and expect to continue these efforts in 2026.

The U.S. market for branded antipsychotic drugs was approximately $12 billion as of 2024. Despite the widespread use of generic antipsychotic drugs, several of these branded drugs each generate U.S. sales in excess of $1 billion annually. Additionally, while available therapeutics to treat schizophrenia and bipolar depression demonstrate clinical benefit, a significant unmet need remains for a treatment that balances tolerability with clinically meaningful efficacy for the chronic management of symptoms related to both psychosis and mood disorders.

Our Product Candidate LB-102: Leveraging a Proven Mechanism with Efficacious Data to Bolster Development for a Broad Range of Indications

LB-102 is a novel, patent-protected benzamide antipsychotic drug that was designed using amisulpride as a starting point. Amisulpride is one of the most effective and commonly used antipsychotic drugs currently approved outside the United States. Amisulpride was ranked as the second most effective antipsychotic drug in the 2019 Lancet meta-analysis of clinical trials on antipsychotic drugs. In this meta-analysis, amisulpride was ranked the most effective antipsychotic drug in treating positive symptoms and the third most effective in addressing negative symptoms of schizophrenia. Despite amisulpride’s efficacy and tolerability profile, it has not received regulatory approval in the United States for the treatment of any neuropsychiatric disorders, including schizophrenia, because the development and regulatory requirements of the FDA were incompatible with patent coverage on the drug.

The modifications we incorporated into LB-102 were designed to improve the tolerability and efficacy profile of amisulpride by addressing its shortcomings, such as limited blood-brain barrier, or BBB, permeability and dosing frequency. Enhanced BBB permeability was expected to improve the potency of the molecule with respect to dopamine receptor binding and enable the use of lower doses compared with amisulpride. The use of

 

117


Table of Contents

lower doses was hypothesized to improve the tolerability profile. We also aimed to create a new chemical entity with strong composition of matter intellectual property protection. We believe that the methylation of amisulpride addresses these design goals, and we aimed to demonstrate in our clinical trials that LB-102’s improved BBB penetration would confer benefits over amisulpride and other antipsychotic drugs, including lower dosing levels, a wider therapeutic window, improved tolerability, and once-daily dosing. Use of lower doses may also improve the feasibility of developing an LAI formulation.

Because amisulpride was used as the starting point in the creation of LB-102, we have conducted preclinical head-to-head studies with the compound to determine superiority as well as to assess whether the clinical development path of amisulpride may provide a risk-mitigated path for our development of LB-102. We have not conducted head-to-head clinical trials to date comparing LB-102 to amisulpride; however, our head-to-head preclinical studies that compared amisulpride to LB-102 in animal models of schizophrenia demonstrated that LB-102 had equivalent or better results than similar doses of amisulpride and that LB-102 bound similarly to the dopamine D2 and D3 receptors, with a Ki (inhibition constant) of 0.82 nM compared to amisulpride’s reported Ki of 1.1 nM, and had a similar affinity for the 5-HT7 receptor with a Ki of 31 nM compared to amisulpride’s reported Ki of 44 nM. Our Phase 1 trials in healthy volunteers showed that LB-102 was generally well-tolerated, and in our Phase 1b imaging trial, we observed that LB-102 achieved a level of dopamine receptor occupancy in the brain of approximately 70% (50 mg dose) and approximately 80% (100 mg dose) under steady-state conditions; typically, 60% to 80% dopamine receptor occupancy is the target range for efficacy in treating schizophrenia. The dopamine receptor occupancy levels seen in the imaging trial at 50 mg of LB-102 are approximately equivalent to those observed with 300 to 400 mg of amisulpride. By dosing LB-102 at a lower level, we are aiming to decrease side effects common to amisulpride and other antipsychotic drugs currently used to treat schizophrenia. We believe that fewer side effects of a drug may lead to stronger adherence, continued use of the drug, and therefore, better efficacy results and long-term control of the disease. Because each relapse of psychotic symptoms can result in a functional deterioration from which the patient does not fully recover, long-term control of the disease is a key treatment goal.

While our current Phase 3 trial is designed to investigate LB-102 as a treatment for people experiencing the acute phase, or positive symptoms, of schizophrenia, we believe LB-102 also has potential to address predominantly negative symptoms, an indication with significantly fewer treatment options as well as CIAS, an indication for which there are no approved therapies. We believe that our data with LB-102 as well as data previously generated with amisulpride support the further investigation of LB-102 in these settings and that, if positive, such data have the potential to further differentiate LB-102 from other drugs available for schizophrenia. Amisulpride demonstrated a statistically significant benefit versus placebo in three independent third-party placebo-controlled trials in patients with predominantly negative symptoms with treatment durations ranging from six weeks to six months. Additionally, our Phase 2 trial data showed a statistically significant impact on negative symptoms versus placebo at the 50 mg dose even though the inclusion criteria enriched for patients experiencing predominantly positive symptoms of schizophrenia. An exploratory post-hoc analysis of our Phase 2 data on the treatment effect in patients with negative symptoms at baseline (i.e., those patients with a PANSS Negative Subscore greater than or equal to 24) yielded similar results with a statistically significant impact on negative symptoms versus placebo at the 50 mg dose. We find these results highly encouraging and plan to explore options to advance LB-102 in this indication. For example, we have developed a synopsis for a Phase 2 trial in patients with predominantly negative symptoms of schizophrenia and expect to seek regulatory guidance on the design of this trial in 2026 to establish a clinical registration path in this setting. We also expect to generate additional negative symptoms data in our planned Phase 3 trial. We also plan to further explore the impact of LB-102 on cognition in patients with schizophrenia both clinically and pre-clinically. For example, concurrently with our Phase 3 trial in patients with acute schizophrenia, we expect to initiate an open label trial in patients with stable schizophrenia that will enroll both patients who participated in the Phase 3 trial as well as patients who did not. Although the primary objective of this trial is to collect the requisite safety data required for an NDA submission, we also expect to collect efficacy data in certain subsets of patients enrolled in this trial. Efficacy measures will include periodic assessments of cognition as well as open label assessments of improvements in positive and negative symptoms, including in patients with prominent negative symptoms at enrollment in the trial. Although we do not expect data from this open label trial to lead to product label claims

 

118


Table of Contents

without additional randomized clinical trials, we believe these data have the potential to further support the differentiation of LB-102 and expect these data to provide publishable valuable insights as we consider further investigating LB-102 as a potential treatment for CIAS as well as in patients with predominantly negative symptoms of schizophrenia. Following the potential approval for the treatment of schizophrenia, we may also consider conducting another Phase 3 trial in acute schizophrenia where LB-102 is used as an adjunctive therapy.

Beyond the potential advantages in treating schizophrenia, we believe there is significant potential for LB-102 as a treatment for mood disorders and other neuropsychiatric diseases. Based on existing third-party data investigating amisulpride and a non-racemic form of the drug as a treatment for several types of depression, including bipolar depression, and the approval of amisulpride in multiple countries outside of the United States for the treatment of dysthymia, a form of depression, we have identified bipolar depression as our next development opportunity for LB-102. There is wide use of amisulpride in bipolar disorder with approximately 3.4% of at least two million monthly prescriptions written for this indication in a select group of European countries including Germany, France, Italy, Spain, and several others. A non-racemic form of amisulpride showed antidepressant activity in two independent third-party, placebo-controlled bipolar depression trials with an approximately 17- to 18-point reduction in MADRS from baseline observed across these studies. The non-racemic form of amisulpride was also shown to be substantially similar to amisulpride in preclinical models. We also believe that the strength and selectivity of our binding profile for each of the D2, D3, and 5HT7 receptors suggests that LB-102 is potentially well suited for development in bipolar depression since D2 mediates effects on psychosis and mania and 5HT7 and D3 mediate effects on depression and cognition.

There are two types of bipolar disorder, distinguished as bipolar 1 and 2, which are characterized by chronically occurring episodes of mania or hypomania alternating with depression. A person diagnosed with bipolar 1 disorder experiences a manic episode defined as a distinct period of persistently elevated or irritable mood with increased activity or energy lasting for at least seven days or requiring hospitalization. The manic episode may be preceded or followed by a hypomanic or major depressive episode. A bipolar 2 disorder diagnosis is based on experiencing a hypomanic episode and major depressive episode without a manic episode. Manic episodes are markedly more severe than hypomanic episodes. It is estimated that 2.8%, or approximately seven million Americans, experience bipolar disorder in a year. For those living with bipolar disorder, an estimated 82.9% have serious impairment due to the disease, the highest percent of serious impairment among all mood disorders, indicating there is significant need for new and better treatment options.

In a 2022 placebo-controlled proof-of-concept trial conducted by a third party in 341 patients across U.S., European, and Japanese clinical sites, non-racemic amisulpride demonstrated meaningful improvement over placebo on the MADRS in treating bipolar depression. Although the trial did not meet its primary endpoint, which was defined as MADRS delta versus placebo in United States and European patients, the results when analyzed for all patients across all geographies demonstrated a statistically significant benefit versus placebo in favor of non-racemic amisulpride with a 3.4 to 3.7-point MADRS delta versus placebo and an approximately 18-point reduction in MADRS versus baseline in each of the two treatment arms. The mean reduction from baseline in the placebo arm in this trial was 14.3 points. The placebo rate observed in this trial was higher than the average placebo rate from a recent set of bipolar depression trials which was an approximately 12-point reduction in MADRS from baseline. We believe that the high placebo rate in this trial was in part a result of poor trial design and conduct. A Phase 3 trial was subsequently initiated by the same third party with non-racemic amisulpride and though the trial was terminated prior to completion, results from 82 patients enrolled in the trial were reported. These results showed a 4.0 to 6.4-point MADRS delta versus placebo and an approximately 14 to 17-point reduction in MADRS versus baseline in the two treatment arms. Amisulpride and the non-racemic form studied in these two trials have been shown to be substantially similar in pre-clinical models. Additionally, amisulpride has been shown to be effective in clinical trials addressing other forms of depression, such as in a 1999 head-to-head trial conducted by a third party in dysthymia and major depression which showed amisulpride and another study drug each leading to a statistically significant improvement over placebo on the MADRS. A 2001 head-to-head trial conducted by a third party also found amisulpride to be as clinically effective as sertraline, a commonly used antidepressant, in treating dysthymia, and a 2002 head-to-head trial conducted by a third party found amisulpride to be as clinically effective as paroxetine, another commonly used antidepressant.

 

119


Table of Contents

It is widely recognized that episodes of major depression whether unipolar (as in MDD) or bipolar (as in bipolar depression) are characterized by a similar imbalance in the neurotransmitters serotonin, noradrenaline, and dopamine, regardless of the underlying pathophysiology of the disease. Among the four antipsychotics approved for schizophrenia and MDD or treatment resistant depression that were also studied in late-stage bipolar depression trials (quetiapine, cariprazine, aripiprazole, and olanzapine), three out of four, or 75%, generated positive data for the treatment of bipolar depression. We believe that the approval of amisulpride in the United Kingdom for the treatment of psychosis and mania serves as additional supportive evidence for the broader utility of LB-102 to treat neuropsychiatric disorders.

We plan to initiate this potentially registrational Phase 2 trial in bipolar depression in the first quarter of 2026, upon the clearance of an Investigational New Drug, or IND, application for that indication. We are designing this clinical trial to be of registrational quality and if successful, we expect to ask the FDA if this trial could serve as one of two adequate well-controlled trials needed to obtain approval of LB-102 in bipolar depression. Following a successful Phase 2 trial, we may also consider conducting two Phase 3 trials in bipolar depression, one as a monotherapy and one as an adjunctive therapy in combination with mood stabilizers, a commonly used treatment for bipolar depression.

Based on the extensive third-party research that has been conducted on amisulpride and a non-racemic form of the drug and our research indicating a comparable or even improved clinical activity and tolerability profile, including with respect to rates of EPS, sedation and gastrointestinal side effects, of LB-102, we believe there is broad potential for the development of LB-102 for a variety of psychiatric indications and mood disorders. We believe the extensive body of research on amisulpride provides a potential road map for future development opportunities for LB-102, including the potential for development of LB-102 in MDD, negative symptoms of schizophrenia, bipolar mania, and Alzheimer’s disease psychosis and agitation.

Our Team and History

Our leadership and advisors are composed of individuals with extensive experience in the discovery, development, and commercialization of neuropsychiatric therapeutics.

Heather Turner, J.D., our Chief Executive Officer, was previously President and Chief Executive Officer of Carmot Therapeutics Inc., prior to its acquisition by Roche Pharmaceuticals for $3.1 billion. Anna Eramo, M.D., our Chief Medical Officer, previously led U.S. clinical and medical affairs at Lundbeck A/S, where her primary responsibilities extended across its U.S. neurology and psychiatric portfolio of products, including brexpiprazole (which is approved in schizophrenia, MDD, and agitation associated with Alzheimer’s disease), vortioxetine (which is approved for MDD), and Abilify Maintena (an LAI form of aripiprazole that is approved for schizophrenia and bipolar 1). Other members of our team held various positions at Celgene Corporation, Genzyme Corporation, and ImmunoGen, Inc., with experience working on late-stage development and commercial products.

Our Chairman of our board of directors, Scott Garland, most recently served as Chief Executive Officer of PACT Pharma, Inc. Previously, Scott was the Chief Executive Officer of Portola Pharmaceuticals, Inc., which Alexion Pharmaceuticals, Inc. acquired for $1.4 billion in 2020. Prior to that, he was President of Relypsa Inc., which Vifor Pharma AG acquired for $1.5 billion in 2016. He is joined on our board of directors by Robert Ruffolo, Ph.D., who previously served as President of Research and Development at Wyeth Pharmaceuticals, Inc., Zachary Prensky, co-founder of LB Pharmaceuticals and former manager of a family office with a heavy focus on investing in the biotechnology and pharmaceutical sectors, and other board representatives from our major investors.

We are advised by renowned experts in treating neuropsychiatric diseases. John Kane, M.D., is a Professor of Psychiatry and Molecular Medicine at the Donald and Barbara Zucker School of Medicine at Hofstra/Northwell and served as Chair of Psychiatry at The Zucker Hillside Hospital for 34 years. Christoph U. Correll,

 

120


Table of Contents

M.D., is a Professor of Psychiatry at the Donald and Barbara Zucker School of Medicine at Hofstra/Northwell. Maurizio Fava, M.D., is the Psychiatrist-In-Chief, Department of Psychiatry and Director, Division of Clinical Research at Mass General Research Institute. Dr. Fava is also the Executive Director of the Clinical Trials Network & Institute, as well as the Associate Dean for Clinical & Translational Research and Slater Family Professor of Psychiatry at Harvard Medical School. Luca Pani, M.D. is Professor of Clinical Psychiatry at the University of Miami and Pharmacology at the University of Modena & Reggio Emilia, former Italy’s AIFA Director General and EMA CHMP/SAWP Representative, with expertise in pre-clinical and clinical CNS drug development strategies.

Since our inception, we have raised over $120 million from a leading syndicate of investors, including Deep Track Capital, Pontifax, TCG Crossover Fund, and Vida Ventures. Prospective investors should not rely on the investment decisions of our existing investors, as these investors may have different risk tolerances and have received their shares in prior offerings at prices lower than the price offered to the public in this offering.

Our Strategy

Our strategy is to develop LB-102 for the treatment of schizophrenia and mood disorders initially and subsequently for other neuropsychiatric disorders in the United States and internationally. Key elements of our strategy include:

 

   

Achieve regulatory approval for LB-102 for the treatment of schizophrenia. The regulatory pathway for antipsychotic drug development in schizophrenia is well-established and provides precedent for regulatory approval requirements. Based on recent positive feedback from the FDA, our current strategy is to utilize our recently completed Phase 2 trial in acute schizophrenia to serve as one of two adequate and well controlled trials required for FDA approval. In this Phase 2 trial, LB-102 was generally well tolerated and resulted in a statistically significant decrease in symptoms related to schizophrenia as measured by PANSS after four weeks of treatment. These results have informed the design of our Phase 3 trial, which we aim to commence in the first quarter of 2026.

 

   

Advance LB-102 as a potential treatment across the spectrum of disease for patients with schizophrenia. We believe LB-102 has the potential to treat a broad range of patients living with schizophrenia by addressing positive symptoms experienced during the acute phase of the disease, negative symptoms experienced between acute crises, and cognitive symptoms, such as memory deficit, decision making and attention deficit. We plan to initiate a Phase 3 trial for LB-102 in patients with acute schizophrenia while developing our clinical development strategy for other unmet needs within schizophrenia. Negative symptoms and cognitive issues are core symptoms of schizophrenia where more than 80% of people with schizophrenia have cognitive impairment of some kind up to 60% may experience predominantly, clinically relevant negative symptoms that require treatment. Based on our own clinical results and the breadth of third-party data, we believe LB-102 has the potential to become a cornerstone therapy for schizophrenia.

 

   

Expand development of LB-102 into bipolar depression and other psychosis and mood disorders. Based on the extensive body of third-party research that has been conducted on amisulpride and a non-racemic form of the drug as well as our data with LB-102 in schizophrenia, we believe there is significant opportunity in the clinical development and commercial potential of LB-102 in other mood disorders and other psychosis-related indications. We have identified bipolar depression as the next indication for which we intend to develop LB-102. If successful in bipolar depression, we may also develop LB-102 in MDD. We believe the mechanism of LB-102 as well as preclinical and clinical data for amisulpride and the non-racemic version of amisulpride support development of LB-102 in bipolar depression and MDD. Our mechanism and clinical trials to date support our belief that LB-102 has the potential to benefit people living with other psychosis-related diseases such as bipolar mania and Alzheimer’s disease-related psychosis. We continue to assess other mood disorders and neuropsychiatric diseases for potential future development.

 

121


Table of Contents
   

Extend the life-cycle and global reach of LB-102 by advancing alternate formulations. We are investigating alternate LAI formulations of LB-102. We believe that such formulations have the potential to provide improved clinical results and treatment adherence for schizophrenia and bipolar depression patients compared to oral formulations, for which compliance may be lower. We believe that the success of the 50 mg dose in our schizophrenia Phase 2 trial affords the opportunity to develop an LAI. Additionally, we believe that an LAI formulation of LB-102, if approved, could have additional advantages, including extending the commercial protection for LB-102, potentially providing a better alternative to the currently limited option set of approved LAI antipsychotic drugs for other neuropsychiatric disorders, such as bipolar disorder or Alzheimer’s psychosis, and potentially enhancing LB-102’s competitive positioning outside of the United States.

 

   

Maximize the commercial opportunity of LB-102. We currently own global rights to LB-102 and intend to retain commercialization rights in the United States. If approved for schizophrenia, we expect to commercialize the oral formulation of LB-102 in jurisdictions where amisulpride is unavailable as a generic, and we expect to commercialize an LAI form of LB-102 worldwide. If approved for bipolar depression, we expect to commercialize both the oral and LAI forms of LB-102 worldwide. We expect to expand our team and develop internal resources to support the potential commercialization of LB-102. Additionally, we may opportunistically evaluate potential commercial collaborations outside of the United States to maximize the value of LB-102.

Schizophrenia

Overview and Disease Background

Schizophrenia is a chronic, severe, complex, and debilitating psychiatric disorder that affects approximately 1% of the U.S. population and is a leading cause of disability. Symptoms of schizophrenia are typically grouped into three categories:

 

   

Psychotic or positive symptoms, such as hallucinations, delusions, thought disorder, and movement disorder;

 

   

Negative symptoms, such as loss of motivation, interest, or enjoyment in daily activities, withdrawal from social life, and difficulty in showing emotions; and

 

   

Cognitive symptoms, such as problems in attention, concentration, and memory.

While antipsychotic drugs are commonly used to treat schizophrenia, there is currently no cure for schizophrenia, which means the disease must be managed with life-long therapy, increasing the importance of therapies that can improve compliance rates and dosing challenges.

Schizophrenia is typically diagnosed in the late teen years to early thirties and tends to emerge earlier in males than in females. The estimated average potential life expectancy for individuals living with schizophrenia in the United States is reduced by as much as 29 years in comparison to the general population. This significant reduction is believed to be due to multiple factors, including a high rate of other comorbidities and an increased risk of accidental death and suicide. An estimated 5% of people with acute schizophrenia die by suicide, which is a rate approximately 350 times higher than the general population.

The progression of schizophrenia usually follows a typical pattern. The prodromal phase refers to the early stage of the disease where subtle changes in behavior and cognitive function occur but before psychotic symptoms, such as hallucinations or delusions. This is the stage when the first warning signs of the disease can be identified. The prodromal phase ends when the patient experiences the first active phase which is characterized by positive symptoms, including hallucination, delusions, and disordered thinking. Recent studies have shown that if treated properly early in the course of their illness, most patients recover from this first episode and have a substantial reduction, or even remission of psychotic symptoms. While in this “stable” phase after recovery from an acute episode, it is estimated that 13% to 48% of patients continue to have residual symptoms. At this point, the patient may experience cycles of active disease, characterized by positive

 

122


Table of Contents

symptoms, and periods of stability, potentially with persistent negative symptoms. A meta-study showed that 55% of people with schizophrenia required hospitalization over an average follow-up of seven years after their first episode. With each relapse, the disease worsens, and the patient typically is unable to recover to the same level of health as prior to the active episode. Over years of experiencing these cycles, most patients deteriorate, experiencing worsening symptoms and health outcomes. A therapy that reduces the number of relapses a patient experiences has the potential to provide a significant and life-long benefit. The figure below depicts a graphic illustration of these phases.

 

LOGO

Pathophysiology of Schizophrenia

One of the main hypotheses for the pathophysiology leading to schizophrenia is an imbalance in neurochemical signaling in the brain, including serotonin, dopamine, and glutamate. Specifically, schizophrenia is associated with an imbalance of dopaminergic pathways at the D2 receptor subtype. Increased dopamine activity in certain parts of the brain can contribute to positive symptoms of schizophrenia. In contrast, reduced dopamine activity in other parts of the brain may cause negative and cognitive symptoms. Detailed understanding of the specific changes in dopamine signaling that lead to schizophrenia is limited by the relative inaccessibility of methods to assess signaling pathways in the brain, the heterogeneity of psychological responses, and the lack of highly translatable animal models. Since the 1970s, clinical trials with haloperidol, risperidone, and olanzapine, among others, have conclusively demonstrated that antagonism of the dopamine D2 receptor can improve symptoms of schizophrenia.

Schizophrenia with Predominantly Negative Symptoms

Negative symptoms are a core component of schizophrenia and are distinct from positive symptoms. They account for a large part of the long-term morbidity and poor functional outcomes. It is estimated that up to 60% of people with schizophrenia may have predominantly negative symptoms that are clinically relevant and require treatment equating to approximately 1.3 million people in the United States. In a meta-analysis for 20 placebo-controlled trials of second generation antipsychotic drugs, 62% of patients were experiencing predominantly negative symptoms and after six weeks of treatment. Negative symptoms are linked to worse functional outcomes in occupational and academic performance, household integration, social functioning, participation in activities and quality of life.

People living with negative symptoms of schizophrenia are considered to have a higher burden of illness, which may be partially attributed to the limited number of effective treatment options for this population. To date, there are no FDA approved treatments for predominantly negative symptoms in schizophrenia.

 

123


Table of Contents

Cognitive Impairment Associated with Schizophrenia

CIAS is a major burden for patients and negatively impacts many aspects of a patient’s life. Cognitive impairment is a core feature and leading cause of functional disability in schizophrenia and other neuropsychiatric disorders. Antipsychotic drugs are the standard-of-care treatment for schizophrenia but typically only address positive symptoms. So far there are no approved pharmacotherapies for the treatment of CIAS. More than 80% of people with schizophrenia have cognitive symptoms of some kind, equating to approximately 1.8 million patients in the United States.

Limitations of Current Treatments for Schizophrenia

Antipsychotic drugs are commonly classified as first-or second-generation drugs. First-generation antipsychotic drugs function primarily as antagonists or partial agonists of dopamine receptors. These drugs, some of which were discovered in the 1950s, primarily address positive symptoms of schizophrenia. Current literature suggests a high correlation between dopamine receptor binding and clinical potency; typically, 60% to 80% dopamine receptor occupancy is the target range for efficacy in treating schizophrenia. Second-generation antipsychotic drugs are typically dual serotonin and dopamine antagonists. The multimodal mechanism of action of these drugs allows them to treat symptoms of schizophrenia with a lower incidence of EPS.

Existing antipsychotic drugs fall short of the ideal profile, as most currently approved medications have significant side effects, primarily address positive symptoms of schizophrenia, and are often not effective in treating negative and cognitive symptoms. Negative symptoms are a core component of the disease, and it is estimated that up to 60% of patients may experience clinically relevant negative symptoms that require treatment. Negative symptom severity has been linked to worse functional outcomes in areas such as impaired occupational and academic performance, social functioning, and quality of life. Despite the prevalence and seriousness of this component of schizophrenia, there are few treatment options that effectively address negative symptoms. Additionally, cognitive impairment affects approximately 80% of schizophrenia patients. There are currently no approved drugs for cognitive impairment.

Both first- and second-generation antipsychotic drugs are often associated with sedation, dry mouth, constipation, EPS including akathisia (inability to remain still), and sexual dysfunction. Some side effects are severe or even life-threatening, such as dystonia, a form of EPS (involuntary muscular contraction), tardive dyskinesia (movement disorder that causes involuntary facial tics), and weight gain, which can lead to hyperlipidemia (high levels of lipids in the blood) and cardiac arrhythmias (abnormal heart rhythms). The combination of side effect profile, as well as poor efficacy and tolerability, results in approximately half of all schizophrenia patients not adequately responding to current antipsychotic drugs. High rates of failure in achieving a clinically meaningful response with existing therapeutics, the evolution of patient symptoms over time, inconvenient dosing regimens and significant side effects cause patients with schizophrenia to switch medications or layer on additional antipsychotic drugs frequently. Aside from suboptimal efficacy and tolerability, some current therapies also accompany inconvenient administration profiles, such as twice-a-day dosing or the need to be taken with food.

Together, these limitations lead to significant issues with patient adherence. One study showed that one-third of patients admitted to the hospital after their first psychotic episode of schizophrenia were non-adherent to their treatment six months after discharge. A multitude of studies have shown the serious outcomes that accompany non-adherence to medication, including impairment, hospitalization, higher risk of suicide, longer time to remission, poorer prognosis, loss of job, dangerous behavior, arrest, violence, drug and alcohol consumption, psychiatric emergences, poor mental performance, and low satisfaction with life. Interruptions in treatment as short as one to 10 days has been associated with an increased risk of hospitalization.

Nearly 50% of all schizophrenia patients fail to respond adequately to existing therapies, many of which have limited efficacy against the range of symptoms associated with the disease. Most antipsychotic drugs are

 

124


Table of Contents

associated with significant side effects that drive high rates of treatment discontinuation. Approximately 74% of schizophrenia patients discontinue their medications within 18 months of starting treatment due to their perceived lack of efficacy or burdensome side effects. Since these medications only treat symptoms of schizophrenia and cannot eliminate the underlying pathology, their discontinuation results in symptom recurrence. As a result of these high rates of discontinuation, there is a significant amount of switching therapeutic treatments. A therapy with sufficient efficacy, tolerability and ease of use which would support a patient’s efforts to remain compliant could provide significant benefit over currently available therapies.

In the table below, we show the efficacy and side effect profiles of branded antipsychotic drugs approved for treatment of schizophrenia based on the approved labels.

 

Drug

 

Mechanism of
Action

 

Baseline
PANSS

 

Reduction in

PANSS
vs. Baseline

 

Placebo-Corrected
Reduction in
  PANSS  

 

Notable Lab

Findings and

Side Effects

 

Recommended
Dosage

 

Dosing
Frequency

Caplyta   Dopamine Receptor Antagonist  

88.1 (Trial 1)

90.0 (Trial 2)

 

13.2 (Trial 1)

14.5 (Trial 2)

 

5.8 (Trial 1)

4.2 (Trial 2)

  Sedation (24%), dry mouth (6%); EPS (6.7%)   42 mg   Once-daily, with food
Cobenfy   M1/M4 Muscarinic Receptor Agonist  

98.2 (Trial 1)

96.9 (Trial 2)

 

21.2 (Trial 1)

20.6 (Trial 2)

 

9.6 (Trial 1)

8.4 (Trial 2)

  Nausea (19%), dyspepsia (18%), constipation (17%), vomiting (15%), hypertension (11%), EPS (non-akathisia, 2%)   Up to 125 mg/30 mg   Twice-daily, 1 hour before or at least 2 hours after meals
Rexulti   Dopamine Receptor Partial Agonist  

94.7 (Trial 1)

95.0 (Trial 2)

 

19.7 (Trial 1)

20.0 (Trial 2)

 

7.6 (Trial 1)

6.5 (Trial 2)

  Akathisia (6%), weight increase (4%), diarrhea (3%), dyspepsia (3%), tremor (3%), blood creatinine phosphokinase increase (2%); sedation (2%)   4 mg   Once-daily
Vraylar   Dopamine Receptor Partial Agonist  

97.1 – 96.7 (Trial 1)

96.1 – 95.7 (Trial 2)

96.3 (Trial 3)

 

19.4 – 22.3 (Trial 1)

20.2 – 23.0 (Trial 2)

22.8 – 25.9 (Trial 3)

 

7.6 – 10.4 (Trial 1)

6.0 – 8.8 (Trial 2)

6.8 – 9.9 (Trial 3)

  EPS (15-19%)*, akathisia (9-13%)   1.5 - 6 mg   Once-daily

Note: Characteristics of antipsychotic drugs approved for the treatment of schizophrenia. PANSS is a measure of symptoms in schizophrenia patients including positive and negative symptoms, and general psychopathology, and reduction in PANSS v. baseline is a measure of efficacy of antipsychotic drugs. The change in PANSS score has been used as the primary endpoint in many registrational trials of antipsychotic drugs, as it provides a comparative measure against baseline; a higher change from baseline can suggest greater improvement in patient symptoms. As this assessment requires patients or raters to undertake a questionnaire regarding symptoms at protocol specified timepoints in the trial, it is, however, inherently subjective, which can increase the variability of clinical results across clinical trials and creates a significant degree of uncertainty in

 

125


Table of Contents

determining overall clinical benefit. Caplyta efficacy data is based on four-week data from one Phase 2 trial and one Phase 3 trial (n=335; n=450). Cobenfy data is based on five-week data from two Phase 3 trials (n=236; n=234). Rexulti data is based on six-week data from two Phase 3 trials (n=674 total). Vraylar data is based on six-week data from three Phase 3 trials (n=1,655 total). Akathisia is a form of EPS but is reported separately in a number of product labels.

Because of the fragility of the patient population and high rates of non-adherence, tolerability and ease of use is an important factor for schizophrenia medications. Studies have shown that medication-related obesity, distress related to weight gain, and cognitive impairment are associated with increased rates of nonadherence. Caplyta, Rexulti and Vraylar all contain warnings in their labels regarding metabolic changes, including weight gain. Somnolence, or sedation, are among the most frequent adverse events observed with Caplyta and Rexulti. Despite the burdensome side effects associated with these antipsychotic drugs, they are still commonly used, with patients frequently switching between different medications in search of the right balance of tolerability and efficacy. We believe a medication with an improved tolerability profile, increased efficacy, including with respect to negative symptoms or cognition, or both, have the potential to provide a much-needed alternative to currently available therapies. We also believe a simple administration profile, once-daily dosing with no food effect, would provide a significant advantage as it has the potential to improve patient adherence and, therefore, improve long-term outcomes. Additionally, an LAI has the potential to further simplify the patient experience and improve medication adherence. Currently, there are no LAIs available for Caplyta, Rexulti or Vraylar although several are in development. In addition, there are no LAIs among the benzamide class of antipsychotic drugs currently available or in development worldwide.

Despite the availability of several generic and branded treatments for schizophrenia, there remains a significant unmet need. Only 20% of people with schizophrenia report favorable treatment outcomes. The remaining population experiences numerous psychotic episodes, chronic symptoms and a poor response to antipsychotic drugs. Additionally, patients who experience predominantly negative symptoms and those with treatment-resistant schizophrenia live with a significant disease burden that cannot be sufficiently alleviated with currently available treatments, and there are no approved therapies for cognitive impairment associated with schizophrenia. We believe a treatment that is effective, tolerable, supports adherence in a fragile population and can address negative and resistant symptoms could become a cornerstone of schizophrenia treatment. We believe LB-102 has the potential to meet this profile.

Development of LB-102: Improving upon Amisulpride

Amisulpride Overview

Amisulpride is a dopamine receptor antagonist originally developed in France in the 1980s and is approved in more than 50 countries worldwide (not including the United States) for the treatment of schizophrenia and, in certain countries outside of the United States, for the treatment of dysthymia, a form of depression, and predominantly negative symptoms of schizophrenia. In 2000, Sanofi S.A., the manufacturer of Solian, the branded version of amisulpride, announced it would not pursue approval for schizophrenia in the United States because the development and regulatory requirements of the FDA were incompatible with its patent coverage on the drug.

Amisulpride in Schizophrenia

In multiple third-party studies comparing the clinical efficacy of antipsychotic drugs on schizophrenia, amisulpride consistently scored near the top. For example, a 2019 Lancet meta-analysis of clinical trials, which included over 54,000 subjects and 32 medications, found that amisulpride had the highest efficacy as measured by effect on positive symptoms and was second only to clozapine at reducing overall symptoms of schizophrenia. This analysis also found that amisulpride was 20% more effective at reducing overall symptoms of schizophrenia compared to risperidone, which is a first-line treatment for schizophrenia in the United States. A 2020 Lancet Psychiatry report of a head-to-head long-term study showed amisulpride to have greater reduction in PANSS

 

126


Table of Contents

score from baseline compared to first-line treatments of aripiprazole and olanzapine. In addition, a 2018 systematic review and meta-analysis across 21 randomized, controlled third-party trials showed that in their analysis across these trials, amisulpride was the only antipsychotic drug that outperformed placebo in the treatment of patients who suffer from predominantly negative symptoms.

The following chart shows the antipsychotic efficacy as measured by overall average change in symptoms from the 2019 Lancet meta-analysis of clinical trials on antipsychotic drugs.

 

LOGO

Amisulpride was ranked as one of the most effective antipsychotic drugs in the 2019 Lancet meta-analysis of clinical trials on antipsychotic drugs.

The following chart shows the antipsychotic efficacy as measured by average change in positive symptoms (left) and negative symptoms, a notoriously difficult aspect of the disease to treat, (right) from the 2019 Lancet meta-analysis of clinical trials on antipsychotic drugs.

 

LOGO

LOGO

 

 

Amisulpride was ranked the most effective antipsychotic drug in treating positive symptoms and third most effective in addressing negative symptoms of schizophrenia.

 

127


Table of Contents

In 2024, Cobenfy was approved for use in schizophrenia. A 2025 third-party study in European Neuropsychopharmacology highlighted that its overall treatment effect on symptoms was 0.56 using an approach similar to that which was used in the 2019 Lancet meta-analysis. In the table below, we have included the treatment effect of Cobenfy together with those antipsychotic drugs reviewed in the 2019 Lancet meta-analysis for comparison purposes. This table shows how amisulpride’s effect size compares with Cobenfy’s and the other approved schizophrenia drugs.

 

LOGO

Amisulpride’s effect size was greater than that of Cobenfy.

 

128


Table of Contents

EUFEST, a European clinical trial published in 2005 in which 498 first-episode schizophrenia patients were randomized to receive haloperidol, amisulpride, olanzapine, quetiapine, or ziprasidone over 12 months, evaluated the primary endpoint of all-cause discontinuation rate, which is the number of patients who stopped taking their medications for any reason. Besides olanzapine, amisulpride had the lowest all-cause discontinuation rate over 12 months out of all drugs evaluated in this head-to-head comparison, supporting a favorable tolerability profile.

 

LOGO

Amisulpride had a low discontinuation rate in the head-to-head EUFEST trial.

 

129


Table of Contents

Amisulpride has also been shown to have a relatively low rate of EPS (11%), long-term weight gain, and cardiovascular risk compared with other second-generation antipsychotic drugs. In a 2014 head-to-head meta-analysis conducted by a third party comparing weight gain among antipsychotics, amisulpride had lower weight gain compared with other antipsychotic drugs across various outcome measures including body weight gain (in kg). The results comparing weight gain for amisulpride with that of other antipsychotics are highlighted in the chart below.

 

LOGO

FGA = first generation antipsychotics; SGA = second generation antipsychotics; st= number of studies

Amisulpride had a lower weight gain compared with other antipsychotic drugs.

Additionally, in a third-party head-to-head trial completed in 2002 that compared long-term weight gain of amisulpride over six months to that of olanzapine, amisulpride weight gain exceeded that of olanzapine over the first 30 days of the study, and plateaued at approximately 1 kg, whereas weight gain with olanzapine continued to increase throughout the six-month period reaching a weight gain of approximately 5 kg, as shown in the graph below:

 

LOGO

Amisulpride had lower weight gain than olanzapine in a third-party head-to-head trial.

 

130


Table of Contents

In addition, pharmacovigilance data on amisulpride from the United Kingdom covering 16,000 patient exposure years had 8 incidences of QT prolongation with all 8 events occurring in patients concurrently taking clozapine, a drug known to prolong the QT interval.

According to market research in 2024, amisulpride continues to be widely used in Europe. Among a select group of European countries including Germany, France, Italy, Spain, and several others, there were at least two million monthly prescriptions per year for amisulpride. Among these European prescriptions for amisulpride, our data suggest that approximately 60% are for schizophrenia and schizoaffective disorders (a mental health condition that includes symptoms of both schizophrenia and mood disorders), approximately 20% are for mood disorders, approximately 14% are for anxiety, and the remainder are for a variety of other indications.

Amisulpride has also been studied for the treatment of predominantly negative symptoms of schizophrenia in three independent placebo-controlled trials conducted by third parties. A trial conducted in 1995 evaluated two doses of amisulpride, 100 and 300 mg per day, versus placebo for six weeks of treatment. In this trial, the two amisulpride-treated arms showed a reduction in the Scale for the Assessment of Negative Symptoms, or SANS, of approximately 39 to 45 points compared with a reduction of 22 points in the placebo arm (p = less than 0.02). P refers to “p-value,” the conventional method for determining the statistical significance of a result, which represents the probability that random chance caused the result (e.g., a p-value = 0.01 means that there is a 1% probability that the difference between the control group and the treatment group is purely due to random chance). Generally, a p-value less than 0.05 is considered statistically significant. The SANS scale is a 25-item scale that assesses negative symptoms across five domains: affective blunting, alogia, avolition-apathy, anhedonia-asociality, and attentional impairment. A trial conducted in 1999 evaluated two doses of amisulpride, 50 and 100 mg per day, versus placebo for 12 weeks of treatment. In this trial, the two amisulpride-treated arms showed a reduction in SANS of approximately 25 points compared with a reduction of 13 points in the placebo arm (p = 0.0002). A trial conducted in 1997 evaluated 100 mg per day of amisulpride versus placebo for 6 months of treatment. In this trial, the amisulpride-treated arm showed a reduction in SANS of approximately 34 points compared with a reduction of 17 points in the placebo arm (p = less than 0.0005).

Amisulpride in Mood Disorders

Amisulpride has been studied extensively in mood disorders. A 2002 head-to-head trial conducted by a third party found amisulpride to show similar reductions in mean MADRS scores as paroxetine (Paxil), a commonly used antidepressant and a 2001 head-to-head trial conducted by a third party found amisulpride to show higher reduction in mean MADRS scores compared to sertraline (Zoloft), a commonly used antidepressant, in treating dysthymia, as shown below:

 

LOGO

LOGO

 

 

Amisulpride was demonstrated to be as effective as paroxetine and more effective than sertraline in third-party head-to-head trials.

 

131


Table of Contents

Amisulpride has also been shown to be effective versus placebo, such as in a 1999 head-to-head trial conducted by a third party in dysthymia and major depression, which showed amisulpride and another study drug each leading to a statistically significant improvement over placebo on MADRS.

 

LOGO

Amisulpride had an approximately 4.8-point MADRS delta versus placebo in a randomized controlled third-party trial in patients with MDD.

A non-racemic version of amisulpride was studied in bipolar depression. In a 2022 placebo-controlled proof-of-concept trial conducted by a third party in 341 patients across U.S., European, and Japanese clinical sites, non-racemic amisulpride demonstrated meaningful improvement over placebo on the MADRS in treating bipolar depression. Although the trial did not meet its primary endpoint, which was defined as MADRS delta versus placebo in United States and European patients, when results were analyzed for all patients across all geographies, a statistically significant benefit versus placebo in favor of non-racemic amisulpride was noted with a 3.4 to 3.7-point MADRS delta versus placebo and an approximately 18-point reduction in MADRS versus baseline in each of the two treatment arms. The mean reduction from baseline in the placebo arm in this trial was 14.3 points.

 

LOGO

Non-racemic amisulpride demonstrated anti-depressant activity in two independent placebo controlled trials.

 

132


Table of Contents

The placebo rate observed in this trial was higher than the average placebo rate from a recent set of bipolar depression trials, which was an approximately 12-point reduction in MADRS from baseline. We believe that the high placebo rate in this trial was in part a result of poor trial design and conduct. A Phase 3 trial was subsequently initiated by the third party with non-racemic amisulpride and though the trial was terminated prior to completion, results from 82 patients enrolled in the trial were reported. These results showed a 4.0 to 6.4-point MADRS delta versus placebo and an approximately 14 to 17-point reduction in MADRS versus baseline in the two treatment arms. Amisulpride and the non-racemic form studied in these two trials have been shown to be substantially similar in pre-clinical models.

It is widely recognized that episodes of major depression whether unipolar (as in MDD) or bipolar (as in bipolar depression) are characterized by a similar imbalance in the neurotransmitters serotonin, noradrenaline, and dopamine, regardless of the underlying pathophysiology of the disease. Additionally, third party prescription data which we analyzed suggests that in 2023, there were at least two million monthly prescriptions of amisulpride in a subset of 16 continental European countries with considerable use in depression and approximately 3.4% of prescriptions were written for bipolar disorder despite the absence of an approval for this indication.

Limitations of Amisulpride to be Addressed by LB-102

While amisulpride is a clinically effective and well-tolerated drug, it has low BBB permeability that limits the amount of drug that can reach its desired target. As reported in a 2014 third-party study of 30 psychiatric drugs tested in an in vitro assay to estimate BBB permeability, amisulpride was the least effective at crossing a model of the BBB. This low permeability is one of the main factors that lead to high dosing of amisulpride, compared to other antipsychotic drugs, to achieve clinically meaningful BBB penetration. The recommended dose of amisulpride for acute schizophrenia ranges from 400 mg to 800 mg per day, which may be increased up to 1,200 mg per day. By comparison, clinically effective doses of other antipsychotic drugs with similar affinities for dopamine receptors are often much lower (e.g., 1.5 mg of Vraylar and 4 mg of Rexulti).

The high doses of amisulpride increase systemic exposure to the drug, contribute to some of its side effects, and limit its ability to be formulated into an LAI – there are currently no LAIs approved among the benzamide class of antipsychotics. Another drawback of amisulpride is that it is typically dosed twice-daily, which can lead to lower adherence relative to therapies with less frequent dosing schedules. Lower adherence can, in turn, lead to less efficacy of a drug in treating schizophrenia which can result in relapses.

Our Solution: LB-102 for the Treatment of Schizophrenia

LB-102 Overview

LB-102 is a patented benzamide designed to improve upon the safety and efficacy of amisulpride. In creating LB-102, we have added a methyl group to the chemical structure of amisulpride with the intention of improving its permeability of BBB while only minimally affecting receptor binding. We believe that making this chemical change allows LB-102 to be dosed at lower amounts than amisulpride. By dosing at a lower level, we are aiming to decrease side effects common to amisulpride. This change to the chemical structure also allows us to differentiate the dosing frequency of LB-102 from that of amisulpride. We are developing LB-102 for once-daily dosing, in contrast to the typical twice-daily dosing of amisulpride.

 

133


Table of Contents

The following chart shows the molecular structures of amisulpride and LB-102.

 

LOGO

LB-102 is a methylated and patented derivative of amisulpride.

In Vitro Receptor Binding of LB-102

In vitro binding of LB-102 to target central nervous system, or CNS, receptors was found to be similar to that of amisulpride. LB-102 bound most strongly to the dopamine D2 and D3 receptors, with a Ki of 0.82 nM (compared to amisulpride’s reported Ki of 1.1 nM), and had a similar affinity for the 5-HT7 receptor with a Ki of 31 nM (compared to amisulpride’s reported Ki of 44 nM). Compared to other commonly prescribed antipsychotic drugs, both LB-102 and amisulpride have weaker binding to other off-target CNS receptors that are commonly associated with adverse side effects such as anxiety, weight gain, or metabolic syndrome such as 5HT2C.

In Vivo Activity of LB-102 is Similar to Amisulpride

We evaluated LB-102 in the Locomotor Activity, or LMA, rat model of hyperactivity, often used to predict clinical activity in treating positive symptoms of schizophrenia. In the LMA, rats dosed with amphetamine alone displayed hypermobility, while rats additionally dosed with antipsychotic drugs showed more normal, calmer activity.

LB-102 had equivalent or better results than similar doses of amisulpride in the LMA model of hyperactivity. In our head-to-head preclinical rat model of cognition, the Novel Object Recognition model, and in a mouse model of stereotypy or excessive repetition, the Apomorphine Induced Climbing model, we observed that the effects of treatment with LB-102 were statistically indistinguishable from that of amisulpride.

Brain Penetration and Dopamine Receptor Occupancy of LB-102

The ability of LB-102 to cross the BBB was estimated using a standard in vitro membrane permeability assay. In this assay, the permeability of LB-102 was approximately 200-fold greater than that of amisulpride.

An in vivo head-to-head study in mice using positron emission tomography, or PET, demonstrated that at a dose of 100 mg/kg of both LB-102 and amisulpride, LB-102 had greater dopamine receptor occupancy in the brain than amisulpride, as shown below. We believe these results supported dosing LB-102 at much lower levels than amisulpride to achieve the desired effect on symptoms of schizophrenia.

 

134


Table of Contents

LOGO

LB-102 reduced the binding of a dopamine receptor PET ligand in the brain by two-fold compared to amisulpride. More faint luminescence represents greater dopamine receptor occupancy. %ID/g represents the percent injected dose per gram.

LB-102 Clinical Data

Completed Phase 1 Trial of LB-102 in Healthy Volunteers

We conducted a Phase 1, randomized, placebo-controlled, double-blinded clinical trial in the United States to evaluate the safety, tolerability, and pharmacokinetics of oral administration of LB-102 in 64 healthy volunteers after submitting an IND in October 2019 and receiving approval to proceed in December 2019. In the single ascending dose, or SAD, portion of this trial, cohorts of six volunteers received doses ranging from 10 mg up to 200 mg. In the multiple ascending dose, or MAD, portion of this trial, cohorts of six volunteers received doses of 50 mg to 100 mg twice-daily for one week. In total, 48 volunteers were dosed with LB-102. The following chart demonstrates the design of this Phase 1 trial.

 

LOGO

Design of the Phase 1 trial of LB-102 in healthy volunteers. BID = twice a day.

In September 2020, we announced the clinical results of this Phase 1 trial. The half-life of LB-102 was slightly greater than 12 hours, and maximum drug levels were observed approximately three hours after administration. We observed the plasma exposure of 50 mg of LB-102 to be 1,648 ng/h/mL. In a previous third-party study of amisulpride, plasma exposure was reported at 667 ng/h/mL. The chart below shows the pharmacokinetic profile of LB-102 in healthy volunteers from the SAD portion of this trial.

 

135


Table of Contents

LOGO

Pharmacokinetics of LB-102 in healthy volunteers.

Analyses of the MAD portion of the trial demonstrated that peak-trough concentrations of LB-102 plateaued before dosing on Day 4. LB-102 accumulated moderately after multiple doses but less than what has been reported for amisulpride. Exposure to LB-102 increased in a dose-proportional manner.

In this Phase 1 trial, LB-102 was generally well-tolerated. All treatment emergent adverse effects, or TEAEs, were either mild or moderate. TEAEs included events typically associated with dopamine antagonists. At doses higher than those studied in our Phase 2 trial and which we plan to evaluate in our planned Phase 3 trial, moderate dystonia and QT prolongation, which is a measure of delayed repolarization of the Q and the T waves in electrocardiogram were observed. Consistent with other antipsychotic drugs that act as dopamine antagonists, use of LB-102 resulted in elevated serum prolactin levels. Subjects with moderate dystonia were treated with either Benadryl or Cogentin.

 

136


Table of Contents

The table below summarizes the safety results of this clinical trial.

 

LOGO

TEAEs observed in the Phase 1 trial of LB-102 in healthy adults. BID = twice a day.

At 50 mg, 75 mg, and 100 mg, the doses being evaluated in our Phase 2 trial, we observed no adverse events associated with QT prolongation, sedation, weight gain or EPS in our Phase 1 trial. Prolactin elevation, a common laboratory finding of most antipsychotic drugs that act as dopamine antagonists that is believed to be the result of inhibition of dopamine receptors in the pituitary, was observed at all doses.

QT prolongation refers to the lengthening of the QT interval in an electrocardiogram, during which interval, the heart recovers from one heartbeat and is preparing for the next heartbeat. The QT interval is a vulnerable phase in the electric cycle of the heart, and prolongation of this interval may lead to serious side effects. Amisulpride has been associated with QT prolongation. Although the mechanism linking amisulpride to this adverse event is not known, amisulpride is a weak inhibitor of human ether-a-go-go-related gene (hERG) potassium channels, and it has been shown that QT prolongation is dependent on amisulpride systemic exposure. At therapeutic doses of amisulpride up to 1,200 mg/day, literature reports of cardiac toxicity due to QT prolongation are extremely rare.

Completed Phase 1b PET Imaging Trial

We conducted a Phase 1b dopamine receptor occupancy trial of LB-102 in the United States using PET imaging to assess dopamine receptor occupancy in the brains of healthy volunteers. In this trial, the ability of LB-102 to bind to dopamine receptors was measured directly by displacement of the dopamine receptor PET ligand 11C-raclopride. This trial enrolled four cohorts of healthy volunteers dosing from 50 mg to 100 mg per day. The first three cohorts in this trial received a single dose of LB-102; in the fourth cohort, volunteers were dosed once-daily for four days. Of the four healthy volunteers in the fourth cohort, two received one daily dose of 50 mg, and two received one daily dose of 100 mg, each over four days.

 

137


Table of Contents

LOGO

Design of the Phase 1b imaging trial of LB-102.

We announced data from our Phase 1b trial in December 2021. We observed that single doses of LB-102 led to a linear, dose-dependent dopamine receptor occupancy that achieved maximal levels at approximately eight hours post-dose and persisted for at least 24 hours, as shown in the figure below. Based on results from our 50 mg single-dose cohort, we measured dopamine receptor occupancy at 48 hours for the 75 mg single-dose cohort. These results and the previously observed plasma half-life of approximately 12 hours supported our decision to develop LB-102 for once-daily dosing.

 

LOGO

 

For cohorts one, two, and three, single doses of LB-102 led to dose-dependent dopamine receptor occupancy.

We evaluated dopamine receptor occupancy under steady-state conditions in our fourth dose cohort. We observed that the receptor occupancy following the Day 4 dose was relatively consistent over 24 hours in all four volunteers. Under steady-state conditions, at the 50 mg dose of LB-102, the average receptor occupancy was approximately 70%, and at the 100 mg dose, it was approximately 80%. Previous reports analyzing receptor occupancy of multiple antipsychotic drugs have found that occupancies of 60% to 80% correlate with maximum efficacy and tolerability in the treatment of schizophrenia. Receptor occupancy above 80% can be associated with an increased risk of EPS.

 

138


Table of Contents

The following chart depicts the dopamine receptor occupancy in the fourth cohort of our Phase 1b trial.

 

LOGO

Dopamine receptor occupancy following repeat dosing of LB-102. S1 and S2 indicate Subject #1 and Subject #2, respectively.

Dopamine receptor occupancy persisted over 24 hours after the final dose of LB-102 was administered under steady-state conditions and yielded a consistent engagement of dopamine receptors not always observed in other antipsychotic drugs.

Completed Phase 2 Trial of LB-102 in Acute Schizophrenia Patients

Clinical Trial Design

We conducted a four-week in-patient, double-blind, randomized, placebo-controlled Phase 2 trial of LB-102 for acute schizophrenia patients with total PANSS scores between 80 and 120, who have shown good response to previous antipsychotic drugs other than clozapine in the prior 12 months. The Phase 2 trial enrolled 359 participants at 25 clinical trial sites in the United States, who were randomized 3:3:1:3 across four cohorts, three doses of LB-102 and placebo (n=108). Prior to initiating dosing, patients underwent a seven-day wash-out period, a length of time that an enrolled patient may not receive any treatment before they begin the trial. Because we were able to achieve 70% receptor occupancy under steady-state conditions with a once-daily dose of 50 mg of LB-102, we chose to advance this as the lowest dose in our Phase 2 trial (n=107 participants) while exploring the potential of higher doses at 75 mg (n=108 participants) and 100 mg (n=36 participants). Based on previous results, we believed that there was a potential for the 100 mg dose to result in receptor occupancy above 80%. As a result, we chose to limit the number of participants enrolled at this dose level while maintaining enough patients to provide insight into the therapeutic potential of this dose. Participants in each cohort received once-daily doses for four weeks.

The primary endpoint of this trial was to evaluate the efficacy of the 50 mg and 75 mg doses of LB-102 compared to the placebo, as measured by change from baseline in PANSS total score at four weeks. The secondary endpoints included change from baseline in the Clinical Global Impression-Severity, or CGI-S (which measures the severity of schizophrenia) as measured by clinicians, and change from baseline on the PANSS subscale and Marder factor scores at four weeks. The 100 mg dose cohort was exploratory and was intended to characterize safety at the higher dose. However, we analyzed the 100 mg cohort with the same statistical rigor, including sensitivity analyses, applied to the 50 and 75 mg cohorts. We also evaluated the safety and pharmacodynamics of LB-102.

 

139


Table of Contents

The following chart demonstrates the design of this Phase 2 trial.

 

LOGO

Design of the Phase 2 trial of LB-102 in schizophrenia.

The topline results from the trial were announced in January 2025. Based on the design of this clinical trial, the results discussed below, and recent positive feedback from FDA as part of our end-of-Phase 2 interaction, we believe this Phase 2 trial may serve as one of two adequate well-controlled clinical trials of LB-102 required for approval. However, there is no guarantee that will be the case. In addition to our planned 6-week Phase 3 trial, which we shared with the FDA as part of our end-of-Phase 2 interaction, we anticipate the FDA will require 1,500 patient exposures to support an approval in schizophrenia. We expect to accrue these patient exposures through the registrational trial as well as an open-label trial that we expect to conduct concurrently with the Phase 3 trial.

Demographics and Patient Characteristics

Of the 359 participants enrolled in this Phase 2 trial, 81% (n=290) were male and the average age was 39.1 years. Participants were diagnosed with schizophrenia a minimum of two years prior to enrollment in the trial with an average time since diagnosis of 15.8 years. The baseline PANSS scores were balanced across all four cohorts with mean measurements of 93.8, 93.9, 93.6 and 93.9 for the placebo, 50 mg, 75 mg and 100 mg cohorts, respectively. Acute schizophrenia is measured as 80 to 120 on the PANSS scale. If a patient drops below 80, they are no longer considered to be in the acute phase of the disease. There were several psychiatric and neurological disorders diagnosed in greater than 5% of the participant population prior to the trial including insomnia (74.1%), anxiety (58.8%), depression (32.9%), agitation (30.1%), and headache (40.1%).

We also used the CGI-S total score to measure the severity of schizophrenia in participants at baseline and weekly for the four weeks of the trial. Using the CGI-S, the investigator rated the participants’ severity of illness, including behavior, symptoms, and function, over the past week on a scale of one to seven, with seven being the most severe. All participants were categorized at least as moderately ill, or a 4 on the CGI-S scale, with the majority of participants (range of 61.1% to 70.4% across the four cohorts) categorized as being markedly ill, or a 5 on the CGI-S scale, at baseline.

 

140


Table of Contents

LOGO

CGI-S Scores at baseline.

Efficacy Results

Primary Endpoint

The clinical trial achieved the primary endpoint of change from baseline in PANSS total score at four weeks. The least squares mean change from baseline at Week 4 was a 14.3-point decrease and 14.0-point decrease in PANSS score for the 50 mg and 75 mg cohorts, respectively. The exploratory 100 mg cohort showed a 16.1-point decrease in PANSS total score at Week 4. The placebo cohort had a 9.3-point decrease in PANSS total score. We included a number of measures in this Phase 2 trial in order to reduce the risk of an elevated placebo rate including consistent, frequent, and close engagement with clinical sites, the use of a third-party vendor to help identify and exclude professional patients from the trial, and a centralized review of PANSS ratings to ensure consistency and quality control throughout the trial. When adjusted for placebo-response, the 50 mg cohort achieved a five-point decrease (p=0.0009) and the 75 mg cohort achieved a 4.7-point decrease (p=0.0022) in PANSS total score. Despite the highest dose cohort being exploratory and not sized to detect a statistically significant difference, the 100 mg cohort demonstrated a 6.8-point decrease (nominal p=0.0017) in PANSS total score when adjusted for placebo, which did achieve statistical significance.

 

141


Table of Contents

LOGO

Least square (LS) mean change from baseline in PANSS total score.

The decrease in PANSS total score was observed as early as the first measurement on Day 8 with improvement seen through Week 4 across all three dose cohorts.

 

LOGO

Change in PANSS total score from baseline over time.

At Week 4, the 50 mg, 75 mg, and 100 mg groups showed effect sizes of 0.61, 0.41, and 0.83, respectively, as highlighted in the table below. Effect size is calculated by taking the difference in average observed PANSS change among completers between two groups (an active treatment arm and placebo) and dividing it by a single measure of variability that combines both groups’ spreads—also called the observed pooled standard deviation. The observed pooled standard deviation averages how much individual patients’ score changes scatter around their group’s mean. Clinicians value effect size because it conveys not just how large the average PANSS improvement is, but also how consistently patients respond. Even if two treatments reduce PANSS by the same amount on average, the one with less scatter (i.e., a lower observed pooled standard deviation) will have a higher effect size—and gives a clinician more confidence that a higher proportion of patients will see that same benefit.

 

142


Table of Contents

Dose of LB-102

   Effect Size versus Placebo  

50 mg

     0.61  

75 mg

     0.41  

100 mg

     0.83  

Effect Size versus Placebo in our Phase 2 trial.

We also calculated effect size versus placebo based on all patients with at least one post-baseline PANSS assessment combining both observed and imputed data and yielding effect sizes of 0.50 at 50 mg, 0.45 at 75 mg, and 0.64 at 100 mg.

Secondary Endpoints

Within this trial, responders were defined as those who had a 20% or greater reduction in PANSS score at Week 4 (floor-adjusted). The three dose cohorts achieved a responder rate of 31.9% (p=0.0587), 32.1% (p=0.0160), and 43.5% (p=0.0214) for the 50 mg, 75 mg, and 100 mg dose cohorts, respectively, compared to a responder rate of 18.3% for the placebo cohort.

We also assessed response to treatment with LB-102 using PANSS subscales for positive and negative symptoms, respectively. Looking specifically at positive symptom response, we observed a 4.8-point decrease (p=0.0051), 4.9-point decrease (p=0.0039), and 5.3-point decrease (p=0.0120) in the PANSS subscale for the 50 mg, 75 mg, and 100 mg dose cohorts, respectively, compared to a 3.1-point decrease in the placebo cohort. When looking at the negative symptom PANSS subscale, we observed a 2.2-point decrease (p=0.0116), 1.7-point decrease (p=0.1633), and 1.8-point decrease (p=0.2632) in the 50 mg, 75 mg, and 100 mg dose cohorts, respectively, compared to a 1.1-point decrease in the placebo cohort.

 

LOGO

LS Mean change in PANSS score from baseline to Week 4 in positive subscale.

 

143


Table of Contents

LOGO

LS Mean change in PANSS score from baseline to Week 4 in negative subscale.

We also conducted an exploratory post-hoc analysis of our Phase 2 data on the treatment effect in patients with negative symptoms at baseline (i.e., those patients with a PANSS Negative Subscore greater than or equal to 24). In patients with negative symptoms at baseline, the LS Mean change in negative symptom scores at Week 4 was -1.6 (placebo), -3.4 (50 mg, Δ -1.7, p=0.0045 versus placebo; effect size=0.67), -2.6 (75 mg, Δ -1.00, p=0.1501, effect size=0.34), and -3.3 (100 mg, Δ -1.70, p=0.0658, effect size=0.60). Across all analyses, the effect on negative symptoms was seen at the first measurement at week 1 and continued through Week 4.

Using the CGI-S scale, participants in all three dose cohorts demonstrated an improvement in total scores from baseline to Week 4. We observed a 0.72-point decrease (p=0.0008), 0.67-point decrease (0.0048), and 0.84-point decrease (0.0026) in the 50 mg, 75 mg, and 100 mg dose cohorts compared to a 0.39-point decrease in the placebo cohort. With these changes, the majority of participants shifted from markedly ill (CGI-S of 5) at baseline to moderately ill (CGI-S of 4, range of 45.8% to 65.2% of participants across all three dose cohorts) or mildly ill (CGI-S of 3, range of 17.4% to 25.3% of participants across all three dose cohorts). A small number of participants (0% to 2.2% across all three dose cohorts) achieved a CGI-S score of 2, which is considered borderline mentally ill.

 

LOGO

LS mean change in CGI-S total score from baseline to Week 4.

 

144


Table of Contents

LOGO

Shift in CGI-S Score from baseline (shadowed colors) to Week 4 (solid colors).

We also used the PANSS Marder factor, a way to analyze the PANSS data to identify responses in different dimensions of schizophrenia, including positive symptoms, disorganized thought, uncontrolled hostility/excitement, negative symptoms and anxiety/depression. PANSS Marder is a way to group the 30 individual items of the PANSS into five broader categories or dimensions. This factor structure is widely used in clinical trials and research to assess and analyze symptoms of schizophrenia. Statistically significant reductions were seen from baseline to Week 4 for all three dose cohorts for positive symptoms, disorganized thought and uncontrolled hostility/excitement. Numerical reductions, which did not reach statistical significance, were observed from baseline to Week 4 for all three dose cohorts for negative symptoms and anxiety/depression. These findings are depicted below:

 

LOGO LOGO LOGO LOGO LOGO

Change in PANSS Scores from baseline to Week 4 for each of the five Marder factors; * P<0.05, ** P<0.01 versus placebo.

Safety and Tolerability Results

In the Phase 2 trial, LB-102 was generally well tolerated. Safety was assessed through TEAEs, and EPS was assessed through TEAEs as well as the Simpson-Angus Scale, or SAS, the Barnes Akathisia Rating Scale, or BARS, and the Abnormal Involuntary Movement Scale, or AIMS. The majority of TEAEs were mostly transient and mild to moderate in severity. TEAEs were defined as any adverse event that began on or after the first dose of trial medication, or any pre-existing condition that reappeared during the treatment period and up to 14 days following the last dose. TEAEs were reported in 56% (placebo), 69% (50 mg), 57% (75 mg), and 75% (100 mg)

 

145


Table of Contents

of participants. The most commonly reported TEAEs were psychiatric neurological conditions that many participants were experiencing at the time of enrollment. Weight increase was the only TEAE to occur in at least 5% of the total population and at a rate at least twice that observed with placebo (LB-102 50 mg at 12.1%; LB-102 75 mg at 7.4%; LB-102 100 mg at 8.3%; placebo at 3.7%). This TEAE includes any weight increase without a threshold. Over the course of the trial, we observed approximately 1.6 kg placebo-adjusted weight gain on a last observation carried forward basis. Despite the weight gain observed in the four-week trial, no clinically meaningful signal in metabolic parameters such as cholesterol, LDL, HDL, triglycerides or fasting glucose were observed. The discontinuation rate reached 18% during the treatment period (four weeks) and 27% when taking into account up to 14 days following the last dose. The most common comorbid medical conditions at baseline were insomnia (74.1%), anxiety (58.8%), headache (40.1%), depression (32.9%), and agitation (30.1%). Comorbid conditions at study entry enriched the reporting of TEAEs in our trial. Because TEAEs were defined as any adverse event that began on or after the first dose of trial medication, or any pre-existing condition that reappeared during the treatment period and up to 14 days following the last dose, the rates of certain AEs, such as insomnia, appear elevated in both placebo and LB-102 patients. Change from baseline to Week 4 in SAS, AIMS, and BARS demonstrated no difference between treatment arms and placebo. The following table summarizes the adverse events from the trial:

 

Adverse Events    50 mg
(N=107)
   75 mg
(N=108)
   100 mg
(N=36)
   Placebo (N=108)

Insomnia

   27 (25.2%)    23 (21.3%)    14 (38.9%)    24 (22.2%)

Headache

   12 (11.2%)    9 (8.3%)    2 (5.6%)    10 (9.3%)

Anxiety

   10 (9.3%)    9 (8.3%)    4 (11.1%)    9 (8.3%)

Agitation

   11 (10.3%)    6 (5.6%)    4 (11.1%)    10 (9.3%)

Weight increase

   13 (12.1%)    8 (7.4%)    3 (8.3%)    4 (3.7%)

Hyperprolactinemia

   11 (10.3%)    8 (7.4%)    6 (16.7%)    0

Blood creatine phosphokinase increased

   4 (3.7%)    1 (0.9%)    2 (5.6%)    3 (2.8%)

Alanine aminotransferase increased

   3 (2.8%)    1 (0.9%)    2 (5.6%)    1 (0.9%)

Somnolence

   1 (0.9%)    4 (3.7%)    2 (5.6%)    0

Constipation

   4 (3.7%)    1 (0.9%)    2 (5.6%)    0

TEAEs reported in 5% or more of patients in any cohort.

Ten participants reported TEAEs leading to withdrawal, including two in each of the placebo and 50 mg cohorts as well as three in each of the 75 mg and 100 mg cohorts. There were five reported serious adverse events, or SAEs, overall with two SAEs in the placebo cohort (psychotic disorder and death), one SAE in the 50 mg cohort (suicidal ideation – deemed possibly related to treatment), one SAE in the 75 mg cohort (dystonia – deemed possibly related to treatment) and one SAE in the 100 mg cohort (psychotic disorder – deemed not related to treatment). The incidence of TEAEs was similar across groups, with most events being mild or moderate.

 

146


Table of Contents

Because of the frequency of certain adverse events associated with schizophrenia medications, we identified adverse events of special interest, including EPS, sedation, adverse events associated with a prolactin increase, and QT interval corrected for heart rate, or QTcF, prolongation. These adverse events are depicted in the tables below.

 

EPS

Number of subjects (% of treatment group)

Preferred Term

   50 mg
(N=107)
   75 mg
(N=108)
   100 mg
(N=36)
   Placebo
(N=108)

Dystonia

   0    3 (2.8%)    1 (2.8%)    1 (0.9%)

Akathisia

   1 (0.9%)    2 (1.8%)    0    1 (0.9%)

Extrapyramidal disorder

   0    1 (0.9%)    1 (2.8%)    2 (1.9%)

Total EPS

   1 (1.0%)    6 (5.6%)    2 (5.6%)    4 (3.7%)

Related to prolactin increase

Number of subjects (% of treatment group)

Preferred Term

   50 mg
(N=107)
   75 mg
(N=108)
   100 mg
(N=36)
   Placebo
(N=108)

Galactorrhea

   2 (1.9%)    1 (0.9%)    0    0

Breast enlargement

   0    0    1 (2.8%)    0

Erectile dysfunction

   0    0    1 (2.8%)    0

Total related to Prolactin

   2 (1.9%)    1 (0.9%)    2 (5.6%)    0

Sedation

 

Number of subjects (% of treatment group)

Preferred Term

   50 mg
(N=107)
   75 mg
(N=108)
   100 mg
(N=36)
   Placebo
(N=108)

Sedation

   0    1 (0.9%)    0    0

QTcF Prolongation

 

QTcF from Baseline at Day 28 (ms)

     50 mg
(N=107)
   75 mg
(N=108)
   100 mg
(N=36)
   Placebo
(N=108)

Baseline

   393.4    394.7    390    393.4

Day 28

   4.9    4.3    5.4    1.7

Stopping criteria not met at any dose

 

 

Exploratory Endpoints

We also included a measure of cognition as an exploratory endpoint in our Phase 2 trial. This analysis utilized the CogState Computerized Schizophrenia Battery of Tests, a well validated measure of cognitive ability in subjects with schizophrenia. Patients had one practice session during the screening visit and completed the actual test on the first day of treatment (Day 1), the baseline assessment, and again on the last day of treatment (Day 28), the final assessment. The CogState battery utilized in our Phase 2 trial consisted of five tests designed to evaluate psychomotor function, memory, attention, working memory, and executive function. Test completion rate, one measure of quality control, was greater than or equal to 99% for each test across baseline and Day 28 visits. The test performance pass rate, another metric of quality control where data for a complete test is compared to expected rates of performance, was generally high for each test, with rates ranging from 93.6% to 99.4%. As part of our analysis of this data and consistent with other published literature utilizing the same CogState battery of tests, we conducted a post-hoc analysis in which we computed a global composite effect size, or overall improvement in cognition, versus placebo after excluding certain outliers that did not meet the test performance pass quality control metric. After excluding these outliers, the analysis was completed in all patients and did not enrich for patients with higher levels of cognitive impairment at baseline. After 4 weeks of treatment with LB-102, a robust, dose-dependent, and significant treatment effect size was identified in the completer population for all doses of LB-102 compared with placebo. Results of this analysis are highlighted in the table below.

 

147


Table of Contents

Dose

   Effect Size versus Placebo    p-value    n

50 mg

   0.26    0.0476    84

75 mg

   0.41    0.0027    74

100 mg

   0.66    0.0018    20

We believe that the magnitude of cognitive improvement and dose-dependent effect observed in this trial supports the further evaluation of the potential cognitive impacts of LB-102 in schizophrenia including in patients who have been stabilized with respect to positive symptoms of the disease. We also expect to study cognition in other diseases where cognitive impairment is well recognized to be a domain of the disease, including bipolar depression. We are also encouraged by the improvements observed in cognition in this trial and intend to further investigate the effects of LB-102 on cognition in both schizophrenia and bipolar depression. Improvements in cognition, if replicated in our subsequent clinical trials, have the potential to further support the differentiation of LB-102.

Planned Phase 3 Trial of LB-102 in Acute Schizophrenia and Additional NDA-Enabling Studies

We are planning to initiate a six-week Phase 3 trial of LB-102 in participants with acute schizophrenia in the first quarter of 2026, which, if positive, may be sufficient to support a regulatory approval application along with our Phase 2 trial and other planned NDA-enabling studies. The Phase 3 trial is anticipated to be a three-arm, inpatient, double-blinded, placebo-controlled, oral once-daily dose of LB-102 in patients with acute schizophrenia, with a six-week treatment duration. We plan to study the effects of 50 mg LB-102 or 100 mg LB-102 versus placebo in this trial, and patients will be randomized in a 1:1:1 ratio across the three arms of the trial. The sample size will be approximately 400 patients, and we plan to conduct this trial entirely in the United States at approximately 25 sites, a similar number of sites as were utilized in our Phase 2 acute schizophrenia trial. We expect there to be significant overlap between the sites utilized in our Phase 2 trial and those we plan to utilize in the Phase 3 trial. The primary endpoint of the trial is anticipated to be change from baseline in PANSS at Day 42. To mitigate the risk of an elevated placebo response in this trial, we expect to employ the same strategies which proved effective in our Phase 2 acute schizophrenia trial including consistent, frequent, and close engagement with clinical sites, the use of two third-party vendors (including the one used in our Phase 2 trial) to help identify and exclude professional patients from the trial, and a centralized review of PANSS ratings to ensure consistency and quality control throughout the trial. Secondary endpoints will include CGI-S, PANSS positive and negative subscales, Marder factor scores, the Personal and Social Performance Scale, or PSP, and cognition as well as safety and tolerability. We believe that the 6-week duration of this Phase 3 trial has the potential to further improve PANSS reductions observed following treatment with LB-102 given that in our Phase 2 trial, the PANSS score in the LB-102 treated arms declined at a faster rate than placebo through the 28-day duration of our Phase 2 trial. We expect to report topline data from the trial in the second half of 2027. Concurrently with the Phase 3 trial we expect to run an outpatient, open label trial to accrue the requisite safety population required to support NDA submission as well as other clinical and non-clinical studies typically required by FDA at the time of approval. To support approval, the safety population must include at least 1,500 cumulative patient exposures to LB-102, including at least 100 patients with greater than or equal to one year of exposure and 300 patients with greater than or equal to six months of exposure. As a result, we expect to enroll approximately 900 patients in our planned open label safety trial. If our Phase 3 trial is positive, we plan to hold a pre-NDA meeting with the FDA in the first quarter of 2028 to seek agreement from FDA on the suitability of our data to support an NDA submission for the treatment of schizophrenia with potential for submission of such NDA thereafter.

Bipolar Depression

Overview and Disease Background

People living with bipolar depression experience extreme shifts in mood, energy, and behavior, alternating between manic and depressive states. There are two types of bipolar disorder, distinguished as bipolar 1 and 2,

 

148


Table of Contents

which are characterized by chronically occurring episodes of mania or hypomania alternating with depression. To be diagnosed with bipolar 1 disorder, a person must experience a manic episode defined as a distinct period of persistently elevated or irritable mood with increased activity or energy lasting for at least seven days or requiring hospitalization. The manic episode may be preceded or followed by a hypomanic or major depressive episode. A bipolar 2 disorder diagnosis is based on experiencing hypomanic episode and major depressive episode without a manic episode. Manic episodes are markedly more severe than hypomanic episodes.

People experiencing a manic episode may have a highly inflated sense of self-worth or self-esteem, talk quickly and rapidly shift from one idea to the next, have trouble concentrating, be easily distracted, have a decreased need for sleep, engage in reckless or risk-taking behavior and have a fixed or mistaken grandiose or persecutory belief. During a depressive episode, a person may experience poor concentration, feelings of excessive guilt or low self-worth, hopelessness about the future, thoughts of dying or suicide, disrupted sleep, changes in appetite or weight and feeling very tired or low in energy. For those living with bipolar disorder, an estimated 82.9% have serious impairment due to the disease, the highest percent of serious impairment among all mood disorders, indicating there is significant need for new and better treatment options.

Limitations of Current Treatments for Bipolar Depression

Worldwide, it is estimated that 40 million people live with bipolar disorder. In the United States, an estimated 2.8%, or approximately seven million people, experience bipolar disorder in a given year. Stigma and discrimination against people with bipolar disorder are widespread, which can undermine access to treatment. Although with proper treatment, recovery is possible. Mood stabilizers and antipsychotic drugs which are the mainstay for treatment of bipolar disorder, have been shown to help manage periods of acute mania as well as depression. Based on third-party market research conducted for us, an important advantage of certain antipsychotic drugs in the treatment of bipolar depression is the ability to control depressive symptoms while preventing the emergence of mania. Antidepressants, such as selective serotonin reuptake inhibitors, can be effective in controlling depressive symptoms but also carry a risk of triggering manic events and therefore are typically reserved for later lines of therapy. This market research, together with an advisory board that we held, also highlight unmet needs in the treatment of bipolar depression. These unmet needs include fewer adverse events, better efficacy, including improvements in cognition and anhedonia, improved compliance to treatment, and a desire for therapies with novel mechanisms of action.

Our Solution: LB-102 for the Treatment of Bipolar Depression

In addition to our clinical development program in schizophrenia, we plan to leverage our expertise in neuropsychiatry and the unique mechanism of action of LB-102 for further development in bipolar depression. If successful in bipolar depression, we may also develop LB-102 in MDD. In the future, we may also develop LB-102 for other psychiatric disorders, including schizophrenia with predominantly negative symptoms, psychosis and agitation in Alzheimer’s disease, manic episodes of bipolar disorder, as well as CIAS. We plan to initiate a registrational-quality randomized Phase 2 trial in this indication in the first quarter of 2026, with topline data expected in the first quarter of 2028. Our initial Phase 2 trial will explore the utility of LB-102 in controlling the depressive symptoms of the disease. We may also develop LB-102 as a potential treatment for the manic episodes of bipolar disorder in the future.

We believe LB-102’s strong antagonism of the D2, D3, and 5HT7 receptors makes it well suited for treating bipolar depression, providing potential to control psychosis and mania through its effects on D2 and potential for antidepressive and pro-cognitive effects through its antagonism of 5HT7 and D3. Our Phase 2 trial of LB-102 in acute schizophrenia demonstrated strong antipsychotic activity and suggests opportunities for potential differentiation in bipolar depression given the observed tolerability profile (low rates of EPS, sedation, and gastrointestinal side effects) and positive impact on cognition. Amisulpride is approved for the treatment of dysthymia, a form of depression, in certain countries outside of the United States and has been shown to be as effective as certain approved agents for MDD and dysthymia. We believe that results in dysthymia and MDD

 

149


Table of Contents

provide strong scientific and clinical rationale for development of LB-102 in the treatment of depressive episodes associated with bipolar disorder or bipolar depression because episodes of major depression, whether unipolar (as in MDD) or bipolar (as in bipolar depression), are typically characterized by a similar imbalance in the neurotransmitters serotonin, noradrenaline, and dopamine, regardless of the underlying pathophysiology of the disease.

Additionally, among the four antipsychotics currently approved for schizophrenia and MDD or treatment resistant depression that were also studied in late-stage bipolar depression trials (quetiapine, cariprazine, aripiprazole, and olanzapine), three out of four, or 75%, generated positive data for the treatment of bipolar depression. There is also widespread use of amisulpride in bipolar disorder with approximately 3.4% of at least two million monthly prescriptions in Europe written for this indication. A non-racemic form of amisulpride showed strong antidepressant activity in two independent third-party, placebo-controlled bipolar depression trials with an approximately 17 to 18-point reduction in MADRS from baseline observed in each trial. The non-racemic form of amisulpride has been shown to be substantially similar to amisulpride in preclinical models. Our planned Phase 2 trial for bipolar depression will utilize a fixed-flexible dose of LB-102. This trial design allows us to evaluate two doses of LB-102 in the trial, thereby increasing the chances for a patient to derive clinical benefit from treatment with LB-102, while retaining the advantages of a two-arm trial, which is known to mitigate the risk of a high placebo rate. Additionally, flexible dose trials typically have better signal detection than fixed dose trials for depression, as flexible dose trials lower the magnitude of symptom reduction with placebo. We believe LB-102 has the potential to provide improved tolerability and clinical activity in bipolar depression compared to currently available treatments worldwide, which are associated with troubling adverse events and insufficient efficacy for certain symptoms, including cognitive impairment associated with the disease.

Planned Phase 2 Trial of LB-102 in Bipolar Depression

We are planning to initiate a Phase 2 trial of LB-102 in participants with depressive episodes associated with bipolar 1 disorder or bipolar depression in the first quarter of 2026, which, if positive, could potentially support a regulatory pathway along with an additional Phase 3 trial for the treatment of bipolar depression as a monotherapy. We plan to report topline data for this trial in the first quarter of 2028 and, subject to positive results from that trial, meet with the FDA to discuss trial results at an end-of-Phase 2 meeting thereafter. The Phase 2 trial is designed to be an outpatient, two-arm, double-blinded, placebo-controlled, oral, once-daily fixed-flexible dose of LB-102 in patients with depressive episodes associated with bipolar 1 disorder, with six-week treatment duration. We plan to enroll approximately 320 patients and conduct this trial entirely in the United States at approximately 30 sites. Patients will be randomized in a 1:1 ratio to LB-102 or placebo. Across most atypical antipsychotics, bipolar depression doses are usually approximately 50% lower than schizophrenia doses to keep D2 receptor occupancy at a level that lowers the potential for EPS yet high enough for antidepressant benefit. This is the dosing model that was used by Vraylar and Latuda, both of which are approved for schizophrenia and bipolar depression. In contrast, Caplyta, another drug approved for use in both schizophrenia and bipolar depression, utilized the same dose in both indications, in part because of its low rates of EPS. In selecting doses for our Phase 2 trial, we are blending these two paradigms. We plan to initiate all patients on half the lowest dose used in our acute schizophrenia trial (25 mg). Importantly, we believe that results of our Phase 2 acute schizophrenia trial, which demonstrated <1% EPS and no sedation even at 50 mg, provide us an opportunity to explore that dose in bipolar depression similar to Caplyta, which used a single dose across both indications. All patients randomized to receive LB-102 will begin treatment at 25 mg for the first three weeks of the trial. At the end of Week 3, if a patient has not improved based on a protocol guided set of specific items in the Clinical Global Impression-Bipolar Illness, or CGI-BP, scale and the patient is tolerating the drug, the dose of LB-102 will be increased in this patient to 50 mg for the remaining three weeks of the trial, subject to an allowance for up to one dose reduction for safety reasons. This trial design allows us to evaluate two doses of LB-102 in the trial, thereby increasing the chances for a patient to derive clinical benefit from treatment with LB-102, while retaining the advantages of a two-arm trial, which is known to mitigate the risk of a high placebo rate. The primary endpoint is expected to be MADRS-10 and will compare all LB-102 treated patients regardless of the dose received versus placebo. Secondary endpoints are expected to include MADRS-6, CGI-BP-S,

 

150


Table of Contents

cognition, anhedonia, as well as safety and tolerability. We have designed this trial to highlight what we believe will be differentiating attributes of LB-102 in bipolar depression. Specifically, we are targeting competitive MADRS-10 versus other approved agents, improved tolerability as evidenced by lower rates of sedation and gastrointestinal side effects compared with other approved agents, a rate of EPS consistent with or lower than what we observed in our schizophrenia Phase 2 trial, and the potential to demonstrate improvements in anhedonia and cognition versus placebo, which we believe could address important unmet needs in this disease. Following a successful Phase 2 trial, we believe that a single additional Phase 3 trial could support an approval for LB-102 as a monotherapy to treat bipolar depression. We expect an additional Phase 3 trial to be required to support approval as an adjunctive therapy for bipolar depression. Based on historical precedent, we expect to be able to utilize the safety dataset that we generate from our open label acute schizophrenia trial to support a potential approval for LB-102 in bipolar depression as the doses utilized in our bipolar depression trial will be equivalent to or lower than those utilized in our acute schizophrenia trials.

Flexible dose trials typically have better signal detection than fixed dose trials for depression. A third-party study from 2003 examined if the dosing schedule (either a fixed dose or a flexible dose), in an antidepressant clinical trial affects the frequency with which antidepressants show statistical superiority over placebo. In flexible dose trials, 59.6% (34/57) of the antidepressant treatment arms were statistically significant compared to placebo. In contrast, in the fixed dose trials, only 31.4% (11/35) of the antidepressant treatment arms were statistically significant compared to placebo. These data suggest a significantly lower magnitude of symptom reduction with placebo in flexible dose trials compared to fixed dose trials. To further reduce the potential for an elevated placebo rate, we expect to employ many of the same strategies which proved effective in our Phase 2 acute schizophrenia trial including consistent, frequent, and close engagement with clinical sites, the use of two third-party vendors (including the one used in our Phase 2 trial) to help identify and exclude professional patients from the trial, and a centralized review of MADRS ratings to ensure consistency and quality control throughout the trial. We also expect to utilize remote structured assessments to enhance enrollment precision in our clinical trial, which has been shown to reduce placebo response rates.

Future Development Opportunities of LB-102

Potential Additional Indications for LB-102

In addition to schizophrenia and bipolar depression, we are exploring the possibility of testing LB-102 in other neuropsychiatric disorders, such as major depressive disorder, psychosis and agitation in Alzheimer’s disease, predominantly negative symptoms of schizophrenia, and CIAS.

Based on existing third-party data investigating amisulpride and a non-racemic form of the drug as a treatment for several types of depression and the approval of amisulpride in multiple countries outside of the United States for the treatment of dysthymia, a form of depression, we are exploring the potential to study LB-102 in major depressive disorder. It is estimated that there are approximately 20 million people suffering from MDD in the United States.

We are also assessing LB-102 as a potential treatment for psychosis and agitation in Alzheimer’s disease. A third-party clinical trial published in 2018 in The Lancet studying the efficacy of amisulpride in treating elderly patients with very late-onset schizophrenia-like psychosis showed that over 12 weeks, there was a statistically significant 7.7-point improvement in the BPRS (Brief Psychiatric Rating Scale, a prior iteration of the PANSS) for amisulpride as compared to placebo. Importantly, amisulpride was well-tolerated in this vulnerable elderly population, where the average age in this trial was 81. Another third-party clinical trial, published in 2017, explored dose levels of off-label use of amisulpride in treating older people with Alzheimer’s disease-related psychosis. The clinical trial showed a reduction in symptoms was associated with amisulpride concentration and D2/D3 occupancy. To further investigate the potential of LB-102 in Alzheimer’s disease, we will need to conduct a Phase 1 trial to evaluate the safety of LB-102 in a healthy elderly population (aged 65 and older). It is estimated that approximately 40% of the approximately seven million Americans with Alzheimer’s disease experience psychosis or agitation.

 

151


Table of Contents

While our current schizophrenia clinical program is designed to investigate LB-102 as a treatment for people experiencing the acute phase, or positive symptoms, of schizophrenia, we believe LB-102 also has potential to address predominantly negative symptoms based on the results from our Phase 2 trial and clinical experience to date with amisulpride, an indication with significantly fewer treatment options. Amisulpride demonstrated a statistically significant benefit versus placebo in three independent third-party placebo-controlled trials in patients with predominantly negative symptoms with treatment durations ranging from six weeks to six months. We are also encouraged by the magnitude of the cognitive benefit we have observed to date in our schizophrenia trials and are also assessing the potential to study LB-102 as a treatment for cognitive impairment of schizophrenia, an indication for which there are no approved therapies. In both negative symptoms of schizophrenia and CIAS, we will need to study LB-102 in patients who have been stabilized with respect to the positive symptoms of their disease.

Potential New Formulations of LB-102

We are also developing an LAI formulation of LB-102, which may improve treatment compliance, a common issue in patients with schizophrenia and bipolar disorder. LB-102’s consistent dopamine receptor engagement over 24 hours and the lower administered dose may allow LB-102 to be administered as an LAI. We believe an effective LAI form of LB-102 has the potential to benefit patients worldwide, as relatively few approved agents are available as long-acting formulations. The American Psychiatric Association recommends injectable formulations in circumstances where doing so will improve adherence, decrease mortality, reduce hospitalization risk, and decrease treatment discontinuation rates.

We believe LAI formulations can have additional benefits in treating symptoms of schizophrenia, such as consistent drug exposure, which is potentially beneficial compared to orally dosed antipsychotic drugs, as it relieves the requirement for patients or their caregivers to rely on often self-enforced daily oral dosing to maintain efficacy. The latest guidance from the American Psychiatric Association calls for the use of LAI with patients who have a history of poor adherence. Using LAI antipsychotic drugs to treat schizophrenia patients may decrease mortality risk, reduce hospitalization risk, and decrease rates of treatment discontinuation. We believe such a formulation of LB-102 would potentially benefit patients both in the United States and globally. We have commenced LAI formulation development and expect to continue these efforts in 2026. We believe that the success of the 50 mg dose in our Phase 2 acute schizophrenia trial affords the opportunity to develop an LAI.

 

152


Table of Contents

Market Opportunity

Schizophrenia is one of the top 15 leading causes of disability in the world and affects approximately 3 million Americans, or approximately 1% of the U.S. population. The United States market for branded antipsychotic drugs in 2024 was approximately $12 billion, where despite the widespread use of generic drugs, several branded antipsychotic drugs each generate sales in excess of $1 billion per year. The chart below depict the United States market share of branded antipsychotic drugs in the United States for 2024 in terms of revenue.

 

LOGO

United States market for branded antipsychotic drugs – 2024.

Among the schizophrenia drugs with greater than $1 billion in sales, all have approvals in additional indications beyond schizophrenia, such as mood disorders. In addition, these drugs generally received their initial approval in schizophrenia prior to their approvals in mood disorders. It is well recognized that in the United States, antipsychotic drugs have higher prices than antidepressants, such as the selective serotonin reuptake inhibitors. Vraylar, Abilify, Rexulti, and Caplyta are approved in the United States for the treatment of schizophrenia in adults. Beyond schizophrenia, Vraylar, Abilify, and Caplyta are approved for the treatment of bipolar depression.

 

153


Table of Contents

The high incidence of schizophrenia, inadequate clinical response, and side effects from current therapeutics lead to a discontinuation rate of 74% within 18 months of treatment and present a clear market opportunity for more effective schizophrenia drugs that are well-tolerated. Switching treatment is also common in bipolar depression. For example, market research that we conducted suggests that approximately 61% of bipolar depression patients have switched therapies at least once.

 

LOGO

Several factors, including new diagnoses, inadequate responses, and high discontinuation rates contribute to a significant market opportunity for effective schizophrenia drugs.

Additionally, data from 2023 show that despite limited marketing efforts, there were at least two million annual prescriptions for amisulpride in the European Union. We believe that amisulpride’s continued use as an agent for the treatment of schizophrenia outside of the United States over the past 25 years supports the significant commercial potential of LB-102, if approved.

License and Other Agreements

Royalty Agreements

In July 2016, we entered into several Royalty Participation Agreements, or the Original Royalty Agreements, with certain of our existing investors, co-founders, former and current directors, and former and current executive officers, including Zachary Prensky, Andrew Vaino, Ph.D., and Marc Panoff, for royalties payable, in the aggregate, of up to 5.0% of future commercial worldwide sales of LB-102. In this transaction, we received $0.2 million in cash in exchange for the certificate holders receiving convertible notes with a face value of $0.2 million, shares of our common stock and the future royalties provided for in the Original Royalty Agreements. The future royalty payments provided for in the Original Royalty Agreements had an expiration date of December 31, 2037. The royalties were transferable upon surrender of the royalty certificate accompanied by written and notarized instructions of the transfer, provided that the certificate holder could not transfer to any individual or entity (i) to which it was unlawful for us to make such payments or (ii) that owned, controlled or possessed voting rights in the aggregate of more than 10% of our common stock. We had the option to purchase all issued and outstanding royalty certificates under the Original Royalty Agreements by way of a tender offer to all such holders, which would become binding at such time as the holders of two-thirds of all outstanding royalty interests agreed in writing to accept such tender offer.

In August 2023, contemporaneously with the closing of the Series C financing, we entered into several Amended and Restated Royalty Agreements to remove the expiration date and modify royalties payable to certificate holders in the aggregate amount of up to 2.75% of net sales of LB-102 through December 31, 2035 and increasing to up to 3.25% of net sales in 2036 and thereafter. Future sales are defined in these agreements as

 

154


Table of Contents

the gross payments received on total commercial sales of LB-102, whether by us or by any licensee of LB-102. None of the proceeds from the Series C financing were allocated to the certificate holders as the investors in the Series C financing are not parties to the Original Royalty Agreements or the Amended and Restated Royalty Agreements. Each certificate holder has the same rights and obligations as the other holders except with respect to its individual royalty amount that may come due from us if we generate any revenue from future sales of LB-102. The certificate holders may not transfer rights under the applicable Amended and Restated Royalty Agreement to any individual, entity, corporation, partnership or any other such organization without our written consent, which shall not be unreasonably withheld. We may purchase all issued and outstanding royalty certificates under the Amended and Restated Royalty Agreements by way of a tender offer to all such holders, which will become binding at such time as the holders of two-thirds of all outstanding royalty interests thereunder agree in writing to accept such tender offer.

Intellectual Property

Overview

We strive to protect and enhance the proprietary technology, inventions and improvements that are commercially important to our business, including by seeking, maintaining, enforcing and defending patent rights. Our policy is to seek to protect our proprietary position by, among other methods, filing patent applications in the United States and in jurisdictions outside of the United States related to our proprietary technology, inventions, improvements, and product candidate that are important to the development and implementation of our business. We also rely, in part, on trade secrets and know-how relating to our proprietary technology and product candidate, continuing innovation, and in-licensing opportunities to develop, strengthen and maintain our proprietary position in the field of precision psychiatry and neuropsychiatric drug development; however, trade secrets are difficult to protect and provide us with only limited protection. Our commercial success will depend in part on our ability to obtain and maintain patent and other proprietary protection for our technology, inventions and improvements, to preserve the confidentiality of our trade secrets, and defend and enforce our proprietary rights, including any patents that we own or may obtain in the future. Intellectual property rights may not address all potential threats to our competitive advantage.

As of July 21, 2025, we owned approximately 49 patents and pending patent applications in the United States and foreign jurisdictions, including seven issued U.S. patents and 11 issued foreign patents. The issued patents, or patents that may be issued from the pending patent applications, are expected to expire between 2037 and 2046, without taking into account potentially available patent term adjustments or extensions in the United States and other countries, and assuming payment of all appropriate maintenance, renewal, and annuity fees. We expect the patent term adjustment or extension to be up to five years. Forty-one of the patents and pending patent applications relate directly to LB-102. Additionally, we own two U.S. patents that are directed to open-ring derivative compounds of LB-102. The two U.S. patents claim open-ring derivative compounds of LB-102 as compositions of matter and methods of using these derivative compounds in the treatment of schizophrenia and other mental illnesses. In addition, there are two patent applications pending in Hong Kong and one patent application pending in China, the European patent office, and Taiwan, respectively, that are directed to uses of the R-enantiomer of LB-102. These patent applications cover methods of using the R-enantiomer of LB-102 in treating schizophrenia and other mental illnesses, such as depression, bipolar disorder, Tourette’s syndrome, schizoaffective disorder, Parkinson’s psychosis, Alzheimer’s psychosis, oppositional defiant disorder, personality disorder, childhood schizophrenia, dysthymia, treatment resistant schizophrenia, chronic fatigue syndrome, and predominantly negative symptoms of schizophrenia.

Product Candidate Patent Portfolio

LB-102

As of July 21, 2025, we owned approximately 43 patents and pending patent applications in the United States and foreign jurisdictions relating to LB-102, including five issued U.S. patents and 11 issued foreign patents, seven pending U.S. patent applications, 19 pending foreign applications, and one pending patent cooperation treaty, or PCT, application.

 

155


Table of Contents

We own all of the following patents and pending patent applications directed to LB-102, which are summarized below:

 

Indication(s)

  

Subject Matter

  

Projected

Expiration

Date*

  

Issued or Pending Patent Applications/
Jurisdiction

Schizophrenia and other mental illnesses    Composition of Matter and method of treatment    2037    Respectively, one patent issued in each of the following: Australia, EPO, Indonesia, Japan, Republic of Korea, Malaysia, and Singapore, two patents issued in China and Hong Kong, and five patents issued in the United States; one patent application pending in each of the following: Australia, Brazil, Malaysia, New Zealand, Singapore, and the United States
   Method of Treatment    2042    Respectively, one patent application pending in each of the following: Australia, Brazil, Canada, China, EPO, Japan, Republic of Korea, Malaysia, New Zealand, Singapore, and the United States; and two patent applications pending in Hong Kong
   Method of Treatment (Poor Cognition)    2044    One PCT application pending; and one application pending in Taiwan.
   Method of Treatment    2046    Five provisional applications pending in the United States.
 
*

Projected expiration dates are based on issued patents or patents that may be issued from pending patent applications, and do not take into account possible patent term adjustments, extensions, or terminal disclaimers and assumes payment of all appropriate maintenance, renewal, and annuity fees.

With respect to LB-102, our U.S. and foreign patents and pending patent applications cover claims directed to composition of matter, and method of treating schizophrenia and other mental illnesses such as depression, bipolar disorder, Tourette’s syndrome, schizoaffective disorder, Parkinson’s psychosis, Alzheimer’s psychosis, oppositional defiant disorder, personality disorder, childhood schizophrenia, dysthymia, resistant schizophrenia, and chronic fatigue syndrome. The issued patents covering the composition of matter of LB-102 and method of treating schizophrenia are expected to expire in 2037, and any patents that may be issued from the pending patent applications are expected to expire between 2037 and 2046, in each case, without taking into account any possible patent term adjustment or extensions or terminal disclaimers and assuming payment of all appropriate maintenance, renewal, and annuity fees. Our foreign patents and pending patent applications are filed in foreign jurisdictions including Australia, Brazil, Canada, China, Europe, Hong Kong, Indonesia, Japan, the Republic of Korea, Malaysia, New Zealand, Singapore, and Taiwan.

Intellectual Property Protection

We continue to assess the extent to which we may seek additional patent protection related to our product candidate. The term of individual patents depends upon the date of filing of the patent application, date of patent issuance and the legal term of the patents in the countries in which they are obtained. In the United States, the patent term is 20 years from the earliest date of filing of the first non-provisional application to which priority is claimed. Outside of the United States, for patent applications first filed in the United States, the duration of patents varies in accordance with applicable local law, but typically is also 20 years from the earliest non-provisional filing date. In the United States, the patent term may be lengthened by a patent term adjustment,

 

156


Table of Contents

which compensates a patentee for administrative delays by the USPTO in examining and granting a patent, or may be shortened if a patent is terminally disclaimed over a patent with an earlier expiration date. Moreover, in the context of approved products, there may be additional exclusivity for the patents covering such approved products. In the United States, the term of a patent that covers an FDA-approved drug may also be eligible for a patent term extension of up to five years under the Hatch-Waxman Act, which is designed to compensate for the period of the patent term lost during the FDA regulatory review process. The length of the patent term extension is calculated based on the length of time it takes for regulatory review. There are specific limitations to a patent term extension under the Hatch-Waxman Act. The extension cannot exceed the remaining term of a patent beyond a total of 14 years from the date of product approval, only one patent applicable to an approved drug may be extended and only those patents with claims covering the approved drug, a method for using it, or a method for manufacturing it may be extended. A patent term extension provided for under the Hatch-Waxman Act is available only for the first approved use of the drug, and thus, no extension is available if a product is approved for a subsequent use. Moreover, a patent can only be extended once, and thus, if a single patent is applicable to multiple products, it can only be extended based on one product. Similar provisions are available in Europe and certain other foreign jurisdictions to extend the term of a patent that covers an approved drug.

We intend to pursue, in the normal course of business and when possible, additional patent protection for future compositions including solid state forms, methods of use, processes, composition, method of use, process, dosing, and formulations of our product candidate(s) we develop and commercialize. We may also pursue patent protection with respect to manufacturing and other technologies. In order to expand market exclusivity, we intend to strategically obtain or license additional intellectual property related to a current or contemplated product candidate.

In some instances, we submit patent applications to the USPTO as provisional patent applications. Corresponding non-provisional patent applications must be filed within 12 months of the provisional application filing date. Claims of the corresponding non-provisional application may be entitled to the benefit of the earlier provisional application filing date(s), and the patent term of the finally issued patent is calculated from the later non-provisional application filing date. Provisional applications for patents were designed to provide a lower-cost first patent filing in the United States. This system allows us to obtain an early priority date, add material disclosure to the patent application(s) during the 12-month period, obtain a later start to the patent term and to delay prosecution costs.

The PCT system allows a single application to be filed within 12 months of the original priority date of the patent application, and to designate all of the PCT member states in which national or regional patent applications can later be pursued based on the international patent application filed under the PCT. The PCT searching authority performs a patentability search and issues a non-binding patentability opinion which can be used to evaluate the chances of success for the national or regional applications prior to having to incur the filing fees and prosecution costs. Although a PCT application does not result in the issuance of a patent, it allows the applicant to seek protection in any of the member states through national/regional-phase applications. At the end of the period of two and a half years from the first priority date of the patent application, separate patent applications can be pursued in any of the PCT member states either by direct national filing or, in some cases by filing through a regional patent organization, such as the European Patent Office. The PCT system delays expenses, allows a limited evaluation of the chances of success for national/regional patent applications and enables substantial savings when applications are abandoned within the first two and a half years of filing. We intend to file U.S. non-provisional applications and PCT applications that claim the benefit of the priority date of our earlier filed provisional applications, when applicable.

For all patent applications, we determine claiming strategy on a case-by-case basis. Advice of counsel, country-specific patent laws, our business model and commercial needs are always considered. We may file patent applications containing claims for protection of all useful applications of our proprietary product candidate, as well as all new uses we discover for our existing product candidate, assuming these are strategically valuable. We continuously reassess the number and type of patent applications in our portfolio, as well as the pending and issued patent claims, to help ensure that maximum coverage and value are obtained for our

 

157


Table of Contents

processes, and compositions, given existing patent office rules and regulations. In addition, claims may be modified during patent prosecution, to the extent allowed, to meet our intellectual property and business needs.

There can be no assurance that we will be able to obtain, maintain, enforce, and defend all patents and other intellectual property rights necessary to conduct our business. The patents we currently own, possibly in-license in the future, or patents that issue from our owned patent applications, if any, may be challenged by third parties, may not effectively prevent third parties from commercializing competitive technologies or may not otherwise provide us with a competitive advantage. For more information regarding the risks related to our intellectual property, see the section titled “Risk Factors—Risks Related to Intellectual Property, Collaboration and Related Agreements.”

Sales, Marketing, and Commercialization

We do not currently have a commercial organization for the marketing, sales, and distribution of prescription pharmaceutical products. We intend to build our global commercialization capabilities internally over time, such that we are able to commercialize any product candidate for which we may obtain regulatory approval. We expect to manage future sales, marketing, and distribution through internal resources and third-party relationships. In addition, we will opportunistically explore commercialization partnerships, particularly with entities that have strong capabilities in geographies outside of the United States. As our current and future product candidates progress through clinical development and regulatory review, our commercial plans may change. Clinical data, the size of the development programs, the size of our target markets, the size of the requisite commercial infrastructure, the competitive landscape, and manufacturing needs may all influence our future commercialization strategies.

Manufacturing

We do not own or operate, and currently have no plans to establish, any manufacturing facilities. We have engaged, and expect to continue to rely on, well-established third-party CDMOs to produce and supply our product candidates for use in our preclinical studies and clinical trials. Because we are responsible for ensuring all aspects of our product candidates’ compliance and quality but rely on third-party contract manufacturers and analytical testing laboratories, we must employ personnel with extensive technical, manufacturing, analytical, and quality experience to oversee our contract manufacturing and testing activities, and to compile manufacturing and quality information for our regulatory submissions. We believe our current manufacturers have the scale, systems, and experience to supply our currently planned clinical trials.

Additionally, we intend to rely on third-party CDMOs for later-stage development and commercial manufacturing, if our product candidates receive marketing approval. As our lead product candidates advance through clinical development, we expect to enter into longer-term commercial supply agreements to fulfill and secure our production needs. Key starting material is manufactured by a limited number of CDMOs. The final drug substance in manufactured at a single CDMO. In the event it is necessary or advisable to acquire supplies from an alternative supplier, we might not be able to obtain them on commercially reasonable terms, if at all. It could also require significant time and expense to redesign our manufacturing processes to work with another company. If we need to change manufacturers during the clinical or development stage for product candidates or after commercialization for our product candidates, if approved, the FDA and corresponding foreign regulatory agencies must approve these new manufacturers in advance, which will involve testing and additional inspections to ensure compliance with FDA regulations and standards and may require significant lead times and delay.

To adequately meet our projected commercial manufacturing needs, our CDMOs will need to scale-up production, or we will need to secure additional suppliers. Processes for producing drug substances and drug product for commercial supply must be developed, with the goal of achieving reliable, reproducible, and cost-effective production. We believe the drug substance and drug product processes for our current product candidates can be appropriately scaled.

 

158


Table of Contents

Competition

The biopharmaceutical industry is characterized by rapid innovation and intense competition. While we believe that our lead product candidate, LB-102, offers a potentially attractive alternative to generic and branded therapeutics treating neuropsychiatric diseases, should it be approved for marketing, today we face competition from multiple biopharmaceutical and biotechnology companies that are similarly working to develop therapeutics targeting schizophrenia, as well as from academic institutions, governmental agencies, and public and private research institutions. Many of our potential competitors, either alone or with collaboration partners, have significantly greater financial resources than we do, as well as equal or greater experience in the discovery and development of product candidates, obtaining FDA and other regulatory approvals of products, and the commercialization of those products. Accordingly, our potential competitors may be more successful than we are in achieving regulatory approvals and commercializing their neuropsychiatric products. We anticipate that we will face intense and increasing competition from existing, approved drugs, if LB-102 becomes a commercial product, as well as new drugs entering the market in the future and emerging technologies that become available.

We believe the key competitive factors affecting the success of our product candidate, LB-102, that we are developing to address schizophrenia and bipolar depression, if approved, are likely to be efficacy, safety, frequency of dosing, convenience, price, the level of generic competition, and the availability of reimbursement from government and other third-party payors.

Patients with schizophrenia have historically been treated with a variety of antipsychotic drugs and, accordingly, we believe LB-102, if approved, would compete with several currently approved therapeutics, including: clozapine (marketed by HLS Therapeutics, Inc.); quetiapine (marketed by AstraZeneca plc); aripiprazole (marketed by Otsuka Pharmaceutical Co. Ltd.); risperidone (marketed by Janssen Pharmaceuticals, Inc.); olanzapine (marketed by Eli Lilly & Company Ltd.); haloperidol (marketed by Janssen Pharmaceuticals, Inc.); Latuda (marketed by Sumitomo Pharma America, Inc.); Invega (marketed by Janssen Pharmaceuticals, Inc.); Rexulti (marketed by Otsuka Pharmaceutical Co. Ltd and H. Lundbeck A/S); Vraylar (marketed by AbbVie Inc.); Caplyta (marketed by Janssen Pharmaceuticals, Inc.); iloperidone (marketed by Vanda Pharmaceuticals Inc.); Uzedy (marketed by Teva Pharmaceutical Industries Limited); Lybalvi (marketed by Alkermes, Inc.); and Cobenfy (marketed by Bristol-Myers Squibb Company, Inc.). We are also aware of several companies developing compounds for the treatment of schizophrenia, including Alto Neuroscience Inc., Minerva Neurosciences, Inc., MapLight Therapeutics, Inc., Reviva Pharmaceuticals Holdings, Inc., and Acadia Pharmaceuticals Inc., as well as other earlier stage competitors.

In bipolar depression, we believe LB-102, if approved, would compete with several currently approved therapeutics, including: Vraylar (marketed by AbbVie Inc.); Caplyta (marketed by Janssen Pharmaceuticals, Inc.); olanzapine-fluoxetine combination (Symbyax, marketed by marketed by Eli Lilly & Company Ltd.); quetiapine (marketed by AstraZeneca plc); Latuda (marketed by Sumitomo Pharma America, Inc.); and seroquel. We are also aware of several companies developing compounds for the treatment of bipolar depression, including Alto Neuroscience Inc., NRx Pharmaceuticals, Inc., and Xenon Pharmaceuticals Inc., as well as other earlier stage competitors.

Government Regulation

Government authorities in the United States, at the federal, state and, local level, and other countries extensively regulate, among other things, the research, development, testing, manufacture, quality control, approval, labeling, packaging, storage, record-keeping, promotion, advertising, distribution, marketing, and export and import of human drug products. We, along with any third-party contractors, will be required to navigate the various preclinical, clinical and commercial approval requirements of the governing regulatory authorities of the countries in which we wish to conduct studies or seek approval of our product candidates. The process of obtaining regulatory approvals and ensuring compliance with applicable federal, state, local, and foreign statutes, regulations and requirements both during development and post-approval requires the expenditure of substantial time and financial resources.

 

159


Table of Contents

U.S. Drug Development Process

In the United States, the FDA regulates drugs under the Federal Food, Drug, and Cosmetic Act of 1938, or the FDCA, and its implementing regulations. A new drug must be approved by the FDA through the NDA process before it may be legally marketed in the United States. Failure to comply with the applicable U.S. requirements at any time during the product development or approval process, or after approval, may subject an applicant to administrative or judicial sanctions brought by the FDA and the Department of Justice, or DOJ, or other governmental entities. The process required by the FDA before a drug may be marketed in the United States generally involves the following:

 

   

completion of preclinical laboratory tests, animal studies and formulation studies in accordance with FDA’s GLP regulations and other applicable requirements;

 

   

submission to the FDA of an IND, which must become effective before human clinical trials may begin;

 

   

approval by an IRB or ethics committee before each clinical trial may be initiated;

 

   

performance of adequate and well-controlled human clinical trials in accordance with GCPs to evaluate the safety and efficacy of the proposed drug for its intended use;

 

   

preparation of and submission to the FDA of an NDA;

 

   

a determination by the FDA within 60 days of its receipt of an NDA to file the application for review;

 

   

satisfactory completion of an FDA advisory committee review, if applicable;

 

   

satisfactory completion of FDA inspections of the manufacturing facility or facilities at which the drug is produced to assess readiness for commercial manufacturing and conformance to the manufacturing-related elements of the application, to conduct a data integrity audit, and to assess compliance with current cGMP regulations to assure that the facilities, methods and controls are adequate to preserve the drug’s identity, strength, quality and purity, and a potential inspection of selected clinical investigation sites to assess compliance with GCPs; and

 

   

FDA review and approval of the NDA.

Preclinical Studies and IND Application

Once a product candidate is identified for development, it enters the preclinical development stage. The preclinical developmental stage generally involves laboratory evaluations of chemistry, formulation, and stability, as well as studies to evaluate the product candidate’s toxicity, in an effort to support subsequent clinical testing. Such toxicity studies generally involve the use of animals, although an NDA applicant may fulfill nonclinical testing requirements by completing various in vitro assays (e.g., cell-based assays, organ chips, or microphysiological systems), in silico studies (i.e., computer modeling), other human or non-human biology-based tests (e.g., bioprinting), or in vivo animal tests.

Prior to beginning the first clinical trial with a product candidate in the United States, the product’s developer, also referred to as the IND sponsor, must submit the results of preclinical testing, together with manufacturing information and analytical data, to the FDA as part of an IND. An IND is a request for authorization from the FDA to administer an investigational drug product to humans, and must become effective before human clinical trials may begin. In addition to including the results of these nonclinical studies, the IND will also include a general investigational plan and a study protocol, detailing, among other things, the objectives of the clinical trial, the parameters to be used in monitoring safety, and the effectiveness criteria to be evaluated, if the trial protocol includes an efficacy evaluation. The IND may also include any available human data or literature to support the use of the product candidate. Additional nonclinical testing may continue even after the IND is submitted.

 

160


Table of Contents

The IND automatically becomes effective 30 days after receipt by the FDA, unless the FDA, within the 30-day time period, places the IND on clinical hold. In such case, the IND sponsor and the FDA must resolve any outstanding concerns or questions before the clinical trial can begin. Submission of an IND therefore may or may not result in FDA authorization to begin a clinical trial. Clinical holds also may be imposed by the FDA at any time after initiation of clinical trials due to safety concerns about ongoing or proposed clinical trials or non-compliance with specific FDA requirements, and the trials may not begin or continue until the FDA notifies the sponsor that the hold has been lifted. A clinical hold may affect one or more specific studies or all studies conducted under an active IND.

Human Clinical Trials in Support of an NDA

All clinical trials must be conducted under the supervision of one or more qualified investigators, generally physicians not employed by or under the trial sponsor’s control, in accordance with GCPs, which include, among other things, the requirement that all research subjects provide their informed consent in writing for their participation in any clinical trial. Clinical trials must be conducted under protocols detailing, among other things, the objectives of the trial, dosing procedures, research subject selection and exclusion criteria, and the safety and effectiveness criteria to be evaluated. Each protocol must be submitted to the FDA as part of the IND, and a separate submission to the existing IND must be made for each successive clinical trial conducted during product development and for any subsequent material amendments to a protocol. While the IND is active, progress reports summarizing the results of the clinical trials and nonclinical studies performed since the last progress report, among other information, must be submitted at least annually to the FDA. Sponsors also must submit written IND safety reports to the FDA and investigators in a timely matter for serious and unexpected suspected adverse events, findings from other studies suggesting a significant risk to humans exposed to the same or similar drugs, findings from animal or in vitro testing suggesting a significant risk to humans, and any clinically important increased incidence of a serious suspected adverse reaction compared to that listed in the protocol or investigator brochure.

Furthermore, an IRB must review and approve the protocol before a clinical trial commences and must also approve the information regarding the trial and the consent form that must be signed by each research subject or the research subject’s legal representative, monitor the study until completed, and otherwise comply with IRB regulations. Regulatory authorities, the IRB or the sponsor may suspend a clinical trial at any time on various grounds, including a finding that the subjects are being exposed to an unacceptable health risk or that the trial is unlikely to meet its stated objectives. In addition, some clinical trials also include oversight by an independent group of qualified experts organized by the clinical trial sponsor, known as a data safety monitoring board or committee. Depending on its charter, this group may determine whether a trial may move forward at designated check points based on access to certain data from the trial. There are also requirements governing the reporting of ongoing clinical studies and clinical trial results to public registries, including clinicaltrials.gov.

Human clinical trials are typically conducted in three sequential phases that may overlap or be combined:

 

   

Phase 1: The product candidate is initially introduced into healthy human subjects or patients and tested for safety, dosage tolerance, absorption, metabolism, excretion, distribution and elimination, and, if possible, to gain an early indication of its effectiveness.

 

   

Phase 2: The product candidate is administered to a limited patient population with a specified disease or condition to identify possible adverse effects and safety risks, to preliminarily evaluate the efficacy of the product candidate for specific targeted diseases, and to determine dosage tolerance and optimal dosage.

 

   

Phase 3: The product candidate is administered to an expanded patient population to further evaluate dosage, to provide substantial evidence of efficacy and to further test for safety, generally at multiple geographically dispersed clinical trial sites. These clinical trials are intended to establish the overall risk-benefit ratio of the product candidate and provide an adequate basis for product labeling.

 

161


Table of Contents

In some cases, the FDA may require, or sponsors may voluntarily pursue, additional clinical trials after a product is approved to gain more information about the product. These post-marketing clinical trials, sometimes referred to as Phase 4 studies, may be used to gain additional experience from the treatment of patients in the intended therapeutic indication. In certain instances, the FDA may mandate the performance of Phase 4 clinical trials as a condition of approval of an NDA.

A pivotal trial is a clinical trial that adequately meets regulatory agency requirements for the evaluation of a product candidate’s efficacy and safety such that it can be used to justify the approval of the product. Generally, pivotal trials are also Phase 3 trials but they may be Phase 2 trials if the trial design provides a reliable assessment of clinical benefit, particularly in situations where there is an unmet medical need. Congress recently amended the FDCA to require sponsors of a Phase 3 trial, or other “pivotal study” of a new drug to support marketing authorization, to design and submit a diversity action plan for such clinical trial. The action plan must include the sponsor’s diversity goals for enrollment, as well as a rationale for the goals and a description of how the sponsor will meet them. Sponsors must submit a diversity action plan to the FDA by the time the sponsor submits the relevant clinical trial protocol to the agency for review. The FDA may grant a waiver for some or all of the requirements for a diversity action plan. If the FDA objects to a sponsor’s diversity action plan or otherwise requires significant changes to be made, it could delay initiation of the relevant clinical trial.

During the development of a new drug, sponsors are given opportunities to meet with the FDA at certain points. These points may be prior to submission of an IND, at the end of Phase 2, and before an NDA is submitted. Meetings at other times may be requested. These meetings can provide an opportunity for the sponsor to share information about the data gathered to date, for the FDA to provide advice, and for the sponsor and the FDA to reach alignment on the next phase of development.

Concurrent with clinical trials, companies usually complete additional nonclinical studies and must also develop additional information about the chemistry and physical characteristics of the drug and finalize a process for manufacturing the product in commercial quantities in accordance with cGMP requirements. The manufacturing process must be capable of consistently producing quality batches of the product and, among other things, the manufacturer must develop methods for testing the identity, strength, quality, and purity of the finished drug product. In addition, appropriate packaging must be selected and tested, and stability studies must be conducted to demonstrate that the product does not undergo unacceptable deterioration over its shelf life.

Disclosure of Clinical Trial Information

Sponsors of clinical trials of certain FDA-regulated products, including prescription drugs, are required to register and disclose certain clinical trial information on a public registry maintained by the U.S. National Institutes of Health, or NIH. In particular, information related to the product, patient population, phase of investigation, study sites and investigators and other aspects of the clinical trial is made public as part of the registration of the clinical trial. Competitors may use this publicly available information to gain knowledge regarding the progress of development programs. Although sponsors are also obligated to disclose the results of their clinical trials after completion, disclosure of the results can be delayed in some cases for up to two years after the date of completion of the trial. Failure to timely register a covered clinical study or to submit study results as provided for in the law can give rise to civil monetary penalties and also prevent the non-compliant party from receiving future grant funds from the federal government.

U.S. Review and Approval Process

Assuming successful completion of the required clinical testing, the results of nonclinical studies and clinical trials, along with detailed descriptions of the manufacturing process, analytical tests conducted on the chemistry of the drug, proposed labeling and other relevant information are submitted to the FDA as part of an NDA requesting approval to market the product. The submission of an NDA is subject to the payment of a substantial user fee, unless a waiver or exemption applies. An annual program fee is also assessed on sponsors of approved prescription drug products. FDA adjusts these user fees on an annual basis.

 

162


Table of Contents

The FDA conducts a preliminary review of all NDAs within the first 60 days after submission, before accepting them for filing, to determine whether they are sufficiently complete to permit substantive review. The FDA may request additional information rather than accept an NDA for filing. In this event, the NDA must be resubmitted with the additional information. The resubmitted application also is subject to review before the FDA accepts it for filing. Once filed, the FDA reviews an NDA to determine, among other things, whether a product is safe and effective for its intended use and whether it is being manufactured in accordance with cGMP requirements to assure and preserve the product’s identity, strength, quality, and purity. Under the Prescription Drug User Fee Act, or PDUFA, policies that are currently in effect, the FDA has a goal of ten months from the filing date to complete its initial review of a standard application for a drug that is a new molecular entity, and six months from the filing date for an NDA that has been granted priority review. The FDA does not always meet its PDUFA goal dates, and the review process is often significantly extended by FDA requests for additional information or clarification and the sponsor’s process to respond to such inquiries.

The FDA likely will re-analyze the clinical trial data, which could result in extensive discussions between the FDA and the applicant during the review process. The FDA also may require the development of a risk evaluation and mitigation strategy, or REMS, if it determines that a REMS is necessary to ensure that the benefits of the drug outweigh its risks and to assure the safe use of the product. The FDA determines the requirement for a REMS, as well as the specific REMS provisions, on a case-by-case basis. If the FDA concludes a REMS is needed, the sponsor of the NDA must submit a proposed REMS. The FDA will not approve the NDA without an approved REMS, if required. A REMS can include medication guides, physician communication plans, and/or elements to assure safe use, such as restricted distribution methods, patient registries and other risk minimization tools.

The FDA may refer an application for a novel drug to an advisory committee. An advisory committee is a panel of independent experts, including clinicians and other scientific experts, that reviews, evaluates and provides a recommendation as to whether the application should be approved and under what conditions. The FDA is not bound by the recommendations of an advisory committee, but it considers such recommendations carefully when making product approval and risk mitigation decisions.

Before approving an NDA, the FDA will typically inspect the facility or facilities where the product is manufactured. The FDA will not approve the product unless it determines that the manufacturing processes and facilities are in compliance with cGMP requirements and adequate to assure consistent production of the product within required specifications. Additionally, before approving an NDA, the FDA may inspect one or more clinical trial sites to assure that the clinical trials were conducted in compliance with GCP regulations and to assure the integrity of the clinical data submitted to the FDA. To ensure cGMP and GCP compliance by its employees and third-party contractors, an applicant must incur significant expenditure of time, money and effort in the areas of training, record keeping, production and quality control.

After the FDA completes its evaluation of the NDA and any inspections or advisory committee consultations, the agency will issue either an approval letter or a Complete Response Letter, or CRL, to the NDA applicant. An approval letter authorizes commercial marketing of the drug for specific indications for use. A CRL indicates that the review cycle of the application is complete, and the application will not be approved in its present form. A CRL usually describes the specific deficiencies in the NDA identified by the FDA. Such deficiencies may be minor, for example, requiring labeling changes, or major, for example, requiring additional clinical trials or other significant and time-consuming requirements related to nonclinical studies or manufacturing. If a CRL is issued, the applicant may either resubmit the NDA, addressing all of the deficiencies that the FDA has identified in the letter, or withdraw the application. If and when those deficiencies have been addressed to the FDA’s satisfaction in a resubmission of the NDA, the agency will issue an approval letter to the applicant. The FDA has committed to reviewing such resubmissions in response to an issued CRL in either two or six months depending on the type of information included. Even if such additional data and information are submitted, however, the FDA may ultimately decide that the NDA does not satisfy the regulatory criteria for approval.

 

163


Table of Contents

If a product receives regulatory approval, the approval may be significantly limited to specific diseases and dosages or the indications for use may otherwise be limited, which could restrict the commercial value of the product. In addition, the FDA may require a sponsor to conduct Phase 4 testing, which involves clinical trials designed to further assess a drug’s safety and effectiveness after NDA approval, and may require testing and surveillance programs to monitor the safety of approved products which have been commercialized. The FDA may also place other conditions on approval including the requirement for a risk evaluation and mitigation strategy, or REMS, to assure the safe use of the drug. Any of these limitations on approval or marketing could restrict the commercial promotion, distribution, prescription or dispensing of products.

In addition, the Pediatric Research Equity Act, or PREA, requires a sponsor to conduct pediatric clinical trials for most drugs; specifically, in relation to applications for a new active ingredient, new indication, new dosage form, new dosing regimen or new route of administration. Under PREA, original NDAs and supplements thereto must contain a pediatric assessment unless the sponsor has received a deferral or waiver. Sponsors must also submit Pediatric Study Plans, or PSPs, to the agency for review within sixty days of an end-of-Phase 2 meeting or, if there is no such meeting, as early as practicable before the initiation of the Phase 3 or Phase 2/3 clinical trial. The initial PSP must include an outline of the pediatric trial or trials that the sponsor plans to conduct, including trial objectives and design, age groups, relevant endpoints and statistical approach, or a justification for not including such detailed information, and any request for a deferral of pediatric assessments or a full or partial waiver of the requirement to provide data from pediatric trials along with supporting information. The FDA and the sponsor must reach an agreement on the PSP. A sponsor can submit amendments to an agreed upon initial PSP at any time if changes to the pediatric plan need to be considered based on data collected from nonclinical studies, early phase clinical trials or other clinical development programs.

The required assessment must evaluate the safety and effectiveness of the product for the claimed indications in all relevant pediatric subpopulations and support dosing and administration for each pediatric subpopulation for which the product is safe and effective, unless a waiver or deferral has been granted. The FDA may defer, on its own initiative or upon the sponsor’s request, submission of the pediatric assessments for some or all pediatric subpopulations until a specified date after approval. A deferral may be granted for several reasons, including a finding that the drug is ready for approval for use in adults before pediatric clinical trials are complete or that additional safety or effectiveness data needs to be collected before the pediatric clinical trials begin. The FDA must send a PREA non-compliance letter to any sponsor that fails to submit the required assessment, fails to keep a deferral current or fails to submit a request for approval of a pediatric formulation. The agency publicly posts such PREA non-compliance letters and sponsor’s response.

Fast Track, Breakthrough Therapy, and Priority Review Designations

The FDA offers a number of programs intended to expedite the development or review of a marketing application for an investigational drug. For example, the Fast Track designation program is intended to expedite or facilitate the process for developing and reviewing product candidates that are intended to treat a serious or life-threatening disease or condition and demonstrate the potential to address unmet medical needs for the disease or condition. Fast Track designation applies to the combination of the product candidate and the specific indication for which it is being studied. The sponsor of a Fast Track product candidate has opportunities for more frequent interactions with the applicable FDA review team during development and, once an NDA is submitted, the application may be eligible for priority review. An NDA for a Fast Track product candidate may also be eligible for rolling review, where the FDA may consider for review sections of the NDA on a rolling basis before the complete application is submitted, if the sponsor provides a schedule for the submission of the sections of the NDA, the FDA agrees to accept sections of the NDA and determines that the schedule is acceptable, and the sponsor pays any required user fees upon submission of the first section of the NDA.

A product candidate intended to treat a serious or life-threatening disease or condition may also be eligible for Breakthrough Therapy designation to expedite its development and review. A product candidate can receive Breakthrough Therapy designation if preliminary clinical evidence indicates that the product candidate, alone or

 

164


Table of Contents

in combination with one or more other drugs, may demonstrate substantial improvement over existing therapies on one or more clinically significant endpoints, such as substantial treatment effects observed early in clinical development. The designation includes all of the Fast Track program features, as well as more intensive FDA interaction and guidance beginning as early as Phase 1 and an organizational commitment to expedite the development and review of the product candidate, including involvement of senior managers.

In addition, an NDA may be eligible for priority review if the product candidate is designed to treat a serious condition, and if approved, would provide a significant improvement in safety or efficacy compared to available therapies for such disease or condition. The FDA will attempt to direct additional resources to the evaluation of a NDA designated for priority review in an effort to facilitate the review. For new-molecular-entity NDAs, priority review designation means the FDA’s goal is to take action on the marketing application within six months of the 60-day filing date, as compared to ten months for review of new-molecular-entity NDAs under its current PDUFA review goals.

Fast Track designation, Breakthrough Therapy designation, and priority review do not change the standards for approval, but they may expedite the development or approval process. Even if a product candidate qualifies for one or more of these programs, the FDA may later decide that the product no longer meets the conditions for qualification or decide that the time period for FDA review or approval will not be shortened.

Accelerated Approval Pathway

Additionally, product candidates studied for their safety and effectiveness in treating serious or life-threatening diseases or conditions and that provide meaningful therapeutic benefit over existing treatments may be eligible for accelerated approval. Such products may be approved on the basis of adequate and well-controlled clinical trials establishing that the product candidate has an effect on a surrogate endpoint that is reasonably likely to predict clinical benefit, or on an intermediate clinical endpoint that can be measured earlier than irreversible morbidity or mortality, or IMM, that is reasonably likely to predict an effect on IMM or other clinical benefits, taking into account the severity, rarity, or prevalence of the condition and the availability or lack of alternative treatments. As a condition of approval, the FDA will generally require the sponsor of a drug receiving accelerated approval to perform adequate and well-controlled confirmatory clinical studies to verify and describe the drug’s clinical benefit, and may require that such confirmatory trials be underway prior to granting accelerated approval. Sponsors are also required to send updates to the FDA every 6 months on the status of such studies, including progress toward enrollment targets, and the FDA must promptly post this information publicly.

NDA sponsors must conduct such post-approval confirmatory studies in a diligent manner, and as a result a product candidate approved on this basis is subject to rigorous post-marketing compliance requirements.

Products receiving accelerated approval may be subject to expedited withdrawal procedures if the sponsor fails to conduct the required confirmatory studies in a timely manner or if such studies fail to verify the predicted clinical benefit. In addition, all promotional materials for product candidates being considered and approved under the accelerated approval pathway are subject to prior review by the FDA, which could adversely impact the timing of the commercial launch of the product. Drugs granted accelerated approval must meet the same statutory standards for safety and effectiveness as those granted traditional approval.

Post-Approval Requirements

Following approval of a new drug, the manufacturer and the approved product are subject to pervasive and continuing regulation by the FDA, including, among other things, requirements relating to monitoring and record-keeping, reporting of adverse experiences with the product, periodic reporting, product sampling and distribution, and advertising and promotion of the product. After approval, most changes to the approved product, such as adding new indications, certain manufacturing changes and additional labeling claims, are subject to further FDA review and approval. Certain modifications may require the NDA sponsor to develop additional data or conduct additional nonclinical studies and clinical trials.

 

165


Table of Contents

There also are continuing, annual program fees for any marketed products. Drug manufacturers and other entities involved in the manufacture and distribution of approved drugs are required to register their establishments with the FDA and certain state agencies, and are subject to periodic unannounced inspections by the FDA and certain state agencies to assess compliance with cGMP requirements and other laws. The cGMP regulations include requirements relating to organization of personnel, buildings and facilities, equipment, control of components and drug product containers and closures, production and process controls, packaging and labeling controls, holding and distribution, laboratory controls, records and reports and returned or salvaged products. In addition, changes to the manufacturing process are strictly regulated, and, depending on the significance of the change, may require prior FDA approval before being implemented. FDA regulations also require investigation and correction of any deviations from cGMP requirements and impose reporting requirements on the NDA applicant and any third-party manufacturers involved in producing the approved drug product. Accordingly, manufacturers must continue to expend time, money and effort in the area of production and quality control to maintain compliance with cGMPs and other aspects of quality control and quality assurance. The FDA may withdraw approval if compliance with regulatory requirements and standards is not maintained or if problems occur after the product reaches the market. Later discovery of previously unknown problems with a product, including adverse events of unanticipated severity or frequency, or with manufacturing processes, or failure to comply with regulatory requirements, may result in revisions to the approved labeling to add new safety information; imposition of requirements for post-market studies or clinical studies to assess new safety risks; or imposition of distribution restrictions or other restrictions under a REMS. Other potential consequences include, among other things:

 

   

restrictions on the marketing or manufacturing of the product, complete withdrawal of the product from the market or product recalls;

 

   

mandated modification of promotional materials or labeling and the issuance of corrective information;

 

   

the issuance of safety alerts, Dear Healthcare Provider letters, press releases and other communications containing warnings or other safety information about the product;

 

   

fines, warning letters, or untitled letters;

 

   

clinical holds on ongoing or planned clinical studies;

 

   

refusal of the FDA to approve pending applications or supplements to approved applications, or suspension or revocation of product approvals;

 

   

product seizure or detention, or refusal to permit the import or export of products;

 

   

consent decrees, corporate integrity agreements, debarment or exclusion from federal healthcare programs; or

 

   

injunctions or the imposition of civil or criminal penalties.

The FDA closely regulates the marketing, labeling, advertising and promotion of prescription drug products following approval. A company can make only those claims relating to safety and efficacy that are approved by the FDA and in accordance with the provisions of the approved label. The FDA and other agencies actively enforce the laws and regulations prohibiting the promotion of off-label uses, e.g., unapproved uses or unapproved patient populations. Failure to comply with these requirements can result in, among other things, adverse publicity, warning letters, corrective advertising and potential civil and criminal penalties. Although physicians may prescribe, in their independent professional medical judgment, legally available products for uses that are not described in the product’s labeling and that differ from those tested by us and approved by the FDA, manufacturers may not market or promote such uses. Physicians may believe that such off-label uses are the best treatment for many patients in varied circumstances. The FDA does not regulate the behavior of physicians in their choice of treatments. Manufacturers may also share truthful and not misleading information about their products that is otherwise consistent with a product’s FDA-approved labeling, which helps to support well-informed clinical decision-making by physicians and other health care professionals.

 

166


Table of Contents

In addition, national distribution of pharmaceutical products is subject to the Drug Supply Chain Security Act.

Marketing and Data Exclusivity

Orange Book Listing

In seeking approval for a drug through an NDA, applicants are required to list with the FDA each patent with claims covering the applicant’s product or method of using the product. Upon approval of a drug, each of the patents listed in the application for the drug is then published in the FDA’s Approved Drug Products with Therapeutic Equivalence Evaluations, commonly known as the Orange Book. Drugs listed in the Orange Book can, in turn, be cited by potential generic competitors in support of approval of an ANDA. An ANDA provides for marketing of a drug product that has the same active ingredients in the same strengths and dosage form as the listed drug and has been shown to be bioequivalent to the listed drug. Other than the requirement for bioequivalence testing, ANDA applicants are not required to conduct, or submit results of, nonclinical or clinical tests to prove the safety or effectiveness of their drug product. Drugs approved in this way are commonly referred to as generic equivalents to the listed drug and can often be substituted by pharmacists under prescriptions written for the original listed drug.

The ANDA applicant is required to certify to the FDA concerning any patents listed for the approved product in the FDA’s Orange Book. Specifically, the applicant must certify that: (i) the required patent information has not been filed; (ii) the listed patent has expired; (iii) the listed patent has not expired, but will expire on a particular date and approval is sought after patent expiration; or (iv) the listed patent is invalid or will not be infringed by the new product. The ANDA applicant may also elect to submit a Section VIII statement certifying that its proposed ANDA labeling does not contain (or carves out) any language regarding the patented method-of-use rather than certify to a listed method-of-use patent. If the applicant does not challenge the listed patents, the ANDA application will not be approved until all the listed patents claiming the referenced product have expired.

A certification that the new product will not infringe the already approved product’s listed patents, or that such patents are invalid, is called a Paragraph IV certification. If the ANDA applicant has provided a Paragraph IV certification to the FDA, the applicant must also send notice of the Paragraph IV certification to the NDA and patent holders once the ANDA has been received by the FDA. The NDA and patent holders may then initiate a patent infringement lawsuit in response to the notice of the Paragraph IV certification. The filing of a patent infringement lawsuit within 45 days of the receipt of a Paragraph IV certification automatically prevents the FDA from approving the ANDA until the earlier of 30 months, expiration of the patent, settlement of the lawsuit, or a decision in the infringement case that is favorable to the ANDA applicant.

An applicant submitting an NDA under Section 505(b)(2) of the FD&C Act, also called a 505(b)(2) NDA, which permits the filing of an NDA where at least some of the information required for approval comes from studies not conducted by, or for, the applicant and for which the applicant has not obtained a right of reference, is required to certify to the FDA regarding any patents listed in the Orange Book for the approved product it references to the same extent that an ANDA applicant would.

Exclusivity

Regulatory exclusivity provisions under the FDCA can delay the submission or the approval of certain marketing applications that seek to reference an FDA-approved product. The FDCA provides a five-year period of non-patent data exclusivity within the United States to the first applicant to obtain approval of an NDA for a new chemical entity. A drug is a new chemical entity if the FDA has not previously approved any other new drug containing the same active moiety, which is the molecule or ion responsible for the action of the drug substance. During the exclusivity period, the FDA may not accept for review an ANDA, or file a 505(b)(2) NDA, for

 

167


Table of Contents

another version of such drug where the applicant does not own or have a legal right of reference to such data required for approval. However, an application may be submitted after four years if it contains a Paragraph IV certification.

The FDCA alternatively provides three years of marketing exclusivity for an NDA, 505(b)(2) NDA, or supplement to an existing NDA, if new clinical investigations, other than bioavailability studies, that were conducted or sponsored by the applicant are deemed by the FDA to be essential to the approval of the application, for example new indications, dosages or strengths of an existing drug. This three-year exclusivity covers only the modification for which the drug received approval on the basis of the new clinical investigations and does not prohibit the FDA from approving ANDAs or 505(b)(2) NDAs referencing the approved application for drugs containing the active agent for the original indication or condition of use. Five-year and three-year exclusivity will not delay the submission or approval of a full NDA that does not reference the approved application. However, an applicant submitting a full NDA would be required to conduct or obtain a right of reference to all of the preclinical studies and adequate and well-controlled clinical trials necessary to demonstrate safety and effectiveness.

Pediatric exclusivity is another type of marketing exclusivity available in the United States. If granted, pediatric exclusivity provides for the attachment of an additional six months of marketing exclusivity to the term of any existing regulatory exclusivity or listed patents. This is not a patent term extension, but it effectively extends the regulatory period during which the FDA cannot approve another application. A product candidate may be eligible for this six-month period of exclusivity if the NDA sponsor conducts clinical trials in children and submits information requested in writing by the FDA, referred to as a Written Request, relating to the use of the product’s active moiety in children. The issuance of a Written Request does not require the sponsor to undertake the described clinical trials. In addition, the clinical trial data do not need to show the product to be effective in the pediatric population studied; rather, the additional protection is granted if the pediatric clinical trial is deemed to have fairly responded to the FDA’s Written Request. Although the FDA may issue a Written Request for studies on either approved or unapproved indications, it may only do so where it determines that information relating to that use of a product candidate in a pediatric population, or part of the pediatric population, may produce health benefits in that population.

Other U.S. Healthcare Laws and Compliance Requirements

In the United States, our current and future operations are subject to regulation by various federal, state and local authorities in addition to the FDA, including but not limited to, CMS, other divisions of HHS (e.g., the Office of Inspector General, the Office for Civil Rights), the U.S. DOJ and individual U.S. Attorney offices within the DOJ, the Federal Trade Commission, or FTC, and state and local governments. For example, our business practices, including our clinical research program and any future sales, marketing and scientific/educational grant programs may be required to comply with the anti-fraud and abuse laws the false claims laws, transparency requirements, and similar state laws, each as amended, as applicable.

The federal Anti-Kickback Statute prohibits, among other things, any person or entity, from knowingly and willfully offering, paying, soliciting or receiving any remuneration, directly or indirectly, overtly or covertly, in cash or in kind, to induce or in return for purchasing, leasing, ordering or arranging for the purchase, lease or order of any item or service reimbursable, in whole or in part, under Medicare, Medicaid or other federal healthcare programs. The term remuneration has been interpreted broadly to include anything of value. In addition, a person or entity does not need to have actual knowledge of the statute or specific intent to violate it in order to have committed a violation. Rather, if “one purpose” of the remuneration is to induce referrals, the federal Anti-Kickback Statute is violated. The federal Anti-Kickback Statute has been interpreted to apply to arrangements between pharmaceutical manufacturers on one hand and prescribers, purchasers, and formulary managers on the other. There are a number of statutory exceptions and regulatory safe harbors protecting some common activities from prosecution. The exceptions and safe harbors are drawn narrowly and practices that involve remuneration that may be alleged to be intended to induce prescribing, purchasing or recommending may be subject to scrutiny if they do not qualify for an exception or safe harbor. Failure to meet all of the

 

168


Table of Contents

requirements of a particular applicable statutory exception or regulatory safe harbor does not make the conduct per se illegal under the Anti-Kickback Statute. Instead, the legality of the arrangement will be evaluated on a case-by-case basis based on a cumulative review of all of its facts and circumstances. Our future practices may not in all cases meet all of the criteria for protection under a statutory exception or regulatory safe harbor.

The civil monetary penalties statute imposes penalties against any person or entity who, among other things, is determined to have presented or caused to be presented a claim to, among others, a federal healthcare program that the person knows or should know is for a medical or other item or service that was not provided as claimed or is false or fraudulent.

The federal false claims laws, including the FCA, impose significant penalties and can be enforced by private citizens through civil qui tam actions, prohibit, any person or entity from, among other things, knowingly presenting, or causing to be presented, a false or fraudulent claim for payment to, or approval by, the federal government, including federal healthcare programs such as Medicare and Medicaid, or knowingly making, using, or causing to be made or used a false record or statement material to a false or fraudulent claim to the federal government. A claim includes “any request or demand” for money or property presented to the U.S. government. For instance, historically, pharmaceutical and other healthcare companies have been prosecuted under these laws for allegedly providing free product to customers with the expectation that the customers would bill federal programs for the product. Other companies have been prosecuted for causing false claims to be submitted because of the companies’ marketing of the product for unapproved, off-label, and thus generally non-reimbursable, uses. In addition, a claim that includes items or services resulting from a violation of the federal Anti-Kickback Statute constitutes a false or fraudulent claim for purposes of the FCA.

HIPAA created additional federal criminal statutes that prohibit, among other things, knowingly and willfully executing, or attempting to execute, a scheme to defraud or to obtain, by means of false or fraudulent pretenses, representations or promises, any money or property owned by, or under the control or custody of, any healthcare benefit program, including private third-party payors, willfully obstructing a criminal investigation of a healthcare offense, and knowingly and willfully falsifying, concealing or covering up by trick, scheme or device, a material fact or making any materially false, fictitious or fraudulent statement in connection with the delivery of or payment for healthcare benefits, items or services. Like the federal Anti-Kickback Statute, a person or entity does not need to have actual knowledge of the statute or specific intent to violate it in order to have committed a violation.

In addition, HIPAA, as amended by HITECH, imposes certain requirements on covered entities, which include certain healthcare providers, health plans and healthcare clearinghouses, and their business associates and covered subcontractors that receive or obtain protected health information in connection with providing a service on behalf of a covered entity relating to the privacy, security and transmission of individually identifiable health information.

Additionally, the federal Physician Payments Sunshine Act, or the Sunshine Act, and its implementing regulations, require that certain manufacturers of drugs, devices, biological and medical supplies for which payment is available under Medicare, Medicaid or the Children’s Health Insurance Program (with certain exceptions) report information annually to CMS related to certain payments or other transfers of value made or distributed to physicians (defined to include doctors, dentists, optometrists, podiatrists and chiropractors), certain non-physician practitioners (such as physician assistants and nurse practitioners), and teaching hospitals, or to entities or individuals at the request of, or designated on behalf of, the physicians and teaching hospitals, as well as ownership and investment interests held by physicians and their immediate family members. Failure to report accurately could result in penalties. In addition, many states also govern the reporting of payments or other transfers of value, many which differ from each other in significant ways, are often not pre-empted, and may have a more prohibitive effect than the Sunshine Act, thus further complicating compliance efforts.

Also, many states have similar, and typically more prohibitive, fraud and abuse statutes or regulations that apply to items and services reimbursed under Medicaid and other state programs, or, in several states, apply

 

169


Table of Contents

regardless of the payor. In order to distribute pharmaceutical products commercially in the future, should FDA approval be granted to any of our product candidates, we must comply with state laws that require the registration of manufacturers and wholesale distributors of drug products in a state, including, in certain states, manufacturers and distributors who ship products into the state even if such manufacturers or distributors have no place of business within the state. Several states have enacted legislation requiring pharmaceutical and biotechnology companies to establish marketing compliance programs, file periodic reports with the state, make periodic public disclosures on sales, marketing, pricing, clinical trials and other activities, and/or register their sales representatives, as well as to prohibit pharmacies and other healthcare entities from providing certain physician prescribing data to pharmaceutical and biotechnology companies for use in sales and marketing, and to prohibit certain other sales and marketing practices.

Ensuring business arrangements with third parties comply with applicable healthcare laws and regulations is a costly endeavor. If our operations are found to be in violation of any of the federal and state healthcare laws described above or any other current or future governmental regulations that apply to us, we may be subject to significant penalties, including without limitation, civil, criminal and/or administrative penalties, damages, fines, disgorgement, individual imprisonment, exclusion from participation in government programs, such as Medicare and Medicaid, injunctions, private “qui tam” actions brought by individual whistleblowers in the name of the government, or refusal to allow us to enter into government contracts, contractual damages, reputational harm, administrative burdens, diminished profits and future earnings, additional reporting requirements and/or oversight if we become subject to a corporate integrity agreement or similar agreement to resolve allegations of non-compliance with these laws, and the curtailment or restructuring of our operations, any of which could adversely affect our ability to operate our business and our results of operations.

Coverage, Pricing, and Reimbursement

Significant uncertainty exists as to the coverage and reimbursement status of any product candidates for which we may obtain regulatory approval. In the United States and markets in other countries, sales of any products for which we receive regulatory approval for commercial sale will depend, in part, on the extent to which third-party payors provide coverage, and establish adequate reimbursement levels for such products. In the United States, third-party payors include federal and state healthcare programs, private managed care providers, health insurers and other organizations.

The process for determining whether a third-party payor will provide coverage for a product may be separate from the process for setting the price of a product or for establishing the reimbursement rate that such a payor will pay for the product. Third-party payors may limit coverage to specific products on an approved list, or also known as a formulary, which might not include all of the FDA-approved products for a particular indication. Third-party payors are increasingly challenging the price, examining the medical necessity and reviewing the cost-effectiveness of medical products, therapies and services, in addition to questioning their safety and efficacy. We may need to conduct expensive pharmaco-economic studies in order to demonstrate the medical necessity and cost-effectiveness of our products, in addition to the costs required to obtain the FDA approvals. Our product candidates may not be considered medically necessary or cost-effective. A payor’s decision to provide coverage for a product does not imply that an adequate reimbursement rate will be approved. In addition, one payor’s determination to provide coverage for a product does not assure that other payors will also provide coverage for the product. Further, obtaining reimbursement for our product may be particularly difficult because of the higher prices often associated with branded drugs and drugs administered under the supervision of physicians. Adequate third-party reimbursement may not be available to enable us to maintain price levels sufficient to realize an appropriate return on our investment in product development.

Under currently applicable U.S. law, certain products not usually self-administered (including injectable drugs) may be eligible for coverage under Medicare through Medicare Part B. Medicare Part B is part of original Medicare, the federal health care program that provides health care benefits to the aged and disabled, and covers outpatient services and supplies, including certain biopharmaceutical products, that are medically necessary to

 

170


Table of Contents

treat a beneficiary’s health condition. As a condition of receiving Medicare Part B reimbursement for a manufacturer’s eligible drugs, the manufacturer is required to participate in other government healthcare programs, including the Medicaid Drug Rebate Program and the 340B Drug Pricing Program. The Medicaid Drug Rebate Program requires pharmaceutical manufacturers to enter into and have in effect a national rebate agreement with HHS as a condition for states to receive federal matching funds for the manufacturer’s outpatient drugs furnished to Medicaid patients. Under the 340B Drug Pricing Program, the manufacturer must extend discounts to entities that participate in the program.

Different pricing and reimbursement schemes exist in other countries. In the EU, governments influence the price of pharmaceutical products through their pricing and reimbursement rules and control of national health care systems that fund a large part of the cost of those products to consumers. Some jurisdictions operate positive and negative list systems under which products may only be marketed once a reimbursement price has been agreed. To obtain reimbursement or pricing approval, some of these countries may require the completion of clinical trials that compare the cost-effectiveness of a particular product candidate to currently available therapies. Other EU member states allow companies to fix their own prices for medicines, but monitor and control company profits. In addition, in some countries, cross-border imports from low-priced markets exert a commercial pressure on pricing within a country.

The marketability of any product candidates for which we receive regulatory approval for commercial sale in any country or region may suffer if the government and third-party payors fail to provide adequate coverage and reimbursement. The downward pressure on the rise in healthcare costs in general and pharmaceutical products in particular has become intense. As a result, in the European Union, increasingly high barriers are being erected to the entry of new products. In the United States, the emphasis on managed care, the increasing influence of health maintenance organizations, and additional legislative changes has increased and we expect will continue to increase the pressure on product pricing. In addition, coverage policies and third-party reimbursement rates may change at any time. Even if favorable coverage and reimbursement status is attained for one or more products for which we receive regulatory approval, less favorable coverage policies and reimbursement rates may be implemented in the future.

Healthcare Reform in the U.S. and Potential Changes to Healthcare Laws

In the United States, there have been, and continue to be, legislative and regulatory changes and proposed changes regarding the healthcare system that could prevent or delay marketing approval of product candidates, restrict or regulate post-approval activities, and affect the profitable sale of product candidates that obtain marketing approval. The FDA’s and other regulatory authorities’ policies may change and additional government regulations may be enacted that could prevent, limit or delay marketing approval of our product candidate. Moreover, among policy makers and payors in the United States, there is significant interest in promoting changes in healthcare systems with the stated goals of containing healthcare costs, improving quality and/or expanding access. The pharmaceutical industry has been a particular focus of these efforts and has been significantly affected by major legislative initiatives.

The United States and many foreign jurisdictions have enacted or proposed legislative and regulatory changes affecting the healthcare system that could prevent or delay marketing approval of our product candidates, restrict or regulate post-approval activities and affect our ability to profitably sell any product for which we obtain marketing approval.

The ACA includes measures that have significantly changed the way healthcare is financed by both governmental and private insurers. There have been judicial, executive and congressional challenges and amendments to certain aspects of the ACA. For example, the IRA, among other things, extends enhanced subsidies for individuals purchasing health insurance coverage in ACA marketplaces through plan year 2025. The IRA also eliminates the “donut hole” under the Medicare Part D program beginning in 2025 by significantly lowering the beneficiary maximum out-of-pocket cost and through a newly established manufacturer discount

 

171


Table of Contents

program. It is possible that the ACA will be subject to judicial or Congressional challenges in the future. It is unclear how any such challenges and the healthcare reform measures of the second Trump administration will impact the ACA and our business.

In addition, other legislative changes have been proposed and adopted since the ACA was enacted. For example, on July 4, 2025, the annual reconciliation bill, OBBBA, was signed into law which is expected to reduce Medicaid spending and enrollment by implementing work requirements for some beneficiaries, capping state-directed payments, reducing federal funding, and limiting provider taxes used to fund the program. OBBBA also narrows access to ACA marketplace exchange enrollment and declines to extend the ACA enhanced advanced premium tax credits, set to expire in 2025, which, among other provisions in the law, are anticipated to reduce the number of Americans with health insurance. The Budget Control Act of 2011, among other things, created the Joint Select Committee on Deficit Reduction to recommend Congress proposals in spending reductions. The Joint Select Committee on Deficit Reduction did not achieve a targeted deficit reduction, which triggered the legislation’s automatic reduction to several government programs. This includes aggregate reductions to Medicare payments to providers of, on average, 2% per fiscal year until 2032 unless Congress takes additional action. Additionally, the American Rescue Plan Act of 2021 eliminated the statutory Medicaid drug rebate cap, previously set at 100% of a drug’s average manufacturer price, for single source and innovator multiple source drugs, effective January 1, 2024.

Recently, there has been increasing legislative and enforcement interest in the United States with respect to specialty drug pricing practices. Specifically, there have been several recent U.S. presidential executive orders, congressional inquiries and legislation designed to, among other things, bring more transparency to drug pricing, reduce the cost of prescription drugs under Medicare, review the relationship between pricing and manufacturer patient programs and reform government program reimbursement methodologies for drugs. For example, at the federal level, the IRA, among other things, (1) directs HHS to negotiate the price of certain high-expenditure, single-source drugs covered under the Medicare Drug Price Negotiation Program, and (2) imposes rebates under Medicare Part B and Medicare Part D to penalize price increases that outpace inflation. These provisions took effect progressively starting in fiscal year 2023. On August 15, 2024, HHS announced the agreed-upon prices of the first ten drugs that were subject to price negotiations, although the Medicare Drug Price Negotiation Program is currently subject to legal challenges. On January 17, 2025, HHS selected fifteen additional drugs covered under Part D for price negotiation in 2025. Each year thereafter more Part B and Part D products will become subject to the Medicare Drug Price Negotiation Program. On February 14, 2023, HHS released a report outlining three new models for testing by the Center for Medicare and Medicaid Innovation which will be evaluated on their ability to lower the cost of drugs, promote accessibility, and improve quality of care. It is unclear whether the models will be utilized in any health reform measures in the future.

Further, in 2023, an initiative to control the price of prescription drugs through the use of march-in rights under the Bayh-Dole Act was announced. Also in 2023, the National Institute of Standards and Technology published for comment a Draft Interagency Guidance Framework for Considering the Exercise of March-In Rights, which for the first time includes the price of a product as one factor an agency can use when deciding to exercise march-in rights. While march-in rights have not previously been exercised, it is uncertain if that will continue under the new framework.

At the state level, legislatures have increasingly passed legislation and implemented regulations designed to control pharmaceutical and biological product pricing, including price or patient reimbursement constraints, discounts, restrictions on certain product access and marketing cost disclosure and transparency measures, and, in some cases, designed to encourage importation from other countries and bulk purchasing. For example, in January 2024, the FDA approved Florida’s SIP proposal to import certain drugs from Canada for specific state healthcare programs. It is unclear how this program will be implemented, including which drugs will be chosen, and whether it will be subject to legal challenges in the United States or Canada. Other states have also submitted SIP proposals that are pending review by the FDA. Any such approved importation plans, when implemented, may result in lower drug prices for products covered by those programs.

 

172


Table of Contents

We are unable to predict the future course of federal or state healthcare legislation in the United States directed at broadening the availability of healthcare and containing or lowering the cost of healthcare, particularly in light of the recent U.S. Presidential and Congressional elections. The current Trump administration is pursuing policies to reduce regulations and expenditures across government including at HHS, the FDA, the CMS, and related agencies. These actions, presently directed by executive orders or memoranda from the Office of Management and Budget, may propose policy changes that create additional uncertainty for our business. These actions and proposals include, for example, include (1) directives to reduce agency workforce and cut programs; (2) rescinding a Biden administration executive order tasking the Center for Medicare and Medicaid Innovation to consider new payment and healthcare models to limit drug spending; (3) eliminating the Biden administration’s executive order that directed HHS to establishing establish an AI task force and developing develop a strategic plan; (4) directing HHS and other agencies to lower prescription drug costs through a variety of initiatives, including by improving upon the Medicare Drug Price Negotiation Program and establishing Most-Favored-Nation pricing for pharmaceutical products; (5) imposing tariffs of imported pharmaceutical products; and (6) directing certain federal agencies to enforce existing law regarding hospital and price plan price transparency and by standardizing prices across hospitals and health plans. Additionally, in its June 2024 decision in Loper Bright Enterprises v. Raimondo, or Loper Bright, the U.S. Supreme Court overturned the longstanding Chevron doctrine, under which courts were required to give deference to regulatory agencies’ reasonable interpretations of ambiguous federal statutes. The Loper Bright decision could result in additional legal challenges to current regulations and guidance issued by federal agencies applicable to our operations, including those issued by the FDA. Congress may introduce and ultimately pass health care related legislation that could, among other legislation, impact the drug approval process and make changes to modify the Medicare Drug Price Negotiation Program created under the IRA, and expand the orphan drug exclusion in the IRA.

We expect that the healthcare reform measures that have been adopted and may be adopted in the future may result in more rigorous coverage criteria and in additional downward pressure on the price that we receive for any approved product and could seriously harm our future revenues. Any reduction in reimbursement from Medicare or other government programs may result in a similar reduction in payments from private payors. The implementation of cost containment measures or other healthcare reforms may prevent us from being able to generate revenue, attain profitability or commercialize our products, if approved.

Foreign Government Regulation

To market any product outside of the United States, we would need to comply with numerous and varying regulatory requirements of other countries governing, among other things, clinical trials, marketing authorization, commercial sales and distribution of our products.

Whether or not we obtain FDA approval of a product candidate, we must obtain the requisite approvals from regulatory authorities in foreign countries prior to the commencement of clinical trials or marketing of the product in those countries. Approval by one regulatory authority does not ensure approval by regulatory authorities in other jurisdictions. The approval process varies from country to country, can involve additional testing beyond that required by FDA, and may be longer or shorter than that required for FDA approval. The requirements governing the conduct of clinical trials, product licensing, pricing, promotion, and reimbursement vary greatly from country to country. Failure to comply with applicable foreign regulatory requirements, may be subject to, among other things, fines, suspension or withdrawal of regulatory approvals, product recalls, seizure of products, operating restrictions and criminal prosecution.

Clinical Trials in the EU

Similarly to the United States, the various phases of non-clinical and clinical research in the European Union, or EU are subject to significant regulatory controls.

 

173


Table of Contents

Non-clinical studies are performed to demonstrate the health or environmental safety of new chemical or biological substances. Non-clinical studies must be conducted in compliance with the principles of good laboratory practice, GLP, as set forth in Directive 2004/10/EC. These GLP standards reflect the Organization for Economic Co-operation and Development requirements.

Clinical trials of medicinal products in the EU must be conducted in accordance with the Clinical Trials Regulation (EU) No 536/2014, and national regulations and the International Conference on Harmonization, guidelines on GCPs, as well as the applicable regulatory requirements and the ethical principles that have their origin in the Declaration of Helsinki.

EU Review and Approval process

In the EU, medicinal products can only be commercialized after a related marketing authorization, or MA, has been granted. To obtain an MA for a product in the EU, an applicant must submit a Marketing Authorization Application, or MAA, either under a centralized procedure administered by the European Medicines Agency, or EMA, or one of the procedures administered by the competent authorities of EU Member States (decentralized procedure, national procedure or mutual recognition procedure). An MA may be granted only to an applicant established in the EU.

The centralized procedure provides for the grant of a single MA by the European Commission that is valid throughout the EEA (which is comprised of the 27 EU Member States plus Norway, Iceland and Liechtenstein). Pursuant to Regulation (EC) No 726/2004, the centralized procedure is compulsory for specific products, including for (i) medicinal products derived from biotechnological processes, (ii) products designated as orphan medicinal products, (iii) advanced therapy medicinal products, or ATMPs, and (iv) products with a new active substance indicated for the treatment of HIV/AIDS, cancer, neurodegenerative diseases, diabetes, auto-immune and other immune dysfunctions and viral diseases. For products with a new active substance indicated for the treatment of other diseases and products that are highly innovative or for which a centralized process is in the interest of patients, authorization through the centralized procedure is optional on related approval. Under the centralized procedure, the EMA’s Committee for Medicinal Products for Human Use, or CHMP, conducts the initial assessment of a product. The CHMP is also responsible for several post-authorization and maintenance activities, such as the assessment of modifications or extensions to an existing MA. The maximum timeframe for the evaluation of an MAA under the centralized procedure is 210 days, excluding clock stops when additional information or written or oral explanation is to be provided by the applicant in response to questions of the CHMP.

The decentralized MA procedure requires a separate application to, and leads to separate approval by, the competent authorities of each EU Member State in which the product is to be marketed. This application is identical to the application that would be submitted to the EMA for authorization through the centralized procedure. The reference EU Member State prepares a draft assessment and drafts of the related materials within 120 days after receipt of a valid application. The resulting assessment report is submitted to the concerned EU Member States who, within 90 days of receipt, must decide whether to approve the assessment report and related materials. If a concerned EU Member State cannot approve the assessment report and related materials due to concerns relating to a potential serious risk to public health, disputed elements may be referred to the Heads of Medicines Agencies’ Coordination Group for Mutual Recognition and Decentralised Procedures—Human, or CMDh, for review. The subsequent decision of the European Commission is binding on all EU Member States.

The mutual recognition procedure allows companies that have a medicinal product already authorized in one EU Member State to apply for this authorization to be recognized by the competent authorities in other EU Member States. Like the decentralized procedure, the mutual recognition procedure is based on the acceptance by the competent authorities of the EU Member States of the MA of a medicinal product by the competent authorities of other EU Member States. The holder of a national MA may submit an application to the competent authority of an EU Member State requesting that this authority recognize the MA delivered by the competent authority of another EU Member State.

 

174


Table of Contents

An MA has, in principle, an initial validity of five years. The MA may be renewed after five years on the basis of a re-evaluation of the risk-benefit balance by the EMA or by the competent authority of the EU Member State in which the original MA was granted. To support the application, the MA holder must provide the EMA or the competent authority with a consolidated version of the Common Technical Document providing up-to-date data concerning the quality, safety and efficacy of the product, including all variations introduced since the MA was granted, at least nine months before the MA ceases to be valid. The European Commission or the competent authorities of the EU Member States may decide on justified grounds relating to pharmacovigilance, to proceed with one further five year renewal period for the MA. Once subsequently definitively renewed, the MA shall be valid for an unlimited period. Any authorization which is not followed by the actual placing of the medicinal product on the EU market (for a centralized MA) or on the market of the authorizing EU Member State within three years after authorization ceases to be valid (the so-called sunset clause).

Accelerated and Abbreviated Pathways in the EU

Innovative products that target an unmet medical need and are expected to be of major public health interest may be eligible for a number of expedited development and review programs, such as the Priority Medicines, or PRIME, scheme, which provides incentives similar to the breakthrough therapy designation in the U.S. PRIME is a voluntary scheme aimed at enhancing the EMA’s support for the development of medicinal products that target unmet medical needs. Eligible products must target conditions for which there is an unmet medical need (there is no satisfactory method of diagnosis, prevention or treatment in the EU or, if there is, the new medicinal product will bring a major therapeutic advantage) and they must demonstrate the potential to address the unmet medical need by introducing new methods of therapy or improving existing ones. Benefits accrue to sponsors of product candidates with PRIME designation, including but not limited to, early and proactive regulatory dialogue with the EMA, frequent discussions on clinical trial designs and other development program elements, and potentially accelerated MAA assessment once a dossier has been submitted. Accelerated assessment may be granted by the CHMP in exceptional cases, when a medicinal product targeting an unmet medical need is expected to be of major interest from the point of view of public health and, in particular, from the viewpoint of therapeutic innovation. If the CHMP accepts a request for accelerated assessment, the time limit of 210 days will be reduced to 150 days (excluding clock stops). The CHMP can, however, revert to the standard time limit for the centralized procedure if it considers that it is no longer appropriate to conduct an accelerated assessment.

In the EU, a “conditional” MA may be granted in cases where all the required safety and efficacy data are not yet available. The European Commission may grant a conditional MA for a medicinal product if it is demonstrated that all of the following criteria are met: (i) the benefit-risk balance of the medicinal product is positive; (ii) it is likely that the applicant will be able to provide comprehensive data post-authorization; (iii) the medicinal product fulfils an unmet medical need; and (iv) the benefit of the immediate availability to patients of the medicinal product is greater than the risk inherent in the fact that additional data are still required. The conditional MA is subject to conditions to be fulfilled for generating the missing data or ensuring increased safety measures. It is valid for one year and must be renewed annually until all related conditions have been fulfilled. Once any pending studies are provided, the conditional MA can be converted into a traditional MA. However, if the conditions are not fulfilled within the timeframe set by the EMA and approved by the European Commission, the MA will cease to be renewed.

An MA may also be granted “under exceptional circumstances” where the applicant can show that it is unable to provide comprehensive data on efficacy and safety under normal conditions of use even after the product has been authorized and subject to specific procedures being introduced. These circumstances may arise in particular when the intended indications are very rare and, in the state of scientific knowledge at that time, it is not possible to provide comprehensive information, or when generating data may be contrary to generally accepted ethical principles. Like a conditional MA, an MA granted in exceptional circumstances is reserved to medicinal products intended to be authorized for treatment of rare diseases or unmet medical needs for which the applicant does not hold a complete data set that is required for the grant of a standard MA. However, unlike the conditional MA, an applicant for authorization in exceptional circumstances is not subsequently required to

 

175


Table of Contents

provide the missing data. Although the MA “under exceptional circumstances” is granted definitively, the risk-benefit balance of the medicinal product is reviewed annually, and the MA will be withdrawn if the risk-benefit ratio is no longer favorable.

Pediatric Development

In the EU, Regulation (EC) No 1901/2006 provides that all MAAs for new medicinal products have to include the results of trials conducted in the pediatric population, in compliance with a pediatric investigation plan, or PIP, agreed with the EMA’s Pediatric Committee, or PDCO. The PIP sets out the timing and measures proposed to generate data to support a pediatric indication of the medicinal product for which MA is being sought. The PDCO can grant a deferral of the obligation to implement some or all of the measures provided in the PIP until there are sufficient data to demonstrate the efficacy and safety of the product in adults. Further, the obligation to provide pediatric clinical trial data can be waived by the PDCO when these data are not needed or appropriate because the product is likely to be ineffective or unsafe in children, the disease or condition for which the product is intended occurs only in adult populations, or when the product does not represent a significant therapeutic benefit over existing treatments for pediatric patients. Once the MA is obtained in all EU Member States and study results are included in the product information, even when negative, the product is eligible for a six-month extension to the Supplementary Protection Certificate, or SPC, if any is in effect at the time of authorization or, in the case of orphan medicinal products, a two-year extension of orphan market exclusivity.

Data and Market Exclusivity in the EU

The EU provides opportunities for data and market exclusivity related to MAs. Upon receiving an MA, innovative medicinal products are generally entitled to receive eight years of data exclusivity and 10 years of market exclusivity. Data exclusivity, if granted, prevents regulatory authorities in the EU from referencing the innovator’s data to assess a generic application or biosimilar application for eight years from the date of authorization of the innovative product, after which a generic or biosimilar MAA can be submitted, and the innovator’s data may be referenced. The market exclusivity period prevents a successful generic or biosimilar applicant from commercializing its product in the EU until 10 years have elapsed from the initial MA of the reference product in the EU. The overall ten-year period may, occasionally, be extended for a further year to a maximum of 11 years if, during the first eight years of those ten years, the MA holder obtains an authorization for one or more new therapeutic indications which, during the scientific evaluation prior to their authorization, are held to bring a significant clinical benefit in comparison with existing therapies. However, there is no guarantee that a product will be considered by the EU’s regulatory authorities to be a new chemical/biological entity, and products may not qualify for data exclusivity.

In April 2023, the European Commission issued a proposal to revise and replace the existing general pharmaceutical legislation, which was supported in large part by the European Parliament in April 2024. Additional procedural steps remain in the European legislative process and the proposed legislation is not expected to be adopted until at least 2026. If adopted and implemented as currently proposed, these legislative revisions will significantly change several aspects of drug development and approval in the EU.

Post-authorization Requirements in the EU

Where an MA is granted in relation to a medicinal product in the EU, the holder of the MA is required to comply with a range of regulatory requirements applicable to the manufacturing, marketing, promotion and sale of medicinal products. Similar to the United States, both MA holders and manufacturers of medicinal products are subject to comprehensive regulatory oversight by the EMA, the European Commission and/or the competent regulatory authorities of the individual EU Member States. The holder of an MA must establish and maintain a pharmacovigilance system and appoint an individual qualified person for pharmacovigilance who is responsible for oversight of that system. Key obligations include expedited reporting of suspected serious adverse reactions and submission of periodic safety update reports, or PSURs.

 

176


Table of Contents

All new MAAs must include a risk management plan, or RMP, describing the risk management system that the company will put in place and documenting measures to prevent or minimize the risks associated with the product. The regulatory authorities may also impose specific obligations as a condition of the MA. Such risk- minimization measures or post-authorization obligations may include additional safety monitoring, more frequent submission of PSURs, or the conduct of additional clinical trials or post-authorization safety studies.

In the EU, the advertising and promotion of medicinal products are subject to both EU and EU Member States’ laws governing promotion of medicinal products, interactions with physicians and other healthcare professionals, misleading and comparative advertising and unfair commercial practices. General requirements for advertising and promotion of medicinal products, such as direct-to-consumer advertising of prescription medicinal products are established in EU law. However, the details are governed by regulations in individual EU Member States and can differ from one country to another. Interactions between pharmaceutical companies and health care professionals are also governed by strict laws, such as national anti-bribery laws of European countries, national sunshine rules, regulations, industry self-regulation codes of conduct and physicians’ codes of professional conduct.

Pricing, Coverage and Reimbursement in the EU

In the EU, pricing and reimbursement schemes vary widely from country to country. For example, some countries provide that products may be marketed only after an agreement on reimbursement price has been reached. Such pricing negotiations with governmental authorities can take considerable time after receipt of marketing approval for a product. Political, economic and regulatory developments may further complicate pricing negotiations, and pricing negotiations may continue after reimbursement has been obtained. In addition, the EU provides options for its Member States to restrict the range of products for which their national health insurance systems provide reimbursement and to control the prices of medicinal products for human use. EU Member States may approve a specific price for a product, may adopt a system of direct or indirect controls on the profitability of the company placing the product on the market. Other EU Member States allow companies to fix their own prices for products but monitor and control prescription volumes and issue guidance to physicians to limit prescriptions. In addition, some EU Member States may require the completion of additional studies that compare the cost-effectiveness of a particular medicinal product candidate to currently available therapies. This Health Technology Assessment, or HTA, process is the procedure according to which the assessment of the public health impact, therapeutic impact and the economic and societal impact of use of a given medicinal product in the national healthcare systems of the individual country is conducted. The outcome of HTA regarding specific medicinal products will often influence the pricing and reimbursement status granted to these medicinal products by the competent authorities of individual EU Member States.

The Foreign Corrupt Practices Act

The FCPA prohibits any U.S. individual or business from paying, offering, or authorizing payment or offering of anything of value, directly or indirectly, to any foreign official, political party or candidate for the purpose of influencing any act or decision of the foreign entity in order to assist the individual or business in obtaining or retaining business. United States authorities that enforce the FCPA, including the DOJ, deem most health care professionals and other employees of foreign hospitals, clinics, research facilities and medical schools in countries with public health care or public education systems to be “foreign officials” under the FCPA. The FCPA also obligates companies whose securities are listed in the United States to comply with accounting provisions requiring the company to maintain books and records that accurately and fairly reflect all transactions of the corporation, including international subsidiaries, and to devise and maintain an adequate system of internal accounting controls for international operations.

Additional Regulation

In addition to the foregoing, state, federal, and foreign laws regarding environmental protection and hazardous substances, including the Occupational Safety and Health Act, the Resource Conservancy and

 

177


Table of Contents

Recovery Act and the Toxic Substances Control Act, affect our business. These and other laws govern our use, handling and disposal of various biological, chemical and radioactive substances used in, and wastes generated by, our operations. If our operations result in contamination of the environment or expose individuals to hazardous substances, we could be liable for damages and governmental fines. We believe that we are in material compliance with applicable environmental laws and that continued compliance therewith will not have a material adverse effect on our business. We cannot predict, however, how changes in these laws may affect our future operations.

Data Privacy and Security

Numerous state, federal, and foreign laws, regulations and standards govern the collection, use, access to, confidentiality, and security of health-related and other personal information, including clinical trial data, and could apply now or in the future to our operations or the operations of our partners. In the United States, numerous federal and state laws and regulations, including data breach notification laws, health information privacy and security laws, and consumer protection laws and regulations, govern the collection, use, disclosure, and protection of health-related and other personal information. Further, to the extent we collect personal data from individuals outside of the United States, through clinical trials or otherwise, we could be subject to foreign laws, such as the GDPR, which govern the privacy and security of personal data, including health-related data. Our use of machine learning may also be subject to evolving laws and regulations, controlling for data bias and anti-discrimination. Privacy and security laws, regulations and other obligations are constantly evolving, may conflict with each other to complicate compliance efforts, and can result in investigations, proceedings, or actions that lead to significant civil and/or criminal penalties and restrictions on data processing.

Employees and Human Capital Resources

As of July 15, 2025, we had 16 total employees. Of our 16 employees, two hold Ph.D. and/or M.D. degrees and eight were engaged in research and development. None of our employees is subject to a collective bargaining agreement. We consider our relationship with our employees to be good.

We recognize that our continued ability to attract, retain, and motivate exceptional employees is vital to ensuring our long-term competitive advantage. Our employees are critical to our long-term success and are essential to helping us meet our goals. Our human capital resources objectives include, as applicable, identifying, recruiting, retaining, incentivizing, and integrating our existing and additional employees. The principal purposes of our equity incentive plans are to attract, retain, and motivate selected employees, consultants, and directors through the granting of stock-based compensation awards and cash-based performance bonus awards.

Properties and Facilities

Our principal office is located at One Pennsylvania Plaza, Suite 1025, New York, NY 10119, where we lease approximately 8,900 square feet of office space under a lease that will expire in 2032. We believe that our existing facility is adequate to meet our current needs, and that suitable additional alternative spaces will be available in the future on commercially reasonable terms.

Legal Proceedings

From time to time, we may become involved in legal proceedings arising in the ordinary course of our business. We do not have any pending litigation that, separately or in the aggregate, would, in the opinion of management, have a material adverse effect on our results of operations, financial condition, or cash flows.

 

178


Table of Contents

MANAGEMENT

The following table sets forth information about our executive officers, directors, and certain key employees as of June 30, 2025.

 

Name

   Age     

Position(s)

Executive Officers

     

Heather Turner

     52      Chief Executive Officer

Gad Soffer

     48      Chief Business Officer

Anna Eramo, M.D.

     51      Chief Medical Officer

Marc Panoff

     55      Senior Vice President, Finance

Richard Silva

     58      Senior Vice President, Technical Operations

Non-Employee Directors

     

Scott Garland(1)(2)

     56      Chairman of the Board of Directors

Rajul Jain, M.D.(4)

     50      Director

Rebecca Luse(3)

     40      Director

Ran Nussbaum(3)

     52      Director

Zachary Prensky(3)

     52      Director

Robert R. Ruffolo, Jr., Ph.D., D.Sc., D.Eng., F.C.P.P.(1)

     75      Director

Chen Yu, M.D.(4)

     51      Director

Rekha Hemrajani(1)(2)(5)

     56      Director Nominee

William Kane(2)(5)

     63      Director Nominee
 
(1)

Member of the audit committee.

(2)

Member of the compensation committee.

(3)

Member of the nominating and corporate governance committee.

(4)

Dr. Jain and Dr. Yu will resign from our board of directors effective immediately prior to the execution of the underwriting agreement related to this offering.

(5)

Ms. Hemrajani and Mr. Kane currently are director nominees and have been appointed as members of our board of directors effective immediately prior to the execution of the underwriting agreement related to this offering.

Executive Officers

Heather Turner has served as our Chief Executive Officer and director since November 2024. Prior to joining us, Ms. Turner was President and Chief Executive Officer of Carmot Therapeutics Inc. (acquired by Roche) from January 2023 to June 2024 and Chief Operating Officer from September 2022 to December 2022. Prior to Carmot, Ms. Turner served as Chief General Counsel and Secretary at Lyell Immunopharma, Inc. from April 2019 to May 2022. Prior to Lyell, Ms. Turner served as Executive Vice President, General Counsel and Secretary of Sangamo Therapeutics, Inc., a publicly traded gene therapy and gene editing company, from February 2018 to March 2019, and served as Executive Vice President, General Counsel and Head of Portfolio Strategy at Atara Biotherapeutics, Inc., a publicly-traded allogeneic cell therapy company, from July 2015 to February 2018. Prior to that, Ms. Turner served as General Counsel and Secretary at Orexigen Therapeutics, Inc. a publicly-traded company focused on metabolic diseases, from June 2007 to June 2015. Ms. Turner started her career at Cooley LLP as a corporate securities associate. Ms. Turner received her J.D. from UCLA School of Law and her B.A. in Environmental Studies from the University of California, Santa Barbara. Ms. Turner has served as the chair of the board of directors of Avalyn Pharma Inc., a clinical-stage biotech company, since November 2024 and as a member of the board of directors of Terns Pharmaceuticals, Inc., a publicly traded clinical-stage biopharmaceutical company, since November 2024. Our board of directors believes that Ms. Turner’s extensive experience as an executive and director of companies in the biopharmaceutical industry provides her with the qualifications to serve on our board of directors.

 

179


Table of Contents

Gad Soffer has served as our Chief Business Officer since February 2025. Mr. Soffer has also served as a consultant and director of General Metabolics LLC since 2023. From 2021 to 2023, Mr. Soffer created and managed a family investment vehicle that focused on investing in the biotechnology and pharmaceutical sectors. Prior to that, Mr. Soffer served as Chief Executive Officer of Consonance-HFW Acquisition Corp. from November 2020 to June 2021. Prior to that, Mr. Soffer served as Chief Operating Officer at Rheos Medicines, Inc. from October 2018 to June 2020. Prior to that, he served as Executive Vice President and Chief Strategy Officer at Atara Biotherapeutics, Inc. from October 2016 to September 2018 and served as Chief Operating Officer from March 2013 through October 2016. From August 2008 to March 2013, he held various roles in Business Development and served as Global Project Leader for Abraxane at Celgene Corporation. From June 2000 to June 2001 and from April 2004 to April 2006, Mr. Soffer was a healthcare consultant with Easton Associates LLC. He received an A.B. from Harvard University, an M.S. from Columbia University and an M.B.A. from Harvard Business School.

Anna Eramo, M.D. has served as our Chief Medical Officer since September 2020. Prior to joining us, Dr. Eramo served various roles with increased responsibilities at Lundbeck A/S from 2017 to 2020, where she led U.S. clinical and medical affairs with primary responsibilities extending across its entire U.S. neurology and psychiatric portfolio of products, including brexpiprazole, vortioxetine, and Abilify Maintena. Dr. Eramo holds both an academic degree in Medicine and a specialty degree in Psychiatry and Psychotherapy from the University Medical School of Naples, Italy.

Marc Panoff has served as our Senior Vice President, Finance since June 2024 and previously served as our Chief Financial Officer from March 2016 to May 2024. Immediately prior to joining us, Mr. Panoff served as an independent consultant to several companies. From 2013 to 2015, Mr. Panoff served as Chief Financial Officer at Retrophin, Inc. From 2006 to 2012, Mr. Panoff served as Chief Financial Officer, Treasurer and Secretary of Neurologix, Inc. From 2004 to 2006, Mr. Panoff served as Chief Financial Officer of Nephros, Inc., a publicly traded medical device developer. Mr. Panoff has served on the board of directors of Little Bear Pharmaceuticals, Inc. since February 2025. Mr. Panoff received his Bachelor of Science degree in Business Administration from Washington University in St. Louis and his master’s degree in Business Administration from Arizona State University. He is also a Certified Public Accountant in New York State (inactive).

Richard Silva, Ph.D. has served as our Senior Vice President of Technical Operations since February 2025. Prior to joining us, Dr. Silva was Senior Vice President of Pharmaceutical Sciences at Carmot Therapeutics Inc. (acquired by Roche) from April 2023 to July 2024. Prior to that, Dr. Silva served as Vice President Technical Operations, Development and Manufacturing at Epizyme, Inc. (acquired by Ipsen) from March 2020 to April 2023. Prior to Epizyme, Dr. Silva was Senior Director at Kaleido Biosciences from March 2019 to February 2020, and prior to that he served as Senior Director of Chemical Process Development at ImmunoGen, Inc. from July 2015 to March 2019. Dr. Silva holds a Ph.D. in Synthetic Organic Chemistry from Dartmouth College and a B.S. in Chemistry from the University of Massachusetts.

Non-Employee Directors and Director Nominees

Scott Garland has served as Chairman of our board of directors since February 2024. Since September 2023, Mr. Garland has been a partner at Vida Ventures. Mr. Garland was the Chief Executive Officer of PACT Pharma, Inc., an immuno-oncology company focused on developing neoantigen targeted T-cell therapies for solid tumors from 2021 to 2023. Prior to PACT Pharma, Inc., Mr. Garland served as President and Chief Executive Officer of Portola Pharmaceuticals, Inc. from 2018 to 2020, where he led the company through the commercial launch of Andexxa and acquisition by Alexion Pharmaceuticals, Inc. Before joining Portola Pharmaceuticals, Inc., Mr. Garland was at Relypsa Inc. from 2014 to 2018, where he served as Chief Commercial Officer, and then as President of the U.S. organization after Relypsa Inc.’s acquisition by Vifor Pharma AG. Prior to Relypsa Inc., Mr. Garland was Chief Commercial Officer at Exelixis, Inc. from 2011 to 2014. Mr. Garland has held numerous other commercial leadership roles at Genentech, Inc., Amgen Inc., Merck & Co., Inc., including leading the commercial franchises for two multi-billion-dollar therapies—Avastin and Rituxan. He also serves as a board

 

180


Table of Contents

member for ALX Oncology Inc., a biopharmaceutical company, since November 2022, and Day One Biopharmaceuticals, Inc., a biopharmaceutical company, since August 2021, and Olema Pharmaceuticals, Inc., a biopharmaceutical company, since October 2023. Mr. Garland served on the Board of Directors for Karyopharm Therapeutics Inc., a biotechnology company, from 2014 to 2020 and on the Board of Directors of Calithera Biosciences, Inc. from 2020 to 2023. Mr. Garland received a Bachelor of Science degree from California Polytechnic State University-San Luis Obispo and a master’s degree in Business Administration from the Fuqua School of Business at Duke University. Our board of directors believes that Mr. Garland’s extensive leadership experience in the healthcare industry and his service as a public company director qualify him to serve on our board of directors.

Rajul Jain, M.D. has served as a member of our board of directors since September 2023. Since May 2019, Dr. Jain has been a partner at Vida Ventures, where he currently is a Managing Director. Dr. Jain previously served as Vice President at Kite Pharma, Inc. Previously, Dr. Jain was at Amgen, Inc. where his last role was Global Development Lead. There he oversaw the development of small molecules and biologics in the oncology and bone health therapeutic areas and was instrumental in advancing the R&D pipeline including regulatory approvals of Xgeva and Prolia. Dr. Jain also serves as a board member of Capstan Therapeutics, Inc., InduPro, Inc., Locanabio, Inc., A2 Biotherapeutics, Inc., Quanta Therapeutics, Inc., and Third Arc Bio, Inc. Dr. Jain completed his B.A. in Chemistry and Biochemistry at Rice University, and M.D. and Internal Medicine internship and residency at UT Southwestern Medical School, where he was a Howard Hughes Fellow. He completed his post-doctoral training in biophysics at Rockefeller University, and fellowship training at M.D. Anderson Cancer Center, where he was chief fellow. Our board of directors believes that Dr. Jain’s financial expertise and investment experience in the life sciences industry provides him with the qualifications to serve on our board of directors.

Rebecca Luse has served as a member of our board of directors since August 2023. Since January 2021, Ms. Luse has served as Principal of Deep Track Capital. Ms. Luse previously served as Principal of New Leaf Venture Partners. Previously, she worked on the sell side at both Jefferies and Piper Jaffray, covering biotechnology and specialty pharmaceuticals companies. Ms. Luse started her career as an investment banking analyst in the health care group of Bank of America and as a venture capital associate at Bay City Capital. Rebecca earned a Bachelor of Science in Biochemistry and Mathematics from Indiana University. Our board of directors believes Ms. Luse’s financial expertise and investment experience in the life sciences industry provides her with the qualifications to serve on our board of directors.

Ran Nussbaum has served as a member of our board of directors since August 2023. Since 2004, Mr. Nussbaum has served as a Managing Partner and the Co-Founder of Pontifax. He also serves as a board member on many of Pontifax’s portfolio companies. He currently serves as a director of Keros Therapeutics, Inc. since April 2016, Lutris Pharma Ltd since May 2016, Kamari Pharma Ltd since April 2021, Indapta Therapeutics Inc. since April 2022, and Graviton Bioscience Corp since December 2022. Mr. Nussbaum previously served as a director of Urogen Pharma Ltd., ArQule, Inc. (acquired by Merck & Co., Inc.), BioBlast Pharma Ltd., Eloxx Pharmaceuticals Ltd., Prevail Therapeutics Inc., VBI Vaccines Inc. and Kite Pharma, Inc. until its acquisition by Gilead Sciences, Inc. Our board of directors believes Mr. Nussbaum’s financial expertise and experience serving on the boards of directors of other public companies qualify him to serve on our board of directors.

Zachary Prensky is our Co-Founder, has served as a member of our board of directors since September 2015 and served as our Chief Executive Officer from September 2015 to November 2024. Prior to joining us, Mr. Prensky managed both Little Bear Investments and The Kybartai Trust, a family office with a heavy focus on investing in the biotechnology and pharmaceutical sectors, from 1998 to 2015. Since February 2025, Mr. Prensky has served as the Chief Executive Officer and member of the board of directors of Little Bear Pharmaceuticals, Inc. Mr. Prensky attended Yeshiva University. Our board of directors believes that Mr. Prensky’s experience as our Co-Founder and former Chief Executive Officer, as well as his expertise in the field of neuroscience, qualify him to serve on our board of directors.

 

181


Table of Contents

Robert R. Ruffolo, Jr., Ph.D., D.Sc., D.Eng., F.C.P.P. has served as a member of our board of directors since July 2019. He served as the President of Research and Development and as the Corporate Senior Vice President of Wyeth Pharmaceuticals, Inc. from 2002 through 2008. In these roles, he managed an R&D organization of 9,000 scientists with an annual budget in excess of $3 billion. From 2000 to 2002 he served as an Executive Vice President at Wyeth Pharmaceuticals, Inc., where he was responsible for Pharmaceutical Research and Development. Prior to joining Wyeth Pharmaceuticals, Inc., Dr. Ruffolo spent 17 years at SmithKline Beecham Pharmaceuticals plc (now GlaxoSmithKline plc) where he was Senior Vice President and Director of Biological Sciences, Worldwide from 1984 to 2000. Before joining SmithKline Beecham Pharmaceuticals plc, Dr. Ruffolo spent six years at Eli Lilly and Company from 1978 to 1984 where he was Chairman of the Cardiovascular Research Committee. Dr. Ruffolo currently serves on the boards of directors of Elicio Therapeutics, Inc. and several private companies. He received his B.S. in Pharmacy from The Ohio State University and his Ph.D. in Pharmacology from The Ohio State University. Our board of directors believes that Dr. Ruffolo’s extensive leadership experience in the healthcare industry and his service as a public company director qualify him to serve on our board of directors.

Chen Yu, M.D. has served as a member of our board of directors since December 2023. Dr. Yu is the founder and Managing Partner at TCG Crossover Fund. Prior to founding TCG Crossover Fund, Dr. Yu spent 16 years as a Managing Partner at Vivo Capital, a life-sciences focused investment fund. Dr. Yu has extensive operating experience with leadership roles at both private and public companies, including stints as the Chief Operating Officer of Sagent Pharmaceuticals, Inc. from 2012 to 2013, and Chief Business Officer of China Kanghui Holdings, from 2010 to 2012. Dr. Yu previously served on the boards of Structure Therapeutics Inc. from 2021 to 2023, Tarsus Pharmaceuticals, Inc. in 2020, Sagent Pharmaceuticals, Inc. from 2008 to 2013, Nanjing King-friend Biochemical Pharmaceutical Co., Ltd. from 2011 to 2019, and over a dozen private companies. Dr. Yu also serves on the California Leadership Council for The Nature Conservancy and was previously a member of the Stanford Medical School Alumni Board of Governors. Dr. Yu received his M.D. and M.B.A. from Stanford University and graduated magna cum laude with a B.A. in Biology from Harvard University. Our board of directors believes that Dr. Yu’s financial expertise and experience serving on the boards of directors of other companies qualify him to serve on our board of directors.

Rekha Hemrajani will join our board of directors effective immediately prior to the execution of the underwriting agreement related to this offering. Ms. Hemrajani has served as a member of the board of directors of ALX Oncology Holdings Inc. since April 2020, MaxCyte, Inc. since June 2021, and BioAge Labs since August of 2021. Ms. Hemrajani served as Chief Executive Officer and Director of Jiya Acquisition Corporation from August 2020 to November 2022. She previously served as President, Chief Executive Officer & Director of Aravive, Inc., a clinical-stage biotechnology company, from January 2020 to April 2020. From March 2019 to September 2019, Ms. Hemrajani served as the Chief Operating Officer and Chief Financial Officer of Arcus Biosciences, a biotechnology company. From March 2016 to March 2019, she served as Chief Operating Officer of RAPT Therapeutics, Inc., a biotechnology company. From February 2015 to March 2016, Ms. Hemrajani served as Chief Financial Officer and Senior Vice President of Business and Financial Operations at Sagimet Biosciences, Inc., a biotechnology company. From November 2013 to January 2015, Ms. Hemrajani advised privately held companies on strategic corporate development and financing activities at Ravinia Consulting, a consulting firm she founded. She previously served as a director of Adverum Biotechnologies, Inc., Aravive, Inc. and Jiya Acquisition Corp. Ms. Hemrajani holds a B.S. in Economics and Computer Science from the University of Michigan and an M.B.A. from the Kellogg Graduate School of Management at Northwestern University. Our board of directors believes that Ms. Hemrajani’s extensive leadership experience in the healthcare industry and her service as a public company director qualify her to serve on our board of directors.

William Kane will join our board of directors effective immediately prior to the execution of the underwriting agreement related to this offering. Mr. Kane currently serves as President and CEO of Uniquity Bio, Inc. and has previously served as President and Chief Commercial Officer of Anthos Therapeutics, Inc. from October 2024 to April 2025. Previously, he served as the Chief Commercial Officer of Karuna Therapeutics, Inc. from February 2023 to March 2024. From November 2021 to December 2022, Mr. Kane was an independent consultant. From

 

182


Table of Contents

June 2020 to October 2021, Mr. Kane was Executive Vice President and Chief Commercial Officer of BioXcel Therapeutics, Inc. Prior to that, he served in multiple leadership roles at Allergan plc, most recently as Senior Vice President, U.S. General Medicine, from January 2017 to May 2020, and prior to that, as Vice President, Internal Medicine Brands, from July 2014 to December 2016 and Vice President, CNS Marketing, from October 2013 to June 2014. Mr. Kane has also held senior level commercial positions at leading biopharma companies, including Pfizer and Sepracor (now Sumitomo Pharma). Mr. Kane holds a B.A. in Government from Connecticut College and an M.B.A. from the Wharton School at the University of Pennsylvania. Our board of directors believes that Mr. Kane’s extensive leadership experience in the healthcare industry qualify him to serve on our board of directors.

Board Composition

Our business and affairs are organized under the direction of our board of directors, which currently consists of eight members. Two of our directors, Dr. Jain and Dr. Yu, will resign from our board of directors effective as of immediately prior to the execution of the underwriting agreement related to this offering, and Ms. Hemrajani and Mr. Kane currently are director nominees and have been appointed as members of our board of directors effective immediately prior to the execution of the underwriting agreement related to this offering, at which time our board will consist of eight directors. All of our directors currently serve on the board of directors pursuant to the provisions of the voting agreement between us and several of our stockholders. The voting agreement will terminate upon the completion of this offering, after which there will be no further contractual obligations regarding the election or designation of our directors. Our current directors will continue to serve as directors until their resignation, removal or successor is duly elected.

In accordance with the terms of our amended and restated certificate of incorporation that will become effective immediately prior to the closing of this offering, we will divide our board of directors into three classes, Class I, Class II, and Class III, with members of each class serving a staggered three-year term. In connection with this offering, our board of directors will be divided into the following three classes:

 

   

Class I, which will consist of Zachary Prensky, Rebecca Luse, and Ran Nussbaum, whose terms will expire at our annual meeting of stockholders to be held in 2026;

 

   

Class II, which will consist of Robert R. Ruffolo, Jr., Scott Garland, and Heather Turner, whose terms will expire at our annual meeting of stockholders to be held in 2027; and

 

   

Class III, which will consist of Rekha Hemrajani and William Kane, whose terms will expire at our annual meeting of stockholders to be held in 2028.

At each annual meeting of stockholders to be held after the initial classification, the successors to directors whose terms then expire will serve until the third annual meeting following their election and until their successors are duly elected and qualified. Our amended and restated bylaws that will become effective immediately prior to the closing of this offering will provide that the authorized number of directors may be changed only by resolution of a majority of our board of directors. Any additional directorships resulting from an increase in the number of directors or from the filling of any current vacancies will be distributed between the three classes so that, as nearly as possible, each class will consist of one-third of the directors. This classification of our board of directors may have the effect of delaying or preventing changes in our control or management.

Director Independence

Our board of directors has undertaken a review of the independence of our directors and considered whether any director has a relationship that, in the opinion of the board of directors, would interfere with the exercise of independent judgment in carrying out the responsibilities of a member of our board. Based upon information requested from and provided by each director concerning such director’s background, employment, and affiliations, including family relationships, our board of directors has determined that all of our directors, except

 

183


Table of Contents

for Ms. Turner and Mr. Prensky, representing six of our eight directors, are “independent directors” as defined under the listing standards of Nasdaq. In making these determinations, our board of directors considered the current and prior relationships that each director has with our company and all other facts and circumstances that our board of directors deemed relevant in determining their independence, including the beneficial ownership of our capital stock by each non-employee director and the transactions described in the section titled “Certain Relationships and Related Party Transactions.” Our board of directors has determined that Ms. Turner, by virtue of her role as our Chief Executive Officer, and Mr. Prensky, by virtue of his role as our former Chief Executive Officer, are not independent directors under the current rules and regulations of the SEC and the listing standards of Nasdaq.

There are no family relationships among any of our directors or executive officers.

Role of the Board in Risk Oversight

One of the key functions of our board of directors is informed oversight of our risk management process. Our board of directors does not have a standing risk management committee, but rather administers this oversight function directly through the board of directors as a whole. Additionally, in connection with this offering, our board of directors will establish various standing committees of the board of directors that will address risks inherent in their respective areas of oversight, as described below. In particular, our audit committee will monitor our major financial, accounting, legal, compliance, investment, tax, cybersecurity, and data privacy risks, and the steps our management has taken to identify and control these exposures, including by reviewing and setting guidelines, internal controls, and policies that govern the process by which risk assessment and management is undertaken. In addition, our compensation committee will oversee the management of risks relating to our employment policies and executive compensation plans and arrangements, and our nominating and corporate governance committee will oversee the management of our corporate governance practices.

While our board of directors oversees our risk management, management is responsible for day-to-day risk management processes. Our board of directors expects management to consider risk and risk management in each business decision, to proactively develop and monitor risk management strategies and processes for day-to-day activities, and to effectively implement risk management strategies adopted by our board of directors, as a whole and at the committee level. We believe this division of responsibilities is the most effective approach for addressing the risks we face.

Board Committees

In connection with this offering, our board of directors will establish an audit committee, a compensation committee, and a nominating and corporate governance committee. Our board of directors may from time to time establish other committees.

Audit Committee

Upon the completion of this offering, our audit committee will consist of Rekha Hemrajani, Robert R. Ruffolo, Jr., and Scott Garland, with Ms. Hemrajani serving as the chair of the audit committee. Our board of directors has determined that each of these individuals satisfies the requirements for independence under the current rules and regulations of the SEC and the listing standards of Nasdaq. Each member of our audit committee can read and understand fundamental financial statements in accordance with Nasdaq audit committee requirements. In addition, our board of directors has determined that Ms. Hemrajani and Mr. Garland each qualifies as an “audit committee financial expert” within the meaning of SEC regulations. In arriving at these determinations, the board has examined each audit committee member’s scope of experience and the nature of their prior and/or current employment.

 

184


Table of Contents

The primary responsibilities of the audit committee will include, among other things:

 

   

helping our board of directors oversee our corporate accounting and financial reporting processes;

 

   

managing the selection, engagement, qualifications, independence, and performance of a qualified firm to serve as the independent registered public accounting firm to audit our financial statements;

 

   

discussing the scope and results of the audit with the independent registered public accounting firm, and reviewing, with management and the independent accountants, our interim and year-end operating results;

 

   

developing procedures for employees to submit concerns anonymously about questionable accounting or audit matters;

 

   

reviewing related person transactions;

 

   

overseeing cybersecurity matters and policies;

 

   

obtaining and reviewing a report by the independent registered public accounting firm that describes its internal quality control procedures, any material issues with such procedures, and any steps taken to deal with such issues when required by applicable law; and

 

   

approving, or, as permitted, pre-approving, audit and permissible non-audit services to be performed by the independent registered public accounting firm.

The audit committee will operate under a written charter, to be effective immediately prior to the closing of this offering, which satisfies the applicable rules and regulations of the SEC and the listing standards of Nasdaq.

Compensation Committee

Upon completion of this offering, our compensation committee will consist of Scott Garland, William Kane, and Rekha Hemrajani, with Mr. Garland serving as chair of the compensation committee. Our board of directors has determined that each of the members of our compensation committee is independent under the listing standards of Nasdaq and qualifies as a “non-employee director” as defined in Rule 16b-3 promulgated under the Exchange Act.

The primary responsibilities of the compensation committee will include, among other things:

 

   

reviewing and approving (or, as applicable, recommending to our board of directors) the compensation of our Chief Executive Officer and other executive officers;

 

   

reviewing and approving the compensation paid to our non-employee directors;

 

   

administering our equity incentive plans and other benefit programs;

 

   

reviewing and approving, or making recommendations to our board of directors with respect to, incentive compensation and equity plans;

 

   

reviewing, adopting, amending, and terminating the terms of any employment agreements, severance arrangements, bonus plans, deferred compensation plans, change-of-control protections, and any other compensatory arrangements for our executive officers;

 

   

reviewing, evaluating, and recommending to our board of directors succession plans for our executive officers; and

 

   

reviewing and establishing general policies relating to compensation and benefits of our employees, including our overall compensation philosophy.

The compensation committee will operate under a written charter, to be effective immediately prior to the closing of this offering, which satisfies the applicable rules and regulations of the SEC and the listing standards of Nasdaq.

 

185


Table of Contents

Nominating and Corporate Governance Committee

Upon completion of this offering, our nominating and corporate governance committee will consist of Rebecca Luse, Ran Nussbaum and Zachary Prensky, with Ms. Luse serving as chair of the nominating and corporate governance committee. Our board of directors has determined that each of Mr. Nussbaum and Ms. Luse is “independent” as defined under the applicable listing standards of Nasdaq and SEC rules and regulations. Mr. Prensky, by virtue of his former position as our former Chief Executive Officer, is not independent under applicable rules and regulations of the SEC and the Nasdaq listing rules. We are relying on the phase-in exemption provided under Rule 10A-3 of the Exchange Act and the Nasdaq listing rules with respect to the composition of our nominating and corporate governance committee. Mr. Prensky will serve on our nominating and corporate governance committee under the phase-in exemption referenced above. In accordance with the phase-in exemption, a majority of the members of our nominating and corporate governance committee will satisfy the independence standards under the Exchange Act and the Nasdaq listing rules within 90 days of the date of effectiveness of the registration statement of which this prospectus forms a part and all members of our nominating and corporate governance committee will satisfy the independence standards under the Exchange Act and the Nasdaq listing rules within one year from the date of listing.

The primary responsibilities of the nominating and corporate governance committee will include, among other things:

 

   

identifying, reviewing, and evaluating candidates, including the nomination of incumbent directors for reelection and nominees recommended by our stockholders, to serve on our board of directors;

 

   

considering and making recommendations to our board of directors regarding the composition and chairmanship of the committees of our board of directors;

 

   

instituting plans or programs for the continuing education of our board of directors and orientation of new directors;

 

   

developing and making recommendations to our board of directors regarding corporate governance guidelines and matters; and

 

   

overseeing periodic evaluations of the board of directors’ performance, including committees of the board of directors.

The nominating and corporate governance committee will operate under a written charter, to be effective immediately prior to the closing of this offering, which satisfies the applicable rules and regulations of the SEC and the listing standards of Nasdaq.

Code of Business Conduct and Ethics

Prior to the closing of this offering, we intend to adopt a written code of business conduct and ethics, or the Code of Conduct, that applies to our directors, officers, and employees, including our principal executive officer, principal financial officer, principal accounting officer or controller, or person performing similar functions. Following this offering, a copy of the Code of Conduct will be available on the Corporate Governance section of our website, https://lbpharma.us/. We intend to disclose on our website any future amendments of our Code of Conduct or waivers that exempt any of the principal executive officer, principal financial officer, principal accounting officer or controller, persons performing similar functions or our directors from provisions in the Code of Conduct. Information contained on, or that can be accessed through, our website is not incorporated by reference into this prospectus. We have included our website in this prospectus solely as an inactive textual reference.

Compensation Committee Interlocks and Insider Participation

None of our current or former executive officers serve as a member of the compensation committee. None of our officers serve, or have served during the last completed fiscal year, on the board of directors or

 

186


Table of Contents

compensation committee, or other committee serving an equivalent function, of any other entity that has one or more of its executive officers serving as a member of our board of directors or our compensation committee.

Non-Employee Director Compensation

Historically, we have not had a formal compensation policy with respect to service on our board of directors. In 2024, only our non-employee directors, Mr. Garland and Dr. Ruffolo, Jr., received cash fees and option awards in respect of their board service, as shown in the table below. We did not provide compensation for 2024 to our investor designee directors. We have reimbursed and will continue to reimburse all of our non-employee directors for their reasonable out-of-pocket expenses incurred in attending board of directors and committee meetings.

Director Compensation Table

The following table sets forth information regarding the compensation of our non-employee directors earned for service on our board of directors during the year ended December 31, 2024.

 

Name

   Fees
Earned or
Paid in Cash
($)
     Option Awards
($)(1)
     All Other
Compensation
($)(2)
     Total
($)
 

Scott Garland(3)

     55,000        801,000        —         856,000  

Rajul Jain, M.D.

     —         —         —         —   

Rebecca Luse

     —         —         —         —   

Ran Nussbaum

     —         —         —         —   

Robert R. Ruffolo, Jr., Ph.D., D.Sc., D.Eng., F.C.P.P. (4)

     30,000        387,000        42,000        459,000  

Chen Yu, M.D.

     —         —         —         —   
 
(1)

Amounts reported in this column represent the aggregate grant date fair value of the stock option awards granted to Mr. Garland and Dr. Ruffolo, Jr. during 2024 as determined in accordance with FASB ASC Topic 718. Assumptions used in the calculations of these amounts are included in Note 10 to our audited financial statements included in this registration statement. The amounts do not reflect the actual economic value that may be realized by Mr. Garland or Dr. Ruffolo, Jr.

(2)

Includes consulting fees of $3,500 per month paid to Dr. Ruffolo, Jr. for clinical consulting services provided to us.

(3)

The aggregate number of shares issuable upon exercise of option awards outstanding at December 31, 2024 for Mr. Garland was 21,514, none of which were vested. 25% of each of the option awards vests upon the first anniversary of the grant date, and the remainder vests and becomes exercisable in thirty-six (36) substantially equal monthly installments thereafter.

(4)

The aggregate number of shares issuable upon exercise of option awards outstanding at December 31, 2024 for Dr. Ruffolo, Jr. was 13,266, 2,510 of which were fully vested. 25% of the option awards vests upon the first anniversary of the grant date, and the remainder vests and becomes exercisable in thirty-six (36) substantially equal monthly installments thereafter.

Ms. Turner, our current Chief Executive Officer, and Mr. Prensky, our former Chief Executive Officer, each of whom is also a director, did not receive any additional compensation for their respective service as directors in 2024. Ms. Turner and Mr. Prensky’s compensation as named executive officers in 2024 is set forth below under “Executive Compensation—Summary Compensation Table.”

 

187


Table of Contents

Non-Employee Director Compensation Policy

In August 2025, our board of directors approved a non-employee director compensation policy that we expect will become effective in connection with this offering. Under the non-employee director policy, our directors who are not also serving as employees of or consultants to us will be eligible to receive the compensation summarized below for service on our board of directors and committees of our board of directors from and after the completion of this offering:

Cash Compensation. Under this policy, we will pay each of our non-employee directors cash retainers for service on our board of directors and committees of our board of directors as follows:

 

     Annual
Cash

Retainer
($)
 

Annual retainer

     40,000  

Additional retainer for non-executive chair

     30,000  

Additional retainer for audit committee chair

     20,000  

Additional retainer for audit committee non-chair member

     10,000  

Additional retainer for compensation committee chair

     12,000  

Additional retainer for compensation committee non-chair member

     6,000  

Additional retainer for nominating and corporate governance committee chair

     10,000  

Additional retainer for nominating and corporate governance committee non-chair member

     5,000  

We will also reimburse each non-employee director for ordinary, necessary and reasonable out-of-pocket travel expenses actually incurred by such director in connection with in-person attendance at and participation in meetings of our board of directors and committees of our board of directors.

Equity Compensation. In addition to cash compensation, each non-employee director will be eligible to receive options under our 2025 Plan. All options granted under the policy will be nonstatutory stock options, with an exercise price per share equal to 100% of the fair market value of the underlying common stock on the date of grant, and a term of ten years from the date of grant, subject to earlier termination in connection with a termination of service. Vesting schedules for equity awards will be subject to the non-employee director’s continuous service with us on each applicable vesting date, provided that each option will vest in full upon a change in control (as defined in the 2025 Plan).

Initial Award. Each new non-employee director elected or appointed to our board of directors after the effective date of the policy will automatically be granted an initial, one-time stock option award for 20,000 shares. The initial option grant will vest in substantially equal annual installments over a three-year period such that the option is fully vested on the third anniversary of the grant date.

Annual Awards. On the date of each annual meeting of stockholders of our company after the effective date of the policy, commencing with the 2026 annual meeting of stockholders, each non-employee director that continues to serve on our board of directors will automatically be granted a stock option award for 10,000 shares. The annual option grant shall be prorated for non-employee directors who have served on our board of directors for less than one year as of such annual meeting. The annual option grant shall vest on the one-year anniversary of the date of grant, provided that the annual grant will in any case be fully vested on the date of the our next annual stockholder meeting (or the date immediately prior to our next annual stockholder meeting if the non-employee director’s service as a director ends at such meeting due to the non-employee director’s failure to be re-elected or the non-employee director not standing for re-election).

Non-employee director compensation limit. The cash and equity compensation that each non-employee director is eligible to receive under the policy will be subject to the director compensation limits set forth in the 2025 Plan.

 

188


Table of Contents

Director IPO Option Grants and Option Repricing

On the date of the pricing of this offering, each of our non-employee directors will receive an option under our 2025 Plan to purchase a number of shares of our common stock with an aggregate grant date fair value of $1.1 million (which, based on an assumed initial public offering price of $15.00 per share, which is the midpoint of the estimated price range set forth on the cover page of this prospectus, will be 140,701 shares of our common stock), which will have an exercise price equal to the initial price per share to the public in this offering, and will vest in three annual installments such that each such option is fully vested on the third anniversary of the grant date, subject to such non-employee director’s continuous service with us through each applicable vesting date, provided that each option will vest in full upon a change in control (as defined in the 2025 Plan).

In addition, in September 2025, our board of directors approved the repricing of stock options previously granted to current executive officers, employees and directors with per-share exercise prices above the initial price per share to the public in this offering, including options held by Mr. Garland and Dr. Ruffolo, Jr., which were “underwater”, meaning that the exercise price per share of these options was greater than the current fair market value of our common stock. This Option Repricing is effective on the date of the pricing of this offering and reduced the exercise price per share of such options to the initial price per share to the public in this offering, the fair market value of our common stock on the date of the Option Repricing.

 

189


Table of Contents

EXECUTIVE COMPENSATION

Our named executive officers for the year ended December 31, 2024, consisting of the two individuals who served as our principal executive officer during the fiscal year ended December 31, 2024 and the next two most highly compensated executive officers who were serving in such capacity as of December 31, 2024, were:

 

   

Heather Turner, our Chief Executive Officer and a member of our board of directors;

 

   

Zachary Prensky, our former Chief Executive Officer and a member of our board of directors;

 

   

Roger Sawhney, our former Chief Financial Officer; and

 

   

Anna Eramo, M.D., our Chief Medical Officer.

Summary Compensation Table

The following table sets forth information regarding all of the compensation awarded to or earned by or paid to our named executive officers during the fiscal year ended December 31, 2024.

 

Name and Principal Position

  Year     Salary
($)
    Bonus
($)(1)
    Option
Awards
($)(2)
    All Other
Compensation
($)
    Total ($)  

Heather Turner(3)

    2024       68,750       —        4,709,607       14,333 (4)      4,792,690  

Chief Executive Officer and Director

           

Zachary Prensky(5)

    2024       443,000       —        2,055,000       1,063,546 (6)      3,561,546  

Former Chief Executive Officer and Director

           

Roger Sawhney(7)

    2024       187,917       108,397       1,301,500       6,833 (8)      1,604,647  

Former Chief Financial Officer

           

Anna Eramo, M.D.

    2024       375,000       262,500       239,750       13,800 (8)      891,050  

Chief Medical Officer

           
 
(1)

Amounts reported in this column represent 2024 discretionary annual bonuses and, for Dr. Eramo only, an additional $75,000 discretionary bonus paid in 2024.

(2)

Amounts reported in this column represent the aggregate grant date fair value of the stock options granted to our named executive officers during 2024 under the 2023 Plan, as calculated in accordance with FASB ASC Topic 718. Assumptions used in the calculations of these amounts are included in Note 10 to our audited financial statements included in this registration statement. The amounts do not reflect the actual economic value that may be realized by the named executive officer.

(3)

Commenced employment as our Chief Executive Officer in November 2024.

(4)

Amount shown represents a housing stipend.

(5)

Resigned as our Chief Executive Officer in connection with Ms. Turner’s appointment as Chief Executive Officer.

(6)

Amount shown includes $13,800 in Company-paid 401(k) matching contributions and certain benefits in connection with Mr. Prensky’s employment termination pursuant to the Prensky Separation Agreement (as defined below), which include the following: (i) eighteen (18) months of base salary ($750,000), (ii) an amount with respect to his 2024 annual bonus ($250,000), and (iii) eighteen (18) months of the Consolidated Omnibus Budget Reconciliation Act of 1985, or COBRA, premiums ($49,746).

(7)

Commenced employment as our Chief Financial Officer in June 2024 and was subsequently terminated in May 2025.

(8)

Amount shown represents Company-paid 401(k) matching contributions.

 

190


Table of Contents

Narrative to the Summary Compensation Table

Annual Base Salary

Our named executive officers receive a base salary to compensate them for services rendered to us. The base salary payable to each named executive officer is intended to provide a fixed component of compensation reflecting the executive’s skill set, experience, role, and responsibilities. The base salary of our named executive officers is generally determined and approved by our board of directors in connection with the commencement of employment of the named executive officer and may be adjusted from time to time thereafter as the board of directors determines appropriate. The 2024 annual base salaries for our named executive officers were as follows: (1) $550,000 for Ms. Turner, (2) $500,000 for Mr. Prensky, (3) $410,000 for Mr. Sawhney, and (4) $375,000 for Dr. Eramo.

Bonus Compensation

In addition to base salaries, each of our named executive officers is eligible to receive a discretionary annual bonus of up to a percentage of the executive’s gross base salary based on individual performance, Company performance or as otherwise determined appropriate, as determined by our board of directors. For the year ended December 31, 2024, cash bonus targets were 50% for Ms. Turner, 40% for Mr. Prensky, 40% for Mr. Sawhney, and 40% for Dr. Eramo. The amount of any discretionary annual bonus is determined after the end of the year for which the bonus relates. The amounts paid to the named executive officers for the 2024 discretionary annual bonus (other than Ms. Turner and Mr. Prensky) were as follows: (1) $108,397 for Mr. Sawhney, and (2) $187,500 for Dr. Eramo. Mr. Prensky received a $250,000 annual bonus payment pursuant to the terms of the Prensky Separation Agreement, as described below under “—Potential Payments Upon Termination or Change in Control.”

In addition to the annual bonus, in May 2024, our board of directors (following the recommendation of our compensation committee) awarded Dr. Eramo a discretionary bonus equal to $75,000.

Equity-Based Incentive Awards

Our equity-based incentive awards are designed to align our named executive officers’ interests with those of our stockholders and to retain and incentivize our named executive officers over the long term. Our board of directors is responsible for approving equity grants. Vesting of equity awards is generally tied to continuous service with us and serves as an additional retention measure. Our named executive officers generally are awarded an initial new-hire grant upon commencement of employment. Additional grants may occur periodically in order to specifically incentivize our named executive officers with respect to achieving certain corporate goals or to reward our named executive officers for exceptional performance.

Prior to this offering, we have granted all equity awards pursuant to our 2017 Plan, 2018 Plan, and our 2023 Plan. Following this offering, we will grant equity incentive awards under the terms of our 2025 Plan. The terms of our equity plans are described below under “—Equity Benefit Plans.” All options are granted with a per share exercise price equal to no less than the fair market value of a share of our common stock on the date of the grant of such award. Generally, our option awards vest over a four-year period subject to the holder’s continuous service to us, as further described under “—Outstanding Equity Awards as of December 31, 2024” below.

In June 2024, our board of directors granted Mr. Prensky, Mr. Sawhney, and Dr. Eramo options to purchase 53,787, 34,065, and 6,275 shares of our common stock, respectively. In addition, in November 2024, our board of directors granted Ms. Turner an option to purchase 175,706 shares of our common stock. The terms of these awards are described under “—Outstanding Equity Awards as of December 31, 2024” below.

September 2025 Option Repricing

In September 2025, our board of directors approved the repricing of stock options previously granted to current executive officers, employees and directors with per-share exercise prices above the initial price per share

 

191


Table of Contents

to the public in this offering, including options held by Ms. Turner, Mr. Prensky and Dr. Eramo, which were “underwater”, meaning that the exercise price per share of these options was greater than the current fair market value of our common stock. This Option Repricing is effective on the date of the pricing of this offering and reduce the exercise price per share of such options to the initial price per share to the public in this offering, the fair market value of our common stock on the date of the Option Repricing. We believe that the Option Repricing is in our best interest and in the best interests of our stockholders, in order to motivate the optionholders to continue to provide services to us and to work towards our success.

Outstanding Equity Awards as of December 31, 2024

The following table sets forth certain information regarding equity awards granted to our named executive officers that remained outstanding as of December 31, 2024.

 

            Option Awards(1)      Stock Awards(1)  

Name

   Grant Date      Number of
Securities
Underlying
Unexercised
Options (#)
Exercisable
     Number of
Securities
Underlying
Unexercised
Options (#)
Unexercisable
    Option
Exercise
Price
($)(2)
     Option
Expiration
Date
     Number
of Shares
or Units
of Stock
that
Have
Not
Vested
(#)
     Market
Value of
Shares
or Units
of Stock
That
Have Not
Vested
($)
 

Heather Turner

     11/18/2024        —         175,706 (3)      41.84        11/17/2034        —         —   

Zachary Prensky(4)

     11/21/2018        3,944        —        64.15        11/20/2028        —         —   
     02/19/2020        896        —        69.72        02/18/2030        —         —   
     08/25/2020        1,255        —        69.72        08/24/2030        —         —   
     08/29/2023        5,976        11,952 (3)      41.84        08/28/2033        —         —   
     06/28/2024        —         53,787 (3)      41.84        06/27/2034        —         —   

Roger Sawhney(5)

     06/28/2024        —         34,065 (3)      41.84        06/27/2034        —         —   

Anna Eramo, M.D.

     08/29/2023        8,964        17,929 (3)      41.84        08/28/2033        —         —   
     06/28/2024        —         6,275 (3)      41.84        06/27/2034        —         —   
 
(1)

The equity awards listed in the table above were granted under the 2023 Plan, the 2018 Plan, and the 2017 Plan.

(2)

The exercise prices do not reflect the Option Repricing. If the initial price to the public in this offering is less than the exercise price of these options, then upon the execution of the underwriting agreement related to this offering, the exercise prices of these options will be automatically repriced to an exercise price per share equal to the initial price per share to the public in this offering.

(3)

25% of the option vests upon the first anniversary of the grant date, and the remainder vests and becomes exercisable in thirty-six (36) substantially equal monthly installments thereafter.

(4)

Resigned as our Chief Executive Officer in connection with Ms. Turner’s appointment as Chief Executive Officer. In connection with such resignation, Mr. Prensky’s outstanding option awards were treated as described below under “—Potential Payments Upon Termination or Change in Control—Zachary Prensky.”

(5)

Was terminated from the Chief Financial Officer role in May 2025. In connection with such termination, Mr. Sawhney’s outstanding option award was treated as described below under “—Potential Payments Upon Termination or Change in Control—Roger Sawhney.”

IPO Option Grants

In September 2025, our board of directors approved the grant of options under our 2025 Plan to Ms. Turner and Dr. Eramo, effective upon the pricing of this offering, to purchase a number of shares of common stock such that their beneficial ownership of our total outstanding shares of capital stock as of the pricing date of this offering, on a fully diluted basis after giving effect to this offering, will be equal to approximately 4.5% and

 

192


Table of Contents

0.75%, respectively. These options will have an exercise price equal to the initial public offering price. The shares underlying these options will vest as to 25% on the one-year anniversary of the grant date, with the remainder vesting in 36 equal monthly installments thereafter, subject to the named executive officer continuing to have a service relationship with us through each applicable vesting date. Our board of directors also approved an additional option grant under our 2025 Plan to Mr. Prensky in his capacity as a non-employee director, effective upon the pricing of this offering, to purchase a number of shares that will be equal to approximately 0.10% of our total outstanding shares of capital stock as of such date after giving effect to this offering. Shares subject to this option will vest in three annual installments such that such option is fully vested on the third anniversary of the grant date, subject to Mr. Prensky continuing to have a service relationship with us through each applicable vesting date.

Employment Arrangements

We are party to employment agreements with each of our named executive officers. The employment agreements set forth the named executive officer’s base salary, eligibility for employee benefits, and severance benefits upon a qualifying termination of employment or change in control of our Company and, other than Ms. Turner, generally provide for an initial term commencing on the effective date of the applicable agreement and ending on the one-year anniversary of the effective date. After the initial one-year term, the employment agreement will automatically renew for successive one-year terms. Either we or the executive may elect not to renew the employment agreement after the initial one-year term by providing the other party written notice of non-renewal not less than ninety (90) days prior to the expiration of the then-existing employment period. Each of our named executive officers has executed our standard confidential information, inventions assignment, and arbitration agreement. The key terms of the employment agreements with our named executive officers, including potential payments upon termination or change in control, are described below.

Heather Turner

In November 2024, we entered into an executive employment agreement with Heather Turner, our Chief Executive Officer and a member of our board of directors, who commenced employment on November 18, 2024, or the Turner Employment Agreement. The Turner Employment Agreement provides for an annual base salary of $550,000 per year. Pursuant to the Turner Employment Agreement, Ms. Turner is eligible to receive an annual performance cash bonus with a target bonus opportunity equal to 50% of her base salary, as adjusted from time to time, based on the achievement of corporate and individual objectives and milestones established by our board of directors. Additionally, pursuant to the Turner Employment Agreement, Ms. Turner received an option to purchase 175,706 shares of our common stock, at an exercise price of $41.84 per share. 25% of the option vests and becomes exercisable upon the first anniversary of the date Ms. Turner commenced employment with us, and the remainder vests and becomes exercisable in thirty-six (36) substantially equal monthly installments thereafter, subject to Ms. Turner continuing to have a service relationship (as defined in the 2023 Plan) with us through each such date. In September 2025, our board of directors approved an increase in Ms. Turner’s annual base salary to $625,000, effective as of October 1, 2025, and an increase in her cash bonus target from 50% of her base salary to 55% of her annual base salary. Ms. Turner is also entitled to certain severance benefits, the terms of which are described below under “—Potential Payments Upon Termination or Change in Control.”

Zachary Prensky

In August 2023, we entered into an executive employment agreement with Zachary Prensky, our former Chief Executive Officer and a member of our board of directors, which was amended in June 2024, or the Prensky Employment Agreement. The Prensky Employment Agreement provided for an annual base salary of $500,000 per year, as adjusted from time to time. Pursuant to the Prensky Employment Agreement, Mr. Prensky was eligible to receive an annual performance cash bonus with a target bonus opportunity equal to 40% of his base salary, as adjusted from time to time, based on the achievement of corporate and individual objectives and milestones established by our board of directors. Additionally, the Prensky Employment Agreement provided for

 

193


Table of Contents

the grant of an option to purchase (i) 17,929 shares of our common stock, at an exercise price of $41.84 per share, whereby 25% of the option vests and becomes exercisable upon the first anniversary of the effective date of the Prensky Employment Agreement, and the remainder vests and becomes exercisable in thirty-six (36) substantially equal monthly installments thereafter and (ii) 53,787 shares of our common stock, at an exercise price of $41.84 per share, whereby 25% of the option vests and becomes exercisable upon the first anniversary of the effective date of the amendment to the Prensky Employment Agreement, and the remainder vests and becomes exercisable in thirty-six (36) substantially equal monthly installments thereafter, in each case, subject to Mr. Prensky continuing to have a service relationship (as defined in the 2023 Plan) with us through each such date. Mr. Prensky was also entitled to certain severance benefits, pursuant to the Prensky Employment Agreement. In November 2024, we entered into a separation agreement with Mr. Prensky, the terms of which are described below under “—Potential Payments Upon Termination or Change in Control.”

Roger Sawhney

In June 2024, we entered into an executive employment agreement with Roger Sawhney, our former Chief Financial Officer, who commenced employment on June 21, 2024, or the Sawhney Employment Agreement. The Sawhney Employment Agreement provided for an annual base salary of $410,000 per year. Pursuant to the Sawhney Employment Agreement, Mr. Sawhney was eligible to receive an annual performance cash bonus with a target bonus opportunity equal to 40% of his base salary, as adjusted from time to time, based on the achievement of corporate and individual objectives and milestones established by our board of directors. Additionally, the Sawhney Employment Agreement provided for the grant of an option to purchase 34,065 shares of our common stock, at an exercise price of $41.84 per share, whereby 25% of the option would have vested and become exercisable upon the first anniversary of the effective date of the Sawhney Employment Agreement, with the remainder vesting and becoming exercisable in thirty-six (36) substantially equal monthly installments thereafter, subject to Mr. Sawhney continuing to have a service relationship (as defined in the 2023 Plan) with us through each such date. Mr. Sawhney was also entitled to certain severance benefits, the terms of which are described below under “—Potential Payments Upon Termination or Change in Control.” In May 2025, we entered into a separation agreement with Mr. Sawhney, the terms of which are described below under “—Potential Payments Upon Termination or Change in Control.”

Anna Eramo, M.D.

In August 2023, we entered into an executive employment agreement with Anna Eramo, M.D., our Chief Medical Officer, or the Eramo Employment Agreement. The Eramo Employment Agreement provides for an annual base salary of $375,000 per year, as adjusted from time to time. Dr. Eramo’s base salary was initially increased to $393,750 for 2025 and subsequently increased again in connection with the amendment and restatement of the Eramo Employment Agreement, as described below. Pursuant to the Eramo Employment Agreement, Dr. Eramo is eligible to receive an annual performance cash bonus with a target bonus opportunity equal to 40% of her base salary, as adjusted from time to time, based on the achievement of corporate and individual objectives and milestones established by our board of directors. Additionally, the Eramo Employment Agreement provided for the grant of an option to purchase 26,893 shares of our common stock, at an exercise price of $41.84 per share. 25% of the option vested and became exercisable upon the first anniversary of the effective date of the Eramo Employment Agreement, and the remainder vests and becomes exercisable in thirty-six (36) substantially equal monthly installments thereafter, subject to Dr. Eramo continuing to have a service relationship with us through each such date. In addition, contingent and effective upon the effectiveness of the underwriting agreement related to the Company’s initial public offering, Dr. Eramo is eligible to receive an option to purchase a number of shares of our common stock such that her aggregate beneficial ownership of the common stock as of the closing of the initial public offering would equal 0.75% of the fully diluted total number of shares of common stock outstanding as of the closing of this offering, rounded down to the nearest whole share. 25% of such option shall vest and became exercisable upon the first anniversary of the pricing of this offering, and the remainder vests and becomes exercisable in thirty-six (36) substantially equal monthly installments thereafter, subject to Dr. Eramo continuing to have a service relationship with us through each such date. Dr. Eramo is also entitled to certain severance benefits, the terms of which are described below under “—Potential Payments Upon Termination or Change in Control.”

 

194


Table of Contents

The Eramo Employment Agreement was amended and restated in September 2025 to, among other changes, provide for an annual base salary of $475,000 and the grant of an option under our 2025 Plan, contingent and effective upon the pricing of this offering, as described above, and under “IPO Option Grants.”

Potential Payments Upon Termination or Change in Control

Regardless of the manner in which a named executive officer’s service terminates, each of our named executive officers is entitled to receive amounts earned during his or her term of service, including unpaid salary and unused vacation. In the event of certain termination scenarios, each named executive officer will be entitled to receive the additional benefits summarized below pursuant to his or her employment agreement, subject to the timely execution and non-revocation of a separation agreement and general release of claims (among other preconditions).

Heather Turner

If we terminate Ms. Turner’s employment without cause or she resigns for good reason (each of “cause” and “good reason” as defined in the Turner Employment Agreement) during a time period other than the three (3) months prior to or twelve (12) months following a change in control (as defined in the Turner Employment Agreement), Ms. Turner will be entitled to receive the following benefits pursuant to the Turner Employment Agreement: (i) a severance payment equal to twelve (12) months of her then-current annual base salary, and (ii) if Ms. Turner is eligible for and elects group health plan continuation coverage under COBRA, we will reimburse Ms. Turner for the monthly COBRA premium paid by her for herself and her spouse/dependents until the earliest of (A) twelve (12) months following the termination date; (B) the expiration of Ms. Turner’s eligibility for the continuation coverage under COBRA; or (C) the date when Ms. Turner becomes eligible for substantially equivalent health insurance coverage in connection with new employment.

If, in the alternative, we terminate Ms. Turner’s employment without cause or she resigns for good reason during the three (3) months prior to or twelve (12) months following a change in control, Ms. Turner will be entitled to receive the following benefits in lieu of the regular severance benefits described above: (i) a lump sum cash payment equal to eighteen (18) months of her then-current base salary, (ii) one-and-a-half (1.5) times the annual bonus for the year in which the termination occurs, (iii) accelerated vesting of any unvested equity that Ms. Turner holds, and (iv) if Ms. Turner is eligible for and elects group health plan continuation coverage under COBRA, we will reimburse Ms. Turner for the monthly COBRA premium paid by her for herself and her spouse/dependents until the earliest of (A) eighteen (18) months following the termination date; (B) the expiration of Ms. Turner’s eligibility for the continuation coverage under COBRA; or (C) the date when Ms. Turner becomes eligible for substantially equivalent health insurance coverage in connection with new employment.

Upon termination of Ms. Turner’s employment by reason of death or disability (as defined in the Turner Employment Agreement), Ms. Turner (or her estate) will be entitled to receive the following benefits pursuant to the Turner Employment Agreement: (i) a pro rata portion of the annual bonus for the fiscal year in which the termination occurs, to the extent earned based on actual performance, and (ii) if Ms. Turner is eligible for and elects group health plan continuation coverage under COBRA, we will reimburse Ms. Turner for the monthly COBRA premium paid by her (or in the event of her death, her surviving spouse and/or dependents) for herself and her spouse/dependents, until the earliest of: (A) the last day of the month that is twenty-six (26) weeks after the date of such termination; (B) in the event of her disability, the date she becomes eligible to receive healthcare coverage from a subsequent employer, or (C) the date she is no longer eligible to receive COBRA continuation coverage.

Zachary Prensky

In November 2024, we entered into a transition, consulting, and separation agreement with Mr. Prensky, or the Prensky Separation Agreement, pursuant to which he ceased serving as Chief Executive Officer and served as Advisor to our Chief Executive Officer through December 31, 2024, his employment termination date. Pursuant

 

195


Table of Contents

to the Prensky Separation Agreement, Mr. Prensky is receiving the following benefits: (i) eighteen (18) months of base salary, (ii) an amount equal to his 2024 target bonus, and (iii) up to eighteen (18) months of COBRA premiums. The Prensky Separation Agreement also states that Mr. Prensky will provide consulting services following his termination of employment and while actively serving as a consultant, will receive continued vesting of his outstanding and unvested options for the duration of the consulting period (as defined in the Prensky Separation Agreement).

Roger Sawhney

If we had terminated Mr. Sawhney’s employment without cause or if he had resigned for good reason (each of “cause” and “good reason” as defined in the Sawhney Employment Agreement) during a time period other than the three (3) months prior to or twelve (12) months following a change in control (as defined in the Sawhney Employment Agreement), Mr. Sawhney would have been entitled to receive the following benefits pursuant to the Sawhney Employment Agreement: (i) a severance payment equal to nine (9) months of his then-current annual base salary, and (ii) if Mr. Sawhney had been eligible for and elected group health plan continuation coverage under COBRA, we would have reimbursed Mr. Sawhney for the monthly COBRA premium paid by him for himself and his spouse/dependents until the earliest of (A) nine (9) months following the termination date; (B) the expiration of Mr. Sawhney’s eligibility for the continuation coverage under COBRA; or (C) the date when Mr. Sawhney became eligible for substantially equivalent health insurance coverage in connection with new employment.

If, in the alternative, we had terminated Mr. Sawhney’s employment without cause or he resigned for good reason during the three (3) months prior to or twelve (12) months following a change in control, Mr. Sawhney would have been entitled to receive the following benefits in lieu of the regular severance benefits described above: (i) a lump sum cash payment equal to one year of his then-current base salary, (ii) one-and-a-half (1.5) times the annual bonus for the year in which the termination had occurred, (iii) accelerated vesting of any unvested equity that Mr. Sawhney had then held, and (iv) if Mr. Sawhney had been eligible for and elected group health plan continuation coverage under COBRA, we would have reimbursed Mr. Sawhney for the monthly COBRA premium paid by him for himself and his spouse/dependents until the earliest of (A) twelve (12) months following the termination date; (B) the expiration of Mr. Sawhney’s eligibility for the continuation coverage under COBRA; or (C) the date when Mr. Sawhney became eligible for substantially equivalent health insurance coverage in connection with new employment.

Upon termination of Mr. Sawhney’s employment by reason of death or disability (as defined in the Sawhney Employment Agreement), Mr. Sawhney (or his estate) would have been entitled to receive the following benefits pursuant to the Sawhney Employment Agreement: (i) a pro rata portion of the annual bonus for the fiscal year in which the termination occurred, to the extent earned based on actual performance, and (ii) if Mr. Sawhney had been eligible for and elected group health plan continuation coverage under COBRA, we would have reimbursed Mr. Sawhney for the monthly COBRA premium paid by him (or in the event of his death, his surviving spouse and/or dependents) for himself and his spouse/dependents, until the earliest of: (A) the last day of the month that is twenty-six (26) weeks after the date of such termination; (B) in the event of his disability, the date he became eligible to receive healthcare coverage from a subsequent employer, or (C) the date he was no longer eligible to receive COBRA continuation coverage.

In May 2025, we entered into a separation agreement with Mr. Sawhney, or the Sawhney Separation Agreement, pursuant to which his employment with us terminated effective May 7, 2025. Pursuant to the Sawhney Separation Agreement, Mr. Sawhney is receiving the following benefits: (i) the equivalent of nine (9) months of base salary, (ii) up to nine (9) months of COBRA premiums, (iii) acceleration of his then-outstanding and unvested stock option under the 2023 Plan, such that 25% of the shares subject to the option will be treated as vested and exercisable as of May 7, 2025, and (iv) retention of our company-issued laptop computer provided to him during his employment.

 

196


Table of Contents

Anna Eramo, M.D.

In accordance with the Eramo Employment Agreement as it was in effect as of December 31, 2024, Dr. Eramo would have been entitled to receive the following benefits in connection with specified terminations of her employment:

 

   

If we terminate Dr. Eramo’s employment without cause or she resigns for good reason (each of “cause” and “good reason” as defined in the Eramo Employment Agreement), then Dr. Eramo will be entitled to receive the following benefits pursuant to the Eramo Employment Agreement: (i) a severance payment equal to eighteen (18) months of her then-current base salary, (ii) a pro rata portion of the annual bonus for the fiscal year in which the termination occurs, to the extent Dr. Eramo would have otherwise earned such bonus based on actual performance, and (iii) if Dr. Eramo is eligible for and elects group health plan continuation coverage under COBRA, we will reimburse Dr. Eramo for eighteen (18) months of the monthly COBRA premium paid by her for herself and her spouse/dependents, and (iv) an additional six (6) monthly installments of the option to purchase 26,893 shares of our common stock that Dr. Eramo received in August 2023 will automatically vest.

 

   

If, in the alternative, we terminate Dr. Eramo’s employment without cause or she resigns for good reason in connection with a change in control (as defined in the Eramo Employment Agreement), Dr. Eramo will be entitled to receive the following benefits in lieu of the regular severance benefits set forth above: (i) a lump sum cash payment equal to one year of her then-current base salary, plus one-and-a-half (1.5) times the annual bonus opportunity for the year in which the termination occurs and (ii) if Dr. Eramo is eligible for and elects group health plan continuation coverage under COBRA, we will reimburse Dr. Eramo for twelve (12) months of the monthly COBRA premium paid by her for herself and her spouse/dependents. These severance arrangements were modified in the Eramo Employment Agreement, as amended and restated in September 2025, as described below.

 

   

Upon termination of Dr. Eramo’s employment by reason of death or disability (as defined in the Eramo Employment Agreement), Dr. Eramo (or her estate) will be entitled to receive the following benefits pursuant to the Eramo Employment Agreement: (i) a pro rata portion of the annual bonus for the fiscal year in which the termination occurs, to the extent Dr. Eramo would have otherwise earned such bonus based on actual performance, (ii) if Dr. Eramo is eligible for and elects group health plan continuation coverage under COBRA, we will reimburse Dr. Eramo for the monthly COBRA premium paid by her (or in the event of her death, her surviving spouse and/or dependents) for herself and her spouse/dependents, until the earliest of: (A) the last day of the month that is twenty-six (26) weeks after the date of such termination, (B) in the event of Dr. Eramo’s disability, the date Dr. Eramo becomes eligible to receive healthcare coverage from a subsequent employer, or (C) the date Dr. Eramo is no longer eligible to receive COBRA continuation coverage, and (iii) 25% of the option to purchase 26,893 shares of our common stock that Dr. Eramo received in August 2023 will automatically vest.

The Eramo Employment Agreement, as amended and restated in September 2025, provides for severance benefits substantially similar to those described above with some modifications, including, among others, (i) the addition of a change in control period (the three (3) months prior to or twelve (12) months following a change in control) during which the change in control severance benefits described above would be provided, (ii) the elimination of severance benefits in the event that we elect not to renew the term of the agreement, and (iii) upon a change in control termination, the accelerated vesting of all outstanding equity awards.

Other Compensation and Benefits

Each of our named executive officers is eligible to participate in our employee benefit plans, including our medical, dental, vision, life, and long-term disability plans, in each case on the same basis as all of our other employees. We pay at least a portion of the premiums for medical, dental, vision, and life insurance for all of our employees, including our named executive officers. We generally do not provide perquisites or personal benefits

 

197


Table of Contents

to our named executive officers, except in limited circumstances. In addition, we provide the opportunity to participate in a 401(k) plan to our employees, including each of our named executive officers, as discussed in the section below entitled “—401(k) Plan.”

401(k) Plan

Our named executive officers are eligible to participate in a defined contribution retirement plan that provides eligible U.S. employees with an opportunity to save for retirement on a tax-advantaged basis. Eligible employees may defer eligible compensation on a pre-tax or after-tax (Roth) basis, up to the statutorily prescribed annual limits on contributions under the Code. Individual contributions are allocated to each participant’s individual account and are then invested in selected investment alternatives according to the participants’ directions. The 401(k) plan is intended to be qualified under Section 401(a) of the Code with the 401(k) plan’s related trust intended to be tax exempt under Section 501(a) of the Code. As a tax-qualified retirement plan, contributions to the 401(k) plan (except for Roth contributions) and earnings on those contributions are not taxable to the employees until distributed from the 401(k) plan. We may elect, at our discretion, to make matching employee contributions.

Equity Benefit Plans

The principal features of our equity plans are summarized below. These summaries are qualified in their entirety by reference to the actual text of the plans, which are filed as exhibits to the registration statement of which this prospectus is a part.

2025 Equity Incentive Plan

Our board of directors adopted our 2025 Plan in August 2025 and our stockholders approved our 2025 Plan in September 2025. Our 2025 Plan is a successor to and continuation of our 2023 Plan (referred to in the 2025 Plan as LB Pharmaceuticals Inc 2023 Stock Incentive Plan) and became effective on the execution of the underwriting agreement related to this offering. Once our 2025 Plan became effective, no further grants will be made under our 2023 Plan.

Types of Awards. Our 2025 Plan provides for the grant of incentive stock options, or ISOs, to employees, including employees of any parent or subsidiary, and for the grant of non-statutory stock options, or NSOs, stock appreciation rights, restricted stock awards, restricted stock unit awards, performance awards, and other forms of stock awards to employees, directors, and consultants, including employees and consultants of our affiliates.

Authorized Shares. Initially, the maximum number of shares of our common stock that may be issued under our 2025 Plan after it becomes effective will be 2,907,335 shares, which is the sum of: (i) 2,412,000 new shares, plus (ii) 38,519 shares available for issuance under the 2017 Plan, 2018 Plan and 2023 Plan as of the date of this prospectus, plus (iii) up to 456,816 returning shares as such shares become available from time to time. In addition, the number of shares of our common stock reserved for issuance under our 2025 Plan will automatically increase on January 1 of each calendar year, starting on January 1, 2026 (assuming the 2025 Plan becomes effective in 2025) through January 1, 2035, in an amount equal to 5% of the total number of shares of our capital stock on a fully diluted basis on the last day of the calendar month before the date of each automatic increase, or a lesser number of shares determined by our board of directors. The maximum number of shares of our common stock that may be issued on the exercise of incentive stock options under our 2025 Plan is 8,722,005.

In September 2025, our board of directors approved the grant of stock options to (i) current executive officers and employees, effective upon the pricing of this offering, to purchase a number of shares of common stock such that their beneficial ownership of our total outstanding shares of capital stock as of the pricing date of this offering, on a fully diluted basis after giving effect to this offering, will be equal to approximately 7.10% and 0.50%, respectively, and (ii) each of our non-employee directors, effective upon the pricing of this offering, to

 

198


Table of Contents

purchase a number of shares that will be equal to 0.10% of our total outstanding shares of capital stock as of the pricing of this offering after giving effect to this offering. These options will have an exercise price equal to the initial public price per share of this offering.

Shares subject to stock awards granted under our 2025 Plan that expire or terminate without being exercised in full, or that are paid out in cash rather than in shares, do not reduce the number of shares available for issuance under our 2025 Plan. Additionally, shares become available for future grant under our 2025 Plan if they were issued under stock awards under our 2025 Plan if we repurchase them or they are forfeited. This includes shares used to pay the exercise price of a stock award or to satisfy the tax withholding obligations related to a stock award.

Plan Administration. Our board of directors, or a duly authorized committee of our board of directors, will administer our 2025 Plan. Our board of directors may also delegate to one or more persons or bodies the authority to do one or more of the following (i) designate recipients (other than officers) of specified stock awards provided that no person or body may be delegated authority to grant a stock award to themself; (ii) determine the number of shares subject to such stock award; and (iii) determine the terms of such stock awards. Under our 2025 Plan, our board of directors has the authority to determine and amend the terms of awards and underlying agreements, including:

 

   

recipients;

 

   

the exercise, purchase or strike price of stock awards, if any;

 

   

the number of shares subject to each stock award;

 

   

the vesting schedule applicable to the awards, together with any vesting acceleration; and

 

   

the form of consideration, if any, payable on exercise or settlement of the award.

Under the 2025 Plan, the board of directors also generally has the authority to effect, with the consent of any adversely affected participant:

 

   

the reduction of the exercise, purchase, or strike price of any outstanding award;

 

   

the cancellation of any outstanding award and the grant in substitution therefore of other awards, cash, or other consideration; or

 

   

any other action that is treated as a repricing under generally accepted accounting principles.

Stock Options. ISOs and NSOs are granted under stock option agreements adopted by the plan administrator. The plan administrator determines the exercise price for stock options, within the terms and conditions of the 2025 Plan, provided that the exercise price of a stock option generally cannot be less than 100% of the fair market value of our common stock on the date of grant. Options granted under the 2025 Plan vest at the rate specified in the stock option agreement as determined by the plan administrator.

Tax Limitations on ISOs. The aggregate fair market value, determined at the time of grant, of our common stock with respect to ISOs that are exercisable for the first time by an option holder during any calendar year under all of our stock plans may not exceed $100,000. Options or portions thereof that exceed such limit will generally be treated as NSOs. No ISO may be granted to any person who, at the time of the grant, owns or is deemed to own stock possessing more than 10% of our total combined voting power or that of any of our affiliates unless (i) the option exercise price is at least 110% of the fair market value of the stock subject to the option on the date of grant; and (ii) the option is not exercisable after the expiration of five years from the date of grant.

Restricted Stock Unit Awards. Restricted stock units are granted under restricted stock unit award agreements adopted by the plan administrator. Restricted stock units may be granted in consideration for any form of legal consideration that may be acceptable to our board of directors and permissible under applicable law. A restricted stock unit may be settled by cash, delivery of stock, a combination of cash and stock as deemed

 

199


Table of Contents

appropriate by the plan administrator, or in any other form of consideration set forth in the restricted stock unit agreement. Additionally, dividend equivalents may be credited in respect of shares covered by a restricted stock unit. Except as otherwise provided in the applicable award agreement, restricted stock units that have not vested will be forfeited once the participant’s continuous service ends for any reason.

Restricted Stock Awards. Restricted stock awards are granted under restricted stock award agreements adopted by the plan administrator. A restricted stock award may be awarded in consideration for cash, check, bank draft or money order, past services to us, or any other form of legal consideration that may be acceptable to our board of directors and permissible under applicable law. The plan administrator determines the terms and conditions of restricted stock awards, including vesting and forfeiture terms. If a participant’s service relationship with us ends for any reason, we may receive any or all of the shares of our common stock held by the participant that have not vested as of the date the participant terminates service with us through a forfeiture condition or a repurchase right.

Stock Appreciation Rights. Stock appreciation rights are granted under stock appreciation grant agreements adopted by the plan administrator. The plan administrator determines the purchase price or strike price for a stock appreciation right, which generally cannot be less than 100% of the fair market value of our common stock on the date of grant. A stock appreciation right granted under the 2025 Plan vests at the rate specified in the stock appreciation right agreement as determined by the plan administrator.

Performance Awards. The 2025 Plan permits the grant of performance-based stock and cash awards. The plan administrator may structure awards so that the shares of our stock, cash, or other property will be issued or paid only following the achievement of certain pre-established performance goals during a designated performance period. The performance criteria that will be used to establish such performance goals may be based on any measure of performance selected by the plan administrator. The performance goals may be based on a Company-wide basis, with respect to one or more business units, divisions, affiliates, or business segments, and in either absolute terms or relative to the performance of one or more comparable companies or the performance of one or more relevant indices. Unless specified otherwise (i) in the award agreement at the time the award is granted or (ii) in such other document setting forth the performance goals at the time the goals are established, we will appropriately make adjustments in the method of calculating the attainment of performance goals as follows: (1) to exclude restructuring and/or other nonrecurring charges; (2) to exclude exchange rate effects; (3) to exclude the effects of changes to generally accepted accounting principles; (4) to exclude the effects of any statutory adjustments to corporate tax rates; (5) to exclude the effects of items that are “unusual” in nature or occur “infrequently” as determined under generally accepted accounting principles; (6) to exclude the dilutive effects of acquisitions or joint ventures; (7) to assume that any business divested by us achieved performance objectives at targeted levels during the balance of a performance period following such divestiture; (8) to exclude the effect of any change in the outstanding shares of our common stock by reason of any stock dividend or split, stock repurchase, reorganization, recapitalization, merger, consolidation, spin-off, combination or exchange of shares or other similar corporate change, or any distributions to common stockholders other than regular cash dividends; (9) to exclude the effects of stock based compensation and the award of bonuses under our bonus plans; (10) to exclude costs incurred in connection with potential acquisitions or divestitures that are required to be expensed under generally accepted accounting principles; and (11) to exclude the goodwill and intangible asset impairment charges that are required to be recorded under generally accepted accounting principles. In addition, we may establish or provide for other adjustment items in the award agreement at the time the award is granted or in such other document setting forth the performance goals at the time the performance goals are established. We also retain the discretion to reduce or eliminate the compensation or economic benefit due upon attainment of the goals. The performance goals may differ from participant to participant and from award to award.

Other Stock Awards. The plan administrator may grant other awards based in whole or in part by reference to our common stock. The plan administrator will set the number of shares under the stock award and all other terms and conditions of such awards.

 

200


Table of Contents

Non-Employee Director Compensation Limit. The aggregate value of all compensation granted or paid to any non-employee director with respect to any fiscal year following the year in which the underwriting agreement for this offering is executed, including stock awards granted and cash fees paid by us to such non-employee director, will not exceed $750,000 in total value (or in the case of the chair of the board, $1,000,000 in total value), or in the event such non-employee director is first appointed or elected to the board of directors during such fiscal year, $1,000,000 in total value (in each case, calculating the value of any such stock awards based on the grant date fair value of such stock awards for financial reporting purposes).

Changes to Capital Structure. In the event there is a specified type of change in our capital structure, such as a stock split, reverse stock split, or recapitalization, appropriate adjustments will be made to (i) the class and maximum number of shares reserved for issuance under the 2025 Plan, (ii) the class and maximum number of shares by which the share reserve may increase automatically each year, (iii) the class and maximum number of shares that may be issued on the exercise of incentive stock options, and (iv) the class and number of shares and exercise price, strike price, or purchase price, if applicable, of all outstanding stock awards.

Corporate Transactions. The following applies to stock awards under the 2025 Plan in the event of a corporate transaction, unless otherwise provided in a participant’s stock award agreement or other written agreement with us or one of our affiliates or unless otherwise expressly provided by the plan administrator at the time of grant.

In the event of a corporate transaction (as defined in the 2025 Plan), any stock awards outstanding under the 2025 Plan may be assumed, continued or substituted for by any surviving or acquiring corporation (or its parent company), and any reacquisition or repurchase rights held by us with respect to the stock award may be assigned to the successor (or its parent company). If the surviving or acquiring corporation (or its parent company) does not assume, continue or substitute for such stock awards, then with respect to any such stock awards that are held by participants whose continuous service has not terminated prior to the effective time of the transaction, or current participants, the vesting (and exercisability, if applicable) of such stock awards will be accelerated in full to a date prior to the effective time of the transaction (contingent upon the effectiveness of the transaction), and such stock awards will terminate if not exercised (if applicable) at or prior to the effective time of the transaction, and any reacquisition or repurchase rights held by us with respect to such stock awards will lapse (contingent upon the effectiveness of the transaction). With respect to performance awards with multiple vesting levels depending on performance level, unless otherwise provided by an award agreement or by the administrator, the award will accelerate at 100% of target. If the surviving or acquiring corporation (or its parent company) does not assume, continue or substitute for such stock awards, then with respect to any such stock awards that are held by persons other than current participants, such awards will terminate if not exercised (if applicable) prior to the effective time of the transaction, except that any reacquisition or repurchase rights held by us with respect to such stock awards will not terminate and may continue to be exercised notwithstanding the transaction. The plan administrator is not obligated to treat all stock awards or portions of stock awards in the same manner and is not obligated to take the same actions with respect to all participants.

In the event a stock award will terminate if not exercised prior to the effective time of a transaction, the plan administrator may provide, in its sole discretion, that the holder of such stock award may not exercise such stock award but instead will receive a payment equal in value to the excess (if any) of (i) the value of the property the participant would have received upon the exercise of the stock award over (ii) any exercise price payable by such holder in connection with such exercise.

Under our 2025 Plan, a corporate transaction is defined to include: (i) a sale of all or substantially all of our assets; (ii) the sale or disposition of more than 50% of our outstanding securities; (iii) the consummation of a merger or consolidation where we do not survive the transaction; and (iv) the consummation of a merger or consolidation where we do survive the transaction but the shares of our common stock outstanding before such transaction are converted or exchanged into other property by virtue of the transaction, unless otherwise provided in an award agreement or other written agreement between us and the award holder. Under the 2025 Plan, a

 

201


Table of Contents

change in control is defined to include (1) the acquisition by any person or company of more than 50% of the combined voting power of our then outstanding stock; (2) a merger, consolidation or similar transaction in which our stockholders immediately before the transaction do not own, directly or indirectly, more than 50% of the combined voting power of the surviving entity (or the parent of the surviving entity); (3) a sale, lease, exclusive license or other disposition of all or substantially all of our assets other than to an entity more than 50% of the combined voting power of which is owned by our stockholders; and (4) an unapproved change in the majority of the board of directors.

Change in Control. In the event of a change in control, as defined under our 2025 Plan, awards granted under our 2025 Plan will not receive automatic acceleration of vesting and exercisability, although this treatment may be provided for in an award agreement.

Clawback. All awards granted under the 2025 Plan will be subject to recoupment in accordance with any clawback policy that we are required to adopt pursuant to the listing standards of any national securities exchange or association on which our securities are listed or as is otherwise required by the U.S. Dodd-Frank Wall Street Reform and Consumer Protection Act or other applicable law. In addition, our board of directors may impose such other clawback, recovery or recoupment provisions in a stock award agreement as our board of directors determines necessary or appropriate.

Transferability. A participant may not transfer stock awards under our 2025 Plan other than by will, the laws of descent and distribution, or as otherwise provided under our 2025 Plan.

Plan Amendment or Termination. Our board of directors has the authority to amend, suspend, or terminate our 2025 Plan, provided that such action does not materially impair the existing rights of any participant without such participant’s written consent. Certain material amendments also require the approval of our stockholders. No incentive stock options may be granted after the tenth anniversary of the date our board of directors adopted our 2025 Plan. No stock awards may be granted under our 2025 Plan while it is suspended or after it is terminated.

2023 Stock Incentive Plan

Our board of directors adopted, and our stockholders approved, the 2023 Plan in August 2023. The 2023 Plan was amended in December 2024. The 2023 Plan terminated on the date the 2025 Plan became effective, and thereafter no further stock awards will be granted under the 2023 Plan. However, any outstanding stock awards granted under the 2023 Plan will remain outstanding, subject to the terms of our 2023 Plan and award agreements, until such outstanding options are exercised or until any stock awards terminate or expire by their terms.

Types of Awards. The 2023 Plan allows for the grant of ISOs to our employees, including employees of any parent or subsidiary, and for the grant of nonstatutory stock options and restricted stock awards to our employees, officers, directors, and consultants, including employees and consultants of our affiliates.

Authorized Shares. Subject to certain capitalization adjustments, the aggregate number of shares of our common stock that could be issued pursuant to stock awards under the 2023 Plan could not exceed 464,553 shares. The maximum number of shares of our common stock that could be issued pursuant to the exercise of ISOs under our 2023 Plan was 464,553 shares. The shares we have issued under the 2023 Plan have been authorized but unissued shares or shares we reacquired. The shares of common stock underlying any awards that are (i) expired or unexercisable without being exercised in full, (ii) surrendered pursuant to an option exchange program (as defined in the 2023 Plan), (iii) forfeited to or repurchased by us due to a failure to vest, or (iv) that are withheld upon exercise of an award or settlement of an award to cover the tax withholding, could again become available for issuance under the 2023 Plan, or collectively, 2023 Lapsed Awards.

 

202


Table of Contents

Plan Administration. The 2023 Plan is administered by our board of directors or a committee appointed by it, or the 2023 Plan Administrator. The 2023 Plan Administrator has full power to, among other things, (i) determine the fair market value of our common stock, (ii) select the individuals to whom awards may be granted, (iii) determine the number of shares covered by awards, (iv) approve forms of award agreements for use under the 2023 Plan, (v) determine the specific terms and conditions of each award, (vi) amend the terms and conditions of any award, (vii) to determine whether and under what circumstances an option may be settled in cash instead of common stock, (viii) institute and determine the terms of an option exchange program under which (A) outstanding awards are exchanged for other awards or cash, (B) outstanding awards are transferred to a third party institution, or (C) the exercise price of outstanding awards is reduced or increased, (ix) approve addenda or to grant awards to, or to modify the terms of, any outstanding award agreement or any agreement related to any award, optioned stock, or restricted stock held by participants who are foreign nationals or employed outside of the United States to accommodate differences in local law, tax policy or custom, and (x) construe and interpret the terms of the 2023 Plan and awards.

Stock Options. The exercise price per share of all stock options generally must equal at least 100% of the fair market value per share of our common stock on the date of grant. The term of a stock option may not exceed ten years. An ISO granted to a participant who owns more than 10% of the total combined voting power of all classes of our stock on the date of grant, or any subsidiary corporations, may not have a term in excess of five years and must have an exercise price of at least 110% of the fair market value per share of our common stock on the date of grant. The 2023 Plan Administrator will determine the methods of payment of the exercise price of an option, which may include cash, check, promissory note, other shares, consideration received under a cashless exercise program, net exercise, other consideration and methods of payment, or any combination thereof acceptable to the 2023 Plan Administrator. After a participant’s termination of service, the participant generally may exercise his or her stock options, to the extent vested as of such date of termination, during a period of three (3) months after termination of service. If a termination of service is due to death or disability, the option generally will remain exercisable, to the extent vested as of such date of termination, for a period of twelve (12) months following the date of such termination of service. However, in no event may an option be exercised later than the expiration of its term.

Restricted Stock. Restricted stock awards are grants of shares of our common stock that are subject to various restrictions, including restrictions on transferability, and forfeitures provisions. Shares of restricted stock will vest, and the restrictions on such shares will lapse, in accordance with terms and conditions established by the 2023 Plan Administrator.

Changes to Capital Structure. In the event of certain changes in our capitalization, the 2023 Plan Administrator will adjust the number and class of shares of stock that may be delivered under the 2023 Plan and/or the number, class, and price of shares of common stock covered by each outstanding award.

Corporate Transactions. The 2023 Plan provides that in the event of a corporate transaction (as defined in the 2023 Plan), each outstanding award will be treated as the 2023 Plan Administrator determines without participant’s consent. Such determination may provide for one or more of the following including, without limitation, that (i) awards will be continued by us if we are the surviving entity, (ii) awards will be assumed, or substantially equivalent awards will be substituted, by the acquiring or succeeding corporation (or an affiliate thereof) with appropriate adjustments as to the number and kind of shares and prices, (iii) the participant’s awards will terminate upon or immediately prior to the consummation of such corporate transaction for no consideration, or (iv) the termination of an award in exchange for a payment in an amount equal to the excess of (1) the fair market value of the shares of our common stock subject to such awards as of the closing date of such corporate transaction over or (2) the exercise price or purchase price paid or to be paid for the shares subject to the awards. The 2023 Plan Administrator will not be obligated to treat similarly all awards, all awards a participant holds, all awards of the same type, or all portions of awards.

 

203


Table of Contents

Transferability. The 2023 Plan generally does not allow for the transfer or assignment of awards other than by will or by the laws of descent and distribution, or, at the discretion of the 2023 Plan Administrator by gift to an immediate family member or to trusts for the benefit of family members.

Plan Amendment or Termination. Our board of directors may amend, alter, suspend, or terminate the 2023 Plan at any time and for any reason, provided that stockholder approval is obtained where such approval is required by applicable law.

2018 Stock Incentive Plan

Our board of directors adopted, and our stockholders approved, the 2018 Plan in August 2018. The 2018 Plan terminated on the date the 2023 Plan became effective, and thereafter no further stock awards were granted under the 2018 Plan. However, any outstanding stock awards granted under the 2018 Plan will remain outstanding, subject to the terms of our 2018 Plan and award agreements, until such outstanding options are exercised or until any stock awards terminate or expire by their terms.

Types of Awards. The 2018 Plan allows for the grant of ISOs to our employees, including employees of any parent or subsidiary, and for the grant of nonstatutory stock options and restricted stock awards to our employees, officers, directors, and consultants, including employees and consultants of our affiliates.

Authorized Shares. Subject to certain capitalization adjustments, the aggregate number of shares of our common stock that could be issued pursuant to stock awards under the 2018 Plan could not exceed 39,328 shares. The maximum number of shares of our common stock that could be issued pursuant to the exercise of ISOs under our 2018 Plan was 39,328 shares plus any 2018 Lapsed Awards (as defined below). The shares we have issued under the 2018 Plan have been authorized but unissued shares or shares we reacquired. The shares of common stock underlying any awards that are (i) expired or unexercisable without being exercised in full, (ii) surrendered pursuant to an option exchange program (as defined in the 2018 Plan), (iii) forfeited to or repurchased by us due to a failure to vest, or (iv) that are withheld upon exercise of an award or settlement of an award to cover the tax withholding, could again become available for issuance under the 2018 Plan, or collectively, 2018 Lapsed Awards.

Plan Administration. The 2018 Plan is administered by our board of directors or a committee appointed by it, or the 2018 Plan Administrator. The 2018 Plan Administrator has full power to, among other things, (i) determine the fair market value of our common stock, (ii) select the individuals to whom awards may be granted, (iii) determine the number of shares covered by awards, (iv) approve forms of award agreements for use under the 2018 Plan, (v) determine the specific terms and conditions of each award, (vi) amend the terms and conditions of any award, (vii) to determine whether and under what circumstances an option may be settled in cash instead of common stock, (viii) institute and determine the terms of an option exchange program under which (A) outstanding awards are exchanged for other awards or cash, (B) outstanding awards are transferred to a third party institution, or (C) the exercise price of outstanding awards is reduced or increased, (ix) approve addenda or to grant awards to, or to modify the terms of, any outstanding award agreement or any agreement related to any award, optioned stock, or restricted stock held by participants who are foreign nationals or employed outside of the United States to accommodate differences in local law, tax policy or custom, and (x) construe and interpret the terms of the 2018 Plan and awards.

Stock Options. The exercise price per share of all stock options generally must equal at least 100% of the fair market value per share of our common stock on the date of grant. The term of a stock option may not exceed ten years. An ISO granted to a participant who owns more than 10% of the total combined voting power of all classes of our stock on the date of grant, or any subsidiary corporations, may not have a term in excess of five years and must have an exercise price of at least 110% of the fair market value per share of our common stock on the date of grant. The 2018 Plan Administrator will determine the methods of payment of the exercise price of an option, which may include cash, check, promissory note, other shares, consideration received under a cashless

 

204


Table of Contents

exercise program, net exercise, other consideration and methods of payment, or any combination thereof acceptable to the 2018 Plan Administrator. After a participant’s termination of service, the participant generally may exercise his or her stock options, to the extent vested as of such date of termination, during a period of three (3) months after termination of service. If a termination of service is due to death or disability, the option generally will remain exercisable, to the extent vested as of such date of termination, for a period of twelve (12) months following the date of such termination of service. However, in no event may an option be exercised later than the expiration of its term.

Restricted Stock. Restricted stock awards are grants of shares of our common stock that are subject to various restrictions, including restrictions on transferability, and forfeitures provisions. Shares of restricted stock will vest, and the restrictions on such shares will lapse, in accordance with terms and conditions established by the 2018 Plan Administrator.

Changes to Capital Structure. In the event of certain changes in our capitalization, the 2018 Plan Administrator will adjust the number and class of shares of stock that may be delivered under the 2018 Plan and/or the number, class, and price of shares of common stock covered by each outstanding award.

Corporate Transactions. The 2018 Plan provides that in the event of a corporate transaction (as defined in the 2018 Plan), each outstanding award will be treated as the 2018 Plan Administrator determines without participant’s consent. Such determination may provide for one or more of the following including, without limitation, that (i) awards will be continued by us if we are the surviving entity, (ii) awards will be assumed, or substantially equivalent awards will be substituted, by the acquiring or succeeding corporation (or an affiliate thereof) with appropriate adjustments as to the number and kind of shares and prices, (iii) the participant’s awards will terminate upon or immediately prior to the consummation of such corporate transaction for no consideration, or (iv) the termination of an award in exchange for a payment in an amount equal to the excess of (1) the fair market value of the shares of our common stock subject to such awards as of the closing date of such corporate transaction over or (2) the exercise price or purchase price paid or to be paid for the shares subject to the awards. The 2018 Plan Administrator will not be obligated to treat similarly all awards, all awards a participant holds, all awards of the same type, or all portions of awards.

Transferability. The 2018 Plan generally does not allow for the transfer or assignment of awards other than by will or by the laws of descent and distribution, or, at the discretion of the 2018 Plan Administrator by gift to an immediate family member or to trusts for the benefit of family members.

Plan Amendment or Termination. Our board of directors may amend, alter, suspend, or terminate the 2018 Plan at any time and for any reason, provided that stockholder approval is obtained where such approval is required by applicable law.

2017 Stock Incentive Plan

Our board of directors adopted, and our stockholders approved, the 2017 Plan in January 2017. The 2017 Plan was most recently amended in August 2018. The 2017 Plan terminated on the date the 2018 Plan became effective, and thereafter no further stock awards were granted under the 2017 Plan. However, any outstanding stock awards granted under the 2017 Plan will remain outstanding, subject to the terms of our 2017 Plan and award agreements, until such outstanding options are exercised or until any stock awards terminate or expire by their terms.

Types of Awards. The 2017 Plan allows for the grant of ISOs to our employees, including employees of any parent or subsidiary, and for the grant of nonstatutory stock options and restricted stock awards to our employees, officers, directors and consultants, including employees and consultants of our affiliates.

Authorized Shares. Subject to certain capitalization adjustments, the aggregate number of shares of our common stock that could be issued pursuant to stock awards under the 2017 Plan could not exceed 26,893 shares. The maximum number of shares of our common stock that could be issued pursuant to the exercise of ISOs under

 

205


Table of Contents

our 2017 Plan was 26,893 shares plus any 2017 Lapsed Awards (as defined below). The shares we have issued under the 2017 Plan have been authorized but unissued shares or shares we reacquired. The shares of common stock underlying any awards that are (i) expired or unexercisable without being exercised in full, (ii) surrendered pursuant to an option exchange program (as defined in the 2017 Plan), (iii) forfeited to or repurchased by us due to a failure to vest, or (iv) that are withheld upon exercise of an award or settlement of an award to cover the tax withholding, could again become available for issuance under the 2017 Plan, or collectively, 2017 Lapsed Awards.

Plan Administration. The 2017 Plan is administered by our board of directors or a committee appointed by it, or the 2017 Plan Administrator. The 2017 Plan Administrator has full power to, among other things, (i) determine the fair market value of our common stock, (ii) select the individuals to whom awards may be granted, (iii) determine the number of shares covered by awards, (iv) approve forms of award agreements for use under the 2017 Plan, (v) determine the specific terms and conditions of each award, (vi) amend the terms and conditions of any award, (vii) to determine whether and under what circumstances an option may be settled in cash instead of common stock, (viii) institute and determine the terms of an option exchange program under which (A) outstanding awards are exchanged for other awards or cash, (B) outstanding awards are transferred to a third party institution, or (C) the exercise price of outstanding awards is reduced or increased, (ix) approve addenda or to grant awards to, or to modify the terms of, any outstanding award agreement or any agreement related to any award, optioned stock, or restricted stock held by participants who are foreign nationals or employed outside of the United States to accommodate differences in local law, tax policy or custom, and (x) construe and interpret the terms of the 2017 Plan and awards.

Stock Options. The exercise price per share of all stock options generally must equal at least 100% of the fair market value per share of our common stock on the date of grant. The term of a stock option may not exceed ten years. An ISO granted to a participant who owns more than 10% of the total combined voting power of all classes of our stock on the date of grant, or any subsidiary corporations, may not have a term in excess of five years and must have an exercise price of at least 110% of the fair market value per share of our common stock on the date of grant. The 2017 Plan Administrator will determine the methods of payment of the exercise price of an option, which may include cash, check, promissory note, other shares, consideration received under a cashless exercise program, net exercise, other consideration and methods of payment, or any combination thereof acceptable to the 2017 Plan Administrator. After a participant’s termination of service, the participant generally may exercise his or her stock options, to the extent vested as of such date of termination, during a period of three (3) months after termination of service. If a termination of service is due to death or disability, the option generally will remain exercisable, to the extent vested as of such date of termination, for a period of twelve (12) months following the date of such termination of service. However, in no event may an option be exercised later than the expiration of its term.

Restricted Stock. Restricted stock awards are grants of shares of our common stock that are subject to various restrictions, including restrictions on transferability, and forfeitures provisions. Shares of restricted stock will vest, and the restrictions on such shares will lapse, in accordance with terms and conditions established by the 2017 Plan Administrator.

Changes to Capital Structure. In the event of certain changes in our capitalization, the 2017 Plan Administrator will adjust the number and class of shares of stock that may be delivered under the 2017 Plan and/or the number, class, and price of shares of common stock covered by each outstanding award.

Corporate Transactions. The 2017 Plan provides that in the event of a corporate transaction (as defined in the 2017 Plan), each outstanding award will be treated as the 2017 Plan Administrator determines without participant’s consent. Such determination may provide for one or more of the following including, without limitation, that (i) awards will be continued by us if we are the surviving entity, (ii) awards will be assumed, or substantially equivalent awards will be substituted, by the acquiring or succeeding corporation (or an affiliate thereof) with appropriate adjustments as to the number and kind of shares and prices, (iii) the participant’s awards will terminate upon or immediately prior to the consummation of such corporate transaction for no

 

206


Table of Contents

consideration, or (iv) the termination of an award in exchange for a payment in an amount equal to the excess of (1) the fair market value of the shares of our common stock subject to such awards as of the closing date of such corporate transaction over or (2) the exercise price or purchase price paid or to be paid for the shares subject to the awards. The 2017 Plan Administrator will not be obligated to treat similarly all awards, all awards a participant holds, all awards of the same type, or all portions of awards.

Transferability. The 2017 Plan generally does not allow for the transfer or assignment of awards other than by will or by the laws of descent and distribution, or, at the discretion of the 2017 Plan Administrator by gift to an immediate family member or to trusts for the benefit of family members.

Plan Amendment or Termination. Our board of directors may amend, alter, suspend, or terminate the 2017 Plan at any time and for any reason, provided that stockholder approval is obtained where such approval is required by applicable law.

2025 Employee Stock Purchase Plan

Our board of directors adopted our ESPP in August 2025 and our stockholders approved our ESPP in September 2025. The ESPP became effective upon the execution of the underwriting agreement for this offering. The purpose of the ESPP is to secure and retain the services of new employees, to retain the services of existing employees, and to provide incentives for such individuals to exert maximum efforts toward our success and that of our affiliates. Our ESPP will include two components. One component will be designed to allow eligible U.S. employees to purchase our ordinary shares in a manner that may qualify for favorable tax treatment under Section 423 of the Code. The other component will permit the grant of purchase rights that do not qualify for such favorable tax treatment in order to allow deviations necessary to permit participation by eligible employees who are foreign nationals or employed outside of the U.S. while complying with applicable foreign laws.

Share Reserve. Following this offering, the ESPP authorizes the issuance of 201,000 shares of our common stock under purchase rights granted to our employees or to employees of any of our designated affiliates. The number of shares of our common stock reserved for issuance will automatically increase on January 1 of each calendar year, beginning on January 1, 2026 (assuming the ESPP becomes effective in 2025) through January 1, 2035, by the lesser of (i) 1% of the total number of shares of our capital stock on a fully diluted basis on the last day of the calendar month before the date of the automatic increase, and (ii) 402,000 shares; provided that before the date of any such increase, our board of directors may determine that such increase will be less than the amount set forth in clauses (i) and (ii). As of the date hereof, no shares of our common stock have been purchased under the ESPP.

Administration. Our board of directors, or a duly authorized committee thereof, will administer our ESPP. Our board of directors may delegate concurrent authority to administer the ESPP to our compensation and management development committee under the terms of the compensation and management development committee’s charter. The ESPP is implemented through a series of offerings under which eligible employees are granted purchase rights to purchase shares of our common stock on specified dates during such offerings. Under the ESPP, we may specify offerings with durations of not more than 27 months and may specify shorter purchase periods within each offering. Each offering will have one or more purchase dates on which shares of our common stock will be purchased for employees participating in the offering. An offering under the ESPP may be terminated under certain circumstances.

Payroll Deductions. Generally, all regular employees, including executive officers, employed by us or by any of our designated affiliates, may participate in the ESPP and may contribute, normally through payroll deductions, up to 15% of their earnings (as defined in the ESPP) for the purchase of our common stock under the ESPP. Unless otherwise determined by our board of directors, common stock will be purchased for the accounts of employees participating in the ESPP at a price per share that is at least the lesser of (i) 85% of the fair market value of a share of our common stock on the first date of an offering; or (ii) 85% of the fair market value of a share of our common stock on the date of purchase.

 

207


Table of Contents

Limitations. Employees may have to satisfy one or more of the following service requirements before participating in the ESPP, as determined by our board of directors, including: (i) customary employment with us or one of our affiliates for more than 20 hours per week and more than five months per calendar year or (ii) continuous employment with us or one of our affiliates for a minimum period of time (not to exceed two years). No employee may purchase shares under the ESPP at a rate in excess of $25,000 worth of our common stock based on the fair market value per share of our common stock at the beginning of an offering for each year such a purchase right is outstanding. Finally, no employee will be eligible for the grant of any purchase rights under the ESPP if immediately after such rights are granted, such employee has voting power over 5% or more of our outstanding capital stock measured by vote or value under Section 424(d) of the Code.

Changes to Capital Structure. In the event that there occurs a change in our capital structure through such actions as a stock split, merger, consolidation, reorganization, recapitalization, reincorporation, stock dividend, dividend in property other than cash, large nonrecurring cash dividend, liquidating dividend, combination of shares, exchange of shares, change in corporate structure, or similar transaction, the board of directors will make appropriate adjustments to: (i) the number of shares reserved under the ESPP; (ii) the maximum number of shares by which the share reserve may increase automatically each year; (iii) the number of shares and purchase price of all outstanding purchase rights; and (iv) the number of shares that are subject to purchase limits under ongoing offerings.

Corporate Transactions. In the event of certain significant corporate transactions (as defined in the ESPP), including: (i) a sale of all or substantially all of our assets; (ii) the sale or disposition of more than 50% of our outstanding securities; (iii) the consummation of a merger or consolidation where we do not survive the transaction; and (iv) the consummation of a merger or consolidation where we do survive the transaction but the shares of our common stock outstanding immediately before such transaction are converted or exchanged into other property by virtue of the transaction, any then-outstanding rights to purchase our stock under the ESPP may be assumed, continued or substituted for by any surviving or acquiring entity (or its parent company). If the surviving or acquiring entity (or its parent company) elects not to assume, continue, or substitute for such purchase rights, then the participants’ accumulated payroll contributions will be used to purchase shares of our common stock within ten business days before such corporate transaction, and such purchase rights will terminate immediately.

ESPP Amendment or Termination. Our board of directors has the authority to amend or terminate our ESPP, provided that except in certain circumstances such amendment or termination may not materially impair any outstanding purchase rights without the holder’s consent. We will obtain stockholder approval of any amendment to our ESPP as required by applicable law or listing requirements.

Limitation of Liability and Indemnification

Our amended and restated certificate of incorporation that will become effective immediately prior to the closing of this offering limits the liability of our current and former directors and officers for monetary damages to the fullest extent permitted by Delaware law. Delaware law provides that directors and officers of a corporation will not be personally liable for monetary damages for any breach of fiduciary duties as directors or officers, except liability for:

 

   

any breach of the director’s or officer’s duty of loyalty to the corporation or its stockholders;

 

   

any act or omission not in good faith or that involves intentional misconduct or a knowing violation of law;

 

   

as a director, unlawful payments of dividends or unlawful stock repurchases or redemptions;

 

   

as an officer, derivative claims brought on behalf of the corporation by a stockholder; or

 

   

any transaction from which the director or officer derived an improper personal benefit.

This limitation of liability does not apply to liabilities arising under federal securities laws and does not affect the availability of equitable remedies such as injunctive relief or recission.

 

208


Table of Contents

Our amended and restated certificate of incorporation will authorize us to indemnify our directors, officers, employees, and other agents to the fullest extent permitted by Delaware law. Our amended and restated bylaws will provide that we are required to indemnify our directors and officers to the fullest extent permitted by Delaware law and may indemnify our other employees and agents. Our amended and restated bylaws will also provide that, on satisfaction of certain conditions, we will advance expenses incurred by a director or officer in advance of the final disposition of any action or proceeding, and permit us to secure insurance on behalf of any officer, director, employee, or other agent for any liability arising out of his or her actions in that capacity regardless of whether we would otherwise be permitted to indemnify him or her under the provisions of Delaware law. We have entered and expect to continue to enter into agreements to indemnify our directors, executive officers, and other employees as determined by the board of directors. With certain exceptions, these agreements provide for indemnification for related expenses including attorneys’ fees, judgments, fines, and settlement amounts incurred by any of these individuals in any action or proceeding.

We believe that these amended and restated certificate of incorporation and amended and restated bylaw provisions and indemnification agreements are necessary to attract and retain qualified persons as directors and officers. We also maintain customary directors’ and officers’ liability insurance.

The limitation of liability and indemnification provisions in our amended and restated certificate of incorporation and amended and restated bylaws may discourage stockholders from bringing a lawsuit against our directors for breach of their fiduciary duty. They may also reduce the likelihood of derivative litigation against our directors and officers, even though an action, if successful, might benefit us and other stockholders. Further, a stockholder’s investment may be adversely affected to the extent that we pay the costs of settlement and damage awards against directors and officers as required by these indemnification provisions.

Insofar as indemnification for liabilities arising under the Securities Act may be permitted for directors, executive officers, or persons controlling us, we have been informed that, in the opinion of the SEC, such indemnification is against public policy as expressed in the Securities Act and is therefore unenforceable.

At present, there is no pending litigation or proceeding involving any of our directors, executive officers or employees for which indemnification is sought, and we are not aware of any threatened litigation that may result in claims for indemnification.

Rule 10b5-1 Sales Plans

Our directors and executive officers may adopt written plans, known as Rule 10b5-1 plans, in which they will contract with a broker to buy or sell shares of our common stock on a periodic basis. Under a Rule 10b5-1 plan, a broker executes trades pursuant to parameters established by the director or executive officer when entering into the plan, without further direction from them. The director or executive officer may amend a Rule 10b5-1 plan in some circumstances and may terminate a Rule 10b5-1 plan at any time. Our directors and executive officers also may buy or sell additional shares outside of a Rule 10b5-1 plan when they are not in possession of material nonpublic information, or MNPI subject to compliance with the terms of our insider trading policy and any applicable 10b5-1 guidelines. 

Policies and Practices Related to the Grant of Certain Equity Awards

From time to time, we grant stock options to our employees, including the named executive officers, and to our non-employee directors. Historically, we have granted new-hire option awards on or soon after a new-hire’s employment start date and refresh, promotion or retention option grants when and as determined by our board of directors. We do not maintain any written policies on the timing of awards of stock options or similar instruments with option-like features. Following the effective date of the registration statement of which this prospectus forms a part, we expect that (i) the board of directors will consider whether there is any MNPI about us when determining the timing of stock option grants and will not seek to time the award of stock options in relation to our public disclosure of MNPI and (ii) we will not time the public release of MNPI for the purpose of affecting the value of executive compensation.

 

209


Table of Contents

CERTAIN RELATIONSHIPS AND RELATED PARTY TRANSACTIONS

Other than compensation arrangements for our directors and executive officers, which are described elsewhere in this prospectus, below we describe transactions since January 1, 2022 to which we were or will be a participant, in which:

 

   

the amount involved in the transaction exceeded or will exceed the lesser of (i) $120,000 and (ii) 1% of the average of our total assets as of the end of the last two completed fiscal years; and

 

   

any of our then directors, executive officers, or holders of more than 5% of our capital stock, or any member of the immediate family of, or person sharing the household with, any of these individuals or entities, which we collectively refer to as our related parties, had or will have a direct or indirect material interest.

Convertible Preferred Stock Financings

Series C Preferred Stock Financing

From August 2023 to January 2024, we issued and sold an aggregate of 50 million shares of our Series C preferred stock at a purchase price of $1.50 per share for aggregate gross proceeds of $75.0 million. In addition, in August 2023, we issued an aggregate of 23,820,346 shares of our Series C preferred stock in exchange of the principal amount of all outstanding convertible notes at a conversion price of $1.50 per share. However, prospective investors should not rely on the investment decisions of our existing investors, as these investors may have different risk tolerances and have received their shares in prior offerings at prices lower than the price offered to the public in this offering.

The table below sets forth the number of shares of our Series C preferred stock purchased by our related parties. See the section titled “Principal Stockholders” for additional information.

 

Name Of Stockholder

   Shares of
Series C
Convertible
Preferred
Stock (#)
     Total
Purchase
Price ($)
 

Deep Track Biotechnology Master Fund, Ltd.(1)

     16,666,667        25,000,000  

Entities affiliated with Vida Ventures(2)

     13,333,333        19,999,999  

Entities affiliated with Pontifax(3)

     10,000,000        15,000,000  

Entities affiliated with TCG Crossover Fund(4)

     10,000,000        15,000,000  
 
(1)

Rebecca Luse, a member of our board of directors, is a Principal of Deep Track Capital.

(2)

Rajul Jain, M.D., a member of our board of directors, is a Managing Director of Vida Ventures.

(3)

Ran Nussbaum, a member of our board of directors, is a Managing Partner and the Co-Founder of Pontifax.

(4)

Chen Yu, M.D., a member of our board of directors, is a Founder and Managing Partner of TCG Crossover Fund.

Royalty Agreements

In July 2016, we entered into several Original Royalty Agreements with certain of our existing investors, co-founders, former and current directors, and former and current executive officers, including Zachary Prensky, Andrew Vaino, Ph.D., and Marc Panoff, for royalties payable, in the aggregate, of up to 5.0% of future commercial worldwide sales of LB-102. In this transaction, we received $0.2 million in cash in exchange for the certificate holders receiving convertible notes with a face value of $0.2 million, shares of our common stock and the future royalties provided for in the Original Royalty Agreements. The future royalty payments provided for in the Original Royalty Agreements had an expiration date of December 31, 2037. The royalties were transferable upon surrender of the royalty certificate accompanied by written and notarized instructions of the transfer,

 

210


Table of Contents

provided that the certificate holder could not transfer to any individual or entity (i) to which it was unlawful for us to make such payments or (ii) that owned, controlled or possessed voting rights in the aggregate of more than 10% of our common stock. We had the option to purchase all issued and outstanding royalty certificates under the Original Royalty Agreements by way of a tender offer to all such holders, which would become binding at such time as the holders of two-thirds of all outstanding royalty interests agreed in writing to accept such tender offer.

In August 2023, contemporaneously with the closing of the Series C financing, we entered into several Amended and Restated Royalty Agreements to remove the expiration date and modify royalties payable to certificate holders in the aggregate amount of up to 2.75% of net sales of LB-102 through December 31, 2035 and increasing to up to 3.25% of net sales in 2036 and thereafter. Future sales are defined in these agreements as the gross payments received on total commercial sales of LB-102, whether by us or by any licensee of LB-102. None of the proceeds from the Series C financing were allocated to the certificate holders as the investors in the Series C financing are not parties to the Original Royalty Agreements or the Amended and Restated Royalty Agreements. Each certificate holder has the same rights and obligations as the other holders except with respect to its individual royalty amount that may come due from us if we generate any revenue from future sales of LB-102. The certificate holders may not transfer rights under the applicable Amended and Restated Royalty Agreement to any individual, entity, corporation, partnership or any other such organization without our written consent, which shall not be unreasonably withheld. We may purchase all issued and outstanding royalty certificates under the Amended and Restated Royalty Agreements by way of a tender offer to all such holders, which will become binding at such time as the holders of two-thirds of all outstanding royalty interests thereunder agree in writing to accept such tender offer.

Investor Agreements

In connection with our preferred stock financings, we entered into investors’ rights, right of first refusal and co-sale, and voting agreements, which contain, among other things, registration rights, information rights, voting rights, and rights of first refusal, with certain holders of our capital stock, including entities affiliated with Deep Track Capital, Vida Ventures, Pontifax and TCG Crossover Fund. These agreements will terminate upon the closing of this offering, except for the registration rights granted under our investors’ rights agreement, as more fully described in the section titled “Description of Capital Stock—Registration Rights.” See also the section titled “Principal Stockholders” for additional information regarding beneficial ownership of our capital stock.

Equity Grants

We have granted stock options and restricted stock awards to our executive officers and certain members of our board of directors. For more information regarding the options granted to our executive officers and directors, see the sections titled “Management—Non-Employee Director Compensation” and “Executive Compensation.”

Indemnification Agreements

Our amended and restated certificate of incorporation that will be in effect immediately prior to the closing of this offering will contain provisions limiting the liability of directors and officers, and our amended and restated bylaws that will be in effect immediately prior to the closing of this offering will provide that we will indemnify each of our directors and officers to the fullest extent permitted under Delaware law. Our amended and restated certificate of incorporation and amended and restated bylaws that will be in effect immediately prior to the closing of this offering will also provide our board of directors with discretion to indemnify our employees when determined appropriate by the board.

In addition, we expect to enter into indemnification agreements with each of our directors and executive officers prior to the closing of this offering. For more information regarding these agreements, see the section titled “Executive Compensation—Limitation of Liability and Indemnification.”

 

211


Table of Contents

Policies and Procedures for Transactions with Related Persons

Prior to this offering, we have not had a formal policy regarding approval of transactions with related parties. In connection with this offering, we intend to adopt a written related-person transactions policy that sets forth our policies and procedures regarding the identification, review, consideration, and approval or ratification of “related-person transactions,” which policy will become effective immediately upon the execution of the underwriting agreement related to this offering. For purposes of our policy only, a “related-person transaction” will be a transaction, arrangement or relationship (or any series of similar transactions, arrangements or relationships) in which we and any “related person” are, were or will be participants involving an amount that exceeds $120,000 or, if less, 1% of the average of our total assets for the last two competed fiscal years. Transactions involving compensation for services provided to us as an employee or director will not be covered by this policy. A related person will be any executive officer, director, nominee to become a director or a beneficial owner of more than 5% of any class of our voting securities, including any of their immediate family members and affiliates, including entities owned or controlled by such persons.

Under the policy, where a transaction has been identified as a related-person transaction, including any transaction that was not a related person transaction when originally consummated or any transaction that was not initially identified as a related person transaction prior to consummation, our management must present information regarding the proposed related person transaction to our audit committee (or, where review by our audit committee would be inappropriate, to another independent body of our board of directors) for review, consideration, and approval or ratification. The presentation must include a description of, among other things, all of the parties thereto, the material facts, the interests, direct and indirect, of the related persons, the benefits to us of the transaction, and whether the transaction is on terms that are comparable to the terms available to or from, as the case may be, an unrelated third party or to or from employees generally. Under the policy, we will collect information that we deem reasonably necessary from each director, executive officer, and, to the extent feasible, significant stockholder to enable us to identify any existing or potential related-person transactions and to effectuate the terms of the policy. In addition, under our Code of Conduct that we intend to adopt prior to the closing of this offering, our employees and directors will have an affirmative responsibility to disclose any transaction or relationship that reasonably could be expected to give rise to a conflict of interest.

In considering related person transactions, our audit committee, or other independent body of our board of directors, will take into account the relevant available facts and circumstances including:

 

   

the risks, costs, and benefits to us;

 

   

the impact on a director’s independence in the event the related person is a director, immediate family member of a director or an entity with which a director is affiliated;

 

   

the terms of the transaction;

 

   

the availability of other sources for comparable services or products; and

 

   

the terms available to or from, as the case may be, unrelated third parties or to or from employees generally.

The policy will require that, in determining whether to approve, ratify or reject a related person transaction, our audit committee, or other independent body of our board of directors, must consider, in light of known circumstances, whether the transaction is in, or is not inconsistent with, our best interests and those of our stockholders, as our audit committee, or other independent body of our board of directors, determines in the good faith exercise of its discretion.

 

 

212


Table of Contents

All of the transactions described in this section were entered into prior to the adoption of this policy. Although we have not had a written policy for the review and approval of transactions with related persons, our board of directors has historically reviewed and approved any transaction where a director or officer had a financial interest, including the transactions described above. Prior to approving such a transaction, the material facts as to a director’s or officer’s relationship or interest in the agreement or transaction were disclosed to our board of directors. Our board of directors took this information into account when evaluating the transaction and in determining whether such transaction was fair to us and in the best interest of all our stockholders.

 

213


Table of Contents

PRINCIPAL STOCKHOLDERS

The following table sets forth information regarding beneficial ownership of our capital stock as of June 30, 2025 by:

 

   

each person, or group of affiliated persons, known by us to beneficially own more than 5% of our common stock;

 

   

each of our directors;

 

   

each of our named executive officers; and

 

   

all of our current executive officers and directors as a group.

The percentage ownership information shown in the table prior to this offering is based on 3,433,470 shares of common stock outstanding as of June 30, 2025, after giving effect to the Stock Split and the automatic conversion of all outstanding shares of our redeemable convertible preferred stock into 3,181,815 shares of common stock upon the closing of this offering.

The percentage ownership information shown in the table after this offering is based on 20,100,137 shares of common stock outstanding, after giving effect to the Stock Split and the automatic conversion of all outstanding shares of our redeemable convertible preferred stock into 3,181,815 shares of common stock upon the closing of this offering (including 382,467 additional shares issuable upon conversion of our Series C convertible preferred stock due to anti-dilution adjustments, based on an assumed initial public offering price of $15.00 per share, which is the midpoint of the estimated offering price range set forth on the cover page of this prospectus) and assuming the sale of 16,666,667 shares of common stock by us in this offering and no exercise by the underwriters of their option to purchase additional shares. The table below excludes any potential purchases in this offering by the beneficial owners identified in the table below.

We have determined beneficial ownership in accordance with the rules of the SEC. These rules generally attribute beneficial ownership of securities to persons who possess sole or shared voting power or investment power with respect to those securities. In addition, the rules include shares of common stock issuable pursuant to the exercise of stock options or warrants that are either immediately exercisable or exercisable within 60 days of June 30, 2025. These shares are deemed to be outstanding and beneficially owned by the person holding those options or warrants for the purpose of computing the percentage ownership of that person, but they are not treated as outstanding for the purpose of computing the percentage ownership of any other person. Unless otherwise indicated, we believe based on information provided to us, the persons or entities identified in this table have sole voting and investment power with respect to all shares shown as beneficially owned by them, subject to applicable community property laws.

 

214


Table of Contents

Except as otherwise noted below, the address for each person or entity listed in the table is c/o LB Pharmaceuticals Inc, One Pennsylvania Plaza, Suite 1025, New York, NY 10119.

 

     Number of
Shares
Beneficially
Owned
     Percentage of Shares
Beneficially Owned
 

Name and Address of Beneficial Owner

   Before
Offering
    After
Offering
 

Greater Than 5% Stockholders:

       

Deep Track Biotechnology Master Fund, Ltd.(1)

     683,996        19.9     3.4

Entities affiliated with Vida Ventures(2)

     548,630        16.0     2.7

Entities affiliated with Pontifax(3)

     410,396        12.0     2.0

TCG Crossover Fund II, L.P.(4)

     410,397        12.0     2.0

Named Executive Officers, Directors and Director Nominees:

       

Heather Turner

     —                  

Zachary Prensky(5)

     101,143        2.9       

Roger Sawhney, M.D.(6)

     8,516                 

Anna Eramo, M.D.(7)

     18,861                 

Scott Garland(8)

     7,469                 

Rajul Jain, M.D.(2)

     548,630        16.0     2.7

Rebecca Luse

     —                  

Ran Nussbaum(3)

     410,396        12.0     2.0

Robert R. Ruffolo, Jr., Ph.D., D.Sc. (h), D.Eng. (h), F.C.P.P.(9).

     8,683                 

Chen Yu, M.D.(4)

     410,397        12.0     2.0

Rekha Hemrajani

     —                  

William Kane

     —                  

All current executive officers and directors as a group (12 persons)(10)

     1,531,178        43.6     7.6
 
*

Represents beneficial ownership of less than 1%.

(1)

Consists of 683,996 shares of common stock issuable upon conversion of shares of our redeemable convertible preferred stock held by Deep Track Biotechnology Master Fund, Ltd., or the Master Fund. Deep Track Capital, LP, or the Investment Manager, serves as the investment manager to the Master Fund and may be deemed to beneficially own such shares. Deep Track Capital GP, LLC, or the General Partner, is the General Partner of the Investment Manager. David Kroin is the Chief Investment Officer of the Investment Manager and managing member of the General Partner and may be deemed to beneficially own such shares. The business address of the Master Fund, the Investment Manager, the General Partner and Mr. Kroin is 200 Greenwich Avenue, 3rd Floor, Greenwich, CT 06830.

(2)

Consists of (i) 1,434 shares of common stock held by Vida Ventures Management Co, LLC, (ii) 1,258 shares of common stock issuable upon conversion of shares of our redeemable convertible preferred stock held by Vida Ventures III-A, L.P. and (iii) 545,938 shares of common stock issuable upon conversion of shares of our redeemable convertible preferred stock held by Vida Ventures III, L.P. Vida Ventures III-A, L.P. and Vida Ventures III, L.P. are collectively referred to as the “Vida Funds.” Vida Ventures GP III, L.L.C., or Vida GP, is the general partner of each of the Vida Funds. Vida Ventures Management Co., LLC is the management company of the Vida Funds. Dr. Jain, a member of our board of directors, is a managing member of Vida GP. Each of Vida GP and Dr. Jain may be deemed to have voting and dispositive power with respect to the shares owned by the Vida Funds. Each of Vida GP and Dr. Jain disclaims beneficial ownership of such shares, except to the extent of their respective pecuniary interests therein. The address for each of these entities and individuals is 10100 Santa Monica Blvd, 15th Floor, Los Angeles, CA 90067.

(3)

Consists of (i) 261,120 shares of common stock issuable upon conversion of shares of our redeemable convertible preferred stock held by Pontifax (Israel) VI Limited Partnership, or Pontifax Israel, and (ii) 149,276 shares of common stock issuable upon conversion of shares of our redeemable convertible

 

215


Table of Contents
  preferred stock held by Pontifax (Cayman) VI Limited Partnership, or Pontifax Cayman. Pontifax Israel and Pontifax Cayman are collectively referred to as the Pontifax Entities. Pontifax VI G.P. L.P., or Pontifax VI G.P., is the general partner of each of the Pontifax Entities and Pontifax Management IV G.P. (2015) Ltd., or Pontifax Management, is the general partner of Pontifax VI G.P. Messrs. Tomer Kariv and Ran Nussbaum, are the Managing Partners of Pontifax Management and, as a result, may be deemed to share voting and investment power with respect to the shares held by each of the Pontifax Entities. The address of each of the Pontifax Entities is c/o The Pontifax Group, 14 Shenkar Street, Herzelia, Israel.
(4)

Consists of 410,397 shares of common stock issuable upon conversion of shares of our redeemable convertible preferred stock held by TCG Crossover Fund II, L.P. TCG Crossover GP II, LLC is the general partner of TCG Crossover Fund II, L.P. and may be deemed to have voting, investment, and dispositive power with respect to these securities. Chen Yu is the sole managing member of TCG Crossover GP II, LLC and may be deemed to share voting, investment and dispositive power with respect to these securities. Dr. Yu disclaims beneficial ownership over the shares held by TCG Crossover Fund II, L.P., except to the extent of his pecuniary interest therein. The business address for TCG Crossover GP II LLC, TCG Crossover Fund II, L.P. and Dr. Yu is 245 Lytton Ave., Suite 350, Palo Alto, CA 94301.

(5)

Consists of (i) 69,658 shares of common stock beneficially held by Mr. Prensky, (ii) 492 shares of common stock issuable upon conversion of shares of our redeemable convertible preferred stock beneficially held by Mr. Prensky, (iii) warrants to purchase up to 246 shares of common stock beneficially held by Mr. Prensky, and (iv) 30,747 shares of common stock issuable upon the exercise of options held by Mr. Prensky that are exercisable within 60 days of June 30, 2025.

(6)

Consists of shares of common stock issuable upon the exercise of options held by Mr. Sawhney that are exercisable within 60 days of June 30, 2025.

(7)

Consists of (i) 3,585 shares of common stock and (ii) 15,276 shares of common stock issuable upon the exercise of options held by Dr. Eramo that are exercisable within 60 days of June 30, 2025.

(8)

Consists of shares of common stock issuable upon the exercise of options held by Mr. Garland that are exercisable within 60 days of June 30, 2025.

(9)

Consists of (i) 2,365 shares of common stock and (ii) 6,318 shares of common stock issuable upon the exercise of options held by Dr. Ruffolo that are exercisable within 60 days of June 30, 2025.

(10)

Consists of (i) 87,284 shares of common stock beneficially owned by our current executive officers and directors and (ii) 1,368,481 shares of common stock issuable up on conversion of shares of our redeemable convertible preferred stock, (iii) warrants to purchase up to 246 shares of common stock, and (iv) 75,167 shares of common stock issuable upon common stock issuable upon the exercise of options held by our current executive officers and directors within 60 days of June 30, 2025.

 

216


Table of Contents

DESCRIPTION OF CAPITAL STOCK

The following description of our capital stock and certain provisions of our amended and restated certificate of incorporation and amended and restated bylaws, as each will become effective immediately prior to the closing of this offering, are summaries and are qualified by reference to the amended and restated certificate of incorporation and the amended and restated bylaws, which are filed as exhibits to the registration statement of which this prospectus is part.

General

Upon the closing of this offering, our authorized capital stock will consist of 500,000,000 shares of common stock, par value $0.0001 per share, and 10,000,000 shares of preferred stock, par value $0.0001 per share. All of our authorized preferred stock upon the completion of this offering will be undesignated.

As of June 30, 2025, after giving effect to the automatic conversion of all outstanding shares of our redeemable convertible preferred stock into an aggregate of 3,181,815 shares of our common stock upon the closing of this offering (including 382,467 additional shares of common stock issuable upon conversion of our Series C convertible preferred stock due to anti-dilution adjustments, based on an assumed initial public offering price of $15.00 per share, which is the midpoint of the estimated offering price range set forth on the cover page of this prospectus), there would have been 3,433,470 shares of common stock issued and outstanding, held of record by 368 stockholders.

Common Stock

Voting

Each holder of common stock is entitled to one vote for each share on all matters submitted to a vote of the stockholders, including the election of directors. Our stockholders do not have cumulative voting rights in the election of directors. Accordingly, holders of a majority of the voting shares are able to elect all of the directors.

Dividends

Subject to preferences that may be applicable to any then-outstanding preferred stock, the holders of common stock are entitled to receive ratably dividends, if any, as may be declared from time to time by our board of directors out of legally available funds.

Liquidation

In the event of our liquidation, dissolution or winding-up, holders of our common stock will be entitled to share ratably in the net assets legally available for distribution to stockholders after the payment of all of our debts and other liabilities, subject to the satisfaction of any liquidation preference granted to the holders of any outstanding shares of preferred stock.

Rights, Preferences, and Privileges

Holders of our common stock have no preemptive, conversion, or subscription rights, and there are no redemption or sinking fund provisions applicable to our common stock. The rights, preferences, and privileges of the holders of our common stock are subject to, and may be adversely affected by, the rights of the holders of shares of any series of our preferred stock that we may designate and issue in the future.

Fully Paid and Nonassessable

All of our outstanding shares of common stock are, and the shares of common stock to be issued in this offering will be, fully paid and nonassessable.

 

217


Table of Contents

Preferred Stock

As of June 30, 2025, there were 78,072,306 shares of redeemable convertible preferred stock outstanding, held of record by 298 stockholders. Upon the closing of this offering, all of the outstanding shares of redeemable convertible preferred stock will automatically convert into 3,181,815 shares of our common stock (including 382,467 additional shares of common stock issuable upon conversion of our Series C convertible preferred stock due to anti-dilution adjustments, based on an assumed initial public offering price of $15.00 per share, which is the midpoint of the estimated offering price range set forth on the cover page of this prospectus).

Based on an assumed initial public offering price of $15.00 per share, which is the midpoint of the estimated offering price range set forth on the cover page of this prospectus, the 73,820,346 shares of our Series C convertible preferred stock outstanding prior to the Stock Split would convert into 3,029,425 shares of our common stock including 382,467 shares of common stock issuable in respect of anti-dilution adjustments. A $1.00 decrease in the initial public offering price would increase the number of shares of our common stock issuable in respect of our Series C convertible preferred stock by 19,731 shares, and a $1.00 increase in the initial public offering price would decrease the number of shares of our common stock issuable in respect of our Series C convertible preferred stock by 19,254 shares; provided, however, that in no event would the outstanding shares of our Series C convertible preferred stock convert into more than 3,049,156 shares of our common stock upon the closing of this offering. A 1.0 million share increase in the size of this offering would increase the number of shares of our common stock issuable in respect of our Series B convertible preferred stock by 4,261 shares, and a 1.0 million share decrease in the size of this offering would decrease the number of shares of our common stock issuable in respect of our Series C convertible preferred stock by 4,795 shares.

Under our amended and restated certificate of incorporation that will become effective immediately prior to the closing of this offering, our board of directors will have the authority, without further action by the stockholders, to issue up to 10,000,000 shares of preferred stock in one or more series, to establish from time to time the number of shares to be included in each such series, to fix the rights, preferences and privileges of the shares of each wholly unissued series and any qualifications, limitations, or restrictions thereon and to increase or decrease the number of shares of any such series, but not below the number of shares of such series then outstanding.

Our board of directors may authorize the issuance of preferred stock with voting or conversion rights that could adversely affect the voting power or other rights of the holders of the common stock. The issuance of preferred stock, while providing flexibility in connection with possible acquisitions and other corporate purposes, could, among other things, have the effect of delaying, deferring or preventing a change in our control that may otherwise benefit holders of our common stock and may adversely affect the market price of the common stock and the voting and other rights of the holders of common stock. We have no current plans to issue any shares of preferred stock.

Options

As of June 30, 2025, 465,866 shares of common stock were issuable upon the exercise of outstanding stock options, at a weighted-average exercise price of $43.51 per share. For additional information regarding terms of our equity incentive plans, see the section titled “Executive Compensation—Equity Benefit Plans.”

Warrants

Class A Warrants

In November 2018 and March 2019, we issued warrants to certain investors to purchase an aggregate of 913,873 shares of our common stock at an exercise price per share of $2.30, subject to adjustment as set forth in the warrant, or the Class A Warrants. In August 2023, in conjunction with the Series C financing, we modified the outstanding Class A Warrants and reduced the exercise price to $0.01. As of June 30, 2025, Class A Warrants

 

218


Table of Contents

to purchase up to 24,919 shares of our common stock remained unexercised. The Class A Warrants include a cashless exercise feature allowing the holder to receive shares underlying the applicable Class A Warrant in an amount reduced by the aggregate amount of the exercise price that would have been payable upon exercise of the applicable Class A Warrant for such shares. Each Class A Warrant is exercisable until the 10th anniversary from its issuance date. The Class A Warrants include anti-dilution protection provisions, subject to certain exceptions, relating to subsequent sales of shares of our common stock at an issuance price per share that is less than the then-effective exercise price of the Class A Warrants. The warrant holder is not a stockholder and has none of the rights of a stockholder until the warrant is exercised and the shares of common stock are issued upon exercise.

Class B Warrants

In November 2018 and March 2019, we issued warrants to certain investors to purchase an aggregate of 913,873 shares of our common stock at an exercise price per share of $2.30, subject to adjustment as set forth in the warrant, or the Class B Warrants. In August 2023, in conjunction with the Series C financing, we modified the outstanding Class B Warrants and reduced the exercise price to $0.01. As of June 30, 2025, Class B Warrants to purchase up to 31,605 shares of our common stock remained unexercised. The Class B Warrants include a cashless exercise feature allowing the holder to receive shares underlying the applicable Class B Warrant in an amount reduced by the aggregate amount of the exercise price that would have been payable upon exercise of the applicable Class B Warrant for such shares. Each Class B Warrant became exercisable in May 2022 and will remain exercisable until the 10th anniversary from its issuance date. The Class B Warrants include anti-dilution protection provisions, subject to certain exceptions, relating to subsequent sales of shares of our common stock at an issuance price per share that is less than the then-effective exercise price of the Class B Warrants. The warrant holder is not a stockholder and has none of the rights of a stockholder until the warrant is exercised and the shares of common stock are issued upon exercise.

Series B-1 Warrants

In May 2022, we issued warrants to certain investors to purchase 103,915 shares of our common stock at an exercise price per share of $3.75, subject to adjustment as set forth in the warrant, or the Series B-1 Warrants. In August 2023, in conjunction with the Series C financing, we modified the outstanding Series B-1 Warrants, reducing the exercise price to $0.01. As of June 30, 2025, Series B-1 Warrants to purchase up to 2,557 shares of our common stock remained unexercised. Series B-1 Warrants include a cashless exercise feature allowing the holder to receive shares underlying the applicable Series B-1 Warrant in an amount reduced by the aggregate amount of the exercise price that would have been payable upon exercise of the applicable Series B-1 Warrant for such shares. Each Series B-1 Warrant is exercisable until its expiration in May 2027. The Series B-1 Warrants include anti-dilution protection provisions, subject to certain exceptions, relating to subsequent sales of shares of our common stock at an issuance price per share that is less than the then-effective exercise price of the Series B-1 Warrants. The warrant holder is not a stockholder and has none of the rights of a stockholder until the warrant is exercised and the shares of common stock are issued upon exercise.

Maxim Warrants

In August 2023, we issued warrants to Maxim Group LLC to purchase 1,528,632 shares of our common stock at an exercise price per share of $0.01, subject to adjustment as set forth in the warrant, or the Maxim Warrants, which are currently held by Maxim Partners LLC. As of June 30, 2025, the Maxim Warrants to purchase up to 54,813 shares of our common stock remained unexercised. The Maxim Warrants include a cashless exercise feature allowing the holder to receive shares underlying the Maxim Warrant in an amount reduced by the aggregate amount of the exercise price that would have been payable upon exercise of the Maxim Warrant for such shares. Each Maxim Warrant is exercisable until its expiration in August 2033. The Maxim Warrants include anti-dilution protection provisions, subject to certain exceptions, relating to subsequent sales of shares of our common stock at an issuance price per share that is less than the then-effective exercise price of the Maxim Warrants. The warrant holder has certain demand and piggyback registration rights.

 

219


Table of Contents

New Series B Warrants

In August 2023, we issued warrants to certain investors to purchase 100,373 shares of our common stock at an exercise price per share of $1.50, subject to adjustment as set forth in the warrant, or the New Series B Warrants. As of June 30, 2025, New Series B Warrants to purchase up to 3,509 shares of our common stock remained unexercised. The New Series B Warrants include a cashless exercise feature allowing the holder to receive shares underlying the applicable New Series B Warrant in an amount reduced by the aggregate amount of the exercise price that would have been payable upon exercise of the applicable New Series B Warrant for such shares. Each New Series B Warrant is exercisable until its expiration in August 2028. The New Series B Warrants include anti-dilution protection provisions, subject to certain exceptions, relating to subsequent sales of shares of our common stock at an issuance price per share that is less than the then-effective exercise price of the New Series B Warrants. The warrant holder is not a stockholder and has none of the rights of a stockholder until the warrant is exercised and the shares of common stock are issued upon exercise.

Investors’ Rights Agreement

In August 2023, in connection with the issuance and sale of our Series C preferred stock, we entered into an Investors’ Rights Agreement, or the IRA. The IRA grants certain rights to the holders of our outstanding redeemable convertible preferred stock, including certain registration rights with respect to the registrable securities held by them. The holders of these registrable securities possess registration rights pursuant to the terms of the IRA and are described in additional detail below. As of the completion of this offering, after giving effect to the conversion of all outstanding shares of our redeemable convertible preferred stock into 3,181,815 shares of our common stock in connection with the completion of the offering (including 382,467 additional shares of common stock issuable upon conversion of our Series C convertible preferred stock due to anti-dilution adjustments, based on an assumed initial public offering price of $15.00 per share, which is the midpoint of the estimated offering price range set forth on the cover page of this prospectus), there would have been an aggregate of 3,181,815 shares of common stock that are entitled to these demand, piggyback and Form S-3 registration rights pursuant to the IRA (excluding any shares issuable upon exercise of warrants). We will pay the registration expenses, other than the underwriting discounts and selling commissions, of the shares registered pursuant to the demand, piggyback and Form S-3 registrations described below.

Generally, in an underwritten offering, the managing underwriter, if any, has the right, subject to specified conditions, to limit the number of shares the holders may include. The demand, piggyback and Form S-3 registration rights described below will expire no later than three years after the completion of this offering, upon the closing of a deemed liquidation event, or with respect to any particular holder, at such time that such holder can sell its shares under Rule 144 of the Securities Act during any three-month period.

Registration Rights

Upon the closing of this offering, certain holders of shares of our common stock, including certain of those shares of our common stock that will be issued upon the conversion of our redeemable convertible preferred stock and exercise of our outstanding warrants, as applicable, upon the closing of this offering, will be entitled to certain rights with respect to registration of such shares under the Securities Act pursuant to the terms of an investors’ rights agreement by and among us and certain of our stockholders. These shares are collectively herein referred to as registrable securities.

The investors’ rights agreement provides the holders of registrable securities with demand, piggyback and S-3 registration rights as described more fully below. As of June 30, 2025, holders of an aggregate of 3,181,815 registrable securities were entitled to these demand, piggyback and S-3 registration rights (including 382,467 additional shares of common stock issuable upon conversion of our Series C convertible preferred stock due to anti-dilution adjustments, based on an assumed initial public offering price of $15.00 per share, which is the midpoint of the estimated offering price range set forth on the cover page of this prospectus, and excluding

 

220


Table of Contents

any shares issuable upon exercise of warrants). Under the terms of the investor’s rights agreement, holders of registrable securities will have equivalent registration rights with respect to any additional shares of our common stock acquired by these holders.

Generally, in an underwritten offering, the managing underwriter, if any, has the right, subject to specified conditions, to limit the number of shares the holders may include. The demand, piggyback, and Form S-3 registration rights described below will expire (i) upon the closing of a deemed liquidation event, as such term is defined in our amended and restated certificate of incorporation as currently in effect, (ii) with respect to any particular holder, at such time following this offering that such holder can sell its shares without limitation under Rule 144 of the Securities Act during any three-month period or (iii) the third anniversary of this offering.

Demand Registration Rights

At any time beginning 180 days after the effective date of the registration statement of which this prospectus is a part, the holders of the registrable securities will be entitled to certain demand registration rights. Subject to the terms of the lock-up agreements described under “Underwriting”, the holders of at least 60% of the registrable securities then outstanding may make a written request that we register all or a portion of their shares, subject to certain specified exceptions. Such request for registration must cover registrable securities then outstanding having an aggregate offering price in excess of $15.0 million after deducting certain selling expenses. We are not obligated to take any action in response to such request (i) during the period that is estimated to be 60 days before and 180 days after the effective date of a Company-initiated registration, (ii) if we have already effected one registration pursuant to such requests for registration on Form S-1, or (iii) if the initiating holders propose to register securities that may be immediately registered on Form S-3.

Additionally, if we determine that it would be materially detrimental to us and our stockholders for such registration statement to either become effective or remain effective, because such action would (i) materially interfere with a significant acquisition, corporate reorganization, or other similar transaction involving us, (ii) require making a premature disclosure of material information that we have a bona fide business purpose for preserving as confidential, or (iii) render us unable to comply with requirements under the Securities Act or Exchange Act to effect such a demand registration, then we have the right to defer such registration, not more than once in any 12-month period, for an aggregate of up to 120 days.

Piggyback Registration Rights

If we propose to register any of our securities under the Securities Act in another offering, either for our own account or for the account of other security holders, the holders of registrable securities will be entitled to notice of the registration and will be entitled to include their shares of common stock in the registration, subject to certain conditions and limitations, including the right of the underwriters to limit the number of shares included in such registration under specified circumstances.

Form S-3 Registration Rights

At any time when we are eligible to use a Form S-3 registration statement, the holders of the registrable securities then outstanding will be entitled to certain Form S-3 registration rights. Any holder of these shares can make a request that we register for offer and sale their shares on Form S-3 if we are qualified to file a registration statement on Form S-3, subject to certain specified exceptions. Such request for registration on Form S-3 must cover registrable securities then outstanding having an aggregate offering price in excess of $3.0 million after deducting certain selling expenses. We are not obligated to take any action in response to such request (i) during the period that is estimated to be 30 days before and 90 days after the effective date of a Company-initiated registration, or (ii) if we have already effected two registrations pursuant to such requests for registration within the preceding 12-month period.

 

221


Table of Contents

Additionally, if we determine that it would be materially detrimental to us and our stockholders for such registration statement to either become effective or remain effective, because such action would (i) materially interfere with a significant acquisition, corporate reorganization, or other similar transaction involving us, (ii) require making a premature disclosure of material information that we have a bona fide business purpose for preserving as confidential, or (iii) render us unable to comply with requirements under the Securities Act or Exchange Act to effect such a demand registration, then we have the right to defer such registration, not more than once in any 12-month period, for an aggregate of up to 120 days.

Expenses of Registration Rights

We are required to pay all expenses, including reasonable fees and expenses, not to exceed $30,000 per registration, of one counsel to represent the selling stockholders, relating to any demand, piggyback or Form S-3 registration, other than underwriting discounts and commissions, stock transfer taxes, and any additional fees of counsel for the selling stockholders, subject to specified conditions and limitations. We are not required to pay registration expenses if a demand registration request is withdrawn at the request of a majority of holders of registrable securities to be registered, unless holders of a majority of the registrable securities agree to forfeit their right to one demand registration.

The investors’ rights agreement contains customary cross-indemnification provisions, pursuant to which we are obligated to indemnify the selling stockholders in the event of material misstatements or omissions in the applicable registration statement attributable to us, and the selling stockholders are obligated to indemnify us for material misstatements or omissions in the registration statement attributable to them, subject to certain limitations.

Anti-Takeover Effects of Provisions of Our Amended and Restated Certificate of Incorporation, Our Amended and Restated Bylaws, and Delaware Law

Section 203 of the Delaware General Corporation Law

We are subject to Section 203 of the DGCL. Section 203 generally prohibits a public Delaware corporation from engaging in a “business combination” with an “interested stockholder” for a period of three years following the time that such stockholder became an interested stockholder, unless:

 

   

prior to such time the board of directors of the corporation approved either the business combination or the transaction which resulted in the stockholder becoming an interested stockholder;

 

   

upon consummation of the transaction which resulted in the stockholder becoming an interested stockholder, the interested stockholder owned at least 85% of the voting stock of the corporation outstanding at the time the transaction commenced, excluding for purposes of determining the voting stock outstanding (but not the outstanding voting stock owned by the interested stockholder) those shares owned (1) by persons who are directors and also officers and (2) employee stock plans in which employee participants do not have the right to determine confidentially whether shares held subject to the plan will be tendered in a tender or exchange offer; or

 

   

at or subsequent to such time, the business combination is approved by the board of directors and authorized at an annual or special meeting of stockholders, and not by written consent, by the affirmative vote of at least 66 2/3% of the outstanding voting stock which is not owned by the interested stockholder.

Section 203 defines a business combination to include:

 

   

any merger or consolidation involving the corporation or any direct or indirect majority-owned subsidiary of the corporation and the interested stockholder;

 

   

any sale, transfer, pledge or other disposition of 10% or more of the assets of the corporation involving the interested stockholder (in one transaction or a series of transactions);

 

222


Table of Contents
   

subject to certain exceptions, any transaction that results in the issuance or transfer by the corporation or by any direct or indirect majority-owned subsidiary of the corporation of any stock of the corporation or of such subsidiary to the interested stockholder;

 

   

any transaction involving the corporation or any direct or indirect majority-owned subsidiary of the corporation that has the effect, directly or indirectly, of increasing the proportionate share of the stock or any class or series of the corporation beneficially owned by the interested stockholder; or

 

   

any receipt by the interested stockholder of the benefit, directly or indirectly, of any loans, advances, guarantees, pledges, or other financial benefits by or through the corporation.

In general, Section 203 defines an “interested stockholder” as any entity or person who, together with the person’s affiliates and associates, beneficially owns, or within three years prior to the time of determination of interested stockholder status did own, 15% or more of the outstanding voting stock of the corporation.

Amended and Restated Certificate of Incorporation and Amended and Restated Bylaws

Provisions of our amended and restated certificate of incorporation and amended and restated bylaws that will become effective immediately prior to the closing of this offering may delay or discourage transactions involving an actual or potential change in our control or change in our management, including transactions in which stockholders might otherwise receive a premium for their shares or transactions that our stockholders might otherwise deem to be in their best interests. Therefore, these provisions could adversely affect the price of our common stock. Among other things, our amended and restated certificate of incorporation and amended and restated bylaws:

 

   

permit our board of directors to issue, without further action by the stockholders, up to 10,000,000 shares of preferred stock, with any rights, preferences and privileges as they may designate (including the right to approve an acquisition or other change in our control) that may be senior to our common stock;

 

   

provide that the authorized number of directors may be changed only by resolution of our board of directors;

 

   

provide that, subject to the rights of any series of preferred stock to elect directors, directors may only be removed for cause, which removal may be effected, subject to any limitation imposed by law, by the holders of at least 66 2/3% of the voting power of all of our then-outstanding shares of the common stock entitled to vote generally at an election of directors;

 

   

provide that all vacancies, including newly created directorships, may, except as otherwise required by law, be filled by the affirmative vote of a majority of directors then in office, even if less than a quorum;

 

   

divide our board of directors into three classes with each class serving three-year staggard terms;

 

   

require that any action to be taken by our stockholders must be effected at a duly called annual or special meeting of stockholders and not be taken by written consent or electronic transmission;

 

   

provide that stockholders seeking to present proposals before a meeting of stockholders or to nominate candidates for election as directors at a meeting of stockholders must provide advance notice in writing in a timely manner and also specify requirements as to the form and content of a stockholder’s notice;

 

   

do not provide for cumulative voting rights (therefore allowing the holders of a majority of the shares of common stock entitled to vote in any election of directors to elect all of the directors standing for election, if they should so choose); and

 

   

provide that special meetings of our stockholders may be called only by the chair of the board, our Chief Executive Officer or by the board of directors pursuant to a resolution adopted by a majority of the total number of authorized directors.

 

223


Table of Contents

Choice of Forum

Our amended and restated certificate of incorporation and our amended and restated bylaws that will become effective immediately prior to the closing of this offering will provide that the Court of Chancery of the State of Delaware (or, if and only if the Court of Chancery of the State of Delaware lacks subject matter jurisdiction, any state court located within the State of Delaware or, if and only if all such state courts lack subject matter jurisdiction, the federal district court for the District of Delaware) will be the sole and exclusive forum for the following types of actions or proceedings under Delaware statutory or common law: (i) any derivative action or proceeding brought on our behalf; (ii) any action or proceeding asserting a claim of breach of a fiduciary duty owed by any of our current or former directors, officers or other employees to us or our stockholders; (iii) any action or proceeding asserting a claim against us or any of our current or former directors, officers or other employees, arising out of or pursuant to any provision of the Delaware General Corporation Law, our amended and restated certificate of incorporation or our amended and restated bylaws; (iv) any action or proceeding to interpret, apply, enforce or determine the validity of our amended and restated certificate of incorporation or our amended and restated bylaws (including any right, obligation, or remedy thereunder); (v) any action or proceeding as to which the DGCL confers jurisdiction to the Court of Chancery of the State of Delaware; and (vi) any action asserting a claim against us or any of our directors, officers or other employees governed by the internal affairs doctrine, in all cases to the fullest extent permitted by law and subject to the court’s having personal jurisdiction over the indispensable parties named as defendants.

The provision would not apply to suits brought to enforce a duty or liability created by the Exchange Act. Furthermore, Section 22 of the Securities Act creates concurrent jurisdiction for federal and state courts over all such Securities Act actions. Accordingly, both state and federal courts have jurisdiction to entertain such claims. Additionally, investors cannot waive compliance with the federal securities laws and the rules and regulations thereunder. To prevent having to litigate claims in multiple jurisdictions and the threat of inconsistent or contrary rulings by different courts, among other considerations, our amended and restated certificate of incorporation will also provide that unless we consent in writing to the selection of an alternative forum, the federal district courts of the United States shall be the exclusive forum for the resolution of any complaint asserting a cause of action arising under the Securities Act, including all causes of action asserted against any defendant named in such complaint. For the avoidance of doubt, this provision is intended to benefit and may be enforced by us, our officers and directors, the underwriters to any offering giving rise to such complaint, and any other professional entity whose profession gives authority to a statement made by that person or entity and who has prepared or certified any part of the documents underlying the offering.

While the Delaware courts have determined that such choice of forum provisions are facially valid, a stockholder may nevertheless seek to bring a claim in a venue other than those designated in the exclusive forum provisions. In such instance, we would expect to vigorously assert the validity and enforceability of the exclusive forum provisions of our amended and restated certificate of incorporation. This may require significant additional costs associated with resolving such action in other jurisdictions and there can be no assurance that the provisions will be enforced by a court in those other jurisdictions.

Limitation on Liability and Indemnification Matters

See the section titled “Executive Compensation—Limitation of Liability and Indemnification.”

Listing

We have applied to list our common stock on the Nasdaq Global Market under the symbol “LBRX.”

Transfer Agent and Registrar

The transfer agent and registrar for our common stock is Equiniti Trust Company, LLC. The transfer agent and registrar’s address is P.O. Box 64945, Saint Paul, MN 55164-0945.

 

224


Table of Contents

SHARES ELIGIBLE FOR FUTURE SALE

Prior to this offering, there has been no public market for our common stock. Future sales of substantial amounts of common stock in the public market could adversely affect prevailing market prices. Furthermore, since only a limited number of shares will be available for sale shortly after this offering because of contractual and legal restrictions on resale described below, sales of substantial amounts of common stock in the public market after the restrictions lapse could adversely affect the prevailing market price for our common stock as well as our ability to raise equity capital in the future.

Based on the number of shares of common stock outstanding as of June 30, 2025, upon the completion of this offering, an aggregate of 20,100,137 shares of common stock will be outstanding, assuming the automatic conversion of all of our outstanding shares of redeemable convertible preferred stock into an aggregate of 3,181,815 shares of common stock. Of these shares, all of the shares of common stock sold in this offering will be freely tradable in the public market without restriction or further registration under the Securities Act, unless these shares are held by “affiliates,” as that term is defined in Rule 144 under the Securities Act.

The remaining shares of common stock outstanding after this offering will be “restricted securities,” as that term is defined in Rule 144 under the Securities Act. These restricted securities are eligible for public sale only if they are registered under the Securities Act or if they qualify for an exemption from registration, including the exemptions provided by under Rules 144 or 701 under the Securities Act, which rules are summarized below.

As a result of the lock-up agreements described below and subject to the provisions of Rules 144 or 701, these restricted securities will be available for sale in the public market as follows:

 

Approximate Number of Shares

  

First Date Available for Sale into the Public Market

3,433,470 Shares

   181 days after the date of this prospectus, upon expiration of the lock-up agreements referred to below, subject in some cases to applicable volume, manner of sale, and other limitations under Rule 144 and Rule 701.

Rule 144

In general, non-affiliate persons who have beneficially owned restricted shares of our common stock for at least six months, and any affiliate of the company who owns either restricted or unrestricted shares of our common stock, are entitled to sell their securities without registration with the SEC under an exemption from registration provided by Rule 144 under the Securities Act.

Non-Affiliates

Any person who is not deemed to have been one of our affiliates at the time of, or at any time during the three months preceding, a sale may sell an unlimited number of restricted securities under Rule 144 if:

 

   

the restricted securities have been held for at least six months, including the holding period of any prior owner other than one of our affiliates (subject to certain exceptions);

 

   

we have been subject to the Exchange Act periodic reporting requirements for at least 90 days before the sale; and

 

   

we are current in our Exchange Act reporting at the time of sale.

Any person who is not deemed to have been an affiliate of ours at the time of, or at any time during the three months preceding, a sale and has held the restricted securities for at least one year, including the holding period of any prior owner other than one of our affiliates, will be entitled to sell an unlimited number of restricted securities without regard to the length of time we have been subject to Exchange Act periodic reporting or whether we are current in our Exchange Act reporting. Non-affiliate resales are not subject to the manner of sale, volume limitation, or notice filing provisions of Rule 144.

 

225


Table of Contents

Affiliates

Persons seeking to sell restricted securities who are our affiliates at the time of, or any time during the three months preceding, a sale, would be subject to the restrictions described above. They are also subject to additional restrictions, by which such person would be required to comply with the manner of sale and notice provisions of Rule 144 and would be entitled to sell within any three-month period only that number of securities that does not exceed the greater of either of the following:

 

   

1% of the number of shares of our common stock then outstanding, which will equal approximately 201,001 shares immediately after the completion of this offering; or

 

   

the average weekly trading volume of our common stock on the stock exchange on which our shares are listed during the four calendar weeks preceding the filing of a notice on Form 144 with respect to the sale.

Additionally, persons who are our affiliates at the time of, or any time during the three months preceding, a sale may sell unrestricted securities under the requirements of Rule 144 described above, without regard to the six-month holding period of Rule 144, which does not apply to sales of unrestricted securities.

Rule 701

Rule 701 under the Securities Act, as in effect on the date of this prospectus, permits resales of shares in reliance upon Rule 144 but without compliance with certain restrictions of Rule 144, including the holding period requirement. Most of our employees, executive officers or directors who purchased shares under a written compensatory plan or contract may be entitled to rely on the resale provisions of Rule 701, but all holders of Rule 701 shares are required to wait until 90 days after the date of this prospectus before selling their shares. However, substantially all Rule 701 shares are subject to lock-up agreements as described below and in the section titled “Underwriting” and will become eligible for sale upon the expiration of the restrictions set forth in those agreements.

Form S-8 Registration Statements

We intend to file with the SEC a registration statement on Form S-8 under the Securities Act covering the shares of common stock reserved for issuance under the 2017 Plan, the 2018 Plan, the 2023 Plan, the 2025 Plan and the ESPP. The registration statement on Form S-8 is expected to be filed and become effective as soon as practicable after the completion of this offering. Accordingly, shares registered under the registration statement on Form S-8 will be available for sale in the open market following its effective date, subject to Rule 144 volume limitations and the lock-up agreements described below, if applicable.

Lock-Up Agreements and Market-Standoff Agreements

We, our directors, our executive officers, and the holders of substantially all of our common stock or securities convertible into, exercisable for, or exchangeable for our common stock have entered into lock-up agreements and/or agreements containing market stand-off provisions imposing restrictions on our ability and the ability of such security holders to offer, sell, or transfer such securities for a period of 180 days following the date of this prospectus. The lock-up agreements pertaining to this offering provide that for a period of 180 days after the date of this prospectus, except with the prior written consent of Leerink Partners LLC, Piper Sandler & Co., and Stifel, Nicolaus & Company, Incorporated and subject to specified exceptions, we and they will not offer, pledge, sell, contract to sell, sell any option or contract to purchase, purchase any option or contract to sell, grant any option, right or warrant for the sale of, or otherwise dispose of or transfer, any shares of common stock or any securities convertible into or exercisable or exchangeable for shares of common stock, or enter into any swap or other arrangement that transfers to another, in whole or in part, directly or indirectly, any of the economic consequences of ownership of the common stock.

 

226


Table of Contents

Our investors’ rights agreement and our standard form option agreement contain market stand-off provisions imposing restrictions on the ability of such security holders to offer, sell or transfer our equity securities for a period of 180 days following the date of this prospectus.

Registration Rights

Upon the closing of this offering, certain holders of our common stock will have rights, subject to certain conditions, to require us to file registration statements covering their shares or to include their shares in registration statements that we may file for ourselves. After registration pursuant to these rights, these shares will become freely tradable without restriction under the Securities Act. See the section titled “Description of Capital Stock—Registration Rights” for additional information regarding these registration rights.

 

227


Table of Contents

MATERIAL U.S. FEDERAL INCOME TAX CONSEQUENCES TO NON-U.S. HOLDERS

The following is a summary of the material U.S. federal income tax consequences to non-U.S. holders (as defined below) of the ownership and disposition of our common stock issued pursuant to this offering. This discussion is not a complete analysis of all potential U.S. federal income tax consequences relating thereto, does not address any tax consequences arising under any state, local or non-U.S. tax laws, any estate, gift or other U.S. federal tax laws other than income tax laws, and does not address the potential application of the Medicare contribution tax on net investment income, any alternative minimum tax, or the special tax accounting rules under Section 451(b) of the Internal Revenue Code of 1986, as amended, or the Code. This discussion is based on the Code and applicable Treasury Regulations promulgated thereunder, judicial decisions, and published rulings and administrative pronouncements of the Internal Revenue Service, or the IRS, all as in effect as of the date hereof. These authorities are subject to differing interpretations and may change, possibly retroactively, resulting in U.S. federal income tax consequences different from those discussed below. We have not requested nor do we intend to request a ruling from the IRS, or an opinion of counsel, with respect to the statements made and the conclusions reached in the following summary, and there can be no assurance that the IRS or a court will agree with such statements and conclusions.

This discussion is limited to non-U.S. holders that purchase our common stock pursuant to this offering and that hold our common stock as a “capital asset” within the meaning of Section 1221 of the Code (generally, property held for investment). This discussion does not address all of the U.S. federal income tax consequences that may be relevant to a particular holder in light of such holder’s circumstances. This discussion also does not consider any specific facts or circumstances that may be relevant to holders subject to special rules under the U.S. federal income tax laws, including, without limitation:

 

   

certain former citizens or long-term residents of the United States;

 

   

partnerships, S corporations, or other pass-through entities or arrangements (and investors therein);

 

   

“specified foreign corporations” (including “controlled foreign corporations”) or “passive foreign investment companies;”

 

   

persons who have elected to mark securities to market;

 

   

corporations that accumulate earnings to avoid U.S. federal income tax;

 

   

banks, financial institutions, investment funds, insurance companies, or brokers or dealers in securities;

 

   

tax-exempt organizations, governmental organizations, or tax-qualified retirement plans;

 

   

“qualified foreign pension funds” as defined in Section 897(l)(2) of the Code and entities all of the interests of which are held by qualified foreign pension funds;

 

   

real estate investment trusts or regulated investment companies;

 

   

persons who hold common stock that constitutes “qualified small business stock” under Section 1202 of the Code, or “Section 1244 stock” under Section 1244 of the Code;

 

   

persons who acquired our common stock in a transaction subject to the gain rollover provisions of the Code (including Section 1045 of the Code);

 

   

persons that own, or have owned, actually or constructively, more than 5% of our common stock at any time (other than as expressly provided below);

 

   

persons that acquired our common stock pursuant to the exercise of warrants or conversion rights under convertible instruments;

 

   

persons whose functional currency is not the U.S. dollar;

 

   

persons who acquire our common stock through the exercise options or otherwise as compensation for services; and

 

228


Table of Contents
   

persons holding our common stock as part of a hedging or conversion transaction, straddle, synthetic security, constructive sale, or other risk reduction strategy or integrated investment.

If a partnership (or an entity or arrangement that is treated as a partnership for U.S. federal income tax purposes) holds our common stock, the U.S. federal income tax treatment of a partner in the partnership will generally depend on the status of the partner, the activities of the partnership and certain determinations made at the partner level. Partnerships holding our common stock and the partners in such partnerships are urged to consult their tax advisors about the particular U.S. federal income tax consequences to them of holding and disposing of our common stock.

THIS DISCUSSION IS FOR INFORMATIONAL PURPOSES ONLY AND IS NOT TAX ADVICE. PROSPECTIVE INVESTORS SHOULD CONSULT THEIR TAX ADVISORS REGARDING THE PARTICULAR U.S. FEDERAL INCOME TAX CONSEQUENCES TO THEM OF ACQUIRING, OWNING AND DISPOSING OF OUR COMMON STOCK, AS WELL AS ANY TAX CONSEQUENCES ARISING UNDER ANY STATE, LOCAL OR NON-U.S. TAX LAWS AND ANY U.S. FEDERAL NON-INCOME TAX LAWS, OR UNDER ANY APPLICABLE INCOME TAX TREATY.

Definition of Non-U.S. Holder

For purposes of this discussion, a non-U.S. holder is any beneficial owner of our common stock that is neither a “U.S. holder” nor a partnership (including any entity or arrangement treated as a partnership or that is disregarded from its owner) for U.S. federal income tax purposes. A U.S. holder is any beneficial owner of our common stock that, for U.S. federal income tax purposes, is or is treated as any of the following:

 

   

an individual who is a citizen or resident of the United States;

 

   

a corporation (or any entity treated as a corporation for U.S. federal income tax purposes) created or organized in or under the laws of the United States, any state thereof or the District of Columbia;

 

   

an estate, the income of which is subject to U.S. federal income tax regardless of its source; or

 

   

a trust (i) whose administration is subject to the primary supervision of a U.S. court, and which has one or more “United States persons” (within the meaning of Section 7701(a)(30) of the Code) that have the authority to control all substantial decisions of the trust, or (ii) that has a valid election in effect under applicable Treasury Regulations to be treated as a United States person.

Distributions on Our Common Stock

As discussed under the “Dividend Policy” section of this prospectus, we have never declared or paid any cash dividends on our common stock, and we do not intend to pay cash dividends on our common stock for the foreseeable future. However, if we make cash or other property distributions on our common stock (other than certain pro rata distributions of our stock), such distributions will constitute dividends for U.S. federal income tax purposes to the extent paid from our current or accumulated earnings and profits, as determined under U.S. federal income tax principles. Any portion of a distribution that exceeds our current and accumulated earnings and profits will constitute a return of capital and will first be applied against and reduce the non-U.S. holder’s tax basis in our common stock, but not below zero. Any amount distributed in excess of tax basis will be treated as gain realized on the sale or other disposition of our common stock and will be treated as described in the section titled “Gain on Sale or Other Taxable Disposition of Our Common Stock” below.

Subject to the discussions below regarding effectively connected income, backup withholding and Sections 1471 through 1474 of the Code, the Treasury Regulations thereunder, and other official guidance (commonly referred to as “FATCA”), dividends paid to a non-U.S. holder of our common stock generally will be subject to U.S. federal withholding tax at a rate of 30% of the gross amount of the dividends (or such lower rate specified by an applicable income tax treaty). To receive the benefit of a reduced treaty rate, a non-U.S. holder must

 

229


Table of Contents

furnish us or our paying agent with a valid IRS Form W-8BEN or IRS Form W-8BEN-E (or applicable successor form) and satisfy applicable certification and other requirements. This certification must be provided to us or our paying agent before the payment of dividends and must be updated periodically. If the non-U.S. holder holds our common stock through a financial institution or other agent acting on the non-U.S. holder’s behalf, the non-U.S. holder will be required to provide appropriate documentation to the applicable withholding agent, which then will be required to provide certification to us or our paying agent, either directly or through other intermediaries.

Non-U.S. holders that do not provide the required certification on a timely basis, but that qualify for a reduced treaty rate, may obtain a refund of any excess amounts withheld by timely filing an appropriate claim for refund with the IRS. Non-U.S. holders should consult their tax advisors regarding their entitlement to benefits under any applicable income tax treaty.

If a non-U.S. holder holds our common stock in connection with the conduct of a trade or business in the United States, and dividends paid on our common stock are effectively connected with such non-U.S. holder’s U.S. trade or business (and are attributable to such non-U.S. holder’s permanent establishment in the United States if required by an applicable tax treaty), the non-U.S. holder generally will be exempt from U.S. federal withholding tax. To claim the exemption, the non-U.S. holder must generally furnish a valid IRS Form W-8ECI (or applicable successor form) to the applicable withholding agent.

However, any such effectively connected dividends paid on our common stock generally will be subject to U.S. federal income tax on a net income basis at the regular U.S. federal income tax rates in the same manner as if the non-U.S. holder were a resident of the United States. A non-U.S. holder that is a non-U.S. corporation also may be subject to an additional branch profits tax equal to 30% (or such lower rate specified by an applicable income tax treaty) of its effectively connected earnings and profits for the taxable year, as adjusted for certain items. Non-U.S. holders should consult their tax advisors regarding any applicable income tax treaties that may provide for different rules.

Gain on Sale or Other Taxable Disposition of Our Common Stock

Subject to the discussion below regarding backup withholding, a non-U.S. holder generally will not be subject to U.S. federal income tax on any gain realized on the sale or other taxable disposition of our common stock, unless:

 

   

the gain is effectively connected with the non-U.S. holder’s conduct of a trade or business in the United States, and if required by an applicable income tax treaty, is attributable to a permanent establishment maintained by the non-U.S. holder in the United States;

 

   

the non-U.S. holder is a nonresident alien individual who is present in the United States for 183 days or more during the taxable year of the sale or other taxable disposition (as calculated pursuant to Section 7701(b) of the Code), and certain other requirements are met; or

 

   

our common stock constitutes a “United States real property interest” by reason of our status as a United States real property holding corporation, or USRPHC, for U.S. federal income tax purposes at any time within the shorter of the five-year period preceding the sale or other taxable disposition or the non-U.S. holder’s holding period for our common stock.

Determining whether we are a USRPHC depends on the fair market value of our U.S. real property interests relative to the fair market value of our worldwide real property interests and our other assets used or held for use in a trade or business. We believe that we are not currently, and (although there can be no assurance in this regard) do not anticipate becoming, a USRPHC for U.S. federal income tax purposes. Even if we are or were to become a USRPHC, gain arising from the sale or other taxable disposition by a non-U.S. holder of our common stock will not be subject to U.S. federal income tax so long as (a) the non-U.S. holder owned, directly, indirectly, and constructively, no more than 5% of our common stock at all times within the shorter of (i) the five-year

 

230


Table of Contents

period preceding the disposition or (ii) the holder’s holding period and (b) our common stock is “regularly traded,” as defined by applicable Treasury Regulations, on an established securities market. There can be no assurance that our common stock will qualify as regularly traded on an established securities market. Prospective investors are encouraged to consult their own tax advisors regarding the possible consequences to them if we are, or were to become, a USRPHC.

Gain described in the first bullet point above generally will be subject to U.S. federal income tax on a net income basis at the regular U.S. federal income tax rates in the same manner as if the non-U.S. holder were a resident of the United States. A non-U.S. holder that is a foreign corporation also may be subject to an additional branch profits tax equal to 30% (or such lower rate specified by an applicable income tax treaty) of its effectively connected earnings and profits for the taxable year, as adjusted for certain items.

A non-U.S. holder described in the second bullet point above will be subject to U.S. federal income tax at a flat 30% rate on gain realized upon the sale or other taxable disposition of our common stock which may be offset by certain U.S.-source capital losses (even though the individual is not considered a resident of the United States), provided that the non-U.S. holder has timely filed U.S. federal income tax returns with respect to such losses. Non-U.S. holders should consult their tax advisors regarding any applicable income tax treaties that may provide for different rules.

Information Reporting and Backup Withholding

Annual reports are required to be filed with the IRS and provided to each non-U.S. holder indicating the amount of distributions on our common stock paid to such non-U.S. holder and the amount of any tax withheld with respect to those distributions. These information reporting requirements apply even if no withholding was required (because the distributions were effectively connected with the non-U.S. holder’s conduct of a U.S. trade or business, or withholding was reduced or eliminated by an applicable income tax treaty) and regardless of whether such distributions constitute dividends. This information also may be made available under a specific treaty or agreement with the tax authorities in the country in which the non-U.S. holder resides or is established. Backup withholding, currently at a 24% rate, generally will not apply to payments to a non-U.S. holder of distributions on or the gross proceeds of a disposition of our common stock provided that the non-U.S. holder furnishes the required certification for its non-U.S. status, such as by providing a valid IRS Form W-8BEN, IRS Form W-8BEN-E or IRS Form W-8ECI, or certain other requirements are met. Backup withholding may apply if the payor has actual knowledge, or reason to know, that the non-U.S. holder is a United States person that is not an exempt recipient.

Backup withholding is not an additional tax. If any amount is withheld under the backup withholding rules, non-U.S. holders are urged to consult their U.S. tax advisors regarding the possibility of and procedure for obtaining a refund or a credit against the non-U.S. holder’s U.S. federal income tax liability, if any.

Withholding on Foreign Entities

FATCA imposes a U.S. federal withholding tax of 30% on certain payments made to a “foreign financial institution” (as specially defined under these rules) unless such institution enters into an agreement with the U.S. government to withhold on certain payments and to collect and provide to the U.S. tax authorities certain information regarding certain U.S. account holders of such institution (which includes certain equity and debt holders of such institution, as well as certain account holders that are foreign entities with U.S. owners) or an exemption applies. FATCA also generally imposes a U.S. federal withholding tax of 30% on certain payments made to a non-financial foreign entity unless such entity provides the withholding agent a certification identifying certain direct and indirect U.S. owners of the entity, or an exemption applies. An intergovernmental agreement between the United States and an applicable non-U.S. country may modify these requirements. Under certain circumstances, a non-U.S. holder might be eligible for refunds or credits of such taxes. FATCA currently applies to dividends paid on our common stock. The U.S. Treasury released proposed Treasury Regulations

 

231


Table of Contents

which, if finalized in their present form, would eliminate the U.S. federal withholding tax of 30% applicable to the gross proceeds of a sale or other disposition of our common stock. In its preamble to such proposed Treasury Regulations, the U.S. Treasury stated that taxpayers may generally rely on the proposed Treasury Regulations until final Treasury Regulations are issued.

Prospective investors are urged to consult with their tax advisors regarding the potential implications of FATCA on their investment in our common stock.

EACH PROSPECTIVE INVESTOR SHOULD CONSULT ITS TAX ADVISOR REGARDING THE TAX CONSEQUENCES OF PURCHASING, HOLDING, AND DISPOSING OF OUR COMMON STOCK, INCLUDING THE CONSEQUENCES OF ANY RECENT AND PROPOSED CHANGE IN APPLICABLE LAW, AS WELL AS TAX CONSEQUENCES ARISING UNDER ANY STATE, LOCAL, NON-U.S. OR U.S. FEDERAL NON-INCOME TAX LAWS.

 

232


Table of Contents

UNDERWRITING

Leerink Partners LLC, Piper Sandler & Co. and Stifel, Nicolaus & Company, Incorporated are acting as representatives of each of the underwriters named below and as joint bookrunning managers for this offering. Subject to the terms and conditions set forth in the underwriting agreement among us and the underwriters, we have agreed to sell to the underwriters, and each of the underwriters has agreed, severally and not jointly, to purchase from us, the number of shares of common stock set forth opposite its name below.

 

Underwriter

   Number of
Shares
 

Leerink Partners LLC

  

Piper Sandler & Co.

  

Stifel, Nicolaus & Company, Incorporated

           
  

 

 

 

Total

     16,666,667  
  

 

 

 

Subject to the terms and conditions set forth in the underwriting agreement, the underwriters have agreed, severally and not jointly, to purchase all of the shares sold under the underwriting agreement if any of the shares are purchased. If an underwriter defaults, the underwriting agreement provides that the purchase commitments of the non-defaulting underwriters may be increased or the underwriting agreement may be terminated.

We have agreed to indemnify the underwriters against certain liabilities, including liabilities under the Securities Act, or to contribute to payments the underwriters may be required to make in respect of those liabilities.

The underwriters are offering the shares, subject to prior sale, when, as and if issued to and accepted by them, subject to approval of legal matters by their counsel, including the validity of the shares, and subject to other conditions contained in the underwriting agreement, such as the receipt by the underwriters of officers’ certificates and legal opinions. The underwriters reserve the right to withdraw, cancel or modify offers to the public and to reject orders in whole or in part.

Discounts and Commissions

The representatives have advised us that the underwriters propose initially to offer the shares to the public at the initial public offering price set forth on the cover page of this prospectus and to dealers at that price less a concession not in excess of $     per share. After the initial offering of the shares, the public offering price, concession or any other term of this offering may be changed by the representatives.

The following table shows the initial public offering price, underwriting discounts and commissions and proceeds, before expenses, to us. The information assumes either no exercise or full exercise by the underwriters of their over-allotment option.

 

            Total  
     Per
Share
     Without Option      With Option  

Initial public offering price

   $            $           $       

Underwriting discounts and commissions

   $        $        $    

Proceeds, before expenses, to us

   $        $        $    

We estimate expenses payable by us in connection with this offering, other than the underwriting discounts and commissions referred to above, will be approximately $4.0 million. We also have agreed to reimburse the underwriters for up to $35,000 for their FINRA counsel fee. In accordance with FINRA Rule 5110, this reimbursed fee is deemed underwriting compensation for this offering.

 

233


Table of Contents

Over-Allotment Option

We have granted an option to the underwriters, exercisable for 30 days after the date of this prospectus, to purchase up to 2,500,000 additional shares at the initial public offering price, less underwriting discounts and commissions. If the underwriters exercise this option, each underwriter will be obligated, subject to the conditions contained in the underwriting agreement, to purchase a number of additional shares proportionate to that underwriter’s initial amount reflected in the above table.

No Sales of Similar Securities

We, our executive officers and directors and substantially all of our other existing security holders have agreed not to sell or transfer any common stock or securities convertible into or exchangeable or exercisable for common stock, for 180 days after the date of this prospectus without first obtaining the written consent of Leerink Partners LLC, Piper Sandler & Co., and Stifel, Nicolaus & Company, Incorporated on behalf of the underwriters. Specifically, we and these other persons have agreed, with certain limited exceptions, not to directly or indirectly:

 

   

offer, pledge, sell or contract to sell any common stock;

 

   

sell any option or contract to purchase any common stock;

 

   

purchase any option or contract to sell any common stock;

 

   

grant any option, right or warrant for the sale of any common stock;

 

   

otherwise dispose of or transfer any common stock;

 

   

request or demand that we file a registration statement related to the common stock; or

 

   

enter into any swap or other agreement or any transaction that transfers, in whole or in part, the economic consequence of ownership of any common stock, whether any such swap, agreement or transaction is to be settled by delivery of shares or other securities, in cash or otherwise.

The lock-up provisions apply to common stock and to securities convertible into or exchangeable or exercisable for common stock. They also apply to common stock owned now or acquired later by the person executing the lock-up agreement or for which the person executing the lock-up agreement later acquires the power of disposition.

Nasdaq Global Market Listing

We have applied to list our common stock on the Nasdaq Global Market, subject to notice of issuance, under the symbol “LBRX.”

Determination of Offering Price

Prior to this offering, there has been no public market for our common stock. The initial public offering price for our common stock will be determined through negotiations between us and the representatives. In addition to prevailing market conditions, the factors to be considered in determining the initial public offering price are:

 

   

the valuation multiples of publicly traded companies that the representatives believe to be comparable to us;

 

   

our financial information;

 

   

the history of, and the prospects for, our company and the industry in which we compete;

 

   

an assessment of our management, its past and present operations, and the prospects for, and timing of, our future revenues;

 

234


Table of Contents
   

the present state of our development; and

 

   

the above factors in relation to market values and various valuation measures of other companies engaged in activities similar to ours.

An active trading market for the shares may not develop. It is also possible that after this offering, our common stock will not trade in the public market at or above the initial public offering price.

The underwriters do not expect to sell more than 5% of the shares in the aggregate to accounts over which they exercise discretionary authority.

Price Stabilization, Short Positions and Penalty Bids

Until the distribution of the shares is completed, SEC rules may limit underwriters and selling group members from bidding for and purchasing our common stock. However, the representatives may engage in transactions that stabilize the price of the common stock, such as bids or purchases to peg, fix or maintain that price.

In connection with this offering, the underwriters may purchase and sell our common stock in the open market. These transactions may include short sales, purchases on the open market to cover positions created by short sales and stabilizing transactions. Short sales involve the sale by the underwriters of a greater number of shares than they are required to purchase in this offering. “Covered” short sales are sales made in an amount not greater than the underwriters’ over-allotment option described above. The underwriters may close out any covered short position by either exercising their over-allotment option or purchasing shares in the open market. In determining the source of shares to close out the covered short position, the underwriters will consider, among other things, the price of shares available for purchase in the open market as compared to the price at which they may purchase shares through the over-allotment option granted to them under the underwriting agreement described above. “Naked” short sales are sales in excess of such over-allotment option. The underwriters must close out any naked short position by purchasing shares in the open market. A naked short position is more likely to be created if the underwriters are concerned that there may be downward pressure on the price of our common stock in the open market after pricing that could adversely affect investors who purchase in this offering. Stabilizing transactions consist of various bids for or purchases of shares of common stock made by the underwriters in the open market prior to the closing of this offering.

The underwriters may also impose a penalty bid. This occurs when a particular underwriter repays to the underwriters a portion of the underwriting discount received by it because the representatives have repurchased shares sold by or for the account of such underwriter in stabilizing or short covering transactions.

Similar to other purchase transactions, the underwriters’ purchases to cover the syndicate short sales may have the effect of raising or maintaining the market price of our common stock or preventing or retarding a decline in the market price of our common stock. As a result, the price of our common stock may be higher than the price that might otherwise exist in the open market. The underwriters may conduct these transactions on the Nasdaq Global Market, in the over-the-counter market or otherwise.

Neither we nor any of the underwriters make any representation or prediction as to the direction or magnitude of any effect that the transactions described above may have on the price of our common stock. In addition, neither we nor any of the underwriters make any representation that the representatives will engage in these transactions or that these transactions, once commenced, will not be discontinued without notice.

Electronic Distribution

In connection with this offering, certain of the underwriters or securities dealers may distribute prospectuses by electronic means, such as e-mail.

 

235


Table of Contents

Other Relationships

The underwriters and certain of their affiliates are full service financial institutions engaged in various activities, which may include securities trading, commercial and investment banking, financial advisory, investment management, investment research, principal investment, hedging, financing and brokerage activities. Some of the underwriters and certain of their affiliates may in the future engage in investment banking and other commercial dealings in the ordinary course of business with us and our affiliates, for which they may in the future receive customary fees, commissions and expenses.

In addition, in the ordinary course of their business activities, the underwriters and their affiliates may make or hold a broad array of investments and actively trade debt and equity securities (or related derivative securities) and financial instruments (including bank loans) for their own account and for the accounts of their customers. Such investments and securities activities may involve securities and/or instruments of ours or our affiliates. The underwriters and their affiliates may also make investment recommendations and/or publish or express independent research views in respect of such securities or financial instruments and may hold, or recommend to clients that they acquire, long and/or short positions in such securities and instruments.

Selling Restrictions

Notice to Prospective Investors in the European Economic Area

In relation to each Member State of the European Economic Area, or each, a Relevant State, no shares have been offered or will be offered pursuant to the offering to the public in that Relevant State prior to the publication of a prospectus in relation to the shares which has been approved by the competent authority in that Relevant State or, where appropriate, approved in another Relevant State and notified to the competent authority in that Relevant State, all in accordance with the EU Prospectus Regulation, except that shares may be offered to the public in that Relevant State at any time under the following exemptions under the EU Prospectus Regulation:

 

  A.

to any legal entity which is a qualified investor as defined under Article 2 of the EU Prospectus Regulation;

 

  B.

to fewer than 150 natural or legal persons (other than qualified investors as defined under Article 2 of the EU Prospectus Regulation), subject to obtaining the prior consent of the representatives for any such offer; or

 

  C.

in any other circumstances falling within Article 1(4) of the EU Prospectus Regulation,

provided that no such offer of shares shall require us or any of the representatives to publish a prospectus pursuant to Article 3 of the EU Prospectus Regulation or supplement a prospectus pursuant to Article 23 of the EU Prospectus Regulation and each person who initially acquires any shares or to whom any offer is made will be deemed to have represented, acknowledged and agreed to and with each of the underwriters and the Company that it is a “qualified investor” within the meaning of Article 2(e) of the EU Prospectus Regulation. In the case of any shares being offered to a financial intermediary as that term is used in the EU Prospectus Regulation, each such financial intermediary will be deemed to have represented, acknowledged and agreed that the shares acquired by it in the offer have not been acquired on a non-discretionary basis on behalf of, nor have they been acquired with a view to their offer or resale to, persons in circumstances which may give rise to an offer of any shares to the public other than their offer or resale in a Relevant State to qualified investors as so defined or in circumstances in which the prior consent of the underwriters have been obtained to each such proposed offer or resale.

In the case of any shares being offered to a financial intermediary as that term is used in Article 5(1) of the EU Prospectus Regulation, each such financial intermediary will be deemed to have represented, acknowledged and agreed that the shares acquired by it in the offer have not been acquired on a non-discretionary basis on behalf of, nor have they been acquired with a view to their offer or resale to, persons in circumstances which may

 

236


Table of Contents

give rise to an offer to the public other than their offer or resale in an EEA State to qualified investors, in circumstances in which the prior consent of the representatives has been obtained to each such proposed offer or resale.

For the purposes of this provision, the expression an “offer to the public” in relation to any shares in any Relevant State means the communication in any form and by any means of sufficient information on the terms of the offer and any shares to be offered so as to enable an investor to decide to purchase or subscribe for any shares, and the expression “EU Prospectus Regulation” means Regulation (EU) 2017/1129.

Notice to Prospective Investors in the United Kingdom

No shares have been offered or will be offered pursuant to the offering to the public in the United Kingdom prior to the publication of a prospectus in relation to the shares which has been approved by the Financial Conduct Authority, except that the shares may be offered to the public in the United Kingdom at any time:

 

  A.

to any legal entity which is a qualified investor as defined under Article 2 of the UK Prospectus Regulation;

 

  B.

to fewer than 150 natural or legal persons (other than qualified investors as defined under Article 2 of the UK Prospectus Regulation), subject to obtaining the prior consent of the representatives for any such offer; or

 

  C.

in any other circumstances falling within Section 86 of the Financial Services and Markets Act 2000, or the FMSA,

provided that no such offer of the shares shall require us or any representative to publish a prospectus pursuant to Section 85 of the FSMA or supplement a prospectus pursuant to Article 23 of the UK Prospectus Regulation. For the purposes of this provision, the expression an “offer to the public” in relation to the shares in the United Kingdom means the communication in any form and by any means of sufficient information on the terms of the offer and any shares to be offered so as to enable an investor to decide to purchase or subscribe for any shares and the expression “UK Prospectus Regulation” means Regulation (EU) 2017/1129 as it forms part of domestic law by virtue of the European Union (Withdrawal) Act 2018.

In addition, in the United Kingdom, this document is being distributed only to, and is directed only at, and any offer subsequently made may only be directed at persons who are “qualified investors” (as defined in the UK Prospectus Regulation) (i) who have professional experience in matters relating to investments falling within Article 19(5) of the Financial Services and Markets Act 2000 (Financial Promotion) Order 2005, as amended (the Order) and/or (ii) who are high net worth companies (or persons to whom it may otherwise be lawfully communicated) falling within Article 49(2)(a) to (d) of the Order (all such persons together being referred to as relevant persons) or otherwise in circumstances which have not resulted and will not result in an offer to the public of the shares in the United Kingdom within the meaning of the FSMA.

Any person in the United Kingdom that is not a relevant person should not act or rely on the information included in this document or use it as basis for taking any action. In the United Kingdom, any investment or investment activity that this document relates to may be made or taken exclusively by relevant persons.

Notice to Prospective Investors in Canada

The shares may be sold only to purchasers purchasing, or deemed to be purchasing, as principal that are accredited investors, as defined in National Instrument 45-106 Prospectus Exemptions or subsection 73.3(1) of the Securities Act (Ontario), and are permitted clients, as defined in National Instrument 31-103 Registration Requirements, Exemptions and Ongoing Registrant Obligations. Any resale of the shares must be made in accordance with an exemption from, or in a transaction not subject to, the prospectus requirements of applicable securities laws.

 

237


Table of Contents

Securities legislation in certain provinces or territories of Canada may provide a purchaser with remedies for rescission or damages if this prospectus (including any amendment thereto) contains a misrepresentation, provided that the remedies for rescission or damages are exercised by the purchaser within the time limit prescribed by the securities legislation of the purchaser’s province or territory. The purchaser should refer to any applicable provisions of the securities legislation of the purchaser’s province or territory for particulars of these rights or consult with a legal advisor.

Pursuant to section 3A.3 of National Instrument 33-105 Underwriting Conflicts (NI 33-105), the underwriters are not required to comply with the disclosure requirements of NI 33-105 regarding underwriter conflicts of interest in connection with this offering.

Notice to Prospective Investors in Australia

This prospectus:

 

  A.

does not constitute a disclosure document or a prospectus under Chapter 6D.2 of the Corporations Act 2001 (Cth), or the Corporations Act;

 

  B.

has not been, and will not be, lodged with the Australian Securities and Investments Commission, or ASIC, as a disclosure document for the purposes of the Corporations Act and does not purport to include the information required of a disclosure document for the purposes of the Corporations Act; and

 

  C.

may only be provided in Australia to select investors who are able to demonstrate that they fall within one or more of the categories of investors, available under section 708 of the Corporations Act, or Exempt Investors.

The shares of common stock may not be directly or indirectly offered for subscription or purchased or sold, and no invitations to subscribe for or buy the shares of common stock may be issued, and no draft or definitive offering memorandum, advertisement or other offering material relating to any shares of common stock may be distributed in Australia, except where disclosure to investors is not required under Chapter 6D of the Corporations Act or is otherwise in compliance with all applicable Australian laws and regulations. By submitting an application for the shares of common stock, you represent and warrant to us that you are an Exempt Investor.

As any offer of shares of common stock under this document will be made without disclosure in Australia under Chapter 6D.2 of the Corporations Act, the offer of those securities for resale in Australia within 12 months may, under section 707 of the Corporations Act, require disclosure to investors under Chapter 6D.2 if none of the exemptions in section 708 applies to that resale. By applying for the shares of common stock you undertake to us that you will not, for a period of 12 months from the date of issue of the shares of common stock, offer, transfer, assign or otherwise alienate those shares of common stock to investors in Australia except in circumstances where disclosure to investors is not required under Chapter 6D.2 of the Corporations Act or where a compliant disclosure document is prepared and lodged with ASIC.

Notice to Prospective Investors in Hong Kong

The shares of common stock have not been offered or sold and will not be offered or sold in Hong Kong, by means of any document, other than (a) to “professional investors” as defined in the Securities and Futures Ordinance (Cap. 571 of the Laws of Hong Kong), or the SFO, of Hong Kong and any rules made thereunder; or (b) in other circumstances which do not result in the document being a “prospectus” as defined in the Companies (Winding Up and Miscellaneous Provisions) Ordinance (Cap. 32) of Hong Kong), or the CO, or which do not constitute an offer to the public within the meaning of the CO. No advertisement, invitation or document relating to the common stock has been or may be issued or has been or may be in the possession of any person for the

 

238


Table of Contents

purposes of issue, whether in Hong Kong or elsewhere, which is directed at, or the contents of which are likely to be accessed or read by, the public of Hong Kong (except if permitted to do so under the securities laws of Hong Kong) other than with respect to shares of common stock which are or are intended to be disposed of only to persons outside Hong Kong or only to “professional investors” as defined in the SFO and any rules made thereunder.

Notice to Prospective Investors in Japan

The shares of common stock have not been and will not be registered pursuant to Article 4, Paragraph 1 of the Financial Instruments and Exchange Act. Accordingly, none of the common stock nor any interest therein may be offered or sold, directly or indirectly, in Japan or to, or for the benefit of, any “resident” of Japan (which term as used herein means any person resident in Japan, including any corporation or other entity organized under the laws of Japan), or to others for re-offering or resale, directly or indirectly, in Japan or to or for the benefit of a resident of Japan, except pursuant to an exemption from the registration requirements of, and otherwise in compliance with, the Financial Instruments and Exchange Act and any other applicable laws, regulations and ministerial guidelines of Japan in effect at the relevant time.

Notice to Prospective Investors in Singapore

This prospectus has not been registered as a prospectus with the Monetary Authority of Singapore. Accordingly, this prospectus and any other document or material in connection with the offer or sale, or invitation for subscription or purchase, of common stock may not be circulated or distributed, nor may the common stock be offered or sold, or be made the subject of an invitation for subscription or purchase, whether directly or indirectly, to persons in Singapore other than (i) to an institutional investor (as defined in Section 4A of the Securities and Futures Act (Chapter 289) of Singapore, as modified or amended from time to time, or SFA) pursuant to Section 274 of the SFA; (ii) to a relevant person (as defined in Section 275(2) of the SFA) pursuant to Section 275(1) of the SFA, or any person pursuant to Section 275(1A) of the SFA, and in accordance with the conditions specified in Section 275 of the SFA, or (iii) otherwise pursuant to, and in accordance with the conditions of, any other applicable provision of the SFA.

Where the shares of common stock are subscribed or purchased under Section 275 of the SFA by a relevant person which is:

 

  A.

a corporation (which is not an accredited investor (as defined in Section 4A of the SFA)) the sole business of which is to hold investments and the entire share capital of which is owned by one or more individuals, each of whom is an accredited investor; or

 

  B.

a trust (where the trustee is not an accredited investor) whose sole purpose is to hold investments and each beneficiary of the trust is an individual who is an accredited investor,

securities or securities-based derivatives contract (each term as defined in Section 2(1) of the SFA) of that corporation or the beneficiaries’ rights and interest (howsoever described) in that trust shall not be transferred within six months after that corporation or that trust has acquired the common stock pursuant to an offer made under Section 275 of the SFA except:

 

  A.

to an institutional investor or to a relevant person defined in Section 275(2) of the SFA, or to any person arising from an offer referred to in Section 275(1A) or Section 276(4)(i)(B) of the SFA;

 

  B.

where no consideration is or will be given for the transfer;

 

  C.

as specified in Section 276(7) of the SFA; or

 

  D.

as specified in Regulation 37A of the Securities and Futures (Offers of Investments) (Securities and Securities based Derivatives Contracts) Regulations 2018.

 

239


Table of Contents

Singapore SFA Product Classification — Solely for the purposes of its obligations pursuant to sections 309B(1)(a) and 309B(1)(c) of the SFA, the company has determined, and hereby notifies all relevant persons (as defined in Section 309A of the SFA) that the shares of common stock are “prescribed capital markets products” (as defined in the Securities and Futures (Capital Markets Products) Regulations 2018) and Excluded Investment Products (as defined in MAS Notice SFA 04-N12: Notice on the Sale of Investment Products and MAS Notice FAA-N16: Notice on Recommendations on Investment Products).

Notice to Prospective Investors in Switzerland

The shares of common stock may not be publicly offered in Switzerland and will not be listed on the SIX Swiss Exchange, or SIX, or on any other stock exchange or regulated trading facility in Switzerland. This document does not constitute a prospectus within the meaning of, and has been prepared without regard to the disclosure standards for issuance prospectuses under art. 652a or art. 1156 of the Swiss Code of Obligations or the disclosure standards for listing prospectuses under art. 27 ff. of the SIX Listing Rules or the listing rules of any other stock exchange or regulated trading facility in Switzerland. Neither this document nor any other offering or marketing material relating to the shares of common stock or the offering may be publicly distributed or otherwise made publicly available in Switzerland.

Neither this document nor any other offering or marketing material relating to the offering, the company, the shares of common stock have been or will be filed with or approved by any Swiss regulatory authority. In particular, this document will not be filed with, and the offer of shares of common stock will not be supervised by, the Swiss Financial Market Supervisory Authority FINMA, and the offer of shares of common stock has not been and will not be authorized under the Swiss Federal Act on Collective Investment Schemes, or CISA. The investor protection afforded to acquirers of interests in collective investment schemes under the CISA does not extend to acquirers of shares of common stock.

Notice to Prospective Investors in Israel

This document does not constitute a prospectus under the Israeli Securities Law, 5728-1968, or the Israeli Securities Law, and has not been filed with or approved by the Israel Securities Authority. In Israel, this prospectus is being distributed only to, and is directed only at, and any offer of the shares is directed only at, (i) a limited number of persons in accordance with the Israeli Securities Law and (ii) investors listed in the first addendum, or the Addendum, to the Israeli Securities Law, consisting primarily of joint investment in trust funds, provident funds, insurance companies, banks, portfolio managers, investment advisors, members of the Tel Aviv Stock Exchange, underwriters, venture capital funds, entities with equity in excess of NIS 50 million and “qualified individuals,” each as defined in the Addendum (as it may be amended from time to time), collectively referred to as qualified investors (in each case, purchasing for their own account or, where permitted under the Addendum, for the accounts of their clients who are investors listed in the Addendum). Qualified investors are required to submit written confirmation that they fall within the scope of the Addendum, are aware of the meaning of same and agree to it.

 

240


Table of Contents

LEGAL MATTERS

The validity of the shares of common stock being offered by this prospectus will be passed upon for us by Cooley LLP, New York, New York. The underwriters are being represented by Mintz, Levin, Cohn, Ferris, Glovsky and Popeo, P.C., Boston, Massachusetts.

EXPERTS

The financial statements of LB Pharmaceuticals Inc as of December 31, 2024 and 2023 and for each of the two years in the period ended December 31, 2024, included in this prospectus and in the Registration Statement, have been so included in reliance on the report of BDO USA, P.C., an independent registered public accounting firm, given on the authority of said firm as experts in auditing and accounting. The report on the financial statements contains an explanatory paragraph regarding the Company’s ability to continue as a going concern.

WHERE YOU CAN FIND ADDITIONAL INFORMATION

We have filed with the SEC a registration statement on Form S-1 under the Securities Act, with respect to the shares of common stock being offered by this prospectus. This prospectus does not contain all of the information in the registration statement and its exhibits. For further information with respect to us and the common stock offered by this prospectus, we refer you to the registration statement and its exhibits. Statements contained in this prospectus as to the contents of any contract or any other document referred to are not necessarily complete, and in each instance, we refer you to the copy of the contract or other document filed as an exhibit to the registration statement. Each of these statements is qualified in all respects by this reference.

Upon the completion of this offering, we will be subject to the information reporting requirements of the Exchange Act and we will file reports, proxy statements, and other information with the SEC. These reports, proxy statements, and other information will be available at www.sec.gov. We also maintain a website at https://lbpharma.us/, at which you may access these materials free of charge as soon as reasonably practicable after they are electronically filed with, or furnished to, the SEC. The information contained in, or that can be accessed through, our website is not incorporated by reference in, and is not part of, this prospectus.

 

241


Table of Contents

INDEX TO FINANCIAL STATEMENTS

 

Financial Statements

  

Report of Independent Registered Public Accounting Firm

     F-2  

Balance Sheets as of December 31, 2024 and 2023

     F-3  

Statements of Operations for the Years Ended December 31, 2024 and 2023

     F-4  

Statements of Comprehensive Loss for the Years Ended December  31, 2024 and 2023

     F-5  

Statements of Redeemable Convertible Preferred Stock and Stockholders’ Deficit for the Years Ended December 31, 2024 and 2023

     F-6  

Statements of Cash Flows for the Years Ended December 31, 2024 and 2023

     F-7  

Notes to Financial Statements

     F-8  

 

Unaudited Condensed Financial Statements

  

Condensed Balance Sheets as of June 30, 2025 and December 31, 2024

     F-38  

Condensed Statements of Operations for the Six Months Ended June 30, 2025 and 2024

     F-39  

Condensed Statements of Comprehensive Loss for the Six Months Ended June 30, 2025 and 2024

     F-40  

Condensed Statements of Redeemable Convertible Preferred Stock and Stockholders’ Deficit for the Six Months Ended June 30, 2025 and 2024

     F-41  

Condensed Statements of Cash Flows for the Six Months Ended June 30, 2025 and 2024

     F-42  

Notes to Condensed Financial Statements

     F-43  

 

F-1


Table of Contents

Report of Independent Registered Public Accounting Firm

To the Stockholders and Board of Directors

LB Pharmaceuticals Inc

New York, New York

Opinion on the Financial Statements

We have audited the accompanying balance sheets of LB Pharmaceuticals Inc (the “Company”) as of December 31, 2024 and 2023, the related statements of operations, comprehensive loss, redeemable convertible preferred stock and stockholders’ deficit, and cash flows for the years then ended, and the related notes (collectively referred to as the “financial statements”). In our opinion, the financial statements present fairly, in all material respects, the financial position of the Company at December 31, 2024 and 2023, and the results of its operations and its cash flows for the years then ended, in conformity with accounting principles generally accepted in the United States of America.

Substantial Doubt About the Company’s Ability to Continue as a Going Concern

The accompanying financial statements have been prepared assuming that the Company will continue as a going concern. As discussed in Note 1 to the financial statements, the Company has not generated revenues, has suffered recurring losses from operations, has a net capital deficiency, and has an accumulated deficit that raise substantial doubt about its ability to continue as a going concern. Management’s plans in regard to these matters are also described in Note 1. The financial statements do not include any adjustments that might result from the outcome of this uncertainty.

Basis for Opinion

These financial statements are the responsibility of the Company’s management. Our responsibility is to express an opinion on the Company’s financial statements based on our audits. We are a public accounting firm registered with the Public Company Accounting Oversight Board (United States) (“PCAOB”) and are required to be independent with respect to the Company in accordance with the U.S. federal securities laws and the applicable rules and regulations of the Securities and Exchange Commission and the PCAOB.

We conducted our audits in accordance with the standards of the PCAOB. Those standards require that we plan and perform the audit to obtain reasonable assurance about whether the financial statements are free of material misstatement, whether due to error or fraud. The Company is not required to have, nor were we engaged to perform, an audit of its internal control over financial reporting. As part of our audits we are required to obtain an understanding of internal control over financial reporting but not for the purpose of expressing an opinion on the effectiveness of the Company’s internal control over financial reporting. Accordingly, we express no such opinion.

Our audits included performing procedures to assess the risks of material misstatement of the financial statements, whether due to error or fraud, and performing procedures that respond to those risks. Such procedures included examining, on a test basis, evidence regarding the amounts and disclosures in the financial statements. Our audits also included evaluating the accounting principles used and significant estimates made by management, as well as evaluating the overall presentation of the financial statements. We believe that our audits provide a reasonable basis for our opinion.

/s/ BDO USA, P.C.

We have served as the Company’s auditor since 2016.

New York, New York

June 27, 2025, except for the effects of the reverse stock split described in Note 15, as to which the date is September 8, 2025

 

F-2


Table of Contents

LB Pharmaceuticals Inc

Balance Sheets

(in thousands, except share and per share data)

 

 

     As of December 31,  
     2024     2023  

Assets

    

Current assets

    

Cash and cash equivalents

   $ 22,978     $ 14,979  

Marketable securities

     5,021       28,312  

Prepaid expenses and other assets

   $ 880     $ 2,343  
  

 

 

   

 

 

 

Total current assets

     28,879       45,634  

Operating lease right-of-use assets

     2,298       —   

Property and equipment, net

     1,859       23  

Restricted cash

     498       —   
  

 

 

   

 

 

 

Total assets

   $ 33,534     $ 45,657  
  

 

 

   

 

 

 

Liabilities, Redeemable Convertible Preferred Stock and Stockholders’ Deficit

    

Current liabilities

    

Accounts payable

     2,320       1,389  

Accrued expenses

     5,302       1,217  

Operating lease liability, current

     487       —   
  

 

 

   

 

 

 

Total current liabilities

     8,109       2,606  

Derivative liability—warrants

     2,504       1,557  

Operating lease liability, noncurrent

     3,216       —   
  

 

 

   

 

 

 

Total liabilities

     13,829       4,163  
  

 

 

   

 

 

 

Commitments and contingencies (Note 13)

    

Redeemable convertible preferred stock

    

Series Seed preferred stock, $0.0001 par value, 295,467 shares authorized, 295,467 shares issued and outstanding as of December 31, 2024 and 2023. Liquidation preference of $443 as of December 31, 2024 and 2023.

     435       435  

Series A preferred stock, $0.0001 par value, 3,655,374 shares authorized, 3,655,374 shares outstanding as of December 31, 2024 and 2023. Liquidation preference of $8,407 as of December 31, 2024 and 2023.

     6,179       6,179  

Series B preferred stock, $0.0001 par value, 301,119 shares authorized, 301,119 shares issued and outstanding as of December 31, 2024 and 2023. Liquidation preference of $903 as of December 31, 2024 and 2023.

     580       580  

Series C preferred stock, $0.0001 par value, 75,000,000 shares authorized, 73,820,346 and 47,153,680 shares issued and outstanding as of December 31, 2024 and 2023, respectively. Liquidation preference of $110,731 and $70,731 as of December 31, 2024 and 2023, respectively.

     107,065       68,773  

Stockholders’ deficit

    

Common stock, $0.0001 par value, 105,000,000 shares authorized, 251,655 and 249,476 shares issued and outstanding as of December 31, 2024 and 2023, respectively.

     1       1  

Additional paid-in capital

     9,657       6,473  

Accumulated deficit

     (104,323     (41,221

Accumulated other comprehensive income

     111       274  
  

 

 

   

 

 

 

Total stockholders’ deficit

   $ (94,554   $ (34,473
  

 

 

   

 

 

 

Total liabilities, redeemable convertible preferred stock and stockholders’ deficit

   $ 33,534     $ 45,657  
  

 

 

   

 

 

 

See accompanying notes to financial statements.

 

F-3


Table of Contents

LB Pharmaceuticals Inc

Statements of Operations

(in thousands, except share and per share data)

 

 

     Year Ended December 31,  
     2024      2023  

Operating expenses

     

Research and development

   $ 51,171      $ 7,845  

General and administrative

     13,659        3,531  
  

 

 

    

 

 

 

Total operating loss

     (64,830      (11,376

Non-operating income (expense)

     

Interest income

     1,721        811  

Interest expense

     —         (4,825

Loss on extinguishment of debt

     —         (7,435

Realized gain on sale of marketable securities, net

     955        328  

(Loss) gain on change in fair value of derivative instruments

     (947      16,257  

Other expense

     —         (34
  

 

 

    

 

 

 

Total non-operating income

     1,729        5,102  
  

 

 

    

 

 

 

Loss before income tax

     (63,101      (6,274
  

 

 

    

 

 

 

Income tax provision

     1        1  
  

 

 

    

 

 

 

Net loss

   $ (63,102    $ (6,275
  

 

 

    

 

 

 

Net loss per share, basic and diluted

   $ (176.15    $ (21.86

Weighted average shares outstanding used in calculating net loss per share, basic and diluted

     358,229        287,163  

 

See accompanying notes to financial statements.

 

F-4


Table of Contents

LB Pharmaceuticals Inc

Statements of Comprehensive Loss

(in thousands)

 

 

     Year Ended December 31,  
     2024      2023  

Net loss

   $ (63,102    $ (6,275

Unrealized (loss) gain on marketable securities, net

     (163      274  
  

 

 

    

 

 

 

Comprehensive loss

   $ (63,265    $ (6,001
  

 

 

    

 

 

 

 

See accompanying notes to financial statements.

 

F-5


Table of Contents

LB Pharmaceuticals Inc

Statements of Redeemable Convertible Preferred Stock and Stockholders’ Deficit

(in thousands, except share data)

 

 

    Redeemable Convertible Preferred Stock                                      
    Series Seed     Series A     Series B     Series C     Common Stock                          
    Shares     Amount     Shares     Amount     Shares     Amount     Shares     Amount     Shares     Amount     Additional
Paid-in
Capital
    Accumulated
Deficit
    Accumulated
Other
Comprehensive
Income
    Total
Stockholders’
Deficit
 

Balance, December 31, 2022

    295,467     $ 435       3,655,374     $ 6,179       301,119     $ 580       —      $ —        247,239     $ 1     $ 6,133     $ (34,946   $ —      $ (28,812

Stock-based compensation expense

    —        —        —        —        —        —        —        —        —        —        295       —        —        295  

Shares issued upon exercise of warrants

    —        —        —        —        —        —        —        —        1,826       —        1       —        —        1  

Unrealized gain on marketable securities

    —        —        —        —        —        —        —        —        —        —        —        —        274       274  

Issuance of redeemable convertible Series C preferred stock, net of issuance costs

    —        —        —        —        —        —        23,333,334       33,042       —        —        —        —        —        —   

Issuance of redeemable convertible Series C preferred stock upon conversion of notes

    —        —        —        —        —        —        23,820,346       35,731       —        —        —        —        —        —   

Issuance of warrants to placement agent for convertible note financing

    —        —        —        —        —        —        —        —        —        —        44       —        —        44  

Issuance of restricted common stock to employees

    —        —        —        —        —        —        —        —        411       —        —        —        —        —   

Net loss

    —        —        —        —        —        —        —        —        —        —        —        (6,275     —        (6,275
 

 

 

   

 

 

   

 

 

   

 

 

   

 

 

   

 

 

   

 

 

   

 

 

   

 

 

   

 

 

   

 

 

   

 

 

   

 

 

   

 

 

 

Balance, December 31, 2023

    295,467     $ 435       3,655,374     $ 6,179       301,119     $ 580       47,153,680     $ 68,773       249,476     $ 1     $ 6,473     $ (41,221   $ 274     $ (34,473
 

 

 

   

 

 

   

 

 

   

 

 

   

 

 

   

 

 

   

 

 

   

 

 

   

 

 

   

 

 

   

 

 

   

 

 

   

 

 

   

 

 

 

Stock-based compensation expense

    —        —        —        —        —        —        —        —        —        —        3,090       —        —       
3,090
 

Unrealized loss on marketable securities

    —        —        —        —        —        —        —        —        —        —        —        —        (163     (163

Issuance of redeemable convertible Series C preferred stock, net of issuance costs

    —        —        —        —        —        —        26,666,666       38,292       —        —        —        —        —        —   

Shares issued upon exercise of warrants

    —        —        —        —        —        —        —        —        253       —        3       —        —        3  

Shares issued upon exercise of options

    —        —        —        —        —        —        —        —        493       —        20       —        —        20  

Issuance of common stock for services

    —        —        —        —        —        —        —        —        1,433       —        71       —        —        71  

Net loss

    —        —        —        —        —        —        —        —        —        —        —        (63,102     —        (63,102
 

 

 

   

 

 

   

 

 

   

 

 

   

 

 

   

 

 

   

 

 

   

 

 

   

 

 

   

 

 

   

 

 

   

 

 

   

 

 

   

 

 

 

Balance, December 31, 2024

    295,467     $ 435       3,655,374     $ 6,179       301,119     $ 580       73,820,346     $ 107,065       251,655     $ 1     $ 9,657     $ (104,323   $ 111     $ (94,554
 

 

 

   

 

 

   

 

 

   

 

 

   

 

 

   

 

 

   

 

 

   

 

 

   

 

 

   

 

 

   

 

 

   

 

 

   

 

 

   

 

 

 

 

See accompanying notes to financial statements.

 

F-6


Table of Contents

LB Pharmaceuticals Inc

Statements of Cash Flows

(in thousands)

 

 

     Year Ended December 31,  
     2024      2023  

Operating activities

     

Net loss

   $ (63,102    $ (6,275

Adjustments to reconcile net loss to net cash used in operating activities:

     

Stock-based compensation expense

     3,090        295  

Shares issued for services rendered

     71        —   

Other expense

     —         34  

Amortization of deferred financing fees

     —         3,883  

Write-off of deferred offering costs

     3,219        —   

Depreciation

     91        4  

Non-cash lease expense

     308        —   

Realized gain on marketable securities, net

     (955      (328

Loss on extinguishment of debt

     —         7,435  

(Accretion) amortization of (discounts) premiums on investments, net

     (34      428  

Loss (gain) on change in fair value of derivative instruments

     947        (16,257

Changes in operating assets and liabilities:

     

Prepaid expenses and other current assets

     (1,757      (2,257

Operating lease liability

     (60      —   

Accrued interest on marketable securities

     114        (154

Accounts payable and accrued expenses

     5,016        1,098  
  

 

 

    

 

 

 

Net cash used in operating activities

     (53,052      (12,094

Investing activities

     

Purchases of property and equipment

     (769      (25

Purchase of marketable securities

     (29,746      (33,985

Proceeds from the sale of marketable securities

     23,649        —   

Maturities of marketable securities

     30,100        6,000  
  

 

 

    

 

 

 

Net cash provided by (used in) investing activities

     23,234        (28,010
  

 

 

    

 

 

 

Financing activities

     

Proceeds from issuance of convertible notes

     —         725  

Proceeds from exercise of warrants and options

     23        1  

Proceeds from issuance of redeemable convertible Series C preferred stock

     40,000        35,000  

Payment of issuance costs of redeemable convertible Series C preferred stock

     (1,708      (1,958

Payment of debt issuance costs

     —         (89
  

 

 

    

 

 

 

Net cash provided by financing activities

     38,315        33,679  
  

 

 

    

 

 

 

Net increase (decrease) in cash, cash equivalents and restricted cash

     8,497        (6,425

Cash, cash equivalents and restricted cash, beginning of year

     14,979        21,404  
  

 

 

    

 

 

 

Cash, cash equivalents and restricted cash, end of year

   $ 23,476      $ 14,979  
  

 

 

    

 

 

 

Supplemental Disclosures of Cash Flow Information

     

Interest paid

   $ —       $ 1,981  

Income tax paid

   $ 1      $ 1  

Supplemental Disclosures of Non-cash Investing and Financing Information

     

Conversion of 2020 and 2022 Notes to redeemable convertible Series C preferred stock

   $ —       $ 35,731  

Warrants issued to placement agent

   $ —       $ 44  

Warrants issued to redeemable convertible Series B preferred stockholders

   $ —       $ 33  

Right of use assets in exchange for operating lease liabilities

   $ 2,405      $ —   

Acquisition of leasehold improvements

   $ 1,158      $ —   

 

See accompanying notes to financial statements.

 

F-7


Table of Contents

LB Pharmaceuticals Inc

Notes to Financial Statements

 

1. Business Overview

LB Pharmaceuticals Inc (the “Company” or “LB”) was incorporated under the laws of the State of Delaware in September 2015 and is headquartered in New York, New York.

The Company is a clinical-stage biopharmaceutical company developing therapies for the treatment of schizophrenia, bipolar depression, and other neuropsychiatric diseases. The Company is building a pipeline that leverages the broad therapeutic potential of its lead product candidate, LB-102, which the Company believes has the potential to be the first benzamide antipsychotic drug approved for neuropsychiatric disorders in the United States. LB-102 is a Phase 3-ready oral, small molecule for the treatment of acute schizophrenia (defined as a sudden and severe episode of psychotic symptoms, characterized by hallucinations, delusions, and other positive symptoms).

Since the Company’s inception, it has focused substantially all of its efforts and financial resources on organizing and staffing the Company, raising capital, building its intellectual property portfolio, undertaking preclinical studies and clinical trials and providing general and administrative support for these activities. The Company has not generated any product revenue related to its primary business purpose to date and is subject to a number of risks similar to those of other early stage companies, including dependence on key individuals, regulatory approval of product candidates, uncertainty of market acceptance of products, if approved, competition from substitute products and larger companies, compliance with government regulations, protection of proprietary technology, dependence on third parties, product liability and the need to obtain adequate additional financing to fund the development of its product candidates.

Going Concern

The Company’s financial statements have been prepared on a going concern basis, which contemplates the realization of assets and the settlement of liabilities and commitments in the normal course of business. The Company has not generated revenues and relies on the issuance of debt and equity instruments to generate working capital. The Company experienced negative operating cash flows of $53.1 million and net loss of $63.1 million for the year ended December 31, 2024 and had an accumulated deficit of $104.3 million as of December 31, 2024. The Company expects to incur substantial expenses for the foreseeable future relating to research and development of LB-102 and to continue to generate operating losses. These factors raise substantial doubt about the Company’s ability to continue as a going concern within one year of the date that the financial statements are issued. The financial statements do not include any adjustments that might be necessary if the Company is unable to continue as a going concern.

The future viability of the Company is dependent on its ability to raise additional capital to fund its operations. If the Company is unable to obtain funding, the Company could be forced to delay, reduce or eliminate some or all of its research and development programs, which could adversely affect its business prospects, or the Company may be unable to continue operations. Although management continues to pursue these plans, there is no assurance that the Company will be successful in obtaining sufficient funding on terms acceptable to the Company to fund continuing operations, if at all.

2. Summary of Significant Accounting Policies

Basis of Presentation

The accompanying financial statements have been prepared in accordance with accounting principles generally accepted in the United States of America (“GAAP”).

 

F-8


Table of Contents

LB Pharmaceuticals Inc

Notes to Financial Statements

 

 

Prior Period Reclassifications

Certain prior period amounts have been reclassified to conform to the current period’s presentation.

Use of Estimates

The preparation of financial statements in conformity with GAAP requires management to make estimates and assumptions that affect the reported amounts of assets and liabilities and disclosure at the date of the financial statements and the reported amounts of expenses during the reporting period. Significant estimates and assumptions reflected in these financial statements include, but are not limited to, the accrual of research and development costs and the valuation of common stock, derivative warrant and stock-based compensation. Changes in estimates and assumptions are reflected in reported results in the period in which they become known. Estimates are periodically reviewed in light of changes in circumstances, facts and experience. Actual results could differ from the Company’s estimates.

Concentration of Risk

Financial instruments that potentially subject the Company to concentration of credit risk consist primarily of cash and cash equivalents and marketable securities.

Segment Information

The Company operates as a single reportable segment in the development of novel therapies for the treatment of neuropsychiatric diseases, including schizophrenia. The Company has not generated revenues since inception. The Company’s chief operating decision maker (“CODM”) is its Chief Executive Officer (“CEO”). The CODM reviews the Company’s performance on an aggregate basis, thus the segment’s loss is the Company’s net loss, as reported on accompanying statements of operations, and the segment’s assets are the Company’s total assets, as reported on the accompanying balance sheets. Significant expenses provided to the CODM include research and development and general and administrative expenses, as reported on the accompanying statements of operations.

The CODM uses the information primarily to evaluate the Company’s performance and allocate resources. This includes reviewing key financial metrics such as budget versus actual expenditures and assessing overall cash flow and liquidity to ensure the continuity of operations. This approach allows the CODM to monitor the Company’s performance and make strategic adjustments as needed to support its operational and financial goals.

The Company’s operations and all long-lived assets are located in the United States.

Cash and Cash Equivalents

The Company considers all highly liquid investments with original maturities of three months or less to be cash equivalents. The Company’s cash and cash equivalents primarily consist of balances held at one financial institution and in money market funds. Cash balances may, at times, exceed the Federal Deposit Insurance Corporation (“FDIC”) amounts. Management periodically assesses the financial condition of the banking institution and believes that any potential credit loss is minimal. As of December 31, 2024 and 2023, the Company’s cash balance exceeded the FDIC insured limit of $250,000.

Restricted Cash

Restricted cash primarily consists of certificates of deposit that are held as collateral against the letter of credit that the Company is required to maintain for its operating lease agreement.

 

F-9


Table of Contents

LB Pharmaceuticals Inc

Notes to Financial Statements

 

 

Marketable Securities

The Company accounts for marketable securities held as “available-for-sale” in accordance with Accounting Standards Codification (“ASC”) 320, Investments-Debt Securities. The Company classifies these investments as current assets and carries them at fair value. Unrealized gains and losses are recorded as a separate component of stockholders’ deficit as accumulated other comprehensive income. Realized gains or losses on marketable security transactions are reported in the statements of operations. Marketable securities are maintained at one financial institution and are governed by the Company’s investment policy, as approved by the Company’s board of directors.

The Company evaluates its marketable securities with unrealized loss positions for impairment by assessing if they are related to deterioration in credit risk and whether the entire amortized cost basis of the security will be recovered, the intent to sell, and whether it is more likely than not that the Company will be required to sell the securities before the recovery of their cost basis. Credit-related impairment losses, not to exceed the amount that fair value is less than the amortized cost basis, are recognized through an allowance for credit losses with changes in the allowance for credit losses recorded in the statements of operations.

No impairment losses related to marketable securities have been recognized during the years ended December 31, 2024 and 2023. Any unrealized losses on available-for-sale debt securities that are attributed to credit risk are recorded to earnings through an allowance for credit losses. Unrealized losses on available-for-sale debt securities were not material as of December 31, 2024 and 2023, and no allowance for credit losses was recorded.

Property and Equipment

Property and equipment are recorded at cost less accumulated depreciation. Depreciation and amortization expense is recognized using the straight-line method over the following estimated useful lives:

 

Asset Category

   Estimated Useful Life

Leasehold improvements

   Lease term

Computer equipment

   3 years

Office furniture

   5 years

Leases

According to ASC 842 Leases, the Company determines if an arrangement is or contains a lease at inception by assessing whether the arrangement contains an identified asset and whether it has the right to control the use of the identified asset over the term of the arrangement.

Right-of-use (“ROU”) assets represent the Company’s right to use an underlying asset for the lease term and lease liabilities represent the Company’s obligation to make lease payments arising from the lease. Lease liabilities are recognized at the lease commencement date based on the present value of future lease payments over the lease term. The interest rate implicit in lease contracts is typically not readily determinable. To the extent that the Company is unable to utilize an interest rate implicit in the lease, the collateralized incremental borrowing rate is used based on the information available at the lease commencement date, in determining the present value of lease payments. ROU assets are based on the measurement of the lease liability and includes any lease payments made prior to or on lease commencement and initial direct costs incurred and excludes lease incentives, as applicable.

The Company has elected not to recognize leases with an original term of one year or less on the balance sheet.

 

F-10


Table of Contents

LB Pharmaceuticals Inc

Notes to Financial Statements

 

 

The Company has elected to account for lease and non-lease components together as a single lease component for all underlying assets.

Deferred Offering Costs

The Company capitalizes certain legal, professional and accounting and other third-party fees that are directly associated with in-process equity financings as deferred financing costs until such financings are consummated. After consummation of an equity financing, these costs are recorded in stockholders’ equity as a reduction of additional paid-in capital generated as a result of the financings. Should the planned equity financing no longer be considered probable of being consummated, the deferred offering costs are expensed immediately as a charge to general and administrative expenses.

As of September 30, 2024, the Company recorded the write off of deferred offering costs in the amount of $3.2 million in general and administrative expenses in the accompanying statements of operations.

Debt Issuance Costs and Debt Discounts

Capitalized debt issuance costs related to the Company’s convertible notes payable are included as a direct deduction from the related debt liability. See Note 11 Notes for additional information.

The debt discount recorded in connection with the recognition of the derivative liability for the embedded conversion feature is included as a direct deduction from the related debt liability.

These costs are amortized into interest expense over the term of the notes.

Fair Value Measurements

The Company applies the fair value method under ASC 820 Fair Value Measurements and Disclosure to all financial assets and liabilities and nonfinancial assets and liabilities that are recognized or disclosed at fair value in the financial statements on a recurring basis. Fair value is defined as the exchange price that would be received for an asset or an exit price that would be paid to transfer a liability in the principal or most advantageous market for the asset or liability in an orderly transaction between market participants on the measurement date. ASC 820 establishes a fair value hierarchy that prioritizes the inputs to valuation techniques used to measure fair value. The hierarchy gives the highest priority to unadjusted quoted prices in active markets for identical assets or liabilities (Level 1 measurements) and the lowest priority to measurements involving significant unobservable inputs (Level 3 measurements). The three levels of the fair value hierarchy are as follows:

Level 1 – Observable inputs, such as quoted prices for identical assets and liabilities in active markets.

Level 2 – Observable inputs (other than Level 1 quoted prices), such as quoted prices in active markets for similar assets or liabilities, quoted prices in markets that are not active for identical or similar assets or liabilities, or other inputs that are observable or can be corroborated by observable market data.

Level 3 – Unobservable inputs supported by little or no market data and requires management to develop its own assumptions based on best estimates of what market participants would use in pricing an asset or liability at the reporting date.

The level in the fair value hierarchy within which a fair value measurement in its entirety falls is based on the lowest-level input that is significant to the fair value measurement in its entirety. To the extent that the valuation

 

F-11


Table of Contents

LB Pharmaceuticals Inc

Notes to Financial Statements

 

 

is based on models or inputs that are less observable or unobservable in the market, the determination of fair value may require significant judgment and involve uncertainty. Changes in fair value measurements could have a significant impact on the results of operations in any given period.

The carrying amounts of cash equivalents, marketable securities, accounts payable and accrued expenses approximate the related fair values due to the short-term maturities of these instruments. The Company’s derivative liabilities are carried at fair value based on the fair value hierarchy. The Company invests its excess cash in financial instruments, which are readily convertible into cash, such as money market funds, fixed-income securities, and U.S. government securities. Cash equivalents, where applicable, are classified as Level 1 or Level 2, as defined by the fair value hierarchy.

Stock-Based Compensation

The Company uses equity-based compensation programs to provide long-term performance incentives for its employees, directors and consultants. These incentives consist primarily of stock options, restricted stock grants and penny warrants.

The Company measures all stock options and other stock-based awards to employees, directors and non-employees based on the fair value on the date of the grant and recognizes compensation expense of those awards over the requisite service period, which is generally the vesting period of the respective award. The Company records the expense for these awards using the straight-line method over the service period. The Company recognizes adjustments to stock-based compensation expense for forfeitures as they occur. The Company classifies stock-based compensation expenses in its statements of operations in the same manner in which the award recipient’s payroll costs are classified or in which the award recipients’ service payments are classified.

The fair value of each stock option and other stock-based awards are estimated on the date of grant using the Black-Scholes option-pricing model. Inputs used in the Black-Scholes option-pricing model are summarized as follows:

Expected Term: The expected term is calculated using the simplified method. The simplified method calculates the expected term as the average of the vesting and contractual terms of the award. The Company elected to use the simplified method because of its limited history of stock option exercise activity.

Expected Volatility: The Company used the historical stock price volatility of a peer group of publicly-traded companies to calculate the expected volatility.

Risk-Free Interest Rate: The risk-free interest rate is based on the U.S. Treasury yield curve in effect at the time of grant of the award for time periods approximately equal to the expected term of the award.

Expected Dividend Yield: The Company has never paid cash dividends and does not expect to pay any cash dividends in the foreseeable future. Accordingly, estimated dividend yield is zero.

The fair value for each restricted common stock award and penny warrants are estimated on the date of grant based on the most recent calculation of fair value of the Company’s common stock.

Common Stock Warrants and Warrant Liability

The Company accounts for common stock warrants issued as freestanding instruments in accordance with applicable accounting guidance as either liabilities or as equity instruments depending on the specific terms of

 

F-12


Table of Contents

LB Pharmaceuticals Inc

Notes to Financial Statements

 

 

the warrant agreement. The Company classifies warrant liabilities on the balance sheet as long-term liabilities, which are revalued at each balance sheet date subsequent to the initial issuance. Changes in the fair value of the warrant liabilities are recorded in change in fair value of derivative instruments in the statements of operations. The Company values the aggregate equity value and allocates the value to the appropriate classes of equity through the use of the Black-Scholes option pricing model. The value of the warrants is derived through this equity allocation. Certain assumptions used in the model include expected volatility, dividend yield and risk-free interest rate. See Note 3 Fair Value Measurements for a description of these assumptions.

Redeemable Convertible Preferred Stock

The Company records all shares of redeemable convertible preferred stock at their respective fair values on the dates of issuance, net of issuance costs. The redeemable convertible preferred stock is recorded outside of permanent equity because upon the occurrence of certain deemed liquidation events, the majority of the holders can opt to redeem the shares at the liquidation preference and these events, including a merger, acquisition or sale of substantially all of the assets, are considered not solely within the Company’s control. The Company has not adjusted the carrying values of the redeemable convertible preferred stock to its redemption value because it is not considered redeemable as of December 31, 2024 and 2023.

Research and Development

Research and development costs include expenditures in connection with clinical trials, employee cash and stock-based compensation, regulatory and scientific consulting fees, contract research for preclinical studies, drug formulation, supply and handling and data collection. Advance payments for goods or services to be received in the future for use in research and development activities are recorded as prepaid expenses. The prepaid amounts are expensed as the related goods are delivered or the services are performed.

The value of goods and services received from the contract research organization (“CRO”) and other third parties are accrued each reporting period based on estimates of the level of services performed and progress in the period when invoices have not been received from such organizations. When evaluating the adequacy of the accrued liabilities, the progress of the studies or clinical trials are analyzed, including the phase or completion of events, invoices received and contracted costs. Significant judgments and estimates are made in determining the accrued balances at the end of any reporting period. Accruals are adjusted as actual costs become known or as additional information becomes available.

General and Administrative

General and administrative costs include expenditures that are not directly related to research and development. General and administrative costs include costs for support and administrative functions including salaries and benefits, stock-based compensation and other personnel-related costs. Additional costs include non-personnel costs such as legal and professional fees, rent, audit fees and insurance costs.

Patents

The Company expenses external costs, such as filing fees and associated attorney fees, incurred to obtain issued patents and patent applications pending. The Company also expenses costs associated with maintaining and defending patents subsequent to their issuance in the period incurred.

Income Taxes

Income taxes have been determined using the asset and liability approach of accounting for income taxes. Under this approach, deferred taxes represent the future tax consequences expected to occur when the reported amounts

 

F-13


Table of Contents

LB Pharmaceuticals Inc

Notes to Financial Statements

 

 

of assets and liabilities are recovered or paid. Deferred taxes result from differences between the financial statement and tax bases of LB’s assets and liabilities and are adjusted for changes in tax rates and tax laws when changes are enacted. Valuation allowances are recorded to reduce deferred tax assets when it is more likely than not that a tax benefit will not be realized. The assessment of whether a valuation allowance is required often requires significant judgment.

Net Loss Per Share

The Company follows the two-class method when computing net loss per share, as the Company has issued shares that meet the definition of participating securities. The two-class method determines net loss per share for each class of common and participating securities according to dividends declared or accumulated and participation rights in undistributed earnings. The two-class method requires income available to common stockholders for the period to be allocated between common and participating securities based upon their respective rights to receive dividends as if all income for the period had been distributed.

Basic net loss per share attributable to common stockholders is computed by dividing the net loss attributable to common stockholders by the weighted average number of shares of common stock outstanding for the period. Diluted net loss attributable to common stockholders is computed by adjusting loss attributable to common stockholders to reallocate undistributed earnings based on the potential impact of dilutive securities, including outstanding stock options. Diluted net loss per share attributable to common stockholders is computed by dividing the diluted net loss attributable to common stockholders by the weighted average number of common shares outstanding for the period, including potential dilutive common shares assuming the dilutive effect of outstanding stock options.

The Company’s outstanding redeemable convertible preferred stock contractually entitle the holders of such shares to participate in distributions but does not require the holders of such shares to participate in losses of the Company. Accordingly, in periods in which the Company reports a net loss attributable to common stockholders, diluted net loss per share attributable to common stockholders is the same as basic net loss per share attributable to common stockholders, since dilutive common shares are not assumed to have been issued if their effect is anti-dilutive.

Comprehensive Loss

Comprehensive loss includes net loss, as well as other changes in stockholders’ deficit that result from transactions and economic events other than those with stockholders. For the years ended December 31, 2024 and 2023, the Company’s only element of other comprehensive loss was unrealized gain/loss on marketable securities.

Recently Adopted Accounting Pronouncements

In November 2023, the Financial Accounting Standards Board (“FASB”) issued ASU 2023-07, Segment Reporting (Topic 280), Improvements to Reportable Segment Disclosures, which is intended to provide enhanced segment disclosures. The guidance requires disclosures about significant segment expenses and other segment items and identifying the CODM and how they use the reported segment profitability measures to assess segment performance and allocate resources. These enhanced disclosures are required for all public entities on an interim and annual basis, even if they have only a single reportable segment. The guidance is effective for years beginning after December 15, 2023, and interim periods within annual periods beginning after December 15, 2024. Early adoption is permitted. The Company adopted the guidance for the year ended December 31, 2024. The adoption required the Company to provide additional disclosures (Segment Information above), but otherwise it does not materially impact the accompanying financial statements.

 

F-14


Table of Contents

LB Pharmaceuticals Inc

Notes to Financial Statements

 

 

Recently Issued Accounting Pronouncements Not Yet Adopted

In December 2023, the FASB issued ASU 2023-09, Income Taxes (Topic 740): Improvements to Income Tax Disclosures that requires public entities to annually disclose specific categories in the rate reconciliation and provide additional information for reconciling items that meet a quantitative threshold. The guidance is effective for fiscal years beginning after December 15, 2024 and early adoption is permitted. The Company is evaluating the guidance to determine if adoption will have a material impact on the financial statements or disclosures.

In November 2024, the FASB issued ASU 2024-03 Income Statement—Reporting Comprehensive Income—Expense Disaggregation Disclosures (Subtopic 220-40): Disaggregation of Income Statement Expenses, that requires public companies to provide more detailed disclosures to provide greater transparency about the components of specific expense categories. The guidance is effective for years beginning after December 15, 2026, and interim periods within annual periods beginning after December 15, 2027. Early adoption is permitted. The Company is evaluating the guidance to determine if adoption will have a material impact on the financial statements or disclosures.

3. Fair Value Measurements

The following table presents the Company’s assets and liabilities that are measured at fair value on a recurring basis classified under the appropriate level of the fair value hierarchy (in thousands):

 

     As of December 31, 2024  
     Fair Value Measurement Using  
     Level 1      Level 2      Level 3      Total  

Assets

           

Cash Equivalents

           

Money market funds

   $ 19,926      $ —       $
— 
 
   $
19,926
 
  

 

 

    

 

 

    

 

 

    

 

 

 

Total cash equivalents

     19,926        —         —         19,926  

Marketable Securities

           

Government securities

     —         5,021        —         5,021  
  

 

 

    

 

 

    

 

 

    

 

 

 

Total marketable securities

     —         5,021        —         5,021  
  

 

 

    

 

 

    

 

 

    

 

 

 

Restricted Cash

           

Certificate of deposit

     —         498        —         498  
  

 

 

    

 

 

    

 

 

    

 

 

 

Total assets

   $ 19,926      $ 5,519      $ —       $ 25,445  
  

 

 

    

 

 

    

 

 

    

 

 

 

Liabilities

           

Derivative liability - warrants

     —         —         2,504        2,504  
  

 

 

    

 

 

    

 

 

    

 

 

 

Total liabilities

   $ —       $ —       $ 2,504      $ 2,504  
  

 

 

    

 

 

    

 

 

    

 

 

 

 

F-15


Table of Contents

LB Pharmaceuticals Inc

Notes to Financial Statements

 

 

     As of December 31, 2023  
     Fair Value Measurement Using  
     Level 1      Level 2      Level 3      Total  

Assets

           

Cash Equivalents

           

Money market funds

   $ 7,231      $ —       $ —       $ 7,231  

US Treasury bills

     —         3,218        —         3,218  
  

 

 

    

 

 

    

 

 

    

 

 

 

Total cash equivalents

     7,231        3,218        —         10,449  

Marketable Securities

           

US Treasury bills

     —         958        —         958  

Government securities

     —         24,899        —         24,899  

Corporate debt securities

     —         2,455        —         2,455  
  

 

 

    

 

 

    

 

 

    

 

 

 

Total marketable securities

     —         28,312        —         28,312  
  

 

 

    

 

 

    

 

 

    

 

 

 

Total assets

   $ 7,231      $ 31,530      $ —       $ 38,761  
  

 

 

    

 

 

    

 

 

    

 

 

 

Liabilities

           

Derivative liability - warrants

     —         —         1,557        1,557  
  

 

 

    

 

 

    

 

 

    

 

 

 

Total liabilities

   $
— 
 
   $
— 
 
   $
1,557
 
   $ 1,557  
  

 

 

    

 

 

    

 

 

    

 

 

 

Marketable Securities

The Company accounts for marketable securities held as “available-for-sale” in accordance with ASC 320, Investments-Debt Securities. The Company classifies these investments as current assets and carries them at fair value.

The fair values of the Company’s corporate debt securities are based on prices obtained from independent pricing sources. The fair value of other marketable securities classified within Level 2 is based upon observable inputs that may include benchmark yields, reported trades, broker/dealer quotes, issuer spreads, two-sided markets, benchmark securities, bids, offers, and reference data including market research publications.

Certificate of Deposit

The Company’s certificates of deposit are Level 2 instruments. The fair value of such instruments is estimated based on valuations obtained from third-party pricing services that utilize industry standard valuation models, including both income-based and market-based approaches, for which all significant inputs are observable either directly or indirectly. These inputs include interest rate curves, foreign exchange rates, and credit ratings.

Note Conversion Feature

In August and September 2020, the Company entered into Convertible Promissory Note Purchase Agreements (“2020 Notes”) with a group of lenders who loaned the Company a total of $10.0 million. In October 2022, November 2022, December 2022, and January 2023, the Company entered into Convertible Promissory Note Purchase Agreements (“2022 Notes”) with a group of lenders who loaned the Company a total of $25.7 million.

The 2020 Notes and 2022 Notes include conversion features which met the definition of a derivative liability. The conversion features were bifurcated from the host contract and a liability and corresponding discount were recorded on the date of issuance. The liability is remeasured at fair value at the end of each reporting period, with any changes recorded in the accompanying statements of operations.

 

F-16


Table of Contents

LB Pharmaceuticals Inc

Notes to Financial Statements

 

 

The 2020 Notes and 2022 Notes would automatically convert into the class of the stock issued in the Company’s next qualified financing at a conversion price equal to 80% of the per-share price of such securities issued. If the per-share price of the next qualified financing was below $2.35, the outstanding principal of the 2020 Notes and 2022 Notes would convert at the per-share price paid for such securities issued (see Note 11 Notes). In May 2023, the Company received a signed commitment for a qualified financing at $1.50 per share, thus the Company determined that the conversion feature had no value as of June 30, 2023. The 2020 Notes and 2022 Notes were converted to Series C preferred stock on August 29, 2023. See Note 11 Notes for additional information related to the 2020 Notes and the 2022 Notes and the note conversion features.

For the year ended December 31, 2023, the change in the fair value of the Level 3 note conversion feature liability resulted in the recording of a gain on change in fair value of derivative instruments of $16.6 million in the accompanying statements of operations.

The following are the assumptions used in the Black-Scholes valuation model in order to determine the fair value of the note conversion feature derivative liabilities for the embedded conversion feature related to 2022 Notes issued during the year ended December 31, 2023:

 

     January 26, 2023  

Term – financing event (in years)

     0.33  

Term – exit event (in years)

     1.33  

Volatility

     65.90

Risk-free rate

     4.53

Debt maturity date

     11/30/2024  

Discount rate

     31.50

Warrants

In 2018 and 2019, the Company issued warrants to investors in connection with its private placement of Series A convertible preferred stock “A and B Warrants” (as defined in Note 8 Redeemable Convertible Preferred Stock and Equity). Pursuant to the terms of the A and B Warrants, the Company could be required to adjust the exercise price upon an adjustment of the price or exercise price of the Company’s existing stock or stock options.

In May 2022, the Company issued the Series B-1 Warrants (as defined below) to investors in connection with the Series B convertible preferred stock financing (the “Series B Offering”).

In August 2023, the Company issued the New Series B Warrants (as defined below) to the investors in the Series B Offering as an inducement to consent to the Series C preferred stock financing (the “Series C Offering”).

The Company issued warrants to investors in connection with equity financings. The warrants are required to be measured at fair value and reported as a liability in the accompanying balance sheets. The warrants are valued at each reporting date using the Black-Scholes model with any changes in fair value recorded in the accompanying statements of operations. The valuation of the warrants is considered Level 3 in the fair value hierarchy as the assumptions in the valuation that are both significant to the fair value measurement and unobservable. See Note 8 Redeemable Convertible Preferred Stock and Equity for additional information.

For the years ended December 31, 2024 and 2023, the Company recorded a loss on the change in the fair value of the Level 3 warrant liability of $0.9 million and $0.3 million, respectively, in the accompanying statements of operations.

 

F-17


Table of Contents

LB Pharmaceuticals Inc

Notes to Financial Statements

 

 

The following are the assumptions used in the Black-Scholes valuation model in order to determine the fair value of the derivative liabilities for the warrant liabilities for the years ended December 31, 2024 and 2023:

 

     August 28,
2023
    December 31,
2023
    December 31,
2024
 

Term – financing event (in years)

     0.50       —        —   

Term – exit event (in years)

     1.09       0.75       0.58 - 2.00  

Volatility

     67.0     57.5     49.0% - 70.0

Exercise price

   $ 0.01 - $3.75     $ 0.01 - $1.50     $ 0.01 - $1.50  

Risk-free rate

     5.33     5.03     4.23% - 4.25

 

If the significant unobservable inputs of volatility and discount rate were to change, this may result in a significantly higher or lower fair value measurement at the reporting dates. The change in the derivative liabilities for the years ended December 31, 2024 and 2023 was (in thousands):

 

     Note
Conversion
Feature
     Warrants      Total  

Balance, December 31, 2022

   $ 16,226      $ 1,228      $ 17,454  

Conversion feature for 2022 Notes (Jan. 2023 issuance)

     327        —         327  

Issuance of New Series B warrants

     —         33        33  

(Gain) loss due to change in fair value

     (16,553      296        (16,257
  

 

 

    

 

 

    

 

 

 

Balance, December 31, 2023

   $ —       $ 1,557      $ 1,557  

Loss due to change in fair value

     —         947        947  
  

 

 

    

 

 

    

 

 

 

Balance, December 31, 2024

   $ —       $ 2,504      $ 2,504  
  

 

 

    

 

 

    

 

 

 

During the years ended December 31, 2024 and 2023, there were no transfers of instruments between Level 1, 2 and 3 in the fair value hierarchy.

There are uncertainties on the fair value measurement of the instruments classified under Level 3 due to the use of unobservable inputs and interrelationships between these unobservable inputs, which could result in higher or lower fair value measurements.

 

F-18


Table of Contents

LB Pharmaceuticals Inc

Notes to Financial Statements

 

 

4. Cash Equivalents, Marketable Securities and Restricted Cash

The Company invests in certain U.S. government money market funds and treasury bills classified as cash equivalents and invests in certificate of deposits that are classified as restricted cash. The marketable securities consist of treasury bills, government securities and high investment grade corporate debt securities as follows (in thousands):

 

     As of December 31, 2024  
     Amortized
Cost
     Unrealized
Gains
     Unrealized
Losses
     Aggregate
Fair Value
 

Cash Equivalents

           

Money market funds

   $
19,926
 
   $
— 
 
   $
— 
 
   $
19,926
 
  

 

 

    

 

 

    

 

 

    

 

 

 

Total cash equivalents

     19,926        —         —         19,926  
  

 

 

    

 

 

    

 

 

    

 

 

 

Marketable Securities

           

Government securities

     4,910        111        —         5,021  
  

 

 

    

 

 

    

 

 

    

 

 

 

Total marketable securities

   $ 4,910      $ 111      $ —       $ 5,021  

Restricted Cash

           

Certificate of deposit

     498        —         —         498  
  

 

 

    

 

 

    

 

 

    

 

 

 

Total cash equivalents, marketable securities and restricted cash

   $
25,334
 
   $ 111      $ —       $ 25,445  
  

 

 

    

 

 

    

 

 

    

 

 

 

 

     As of December 31, 2023  
     Amortized
Cost
     Unrealized
Gains
     Unrealized
Losses
     Aggregate
Fair Value
 

Cash Equivalents

           

Money market funds

   $ 7,231      $ —       $ —       $ 7,231  

US Treasury bills

     3,169        49        —         3,218  
  

 

 

    

 

 

    

 

 

    

 

 

 

Total cash equivalents

     10,400        49        —         10,449  

Marketable Securities

           

US Treasury bills

     956        2        —         958  

Government securities

     24,698        201        —         24,899  

Corporate debt securities

     2,433        22        —         2,455  
  

 

 

    

 

 

    

 

 

    

 

 

 

Total marketable securities

     28,087        225        —         28,312  
  

 

 

    

 

 

    

 

 

    

 

 

 

Total cash equivalents and marketable

   $ 38,487      $ 274      $ —       $ 38,761  
  

 

 

    

 

 

    

 

 

    

 

 

 

The contractual maturities of the Company’s marketable securities are summarized as follows (in thousands):

 

     As of December 31, 2024  
     Amortized
Cost
     Unrealized
Gains
     Unrealized
Losses
     Aggregate
Fair Value
 

Within one year

   $ 4,910      $ 111      $ —       $ 5,021  

After one year to five years

     —         —         —         —   
  

 

 

    

 

 

    

 

 

    

 

 

 

Total marketable securities

   $ 4,910      $ 111      $ —       $ 5,021  
  

 

 

    

 

 

    

 

 

    

 

 

 

As of December 31, 2024 and 2023, there were no available-for-sale securities that have been in a continuous unrealized loss position for more than 12 months.

 

F-19


Table of Contents

LB Pharmaceuticals Inc

Notes to Financial Statements

 

 

A reconciliation of the cash, cash equivalents and restricted cash reported in the balance sheets that sum to the total of the amounts shown in the statements of cash flows is as follows (in thousands):

 

     As of December 31,  
     2024      2023  

Cash and cash equivalents

   $ 22,978      $ 14,979  

Restricted cash

     498        —   
  

 

 

    

 

 

 

Total cash, cash equivalents and restricted cash

   $ 23,476      $ 14,979  
  

 

 

    

 

 

 

5. Property and Equipment, Net

Property and equipment, net consisted of the following as of December 31, 2024 and 2023 (in thousands):

 

     December 31,
2024
     December 31,
2023
 

Leasehold improvements

   $ 1,491      $ —   

Computer equipment

     95        31  

Office furniture

     374        3  
  

 

 

    

 

 

 

Property and equipment

     1,960        34  

Less: Accumulated Depreciation

     (101      (11
  

 

 

    

 

 

 

Total property and equipment, net

   $ 1,859      $ 23  
  

 

 

    

 

 

 

Depreciation and amortization expense totaled $0.1 million and less than $0.1 million for the years ended December 31, 2024 and 2023, respectively, and is recorded in general and administrative expense in the accompanying statements of operations.

6. Prepaid Expenses and Other Current Assets and Accrued Expenses

Prepaid expenses consisted of the following as of December 31, 2024 and 2023 (in thousands):

 

     December 31,
2024
     December 31,
2023
 

Prepaid research and development

   $ 691      $ 2,246  

Deferred offering costs

     —         5  

Prepaid insurance

     57        71  

Other prepaid expenses and other current assets

     132        21  
  

 

 

    

 

 

 

Total prepaid expenses and other current assets

   $ 880      $ 2,343  
  

 

 

    

 

 

 

As of September 30, 2024, the Company recorded the write off of deferred offering costs in the amount of $3.2 million in general and administrative expenses in the accompanying statements of operations.

 

F-20


Table of Contents

LB Pharmaceuticals Inc

Notes to Financial Statements

 

 

Accrued expenses consisted of the following as of December 31, 2024 and 2023 (in thousands):

 

     December 31,
2024
     December 31,
2023
 

Accrued CRO costs

   $ 1,443      $ 326  

Accrued research and development costs

     488        50  

Accrued compensation costs

     1,441        798  

Accrued professional and consulting costs

     902        2  

Accrued termination benefits

     800        —   

Other accrued costs

     228        41  
  

 

 

    

 

 

 

Total accrued expenses

   $ 5,302      $ 1,217  
  

 

 

    

 

 

 

On November 26, 2024, the Company’s then-current chief executive officer (the “Former CEO”) entered into a transition, consulting, and separation agreement (“Separation Agreement”), pursuant to which the Former CEO resigned from his role as CEO and agreed to continue employment as advisor to the CEO through December 31, 2024. Under the Separation Agreement, the Former CEO is entitled to termination benefits until June 30, 2026, in the form of continuation of base salary in the same amount in effect as of December 31, 2024; the payment of monthly premiums for healthcare coverage; and provided that the Former CEO continues to provide consulting services to the Company as a consultant, the continued vesting of outstanding stock option awards in accordance with the applicable equity plans and stock option agreements. During the year ended December 31, 2024, the Company recorded $0.8 million of termination benefits in general and administrative expense in the accompanying statements of operations. See Note 10 Stock-Based Compensation for additional information on the continued vesting of outstanding stock options.

7. Leases

In May 2024, the Company entered into a new lease agreement for office space in New York, New York. The Company received $1.2 million of leasehold improvement incentives associated with the new lease agreement. The term of this lease commenced on June 21, 2024, which is the date the Company obtained control over the leased premises. The lease term continues through March 2032. The Company’s real estate lease agreement includes variable payments that are passed through by the landlord, such as insurance, taxes, and common area maintenance, and payments based on the usage of the asset. Pass-through charges and payments due to changes in usage of the asset are included within variable rent expense. Operating leases are recognized over the lease term and included in general and administrative expenses in the accompanying statements of operations. Variable lease expenses are recognized in general and administrative expenses in the accompanying statements of operations as incurred.

The Company’s lease agreement does not contain material residual value guarantees, restrictions, or covenants. The Company has no other operating leases recognized on the accompanying balance sheets.

The components of lease expense were as follows for the years ended December 31, 2024 and 2023 (in thousands):

 

     December 31,
2024
     December 31,
2023
 

Operating lease expense

   $ 308      $ —   

Short-term lease expense

     119        72  
  

 

 

    

 

 

 

Total lease expense

   $ 427      $ 72  
  

 

 

    

 

 

 

 

F-21


Table of Contents

LB Pharmaceuticals Inc

Notes to Financial Statements

 

 

Short-term lease expense includes expenses related to the Company’s 2018 operating lease agreement for office space in New York, New York. The lease agreement was month-to-month and could be terminated by either party with three months’ written notice. The Company terminated the lease effective September 30, 2024. The Company made the policy election to exclude short-term leases from recognition and measurement under ASC 842.

The Company made an advance payment of $0.06 million for the first month of rent on the lease liabilities during the year ended December 31, 2024.

Supplemental balance sheet information related to operating leases as of December 31, 2024 and 2023 was as follows (in thousands):

 

     December 31,
2024
    December 31,
2023
 

Operating lease right-of-use assets

   $ 2,298     $ —   

Operating lease liability, current

     487       —   

Operating lease liability, noncurrent

     3,216       —   
  

 

 

   

 

 

 

Total operating lease liability

   $ 3,703     $ —   
  

 

 

   

 

 

 

Weighted average remaining lease term (in years)

     7.3       —   

Weighted average discount rate

     9.6     — 

As of December 31, 2024, future minimum commitments under operating leases were as follows:

 

     As of December 31, 2024  

Year ended December 31, 2025

   $ 487  

Year ended December 31, 2026

     730  

Year ended December 31, 2027

     730  

Year ended December 31, 2028

     764  

Year ended December 31, 2029

     775  

Thereafter

     1,743  
  

 

 

 

Total future lease payments

   $ 5,229  

Less: imputed interest

     (1,526
  

 

 

 

Present value of lease payments

   $ 3,703  
  

 

 

 

8. Redeemable Convertible Preferred Stock and Equity

The Company’s Fourth Amended and Restated Certificate of Incorporation (“Fourth Amended Certificate”) designates and authorizes the Company to issue 184.3 million shares, consisting of: (i) 105.0 million shares of common stock, par value $0.0001 per share; and (ii) 79.3 million shares of preferred stock, par value $0.0001 per share.

 

F-22


Table of Contents

LB Pharmaceuticals Inc

Notes to Financial Statements

 

 

Redeemable Convertible Preferred Stock

Redeemable convertible preferred stock (“Preferred Stock”) as of December 31, 2024 and 2023 consisted of the following (in thousands, except per share data):

 

     As of December 31, 2024  
     Issuance
Start Date
     Shares
Authorized
     Shares
Issued and
Outstanding
     Issuance
Price Per
Share
     Net
Carrying
Value
     Liquidation
Preference
 

Series Seed

     11/21/2017        295        295      $ 1.50      $ 435      $ 443  

Series A

     11/21/2018        3,655        3,655      $ 2.30        6,179        8,407  

Series B

     5/3/2022        301        301      $ 3.00        580        903  

Series C

     8/29/2023        75,000        73,820      $ 1.50        107,065        110,731  
     

 

 

    

 

 

       

 

 

    

 

 

 
        79,251        78,071         $ 114,259      $ 120,484  
     

 

 

    

 

 

       

 

 

    

 

 

 

 

     As of December 31, 2023  
     Issuance
Start Date
     Shares
Authorized
     Shares
Issued and
Outstanding
     Issuance
Price Per
Share
     Net
Carrying
Value
     Liquidation
Preference
 

Series Seed

     11/21/2017        295        295      $ 1.50      $ 435      $ 443  

Series A

     11/21/2018        3,655        3,655      $ 2.30        6,179        8,407  

Series B

     5/3/2022        301        301      $ 3.00        580        903  

Series C

     8/29/2023        75,000        47,154      $ 1.50        68,773        70,731  
     

 

 

    

 

 

       

 

 

    

 

 

 
        79,251        51,405         $ 75,967      $ 80,484  
     

 

 

    

 

 

       

 

 

    

 

 

 

In August 2023, the Company closed the Series C Offering with four new investor groups (“Series C New Investors”) to invest $75.0 million of which $35.0 million was payable upon the first closing in August 2023 and $40.0 million payable upon the enrollment of the first patient into the Phase 2 trial of LB-102. The second closing occurred in January 2024. The Company issued 23.3 million and 26.7 million shares of Series C preferred stock at the first and second closings, respectively. In conjunction with the Series C Offering, the strike price of warrants held by Series A and Series B preferred stockholders was reduced to $0.01 per share and the Series B preferred stockholders received 100,373 newly issued warrants at a strike price of $1.50 (“New Series B Warrants”), allowing the Series B preferred stockholders to purchase common stock in an amount equal to one-third of their current Series B preferred stock. See Warrants section below for additional information. The Company incurred issuance costs of $2.0 million associated with the Series C preferred stock and New Series B Warrants.

Upon the closing of the Series C Offering, the 2020 Notes and 2022 Notes automatically converted to 23.8 million shares of Series C preferred stock at a price of $1.50 per share. See Note 11 Notes for additional information.

As of December 31, 2024, the holders of the Preferred Stock have the following rights and preferences:

Voting: The holders of the Preferred Stock shall have full voting rights and powers and shall vote together with all other classes and series of stock of the Company. Each holder of Preferred Stock shall be entitled to the number of votes equal to the number of shares of common stock into which the preferred stock could be converted on the record date.

 

F-23


Table of Contents

LB Pharmaceuticals Inc

Notes to Financial Statements

 

 

Upon the closing of the Series C Offering, the Company’s Board of Directors shall consist of no more than seven members, including: one director shall be designated by each of the Series C New Investors; one director shall be designated by the existing stockholders of the Company, one director shall be the CEO of the Company and one independent director to be mutually agreed upon.

Series A and Series B Protective Provisions: At any time when shares of Series A or Series B preferred stock are outstanding, the Company will not, without the consent of a majority of the outstanding shares of Series A and Series B preferred stock (voting together as a single class): (i) take any action that requires the separate approval of the Series A or Series B preferred stockholders; (ii) amend the Fourth Amended Certificate to adversely affect the rights of the Series A or Series B stockholders differently from the Preferred Stock; or (iii) increase or decrease the authorized number of Series A or Series B preferred stock.

Series C Protective Provisions: Additionally, at any time that at least 50% of Series C preferred stock is outstanding, the Company will not without the consent of at least 60% of the Series C preferred stockholders (“Requisite Series C Holders”): (i) liquidate, dissolve or wind up the Company; (ii) amend, alter, repeal or waive any provisions of the Fourth Amended Certificate of Incorporation provided that any such amendment or waiver that is adverse to any series of Preferred Stock shall require the consent of the affected series (voting separately as a class); (iii) adversely change the rights, preferences or privileges of the Series C preferred stock; (iv) create any new class or series of equity interest having rights, preferences or privileges senior to or in parity with the Series C preferred stock; (v) increase or decrease the authorized number of shares of Preferred or Common Stock; (vi) purchase or redeem any Common or Preferred Stock, other than Common Stock granted by Board approved equity compensation arrangements; (vii) pay or declare any dividends or other distributions on Common or Preferred Stock; (viii) incur any indebtedness in excess of $1 million (other than ordinary trade indebtedness); (ix) increase or decrease the number of Directors on the Board; or (x) enter into any related party transactions other than changes in the compensation of the Company’s executive officers.

Dividends: The holders of Preferred Stock will not be entitled to dividends with respect to such shares, provided however that if the Board of Directors declares any dividends, holders of Preferred Stock will first receive at least an amount equal to the sum of (i) any declared but unpaid dividends on the applicable series of Preferred Stock plus (ii) a pro rata share of any dividends to be paid on other classes and series of the Company’s stock.

Liquidation Preference: In the event of any liquidation, dissolution or winding-up of the Company, the liquidation preference is as follows:

First: Series C preferred stockholders would be entitled to receive the greater of: (i) $1.50 per share (adjusted for any stock dividends, combinations or splits or similar transactions with respect to such shares), or (ii) the amount that would be received if the shares of Series C preferred stock were converted to common stock (“Series C Preference Amount”). Upon payment in full of the Series C Preference Amount, the holders of Series C preferred stock, shall not receive any additional payments from the Company. In the event the funds or assets are insufficient to pay in full the Series C Preference Amount, as described above, then all funds or assets available for shall be paid to the holders of Series C Stock pro rata based on the full Series C Preference Amount to which they are entitled.

Second: Series B preferred stockholders would be entitled to receive the greater of: (i) $3.00 per share (adjusted for any stock dividends, combinations or splits or similar transactions with respect to such shares), or (ii) the amount that would be received if the Series B Preferred were converted to Common Stock (“Series B Preference Amount”). In the event the funds or assets are insufficient to pay in full the Series B Preference Amount, as described above, then all funds or assets available for shall be paid to the holders of Series B Stock pro rata based on the full Series C Preference Amount to which they are entitled.

 

F-24


Table of Contents

LB Pharmaceuticals Inc

Notes to Financial Statements

 

 

Third: Series A preferred stockholders will be entitled to receive the greater of: (i) $2.30 per share (adjusted for any stock dividends, combinations or splits or similar transactions with respect to such shares), or (ii) the amount that would be received if the Series A Preferred were converted to Common Stock (“Series A Preference Amount”). In the event the funds or assets are insufficient to pay in full the Series A Preference Amount, as described above, then all funds or assets available for shall be paid to the holders of Series A Stock pro rata based on the full Series A Preference Amount to which they are entitled.

Fourth: Series Seed preferred stockholders will be entitled to receive the greater of: (i) $1.50 per share (adjusted for any stock dividends, combinations or splits or similar transactions with respect to such shares), or (ii) the amount that would be received if the Series Seed Preferred were converted to Common Stock (“Series Seed Preference Amount”). In the event the funds or assets are insufficient to pay in full the Series Seed Preference Amount, as described above, then all funds or assets available for shall be paid to the holders of Series Seed Stock pro rata based on the full Series Seed Preference Amount to which they are entitled.

After payment of the liquidation preference to the holders of Preferred Stock, the remaining assets of the Company shall be distributed ratably to the holders of common stock on a fully converted basis.

The Preferred Stock may be redeemed upon a Deemed Liquidation Event as defined in the Company’s Fourth Amended Certificate of Incorporation. The Preferred Stock will be redeemed as detailed above and may be redeemed at the greater of (i) the original issue price per share, plus any dividends declared but unpaid thereon, or (ii) such amount per share as would have been payable had all shares of such class or series of Preferred Stock been converted into common stock prior to the Deemed Liquidation Event. As of December 31, 2024, the shares of Preferred Stock were not redeemable and the likelihood of an occurrence of a Deemed Liquidation Event was not deemed to be probable.

Conversion: Each share of Preferred Stock is convertible at the option of the holder at any time after issuance into the number of fully paid and non-assessable shares of common stock as determined by dividing the original issue price of each series of Preferred Stock by the conversion price of each series in effect at time of the conversion. The initial conversion price is the respective original issue price, subject to adjustment in accordance with the anti-dilution provisions of the stock.

Each share of Preferred Stock will automatically be converted into one share of common stock at the then effective conversion rate in the event of either: (i) the closing of a public offering at a price of at least $3.00 per share (as adjusted for stock dividends, splits or similar transactions) resulting in gross proceeds to the Company of at least $75.0 million; or (ii) an event approved by the Requisite Series C Holders.

As of December 31, 2024 and 2023, none of the outstanding shares of Preferred Stock had been converted into common stock.

Reissuance: Shares of any Preferred Stock that are redeemed or converted will be retired or canceled and may not be reissued by the Company.

Common Stock

All issued shares of common stock are entitled to vote on a one share/one vote basis.

During 2024, the Company entered into an agreement for financial advisory services. As compensation for the services, the Company issued 1,433 shares of common stock. The Company recorded stock-based compensation expense of $0.1 million included in general and administrative expense on the accompanying statement of operations. The fair value of the issued shares was determined based on the fair value of the Company’s common stock as of the date of the agreement.

 

F-25


Table of Contents

LB Pharmaceuticals Inc

Notes to Financial Statements

 

 

Warrants

In 2018, in connection with the Company’s Series A Offering in 2018 (the “Series A Offering”), the Company issued warrants to purchase 0.06 million shares of the Company’s common stock at an exercise price of $64.14 per share. The warrants expire ten years after issuance. The warrants were issued in two tranches of which 0.03 million were fully exercisable at issuance (“Class A Warrants”) and the remaining 0.03 million were exercisable as of May 21, 2022 (“Class B Warrants”). The Class A Warrants and Class B Warrants are collectively referred to as the “A and B Warrants”.

In May 2022, in connection with the Series B Offering, the Company issued the Series B-1 Warrants to purchase 2,868 shares of the Company’s common stock that were immediately exercisable at an exercise price of $104.58 per share. The warrants expire five years after issuance.

The Series B Offering included a Rights Offer Phase (“Rights Offer”) in which the Company offered participants in the Series A Offering to invest in the Series B Offering. During the Rights Offer, for each Class A Warrant holder that invested in the Series B Offering, the Class A Warrant holder received the right to convert its Class A Warrants into the number of shares of common stock issuable upon exercise of the Class A Warrants, at no cost and for an exercise price of zero ($0.00) per share. On May 3, 2022, the Company settled the warrant liability and converted less than 0.01 million Class A Warrants to common stock. The difference in fair value based on the change in the exercise price of the warrants of less than $0.01 million was recorded to gain (loss) on change in fair value of derivative instruments in the accompanying statement of operations.

Pursuant to the anti-dilution terms contained in the Class A Warrants, any Class A Warrant holder who chose not to participate in the Rights Offer received a reduction in the exercise price of the Class A Warrants from $64.14 per share to $63.30 per share, calculated based on the amount of common stock issued upon conversion of the Class A Warrants in the Rights Offer.

The Class B Warrants issued as part of the Series A Offering remain outstanding and were not impacted by the Class A Warrant conversions.

In August 2023, as part of the Series C Offering, the Company modified the outstanding Class A Warrants, Class B Warrants and Class B-1 Warrants reducing the exercise price to $0.01. The Company recorded a gain on the change in fair value of $0.8 million to gain (loss) on change in fair value of derivative instruments in the accompanying statement of operations for the year ended December 31, 2023.

Additionally, the Company issued less than 0.01 million new warrants to the Series B preferred stockholders at a strike price of $41.83 per share (“New Series B Warrants”), allowing the Series B preferred stockholders to purchase common stock in an amount equal to 33.33% of their current Series B Preferred holdings. The New Series B Warrants were immediately exercisable and expire five years after issuance. The New Series B Warrants were issued as an incentive for the Series B stockholders to consent to the Series C Offering. The issuance of the New Series B Warrants was considered an inducement offer under ASC 470, Debt and the Company recorded financing costs based on the grant date fair value of the New Series B Warrants to other expense in the accompanying statement of operations for the year ended December 31, 2023.

 

F-26


Table of Contents

LB Pharmaceuticals Inc

Notes to Financial Statements

 

 

Warrants outstanding as of December 31, 2024 and 2023 are as follows:

 

     As of December 31,  
     2024      2023  

Class A Warrants

     24,956        24,956  

Class B Warrants

     31,661        31,795  

Series B-1 Warrants

     2,573        2,624  

New Series B Warrants

     3,530        3,599  

Placement agent warrants

     54,814        54,814  
  

 

 

    

 

 

 

Total warrants outstanding

     117,534        117,788  
  

 

 

    

 

 

 

See Note 3 Fair Value Measurements for warrant activity for the years ended December 31, 2024 and 2023.

9. Net Loss per Share

The following table sets forth the computation of basic and diluted net loss per share of common stock for the years ended December 31, 2024 and 2023 (in thousands, except share and per share data):

 

     Year ended December 31,  
     2024      2023  

Net loss

   $ (63,102    $ (6,275

Weighted average common shares used in computing net loss per share, basic and diluted (1)

     358,229        287,163  

Net loss per share, basic and diluted

   $ (176.15    $ (21.86

 

(1) 

Included within weighted average common shares outstanding for the years ended December 31, 2024 and 2023 are 114,095 and 75,389, respectively, common shares issuable upon the exercise of penny warrants. Per ASC 260, Earnings Per Share, the warrants are exercisable at any time for nominal consideration, and as such, the shares are considered outstanding for the purpose of calculating basic and diluted net loss per share attributable to common stockholders.

The Company’s potentially dilutive securities, which consist of stock options and convertible preferred stock, have been excluded from the computation of diluted net loss per share because including them would have had an anti-dilutive impact. Therefore, the weighted average number of common shares outstanding used to calculate both basic and diluted net loss per share attributable to common stockholders is the same.

The following common stock equivalents, presented based on amounts outstanding at each period end, have been excluded from the calculation of diluted net loss per share because including them would have an antidilutive effect (in thousands):

 

     December 31,
2024
     December 31,
2023
 

Redeemable convertible preferred stock

     2,799        1,843  
Restricted stock - unvested      6        6  

Common stock warrants

     3        3  

Stock options

     457        128  
  

 

 

    

 

 

 

Total Common Stock Equivalents

     3,265        1,980  
  

 

 

    

 

 

 

 

F-27


Table of Contents

LB Pharmaceuticals Inc

Notes to Financial Statements

 

 

10. Stock-Based Compensation

The Company uses equity-based compensation programs to provide long-term performance incentives for its employees, directors and consultants. These incentives consist primarily of stock options and restricted stock grants.

In 2017, the Company’s Board of Directors approved the LB Pharmaceuticals Inc 2017 Stock Incentive Plan (“2017 Plan”). The 2017 Plan authorized the issuance of stock options or restricted stock up to 0.02 million shares of the Company’s common stock. In August 2018, the Company amended the 2017 Plan, reducing the maximum aggregate number of shares that may be issued under the 2017 Plan to 0.02 million. No additional awards will be granted under the 2017 Plan. As of both December 31, 2024 and 2023, there were 0.01 million shares outstanding under the 2017 Plan.

In 2018, the Company’s Board of Directors approved the LB Pharmaceuticals Inc 2018 Stock Incentive Plan (“2018 Plan”). The 2018 Plan authorized the issuance of stock options or restricted stock up to 0.04 million shares of the Company’s common stock. No additional awards will be granted under the 2018 Plan. As of both December 31, 2024 and 2023, there were 0.03 million shares outstanding under the 2018 Plan.

In August 2023, the Company’s Board of Directors approved the LB Pharmaceuticals Inc 2023 Stock Incentive Plan, as amended (“2023 Plan”). The 2023 Plan authorized the issuance of stock options or restricted stock up to 0.3 million shares of the Company’s common stock. In December 2024, the Company amended the 2023 Plan increasing the maximum aggregate number of shares that may be issued under the 2023 Plan to approximately 0.5 million. The 2023 Plan expires in August 2033. As of December 31, 2024 and 2023, there were 0.4 million and 0.1 million shares outstanding, respectively. As of December 31, 2024, there are 0.05 million shares available for future issuance under the 2023 Plan.

Stock Options

Stock options vest based on one of the following schedules: (i) 25% on the first anniversary of grant date with the remaining 75% to vest in 36 equal monthly installments thereafter through the fourth anniversary of the grant date; (ii) 100% vesting in 36 equal monthly installments through the third anniversary of the grant date; or (iii) 100% vesting in 12 equal monthly installments through the first anniversary of the grant date for certain nonemployee grants. All stock options expire ten years from the grant date. The assumptions used to determine the fair value of stock options granted to employees and non-employees for the years ended December 31, 2024 and 2023 were as follows:

 

     December 31,
2024
    December 31,
2023
 

Expected life of options (in years)

     6.25 - 10.00       6.25  

Risk-free interest rate

     4.20% - 4.56     3.87% - 4.23

Expected volatility

     82.1% - 86.4     85.5% - 85.7

Dividends

     —        —   

Fair value of common stock

   $ 31.23 - $49.65     $ 21.19 - $27.89  

 

F-28


Table of Contents

LB Pharmaceuticals Inc

Notes to Financial Statements

 

 

A summary of the Company’s stock option activity and related information is as follows:

 

     Options
Outstanding
(in thousands)
     Weighted
Average
Exercise
Price Per
Share
     Weighted
Average
Remaining
Contractual
Term
(Years)
     Aggregate
Intrinsic
Value
 

Balance at December 31, 2022

     38      $ 61.91        6.05        —   

Granted

     90      $ 41.83           —   
  

 

 

          

Balance at December 31, 2023

     128      $ 47.69        8.19        —   

Granted

     341      $ 41.83           —   

Forfeited

     (12    $ 41.83           —   

Expired

     (0    $ 41.83           —   

Exercised

     (0    $ 41.83           —   
  

 

 

          

Balance at December 31, 2024

     457      $ 43.50        9.01        —   
  

 

 

          

Options vested and expected to vest as of December 31, 2024

     457      $ 43.50        9.01     

Options exercisable as of December 31, 2024

     72      $ 52.43        6.27     

The weighted average grant date fair value of the stock options granted during the year ended December 31, 2024 was $31.23. The weighted average grant date fair value of the stock options granted during the year ended December 31, 2023 was $14.22.

Stock-based compensation related to stock options is recorded in the accompanying statements of operations as follows (in thousands):

 

     Year ended
December 31,
 
     2024      2023  

Research and development

   $ 396      $ 39  

General and administrative

     2,691        25  
  

 

 

    

 

 

 

Total stock-based compensation expense

   $ 3,087      $ 64  
  

 

 

    

 

 

 

As of December 31, 2024, the Company’s Former CEO entered into a Separation Agreement with the Company including continued consulting services (see Note 6 Prepaid Expenses and Accrued Expenses). Pursuant to the original terms of the stock option awards, the outstanding stock options continue to vest as long as services are provided to the Company under the Separation Agreement as a non-employee consultant. In accordance with ASC 718, there was a modification of the Former CEO’s options related to a reduction in the level of required service. The consulting services outlined in the Separation Agreement are not substantive. As a result, the Company determined the fair market value of all awards expected to vest over the duration of the Separation Agreement as of the modification date using the Black-Scholes option-pricing model. The total amount of $1.7 million was recognized immediately.

As of December 31, 2024, there was $8.0 million unrecognized stock-based compensation expense which is expected to be recognized over a weighted average period of 3.66 years. No stock options were exercised, expired or forfeited during the year ended December 31, 2023.

There were no realized tax benefits for the years ended December 31, 2024 and 2023.

 

F-29


Table of Contents

LB Pharmaceuticals Inc

Notes to Financial Statements

 

 

Restricted Stock

During the year ended December 31, 2023, the Company granted 412 shares of restricted stock to employees at a price of $41.83 per share and vest ratably over 36 months. No restricted stock was granted during the year ended December 31, 2024.

Restricted stock vests over the period of time for which services are expected to be rendered, which ranged from immediate vesting, up to 36 months, or vests on the six-month anniversary of the consummation of the Company’s first underwritten public offering (“IPO”) under the Securities Act of 1933, as amended.

A summary of the Company’s restricted stock activity is as follows:

 

     Shares
(in thousands)
     Weighted
Average
Grant Date 
Fair Value
 

Unvested Balance at December 31, 2022

     17      $ 12.83  

Granted

     0      $ 23.15  

Vested

     (10    $ 14.22  
  

 

 

    

Unvested Balance at December 31, 2023

     7      $ 11.43  

Granted

     —       $ —   

Vested

     (0    $ 23.15  
  

 

 

    

Unvested balance as of December 31, 2024

     7      $ 11.15  
  

 

 

    

During the year ended December 31, 2023, the Company agreed with its Chief Medical Officer to accelerate the vesting of less than 0.01 million shares of restricted stock. The Company recorded $0.1 million of stock-based compensation expense within research and development in the accompanying statement of operations for the year ended December 31, 2023.

As part of the Series C Offering, the Company modified certain restricted stock awards that were previously awarded to employees and non-employees to accelerate the vesting from six months after the consummation of an IPO to immediate vesting. An aggregate amount of 0.01 million restricted stock vested upon the closing of the Series C Offering in August 2023. The Company recorded $0.1 million and less than $0.01 million of stock-based compensation with general and administrative and research and development, respectively in the accompanying statement of operations for the year ended December 31, 2023.

The total fair value of restricted stock that vested during the years ended December 31, 2024 and 2023 was $0.2 million and less than $0.1 million, respectively.

Stock-based compensation related to restricted stock is recorded in the accompanying statements of operations as follows (in thousands):

 

     Year ended
December 31,
 
     2024      2023  

Research and development

   $ 2      $ 99  

General and administrative

     1        132  
  

 

 

    

 

 

 

Total stock-based compensation expense

   $ 3      $ 231  
  

 

 

    

 

 

 

 

F-30


Table of Contents

LB Pharmaceuticals Inc

Notes to Financial Statements

 

 

As of December 31, 2024, the Company had unrecognized compensation expense related to such shares of $0.2 million.

Warrants

In 2020, in connection with services provided for the issuance of the 2020 Notes, the Company issued to a placement agent, warrants to purchase the Company’s common stock at an exercise price of $0.28 per share. The number of shares underlying the warrants was based upon 10% of the value of the 2020 Notes divided by the conversion price of the 2020 Notes upon conversion in the next round of financing or $69.72 upon maturity. As the conversion price could be based on any class of shares, and the warrants are for common stock the Company determined that the warrants should be equity-classified as there was no obligation for the Company to raise an additional round of equity financing and no other criteria for liability classification under ASC 718, Stock Compensation, were met. The warrants expire ten years after issuance.

The aggregate grant date fair value of the placement agent warrants issued in conjunction with the 2020 Notes was $0.6 million. The stock-based compensation cost related to the warrants was treated as a debt issuance cost for the 2020 Notes (see Note 11 Notes).

In May 2022, in connection with the Series B Offering, the Company issued to the placement agent, warrants to purchase less than 0.01 million shares of the Company’s common stock that were immediately exercisable at an exercise price of $0.28 per share. The warrants expire ten years after issuance.

From October 2022 to January 2023, in connection with services provided for the issuance of the 2022 Notes, the Company issued to a placement agent, warrants to purchase the Company’s common stock at an exercise price of $0.28 per share. The number of shares underlying the warrants was based upon 10% of the value of the 2022 Notes divided by the conversion price of the 2022 Notes upon conversion in the next round of financing or $69.72 upon maturity. As the conversion price could be based on any class of shares, and the warrants are for common stock the Company determined that the warrants should be equity-classified as there was no obligation for the Company to raise an additional round of equity financing and no other criteria for liability classification under ASC 718, Stock Compensation, were met. The warrants expire ten years after issuance.

The aggregate grant date fair value of the placement agent warrants issued in conjunction with the 2022 Notes was $1.5 million. The stock-based compensation cost related to the warrants was treated as a debt issuance cost for the 2022 Notes (see Note 11 Notes).

In August 2023, the Company executed a final agreement with the placement agent replacing all prior agreements. As part of this agreement, the Company issued warrants to purchase 0.05 million of the Company’s common stock exercisable six months after the grant date at an exercise price of $0.28 per share. Also, the less than 0.01 million warrants issued as part of the Series B Stock Offering (as described above) were amended and reissued and are exercisable six months after the grant date at an exercise price of $0.28 per share. The warrants expire ten years after issuance.

As the fair value of the replacement warrants was less than the grant date fair value of the original warrants, no incremental compensation costs were recorded.

11. Notes

On August 29, 2023, the Company entered into the Series C Offering (as described in Note 6 Redeemable Convertible Preferred Stock and Equity). The principal of all 2022 Notes and 2020 Notes outstanding at the time

 

F-31


Table of Contents

LB Pharmaceuticals Inc

Notes to Financial Statements

 

 

of the closing, in the aggregate amount of $35.7 million, was converted into 23.8 million shares of Series C preferred stock at a price of $1.50 per share. The Company recorded a loss on extinguishment of debt in the amount of $7.4 million in the accompanying statements of operations. The Company elected to pay the accrued interest on the 2020 Notes and 2022 Notes in cash in the total amount of approximately $2.0 million.

2022 Convertible Notes

The Company entered into the 2022 Notes with several investors who loaned the Company a total of approximately $25.7 million as detailed below (in thousands):

 

Issue Date

   Principal            Original
Maturity
Date
 

October 21, 2022

   $ 6,925          10/21/2023  

November 10, 2022

     9,649          11/10/2023  

December 28, 2022

     8,431          11/30/2024  

January 26, 2023

     725          11/30/2024  
  

 

 

      

Total 2022 Notes

   $ 25,730       
  

 

 

      

The interest rate was 4% per annum. All payments of interest and principal were due and payable on the maturity date, unless converted earlier. The principal due under the 2022 Notes would automatically convert into the class of the stock issued in the Company’s next qualified financing of at least $20.0 million at a conversion price equal to 80% of the per-share price of such securities issued. If the per-share price of the next qualified financing was below $2.35, the outstanding principal of the 2022 Notes would have converted at the per-share price paid for such securities issued. The accrued interest would either be converted into the stock issued in the qualified financing or paid to the 2022 Note investors in cash at the Company’s discretion.

In the event the Company consummated a sale of the Company prior to the conversion or repayment in full of the 2022 Notes, at the closing of such sale of the Company, in lieu of the principal and interest that would otherwise be payable on the maturity date, the Company would allow each holder of the 2022 Notes to convert the principal and interest into common stock at a price per share of $2.50 up until the fifth day prior to the sale of the Company. In the event a holder made no such election within the five-day deadline, the Company would pay such holder of the unconverted 2022 Notes an aggregate amount equal to 1.5 times the aggregate amount of principal and interest then outstanding.

At inception, the Company concluded that the 2022 Notes contained a conversion option at a significant discount that was deemed to be an embedded derivative, which was required to be bifurcated and accounted for separately from the debt host. The derivative was bifurcated from the host contract and a liability and corresponding discount was recorded on the date of issuances in the total amount of $0.3 million and $7.1 million for the years ended December 31, 2023 and 2022, respectively. The liability is remeasured at fair value at the end of each reporting period, with any changes recorded in the accompanying statements of operations. For the year ended December 31, 2023, debt issuance costs associated with the 2022 Notes totaled $0.1 million.

On December 16, 2022, the Company amended and restated the 2022 Notes to extend the maturity date to November 30, 2024 for all noteholders. In accordance with ASC 470-50, Debt Modification and Extinguishments, the Company considered this extension of maturity date as a modification. The Company amortizes the remaining debt issuance costs and conversion feature over the remaining life of the modified debt.

 

F-32


Table of Contents

LB Pharmaceuticals Inc

Notes to Financial Statements

 

 

The Company recognized the following changes in the debt related to the 2022 Notes during the year ended December 31, 2023 (in thousands):

 

     2022
Notes
     Debt
Discount
     2022
Notes, Net
 

Balance December 31, 2022

   $ 25,005      $ (10,309    $ 14,696  

Issuance of 2022 Notes

     725        —         725  

Conversion features for 2022 Notes

     —         (327      (327

Issuance costs

     —         (133      (133

Amortization

     —         3,694        3,694  

Conversion to Series C preferred stock

     (25,730      7,075        (18,655
  

 

 

    

 

 

    

 

 

 

Balance December 31, 2023

   $ —       $ —       $ —   
  

 

 

    

 

 

    

 

 

 

2020 Convertible Notes

In 2020, the Company entered into the 2020 Notes with several investors who loaned the Company a total of $10.0 million. The original maturity date for each 2020 Note was three years after issuance. The interest rate was 4% per annum. All payments of interest and principal were due and payable on the maturity date (August and September 2023), unless converted earlier. The principal due under the 2020 Notes would automatically convert into the class of the Company’s stock issued in the Company’s next qualified financing of at least $10.0 million at a conversion price equal to 80% of the per-share of such securities issued. If the per-share price of the next qualified financing was below $2.35, the outstanding principal of the 2020 Notes would have converted at the per-share price paid for such securities issued. The accrued interest would either be converted into the stock issued in the qualified financing or paid to the 2020 Note investors in cash at the Company’s discretion.

In the event the Company consummated a sale of the Company prior to the conversion or repayment in full of the 2020 Notes, at the closing of such sale of the Company, in lieu of the principal and interest that would have otherwise been payable on the maturity date, the Company would have allowed each holder of the 2020 Notes to convert the principal and interest into common stock at a price per share of $2.50 up until the fifth day prior to the sale of the Company. In the event a holder made no such election within the five-day deadline, the Company would have paid such holder of the unconverted 2020 Notes an aggregate amount equal to 1.5 times the aggregate amount of principal and interest then outstanding.

At inception, the Company concluded that the 2020 Notes contained a conversion option at a significant discount that was deemed to be an embedded derivative, which was required to be bifurcated and accounted for separately from the debt host. The derivative was bifurcated from the host contract and a liability and corresponding discount was recorded on the date of issuances in the total amount of $0.7 million. The liability is remeasured at fair value at the end of each reporting period, with any changes recorded in the accompanying statements of operations. Debt issuance costs associated with the 2020 Notes totaled $1.9 million.

On December 16, 2022, the Company amended and restated the 2020 Notes to cause the maturity date and the conversion terms of such notes to those terms contained in the 2022 Notes (as amended and restated). The maturity date of the 2020 Notes was extended to November 30, 2024. In accordance with ASC 470-50, Debt Modification and Extinguishments, the Company considered this extension of maturity date as a modification. The Company amortized the remaining debt issuance costs and conversion feature over the remaining life of the modified debt.

 

F-33


Table of Contents

LB Pharmaceuticals Inc

Notes to Financial Statements

 

 

The Company recognized the following changes in the debt related to the 2020 Notes during the year ended December 31, 2023 (in thousands):

 

     2020
Notes
     Debt
Discount
     2020
Notes,
Net
 

Balance December 31, 2022

   $ 10,000      $ (548    $ 9,452  

Amortization

     —         189        189  

Conversion to Series C preferred stock

     (10,000      359        (9,641
  

 

 

    

 

 

    

 

 

 

Balance December 31, 2023

   $ —       $ —       $ —   
  

 

 

    

 

 

    

 

 

 

12. Income Taxes

The provision from income taxes for the years ended December 31, 2024 and 2023 is as follows (in thousands):

 

     Year ended
December 31,
 
Current:    2024      2023  

Federal

   $ —       $ —   

State

     1        1  
  

 

 

    

 

 

 

Total current tax expense

     1        1  
  

 

 

    

 

 

 

Deferred:

     

Federal

     —         —   

State

     —         —   
  

 

 

    

 

 

 

Total deferred tax expense

     —         —   
  

 

 

    

 

 

 

Income tax provision

   $ 1      $ 1  
  

 

 

    

 

 

 

A reconciliation of the effective tax rates of the Company and the U.S. federal statutory tax rate is as follows:

 

     Year ended
December 31,
 
     2024     2023  

Statutory tax rate

     21.0     21.0

Changes in income taxes resulting from:

    

State taxes (net of federal tax benefits)

     (5.1 )%      12.1

Increase in valuation allowance

     (17.9 )%      (65.4 )% 

Non-deductible interest and other expenses

     (1.1 )%      (18.3 )% 

Return to provision adjustments

     (0.2 )%      — 

Loss on extinguishment of debt

     —      (39.2

Derivative fair value measurement

     —      85.8 %

Tax credits

     3.3     4.0  
  

 

 

   

 

 

 

Effective income tax rate

     0.0     0.0
  

 

 

   

 

 

 

 

F-34


Table of Contents

LB Pharmaceuticals Inc

Notes to Financial Statements

 

 

The unrecognized temporary differences of the Company that give rise to significant portions of the Company’s deferred tax assets and liabilities as of December 31, 2024 and 2023, are as follows (in thousands):

 

Deferred tax assets:    December 31,
2024
     December 31,
2023
 

Net operating losses

   $ 8,121      $ 8,109  

Capitalized research and development

     11,454        2,603  

Accruals

     436        404  

Stock-based compensation

     413        236  

Tax credits

     2,696        828  

Leases

     815        —   

Other

     —         21  
  

 

 

    

 

 

 

Gross deferred tax assets

     23,935        12,201  

Valuation allowance

     (23,390      (12,104
  

 

 

    

 

 

 

Total deferred tax assets

     545        97  

Deferred tax liabilities:

     

Depreciable asset basis differences

     (15      (6

Unrealized gain - other comprehensive income

     (24      (91
Operating lease right-of-use assets      (506      —   
  

 

 

    

 

 

 

Total deferred tax liabilities

     (545      (97
  

 

 

    

 

 

 

Net deferred tax assets

   $ —       $ —   
  

 

 

    

 

 

 

The Company’s accounting for deferred taxes involves the evaluation of a number of factors concerning the realizability of its net deferred tax assets. The Company primarily considered such factors as its history of operating losses, the nature of the Company’s deferred tax assets, and the timing, likelihood and amount, if any, of future taxable income during the periods in which those temporary differences and carryforwards become deductible. As of December 31, 2024 and 2023, the Company does not believe that it is more likely than not that the deferred tax assets will be realized; accordingly, a full valuation allowance has been established and no deferred tax asset is shown in the Company’s balance sheets. During the years ended December 31, 2024 and 2023, the valuation allowance increased by $11.3 million and $4.0 million, respectively, which primarily relates to the current year operating loss and capitalized research and development expenses.

The Company believes that income tax filing positions will be sustained upon examination and does not anticipate any adjustments that would result in a material adverse effect on the Company’s financial position, results of operations or cash flows. Accordingly, the Company has not recorded any reserves, or related accruals or uncertain income tax positions as of December 31, 2024 and 2023.

The Company recognizes interest accrued related to unrecognized tax benefits and penalties in income tax expense. The Company has no accruals for interest and penalties as of December 31, 2024 and 2023.

The Internal Revenue Code of 1986 contains certain provisions that can limit a taxpayer’s ability to utilize net operating loss (“NOL”) and tax credit carryforwards in any given year resulting from cumulative changes in ownership interests in excess of 50 percent over a three-year period (“ownership change”). In the event of such a deemed ownership change, Internal Revenue Code Section 382 (“Section 382”) imposes an annual limitation on pre-ownership change tax attributes. As of December 31, 2024, the Company has not performed a formal Section 382 study, however the Company has reviewed its temporary deductible differences in conjunction with its temporary taxable differences as a measure against its definite lived net operating losses and anticipates any impact would be immaterial.

 

F-35


Table of Contents

LB Pharmaceuticals Inc

Notes to Financial Statements

 

 

As of December 31, 2024, the Company has federal NOL carryforwards of approximately $37.2 million, of which $1.5 million is subject to the 20-year carryforward period and begins to expire in 2036. The remaining federal NOL carryforward of $35.7 million has an indefinite carryforward period.

The Company has available state NOL carryforwards of approximately $41.9 million and $49.1 million as of December 31, 2024 and 2023, respectively. The state NOLs are expected to begin to expire in 2036, although not all states conform to the federal NOL carryforward period and occasionally limit the use of NOLs for a period of time.

As of December 31, 2024 and 2023, the Company had federal research and development credits of approximately $2.7 million and $0.8 million, respectively. The research and development credits, if not utilized, will begin to expire in 2036.

The Company is subject to taxation and files income tax returns in the U.S. Federal and state jurisdictions. The statute of limitations for assessment by the Internal Revenue Service and state tax authorities remains open from the tax years December 31, 2021 through December 31, 2024. There are currently no federal or state income tax audits in progress. The tax authorities generally have the ability to review income tax returns for periods where the statute of limitations has previously expired and can subsequently adjust the NOL carryforward or tax credit amounts.

13. Commitments and Contingencies

The Company has contracted with various consultants and third parties to assist in pre-clinical research and development and clinical trials work for the Company’s leading drug compounds. The contracts are terminable at any time but obligate the Company to reimburse the providers for any time or costs incurred through the date of termination.

Funding Commitments

In September 2023, the Company entered into a work order with a third-party CRO to provide services with respect to the Company’s Phase 2 trial of LB-102. Minimum advances will be kept by the CRO throughout the duration of the clinical trial. As of December 31, 2024 and 2023, the Company recorded approximately $0.4 million and $2.2 million, respectively, in advances to the CRO, recorded in prepaid expenses in the accompanying balance sheets.

The Company enters into contracts in the normal course of business with contract development and manufacturing organizations (“CDMOs”) and other third parties for preclinical research studies and testing and manufacturing services, which are generally cancelable upon prior written notice. Payments due upon cancellation may consist of payments for services provided or expenses incurred, including noncancelable obligations of our service providers, up to the date of cancellation, and may also include termination penalties. As of December 31, 2024 and 2023, the Company had no outstanding liabilities related to such items.

Contingencies

In the normal course of business, the Company is subject to loss contingencies, such as legal proceedings and claims arising out of its business. The Company records accruals for such loss contingencies when it is probable that a liability will be incurred, and the amount of loss can be reasonably estimated. The Company, in accordance with this guidance, does not recognize gain contingencies until realized. The Company is not a party to any litigation and does not have contingency reserves established for any litigation liabilities as of December 31, 2024.

 

F-36


Table of Contents

LB Pharmaceuticals Inc

Notes to Financial Statements

 

 

14. Related-Party Transactions

In 2020, the Company entered into an oral agreement with Rivopharm S.A. (“Rivopharm”), to develop an oral dose formulation of LB-102 for use in future human clinical trials. Piero Poli, a former board member of the Company, is the Principal of Rivopharm. The agreement calls for a subsidiary of Rivopharm, Developharma S.A. (“Developharma”), to complete this work for a cost to be paid in common stock of the Company totaling 15,367 shares.

Developharma initiated the development work in 2021 and was approximately 50% complete as of December 31, 2022. The Company recorded research and development expense of $0.2 million for 50% of the fair value of the stock to be paid. In 2023, Developharma completed the project. As a result of the completion, the Company issued 15,367 shares of common stock to Rivopharm and recorded additional research and development expense of $0.2 million.

In August 2023, contemporaneously with the closing of the Series C Offering, the Company entered into several amended and restated royalty participation agreements (the “Amended and Restated Royalty Agreements”) with certain of its investors, co-founders, former directors, and executive officers, none of whom are Series C New Investors. No consideration was received as part of the Amended and Restated Royalty Agreements. Pursuant to the Amended and Restated Royalty Agreements, the Company is obligated to pay royalties to all of the holders in an aggregate amount up to 2.75% on net sales arising from LB-102 worldwide through December 31, 2035. Thereafter, the Company is obligated to pay royalties to such holders in an aggregate amount up to 3.25% in perpetuity. Future sales are defined in these agreements as the gross payments received on total commercial sales of LB-102, whether by the Company or by any licensee of LB-102. As of December 31, 2024, certain officers of the Company and their affiliates held 1.27% of the future royalties.

Prior to the closing of the Series C Offering, three of the Company’s Board of Directors were replaced and the Company agreed to pay them a total of $0.2 million as part of their departure.

15. Subsequent Events

The Company evaluated subsequent events through September 8, 2025, the date these financial statements were available to be issued, and has not identified any events requiring disclosure except for the following:

In September, 2025, the Company effected a 1-for-27.8874 reverse stock split (the “Stock Split”) of the Company’s issued and outstanding shares of common stock and warrants and options to purchase common stock. The Stock Split reduced the number of shares of the Company’s issued and outstanding common stock, as well as the numbers of shares reserved and available for future issuance and underlying outstanding options to purchase common stock. No fractional shares were distributed as a result of the reverse stock split, and stockholders were entitled to a cash payment in lieu of fractional shares. The Stock Split did not affect the par values per share or total authorized common stock. Accordingly, all shares of common stock and per share amounts for all periods presented in the financial statements have been adjusted retroactively, where applicable, to reflect the Stock Split.

 

F-37


Table of Contents

LB Pharmaceuticals Inc

Condensed Balance Sheets

(In thousands, except share and per share data)

(Unaudited)

 

 

    As of  
    June 30,
2025
    December 31,
2024
 

Assets

   

Current assets

   

Cash and cash equivalents

  $ 14,225     $ 22,978  

Marketable securities

    —        5,021  

Prepaid expenses and other current assets

    556       880  
 

 

 

   

 

 

 

Total current assets

    14,781       28,879  

Operating lease right-of-use assets, net

    2,243       2,298  

Property and equipment, net

    1,716       1,859  

Restricted cash

    508       498  
 

 

 

   

 

 

 

Total assets

  $ 19,248     $ 33,534  
 

 

 

   

 

 

 

Liabilities, redeemable convertible preferred stock and stockholders’ deficit

   

Current liabilities

   

Accounts payable

  $ 635     $ 2,320  

Accrued expenses

    2,541       5,302  

Operating lease liability, current

    730       487  
 

 

 

   

 

 

 

Total current liabilities

    3,906       8,109  

Derivative liability—warrants

    1,925       2,504  

Operating lease liability, noncurrent

    3,031       3,216  
 

 

 

   

 

 

 

Total liabilities

    8,862       13,829  
 

 

 

   

 

 

 

Commitments and contingencies (Note 12)

   

Redeemable convertible preferred stock

   

Series Seed preferred stock, $0.0001 par value, 295,467 shares authorized, 295,467 shares issued and outstanding as of June 30, 2025 and December 31, 2024. Liquidation preference of $443 as of June 30, 2025 and December 31, 2024.

    435       435  

Series A preferred stock, $0.0001 par value, 3,655,374 shares authorized, 3,655,374 outstanding as of June 30, 2025 and December 31, 2024. Liquidation preference of $8,407 as of June 30, 2025 and December 31, 2024.

    6,179       6,179  

Series B preferred stock, $0.0001 par value, 301,119 shares authorized, 301,119 shares issued and outstanding as of June 30, 2025 and December 31, 2024. Liquidation preference of $903 as of June 30, 2025 and December 31, 2024.

    580       580  

Series C preferred stock, $0.0001 par value, 75,000,000 shares authorized, 73,820,346 shares issued and outstanding as of June 30, 2025 and December 31, 2024. Liquidation preference of $110,731 as of June 30, 2025 and December 31, 2024.

    107,065       107,065  

Stockholders’ deficit

   

Common stock, $0.0001 par value, 105,000,000 shares authorized, 251,655 and 251,655 shares issued and outstanding as of June 30, 2025 and December 31, 2024, respectively

    1       1  

Additional paid-in capital

    10,626       9,657  

Accumulated deficit

    (114,500     (104,323

Accumulated other comprehensive income

    —        111  
 

 

 

   

 

 

 

Total stockholders’ deficit

    (103,873     (94,554
 

 

 

   

 

 

 

Total liabilities, redeemable convertible preferred stock and stockholders’ deficit

  $ 19,248     $ 33,534  
 

 

 

   

 

 

 

See accompanying notes to the unaudited condensed financial statements.

 

F-38


Table of Contents

LB Pharmaceuticals Inc

Condensed Statements of Operations

(in thousands, except share and per share data)

(Unaudited)

 

 

     Six Months Ended
June 30,
 
     2025     2024  

Operating expenses

    

Research and development

   $ 5,842     $ 40,131  

General and administrative

     5,446       3,077  
  

 

 

   

 

 

 

Total operating loss

     (11,288     (43,208

Non-operating income (expense)

    

Interest income

     413       1,039  

Realized gain on sale of marketable securities, net

     119       90  

Gain (loss) on change in fair value of derivative instruments

     579       (1,771
  

 

 

   

 

 

 

Total non-operating income (loss)

     1,111       (642
  

 

 

   

 

 

 

Loss before income tax

     (10,177     (43,850

Income tax provision

     —        —   
  

 

 

   

 

 

 

Net loss

   $ (10,177   $ (43,850
  

 

 

   

 

 

 

Net loss per share, basic and diluted

   $ (28.31   $ (122.67

Weighted average shares outstanding used in calculating net loss per share, basic and diluted

     359,438       357,475  

See accompanying notes to the unaudited condensed financial statements.

 

F-39


Table of Contents

LB Pharmaceuticals Inc

Condensed Statements of Comprehensive Loss

(in thousands)

(Unaudited)

 

 

     Six Months Ended June 30,  
       2025         2024    

Net loss

   $ (10,177   $ (43,850

Unrealized (loss) gain on marketable securities, net

     (111     465  
  

 

 

   

 

 

 

Comprehensive loss

   $ (10,288   $ (43,385
  

 

 

   

 

 

 

See accompanying notes to the unaudited condensed financial statements.

 

F-40


Table of Contents

LB Pharmaceuticals Inc

Condensed Statements of Redeemable Convertible Preferred Stock and Stockholders’ Deficit

(in thousands, except share data)

(Unaudited)

 

 

    Redeemable Convertible Preferred Stock                                      
    Series Seed     Series A     Series B     Series C     Common Stock                          
    Shares     Amount     Shares     Amount     Shares     Amount     Shares     Amount     Shares     Amount     Additional
Paid-in
Capital
    Accumulated
Deficit
    Accumulated
Other
Comprehensive
Income
    Total
Stockholders’
Deficit
 

Balance, December 31, 2023

    295,467     $ 435       3,655,374     $ 6,179       301,119     $ 580       47,153,680     $ 68,773       249,476     $ 1     $ 6,473     $ (41,221   $ 274     $ (34,473

Share-based compensation expense

    —        —        —        —        —        —        —        —        —        —        341       —        —        341  

Issuance of redeemable convertible Series C preferred stock, net of issuance costs

    —        —        —        —        —        —        26,666,666       38,292       —        —        —        —        —        —   

Unrealized gain on marketable securities

    —        —        —        —        —        —        —        —        —        —        —        —        465       465  

Shares issued upon exercise of warrants

    —        —        —        —        —        —        —        —        253       —        3       —        —      $ 3  

Issuance of common stock for services

    —        —        —        —        —        —        —        —        1,433       —        71       —        —      $ 71  

Net loss

    —        —        —        —        —        —        —        —        —        —        —      $ (43,850     —      $ (43,850
 

 

 

   

 

 

   

 

 

   

 

 

   

 

 

   

 

 

   

 

 

   

 

 

   

 

 

   

 

 

   

 

 

   

 

 

   

 

 

   

 

 

 

Balance, June 30, 2024

    295,467     $ 435       3,655,374     $ 6,179       301,119     $ 580       73,820,346     $ 107,065       251,162     $ 1     $ 6,888     $ (85,071   $ 739     $ (77,443
 

 

 

   

 

 

   

 

 

   

 

 

   

 

 

   

 

 

   

 

 

   

 

 

   

 

 

   

 

 

   

 

 

   

 

 

   

 

 

   

 

 

 

Balance, December 31, 2024

    295,467     $ 435       3,655,374     $ 6,179       301,119     $ 580       73,820,346     $ 107,065       251,655     $ 1     $ 9,657     $ (104,323   $ 111     $ (94,554

Share-based compensation expense

    —        —        —        —        —        —        —        —        —        —        969       —        —        969  

Unrealized loss on marketable securities

    —        —        —        —        —        —        —        —        —        —        —        —        (111     (111

Net loss

    —        —        —        —        —        —        —        —        —        —        —        (10,177     —        (10,177
 

 

 

   

 

 

   

 

 

   

 

 

   

 

 

   

 

 

   

 

 

   

 

 

   

 

 

   

 

 

   

 

 

   

 

 

   

 

 

   

 

 

 

Balance, June 30, 2025

    295,467     $ 435       3,655,374     $ 6,179       301,119     $ 580       73,820,346     $ 107,065       251,655     $ 1     $ 10,626     $ (114,500   $ —      $ (103,873
 

 

 

   

 

 

   

 

 

   

 

 

   

 

 

   

 

 

   

 

 

   

 

 

   

 

 

   

 

 

   

 

 

   

 

 

   

 

 

   

 

 

 

See accompanying notes to the unaudited condensed financial statements.

 

F-41


Table of Contents

LB Pharmaceuticals Inc

Statements of Cash Flows

(in thousands)

(Unaudited)

 

 

     Six Months Ended June 30,  
       2025         2024    

Operating Activities

    

Net loss

   $ (10,177   $ (43,850

Adjustments to reconcile net loss to net cash used in operating activities:

    

Stock-based compensation expense

     969       341  

Shares issued for services rendered

     —        71  

Depreciation

     155       6  

Noncash lease expense

     55       44  

Realized gain on sale of marketable securities, net

     (119     (90

(Accretion) amortization of (discounts) premium on investments, net

     (12     194  

(Gain) loss on change in fair value of derivative instruments

     (579     1,771  

Changes in operating assets and liabilities:

    

Prepaid expenses and other current assets

     324       (1,865

Operating lease liability

     58       (61

Accrued interest on marketable securities

     40       (133

Accounts payable and accrued expenses

     (4,446     18,222  
  

 

 

   

 

 

 

Net cash used in operating activities

     (13,732     (25,350
  

 

 

   

 

 

 

Investing Activities

    

Purchases of property and equipment

     (12     (88

Purchase of marketable securities

     —        (29,746

Proceeds from the sale of marketable securities

     2,501       —   

Maturities of marketable securities

     2,500       10,656  
  

 

 

   

 

 

 

Net cash provided by (used in) investing activities

     4,989       (19,178
  

 

 

   

 

 

 

Financing Activities

    

Proceeds from issuance of redeemable convertible Series C preferred stock

     —        40,000  

Payment of issuance costs

     —        (1,708

Proceeds from exercise of warrants and options

     —        3  
  

 

 

   

 

 

 

Net cash provided by financing activities

     —        38,295  
  

 

 

   

 

 

 

Net decrease in cash, cash equivalents and restricted cash

     (8,743     (6,233

Cash, cash equivalents and restricted cash, beginning of period

     23,476       14,979  
  

 

 

   

 

 

 

Cash, cash equivalents and restricted cash, end of period

   $ 14,733     $ 8,746  
  

 

 

   

 

 

 

Supplemental Disclosures of Noncash Investing and Financing Information

    

Right-of-use assets obtained in exchange for operating lease liabilities

   $ —      $ 2,405  

Leasehold improvements paid by lessor

   $ —      $ 1,158  

See accompanying notes to the unaudited condensed financial statements.

 

F-42


Table of Contents

LB Pharmaceuticals Inc

Notes to Condensed Financial Statements

(Unaudited)

 

1. Business Overview

LB Pharmaceuticals Inc (the “Company” or “LB”) was incorporated under the laws of the State of Delaware in September 2015 and is headquartered in New York, New York.

The Company is a clinical-stage biopharmaceutical company developing therapies for the treatment of schizophrenia, bipolar depression, and other neuropsychiatric diseases. The Company is building a pipeline that leverages the broad therapeutic potential of its lead product candidate, LB-102, which the Company believes has the potential to be the first benzamide antipsychotic drug approved for neuropsychiatric disorders in the United States. LB-102 is a Phase 3-ready oral, small molecule for the treatment of acute schizophrenia (defined as a sudden and severe episode of psychotic symptoms, characterized by hallucinations, delusions, and other positive symptoms).

Since the Company’s inception, it has focused substantially all of its efforts and financial resources on organizing and staffing the Company, raising capital, building its intellectual property portfolio, undertaking preclinical studies and clinical trials and providing general and administrative support for these activities. The Company has not generated any product revenue related to its primary business purpose to date and is subject to a number of risks similar to those of other early stage companies, including dependence on key individuals, regulatory approval of product candidates, uncertainty of market acceptance of products, if approved, competition from substitute products and larger companies, compliance with government regulations, protection of proprietary technology, dependence on third parties, product liability and the need to obtain adequate additional financing to fund the development of its product candidates.

Going Concern

The Company’s condensed financial statements have been prepared on a going concern basis, which contemplates the realization of assets and the settlement of liabilities and commitments in the normal course of business. The Company has not generated revenues and relies on the issuance of debt and equity instruments to generate working capital. The Company experienced negative operating cash flows of $13.7 million and net loss of $10.2 million for the six months ended June 30, 2025, and had an accumulated deficit of $114.5 million as of June 30, 2025. The Company expects to incur substantial expenses for the foreseeable future relating to research and development of LB-102 and to continue to generate operating losses. These factors raise substantial doubt about the Company’s ability to continue as a going concern within one year of the date that the financial statements are issued. The financial statements do not include any adjustments that might be necessary if the Company is unable to continue as a going concern.

The future viability of the Company is dependent on its ability to raise additional capital to fund its operations. If the Company is unable to obtain funding, the Company could be forced to delay, reduce or eliminate some or all of its research and development programs, which could adversely affect its business prospects, or the Company may be unable to continue operations. Although management continues to pursue these plans, there is no assurance that the Company will be successful in obtaining sufficient funding on terms acceptable to the Company to fund continuing operations, if at all.

2. Summary of Significant Accounting Policies

Basis of Presentation

The accompanying unaudited condensed financial statements have been prepared in accordance with accounting principles generally accepted in the United States of America (“GAAP”).

 

F-43


Table of Contents

LB Pharmaceuticals Inc

Notes to Condensed Financial Statements

(Unaudited)

 

 

The accompanying balance sheet as of June 30, 2025 and the statements of operations, comprehensive loss, redeemable convertible preferred stock and stockholders’ deficit and cash flows for the six months ended June 30, 2025 and 2024 are unaudited. The unaudited interim financial statements have been prepared on the same basis as the audited annual financial statements and, in the opinion of management, reflect all adjustments, which include only normal recurring adjustments, necessary for the fair statement of the Company’s financial position as of June 30, 2025 and the results of its operations and cash flows for the six months ended June 30, 2025 and 2024. Certain information and footnote disclosures typically included in annual financial statements prepared in accordance with GAAP have been condensed or omitted. Accordingly, these unaudited interim financial statements should be read in conjunction with the Company’s financial statements as of and for the year ended December 31, 2024. The results for the six months ended June 30, 2025 are not necessarily indicative of results to be expected for the year ending December 31, 2025, any other interim periods, or any future year or period.

The significant accounting policies and estimates used in preparation of the financial statements are described in the Company’s audited financial statements as of and for the year ended December 31, 2024, and the notes thereto. During the six months ended June 30, 2025, there were no material changes to the Company’s significant accounting policies.

Segment Information

The Company operates as a single reportable segment in the development of novel therapies for the treatment of neuropsychiatric diseases, including schizophrenia. The Company has not generated revenues since inception. The Company’s chief operating decision maker (“CODM”) is its Chief Executive Officer (“CEO”). The CODM reviews the Company’s performance on an aggregate basis, thus the segment’s loss is the Company’s net loss, as reported on accompanying condensed statements of operations, and the segment’s assets are the Company’s total assets, as reported on the accompanying condensed balance sheets. Significant expenses provided to the CODM include research and development and general and administrative expenses, as reported on the accompanying condensed statements of operations.

The CODM uses the information primarily to evaluate the Company’s performance and allocate resources. This includes reviewing key financial metrics such as budget versus actual expenditures and assessing overall cash flow and liquidity to ensure the continuity of operations. This approach allows the CODM to monitor the Company’s performance and make strategic adjustments as needed to support its operational and financial goals.

The Company’s operations and all long-lived assets are located in the United States.

Recently Issued Accounting Pronouncements Not Yet Adopted

In December 2023, the FASB issued ASU 2023-09 Income Taxes (Topic 740): Improvements to Income Tax Disclosures that requires public entities to annually disclose specific categories in the rate reconciliation and provide additional information for reconciling items that meet a quantitative threshold. The guidance is effective for fiscal years beginning after December 15, 2024 and early adoption is permitted. The Company is evaluating the guidance to determine if adoption will have a material impact on the financial statement disclosures.

In November 2024, the FASB issued ASU 2024-03 Income Statement—Reporting Comprehensive Income—Expense Disaggregation Disclosures (Subtopic 220-40): Disaggregation of Income Statement Expenses, that requires public companies to provide more detailed disclosures to provide greater transparency about the components of specific expense categories. The guidance is effective for years beginning after

 

F-44


Table of Contents

LB Pharmaceuticals Inc

Notes to Condensed Financial Statements

(Unaudited)

 

 

December 15, 2026, and interim periods within annual periods beginning after December 15, 2027. Early adoption is permitted. The Company is evaluating the guidance to determine if adoption will have a material impact on the financial statement disclosures.

3. Fair Value Measurements

The following table presents the Company’s assets and liabilities that are measured at fair value on a recurring basis classified under the appropriate level of the fair value hierarchy (in thousands):

 

     As of June 30, 2025  
     Fair Value Measurement Using  
     Level 1      Level 2      Level 3      Total  

Assets

           

Cash Equivalents

           

Money market funds

   $ 13,569      $ —       $ —       $ 13,569  
  

 

 

    

 

 

    

 

 

    

 

 

 

Total cash equivalents

     13,569        —         —         13,569  

Restricted Cash

           

Certificate of deposit

     —         508        —         508  
  

 

 

    

 

 

    

 

 

    

 

 

 

Total restricted cash

     —         508        —         508  
  

 

 

    

 

 

    

 

 

    

 

 

 

Total assets

   $ 13,569      $ 508      $ —       $ 14,077  
  

 

 

    

 

 

    

 

 

    

 

 

 

Liabilities

           

Derivative liability - warrants

     —         —         1,925        1,925  
  

 

 

    

 

 

    

 

 

    

 

 

 

Total liabilities

   $ —       $ —       $ 1,925      $ 1,925  
  

 

 

    

 

 

    

 

 

    

 

 

 

 

     As of December 31, 2024  
     Fair Value Measurement Using  
     Level 1      Level 2      Level 3      Total  

Assets

           

Cash Equivalents

           

Money market funds

   $ 19,926      $ —       $ —       $ 19,926  
  

 

 

    

 

 

    

 

 

    

 

 

 

Total cash equivalents

     19,926        —         —         19,926  

Marketable Securities

           

Government securities

     —         5,021        —         5,021  
  

 

 

    

 

 

    

 

 

    

 

 

 

Total marketable securities

     —         5,021        —         5,021  

Restricted Cash

           

Certificate of deposit

     —         498        —         498  
  

 

 

    

 

 

    

 

 

    

 

 

 

Total restricted cash

     —         498        —         498  
  

 

 

    

 

 

    

 

 

    

 

 

 

Total assets

   $ 19,926      $ 5,519      $ —       $ 25,445  
  

 

 

    

 

 

    

 

 

    

 

 

 

Liabilities

           

Derivative liability - warrants

     —         —         2,504        2,504  
  

 

 

    

 

 

    

 

 

    

 

 

 

Total liabilities

   $ —       $ —       $ 2,504      $ 2,504  
  

 

 

    

 

 

    

 

 

    

 

 

 

 

F-45


Table of Contents

LB Pharmaceuticals Inc

Notes to Condensed Financial Statements

(Unaudited)

 

 

Marketable Securities

The Company accounts for marketable securities held as “available-for-sale” in accordance with ASC 320, Investments-Debt Securities. The Company classifies these investments as current assets and carries them at fair value.

The fair value of the Company’s marketable securities classified within Level 2 is based upon observable inputs that may include benchmark yields, reported trades, broker/dealer quotes, issuer spreads, two-sided markets, benchmark securities, bids, offers, and reference data including market research publications.

Certificate of Deposit

The Company’s certificates of deposit are Level 2 instruments. The fair value of such instruments is estimated based on valuations obtained from third-party pricing services that utilize industry standard valuation models, including both income-based and market-based approaches, for which all significant inputs are observable either directly or indirectly. These inputs include interest rate curves, foreign exchange rates, and credit ratings.

Warrants

The Company previously issued warrants to investors in connection with equity financings. The warrants are required to be measured at fair value and reported as a liability in the accompanying unaudited condensed balance sheets. The warrants are valued at each reporting date using the Black-Scholes model with any changes in fair value recorded in the accompanying unaudited condensed statements of operations. The valuation of the warrants is considered under Level 3 of the fair value hierarchy due to the need to use assumptions in the valuation that are both significant to the fair value measurement and unobservable. See Note 8 Redeemable Convertible Preferred Stock and Equity for additional information.

For the six months ended June 30, 2025 and 2024, the change in the fair value of the Level 3 warrant liability resulted in the recording of a gain (loss) on change in fair value of derivative instruments of $0.6 million and $(1.8) million, respectively, in the accompanying unaudited condensed statements of operations.

The following are the assumptions used in the Black-Scholes valuation model in order to determine the fair value of the derivative liabilities for the warrant liabilities as of June 30, 2025 and December 31, 2024:

 

     June 30, 2025      December 31, 2024  

Term – financing event (in years)

     —         —   

Term – exit event (in years)

     0.25 - 2.25        0.58 - 2.00  

Volatility

     50.0% - 68.0%        49.0% - 70.0%  

Exercise price

   $ 0.01 - $1.50      $ 0.01 - $1.50  

Risk-free rate

     3.71% - 4.41%        4.23% - 4.25%  

Changes in one or more significant unobservable inputs used in the valuation may result in a significantly higher or lower fair value measurement at the reporting dates. The change in the derivative liabilities for the six months ended June 30, 2025 was (in thousands):

 

     Warrants  

Balance, December 31, 2024

   $ 2,504  

Gain due to change in fair value

     (579
  

 

 

 

Balance, June 30, 2025

   $ 1,925  
  

 

 

 

 

F-46


Table of Contents

LB Pharmaceuticals Inc

Notes to Condensed Financial Statements

(Unaudited)

 

 

During the six months ended June 30, 2025 and 2024, there were no transfers of instruments between Level 1, 2 and 3 in the fair value hierarchy.

There are uncertainties on the fair value measurement of the instruments classified under Level 3 due to the use of unobservable inputs and interrelationships between these unobservable inputs, which could result in higher or lower fair value measurements.

4. Cash Equivalents, Marketable Securities and Restricted Cash

The Company invests in certain U.S. government money market funds and treasury bills classified as cash equivalents and invests in certificates of deposit that are classified as restricted cash. The marketable securities consist of government securities as follows (in thousands):

 

     As of June 30, 2025  
     Amortized
Cost
     Unrealized
Gains
     Unrealized
Losses
     Aggregate
Fair Value
 

Cash Equivalents

           

Money market funds

   $ 13,569      $ —       $ —       $ 13,569  

Restricted Cash

           

Certificate of deposit

     508        —         —         508  
  

 

 

    

 

 

    

 

 

    

 

 

 

Total cash equivalents and restricted cash

   $ 14,077      $ —       $ —       $ 14,077  
  

 

 

    

 

 

    

 

 

    

 

 

 

 

     As of December 31, 2024  
     Amortized
Cost
     Unrealized
Gains
     Unrealized
Losses
     Aggregate
Fair Value
 

Cash Equivalents

           

Money market funds

   $ 19,926      $ —       $ —       $ 19,926  

Marketable Securities

           

Government securities

     4,910        111        —         5,021  

Restricted Cash

           

Certificate of deposit

     498        —         —         498  
  

 

 

    

 

 

    

 

 

    

 

 

 

Total cash equivalents, marketable securities and restricted cash

   $ 25,334      $ 111      $ —       $ 25,445  
  

 

 

    

 

 

    

 

 

    

 

 

 

As of June 30, 2025 and December 31, 2024, there were no marketable securities that have been in a continuous unrealized loss position for more than 12 months.

A reconciliation of the cash, cash equivalents and restricted cash reported in the balance sheets that sum to the total of the amounts shown in the statements of cash flows is as follows (in thousands):

 

     As of
June 30, 2025
     As of
December 31, 2024
 

Cash and cash equivalents

   $ 14,225      $ 22,978  

Restricted cash

     508        498  
  

 

 

    

 

 

 

Total cash, cash equivalents and restricted cash

   $ 14,733      $ 23,476  
  

 

 

    

 

 

 

 

F-47


Table of Contents

LB Pharmaceuticals Inc

Notes to Condensed Financial Statements

(Unaudited)

 

 

5. Property and Equipment, Net

Property and equipment, net consisted of the following as of June 30, 2025 and December 31, 2024 (in thousands):

 

     June 30,
2025
     December 31,
2024
 

Leasehold improvements

   $ 1,491      $ 1,491  

Computer equipment

     101        95  

Office furniture

     380        374  
  

 

 

    

 

 

 

Property and equipment

     1,972        1,960  

Less: Accumulated depreciation

     (256      (101
  

 

 

    

 

 

 

Total property and equipment, net

   $ 1,716      $ 1,859  
  

 

 

    

 

 

 

6. Accrued Expenses

Accrued expenses consisted of the following as of June 30, 2025 and December 31, 2024 (in thousands):

 

     June 30,
2025
     December 31,
2024
 

Accrued CRO costs

   $ 29      $ 1,443  

Accrued research and development costs

     227        488  

Accrued compensation costs

     735        1,441  

Accrued professional and consulting costs

     249        902  

Accrued termination benefits

     1,249        800  

Other accrued costs

     52        228  
  

 

 

    

 

 

 

Total accrued expenses

   $ 2,541      $ 5,302  
  

 

 

    

 

 

 

7. Leases

In May 2024, the Company entered into a new lease agreement for office space in New York, New York totaling approximately 8,900 square feet. The Company received $1.2 million of leasehold improvement incentives associated with the new lease agreement. The term of this lease commenced on June 21, 2024, which is the date the Company obtained control over the leased premises. The lease term continues through March 2032. The Company’s real estate lease agreement includes variable payments that are passed through by the landlord, such as insurance, taxes, and common area maintenance, and payments based on the usage of the asset. Pass-through charges and payments due to changes in usage of the asset are included within variable lease expense. Operating leases are recognized over the lease term and included in general and administrative expenses in the accompanying unaudited condensed statements of operations. Variable lease expenses are recognized in general and administrative expenses in the accompanying unaudited condensed statements of operations as incurred.

The Company’s lease agreement does not contain material residual value guarantees, restrictions, or covenants. The Company has no other operating leases recognized on the accompanying unaudited condensed balance sheets.

 

F-48


Table of Contents

LB Pharmaceuticals Inc

Notes to Condensed Financial Statements

(Unaudited)

 

 

The components of lease expense were as follows for the six months ended June 30, 2025 and 2024 (in thousands):

 

     Six Months Ended
June 30,
 
      2025        2024   

Operating lease expense

   $ 268      $ 44  

Short-term lease expense

     —         71  

Variable lease expense

     15        —   
  

 

 

    

 

 

 

Total lease expense

   $ 283      $ 115  
  

 

 

    

 

 

 

Short-term lease expense includes expenses related to the Company’s 2018 operating lease agreement for office space in New York City. The lease agreement was month-to-month and could be terminated by either party with three months’ written notice. The Company terminated the lease effective September 30, 2024. The Company made the policy election to exclude short-term leases from recognition and measurement under ASC 842.

Supplemental balance sheet information related to operating leases as of June 30, 2025 and December 31, 2024 was as follows (in thousands):

 

     June 30,
2025
    December 31,
2024
 

Weighted average remaining lease term (in years)

     6.8       7.3  

Weighted average discount rate

     9.6     9.6

Other information related to leases for the six months ended June 30, 2025 and 2024 was as follows:

 

     Six Months Ended
June 30,
 
      2025        2024   

Cash paid for amounts included in the measurement of lease liabilities

   $ 155      $ 61  

As of June 30, 2025, future minimum commitments under operating leases were as follows (in thousands):

 

Year Ending December 31,

   As of June 30, 2025  

2025 (remaining period)

   $ 365  

2026

     730  

2027

     730  

2028

     764  

2029

     775  

Thereafter

     1,744  
  

 

 

 

Total future lease payments

   $ 5,108  

Less: imputed interest

     (1,347
  

 

 

 

Present value of lease payments

   $ 3,761  
  

 

 

 

 

F-49


Table of Contents

LB Pharmaceuticals Inc

Notes to Condensed Financial Statements

(Unaudited)

 

 

8. Redeemable Convertible Preferred Stock and Equity

The Company’s Fourth Amended and Restated Certificate of Incorporation designates and authorizes the Company to issue up to 184.3 million shares, consisting of: (i) 105.0 million shares of common stock, par value $0.0001 per share; and (ii) 79.3 million shares of preferred stock, par value $0.0001 per share.

Redeemable Convertible Preferred Stock

Redeemable convertible preferred stock (“Preferred Stock”) as of June 30, 2025 and December 31, 2024 consisted of the following (in thousands, except per share data):

 

     As of June 30, 2025  
     Issuance
Start Date
     Shares
Authorized
     Shares
Issued and
Outstanding
     Issuance
Price
Per Share
     Net
Carrying
Value
     Liquidation
Preference
 

Series Seed

     11/21/2017        295        295      $ 1.50      $ 435      $ 443  

Series A

     11/21/2018        3,655        3,655      $ 2.30        6,179        8,407  

Series B

     5/3/2022        301        301      $ 3.00        580        903  

Series C

     8/29/2023        75,000        73,820      $ 1.50        107,065        110,731  
     

 

 

    

 

 

       

 

 

    

 

 

 
        79,251        78,071         $ 114,259      $ 120,484  
     

 

 

    

 

 

       

 

 

    

 

 

 

 

     As of December 31, 2024  
     Issuance
Start Date
     Shares
Authorized
     Shares
Issued and
Outstanding
     Issuance
Price
Per Share
     Net
Carrying
Value
     Liquidation
Preference
 

Series Seed

     11/21/2017        295        295      $ 1.50      $ 435      $ 443  

Series A

     11/21/2018        3,655        3,655      $ 2.30        6,179        8,407  

Series B

     5/3/2022        301        301      $ 3.00        580        903  

Series C

     8/29/2023        75,000        73,820      $ 1.50        107,065        110,731  
     

 

 

    

 

 

       

 

 

    

 

 

 
        79,251        78,071         $ 114,259      $ 120,484  
     

 

 

    

 

 

       

 

 

    

 

 

 

In August 2023, the Company closed on the Series C preferred stock financing (the “Series C Offering”) with four new investor groups (“Series C New Investors”) to invest $75.0 million of which $35.0 million was payable upon the first closing in August 2023 (“First Tranche”) in exchange for approximately 23.3 million shares of Series C preferred stock and $40.0 million payable upon the enrollment of the first patient into the Phase 2 clinical trial of LB-102 (“Second Tranche”). The Second Tranche closed in January 2024 and the Company issued approximately 26.7 million shares of Series C preferred stock at $1.50 per share for total gross proceeds of $40.0 million. The Company incurred issuance costs of $2.0 million and $1.7 million associated with the closings of the First Tranche and Second Tranche, respectively.

Upon the closing of the Series C Offering, $35.7 million principal of the 2020 Notes and 2022 Notes automatically converted to 23.8 million shares of Series C preferred stock at a price of $1.50 per share.

As of June 30, 2025 and December 31, 2024, none of the outstanding shares of Preferred Stock had been converted into common stock.

Reissuance: Shares of any Preferred Stock that are redeemed or converted will be retired or canceled and may not be reissued by the Company.

 

F-50


Table of Contents

LB Pharmaceuticals Inc

Notes to Condensed Financial Statements

(Unaudited)

 

 

Common Stock

All issued shares of common stock are entitled to vote on a one share/one vote basis.

Warrants

See Note 3 Fair Value Measurements for warrant activity for the six months ended June 30, 2025 and 2024.

9. Net Loss per Share

The following table sets forth the computation of basic and diluted net loss per share of common stock for the six months ended June 30, 2025 and 2024 (in thousands, except share and per share data):

 

     Six Months Ended
June 30,
 
     2025      2024  

Net loss

   $ (10,177    $ (43,850

Weighted average shares outstanding used in calculating net loss per share, basic and diluted (1)

     359,438        357,475  
  

 

 

    

 

 

 

Net loss per share, basic and diluted

   $ (28.31    $ (122.67
  

 

 

    

 

 

 

 

(1)

Included within weighted average shares of common stock outstanding for the six months ended June 30, 2025 and 2024 are 114,004 and 114,187 shares of common stock issuable upon the exercise of penny warrants, respectively. Per ASC 260, Earnings Per Share, the warrants are exercisable at any time for nominal consideration, and as such, the shares are considered outstanding for the purpose of calculating basic and diluted net loss per share attributable to common stockholders.

The Company’s potentially dilutive securities, which consist primarily of stock options and convertible preferred stock, have been excluded from the computation of diluted net loss per share because including them would have had an anti-dilutive impact. Therefore, the weighted average number of shares of common stock outstanding used to calculate both basic and diluted net loss per share attributable to common stockholders is the same.

The following potentially dilutive shares, presented based on amounts outstanding at each period end, have been excluded from the calculation of diluted net loss per share (in thousands):

 

     June 30,
2025
     June 30,
2024
 

Redeemable convertible preferred stock

     2,799        2,799  

Restricted stock - unvested

     6        6  

Common stock warrants

     3        3  

Stock options

     465        272  
  

 

 

    

 

 

 

Total potentially dilutive shares

     3,273        3,080  
  

 

 

    

 

 

 

10. Stock-Based Compensation

The Company uses equity-based compensation programs to provide long-term performance incentives for its employees, directors and consultants. These incentives consist primarily of stock options and restricted stock grants.

 

F-51


Table of Contents

LB Pharmaceuticals Inc

Notes to Condensed Financial Statements

(Unaudited)

 

 

In January 2017, the Company’s Board of Directors approved the LB Pharmaceuticals Inc 2017 Stock Incentive Plan (“2017 Plan”). In October 2018, the Company’s Board of Directors approved the LB Pharmaceuticals Inc 2018 Stock Incentive Plan (“2018 Plan”). No additional shares will be issued under the 2017 and 2018 Plans. As of both June 30, 2025 and December 31, 2024, there were 0.01 million and 0.03 million shares outstanding under the 2017 Plan and the 2018 Plan, respectively.

In August 2023, the Company’s Board of Directors approved the LB Pharmaceuticals Inc 2023 Stock Incentive Plan (“2023 Plan”). The 2023 Plan authorized the issuance of stock options or restricted stock up to 0.3 million shares of the Company’s common stock. In December 2024, the Company amended the 2023 Plan increasing the maximum aggregate number of shares that may be issued under the 2023 Plan to 0.5 million. The 2023 Plan expires in August 2033. As of June 30, 2025 and December 31, 2024, there were 0.4 million and 0.4 million shares outstanding under the 2023 Plan, respectively. As of June 30, 2025, 0.03 million shares were available for future issuance under the 2023 Plan.

Stock Options

The stock options granted in the six months ended June 30, 2025 (awarded on February 11, 2025) and 2024 vest based on one of the following schedules: (i) 25% on the first anniversary of grant date with the remaining 75% to vest in 36 equal monthly installments thereafter through the fourth anniversary of the grant date; (ii) 100% vesting in 36 equal monthly installments through the third anniversary of the grant date; or (iii) 100% vesting in 12 equal monthly installments through the first anniversary of the grant date for certain nonemployee grants. All stock options expire ten years from the grant date. The assumptions used to determine the fair value of stock options granted were as follows:

 

     February 11,
2025
    June 30,
2024
 

Expected life of options (in years)

     6.25       6.25 - 10.0  

Risk-free interest rate

     4.42     4.20% - 4.36

Expected volatility

     86.7     85.1% - 86.3

Dividends

     —        —   

Fair value of common stock

   $ 35.14     $ 41.84 - $49.64  

A summary of the Company’s stock option activity and related information is as follows (in thousands, except per share data):

 

     Options
Outstanding
     Weighted
Average
Exercise
Price
Per Share
     Weighted
Average
Remaining
Contractual
Term
(Years)
     Aggregate
Intrinsic
Value
 

Balance at December 31, 2024

     457      $ 43.50        9.01      $ —   

Granted

     36        41.84           —   

Forfeited

     (27      41.84           —   
  

 

 

          

Balance at June 30, 2025

     466        43.50        8.57        —   
  

 

 

          

Options vested and expected to vest as of June 30, 2025

     466        43.50        8.57     

Options exercisable as of June 30, 2025

     122        48.25        6.99     

 

F-52


Table of Contents

LB Pharmaceuticals Inc

Notes to Condensed Financial Statements

(Unaudited)

 

 

The weighted average grant date fair value of the stock options granted during the six months ended June 30, 2025 was $25.94. The Company granted 0.1 million stock options during the six months ended June 30, 2024 at a weighted average grant date fair value of $38.21.

During the six months ended June 30, 2025 and 2024, the Company recognized stock-based compensation expense related to stock options as follows (in thousands):

 

     Six Months Ended
June 30,
 
      2025        2024   

Research and development

   $ 243      $ 154  

General and administrative

     724        185  
  

 

 

    

 

 

 

Total stock-based compensation

   $ 967      $ 339  
  

 

 

    

 

 

 

As of June 30, 2025, there was $6.5 million unrecognized stock-based compensation expense which is expected to be recognized over a weighted average period of 3.40 years. No stock options were exercised or expired during the six months ended June 30, 2025 and 2024. There was 0.02 million stock options forfeited during the six months ended June 30, 2024.

In connection with a reduction in force (“RIF”) initiated in May 2025, the Company modified stock option awards granted to the Chief Financial Officer (“Former CFO”) and Chief Scientific Officer (“Former CSO”). These modifications involve the acceleration of service-based vesting conditions and were accounted for as Type III modifications (improbable-to-probable vesting) in accordance with ASC 718. During the six months ended June 30, 2025, the Company recognized a reduction of $0.2 million in stock-based compensation expense included in general and administrative expense and an increase of less than $0.1 million included in research and development expense on the unaudited condensed statement of operations as a result of the RIF.

The fair value of the modified stock options was remeasured as of May 6, 2025 using the Black-Scholes option pricing model, incorporating the following assumptions:

 

     May 6, 2025  

Expected life of options (in years)

     0.25 - 0.56  

Risk-free interest rate

     4.42%  

Expected volatility

     86.7%  

Dividends

     —   

Fair value of common stock

   $ 22.03  

There were no realized tax benefits for the six months ended June 30, 2025 or 2024.

Restricted Stock

The Company did not grant any restricted stock during the six months ended June 30, 2025 or 2024.

Restricted stock vests over the period of time for which services are expected to be rendered, which ranged from immediate vesting, up to 36 months, or vests on the six-month anniversary of the consummation of the Company’s first underwritten public offering (“IPO”) under the Securities Act of 1933, as amended.

 

F-53


Table of Contents

LB Pharmaceuticals Inc

Notes to Condensed Financial Statements

(Unaudited)

 

 

During the six months ended June 30, 2025 and 2024, the Company recognized stock-based compensation related to shares of restricted stock as follows (in thousands):

 

     Six Months Ended
June 30,
 
     2025      2024  

Research and development

   $ 1      $ 1  

General and administrative

     1        1  
  

 

 

    

 

 

 

Total stock-based compensation

   $ 2      $ 2  
  

 

 

    

 

 

 

As of June 30, 2025, the Company had unrecognized compensation expense related to such shares of $0.2 million.

11. Restructuring

On May 6, 2025, the Company commenced a RIF. This initiative affected several employees, including the Former CFO and the Former CSO. The RIF was designed to streamline operations while ensuring continuity during the transition period.

In connection with the RIF, the Company entered into separation agreements with impacted employees that entitle the impacted employees to termination benefits, with benefit terms expiring at various dates through May 30, 2026. These benefits included the continuation of base salary, then in effect, and the payment of monthly premiums for Company-sponsored healthcare coverage. The Former CFO and Former CSO also received accelerated vesting on outstanding stock option awards. See Note 10 Stock-Based Compensation for additional information on the stock option modifications.

The Company expects to incur total restructuring charges of approximately $0.7 million, primarily related to termination benefits, partially offset by a reduction in stock-based compensation expenses.

During the six months ending June 30, 2025, the Company recognized $0.2 million in general and administrative expense and $0.5 million in research and development expense in the unaudited condensed statement of operations related to termination benefits under the various separation agreements. The modification of the Former CFO’s and Former CSO’s stock options resulted in a reduction of $0.2 million in stock-based compensation expense included in general and administrative expense and an increase of less than $0.1 million included in research and development expense in the unaudited condensed statement of operations during the six months ended June 30, 2025.

All restructuring costs associated with the RIF were recognized in the second quarter of 2025, when the plan was communicated to affected employees and obligations were incurred. The remaining severance payments, which were accrued as of June 30, 2025, are expected to be paid through May 2026.

On November 26, 2024, the Company’s chief executive officer (the “Former CEO”) entered into a separation and consulting agreement (“Separation Agreement”), pursuant to which the Former CEO resigned from his role as CEO. Under the Separation Agreement, the Former CEO is entitled to termination benefits until June 30, 2026, in the form of continuation of base salary in the same amount in effect as of December 31, 2024 and the payment of monthly premiums for healthcare coverage. As of December 31, 2024, the Company recorded $0.8 million of accrued termination benefits in the balance sheet.

 

F-54


Table of Contents

LB Pharmaceuticals Inc

Notes to Condensed Financial Statements

(Unaudited)

 

 

The following table provides a reconciliation of the beginning and ending liability balances for the six months ended June 30, 2025:

 

Balance, December 31, 2024

   $ 800  

Termination benefits expense

     896  

Cash payments

     (447
  

 

 

 

Balance, June 30, 2025

   $ 1,249  
  

 

 

 

12. Commitments and Contingencies

The Company has contracted with various consultants and third parties to assist in pre-clinical research and development and clinical trials work for the Company’s leading drug compounds. The contracts are terminable at any time but obligate the Company to reimburse the providers for any time or costs incurred through the date of termination.

Funding Commitments

In September 2023, the Company entered into a work order with a third-party contract research organization (“CRO”) to provide services with respect to the Company’s Phase 2 clinical trial of LB-102. Minimum advances will be kept by the CRO throughout the duration of the clinical trial. As of June 30, 2025, the Company recorded approximately $0.1 million in advances to the CRO, recorded in prepaid expenses and other current assets in the accompanying unaudited condensed balance sheet.

The Company enters into contracts in the normal course of business with contract development and manufacturing organizations and other third parties for preclinical research studies and testing and manufacturing services, which are generally cancelable upon prior written notice. Payments due upon cancellation may consist of payments for services provided or expenses incurred, including noncancelable obligations of our service providers, up to the date of cancellation, and may also include termination penalties. As of June 30, 2025, the Company had no outstanding liabilities related to such items.

Contingencies

In the normal course of business, the Company is subject to loss contingencies, such as legal proceedings and claims arising out of its business. The Company records accruals for such loss contingencies when it is probable that a liability will be incurred, and the amount of loss can be reasonably estimated. The Company, in accordance with this guidance, does not recognize gain contingencies until realized. The Company is not a party to any litigation and does not have contingency reserves established for any litigation liabilities as of June 30, 2025.

13. Related-Party Transactions

In August 2023, contemporaneously with the closing of the Series C Offering, the Company entered into several amended and restated royalty participation agreements (the “Amended and Restated Royalty Agreements”) with certain of its investors, co-founders, former and current directors, and former and current executive officers, none of whom are Series C New Investors. No consideration was received as part of the Amended and Restated Royalty Agreements. Pursuant to the Amended and Restated Royalty Agreements, the Company is obligated to pay royalties to all of the holders in an aggregate amount up to 2.75% on net sales arising from LB-102 worldwide through December 31, 2035. Thereafter, the Company is obligated to pay royalties to such holders in

 

F-55


Table of Contents

LB Pharmaceuticals Inc

Notes to Condensed Financial Statements

(Unaudited)

 

 

an aggregate amount up to 3.25% in perpetuity. Future sales are defined in these agreements as the gross payments received on total commercial sales of LB-102, whether by the Company or by any licensee of LB-102. As of June 30, 2025, certain former and current officers of the Company and their affiliates held 1.13% of the future royalties.

14. Subsequent Events

The Company evaluated subsequent events through September 8, 2025, the date these financial statements were available to be issued and has not identified any events requiring disclosure except for the following:

In September, 2025, the Company effected a 1-for-27.8874 reverse stock split (the “Stock Split”) of the Company’s issued and outstanding shares of common stock and warrants and options to purchase common stock. The Stock Split reduced the number of shares of the Company’s issued and outstanding common stock, as well as the numbers of shares reserved and available for future issuance and underlying outstanding options to purchase common stock. No fractional shares were distributed as a result of the reverse stock split, and stockholders were entitled to a cash payment in lieu of fractional shares. The Stock Split did not affect the par values per share or total authorized common stock. Accordingly, all shares of common stock and per share amounts for all periods presented in the financial statements have been adjusted retroactively, where applicable, to reflect the Stock Split.

 

F-56


Table of Contents
 
 

 

16,666,667 Shares

 

 

LOGO

Common Stock 

Leerink Partners

Piper Sandler

Stifel

Through and including     , 2025 (the 25th day after the date of this prospectus), all dealers effecting transactions in these securities, whether or not participating in this offering, may be required to deliver a prospectus. This delivery requirement is in addition to a dealer’s obligation to deliver a prospectus when acting as an underwriter and with respect to an unsold allotment or subscription.

 

 
 


Table of Contents

PART II

INFORMATION NOT REQUIRED IN PROSPECTUS

Item 13. Other Expenses of Issuance and Distribution.

The following table indicates the expenses to be incurred in connection with the offering described in this registration statement, other than the underwriting discounts and commissions, all of which will be paid by us. All amounts are estimated except the U.S. Securities and Exchange Commission, or SEC, registration fee, the Financial Industry Regulatory Authority, Inc., or FINRA, filing fee, and the Nasdaq listing fee.

 

     Amount  

SEC registration fee

   $ 46,951  

FINRA filing fee

     46,500  

Nasdaq listing fee

     270,000  

Printing and engraving expenses

     400,000  

Legal fees and expenses

     1,935,000  

Accounting fees and expenses

     550,000  

Transfer agent and registrar fees and expenses

     5,000  

Miscellaneous fees and expenses

     746,549  
  

 

 

 

Total

   $ 4,000,000  
  

 

 

 

Item 14. Indemnification of Directors and Officers.

Section 145 of the Delaware General Corporation Law authorizes a court to award, or a corporation’s board of directors to grant, indemnity to directors and officers in terms sufficiently broad to permit such indemnification under certain circumstances for liabilities, including reimbursement for expenses incurred, arising under the Securities Act of 1933, as amended, or the Securities Act. Our amended and restated certificate of incorporation that will become effective immediately prior to the closing of this offering permits indemnification of our directors, officers, employees and other agents to the maximum extent permitted by the Delaware General Corporation Law, and our amended and restated bylaws that will be in effect upon the completion of this offering provide that we will indemnify our directors and executive officers and permit us to indemnify our other officers, employees, and other agents, in each case to the maximum extent permitted by the Delaware General Corporation Law.

We have entered into indemnification agreements with our directors and executive officers, whereby we have agreed to indemnify our directors and executive officers to the fullest extent permitted by law, including indemnification against expenses and liabilities incurred in legal proceedings to which the director or executive officer was, or is threatened to be made, a party by reason of the fact that such director or executive officer is or was a director, executive officer, employee or agent of LB Pharmaceuticals Inc, provided that such director or executive officer acted in good faith and in a manner that the director or executive officer reasonably believed to be in, or not opposed to, the best interest of LB Pharmaceuticals Inc. At present, there is no pending litigation or proceeding involving a director or executive officer of LB Pharmaceuticals Inc regarding which indemnification is sought, nor is the registrant aware of any threatened litigation that may result in claims for indemnification.

We maintain insurance policies that indemnify our directors and officers against various liabilities arising under the Securities Act and the Securities Exchange Act of 1934, as amended, that might be incurred by any director or officer in his capacity as such.

The underwriters are obligated, under certain circumstances, under the underwriting agreement to be filed as Exhibit 1.1 hereto, to indemnify us and our officers and directors against liabilities under the Securities Act.

 

II-1


Table of Contents

Item 15.  Recent Sales of Unregistered Securities.

Set forth below is information regarding all unregistered securities issued and options granted by us since January 1, 2022 through the date of this registration statement:

Issuance of Common Stock

In 2022, we issued 15,367 shares of our common stock to Rivopharm S.A., or Rivopharm, in lieu of cash payment for work performed by a subsidiary of Rivopharm, pursuant to an oral agreement between us and an affiliate of Rivopharm. For additional information, see “Certain Relationships and Related Party Transactions—Issuance of Common Stock.”

Issuances Pursuant to our Equity Plans

From January 1, 2022 through the date of this registration statement, we have granted options under our 2023 Stock Incentive Plan to purchase up to an aggregate of 424,904 shares (net of expirations, forfeitures and cancellations) of common stock, at a weighted-average price of $41.84 per share, in each case, to our employees, directors and consultants. From January 1, 2022 through the date of this registration statement, no options have been granted under our 2017 Stock Incentive Plan or 2018 Stock Incentive Plan, and no shares of common stock have been issued upon the exercise of options.

Issuances of Warrants

In May 2022, we issued the Series B-1 Warrants to certain accredited investors to purchase 3,708 shares of our common stock at an exercise price per share of $104.58.

In August 2023, we issued the Maxim Warrants to Maxim Group LLC to purchase 54,813 shares of our common stock at an exercise price per share of $0.28.

In August 2023, we issued the New Series B Warrants to certain accredited investors to purchase 3,577 shares of our common stock at an exercise price per share of $41.84.

Issuances of Preferred Stock

In May 2022, we issued 301,119 shares of our Series B preferred stock to certain individual and institutional accredited investors at a purchase price of $3.00 per share, for aggregate consideration of approximately $0.9 million, or the Series B Offering. Maxim Group LLC acted as placement agent for the Series B Offering and received a commission of up to 10.0% of the gross proceeds from the Series B Offering and certain warrants which were ultimately replaced with the Maxim Warrants.

From August 2023 to January 2024, we issued 50,000,000 shares of our Series C preferred stock to 234 individual and institutional accredited investors at a purchase price of $1.50 per share, for aggregate consideration of approximately $75.0 million. In addition, in August 2023, we issued an aggregate of 23,820,346 shares of our Series C preferred stock in exchange of the principal amount of all outstanding convertible notes at a conversion price of $1.50 per share.

Issuance of Convertible Notes

In October 2022, November 2022, and December 2022 through January 2023, we conducted a convertible promissory notes offering in multiple closings pursuant to which we issued an aggregate principal amount of $25.7 million of unsecured convertible promissory notes to certain accredited investors, or the Notes Offering, bearing interest at 4.0% with a maturity on the earlier of (a) the first anniversary date of such note or (b) the sale

 

II-2


Table of Contents

of the Company. Maxim Group LLC acted as placement agent for the Notes Offering and received a commission of up to 10.0% of the gross proceeds from the Notes Offering and certain warrants which were ultimately replaced with the Maxim Warrants. In addition, all of the convertible notes outstanding at the time were automatically converted into shares of our Series C preferred stock upon the closing of our Series C Financing.

None of the foregoing transactions, other than the Series B Offering and the Notes Offering, involved any underwriters, underwriting discounts or commissions, or any public offering. Unless otherwise specified above, we believe these transactions were exempt from registration under the Securities Act in reliance on Section 4(a)(2) of the Securities Act (and Regulation D or Regulation S promulgated thereunder) or Rule 701 promulgated under Section 3(b) of the Securities Act as transactions by an issuer not involving any public offering or under benefit plans and contracts relating to compensation as provided under Rule 701. The recipients of the securities in each of these transactions represented their intentions to acquire the securities for investment only and not with a view to or for sale in connection with any distribution thereof, and appropriate legends were placed on the share certificates issued in these transactions. All recipients had adequate access, through their relationships with us, to information about us. The sales of these securities were made without any general solicitation or advertising.

Item 16. Exhibits and Financial Statement Schedules.

(a) Exhibits.

The exhibits listed below are filed as part of this registration statement.

 

Exhibit

No.

  

Description

 1.1**    Form of Underwriting Agreement
 3.1**    Amended and Restated Certificate of Incorporation of the Registrant, as currently in effect
 3.2    Certificate of Amendment to Amended and Restated Certificate of Incorporation, as amended and as currently in effect
 3.3**    Form of Amended and Restated Certificate of Incorporation of the Registrant, to be effective immediately prior to the closing of this offering
 3.4**    Amended and Restated Bylaws of the Registrant, as currently in effect
 3.5**    Form of Amended and Restated Bylaws of the Registrant, to be effective immediately prior to the closing of this offering
 4.1    Form of Common Stock Certificate
 4.2†**    Investors’ Rights Agreement, by and among the Registrant and certain of its stockholders, dated as of August 29, 2023
 4.3†**    Form of Class A Warrants
 4.4†**    Form of Class B Warrants
 4.5†**    Form of Maxim Warrants
 4.6†**    Form of New Series B Warrants
 4.7†**    Form of Series B-1 Warrants
 5.1    Opinion of Cooley LLP
10.1+**    2017 Equity Incentive Plan
10.2+**    Form of Option Grant Notice and Agreement, Exercise Notice, and Restricted Award Notice under the 2017 Equity Incentive Plan

 

II-3


Table of Contents

Exhibit

No.

  

Description

10.3+**    2018 Equity Incentive Plan
10.4+**    Form of Option Grant Notice and Agreement, Exercise Notice, and Restricted Award Notice under the 2018 Equity Incentive Plan
10.5+**    2023 Equity Incentive Plan
10.6+**    Amendment No. 1 to 2023 Equity Incentive Plan
10.7+**    Form of Option Grant Notice and Agreement, Exercise Notice, and Restricted Award Notice under the 2023 Equity Incentive Plan
10.8+    2025 Equity Incentive Plan
10.9+    Form of Option Grant Notice and Agreement, and Exercise Notice under the 2025 Equity Incentive Plan
10.10+    Form of RSU Award Grant Notice and Agreement under the 2025 Equity Incentive Plan
10.11+    2025 Employee Stock Purchase Plan
10.12+**    Form of Indemnification Agreement between the Registrant and each of its directors and executive officers
10.13+**    Executive Employment Agreement, dated November 1, 2024, between Heather Turner and the Registrant
10.14+**    Executive Employment Agreement, dated February 3, 2025, between Gad Soffer and the Registrant
10.15+    Amended and Restated Executive Employment Agreement, dated September 4, 2025, between Anna Eramo and the Registrant
10.16+    Amended and Restated Executive Employment Agreement, dated September 3, 2025, between Marc Panoff and the Registrant
10.17+**    Executive Employment Agreement, dated February 3, 2025, between Richard Silva and the Registrant
10.18+**    Executive Employment Agreement, dated August 25, 2023, between Zachary Prensky and the Registrant
10.19+**    Amendment No 1. to Executive Employment Agreement, dated June 28, 2024, between Zachary Prensky and the Registrant
10.20+**    Transition, Consulting, and Separation agreement, dated November 26, 2024, between Zachary Prensky and the Registrant
10.21+**    Executive Employment Agreement, dated June 12, 2024, between Roger Sawhney and the Registrant
10.22+**    Separation Agreement, dated May 6, 2025, between Roger Sawhney and the Registrant
10.23+    Non-Employee Director Compensation Policy
10.24**    Form of Amended and Restated Royalty Participation Agreement by and between the Registrant and certain holders
10.25†**    Lease Agreement, dated May 20, 2024, between the Registrant and One Penn Plaza LLC
21.1**    List of Subsidiaries
23.1    Consent of BDO USA, P.C., Independent Registered Public Accounting Firm

 

II-4


Table of Contents

Exhibit

No.

  

Description

23.2    Consent of Cooley LLP (included in Exhibit 5.1)
24.1**    Power of Attorney (see signature page)
99.1    Consent of Rekha Hemrajani to be Named as Director Nominee
99.2    Consent of William Kane to be Named as Director Nominee
107    Filing Fee Table
 
**

Previously filed.

+

Indicates management contract or compensatory plan.

Certain schedules and exhibits to this exhibit have been omitted pursuant to Item 601(a)(5) of Regulation S-K. A copy of any omitted schedule and/or exhibit will be furnished to the SEC upon request.

(b) Financial statement schedules.

No financial statement schedules are provided because the information called for is not required or is shown either in the financial statements or the notes thereto.

Item 17. Undertakings.

Insofar as indemnification for liabilities arising under the Securities Act may be permitted to directors, officers, and controlling persons of the Registrant pursuant to the foregoing provisions, or otherwise, the Registrant has been advised that in the opinion of the SEC such indemnification is against public policy as expressed in the Securities Act and is, therefore, unenforceable. In the event that a claim for indemnification against such liabilities (other than the payment by the Registrant of expenses incurred or paid by a director, officer or controlling person of the Registrant in the successful defense of any action, suit or proceeding) is asserted by such director, officer or controlling person in connection with the securities being registered, the Registrant will, unless in the opinion of its counsel the matter has been settled by controlling precedent, submit to a court of appropriate jurisdiction the question whether such indemnification by it is against public policy as expressed in the Securities Act and will be governed by the final adjudication of such issue.

The undersigned Registrant hereby undertakes that:

(a) For purposes of determining any liability under the Securities Act, the information omitted from the form of prospectus filed as part of this registration statement in reliance upon Rule 430A and contained in a form of prospectus filed by the Registrant pursuant to Rule 424(b)(1) or (4) or 497(h) under the Securities Act shall be deemed to be part of this registration statement as of the time it was declared effective.

(b) For the purpose of determining any liability under the Securities Act, each post-effective amendment that contains a form of prospectus shall be deemed to be a new registration statement relating to the securities offered therein, and the offering of such securities at that time shall be deemed to be the initial bona fide offering thereof.

 

II-5


Table of Contents

SIGNATURES

Pursuant to the requirements of the Securities Act, the Registrant has duly caused this registration statement to be signed on its behalf by the undersigned, thereunto duly authorized, in the City of New York, State of New York, on September 8, 2025.

 

LB PHARMACEUTICALS INC

By:

 

/s/ Heather Turner

 

Heather Turner

Chief Executive Officer

Pursuant to the requirements of the Securities Act, this registration statement has been signed by the following persons in the capacities and on the dates indicated.

 

Signature

    

Title

 

Date

/s/ Heather Turner

Heather Turner

    

Chief Executive Officer and Director

(Principal Executive Officer)

  September 8, 2025

/s/ Marc Panoff

Marc Panoff

    

Senior Vice President, Finance

(Principal Financial and Accounting Officer)

  September 8, 2025

*

Scott Garland

    

Chairman of the Board of Directors

  September 8, 2025

*

Rajul Jain, M.D.

    

Director

  September 8, 2025

*

Rebecca Luse

    

Director

  September 8, 2025

*

Ran Nussbaum

    

Director

  September 8, 2025

*

Zachary Prensky

    

Director

  September 8, 2025

*

Robert R. Ruffolo, Jr., Ph.D., D.Sc. (h),

D.Eng. (h), F.C.P.P.

    

Director

  September 8, 2025

*

Chen Yu, M.D.

    

Director

  September 8, 2025

 

*By:

 

/s/ Heather Turner

  Heather Turner
  Attorney-in-Fact

 

II-6