Exhibit 15.3

Technical Report Summary on the Vazante Polymetallic Operations, Minas Gerais, Brazil
SLR Project No: 233.03245.R0000
Prepared by
SLR Consulting (Canada) Ltd.
55 University Ave., Suite 501
Toronto, ON M5J 2H7
for
Nexa Resources S.A.
Rua Guaicuí, 20 - 14° Andar
Belo Horizonte, Minas Gerais
30380-380
Effective Date – December 31, 2020
Signature Date - February 15, 2021
FINAL
| Distribution: | 1 copy – Nexa Resources S.A. |
| 1 copy – SLR Consulting (Canada) Ltd. |
Contents
| 1.0 | Executive Summary | 1-14 |
| 1.1 | Summary | 1-14 |
| 1.2 | Economic Analysis | 1-20 |
| 1.3 | Technical Summary | 1-23 |
| 2.0 | Introduction | 2-1 |
| 2.1 | Site Visits | 2-1 |
| 2.2 | Sources of Information | 2-1 |
| 2.3 | List of Abbreviations | 2-3 |
| 3.0 | Property Description | 3-1 |
| 3.1 | Location | 3-1 |
| 3.2 | Land Tenure | 3-3 |
| 3.3 | Encumbrances | 3-13 |
| 3.4 | Royalties | 3-13 |
| 4.0 | Accessibility, Climate, Local Resources, Infrastructure and Physiography | 4-1 |
| 4.1 | Accessibility | 4-1 |
| 4.2 | Climate | 4-1 |
| 4.3 | Local Resources | 4-1 |
| 4.4 | Infrastructure | 4-1 |
| 4.5 | Physiography | 4-2 |
| 5.0 | History | 5-1 |
| 5.1 | Prior Ownership | 5-1 |
| 5.2 | Exploration and Development History | 5-1 |
| 5.3 | Historical Resource Estimates | 5-6 |
| 5.4 | Past Production | 5-6 |
| 6.0 | Geological Setting, Mineralization, and Deposit | 6-1 |
| 6.1 | Regional Geology | 6-1 |
| 6.2 | Local Geology | 6-4 |
| 6.3 | Property Geology | 6-8 |
| 6.4 | Hydrothermal Alteration | 6-14 |
| 6.5 | Mineralization | 6-16 |
| 6.6 | Deposit Descriptions | 6-18 |
| 6.7 | Deposit Types | 6-26 |
| 7.0 | Exploration | 7-1 |
| 7.1 | Exploration | 7-1 |
| Nexa Resources S.A.│Vazante Polymetallic Operations, SLR Project No: 233.03245.R0000 |
| Technical Report Summary - February 15, 2021 |
i
| 7.2 | Drilling | 7-20 |
| 7.3 | Geotechnical and Hydrogeology | 7-42 |
| 8.0 | Sample Preparation, Analyses, and Security | 8-1 |
| 8.1 | Sample Preparation and Analysis | 8-1 |
| 8.2 | Quality Assurance and Quality Control (QA/QC) | 8-5 |
| 9.0 | Data Verification | 9-1 |
| 10.0 | Mineral Processing and Metallurgical Testing | 10-1 |
| 10.1 | Summary | 10-1 |
| 10.2 | Recent Test Work | 10-1 |
| 10.3 | Current Performance | 10-5 |
| 10.4 | Deleterious Elements | 10-5 |
| 11.0 | Mineral Resource Estimates | 11-1 |
| 11.1 | Summary | 11-1 |
| 11.2 | Hypogene Mineralization (Willemite) | 11-3 |
| 11.3 | Supergene Mineralization (Calamine) | 11-58 |
| 11.4 | Aroeira Tailings | 11-90 |
| 12.0 | Mineral Reserve Estimates | 12-1 |
| 12.1 | Summary | 12-1 |
| 12.2 | Dilution | 12-2 |
| 12.3 | Mining Extraction | 12-3 |
| 12.4 | Geotechnical and Hydrological Studies | 12-4 |
| 12.5 | Cut-Off Value | 12-10 |
| 12.6 | Reconciliation | 12-12 |
| 13.0 | Mining Methods | 13-1 |
| 13.1 | Mine Design | 13-1 |
| 13.2 | Mining Method | 13-3 |
| 13.3 | Life of Mine Plan | 13-9 |
| 13.4 | Infrastructure | 13-11 |
| 13.5 | Mine Equipment | 13-21 |
| 14.0 | Processing and Recovery Methods | 14-1 |
| 14.1 | Summary | 14-1 |
| 14.2 | Plant C | 14-4 |
| 14.3 | Plant W | 14-4 |
| 14.4 | Zinc Concentrate Dewatering | 14-5 |
| 14.5 | Tailings Dewatering | 14-5 |
| 14.6 | Concentrate Handling | 14-5 |
| Nexa Resources S.A.│Vazante Polymetallic Operations, SLR Project No: 233.03245.R0000 |
| Technical Report Summary - February 15, 2021 |
ii
| 14.7 | Concentrate Sales and Processing | 14-6 |
| 14.8 | Energy, Water, and Process Materials Requirements | 14-6 |
| 14.9 | Manpower | 14-6 |
| 15.0 | Infrastructure | 15-1 |
| 15.1 | Infrastructure | 15-1 |
| 16.0 | Market Studies | 16-1 |
| 16.1 | Markets | 16-1 |
| 16.2 | Contracts | 16-1 |
| 17.0 | Environmental Studies, Permitting, and Plans, Negotiations, or Agreements with Local Individuals or Groups | 17-1 |
| 17.1 | Environmental Aspects | 17-1 |
| 17.2 | Mine Waste and Water Management | 17-8 |
| 17.3 | Project Permitting | 17-12 |
| 17.4 | Social or Community Requirements | 17-15 |
| 17.5 | Mine Closure Requirements | 17-20 |
| 18.0 | Capital and Operating Costs | 18-1 |
| 18.1 | Capital Costs | 18-1 |
| 18.2 | Operating Costs | 18-1 |
| 19.0 | Economic Analysis | 19-1 |
| 19.1 | Economic Criteria | 19-1 |
| 19.2 | Cash Flow | 19-3 |
| 19.3 | Sensitivity Analysis | 19-6 |
| 20.0 | Adjacent Properties | 20-1 |
| 21.0 | Other Relevant Data and Information | 21-1 |
| 22.0 | Interpretation and Conclusions | 22-1 |
| 22.1 | Geology and Mineral Resources | 22-1 |
| 22.2 | Mining and Mineral Reserves | 22-1 |
| 22.3 | Mineral Processing | 22-2 |
| 22.4 | Environment & Social | 22-3 |
| 22.5 | Costs and Economic Analysis | 22-4 |
| 23.0 | Recommendations | 23-1 |
| 23.1 | Geology and Mineral Resources | 23-1 |
| 23.2 | Mining and Mineral Reserves | 23-1 |
| 23.3 | Mineral Processing | 23-2 |
| 23.4 | Environment & Social | 23-2 |
| Nexa Resources S.A.│Vazante Polymetallic Operations, SLR Project No: 233.03245.R0000 |
| Technical Report Summary - February 15, 2021 |
iii
| 23.5 | Cost and Economic Analysis | 23-3 |
| 24.0 | References | 24-1 |
| 25.0 | Reliance on Information Provided by the Registrant | 25-1 |
| 26.0 | Date and Signature Page | 26-1 |
| Nexa Resources S.A.│Vazante Polymetallic Operations, SLR Project No: 233.03245.R0000 |
| Technical Report Summary - February 15, 2021 |
iv

TABLEs
| Table 1-1: | Cash Flow Summary | 1-22 |
| Table 1-2: | Summary of Mineral Resources as of December 31, 2020 | 1-25 |
| Table 1-3: | Summary of Mineral Reserves as of December 31, 2020 | 1-26 |
| Table 1-4: | Sustaining Capital Cost Estimate | 1-30 |
| Table 1-5: | Operating Cost Estimate | 1-31 |
| Table 3-1: | List of Mining Concessions, Mining Applications, and Right to Apply for Mining Concessions | 3-4 |
| Table 3-2: | List of Exploration Licenses | 3-6 |
| Table 3-3: | List of Surface Rights | 3-10 |
| Table 5-1: | Summary of Exploration and Development History | 5-2 |
| Table 5-2: | Summary of Open Pit Mine Production | 5-7 |
| Table 5-3: | Summary of Underground Mine Production | 5-8 |
| Table 7-1: | Summary of Ground Based Geophysical Surveys | 7-11 |
| Table 7-2: | Summary of Regional Exploration Drilling | 7-22 |
| Table 7-3: | Summary of the Open Pit, Underground, and Tailings Sample Drill Hole and Sampling Data as at April 30, 2020 | 7-23 |
| Table 7-4: | Summary of Extension Drilling Completed by Year | 7-25 |
| Table 7-5: | Summary of Zinc Mineralization, Extremo Norte and Lumiadeira/Sucuri Deposits | 7-35 |
| Table 7-6: | Summary of Zinc Mineralization, Aroeira Tailings Drill Holes | 7-36 |
| Table 7-7: | Example of Zinc Mineralization, Calamine Drilling | 7-37 |
| Table 8-1: | Summary of Analytical Procedures for the Vazante Laboratory | 8-4 |
| Table 8-2: | Summary of QA/QC Protocols | 8-5 |
| Table 8-3: | Summary of QA/QC Samples Processed from July 1, 2019 to April 15, 2020 | 8-6 |
| Table 8-4: | Summary of QA/QC Samples from the Calamine 2017, 2018, and 2019 Drilling Programs | 8-8 |
| Table 10-1: | Pilot Study Aroeira Tailings Sample Composition | 10-2 |
| Table 10-2: | Vazante Historical Performance | 10-5 |
| Table 11-1: | Summary of Mineral Resources as of December 31, 2020 | 11-2 |
| Table 11-2: | Summary of Drill Hole and Channel Sample Databases, Vazante and Extremo Norte | 11-4 |
| Table 11-3: | Summary Of Uncapped, Clustered Raw Sample Statistics, Willemite Mineralization | 11-16 |
| Table 11-4: | Summary of Capped, Declustered Sample Statistics, Willemite Mineralization | 11-23 |
| Table 11-5: | Summary of Capped, Composite Sample Statistics, Willemite Mineralization | 11-24 |
| Table 11-6: | Summary of Variogram Parameters, Willemite Mineralization | 11-30 |

Nexa Resources S.A. | Vazante Polymetallic Operations, SLR Project No: 233.03245.R0000
Technical Report Summary - February 15, 2021
v
| Table 11-7: | Block Model Definition, Vazante and Extremo Norte Deposits | 11-33 |
| Table 11-8: | List of Block Model Attributes, Vazante and Extremo Norte Deposits | 11-34 |
| Table 11-9: | Search Parameters and Estimation Strategies, Primary Mineralized Wireframe, Vazante Deposit | 11-35 |
| Table 11-10: | Comparison of Composite Sample Grades with Estimated Block Model Grades, Willemite | 11-36 |
| Table 11-11: | Resource NSR Data- Willemite Mineralization | 11-51 |
| Table 11-12: | Average NSR Factors For the Willemite Mineralization | 11-53 |
| Table 11-13: | Mineral Resources for the Vazante and Extremo Norte Mineralization as of December 31, 2020 | 11-57 |
| Table 11-14: | Summary of Previous Mineral Resources as of December 31, 2019 | 11-57 |
| Table 11-15: | Summary of Drill Hole Database, Calamine Mineralization | 11-59 |
| Table 11-16: | Summary of Uncapped, Clustered Raw Sample Statistics, Calamine Mineralization | 11-68 |
| Table 11-17: | Summary of Capped, Declustered Sample Statistics, Calamine Mineralization | 11-69 |
| Table 11-18: | Summary of Capped, Composite Sample Statistics, Calamine Mineralization | 11-70 |
| Table 11-19: | Summary of Bulk Density Measurements, Supergene Mineralization | 11-73 |
| Table 11-20: | Summary of Variogram Parameters, Supergene Mineralization | 11-74 |
| Table 11-21: | Initial Block Model Definition, Supergene Mineralization | 11-75 |
| Table 11-22: | List of Initial Block Model Attributes, Calamine Mineralization | 11-75 |
| Table 11-23: | List Of Re-Blocked Block Model Attributes, Supergene Mineralization | 11-76 |
| Table 11-24: | Search Parameters and Estimation Strategies, Supergene Mineralization | 11-77 |
| Table 11-25: | Comparison of Composite Sample Grades with Estimated Block Model Grades, Supergene Mineralization | 11-78 |
| Table 11-26: | Block Model NSR Data- Calamine Mineralization | 11-84 |
| Table 11-27: | Average NSR Factors for the Supergene Mineralization | 11-86 |
| Table 11-28: | Summary of the Whittle Input Parameters | 11-87 |
| Table 11-29: | Mineral Resources For the Calamine Mineralization as of December 31, 2020 | 11-89 |
| Table 11-30: | Summary of Drill Hole Database, Tailings Mineralization | 11-91 |
| Table 11-31: | Summary of Uncapped, Clustered Raw Sample Statistics, Aroeira Tailings | 11-97 |
| Table 11-32: | Summary of Capped, Composite Statistics, Aroeira Tailings | 11-99 |
| Table 11-33: | Summary of Variogram Parameters, Aroeira Tailings | 11-101 |
| Table 11-34: | Initial Block Model Definition, Aroeira Tailings | 11-102 |
| Table 11-35: | List of Initial Block Model Attributes, Aroeira Tailings | 11-102 |
| Table 11-36: | List of Re-Blocked Block Model Attributes, Aroeira Tailings | 11-103 |
Nexa Resources S.A. | Vazante Polymetallic Operations, SLR Project No: 233.03245.R0000
Technical Report Summary - February 15, 2021
vi
| Table 11-37: | Search Parameters and Estimation Strategies, Aroeira Tailings | 11-104 |
| Table 11-38: | Comparison of Composite Sample Grades with Estimated Re-Blocked Model Grades, Aroeira Tailings | 11-105 |
| Table 11-39: | Block Model NSR Data- Aroeira Tailings | 11-111 |
| Table 11-40: | Average NSR Factors for the Aroeira Tailings | 11-113 |
| Table 11-41: | Mineral Resources for the Aroeira Tailings as of December 31, 2020 | 11-114 |
| Table 12-1: | Summary of Mineral Reserves as of December 31, 2020 | 12-1 |
| Table 12-2: | Mine Dilution | 12-2 |
| Table 12-3: | Mining Quality Control 2020 | 12-3 |
| Table 12-4: | Mining Extraction Factors | 12-4 |
| Table 12-5: | Rock Mass Quality | 12-5 |
| Table 12-6: | Modified Stability Number | 12-5 |
| Table 12-7: | Rock Mass Classification | 12-6 |
| Table 12-8: | NSR Data | 12-11 |
| Table 12-9: | Average NSR Factors | 12-12 |
| Table 12-10: | Reconciliation Data | 12-13 |
| Table 12-11: | Recovered Compared to Reserve Model | 12-13 |
| Table 13-1: | Stope Average Widths (2019 YE) | 13-1 |
| Table 13-2: | Range of Mineralization Dips | 13-3 |
| Table 13-3: | LOM Production | 13-9 |
| Table 13-4: | Mine Ventilation Air Flow | 13-18 |
| Table 13-5: | Mine Equipment | 13-21 |
| Table 13-6: | Equipment Statistics | 13-21 |
| Table 13-7: | Personnel | 13-22 |
| Table 17-1: | Operating Licences | 17-12 |
| Table 17-2: | Licences for Water Management and Water Use | 17-13 |
| Table 18-1: | Sustaining Capital Cost Estimate | 18-1 |
| Table 18-2: | Operating Cost Estimate | 18-2 |
| Table 19-1: | After-Tax Cash Flow Summary | 19-4 |
| Table 19-2: | Cash Flow Analysis | 19-6 |
| Table 19-3: | After-Tax Sensitivity Analysis | 19-7 |
Nexa Resources S.A. | Vazante Polymetallic Operations, SLR Project No: 233.03245.R0000
Technical Report Summary - February 15, 2021
vii
FIGURES
| Figure 3-1: | Location Map | 3-2 |
| Figure 3-2: | Location of Mining Concessions and Mineralization | 3-5 |
| Figure 3-3: | Location of Exploration Concessions | 3-9 |
| Figure 3-4: | Location of Surface Rights Titles | 3-12 |
| Figure 5-1: | Underground Mine Development 1982 to 2019, Vazante and Extremo Norte Mines | 5-6 |
| Figure 5-2: | Summary of Open Pit and Underground Mine Production | 5-9 |
| Figure 6-1: | Regional Geology | 6-2 |
| Figure 6-2: | Geological Map of the Amazonian Shield | 6-3 |
| Figure 6-3: | Regional Geological Map of the Brasilia Fold Belt | 6-5 |
| Figure 6-4: | Local Geology of the Vazante Mine Area | 6-6 |
| Figure 6-5: | Generalized Stratigraphic Column of the Vazante Area | 6-7 |
| Figure 6-6: | Property Geology | 6-9 |
| Figure 6-7: | Examples of Phyllites of the Serra Do Garrote Formation | 6-10 |
| Figure 6-8: | Intraclast Breccias with Subangular Clasts in Dolomite Matrix, with Stromatactis Filled with Dolomite | 6-11 |
| Figure 6-9: | Images of Gray, Massive Dolomite Containing Birds-Eyes (A), and Bird’s Eyes Structures (B) | 6-11 |
| Figure 6-10: | View of a Metapelite Featuring Two Metamorphic Foliations Oriented Oblique to Each Other | 6-12 |
| Figure 6-11: | View of Pink-Coloured Dolomite with Algal Mats and Primary Bedding (A) and Containing Meta-Marl Intercalations (B) | 6-13 |
| Figure 6-12: | Example of Dolomite Breccia with Intense Veinlet Development | 6-14 |
| Figure 6-13: | Typical Example of Alteration Style and Mineralogy | 6-15 |
| Figure 6-14: | View of the Geology, Alteration, and Mineralization | 6-17 |
| Figure 6-15: | Cross Section of the Lumiadeira Area, Vazante Mine | 6-19 |
| Figure 6-16: | Cross Section of the Sucuri Area, Vazante Mine | 6-20 |
| Figure 6-17: | Proposed Paragenetic History of the Extremo Norte Deposit | 6-22 |
| Figure 6-18: | Proposed Genetic Model for the Extremo Norte Deposit | 6-23 |
| Figure 6-19: | View of In-Situ Calamine Mineralization | 6-24 |
| Figure 6-20: | Example of Calamine Mineralization in Drill Core | 6-25 |
| Figure 7-1: | Location Plan, Rock Chip Samples | 7-3 |
| Figure 7-2: | Location Plan, Panning Concentrate Samples | 7-4 |

Nexa Resources S.A. | Vazante Polymetallic Operations, SLR Project No: 233.03245.R0000
Technical Report Summary - February 15, 2021
viii
| Figure 7-3: | Location Plan, Stream Sediment Samples | 7-5 |
| Figure 7-4: | Location Plan, Soil Samples | 7-6 |
| Figure 7-5: | Regional Magnetic Data for the Vazante Mine Area | 7-8 |
| Figure 7-6: | Regional Gamma Spectroscopy Data for the Vazante Mine Area | 7-9 |
| Figure 7-7: | Zinc Occurrences of the Vazante Mine Area | 7-14 |
| Figure 7-8: | Hydrothermal Breccia and Zinc Sulphide Mineralization from the Sungem Target | 7-15 |
| Figure 7-9: | Vein-Hosts Sphalerite in Veins Associated with Hydrothermal Dolomite and Quartz, Mata Preta Prospect | 7-16 |
| Figure 7-10: | Location of the Mata Preta Prospect and Potential Mineralized Corridor | 7-17 |
| Figure 7-11: | Three Dimensional Model of the Mata Preta Prospect Showing Multi Element Geochemical Anomalies | 7-18 |
| Figure 7-12: | Compilation of Historical Results, Carrapato Trend | 7-19 |
| Figure 7-13: | Exploration Potential of the Carrapato Trend | 7-19 |
| Figure 7-14: | Location of Regional Exploration Drill Holes | 7-21 |
| Figure 7-15: | Location of Drill Holes and Channel Samples, Vazante and Extremo Norte Deposits | 7-24 |
| Figure 7-16: | View of Vazante Core Logging Facilities | 7-27 |
| Figure 7-17: | View of the Vazante Operation Tailings Storage Facilities | 7-28 |
| Figure 7-18: | View of the Tailings Sampling Drilling Equipment | 7-28 |
| Figure 7-19: | Collar Locations for the Antiga and Aroeira Tailings Drill Holes | 7-29 |
| Figure 7-20: | Representative Cross Section of the Extremo Norte Deposit | 7-31 |
| Figure 7-21: | Representative Cross Section of the Vazante Deposit | 7-32 |
| Figure 7-22: | Representative Cross Section of the Aroeira Tailings Sampling Program | 7-33 |
| Figure 7-23: | Representative Cross Section of the Calamine Mineralization | 7-34 |
| Figure 8-1: | Comparison of Bulk Density Measurements | 8-2 |
| Figure 8-2: | Zinc Blank Sample Control Chart, July 1, 2019 to April 15, 2020 | 8-6 |
| Figure 8-3: | Zinc Standard Reference Material (BRMVZSTD007) Control Chart, July 1, 2019 to April 15, 2020 | 8-7 |
| Figure 8-4: | Zinc Pulp Duplicate Sample Control Chart, July 1, 2019 to April 15, 2020 | 8-7 |
| Figure 8-5: | Zinc Replicate Sample Control Chart, July 1, 2019 to April 15, 2020 | 8-8 |
| Figure 10-1: | Rougher Variability Test Work Results | 10-3 |
| Figure 11-1: | Drill Hole and Channel Sample Locations, Vazante and Extremo Norte Deposits | 11-5 |
| Figure 11-2: | Relative Value by Metal, Willemite Mineralization | 11-7 |
| Figure 11-3: | View of the Mineralized Wireframe Outlines, Willemite Mineralization | 11-8 |
Nexa Resources S.A. | Vazante Polymetallic Operations, SLR Project No: 233.03245.R0000
Technical Report Summary - February 15, 2021
ix
| Figure 11-4: | Sample Cross Section of the Mineralized Wireframes, Vazante Mine | 11-9 |
| Figure 11-5: | Plan View of the Topographic Surfaces | 11-11 |
| Figure 11-6: | Plan and Longitudinal Views of the Underground Development | 11-12 |
| Figure 11-7: | Longitudinal View of the Mined Excavations, Vazante Mine | 11-14 |
| Figure 11-8: | Longitudinal View of the Mined Excavations, Extremo Norte Mine | 11-15 |
| Figure 11-9: | Raw Assay Histogram and Probability Plots for Zinc Within the Primary Mineralized Wireframe, Vazante Deposit | 11-17 |
| Figure 11-10: | Raw Assay Histogram and Probability Plots for Zinc Within the Secondary Mineralized Wireframe, Vazante Deposit | 11-18 |
| Figure 11-11: | Raw Assay Histogram and Probability Plots for Zinc Within the Tertiary Mineralized Wireframe, Vazante Deposit | 11-19 |
| Figure 11-12: | Raw Assay Histogram and Probability Plots for Zinc Within the Primary Mineralized Wireframe, Extremo Norte Deposit | 11-20 |
| Figure 11-13: | Raw Assay Histogram and Probability Plots for Zinc Within the Secondary Mineralized Wireframe, Extremo Norte Deposit | 11-21 |
| Figure 11-14: | Raw Assay Histogram and Probability Plots for Zinc Within the Secondary Mineralized Wireframe, Extremo Norte Deposit | 11-22 |
| Figure 11-15: | Relationship of Measured Bulk Density with Zinc, Lead, and Iron Grades, Vazante Deposit | 11-25 |
| Figure 11-16: | Relationship of Measured Bulk Density with Zinc, Lead, and Iron Grades, Extremo Norte Deposit | 11-26 |
| Figure 11-17: | Contoured Zinc Grades, Vazante Deposit | 11-28 |
| Figure 11-18: | Example Variograms for Zinc Grades Contained Within the Primary Mineralized Wireframe Domain, Vazante Deposit | 11-29 |
| Figure 11-19: | Example Variograms for Zinc Grades Contained Within the Primary Mineralized Wireframe Domain, Extremo Norte Deposit | 11-30 |
| Figure 11-20: | Swath Plots for Zinc, Primary Mineralized Wireframes, Vazante Deposit | 11-38 |
| Figure 11-21: | Swath Plots for Zinc, Primary Mineralized Wireframes, Extremo Norte Deposit | 11-39 |
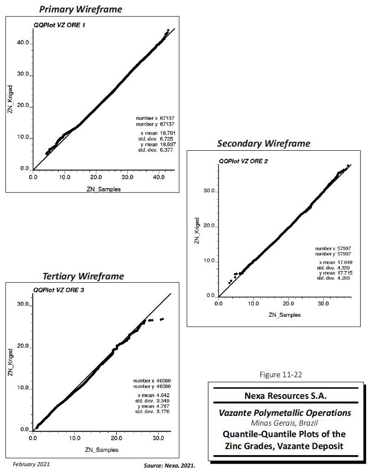
| Figure 11-22: | Quantile-Quantile Plots of the Zinc Grades, Vazante Deposit | 11-40 |
| Figure 11-23: | Quantile-Quantile Plots of the Zinc Grades, Extremo Norte Deposit | 11-41 |
| Figure 11-24: | Scatter Plots of the Zinc Grades, Vazante Deposit | 11-43 |
| Figure 11-25: | Scatter Plots of the Zinc Grades, Extremo Norte Deposit | 11-44 |
| Figure 11-26: | Normal Scores Histogram Plots of the Zinc Grades, Vazante Deposit | 11-46 |
| Figure 11-27: | Normal Scores Histogram Plots of the Zinc Grades, Extremo Norte Deposit | 11-47 |
| Figure 11-28: | View of the Final Mineral Resource Classification, Primary Mineralized Wireframe, Vazante Deposit | 11-49 |
Nexa Resources S.A. | Vazante Polymetallic Operations, SLR Project No: 233.03245.R0000
Technical Report Summary - February 15, 2021
x
| Figure 11-29: | View of the Final Mineral Resource Classification, Primary Mineralized Wireframe, Extremo Norte Deposit | 11-50 |
| Figure 11-30: | Zinc Grade-Recovery Curve for the Willemite Mineralization | 11-52 |
| Figure 11-31: | Lead Grade-Recovery Curve for the Willemite Mineralization | 11-53 |
| Figure 11-32: | View of the Mineral Resource Reporting Panels, Vazante Deposit | 11-55 |
| Figure 11-33: | View of the Mineral Resource Reporting Panels, Extremo Norte Deposit | 11-56 |
| Figure 11-34: | Drill Hole Locations, Calamine Mineralization | 11-61 |
| Figure 11-35: | Inclined View of the Lithology Model (Overburden Removed), Calamine Mineralization | 11-62 |
| Figure 11-36: | Sample Cross Section of the Lithology and Weathering Models, Calamine Mineralization | 11-63 |
| Figure 11-37: | View of the Mineralized Wireframe Outlines, Calamine Mineralization | 11-65 |
| Figure 11-38: | Relative Value by Metal, Calamine Mineralization | 11-66 |
| Figure 11-39: | Plan View of the Topographic Surface, Supergene Mineralization | 11-67 |
| Figure 11-40: | Raw Assay Histogram and Probability Plots for Zinc Within the Calamine Mineralized Wireframes | 11-69 |
| Figure 11-41: | Histogram of Sample Lengths Within the Calamine Mineralized Wireframes | 11-70 |
| Figure 11-42: | Examples of Mineralization Styles and Material Types, Supergene Mineralization | 11-72 |
| Figure 11-43: | Omni Directional Variogram, Zinc, Supergene Mineralization | 11-74 |
| Figure 11-44: | Swath Plot for Zinc, Calamine | 11-79 |
| Figure 11-45: | Quantile-Quantile Plot of the Zinc Grades, Supergene | 11-80 |
| Figure 11-46: | Scatter Plot of the Zinc Grades, Supergene | 11-81 |
| Figure 11-47: | Normal Scores Plot of the Zinc Grades, Supergene | 11-82 |
| Figure 11-48: | View of the Final Classified Mineral Resources, Supergene | 11-83 |
| Figure 11-49: | Zinc Grade-Recovery Curve for the Supergene Mineralization | 11-85 |
| Figure 11-50: | Lead Grade-Recovery Curve for the Supergene Mineralization | 11-86 |
| Figure 11-51: | Plan View of the Open Pit Surface, Supergene Mineral Resources | 11-88 |
| Figure 11-52: | Drill Hole Location Map, Tailings Sampling Programs | 11-92 |
| Figure 11-53: | Inclined View of the Planned vs Completed Drill Holes, Aroeira Tailings | 11-93 |
| Figure 11-54: | Plan View of the Drill Hole Locations and Mineralized Wireframe, Aroeira Tailings | 11-94 |
| Figure 11-55: | View of the Aroeira Tailings Storage Area as of December 8, 2020 | 11-96 |
| Figure 11-56: | Frequency Histogram of the Zinc Uncapped Raw Sample Statistics, Aroeira Tailings | 11-97 |
Nexa Resources S.A. | Vazante Polymetallic Operations, SLR Project No: 233.03245.R0000
Technical Report Summary - February 15, 2021
xi
| Figure 11-57: | Frequency Histogram of the Lead Uncapped Raw Sample Statistics, Aroeira Tailings | 11-98 |
| Figure 11-58: | Frequency Histogram of the Silver Uncapped Raw Sample Statistics, Aroeira Tailings | 11-98 |
| Figure 11-59: | Histogram of Sample Lengths, Aroeira Tailings Samples | 11-99 |
| Figure 11-60: | Distribution of Dry Bulk Density Measurements, Aroeira Tailings | 11-100 |
| Figure 11-61: | Example Variograms for Zinc Grades Contained Within the Aroeira Tailings Mineralized Wireframe Domain | 11-101 |
| Figure 11-62: | Swath Plot for Zinc, Aroeira Tailings | 11-106 |
| Figure 11-63: | Quantile-Quantile Plot of the Zinc Grades, Aroeira Tailings | 11-107 |
| Figure 11-64: | Scatter Plot of the Zinc Grades, Aroeira Tailings | 11-108 |
| Figure 11-65: | Normal Scores Plot of the Zinc Grades, Aroeira Tailings | 11-109 |
| Figure 11-66: | Excavation of the Aroeira Tailings | 11-110 |
| Figure 11-67: | Zinc Grade-Recovery Curve for the Aroeira Tailings | 11-112 |
| Figure 11-68: | Lead Grade-Recovery Curve for the Aroeira Tailings | 11-113 |
| Figure 12-1: | Empirical Support Chart | 12-6 |
| Figure 12-2: | ELOS Graph for Vazante Mine | 12-8 |
| Figure 12-3: | Stope Stability Graph | 12-9 |
| Figure 13-1: | Mine Longitudinal Section Showing Resource Thickness Contours | 13-2 |
| Figure 13-2: | VRM and SLOS Longhole Stope Layouts | 13-5 |
| Figure 13-3: | VRM Longhole Stope Sequence Schematic | 13-6 |
| Figure 13-4: | Cut and Fill Stoping Schematic | 13-8 |
| Figure 13-5: | Mine Production Profile for LOM | 13-10 |
| Figure 13-6: | Mine Development Profile for LOM | 13-10 |
| Figure 13-7: | Mine Deepening Project Longitudinal Section | 13-12 |
| Figure 13-8: | Mine Dewatering Rate | 13-13 |
| Figure 13-9: | Historical Rain and Dewatering Rates | 13-13 |
| Figure 13-10: | Cumulative Development versus Pumping Rate | 13-14 |
| Figure 13-11: | Mine Longitudinal Section Showing Extent of Mine Workings and Water Table Levels | 13-15 |
| Figure 13-12: | Registered Sinkholes (January 2006 to July 2020) | 13-16 |
| Figure 13-13: | Registered Sinkholes (2001 to 2020) | 13-17 |
| Figure 13-14: | Vazante LOM Airflow | 13-19 |
| Figure 13-15: | Extremo Norte LOM Airflow | 13-20 |
Nexa Resources S.A. | Vazante Polymetallic Operations, SLR Project No: 233.03245.R0000
Technical Report Summary - February 15, 2021
xii
| Figure 13-16: | Mine Ventilation Schematic Diagram | 13-20 |
| Figure 14-1: | Process Block Flow Diagram | 14-2 |
| Figure 14-2: | Simplified Process Flow Sheet | 14-3 |
| Figure 15-1: | Vazante Mine Surface Infrastructure | 15-2 |
| Figure 15-2: | Site Plan | 15-3 |
| Figure 15-3: | General Site Layout, Process Plant Area | 15-4 |
| Figure 15-4: | General Site Layout, Administration Area | 15-5 |
| Figure 15-5: | Aroeira Tailings Storage Facility Plan View and Dam Typical Cross-Section | 15-9 |
| Figure 15-6: | Pilha Garrote Dry Stack Tailings Storage Facility Plan View and Typical Cross Section | 15-10 |
| Figure 19-1: | After-Tax NPV Sensitivity Graph | 19-8 |
Nexa Resources S.A. | Vazante Polymetallic Operations, SLR Project No: 233.03245.R0000
Technical Report Summary - February 15, 2021
xiii
| 1.0 | Executive Summary |
| 1.1 | Summary |
SLR Consulting Ltd. (SLR) was retained by Nexa Resources S.A. (Nexa) to prepare an independent Technical Report Summary on the Vazante Polymetallic Operations (the Vazante Operation), located in the state of Minas Gerais, Brazil. The purpose of this Technical Report Summary is to support the disclosure of Mineral Resource and Mineral Reserve estimates for the Vazante Operation as of December 31, 2020. This Technical Report Summary conforms to United States Securities and Exchange Commission’s (SEC) Modernized Property Disclosure Requirements for Mining Registrants as described in Subpart 229.1300 of Regulation S-K, Disclosure by Registrants Engaged in Mining Operations (S-K 1300) and Item 601 (b)(96) Technical Report Summary. SLR visited the property from November 19 to 23, 2018.
Nexa is a publicly traded company on the Toronto Stock Exchange (TSX) and the New York Stock Exchange (NYSE). Nexa is a reporting issuer in all provinces and territories of Canada and is under the jurisdiction of the Ontario Securities Commission.
Nexa is a large-scale, low-cost, integrated zinc producer with over 60 years of experience developing and operating mining and smelting assets in Latin America. Nexa has a diversified portfolio of polymetallic mines (zinc, lead, copper, silver, and gold) and also greenfield projects at various stages of development in Brazil and Peru. In Brazil, Nexa owns and operates two underground mines, Vazante and Morro Agudo (Zn and Pb). It also operates two zinc smelters in Brazil (Três Marias and Juiz de Fora). In Peru, Nexa operates the El Porvenir (Zn, Pb, Cu, and Ag), Cerro Lindo (Zn, Cu, Pb, and Ag), and Atacocha (Zn, Cu, Pb, Au, and Ag) mines, as well as the Cajamarquilla zinc smelter near Lima. Nexa’s development projects in Peru include Magistral, Shalipayco, Florida Canyon (JV with Solitario), Hilarión, and Pukaqaqa. In Brazil, Nexa is developing the Aripuanã Zinc Project (Zn, Pb, Cu, Au, and Ag), which is currently under construction.
Nexa’s wholly owned Vazante Operation is located approximately 8.5 km from the municipality of Vazante, in Minas Gerais State, Brazil. The Vazante Operation comprises the Vazante underground zinc-lead–silver mine (the Vazante Mine) and the Extremo Norte underground zinc–lead–silver mine (the Extremo Norte Mine), both featuring zinc silicate ore and lead/silver associated with sulphides. Mechanized open pit mining commenced in 1969, and underground mining at the Vazante Mine commenced in 1983. Access is through two portals for the Vazante Mine and one portal for the Extremo Norte Mine. As development progresses at the Extremo Norte Mine, a connecting drift will be established from the Vazante Mine to the Extremo Norte Mine. The Vazante Operation ore is treated at a concentrate plant that has a processing capacity of approximately 4,400 tonnes per day (tpd) or 1.6 million tonnes per annum (Mtpa). The Vazante Operation produces separate zinc silicate and lead sulphide concentrates. The zinc concentrate is processed at Nexa’s Três Marias smelter in Brazil approximately 250 km from the Vazante Operation, while the lead concentrate is sold on the open market. In 2020 the Vazante Operation produced 147,990 tonnes of zinc contained in zinc concentrate and 1,333 tonnes of lead contained in lead concentrate.
| Nexa Resources S.A.│Vazante Polymetallic Operations, SLR Project No: 233.03245.R0000 |
| Technical Report Summary - February 15, 2021 |
1-14
| 1.1.1 | Conclusions |
SLR offers the following conclusions by area.
| 1.1.1.1 | Geology and Mineral Resources |
| · | Mineral Resources have been estimated for three styles of mineralization – hypogene (willemite) mineralized zones, where mining currently takes place; supergene (calamine) mineralization, located near surface; and tailings contained within the Aroeira Tailings Storage Facility (TSF). |
| · | As prepared by Nexa and adopted by SLR, the Vazante Measured and Indicated Mineral Resources, effective as of December 31, 2020 and exclusive of Mineral Reserves, comprise 6.3 million tonnes (Mt) at grades of 6.88% Zn, 0.16% Pb, and 7.1 g/t Ag, containing 432.3 kt Zn, 10.2 kt Pb, and 1.44 million ounces (Moz) Ag. In addition, Inferred Mineral Resources comprise 13.8 Mt, at grades of 6.86% Zn, 0.18% Pb, and 9.5 g/t Ag, containing 950.2 kt Zn, 25.5 kt Pb, and 4.2 Moz Ag. |
| · | Mineral Resources have been classified in accordance with the definitions for Mineral Resources in S-K 1300, which are consistent with Canadian Institute of Mining, Metallurgy and Petroleum (CIM) Definition Standards for Mineral Resources and Mineral Reserves dated May 10, 2014 (CIM (2014) definitions). |
| · | The geological data and procedures are adequate for the estimation of Mineral Resources and comply with industry standards. |
| · | The “Reasonable Prospects for Economic Extraction” requirement of S-K 1300 resource definitions is satisfied by: |
| o | Reporting panels that have been created so as to achieve the required spatial continuity, cut-off grade, and minimum width criteria for the underground hypogene mineralization. |
| o | Open pit shells for the supergene mineralization. |
| o | The use of the original topographical surface as a constraint for the tailings mineralization. |
| · | Location data for the supergene and tailings drill holes is stored in a surface UTM coordinate system, while the hypogene drill data has been converted to an underground mine grid coordinate system. |
| 1.1.1.2 | Mining and Mineral Reserves |
| · | The Vazante Operation deposits support an average production rate of 1.5 Mtpa over the LOM, producing from 69,000 t Zn per year to 135,000 t Zn per year contained in zinc concentrate depending on head grade. |
| · | Deposit geometry and geomechanical properties are amenable to bulk longhole mining methods. The sublevel stoping (SLS) methods used at the Vazante Mine consist of a combination of downholes or vertical retreat mining (VRM) where stopes are backfilled with run of mine rock and up-holes or sublevel longhole open stopes (SLOS) which are not backfilled. |
| · | As prepared by Nexa and adopted by SLR, the Vazante Proven and Probable Mineral Reserves, effective as of December 31, 2020, comprise 16.7 Mt at grades of 8.61% Zn, 0.23% Pb, and 13.7 g/t Ag, containing 1.44 Mt Zn, 38,000 t Pb, and 7.37 Moz Ag. |
| · | Mineral Reserves have been classified in accordance with the definitions for Mineral Reserves in S-K 1300, which are consistent with CIM (2014) definitions. |
| Nexa Resources S.A.│Vazante Polymetallic Operations, SLR Project No: 233.03245.R0000 |
| Technical Report Summary - February 15, 2021 |
1-15
| · | Dilution and extraction estimates include: |
| o | Dilution – planned dilution for SLS assumes an estimate of the equivalent length of slough (ELOS, m) depending on the dip of the stope, ranging from zero metres to 0.75 m in the hanging wall and zero metres to 0.25 m in the footwall. |
| o | Pillars are also used to control stope dilution. These include the use of sill pillars between mining sublevels, island pillars located at the centre of stopes, and rib pillars positioned at the extremities of the stopes to reduce the potential for excess sloughing from the hanging wall contact and control dilution from adjacent filled stopes. |
| o | Extraction – initial selection of resources by stope optimization and design, plus additional factors of 83% to 98% by mining method, and 35% to 60% for pillar recovery. |
| · | The Vazante Operation requires extreme dewatering to operate, with pumping capacity increasing over time as total mine workings increase in size. The pumping rates in 2020 averaged approximately 12,500 m³/h, which while in excess of recent modelling, is well within the installed pumping capacity of the Vazante Operation (20,000 m3/h). |
| · | The second of a two-phase Mine Deepening Project (MDP) is underway with the water pumping capacity to increase at the bottom of the mine from 10,000 m3/h to 15,000 m³/h to be completed in 2022. |
| 1.1.1.3 | Mineral Processing |
| · | Recovery of zinc from silicate minerals is not common, however, processing via flotation works in a manner similar to recovery of zinc from sulphides. Recovery of zinc metal from zinc silicate concentrates, however, is quite different compared to recovery from sulphides, requiring hydrometallurgical processing at a dedicated facility such as Nexa’s Três Marias smelter. |
| · | Zinc recovery has been shown to be related to head grade. The head grade of the processing plant feed is forecast to decrease over the remainder of the LOM, therefore, recovery and zinc concentrate production are also forecast to decrease over the remainder of the LOM, even though the ore processing rate is forecast to continue at current rates until the final year in the LOM. |
| · | In the SLR Qualified Person’s (QP) opinion, the use of past operating performance to derive a head grade versus recovery relationship for zinc (and lead) is reasonable and adequate to predict future plant performance for future head grades and ore types similar to those processed in the past few years. |
| · | Plant feed is supplemented from time to time with small amounts of willemite tailings recovered from the Aroeira TSF and blended with the fresh ore, however, Nexa is considering increasing the tailings reprocessing rate to up to 10% of plant feed. Pilot plant test work using column flotation has been conducted to assess the possibility of processing tailings separately to improve zinc recovery and results have been positive. Variability test work on samples of tailings from the Aroeira TSF is underway to help evaluate the variability of metallurgical response of the tailings. |
| · | Nexa has identified calamine resources in the Extremo Norte deposit area and along the strike length, as well as in historical tailings (the Aroeira TSF), and potential calamine resources in other historical tailings deposits. Nexa is conducting test work on calamine mineralization from the Extremo Norte area to try to improve on historical calamine processing performance, which was characterized as challenging with zinc recovery of only 50%. |
| Nexa Resources S.A.│Vazante Polymetallic Operations, SLR Project No: 233.03245.R0000 |
| Technical Report Summary - February 15, 2021 |
1-16
| o | Bench-scale open circuit rougher-scavenger test work using conventional mechanical cells achieved approximately 23% Zn in concentrate at a recovery of up to 70%. An open circuit cleaner test produced a concentrate grading 39% Zn (the target zinc grade for concentrate being processed at Nexa’s Três Marias smelter) and a recovery of 63%. |
| o | Pilot plant test work at the Vazante Operation using conventional mechanical cells demonstrated that overall zinc recovery of up to 50% at concentrate grades over 37% was possible. The majority of zinc losses (approximately 60%) were to the fines fraction (< 38 µm) removed prior to flotation and occurring mainly as hemimorphite. Nexa noted that the use of column cells rather than mechanical cells could provide some improvement in yield due to the large proportion of fines in the feed, and that further assessment of collectors and fatty acids was necessary to improve the recovery of hemimorphite. |
| 1.1.1.4 | Environment & Social |
| · | No environmental issues were identified from the documentation available for review that could materially impact the ability to extract the Mineral Resources and Mineral Reserves. The Vazante Operation has all the environmental operational licences required for operation according to Brazilian legislation. The approved licences address the authority’s requirements for mining extraction and operation activities. The Vazante Operation has not applied for new permits and SLR is not aware of any new projects or modification to the existing operations triggering permitting processes. Four active Operation Licences are in the process of renewal through Council of Environmental Policy (COPAM) No. 104/1988/059/2016. |
| · | The environmental programs defined in the Environmental Control Plans, Plano de Controle Ambiental (PCAs) are an integral part of the Environmental Management System for adoption of measures aimed at the prevention, mitigation, and control of potential environmental impacts resulting from mining activities. Results of the environmental programs including monitoring of water quality, air quality and noise are documented in annual reports submitted to the authorities (SUPRAM-NOR). The SLR QP is not aware of non-compliance issues raised by the authorities. In the SLR QP’s opinion, the environmental management programs for Vazante are adequate to address potential issues related to environmental compliance. |
| · | Nexa utilizes an Integrated Dam Management System (referred to as SIGBar) which provides guidelines for document management, monitoring, evaluation, risk analysis, compliance with standards and legislation, training of personnel, operation of structures and other provisions. |
| · | Tailings are currently disposed of as filtered tailings at the Pilha Garrote dry stack tailings storage facility (DSTSF). The Aroeira TSF, the former primary location for tailings disposal until August 2019, will remain operational as a water storage facility. |
| · | Regular dam safety inspections have visually confirmed that the tailings beach of the Aroeira TSF between the dam and the tailings pond is greater than 40 m. |
| · | Dam monitoring consists of instrument measurements and field inspections. Dam monitoring data is reviewed by an external consultant (Geoconsultoria) on a monthly basis. Fortnightly inspections are completed by Nexa personnel and every six months by Geoconsultoria. The latest review by Geoconsultoria that was reviewed by SLR was dated 30 August 2019 (Relatório Técnico CM18-RT57 Rev.0). Geoconsultoria’s report states the dam safety condition is “Satisfactory” without the presence of erosions, cracks, or other features indicative of instability. |
| · | A Mine Closure Plan has been developed for all the Vazante Operation components within the context of Brazilian legislation and consideration to the VMH guideline for decommissioning (Guideline PG-VM-HSMQ-040 Revision 2.2). The most recent Mine Closure Plan and cost estimate were completed in January 2018. |
| Nexa Resources S.A.│Vazante Polymetallic Operations, SLR Project No: 233.03245.R0000 |
| Technical Report Summary - February 15, 2021 |
1-17
| · | A social baseline description, assessment of socio-economic impacts, and identification of socio-economic environment programs have been completed as part of the environmental impact assessments carried out to mitigate negative impacts and maximize positive benefits of the Vazante Operations. These components are generally consistent with social impact assessment practices. Nexa has developed and utilizes a number of social management programs and tools to help the it work with the nearby communities (risk analysis matrices, stakeholder tracking, social characterization plan and local development plan). In the SLR QP’s opinion the grievance mechanism in place and the social management programs and tools for the Vazante Operations, are adequate to address potential issues related to local communities. |
| · | Nexa hires from the local workforce when possible, both for skilled and unskilled workers. Outreach to the local community is conducted through social and employment programs. |
| · | No social issues were identified from the documentation available for review. The review of social aspects indicates that, at present, Nexa’s operations at the Vazante Operation are a positive contribution to sustainability and community wellbeing. Nexa has established and continues to implement its various corporate policies, procedures, and practices in a manner consistent with relevant International Finance Corporation (IFC) Performance Standards (PSs). Nexa has, and continues to make, a positive contribution to the communities most affected by the site operations and has done a thorough job in documenting potential effects on stakeholders and protecting the rights, health, and safety of its employees. |
| 1.1.1.5 | Costs and Economic Analysis |
| · | The LOM operating cost forecast reflects the existing operating status of the Vazante Operation. SLR has reviewed recent operating costs and is of the opinion that the forecast is appropriate for the Vazante Operation. Nexa also needs to continue assessing operating efficiencies and approaches in efforts to improve operating costs in the different cost centres. |
| · | The economics of the Vazante Operation are robust over the LOM, confirming that the Mineral Reserves are economically viable. The economic analysis indicates an after-tax net present value (NPV), at a 9% base discount rate, of $652 million. |
| 1.1.2 | Recommendations |
SLR offers the following recommendations by area.
| 1.1.2.1 | Geology and Mineral Resources |
| 1. | The coordinates for all supergene related drill holes be converted into the local mine grid coordinates so that the results from all Mineral Resource estimation activities can then be integrated with any underground mining activities that have been or are planned to be carried out in this area. |
| 2. | The drill hole dips for the drill holes examined be confirmed by direct visual inspection of the departing drill hole orientation at the drilling face. |
| 3. | The drill hole data relating to the tailings mineralization be converted into the mine grid coordinate system to more easily integrate the information for the underground mine. |
| Nexa Resources S.A.│Vazante Polymetallic Operations, SLR Project No: 233.03245.R0000 |
| Technical Report Summary - February 15, 2021 |
1-18
| 1.1.2.2 | Mining and Mineral Reserves |
| 1. | In SLR’s opinion high mine dilution at the Vazante Operation is caused in part by the current cable bolting procedure, whereby bolts are installed from the undercut level and fanned into the hanging wall of the stope. The cable bolt coverage of the stope should be improved by drilling the cable bolt holes from a hanging wall access, where the cost can be justified. Additionally, SLR also recommends assessing the production drilling design to reduce the potential for dilution. |
| 2. | SLR observed secondary breaking on surface during the 2018 site visit. The stope drill patterns should be reviewed with the intent of reducing the level of stope dilution through adjustment of the drill pattern. This may require drilling an additional hole on the hanging wall contact, between the current burden spacing. A reduced explosive charge per hole, using a lower density explosive, would aid to effectively trim the hanging wall contact thereby providing a much cleaner break. The reduced blast vibration impact (a lower peak particle velocity (ppv)) would lead to a lower degree of overbreak on the hanging wall and less dilution. |
| 3. | Dilution will be an issue in the narrow cut and fill stopes, which are not yet reflected in Mineral Reserves, as the four metre minimum mining width will impact upon every lift taken. A stope width review should be carried out for the planned cut and fill stopes to determine whether the current equipment fleet matches the orebody dimensions. |
| 4. | Narrow vein equipment should be assessed as soon as possible to have it readily available at the time narrower areas are encountered in the lower levels of the mine. |
| 5. | A trial test stope using a smaller drill unit in the upper section of the mine should be completed to assess the efficacy and optimize the drilling layouts, as a prerequisite to eventual application of the method on a larger scale in the lower levels of the mine, when a larger portion of the mine production comes from this area. |
| 6. | The use of a “shanty back” configuration on the hanging wall side of the drift should be evaluated to reduce dilution. |
| 7. | Given the extreme dewatering that is required to permit ongoing mining, hydrologic monitoring is considered a critical element of operations. Continued calibration of flows is recommended to predict, plan, and install required pumping capacities for the Vazante Operation. |
| 8. | The water table levels should be monitored as planned to help foresee any potential issues and assess mitigation measures that may be required. |
| 9. | The use of cemented rock fill (CRF) is recommended to enable mining of certain pillars where this is economical. A trade-off analysis would be required in each case. |
| 10. | The reconciliation results and the stope performance analysis should be used to evaluate stope designs to determine where improvements in mine planning would be most advantageous. |
| 1.1.2.3 | Mineral Processing |
| 1. | Continue the variability test work and process development on samples of Aroeira willemite tailings to assess the variability of metallurgical response and provide an estimate of overall recovery from the willemite portion of the tails that can be used in economic studies of the installation of a dedicated tailings processing circuit. |
| 2. | Calamine processing test work: continue process development test work to improve recovery, including the evaluation of collectors for improved recovery of hemimorphite, and consider options that may help to improve recovery from calamine mineralization such as: |
| o | Separate processing of calamine and willemite mineralization. |
| Nexa Resources S.A.│Vazante Polymetallic Operations, SLR Project No: 233.03245.R0000 |
| Technical Report Summary - February 15, 2021 |
1-19
| o | A coarser primary grind for calamine mineralization and evaluation of the effect of a coarser primary grind on the proportion of fines in the flotation feed and zinc (and zinc mineral) deportment to fines. |
| o | Separate processing of the fines fraction to recover hemimorphite in a purpose-built fines processing circuit, which could also be used for processing historical calamine tailings. |
| 3. | Consider developing a combined strategy for processing historical tailings and calamine ore, since the two feeds, or portions of the feeds (e.g., calamine fines) may require similar equipment for processing; this strategy could then help with test work planning, production, and financial planning. |
| 1.1.2.4 | Environment & Social |
| 1. | Although it is not a requirement in the Operation Licences, SLR recommends considering the implementation of a monitoring program for flora and fauna for the Vazante Operation. |
| 2. | The Golder closure report (No. RT-006_169-525-2593_03-J 75, dated January 2018) recommends that a more detailed assessment be made of the impact of ore processing on the potential for release of sulphates from the tailings at the Pilha Garrote DSTSF. |
| 3. | The placement and compaction of the filtered and cyclone tailings during the wet season should be considered. |
| 4. | Dust generation from the Pilha Garrote DSTSF during the dry season must be considered. |
| 5. | The water balance for the Aroeira TSF must be reviewed through additional water balance modelling to determine the impact of use as a water management facility, increased mine dewatering and surface runoff from the Pilha Garrote DSTSF. Different climate scenarios should be simulated to account for years with annual precipitation below and above the statistical average (i.e. dry and wet years). The water balance modelling should be used to investigate changes in water availability for ore processing and changes in effluent discharge rates to the Santa Catarina River. |
| 1.1.2.5 | Cost and Economic Analysis |
| 1. | Continuously monitor costs and exchange rates and lock in costs as soon as possible to eliminate economic uncertainty. |
| 2. | Continue efforts towards improving efficiencies and approaches to mining and development operations as opportunities arise in these areas. |
| 1.2 | Economic Analysis |
The economic analysis contained in this Technical Report Summary is based on the Mineral Reserves, economic assumptions provided by Nexa for the Vazante Operation, and the capital and operating costs as presented in Section 18 of this Technical Report Summary.
| 1.2.1 | Economic Criteria |
| 1.2.1.1 | Revenue |
| · | Revenue is estimated based on the following LOM average metal prices: |
| o | Zinc price: | US$2,491/t Zn |
| o | Lead price: | US$1,960/t Pb |
| o | Silver price: | US$17.01/oz Ag |
| Nexa Resources S.A.│Vazante Polymetallic Operations, SLR Project No: 233.03245.R0000 |
| Technical Report Summary - February 15, 2021 |
1-20
| · | Net Revenue includes the benefit of zinc smelting at cost (rather than at commercial third-party terms), due to integration with Nexa’s Três Marias refinery. |
| · | Logistics, Treatment and Refining charges: |
| o | LOM average Transportation/Logistics charges: |
| § | Zinc concentrate to Três Marias refinery: US$16.7/t concentrate |
| § | Lead concentrate to Asia: US$278.7/t concentrate |
| o | Treatment Charges (TC): |
| § | LOM average TC for lead concentrate: US$200.4/t concentrate |
| § | LOM average refined zinc conversion costs at Três Marias: US$477/t |
| o | Refining Charges: |
| § | Silver in lead concentrate: US$1.00/oz Ag |
| · | LOM Net Revenue after Treatment and Refining charges is US$2,627 million. |
| 1.2.1.2 | Taxation and Royalties |
| · | Corporate income tax rate in Brazil is 34%. |
| · | CFEM royalty rate: 2%. |
| · | SLR has relied on a Nexa taxation model for calculation of income taxes applicable to the cash flow. |
| 1.2.2 | Cash Flow |
SLR reviewed the Vazante Operation LOM after-tax cash flow model to confirm the economics of the LOM plan. The model does not account for the following components:
| · | Financing costs |
| · | Insurance |
| · | Overhead cost for a corporate office |
| Nexa Resources S.A.│Vazante Polymetallic Operations, SLR Project No: 233.03245.R0000 |
| Technical Report Summary - February 15, 2021 |
1-21
A cash flow summary is presented in Table 1-1.
Table 1-1: Cash Flow Summary
Nexa Resources S.A. – Vazante Polymetallic Operations
| Parameter | Units | Undiscounted | Discounted at 9% | |||||||
| Mill Feed, Total | Mt | 16.7 | ||||||||
| LOM | years | 11 | ||||||||
| Revenues | US$M | 2,639 | 1,782 | |||||||
| Royalties | US$M | 12.1 | 8 | |||||||
| Net Revenues | US$M | 2,627 | 1,775 | |||||||
| Operating Costs | ||||||||||
| Mining | US$M | 448 | 296 | |||||||
| Processing and Tailings | US$M | 223 | 144 | |||||||
| G&A | US$M | 85 | 54 | |||||||
| Total Operating Cost | US$M | 755 | 495 | |||||||
| Sales Costs | US$M | 71 | 47 | |||||||
| Other operating results | US$M | 59 | 29 | |||||||
| EBITDA | US$M | 1,742 | 1,204 | |||||||
| Capital Costs | ||||||||||
| Capital Costs (net of taxes) | US$M | 83 | 63 | |||||||
| Sustaining Capital (net of taxes) | US$M | 146 | 111 | |||||||
| Closure & Other | US$M | 38 | 14 | |||||||
| Working Capital | US$M | 8 | 0 | |||||||
| Total Capital Costs | US$M | 275 | 189 | |||||||
| Pre-tax Cash Flow | US$M | 1,467 | 1,017 | |||||||
| Income Tax | US$M | 514 | 365 | |||||||
| After-tax Cash Flow | US$M | 954 | 652 | |||||||
| Pre-tax NPV | ||||||||||
| NPV 8% | US$M | 1,055 | ||||||||
| NPV 9% | US$M | 1,017 | ||||||||
| NPV 10% | US$M | 981 | ||||||||
| After-tax NPV | ||||||||||
| NPV 8% | US$M | 677 | ||||||||
| NPV 9% | US$M | 652 | ||||||||
| NPV 10% | US$M | 628 | ||||||||
Note:
| 1. | Numbers may not add due to rounding. |
| 1.2.3 | Sensitivity Analysis |
Key economic risks were examined by running cash flow sensitivities on after-tax NPV at a 9% discount rate. The following items were examined:
| · | Metal prices |
| · | Head grade |
| · | Metallurgical recovery |
| · | Operating costs, and |
| · | Capital costs |
The after-tax NPV is most sensitive to head grade, then to metal prices, followed by recovery, operating costs, and capital costs.
| Nexa Resources S.A.│Vazante Polymetallic Operations, SLR Project No: 233.03245.R0000 |
| Technical Report Summary - February 15, 2021 |
1-22
| 1.3 | Technical Summary |
| 1.3.1 | Property Description |
Title to the Vazante Operation is held by Nexa Recursos Minerais S.A. (Nexa Brazil) and Mineração Soledade Ltda, a subsidiary of Nexa Brazil. Nexa Brazil holds two Mining Concessions and one Group of Mine Concessions, with the Group of Mine Concessions comprising six Mining Concessions. Surrounding the Mineral Resource/Mineral Reserve area, Nexa Brazil also holds 62 Exploration Licenses, three Rights to Apply for Mining Concession, two Mining Concessions, and one Mining Concession Application in addition to the core tenements.
| 1.3.2 | Accessibility, Climate, Local Resources, Infrastructure, and Physiography |
The Vazante Operation is located in the western portion of the state of Minas Gerais, Brazil at a latitude of approximately 17 57’ 33” S and a longitude of approximately 46° 49’ 42” W, within Zone 23S of the Universal Transverse Mercator coordinate system (Cόrrego Alegre Datum) at approximately 306,000 mE and 8,016,000 mN. The Vazante Operation is located approximately 8.5 km east of the town of Vazante, 253 km southeast of Brasilia, and 370 km northwest of Belo Horizonte.
The region is classified as warm, sub-humid with four to five dry months annually. Average temperatures vary between 13°C and 27°C in the winter and between 18°C and 30°C in the summer. The historical average annual rainfall is 1,441.5 mm, with more than 80% occurring during the rainy season, which runs from October to March. The predominant wind directions are northeast to southwest. The topography in the Vazante Operation area is characterized by gently rolling hillsides with incised streams and rivers. The elevations of the Vazante Operation area ranges from approximately 690 metres above mean sea level (masl) to 970 masl.
The main economic activities of the region include cattle raising, farming, and mining. Most of the mine employees reside in Vazante, which has a population of approximately 20,600, and commute to the mine site daily. Goods and services in support of mining operations are generally sourced from Belo Horizonte. The region is well serviced with electricity supplied from the national grid as well as modern telecommunications. Basic medical services are available in the town of Vazante, with higher levels of medical services available in Paracatu, Brasilia, or Belo Horizonte.
| 1.3.3 | History |
Mineralization in the Vazante Operation area was initially discovered by Angelo Solis in 1933 who acquired the first mineral titles to the area. The mineral rights to the Vazante Mine portion of the Vazante Operation land holdings were first acquired by Companhia Mineira de Metais (CMM) in 1956. CMM later became Votorantim Resources in 2005 and more recently Nexa Resources S.A. in 2014. The original land titles for the Vazante Operation were added and expanded over the years by means of direct land acquisition (claim staking) and various option agreements and purchases. The Extremo Norte Mine portion of the current Vazante Operation land holdings was acquired by purchase in 2007.
| Nexa Resources S.A.│Vazante Polymetallic Operations, SLR Project No: 233.03245.R0000 |
| Technical Report Summary - February 15, 2021 |
1-23

| 1.3.4 | Geological Setting, Mineralization, and Deposit |
The geology of the Vazante Operation area consists of a sequence of pelitic carbonate rocks belonging to the Serra de Garrote and Serra do Poço Verde formations of the Vazante Group. The currently known mineralization has been traced along a strike length of approximately 10.5 km, extending from the southern end of the Vazante Mine to the northern limits of the Extremo Norte Mine.
The zinc-lead-silver mineralization at the Vazante Operation is hosted by the Vazante Shear Zone which has been traced by drilling and sampling along a strike length of approximately 12 km. The Vazante Shear Zone has a general strike of azimuth 50° and dips approximately 60° to the northwest at surface. The hanging wall lithologies of the Vazante Shear Zone are comprised of dolostone and sericitic phyllite, slates and marl units of the Serra do Poço Verde Formation while the footwall lithologies to the Vazante Shear Zone are dominated by dark grey dolostones of the Upper Morro do Pinheiro Member. Drilling information indicates that the dip of the zinc mineralized zone gradually decreases with depth in the southern portions of the structure.
The zinc mineralization at the Vazante and Extremo Norte mines is composed largely of hypogene zones that are composed mainly of willemite (Zn2SiO4) veins, veinlets, and stockworks that are hosted by sphalerite-rich carbonate. The mineralization typically contains willemite (50% to 70%), dolomite (10% to 30%), siderite (10% to 20%), quartz (10% to 15%), hematite (5% to 10%), zinc-rich chlorite (5% to 10%), barite (<5%), franklinite (<5%), and zincite (<5%), with subordinate concentrations of magnetite and apatite (Monteiro et. al., 2006). Lead and silver are also recovered from the hypogene mineralization is produced from the Vazante Operation. While no detailed studies regarding the specific lead and silver bearing minerals have been carried out on samples of the hypogene mineralization, several detailed mineralogical studies have been conducted using concentrate samples. SLR notes that the majority of the lead mineralization in the concentrates has been found to be related to galena (PbS), with lesser amounts of lead being contained in cerussite (Pb(CO3)). Mineralogical studies have indicated that the silver values are contained in the minerals acanthite (Ag2S) and jalpaite (Ag2CuS2).
Supergene zones of zinc-rich mineralization have been developed in the near-surface portions of the hypogene mineralized zones. These supergene zones are referred to as the calamine zones at the Vazante Operation. The calamine mineralization is composed principally of smithsonite (ZnCO3) that includes subordinate amounts of hemimorphite (Zn4(Si2O7)(OH)2.H2O) and quartz. The calamine mineralized zones were derived from weathering of the primary willemite mineralization.
| 1.3.5 | Exploration |
Zinc was first discovered at the Vazante Operation in 1951 when areas of gossan and calamine mineralization were discovered in surface outcrops. Since 1951, exploration has largely consisted of geological mapping and geophysical surveying, with minor amounts of geochemical sampling programs being carried out to locate outcropping mineralized zones. In the Vazante Operation area, exploration programs (including drilling) have strategically been carried out in support of extensions of mining operations, including the possibility of deepening of the mine infrastructure.
The Nexa geological team has continued to conduct exploration activities in the immediate environs of the Vazante Mine as well as in the neighbouring regions. The regional exploration programs have discovered several occurrences of zinc mineralization including Vazante Norte, Carrapato, Vazante Sul, and Sugem.

Nexa Resources S.A. | Vazante Polymetallic Operations, SLR Project No: 233.03245.R0000
Technical Report Summary - February 15, 2021
1-24

| 1.3.6 | Mineral Resource Estimates |
The Mineral Resources comprise three styles of mineralization. The first style of mineralization is represented by the hypogene (willemite) mineralized zones that are found in the underground portions of the Vazante and Extremo Norte deposits. The second style of mineralization is represented by the supergene (calamine) mineralized zones found in the Cava 3A, Matas dos Paulistas, and Braquiara areas of the Extremo Norte and Vazante deposits. This supergene (calamine) mineralization is referred to at the Vazante Operation as calamine mineralization and comprises a mixture of smithsonite and hemimorphite minerals. The third type of mineralization comprises tailings that are contained within the Aroeira TSF. The material found in the Aroeira TSF comprise a mixture of hypogene (willemite) and supergene (calamine) minerals.
The 2020 year end (YE) Mineral Resources as of December 31, 2020 for the Vazante Operation are presented in Table 1-2. Mineral Resources have been classified in accordance with the definitions for Mineral Resources in S-K 1300, which are consistent with CIM (2014) definitions. The Mineral Resources are exclusive of Mineral Reserves. The Mineral Resource statements for the underground hypogene (willemite) mineralization are prepared within reporting panels that have been created so as to achieve the required spatial continuity, cut-off grade, and minimum width criteria. The Mineral Resource statements for the supergene (calamine) mineralization are prepared using an open pit shell. The Mineral Resource statements for the tailings are reported using the original topographic surface as a constraint.
Table 1-2: Summary of Mineral Resources as of December 31, 2020
Nexa Resources S.A. – Vazante Polymetallic Operations
| Tonnes | Grade | Contained Metal | ||||||||||||||||||||||||||||
| Category | Area | (000 t) | (% Zn) | (% Pb) | (g/t Ag) | (000 t Zn) | (000 t Pb) | (000 oz Ag) | ||||||||||||||||||||||
| Vazante & Extremo Norte | 3,400 | 6.91 | 0.18 | 8.4 | 235.0 | 6.2 | 918 | |||||||||||||||||||||||
| Measured | Calamine | 0 | 0.00 | 0.00 | 0.0 | 0.0 | 0.0 | 0 | ||||||||||||||||||||||
| Tailings | 0 | 0.00 | 0.00 | 0.0 | 0.0 | 0.0 | 0 | |||||||||||||||||||||||
| Subtotal, Measured | 3,400 | 6.91 | 0.18 | 8.4 | 235.0 | 6.2 | 918 | |||||||||||||||||||||||
| Vazante & Extremo Norte | 2,000 | 5.84 | 0.13 | 7.6 | 117.0 | 2.6 | 489 | |||||||||||||||||||||||
| Indicated | Calamine | 880 | 9.13 | 0.16 | 1.2 | 80.3 | 1.4 | 34 | ||||||||||||||||||||||
| Tailings | 0.00 | 0.00 | 0.00 | 0.0 | 0.0 | 0.0 | 0.0 | |||||||||||||||||||||||
| Subtotal, Indicated | 2,880 | 6.85 | 0.14 | 5.6 | 197.3 | 4.0 | 523 | |||||||||||||||||||||||
| Vazante & Extremo Norte | 5,400 | 6.52 | 0.16 | 8.1 | 352.0 | 8.8 | 1,407 | |||||||||||||||||||||||
| Meas. & Ind. | Calamine | 880 | 9.13 | 0.16 | 1.2 | 80.3 | 1.4 | 34 | ||||||||||||||||||||||
| Tailings | 0.00 | 0.00 | 0.00 | 0.0 | 0.0 | 0.0 | 0.0 | |||||||||||||||||||||||
| Subtotal, M&I | 6,280 | 6.88 | 0.16 | 7.1 | 432.3 | 10.2 | 1,441 | |||||||||||||||||||||||
| Vazante & Extremo Norte | 9,040 | 7.79 | 0.17 | 11.0 | 704.0 | 14.9 | 3,190 | |||||||||||||||||||||||
| Inferred | Calamine | 870 | 9.92 | 0.09 | 1.1 | 86.3 | 0.8 | 31 | ||||||||||||||||||||||
| Tailings | 3,939 | 4.06 | 0.25 | 7.8 | 159.9 | 9.8 | 995 | |||||||||||||||||||||||
| Subtotal, Inferred | 13,849 | 6.86 | 0.18 | 9.5 | 950.2 | 25.5 | 4,216 | |||||||||||||||||||||||

Nexa Resources S.A. | Vazante Polymetallic Operations, SLR Project No: 233.03245.R0000
Technical Report Summary - February 15, 2021
1-25

Notes:
| 1. | The definitions for Mineral Resources in S-K 1300 were followed for Mineral Resources which are consistent with CIM (2014) definitions. | |
| 2. | Mineral Resources are reported on a 100% ownership basis. | |
| 3. | Mineral Resources are estimated at various NSR cut-off values appropriate to the mineralization style. | |
| 4. | Mineral Resources are estimated using average long term metal prices of Zn: US$2,869.14/t (US$1.30/lb), Pb: US$2,249.40/t (US$1.02/lb), and Ag: US$19.38/oz, and metallurgical recoveries are based on recovery curves derived from historical processing data. An average long term Brazilian Real (R$)/US$ exchange rate of 4.84 was used. | |
| 5. | A minimum mining width of 3.0 m was used to create Mineral Resource reporting shapes for the willemite mineralization. | |
| 6. | Mineral Resources are exclusive of Mineral Reserves. | |
| 7. | Mineral Resources that are not Mineral Reserves do not have demonstrated economic viability. | |
| 8. | Numbers may not add due to rounding. |
The SLR QP is of the opinion that, with consideration of the recommendations summarized in this section, any issues relating to all relevant technical and economic factors likely to influence the prospect of economic extraction can be resolved with further work.
| 1.3.7 | Mineral Reserve Estimates |
The Vazante Operation Mineral Reserves are based in three main orebodies: Lumiadeira, Sucuri, and Extremo Norte. The main commodities produced are zinc, lead, and silver. The Mineral Reserve estimate for the Vazante Operation as of December 31, 2020 is presented in Table 1-3.
Table 1-3: Summary of Mineral Reserves as of December 31, 2020
Nexa Resources S.A. – Vazante Polymetallic Operations
| Tonnes | Grade | Contained Metal | ||||||||||||||||||||||||||
| Deposit/Category | (000 t) | (% Zn) | (% Pb) | (g/t Ag) | (000 t Zn) | (000 t Pb) | (000 oz Ag) | |||||||||||||||||||||
| Lumiadeira | ||||||||||||||||||||||||||||
| Proven | 3,410 | 8.93 | 0.22 | 20.78 | 304.5 | 7.6 | 2,278 | |||||||||||||||||||||
| Probable | 3,260 | 8.86 | 0.22 | 18.44 | 289.0 | 7.2 | 1,933 | |||||||||||||||||||||
| Proven & Probable | 6,670 | 8.90 | 0.22 | 19.64 | 593.5 | 14.8 | 4,211 | |||||||||||||||||||||
| Sucuri | ||||||||||||||||||||||||||||
| Proven | 3,408 | 8.41 | 0.26 | 13.74 | 286.8 | 9.0 | 1,505 | |||||||||||||||||||||
| Probable | 1,225 | 7.17 | 0.26 | 11.40 | 87.9 | 3.2 | 449 | |||||||||||||||||||||
| Proven & Probable | 4,633 | 8.09 | 0.26 | 13.12 | 374.7 | 12.3 | 1,954 | |||||||||||||||||||||
| Extremo Norte | ||||||||||||||||||||||||||||
| Proven | 1,621 | 7.25 | 0.24 | 6.57 | 117.5 | 4.0 | 342 | |||||||||||||||||||||
| Probable | 3,760 | 9.34 | 0.18 | 7.11 | 351.0 | 6.9 | 860 | |||||||||||||||||||||
| Proven & Probable | 5,381 | 8.71 | 0.20 | 6.95 | 468.6 | 10.9 | 1,202 | |||||||||||||||||||||
| Total | ||||||||||||||||||||||||||||
| Proven | 8,439 | 8.40 | 0.24 | 15.20 | 708.8 | 20.6 | 4,125 | |||||||||||||||||||||
| Probable | 8,245 | 8.83 | 0.21 | 12.23 | 727.9 | 17.4 | 3,241 | |||||||||||||||||||||
| Proven & Probable | 16,684 | 8.61 | 0.23 | 13.73 | 1,436.7 | 38.0 | 7,367 | |||||||||||||||||||||

Nexa Resources S.A. | Vazante Polymetallic Operations, SLR Project No: 233.03245.R0000
Technical Report Summary - February 15, 2021
1-26

Notes:
| 1. | The definitions for Mineral Reserves in S-K 1300 were followed for Mineral Reserves which are consistent with CIM (2014) definitions. | |
| 2. | Mineral Reserves are estimated at a cut-off NSR value of US$47.49/t processed. | |
| 3. | Mineral Reserves are estimated using average LOM metal prices of US$2,494.90/t Zn, US$1,956.00/t Pb and US$16.85/oz Ag and a R$/US$ exchange rate of 4.84. | |
| 4. | A minimum mining width of 4.0 m was used. | |
| 5. | Bulk density is 3.1 t/m3. | |
| 6. | Numbers may not add due to rounding. |
Contained metal in the Mineral Reserves consists of 1.44 Mt Zn, 38,000 t Pb, and 7.37 Moz Ag.
The SLR QP is not aware of any risk factors associated with, or changes to, any aspect, of the modifying factors such as mining, metallurgical, infrastructure, permitting, or other relevant factors that could materially affect the Mineral Reserve estimate.
| 1.3.8 | Mining Methods |
The Vazante Operation consists of two mechanized underground mines, the Vazante Mine and Extremo Norte Mine, currently operating at a rate of approximately 1.5 Mtpa. The mineralized zones dip between 45° and 70° and the mine extends over a strike length of five kilometres. With the addition of the North Extension, this will increase to approximately 10 km. The Vazante Mine currently extends over a vertical depth of 300 m from surface to the 326 level. The Vazante Mine is being deepened by 186 m to the planned 140 level. There are former open pits along portions of the strike of the Vazante deposit.
There are two access ramps to the Vazante Mine and one to the Extremo Norte Mine. Mine headings range from 5 m high by 4.5 m wide ore drives to 6 m high by 5 m wide main ramps.
The Vazante Operation is designed based upon mechanized longitudinal longhole stoping for areas with a dip greater than 45°. Longhole stopes are developed with footwall access drives parallel to the orebody. Crosscuts are driven from the footwall drive and then the ore is developed along strike. Sublevels are typically 30 m apart though the distance varies depending on the orebody. Long holes are often a combination of downholes or VRM and uppers or sublevel longhole open stopes (SLOS). Both longhole methods employ a retreat sequence along strike. The SLOS stopes are not backfilled whereas the VRM stopes are backfilled.

Nexa Resources S.A. | Vazante Polymetallic Operations, SLR Project No: 233.03245.R0000
Technical Report Summary - February 15, 2021
1-27
| 1.3.9 | Processing and Recovery Methods |
The Vazante Operation currently processes ore in which the main zinc mineral is willemite, a zinc silicate mineral (Zn2SiO4). During earlier Vazante operations the predominant zinc mineralization occurred as calamine, which consists of both smithsonite (ZnCO3) and hemimorphite (Zn4Si2O7(OH)2·H2O). Processing consists of crushing, grinding, and flotation, resulting in the production of a zinc silicate concentrate and small quantities of lead sulphide concentrate. Calamine ore has not been produced or processed since 2008. Treatment of calamine ores was more challenging than willemite ores with zinc recovery from calamine ores typically only approximately 50%, while zinc recovery from willemite ores typically ranges from approximately 81% to 91%. Recent zinc recovery to concentrate (2017 to 2020) has ranged from 84% to 87%.
Zinc is the primary metal of economic importance, with minor quantities of lead as galena and associated silver minerals allowing for the production of relatively small amounts of lead concentrate as well. The Vazante Operation produces approximately 350,000 tonnes per annum (tpa) to 370,000 tpa of zinc concentrate and approximately 4,000 tpa to 5,000 tpa of lead concentrate that contains silver. Due to the ore mineralogy, zinc concentrate produced at the Vazante Operation is elevated in silica, calcium, magnesium, and carbonates resulting from the presence of carbonate gangue (predominantly dolomite). Nexa’s Três Marias zinc smelter includes a processing circuit specifically configured to process the zinc silicate concentrate produced at the Vazante Operation and as a result, all of the concentrate produced at the Vazante Operation is processed at the Três Marias smelter where zinc metal is produced. The lead concentrate produced at the Vazante Operation is sold on the open market.
| 1.3.10 | Infrastructure |
The surface and underground infrastructure of the Vazante Operation include:
| · | Seven historic open pit mines that have exploited the near-surface calamine mineralization. |
| · | Two underground mines (Vazante and Extremo Norte) that together extend for a strike length of approximately nine kilometres and to a depth of approximately 550 m from surface. |
| · | An ore blending and reclaim facility. |
| · | Two processing plants, Plant W and Plant C. Plant W has a nominal throughput capacity of 1.2 Mtpa and Plant C has a nominal throughput capacity of 0.4 Mtpa. |
| · | Several TSFs (two active). |
| · | A core logging and sampling facility. |
| · | Warehousing. |
| · | An assay laboratory. |
| · | A millwright and electrical shop. |
| · | An administrative building. |
| · | A first aid station. |
The power supply to the Vazante Operation is provided by two independent 138 kV transmission lines that feed the site and that can provide up to 55 MW.
| Nexa Resources S.A.│Vazante Polymetallic Operations, SLR Project No: 233.03245.R0000 |
| Technical Report Summary - February 15, 2021 |
1-28
| 1.3.11 | Market Studies |
| 1.3.11.1 | Zinc Concentrate |
Due to the ore mineralogy, zinc concentrate produced at the Vazante Operation is elevated in silica, calcium, magnesium, and carbonates resulting from the presence of carbonate gangue (predominantly dolomite). Recovery of zinc metal from zinc silicate concentrates is quite different compared to recovery from sulphides, requiring hydrometallurgical processing at a dedicated facility such as Nexa’s Três Marias smelter. The Três Marias zinc smelter includes a processing circuit specifically configured to process the zinc silicate concentrate produced at the Vazante Operation and, as a result, all of the concentrate produced at the Vazante Operation is processed at the Três Marias smelter where zinc metal is produced. The Vazante Operation concentrate accounts for approximately 70% of the feed to the Três Marias smelter. Deleterious elements affecting the Três Marias smelting operation are controlled at the Vazante Operation to ensure that they do not exceed the limits imposed by the smelter.
| 1.3.11.2 | Lead Concentrate |
Nexa provided information regarding sales contracts for lead concentrate produced at the Vazante Operation. According to this information, sales contracts are in place with concentrate traders for the sale of the lead concentrate and are considered to be consistent with industry norms. Since the lead concentrate produced at the Vazante Operation contains less than the preferred 45% lead (typically the concentrate contains approximately 23% lead), the concentrate is subject to a small penalty charge, reported by Nexa to be less than $1.00/t.
| 1.3.12 | Environmental Studies, Permitting and Plans, Negotiations, or Agreements with Local Individuals or Groups |
The Vazante Operation has a net positive water balance that results in surplus water collected onsite being discharged to the receiving environment. Industrial effluents from the Vazante Operation are directed to the Aroeira TSF, together with surface runoff from the crushing area, chemical laboratory area, and channel network for surface water collection. Underground mine dewatering is pumped to surface and conveyed via gravity to the Aroeira TSF tailings pond through a concrete channel. Water is pumped from the Aroeira TSF to offset make up water requirements for ore processing. Excess water collected in the Aroeira TSF is released to the Santa Catarina River. Dewatering from the Extremo Norte Mine is pumped to a sediment sump prior to release to the Ouro Podre stream.
Tailings are currently disposed in the Pilha Garrote DSTSF as filtered tailings, and at the Aroeira TSF as a slurry. The Pilha Garrote DSTSF is the primary TSF. Waste rock is used for backfilling or disposed of at surface in mined-out open pits.
Six Environmental Impact Assessments (EIAs) complemented with other studies have been developed since 2000 to identify potential environmental effects resulting from project activities for the construction, operation, and closure stages. The mitigation measures are mostly addressed through a number of environmental control programs (including environmental monitoring) presented in the EIAs.
The Vazante Operation holds several permits in support of the current operations. The main instrument to regulate the Vazante Operation is a set of operating licences issued by the COPAM from the state of Minas Gerais. The licences are active, some of them under renewal process.
| Nexa Resources S.A.│Vazante Polymetallic Operations, SLR Project No: 233.03245.R0000 |
| Technical Report Summary - February 15, 2021 |
1-29
Two annual environmental reports (one for the Vazante Mine and one for the Extremo Norte Mine) were prepared by Nexa in 2020 and submitted to the authority (Regional Environment Superintendence SUPRAM-NOR) in compliance with Condition 01 of the Operation Licences.
The closest community is the municipality of Vazante, located 8.5 km from the Vazante Operation with a population of approximately 20,600 residents. The closest major urban centre is Brasilia, approximately five hours away via roadways (250 km), with a population of approximately 4.7 million residents.
The most recent Mine Closure Plan was prepared in 2018. The Mine Closure Plan has been designed to address remediation of the operational areas, and to meet Brazilian engineering requirements for such plans at a conceptual level. The plan identifies three key phases: pre-closure, closure, and post-closure. Most facilities will be dismantled, and equipment removed from the site. Underground openings will be sealed, and groundwater levels allowed to stabilize.
Closure of the Aroeira TSF will involve removal of the tailings pond, construction of an outlet channel, decommissioning of the operating spillway, placing of topsoil on the deposited tailings surface and revegetation. Closure of the Pilha Garrote DSTSF will involve construction of a surface drainage system, placing of topsoil and revegetation. Post-closure monitoring would be undertaken over a 10 year period (conceptually 2029 to 2038), and would include monitoring of geotechnical stability, water quality, fauna, and revegetation.
| 1.3.13 | Capital and Operating Cost Estimates |
Sustaining capital costs were estimated by Nexa, with the majority of the costs consisting of mine development and heavy mobile equipment needed to replace the aging fleet. Sustaining capital costs are summarized in Table 1-4.
Table 1-4: Sustaining Capital Cost Estimate
Nexa Resources S.A. – Vazante Polymetallic Operations
| Category | Sustaining Costs (US$ millions) | |||
| Safety, Health & Environmental | 4.8 | |||
| Heavy Mobile Equipment | 53.9 | |||
| Expansion | 18.5 | |||
| Modernization | 6.0 | |||
| Horizontal Development | 94.7 | |||
| Vertical Development | 23.6 | |||
| Sustaining | 27.4 | |||
| Operational Working Capital | -7.6 | |||
| Closure | 38.5 | |||
| Total | 259.9 | |||
Operating costs estimated by Nexa, averaging US$68.6 million per year, were estimated for mining, processing, and general and administration (G&A). Operating cost inputs such as labour rates, consumables, and supplies were based on Nexa operating data. A summary of operating costs is provided in Table 1-5.
| Nexa Resources S.A.│Vazante Polymetallic Operations, SLR Project No: 233.03245.R0000 |
| Technical Report Summary - February 15, 2021 |
1-30
Table 1-5: Operating Cost Estimate
Nexa Resources S.A. – Vazante Polymetallic Operations
| Parameter | Total LOM (US$ millions) | Average Year (US$ millions/yr) | LOM Unit Cost (US$/t) | ||||||||||
| Mining | 447.7 | 40.7 | 26.83 | ||||||||||
| Processing | 222.8 | 20.3 | 13.36 | ||||||||||
| G&A | 84.5 | 7.7 | 5.06 | ||||||||||
| Total | 755.0 | 68.6 | 45.25 | ||||||||||
SLR notes that capital and operating costs are incurred in Brazilian Reais (R$), and that the foreign exchange rate R$:US$ has a significant impact on costs.
| Nexa Resources S.A.│Vazante Polymetallic Operations, SLR Project No: 233.03245.R0000 |
| Technical Report Summary - February 15, 2021 |
1-31
| 2.0 | Introduction |
SLR Consulting Ltd (SLR) was retained by Nexa Resources S.A. (Nexa) to prepare an independent Technical Report Summary on the Vazante Polymetallic Operations (the Vazante Operation), located in the state of Minas Gerais, Brazil. The purpose of this Technical Report Summary is to support the disclosure of Mineral Resource and Mineral Reserve estimates for the Vazante Operation as of December 31, 2020. This Technical Report Summary conforms to United States Securities and Exchange Commission’s (SEC) Modernized Property Disclosure Requirements for Mining Registrants as described in Subpart 229.1300 of Regulation S-K, Disclosure by Registrants Engaged in Mining Operations (S-K 1300) and Item 601 (b)(96) Technical Report Summary.
Nexa is a publicly traded company on the Toronto Stock Exchange (TSX) and the New York Stock Exchange (NYSE). Nexa is a reporting issuer in all provinces and territories of Canada and is under the jurisdiction of the Ontario Securities Commission.
Nexa is a large-scale, low-cost, integrated zinc producer with over 60 years of experience developing and operating mining and smelting assets in Latin America. Nexa has a diversified portfolio of polymetallic mines (zinc, lead, copper, silver, and gold) and also greenfield projects at various stages of development in Brazil and Peru. In Brazil, Nexa owns and operates two underground mines, Vazante and Morro Agudo (Zn and Pb). It also operates two zinc smelters in Brazil (Três Marias and Juiz de Fora). In Peru, Nexa operates the El Porvenir (Zn, Pb, Cu, and Ag, Cerro Lindo (Zn, Cu, Pb, and Ag), and Atacocha (Zn, Cu, Pb, Au, and Ag) mines, as well as the Cajamarquilla zinc smelter near Lima. Nexa’s development projects in Peru include Magistral, Shalipayco, Florida Canyon (JV with Solitario), Hilarión, and Pukaqaqa. In Brazil, Nexa is developing the Aripuanã Zinc Project (Zn, Pb, Cu, Au, and Ag), which is currently under construction.
| 2.1 | Site Visits |
A site visit was carried out to the Vazante Operations by SLR Qualified Persons (QP) from November 19 to 23, 2018. During this site visit, the SLR QPs visited the core shack where examples of the mineralization from both the Vazante and Extremo Norte deposits were inspected, logging and sampling procedures reviewed, and visits carried out to the sample sawing and density measurement facilities. Visits were made to several locations in the underground mines in which the nature of the mineralization was observed and the grade control mapping and sampling procedures were discussed. SLR QPs also visited some of the mine stockpile areas, in addition to conducting a tour of the processing plant to inspect the sampling points used to determine the tonnages and grades processed. A visit was made to the site sample preparation facility as well as the site assay laboratory. Discussions were held with site personnel as noted below.
| 2.2 | Sources of Information |
During the preparation of this Technical Report Summary, discussions were held with the following Nexa personnel:
| · | Mr. Thiago Nantes Teixeira, Mineral Resources and Mineral Reserves Committee |
| · | Ms. Priscila Artioli, Mineral Resources and Mineral Reserves Committee |
| · | Mr. Fernando Madeira Perisse, Technical Services Manager |
| · | Mr. Jorge Lucas Carvalho Bechir, Technology Manager |
| Nexa Resources S.A.│Vazante Polymetallic Operations, SLR Project No: 233.03245.R0000 |
| Technical Report Summary - February 15, 2021 |
2-1
| · | Mr. Thiago De Oliveira Nunan Leite, Metallurgical Plant Manager |
| · | Mr. Anibal Pereira Neto, Metallurgical plant Coordinator |
| · | Mr. Jose Antonio Lopes, Resource Manager |
| · | Mr. Thiago Rolla Nunes, Geology Coordinator |
| · | Ms. Michele Rodriguez, Financial Analyst |
| · | Ms. Barbara Nassif Veiga, Senior Geologist |
| · | Mr. Leonardo Hiram Nunez, Geology Consultant |
| · | Mr. Helber Tomazella, Mineral Exploration Manager |
| · | Mr. Rafael Fernandes de Freitas, Geology Consultant |
| · | Mr. Paulo Calazans, Mining Engineering Consultant |
| · | Mr. Frederico Costa Melo, Mining Engineering Consultant |
| · | Ms. Marianita Rojas Solorzano, Mine Planning Engineer |
| · | Mr. Luiz Fernando de Oliveira Silva, Environmental Engineer |
| · | Mr. Volvei Tenfen, Environmental Manager |
| · | Mr. Vitor Ferraz Viana, Technical Services Manager |
| · | Mr. Edmar Eufrasio de Araujo, Geology Consultant |
| · | Ms. Aline Vilas Boas de Souza, Social Consultant |
This Technical Report Summary was prepared by SLR. No prior Technical Report Summaries have been filed in respect to the Vazante Operations.
The documentation reviewed, and other sources of information, are listed at the end of this Technical Report Summary in Section 27 References.
| Nexa Resources S.A.│Vazante Polymetallic Operations, SLR Project No: 233.03245.R0000 |
| Technical Report Summary - February 15, 2021 |
2-2
| 2.3 | List of Abbreviations |
Units of measurement used in this Technical Report Summary conform to the metric system. All currency in this Technical Report Summary is US dollars (US$) unless otherwise noted.
| m | micron | kVA | kilovolt-amperes | |||
| mg | microgram | kW | kilowatt | |||
| a | annum | kWh | kilowatt-hour | |||
| A | ampere | L | litre | |||
| bbl | barrels | lb | pound | |||
| Btu | British thermal units | L/s | litres per second | |||
| °C | degree Celsius | m | metre | |||
| C$ | Canadian dollars | M | mega (million); molar | |||
| cal | calorie | m2 | square metre | |||
| cfm | cubic feet per minute | m3 | cubic metre | |||
| cm | centimetre | MASL | metres above sea level | |||
| cm2 | square centimetre | m3/h | cubic metres per hour | |||
| d | day | mi | mile | |||
| dia | diameter | min | minute | |||
| dmt | dry metric tonne | mm | micrometre | |||
| dwt | dead-weight ton | mm | millimetre | |||
| °F | degree Fahrenheit | mph | miles per hour | |||
| ft | foot | MVA | megavolt-amperes | |||
| ft2 | square foot | MW | megawatt | |||
| ft3 | cubic foot | MWh | megawatt-hour | |||
| ft/s | foot per second | oz | Troy ounce (31.1035 g) | |||
| g | gram | oz/st, opt | ounce per short ton | |||
| G | giga (billion) | ppb | part per billion | |||
| Gal | Imperial gallon | ppm | part per million | |||
| g/L | gram per litre | psia | pound per square inch absolute | |||
| Gpm | Imperial gallons per minute | psig | pound per square inch gauge | |||
| g/t | gram per tonne | RL | relative elevation | |||
| gr/ft3 | grain per cubic foot | s | second | |||
| gr/m3 | grain per cubic metre | st | short ton | |||
| ha | hectare | stpa | short ton per year | |||
| hp | horsepower | stpd | short ton per day |

| Nexa Resources S.A.│Vazante Polymetallic Operations, SLR Project No: 233.03245.R0000 |
| Technical Report Summary - February 15, 2021 |
2-3
| hr | hour | t | metric tonne | |||
| Hz | hertz | tpa | metric tonne per year | |||
| in. | inch | tpd | metric tonne per day | |||
| in2 | square inch | US$ | United States dollar | |||
| J | joule | USg | United States gallon | |||
| k | kilo (thousand) | USgpm | US gallon per minute | |||
| kcal | kilocalorie | V | volt | |||
| kg | kilogram | W | watt | |||
| km | kilometre | wmt | wet metric tonne | |||
| km2 | square kilometre | wt% | weight percent | |||
| km/h | kilometre per hour | yd3 | cubic yard | |||
| kPa | kilopascal | yr | year |
| Nexa Resources S.A.│Vazante Polymetallic Operations, SLR Project No: 233.03245.R0000 |
| Technical Report Summary - February 15, 2021 |
2-4
| 3.0 | Property Description |
| 3.1 | Location |
The Vazante Operation is located in the western portion of the state of Minas Gerais, Brazil at a latitude of approximately 17° 57’ 33” S and a longitude of approximately 46° 49’ 42” W, within Zone 23S of the Universal Transverse Mercator (UTM) coordinate system (Cόrrego Alegre Datum) at approximately 306,000 mE and 8,016,000 mN (Figure 3-1). The Vazante Operation is located approximately 8.5 km east of the town of Vazante, 253 km southeast of Brasilia, and 370 km northwest of Belo Horizonte.
The zinc concentrate produced at the Vazante Operation is transported to Nexa’s Três Marias smelter complex for further processing while lead concentrate is sold on the open market.
Nexa Resources S.A. | Vazante Polymetallic Operations, SLR Project No: 233.03245.R0000
Technical Report Summary - February 15, 2021
3-1

Figure 3-1: Location Map

Nexa Resources S.A. | Vazante Polymetallic Operations, SLR Project No: 233.03245.R0000
Technical Report Summary - February 15, 2021
3-2
| 3.2 | Land Tenure |
| 3.2.1 | Introduction |
Title to the Vazante Operation is held by Nexa Recursos Minerais S A (Nexa Brazil) and Mineração Soledade Ltda., a subsidiary of Nexa Brazil. The mineral title for the Vazante Operation includes a number of mining concessions and exploration authorizations that are dispersed over a large area measuring approximately 60 km in a north-south direction and approximately 35 km in an east-west direction. Two exploration authorizations held by Vale S.A. under a joint venture contract also form part of the land tenure
Mining activities in Brazil are governed by the Brazilian Federal Constitution of 1988 (the Brazilian Federal Constitution), the Brazilian Mining Code (Federal Decree-Law No. 227/1967), and various other decrees, laws, ordinances, and regulations such as the Decree number 9.406/2018 which renews the regulation of the Mining Code. These regulations impose several obligations on mining companies relating to such items as the manner in which mineral deposits are exploited, the health and safety of the workers and local communities where mines are located, and environmental protection and remediation measures.
Under the Brazilian Federal Constitution, mineral rights are recognized to belong exclusively to the Brazilian federal government and are recognized as being distinct from surface rights. The Brazilian federal government is the sole entity that is responsible for governing mineral exploration and mining activities in Brazil.
Amongst other ministries and agencies, the Ministry of Mines and Energy (MME) and the Agência Nacional de Mineração (ANM) (formerly the Departamento Nacional de Produção Mineral (DNPM)) regulate mining activities in Brazil. The ANM is responsible for monitoring, analyzing, and promoting the performance of the Brazilian mineral industry by administering and granting rights related to the exploration and exploitation of mineral resources and other related activities in Brazil.
In Brazil, tenure to the mineral resources is achieved via exploration licenses (Autorizações de Pesquisa), mining concessions (Concessões de Lavra), mining concession applications (Requerimento de Lavra), and exploration license applications (Requerimentos de Pesquisa), which are together broadly referred to as mineral rights.
| 3.2.2 | Mining Concessions |
Mining concessions have no set expiry date. Each year Nexa is required to provide information to ANM summarizing mine production statistics through the annual mining report (Relatório Anual de Lavra). The perimeter of the mining concessions is defined by detailed surveys according to the conditions outlined by dos Santos et. al. (2016). Any tailings derived from mineral production from mining concessions are considered to be a part of the minerals produced from the mining concessions.
In addition, it should be noted that several mining concessions from the same holder and of the same mineral substance, in areas of the same deposit or mineralized zone, may be combined in a single mining unit, under the name of Group of Mining Concessions. According to the Mining Code and its Regulation (Decree nos. 227/1967 and 9.406/2018), the Group of Mining Concessions must be granted by the ANM and its holder, at the discretion of ANM, and may concentrate mining activities in one or some of the grouped concessions provided that the intensity of the mining is compatible with the importance of the total reserve of the grouped deposits.
Nexa holds a number of mining concessions throughout the Project area that total 2,091.10 ha. They are located as a group of six mining concessions in the immediate mine area and two other mining concessions that are dispersed elsewhere throughout the land package (Table 3-1). Figure 3-2 presents the location of the Vazante Operation mining concessions and mineralization.
Nexa Resources S.A. | Vazante Polymetallic Operations, SLR Project No: 233.03245.R0000
Technical Report Summary - February 15, 2021
3-3
In addition, the land holdings include an additional 272.18 ha comprising one mining application (ANM Register ID 5280/1956), one Right to Apply for Mining Concession (ANM Register ID 831875/2006), and one additional mining concession (ANM Register ID 801603/1968).
Table 3-1: List of Mining Concessions, Mining Applications, and Right to Apply for Mining Concessions
Nexa Resources S.A. – Vazante Polymetallic Operations
| ANM Register ID | Status | Area (ha) | ||||
| 1032/1955 | Mining Concession | 73.19 | ||||
| 1034/1955 | Mining Concession | 76.71 | ||||
| 1035/1955 | Mining Concession | 47.89 | ||||
| 1036/1955 | Mining Concession | 276.25 | ||||
| 1973/1962 | Mining Concession | 412.39 | ||||
| 2664/1956 | Mining Concession | 119.00 | ||||
| 805141/1976 | Mining Concession | 859.17 | ||||
| 14840/1967 | Mining Concession | 226.50 | ||||
| Subtotal | 2,091.10 | |||||
| 5280/1956 | Mining Application | 189.98 | ||||
| 831875/2006 | Right to Apply for Mining Concession | 29.70 | ||||
| 801603/1968 | Mining Concession | 52.50 | ||||
| Subtotal | 272.18 | |||||
| Grand Total | 2,363.28 | |||||
Nexa Resources S.A. | Vazante Polymetallic Operations, SLR Project No: 233.03245.R0000
Technical Report Summary - February 15, 2021
3-4

Figure 3-2: Location of Mining Concessions and Mineralization

Nexa Resources S.A. | Vazante Polymetallic Operations, SLR Project No: 233.03245.R0000
Technical Report Summary - February 15, 2021
3-5
| 3.2.3 | Exploration Licenses |
Surrounding the mining concessions, Nexa also holds 62 exploration licenses totalling 50,076.76 ha. The land holdings include one additional parcel comprising a Right to Apply for Mining Concession with an area of 344.52 ha (Table 3-2). Figure 3-3 presents the location of the Vazante Operation exploration licenses.
Exploration licenses are granted for an initial period of three years. Once a company has applied for an exploration license, the applicant holds a priority right to the concession area as long as there is no previous ownership. The fee for holding the licenses during this initial three year phase is Brazilian Reais (R$) 3.55/ha, to be paid annually. The owner of the license can apply to have the exploration license renewed for a one time extension period up to three years. The fee for holding the licenses during the second phase is R$5.33/ha, to be paid annually. Renewal is at the sole discretion of ANM. Granted mining concessions and exploration licenses are published in the Official Gazette of the Republic (Diário Oficial da União - DOU), which lists individual concessions and their change in status. The exploration licenses and mining concessions grant the owner subsurface mineral rights, while surface rights can be applied for if the land is not owned by a third party.
The owner of an exploration license is guaranteed, by law, access to perform exploration field work, provided adequate compensation is paid to third party landowners and the owner accepts all environmental liabilities resulting from the exploration work. The exploration licenses are subject to annual fees based on their size (Taxa Anual por Hectare). A final report summarizing the results of any exploration activities carried out is required to be filed with the ANM upon expiry of an exploration license.
Table 3-2: List of Exploration Licenses
Nexa Resources S.A. – Vazante Polymetallic Operations
| ANM Register ID | Area (ha) | Status | Titleholder | Expiry Date (MM/DD/YYYY) | Extended Expiry Date (MM/DD/YYYY) | |||||||
| 831260/2018 | 833.74 | Exploration License | Nexa Recursos Minerais S A | 9/6/2021 | 6/21/2022 | |||||||
| 831259/2018 | 410.77 | Exploration License | Nexa Recursos Minerais S A | 9/6/2021 | 6/21/2022 | |||||||
| 831258/2018 | 761.26 | Exploration License | Nexa Recursos Minerais S A | 9/6/2021 | 6/21/2022 | |||||||
| 831194/2018 | 37.65 | Exploration License | Nexa Recursos Minerais S A | 9/6/2021 | 6/21/2022 | |||||||
| 831176/2018 | 901.62 | Exploration License | Nexa Recursos Minerais S A | 9/26/2021 | 7/11/2022 | |||||||
| 831106/2018 | 999.91 | Exploration License | Nexa Recursos Minerais S A | 10/16/2020 | 7/31/2022 | |||||||
| 830365/2018 | 38.8 | Exploration License | Nexa Recursos Minerais S A | 3/20/2021 | 1/2/2022 | |||||||
| 830343/2018 | 1,826.87 | Exploration License | Nexa Recursos Minerais S A | 3/20/2021 | 1/2/2022 | |||||||
| 832209/2017 | 1,612.32 | Exploration License | Nexa Recursos Minerais S A | 3/23/2021 | 1/5/2022 | |||||||
| 832171/2017 | 1,707.10 | Exploration License | Nexa Recursos Minerais S A | 3/20/2021 | 1/2/2022 | |||||||
| 832170/2017 | 1,196.36 | Exploration License | Nexa Recursos Minerais S A | 3/20/2021 | 1/2/2022 | |||||||
| 832141/2017 | 993.52 | Exploration License | Nexa Recursos Minerais S A | 3/20/2021 | 1/2/2022 | |||||||
| 832108/2017 | 993.58 | Exploration License | Nexa Recursos Minerais S A | 3/13/2021 | 12/26/2021 | |||||||
Nexa Resources S.A. | Vazante Polymetallic Operations, SLR Project No: 233.03245.R0000
Technical Report Summary - February 15, 2021
3-6
| ANM Register ID | Area (ha) | Status | Titleholder | Expiry Date (MM/DD/YYYY) | Extended Expiry Date (MM/DD/YYYY) | |||||||
| 832104/2017 | 1,000.00 | Exploration License | Nexa Recursos Minerais S A | 3/13/2021 | 12/26/2021 | |||||||
| 832094/2017 | 472.33 | Exploration License | Nexa Recursos Minerais S A | 3/13/2021 | 12/26/2021 | |||||||
| 832021/2017 | 835.56 | Exploration License | Nexa Recursos Minerais S A | 7/26/2021 | 5/10/2022 | |||||||
| 832019/2017 | 1,056.89 | Exploration License | Nexa Recursos Minerais S A | 7/26/2021 | 5/10/2022 | |||||||
| 832018/2017 | 161.64 | Exploration License | Nexa Recursos Minerais S A | 3/19/2021 | 1/1/2022 | |||||||
| 832017/2017 | 1,920.26 | Exploration License | Nexa Recursos Minerais S A | 3/19/2021 | 1/1/2022 | |||||||
| 831988/2017 | 1,947.19 | Exploration License | Nexa Recursos Minerais S A | 3/13/2021 | 12/26/2021 | |||||||
| 830868/2017 | 714.05 | Exploration License | Nexa Recursos Minerais S A | 5/25/2021 | 3/9/2022 | |||||||
| 830476/2017 | 1,954.84 | Exploration License | Nexa Recursos Minerais S A | 2/9/2021 | 11/24/2021 | |||||||
| 830467/2017 | 45.28 | Exploration License | Nexa Recursos Minerais S A | 3/26/2023 | 1/1/2024 | |||||||
| 830466/2017 | 295.62 | Exploration License | Nexa Recursos Minerais S A | 3/26/2023 | 1/1/2024 | |||||||
| 830465/2017 | 831.47 | Exploration License | Nexa Recursos Minerais S A | 4/28/2023 | 1/1/2024 | |||||||
| 830464/2017 | 15.22 | Exploration License | Nexa Recursos Minerais S A | 4/28/2023 | 1/1/2024 | |||||||
| 830463/2017 | 1,152.64 | Exploration License | Nexa Recursos Minerais S A | 4/28/2023 | 1/1/2024 | |||||||
| 830461/2017 | 601.53 | Exploration License | Nexa Recursos Minerais S A | 3/26/2023 | 1/1/2024 | |||||||
| 830460/2017 | 1,359.83 | Exploration License | Nexa Recursos Minerais S A | 3/26/2023 | 1/1/2024 | |||||||
| 832170/2016 | 10.31 | Exploration License | Nexa Recursos Minerais S A | 3/26/2023 | 1/1/2024 | |||||||
| 831142/2016 | 689.36 | Exploration License | Nexa Recursos Minerais S A | 10/9/2021 | 7/24/2023 | |||||||
| 831137/2016 | 377.72 | Exploration License | Nexa Recursos Minerais S A | 10/9/2021 | 7/24/2023 | |||||||
| 830578/2016 | 914.28 | Exploration License | Nexa Recursos Minerais S A | 10/9/2022 | 7/24/2023 | |||||||
| 830345/2016 | 1,473.04 | Exploration License | Nexa Recursos Minerais S A | 4/23/2023 | 1/1/2024 | |||||||
| 830344/2016 | 1,888.30 | Exploration License | Nexa Recursos Minerais S A | 4/23/2023 | 1/1/2024 | |||||||
| 830341/2016 | 1,651.59 | Exploration License | Nexa Recursos Minerais S A | 4/23/2023 | 1/1/2024 | |||||||
| 830340/2016 | 1,958.50 | Exploration License | Nexa Recursos Minerais S A | 5/26/2023 | 1/1/2024 | |||||||
| 830339/2016 | 1,941.37 | Exploration License | Nexa Recursos Minerais S A | 4/23/2023 | 1/1/2024 | |||||||
| 830338/2016 | 1,793.39 | Exploration License | Nexa Recursos Minerais S A | 5/26/2023 | 1/1/2024 | |||||||
| 830333/2016 | 804.77 | Exploration License | Nexa Recursos Minerais S A | 6/9/2023 | 1/1/2023 | |||||||
| 831421/2014 | 130.37 | Exploration License | Nexa Recursos Minerais S A | 2/3/2023 | 11/18/2023 | |||||||
| 831420/2014 | 193.05 | Exploration License | Nexa Recursos Minerais S A | 4/15/2023 | 1/1/2024 | |||||||
| 830730/2014 | 30.15 | Exploration License | Nexa Recursos Minerais S A | 4/2/2022 | 1/15/2023 | |||||||
| 832214/2013 | 133.98 | Exploration License | Nexa Recursos Minerais S A | 6/28/2021 | 4/12/2022 | |||||||
| 831926/2013 | 311.6 | Exploration License | Mineração Soledade Ltda | 2/6/2022 | 11/21/2021 | |||||||
| 830955/2013 | 896.45 | Exploration License | Nexa Recursos Minerais S A | Pending | Pending | |||||||

Nexa Resources S.A. | Vazante Polymetallic Operations, SLR Project No: 233.03245.R0000
Technical Report Summary - February 15, 2021
3-7
| ANM Register ID | Area (ha) | Status | Titleholder | Expiry Date (MM/DD/YYYY) | Extended Expiry Date (MM/DD/YYYY) | |||||||
| 833117/2012 | 1,000.00 | Exploration License | Nexa Recursos Minerais S A | 6/28/2021 | 4/12/2022 | |||||||
| 832196/2012 | 206.37 | Exploration License | Nexa Recursos Minerais S A | 6/28/2021 | 4/12/2022 | |||||||
| 831641/2012 | 857.81 | Exploration License | Nexa Recursos Minerais S A | 6/28/2021 | 4/12/2022 | |||||||
| 831543/2012 | 143.25 | Exploration License | Nexa Recursos Minerais S A | 6/28/2021 | 4/12/2022 | |||||||
| 832317/2011 | 44.4 | Exploration License | Mineração Soledade Ltda | 3/15/2021 | 12/28/2021 | |||||||
| 831297/2011 | 394.78 | Exploration License | Mineração Soledade Ltda | 10/16/2021 | 7/31/2022 | |||||||
| 834685/2010 | 35.47 | Exploration License | Nexa Recursos Minerais S A | 6/29/2021 | 4/13/2022 | |||||||
| 834682/2010 | 74.2 | Exploration License | Nexa Recursos Minerais S A | 2/25/2023 | 12/10/2022 | |||||||
| 834681/2010 | 163.29 | Exploration License | Nexa Recursos Minerais S A | 2/25/2023 | 12/10/2022 | |||||||
| 830676/2010 | 1,835.06 | Exploration License | Nexa Recursos Minerais S A | 6/5/2022 | 3/20/2023 | |||||||
| 830497/2010 | 337.7 | Exploration License | Nexa Recursos Minerais S A | Pending | Pending | |||||||
| 830232/2010 | 42.1 | Exploration License | Nexa Recursos Minerais S A | 3/26/2023 | 1/1/2024 | |||||||
| 831690/2009 | 782.02 | Exploration License | Nexa Recursos Minerais S A | 6/5/2022 | 3/20/2023 | |||||||
| 830170/2008 | 878.13 | Exploration License | Nexa Recursos Minerais S A | 2/25/2022 | 12/10/2022 | |||||||
| 832451/2004 | 991.72 | Exploration License | Vale S A (Joint Venture) | Pending | Pending | |||||||
| 832893/2012 | 414.38 | Exploration License | Vale S A (Joint Venture) | 8/8/2021 | 5/23/2021 | |||||||
| Total, Expl. Licenses: 62 | Total Area: 50,076.76 ha | |||||||||||
| 832632/2006 | 344.52 | Right to
Apply for Mining Concession | Nexa Recursos Minerais S A | Pending | Pending | |||||||
Note:
| 1. | Due to the COVID-19 pandemic situation, the ANM has extended the deadlines for the expiration of the mineral rights by up to 288 days. |
Nexa Resources S.A. | Vazante Polymetallic Operations, SLR Project No: 233.03245.R0000
Technical Report Summary - February 15, 2021
3-8

Figure 3-3: Location of Exploration Concessions
Nexa Resources S.A. | Vazante Polymetallic Operations, SLR Project No: 233.03245.R0000
Technical Report Summary - February 15, 2021
3-9

| 3.2.4 | Surface Rights |
In addition to the mineral titles described previously, Nexa also holds title to a number of surface rights for such items as easements, infrastructure footprints, and rights-of-way in the immediate mine area. These surface rights comprise 30 titles that cover a total of 3,243.29 ha (Table 3-3). The location of the surface rights is shown in Figure 3-4.
Table 3-3: List of Surface Rights
Nexa Resources S.A. – Vazante Polymetallic Operations
| Real Estate Name | Property Certificate | Area (ha) |
Mining Right ANM | |||
| Fazenda Salobo | 4.813 | 27.84 | 805141/1976 830093/1988 831022/2006 831543/2012 831137/2016 | |||
| Fazenda Vazantes, Lugar Serra do Poço Verde | 5.926 | 73.02 | 1032/1955 1034/1955 | |||
| Fazenda Vazantes, Lugar Serra do Poço Verde | 5.927 | 76.48 | 1032/1955 1034/1955 | |||
| Fazenda Vazantes | 6.264 | 164.48 | 805141/1976 831695/1990 830943/2011 832170/2016 830461/2017 830466/2017 | |||
| Fazenda Claro, Lugar Cercado | 7.686 | 76.74 | 801603/1968 830463/2017 830868/2017 | |||
| Fazenda Vazantes | 9.277 | 6.00 | 805141/1976 | |||
| Fazenda Vazantes | 5.496 | 184.00 | 831695/1990 830946/2011 833777/2011 832170/2017 830461/2017 830466/2017 832209/2017 831259/2018 |
Nexa Resources S.A. | Vazante Polymetallic Operations, SLR Project No: 233.03245.R0000
Technical Report Summary - February 15, 2021
3-10

| Area | ||||||
| Real Estate Name | Property Certificate | (ha) | Mining Right ANM | |||
| Fazenda Salobo | 324 | 95.0 | 1035/1955 | |||
| Fazenda Salobo, Lugar Sucuri | 1.470 | 433.77 | 1034/1955 | |||
| Fazenda Salobo, Lugar Vargem Grande | 1.619 | 9.0 | 1036/1955 | |||
| Fazenda Salobo, Lugar Sucury | 2.094 | 31.0 | 805141/1976 | |||
| Fazenda Salobo, Lugar Palmito | 2.270 | 281.40 | 831695/1990 | |||
| Fazenda Salobo, Lugar Sucuri or Várzea da Sucuri | 2.611 | 30.00 | 831022/2006 | |||
| Fazenda Vanates, Lugar Capão do Cedro ans Serra do Poço Verde | 2.955 | 87.92 | 832606/2008 | |||
| Fazenda Vazantes, Lugar Poço Verde | 3.129 | 115.3 | 830232/2010 | |||
| Fazenda Vazantes, Lugar Poço Verde | 3.130 | 9.0 | 830943/2011 | |||
| Fazenda Salobo, Lugar Palmito | 3.425 | 122.12 | 833774/2011 | |||
| Fazenda Salobo Lugar Rochedo | 3.525 | 32.0 | 833775/2011 | |||
| Fazenda Vargem Grande | 3.941 | 23.06 | 833776/2011 | |||
| Fazendas Salobo, Santa Barbara and Vazante or Lapa | 4.232 | 322.31 | 830955/2013 | |||
| Fazenda Vargem Grande | 4.249 | 12.61 | 831137/2016 | |||
| Fazenda Vazantes | 4.363 | 297.70 | 831170/2016 | |||
| Fazenda Vargem Grande | 4.368 | 3.27 | 830460/2017 | |||
| Fazenda Vazante | 5.562 | 12.10 | 830461/2017 | |||
| Fazenda Salobo | 4.503 | 8.42 | 830466/2017 | |||
| Fazenda Salobo | 5.922 | 105.00 | 831259/2018 | |||
| Fazenda Salobo, Lugar Mata dos Paulista | 5.923 | 18.00 | ||||
| Fazenda Vazante Lugar Capão do Cedro | 5.924 | 51.49 | ||||
| Fazenda Vazante Lugar Jaburu and Capão das Ambruanas | 5.925 | 50.52 | ||||
| Fazenda Carneiro | 12.363 | 483.74 | ||||
| Total: 30 titles | 3,243.29 |
Nexa Resources S.A. | Vazante Polymetallic Operations, SLR Project No: 233.03245.R0000
Technical Report Summary - February 15, 2021
3-11

Figure 3-4: Location of Surface Rights Titles
Nexa Resources S.A. | Vazante Polymetallic Operations, SLR Project No: 233.03245.R0000
Technical Report Summary - February 15, 2021
3-12

| 3.3 | Encumbrances |
SLR is not aware of any encumbrances to the property, including current and future permitting requirements and associated timelines, permit conditions, and violations and fines.
| 3.4 | Royalties |
Revenues from mining activities at the Vazante Operation are subject to the Compensação Financieria pela Exploração de Recursos Minerais (CFEM) royalty that is paid to the ANM. The CFEM is a royalty paid on a monthly basis based on the sales value of minerals, net of taxes levied on the respective sale. When the produced minerals are used in its internal industrial processes, the CFEM payment is determined based on the costs incurred to produce them. The CFEM is determined by a reference price of the respective mineral to be defined by the ANM. The applicable rate varies according to the mineral product (currently 2% for zinc, lead, dolomite, and copper). There is also a monthly inspection fee related to the transfer and commercialization of certain minerals in some of the Brazilian states (such as Minas Gerais) known as the Taxa de Fiscalização de Recursos Minerais (TFRM), where the Vazante Operation mining concessions are located.
SLR is not aware of any environmental liabilities on the property. Nexa has all required permits to conduct the proposed work on the property. SLR is not aware of any other significant factors and risks that may affect access, title, or the right or ability to perform the proposed work program on the property.
Nexa Resources S.A. | Vazante Polymetallic Operations, SLR Project No: 233.03245.R0000
Technical Report Summary - February 15, 2021
3-13

| 4.0 | Accessibility, Climate, Local Resources, Infrastructure and Physiography |
| 4.1 | Accessibility |
The Vazante Operation is well serviced by a series of primary and secondary highways, with access roads to many portions of the Exploration Authorizations. Local access to the Vazante Operation from the nearby town of Vazante is via a well maintained paved road leading directly to the mine gate. Internal access to various portions of the mining concessions is by means of gravel roads.
The town of Vazante is accessed via high quality paved roads leading southeastwards from Brasilia to Paracatu and onwards to Vazante, or northwestwards from Belo Horizonte. Both Brasilia and Belo Horizonte are well serviced by commercial airlines that provide a large number of daily flights to both domestic and international locations.
| 4.2 | Climate |
The Vazante Operation is located in the equatorial region of Brazil and the climate in the area is classified as humid subtropical, with average daily maximum temperatures of approximately 30°C in September and March of each year. The average daily minimum temperatures typically occur in June and July and reach a minimum of approximately 13°C .
The rainy season typically extends from October through March, with peak rainfall occurring typically in December and January at a rate of approximately 300 mm/month. The dry period typically occurs in April through September.
| 4.3 | Local Resources |
The closest settlement to the Vazante Operation is the municipality of Vazante, with a population of approximately 20,600. The main economic activities of the region include cattle raising, farming, and mining. Most of the mine employees reside in Vazante and commute to the mine site daily, a distance of approximately eight kilometres. Goods and services in support of mining operations are generally sourced from Belo Horizonte. The region is well serviced with electricity supplied from the national grid as well as modern telecommunications. Basic medical services are available in the town of Vazante, with higher levels of medical services available in Paracatu, Brasilia, or Belo Horizonte.
| 4.4 | Infrastructure |
The surface and underground infrastructure of the Vazante Operation include:
| · | Seven open pit mines that have exploited the near-surface calamine mineralization. |
| · | Two underground mines (Vazante and Extremo Norte) that together extend for a strike length of approximately nine kilometres and to a depth of approximately 550 m from surface. |
| · | An ore blending and reclaim facility. |
| · | Two processing plants, Plant W and Plant C. Plant W has a nominal throughput capacity of 1.2 million tonnes per annum (Mtpa) and Plant C has a nominal throughput capacity of 0.4 Mtpa. |
| · | Waste rock storage facilities. |
Nexa Resources S.A. | Vazante Polymetallic Operations, SLR Project No: 233.03245.R0000
Technical Report Summary - February 15, 2021
4-1

| · | Several tailings storage facilities (TSFs) (two active). |
| · | A core logging and sampling facility. |
| · | A commissary. |
| · | A warehouse. |
| · | An assay laboratory. |
| · | A millwright and electrical shop. |
| · | An administrative building. |
| · | A first aid station. |
The power supply to the Vazante Operation is provided by two independent 138 kV transmission lines that feed the site and that can provide up to 55 MW. Infrastructure is discussed further in Section 18 of this Technical Report Summary.
| 4.5 | Physiography |
The topography in the Vazante Operation area is characterized by gently rolling hillsides with incised streams and rivers. The elevations of the Vazante Operation area ranges from approximately 690 metres above mean sea level (masl) to 970 masl.
The majority of the region is used for either farming purposes or for pasture, with the primary food items produced being rice, beans, soybeans, and manioc. Remnant vegetation typically consists of open savannah (cerrado) with gallery type forest cover in the riparian areas. Cerrado is a protected environment, where it occurs.
The main water courses in the area form tributaries to the Paracatu River, which is part of the São Francisco River basin. The Santa Caterina River cuts through the southern part of the Vazante Operation area.
Nexa Resources S.A. | Vazante Polymetallic Operations, SLR Project No: 233.03245.R0000
Technical Report Summary - February 15, 2021
4-2

| 5.0 | History |
| 5.1 | Prior Ownership |
Mineralization in the Vazante Operation area was initially discovered by Angelo Solis in 1933 who acquired the first mineral titles to the area. The mineral rights to the Vazante Mine portion of the Vazante Operation land holdings were first acquired by Companhia Mineira de Metais (CMM) in 1956. CMM later became Votorantim Resources in 2005 and more recently Nexa Resources S.A. in 2014. The original land titles for the Vazante Operation were added and expanded over the years by means of direct land acquisition (claim staking) and various option agreements and purchases. The Extremo Norte Mine portion of the current Vazante Operation land holdings was acquired by purchase in 2007.
| 5.2 | Exploration and Development History |
The exploration and development history of the Vazante Operation is presented in Table 5-1. The exploration and development work carried out on the property to date has focussed on the location and delineation of the known mineralized zones both along strike and to depth. In addition, exploration work has focussed on evaluating the potential of selected areas on the mineral claims for hosting additional mineralized zones. Exploration work has included basic geologic mapping activities, geochemical and geophysical surveys, and various drilling programs.

Nexa Resources S.A. | Vazante Polymetallic Operations, SLR Project No: 233.03245.R0000
Technical Report Summary - February 15, 2021
5-1
Table 5-1: Summary of Exploration and Development History
Nexa Resources S.A. – Vazante Polymetallic Operations
| Year | Operator | Purpose | Summary of Work | Remarks | |||||
| 1933 | Angelo Solis | Zinc discovered in the Vazante region. | |||||||
| 1956 | CMM | Votorantim/Nexa company established. | |||||||
| 1969 | U.S. Steel | Surface exploration
Open pit mining |
Geological Mapping | Regional geological mapping-Cia Meridonal.
First ore transported from Vazante open pits to the Três Marias smelter. | |||||
| 1972 | DOCEGEO | Surface exploration | Geological mapping | Regional mapping of the Vazante belt. | |||||
| 1974-1978 | ENJEX/DOCEGEO/CMM (Votorantim)/DNPM |
Drilling | Exploratory drilling and mineral potential definition | Agua Doce and Pasto prospects. | |||||
| 1980-1989 | CMM/BSHELL | Drilling | Exploratory drilling and mineral potential definition | Agua Doce and Pasto prospects. | |||||
| 1983 | CMM (Votorantim) | Underground Mining | Commencement of underground mining, Lumiadeira mine. | ||||||
| 1990 | CMM (Votorantim) | Drilling | Exploration drilling | Agua Doce prospect. | |||||
| 2000 | CMM (Votorantim) | Surface exploration | Stream sediment sampling | Sampling of the Garrote Formation along the Lagoa Feia trend, and around the Lages, Cercado, and Partecal targets. | |||||
| 2001 | COMIG | Geophysics | Aerial magnetic and radiometric surveys | Vazante belt. | |||||
| 2004-2006 | Votorantim (CMM became Votorantim in 2005) | Surface exploration drilling | Regional mapping, exploration and resource definition drilling, exploratory auger drilling | Olho D’Água target. | |||||
| 2007 | Votorantim | Surface exploration
|
Regional scale geological
mapping (1:100,000) and
Mineral potential definition |
Mapping to identify potential areas of mineralization and better understand the stratigraphic and metallogenetic context around Vazante Mine targets.
Olho D’Água prospects. | |||||

Nexa Resources S.A. | Vazante Polymetallic Operations, SLR Project No: 233.03245.R0000
Technical Report Summary - February 15, 2021
5-2

| Year | Operator | Purpose | Summary of Work | Remarks | |||||
| 2008 | Votorantim | Surface exploration | Regional scale geological mapping (1:100,000) and local scale mapping (1:20,000) rock sampling | Identify potential areas of mineralization. Rock and geochemical sampling at Cercado and Olh D’Água prospects. | |||||
| 2009 | Votorantim | Surface exploration
Geophysical surveying |
Regional scale geological mapping (1:100,000) and local scale mapping (1:20,000) rock, soil, and stream sediment sampling
Ground magnetic surveys |
Identify potential areas of mineralization and infill drilling in the Cercado, Olhos D’Água, and the Lagoa Feia trend.
Ground magnetic surveying at the Agua Doce, Extremo Notre Mine, Vazante Mine, and the Lagoa Feia trend. | |||||
| 2010 | Votorantim | Surface exploration
Drilling |
Regional scale geological mapping (1:100,000) and local scale mapping (1:20,000) rock, soil, and stream sediment sampling
Exploration drilling and mineral potential definition |
Large scale geological mapping campaign to assess the mineral potential definition in the Vazante South belt, soil sampling over prospective targets such as Olho D’Água trend, Vazante Mine area, and Cercado trend.
Focus on drilling over the Cercado trend. | |||||
| 2011 | Votorantim | Surface exploration
Drilling
|
Regional scale geological mapping (1:100,000) and local scale mapping (1:20,000) rock, soil, pan concentrate, and stream sediment sampling
Exploration drilling and mineral potential definition
|
Large scale geological mapping campaign to assess mineral potential definition in the Vazante South belt, soil sampling over prospective targets such as Olho D’Água trend, Vazante Mine area, and Cercado trend.
Vazante Mine, Olho D’Água, Boi Branco.
| |||||
| 2012 | Votorantim | Surface exploration
|
Regional scale geological mapping (1:100,000, rock, pan concentrate, and stream sediment sampling
Exploration drilling and mineral potential definition |
Potential areas definition. Detailed work over the Olho D’Água, Lagoa Feia, Partecal trend and Boi Branco prospect. | |||||
Nexa Resources S.A. | Vazante Polymetallic Operations, SLR Project No: 233.03245.R0000
Technical Report Summary - February 15, 2021
5-3

| Year | Operator | Purpose | Summary of Work | Remarks | |||||
| 2013 | Votorantim | Surface exploration
|
Regional scale geological mapping (1:100,000, rock, pan concentrate, and stream sediment sampling
Exploration drilling and mineral potential definition |
Cercado trend and Boi Branco prospect.
| |||||
| 2014 | Votorantim (Nexa) | Surface exploration
Drilling
|
Regional, local, and detailed scale geological mapping (1:100,000, 1:20,000 and 1:5,000), rock and pan concentrate sampling
Exploratory drilling
|
Potential area definition in parallel structure to the Vazante Mine.
Undertaken to delineate weathering zone and fracture zones at Vazante Mine limits. | |||||
| 2015 | Nexa | Surface exploration
Drilling |
Regional and local scale geological mapping (1:100,000 and 1:20,000), rock, soil, stream sediment, and pan concentrate sampling
Exploratory drilling, mineral resource potential and resource definition. |
Boi Branco, Lages, Partecal, Olhos D’Água trend.
Vazante Mine parallel structures. | |||||
| 2016 | Nexa | Surface exploration
Drilling
Geophysics |
Detail-scale mapping (1:10,000), rock and soil sampling
Exploratory drilling, mineral potential, and resource definition
Induced Polarization (IP) survey |
Detail-scale geological mapping at Lages and Lagoa Feia.
Vazante Mine drilling (Lumiadeira Sul, gaps at Extremo Norte, and Lages.
Spectral IP at Lages, Extremo Norte target and Boi Branco trend. | |||||
Nexa Resources S.A. | Vazante Polymetallic Operations, SLR Project No: 233.03245.R0000
Technical Report Summary - February 15, 2021
5-4
| Year | Operator | Purpose | Summary of Work | Remarks | |||||
| 2017 | Nexa | Surface exploration
Geophysics |
Detail-scale mapping (1:10,000), rock and soil sampling
Exploratory drilling, mineral potential, and resource definition
|
Lages and Lagoa Feia targets.
Spectral IP survey over Vazante, Lages, and Lagoa Feia target. | |||||
| 2018 | Nexa | Surface exploration
Geophysics |
Detail-scale mapping (1:10,000), rock and soil sampling
Exploratory drilling, mineral potential, and resource definition
|
Lagoa Feia, Cercado, Carrapato, and Calamina targets
Vazante Mine drilling (Lumiadeira and gaps at Extremo Norte), Lagoa Feia, Cercado, and Calamina targets.
Spectral IP at Carrapato trend, electrical survey at Calamina target. | |||||
| 2019 | Nexa | Surface exploration
Geophysics |
Detail-scale mapping (1:10,000), rock and soil sampling
Exploratory drilling, mineral potential, and resource definition
|
Vazante Sul, Sungem, and Calamina targets.
Electrical survey at Calamina target. | |||||
Nexa Resources S.A. | Vazante Polymetallic Operations, SLR Project No: 233.03245.R0000
Technical Report Summary - February 15, 2021
5-5
| 5.3 | Historical Resource Estimates |
Nexa has owned the Vazante land holdings and the Vazante Operation since 1956, formerly as CMM, then Votorantim Resources, and more recently as Nexa Resources S.A. There have been no relevant Mineral Resource or Mineral Reserve estimates prepared by previous owners of the Vazante Operation.
Additional descriptions of previous Mineral Resource and Mineral Reserve estimates prepared by Nexa are presented in the Amec Foster Wheeler (Amec) 2017 NI 43-101 Technical Report (Amec, 2017).
| 5.4 | Past Production |
Mechanized open pit mining at the Vazante Operation commenced in 1969. The initial mining operations exploited the supergene calamine mineralization which was formed by a mixture of hemimorphite (Zn4(Si2O7)(OH)2.H2O) and smithsonite (ZnCO3) that were derived from weathering of the primary willemite mineralization. Open pit mining operations of willemite mineralization were suspended in 2000, followed by the suspension of open pit production of calamine mineralization in 2008.
Development of the Vazante Operation underground mines began in 1983, with initial minor production of willemite mineralization taking place in 1984. The underground mines exploit the primary willemite mineralization (Zn2SiO4) along with minor to trace amounts of sphalerite. Production from the underground mines is ongoing. Between 1982 and 2019 a total of 230,489 m of level development has been completed in the underground mines (Figure 5-1).
Figure 5-1: Underground Mine Development 1982 to 2019, Vazante and Extremo Norte Mines
From inception to 2019, a total of 38,695,229 t of ore have been processed from both the open pit and underground mines. Beginning in 2018, increasing quantities of tailings sourced from the Aroeira TSF have been included as part of the plant feed stock for reprocessing. As of December 31, 2020, a total of approximately 0.2 million tonnes (Mt) of tailings have been fed to the processing plant.
A summary of the open pit production history is provided in Table 5-2 and a summary of the underground mine production is presented in Table 5-3. The production history for the open pit and underground mines is summarized in Figure 5-2.

Nexa
Resources S.A. | Vazante Polymetallic Operations, SLR Project No: 233.03245.R0000
Technical Report Summary - February 15, 2021
5-6
Table 5-2: Summary of Open Pit Mine Production
Nexa Resources S.A. – Vazante Polymetallic Operations
| Year | Calamine Production (Ore tonnes) | Willemite Production (Ore tonnes) | ||||||||
| 1969 | 6,000 | 2,700 | ||||||||
| 1970 | 13,000 | 5,720 | ||||||||
| 1971 | 24,000 | 10,512 | ||||||||
| 1972 | 32,000 | 13,600 | ||||||||
| 1973 | 48,000 | 21,120 | ||||||||
| 1974 | 74,000 | 31,450 | ||||||||
| 1975 | 73,000 | 31,390 | ||||||||
| 1976 | 110,000 | 46,200 | ||||||||
| 1977 | 121,000 | 50,215 | ||||||||
| 1978 | 151,000 | 57,380 | ||||||||
| 1979 | 232,000 | 69,600 | ||||||||
| 1980 | 280,000 | 72,800 | ||||||||
| 1981 | 316,000 | - | ||||||||
| 1982 | 501,000 | - | ||||||||
| 1983 | 584,000 | - | ||||||||
| 1984 | 156,054 | 419,967 | ||||||||
| 1985 | 116,157 | 384,293 | ||||||||
| 1986 | 209,221 | 400,785 | ||||||||
| 1987 | 182,146 | 315,635 | ||||||||
| 1988 | 267,139 | 538,475 | ||||||||
| 1989 | 247,350 | 500,553 | ||||||||
| 1990 | 129,799 | 609,522 | ||||||||
| 1991 | 173,268 | 550,354 | ||||||||
| 1992 | 78,470 | 595,242 | ||||||||
| 1993 | 279,727 | 629,893 | ||||||||
| 1994 | 185,777 | 553,879 | ||||||||
| 1995 | 137,538 | 376,879 | ||||||||
| 1996 | 111,138 | 187,200 | ||||||||
| 1997 | 205,322 | 296,322 | ||||||||
| 1998 | 181,070 | 163,086 | ||||||||
| 1999 | 188,601 | 85,499 | ||||||||
| 2000 | 183,146 | 56,289 | ||||||||
| 2001 | 210,211 | - | ||||||||
| 2002 | 278,049 | - | ||||||||
| 2003 | 495,754 | - | ||||||||
| 2004 | 441,064 | - | ||||||||
| 2005 | 500,949 | - | ||||||||
| 2006 | 501,754 | - | ||||||||
| 2007 | 366,582 | - | ||||||||
| 2008 | 285,631 | - | ||||||||
| Total | 8,676,917 | 7,077,280 | ||||||||
Nexa Resources S.A. | Vazante Polymetallic Operations, SLR Project No: 233.03245.R0000
Technical Report Summary - February 15, 2021
5-7
Table 5-3: Summary of Underground Mine Production
Nexa Resources S.A. – Vazante Polymetallic Operations
| Year | Plant Feed (t) | Plant Head Grade (% Zn) | Contained Metal (t Zn) | |||||||||||
| 1984 | 657 | - | - | |||||||||||
| 1985 | 20,342 | - | - | |||||||||||
| 1986 | 4,621 | - | - | |||||||||||
| 1987 | 13,942 | - | - | |||||||||||
| 1988 | 5,965 | - | - | |||||||||||
| 1989 | - | - | - | |||||||||||
| 1990 | 2,050 | - | - | |||||||||||
| 1991 | 21,999 | - | - | |||||||||||
| 1992 | 42,174 | - | - | |||||||||||
| 1993 | 31,410 | - | - | |||||||||||
| 1994 | 115,797 | - | - | |||||||||||
| 1995 | 143,504 | - | - | |||||||||||
| 1996 | 226,996 | - | - | |||||||||||
| 1997 | 227,927 | - | - | |||||||||||
| 1998 | 309,426 | - | - | |||||||||||
| 1999 | 416,583 | - | - | |||||||||||
| 2000 | 441,902 | 14.58 | 64,429 | |||||||||||
| 2001 | 531,606 | 14.97 | 79,581 | |||||||||||
| 2002 | 590,500 | 15.14 | 89,402 | |||||||||||
| 2003 | 680,251 | 15.04 | 102,310 | |||||||||||
| 2004 | 708,385 | 15.10 | 106,966 | |||||||||||
| 2005 | 815,821 | 14.43 | 117,723 | |||||||||||
| 2006 | 868,726 | 15.67 | 136,129 | |||||||||||
| 2007 | 1,026,790 | 15.33 | 157,407 | |||||||||||
| 2008 | 986,447 | 14.61 | 114,210 | |||||||||||
| 2009 | 1,096,662 | 15.12 | 165,815 | |||||||||||
| 2010 | 1,301,527 | 15.37 | 173,940 | |||||||||||
| 2011 | 1,323,742 | 13.14 | 173,940 | |||||||||||
| 2012 | 1,401,281 | 10.80 | 151,338 | |||||||||||
| 2013 | 1,389,520 | 10.80 | 150,068 | |||||||||||
| 2014 | 1,389,574 | 11.25 | 156,327 | |||||||||||
| 2015 | 1,355,200 | 11.68 | 158,287 | |||||||||||
| 2016 | 1,298,545 | 11.93 | 154,960 | |||||||||||
| 2017 | 1,348,254 | 12.39 | 167,082 | |||||||||||
| 2018 | 1,360,761 | 11.89 | 161,799 | |||||||||||
| 2019 | 1,441,625 | 10.76 | 155,115 | |||||||||||
| 2020 | 1,622,927 | 10.43 | 169,271 | |||||||||||
| Total | 24,563,959 | - | - | |||||||||||
Nexa
Resources S.A. | Vazante Polymetallic Operations, SLR Project No: 233.03245.R0000
Technical Report Summary - February 15, 2021
5-8

Source: Nexa, 2020
Figure 5-2: Summary of Open Pit and Underground Mine Production
Nexa
Resources S.A. | Vazante Polymetallic Operations, SLR Project No: 233.03245.R0000
Technical Report Summary - February 15, 2021
5-9
| 6.0 | Geological Setting, Mineralization, and Deposit |
| 6.1 | Regional Geology |
The South American Platform is mainly composed of metamorphic and igneous complexes of Archean/Proterozoic age and makes up the continental interior of South America. The Platform consolidated during the Late Proterozoic to Early Paleozoic times in the course of the Brasiliano/Pan-African orogenic cycle during which the amalgamation of different continents and micro continents with the closure of several ocean basins led to the formation of the Supercontinent Gondwana. Archean and Proterozoic rocks are exposed in three major shield areas within the framework of Neoproterozoic fold belts (Guiana, Central Brazil, and Atlantic shields). The western continental margin of the South American Plate developed from at least Neoproterozoic to Early Paleozoic times and constitutes a convergent margin, along which eastward subduction of Pacific oceanic plates beneath the South American Plate takes place. Through this process, the Andean Chain, the highest non-collisional mountain range in the world, developed. The eastern margin of the South American Plate forms a more than 10,000 km long divergent margin, which has developed as a result of the separation of the South American Plate and the African Plate since the Mesozoic era through the opening of the South Atlantic and the break-up of Gondwana. The northern and southern margins of the South American Plate developed along transform faults in transcurrent tectonic regimes due to the collision of the South American Plate with the Caribbean and Scotia plates. The South American Plate reveals a long and complex geologic history (Engler, 2009). Figure 6-1 is a simplified geological map of Brazil.
The Project is underlain by Paleoproterozoic and Mesoproterozoic-aged (1.80 Ga to 1.55 Ga) lithologies belonging to the Río Negro-Juruena Province, one of six major geochronological provinces comprising the Amazonian Craton. The Río Negro-Juruena Province occupies a large portion of the western part of the Amazonian Craton (Figure 6-2) and includes volcano-sedimentary sequences, felsic plutonic-gneiss, and granitoids. Rift basins within the province are filled with continental platform molasse and marine sediments of Mesoproterozoic, Paleozoic, and Mesozoic age (Engler, 2009). It is a zone of complex granitization and migmatization. Regional metamorphism, in general, occurred in the upper amphibolite facies (Tassinari et al., 2010)
Nexa
Resources S.A. | Vazante Polymetallic Operations, SLR Project No: 233.03245.R0000
Technical Report Summary - February 15, 2021
6-1

Figure 6 1: Regional Geology
Nexa
Resources S.A. | Vazante Polymetallic Operations, SLR Project No: 233.03245.R0000
Technical Report Summary - February 15, 2021
6-2

Figure 6-2: Geological Map of the Amazonian Shield
Nexa
Resources S.A. | Vazante Polymetallic Operations, SLR Project No: 233.03245.R0000
Technical Report Summary - February 15, 2021
6-3

| 6.2 | Local Geology |
The Vazante Operation is situated within the Tocanitins Province (Almeida et. al., 1977), an orogenic system located between the São Francisco Craton, the Amazon Craton, and a potential covered third cratonic block located in the Paraná watershed. The province is bordered by three orogenic mountain ranges: the Paraguay and Araguaia Ranges that border the Amazon Craton, and the Brasilia range, which borders the São Francisco Craton. The regional geology is presented in Figure 6-3.
A geological map of the Vazante Operation area is presented in Figure 6-4. All known zinc mineralization in the Vazante Operation area is hosted by the Meso-Neoproterozoic aged Vazante Group. The generalized stratigraphy of the Vazante Group is presented in Figure 6-5.
The Vazante Formation was first proposed by Dardenne (1979) to designate a set of pelitic-carbonate units traditionally attributed to the Bambuí Group. The Vazante Formation was subdivided into three sections: basal, intermediate, and top. Later, Dardenne et. al. (1998) redefined the Vazante Formation as the Vazante Group which included the Retiro, Lagamar, Serra do Garrote, Serra do Poço Verde, Morro do Calcário, and Serra da Lapa Formations.
Zinc-lead deposits hosted in pelitic-carbonate rocks of the São Francisco Craton are considered to be genetically connected to regional compression that forced basinal brines out and upward along regional structures (Guimarães, 1962, Beurlen, 1974, Lyer et. al., 1992, and Lyer, 1984). Major zinc deposits hosted by Vazante Group units occur as two major types. The first being represented by the Vazante zinc silicate deposit, and the second by the Morro Agudo zinc sulphide deposit. These deposit types have distinct lithostratigraphic controls as well as significant difference in terms of hydrothermal (Vazante) and syn-diagenetic (Morro Agudo) origins. Geochronological information presented in Olivio et. al. (2018) suggests that the age of the Middle Pamplona Member (the host to the Vazante zinc-silicate mineralization) ranges from approximately 2.10 Ga to 1.82 Ga while the age of the Upper Pamplona Member (the host to the Morro Agudo zinc-sulphide deposit) is approximately 1,082 Ma +/- 14 Ma.

Nexa Resources S.A. | Vazante Polymetallic Operations, SLR Project No: 233.03245.R0000
Technical Report Summary - February 15, 2021
6-4

Figure 6-3: Regional Geological Map of the Brasilia Fold Belt

Nexa Resources S.A. | Vazante Polymetallic Operations, SLR Project No: 233.03245.R0000
Technical Report Summary - February 15, 2021
6-5

Figure 6-4: Local Geology of the Vazante Mine Area

Nexa Resources S.A. | Vazante Polymetallic Operations, SLR Project No: 233.03245.R0000
Technical Report Summary - February 15, 2021
6-6

Figure 6-5: Generalized Stratigraphic Column of the Vazante Area

Nexa Resources S.A. | Vazante Polymetallic Operations, SLR Project No: 233.03245.R0000
Technical Report Summary - February 15, 2021
6-7

| 6.3 | Property Geology |
The geology of the Vazante Operation area consists of a sequence of pelitic carbonate rocks belonging to the Serra de Garrote and Serra do Poço Verde formations of the Vazante Group (Figure 6-6). The currently known mineralization has been traced along a strike length of approximately 10.5 km, extending from the southern end of the Vazante Mine to the northern limits of the Extremo Norte Mine.
| 6.3.1 | Serra do Garrote Formation |
The Serra do Garrote Formation consists of carbon rich phyllites containing ferruginous breccias and hematite blocks. The ferruginous breccias are attributed to surficial weathering processes while the hematite blocks are possibly due to hydrothermal fluid flows. The phyllitic rocks are carbon rich, black to dark gray when fresh, and quite homogenous in their appearance. Outcrops of these units are abundant in the Vazante Operation area, taking the form of flat outcrops in such locations as stream bottoms and in cliffs, road-cuts, and ravines.
In the field, these phyllites appear as laminated rocks occurring as alternating beds with different colours and particle sizes (Figure 6-7). The thickness of the bedding ranges from millimetre scale to centimetre scale. The sedimentary bedding (S0) is observed to typically occur parallel to subparallel to the cleavage (S1). These rock units are also affected by last phase kink-banding that is attributed to a regional deformation event (D1), and by locally developed crenulation cleavage.
The composition of the phyllite units consist primarily of sericite, chlorite, and quartz with minor amounts of detrital crystals of feldspar, tourmaline, and stilpnomelane. Iron hydroxide and oxide pseudomorphs after pyrite located interstitially to irregular sericite blades and quartz crystals.

Nexa Resources S.A. | Vazante Polymetallic Operations, SLR Project No: 233.03245.R0000
Technical Report Summary - February 15, 2021
6-8

Figure 6-6: Property Geology

Nexa Resources S.A. | Vazante Polymetallic Operations, SLR Project No: 233.03245.R0000
Technical Report Summary - February 15, 2021
6-9


Source: Amec, 2017.
Figure 6-7: Examples of Phyllites of the Serra Do Garrote Formation
| 6.3.2 | Serra do Poço Verde Formation |
In the Extremo Norte Mine area, the Serra do Poço Verde Formation is represented from base to top by the Lower Morro do Pinheiro, Upper Morro do Pinheiro, and Lower Pamplona members. The Lower and Upper Morro do Pinheiro members occur to the east of the Vazante Fault at the contact between the footwall and the hydrothermal dolomite breccia. The Lower Pamplona member occurs west of the Vazante Fault, at the contact between the cover and breccia.
| 6.3.2.1 | Lower Morro do Pinheiro Member |
Proposed by Dardenne (1978), the Lower Morro do Pinheiro Member occurs at the base of the dolomitic sequence of the Serra do Poço Verde Formation in the Extremo Norte Mine area. It consists of gray and sometimes pinkish coloured dolomites containing algal mat features. Occasional birds eye features are observed, consisting of lens shaped intergranular spaces filled with sedimentary material.
This Lower Morro do Pinheiro Member features dolomitic conglomerates (dolorudites) that are characterized by angular to subrounded clasts of different sizes, arranged in a limey mud (micritic) matrix. It consists almost exclusively of dolomite and some rare opaque crystals and quartz. The unit is locally silicified and can contain iron rich dolomite, quartz, and dolomite crenulations.
The almost monomineralic composition is probably related to diagenetic processes that favoured complete dolomitization. The presence of dissolution structures and cavity filling such as stromatictis (which consist of cavities filled by well developed crystals of dolomite with quartz at the middle) is considered to be related to the diagenetic dolomitization process. Much of the unit near the Extremo Norte Mine is interpreted to be a diagenetic collapse breccia (Figure 6-8).
| 6.3.2.2 | Upper Morro do Pinheiro Member |
The Upper Morro do Pinheiro Member was initially defined by Dardenne (1978). This member features thinly bedded dolomite, with clay sized to silt sized mineral grains and a massive to slightly laminated structure. This member displays only minor evidence of hydrothermal alteration and has maintained a light and/or dark gray colour. Primary structures including birds eyes and algal mats are preserved (Figure 6-9).

Nexa Resources S.A. | Vazante Polymetallic Operations, SLR Project No: 233.03245.R0000
Technical Report Summary - February 15, 2021
6-10


Source: Amec, 2017.
Figure 6-8: Intraclast Breccias with Subangular Clasts in Dolomite Matrix, with Stromatactis Filled with Dolomite

Source: Amec, 2017.
Figure 6-9: Images of Gray, Massive Dolomite Containing Birds-Eyes (A), and Bird’s Eyes Structures (B)
The dolomite contains local intraclast breccia lenses with angular clasts of various sizes ranging from 0.2 cm to 10 cm that are surrounded by a dolomite matrix. Gray to greenish metapelite layers with average thicknesses of approximately two metres to three metres occur in the Upper Morro do Pinheiro Member. It is possible to clearly define two metamorphic foliations in the metapelites. One cleavage is a continuous cleavage that features a slaty cleavage while the second cleavage is discontinuous and often generates a crenulation of the early cleavage (Figure 6-10).
| 6.3.2.3 | Lower Pamplona Member |
The Lower Pamplona Member was defined by Dardenne (1978) and is located west of the Vazante Fault in a down dropped block.
The Lower Pamplona Member consists of a metadolomite that is pinkish in colour, fine grained, and marked by the presence of algal mats that define a sedimentary bedding (Figure 6-11). It contains several marly intervals that range in colour from purple to greenish. Two metamorphic foliations are recognized in the marls.

Nexa Resources S.A. | Vazante Polymetallic Operations, SLR Project No: 233.03245.R0000
Technical Report Summary - February 15, 2021
6-11

The Lower Pamplona Member has been extensively altered by hydrothermal fluids that have commonly produced siderite and ankerite veinlets, and locally, some brecciation. The metadolomite is sometimes totally silicified.

Source: Amec, 2017.
Figure 6-10: View of a Metapelite Featuring Two Metamorphic Foliations Oriented Oblique to Each Other

Nexa Resources S.A. | Vazante Polymetallic Operations, SLR Project No: 233.03245.R0000
Technical Report Summary - February 15, 2021
6-12


Source: Amec. 2017.
Figure 6-11: View of Pink-Coloured Dolomite with Algal Mats and Primary Bedding (A) and Containing Meta-Marl Intercalations (B)
| 6.3.2.4 | Brecciated Dolomites (Hydrothermal Breccia) |
Brecciated dolomites are exposed in a north-south oriented strip associated with the Vazante Fault. They cut the Extremo Norte Mine area where they thicken near the contact with the Serra de Garrote Formation and are characterized by intense strain (D3) that allowed the brecciated structure to develop (Figure 6-12).
The rock is generally pink to reddish in colour, and few primary structures or bedding features are preserved. The unit is highly veined by thick siderite, ankerite, and dolomite veins. Clasts are round to sub rounded in shape, suspected to be due to the partial assimilation that took place during the flow of the hydrothermal fluids. The clasts are chaotically disposed in a totally recrystallized dolomite matrix that has a comb structure.

Nexa Resources S.A. | Vazante Polymetallic Operations, SLR Project No: 233.03245.R0000
Technical Report Summary - February 15, 2021
6-13


Source: Amec, 2017.
Figure 6-12: Example of Dolomite Breccia with Intense Veinlet Development
| 6.4 | Hydrothermal Alteration |
Regionally, hydrothermal alteration is primarily controlled by brecciation and structures relating to brecciation. The most common alteration minerals are siderite, ankerite, quartz, and hematite, which can occur both as veins, and matrix infillings around breccia clasts. Gahnite was noted in some veinlets close to economic grade mineralization (Monteiro et. al., 1999).
Pervasive hematite alteration may cause a colour change in the dolostones from gray to pink. Silicification within the dolostones is also a common alteration signature (Slezak, 2012).
Hydrothermal alteration is well developed in and around the mineralized zones (Figure 6-13). The alteration minerals comprise pervasive ferroan dolomite, ankerite, siderite, and replacement silica that persist for up to 100 m to 150 m into the hanging wall and up to approximately 50 m into the footwall of the fault zone (Hitzman et. al., 2003). Within the Vazante Fault zone, silica-hematite veins cut ferroan dolomite, particularly along the upper and lower edges of the fault zone.

Nexa Resources S.A. | Vazante Polymetallic Operations, SLR Project No: 233.03245.R0000
Technical Report Summary - February 15, 2021
6-14

Figure 6-13: Typical Example of Alteration Style and Mineralogy

Nexa Resources S.A. | Vazante Polymetallic Operations, SLR Project No: 233.03245.R0000
Technical Report Summary - February 15, 2021
6-15

| 6.5 | Mineralization |
The zinc-lead-silver mineralization at the Vazante Operation is hosted by the Vazante Shear Zone which has been traced by drilling and sampling along a strike length of approximately 12 km. The Vazante Shear Zone has a general strike of azimuth 50° and dips approximately 60° to the northwest at surface (Figure 6-14). The hanging wall lithologies of the Vazante Shear Zone are comprised of dolostone and sericitic phyllite, slates and marl units of the Serra do Poço Verde Formation while the footwall lithologies to the Vazante Shear Zone are dominated by dark grey dolostones of the Upper Morro do Pinheiro Member. Drilling information indicates that the dip of the zinc mineralized zone gradually decreases with depth in the southern portions of the structure.
The zinc mineralization at the Vazante and Extremo Norte mines is composed largely of hypogene zones that are composed mainly of willemite (Zn2SiO4) veins, veinlets, and stockworks that are hosted by sphalerite rich carbonate. The mineralization typically contains willemite (50% to 70%), dolomite (10% to 30%), siderite (10% to 20%), quartz (10% to 15%), hematite (5% to 10%), zinc rich chlorite (5% to 10%), barite (<5%), franklinite (<5%), and zincite (<5%), with subordinate concentrations of magnetite and apatite (Monteiro et. al., 2006). Lead and silver are also recovered from the hypogene mineralization produced from the Vazante Operation. While no detailed studies regarding the specific lead and silver bearing minerals have been carried out on samples of the hypogene mineralization, several detailed mineralogical studies have been conducted using concentrate samples. SLR notes that the majority of the lead mineralization in the concentrates has been found to be related to galena (PbS), with lesser amounts of lead being contained in cerussite (Pb(CO3)). Mineralogical studies have indicated that the silver values are contained in the minerals acanthite (Ag2S) and jalpaite (Ag2CuS2).
Supergene zones of zinc rich mineralization have been developed in the near surface portions of the hypogene mineralized zones. These supergene zones are referred to as the calamine zones at the Vazante Operation. The calamine mineralization is composed principally of smithsonite (ZnCO3) that includes subordinate amounts of hemimorphite (Zn4(Si2O7)(OH)2.H2O) and quartz. The calamine mineralized zones were derived from weathering of the primary willemite mineralization.
Nexa Resources S.A. | Vazante Polymetallic Operations, SLR Project No: 233.03245.R0000
Technical Report Summary - February 15, 2021
6-16

Figure 6-14: View of the Geology, Alteration, and Mineralization
Nexa Resources S.A. | Vazante Polymetallic Operations, SLR Project No: 233.03245.R0000
Technical Report Summary - February 15, 2021
6-17

| 6.6 | Deposit Descriptions |
| 6.6.1 | Vazante |
The zinc silicate mineralization of the Vazante deposit is hosted in a tectonic hydrothermal breccia zone that is found near the contact between the Lower Pamplona and the Upper Morro do Pinheiro Members of the Vazante Group. Metamorphosed dikes are tectonically imbricated with the carbonates and hydrothermal breccias in the main orebody.
The Vazante portion of the orebody, which is approximately seven kilometres in length, has a variable thickness, and has been traced by drilling to a depth of approximately 800 m below surface. Willemite can form as pods, veinlets, and metre wide veins within the hydrothermal breccia and is locally controlled by antithetic faults in the deposit. The willemite composition, according to electron micro-probe (EMP) studies conducted by Monteiro et. al. (2006), has been shown to contain minor amounts of FeO (up to 0.3 wt%) and Ca (up to 0.13 wt %).
Willemitic mineralization is tectonically imbricated with small sulphide orebodies, metabasites, and brecciated metadolomites. The sulphide orebodies are offset by normal and reverse faults and are cut by late hydrothermal veins. This can cause a complex relationship between orebodies and host rocks. The sulphide bodies consist of iron poor sphalerite with round inclusions of galena, and occasional inclusions of hematite, quartz, and dolomite. The relationship between sphalerite and willemite is not well understood. They may have co-precipitated from the same solution (Monteiro et. al., 1999, Hitzman et. al., 2003), or the willemite may be an alteration or metamorphic product after sphalerite (Appold and Monteiro, 2009). Typical cross sections through the Lumiadeira and Sucuri areas of the Vazante Mine are presented in Figure 6-15 and Figure 6-16, respectively.

Nexa Resources S.A. | Vazante Polymetallic Operations, SLR Project No: 233.03245.R0000
Technical Report Summary - February 15, 2021
6-18

Figure 6-15: Cross Section of the Lumiadeira Area, Vazante Mine

Nexa Resources S.A. | Vazante Polymetallic Operations, SLR Project No: 233.03245.R0000
Technical Report Summary - February 15, 2021
6-19

Figure 6-16: Cross Section of the Sucuri Area, Vazante Mine

Nexa Resources S.A. | Vazante Polymetallic Operations, SLR Project No: 233.03245.R0000
Technical Report Summary - February 15, 2021
6-20
| 6.6.2 | Extremo Norte |
The Extremo Norte mineralization is associated with the Vazante Shear Zone, and is primarily hosted in the Lower Pamplona Member, or along the contact between the Lower Pamplona and Upper Morro do Pinheiro Members.
The mineralization consists of willemite (in variable quantities, but can reach up to 40% in abundance), specular hematite (1% to 50%), and minor franklinite (ZnFe2O4). The mineralized zones occur as a primary gently undulating, northwest dipping tabular sheet that has been traced by drilling along a strike length of approximately four kilometres and to a depth of approximately 600 m from surface.
The mineralization at the Vazante Mine is observed to generally contain more sulphide minerals associated with the willemite, and observations suggest that it has experienced a higher degree of ductile deformation than is observed at the Extremo Norte deposit. Metamorphosed and hydrothermally altered basic dikes are tectonically imbricated with the carbonates and the hydrothermal breccias in the Vazante Mine (Babinski et. al., 2005), but these have not been observed at the Extremo Norte deposit (McGladrey, 2014).
A paragenetic history of the Extremo Norte deposit has been proposed by Slezak et. al. (2013) and is presented in Figure 6-17 and Figure 6-18.
Nexa Resources S.A. | Vazante Polymetallic Operations, SLR Project No: 233.03245.R0000
Technical Report Summary - February 15, 2021
6-21

Figure 6-17: Proposed Paragenetic History of the Extremo Norte Deposit

Nexa Resources S.A. | Vazante Polymetallic Operations, SLR Project No: 233.03245.R0000
Technical Report Summary - February 15, 2021
6-22

Figure 6-18: Proposed Genetic Model for the Extremo Norte Deposit

Nexa Resources S.A. | Vazante Polymetallic Operations, SLR Project No: 233.03245.R0000
Technical Report Summary - February 15, 2021
6-23
| 6.6.3 | Calamine |
The majority of the existing calamine mineralized zones are located along the Extremo Norte portion of the Lumiadeira-Sucuri-Extremo Norte mineralized trend. Several minor occurrences of calamine are located along the northeastern sections of the Sucuri trend of the Vazante Mine. The calamine mineralized zones consist of fully weathered supergene material that is derived from the primary willemite zinc mineralization and its enclosing host rock units (Figure 6-19 and Figure 6-20).

Source: Nexa
Figure 6-19: View of In-Situ Calamine Mineralization
Nexa Resources S.A. | Vazante Polymetallic Operations, SLR Project No: 233.03245.R0000
Technical Report Summary - February 15, 2021
6-24
Source: Nexa
Figure 6-20: Example of Calamine Mineralization in Drill Core
| Nexa Resources S.A.│Vazante Polymetallic Operations, SLR Project No: 233.03245.R0000 |
| Technical Report Summary - February 15, 2021 |
6-25
| 6.7 | Deposit Types |
The zinc deposit found at the Vazante Operation is the largest known non-sulphide zinc deposits in the world and is the type example for this class of mineral deposit. The Vazante Operation mineralization is composed primarily of hypogene zinc silicate minerals dominate in abundance by willemite. The primary hypogene willemite mineralization has been subjected to supergene weathering processes to produce secondary zinc mineralization, referred to as the calamine mineralization, which is composed of smithsonite (ZnCO3) and hemimorphite (Zn4Si2O7(OH)2).
Non-sulphide hypogene zinc deposits are known to occur either as stratiform deposits, or structurally controlled deposits. The mineralization at the Vazante Operation is an example of a structurally controlled deposit. Key features of structurally controlled deposits are:
| · | They occur in Neoproterozoic to Cambrian aged sedimentary basins that have been metamorphosed to at least sub-greenschist facies. |
| · | They are hosted in carbonate rocks associated with major structures, such as district-scale faults and folds. |
| · | They are associated with brecciation, which may be the result of karstification, or the result of tectonism and hydrothermal fluid flow. |
| · | The dominant economic zinc mineral is willemite. Additional minerals may include zinc oxides such as zincite, franklinite, or zinc carbonates such as smithsonite. |
| · | The alteration minerals can include ferroan dolomite, hematite, and quartz. |
The Vazante Operation mineralization is linked to the development of the Vazante Shear Zone, which has been interpreted to be a transpressional transcurrent fault that later reactivated as a normal fault (Monteiro et. al, 2007, Pinho, 1990).
The hypogene mineralization has two strong controls, lithostratigraphic and structural. The Vazante Operation deposit is clearly confined to a clay-dolomite interval near the contact between the Lower Pamplona Member and the Lower Morro do Pinheiro Member. Mineralization is restricted to the brecciated area in the fault zone that has had a long history of reactivation (Monteiro, 2002). This hypogene mineralization is interpreted to result from deposition of metals from hydrothermal fluids that have moved through the Vazante Shear Zone.
The morphology of the Vazante Operation deposit consists of veins and anastomosing podiform bodies that are fault bounded. The geochemical controls on the deposition of the mineralization are not well understood and the source of the metals is not known. The deposit genesis is thus in debate, as it may have originally represented a sulphide deposit that was subsequently silicified, or it may have consisted of primary zinc silicate mineralization that was later re-concentrated into the Vazante Shear Zone.
Work by Monteiro et. al, (1999, 2006, and 2007) suggest that the willemite can form by reacting sphalerite and quartz through the reaction:
2ZnS + 2SiO2 + 2O2 = 2ZnSiO4 + S2 .
This reaction would presumably occur during a low-grade metamorphic event.
Brugger et. al. (2003) investigated the origin of these deposits and suggested that the willemite could form by direct precipitation from hydrothermal fluids under high pH and high oxygen fugacity conditions.
Furthermore, Hitzman et. al. (2003) concluded that the fluids responsible for transporting zinc to the Vazante Operation type zinc deposits appear to be geochemically similar to solutions produced in many continental sedimentary basins. As non-sulphide zinc deposits appear to form from the mixing of highly oxidized, sulphur poor solutions with zinc bearing solutions, they could be found in the same districts as sphalerite-rich Mississippi Valley type or Irish type deposits formed by fluid mixing. Such appears to be the case in the Bambuí Group in Brazil.
| Nexa Resources S.A.│Vazante Polymetallic Operations, SLR Project No: 233.03245.R0000 |
| Technical Report Summary - February 15, 2021 |
6-26
The Irish type Morro Agudo zinc-lead deposit, located approximately 100 km north of the Vazante Operation, occurs in rocks that are stratigraphically above the level of the mineralization at Vazante. Morro Agudo, like other Irish type deposits (Hitzman and Beaty, 1996), formed by the mixing of a metal rich, sulphur poor, reduced hydrothermal fluid with a sulphur rich fluid. Similarly, the Vazante Operation deposit may have formed through the mixing of a similar metal rich, reduced, hydrothermal fluid with a highly oxidized, sulphur poor fluid (Hitzman et. al., 2003).
| Nexa Resources S.A.│Vazante Polymetallic Operations, SLR Project No: 233.03245.R0000 |
| Technical Report Summary - February 15, 2021 |
6-27
| 7.0 | Exploration |
| 7.1 | Exploration |
| 7.1.1 | Introduction |
Zinc was first discovered at the Vazante Operation in 1951 when areas of gossan and calamine mineralization were discovered in surface outcrops. Since 1951, exploration has largely consisted of geological mapping and geophysical surveying, with minor amounts of geochemical sampling programs being carried out to locate outcropping mineralized zones. In the Vazante Operation area, exploration programs (including drilling) have strategically been carried out in support of extensions of mining operations, including the possibility of deepening of the mine infrastructure.
While geochemical surveys are useful for locating those areas of outcropping mineralization, much of the mineralized zones at the Vazante Operation extend to depth and so limiting the effectiveness of geochemical surveys.
Geophysical surveys are useful for detecting mineralized zones to shallow depths and are also useful to assist in defining the location of controlling structures. As the surface and near-surface potential has been evaluated by these methods, increasingly diamond drilling programs are becoming the primary exploration tool for locating additional mineralized zones at depth.
| 7.1.2 | Grid Datums and Topography Surveys |
Two grid systems are used in the Vazante Operation area. For regional exploration programs, all location information is collected using the UTM SIRGAS 2000 Zone 23S datum. For exploration programs located in the vicinity of the mine areas, the location information is collected using the UTM Córrego Alegre Zone 23S datum.
The regional topographic surface is created from data collected from the Shuttle Radar Topography Mission (SRTM), an international research effort in February 2000 that obtained digital elevation models on a near global scale from latitudes of 56°S to 60°N. Contour lines were created from this information at five metre intervals using the GEOSOFT software package.
| 7.1.3 | Geological Mapping Programs |
Geological mapping programs have been conducted by a number of the prior owners of the mineral tenements. These include US Steel (1969), Rio Doce Geologia e Mineração S/A (1970’s), Serviços Geológico Do Brasil (1986, 2013, and 2015), and Votorantim, now Nexa, (2004 to date).
The scales of the geological mapping programs have ranged from regional mapping scales of 1:100,000, 1:75,000, and 1:50:000 in which the basic lithological framework was established to more local scale mapping programs at scales of 1:10,000 as exploration activities identified target areas that were believed to warrant collection of additional geological information at a more detailed level. Throughout these various mapping programs, information such as the lithology types, location of gossan and sulphide occurrences, alteration zones, and the location of faults and structural data were collected. This information was then used as guides for more detailed exploration activities.
| Nexa Resources S.A.│Vazante Polymetallic Operations, SLR Project No: 233.03245.R0000 |
| Technical Report Summary - February 15, 2021 |
7-1
| 7.1.4 | Geochemical Sampling Programs |
Geochemical exploration activities have included the collection of 1,417 rock chip samples (Figure 7-1), 133 pan concentrate samples (Figure 7-2), 633 stream sediment samples (Figure 7-3), and 4,080 soil samples (Figure 7-4).
The rock chip samples were collected mostly from selected outcrops of the Morro do Calcário Formation, while stream sediment samples were collected where favourable sites were present. Soil samples were collected primarily over areas that were considered to be underlain by the Morro do Calcário Formation. The results from all of these surveys were used to develop exploration drill targets.
| Nexa Resources S.A.│Vazante Polymetallic Operations, SLR Project No: 233.03245.R0000 |
| Technical Report Summary - February 15, 2021 |
7-2

Figure 7-1: Location Plan, Rock Chip Samples
| Nexa Resources S.A.│Vazante Polymetallic Operations, SLR Project No: 233.03245.R0000 |
| Technical Report Summary - February 15, 2021 |
7-3

Figure 7-2: Location Plan, Panning Concentrate Samples
| Nexa Resources S.A.│Vazante Polymetallic Operations, SLR Project No: 233.03245.R0000 |
| Technical Report Summary - February 15, 2021 |
7-4

Figure 7-3: Location Plan, Stream Sediment Samples
| Nexa Resources S.A.│Vazante Polymetallic Operations, SLR Project No: 233.03245.R0000 |
| Technical Report Summary - February 15, 2021 |
7-5

Figure 7-4: Location Plan, Soil Samples
| Nexa Resources S.A.│Vazante Polymetallic Operations, SLR Project No: 233.03245.R0000 |
| Technical Report Summary - February 15, 2021 |
7-6
| 7.1.5 | Geophysical Surveys |
| 7.1.5.1 | Airborne Surveys |
An airborne magnetic survey was carried out in 2000 to 2001 by Lasa Engenharia e Prospecções S.A, a geophysical contractor on behalf of Companhia Mineradora de Minas Gerais (COMIG). The survey used a fixed wing Islander BN2-A aircraft equipped with a caesium vapour, Scintrex CS-3 model, with a 10 Hz frequency and a sampling interval of six metres. Control lines were spaced at intervals of 2,600 m, with individual flight lines at 250 m intervals. The average flight height was approximately 100 m. In total, the magnetic survey provided approximately 85,155 line-km of data.
A second airborne survey that collected magnetic and gamma ray spectrometry information was carried out in the region in 2010 by Lasa on behalf of Votorantim. This survey covered an area of approximately 346.2 km2. The aircraft used was a Caravan C208 (PR-FAK) with flight lines approximately 150 m apart and control lines approximately 1,500 m apart. The average flight height was approximately 100 m. The aircraft was equipped with a Scintrex cesium vapor sensor, model CS-3, with a resolution of 0.001 nT. The gamma ray spectrometry information was collected using a Picodas PGAM 1000 multichannel gamma-spectrometric system, with thallium-activated sodium iodide (NaI) detecting crystals, with a sampling frequency of 1Hz and 60m sample interval.
Gravity measurements totalling 2,632 line-km of data were also collected during this survey using the FALCONTM AGG system.
An excerpt of the regional magnetic information for the Vazante Mine area is provided in Figure 7-5 , while gamma spectroscopy information is provided in Figure 7-6. The purpose of the magnetic surveys were to assist in the delineation of fault structures and lineaments that could have played a role in the localization of the mineralizing fluids. The gravity data was used in an attempt to differentiate areas of zinc mineralization, as there could be a marked difference between the host rocks and zones of sphalerite/willemite mineralization.
| Nexa Resources S.A.│Vazante Polymetallic Operations, SLR Project No: 233.03245.R0000 |
| Technical Report Summary - February 15, 2021 |
7-7

Figure 7-5: Regional Magnetic Data for the Vazante Mine Area
| Nexa Resources S.A.│Vazante Polymetallic Operations, SLR Project No: 233.03245.R0000 |
| Technical Report Summary - February 15, 2021 |
7-8

Figure 7-6: Regional Gamma Spectroscopy Data for the Vazante Mine Area
| Nexa Resources S.A.│Vazante Polymetallic Operations, SLR Project No: 233.03245.R0000 |
| Technical Report Summary - February 15, 2021 |
7-9
| 7.1.5.2 | Ground Based Surveys |
Nexa has executed a number of ground based geophysical surveys starting in 2009 as summarized in Table 7-1.
| Nexa Resources S.A.│Vazante Polymetallic Operations, SLR Project No: 233.03245.R0000 |
| Technical Report Summary - February 15, 2021 |
7-10

Table 7-1: Summary of Ground Based Geophysical Surveys
Nexa Resources S.A. – Vazante Polymetallic Operations
| Geophysical | Airborne (A) / | Public (Pb) / | |||||||||||||||||||||||||||||||||||||||||||||||||
| Prospect | Method | Terrestrial (T) | Private (Pv) | Company | 2009 | 2010 | 2011 | 2012 | 2013 | 2014 | 2015 | 2016 | 2017 | 2018 | 2019 | ||||||||||||||||||||||||||||||||||||
| line-kilometer | |||||||||||||||||||||||||||||||||||||||||||||||||||
| Cabeluda | Conventional IP | T | Pv | Geomag | - | - | - | - | 3.60 | - | - | - | - | - | - | ||||||||||||||||||||||||||||||||||||
| Carrapato | Conventional IP | T | Pv | Geomag | - | - | - | - | - | - | - | - | - | 2.35 | - | ||||||||||||||||||||||||||||||||||||
| Extremo Norte | Conventional IP | T | Pv | Geomag | - | - | - | - | - | - | - | 1.30 | - | - | - | ||||||||||||||||||||||||||||||||||||
| Ferradura | Conventional IP | T | Pv | Geomag | - | - | - | - | - | - | - | - | - | 4.45 | - | ||||||||||||||||||||||||||||||||||||
| Lajes | Conventional IP | T | Pv | Geomag | - | - | - | - | - | - | - | - | 3.70 | - | - | ||||||||||||||||||||||||||||||||||||
| Lumiadeira | Conventional IP | T | Pv | Geomag | - | - | - | - | - | - | - | - | 11.30 | - | - | ||||||||||||||||||||||||||||||||||||
| Salobo | Conventional IP | T | Pv | Geomag | - | - | - | - | - | - | - | - | 11.45 | - | - | ||||||||||||||||||||||||||||||||||||
| Calamina | Electrical
Resistivity Tomography |
T | Pv | Geodecon | - | - | - | - | - | - | - | - | - | 15.20 | - | ||||||||||||||||||||||||||||||||||||
| Calamina | Electrical
Resistivity Tomography |
T | Pv | Geodecon | - | - | - | - | - | - | - | - | - | - | 6.00 | ||||||||||||||||||||||||||||||||||||
| Lumiadeira | Electrical
Resistivity Tomography |
T | Pv | Geodecon | - | - | - | - | - | - | - | - | - | - | 20.67 | ||||||||||||||||||||||||||||||||||||
| Várzea Poço Verde | Electrical
Resistivity Tomography |
T | Pv | Geomag | - | - | - | - | - | - | - | - | 6.40 | - | - | ||||||||||||||||||||||||||||||||||||
| Sungem | Fullwave IP | T | Pv | Geomag | - | - | - | - | - | - | - | - | - | - | 4.05 | ||||||||||||||||||||||||||||||||||||
| Vazante Sul | Fullwave IP | T | Pv | Geomag | - | - | - | - | - | - | - | - | - | - | 20.88 | ||||||||||||||||||||||||||||||||||||
| Mina | Gravity | T | Pv | Prospecgeo | 10.41 | - | - | - | - | - | - | - | - | - | - | ||||||||||||||||||||||||||||||||||||
| Água Doce | Magnetometry | T | Pv | Nexa | 14.30 | - | - | - | - | - | - | - | - | - | - | ||||||||||||||||||||||||||||||||||||
| Alcalina Vz Sul | Magnetometry | T | Pv | Nexa | - | - | - | - | 10.70 | - | - | - | - | - | - | ||||||||||||||||||||||||||||||||||||
| Masa | Magnetometry | T | Pv | Nexa | 24.90 | - | - | - | - | - | - | - | - | - | - | ||||||||||||||||||||||||||||||||||||

Nexa Resources S.A. | Vazante Polymetallic Operations, SLR Project No: 233.03245.R0000
Technical Report Summary - February 15, 2021
7-11
| Prospect | Geophysical Method |
Airborne
(A) / Terrestrial (T) |
Public
(Pb) / Private (Pv) |
Company | 2009 | 2010 | 2011 | 2012 | 2013 | 2014 | 2015 | 2016 | 2017 | 2018 | 2019 | ||||||||||||||||||||||||||||||||||||
| line-kilometer | |||||||||||||||||||||||||||||||||||||||||||||||||||
| Mata 1 / 2 | Magnetometry | T | Pv | Nexa | 90.90 | - | - | - | - | - | - | - | - | - | - | ||||||||||||||||||||||||||||||||||||
| Mata Preta | Magnetometry | T | Pv | Nexa | - | - | - | - | 7.04 | - | - | - | - | - | - | ||||||||||||||||||||||||||||||||||||
| Mina | Magnetometry | T | Pv | Nexa | 144.60 | - | - | - | - | - | - | - | - | - | - | ||||||||||||||||||||||||||||||||||||
| Olho D'Água | Magnetometry | T | Pv | Nexa | - | 103.04 | - | - | - | - | - | - | - | - | - | ||||||||||||||||||||||||||||||||||||
| Pasto | Magnetometry | T | Pv | Nexa | - | 20.35 | - | - | - | - | - | - | - | - | - | ||||||||||||||||||||||||||||||||||||
| Salobo | Magnetometry | T | Pv | Nexa | 136.60 | - | - | - | - | - | - | - | - | - | - | ||||||||||||||||||||||||||||||||||||
| Soledade | Magnetometry | T | Pv | Nexa | 34.35 | - | - | - | - | - | - | - | - | - | - | ||||||||||||||||||||||||||||||||||||
| Sungem | Magnetometry | T | Pv | Nexa | 36.12 | - | - | - | - | - | - | - | - | - | - | ||||||||||||||||||||||||||||||||||||
| Varginha | Magnetometry | T | Pv | Nexa | 109.70 | - | - | - | - | - | - | - | - | - | - | ||||||||||||||||||||||||||||||||||||
| Lajes | Magnetometry | T | Pv | Nexa | - | - | - | - | - | - | - | 18.00 | - | - | - | ||||||||||||||||||||||||||||||||||||
| Varginha | Resistivity | T | Pv | Intergeo | - | - | - | - | - | 14.40 | - | - | - | - | - | ||||||||||||||||||||||||||||||||||||

Nexa Resources S.A. | Vazante Polymetallic Operations, SLR Project No: 233.03245.R0000
Technical Report Summary - February 15, 2021
7-12
| 7.1.6 | Exploration Potential |
The Nexa geological team has continued to conduct exploration activities in the immediate environs of the Vazante Mine as well as in the neighbouring regions. The regional exploration programs have discovered several occurrences of zinc mineralization including Vazante Norte, Carrapato, Vazante Sul, and Sugem (Figure 7-7).
| 7.1.6.1 | Regional Targets |
| 7.1.6.1.1 | Vazante Sul Target |
The Vazante Sul Target is located south of the town of Vazante. Integration of all available data from historical drilling campaigns, and three element analyses of soil and rock samples has allowed a reinterpretation of the conceptual model for the Vazante Sul area and opened a potential mineralized trend approximately 15 km in length. This was followed by selected soil sampling and multi-elemental analyses, geological mapping at a scale of 1:10,000, and further three-dimensional modelling. The conceptual exploration model is based on the continuity of the Vazante Fault to the south of the town of Vazante. Observations made at the Vazante Mine suggest that the mineralization is deformed by northwest trending folds as well as by low angle faults. These observations have led to the view that the same should occur for a possible non-sulfide mineralization on the Vazante Sul trend. Historically the region was mapped as “undifferentiated dolomite” due the lack of outcrops and the thick soil cover, but re-evaluation of historical drill holes as well as detailed geological mapping found the presence of the pink dolomite that is recognized at the Vazante Mine as the main host rock for mineralization.
IP surveys (total 20.88 km in length) were carried out along five profiles on the Vazante Sul trend to search for stratigraphic discontinuities and areas of high resistivity, as intense silicification of the breccias that hosts the Vazante ore are known to increase resistivity.
Three drill holes were proposed in areas of favorable geological setting, discrete soil anomalies (due the thick allochthonous soil cover), and geophysical high resistivity. Two of the drill holes were in progress and were expected to be completed during December 2020.
| Nexa Resources S.A.│Vazante Polymetallic Operations, SLR Project No: 233.03245.R0000 |
| Technical Report Summary - February 15, 2021 |
7-13

Figure 7-7: Zinc Occurrences of the Vazante Mine Area
| Nexa Resources S.A.│Vazante Polymetallic Operations, SLR Project No: 233.03245.R0000 |
| Technical Report Summary - February 15, 2021 |
7-14
| 7.1.6.1.2 | Sungem |
The Sungem Target is located approximately 10 km from the village of Coromandel and 110 km southwest of the town of Vazante. Historical drill cores collected by the company Mearim who were prospecting for diamonds intercepted zinc-lead mineralization hosted in carbonatic rocks.
In 2020, two IP profiles and three drill holes were executed by Nexa to identify the system. Zinc sulphide occurrences were intercepted and a further drilling campaign is proposed to extend zinc potential towards the northeast (Figure 7-8).
Source: Nexa
Figure 7-8: Hydrothermal Breccia and Zinc Sulphide Mineralization from the Sungem Target
| 7.1.6.1.3 | Mata Preta Prospect |
The Mata Preta prospect is located south of the town of Vazante, near the contact between the Serra Do Garrote black shales and the grey dolomites of the Morro do Pinheiro Formation. Outcrops in the area show potential for sulphide mineralization controlled by structures (Figure 7-9). Grab samples collected containing sphalerite have returned up to 15,000 ppm Zn and 661 ppm Pb.
| Nexa Resources S.A.│Vazante Polymetallic Operations, SLR Project No: 233.03245.R0000 |
| Technical Report Summary - February 15, 2021 |
7-15
Source: Nexa
Figure 7-9: Vein-Hosts Sphalerite in Veins Associated with Hydrothermal Dolomite and Quartz, Mata Preta Prospect
| Nexa Resources S.A.│Vazante Polymetallic Operations, SLR Project No: 233.03245.R0000 |
| Technical Report Summary - February 15, 2021 |
7-16
A geophysical IP profile completed on the Vazante Sul area to the southwest indicated a potential northeast trend of five kilometres towards the Mata Preta target (Figure 7-10). Association of high resistivity and high chargeability can indicate presence of sulphides.
Multi-elemental soil samples also correlate with the northeast trend showing anomalies in several elements such as Zn, Pb, Cu, As, Be, Ag, Fe, V, Cd and Ba (Figure 7-11).
Source: Nexa
Figure 7-10: Location of the Mata Preta Prospect and Potential Mineralized Corridor
| Nexa Resources S.A.│Vazante Polymetallic Operations, SLR Project No: 233.03245.R0000 |
| Technical Report Summary - February 15, 2021 |
7-17
Source: Nexa
Figure 7-11: Three Dimensional Model of the Mata Preta Prospect Showing Multi Element Geochemical Anomalies
| 7.1.6.1.4 | Carrapato Trend |
The Carrapato trend is located northwest of the town of Vazante. Integration and re-interpretation of historical data indicated two potential trends observed on the three elements soil anomalies with zinc and lead values higher than 500 ppm, as well as in rock samples with up to 10.8% Zn (Figure 7-12). The trend is considered to have potential for containing sulphide and non-sulphide mineralization.
Geological mapping carried out by Nexa in 2020 has identified three areas that are considered to have potential of hosting zinc mineralization (Figure 7-13).
| Nexa Resources S.A.│Vazante Polymetallic Operations, SLR Project No: 233.03245.R0000 |
| Technical Report Summary - February 15, 2021 |
7-18
Figure 7-12: Compilation of Historical Results, Carrapato Trend
Source: Nexa
Figure 7-13: Exploration Potential of the Carrapato Trend
| Nexa Resources S.A.│Vazante Polymetallic Operations, SLR Project No: 233.03245.R0000 |
| Technical Report Summary - February 15, 2021 |
7-19
| 7.2 | Drilling |
| 7.2.1 | Introduction |
While the majority of drilling activities at the Vazante Operation are focussed in support of mining operations, a small number of exploration drill holes have been completed throughout the region to evaluate selected targets for their potential of hosting potentially economic concentrations of zinc mineralization. As of 2019, the regional core drilling programs have completed a total of 115 drill holes totalling 35,548.2 m in length (Figure 7-14, Table 7-2).
The regional exploration drill holes are drilled exclusively from surface based locations while the drill holes completed in support of the mining operations can be completed either from underground stations or from surface based locations. A small number of surface based drill holes were completed in the area of the open pit mines to evaluate the presence, distribution, and grade of areas of calamine mineralization. As well, a small number of “Direct Push” drill holes were completed in the Aroeira and Old Dam (Antiga) TSFs to provide information regarding the depths and grades of the accumulated tailings. Additional drilling was carried out in the area of the existing open pit mines to evaluate the extent and distribution of the calamine mineralization in those areas (Table 7-3,Figure 7-15). A summary of annual drilling completed at the Vazante Operation is presented in Table 7-4.
| Nexa Resources S.A.│Vazante Polymetallic Operations, SLR Project No: 233.03245.R0000 |
| Technical Report Summary - February 15, 2021 |
7-20
Figure 7-14: Location of Regional Exploration Drill Holes
| Nexa Resources S.A.│Vazante Polymetallic Operations, SLR Project No: 233.03245.R0000 |
| Technical Report Summary - February 15, 2021 |
7-21
Table 7-2: Summary of Regional Exploration Drilling
Nexa Resources S.A. – Vazante Polymetallic Operations
| Year | Drilling Type | Number
of Holes Completed | Metres
Completed (m) | |||
| 1976 | 2 | 283.9 | ||||
| 1977 | 4 | 889.7 | ||||
| 1982 | 2 | 623.5 | ||||
| 1983 | 2 | 695.9 | ||||
| 1984 | 8 | 1,201.6 | ||||
| 1985 | 4 | 505.1 | ||||
| 1986 | 1 | 485.4 | ||||
| 1987 | 2 | 430.8 | ||||
| 1990 | 1 | 254.8 | ||||
| 1997 | 1 | 613.8 | ||||
| 1998 | 1 | 217.1 | ||||
| 1999 | 2 | 213.7 | ||||
| 2006 | Core | 2 | 760.3 | |||
| 2007 | 1 | 244.4 | ||||
| 2010 | 5 | 1,273.6 | ||||
| 2011 | 5 | 1,285.9 | ||||
| 2012 | 3 | 926.1 | ||||
| 2013 | 2 | 715.7 | ||||
| 2014 | 8 | 2,457.6 | ||||
| 2015 | 7 | 4,147.3 | ||||
| 2016 | 18 | 7,387.5 | ||||
| 2017 | 17 | 4,632.6 | ||||
| 2018 | 8 | 2,769.1 | ||||
| 2019 | 3 | 1,011.2 | ||||
| Undated | 6 | 1,521.6 | ||||
| Subtotal | 115 | 35,548.2 | ||||
| 2006 | Auger | 70 | 691.3 | |||
| Total | 185 | 36,239.5 |
| Nexa Resources S.A.│Vazante Polymetallic Operations, SLR Project No: 233.03245.R0000 |
| Technical Report Summary - February 15, 2021 |
7-22
Table 7-3: Summary of the Open Pit, Underground, and Tailings Sample Drill Hole and Sampling Data as at April 30, 2020
Nexa Resources S.A. – Vazante Polymetallic Operations
| Area | Type | No. of Samples | Total
Length (m) | |||
| Vazante (Lumiadeira & Sucuri) | Drill Core | 6,186 | 1,036,581.7 | |||
| Chip/Channel Samples | 1,089 | 5,972.7 | ||||
| Extremo Norte | Drill Core | 1,399 | 345,495.7 | |||
| Chip/Channel Samples | 199 | 1,147.5 | ||||
| Calamine Targets | Drill Core (Triple Tube) | 415 | 39,569 | |||
| Aroeira/Antiga TSFs | “Direct Push” | 114 | 1,611.0 |

| Nexa Resources S.A.│Vazante Polymetallic Operations, SLR Project No: 233.03245.R0000 |
| Technical Report Summary - February 15, 2021 |
7-23
Figure 7-15: Location of Drill Holes and Channel Samples, Vazante and Extremo Norte Deposits
| Nexa Resources S.A.│Vazante Polymetallic Operations, SLR Project No: 233.03245.R0000 |
| Technical Report Summary - February 15, 2021 |
7-24
Table 7-4: Summary of Extension Drilling Completed by Year
Nexa Resources S.A. – Vazante Polymetallic Operations
| Year | No. of Holes | Length (m) | ||
| 2002 | 288 | 99,518.2 | ||
| 2003 | 10 | 3,956.7 | ||
| 2004 | 164 | 36,454.4 | ||
| 2005 | 479 | 117,252.2 | ||
| 2006 | 468 | 103,883.4 | ||
| 2007 | 274 | 45,510.1 | ||
| 2008 | 262 | 58,084.7 | ||
| 2009 | 345 | 55,788.6 | ||
| 2010 | 1,168 | 187,418.7 | ||
| 2011 | 1,245 | 115,622.8 | ||
| 2012 | 277 | 28,172.4 | ||
| 2013 | 578 | 85,895.3 | ||
| 2014 | 440 | 77,007.6 | ||
| 2015 | 395 | 67,094.0 | ||
| 2016 | 409 | 80,303.1 | ||
| 2017 | 170 | 25,046.4 | ||
| 2018 | 177 | 24,315.1 | ||
| 2019 | 126 | 24,437.6 | ||
| Total | 7,275 | 1,235,761.3 |
| 7.2.2 | Drilling Methods |
| 7.2.2.1 | Drill Core |
Drilling operations are performed by company personnel according to Standard Operating Procedures (SOPs) developed by Nexa staff (SOP numbers PO-VZ-GST-SON-005-PT and PO-VZ-GST-SOS- 003-PT). The Vazante Operation is certified by the Brazilian Standards Institute (BSI) for ISO9001 and ISO14001 standards (certificates FM504361 and EMS86481, respectively).
Drilling of the surface based core holes at the Vazante and Extremo Norte mines has been completed with a number of different drill machines, the types of which are not recorded.
The current drilling fleet consists of two surface drills, an Atlas drill model CS14 and Boart Longyear drill model LF90-D. The underground fleet includes five Boart Longyear model LM 75 drill rigs, and two Atlas U6 MCR model drill rigs.

| Nexa Resources S.A.│Vazante Polymetallic Operations, SLR Project No: 233.03245.R0000 |
| Technical Report Summary - February 15, 2021 |
7-25
Surface drilling commences with a diameter that is HQ (96 mm) or larger to better accommodate difficult surface drilling. When the rock mass improves, drill holes are reduced to NQ (75 mm) diameter. In many instances, drilling conditions dictate that the hole diameter be reduced further, to BQ (36 mm).
Geological conditions for underground drilling are typically much better than surface conditions, as the drill holes start in fresh rock and thus, they typically employ BQ diameter tools throughout.
Drill hole collar locations of underground based drill holes and surface based exploration core holes are surveyed using either a total station or survey grade Global Positioning System (GPS) survey unit in the UTM coordinate system according to the Córrego Alegre 23S datum. The drill hole collars for the surface based and underground based drill holes for the Extremo Norte and Vazante deposits are slightly modified so as to comply with the grid coordinate system employed by the mining operations. The correction factors to translate from the UTM to the mine grid system are to subtract 300,000 from the UTM eastings and 8,000,000 from the UTM northings. No rotation corrections are applied.
The collar azimuth and initial dip of the diamond drill rods are measured using the same survey equipment. Downhole survey deviation measurements were collected in core holes by Nexa utilizing a Tropari deviation measuring instrument until 2005, while, a Reflex Maxibor I deviation measuring unit was used to measure the downhole deviations from 2002 to 2008. Post 2008, all downhole deviation measurements are collected using either a Reflex Maxibor II unit or a Reflex Gyro unit. These surveys are generally undertaken every 100 m as the hole progresses to monitor drilling deviation. Reflex survey data is collected at three metre intervals after the drill holes are completed. All downhole deviation measurements are collected according to the following SOPs:
| · | PO-VZ-GST-SON-001-PT |
| · | PO-VZ-GST-SOS-005-PT |
| · | PO-VZ-GST-GEO-017-PT |
Drill core is placed into wooden boxes and then taken to a secure core logging and sampling facility located on the Vazante Operation property (Figure 7-16). Geology staff check and validate the survey data before entering the information into the main drill hole database.
| Nexa Resources S.A.│Vazante Polymetallic Operations, SLR Project No: 233.03245.R0000 |
| Technical Report Summary - February 15, 2021 |
7-26
Figure 7-16: View of Vazante Core Logging Facilities
| 7.2.2.2 | Tailings Samples |
Process tailings from the flotation circuit have been placed into three TSFs over the Vazante Operation’s operating history (Figure 7-17). The Antiga and MASA facilities have been closed, while the Aroeira TSF remains active. Drilling programs have been carried out on the Aroeira and Antiga TSFs in which samples of the tailings column were collected on a regularly spaced grid system for assaying and metallurgical testing purposes. The drilling and sampling programs were carried out by Nexa personnel using light weight, track mounted drilling equipment that collected complete cores by means of direct pushing of the drilling steel into the unconsolidated tailings (Figure 7-18). The drill holes were continued to refusal, at which point the drill hole was considered to have encountered the base of the tailings column. All drill holes were vertical (i.e. with dips of -90°) and the drill hole locations were determined by detailed survey using the UTM Córrego Alegre 23S datum. In contrast with the exploration and underground based core holes, no correction factors were applied to the collar locations of the tailings sampling holes, and the collars are plotted according to the UTM grid system rather than the mine grid system. A total of 79 holes were completed on the Antiga TSF for a total length of 1,023.7 m, and a total of 34 drill holes were completed on the Aroeira TSF for a total length of approximately 587.4 m (Figure 7-19).
The cored material collected from these drill holes was placed into plastic sleeves and transported to the core logging facility located at the Vazante Operation for processing.
| Nexa Resources S.A.│Vazante Polymetallic Operations, SLR Project No: 233.03245.R0000 |
| Technical Report Summary - February 15, 2021 |
7-27
Source: Nexa
Figure 7-17: View of the Vazante Operation Tailings Storage Facilities
Source: Nexa
Figure 7-18: View of the Tailings Sampling Drilling Equipment
| Nexa Resources S.A.│Vazante Polymetallic Operations, SLR Project No: 233.03245.R0000 |
| Technical Report Summary - February 15, 2021 |
7-28
Figure 7-19: Collar Locations for the Antiga and Aroeira Tailings Drill Holes
| Nexa Resources S.A.│Vazante Polymetallic Operations, SLR Project No: 233.03245.R0000 |
| Technical Report Summary - February 15, 2021 |
7-29
| 7.2.2.3 | Calamine Drilling |
Drilling programs were carried out in the area of the open pit mines whose objective was to collect lithology and grade information for the calamine mineralization in those areas where the existing drill holes were judged to be too widely spaced for use in the preparation of Mineral Resource estimates. The drilling programs were completed by drilling contractor Willemita Drillings using conventional wireline drilling equipment and by contractor Geosedna using rotopercussive drilling equipment. A triple tube core barrel (HQ sized) was applied to the drill string so as to collect the most complete samples possible of the fractured and porous material. The drilling procedures followed the normal procedures used to complete surface based drill holes as described previously. Once drilling was completed, the final locations of the collars were determined using survey grade GPS surveying equipment using the UTM Córrego Alegre 23S datum. No corrections were applied to the collar locations to align them with the mine grid.
SLR recommends that the coordinates for all of the calamine related drill holes be converted into the local mine grid coordinates so that the results from all Mineral Resource estimation activities can then be integrated with any underground mining activities that have been or are planned to be carried out in this area.
| 7.2.3 | Logging Procedures |
The description of the lithologies, alteration and mineralization observed in the drill cores as well as the sampling procedures are carried out by the site geologists according to the following SOPs that have been prepared by Nexa staff:
| · | PG-EXP-GTO-001-PT for quality assurance/quality control (QA/QC) (Duplicate) |
| · | PG-EXP-GTO-002-PT for QA/QC (Certified Standard) |
| · | PG-EXP-GTO-003-PT for QA/QC (External Check) |
| · | PO-VZ-GST-GEO-004-PT for geological logging |
| · | PO-VZ-GST-GEO-005-PT for core sampling |
| · | PO-VZ-GST-GEO-006-PT for core shed operations |
The core boxes are checked by the drilling support team, who review core size and recovery data, in addition to verifying the location of core blocks. If irregularities are discovered, they are resolved before the core is released to the core shack. All core is photographed, with drill holes then transferred to the core workbench where the core is described by a team of geologists and technicians. The principal items logged include lithology, alteration type and intensity, mineralization style and estimated abundance, colour, texture, weathering, structure, and fracture density.
Geotechnical and hydrogeological descriptions are also completed and stored in the geological database.
Core is marked up to show sample intervals selected for assaying and the locations of control samples. The sample intervals selected for assaying are adjusted to conform to the local lithological, alteration, or mineralization features observed in the drill core. Once the description of the core is complete, the boxes to be sampled are identified and the remaining boxes are stored. Typical examples of the mineralization encountered in the Extremo Norte, Vazante, Aroeira TSF, and calamine zones are presented in Figure 7-20 to Figure 7-23, inclusive.
| Nexa Resources S.A.│Vazante Polymetallic Operations, SLR Project No: 233.03245.R0000 |
| Technical Report Summary - February 15, 2021 |
7-30
Figure 7-20: Representative Cross Section of the Extremo Norte Deposit

| Nexa Resources S.A.│Vazante Polymetallic Operations, SLR Project No: 233.03245.R0000 |
| Technical Report Summary - February 15, 2021 |
7-31
Figure 7-21: Representative Cross Section of the Vazante Deposit
| Nexa Resources S.A.│Vazante Polymetallic Operations, SLR Project No: 233.03245.R0000 |
| Technical Report Summary - February 15, 2021 |
7-32
Figure 7-22: Representative Cross Section of the Aroeira Tailings Sampling Program
| Nexa Resources S.A.│Vazante Polymetallic Operations, SLR Project No: 233.03245.R0000 |
| Technical Report Summary - February 15, 2021 |
7-33
Figure 7-23: Representative Cross Section of the Calamine Mineralization
| Nexa Resources S.A.│Vazante Polymetallic Operations, SLR Project No: 233.03245.R0000 |
| Technical Report Summary - February 15, 2021 |
7-34
Considering the long production history of the Vazante Operation, the amount of drill hole data is far too extensive to provide a comprehensive summary of the significant mineralized intersections that have been encountered in the drill holes. The selected examples provided in Table 7-5 present typical examples of the nature of the zinc mineralization that has been encountered in the Extremo Norte deposit and the Lumiadeira and Sucuri portions of the Vazante Mine. SLR notes that the examples presented in Table 7-5 are drawn from the drill holes presented in Figure 7-20 and Figure 7-21.
Examples of significant intersections returned from the Aroeira TSF drilling program are presented in Table 7-6, while examples of the mineralization encountered by the Calamine drilling programs are presented in Table 7-7.
Table 7-5: Summary of Zinc Mineralization, Extremo Norte and Lumiadeira/Sucuri Deposits
Nexa Resources S.A. – Vazante Polymetallic Operations
| Hole ID | From (m) | To (m) | Length (m) | Grade (% Zn) | ||||||||||||
| Extremo Norte Deposit | ||||||||||||||||
| MASAF001 | 218.25 | 224.90 | 6.65 | 6.49 | ||||||||||||
| MASAF011 | 180.30 | 186.15 | 5.85 | 29.47 | ||||||||||||
| MASAF016 | 288.20 | 292.90 | 4.70 | 20.37 | ||||||||||||
| MASAF026 | 388.90 | 397.35 | 8.45 | 27.66 | ||||||||||||
| MVZ490GTNP17350SF02 | 44.25 | 53.65 | 9.40 | 20.81 | ||||||||||||
| MVZENP05N105WF01 | 131.50 | 140.45 | 8.95 | 22.21 | ||||||||||||
| MVZENP05N105WF02 | 125.95 | 128.95 | 3.00 | 8.53 | ||||||||||||
| MVZENP05N105WF03 | 103.10 | 113.40 | 10.30 | 13.91 | ||||||||||||
| MVZENP05N105WF04 | 101.10 | 109.85 | 8.75 | 26.00 | ||||||||||||
| MVZENP05N105WF05 | 80.00 | 96.00 | 16.00 | 20.04 | ||||||||||||
| MVZENP05N217WF02 | 204.05 | 210.45 | 6.40 | 34.17 | ||||||||||||
| MVZENP05N351WF01 | 341.50 | 344.80 | 3.30 | 39.31 | ||||||||||||
| MVZENP06N111WF01 | 122.30 | 129.10 | 6.80 | 26.81 | ||||||||||||
| MVZENP06N111WF02 | 116.90 | 122.10 | 5.20 | 26.78 | ||||||||||||
| MVZENP06N111WF05 | 89.80 | 100.80 | 11.00 | 20.08 | ||||||||||||
| MVZENP06N111WF06 | 78.55 | 81.20 | 2.65 | 32.98 | ||||||||||||
| MVZGP585P17350SF01 | 124.30 | 129.05 | 4.75 | 30.91 | ||||||||||||
| MVZGP585P17350SF02 | 118.35 | 124.15 | 5.80 | 29.62 | ||||||||||||
| MVZGT585P17375SF01 | 29.05 | 35.05 | 6.00 | 23.66 | ||||||||||||
| MVZGT585P17375SF02 | 28.00 | 35.50 | 7.50 | 36.35 | ||||||||||||
| MVZGT585P17375SF03 | 32.80 | 41.60 | 8.80 | 26.12 | ||||||||||||
| VZMIF152 | 88.65 | 97.95 | 9.30 | 5.28 | ||||||||||||
Nexa Resources S.A. | Vazante Polymetallic Operations, SLR Project No: 233.03245.R0000
Technical Report Summary - February 15, 2021
7-35
| Hole ID | From (m) | To (m) | Length (m) | Grade (% Zn) | ||||||||||||
| Lumiadeira and Sucuri | ||||||||||||||||
| MVZGP507P10412SF01 | 131.20 | 140.70 | 9.50 | 23.11 | ||||||||||||
| MVZGP507P10412SF02 | 134.80 | 141.80 | 7.00 | 31.50 | ||||||||||||
| MVZGP507P10412SF05 | 140.40 | 153.30 | 12.90 | 11.20 | ||||||||||||
| MVZGP507P10412SF06 | 151.30 | 158.00 | 6.70 | 11.15 | ||||||||||||
| MVZGP507P10425SF01 | 103.70 | 133.25 | 29.55 | 26.05 | ||||||||||||
| MVZGP507P10425SF02 | 132.40 | 140.80 | 8.40 | 30.91 | ||||||||||||
| MVZGP507P10425SF03 | 131.50 | 138.90 | 7.40 | 29.48 | ||||||||||||
| MVZGP507P10425SF04 | 129.70 | 138.00 | 8.30 | 26.39 | ||||||||||||
| MVZGP507P10425SF05 | 130.70 | 137.40 | 6.70 | 14.56 | ||||||||||||
| MVZGP507P10425SF07 | 137.50 | 148.70 | 11.20 | 12.83 | ||||||||||||
| MVZGP507P10425SF08 | 145.00 | 153.40 | 8.40 | 24.24 | ||||||||||||
| MVZGP507P10425SF09 | 152.30 | 167.50 | 15.20 | 9.79 | ||||||||||||
| MVZGT509SGV05F01 | 46.35 | 50.90 | 4.55 | 38.64 | ||||||||||||
| MVZGT509SGV05F02 | 44.40 | 54.85 | 10.45 | 38.66 | ||||||||||||
Table 7-6: Summary of Zinc Mineralization, Aroeira Tailings Drill Holes
Nexa Resources S.A. – Vazante Polymetallic Operations
| Hole ID | From (m) | To (m) | Length (m) | Grade (% Zn) | ||||||||||||
| BRMVZBARP000038 | 0.00 | 12.00 | 12.00 | 3.84 | ||||||||||||
| BRMVZBARP000040 | 0.00 | 4.80 | 4.80 | 4.06 | ||||||||||||
| BRMVZBARP000042 | 0.00 | 3.60 | 3.60 | 3.43 | ||||||||||||
| BRMVZBARP000044 | 0.00 | 3.60 | 3.60 | 4.87 | ||||||||||||
| BRMVZBARP000046 | 0.00 | 7.20 | 7.20 | 4.06 | ||||||||||||
| BRMVZBARP000048 | 0.00 | 24.00 | 24.00 | 3.61 | ||||||||||||
| BRMVZBARP000050 | 0.00 | 18.00 | 18.00 | 3.65 | ||||||||||||
| BRMVZBARP000052 | 0.00 | 14.40 | 14.40 | 3.23 | ||||||||||||
| BRMVZBARP000054 | 0.00 | 25.20 | 25.20 | 3.70 | ||||||||||||
| BRMVZBARP000056 | 0.00 | 25.20 | 25.20 | 4.40 | ||||||||||||
| BRMVZBARP000058 | 0.00 | 21.60 | 21.60 | 3.44 | ||||||||||||
| BRMVZBARP000060 | 0.00 | 22.80 | 22.80 | 3.91 | ||||||||||||
| BRMVZBARP000062 | 0.00 | 13.20 | 13.20 | 4.00 | ||||||||||||
Nexa Resources S.A. | Vazante Polymetallic Operations, SLR Project No: 233.03245.R0000
Technical Report Summary - February 15, 2021
7-36
| Hole ID | From (m) | To (m) | Length (m) | Grade (% Zn) | ||||||||||||
| BRMVZBARP000064 | 0.00 | 4.80 | 4.80 | 5.03 | ||||||||||||
| BRMVZBARP000066 | 0.00 | 16.80 | 16.80 | 3.93 | ||||||||||||
| BRMVZBARP000068 | 0.00 | 9.60 | 9.60 | 3.95 | ||||||||||||
| BRMVZBARP000070 | 0.00 | 4.80 | 4.80 | 4.31 | ||||||||||||
| BRMVZBARP000072 | 0.00 | 4.80 | 4.80 | 4.05 | ||||||||||||
| BRMVZBARP000074 | 0.00 | 8.40 | 8.40 | 4.72 | ||||||||||||
| BRMVZBARP000076 | 0.00 | 12.00 | 12.00 | 4.33 | ||||||||||||
| BRMVZBARP000078 | 0.00 | 22.80 | 22.80 | 4.30 | ||||||||||||
| BRMVZBARP000080 | 0.00 | 22.80 | 22.80 | 4.53 | ||||||||||||
| BRMVZBARP000082 | 0.00 | 18.00 | 18.00 | 4.07 | ||||||||||||
| BRMVZBARP000084 | 0.00 | 22.80 | 22.80 | 3.99 | ||||||||||||
| BRMVZBARP000086 | 0.00 | 20.40 | 20.40 | 4.90 | ||||||||||||
| BRMVZBARP000088 | 0.00 | 19.20 | 19.20 | 4.64 | ||||||||||||
| BRMVZBARP000090 | 0.00 | 24.00 | 24.00 | 3.68 | ||||||||||||
| BRMVZBARP000092 | 0.00 | 25.20 | 25.20 | 4.03 | ||||||||||||
| BRMVZBARP000094 | 0.00 | 22.80 | 22.80 | 3.99 | ||||||||||||
| BRMVZBARP000096 | 0.00 | 16.80 | 16.80 | 4.38 | ||||||||||||
| BRMVZBARP000098 | 0.00 | 19.20 | 19.20 | 4.65 | ||||||||||||
| BRMVZBARP000100 | 0.00 | 22.80 | 22.80 | 5.53 | ||||||||||||
| BRMVZBARP000102 | 0.00 | 21.60 | 21.60 | 5.77 | ||||||||||||
| BRMVZBARP000104 | 0.00 | 20.40 | 20.40 | 5.90 | ||||||||||||
Table 7-7: Example of Zinc Mineralization, Calamine Drilling
Nexa Resources S.A. – Vazante Polymetallic Operations
| Hole ID | From (m) | To (m) | Length (m) | Grade (% Zn) | ||||||||||||
| BRBVZEND000005 | 95.87 | 105.84 | 9.97 | 10.20 | ||||||||||||
| BRMVZCLD00005 | 8.12 | 11.19 | 3.07 | 18.11 | ||||||||||||
| BRMVZCLD00007 | 10.69 | 18.36 | 7.67 | 23.57 | ||||||||||||
| BRMVZCLD00007 | 20.14 | 20.19 | 0.05 | 48.18 | ||||||||||||
| BRMVZCLD00007 | 46.12 | 46.76 | 0.64 | 13.65 | ||||||||||||
| BRMVZCLD00008 | 24.31 | 29.30 | 4.99 | 6.12 | ||||||||||||
| BRMVZCLD00008 | 38.03 | 47.48 | 9.45 | 6.01 | ||||||||||||
Nexa Resources S.A. | Vazante Polymetallic Operations, SLR Project No: 233.03245.R0000
Technical Report Summary - February 15, 2021
7-37
| Hole ID | From (m) | To (m) | Length (m) | Grade (% Zn) | ||||||||||||
| BRMVZCLD00008 | 50.02 | 51.63 | 1.61 | 10.70 | ||||||||||||
| BRMVZCLD00010 | 28.99 | 31.30 | 2.31 | 3.76 | ||||||||||||
| BRMVZCLD00010 | 36.00 | 48.37 | 12.37 | 6.39 | ||||||||||||
| BRMVZCLD00011 | 29.88 | 30.48 | 0.60 | 9.63 | ||||||||||||
| BRMVZCLD000114 | 25.00 | 25.99 | 0.99 | 45.60 | ||||||||||||
| BRMVZCLD000119 | 51.79 | 52.02 | 0.23 | 1.13 | ||||||||||||
| BRMVZCLD000119 | 57.70 | 58.88 | 1.18 | 1.44 | ||||||||||||
| BRMVZCLD000119 | 67.29 | 82.36 | 15.07 | 16.80 | ||||||||||||
| BRMVZCLD000119 | 87.19 | 89.42 | 2.23 | 1.13 | ||||||||||||
| BRMVZCLD00012 | 10.85 | 14.19 | 3.34 | 13.06 | ||||||||||||
| BRMVZCLD00012 | 15.38 | 18.02 | 2.64 | 22.38 | ||||||||||||
| BRMVZCLD000120 | 22.90 | 26.59 | 3.69 | 29.89 | ||||||||||||
| BRMVZCLD00013 | 34.39 | 35.45 | 1.06 | 9.85 | ||||||||||||
| BRMVZCLD00013 | 36.90 | 38.15 | 1.25 | 18.25 | ||||||||||||
| BRMVZCLD00013 | 42.36 | 47.49 | 5.13 | 12.90 | ||||||||||||
| BRMVZCLD00013 | 50.51 | 53.00 | 2.49 | 3.04 | ||||||||||||
| BRMVZCLD00014 | 50.75 | 58.24 | 7.49 | 25.54 | ||||||||||||
| BRMVZCLD00015 | 19.36 | 32.28 | 12.92 | 7.67 | ||||||||||||
| BRMVZCLD00017 | 11.97 | 18.96 | 6.99 | 11.28 | ||||||||||||
| BRMVZCLD00017 | 24.78 | 27.25 | 2.47 | 34.86 | ||||||||||||
| BRMVZCLD00017 | 35.05 | 36.04 | 0.99 | 5.03 | ||||||||||||
| BRMVZCLD00019 | 51.98 | 60.70 | 8.72 | 26.52 | ||||||||||||
| BRMVZCLD00023 | 4.93 | 15.89 | 10.96 | 16.68 | ||||||||||||
| BRMVZCLD00023 | 17.68 | 21.71 | 4.03 | 31.12 | ||||||||||||
| BRMVZCLD00023 | 24.78 | 27.92 | 3.14 | 8.28 | ||||||||||||
| BRMVZCLD00024 | 43.91 | 47.06 | 3.15 | 23.06 | ||||||||||||
| BRMVZCLD00025 | 4.97 | 7.60 | 2.63 | 0.90 | ||||||||||||
| BRMVZCLD00025 | 9.10 | 14.82 | 5.72 | 0.16 | ||||||||||||
| BRMVZCLD00025 | 16.90 | 17.70 | 0.80 | 6.02 | ||||||||||||
| BRMVZCLD00025 | 18.49 | 19.80 | 1.31 | 3.44 | ||||||||||||
| BRMVZCLD00025 | 21.31 | 22.19 | 0.88 | 3.72 | ||||||||||||
| BRMVZCLD00027 | 49.71 | 54.54 | 4.83 | 11.63 | ||||||||||||
| BRMVZCLD00030 | 45.02 | 48.30 | 3.28 | 10.61 | ||||||||||||
Nexa Resources S.A. | Vazante Polymetallic Operations, SLR Project No: 233.03245.R0000
Technical Report Summary - February 15, 2021
7-38
| Hole ID | From (m) | To (m) | Length (m) | Grade (% Zn) | ||||||||||||
| BRMVZCLD00030 | 51.50 | 55.43 | 3.93 | 2.94 | ||||||||||||
| BRMVZCLD00031 | 6.81 | 11.39 | 4.58 | 10.59 | ||||||||||||
| BRMVZCLD00036 | 45.06 | 71.08 | 26.02 | 19.81 | ||||||||||||
| BRMVZCLD00037 | 36.73 | 43.58 | 6.85 | 6.73 | ||||||||||||
| BRMVZCLD00037 | 53.02 | 67.01 | 13.99 | 16.02 | ||||||||||||
| BRMVZCLD00040 | 48.45 | 60.03 | 11.58 | 6.06 | ||||||||||||
| BRMVZCLD00042 | 49.90 | 57.13 | 7.23 | 6.14 | ||||||||||||
| BRMVZCLD00044 | 52.19 | 75.80 | 23.61 | 15.62 | ||||||||||||
| BRMVZCLD00044 | 82.04 | 85.46 | 3.42 | 7.98 | ||||||||||||
| BRMVZCLD00046 | 46.28 | 60.54 | 14.26 | 21.80 | ||||||||||||
| BRMVZCLD00049 | 50.51 | 51.19 | 0.68 | 0.27 | ||||||||||||
| BRMVZCLD00049 | 57.57 | 60.99 | 3.42 | 0.65 | ||||||||||||
| BRMVZCLD00049 | 66.23 | 70.47 | 4.24 | 2.83 | ||||||||||||
| BRMVZCLD00049 | 72.17 | 81.94 | 9.77 | 18.50 | ||||||||||||
| BRMVZCLD00049 | 86.34 | 89.98 | 3.64 | 14.76 | ||||||||||||
| BRMVZCLD00051 | 43.00 | 55.86 | 12.86 | 10.51 | ||||||||||||
| BRMVZCLD00055 | 42.73 | 56.01 | 13.28 | 1.03 | ||||||||||||
| BRMVZCLD00055 | 61.00 | 62.19 | 1.19 | 7.35 | ||||||||||||
| BRMVZCLD00061 | 62.96 | 73.10 | 10.14 | 11.68 | ||||||||||||
| BRMVZCLD00065 | 84.49 | 93.66 | 9.17 | 13.20 | ||||||||||||
| BRMVZCLD00068 | 47.23 | 57.00 | 9.77 | 16.91 | ||||||||||||
| BRMVZCLD00068 | 61.28 | 65.53 | 4.25 | 14.61 | ||||||||||||
| BRMVZCLD00072 | 42.45 | 47.01 | 4.56 | 16.02 | ||||||||||||
| BRMVZCLD00072 | 49.62 | 54.60 | 4.98 | 9.13 | ||||||||||||
| BRMVZCLD00072 | 57.60 | 66.45 | 8.85 | 7.38 | ||||||||||||
| BRMVZCLD00078 | 65.20 | 69.22 | 4.02 | 29.43 | ||||||||||||
| BRMVZCLD00086 | 61.78 | 65.31 | 3.53 | 25.40 | ||||||||||||
| BRMVZCLD00090 | 54.45 | 55.45 | 1.00 | 5.88 | ||||||||||||
| BRMVZCLD00098 | 74.30 | 78.49 | 4.19 | 21.15 | ||||||||||||
| BRMVZCLD00101 | 47.70 | 49.70 | 2.00 | 9.23 | ||||||||||||
| BRMVZCLD00101 | 55.36 | 58.99 | 3.63 | 5.47 | ||||||||||||
| BRMVZCLD00107 | 44.03 | 47.01 | 2.98 | 4.82 | ||||||||||||
| BRMVZCLD00107 | 47.74 | 49.01 | 1.27 | 7.55 | ||||||||||||
Nexa Resources S.A. | Vazante Polymetallic Operations, SLR Project No: 233.03245.R0000
Technical Report Summary - February 15, 2021
7-39
| Hole ID | From (m) | To (m) | Length (m) | Grade (% Zn) | ||||||||||||
| BRMVZCLR00001 | 57.99 | 59.00 | 1.01 | 3.22 | ||||||||||||
| BRMVZCLR00001 | 66.97 | 69.07 | 2.10 | 8.75 | ||||||||||||
| BRMVZCLR00001 | 71.99 | 81.97 | 9.98 | 21.32 | ||||||||||||
| BRMVZCLR00001 | 86.15 | 88.74 | 2.59 | 7.13 | ||||||||||||
| BRMVZCLR000115 | 20.01 | 27.01 | 7.00 | 39.41 | ||||||||||||
| BRMVZCLR000134 | 66.02 | 67.00 | 0.98 | 3.91 | ||||||||||||
| BRMVZCLR000134 | 69.00 | 70.00 | 1.00 | 3.11 | ||||||||||||
| BRMVZCLR000139 | 85.99 | 90.00 | 4.01 | 3.48 | ||||||||||||
| BRMVZCLR000139 | 92.00 | 95.11 | 3.11 | 3.28 | ||||||||||||
| BRMVZCLR000152 | 65.00 | 70.99 | 5.99 | 12.39 | ||||||||||||
| BRMVZCLR000161 | 56.00 | 56.99 | 0.99 | 3.50 | ||||||||||||
| BRMVZCLR000162 | 45.00 | 61.00 | 16.00 | 7.43 | ||||||||||||
| BRMVZCLR000163 | 39.04 | 47.00 | 7.96 | 7.03 | ||||||||||||
| BRMVZCLR000164 | 53.98 | 56.02 | 2.04 | 5.20 | ||||||||||||
| BRMVZCLR000167 | 47.94 | 48.99 | 1.05 | 8.71 | ||||||||||||
| BRMVZCLR000173 | 15.02 | 16.98 | 1.96 | 19.73 | ||||||||||||
| BRMVZCLR000173 | 23.00 | 25.99 | 2.99 | 31.08 | ||||||||||||
| BRMVZCLR000173 | 30.00 | 46.97 | 16.97 | 9.36 | ||||||||||||
| BRMVZCLR000174 | 4.05 | 4.99 | 0.94 | 3.83 | ||||||||||||
| BRMVZCLR000174 | 20.01 | 20.99 | 0.98 | 25.50 | ||||||||||||
| BRMVZCLR000174 | 32.00 | 33.00 | 1.00 | 27.30 | ||||||||||||
| BRMVZCLR000174 | 49.00 | 50.00 | 1.00 | 3.17 | ||||||||||||
| BRMVZCLR000177 | 42.99 | 44.01 | 1.02 | 11.05 | ||||||||||||
| BRMVZCLR000177 | 45.00 | 46.00 | 1.00 | 4.18 | ||||||||||||
| BRMVZCLR000178 | 40.03 | 44.00 | 3.97 | 28.37 | ||||||||||||
| BRMVZCLR000179 | 56.03 | 63.98 | 7.95 | 6.49 | ||||||||||||
| BRMVZCLR000180 | 94.01 | 99.99 | 5.98 | 41.14 | ||||||||||||
| BRMVZCLR000184 | 11.03 | 14.00 | 2.97 | 11.09 | ||||||||||||
| BRMVZCLR000184 | 16.00 | 19.60 | 3.60 | 8.00 | ||||||||||||
| BRMVZCLR000184 | 19.81 | 32.04 | 12.23 | 10.84 | ||||||||||||
| BRMVZCLR000184 | 33.98 | 38.99 | 5.01 | 25.22 | ||||||||||||
| BRMVZCLR000184 | 43.02 | 52.95 | 9.93 | 15.43 | ||||||||||||
| BRMVZCLR000185 | 15.00 | 17.01 | 2.01 | 6.69 | ||||||||||||
Nexa Resources S.A. | Vazante Polymetallic Operations, SLR Project No: 233.03245.R0000
Technical Report Summary - February 15, 2021
7-40
| Hole ID | From (m) | To (m) | Length (m) | Grade (% Zn) | ||||||||||||
| BRMVZCLR000185 | 29.00 | 34.01 | 5.01 | 2.76 | ||||||||||||
| BRMVZCLR000188 | 21.98 | 23.51 | 1.53 | 5.16 | ||||||||||||
| BRMVZCLR000191 | 43.01 | 43.99 | 0.98 | 3.16 | ||||||||||||
| BRMVZCLR000194 | 71.03 | 71.96 | 0.93 | 4.18 | ||||||||||||
| BRMVZCLR000198 | 52.98 | 54.98 | 2.00 | 9.42 | ||||||||||||
| BRMVZCLR000198 | 58.00 | 60.03 | 2.03 | 4.43 | ||||||||||||
| BRMVZCLR000199 | 40.18 | 45.12 | 4.94 | 5.14 | ||||||||||||
| BRMVZCLR000199 | 48.10 | 49.05 | 0.95 | 3.57 | ||||||||||||
| BRMVZCLR000203 | 58.99 | 62.11 | 3.12 | 3.95 | ||||||||||||
| BRMVZCLR000238 | 73.01 | 74.99 | 1.98 | 3.64 | ||||||||||||
| BRMVZCLR000238 | 76.00 | 82.01 | 6.01 | 5.44 | ||||||||||||
| BRMVZCLR000240 | 38.00 | 43.98 | 5.98 | 5.15 | ||||||||||||
| BRMVZCLR00039 | 87.99 | 93.01 | 5.02 | 7.31 | ||||||||||||
| BRMVZCLR00040 | 90.99 | 92.01 | 1.02 | 3.35 | ||||||||||||
| BRMVZCLR00044 | 20.00 | 24.95 | 4.95 | 14.05 | ||||||||||||
| BRMVZCLR00047 | 2.04 | 5.16 | 3.12 | 8.13 | ||||||||||||
| BRMVZCLR00047 | 11.01 | 11.98 | 0.97 | 3.03 | ||||||||||||
| BRMVZCLR00047 | 13.01 | 24.01 | 11.00 | 5.43 | ||||||||||||
| BRMVZCLR00051 | 22.98 | 27.01 | 4.03 | 7.80 | ||||||||||||
| BRMVZCLR00051 | 34.01 | 41.43 | 7.42 | 3.47 | ||||||||||||
| BRMVZCLR00051 | 45.00 | 49.96 | 4.96 | 5.15 | ||||||||||||
| BRMVZCLR00055 | 15.13 | 18.95 | 3.82 | 23.85 | ||||||||||||
| BRMVZCLR00057 | 12.02 | 30.00 | 17.98 | 8.14 | ||||||||||||
| BRMVZCLR00061 | 50.99 | 58.01 | 7.02 | 6.69 | ||||||||||||
| BRMVZCLR00069 | 58.01 | 60.99 | 2.98 | 4.53 | ||||||||||||
| BRMVZCLR00069 | 70.04 | 78.01 | 7.97 | 14.97 | ||||||||||||
| BRMVZCLR00069 | 81.00 | 82.01 | 1.01 | 6.90 | ||||||||||||
| BRMVZCLR00069 | 82.99 | 85.00 | 2.01 | 6.89 | ||||||||||||
| BRMVZCLR00069 | 86.01 | 86.73 | 0.72 | 21.40 | ||||||||||||
| BRMVZCLR00069 | 91.60 | 94.00 | 2.40 | 9.65 | ||||||||||||
| BRMVZCLR00069 | 95.00 | 95.99 | 0.99 | 8.15 | ||||||||||||
| BRMVZCLR00071 | 59.03 | 62.26 | 3.23 | 6.54 | ||||||||||||
| BRMVZCLR00075 | 64.04 | 64.98 | 0.94 | 3.35 | ||||||||||||
Nexa Resources S.A. | Vazante Polymetallic Operations, SLR Project No: 233.03245.R0000
Technical Report Summary - February 15, 2021
7-41

| Hole ID | From (m) | To (m) | Length (m) | Grade (% Zn) | ||||||||||||
| BRMVZCLR00075 | 73.99 | 81.02 | 7.03 | 7.41 | ||||||||||||
| BRMVZCLR00077 | 73.02 | 84.01 | 10.99 | 14.08 | ||||||||||||
| BRMVZCLR00081 | 22.00 | 23.00 | 1.00 | 3.04 | ||||||||||||
| BRMVZCLR00081 | 25.00 | 26.00 | 1.00 | 4.21 | ||||||||||||
| BRMVZCLR00087 | 0.00 | 3.00 | 3.00 | 14.42 | ||||||||||||
| BRMVZCLR00089 | 2.00 | 5.99 | 3.99 | 24.51 | ||||||||||||
There are no drilling, sampling, or recovery factors that could materially impact the accuracy and reliability of the results.
| 7.3 | Geotechnical and Hydrogeology |
Nexa uses a FEFLOW ground water model, which was last updated in 2019, as its primary water management tool for the Vazante Operations. Given the extreme dewatering that is required to permit ongoing mining, hydrologic monitoring is considered a critical element of operations. Continued calibration of flows is important to predict, plan, and install required pumping capacities for the Vazante Operations. The average dewatering rate has been estimated at approximately 13,000 m³/h to 15,000 m³/h.
Please see Section 12.4.2 for further information about Hydrogeology and Geotechnical Studies.
Nexa Resources S.A. | Vazante Polymetallic Operations, SLR Project No: 233.03245.R0000
Technical Report Summary - February 15, 2021
7-42
| 8.0 | Sample Preparation, Analyses, and Security |
| 8.1 | Sample Preparation and Analysis |
| 8.1.1 | Sampling Methods |
| 8.1.1.1 | Core Samples |
Core boxes are transported daily to the core shed by personnel from the drilling company. Analytical samples are transported by company or laboratory personnel using corporately owned vehicles. Core boxes and samples are stored in safe, controlled areas.
Chain-of-custody procedures are followed whenever samples are moved between locations, and to and from the laboratory, by filling out sample submittal forms.
Nexa staff collect samples from drill core according to the following SOPs:
| • | PO-VZ-GST-GEO-004-PT |
| • | PO-VZ-GST-GEO-006-PT |
Core samples have a preferred length of one metre however length may vary from a minimum of 0.50 m and a maximum of 1.50 m, depending on the location of lithological, alteration, mineralization, or other natural boundaries or contacts. If core recovery is less than 100%, the length of the sample is considered as equivalent to the anticipated length. Nexa’s sampling protocols require that the logging personnel collect samples of drill core three metres above and three metres below mineralized intervals.
After sampling and sample description are completed and entered into the database, a sampling plan is prepared. That plan identifies assay and Quality Control (QC) sample locations and sample numbers. The QC samples are inserted and photographed prior to shipment as an aid to identification of those samples should problems occur.
Core samples from underground drill holes are not split, rather they are forwarded to the laboratory as whole core (typically BQ). Surface drill holes are split using a dedicated core saw. One half of the sample is forwarded to the laboratory, and the other half is placed into boxes and archived in the core shack. The unused sample material from the laboratory (coarse rejects and pulps) is retuned back to the mine site and is placed into identified boxes and stored into the core shack.
| 8.1.1.2 | Channel Samples |
Underground channel samples are collected according to Nexa’s SOP PO-VZ-GST-GEO-016-PT (Underground channel samples). Channel samples range from 0.5 m to 1.5 m in length, and respect lithological, alteration, mineralization, and other natural boundaries. Samples are collected with a hammer and chisel or battery powered hammer drill, approximately 1.2 m horizontally above the floor of the mine working. Sample material is placed in plastic bags along with a paper tag containing the appropriate sample number and are transported to surface.
| 8.1.1.3 | Tailings Samples |
The entire length of the samples was used for assaying purposes. The samples are nominally 1.2 m in length unless there are obvious changes in the sample material visible in the core.
Nexa
Resources S.A. | Vazante Polymetallic Operations, SLR Project No: 233.03245.R0000
Technical Report Summary - February 15, 2021
8-1

| 8.1.2 | Density Determinations |
| 8.1.2.1 | Drill Core |
Prior to 2015, density was determined by means of the displaced volume method for all samples collected at the Vazante Operation. From the second half of 2015 onwards, there was a transition to the Jolly method (Archimedes method) and, due to the large number of data available, analyses were performed on only a few drill holes. The Jolly method relies on the fact that porosity of the samples is very low. For each determination, an entire sample is weighed in air in a plastic mesh bag, and then weighted while the sample is suspended in water in the mesh bag. This allows for very accurate determination of density of the entire sample rather than a small piece of the sample.
Currently, bulk density is determined for every sample that is selected for assaying using the Jolly method which is checked with the displaced volume method (Nexa SOP PO-VZ-GST-GEO-015-PT (Density Measurement)) procedure. As of April 30, 2020, the database has approximately 117,315 bulk density measurements for the Vazante Mine and 15,869 bulk density measurements for the Extremo Norte Mine, for a total of more than 133,000 density data.
Every 20th sample is checked by the displaced volume method. The displaced volume method requires that the sample be placed in a large container of water and allowed to overflow into another container. The overflow is then weighed. The weight of water is essentially equivalent to the volume in cm3 of the sample. Comparisons of the density values determined by the two methods have shown a good correlation and no systematic bias among the measurements via displaced volume and the Jolly method (Figure 8-1).

Source: Nexa.
Figure 8-1:Comparison of Bulk Density Measurements
Nexa
Resources S.A. | Vazante Polymetallic Operations, SLR Project No: 233.03245.R0000
Technical Report Summary - February 15, 2021
8-2
| 8.1.2.2 | Tailings Samples |
The bulk density of the tailings materials has been measured using the caliper method on the extracted cores and by in-situ measurements.
For the caliper method, the volume of the dried core samples is determined using calipers to estimate the average diameter of a segment of core for a measured length. The weight of the segment is determined by direct measurement. As of April 30, 2020, a total of 453 tailings bulk density measurements were collected using the caliper method.
For the in-situ method, the material from a known volume of tailings as determined by using a steel form of known volume is excavated from the surface of the Aroeira TSF and the material is allowed to dry. The dry weight is then measured. A total of 12 in-situ density samples were collected from the Aroeira TSF.
| 8.1.3 | Analytical and Testing Laboratories |
Prior to 2014, both the mine and exploration samples were analyzed at the on-site Vazante Operation laboratory. Samples were prepared using the mine laboratory equipment. SLR notes that the Vazante Operation laboratory is not accredited, and not independent of Nexa.
Currently, all operational samples from underground sampling (in-fill drilling programs and channel sampling) programs are analyzed at the ALS Global (ALS) laboratory facilities located in Vespasiano, Minas Gerais. All samples collected as part of the calamine drilling programs and the Aroeira tailings sampling programs were analyzed at the ALS facilities.
ALS, an independent laboratory, has been the primary laboratory for the preparation of exploration samples since 2014. Samples are prepared and analyzed at either of the ALS laboratories located in Vespasiano, Minas Gerais and Goiânia, Goiás. Both laboratories are ISO 9001:2008 certified (#FS571108).
ALS Lima, which is also independent of Nexa, was the primary analytical laboratory for exploration samples prior to 2014. The ALS Lima laboratory is ISO 9001:2008 and 17025:2005 accredited.
| 8.1.4 | Sample Preparation |
All exploration samples are currently prepared at ALS.
After samples are split at the core shed, they are sent to ALS Vespasiano in Belo Horizonte, Brazil where they undergo preparation following the ALS method code PREP-31. The procedure is as follows:
| • | As samples are received at the laboratory, any differences between the number of samples indicated on the Analytical Request (RA) letter that accompanies the samples and what has effectively been received are reported, as well as any other anomalies. |
| • | Samples are weighed after they are checked against the RA letter. |
| • | Samples are dried in a kiln for eight hours to 12 hours, with maximum controlled temperature of 120°C. |
| • | The sample is crushed to 70% passing (P70) a 2-mm screen (9 mesh Tyler). |
| • | Samples are homogenized and split through a Jones type rifle splitter. Approximately 250 g is split for the analytical sample. The remaining fraction is stored as coarse reject. |
| • | Samples are pulverized until 85% of the particles pass a 75 μm (-200 mesh) screen. |
The pulverized sample is bagged in kraft paper bags and sent to the laboratory for analysis.
Nexa
Resources S.A. | Vazante Polymetallic Operations, SLR Project No: 233.03245.R0000
Technical Report Summary - February 15, 2021
8-3
| 8.1.5 | Analytical Methods |
| 8.1.5.1 | Vazante Operation Laboratory |
Prior to mid-2014, chemical analyses at the Vazante Operation laboratory were performed using an X-ray fluorescence (XRF) technique and an atomic absorption spectroscopy (AAS) procedure for selected elements. Samples with zinc contents >6% were re-assayed with the AAS procedure.
The analytical procedures used by the Vazante Operation laboratory are summarized in Table 8-1.
Table 8-1: Summary of Analytical Procedures for the Vazante Laboratory
Nexa Resources S.A. – Vazante Polymetallic Operations
| Parameter | Sample Type | Analytical Method | Standard
Operating Procedure | |||
| Ag | All | Aqua
regia digestion followed by atomic absorption spectrometry |
PO-VZ-PRO-LAB-087-PT | |||
| Zn, Pb, Fe, CaO, MgO, Al2O3, SiO2 | Stockpiles, Crusher, Ore Sorter, Bi-Hourly Zinc Concentrates | Pressed pellet followed by XRF | PO-VZ-PRO-LAB-032-PT | |||
| Zn, Pb, Fe, CaO, MgO, Al2O3, SiO2 | Bulk Feed, Final Rejects, Final Products (Zinc and Lead Concentrates) | Pressed pellet followed by XRF | PO-VZ-PRO-LAB-104-PT | |||
| Mn, Cd, Mg, Na | Lead Concentrate | Aqua
regia digestion followed by atomic absorption spectrometry |
PO-VZ-PRO-LAB-087-PT | |||
| Carbonate and S | Concentrates | Leco carbon and Sulphur infrared analyzer | PO-VZ-PRO-LAB-066-PT |
|
8.1.5.2 | ALS Chemex |
The transition from XRF to inductively coupled plasma (ICP) and AAS began in 2014 when analyses for exploration samples began to be performed at the ALS laboratory in Lima. Selected elements were analyzed via AAS, while the same elements, and others, were analyzed with ICP atomic emission spectroscopy (AES). High grade zinc was analyzed specifically using a volumetric method for better results. From 2015 onward, all analyses have been performed at ALS Lima.
At ALS Lima, core and channel samples are dissolved using Method Code ME-ICP61 where the sample is submitted to a four acid digestion (HNO3–HCl-H2SO4-HF). The metal concentrations in the solutions are then determined using either an ICP-AES or AAS method. Both finishes are appropriate for the elements of potential economic interest as well as deleterious elements at the Vazante Operation. For those samples containing metal grades above the upper detection limits, the metal concentrations are determined by means of the following methods:
| Metal | ALS Method Code |
| Silver | Ag-OG62 / Ag-GRA21 |
| Copper | Cu-OG62 / Cu – VOL61 |
| Iron | Fe-OG62 |
| Lead | Pb-OG62 / Pb-VOL70 |
| Zinc | Zn-OG62 / Zn-VOL70 |

Nexa
Resources S.A. | Vazante Polymetallic Operations, SLR Project No: 233.03245.R0000
Technical Report Summary - February 15, 2021
8-4

| 8.2 | Quality Assurance and Quality Control (QA/QC) |
Company wide QA/QC protocols implemented in 2009, are based on internal corporate standards (standard numbers PG-EXP-GTO-001-PT, PG-EXP-GTO-002-PT, and PG-EXP-GTO-003-PT.
| 8.2.1 | Vazante Operation |
The current Vazante Operation QA/QC program includes submission of twin, coarse and pulp duplicates, certified reference materials (CRMs), external controls, and coarse blank samples as shown in Table 8-2. Due to the unique nature of the mineralization found at the Vazante Operation, few options are available to purchase appropriate commercial CRMs for use in the QA/QC monitoring programs. Consequently, Nexa has prepared four internal CRMs from mineralized samples sourced from the Vazante and Extremo Norte deposits so that the CRMs are directly matched with the drill core and chip samples.
Table 8-2: Summary of QA/QC Protocols
Nexa Resources S.A. – Vazante Polymetallic Operations
| Sample Type | Code | Insertion Rate (%) |
Insertion Ratio |
Purpose | ||||
| CRM (Standard) | PD | 5 | 1:20 | Accuracy | ||||
| Coarse Blank | BR | 2 | 1:50 | Contamination detection in sample preparation | ||||
| Field Duplicate/Replicate | RP | 1 | 1:100 | Quality of sampling | ||||
| Coarse Reject Duplicate | RG | 1 | 1:100 | Quality of sample preparation | ||||
| Pulp Duplicate | DP | 2 | 1:50 | Precision | ||||
| Interlaboratory Check | DC | 2 | 1:50 | Bias between laboratories - accuracy |
For the period between July 1, 2019 and April 15, 2020, the Vazante Operation processed a total of 11,677 samples and inserted a total of 1,315 QA/QC samples (blanks, replicates, reject and pulp duplicates, CRMs, and external check assays), as summarized in Table 8-3.
Nexa
Resources S.A. | Vazante Polymetallic Operations, SLR Project No: 233.03245.R0000
Technical Report Summary - February 15, 2021
8-5
Table 8-3: Summary of QA/QC Samples Processed from July 1, 2019 to April 15, 2020
Nexa Resources S.A. – Vazante Polymetallic Operations
| Item | Number of samples | ||
| Blank Samples (ALS) | |||
| Ag, Pb, and Zn | 210 | ||
| Certified Reference Materials (ALS) | |||
| CRM BRMVZSTD007 (Ag, Fe, Pb, and Zn) | 141 | ||
| CRM BRMVZSTD008 (Ag, Fe, Pb, and Zn) | 125 | ||
| CRM BRMVZSTD009 (Ag, Fe, Pb, and Zn) | 123 | ||
| CRM VZ007 (Ag, Fe, Pb, and Zn) | 106 | ||
| Duplicates | |||
| Pulp Duplicates (Ag, Fe, Pb, Zn) | 429 | ||
| Coarse Rejects (Ag, Fe, Pb, Zn) | 87 | ||
| Replicates (Ag, Fe, Pb, Zn) | 94 | ||
SLR has reviewed the results from Nexa’s QA/QC program for the July 1, 2019 to April 15, 2020 period and notes that the results are within acceptable limits. Example control charts for the blank sample, CRMs, pulp duplicate, and replicate results are presented in Figure 8-2, Figure 8-3, Figure 8-4, and Figure 8-5, respectively.
Source: Nexa
Figure 8-2: Zinc Blank Sample Control Chart, July 1, 2019 to April 15, 2020
Nexa
Resources S.A. | Vazante Polymetallic Operations, SLR Project No: 233.03245.R0000
Technical Report Summary - February 15, 2021
8-6

Source: Nexa
Figure 8-3: Zinc Standard Reference Material (BRMVZSTD007) Control Chart, July 1, 2019 to April 15, 2020

Source: Nexa
Figure 8-4: Zinc Pulp Duplicate Sample Control Chart, July 1, 2019 to April 15, 2020

Nexa
Resources S.A. | Vazante Polymetallic Operations, SLR Project No: 233.03245.R0000
Technical Report Summary - February 15, 2021
8-7

Source: Nexa
Figure 8-5: Zinc Replicate Sample Control Chart, July 1, 2019 to April 15, 2020
| 8.2.2 | Calamine Drilling |
QA/QC programs were carried out during the course of the drilling campaigns carried out on the calamine mineralization in 2017, 2018, and 2019. The programs conformed to the requirements set out in Nexa’s SOPs PG-EXP-GTO-001-PT, PG-EXP-GTO-002-PT, and PG-EXP-GTO-003-PT. A summary of the number and type of QA/QC samples submitted, along with the submittal rates is provided in Table 8-4.
SLR has examined the results of the QA/QC data collected in relation to the drilling campaigns carried out on the calamine mineralization in 2017, 2018, and 2019 and notes that the results are within acceptable limits.
Table 8-4: Summary of QA/QC Samples from the Calamine 2017, 2018, and 2019 Drilling Programs
Nexa Resources S.A. – Vazante Polymetallic Operations
| QA/QC Samples | ||||||||||||||||||||||||||||||||||||
| Year | Total Samples | Assays | Blank | Standard | Coarse Duplicate | Pulp Duplicate | Coarse Reject | Pulp Reject | QA/QC Total | |||||||||||||||||||||||||||
| 2017 | 9,196 | 8,116 | 162 | 403 | 0 | 360 | 79 | 76 | 1,080 | |||||||||||||||||||||||||||
| 2018 | 6,955 | 6,015 | 118 | 315 | 81 | 310 | 68 | 48 | 940 | |||||||||||||||||||||||||||
| 2019 | 3,983 | 3,555 | 66 | 126 | 0 | 165 | 65 | 6 | 428 | |||||||||||||||||||||||||||
| Total | 20,134 | 17,686 | 346 | 844 | 81 | 835 | 212 | 130 | 2,448 | |||||||||||||||||||||||||||

Nexa
Resources S.A. | Vazante Polymetallic Operations, SLR Project No: 233.03245.R0000
Technical Report Summary - February 15, 2021
8-8
| Year | %
Total Samples | % Assays | QA/QC Insertion Rates | |||||||||||||||||||||||||||||||||
| 2017 | 45.7 | 45.9 | 1.8 | 4.4 | 0 | 3.9 | 0.9 | 0.8 | 11.7 | |||||||||||||||||||||||||||
| 2018 | 34.5 | 34.0 | 1.7 | 4.5 | 1.1 | 4.5 | 1.0 | 0.7 | 13.5 | |||||||||||||||||||||||||||
| 2019 | 19.8 | 20.1 | 1.7 | 3.2 | 0 | 4.1 | 1.6 | 0.2 | 10.8 | |||||||||||||||||||||||||||
| Total | 100 | 100 | 1.7 | 4.2 | 0.4 | 4.2 | 1.1 | 0.7 | 12.2 | |||||||||||||||||||||||||||
| 8.2.3 | Tailings Sampling |
QA/QC programs were carried out during the course of the drilling campaigns for the tailings sampling programs. The QA/QC programs conformed to the requirements set out in Nexa’s SOPs PG-EXP-GTO-001-PT, PG-EXP-GTO-002-PT, and PG-EXP-GTO-003-PT.
The QA/QC programs included the use of two standard reference materials (BRMVZSTD001, 34 samples, and BRMVZSTD002, six samples), blank samples (eight samples), and pulp duplicate assaying of 28 samples.
SLR has examined the results of the QA/QC data collected in relation to the drilling campaigns carried out for the tailings sampling programs and notes that the results are within acceptable limits.
| 8.2.4 | Survey QA/QC |
QC data for total station surveys consist of closed loops for all surveys, both surface and underground. Quality control for Digital Global Positioning System (DGPS) surveys rely on duplicate surveys as well as repeated surveys of known points at the beginning and end of each survey day.
Downhole drill hole deviation survey QC data consist of duplicate surveys for all holes.
| 8.2.5 | Databases |
Fusion™, a database management software package sold and supported by Datamine™ is used for database management at the Vazante Operations. Fusion™ provides reliability and traceability assurance as well as an easy interface with Datamine™ modeling and mine planning software. The login is password protected by individual personnel and all personnel have the permission necessary to complete their tasks. Three people in the company have unlimited access to the database. Data cannot be entered or changed in the database without the appropriate permission. There is an expert in charge of the database full time to make certain that data are reliable and to provide data extraction and editing services.
Primary data entered by the site geologists into the tablet devices are imported directly into Fusion™. Analytical data are provided digitally by the assay laboratories.
All data stored in the Fusion™ database are verified via software verification before final entry into the database. These automatic routines are aimed at preventing entry of extraneous data such as incorrect lithology codes or overlapping assay intervals into the database. They are largely successful; however, these checks are not perfect and additional internal checks are made to ensure that information used for Mineral Resource estimation and mine planning is as nearly correct as possible. Nexa’s internal corporate SOP PO-EXP-GRM-001-PT, requires additional checking of the following items:
Nexa
Resources S.A. | Vazante Polymetallic Operations, SLR Project No: 233.03245.R0000
Technical Report Summary - February 15, 2021
8-9
| • | Maximum and minimum grade values, |
| • | Negative values, |
| • | Detection limits and null values, |
| • | Drill hole surveys, |
| • | Unreasonable sample length, |
| • | Sample gaps, |
| • | Sample overlaps, |
| • | Drill hole collars versus topography, |
| • | Coordinate datum, |
| • | Verification of mining permissions, and |
| • | Laboratory analysis certificates. |
Each of these items are checked and if discrepancies are discovered, verified, and corrected if necessary.
Primary original documents and logs, downhole surveys, core photographs, and assay certificates are stored on network drives. Digital copies of the database network drives are routinely backed-up daily, weekly, and monthly.
In the SLR QP’s opinion, the sample preparation, analysis, and security procedures at the Vazante Operation are adequate for use in the estimation of Mineral Resources.
In the SLR QP’s opinion, the QA/QC program as designed and implemented by Nexa is adequate and the assay results within the database are suitable for use in preparation of a Mineral Resource estimate.
Nexa
Resources S.A. | Vazante Polymetallic Operations, SLR Project No: 233.03245.R0000
Technical Report Summary - February 15, 2021
8-10
| 9.0 | Data Verification |
Validation of the Vazante Operation geological data by SLR began with an inspection conducted during the November 19 to 23, 2018 site visit. During this site visit, the SLR QP visited the core shack where examples of the mineralization from both the Vazante and Extremo Norte deposits were inspected, logging and sampling procedures reviewed, and visits carried out to the sample sawing and density measurement facilities. Visits were made to several locations in the underground mines in which the nature of the mineralization was observed and the grade control mapping and sampling procedures were discussed. Discussions were carried out with site geological staff in regards to the regional and local scale geology as well as reconciliation activities carried out by the mine staff.
SLR also visited some of the mine stockpile areas, in addition to conducting a brief tour of the processing plant to inspect the sampling points used to determine the tonnages and grades processed. A visit was made to the site sample preparation facility as well as the site assay laboratory.
In addition to personal inspections of Vazante, SLR carried out a program of validating the assay tables in the drill hole databases by means of spot checking a selection of drill holes that intersected the mineralization of the Vazante, Extremo Norte, Aroeira TSF, and calamine deposits. SLR proceeded to carry out its drill hole database validation exercise by comparing the information contained within the assay tables of the digital databases against the assays presented in the original laboratory certificates. Comparisons of the lithological information contained within the drill logs against the information contained within the digital databases were also carried out, as was a comparison of the results of the down-hole deviation measurements with those contained within the survey table of the drill hole database.
While examining the information contained within the assay tables of the Vazante and Extremo Norte deposits, a small number of cases were discovered where the zinc assay values contained within the drill hole database did not agree with and were, in general, lower than the values provided in the assay certificates. After preliminary discussions with Nexa, SLR agrees that this may be a result of additional assaying that may have been carried out for those samples but for which the corresponding assay certificates could not be located.
A small number of discrepancies were discovered while comparing the results of the down-hole deviation measurements with those contained within the survey table. The discrepancies consisted of a disagreement in the sign of the drill hole dips between the original survey records and the records contained within the survey table in the drill hole database. Visual inspection of the drill holes in cross section views suggested that the drill holes in question are in good spatial agreement with the adjoining drill hole and channel sample data. Discussions with Nexa indicate that the source of the discrepancies may be related to the implementation of the new drill hole database, as the dip conventions were modified at that time.
SLR recommends that the drill hole dips for the drill holes examined be confirmed by direct visual inspection of the departing drill hole orientation at the drilling face.
Additional checks included a comparison of the drill hole collar locations with the digital models of the topographic surfaces and excavation models as well as a visual inspection of the downhole survey information. A small number of cases were observed where the collars of some of the underground based drill hole collars were in poor agreement with the excavation models. The collar locations of these drill holes were corrected prior to their use in preparation of the Mineral Resource estimate.
Nexa
Resources S.A. | Vazante Polymetallic Operations, SLR Project No: 233.03245.R0000
Technical Report Summary - February 15, 2021
9-1
Considering the long production history of the Vazante Operation, the style of mineralization, and the visual confirmation of the mineralization both at the mine faces and in drill core, no samples were collected by the geological QP for check sampling.
The SLR QP is of the opinion that geological data verification procedures for the Vazante Operation comply with industry standards and are adequate for the purposes of Mineral Resource estimation.
Nexa Resources S.A. | Vazante Polymetallic Operations, SLR Project No: 233.03245.R0000
Technical Report Summary - February 15, 2021
9-2
| 10.0 | Mineral Processing and Metallurgical Testing |
| 10.1 | Summary |
The Vazante Operation currently produces and processes ore in which the main zinc mineral is willemite, a zinc silicate mineral (Zn2SiO4). During earlier Vazante operations, the predominant zinc mineralization occurred as calamine, which consists of both smithsonite (ZnCO3) and hemimorphite (Zn4Si2O7(OH)2·H2O), derived from weathering of the primary willemite mineralization and sourced from open pit supergene mineralization. Open pit mining operations of willemite mineralization were suspended in 2000, followed by the suspension of open pit production of calamine mineralization in 2008. Calamine ore is no longer produced and processed at the Vazante Operation. Development of the underground mines began in 1983, with initial minor production of willemite mineralization taking place in 1984. The underground mines exploit the primary willemite mineralization with minor to trace amounts of sphalerite. Production from the Vazante and Extremo Norte underground mines is ongoing. Treatment of calamine ores was more challenging than willemite ores with zinc recovery from calamine ores typically approximately 50%, while zinc recovery from willemite ores typically ranges from approximately 81% to 91%.
Zinc is the primary metal of economic importance, with minor quantities of lead as galena and associated silver minerals allowing for the production of relatively small amounts of lead concentrate as well. Due to the ore mineralogy, zinc concentrate produced at the Vazante Operation is elevated in silica, as well as calcium, magnesium, and carbonates resulting from carbonate gangue presence (predominantly dolomite). Nexa’s Três Marias zinc smelter includes a circuit specifically configured to process the zinc silicate concentrate produced at the Vazante Operation and as a result all of the concentrate produced at the Vazante Operation is exclusively processed at the Três Marias smelter where zinc metal is produced.
Test work completed on the Vazante Operation willemite ores prior to 2017 is described in the Amec 2017 NI 43-101 Technical Report (Amec, 2017). Much of the test work was conducted in the Nexa laboratory at the Vazante Operations. Work was also supported by universities including the Federal University of Minas Gerais (UFMG) and the University of Sao Paulo. SLR notes that test work completed on historically mined calamine ores was not discussed in Amec (2017). Test work on willemite ores, however, indicated that the willemite ores are relatively hard with Bond ball mill work indices (BWi) ranging from 19.6 kWh/t to 21.1 kWh/t for the samples tested, and that zinc recovery was sensitive to grind size. A strong correlation between zinc head grade and zinc recovery was found in flotation test work, and production of an acceptable grade lead concentrate was challenging to produce at low lead head grades, particularly for Extremo Norte samples.
| 10.2 | Recent Test Work |
Recent test work has focussed on the reprocessing of historical tailings and improving recovery from calamine material (versus historical recovery) to support calamine resource evaluation. The Aroeira TSF contains both willemite and calamine tailings, with the willemite tailings generally deposited on top of the calamine tailings. The Vazante Operation currently processes tailings reclaimed by truck and front end loader (FEL) from the Aroeira TSF. Aroeira tailings comprise a small portion of the feed to the processing plants. The current practice of reclaiming historical tailings involves selectively reclaiming willemite tailings while avoiding calamine tailings as much as possible. Nexa estimates that the Aroeira tailings consist of approximately 60% willemite tails and 40% calamine tails. Processing of calamine ore was historically characterized by poor recovery (approximately 50%), and it is thought that reprocessing of the calamine tailings might be best accomplished using a new collector or process that would improve on the historical recovery. Preliminary test work was completed on calamine samples by Nexa at the Vazante Operations with the objective of improving on the historical recovery from calamine ore with bench scale tests completed in 2017, followed by pilot tests in 2018.
Nexa Resources S.A. | Vazante Polymetallic Operations, SLR Project No: 233.03245.R0000
Technical Report Summary - February 15, 2021
10-1
| 10.2.1 | Aroeira Tailings Test Work |
In 2019, SGS GEOSOL in Vespasiano, Brazil, (SGS GEOSOL, 2019), an independent laboratory certified to ISO 9001, ISO 14001, and ISO 17025, completed a pilot flotation study using a willemite tailings sample of approximately 29 t from the Aroeira TSF. The composition of the tailings sample is presented in Table 10-1. The objective of the test work was to produce a zinc concentrate containing 39% Zn at a minimum recovery of 55% of the contained zinc. After drying, the sample was screened at 2 mm and the +2 mm portion weighed 164 kg. The size distribution of the remainder of the sample indicated that it was approximately 47% +150 µm. In addition, approximately 71% of the zinc was found in the +150 µm portion of the sample. Semi-quantitative mineralogical analysis indicated that the main minerals present in the sample were hematite, dolomite, willemite, and quartz.
To prepare sample material for flotation test work, the sample was classified and ground in a circuit consisting of a spiral classifier and pilot ball mill. The grind target was set to approximate the typical granulometry of flotation feed at the Vazante Operation of between 88% passing and 92% passing 150 µm.
Preliminary rougher flotation test work using a mechanical cell and a column cell was conducted to compare the performance of the two types of cells, and to evaluate the effect of pH and reagent dosages (including dispersant, activator, collector, and frother), as well as the solids feed rate and air addition rate. Results demonstrated that at optimum conditions, the column cell performed better than the mechanical cell. The mechanical cell produced a rougher concentrate containing 17% Zn at a recovery of 68%, while the column cell produced a rougher concentrate containing 30% Zn at a recovery of 64% with lower activator and collector dosages, and no addition of frother.
Table 10-1: Pilot Study Aroeira Tailings Sample Composition
Nexa Resources S.A. – Vazante Polymetallic Operations
| Element / Compound | % | |||
| Zn | 4.91 | |||
| Pb | 0.43 | |||
| Cu | 0.03 | |||
| S | 0.06 | |||
| Fe2O3 | 47.50 | |||
| CaO | 12.5 | |||
| MgO | 8.46 | |||
| SiO2 | 4.54 | |||
| Al2O3 | 0.78 | |||
| K2O | 0.07 | |||
| P2O5 | 0.07 | |||
| MnO | 0.07 | |||
| TiO2 | 0.03 | |||
| LOI | 19.4 | |||
| Ag | 8 ppm | |||
Source: SGS GEOSOL, 2019
Nexa Resources S.A. | Vazante Polymetallic Operations, SLR Project No: 233.03245.R0000
Technical Report Summary - February 15, 2021
10-2
Closed circuit tests were conducted using rougher (column cells), scavenger (either column or mechanical cells), and cleaner (column cells) circuits, or just rougher and cleaner circuits using column cells. The best results, zinc recoveries of approximately 64% and concentrate grades 42% to 43%, were achieved at lower feed rates and higher reagent dosages, however, tests at higher feed rates and lower reagent dosages were also able to exceed the target recovery and concentrate grade. The best results achieved, i.e., 64% zinc recovery and 43% concentrate grade, used rougher and cleaner columns without any scavenger step. It was noted that concentrate quality and recovery were particularly sensitive to the addition of the sodium sulphide activator with higher dosages producing the best results.
Based on the pilot plant test work, a flowsheet consisting of trash and oversize removal, grinding, conditioning, and rougher and cleaner flotation using columns, has been proposed as a stand-alone circuit for processing larger quantities of willemite tailings from the Aroeira TSF.
Variability test work on samples taken from different areas of the Aroeira TSF was underway at the Vazante Operation at the time of writing this Technical Report Summary, using a mechanical cell to produce rougher concentrates. Preliminary results were similar to the mechanical cell rougher results from the 2019 SGS test work and it is anticipated that an improvement in performance similar to that achieved at SGS through the use of column flotation can be realized. Results of the variability test work completed to date are summarized in Figure 10-1.

Source: Nexa, 2020
Figure 10-1: Rougher Variability Test Work Results
Nexa Resources S.A. | Vazante Polymetallic Operations, SLR Project No: 233.03245.R0000
Technical Report Summary - February 15, 2021
10-3

| 10.2.2 | Calamine Test Work |
In addition to calamine tailings contained in the Aroeira TSF and older tailings deposits, Nexa has identified potential calamine resources along the strike length, but mostly in the Extremo Norte deposit area. Results of test work completed at the Vazante Operation in 2017 and 2018 are summarized in the 2018 Nexa report, Alternativa Tecnológica para Tratamento de Calamina (Nexa, 2018).
Bench scale tests completed in 2017 on calamine samples from the Extremo Norte area indicated that there was potential for improvement over historical performance while processing calamine ores. Open circuit rougher-scavenger tests indicated that it was possible to reach approximately 23% Zn in concentrate at a recovery of up to 70%. An open circuit cleaner test produced a concentrate grading 39% Zn and a recovery of 63%. This test work was followed up with pilot test work at Vazante Mine with the objective of evaluating circuit configuration, different reagents and dosages, and the effect of closed-circuit operation on recovery and concentrate grade.
For the pilot plant test work, a bulk sample of approximately 20 t was collected from the historical calamine pit 3A in the Extremo Norte area. The sample was crushed and ground to approximately 88% passing 150 µm (approximately 80% passing (P80) 100 µm), similar to the current willemite flotation feed size, in preparation for flotation testing. Zinc content of the sample was approximately 13.4% Zn. The size distribution of the flotation feed sample indicated that approximately 35% of the feed was < 38 µm. X-ray Diffraction (XRD) analysis of a portion of the sample indicated that it consisted predominantly of smithsonite with secondary minerals including hemimorphite and quartz, typical of calamine mineralization. Additional bench scale rougher tests were used to assess the response of the calamine sample to different collectors and modifiers prior to starting the pilot tests. These tests indicated that a combination of amine collector and fatty acids significantly improved flotation response, with an emulsion of amine collector and rice oil producing the best results, and this was therefore selected for use in the pilot tests.
For the pilot tests, feed material was first classified to remove fines. Fines rejection was measured by mass loss, and two mass loss or rejection targets were applied, 20% and 30%. Tests using samples from which 30% of the mass had been rejected resulted in higher concentrate grades and recoveries than the tests using samples from which 20% of the mass had been rejected. Overall zinc recovery (i.e. recovery from flotation while accounting for zinc loss to the fines prior to flotation) of up to 50% at concentrate grades over 37% was shown to be possible with the samples from which 30% of the mass had been rejected. The best results were achieved using a circuit consisting of one rougher stage followed by two scavenger stages and with three cleaner stages. Cells used were conventional mechanical cells. Overall recovery for the samples from which 20% of the mass had been rejected was lower and the tests were also not able to achieve acceptable concentrate grades. XRD analysis of pilot plant tails indicated that the majority of zinc in the tails was present as hemimorphite. Nexa noted that the use of column cells rather than mechanical cells could provide some improvement in yield due to the large proportion of fines in the feed, and that further assessment of collectors and fatty acids was necessary to improve the recovery of hemimorphite.
SLR recommends that Nexa consider options that may help to improve recovery from calamine mineralization such as:
| · | Separate processing of calamine and willemite mineralization. |
| · | A coarser primary grind for calamine mineralization and evaluation of the effect of a coarser primary grind on the proportion of fines in the flotation feed and zinc (and zinc mineral) deportment to fines. |
Nexa Resources S.A. | Vazante Polymetallic Operations, SLR Project No: 233.03245.R0000
Technical Report Summary - February 15, 2021
10-4
| · | Separate processing of the fines fraction to recover hemimorphite in a purpose-built fines processing circuit, which could also be used for processing historical calamine tailings. |
| 10.3 | Current Performance |
Vazante Operation concentrate production for the past four years is summarized in Table 10-2.
Table 10-2: Vazante Historical Performance
Nexa Resources S.A. – Vazante Polymetallic Operations
| Actual | ||||||||||||||||||
| Description | Units | 2017 | 2018 | 2019 | 2020 | |||||||||||||
| Plant Throughput | 000 tpa | 1,321 | 1,374 | 1,407 | 1,623 | |||||||||||||
| Head Grades | %Zn | 12.3 | 12.1 | 11.5 | 10.4 | |||||||||||||
| %Pb | 0.34 | 0.34 | 0.31 | 0.36 | ||||||||||||||
| g/t Ag | 17.3 | 19.1 | 17.6 | 19.5 | ||||||||||||||
| Zinc Concentrate | tpa | 351,377 | 357,469 | 353,669 | 372,322 | |||||||||||||
| Grade | %Zn | 38.8 | 39.4 | 39.3 | 39.8 | |||||||||||||
| Recovery | %Zn | 83.9 | 84.5 | 86.2 | 87.5 | |||||||||||||
| Lead Concentrate | tpa | 6,027 | 5,025 | 4,052 | 5,069 | |||||||||||||
| Grade | %Pb | 25.4 | 26.4 | 23.2 | 26.3 | |||||||||||||
| g/t Ag | 2,442 | 2,702 | 2,709 | 2,329 | ||||||||||||||
| Recovery | %Pb | 33.8 | 28.7 | 21.5 | 22.5 | |||||||||||||
| %Ag | 57.3 | 50.8 | 42.1 | 37.3 | ||||||||||||||
| 10.4 | Deleterious Elements |
| 10.4.1 | Zinc Concentrate |
The Três Marias smelter, owned by Nexa, processes all zinc concentrate produced by the Vazante Operation in its zinc circuit designed to process zinc silicate concentrate. Target zinc content in the concentrate is 39% Zn. Elements or compounds that negatively affect the refining process include carbonates, magnesium oxide (MgO), and fluorine. The carbonate specification for the zinc concentrate is < 13.3% CO3, the MgO specification is < 4.5% MgO, and the fluorine specification is < 250 ppm F. Typical Vazante Operation concentrate contains levels of carbonates, MgO, and fluorine close to but under these limits.
Nexa Resources S.A. | Vazante Polymetallic Operations, SLR Project No: 233.03245.R0000
Technical Report Summary - February 15, 2021
10-5
| 10.4.2 | Lead Concentrate |
Nexa reports that the lead concentrate grade is approximately 20% Pb to 28% Pb and does not contain penalty levels of deleterious elements. Silver content ranges from approximately 2,000 g/t Ag to 3,000 g/t Ag. The Vazante Operation lead concentrate is subject to a penalty charge of less than US$1.00/t due to the low lead content.
In the SLR QP’s opinion, the metallurgical recovery data is adequate for the purposes of Mineral Resource and Mineral Reserve estimation in this Technical Report Summary.
Nexa Resources S.A. | Vazante Polymetallic Operations, SLR Project No: 233.03245.R0000
Technical Report Summary - February 15, 2021
10-6
| 11.0 | Mineral Resource Estimates |
| 11.1 | Summary |
For this Technical Report Summary, SLR has reviewed the Mineral Resource estimates of the Vazante Operation as prepared by Nexa as of December 31, 2020. SLR carried out a number of checks to verify the various procedures and numerical calculations used in the Nexa estimates. The checks included detailed reviews of the geological and mineralization interpretations, detailed tracing of the parameters and methodology used for estimating the tonnage and grades of the mineralized blocks, analysis of the conceptual operational scenarios, and consideration that the “Reasonable Prospects for Economic Extraction” requirement of S-K 1300 is met.
The Mineral Resources comprise three styles of mineralization. The first style of mineralization is represented by the hypogene (willemite) mineralized zones that are found in the underground portions of the Vazante and Extremo Norte deposits. The second style of mineralization is represented by the supergene (calamine) mineralized zones found in the Cava 3A, Mata dos Paulistas, and Braquiara areas of the Extremo Norte and Vazante deposits. This supergene (calamine) mineralization is referred to at the Vazante Operation as calamine mineralization and comprises a mixture of smithsonite and hemimorphite minerals. The third type of mineralization comprises tailings that are contained within the Aroeira TSF. The material found in the Aroeira tailings comprise a mixture of hypogene (willemite) and supergene (calamine) minerals.
The 2020 year end (YE) Mineral Resources as of December 31, 2020 for the Vazante Operation are presented in Table 11-1. Mineral Resources have been classified in accordance with the definitions for Mineral Resources in S-K 1300, which are consistent with CIM (2014) definitions. The Mineral Resources are exclusive of Mineral Reserves. The Mineral Resource statements for the underground hypogene (willemite) mineralization are prepared within reporting panels that have been created so as to achieve the required spatial continuity, cut-off grade, and minimum width criteria. The Mineral Resource statements for the supergene (calamine) mineralization are prepared using an open pit shell. The Mineral Resource statements for the tailings are reported using the original topographic surface as a constraint.
The Mineral Resource statements are prepared using Net Smelter Return (NSR) cut-off values that consider such items as the envisioned mining method, metallurgical recoveries, metal prices, etc. The NSR cut-off values are as follow:
| Mineralization Type | Mining Method | NSR Cut-Off Value (US$/t) | ||||
| Hypogene (willemite) | Sub-level stoping Room-and-pillar | 47.49 74.96 | ||||
| Supergene (calamine) | Open Pit – Rock Open Pit - Soil | 24.64 23.39 | ||||
| Tailings | Truck-and-shovel | 20.62 | ||||
Nexa Resources S.A. | Vazante Polymetallic Operations, SLR Project No: 233.03245.R0000
Technical Report Summary - February 15, 2021
11-1
Table 11-1: Summary of Mineral Resources as of December 31, 2020
Nexa Resources S.A. – Vazante Polymetallic Operations
| Grade | Contained Metal | |||||||||||||||||||||||||||||
| Category | Area | Tonnes (000 t) | (% Zn) | (% Pb) | (g/t Ag) | (000 t Zn) | (000 t Pb) | (000 oz Ag) | ||||||||||||||||||||||
| Measured | Vazante & Extremo Norte | 3,400 | 6.91 | 0.18 | 8.4 | 235.0 | 6.2 | 918 | ||||||||||||||||||||||
| Calamine | 0 | 0.00 | 0.00 | 0.0 | 0.0 | 0.0 | 0 | |||||||||||||||||||||||
| Tailings | 0 | 0.00 | 0.00 | 0.0 | 0.0 | 0.0 | 0 | |||||||||||||||||||||||
| Subtotal, Measured | 3,400 | 6.91 | 0.18 | 8.4 | 235.0 | 6.2 | 918 | |||||||||||||||||||||||
| Indicated | Vazante & Extremo Norte | 2,000 | 5.84 | 0.13 | 7.6 | 117.0 | 2.6 | 489 | ||||||||||||||||||||||
| Calamine | 880 | 9.13 | 0.16 | 1.2 | 80.3 | 1.4 | 34 | |||||||||||||||||||||||
| Tailings | 0.00 | 0.00 | 0.00 | 0.0 | 0.0 | 0.0 | 0.0 | |||||||||||||||||||||||
| Subtotal, Indicated | 2,880 | 6.85 | 0.14 | 5.6 | 197.3 | 4.0 | 523 | |||||||||||||||||||||||
| Meas. & Ind. | Vazante & Extremo Norte | 5,400 | 6.52 | 0.16 | 8.1 | 352.0 | 8.8 | 1,407 | ||||||||||||||||||||||
| Calamine | 880 | 9.13 | 0.16 | 1.2 | 80.3 | 1.4 | 34 | |||||||||||||||||||||||
| Tailings | 0.00 | 0.00 | 0.00 | 0.0 | 0.0 | 0.0 | 0.0 | |||||||||||||||||||||||
| Subtotal, M&I | 6,280 | 6.88 | 0.16 | 7.1 | 432.3 | 10.2 | 1,441 | |||||||||||||||||||||||
| Inferred | Vazante & Extremo Norte | 9,040 | 7.79 | 0.17 | 11.0 | 704.0 | 14.9 | 3,190 | ||||||||||||||||||||||
| Calamine | 870 | 9.92 | 0.09 | 1.1 | 86.3 | 0.8 | 31 | |||||||||||||||||||||||
| Tailings | 3,939 | 4.06 | 0.25 | 7.8 | 159.9 | 9.8 | 995 | |||||||||||||||||||||||
| Subtotal, Inferred | 13,849 | 6.86 | 0.18 | 9.5 | 950.2 | 25.5 | 4,216 | |||||||||||||||||||||||
Notes:
| 1. | The definitions for Mineral Resources in S-K 1300 were followed for Mineral Resources which are consistent with CIM (2014) definitions. |
| 2. | Mineral Resources are reported on a 100% ownership basis. |
| 3. | Mineral Resources are estimated at various NSR cut-off values appropriate to the mineralization style. |
| 4. | Mineral Resources are estimated using average long term metal prices of Zn: US$2,869.14/t (US$1.30/lb), Pb: US$2,249.40/t (US$1.02/lb), and Ag: US$19.38/oz, and metallurgical recoveries are based on recovery curves derived from historical processing data. An average long term R$/US$ exchange rate of 4.84 was used. |
| 5. | A minimum mining width of 3.0 m was used to create Mineral Resource reporting shapes for the willemite mineralization. |
| 6. | Mineral Resources are exclusive of Mineral Reserves. |
| 7. | Mineral Resources that are not Mineral Reserves do not have demonstrated economic viability. |
| 8. | Numbers may not add due to rounding. |
Nexa Resources S.A. | Vazante Polymetallic Operations, SLR Project No: 233.03245.R0000
Technical Report Summary - February 15, 2021
11-2
| 11.2 | Hypogene Mineralization (Willemite) |
| 11.2.1 | Resource Database |
Information collected from surface-based drilling, underground-based drilling, and channel samples collected from the grade control program are all entered into a FusionTM master database that is used for database management at the Vazante Operations. The Fusion™ database was implemented in 2017. The login is password protected by individual personnel and all personnel are assigned the permission levels necessary to complete their tasks. Three people in the company have unlimited access to the database. Data cannot be entered or changed in the database without the appropriate permission. There is a full time expert in charge of the database to make certain that the data is reliable and to provide data extraction and editing services.
Primary data are entered by the site geologists into the tablet devices and are imported directly into Fusion™ database. Analytical data are provided digitally by the assay laboratories and are merged with the data from the geologists. Primary original documents and logs, down-hole surveys, core photographs, and assay certificates are stored on network drives. Digital copies of the database network drives are routinely backed-up daily, weekly, and monthly.
All data stored in the Vazante Operation database are verified using various software verification routines before final entry into the database. These software verification routines are aimed at preventing the entry of extraneous data such as incorrect lithology codes or overlapping assay intervals into the database. While largely successful, these checks are not perfect and additional internal checks are made to ensure that information used for Mineral Resource estimation and mine planning is as nearly correct as possible. Nexa’s internal corporate standard operating procedure PO-VM-GRM-001, requires additional checking of the following items:
| · | Sample length problems |
| · | Maximum and minimum grade values |
| · | Negative values |
| · | Detection limits and null values |
| · | Drill hole surveys |
| · | Sample size |
| · | Gaps |
| · | Overlaps |
| · | Drill hole collars versus topography coordinate datum |
| · | Verification of mining permissions |
| · | Laboratory analysis certificates |
Each of these items are checked and if discrepancies are discovered, verified, and corrected, as necessary.
Drill hole and channel sample information were extracted into two separate data subsets for the preparation of the Mineral Resource estimates for the hypogene mineralization found at the Vazante Mine. One database subset was constructed to include the mineralization found in the Lumiadeira and Sucrui segments of the Vazante portion of the mineralization. The second database subset was constructed to include the mineralization found in the Extremo Norte region of the Vazante Mine.
Nexa Resources S.A. | Vazante Polymetallic Operations, SLR Project No: 233.03245.R0000
Technical Report Summary - February 15, 2021
11-3
Drill hole and channel sample information for the Vazante Mine was extracted from this internal database into separate files for use in preparation of the Mineral Resource estimates. This drill hole information was modified slightly so as to be compatible with the format requirements of Datamine and Leapfrog modelling packages and were imported into those software packages by Nexa. A number of new tables and variables were created during the estimation process to capture such information as the interpreted mineralized intersection length along the drill holes, density readings, capped assay values, and composite values.
The cut-off date for the assays in the drill hole database is April 30, 2020. Drilling and sampling was carried out using the UTM Datum Cόrrego Alegre, Zone 23S grid coordinate system. The northing and easting collar coordinates of the drill holes and channel samples used to prepare the Mineral Resource estimate for the hypogene mineralization were modified from the UTM coordinate system to the mine grid coordinate system. No changes were made to the collar elevations, and no rotations or scaling factors were applied. The conversion factors from UTM to mine grid are shown below:
Easting (X): UTM grid – 300,000 = Mine grid
Northing (Y): UTM grid – 8,000,000 = Mine grid
A summary of the drilling and channel sampling information is provided in Table 11-2. The location of the drill holes and channel samples are presented in Figure 11-1.
Table 11-2: Summary of Drill Hole and Channel Sample Databases, Vazante and Extremo Norte
Nexa Resources S.A. – Vazante Polymetallic Operations
| Data Type | No. of Records – DDH | No. of Records – Channels | ||||||
| Vazante | ||||||||
| Collars | 6,186 | 1,088 | ||||||
| Down hole survey | 218,582 | 5,665 | ||||||
| Lithology | 86,846 | 3,227 | ||||||
| Assays | 126,435 | 5,665 | ||||||
| Composites (within mineralized wireframe boundaries) | 46,039 | |||||||
| Density | 17,315 | |||||||
| Extremo Norte | ||||||||
| Collars | 1,398 | 198 | ||||||
| Down hole survey | 96,694 | 1,031 | ||||||
| Lithology | 18,704 | 540 | ||||||
| Assays | 36,532 | 1,031 | ||||||
| Composites (within mineralized wireframe boundaries) | 10,062 | |||||||
| Density | 16,758 | |||||||
Nexa Resources S.A. | Vazante Polymetallic Operations, SLR Project No: 233.03245.R0000
Technical Report Summary - February 15, 2021
11-4

Figure 11-1: Drill Hole and Channel Sample Locations, Vazante and Extremo Norte Deposits
Nexa Resources S.A. | Vazante Polymetallic Operations, SLR Project No: 233.03245.R0000
Technical Report Summary - February 15, 2021
11-5

11.2.2 Mineralized Wireframe Interpretation
The mineralized wireframe interpretations were prepared by Nexa staff in consideration of all geological and assay information collected from drilling and channel sample information, information collected from the grade control geological mapping and sampling activities, and from practical experience gained over the many years of production history of the Vazante Operation. The broader-scale lithological features in both the Vazante and Extremo Norte deposits (such as the hydrothermal breccia unit) were used as guides in the preparation of the mineralized wireframe interpretations.
The mineralized wireframe interpretations adopted a three tier approach that was based on the zinc cut-off grade and the style of the mineralization. All mineralized wireframe outlines were prepared using the Leapfrog software package. A series of mineralized wireframe outlines were prepared at a cut-off grade of 5% Zn for those mineralized intervals considered to be part of the primary style of willemite mineralization that is located generally along the footwall contact of the mineralized system in association with the Vazante Shear.
The second series of mineralized wireframes were also prepared using a cut-off grade of 5% Zn, however, these wireframes included mineralized intervals that are present in the stratigraphic package but are not considered to form part of the main mineralized trend. In general terms, the secondary mineralized zones comprise stringer and breccia style mineralized intervals and are located on the hanging wall side of the primary mineralized zones. Occurrences of secondary style mineralization, however, are also present in the footwall of the primary mineralized zones.
The third series of mineralized wireframes were prepared using a cut-off grade of 2% Zn. These tertiary mineralized wireframes include lower grade mineralized intervals that are present in the immediate wall rocks to either the primary or secondary mineralized wireframes.
For each of the mineralized wireframes, no minimum widths were applied. This approach is part of an overall strategy in which the minimum width criteria is considered by application of reporting panels as one of the criteria when preparing the Mineral Resource statements.
While lead and silver also form part of the hypogene mineralization found at the Vazante Mine, their contributions to the overall value of the mineralization are minor in comparison with the revenue that is achieved from the zinc content (Figure 11-2). Consequently, the cut-off grade used to prepare the mineralized wireframe interpretations is based on a simple zinc-alone basis.
Nexa Resources S.A. | Vazante Polymetallic Operations, SLR Project No: 233.03245.R0000
Technical Report Summary - February 15, 2021
11-6


Figure 11-2: Relative Value by Metal, Willemite Mineralization
The hypogene zinc mineralization at the Vazante Mine has been traced by drilling and channel sampling along a strike length of approximately 10.5 km and from surface (elevation approximately 750 m AMSL) to elevation of approximately 0 m AMSL, a distance of approximately 750 m (Figure 11-3). A sample cross section is provided in Figure 11-4. Additional cross sections are provided in Section 7.2 of this Technical Report Summary.
Nexa Resources S.A. | Vazante Polymetallic Operations, SLR Project No: 233.03245.R0000
Technical Report Summary - February 15, 2021
11-7
Figure 11-3: View of the Mineralized Wireframe Outlines, Willemite Mineralization
Nexa Resources S.A. | Vazante Polymetallic Operations, SLR Project No: 233.03245.R0000
Technical Report Summary - February 15, 2021
11-8

Figure 11-4: Sample Cross Section of the Mineralized Wireframes, Vazante Mine
Nexa Resources S.A. | Vazante Polymetallic Operations, SLR Project No: 233.03245.R0000
Technical Report Summary - February 15, 2021
11-9
| 11.2.3 | Topography and Excavation Models |
| 11.2.3.1 | Topography Surfaces |
Three topographic surfaces are used at the Vazante Mine (Figure 11-5). The first topographic surface is constructed from satellite based data that is made available through the Brazilian government agencies. This general topographic map provides coverage for a wide area around the Vazante Mine and is used as a general guide for field activities such as regional exploration and planning purposes for surface-based drilling programs targeting the hypogene mineralization. The precision and accuracy of this topographic surface is limited to several metres, especially when dealing with elevation data.
The second topographic surface is constructed by the Nexa mine staff from data collected using various detailed surveying methods such as drone based LIDAR topography measurements or total station survey equipment. This detailed topographic information provides coverage for approximately half of the strike length of the Vazante portion of the mineralized trend and provides information relating to the open pit excavations that have taken place on the Vazante portion of the mineralized trend.
The third topographic surface is constructed by the Nexa mine staff using various detailed surveying methods such as drone based LIDAR topography measurements or total station survey equipment. This topographic surface has an effective date of April 24, 2019 and provides information relating to the open pit excavations that have taken place for the Extremo Norte portion of the mineralized trend.
| 11.2.3.2 | Excavation Models |
Mining activities have resulted in the excavation of two underground mines at the Vazante Operation, both of which are accessed by means of adits and ramps. The underground excavation for the Vazante Mine has achieved a depth of approximately 650 m from surface and provides access to approximately 5.3 km of the Vazante portion of the mineralized trend. The Extremo Norte Mine has achieved a depth of approximately 400 m from surface and provides access to approximately 1.6 km of the Extremo Norte portion of the mineralized trend. The two mines are separated by a distance of approximately 2.2 km (Figure 11-6).
Nexa Resources S.A. | Vazante Polymetallic Operations, SLR Project No: 233.03245.R0000
Technical Report Summary - February 15, 2021
11-10

Figure 11-5: Plan View of the Topographic Surfaces
Nexa Resources S.A. | Vazante Polymetallic Operations, SLR Project No: 233.03245.R0000
Technical Report Summary - February 15, 2021
11-11

Figure 11-6: Plan and Longitudinal Views of the Underground Development
Nexa Resources S.A. | Vazante Polymetallic Operations, SLR Project No: 233.03245.R0000
Technical Report Summary - February 15, 2021
11-12
As mining has been on-going at the Vazante Operation since before the development of Cavity Monitoring Survey (CMS) equipment, little digital information is available regarding the shapes of many of the stopes that have been excavated over the long production history of the mine. Prior to the implementation of the CMS surveys at the Vazante Operation, the extent of the excavations for the level developments were determined by the traditional line-and-offset method. This historical survey information was subsequently used to prepare digital models of the excavated level developments.
Beginning in January 2018, Nexa has employed a Reigl Model Vz400 laser scanner to create digital models of all excavated level developments and excavated stopes (Figure 11-7 and Figure 11-8). As a result of this history, digital information is available for most of the excavated levels and ramps, but only partial digital information is available for the excavated stopes. The digital information used in preparation of the Mineral Resource estimate regarding the mining excavations is current as of October 31, 2020.
Nexa Resources S.A. | Vazante Polymetallic Operations, SLR Project No: 233.03245.R0000
Technical Report Summary - February 15, 2021
11-13

Figure 11-7: Longitudinal View of the Mined Excavations, Vazante Mine
Nexa Resources S.A. | Vazante Polymetallic Operations, SLR Project No: 233.03245.R0000
Technical Report Summary - February 15, 2021
11-14

Figure 11-8: Longitudinal View of the Mined Excavations, Extremo Norte Mine
Nexa Resources S.A. | Vazante Polymetallic Operations, SLR Project No: 233.03245.R0000
Technical Report Summary - February 15, 2021
11-15

| 11.2.4 | Resource Assays |
The various mineralization wireframe models were used to code the drill hole database and identify the raw assay samples, or resource assays, that are contained within the mineralized wireframes. These samples were extracted from the database into their respective domains, and then subjected to statistical analyses by means of histograms and probability plots. A total of 36,235 zinc samples were contained within the primary, secondary, and tertiary mineralized wireframes for the Vazante deposit. A total of 9,674 zinc samples were contained within the primary, secondary, and tertiary mineralized wireframes for the Extremo Norte deposit. The resource assay sample statistics and the selected capping values for the uncapped assay values are summarized in Table 11-3. Selected histograms and probability plots are provided in Figure 11-9 to Figure 11-14.
Table 11-3: Summary Of Uncapped, Clustered Raw Sample Statistics, Willemite Mineralization
Nexa Resources S.A. – Vazante Polymetallic Operations
| Primary | Secondary | Tertiary | ||||||||||||||||||||||||||||||||||
| Item | Zinc (% Zn) | Lead (% Pb) | Silver (g/t Ag) | Zinc (% Zn) | Lead (% Pb) | Silver (g/t Ag) | Zinc (% Zn) | Lead (% Pb) | Silver (g/t Ag) | |||||||||||||||||||||||||||
| Vazante Deposit | ||||||||||||||||||||||||||||||||||||
| Mean | 22.69 | 0.59 | 42.3 | 19.54 | 0.48 | 34.8 | 4.19 | 0.24 | 7.8 | |||||||||||||||||||||||||||
| Median | 22.55 | 0.30 | 13.8 | 17.35 | 0.27 | 9.8 | 2.31 | 0.21 | 1.0 | |||||||||||||||||||||||||||
| Standard Deviation | 14.42 | 0.97 | 108.6 | 13.00 | 0.74 | 106.6 | 7.11 | 0.24 | 80.7 | |||||||||||||||||||||||||||
| Coefficient of Variation | 0.64 | 1.64 | 2.57 | 0.66 | 1.56 | 3.06 | 1.70 | 0.98 | 10.4 | |||||||||||||||||||||||||||
| Minimum | 0.03 | 0.00 | 0.25 | 0.05 | 0.01 | 0.25 | 0.01 | 0.00 | 0.25 | |||||||||||||||||||||||||||
| Maximum | 59.52 | 21.36 | 2,520 | 56.34 | 12.07 | 3,451 | 53.59 | 7.61 | 3,499 | |||||||||||||||||||||||||||
| Number of Samples | 23,598 | 15,341 | 14,204 | 7,284 | 5,217 | 4,385 | 5,353 | 4,823 | 4,832 | |||||||||||||||||||||||||||
| Capping Value | 54 | 8 | 1,000 | 50 | 5 | 850 | 48 | 2.5 | 250 | |||||||||||||||||||||||||||
| Extremo Norte Deposit | ||||||||||||||||||||||||||||||||||||
| Mean | 18.76 | 0.33 | 17.2 | 15.33 | 0.28 | 11.5 | 3.31 | 0.33 | 1.6 | |||||||||||||||||||||||||||
| Median | 16.00 | 0.28 | 9.2 | 12.56 | 0.25 | 6.3 | 2.40 | 0.29 | 0.5 | |||||||||||||||||||||||||||
| Standard Deviation | 12.92 | 0.35 | 48.0 | 10.40 | 0.26 | 22.5 | 4.18 | 0.26 | 4.5 | |||||||||||||||||||||||||||
| Coefficient of Variation | 0.69 | 1.07 | 2.8 | 0.68 | 0.92 | 1.95 | 1.26 | 0.80 | 2.8 | |||||||||||||||||||||||||||
| Minimum | 0.21 | 0.00 | 0.3 | 0.45 | 0.05 | 0.3 | 0.04 | 0.00 | 0.3 | |||||||||||||||||||||||||||
| Maximum | 55.89 | 12.95 | 1,685 | 46.15 | 5.21 | 335.0 | 52.89 | 3.86 | 147.0 | |||||||||||||||||||||||||||
| Number of Samples | 5,327 | 5,031 | 4,678 | 358 | 354 | 324 | 3,989 | 3,944 | 3,020 | |||||||||||||||||||||||||||
| Capping Value | 50 | 3 | 560 | 42 | 1.5 | 100 | 48 | 2.5 | 35 |
Nexa Resources S.A. | Vazante Polymetallic Operations, SLR Project No: 233.03245.R0000
Technical Report Summary - February 15, 2021
11-16

Source: Nexa
Figure 11-9: Raw Assay Histogram and Probability Plots for Zinc Within the Primary Mineralized Wireframe, Vazante Deposit
Nexa Resources S.A. | Vazante Polymetallic Operations, SLR Project No: 233.03245.R0000
Technical Report Summary - February 15, 2021
11-17

Source: Nexa
Figure 11-10: Raw Assay Histogram and Probability Plots for Zinc Within the Secondary Mineralized Wireframe, Vazante Deposit

Nexa Resources S.A. | Vazante Polymetallic Operations, SLR Project No: 233.03245.R0000
Technical Report Summary - February 15, 2021
11-18
Source: Nexa
Figure 11-11: Raw Assay Histogram and Probability Plots for Zinc Within the Tertiary Mineralized Wireframe, Vazante Deposit

Nexa Resources S.A. | Vazante Polymetallic Operations, SLR Project No: 233.03245.R0000
Technical Report Summary - February 15, 2021
11-19
Source: Nexa
Figure 11-12: Raw Assay Histogram and Probability Plots for Zinc Within the Primary Mineralized Wireframe, Extremo Norte Deposit
Nexa Resources S.A. | Vazante Polymetallic Operations, SLR Project No: 233.03245.R0000
Technical Report Summary - February 15, 2021
11-20

Source: Nexa
Figure 11-13: Raw Assay Histogram and Probability Plots for Zinc Within the Secondary Mineralized Wireframe, Extremo Norte Deposit
Nexa Resources S.A. | Vazante Polymetallic Operations, SLR Project No: 233.03245.R0000
Technical Report Summary - February 15, 2021
11-21

Source: Nexa
Figure 11-14: Raw Assay Histogram and Probability Plots for Zinc Within the Secondary Mineralized Wireframe, Extremo Norte Deposit
| 11.2.5 | Treatment of High Grade Assays |
In order to reduce the influence of high grade sample values, a simple capping approach was applied. In this method, the grades of the resource assays contained within the respective mineralized wireframes that are deemed to represent anomalously high grades are reduced to a maximum value – the capping grade. A summary of the descriptive statistics for the capped, cell declustered sample populations for each of the mineralized wireframes is presented in Table 11-4.
Nexa Resources S.A. | Vazante Polymetallic Operations, SLR Project No: 233.03245.R0000
Technical Report Summary - February 15, 2021
11-22
Table 11-4: Summary of Capped, Declustered Sample Statistics, Willemite Mineralization
Nexa Resources S.A. – Vazante Polymetallic Operations
| Primary | Secondary | Tertiary | ||||||||||||||||||||||||||||||||||
| Item | Zinc (% Zn) | Lead (% Pb) | Silver (g/t Ag) | Zinc (% Zn) | Lead (% Pb) | Silver (g/t Ag) | Zinc (% Zn) | Lead (% Pb) | Silver (g/t Ag) | |||||||||||||||||||||||||||
| Vazante Deposit | ||||||||||||||||||||||||||||||||||||
| Mean | 20.21 | 0.50 | 37.1 | 17.67 | 0.44 | 29.5 | 4.30 | 0.24 | 6.3 | |||||||||||||||||||||||||||
| Median | 18.55 | 0.27 | 11.6 | 14.90 | 0.26 | 9.5 | 2.48 | 0.21 | 1.2 | |||||||||||||||||||||||||||
| Standard Deviation | 12.53 | 0.74 | 93.0 | 11.09 | 0.66 | 67.1 | 6.38 | 0.21 | 25.1 | |||||||||||||||||||||||||||
| Coefficient of Variation | 0.62 | 1.49 | 2.51 | 0.63 | 1.51 | 2.3 | 1.48 | 0.88 | 3.8 | |||||||||||||||||||||||||||
| Minimum | 0.10 | 0.00 | 0.3 | 0.05 | 0.01 | 0.3 | 0.01 | 0.01 | 0.3 | |||||||||||||||||||||||||||
| Maximum | 54.00 | 8.00 | 1,000 | 50.0 | 5.00 | 850 | 48.00 | 2.50 | 250 | |||||||||||||||||||||||||||
| Extremo Norte Deposit | ||||||||||||||||||||||||||||||||||||
| Mean | 16.49 | 0.29 | 12.7 | 13.98 | 0.27 | 10.0 | 3.18 | 0.31 | 1.7 | |||||||||||||||||||||||||||
| Median | 13.70 | 0.24 | 5.7 | 11.52 | 0.25 | 5.2 | 2.47 | 0.28 | 0.6 | |||||||||||||||||||||||||||
| Standard Deviation | 10.45 | 0.30 | 29.0 | 8.81 | 0.13 | 13.5 | 3.55 | 0.24 | 3.4 | |||||||||||||||||||||||||||
| Coefficient of Variation | 0.63 | 1.03 | 2.3 | 0.63 | 0.48 | 1.3 | 1.12 | 0.75 | 2.2 | |||||||||||||||||||||||||||
| Minimum | 0.36 | 0.00 | 0.3 | 1.46 | 0.07 | 0.3 | 0.04 | 0.00 | 0.3 | |||||||||||||||||||||||||||
| Maximum | 50.00 | 3.00 | 560 | 41.23 | 0.99 | 100 | 48.00 | 2.50 | 35.0 | |||||||||||||||||||||||||||
| 11.2.6 | Compositing |
The capped assay samples contained within the primary, secondary, and tertiary mineralized wireframes for the Vazante and Extremo Norte deposits were composted into equal sample lengths of one metre using the best-fit compositing method using the Datamine software package. SLR has examined the supporting data for the selection of this composite sample length and agrees that it is appropriate for this data set, style of mineralization, and the anticipated mining method. The descriptive statistics for the capped composite samples are provided in Table 11-5.

Nexa Resources S.A. | Vazante Polymetallic Operations, SLR Project No: 233.03245.R0000
Technical Report Summary - February 15, 2021
11-23
Table 11-5: Summary of Capped, Composite Sample Statistics, Willemite Mineralization
Nexa Resources S.A. – Vazante Polymetallic Operations
| Primary | Secondary | Tertiary | ||||||||||||||||||||||||||||||||||
| Item | Zinc (% Zn) | Lead (% Pb) | Silver (g/t Ag) | Zinc (% Zn) | Lead (% Pb) | Silver (g/t Ag) | Zinc (% Zn) | Lead (% Pb) | Silver (g/t Ag) | |||||||||||||||||||||||||||
| Vazante Deposit | ||||||||||||||||||||||||||||||||||||
| Mean | 22.59 | 0.40 | 26.0 | 19.14 | 0.29 | 16.5 | 4.24 | 0.20 | 4.5 | |||||||||||||||||||||||||||
| Median | 21.73 | 0.22 | 5.0 | 16.92 | 0.19 | 1.60 | 2.50 | 0.20 | 0.9 | |||||||||||||||||||||||||||
| Standard Deviation | 13.29 | 0.72 | 69.9 | 11.64 | 0.51 | 53.9 | 6.59 | 0.19 | 16.9 | |||||||||||||||||||||||||||
| Coefficient of Variation | 0.59 | 1.81 | 2.7 | 0.61 | 1.79 | 3.26 | 1.54 | 0.95 | 3.8 | |||||||||||||||||||||||||||
| Minimum | 0.1 | 0.00 | 0 | 0.05 | 0.00 | 0 | 0.01 | 0 | 0 | |||||||||||||||||||||||||||
| Maximum | 54 | 8.00 | 1,000 | 50 | 5.0 | 850 | 48 | 2.5 | 250 | |||||||||||||||||||||||||||
| Extremo Norte Deposit | ||||||||||||||||||||||||||||||||||||
| Mean | 18.63 | 0.30 | 15.3 | 15.07 | 0.27 | 11.0 | 3.33 | 0.30 | 1.7 | |||||||||||||||||||||||||||
| Median | 16.25 | 0.28 | 8.3 | 12.11 | 0.25 | 6.2 | 2.47 | 0.28 | 0.5 | |||||||||||||||||||||||||||
| Standard Deviation | 11.90 | 0.22 | 29.8 | 9.32 | 0.19 | 14.6 | 3.99 | 0.22 | 3.3 | |||||||||||||||||||||||||||
| Coefficient of Variation | 0.64 | 0.74 | 2.0 | 0.62 | 0.71 | 1.3 | 1.20 | 0.75 | 2.0 | |||||||||||||||||||||||||||
| Minimum | 0.36 | 0.00 | 0.0 | 1.46 | 0.00 | 0.0 | 0.04 | 0.00 | 0.0 | |||||||||||||||||||||||||||
| Maximum | 50 | 3.00 | 560.0 | 42.00 | 1.50 | 100 | 48 | 2.50 | 35.0 | |||||||||||||||||||||||||||
| 11.2.7 | Bulk Density |
The relationship of the density values to the zinc, lead, and iron grades was carried out using the available density measurements contained within the mineralized wireframe volumes for the Vazante and Extremo Norte deposits (Figure 11-15 and Figure 11-16). The data clearly demonstrates that a consistent relationship is present that can be modelled using the following equation:
Bulk Density = 0.022657 x (Zn + Pb + Fe) + 2.785876
This formula was used to calculate the
bulk density using the estimated zinc, lead, and iron grades for the Vazante and Extremo Norte deposits.

Nexa Resources S.A. | Vazante Polymetallic Operations, SLR Project No: 233.03245.R0000
Technical Report Summary - February 15, 2021
11-24
Figure 11-15: Relationship of Measured Bulk Density with Zinc, Lead, and Iron Grades, Vazante Deposit
Nexa Resources S.A. | Vazante Polymetallic Operations, SLR Project No: 233.03245.R0000
Technical Report Summary - February 15, 2021
11-25
Figure 11-16: Relationship of Measured Bulk Density with Zinc, Lead, and Iron Grades, Extremo Norte Deposit
Nexa Resources S.A. | Vazante Polymetallic Operations, SLR Project No: 233.03245.R0000
Technical Report Summary - February 15, 2021
11-26
11.2.8 Trend Analysis
| 11.2.8.1 | Grade Contouring |
As an aid in conducting variography studies of the continuity of the zinc grades in the mineralized domain models, a short study to examine the overall trends was conducted. For this exercise, the distribution of zinc grades were examined using the mineralized wireframe models for the Vazante portion 2019 YE update of the Mineral Resources (Figure 11-17). The contoured data shows that the distribution of the zinc values is generally oriented in a horizontal to sub-horizontal direction along the strike length of the mineralization examined.
Nexa Resources S.A. | Vazante Polymetallic Operations, SLR Project No: 233.03245.R0000
Technical Report Summary - February 15, 2021
11-27
Figure 11-17: Contoured Zinc Grades, Vazante Deposit
Nexa Resources S.A. | Vazante Polymetallic Operations, SLR Project No: 233.03245.R0000
Technical Report Summary - February 15, 2021
11-28
| 11.2.8.2 | Variography |
Nexa began its analysis of the spatial continuity by constructing separate downhole and omni-directional variograms using the composite data for the zinc, lead, silver, and iron grades for each of the mineralized wireframes for the Vazante and Extremo Norte deposits, with the objective of determining an appropriate value for the global nugget (C0). The analysis then proceeded with the preparation of directional variograms to search for any anisotropies that may be present in the data, which resulted in successful variograms with good model fits (Figure 11-18 and Figure 11-19).
The GSLIB software package was used to calculate the variograms and charts of the results were prepared using Nexa’s in-house software. A summary of the variogram parameters derived for each of the mineralized wireframe models is presented in Table 11-6. The left hand rule was used as the rotation convention wherein the Y axis is the direction of maximum continuity (major axis), the X axis is the direction of the semi-major axis, and the Z axis is the direction of the minor axis.
Source: Nexa
Figure 11-18: Example Variograms for Zinc Grades Contained Within the Primary Mineralized Wireframe Domain, Vazante Deposit

Nexa Resources S.A. | Vazante Polymetallic Operations, SLR Project No: 233.03245.R0000
Technical Report Summary - February 15, 2021
11-29


Source: Nexa
Figure 11-19: Example Variograms for Zinc Grades Contained Within the Primary Mineralized Wireframe Domain, Extremo Norte Deposit
Table
11-6: Summary of Variogram Parameters, Willemite Mineralization
Nexa Resources S.A. – Vazante Polymetallic Operations
| Domain | Item | Zinc | Lead | Silver | Iron | ||||||||||||||
| Vazante Deposit | |||||||||||||||||||
| C0 Nugget | 0.30 | 0.35 | 0.38 | 0.38 | |||||||||||||||
| C1 1st structure | 0.30 | 0.35 | 0.38 | 0.38 | |||||||||||||||
| C2 2nd structure | 0.25 | 0.20 | 0.20 | 0.14 | |||||||||||||||
| Primary | C3 3rd structure | 0.15 | 0.10 | 0.04 | 0.13 | ||||||||||||||
| A1 1st Range Z (m) | 4 | 2 | 1 | 3 | |||||||||||||||
| A2 2nd Range Z (m) | 12 | 7 | 3 | 6 | |||||||||||||||
| A3 3rd Range Z (m) | 25 | 8 | 6 | 7 | |||||||||||||||
| A1 1st Range X (m) | 8 | 5 | 4 | 10 | |||||||||||||||
Nexa Resources S.A. | Vazante Polymetallic Operations, SLR Project No: 233.03245.R0000
Technical Report Summary - February 15, 2021
11-30

| Domain | Item | Zinc | Lead | Silver | Iron | ||||||
| A2 2nd Range X (m) | 35 | 15 | 8 | 35 | |||||||
| A3 3rd Range X (m) | 150 | 80 | 60 | 150 | |||||||
| A1 1st Range Y (m) | 8 | 10 | 3 | 12 | |||||||
| A2 2nd Range Y (m) | 35 | 30 | 10 | 150 | |||||||
| A3 3rd Range Y (m) | 200 | 150 | 90 | 250 | |||||||
| C0 Nugget | 0.22 | 0.15 | 0.26 | 0.20 | |||||||
| C1 1st structure | 0.36 | 0.45 | 0.40 | 0.40 | |||||||
| C2 2nd structure | 0.25 | 0.33 | 0.25 | 0.35 | |||||||
| C3 3rd structure | 0.17 | 0.07 | 0.09 | 0.05 | |||||||
| A1 1st Range Z (m) | 3 | 2 | 1 | 2 | |||||||
| A2 2nd Range Z (m) | 4 | 4.5 | 2.5 | 9 | |||||||
| Secondary | A3 3rd Range Z (m) | 5 | 5 | 7 | 10 | ||||||
| A1 1st Range X (m) | 10 | 5 | 7 | 5 | |||||||
| A2 2nd Range X (m) | 20 | 10 | 15 | 30 | |||||||
| A3 3rd Range X (m) | 100 | 80 | 25 | 45 | |||||||
| A1 1st Range Y (m) | 12 | 8 | 8 | 8 | |||||||
| A2 2nd Range Y (m) | 30 | 20 | 13 | 20 | |||||||
| A3 3rd Range Y (m) | 130 | 100 | 50 | 120 | |||||||
| C0 Nugget | 0.11 | 0.20 | 0.20 | 0.12 | |||||||
| C1 1st structure | 0.30 | 0.35 | 0.35 | 0.40 | |||||||
| C2 2nd structure | 0.30 | 0.30 | 0.30 | 0.30 | |||||||
| C3 3rd structure | 0.29 | 0.15 | 0.15 | 0.18 | |||||||
| A1 1st Range Z (m) | 3 | 1 | 1.5 | 2 | |||||||
| A2 2nd Range Z (m) | 9 | 4 | 4 | 4 | |||||||
| Tertiary | A3 3rd Range Z (m) | 12 | 9 | 7 | 8 | ||||||
| A1 1st Range X (m) | 5 | 4 | 4 | 5 | |||||||
| A2 2nd Range X (m) | 15 | 8 | 10 | 15 | |||||||
| A3 3rd Range X (m) | 80 | 70 | 35 | 80 | |||||||
| A1 1st Range Y (m) | 15 | 8 | 8 | 8 | |||||||
| A2 2nd Range Y (m) | 40 | 15 | 20 | 20 | |||||||
| A3 3rd Range Y (m) | 130 | 100 | 80 | 120 | |||||||
Nexa Resources S.A. | Vazante Polymetallic Operations, SLR Project No: 233.03245.R0000
Technical Report Summary - February 15, 2021
11- 31

| Domain | Item | Zinc | Lead | Silver | Iron | |||||
| Extremo Norte Deposit | ||||||||||
| C0 Nugget | 0.32 | 0.10 | 0.15 | 0.25 | ||||||
| C1 1st structure | 0.32 | 0.40 | 0.45 | 0.40 | ||||||
| C2 2nd structure | 0.18 | 0.30 | 0.30 | 0.20 | ||||||
| C3 3rd structure | 0.18 | 0.20 | 0.10 | 0.15 | ||||||
| A1 1st Range Z (m) | 4.5 | 3 | 2 | 4 | ||||||
| A2 2nd Range Z (m) | 6 | 4 | 3 | 5 | ||||||
| Primary | A3 3rd Range Z (m) | 7 | 5 | 6 | 6 | |||||
| A1 1st Range X (m) | 5 | 7 | 5 | 3 | ||||||
| A2 2nd Range X (m) | 30 | 15 | 10 | 6 | ||||||
| A3 3rd Range X (m) | 100 | 90 | 50 | 25 | ||||||
| A1 1st Range Y (m) | 5 | 8 | 7 | 7 | ||||||
| A2 2nd Range Y (m) | 30 | 40 | 35 | 25 | ||||||
| A3 3rd Range Y (m) | 200 | 100 | 100 | 80 | ||||||
| C0 Nugget | 0.15 | 0.10 | 0.10 | 0.30 | ||||||
| C1 1st structure | 0.36 | 0.45 | 0.40 | 0.40 | ||||||
| C2 2nd structure | 0.30 | 0.25 | 0.25 | 0.20 | ||||||
| C3 3rd structure | 0.19 | 0.20 | 0.25 | 0.10 | ||||||
| A1 1st Range Z (m) | 3 | 5 | 4 | 4 | ||||||
| A2 2nd Range Z (m) | 4 | 9 | 5 | 12 | ||||||
| Secondary | A3 3rd Range Z (m) | 8 | 10 | 6 | 15 | |||||
| A1 1st Range X (m) | 5 | 5 | 10 | 2 | ||||||
| A2 2nd Range X (m) | 30 | 10 | 35 | 6 | ||||||
| A3 3rd Range X (m) | 90 | 80 | 50 | 25 | ||||||
| A1 1st Range Y (m) | 10 | 5 | 10 | 15 | ||||||
| A2 2nd Range Y (m) | 25 | 50 | 15 | 25 | ||||||
| A3 3rd Range Y (m) | 90 | 60 | 80 | 40 | ||||||
| C0 Nugget | 0.17 | 0.17 | 0.17 | 0.32 | ||||||
| C1 1st structure | 0.30 | 0.35 | 0.33 | 0.35 | ||||||
| Tertiary | C2 2nd structure | 0.33 | 0.30 | 0.28 | 0.20 | |||||
| C3 3rd structure | 0.20 | 0.18 | 0.22 | 0.13 | ||||||

Nexa Resources S.A. | Vazante Polymetallic Operations, SLR Project No: 233.03245.R0000
Technical Report Summary - February 15, 2021
11- 32
| Domain | Item | Zinc | Lead | Silver | Iron | |||||
| A1 1st Range Z (m) | 2.5 | 3 | 4 | 4 | ||||||
| A2 2nd Range Z (m) | 3 | 4 | 6 | 8 | ||||||
| A3 3rd Range Z (m) | 6 | 8 | 8 | 12 | ||||||
| A1 1st Range X (m) | 5 | 5 | 3 | 5 | ||||||
| A2 2nd Range X (m) | 10 | 45 | 20 | 15 | ||||||
| A3 3rd Range X (m) | 50 | 70 | 100 | 80 | ||||||
| A1 1st Range Y (m) | 8 | 8 | 5 | 8 | ||||||
| A2 2nd Range Y (m) | 20 | 15 | 10 | 20 | ||||||
| A3 3rd Range Y (m) | 60 | 100 | 25 | 120 |
| 11.2.9 | Block Model Construction |
Two block models were constructed by Nexa using the Datamine software package and the mine grid coordinate system. The block models used a parent block size of 10 m (X) x 10 (Y) m x 5 m (Z) sized blocks and using sub-blocking with a minimum block size of 1 m (X) x 1 m (Y) x 0.5 m (Z). The block models are oriented parallel to the mine grid coordinate grid system (i.e., no rotation or tilt). The selection of the block sizes for this model remain unchanged from the block sizes that have been used for preparation of the previous Mineral Resource and Mineral Reserve estimates. The block model origin and dimensions are provided in Table 11-7. A number of attributes were created to store such information as rock code, material densities, estimated metal grades, final mineral resource classification, and the like (Table 11-8). The same list of attributes was used to populate both block models.
Table 11-7: Block Model Definition, Vazante and Extremo Norte Deposits
Nexa Resources S.A. – Vazante Polymetallic Operations
| Type | Units | Y (Northing) | X (Easting) | Z (Elevation) | |||||
| Vazante Deposit | |||||||||
| Minimum Coordinates | m | 11,447 | 767 | -127 | |||||
| Maximum Coordinates | m | 15,567 | 5,727 | 663 | |||||
| Parent Block Size | m | 10 | 10 | 5 | |||||
| Sub-block Size | m | 1 | 1 | 0.5 | |||||
| Rotation | ° | 0.000 | 0.000 | 0.000 | |||||
| Extremo Norte Deposit | |||||||||
| Minimum Coordinates | m | 15,331 | 5,327 | 59 | |||||
| Maximum Coordinates | m | 19,511 | 8,167 | 739 | |||||
| Parent Block Size | m | 10 | 10 | 5 | |||||
| Sub-block Size | m | 1 | 1 | 0.5 | |||||
| Rotation | ° | 0.000 | 0.000 | 0.000 | |||||
Nexa Resources S.A. | Vazante Polymetallic Operations, SLR Project No: 233.03245.R0000
Technical Report Summary - February 15, 2021
11- 33
Table 11-8: List of Block Model Attributes, Vazante and Extremo Norte Deposits
Nexa Resources S.A. – Vazante Polymetallic Operations
| Attribute Name | Type | Decimals | Background | Description | ||||||||||
| ag | Real | 0 | 0 | |||||||||||
| density | Real | 0 | -1e+30 | |||||||||||
| fe | Real | 0 | 0 | |||||||||||
| kvarag | Real | 0 | -1e+30 | |||||||||||
| kvarfe | Real | 0 | -1e+30 | |||||||||||
| kvarpb | Real | 0 | -1e+30 | |||||||||||
| kvarzn | Real | 0 | -1e+30 | |||||||||||
| lito | Real | 0 | -1e+30 | 1=mineralized wireframe, 2=waste | ||||||||||
| nsamag | Real | 0 | -1e+30 | |||||||||||
| nsamfe | Real | 0 | -1e+30 | |||||||||||
| nsampb | Real | 0 | -1e+30 | |||||||||||
| nsamzn | Real | 0 | -1e+30 | |||||||||||
| ore | Real | 0 | 0 | 1=primary, 2=secondary, 3=tertiary | ||||||||||
| pb | Real | 0 | 0 | |||||||||||
| recovery | Real | 0 | -1e+30 | |||||||||||
| rectype | Real | 0 | -1e+30 | |||||||||||
| resource | Real | 0 | -1e+30 | |||||||||||
| surface | Real | 0 | -1e+30 | |||||||||||
| svol | Real | 0 | -1e+30 | |||||||||||
| svolag | Real | 0 | -1e+30 | |||||||||||
| svolfe | Real | 0 | -1e+30 | |||||||||||
| svolpb | Real | 0 | -1e+30 | |||||||||||
| svolzn | Real | 0 | -1e+30 | |||||||||||
| tonnes | Real | 0 | -1e+30 | |||||||||||
| trdip | Real | 0 | -1e+30 | |||||||||||
| trdipdir | Real | 0 | -1e+30 | |||||||||||
| trstkdip | Real | 0 | -1e+30 | |||||||||||
| trstkdir | Real | 0 | -1e+30 | |||||||||||
| zn | Real | 0 | 0 | |||||||||||
Nexa Resources S.A. | Vazante Polymetallic Operations, SLR Project No: 233.03245.R0000
Technical Report Summary - February 15, 2021
11- 34
| 11.2.10 | Search Strategy and Grade Interpolation Parameters |
Metal grades were estimated into the blocks by means of the Ordinary Kriging (OK) interpolation algorithm. A total of three interpolation passes at different ranges were carried out for each of the mineralized wireframes using distances derived from the variogram results and the search ellipse parameters presented previously. All search ellipses adopted the dynamic search function of the Datamine software package in which the orientation of the search ellipse is varied so as to remain as parallel as possible to the local strikes and dips of the mineralization. An example of the search strategies and estimation parameters used to estimate the metal grades for the primary mineralization domain of the Vazante deposit is presented in Table 11-9.
In general, “hard” domain boundaries were used along the contacts of the mineralized domain models. Only data contained within the respective wireframe model was allowed to be used to estimate the grades of the blocks within the wireframe in question, and only those blocks within the wireframe limits were allowed to receive grade estimates.
Table 11-9: Search Parameters and Estimation Strategies, Primary Mineralized Wireframe, Vazante Deposit
Nexa Resources S.A. – Vazante Polymetallic Operations
| Item | Zinc | Lead | Silver | Iron | |||||
| Interpolation method | OK | OK | OK | OK | |||||
| Search volume method | Ellipsoid | Ellipsoid | Ellipsoid | Ellipsoid | |||||
| Length of axis 1 | 150 | 80 | 60 | 150 | |||||
| Length of axis 2 | 200 | 150 | 90 | 250 | |||||
| Length of axis 3 | 25 | 8 | 6 | 7 | |||||
| First rotation angle | 48 | 48 | 48 | 48 | |||||
| Second rotation angle | 0 | 0 | 0 | 0 | |||||
| Third rotation angle | 50 | 50 | 50 | 50 | |||||
| First rotation axis (1=X, 2=Y, 3=Z) | 3 | 3 | 3 | 3 | |||||
| Second rotation axis (1=X, 2=Y, 3=Z) | 1 | 1 | 1 | 1 | |||||
| Third rotation axis (1=X, 2=Y, 3=Z) | 2 | 2 | 2 | 2 | |||||
| Octant Definition Method | Use Octants | Use Octants | Use Octants | Use Octants | |||||
| Min. number of octants to be filled | 2 | 2 | 2 | 2 | |||||
| Min. number of samples in an octant | 1 | 1 | 1 | 1 | |||||
| Max. number of samples in an octant | 40 | 40 | 40 | 40 | |||||
| Min. number of samples for first dynamic search volume | 8 | 8 | 8 | 8 | |||||
| Max. number of samples for first dynamic search volume | 30 | 30 | 30 | 30 | |||||
| Axis multiplying factor for second dynamic search volume | 8 | 8 | 8 | 8 | |||||
| Min. number of samples for second dynamic search volume | 8 | 8 | 8 | 8 | |||||
| Max. number of samples for second dynamic search volume | 30 | 30 | 30 | 30 | |||||
| Axis multiplying factor for third dynamic search volume | 3 | 3 | 3 | 3 | |||||
| Min. number of samples for third dynamic search volume | 8 | 8 | 8 | 8 | |||||
| Max. number of samples for third dynamic search volume | 30 | 30 | 30 | 30 | |||||
| Maximum multiplying factor | 5 | 5 | 5 | 5 | |||||
Nexa Resources S.A. | Vazante Polymetallic Operations, SLR Project No: 233.03245.R0000
Technical Report Summary - February 15, 2021
11- 35

| Item | Zinc | Lead | Silver | Iron | ||||||||||||
| Min. number of samples for second dynamic search volume | 8 | 8 | 8 | 8 | ||||||||||||
| Max. number of samples for second dynamic search volume | 30 | 30 | 30 | 30 | ||||||||||||
| Axis multiplying factor for third dynamic search volume | 3 | 3 | 3 | 3 | ||||||||||||
| Min. number of samples for third dynamic search volume | 8 | 8 | 8 | 8 | ||||||||||||
| Max. number of samples for third dynamic search volume | 30 | 30 | 30 | 30 | ||||||||||||
| Maximum multiplying factor | 5 | 5 | 5 | 5 | ||||||||||||
| 11.2.11 | Block Model Validation |
Block model validation exercises included several validation techniques that included examination of the global mean grades, preparation of swath plots, Quantile-Quantile (Q-Q) plots, scatter plots, histogram comparison, and visual validation.
| 11.2.11.1 | Global Estimate |
Block model validation exercises consisted of visually comparing the volume of the coded blocks in the block model against the volume report of the respective wireframe models as a high level check that the block model has been correctly coded for each of the wireframes. No issues were noted.
A comparison of the average grades of the informing capped, declustered composite samples against the average estimated block grades was carried out (Table 11-10).
Table 11-10: Comparison of Composite Sample Grades with Estimated Block Model Grades, Willemite
Nexa Resources S.A. – Vazante Polymetallic Operations
| Primary | Secondary | Tertiary | ||||||||||||||||||||||||||||||||||
| Item | Zinc (% Zn) |
Lead (% Pb) |
Silver (g/t Ag) |
Zinc (% Zn) |
Lead (% Pb) |
Silver (g/t Ag) |
Zinc (% Zn) |
Lead (% Pb) |
Silver (g/t Ag) |
|||||||||||||||||||||||||||
| Vazante Deposit | ||||||||||||||||||||||||||||||||||||
| Composite Mean | 22.59 | 0.40 | 26.0 | 19.14 | 0.29 | 16.5 | 4.24 | 0.20 | 4.5 | |||||||||||||||||||||||||||
| Block Model Average | 19.65 | 0.53 | 36.8 | 18.81 | 0.48 | 31.3 | 3.84 | 0.26 | 5.7 | |||||||||||||||||||||||||||
| Difference (Bm-Comp) | -2.94 | +0.13 | +10.8 | -0.33 | +0.19 | +14.8 | -0.4 | +0.06 | +1.2 | |||||||||||||||||||||||||||
| % Difference (vs Comp) | -13 | % | +33% | +42% | -2 | % | +66% | +90% | -9 | % | +30% | +27% | ||||||||||||||||||||||||
| Extremo Norte Deposit | ||||||||||||||||||||||||||||||||||||
| Composite Mean | 18.63 | 0.30 | 15.3 | 15.07 | 0.27 | 11.0 | 3.33 | 0.30 | 1.7 | |||||||||||||||||||||||||||
| Block Model Average | 18.08 | 0.31 | 16.3 | 15.86 | 0.29 | 12.8 | 5.89 | 0.55 | 1.5 | |||||||||||||||||||||||||||
| Difference (Bm-Comp) | -0.55 | +0.01 | +1.0 | +0.79 | +0.02 | +1.8 | +2.56 | +0.25 | -0.2 | |||||||||||||||||||||||||||
| % Difference (vs Comp) | -3 | % | +3% | +7% | +5% | +7% | +16% | +77% | +83% | -12 | % | |||||||||||||||||||||||||

Nexa Resources S.A. | Vazante Polymetallic Operations, SLR Project No: 233.03245.R0000
Technical Report Summary - February 15, 2021
11-36

Review of the results shows that the estimated zinc grades are in reasonable agreement with the informing samples for the primary and secondary mineralized wireframes at the Vazante and Extremo Norte deposits. A high variance, however, is observed in the estimated zinc grades for the tertiary mineralized wireframe for the Extremo Norte deposit. While high variances are observed for the estimated lead and silver grades for the secondary and tertiary mineralized wireframes, it is important to note that these metals provide only a minor contribution to the overall value of the mineralization.
| 11.2.11.2 | Swath Plots |
Nexa conducted an evaluation of the spatial accuracy of the estimated grades by constructing a series of swath plots that compared the average composite grades to the average estimated block model grades in plan, section, and longitudinal orientations. Sample swath plots for selected wireframes are presented in Figure 11-20 and Figure 11-21. Review of the swath plots show a reasonable agreement between the estimated grades and their respective informing composite samples.
| 11.2.11.3 | Quantile-Quantile Plots |
The accuracy of the distribution of the zinc grades between the informing composite samples and the estimated block grades was examined by construction of Q-Q plots using the GSLIB software package (Figure 11-22 and Figure 11-23). Very good agreement is observed in the distribution between the estimated zinc grades and the corresponding informing samples for the primary and secondary mineralized wireframes at the Vazante and the Extremo Norte deposits. Similarly, very good agreement is observed in the distribution between the estimated zinc grades and the corresponding informing samples for the tertiary mineralized wireframe at the Vazante deposit. A slight bias in favour of the informing samples (i.e. block grades are under-estimated) is observed for the tertiary mineralized wireframe at the Extremo Norte deposit for zinc grades above approximately 8% Zn.
Nexa Resources S.A. | Vazante Polymetallic Operations, SLR Project No: 233.03245.R0000
Technical Report Summary - February 15, 2021
11-37

Figure 11-20: Swath Plots for Zinc, Primary Mineralized Wireframes, Vazante Deposit
Nexa Resources S.A. | Vazante Polymetallic Operations, SLR Project No: 233.03245.R0000
Technical Report Summary - February 15, 2021
11-38

Figure 11-21: Swath Plots for Zinc, Primary Mineralized Wireframes, Extremo Norte Deposit
Nexa Resources S.A. | Vazante Polymetallic Operations, SLR Project No: 233.03245.R0000
Technical Report Summary - February 15, 2021
11-39

Figure 11-22: Quantile-Quantile Plots of the Zinc Grades, Vazante Deposit
Nexa Resources S.A. | Vazante Polymetallic Operations, SLR Project No: 233.03245.R0000
Technical Report Summary - February 15, 2021
11-40

Figure 11-23: Quantile-Quantile Plots of the Zinc Grades, Extremo Norte Deposit
Nexa Resources S.A. | Vazante Polymetallic Operations, SLR Project No: 233.03245.R0000
Technical Report Summary - February 15, 2021
11-41
| 11.2.11.4 | Scatter Plots |
The accuracy of the distribution of the zinc grades between the informing composite samples and the estimated block grades was also examined by construction of simple scatter plots using the GSLIB software package (Figure 11-24 and Figure 11-25). The results show that a good agreement is present between the estimated zinc grades and their corresponding informing samples for the primary and secondary mineralized wireframes for the Vazante and Extremo Norte deposits. Higher variances are observed for the tertiary mineralized wireframes, however.
Nexa Resources S.A. | Vazante Polymetallic Operations, SLR Project No: 233.03245.R0000
Technical Report Summary - February 15, 2021
11-42

Figure 11-24: Scatter Plots of the Zinc Grades, Vazante Deposit
Nexa Resources S.A. | Vazante Polymetallic Operations, SLR Project No: 233.03245.R0000
Technical Report Summary - February 15, 2021
11-43
Figure 11-25: Scatter Plots of the Zinc Grades, Extremo Norte Deposit
Nexa Resources S.A. | Vazante Polymetallic Operations, SLR Project No: 233.03245.R0000
Technical Report Summary - February 15, 2021
11-44
| 11.2.11.5 | Histogram Comparison |
The accuracy of the distribution of the zinc grades between the informing composite samples and the estimated block grades was also examined by construction of normal scores histograms and the results charted using the Microsoft (MS) Excel software package (Figure 11-26 and Figure 11-27). Good agreements are observed in the grade distributions of the estimated zinc grades and their corresponding informing samples.
In SLR’s opinion, the validation performed by Nexa and SLR are typical industry standard validation techniques and in general, the results presented suggest that the block model has been completed to a high standard, in line with industry best practices.
Nexa Resources S.A. | Vazante Polymetallic Operations, SLR Project No: 233.03245.R0000
Technical Report Summary - February 15, 2021
11-45

Figure 11-26: Normal Scores Histogram Plots of the Zinc Grades, Vazante Deposit
Nexa Resources S.A. | Vazante Polymetallic Operations, SLR Project No: 233.03245.R0000
Technical Report Summary - February 15, 2021
11-46
Figure 11-27: Normal Scores Histogram Plots of the Zinc Grades, Extremo Norte Deposit
Nexa Resources S.A. | Vazante Polymetallic Operations, SLR Project No: 233.03245.R0000
Technical Report Summary - February 15, 2021
11-47

| 11.2.12 | Mineral Resource Classification |
Definitions for Mineral Resource categories used in this Technical Report Summary are those defined by SEC in S-K 1300. Mineral Resources are classified into Measured, Indicated, and Inferred categories
Mineralized material for each wireframe was initially classified into the Measured, Indicated, or Inferred Mineral Resource categories on the basis of the density of drill hole and chip sample information, and presence of underground access as follows:
| Mineral Resource Category | Sample Spacing |
| Measured | 25 m x 15 m |
| Indicated | 50 m x 30 m |
| Inferred | 100 m x 60 m |
| Potential | >100 m x 100 m, or lenses based on a single drill hole |
In addition to the Measured, Indicated, and Inferred categories, Nexa adopts an additional category for classification of mineralized material. This fourth classification category is termed “Potential” and is used strictly for exploration and planning purposes. No quantities of mineralized material classified into the Potential category form part of either the Mineral Resource or Mineral Reserve statements.
Following the classification of the mineralized material into the initial Mineral Resource categories, clipping polygons were used in a final stage of the process to edit the initial classification assignments so as to ensure continuity and consistency of the final classified blocks in the model (Figure 11-28 and Figure 11-29).

Nexa Resources S.A. | Vazante Polymetallic Operations, SLR Project No: 233.03245.R0000
Technical Report Summary - February 15, 2021
11-48
Figure 11-28: View of the Final Mineral Resource Classification, Primary Mineralized Wireframe, Vazante Deposit

Nexa Resources S.A. | Vazante Polymetallic Operations, SLR Project No: 233.03245.R0000
Technical Report Summary - February 15, 2021
11-49
Figure 11-29: View of the Final Mineral Resource Classification, Primary Mineralized Wireframe, Extremo Norte Deposit

Nexa Resources S.A. | Vazante Polymetallic Operations, SLR Project No: 233.03245.R0000
Technical Report Summary - February 15, 2021
11-50

| 11.2.13 | Net Smelter Return and Cut-Off Grade Parameters |
An NSR cut-off value was determined using the Mineral Resource metal prices, metal recoveries, transport, treatment, and refining costs, as well as mine operating cost. Metal prices used for Mineral Resources are based on consensus, long term forecasts from banks, financial institutions, and other sources. All domestic costs were converted to an equivalent US dollar basis using an average long term exchange rate of R$4.84/US$.
The cut-off value used for the Mineral Resource estimate is based on an NSR value, in units of US$/t, which can be directly compared to operating unit costs. The NSR formula is:

Cut-off costs and NSR parameters are summarized in Table 11-11. The break even NSR cut-off value for SLS and Room and Pillar (R&P) mining methods are $47.49/t processed and $74.96/t processed, respectively.
Table 11-11: Resource NSR Data- Willemite Mineralization
Nexa Resources S.A. – Vazante Polymetallic Operations
| Item | Units | SLS | R&P | |||||||
| Metallurgical Recovery | ||||||||||
| Zn | % | 83.56 | 83.56 | |||||||
| Pb | % | 22.05 | 22.05 | |||||||
| Ag | % | 42.00 | 42.00 | |||||||
| Metal Payability | ||||||||||
| Zn Concentrate Payable | ||||||||||
| Zn | % | 94.4 | 94.4 | |||||||
| Pb Concentrate Payable | 95.0 | 95.0 | ||||||||
| Pb | Min Payable/Deduction | 95%/3% | 95%/3% | |||||||
| Ag | Min Payable/Deduction | 95%/50.0 g/t | 95%/50.0 g/t | |||||||
| Metal Prices | ||||||||||
| Zn | US$/lb | 1.30 | 1.30 | |||||||
| Pb | US$/lb | 1.02 | 1.02 | |||||||
| Ag | US$/oz | 19.38 | 19.38 | |||||||
| Transport Charges | ||||||||||
| Zn Concentrate | US$/t conc. | 16.60 | 16.60 | |||||||
| Pb Concentrate | US$/t conc. | 278.72 | 278.72 | |||||||
| Treatment Charges | ||||||||||
| Pb Concentrate | US$/t conc. | 142.57 | 142.57 | |||||||
| Refining Charges | ||||||||||
| Ag in Pb Concentrate | US$/oz | 1.00 | 1.00 | |||||||
| Integrated Zn (processed at Três Marias) | ||||||||||
| Premium | US$/t | 286.31 | 286.31 | |||||||
| Conversion Cost | US$/t | 473.95 | 473.95 | |||||||
| Operating Costs | ||||||||||
| Mining | US$/t proc. | 27.47 | 54.94 | |||||||
| Processing | US$/t proc. | 14.57 | 14.57 | |||||||
| G&A | US$/t proc. | 5.45 | 5.45 | |||||||
| Total | US$/t proc. | 47.49 | 74.96 | |||||||

Nexa Resources S.A. | Vazante Polymetallic Operations, SLR Project No: 233.03245.R0000
Technical Report Summary - February 15, 2021
11-51
NSR calculations use a model head grade-recovery relationship for each metal, based on recent operating performance. The head grade and recovery curves are presented in Figure 11-30 and Figure 11-31. NSR factors are therefore variable by head grade, with average NSR factors summarized in Table 11-12. The average NSR factors are calculated using the LOM revenue contribution from each metal net of off-site costs and factors, divided by the reserve grade for that metal, and are indicative of the relative contribution of each metal unit to the economics of the mine. For most metals, a variable recovery (as a function of head grade) was used, and therefore the average NSR factors should not be applied to head grades without considering the head grade versus recovery relationship.
Figure 11-30: Zinc Grade-Recovery Curve for the Willemite Mineralization
Nexa Resources S.A. | Vazante Polymetallic Operations, SLR Project No: 233.03245.R0000
Technical Report Summary - February 15, 2021
11-52
Figure 11-31: Lead Grade-Recovery Curve for the Willemite Mineralization
Table 11-12: Average NSR Factors For the Willemite Mineralization
Nexa Resources S.A. – Vazante Polymetallic Operations
| Item | Units | Value | ||||||
| Zn | US$/% Zn | 19.61 | ||||||
| Pb | US$/% Pb | 1.04 | ||||||
| Ag | US$/oz Ag | 6.88 | ||||||
Metal prices are based on Nexa’s projections. Nexa’s long term price model uses multiple variables including supply (mine and refined), demand, cost drivers, capital cost, and other key elements. The long term prices derived are in line with the consensus forecasts from banks and independent institutions.
| 11.2.14 | Mineral Resource Reporting |
Definitions for Mineral Resource categories used in this Technical Report Summary are those defined by SEC in S-K 1300. Mineral Resources are classified into Measured, Indicated, and Inferred categories.
The Mineral Resources are exclusive of Mineral Reserves. The Mineral Resources are located as remnants in proximity of the existing underground excavations or as additional mineralized areas located beyond or below the current underground development. Three-dimensional reporting volumes were prepared to aid in the reporting of the Mineral Resources to ensure that the “Reasonable Prospects” requirement of S-K 1300 was met. These reporting volumes were prepared using the native functions and workflows available through the Deswik mine modelling software package.
Nexa Resources S.A. | Vazante Polymetallic Operations, SLR Project No: 233.03245.R0000
Technical Report Summary - February 15, 2021
11-53
The reporting volumes were created using similar parameters to those used to prepare the reporting volumes used for the reporting of Mineral Reserves. A minimum width of three metres was applied when creating the reporting panels for the Mineral Resources. Additional criteria included consideration of the envisioned mining method (SLS or room and pillar), exclusions for sill pillars in areas of either existing level development or planned future level development, crown pillars for those portions of the mineralization that are located close to the topographic surface, and geotechnical reservations.
As the Mineral Resources are stated exclusive of Mineral Reserves, only those reporting panels that were not used to prepare the Mineral Reserve statements were considered for preparation of the Mineral Resource statement. The reporting panels used to prepare the Vazante Operation hypogene Mineral Resource statements are presented in Figure 11-32 and Figure 11-33. The Vazante Operation hypogene Mineral Resources are summarized in Table 11-13. A summary of the previous Mineral Resources as of December 31, 2019 is presented in Table 11-14 for comparison purposes (Nexa, 2020d).
In SLR’s opinion, the assumptions, parameters, and methodology used for the Vazante Operation hypogene Mineral Resource estimates are appropriate for the style of mineralization and anticipated mining methods.
The SLR QP is of the opinion that, with consideration of the recommendations summarized in Sections 1 and 23, any issues relating to all relevant technical and economic factors likely to influence the prospect of economic extraction can be resolved with further work.
Nexa Resources S.A. | Vazante Polymetallic Operations, SLR Project No: 233.03245.R0000
Technical Report Summary - February 15, 2021
11-54

Figure 11-32: View of the Mineral Resource Reporting Panels, Vazante Deposit
Nexa Resources S.A. | Vazante Polymetallic Operations, SLR Project No: 233.03245.R0000
Technical Report Summary - February 15, 2021
11-55

Figure 11-33: View of the Mineral Resource Reporting Panels, Extremo Norte Deposit
Nexa Resources S.A. | Vazante Polymetallic Operations, SLR Project No: 233.03245.R0000
Technical Report Summary - February 15, 2021
11-56
Table
11-13: Mineral Resources for the Vazante and
Extremo Norte Mineralization as of
December 31, 2020
Nexa Resources S.A. – Vazante Polymetallic Operations
| Tonnes | Grade | Contained Metal | ||||||||||||||||||||||||||
| Category | (000t) | (% Zn) | (% Pb) | (g/t Ag) | (000 t Zn) | (000 t Pb) | (000 oz Ag) | |||||||||||||||||||||
| Measured | 3,400 | 6.91 | 0.18 | 8.4 | 235 | 6.19 | 918 | |||||||||||||||||||||
| Indicated | 2,000 | 5.84 | 0.13 | 7.6 | 117 | 2.56 | 489 | |||||||||||||||||||||
| Subtotal, M&I | 5,400 | 6.51 | 0.16 | 8.1 | 352 | 8.75 | 1,408 | |||||||||||||||||||||
| Inferred | 9,040 | 7.79 | 0.17 | 11.0 | 704 | 14.90 | 3,190 | |||||||||||||||||||||
Notes:
| 1. | The definitions for Mineral Resources in S-K 1300 were followed for Mineral Resources which are consistent with CIM (2014) definitions. |
| 2. | Mineral Resources are reported on a 100% ownership basis. |
| 3. | Mineral Resources are estimated at a NSR cut-off value of US$47.49/t for SLS and US$74.96/t for R&P. |
| 4. | Mineral Resources are estimated using average long term metal prices of Zn: US$2,869.14/t (US$1.30/lb), Pb: US$2,249.40/t (US$1.02/lb), and Ag: US$19.38/oz, and metallurgical recoveries are based on recovery curves derived from historical processing data. An average long term R$/US$ exchange rate of 4.84 was used. |
| 5. | A minimum mining width of 3.0 m was used to create Mineral Resource reporting shapes. |
| 6. | Bulk density varies depending on the abundance of willemite and galena. |
| 7. | Mineral Resources are exclusive of Mineral Reserves. |
| 8. | Mineral Resources that are not Mineral Reserves do not have demonstrated economic viability. |
| 9. | Mineral Resources are reported for all material contained within reporting panels that have been created so as to achieve the required spatial continuity, cut-off grade, and minimum width criteria. |
| 10. | Numbers may not add due to rounding. |
Table 11-14: Summary of Previous Mineral Resources as of December 31, 2019
Nexa Resources S.A. – Vazante Polymetallic Operations
| Tonnes | Grade | Contained Metal | ||||||||||||||||||||||||||
| Category | (Mt) | (% Zn) | (% Pb) | (g/t Ag) | (000 t Zn) | (000 t Pb) | (000 oz Ag) | |||||||||||||||||||||
| Measured | 2.37 | 10.38 | 0.31 | 12.9 | 246.0 | 7.3 | 981 | |||||||||||||||||||||
| Indicated | 1.57 | 8.81 | 0.26 | 11.0 | 138.3 | 4.1 | 554 | |||||||||||||||||||||
| Subtotal, M&I | 3.94 | 9.75 | 0.29 | 12.1 | 384.3 | 11.4 | 1,535 | |||||||||||||||||||||
| Inferred | 9.46 | 8.55 | 0.22 | 12.2 | 808.8 | 20.8 | 3,720 | |||||||||||||||||||||
Notes:
| 1. | The qualified person for the mineral resources estimate is José Antonio Lopes, B.Geo, MAusIMM (CP) Geo, a Nexa Resources employee. |
| 2. | Mineral resources are reported within underground mining shapes with minimum mining widths of 3 m. |
| 3. | Density was assigned based on rock type. |
| 4. | The NSR cut-offs are calculated based on the LOM costs independent of the mining method: SLS, VRM and C&F: US$63.28. |
| 5. | Forecast long term metal prices used for the NSR calculation are: Zn: US$2,899.15/t (US$1.31/lb); Pb: US$2,304/t (US$1.04/lb) and Ag: US$19.31/oz. |
Nexa Resources S.A. | Vazante Polymetallic Operations, SLR Project No: 233.03245.R0000
Technical Report Summary - February 15, 2021
11-57
| 11.2.15 | Risks and Uncertainties to Mineral Resources |
Based on SLR’s review of the Vazante and Extremo Norte Mineral Resource estimate, the following key risks have been identified:
| · | Due to the natural variability inherent to the willemite mineralization, the presence, location, size, shape, and grade of the actual mineralization between the existing sample points may differ from the current interpretation. The level of uncertainty in these items is lowest for the Measured Mineral Resource category and is highest for the Inferred Mineral Resource category. Nexa mitigates this uncertainty by implementation of its grade control programs. |
| · | Due to the reliance of the estimation of the density on the estimate of metal grades for those portions of the mineralization not currently sampled, the tonnage for those portions can vary if the actual metal grades differ from the estimated metal grades. The density estimates can be improved with increased density of drill hole and channel sample data. |
| · | Due to variations in the global supply chain, the actual metal prices realized at the time of production may differ from the long term metal prices that were used in the preparation of the Mineral Resource statements. Lower zinc metal prices realized at the time of production may result in a decrease in Mineral Resources. In SLR’s opinion the Mineral Resources are not sensitive to variations in the prices of silver or lead from those used in the current Mineral Resource statement. |
| · | The cut-off grade (or value) used in preparation of the current Mineral Resource statement can be affected by variations in the Brazilian Real and United States dollar exchange rate. A strengthening of the Brazilian Real versus the United States dollar may result in an increase in the cut-off grade (or value), with a corresponding decrease in the Mineral Resources. |
| 11.3 | Supergene Mineralization (Calamine) |
| 11.3.1 | Resource Database |
Information collected from surface-based drilling, underground-based drilling, and channel samples collected from the grade control program are all entered into a FusionTM master database that is used for database management at the Vazante Operation. The Fusion™ database was implemented in 2017. All data stored in the Vazante Operation database are verified using various software verification routines before final entry into the database. Nexa’s internal corporate standard operating procedure PO-VM-GRM-001, requires additional checking of the following items:
| · | Sample length problems |
| · | Maximum and minimum grade values |
| · | Negative values |
| · | Detection limits and null values |
| · | Drill hole surveys |
| · | Sample size |
| · | Gaps |
Nexa Resources S.A. | Vazante Polymetallic Operations, SLR Project No: 233.03245.R0000
Technical Report Summary - February 15, 2021
11-58

| · | Overlaps |
| · | Drill hole collars versus topography coordinate datum |
| · | Verification of mining permissions |
| · | Laboratory analysis certificates. |
Each of these items are checked and if discrepancies are discovered, verified, and corrected, as necessary.
Drill hole information for the supergene mineralization was extracted from the Fusion™ database into separate files for use in preparation of the Mineral Resource estimates. This drill hole information was modified slightly so as to be compatible with the format requirements of the Datamine and Leapfrog modelling packages and were imported into those software package by Nexa. A number of new tables and variables were created during the estimation process to capture such information as the interpreted mineralized intersection length along the drill holes, density readings, capped assay values, and composite values. No grade control samples or blast hole samples taken during the previous operation of the open pit mine are included in this drill hole sub-set.
The cut-off date for the assays in the supergene drill hole database is April 30, 2020. Drilling and sampling were carried out using the UTM Datum Cόrrego Alegre, Zone 23S grid coordinate system. The northing and easting collar coordinates of the drill holes and channel samples used to prepare the Mineral Resource estimate for the supergene mineralization remained in the UTM coordinate system. This is in contrast to the drill hole and channel sample information used to estimate the hypogene mineralization that has been converted to the mine grid coordinate system.
SLR recommends that the drill hole data relating to the supergene mineralization be converted into the mine grid coordinate system to more easily integrate the information for the underground mine.
A summary of the drilling information is provided in Table 11-15. Three areas of supergene mineralization were modelled: Cava 3A, Mata dos Paulistas, and Braquiara. All three areas are located generally along the northeastern most portion of the mineralized trend. The Cava 3A area comprises the area including and adjacent to the Extremo Norte open pit mine (Figure 11-34).
Table 11-15: Summary of Drill Hole Database, Calamine Mineralization
Nexa Resources S.A. – Vazante Polymetallic Operations
| Data Type | Number of Records | |
| Collar | 414 | |
| Down hole survey | 9,932 | |
| Lithology | 5,484 | |
| Assays | 23,239 | |
| Weathering | 9,251 | |
| Composites (within mineralized wireframe boundaries) | 3,131 | |
| Density | 4,908 |

Nexa Resources S.A.| Vazante Polymetallic Operations, SLR Project No: 233.03245 R0000
Technical Report Summary - February15, 2021
11-59

| 11.3.2 | Geology and Mineralization Interpretations |
| 11.3.2.1 | Geological Interpretations |
Preparation of the geological interpretation began with construction of digital models by Nexa of the main un-weathered host rock units present at the Vazante Operation using the Leapfrog software package. This geological interpretation was carried out in the UTM coordinate system and adopted all available geological information such as surface mapping, surface-based and underground-based drilling information, and detailed mapping information collected as part of the grade control programs in the open pit and underground mines (Figure 11-35).
Interpretation activities then proceeded with consideration of the weathering profile that is present. Three weathering surfaces were created using the Leapfrog software package to represent the top of the unweathered rock, a transitional zone representing partially weathered rock, and a soil interval representing fully weathered material (Figure 11-36).

Nexa Resources S.A.| Vazante Polymetallic Operations, SLR Project No: 233.03245 R0000
Technical Report Summary - February15, 2021
11-60

Figure 11-34: Drill Hole Locations, Calamine Mineralization

Nexa Resources S.A.| Vazante Polymetallic Operations, SLR Project No: 233.03245 R0000
Technical Report Summary - February15, 2021
11-61

Figure 11-35: Inclined View of the Lithology Model (Overburden Removed), Calamine Mineralization

Nexa Resources S.A.| Vazante Polymetallic Operations, SLR Project No: 233.03245 R0000
Technical Report Summary - February15, 2021
11-62

Figure 11-36: Sample Cross Section of the Lithology and Weathering Models, Calamine Mineralization

Nexa Resources S.A.| Vazante Polymetallic Operations, SLR Project No: 233.03245 R0000
Technical Report Summary - February15, 2021
11-63

| 11.3.2.2 | Mineralization Wireframes |
The mineralized wireframe interpretations were prepared by creating a series of grade shells at a nominal cut-off grade of 3% Zn using the Leapfrog software package. In general, these interpretations considered only those zinc grades above the nominated cut-off grade that were located in either the transition or soil portions of the weathering profile. The supergene zinc mineralization at the Vazante Mine has been traced intermittently by drilling along a strike length of approximately 4.3 km (Figure 11-37). A sample cross section of the mineralization wireframes is provided in Section 7.2 of this Technical Report Summary.
While lead and silver also form part of the hypogene mineralization found at the Vazante Mine, their contributions to the overall value of the mineralization are relatively minor in comparison with the revenue that is achieved from the zinc content (Figure 11-38). Consequently, the cut-off grade used to prepare the mineralized wireframe interpretations is based on a simple zinc only basis.
| 11.3.3 | Topography and Excavation Models |
The topographic surface used in preparation of the supergene Mineral Resources is constructed by the Nexa mine staff using various detailed surveying methods such as drone based LIDAR topography measurements or total station survey equipment. This topographic surface has an effective date of April 24, 2019 and provides information relating to the open pit excavations that have taken place for the Extremo Norte portion of the mineralized trend.
A portion of the open pit mine at the Extremo Norte deposit has been used to store backfill material derived from various sources at the Vazante Operation, consequently the current topographic surface does not represent the full extent of the open pit mine. A digital model of this backfill material was prepared by Nexa using the maximum extents of the open pit mine as the lower contact, and the current topographic surface as the upper contact (Figure 11-39).

Nexa Resources S.A.| Vazante Polymetallic Operations, SLR Project No: 233.03245 R0000
Technical Report Summary - February15, 2021
11-64

Figure 11-37: View of the Mineralized Wireframe Outlines, Calamine Mineralization

Nexa Resources S.A.| Vazante Polymetallic Operations, SLR Project No: 233.03245 R0000
Technical Report Summary - February15, 2021
11-65


Figure 11-38: Relative Value by Metal, Calamine Mineralization

Nexa Resources S.A.| Vazante Polymetallic Operations, SLR Project No: 233.03245 R0000
Technical Report Summary - February15, 2021
11-66

Figure 11-39: Plan View of the Topographic Surface, Supergene Mineralization

Nexa Resources S.A.| Vazante Polymetallic Operations, SLR Project No: 233.03245 R0000
Technical Report Summary - February15, 2021
11-67
| 11.3.4 | Resource Assays |
The various mineralization wireframe models were used to code the drill hole database and identify the raw assay samples, or resource assays, that are contained within the mineralized wireframes. These samples were extracted from the database and then subjected to statistical analyses by means of histograms and probability plots. A total of 3,284 zinc samples were contained within the mineralized wireframes for the supergene mineralization. The resource assay sample statistics and the selected capping values for the uncapped assay values are summarized in Table 11-16. Selected histograms and probability plots are provided in Figure 11-40.
Table 11-16: Summary of Uncapped, Clustered Raw Sample Statistics, Calamine Mineralization
Nexa Resources S.A. – Vazante Polymetallic Operations
| Item | Zinc (% Zn) | Lead (% Pb) | Silver (g/t Ag) | |||||||||
| Mean | 10.95 | 0.18 | 1.31 | |||||||||
| Median | 7.39 | 0.10 | 0.68 | |||||||||
| Standard Deviation | 10.17 | 0.26 | 4.57 | |||||||||
| Coefficient of Variation | 0.93 | 1.48 | 3.50 | |||||||||
| Minimum | 0.00 | 0.00 | 0.02 | |||||||||
| Maximum | 51.06 | 3.87 | 117.0 | |||||||||
| Number of Samples | 3,284 | 3,284 | 3,284 | |||||||||
| Capping Value | 45.00 | 1.00 | 40.0 | |||||||||
| 11.3.5 | Treatment of High Grade Assays |
In order to reduce the influence of high grade sample values, a simple capping approach was applied. In this method, the grades of the resource assays contained within the respective mineralized wireframes that are deemed to represent anomalously high grades are reduced to a maximum value – the capping grade. A summary of the descriptive statistics for the capped, cell declustered sample populations for each of the mineralized wireframes is presented in Table 11-17.
Nexa Resources S.A. | Vazante Polymetallic Operations, SLR Project No: 233.03245.R0000
Technical Report Summary - February 15, 2021
11-68
Source: Nexa
Figure 11-40: Raw Assay Histogram and Probability Plots for Zinc Within the Calamine Mineralized Wireframes
Table
11-17: Summary of Capped, Declustered Sample Statistics, Calamine Mineralization
Nexa Resources S.A. – Vazante Polymetallic Operations
| Item | Zinc (% Zn) | Lead (% Pb) | Silver (g/t Ag) | |||||||||
| Mean | 10.17 | 0.14 | 1.2 | |||||||||
| Median | 6.39 | 0.08 | 0.7 | |||||||||
| Standard Deviation | 9.55 | 0.17 | 3.1 | |||||||||
| Coefficient of Variation | 0.94 | 1.23 | 2.5 | |||||||||
| Minimum | 0.00 | 0.00 | 0.02 | |||||||||
| Maximum | 45.00 | 1.00 | 40.0 | |||||||||
Nexa Resources S.A. | Vazante Polymetallic Operations, SLR Project No: 233.03245.R0000
Technical Report Summary - February 15, 2021
11-69
| 11.3.6 | Compositing |
The distribution of the capped assay samples contained within the supergene mineralized wireframes were examined by means of a simple histogram as an aid in the selection of an appropriate composite length (Figure 11-41). The results of this histogram show that a composite length of one metre is appropriate for this data set. All samples were composted into equal sample lengths of one metre using the best-fit compositing method in the Datamine software package. The descriptive statistics for the capped composite samples are provided in Table 11-18.
Source: Nexa
Figure 11-41: Histogram of Sample Lengths Within the Calamine Mineralized Wireframes
Table 11-18: Summary of Capped, Composite Sample Statistics, Calamine Mineralization
Nexa Resources S.A. – Vazante Polymetallic Operations
| Item | Zinc (% Zn) | Lead (% Pb) | Silver (g/t Ag) | |||||||||
| Mean | 10.93 | 0.17 | 1.2 | |||||||||
| Median | 7.57 | 0.10 | 0.7 | |||||||||
| Standard Deviation | 9.80 | 0.20 | 2.7 | |||||||||
| Coefficient of Variation | 0.90 | 1.17 | 2.2 | |||||||||
| Minimum | 0.00 | 0.00 | 0.0 | |||||||||
| Maximum | 45.00 | 1.00 | 40.0 | |||||||||
Nexa Resources S.A. | Vazante Polymetallic Operations, SLR Project No: 233.03245.R0000
Technical Report Summary - February 15, 2021
11-70
| 11.3.7 | Bulk Density |
As described previously, the supergene mineralized zones found at the Vazante Operation comprise a variety of host rock and material types ranging from fully weathered material through to fresh, un-weathered host rock units (Figure 11-42). The bulk densities of these various material types were determined by Nexa staff during the drilling programs. The procedure used to measure the densities of these materials included enveloping the sample in a plastic polyethylene film so as to provide a seal for porous and unconsolidated samples. The Jolly method was then used to determine the bulk density. In this method the samples are placed into a mesh bag and their dry weights are determined in air. The entire mesh bag is then submerged into a water bath and the weights of the samples are measured a second time. Nexa accounted for the weight and density of the plastic polyethylene film using the following formula:
D = PS / {PS- [PAR- (PRS/DR)]},
Where:
PS = dry weight of the sample,
PAR = enveloped sample weight in water,
PRS = dry envelope weight, and
DR = envelope density.
The bulk densities for a total of 2,054 samples were determined using representative samples taken during completion of the supergene drilling programs. The bulk density measurements for each material type were then extracted and evaluated to determine their average bulk densities.
Considering the limited number of bulk density measurements that have been completed and the high degree of variability inherent in these material types, insufficient bulk density measurements are available to estimate the bulk densities into the block model by means of a formula. Consequently, the average bulk densities for each of the mineralized wireframes were applied to the various material types coded in the block model.
A summary of the average supergene mineralization bulk densities used for the current Mineral Resource estimate is presented in Table 11-19.

Nexa Resources S.A. | Vazante Polymetallic Operations, SLR Project No: 233.03245.R0000
Technical Report Summary - February 15, 2021
11-71

Figure 11-42: Examples of Mineralization Styles and Material Types, Supergene Mineralization

Nexa Resources S.A. | Vazante Polymetallic Operations, SLR Project No: 233.03245.R0000
Technical Report Summary - February 15, 2021
11-72
Table 11-19: Summary of Bulk Density Measurements, Supergene Mineralization
Nexa Resources S.A. – Vazante Polymetallic Operations
| Material | Average
Bulk Density (t/m3) | Number
of Measurements | ||||||
| Overburden – (Non-mineralized) | 1.50 | 58 | ||||||
| Weathered Calamine Mineralization (ARG) | 1.50 | 113 | ||||||
| Massive Calamine Mineralization (MAC) | 2.50 | 62 | ||||||
| Calamine Mineralization in Marl (MGA) | 2.25 | 73 | ||||||
| Willemite Mineralization (WIL) | 3.40 | 16 | ||||||
| Dolomite (Fresh, non-mineralized) | 2.80 | 1,318 | ||||||
| Marl (Fresh, non-mineralized) | 2.69 | 337 | ||||||
| Hydrothermal Breccia (Fresh rock) | 2.87 | 38 | ||||||
| 11.3.8 | Trend Analysis |
| 11.3.8.1 | Variography |
Nexa began its analysis of the spatial continuity by constructing separate downhole and omni-directional variograms using the composite data for the zinc, lead, and silver grades for the supergene mineralized wireframes, with the objective of determining an appropriate value for the global nugget (C0) (Figure 11-43). The analysis then proceeded with the preparation of directional variograms to search for any anisotropies that may be present in the data, which resulted in variograms with poor model fits. In SLR’s opinion, the inability to create successful variogram models is anticipated result considering the relatively small size of each of the mineralized wireframe models and their limited spatial continuity.
The GSLIB software package was used to calculate the variograms and charts of the results were prepared using Nexa’s in-house software. The left hand rule was used as the rotation convention wherein the Y axis is the direction of maximum continuity (major axis), the X axis is the direction of the semi-major axis and the Z axis is the direction of the minor axis. A summary of the variogram parameters is presented in Table 11-20.
Nexa Resources S.A. | Vazante Polymetallic Operations, SLR Project No: 233.03245.R0000
Technical Report Summary - February 15, 2021
11-73

Source: Nexa
Figure 11-43: Omni Directional Variogram, Zinc, Supergene Mineralization
Table
11-20: Summary of Variogram Parameters, Supergene Mineralization
Nexa Resources S.A. – Vazante Polymetallic Operations
| Item | Zinc | Lead | Silver | |||||||||
| C0 Nugget | 0.10 | 0.10 | 0.10 | |||||||||
| C1 1st structure | 0.45 | 0.45 | 0.45 | |||||||||
| C2 2nd structure | 0.30 | 0.30 | 0.30 | |||||||||
| C3 3rd structure | 0.15 | 0.15 | 0.15 | |||||||||
| A1 1st Range Z (m) | 5 | 5 | 5 | |||||||||
| A2 2nd Range Z (m) | 12 | 12 | 12 | |||||||||
| A3 3rd Range Z (m) | 30 | 30 | 30 | |||||||||
| A1 1st Range X (m) | 5 | 5 | 5 | |||||||||
| A2 2nd Range X (m) | 12 | 12 | 12 | |||||||||
| A3 3rd Range X (m) | 30 | 30 | 30 | |||||||||
| A1 1st Range Y (m) | 5 | 5 | 5 | |||||||||
| A2 2nd Range Y (m) | 12 | 12 | 12 | |||||||||
| A3 3rd Range Y (m) | 30 | 30 | 30 | |||||||||
| 11.3.9 | Block Model Construction |
An initial block model was constructed by Nexa using the Datamine software package and the UTM coordinate system. The block model used a parent block size of 10 m (X) x 10 (Y) m x 5 m (Z) sized blocks and using sub-blocking with a minimum block size of 0.5 m (X) x 0.5 m (Y) x 0.5 m (Z). The block models are oriented parallel to the UTM grid coordinate grid system (i.e., no rotation or tilt). The block model origin and dimensions are provided in Table 11-21. A number of attributes were created to store such information as rock code, material densities, estimated metal grades, final mineral resource classification, and the like (Table 11-22).
Nexa Resources S.A. | Vazante Polymetallic Operations, SLR Project No: 233.03245.R0000
Technical Report Summary - February 15, 2021
11-74

Table 11-21: Initial Block Model Definition, Supergene Mineralization
Nexa Resources S.A. – Vazante Polymetallic Operations
| Type | Units | Y (Northing) | X (Easting) | Z (Elevation) | ||||||||||||
| Minimum Coordinates | m | 8,014,100 | 304,911 | 533 | ||||||||||||
| Maximum Coordinates | m | 8,017,710 | 308,051 | 758 | ||||||||||||
| Parent Block Size | m | 10 | 10 | 5 | ||||||||||||
| Sub-block Size | m | 0.5 | 0.5 | 0.5 | ||||||||||||
| Rotation | ° | 0.000 | 0.000 | 0.000 | ||||||||||||
Table 11-22: List of Initial Block Model Attributes, Calamine Mineralization
Nexa Resources S.A. – Vazante Polymetallic Operations
| Attribute Name | Type | Decimals | Default | Description | ||||||||||
| ag | Real | 0 | -1e+30 | Silver in g/t | ||||||||||
| density | Real | 0 | -1e+30 | |||||||||||
| fe | Real | 0 | -1e+30 | Iron in % | ||||||||||
| kvar | Real | 0 | -1e+30 | Kriging variance | ||||||||||
| lito | Real | 0 | -1e+30 | 1=overburden, 2=dolomite, 3=marl | ||||||||||
| nsam | Real | 0 | -1e+30 | Number of samples | ||||||||||
| ore | Real | 0 | 0 | 0=waste, 1=mineralized | ||||||||||
| orebody | Real | 0 | -1e+30 | 0=waste, 999=backfill, 910=void, wireframe number (1 to 25) | ||||||||||
| oretype | Real | 0 | -1e+30 | 1=argillite, 2=massive, 3=marl, 4=willemite | ||||||||||
| pb | Real | 0 | -1e+30 | Lead in % | ||||||||||
| rectype | Real | 0 | -1e+30 | 0=waste, 1=remnant | ||||||||||
| resource | Real | 0 | -1e+30 | 2=indicated, 3=inferred | ||||||||||
| s | Real | 0 | -1e+30 | Sulphur in % | ||||||||||
| svol | Real | 0 | -1e+30 | Estimation domain | ||||||||||
| tonnes | Real | 0 | -1e+30 | |||||||||||
| weather | Real | 0 | -1e+30 | 1=soil, 2=transition, 3=rock | ||||||||||
| zn | Real | 0 | -1e+30 | Zinc in % | ||||||||||

Nexa Resources S.A. | Vazante Polymetallic Operations, SLR Project No: 233.03245.R0000
Technical Report Summary - February 15, 2021
11-75
In preparation to create an optimized pit surface for use reporting of the Mineral Resources, the initial block model was subsequently re-blocked to blocks of equal size that measured 5 m x 5 m x 5 m in size. A number of attributes were also added to permit the calculation of a NSR value. The revised attribute list is shown in Table 11-23.
Table 11-23: List Of Re-Blocked Block Model Attributes, Supergene Mineralization
Nexa Resources S.A. – Vazante Polymetallic Operations
| Attribute Name | Type | Decimals | Default | Description | ||||||||||
| ag | Real | 0 | -1e+30 | |||||||||||
| ag_ppm | Real | 0 | 0 | |||||||||||
| au | Real | 0 | 0 | |||||||||||
| cu | Real | 0 | 0 | |||||||||||
| density | Real | 0 | -1e+30 | |||||||||||
| fe | Real | 0 | -1e+30 | |||||||||||
| lito | Real | 0 | -1e+30 | 1=overburden, 2=dolomite, 3=marl | ||||||||||
| nsr20rec | Real | 0 | 0 | |||||||||||
| nsragres | Real | 0 | 0 | |||||||||||
| nsraures | Real | 0 | 0 | |||||||||||
| nsrcures | Real | 0 | 0 | |||||||||||
| nsrpbres | Real | 0 | 0 | |||||||||||
| nsrznres | Real | 0 | 0 | |||||||||||
| ore | Real | 0 | 0 | |||||||||||
| orebody | Real | 0 | -1e+30 | Wireframe number | ||||||||||
| oretype | Real | 0 | -1e+30 | |||||||||||
| pb | Real | 0 | -1e+30 | |||||||||||
| rectype | Real | 0 | -1e+30 | |||||||||||
| resource | Real | 0 | -1e+30 | 2=indicated, 3=inferred | ||||||||||
| rock | Real | 0 | 0 | |||||||||||
| s | Real | 0 | -1e+30 | |||||||||||
| slope | Real | 0 | 0 | |||||||||||
| weather | Real | 0 | -1e+30 | 1=soil, 2=transition, 3=rock | ||||||||||
| zn | Real | 0 | -1e+30 | |||||||||||
| 11.3.10 | Search Strategy and Grade Interpolation Parameters |
Metal grades were estimated into the blocks by means of the OK interpolation algorithm. A total of three interpolation passes at different ranges were carried out using distances derived from the omni-directional variogram results. All search ellipses adopted the dynamic search function of the Datamine software package in which the orientation of the search ellipse is varied so as to remain as parallel as possible to the local strikes and dips of the mineralization. A listing of the search strategies and estimation parameters used to estimate the metal grades for the calamine mineralization is presented in Table 11-24.

Nexa Resources S.A. | Vazante Polymetallic Operations, SLR Project No: 233.03245.R0000
Technical Report Summary - February 15, 2021
11-76

Table 11-24: Search Parameters and Estimation Strategies, Supergene Mineralization
Nexa Resources S.A. – Vazante Polymetallic Operations
| Item | Zinc | Lead | Silver | |||||||||
| Interpolation method | OK | OK | OK | |||||||||
| Search volume method | Ellipsoid | Ellipsoid | Ellipsoid | |||||||||
| Length of axis 1 (m) | 30 | 30 | 30 | |||||||||
| Length of axis 2 (m) | 30 | 30 | 30 | |||||||||
| Length of axis 3 (m) | 30 | 30 | 30 | |||||||||
| First rotation angle | 40 | 40 | 40 | |||||||||
| Second rotation angle | 0 | 0 | 0 | |||||||||
| Third rotation angle | 20 | 20 | 20 | |||||||||
| First rotation axis (1=X, 2=Y, 3=Z) | 3 | 3 | 3 | |||||||||
| Second rotation axis (1=X, 2=Y, 3=Z) | 1 | 1 | 1 | |||||||||
| Third rotation axis (1=X, 2=Y, 3=Z) | 2 | 2 | 2 | |||||||||
| Octant Definition Method | None | None | None | |||||||||
| Min. number of samples for first dynamic search volume | 3 | 3 | 3 | |||||||||
| Max. number of samples for first dynamic search volume | 80 | 80 | 80 | |||||||||
| Axis multiplying factor for second dynamic search volume | 2 | 2 | 2 | |||||||||
| Min. number of samples for second dynamic search volume | 3 | 3 | 3 | |||||||||
| Max. number of samples for second dynamic search volume | 80 | 80 | 80 | |||||||||
| Axis multiplying factor for third dynamic search volume | 3 | 3 | 3 | |||||||||
| Min. number of samples for third dynamic search volume | 3 | 3 | 3 | |||||||||
| Max. number of samples for third dynamic search volume | 80 | 80 | 80 | |||||||||
| Maximum multiplying factor | 10 | 10 | 10 | |||||||||
Nexa Resources S.A. | Vazante Polymetallic Operations, SLR Project No: 233.03245.R0000
Technical Report Summary - February 15, 2021
11-77
| 11.3.11 | Block Model Validation |
Block model validation exercises included several validation techniques that included examination of the global mean grades, preparation of swath plots, Q-Q plots, scatter plots, histogram comparison, and visual validation.
| 11.3.11.1 | Global Estimate |
Block model validation exercises consisted of visually comparing the volume of the coded blocks in the block model against the volume report of the respective wireframe models as a high level check that the block model has been correctly coded for each of the wireframes. No issues were noted.
A comparison of the average grades of the informing capped, declustered composite samples against the average estimated block grades was carried out (Table 11-25).
Table 11-25: Comparison of Composite Sample Grades with Estimated Block Model Grades, Supergene Mineralization
Nexa Resources S.A. – Vazante Polymetallic Operations
| Item | Zinc (% Zn) | Lead (% Pb) | Silver (g/t Ag) | |||||||||
| Composite Mean | 10.93 | 0.17 | 1.2 | |||||||||
| Block Model Average | 9.73 | 0.17 | 1.4 | |||||||||
| Difference (Bm-Comp) | -1.20 | 0.00 | +0.2 | |||||||||
| % Difference (vs Comp) | -11 | % | 0 | % | +18 | % | ||||||
Review of the results shows that the estimated zinc and lead grades are in reasonable agreement with the informing samples. While a high variance is observed for the silver grades, it is important to note that the variation is compared against a very low base and that the silver values do not provide a material contribution to the overall value.
| 11.3.11.2 | Swath Plots |
Nexa conducted an evaluation of the spatial accuracy of the estimated grades by constructing a series of swath plots that compared the average composite grades to the average estimated block model grades in plan, section, and longitudinal orientations. A sample swath plot for the zinc grades is presented in Figure 11-44. Review of the swath plot shows a reasonable agreement between the estimated grades and their respective informing composite samples.

Nexa Resources S.A. | Vazante Polymetallic Operations, SLR Project No: 233.03245.R0000
Technical Report Summary - February 15, 2021
11-78
Source: Nexa
Figure 11-44: Swath Plot for Zinc, Calamine
| 11.3.11.3 | Quantile-Quantile Plots |
The accuracy of the distribution of the zinc grades between the informing composite samples and the estimated block grades was examined by construction of Q-Q plots using the GSLIB software package (Figure 11-45). Very good agreement is observed in the distribution between the estimated zinc grades and the corresponding informing samples for the lower portion of the grade range up to approximately 26% Zn. A bias in favour of the estimated block grades (i.e. block grades are over-estimated) is observed above approximately 26% Zn. Review of the global mean values shows that this bias has not affected the overall average zinc grade.

Nexa Resources S.A. | Vazante Polymetallic Operations, SLR Project No: 233.03245.R0000
Technical Report Summary - February 15, 2021
11-79


Source: Nexa
Figure 11-45: Quantile-Quantile Plot of the Zinc Grades, Supergene
| 11.3.11.4 | Scatter Plots |
The accuracy of the distribution of the zinc grades between the informing composite samples and the estimated block grades was also examined by construction of a simple scatter plot using the GSLIB software package (Figure 11-46). The results show that a good agreement is generally present between the estimated zinc grades and their corresponding informing samples. A slight bias is observed however where the estimated block grades are higher than their informing composite samples for a small number of data points.

Nexa Resources S.A. | Vazante Polymetallic Operations, SLR Project No: 233.03245.R0000
Technical Report Summary - February 15, 2021
11-80


Source: Nexa
Figure 11-46: Scatter Plot of the Zinc Grades, Supergene
| 11.3.11.5 | Histogram Comparison |
The accuracy of the distribution of the zinc grades between the informing composite samples and the estimated block grades was also examined by construction of normal scores histograms and the results charted using MS Excel (Figure 11-47). Good agreement is observed in the grade distributions of the estimated zinc grades and their corresponding informing samples.
In SLR’s opinion, the validation performed by Nexa and SLR are typical industry standard validation techniques and in general, the results presented suggest that the block model has been completed to a high standard, in line with industry best practices.

Nexa Resources S.A. | Vazante Polymetallic Operations, SLR Project No: 233.03245.R0000
Technical Report Summary - February 15, 2021
11-81

Source: Nexa
Figure 11-47: Normal Scores Plot of the Zinc Grades, Supergene
| 11.3.12 | Mineral Resource Classification |
Definitions for Mineral Resource categories used in this Technical Report Summary are those defined by SEC in S-K 1300. Mineral Resources are classified into Measured, Indicated, and Inferred categories.
Mineralized material for each wireframe was initially classified into the Measured, Indicated, or Inferred Mineral Resource categories on the basis of the density of drill hole and chip sample information, and presence of underground access as follows:
| Mineral Resource Category | Sample Spacing | |
| Measured | 10 m x 10 m | |
| Indicated | 20 m x 20 m | |
| Inferred | >40 m x 40 m |
Following the classification of the mineralized material into the initial Mineral Resource categories, clipping polygons were used in a final stage of the process to edit the initial classification assignments so as to ensure continuity and consistency of the final classified blocks in the model (Figure 11-48).

Nexa Resources S.A. | Vazante Polymetallic Operations, SLR Project No: 233.03245.R0000
Technical Report Summary - February 15, 2021
11-82

Figure 11-48: View of the Final Classified Mineral Resources, Supergene

Nexa Resources S.A. | Vazante Polymetallic Operations, SLR Project No: 233.03245.R0000
Technical Report Summary - February 15, 2021
11-83

| 11.3.13 | Net Smelter Return Cut-Off Value and Whittle Parameters |
| 11.3.13.1 | Net Smelter Return |
An NSR cut-off value was determined using the Mineral Resource metal prices, metal recoveries, transport, treatment, and refining costs, as well as mine operating cost. Metal prices used for Mineral Resources are based on consensus, long term forecasts from banks, financial institutions, and other sources. All domestic costs were converted to an equivalent US dollar basis using an average long term exchange rate of R$4.84/US$.
The cut-off value used for the Mineral Resource estimate is based on an NSR value, in units of US$/t, which can be directly compared to operating unit costs. The NSR formula is:

Cut-off costs and NSR param
Cost information and NSR parameters used to code the block model are summarized in Table 11-26.
Table 11-26: Block Model NSR Data- Calamine Mineralization
Nexa Resources S.A. – Vazante Polymetallic Operations
| Item | Units | Rock | Soil | ||||
| Metallurgical Recovery | |||||||
| Zn | % | 55.00 | 55.00 | ||||
| Pb | % | 46.38 | 46.38 | ||||
| Ag | % | 42.00 | 42.00 | ||||
| Metal Payability | |||||||
| Zn Concentrate Payable | |||||||
| Zn | % | 94.4 | 94.4 | ||||
| Pb Concentrate Payable | 95.0 | 95.0 | |||||
| Pb | Min Payable/Deduction | 95%/3% | 95%/3% | ||||
| Ag | Min Payable/Deduction | 95%/50.0 g/t | 95%/50.0 g/t | ||||
| Metal Prices | |||||||
| Zn | US$/lb | 1.30 | 1.30 | ||||
| Pb | US$/lb | 1.02 | 1.02 | ||||
| Ag | US$/oz | 19.38 | 19.38 | ||||
| Transport Charges | |||||||
| Zn Concentrate | US$/t conc. | 16.60 | 16.60 | ||||
| Pb Concentrate | US$/t conc. | 278.72 | 278.72 | ||||
| Treatment Charges | |||||||
| Zn Concentrate | US$/t conc. | 0 | 0 | ||||
| Pb Concentrate | US$/t conc. | 142.57 | 142.57 |

Nexa Resources S.A. | Vazante Polymetallic Operations, SLR Project No: 233.03245.R0000
Technical Report Summary - February 15, 2021
11-84
| Item | Units | Rock | Soil | |||||||
| Refining Charges | ||||||||||
| Ag in Pb Concentrate | US$/oz | 1.00 | 1.00 | |||||||
| Integrated Zn (processed at Três Marias) | ||||||||||
| Premium | US$/t | 286.31 | 286.31 | |||||||
| Conversion Cost | US$/t | 473.95 | 473.95 | |||||||
| Operating Costs | ||||||||||
| Mining | US$/t proc. | 4.62 | 3.23 | |||||||
| Processing | US$/t proc. | 14.57 | 14.57 | |||||||
| G&A | US$/t proc. | 5.45 | 5.45 | |||||||
| Total | US$/t proc. | 24.64 | 23.39 | |||||||
NSR calculations use a model head grade-recovery relationship for each metal, based on recent operating performance. The head grade and recovery curves are presented in Figure 11-49 and Figure 11-50. NSR factors are therefore variable by head grade, with average NSR factors summarized in Table 11-27. The average NSR factors are calculated using the LOM revenue contribution from each metal net of off-site costs and factors, divided by the reserve grade for that metal, and are indicative of the relative contribution of each metal unit to the economics of the mine. For most metals, a variable recovery (as a function of head grade) was used, and therefore the average NSR factors should not be applied to head grades without considering the head grade versus recovery relationship.

Source: Nexa
Figure 11-49: Zinc Grade-Recovery Curve for the Supergene Mineralization

Nexa Resources S.A. | Vazante Polymetallic Operations, SLR Project No: 233.03245.R0000
Technical Report Summary - February 15, 2021
11-85


Source: Nexa
Figure 11-50: Lead Grade-Recovery Curve for the Supergene Mineralization
Table 11-27: Average NSR Factors for the Supergene Mineralization
Nexa Resources S.A. – Vazante Polymetallic Operations
| Item | Units | Value | ||||||
| Zn | US$/% Zn | 13.55 | ||||||
| Pb | US$/% Pb | 1.39 | ||||||
| Ag | US$/oz Ag | 6.88 | ||||||
Metal prices are based on Nexa’s projections. Nexa’s long term price model uses multiple variables including supply (mine and refined), demand, cost drivers, capital cost, and other key elements. The long term prices derived are in line with the consensus forecasts from banks and independent institutions.
| 11.3.13.2 | Whittle Pit Shell Parameters |
The conceptual operational scenario that is envisioned in relation to the Mineral Resource estimates of the supergene mineralization is to continue excavation of the mineralized material by means of open pit mining methods, with the mineralized material being processed using the existing plant facilities. As an aid in preparation of the Mineral Resource statement, an open pit shell was created by Nexa using the GEOVIA Whittle software package and the parameters presented in Table 11-28. The open pit shell was created using the updated, re-blocked model of the calamine mineralization. This block model was modified to assign a destination code for the material types as being sent either to the plant or to the waste rock storage area. The NSR cut-off values used to determine the material destination were $20.16/t processed for soil and $20.02/t processed for fresh rock and transition zone material. The resulting pit surface is presented in Figure 11-51.

Nexa Resources S.A. | Vazante Polymetallic Operations, SLR Project No: 233.03245.R0000
Technical Report Summary - February 15, 2021
11-86

Table 11-28: Summary of the Whittle Input Parameters
Nexa Resources S.A. – Vazante Polymetallic Operations
| Item | Description | Units | Value | |||||
| Geotechnical Info | ||||||||
| Overall Angle | Soil | ° | 39.00 | |||||
| Rock and Transition | ° | 46.00 | ||||||
| Costs | ||||||||
| Mining | Soil | US$/t total material | 3.23 | |||||
| Rock and Transition | US$/t total material | 4.62 | ||||||
| Process | Soil | US$/t ore | 14.71 | |||||
| Rock and Transition | US$/t ore | 14.57 | ||||||
| G&A | Soil | US$/t ore | 5.45 | |||||
| Rock and Transition | US$/t ore | 5.45 | ||||||
| Conversion Cost | All | US$/t Zn | 473.95 | |||||
| Macro Economics | ||||||||
| Exchange Rate | BRL/USD | 4.84 | ||||||
| Zinc | US$/t | 2,869.14 | ||||||
| Price | Lead | US$/t | 2,249.40 | |||||
| Silver | US$/oz | 19.38 | ||||||
| Premium | Zinc | US$/t | 286.31 | |||||
| Logistics | Zinc (to TM) | US$/t conc. | 16.60 | |||||
| Lead (Export) | US$/t conc. | 278.72 | ||||||
| Metallurgical Recovery | ||||||||
| Zinc | % | 55.00 | ||||||
| Vazante | Lead | % | 46.38 | |||||
| Silver @ Pb Conc. | % | 42.00 | ||||||
| Três Marias | Zinc | % | 94.40 | |||||
| Cut-off Value | ||||||||
| Cut off Value | Soil | US$/t ore | 20.16 | |||||
| Rock and Transition | US$/t ore | 20.02 | ||||||

Nexa Resources S.A. | Vazante Polymetallic Operations, SLR Project No: 233.03245.R0000
Technical Report Summary - February 15, 2021
11-87

Figure 11-51: Plan View of the Open Pit Surface, Supergene Mineral Resources

Nexa Resources S.A. | Vazante Polymetallic Operations, SLR Project No: 233.03245.R0000
Technical Report Summary - February 15, 2021
11-88
| 11.3.14 | Mineral Resource Reporting |
Mineral Resources are prepared in accordance with the definitions for Mineral Resources in S-K 1300, which are consistent with CIM (2014) definitions.
The Mineral Resources are exclusive of Mineral Reserves. The Mineral Resources are located within an open pit shell that was created in consideration of appropriate metal prices, mining costs, metallurgical recoveries, and geotechnical considerations. The open pit shell was used to aid in the reporting of the Mineral Resources to ensure that the “Reasonable Prospects” requirement of S-K 1300 is met. The Mineral Resources for the supergene calamine mineralization are presented in Table 11-29. No previous Mineral Resources have been disclosed by Nexa in respect of the supergene mineralization.
In SLR’s opinion, the assumptions, parameters, and methodology used for the Vazante supergene Mineral Resource estimates are appropriate for the style of mineralization and anticipated mining methods.
The SLR QP is of the opinion that, with consideration of the recommendations summarized in Section 1 and Section 23, any issues relating to all relevant technical and economic factors likely to influence the prospect of economic extraction can be resolved with further work
Table 11-29: Mineral Resources For the Calamine Mineralization as of December 31, 2020
Nexa Resources S.A. – Vazante Polymetallic Operations
| Tonnes | Grade | Contained Metal | ||||||||||||||||||||||||||
| Category | (000 t) | (% Zn) | (% Pb) | (g/t Ag) | (000 t Zn) | (000 t Pb) | (000 oz Ag) | |||||||||||||||||||||
| Measured | 0 | 0 | 0 | 0 | 0 | 0 | 0 | |||||||||||||||||||||
| Indicated | 880 | 9.13 | 0.16 | 1.2 | 80.34 | 1.40 | 34.0 | |||||||||||||||||||||
| Subtotal, M&I | 880 | 9.13 | 0.16 | 1.2 | 80.34 | 1.41 | 34.0 | |||||||||||||||||||||
| Inferred | 870 | 9.92 | 0.09 | 1.1 | 86.30 | 0.78 | 30.8 | |||||||||||||||||||||
Notes:
| 1. | The definitions for Mineral Resources in S-K 1300 were followed for Mineral Resources which are consistent with CIM (2014) definitions. |
| 2. | Mineral Resources are reported on a 100% ownership basis. |
| 3. | Mineral Resources are estimated at a NSR cut-off value of US$20.16/t for soil and US$20.02/t for fresh rock and transition material. |
| 4. | Mineral Resources are estimated using average long term metal prices of Zn: US$2,869.14/t (US$1.30/lb), Pb: US$2,249.40/t (US$1.02/lb), and Ag: US$19.38/oz, and metallurgical recoveries are based on recovery curves derived from historical processing data. An average long term R$/US$ exchange rate of 4.84 was used. |
| 5. | Bulk density varies depending on the degree of weathering. |
| 6. | Mineral Resources are exclusive of Mineral Reserves. |
| 7. | Mineral Resources that are not Mineral Reserves do not have demonstrated economic viability. |
| 8. | Mineral Resources are reported for all material contained an open pit shell with grades above the nominated NSR cut-off values. |
| 9. | Numbers may not add due to rounding. |
| 11.3.15 | Risks and Uncertainties to Mineral Resources |
Based on SLR’s review of the supergene (calamine) Mineral Resource estimate, the following key risks have been identified:

Nexa Resources S.A. | Vazante Polymetallic Operations, SLR Project No: 233.03245.R0000
Technical Report Summary - February 15, 2021
11-89
| · | Due to the natural variability inherent to the calamine mineralization, the presence, location, size, shape, and grade of the actual mineralization between the existing sample points may differ from the current interpretation. The level of uncertainty in these items is lowest for the Indicated Mineral Resource category and is highest for the Inferred Mineral Resource category. This risk item can be improved with increased density of drill hole and channel sample data. |
| · | Due to the natural variability in the porosity of the host rocks, the local density for any portion of the Mineral Resources may vary from the estimated value, resulting in either an increase or decrease in the tonnage estimate at the local scale. The density estimates can be improved with increased density of drill hole and channel sample data. |
| · | Due to the current level of drill hole information, the detailed distribution of the weathered and un-weathered materials may differ from the current interpretations, potentially resulting in changes to the reporting surface used to prepare the Mineral Resource statement. This risk item can be improved with increased density of drill hole and channel sample data. |
| · | Changes in the metallurgical recoveries from the estimated values used in preparation of the Mineral Resource statement can impact on the amount of metal recovered at time of production. This risk item can be improved by completion of additional metallurgical test work. |
| · | Due to variations in the global supply chain, the actual metal prices realized at the time of production may differ from the long term metal prices that were used in the preparation of the Mineral Resource statements. Lower zinc metal prices realized at the time of production may result in a decrease in Mineral Resources. In SLR’s opinion the Mineral Resources are not sensitive to variations in the prices of silver or lead from those used in the current Mineral Resource statement. |
| · | The cut-off grade (or value) used in preparation of the current Mineral Resource statement can be affected by variations in the Brazilian Real and United States dollar exchange rate. A strengthening of the Brazilian Real versus the United States dollar may result in an increase in the cut-off grade (or value), with a corresponding decrease in the Mineral Resources. |
| 11.4 | Aroeira Tailings |
| 11.4.1 | Resource Database |
Drill hole information for the Aroeira tailings mineralization was extracted from the Fusion™ database into separate files for use in preparation of the Mineral Resource estimates. This drill hole information was modified slightly so as to be compatible with the format requirements of the Datamine and Leapfrog modelling packages and were imported into those software package by Nexa. A number of new tables and variables were created during the estimation process to capture such information as the interpreted mineralized intersection length along the drill holes, density readings, capped assay values, and composite values.
The cut-off date for the assays in the drill hole database is December 31, 2019. Drilling and sampling were carried out using the UTM Datum Cόrrego Alegre, Zone 23S grid coordinate system. The northing and easting collar coordinates of the drill holes and channel samples used to prepare the Mineral Resource estimate for the Aroeira tailings mineralization remained in the UTM coordinate system. This is in contrast to the drill hole and channel sample information used to estimate the hypogene mineralization that has been converted to the mine grid coordinate system.
Nexa Resources S.A. | Vazante Polymetallic Operations, SLR Project No: 233.03245.R0000
Technical Report Summary - February 15, 2021
11-90
SLR recommends that the drill hole data relating to the tailings mineralization be converted into the mine grid coordinate system to more easily integrate the information for the underground mine.
A summary of the drilling information for the Aroeira and Antiga tailings areas is provided in Table 11-30. The location of the drill holes is shown in Figure 11-52.
Table 11-30: Summary of Drill Hole Database, Tailings Mineralization
Nexa Resources S.A. – Vazante Polymetallic Operations
| Data Type | Number of Records | |||
| Collar | 113 | |||
| Down hole survey | 95 | |||
| Assays | 1,345 | |||
| Composites (within mineralized wireframe boundaries) | 490 | |||
Nexa Resources S.A. | Vazante Polymetallic Operations, SLR Project No: 233.03245.R0000
Technical Report Summary - February 15, 2021
11-91

Figure 11-52: Drill Hole Location Map, Tailings Sampling Programs
Nexa Resources S.A. | Vazante Polymetallic Operations, SLR Project No: 233.03245.R0000
Technical Report Summary - February 15, 2021
11-92
| 11.4.2 | Mineralized Wireframe Interpretation |
A mineralized wireframe of the Aroeira tailings was prepared for the material encountered in the drill holes completed as part of the tailings sampling program using the Leapfrog software package. It is important to note that the portion of the Aroeira tailings that was sampled by the drilling program comprises only a portion of the total volume of tailings that are currently stored in the Aroeira TSF (Figure 11-53). The mineralized wireframe was drawn to represent the volume of tailings that were encountered by the drilling program and excluded material which formed part of the original pre-deposition surface.
The resulting mineralization wireframe included 34 completed drill holes covering an area of the tailings measuring approximately 500 m in an east-west direction and approximately 550 m in a north-south direction. The drill holes were completed on a nominal spacing of 50 m x 50 m (Figure 11-54). A sample cross section is provided in Section 7.2 of this Technical Report Summary.
Source: Nexa
Figure
11-53: Inclined View of the Planned vs Completed Drill Holes, Aroeira Tailings
Nexa Resources S.A. | Vazante Polymetallic Operations, SLR Project No: 233.03245.R0000
Technical Report Summary - February 15, 2021
11-93
Figure 11-54: Plan View of the Drill Hole Locations and Mineralized Wireframe, Aroeira Tailings
Nexa Resources S.A. | Vazante Polymetallic Operations, SLR Project No: 233.03245.R0000
Technical Report Summary - February 15, 2021
11-94
| 11.4.3 | Topography Surfaces |
The original, pre-deposition topographic surface used to prepare the digital interpretation of the tailings volume perimeter was derived from an available topographic map that was prepared by the Brazilian government. The original topographic surface was presented in the form of contour lines that had limited precision and accuracy.
Nexa carried out an updated topographic survey of the Aroeira TSF area on December 8, 2020 using a Phantom 4 Pro drone that was equipped with a Leica GS18 RTK GPS unit (Figure 11-55). The average survey accuracy of this equipment is stated as 0.03 m.
Nexa Resources S.A. | Vazante Polymetallic Operations, SLR Project No: 233.03245.R0000
Technical Report Summary - February 15, 2021
11-95
Figure 11-55: View of the Aroeira Tailings Storage Area as of December 8, 2020
Nexa Resources S.A. | Vazante Polymetallic Operations, SLR Project No: 233.03245.R0000
Technical Report Summary - February 15, 2021
11-96
| 11.4.4 | Resource Assays |
The mineralization wireframe model was used to code the drill hole database and identify the raw assay samples, or resource assays, that are contained within the mineralized wireframe. These samples were extracted from the database and then subjected to statistical analyses by means of histograms and probability plots. A total of 464 zinc samples were contained within the Aroeira tailings mineralized wireframe model. The resource assay sample statistics and selected capping values for the uncapped assay values are summarized in Table 11-31. Histogram charts of the zinc, lead, and silver grades are provided in Figure 11-56, Figure 11-57, and Figure 11-58
Table 11-31: Summary of Uncapped, Clustered Raw Sample Statistics, Aroeira Tailings
Nexa Resources S.A. – Vazante Polymetallic Operations
| Item | Zinc (% Zn) | Lead (% Pb) | Silver (g/t Ag) | |||||||||
| Mean | 4.26 | 0.26 | 8.2 | |||||||||
| Median | 3.96 | 0.26 | 6.5 | |||||||||
| Standard Deviation | 1.53 | 0.07 | 5.6 | |||||||||
| Coefficient of Variation | 0.36 | 0.27 | 0.7 | |||||||||
| Minimum | 0.05 | 0.00 | 0.3 | |||||||||
| Maximum | 9.6 | 0.78 | 49.8 | |||||||||
| Number of Samples | 464 | 464 | 464 | |||||||||
| Capping Value | 8.0 | No capping applied | No capping applied | |||||||||
Figure 11-56: Frequency Histogram of the Zinc Uncapped Raw Sample Statistics, Aroeira Tailings
Nexa Resources S.A. | Vazante Polymetallic Operations, SLR Project No: 233.03245.R0000
Technical Report Summary - February 15, 2021
11-97
Figure 11-57: Frequency Histogram of the Lead Uncapped Raw Sample Statistics, Aroeira Tailings
Figure 11-58: Frequency Histogram of the Silver Uncapped Raw Sample Statistics, Aroeira Tailings
Nexa Resources S.A. | Vazante Polymetallic Operations, SLR Project No: 233.03245.R0000
Technical Report Summary - February 15, 2021
11-98
| 11.4.5 | Treatment of High Grade Assays |
In order to reduce the influence of high grade sample values, a simple capping approach was applied. In this method, the grades of the resource assays contained within the respective mineralized wireframes that are deemed to represent anomalously high grades are reduced to a maximum value – the capping grade. A capping value of 8% Zn was applied to the zinc raw assays. No capping values were applied to the lead or silver assays.
| 11.4.6 | Compositing |
All samples contained within the Aroeira tailings mineralized wireframe had 1.2 m sample lengths, consequently compositing of samples into equal lengths was not required (Figure 11-59). A summary of the capped assays is presented in Table 11-32.
Source: Nexa
Figure 11-59: Histogram of Sample Lengths, Aroeira Tailings Samples
Table 11-32: Summary of Capped, Composite Statistics, Aroeira Tailings
Nexa Resources S.A. – Vazante Polymetallic Operations
| Item | Zinc (% Zn) | Lead (% Pb) | Silver (g/t Ag) | |||||||||
| Mean | 4.24 | 0.26 | 8.2 | |||||||||
| Median | 3.96 | 0.25 | 6.5 | |||||||||
| Standard Deviation | 1.50 | 0.07 | 5.6 | |||||||||
| Coefficient of Variation | 0.35 | 0.27 | 0.7 | |||||||||
| Minimum | 0.05 | 0.00 | 0.3 | |||||||||
| Maximum | 8.00 | 0.78 | 49.8 | |||||||||
| Number of Samples | 464 | 464 | 464 | |||||||||
Nexa Resources S.A. | Vazante Polymetallic Operations, SLR Project No: 233.03245.R0000
Technical Report Summary - February 15, 2021
11-99
| 11.4.7 | Bulk Density |
A total of 452 dry bulk density measurements were collected from drill hole samples of the Aroeira tailings, of which 431 were contained within the mineralized wireframe. These samples have bulk densities ranging from 1.01 t/m3 to 2.56 t/m3, with a mean bulk density of 1.71 t/m3 (Figure 11-60).
The bulk densities of each of these samples were used to estimate the block model density using the Inverse Distance, Power 2 interpolation algorithm. A minimum of five and a maximum of 30 samples were used to estimate the bulk densities to the block model.
Source: Nexa
Figure 11-60: Distribution of Dry Bulk Density Measurements, Aroeira Tailings
Nexa Resources S.A. | Vazante Polymetallic Operations, SLR Project No: 233.03245.R0000
Technical Report Summary - February 15, 2021
11-100
| 11.4.8 | Trend Analysis |
| 11.4.8.1 | Variography |
Nexa began its analysis of the spatial continuity by constructing separate downhole and omni-directional variograms using the composite data for the zinc, lead, and silver grades for the Aroeira tailings mineralized wireframe, with the objective of determining an appropriate value for the global nugget (C0). The analysis then proceeded with the preparation of directional variograms to search for any anisotropies that may be present in the data, which resulted in variograms with reasonable model fits (Figure 11-61).
The GSLIB software package was used to calculate the variograms and charts of the results were prepared using Nexa’s in-house software. The left hand rule was used as the rotation convention wherein the Y axis is the direction of maximum continuity (major axis), the X axis is the direction of the semi-major axis and the Z axis is the direction of the minor axis. A summary of the variogram parameters is presented in Table 11-33.
Source: Nexa
Figure 11-61: Example Variograms for Zinc Grades Contained Within the Aroeira Tailings Mineralized Wireframe Domain
Table 11-33: Summary of Variogram Parameters, Aroeira Tailings
Nexa Resources S.A. – Vazante Polymetallic Operations
| Item | Zinc | Lead | Silver | |||||||||
| C0 Nugget | 0.35 | 0.35 | 0.35 | |||||||||
| C1 1st structure | 0.25 | 0.25 | 0.25 | |||||||||
| C2 2nd structure | 0.25 | 0.25 | 0.25 | |||||||||
| C3 3rd structure | 0.15 | 0.15 | 0.15 | |||||||||
| A1 1st Range Z | 3 | 3 | 3 | |||||||||
| A2 2nd Range Z | 8 | 8 | 8 | |||||||||
| A3 3rd Range Z | 10 | 10 | 10 | |||||||||
| A1 1st Range X | 20 | 20 | 20 | |||||||||
| A2 2nd Range X | 50 | 50 | 50 | |||||||||
| A3 3rd Range X | 160 | 160 | 160 | |||||||||
| A1 1st Range Y | 20 | 20 | 20 | |||||||||
| A2 2nd Range Y | 80 | 80 | 80 | |||||||||
| A3 3rd Range Y | 200 | 200 | 200 | |||||||||

Nexa Resources S.A. | Vazante Polymetallic Operations, SLR Project No: 233.03245.R0000
Technical Report Summary - February 15, 2021
11-101
| 11.4.9 | Block Model Construction |
An initial block model was constructed by Nexa using the Datamine software package and the UTM coordinate system. The block model used a parent block size of 25 m (X) x 25 (Y) m x 2 m (Z) sized blocks and using sub-blocking with a minimum block size of 1 m (X) x 1 m (Y) x 1 m (Z). The block models are oriented parallel to the UTM grid coordinate grid system (i.e., no rotation or tilt). The block model origin and dimensions are provided in Table 11-34. A number of attributes were created to store such information as rock code, material densities, estimated metal grades, and the like (Table 11-35).
Table 11-34: Initial Block Model Definition, Aroeira Tailings
Nexa Resources S.A. – Vazante Polymetallic Operations
| Type | Units | Y (Northing) | X (Easting) | Z (Elevation) | ||||||||||
| Minimum Coordinates | m | 8,012,556 | 306,704 | 595 | ||||||||||
| Maximum Coordinates | m | 8,013,181 | 307,229 | 629 | ||||||||||
| Parent Block Size | m | 25 | 25 | 2 | ||||||||||
| Sub-block Size | m | 1 | 1 | 1 | ||||||||||
| Rotation | ° | 0.000 | 0.000 | 0.000 | ||||||||||
Table 11-35: List of Initial Block Model Attributes, Aroeira Tailings
Nexa Resources S.A. – Vazante Polymetallic Operations
| Attribute Name | Type | Decimals | Background | Description | ||||||||||
| ag | Real | 0 | 0 | Silver in oz/t | ||||||||||
| corpo | Character | - | ||||||||||||
| density | Real | 0 | 0 | |||||||||||
| fe | Real | 0 | 0 | |||||||||||
| kvar | Real | 0 | -1e+30 | |||||||||||
| nsam | Real | 0 | -1e+30 | |||||||||||
| ore | Real | 0 | -1e+30 | |||||||||||
| oxide | Real | 0 | -1e+30 | |||||||||||
| pb | Real | 0 | 0 | Lead in percent | ||||||||||
| resource | Real | 0 | -1e+30 | |||||||||||
| svol | Real | 0 | -1e+30 | |||||||||||
| tonnes | Real | 0 | -1e+30 | |||||||||||
| zn | Real | 0 | 0 | Zinc in percent | ||||||||||
| zone | Real | 0 | 0 | |||||||||||
Nexa Resources S.A. | Vazante Polymetallic Operations, SLR Project No: 233.03245.R0000
Technical Report Summary - February 15, 2021
11-102
The initial block model was subsequently re-blocked to blocks of equal size that measured 5 m x 5 m x 2 m in size. A number of blocks were created as part of the re-blocking effort which extended beyond the limits of the mineralization boundary. These blocks were removed from the final re-blocked model so as to reflect the tonnage and grades of the source block model more accurately. A number of attributes were also added to permit the calculation of a NSR value and preparation of the Mineral Resource statement. The revised attribute list is shown in Table 11-36.
Table 11-36: List of Re-Blocked Block Model Attributes, Aroeira Tailings
Nexa Resources S.A. – Vazante Polymetallic Operations
| Attribute Name | Type | Decimals | Background | Description | ||||||||
| ag | Real | 0 | 0 | Silver in oz/t | ||||||||
| agppm | Real | 0 | 0 | Silver in g/t | ||||||||
| cog | Character | - | ||||||||||
| density | Real | 0 | 0 | |||||||||
| fe | Real | 0 | 0 | |||||||||
| fillvol | Real | 0 | -1e+30 | |||||||||
| kvar | Real | 0 | -1e+30 | |||||||||
| nsam | Real | 0 | -1e+30 | |||||||||
| nsr20res | Real | 0 | 0 | |||||||||
| ore | Real | 0 | -1e+30 | |||||||||
| oxide | Real | 0 | -1e+30 | |||||||||
| pb | Real | 0 | 0 | |||||||||
| rec_agpb | Real | 0 | 0 | |||||||||
| rec_agzn | Real | 0 | 0 | |||||||||
| rec_pb | Real | 0 | 0 | |||||||||
Nexa Resources S.A. | Vazante Polymetallic Operations, SLR Project No: 233.03245.R0000
Technical Report Summary - February 15, 2021
11-103

| Attribute Name | Type | Decimals | Background | Description | |||||||||||
| rec_zn | Real | 0 | 0 | ||||||||||||
| resource | Real | 0 | -1e+30 | ||||||||||||
| svol | Real | 0 | -1e+30 | ||||||||||||
| tonnes | Real | 0 | -1e+30 | ||||||||||||
| voidvol | Real | 0 | -1e+30 | ||||||||||||
| zn | Real | 0 | 0 | ||||||||||||
| zone | Real | 0 | 0 |
| 11.4.10 | Search Strategy and Grade Interpolation Parameters |
Metal grades were estimated into the blocks by means of the OK interpolation algorithm. A single interpolation pass was carried out using distances derived from the directional variogram results. A listing of the search strategies and estimation parameters used to estimate the metal grades for the Aroeira tailings mineralization is presented in Table 11-37.
Table 11-37: Search Parameters and Estimation Strategies, Aroeira Tailings
Nexa Resources S.A. – Vazante Polymetallic Operations
| Item | Zinc | Lead | Silver | |||||||||
| Interpolation method | OK | OK | OK | |||||||||
| Search volume method | Ellipsoid | Ellipsoid | Ellipsoid | |||||||||
| Length of axis 1 (m) | 160 | 160 | 160 | |||||||||
| Length of axis 2 (m) | 200 | 200 | 200 | |||||||||
| Length of axis 3 (m) | 10 | 10 | 10 | |||||||||
| First rotation angle | 0 | 0 | 0 | |||||||||
| Second rotation angle | 0 | 0 | 0 | |||||||||
| Third rotation angle | 0 | 0 | 0 | |||||||||
| First rotation axis (1=X, 2=Y, 3=Z) | 3 | 3 | 3 | |||||||||
| Second rotation axis (1=X, 2=Y, 3=Z) | 1 | 1 | 1 | |||||||||
| Third rotation axis (1=X, 2=Y, 3=Z) | 2 | 2 | 2 | |||||||||
| Octant Definition Method | None | None | None | |||||||||
| Min. number of samples | 1 | 1 | 1 | |||||||||
| Max. number of samples | 40 | 40 | 40 | |||||||||
| Maximum multiplying factor | 3 | 3 | 3 | |||||||||

Nexa Resources S.A. | Vazante Polymetallic Operations, SLR Project No: 233.03245.R0000
Technical Report Summary - February 15, 2021
11-104

| 11.4.11 | Block Model Validation |
Block model validation exercises included several validation techniques that included examination of the global mean grades, preparation of swath plots, Q-Q plots, scatter plots, histogram comparison, and visual validation.
| 11.4.11.1 | Global Estimate |
Block model validation exercises consisted of visually comparing the volume of the coded blocks in the block model against the volume report of the respective wireframe models as a high level check that the block model has been correctly coded for each of the wireframes. No issues were noted.
A comparison of the average grades of the informing capped, declustered composite samples against the average estimated block grades was carried out (Table 11-38).
Table 11-38: Comparison of Composite Sample Grades with Estimated Re-Blocked Model Grades, Aroeira Tailings
Nexa Resources S.A. – Vazante Polymetallic Operations
| Item | Zinc (% Zn) | Lead (% Pb) | Silver (g/t Ag) | |||||||||
| Composite Mean | 4.24 | 0.26 | 8.2 | |||||||||
| Block Model Average | 3.81 | 0.24 | 7.4 | |||||||||
| Difference (Bm-Comp) | -0.43 | -0.02 | -0.8 | |||||||||
| % Difference (vs Comp) | -10 | % | -8 | % | -10 | % | ||||||
Review of the results shows that the estimated zinc, lead, and silver grades are in reasonable agreement with the informing samples.
| 11.4.11.2 | Swath Plots |
Nexa conducted an evaluation of the spatial accuracy of the estimated grades by constructing a series of swath plots that compared the average composite grades to the average estimated block model grades in plan, section, and longitudinal orientations. A sample swath plot for the zinc grades is presented in Figure 11-62. Review of the swath plot shows a reasonable agreement between the estimated grades and their respective informing composite samples.
| 11.4.11.3 | Quantile-Quantile Plots |
The accuracy of the distribution of the zinc grades between the informing composite samples and the estimated block grades was examined by construction of Q-Q plots using the GSLIB software package (Figure 11-63). Very good agreement is observed in the distribution between the estimated zinc grades and the corresponding informing samples for the lower portion of the grade range up to approximately 5.5% Zn. A bias in favour of the estimated block grades (i.e. block grades are over-estimated) is observed above approximately 5.5% Zn. Review of the global mean values shows that this bias has not affected the overall average zinc grade.

Nexa Resources S.A. | Vazante Polymetallic Operations, SLR Project No: 233.03245.R0000
Technical Report Summary - February 15, 2021
11-105

Figure 11-62: Swath Plot for Zinc, Aroeira Tailings

Nexa Resources S.A. | Vazante Polymetallic Operations, SLR Project No: 233.03245.R0000
Technical Report Summary - February 15, 2021
11-106


Source: Nexa
Figure 11-63: Quantile-Quantile Plot of the Zinc Grades, Aroeira Tailings
| 11.4.11.4 | Scatter Plots |
The accuracy of the distribution of the zinc grades between the informing composite samples and the estimated block grades was also examined by construction of a simple scatter plot using the GSLIB software package (Figure 11-64). The results show that a good agreement is generally present between the estimated zinc grades and their corresponding informing samples.

Nexa Resources S.A. | Vazante Polymetallic Operations, SLR Project No: 233.03245.R0000
Technical Report Summary - February 15, 2021
11-107


Source: Nexa
Figure 11-64: Scatter Plot of the Zinc Grades, Aroeira Tailings
| 11.4.11.5 | Histogram Comparison |
The accuracy of the distribution of the zinc grades between the informing composite samples and the estimated block grades was also examined by construction of normal scores histograms and the results charted using MS Excel (Figure 11-65). Good agreement is observed in the grade distributions of the estimated zinc grades and their corresponding informing samples.
In SLR’s opinion, the validation performed by Nexa and SLR are typical industry standard validation techniques and in general, the results presented suggest that the block model has been completed to a high standard, in line with industry best practices.

Nexa Resources S.A. | Vazante Polymetallic Operations, SLR Project No: 233.03245.R0000
Technical Report Summary - February 15, 2021
11-108


Source: Nexa
Figure 11-65: Normal Scores Plot of the Zinc Grades, Aroeira Tailings
| 11.4.12 | Mineral Resource Classification |
Definitions for Mineral Resource categories used in this Technical Report Summary are those defined by SEC in S-K 1300. Mineral Resources are classified into Measured, Indicated, and Inferred categories.
All mineralized material within the mineralized wireframe was classified into the Inferred Mineral Resource category.
| 11.4.13 | Net Smelter Return Cut-Off Value Parameters |
Nexa has been re-processing tailings from the Aroeira tailings storage area on an intermittent basis since 2018. This has been achieved by excavation of the tailings in one metre lifts using conventional hydraulic excavators which load the tailings into 15 t haulage trucks (Figure 11-66). The programs have been carried out during the dry season when the tailings are able to support the weight of the equipment. The tailings have been transported to the processing plant where they are added to the plant feed at the blending pads.
The conceptual operational scenario that is envisioned in relation to the Mineral Resource estimates of the Aroeira tailings mineralization is to continue excavation of the mineralized material by means of open cut mining methods, with the mineralized material being processed using the existing plant facilities. The excavation activities could continue until the original topographic surface is encountered.
An NSR cut-off value was determined using the Mineral Resource metal prices, metal recoveries, transport, treatment, and refining costs, as well as mine operating cost. Metal prices used for Mineral Resources are based on consensus, long term forecasts from banks, financial institutions, and other sources. All domestic costs were converted to an equivalent US dollar basis using an average long term exchange rate of R$4.84/US$.

Nexa Resources S.A. | Vazante Polymetallic Operations, SLR Project No: 233.03245.R0000
Technical Report Summary - February 15, 2021
11-109

The cut-off value used for the Resource estimate is based on an NSR value, in units of US$/t, which can be directly compared to operating unit costs. The NSR formula is:
Source: Nexa
Figure 11-66: Excavation of the Aroeira Tailings
Cost information and NSR parameters used to code the block model are summarized in Table 11-39.
Nexa Resources S.A. | Vazante Polymetallic Operations, SLR Project No: 233.03245.R0000
Technical Report Summary - February 15, 2021
11-110

Table 11-39: Block Model NSR Data- Aroeira Tailings
Nexa Resources S.A. – Vazante Polymetallic Operations
| Item | Units | Value | ||||
| Metallurgical Recovery | ||||||
| Zn | % | 76.25 | ||||
| Pb | % | 23.35 | ||||
| Ag | % | 0.00 | ||||
| Metal Payability | ||||||
| Zn Concentrate Payable | ||||||
| Zn | % | 94.4 | ||||
| Pb Concentrate Payable | 95.0 | |||||
| Pb | Min Payable/Deduction | 95%/3% | ||||
| Ag | Min Payable/Deduction | 95%/50.0 g/t | ||||
| Metal Prices | ||||||
| Zn | US$/lb | 1.30 | ||||
| Pb | US$/lb | 1.02 | ||||
| Ag | US$/oz | 19.38 | ||||
| Transport Charges | ||||||
| Zn Concentrate | US$/t conc. | 16.60 | ||||
| Pb Concentrate | US$/t conc. | 278.72 | ||||
| Treatment Charges | ||||||
| Zn Concentrate | US$/t conc. | 0 | ||||
| Pb Concentrate | US$/t conc. | 142.57 | ||||
| Refining Charges | ||||||
| Ag in Pb Concentrate | US$/oz | 1.00 | ||||
| Integrated Zn (processed at Três Marias) | ||||||
| Premium | US$/t | 286.31 | ||||
| Conversion Cost | US$/t | 473.95 | ||||
| Operating Costs | ||||||
| Mining | US$/t proc. | 0.60 | ||||
| Processing | US$/t proc. | 14.57 | ||||
| G&A | US$/t proc. | 5.45 | ||||
| Total | US$/t proc. | 20.62 | ||||

Nexa Resources S.A. | Vazante Polymetallic Operations, SLR Project No: 233.03245.R0000
Technical Report Summary - February 15, 2021
11-111

NSR calculations use a model head grade-recovery relationship for each metal, based on recent operating performance. The head grade and recovery curves are presented in Figure 11-67 and Figure 11-68. NSR factors are therefore variable by head grade, with average NSR factors summarized in Table 11-40. The average NSR factors are calculated using the LOM revenue contribution from each metal net of off-site costs and factors, divided by the reserve grade for that metal, and are indicative of the relative contribution of each metal unit to the economics of the mine. For most metals, a variable recovery (as a function of head grade) was used, and therefore the average NSR factors should not be applied to head grades without considering the head grade versus recovery relationship.

Source: Nexa
Figure 11-67: Zinc Grade-Recovery Curve for the Aroeira Tailings

Nexa Resources S.A. | Vazante Polymetallic Operations, SLR Project No: 233.03245.R0000
Technical Report Summary - February 15, 2021
11-112

Source: Nexa
Figure 11-68: Lead Grade-Recovery Curve for the Aroeira Tailings
Table 11-40: Average NSR Factors for the Aroeira Tailings
Nexa Resources S.A. – Vazante Polymetallic Operations
| Item | Units | Value | |||||||
| Zn | US$/% | 18.75 | |||||||
| Pb | US$/% | 1.39 | |||||||
| Ag | US$/oz | 6.88 | |||||||
Metal prices are based on Nexa’s projections. Nexa’s long term price model uses multiple variables including supply (mine and refined), demand, cost drivers, capital cost, and other key elements. The long term prices derived are in line with the consensus forecasts from banks and independent institutions.
| 11.4.14 | Mineral Resource Reporting |
Mineral Resources are prepared in accordance with the definitions for Mineral Resources in S-K 1300, which are consistent with CIM (2014) definitions.
The Mineral Resources are exclusive of Mineral Reserves. The Mineral Resources comprise material with an NSR value of greater than US$20.62/t which lies above the original topographic surface. As the original topographic surface represents a stable slope, SLR is of the opinion that this is sufficient to satisfy the “Reasonable Prospects” requirement of S-K 1300. The Mineral Resources for the Aroeira tailings mineralization are presented in Table 11-41. No previous Mineral Resources have been disclosed by Nexa in respect to the Aroeira tailings mineralization.

Nexa Resources S.A. | Vazante Polymetallic Operations, SLR Project No: 233.03245.R0000
Technical Report Summary - February 15, 2021
11-113
.
In SLR’s opinion, the assumptions, parameters, and methodology used for the Aroeira tailings Mineral Resource estimates are appropriate for the style of mineralization and anticipated mining methods.
The SLR QP is of the opinion that, with consideration of the recommendations summarized in Section 1 and Section 23, any issues relating to all relevant technical and economic factors likely to influence the prospect of economic extraction can be resolved with further work.
Table 11-41: Mineral Resources for the Aroeira Tailings as of December 31, 2020
Nexa Resources S.A. – Vazante Polymetallic Operations
| Tonnes | Grade | Contained Metal | |||||||||||||||||||
| Category | (000 t) | (% Zn) | (% Pb) | (g/t Ag) | (000 t Zn) | (000 t Pb) | (000 oz Ag) | ||||||||||||||
| Measured | 0 | 0 | 0 | 0 | 0 | 0 | 0 | ||||||||||||||
| Indicated | 0 | 0 | 0 | 0 | 0 | 0 | 0 | ||||||||||||||
| Subtotal, M&I | 0 | 0 | 0 | 0 | 0 | 0 | 0 | ||||||||||||||
| Inferred | 3,939 | 4.06 | 0.25 | 7.8 | 160 | 9.9 | 995 | ||||||||||||||
Notes:
| 1. | The definitions for Mineral Resources in S-K 1300 were followed for Mineral Resources which are consistent with CIM (2014) definitions. | |
| 2. | Mineral Resources are reported on a 100% ownership basis. | |
| 3. | Mineral Resources are estimated at a NSR cut-off value of US$20.62/t. | |
| 4. | Mineral Resources are estimated using average long term metal prices of Zn: US$2,869.14/t (US$1.30/lb), Pb: US$2,249.40/t (US$1.02/lb), and Ag: US$19.38/oz, and metallurgical recoveries are based on recovery curves derived from historical processing data and test work. An average long term R$/US$ exchange rate of 4.84 was used. | |
| 5. | The average bulk density is 1.71 t/m3. | |
| 6. | Mineral Resources are exclusive of Mineral Reserves. | |
| 7. | Mineral Resources that are not Mineral Reserves do not have demonstrated economic viability. | |
| 8. | Mineral Resources are reported for all material with grades above the nominated NSR cut-off values and above the original topographic surface. | |
| 9. | Numbers may not add due to rounding. |
| 11.4.15 | Risks and Uncertainties to Mineral Resources |
Based on SLR’s review of the tailings Mineral Resource estimate, the following key risks have been identified:
| · | Due to the variability inherent to the tailings mineralization, the presence, location, size, shape, and grade of the actual mineralization between the existing sample points may differ from the current interpretation. This risk item can be addressed by completion of additional drilling and sampling programs. |
| · | Due to the natural variability in the dry bulk density of the mineralized material, the local density for any portion of the Mineral Resources may vary from the estimated value, resulting in either an increase or decrease in the tonnage estimate at the local scale. This risk item can be improved with increased density of drill hole data. |
Nexa Resources S.A. | Vazante Polymetallic Operations, SLR Project No: 233.03245.R0000
Technical Report Summary - February 15, 2021
11-114
| · | Changes in the metallurgical recoveries from the estimated values used in preparation of the Mineral Resource statement can impact on the amount of metal recovered at time of production. This risk item can be improved by completion of additional metallurgical test work. |
| · | Due to variations in the global supply chain, the actual metal prices realized at the time of production may differ from the long term metal prices that were used in the preparation of the Mineral Resource statements. Lower zinc metal prices realized at the time of production may result in a decrease in Mineral Resources. In SLR’s opinion the Mineral Resources are not sensitive to variations in the prices of silver or lead from those used in the current Mineral Resource statement. |
| · | The cut-off grade (or value) used in preparation of the current Mineral Resource statement can be affected by variations in the Brazilian Real and United States dollar exchange rate. A strengthening of the Brazilian Real versus the United States dollar may result in an increase in the cut-off grade (or value), with a corresponding decrease in the Mineral Resources. |
Nexa Resources S.A. | Vazante Polymetallic Operations, SLR Project No: 233.03245.R0000
Technical Report Summary - February 15, 2021
11-115
| 12.0 | Mineral Reserve Estimates |
| 12.1 | Summary |
The Mineral Reserves estimate for the Vazante Operation as at December 31, 2020 is presented in Table 12-1.
SLR is of the opinion that the Mineral Reserves have been prepared in an appropriate manner consistent with good engineering practices and completed by competent professional personnel.
Table 12-1: Summary of Mineral Reserves as of December 31, 2020
Nexa Resources S.A. – Vazante Polymetallic Operations
| Tonnes | Grade | Contained Metal | ||||||||||||||||||||||||||
| Deposit/Category | (000 t) | (% Zn) | (% Pb) | (g/t Ag) | (000 t Zn) | (000 t Pb) | (000 oz Ag) | |||||||||||||||||||||
| Lumiadeira | ||||||||||||||||||||||||||||
| Proven | 3,410 | 8.93 | 0.22 | 20.78 | 304.5 | 7.6 | 2,278 | |||||||||||||||||||||
| Probable | 3,260 | 8.86 | 0.22 | 18.44 | 289.0 | 7.2 | 1,933 | |||||||||||||||||||||
| Proven & Probable | 6,670 | 8.90 | 0.22 | 19.64 | 593.5 | 14.8 | 4,211 | |||||||||||||||||||||
| Sucuri | ||||||||||||||||||||||||||||
| Proven | 3,408 | 8.41 | 0.26 | 13.74 | 286.8 | 9.0 | 1,505 | |||||||||||||||||||||
| Probable | 1,225 | 7.17 | 0.26 | 11.40 | 87.9 | 3.2 | 449 | |||||||||||||||||||||
| Proven & Probable | 4,633 | 8.09 | 0.26 | 13.12 | 374.7 | 12.3 | 1,954 | |||||||||||||||||||||
| Extremo Norte | ||||||||||||||||||||||||||||
| Proven | 1,621 | 7.25 | 0.24 | 6.57 | 117.5 | 4.0 | 342 | |||||||||||||||||||||
| Probable | 3,760 | 9.34 | 0.18 | 7.11 | 351.0 | 6.9 | 860 | |||||||||||||||||||||
| Proven & Probable | 5,381 | 8.71 | 0.20 | 6.95 | 468.6 | 10.9 | 1,202 | |||||||||||||||||||||
| Total | ||||||||||||||||||||||||||||
| Proven | 8,439 | 8.40 | 0.24 | 15.20 | 708.8 | 20.6 | 4,125 | |||||||||||||||||||||
| Probable | 8,245 | 8.83 | 0.21 | 12.23 | 727.9 | 17.4 | 3,241 | |||||||||||||||||||||
| Proven & Probable | 16,684 | 8.61 | 0.23 | 13.73 | 1,436.7 | 38.0 | 7,367 | |||||||||||||||||||||
Notes:
| 1. | The definitions for Mineral Reserves in S-K 1300 were followed for Mineral Reserves which are consistent with CIM (2014) definitions. | |
| 2. | Mineral Reserves are estimated at a cut-off NSR value of US$47.49/t processed. | |
| 3. | Mineral Reserves are estimated using an average long term metal prices of US$2,494.90/t Zn, US$1,956.00/t Pb and US$16.85/oz Ag and a R$/US$ exchange rate of 4.84. | |
| 4. | A minimum mining width of 4.0 m was used. | |
| 5. | Bulk density is 3.1 t/m3. | |
| 6. | Numbers may not add due to rounding. |
Nexa Resources S.A. | Vazante Polymetallic Operations, SLR Project No: 233.03245.R0000
Technical Report Summary - February 15, 2021
12-1
Nexa reviewed supply and demand projections for zinc, lead, and silver, as well as consensus long term (10 year) metal price forecasts. SLR verified that Nexa’s selected metal prices for estimating Mineral Reserves are in line with independent forecasts from banks and other lenders.
The SLR QP is not aware of any risk factors associated with or changes to any aspect of the modifying factors such as mining, metallurgical, infrastructure, permitting, or other relevant factors that could materially affect the Mineral Reserve estimate.
| 12.1.1 | Mineral Reserve Process |
Mineral Reserves were estimated by flagging mined-out stope surveys through September 2020 and planned mining to December 31, 2020, as zero-values in the block model. After year end, SLR verified the estimate by reviewing actual mining results for the short period of projected mining. Deviations from plan, amounting to approximately 1% of total Mineral Reserves tonnage, were caused by 2020 infill drilling and mining of some areas classified as Inferred at the time of the estimate. SLR considers these deviations to be typical of ongoing mining operations, and not significant or material to the Mineral Reserves estimate.
The Mineral Reserve estimation process commences with the generation of cross sections through the deposit. Sections are generally spaced at 70 m along strike which is consistent with the planned stope dimensions.
The NSR calculation is prepared in a MS Excel spreadsheet to calculate the NSR for a given set of metal grades. The NSR calculation is applied to the resource block model, with stopes then evaluated to determine if the stope value exceeds the cut-off grade. This is followed by the completion of stope and development design. Mineral Reserves are depleted to the start date and the production schedule is then completed using the Deswik scheduling software. Dilution and extraction values are applied in the scheduling software.
| 12.2 | Dilution |
Dilution at the Vazante Operation is challenging to estimate and accurately predict due to the varying mineralization geometry. The current dilution factors used are shown in Table 12-2.
Table 12-2: Mine Dilution
Nexa Resources S.A. – Vazante Polymetallic Operations
| Type | Method | Long Term | Source | ||||
| Operational Dilution | SLS (m) Dip<60 deg | 0.25m (FW) / 0.75m (HW) | Historical | ||||
| SLS (m) 60<Dip<80 deg | 0.5m(HW) | Historical | |||||
| SLS (m) Dip>80 deg | 0 m | Historical | |||||
| CAF (%) | 12 % | Historical | |||||
| Planned Dilution | CAF (%) | Variable | Design | ||||
| SLS (%) | Variable | Design |
Nexa Resources S.A. | Vazante Polymetallic Operations, SLR Project No: 233.03245.R0000
Technical Report Summary - February 15, 2021
12-2
SLR notes that the planned dilution for SLS uses a new methodology which assumes an estimate of the equivalent length of slough (ELOS, m) depending on the dip of the stope, ranging from zero metres to 0.75 m in the hanging wall and zero metres to 0.25 m in the footwall. SLR is of the opinion that the dilution factors indicated in Table 12-2 appear to be on the low side, as the reported planned dilution for 2020 YE was 26.1% and the operational dilution was 19.4%, with the total dilution for 2020 totalling approximately 45.5%. For comparison, Table 12-3 below shows the 2020 Mining Quality Control program outlining dilution and recovery results for the year.
Table 12-3: Mining Quality Control 2020
Nexa Resources S.A. – Vazante Polymetallic Operations
| Month | Planned Dilution (%) | Operational Dilution (%) | Mining Recovery (%) | |||
| January | 35.5 | 15.5 | 78.8 | |||
| February | 21.3 | 23.7 | 96.9 | |||
| March | 15.6 | 20.6 | 97.9 | |||
| April | 17.3 | 21.2 | 94 | |||
| May | 21.1 | 21.8 | 88.6 | |||
| June | 24.7 | 22.5 | 81.8 | |||
| July | 27.1 | 20.3 | 85.5 | |||
| August | 28 | 12.8 | 76.9 | |||
| September | 30.9 | 20 | 86.5 | |||
| October | 28.8 | 20.8 | 94.2 | |||
| November | 36.7 | 15.4 | 84 | |||
| December | 26.7 | 17.7 | 86.1 | |||
| Total | 26.1 | 19.4 | 87.6 |
SLR has reviewed the impacts of changes to the dilution estimate. While increasing dilution could render some Mineral Reserves below cut-off grade the proportion is relatively low and overall, the Mineral Reserves are relatively insensitive to dilution fluctuations.
In SLR’s opinion the high dilution is caused in part by the current cable bolting procedure, whereby bolts are installed from the undercut level and fanned into the hanging wall of the stope. SLR recommends improving the cable bolt coverage of the stope by drilling the cable bolt holes from a hanging wall access, where the cost can be justified. Additionally, SLR also recommends assessing the production drilling design to reduce the potential for dilution.
| 12.3 | Mining Extraction |
Mining extraction factors for the Vazante Operation are presented in Table 12-4. While Nexa refers to this as mining recovery, SLR’s preference is to refer to this as mining extraction to avoid possible confusion between mining and milling recovery.

Nexa Resources S.A. | Vazante Polymetallic Operations, SLR Project No: 233.03245.R0000
Technical Report Summary - February 15, 2021
12-3
Table 12-4: Mining Extraction Factors
Nexa Resources S.A. – Vazante Polymetallic Operations
| Method | Long Term | Source | Short Term | Source | |||||||||||
| Island Pillar | 50 | % | Historical | 50 | % | Historical | |||||||||
| SLS (VRM) | 98 | % | Historical | ||||||||||||
| SLS (OS) | 83 | % | Historical | ||||||||||||
| Rib Pillar | 60 | % | Historical | 60 | % | Historical | |||||||||
| CAF | 98 | % | Benchmark | 98 | % | Benchmark | |||||||||
| Sill Pillar | 35 | % | Design | ||||||||||||
Mineral Reserve tonnage and metal content are affected in direct proportion to variations in extraction.
SLR is of the opinion that the mining extraction factors are reasonable. SLR notes that island pillar refers to pillars that are left at the midpoint of a 60 m long stope whereas the rib pillars are located on the ends of the stope block.
| 12.4 | Geotechnical and Hydrological Studies |
Multiple geotechnical and hydrological studies and analysis have been performed to assist in the mine planning process for the Vazante Operation.
| 12.4.1 | Geotechnical |
The methodology for stope design including sublevel intervals, pillar spacing and sizes, and ground support requirements are based on empirical methods. Mine geotechnical personnel collect and record important data that is used in empirical analysis for the design process. The Rock Mass Rating (RMR) is determined using six parameters including:
| · | A1, uniaxial strength of the intact rock. |
| · | A2, rock quality designation (RQD). |
| · | A3, spacing of discontinuities. |
| · | A4, condition of discontinuities. |
| · | A5, ground water conditions. |
| · | B, orientation of discontinuities. |
The RMR value is determined by the following equation: RMR= A1+A2+A3+A4+A5+B, and the Modified or Adjusted RMR’ is estimated by applying the factor for the dip of the structure as follows.
RMR’= RMR(1-0.4cosØ)
Where:
Ø is the angle of the hanging wall contact or dip of the structure.
Values of the various factors are taken from published tables of data developed over time by various professionals in the field of rock mechanics and used in empirical analysis. For the Vazante Operation rock masses an average RMR value of 47 was estimated and using an average dip of 61° an RMR’ of approximately 40 was determined. These values can be determined for each stope in question to address the varying conditions throughout the underground mine.
The Rock Mass Quality Index (Q) was assessed using the parameters summarized in Table 12-5. These values represent the current values used at the Vazante Operation.
Nexa Resources S.A. | Vazante Polymetallic Operations, SLR Project No: 233.03245.R0000
Technical Report Summary - February 15, 2021
12-4

Table 12-5: Rock Mass Quality
Nexa Resources S.A. – Vazante Polymetallic Operations
| Value | Dip | RQD | Jn | Jr | Ja | Q' | |||||||||||||||||||
| High | 89 | 100 | 15 | 1 | 3 | 3.33 | |||||||||||||||||||
| Low | 28 | 13 | 15 | 1 | 2 | 0.43 | |||||||||||||||||||
| Average | 61 | 75 | 15 | 1 | 2 | 2.48 | |||||||||||||||||||
The factors Jn, Jr and Ja refer to joint number, joint roughness, and joint alteration, respectively. These factors allow for the calculation of the Modified Rock Mass Quality Index (Q’) based on the following formula:
Q’= RQD/Jn x Jr/Ja
The value of Q’ can then be used to evaluate the Stability Number (N’) which enables plotting of the value on a stability graph against the hydraulic radius (Hr), area of the opening divided by the perimeter, of the stope. Stability graphs have been developed over time based on case histories and provide a guide as to whether the opening is in a stable zone, transition zone, or caving zone. These graphs provide guidance in regard to the recommended support to stabilize the opening and control sloughing in order to control the amount of dilution entering the stope excavation.
Geotechnical data is also used to determine the factors for N’ as shown in Table 12-6.
Table 12-6: Modified Stability Number
Nexa Resources S.A. – Vazante Polymetallic Operations
| Value | Factor A | Factor B | Factor C | N' | Hr | ||||||||||||||||
| High | 1.0 | 0.3 | 7.9 | 7.4 | 12.5 | ||||||||||||||||
| Low | 0.9 | 0.3 | 2.0 | 0.8 | 1.3 | ||||||||||||||||
| Average | 1.0 | 0.3 | 5.1 | 3.8 | 5.6 | ||||||||||||||||
N’ is determine using the following formula.
N’= Q’ x A x B x C
Where:
A= is a measure of the ratio of intact rock strength to induced stress.
B= is a measure of the relative orientation of dominant jointing with respect to the excavation surface.
C= is a measure of the influence of gravity on the stability of the face being considered.
A range of values of each of these factors has been developed by various experts and can be used by operating mines in assessing their proper conditions.
The rock mass classification for the Vazante Operation is presented in Table 12-7.
Nexa Resources S.A. | Vazante Polymetallic Operations, SLR Project No: 233.03245.R0000
Technical Report Summary - February 15, 2021
12-5
Table 12-7: Rock Mass Classification
Nexa Resources S.A. – Vazante Polymetallic Operations
| Class | Degree Alteration | Degree Fracturing | Rock Quality | Structural Pattern | Lithology | Presence of Cracks | Fragmentation of Blocks | Recovery (%) | RQD (%) | |||||||||
| II-A | A2 | F2-F3 | V. Good | Slab | Dolomites | No | m3 | >95% | >60 | |||||||||
| II-B | A2 | F2-F3 | V. Good | Wedge | Breccia | No | m3 | >95% | >60 | |||||||||
| III-A | A2-A3 | F3 | V. Good | Slab | Dolomites | No | dm3 to m3 | 90% - 95% | 50 to 75 | |||||||||
| III-B | A2-A3 | F3 | V. Good | Wedge | Breccia | No | dm3 to m3 | 90% - 95% | 50 to 75 | |||||||||
| IV-A | A3 | F3-F4 | Good/Avg. | NA | NA | cm to dm | cm3 to dm3 | >90% | 25 to 50 | |||||||||
| IV-B | A3-A4 | F3-F4 | Avg./Poor | NA | NA | cm to dm | cm3 to dm3 | 75% - 95% | 25 to 50 | |||||||||
| V | A3-A4 | F4 | V. Poor | NA | NA | cm to dm | cm3 to dm3 | 50% - 75% | <25 | |||||||||
| VI | A2 | F4-F5 | V. Poor | Slab | NA | No | cm3 to dm3 | >95% | <25 | |||||||||
| VII | A4 | F4-F5 | V. Poor | Filito | NA | m | cm3 to dm3 | <50% | <25 | |||||||||
| Pillars | Independent assessment | |||||||||||||||||
Figure 12-1 indicates the support chart used to determine the level of support for the heading in question. The example shown is for breccia with a heading dimension of 4.5m x 5.0 m and the coloured dots indicate the minimum (red), average (yellow) and maximum (green) Q values.

Figure 12-1: Empirical Support Chart
Ground support at the Vazante Operation includes the following, depending on the condition being addressed.
Nexa Resources S.A. | Vazante Polymetallic Operations, SLR Project No: 233.03245.R0000
Technical Report Summary - February 15, 2021
12-6

| · | Rock bolts, rebar, swellex, split -set bolts of varying lengths up to two metres. |
| · | Welded wire mesh, |
| · | Cable bolts that are grouted in place (can be tensioned). |
| · | Shotcrete (including fibre reinforced) sprayed at various thickness to obtain the required strength. |
Due to the average dip of the Vazante veins, cable bolting is a prominent support method used and efforts are ongoing to improve the cable bolt pattern designs to help reduce the amount of dilution from the hanging walls of the stopes.
An example of the RMR’ and N’ graphs is shown in Figure 12-2 and Figure 12-3.
Figure 12-1 provides an estimate of the ELOS, on the stope hanging wall, using the adjusted RMR’ plotted against the stope Hr. Figure 12-2 indicates the location of the low, average, and high N’ and Hr values with respect to cable bolting case histories showing the range for the stable, transition, and caving zones experienced in hard rock mines. These curves reflect the need for good support of the stope hanging walls to help control the amount of slough created. N’ indicates some case histories of cable bolting providing stability, particularly at the average Hr value at the Vazante Operation.
Nexa Resources S.A. | Vazante Polymetallic Operations, SLR Project No: 233.03245.R0000
Technical Report Summary - February 15, 2021
12-7


Figure 12-2: ELOS Graph for Vazante Mine
Nexa Resources S.A. | Vazante Polymetallic Operations, SLR Project No: 233.03245.R0000
Technical Report Summary - February 15, 2021
12-8

Figure 12-3: Stope Stability Graph
Pillars are also used to control stope dilution. These include the use of sill pillars between mining sublevels, island pillars located at the centre of stopes, and rib pillars positioned at the extremities of the stopes to reduce the potential for excess sloughing from the hanging wall contact and control dilution from adjacent filled stopes. Efforts are being made by Nexa personnel to optimize the design and positioning of the pillars to maximize economic returns. The ELOS is currently assessed by taking measurements using a scanning device such as a CMS in order to enable reconciliation of actual to design values. CMS coverage is currently completed on a monthly basis by geotechnical staff, however, the company has not been able to measure every stope. SLR notes that Nexa personnel are working to maximize the measurements and supports these efforts.

Nexa Resources S.A. | Vazante Polymetallic Operations, SLR Project No: 233.03245.R0000
Technical Report Summary - February 15, 2021
12-9
The Vazante Operation has a Ground Control Management Plan which details the support mechanisms for the various ground classifications, implementation strategy, and verification through QA/QC. Instrumentation is used to monitor critical excavation areas and critical analysis is carried out on a regular basis. Control of ground vibrations through rigorous blasting design follows industry best practices.
In SLR’s opinion the geotechnical data collection and analysis, and ground control designs for the Vazante Operation are adequately addressed by Nexa personnel.
| 12.4.2 | Hydrology |
Nexa uses a FEFLOW ground water model, which was last updated in 2019, as its primary water management tool at the Vazante Operation. Given the extreme dewatering that is required to permit ongoing mining hydrologic monitoring is considered a critical element of operations. Continued calibration of flows is important to predict, plan, and install required pumping capacities for the Vazante Operation. The average dewatering rate has been estimated at an average of 13,000 m³/h to 15,000m³/h.
The capacity of the pumping stations at Vazante include the following:
| · | Vazante Mine |
| o | 297 Level Station 19,500m³/h |
| o | 140 Level Station 10,000m³/h and Phase 2 up to 20,000m³/h |
| · | Extremo Norte |
| o | 522 Level Station 2,000m³/h |
| o | 347 Level Station 1,000m³/h (planned for 2020) |
| o | 185 Level Station 1,000m³/h (planned for 2026) |
The frequency of dolines/sinkholes at Vazante and Extremo Norte mines has been well documented over time and is discussed in further detail in Section 13.4.4 Dolines and Sinkholes of this Technical Report Summary.
SLR notes extreme rainfall events and the associated potential temporary flooding of the Santa Catarina River could present a major risk to the underground mining operations.
| 12.5 | Cut-Off Value |
A NSR cut-off value is determined using the Mineral Reserve metal prices, metal recoveries, concentrate transport, treatment, and refining costs as well as mine operating costs. The metal prices used for the for the Mineral Reserves are based on consensus, long term forecasts from banks, financial and other sources.
The cut-off value used to calculate Mineral Reserves is based on an NSR value (US$/t processed), which can be directly compared to the mine operating costs. The NSR formula is:

Nexa Resources S.A. | Vazante Polymetallic Operations, SLR Project No: 233.03245.R0000
Technical Report Summary - February 15, 2021
12-10
The cut-off costs and NSR parameters are summarized in Table 12-8. The breakeven NSR cut-off value was estimated to be $47.49/t processed, which Nexa has indicated is equivalent to a 3.03% Zn cut-off grade excluding any silver or lead credits. SLR considers this appropriate as this includes the contribution of all metals. An incremental cut-off value of $34.55/t is used for certain stopes where the cost of the development to access the ore has been paid for by adjacent mined Mineral Reserves.
Table 12-8: NSR Data
Nexa Resources S.A. – Vazante Polymetallic Operations
| Item | Units | Value | ||||||
| Metallurgical Recovery | ||||||||
| Zn | % | 82.11 | ||||||
| Pb | % | 22.12 | ||||||
| Cu | % | NA | ||||||
| Ag | % | 42.00 | ||||||
| Zn Concentrate Payable | % | 85.0 | ||||||
| Pb Concentrate Payable | % | 95.0 | ||||||
| Cu Concentrate Payable | % | 97.0 | ||||||
| Metal Prices | ||||||||
| Zn | US$/t | 2,494.30 | ||||||
| Pb | US$/t | 1,956.00 | ||||||
| Cu | US$/t | 6,457.90 | ||||||
| Ag | US$/oz | 16.85 | ||||||
| Transport Charges | ||||||||
| Zn Concentrate | US$/t conc. | Integrated | ||||||
| Pb Concentrate | US$/t conc. | 278.72 | ||||||
| Cu Concentrate | US$/t conc. | NA | ||||||
| Treatment Charges | ||||||||
| Zn Concentrate | US$/t conc. | 0 | ||||||
| Pb Concentrate | US$/t conc. | 142.57 | ||||||
| Cu +RC Concentrate | US$/t conc. | NA | ||||||
| Refining Charges | ||||||||
| Cu Concentrate | US$/lb | |||||||
| Ag in Cu Concentrate | US$/oz | NA | ||||||
| Ag in Pb Concentrate | US$/oz | 1.00 | ||||||
| Integrated Zn | ||||||||
| Premium | US$/t | 286.31 | ||||||
| Conversion Cost | US$/t | 473.95 | ||||||
| Operating Costs | ||||||||
| Mining | US$/t proc. | 27.47 | ||||||
| Processing + Maintenance | US$/t proc. | 14.57 | ||||||
| General and Administration (G&A) | US$/t proc. | 5.45 | ||||||
| Total | US$/t proc. | 47.49 | ||||||
Nexa Resources S.A. | Vazante Polymetallic Operations, SLR Project No: 233.03245.R0000
Technical Report Summary - February 15, 2021
12-11
SLR notes that the metallurgical recoveries presented in Table 12-8 are averages, however, the NSR calculations use a grade-recovery relationship for each metal based on recent operating performance. Therefore, the NSR factors are variable by head grade, with average NSR factors summarized in Table 12-9. The average NSR factors are calculated using the LOM revenue contribution from each metal net of off-site costs and factors, divided by the reserve grade for that metal, and are indicative of the relative contribution of each metal unit to the economics of the mine. For most metals, a variable recovery (as a function of head grade) was used, and therefore the average NSR factors should not be applied to head grades without considering the head grade versus recovery relationship.
Table 12-9: Average NSR Factors
Nexa Resources S.A. – Vazante Polymetallic Operations
| Metal | Unit | Value | ||||||
| Zn | US$/% | 17.32 | ||||||
| Pb | US$/% | 0.08 | ||||||
| Cu | US$/% | N/A | ||||||
| Ag | US$/g | 0.20 | ||||||
SLR is of the opinion that, except as noted, the parameters and calculations used in the NSR calculation are appropriate. SLR notes that the use of an NSR cut-off grade in what is essentially a single product mine (98% revenue from zinc) is not completely necessary. Vazante Operation geologists may benefit from having the cut-off grade expressed as percent zinc as grade control at the Vazante Operation is predominantly based on visual grade estimation by Vazante Operation geologists.
| 12.6 | Reconciliation |
Ore recovery is currently assessed by taking measurements using a scanning device such as a CMS in order to enable reconciliation of actual to design values. CMS coverage is currently completed on a monthly basis by geotechnical staff, however, Nexa has not been able to measure every stope. SLR notes that Nexa personnel are working to maximize the measurements and supports these efforts.
The reconciliation data available for the underground mine is shown in Table 12-10 for the period January 1, 2020 to December 31, 2020
Nexa Resources S.A. | Vazante Polymetallic Operations, SLR Project No: 233.03245.R0000
Technical Report Summary - February 15, 2021
12-12
Table 12-10: Reconciliation Data
Nexa Resources S.A. – Vazante Polymetallic Operations
| Mined | Reserve Model | ||||||||||||||||||||||||
Month | Tonnes (t) | Grade (% Zn) | Contained Zinc (t) | Tonnes (t) | Grade (% Zn) | Contained Zinc (t) | |||||||||||||||||||
| Jan 2020 | 101,083 | 9.54 | 9,642 | 89,735 | 10.59 | 9,502 | |||||||||||||||||||
| Feb 2020 | 101,123 | 11.28 | 11,407 | 87,395 | 12.25 | 10,705 | |||||||||||||||||||
| Mar 2020 | 94,909 | 10.90 | 10,345 | 62,115 | 13.35 | 8,292 | |||||||||||||||||||
| Apr 2020 | 99,061 | 9.51 | 9,425 | 76,276 | 10.82 | 8,253 | |||||||||||||||||||
| May 2020 | 114,518 | 11.26 | 12,891 | 95,418 | 12.10 | 11,543 | |||||||||||||||||||
| Jun 2020 | 75,566 | 9.93 | 7,504 | 73,931 | 11.29 | 8,347 | |||||||||||||||||||
| Jul 2020 | 93,321 | 10.52 | 9,817 | 88,382 | 12.09 | 10,685 | |||||||||||||||||||
| Aug 2020 | 93,645 | 9.19 | 8,603 | 105,720 | 10.03 | 10,601 | |||||||||||||||||||
| Sep 2020 | 100,058 | 10.23 | 10,240 | 103,690 | 10.82 | 11,224 | |||||||||||||||||||
| Oct 2020 | 107,789 | 10.69 | 11,528 | 95,951 | 11.88 | 11,401 | |||||||||||||||||||
| Nov 2020 | 96,612 | 9.91 | 9,574 | 101,542 | 10.87 | 11,034 | |||||||||||||||||||
| Dec 2020 | 98,529 | 12.12 | 11,945 | 94,829 | 13.70 | 12,991 | |||||||||||||||||||
| 2020 Total | 1,176,214 | 10.45 | 122,920 | 1,074,984 | 11.59 | 124,579 | |||||||||||||||||||
The comparison of the recovered ore to the Mineral Reserve model (as a percentage) is shown in Table 12-11. Results suggest that actual dilution is higher than estimated, as noted above.
Table 12-11: Recovered Compared to Reserve Model
Nexa Resources S.A. – Vazante Polymetallic Operations
| Month | Tonnes | Grade | Contained Zinc | ||||||||||
| Jan 2020 | 13 | % | -10 | % | 1 | % | |||||||
| Feb 2020 | 16 | % | -8 | % | 7 | % | |||||||
| Mar 2020 | 53 | % | -18 | % | 25 | % | |||||||
| Apr 2020 | 30 | % | -12 | % | 14 | % | |||||||
| May 2020 | 20 | % | -7 | % | 12 | % | |||||||
| Jun 2020 | 2 | % | -12 | % | -10 | % | |||||||
| Jul 2020 | 6 | % | -13 | % | -8 | % | |||||||
| Aug 2020 | -11 | % | -8 | % | -19 | % | |||||||
| Sep 2020 | -4 | % | -5 | % | -9 | % | |||||||
| Oct 2020 | 12 | % | -10 | % | 1 | % | |||||||
| Nov 2020 | -5 | % | -9 | % | -13 | % | |||||||
Nexa Resources S.A. | Vazante Polymetallic Operations, SLR Project No: 233.03245.R0000
Technical Report Summary - February 15, 2021
12-13
| Month | Tonnes | Grade | Contained Zinc | |||||||||
| Dec 2020 | 4 | % | -12 | % | -8 | % | ||||||
| 2020 Total | 9 | % | -10 | % | -1 | % | ||||||
SLR notes that while overall mined tonnage is 9% higher than planned, there is a lower grade tertiary lens of mineralization surrounding the higher grade ore that is being recovered in some of the overbreak areas.
SLR considers the efforts put into the record keeping and reconciliation to be of good quality and in accordance with good industry practice. SLR recommends that the reconciliation results and the stope performance analysis be used to evaluate stope designs to determine where improvements in mine planning would be most advantageous.
| Nexa Resources S.A.│Vazante Polymetallic Operations, SLR Project No: 233.03245.R0000 |
| Technical Report Summary - February 15, 2021 |
12-14
| 13.0 | Mining Methods |
| 13.1 | Mine Design |
The Vazante Operation consists of two mechanized underground mines, the Vazante Mine and Extremo Norte Mine, currently operating at a rate of approximately 1.5 Mtpa. The mineralized zones dip between 45° and 70° and the mine extends over a strike length of five kilometres. With the addition of the North Extension, this will increase to approximately 10 km. The Vazante Mine currently extends over a vertical depth of 300 m from surface to the 326 level. The Vazante Mine is being deepened by 186 m to the planned 140 level. There are former open pits along portions of the strike of the Vazante deposit.
There are two access ramps to the Vazante Mine and one to the Extremo Norte Mine. Mine headings range from 5 m high by 4.5 m wide ore drives to 6 m high by 5 m wide main ramps. The average stope widths based on the Measured and Indicated Mineral Resources at 2019 YE are listed in Table 13-1. The thicknesses were examined in the lower, central, and upper portions of the Vazante Mine, with the overall averages shown for the Extremo Norte Mine area. The minimum mining width for Mineral Reserve estimation is stated as four metres. While the mineralization tends to become narrower at depth, the average thickness is between nine metres and ten metres. SLR does not consider the narrow ore widths to be a major issue with respect to the Mineral Reserve estimation, however, SLR recommends that Nexa consider employing smaller mine equipment, particularly load-haul-dump units (LHDs) and production drills in narrow areas if the economics can be justified. Figure 13-1 presents a longitudinal section of the thickness contours.
Table 13-1: Stope Average Widths (2019 YE)
Nexa Resources S.A. – Vazante Polymetallic Operations
| Vazante | Extremo Norte | |||||||||||||||||||
| Widths (m) | Vazante All | Lower (Below 225 m) | Central (225 m to 326 m) | Upper (Above 326 m) | All Areas | |||||||||||||||
| <4 | 0.2 | % | 0.1 | % | 0.0 | % | 0.1 | % | 0.0 | % | ||||||||||
| <5 | 8.4 | % | 1.4 | % | 6.1 | % | 1.0 | % | 5.2 | % | ||||||||||
| <6 | 14.3 | % | 2.5 | % | 10.3 | % | 1.5 | % | 8.5 | % | ||||||||||
| <7 | 19.8 | % | 3.2 | % | 14.6 | % | 2.0 | % | 11.3 | % | ||||||||||
| <8 | 24.2 | % | 4.0 | % | 17.8 | % | 2.3 | % | 14.0 | % | ||||||||||
| <9 | 28.6 | % | 4.8 | % | 21.2 | % | 2.6 | % | 15.7 | % | ||||||||||
| <10 | 32.6 | % | 5.1 | % | 24.6 | % | 2.8 | % | 17.9 | % | ||||||||||
| >10 | 68.1 | % | 8.3 | % | 54.8 | % | 5.0 | % | 31.9 | % | ||||||||||
| Nexa Resources S.A.│Vazante Polymetallic Operations, SLR Project No: 233.03245.R0000 |
| Technical Report Summary - February 15, 2021 |
13-1

Figure 13-1: Mine Longitudinal Section Showing Resource Thickness Contours

Nexa Resources S.A. | Vazante Polymetallic Operations, SLR Project No: 233.03245.R0000
Technical Report Summary - February 15, 2021
13-2
The Vazante Operation is designed based upon mechanized longitudinal longhole stoping for areas with a dip in excess of 45°. Longhole stopes are developed with footwall access drives parallel to the orebody. Crosscuts are driven from the footwall drive and then the ore is developed along strike. Sublevels are typically 30 m apart though the distance varies depending on the orebody. Long holes are often a combination of downholes or VRM and uppers or sublevel longhole open stopes (SLOS). Both longhole methods employ a retreat sequence along strike. The SLOS stopes are not backfilled where the VRM stopes are backfilled.
SLR completed a compilation of the dips by taking vertical slices through each of the zones and tabulating the range of dips as indicated in Table 13-2.
Table 13-2: Range of Mineralization Dips
Nexa Resources S.A. – Vazante Polymetallic Operations
| Zone | Strike Length (m) | Dip Range (°) | Dip Average (°) | ||||||||
| Lumiadeira SW | 875 | 38-50 | 45 | ||||||||
| Lumiadeira NE | 1,620 | 45-90 | 62 | ||||||||
| Lumiaderia Total | 2,495 | 38-90 | 55 | ||||||||
| Sucuri SW | 2,880 | 38-77 | 54 | ||||||||
| Extremo Norte | 1,100 | 46-70 | 61 | ||||||||
| Extremo Norte | 680 | 37-44 | 41 | ||||||||
The overall average dip on the mineralized zones is 54°. As indicated in Table 13-2, most of the mining can be effectively planned using bulk longhole methods.
Ore is mucked with 5 m³ (12.5 t) LHDs working manually when possible (brow full of muck) and on remote control for mucking in the stope (non-man entry conditions). Ore is loaded into 30 t articulated haul trucks at the stope and hauled to surface stockpiles located at the portal. Oversize material is placed aside in a separate stockpile and secondary breaking is carried out with mechanical rockbreakers.
Mechanized cut and fill mining is planned for the shallower dipping ore zones, though these areas are not yet reflected in the Mineral Reserves. The stopes will be accessed by a ramp and the ore will be mined using, four to five metre high, horizontal cuts drilled with a jumbo and the ore hauled to surface. After each lift, the void will be filled with waste rock fill and the subsequent cut will be started along the strike length of the stope.
| 13.2 | Mining Method |
The Vazante Operation is in production with ongoing operations and development. The projected mine life is expected to continue to the end of 2031.
The Vazante Mine extends over a five kilometre strike length with planned heading extensions to the Extremo Norte zone. Currently, the Extremo Norte Mine operates independently of the Vazante Mine, however, there are plans to connect the Vazante Mine workings to the Extremo Norte workings.
| Nexa Resources S.A.│Vazante Polymetallic Operations, SLR Project No: 233.03245.R0000 |
| Technical Report Summary - February 15, 2021 |
13-3
| 13.2.1 | Longhole Stoping |
Longhole mining methods are employed for the major portion of the total Mineral Reserves at the Vazante Operation for stopes with a dip in excess of 45°. Levels and haulage drifts are designed to run parallel to, and in the footwall of, the mining blocks. Levels to access longhole stopes are spaced at a vertical interval of approximately 30 m. Crosscuts from the footwall access are generally 70 m along strike.
Both up hole and downhole drilling is carried out. Sill pillars are left as required above an area drilled with up holes. These pillars can be recovered using downholes from the level above. Schematic longhole stope configurations are shown in Figure 13-2. The mining sequence for the VRM longhole stopes is indicated in Figure 13-3.
Sill pillars are left after every second level and are designed to be ten metres in height. There are plans for the recovery of part of these pillars. SLR recommends a review of increasing sill pillar recovery as a potential future opportunity.
Rib pillars ten metres wide are included along strike between every 60 m long stope section. These rib pillars are partially recovered at the completion of the stoping, with a planned recovery of six metres of the rib pillar. The rib pillars serve only to retain the rock fill in adjacent stopes.
Longhole drilling is carried out using Simba longhole drills on up holes and downholes. Drill holes are up to 10 cm in diameter, drilled on rings spaced 2.4 m apart, and with holes spaced two metres apart on each section. The Vazante Operation has four Simba production drills in the drilling fleet with productivities averaging 20 m/h. The fleet includes one in-the-hole (ITH) drill and three top hammer type longhole drills providing the stope drilling requirements. SLR understands that the hole locations are to a large extent dictated by the longhole drill and that the Simba carrier size can limit the drill collar location and the drill hole orientation. In SLR’s opinion, long hole drill layouts should be subjected to review to minimize the potential damage to the hanging wall and to obtain the best fragmentation. In areas where the mineralization is four metres wide or less, it may be preferable to acquire a smaller longhole drilling unit that is better suited to working in narrow areas. A smaller sized LHD should also be considered to permit mining closer to the actual vein geometry, which will significantly improve ore recoveries.
SLR recommends that narrow vein equipment be assessed as soon as possible to have it readily available at the time narrower areas are encountered in the lower mine.
SLR recommends completing a trial test stope using a smaller drill unit in the upper section of the Vazante Mine to assess the efficacy and optimize the drilling layouts, as a prerequisite to eventual application of the method on a larger scale in the lower levels of the mine, when a larger portion of the mine production comes from this area.
SLR observed secondary breaking on surface during the 2018 site visit. SLR recommends that the stope drill patterns be reviewed with the intent of reducing the level of stope dilution through adjustment of the drill pattern. This may require drilling an additional hole on the hanging wall contact, between the current burden spacing. A reduced explosive charge per hole, using a lower density explosive, would aid to effectively trim the hanging wall contact thereby providing a much cleaner break. The reduced blast vibration impact (a lower peak particle velocity (ppv)) would lead to a lower degree of overbreak on the hanging wall and less dilution.
| Nexa Resources S.A.│Vazante Polymetallic Operations, SLR Project No: 233.03245.R0000 |
| Technical Report Summary - February 15, 2021 |
13-4

Figure 13-2: VRM and SLOS Longhole Stope Layouts

Nexa Resources S.A. | Vazante Polymetallic Operations, SLR Project No: 233.03245.R0000
Technical Report Summary - February 15, 2021
13-5

Figure 13-3: VRM Longhole Stope Sequence Schematic

Nexa Resources S.A. | Vazante Polymetallic Operations, SLR Project No: 233.03245.R0000
Technical Report Summary - February 15, 2021
13-6
| 13.2.2 | Cut and Fill Stoping |
Cut and fill mining will be used for a small portion of the Vazante Operation production and this will be mostly towards the latter years of the LOM plan. These areas have not been included in the current Mineral Reserves.
Dilution will be an issue in the narrow cut and fill stopes as the four metre minimum mining width will impact upon every lift taken. SLR recommends that a stope width review be carried out for the planned cut and fill stopes to determine whether the current equipment fleet matches the orebody dimensions.
SLR recommends evaluating the use of a “shanty back” configuration on the hanging wall side of the drift to reduce dilution.
A schematic view of cut and fill mining and the necessary ramp development is shown in Figure 13-4.
| Nexa Resources S.A.│Vazante Polymetallic Operations, SLR Project No: 233.03245.R0000 |
| Technical Report Summary - February 15, 2021 |
13-7
Figure 13-4: Cut and Fill Stoping Schematic

Nexa Resources S.A. | Vazante Polymetallic Operations, SLR Project No: 233.03245.R0000
Technical Report Summary - February 15, 2021
13-8
| 13.3 | Life of Mine Plan |
Table 13-3 summarizes the LOM reserve plan for the years 2021 through 2031, although SLR notes that the continued conversion of Mineral Resources to Mineral Reserves will likely extend the mine life.
Metal production over the LOM includes 1.21 Mt Zn, 17,900 t Pb, and 3.1 Moz Ag. The net metal recoveries are on average 83.54% for zinc, 47.2% for lead, and 42.0% for silver in the lead concentrate.
Table 13-3: LOM Production
Nexa Resources S.A. – Vazante Polymetallic Operations
| Grade | Recovery | Recovered Metal | ||||||||||||||||||||||
| Year | Tonnes (000 t) | (% Zn) | (% Pb) | (g/t Ag) | (% Zn) | (% Pb) | (% Ag) | Zn (000 t) | Zn Con (000 t) | Pb (000 t) | Pb Con (000 t) | Ag (000 oz ) | ||||||||||||
| 2021 | 1,520 | 10.36 | 0.26 | 17.4 | 85.97 | 47.2 | 42.0 | 135 | 347 | 1.9 | 7.6 | 357 | ||||||||||||
| 2022 | 1,520 | 9.83 | 0.29 | 16.2 | 85.29 | 47.2 | 42.0 | 128 | 327 | 2.1 | 8.3 | 332 | ||||||||||||
| 2023 | 1,530 | 9.75 | 0.25 | 16.6 | 85.19 | 47.2 | 42.0 | 127 | 326 | 1.8 | 7.1 | 344 | ||||||||||||
| 2024 | 1,536 | 9.77 | 0.22 | 14.6 | 85.21 | 47.2 | 42.0 | 128 | 328 | 1.6 | 6.4 | 303 | ||||||||||||
| 2025 | 1,530 | 9.79 | 0.21 | 15.1 | 85.23 | 47.2 | 42.0 | 128 | 327 | 1.5 | 6.1 | 311 | ||||||||||||
| 2026 | 1,536 | 9.75 | 0.27 | 15.6 | 85.19 | 47.2 | 42.0 | 128 | 327 | 1.9 | 7.7 | 323 | ||||||||||||
| 2027 | 1,536 | 7.68 | 0.21 | 10.4 | 82.28 | 47.2 | 42.0 | 97 | 249 | 1.5 | 6.1 | 215 | ||||||||||||
| 2028 | 1,540 | 7.66 | 0.20 | 13.1 | 82.25 | 47.2 | 42.0 | 97 | 249 | 1.4 | 5.7 | 272 | ||||||||||||
| 2029 | 1,531 | 6.83 | 0.22 | 13.3 | 80.97 | 47.2 | 42.0 | 85 | 217 | 1.6 | 6.3 | 274 | ||||||||||||
| 2030 | 1,513 | 6.90 | 0.21 | 11.1 | 81.08 | 47.2 | 42.0 | 85 | 217 | 1.5 | 6.1 | 227 | ||||||||||||
| 2031 | 1,391 | 6.18 | 0.17 | 7.2 | 79.92 | 47.2 | 42.0 | 69 | 176 | 1.1 | 4.6 | 135 | ||||||||||||
| Total | 16,684 | 8.61 | 0.23 | 13.74 | 83.89 | 47.2 | 42.0 | 1,205 | 3,090 | 17.9 | 71.8 | 3,094 | ||||||||||||
The planned mine development over the LOM totals approximately 17.5 km per year from 2021 through 2026 followed by a ramp down and finally, ceasing by 2030. The production rate and head grades are presented in Figure 13-5 and the development profile over the LOM is presented in Figure 13-6. These figures also indicate the actual production and development rates from 2008 to 2019 followed by the LOM planned rates until the year 2031.
| Nexa Resources S.A.│Vazante Polymetallic Operations, SLR Project No: 233.03245.R0000 |
| Technical Report Summary - February 15, 2021 |
13-9

Figure 13-5: Mine Production Profile for LOM

Figure 13-6: Mine Development Profile for LOM
Nexa Resources S.A. | Vazante Polymetallic Operations, SLR Project No: 233.03245.R0000
Technical Report Summary - February 15, 2021
13-10
| 13.4 | Infrastructure |
The Vazante Operation underground mine infrastructure comprises electrical substations spaced at various levels to provide power distribution for the mine equipment. Underground dewatering infrastructure includes the main mine sumps with the mine dewatering system requiring approximately 16 MW, or over 50% of the total mine site power demand.
Equipment maintenance is carried out in surface maintenance facilities as underground maintenance facilities are not required at the present time.
The Vazante Operation employs the “Smartmine UG” system which helps control all underground operations by monitoring the fleet with on-board computers and by tracking the progress of all tasks. Monitoring is performed through a dispatching interface in near real time, using data communication infrastructure and positioning technology. Smartmine UG is intended to deliver advanced production management, process control, mine-face cycle management, and fleet key performance indicators (KPI) in a unique 3D environment.
Underground communications are provided through a leaky feeder system allowing for effective communications.
| 13.4.1 | Mine Access |
All mine access is via ramp declines with two at the Vazante Mine and one at the Extremo Norte Mine. The Extremo Norte and Vazante mines will eventually be connected for one continuous ten kilometre strike length. Two shafts exist primarily for dewatering access ways. Shaft number one is five metres in diameter providing access to the dewatering pumping stations and is equipped with a hoist and cage system to move men and materials. The second shaft extending down to the 140 m level provides access to the pumping station and emergency egress from the area.
| 13.4.2 | Mine Deepening Project |
The two phase Mine Deepening Project (MDP) at the Vazante Operation commenced with engineering in 2013 and start of mine development in early 2017. Phase I installation was completed in 2019, providing the current capacity of 10,000 m³/h from the 140 level pump station. The Phase II development is underway with the capacity increase to 15,000 m³/h to be completed in 2022.
The MDP is shown in the schematic diagram in Figure 13-7. The figure also shows the lateral extent of the mine including the Extremo Norte portion, which has pump stations with 2,000 m³/h pumping capacity on the 522 level and 1,000 m³/h pumping capacity on the 347 and 185 levels.
Nexa Resources S.A. | Vazante Polymetallic Operations, SLR Project No: 233.03245.R0000
Technical Report Summary - February 15, 2021
13-11

Figure 13-7: Mine Deepening Project Longitudinal Section
| 13.4.3 | Mine Dewatering |
Mine water is collected and directed to the drainage gallery on the 326 level. Water flows along the drainage gallery to the 30,000 m³ capacity sump located next to the pump station on the 297 level. The pump station consists of twelve centrifugal pumps operating in parallel with a total capacity of 16,000 m3/h, plus a secondary two-stage pumping station (PS300-PS500) with a total capacity of 3,500 m³/h. The two pumping stations combined have a total capacity of 19,500 m³/h. The permitted pumping limit for the Vazante Mine is 19,823 m³/h. The permitted pumping limit for the Extremo Norte Mine is 2,000 m³/h. The combination of the Vazante and Extremo Norte mine dewatering limits represent the permitted maximum pumping flow rates in the lowest level drainage gallery to the sump. The pump station has a shaft to surface access and the pump station can be isolated from the mine by a hydrostatic door in case the pumps are not operating. The contingency plan is to seal the pump station and allow the lower parts of the mine to flood. Mine water from the Vazante Mine is pumped to the tailings area and treated flow from the tailings area flows to the Santa Catarina River below the Aroeira TSF.
Dewatering at the Vazante Operation is a critical aspect of the mine operation as a high rate of dewatering is required to enable mining to be carried out in a safe and efficient manner on a continual basis. The FEFLOW groundwater model was reviewed in 2019 in a report by Water Services and Technologies Ltda. (WST), from Belo Horizonte, Brazil. The 2018 model predicted dewatering flow rates as presented in Figure 13-8 with the contribution from the various areas of the Vazante Operation.
Nexa Resources S.A. | Vazante Polymetallic Operations, SLR Project No: 233.03245.R0000
Technical Report Summary - February 15, 2021
13-12

Figure 13-8: Mine Dewatering Rate
Figure 13-9 presents the Vazante Mine rainfall and mine pumping rate over time from 1990 to 2020 with the most recent annual rate at approximately 12,500 m³/h, well within the installed pumping capacity of the Vazante Mine. The Extremo Norte Mine has a current pumping rate of approximately 300 m³/h, well above the installed capacity.

Figure 13-9: Historical Rain and Dewatering Rates
Nexa Resources S.A. | Vazante Polymetallic Operations, SLR Project No: 233.03245.R0000
Technical Report Summary - February 15, 2021
13-13
SLR also reviewed the dewatering rate as a function of the total cumulative mine development, taking the mine development as a measure of the volume to be dewatered, the results of which are shown in Figure 13-10.
The pumping rate from 2019 to 2020 increased by approximately 5%. As indicated in Figure 13-10, a projected 5% increase per year would achieve the 20,000 m³/h rate of pumping capacity by the year 2027. Figure 13-10 shows the planned development on a cumulative basis per year until 2039.
SLR recommends that a review of the dewatering capacity be completed on an ongoing basis as development advances and actual dewatering rates dictate, to ensure that, if required, additional capacity can be installed in a timely manner.

Figure 13-10: Cumulative Development versus Pumping Rate
Figure 13-11 presents the extent of the mine workings and the current and projected water table levels up to the year 2033. The WST report provided a simulation of the water table levels and potential impact on the town of Vazante located near the Vazante Operation. SLR recommends that the water table levels be monitored as planned to help foresee any potential issues and assess mitigation measures that may be required.
Nexa has installed water gauge stations, piezometer stations, and rain stations in various locations to collect monitoring data on a continuous basis.
Nexa Resources S.A. | Vazante Polymetallic Operations, SLR Project No: 233.03245.R0000
Technical Report Summary - February 15, 2021
13-14

Figure 13-11: Mine Longitudinal Section Showing Extent of Mine Workings and Water Table Levels
Nexa Resources S.A. | Vazante Polymetallic Operations, SLR Project No: 233.03245.R0000
Technical Report Summary - February 15, 2021
13-15
| 13.4.4 | Dolines and Sinkholes |
Nexa maintains a record of all dolines and sinkholes that occur on the Vazante Operation property. A document of Karst Risk Management Standards was developed and is used by Nexa personnel to assess and track potential risks from these occurrences. Support is also provided by external consultants for specialized advice for risk management such as development of doline/sinkhole risk maps.
The risks identified by Nexa include mine flooding by karst features, inflow from the Santa Catarina River due to overflow, intense rainfall events, and subsidence from doline/sinkhole formations. These are managed through operational procedures such as mapping of fractures and features in efforts to limit rapid water drawdown as the mine is advanced.
The sinkholes registered from 2006 to July 2020 are shown in Figure 13-12 and include new, reactivated, and old sinkholes. Since 2006, 616 new, 343 reactivated, and 492 old sinkholes have been registered, for a total of 1,451. A total of approximately 2,400 sinkholes have occurred since 2001 and their locations are shown in Figure 13-13. The occurrences of dolines/sinkholes are closely monitored, and mitigation measures are in place and being constantly reviewed by Nexa and specialized consultants.

Figure 13-12: Registered Sinkholes (January 2006 to July 2020)
Nexa Resources S.A. | Vazante Polymetallic Operations, SLR Project No: 233.03245.R0000
Technical Report Summary - February 15, 2021
13-16

Figure 13-13: Registered Sinkholes (2001 to 2020)
Nexa Resources S.A. | Vazante Polymetallic Operations, SLR Project No: 233.03245.R0000
Technical Report Summary - February 15, 2021
13-17
| 13.4.5 | Backfilling |
Backfilling at the Vazante Operation consists of loose waste rock fill at the current planned rate of approximately 10,000 t per month. Since there are not always empty stopes ready for backfill material, three stockpile areas are available on surface with a total capacity of approximately 4.6 million cubic metres (Mm3), as listed below:
| · | Bocaina – located at the ramp 07 portal, capacity 1.8 Mm3. |
| · | Sucuri – located at the ramp 10 portal, capacity 1.8 Mm3. |
| · | Extremo Norte - located at the ramp 01 portal, capacity 0.97 Mm3. |
SLR is of the opinion that in certain cases, there could be value in considering the use of cemented rock fill (CRF) to enable mining of certain pillars where this is economical. A trade-off analysis would be required in each particular case.
| 13.4.6 | Ventilation |
The Vazante Operation ventilation system uses main exhaust fans to draw fresh air into the mine through the access ramps and exhausts via the main exhaust raises. The average air flow totals are indicated in Table 13-4. The mine ventilation system airflow is planned using the Vouma 3D ventilation design software.
Table 13-4: Mine Ventilation Air Flow
Nexa Resources S.A. – Vazante Polymetallic Operations
| Vazante Main Mine | Extremo Norte | |||||||||||||||||
| Upcast | Flowrate (m³/s) | Downcast | Flowrate (m³/s) | Upcast | Flowrate (m³/s) | |||||||||||||
| Lumiadeira 1 | 157 | Ramp 10 | 187 | Shaft | 120 | |||||||||||||
| Lumiadeira 2 | 180 | Ramp 07 | 164.2 | |||||||||||||||
| Sucuri 1 | 92.8 | Ramp 01 | 2.5 | Downcast | ||||||||||||||
| Sucuri 2 | 122 | Shaft 1 | 74.2 | Ramp | 120 | |||||||||||||
| Sucuri 3 | 270 | Shaft 2 | 81.2 | |||||||||||||||
The ventilation circuit needs to comply with Brazilian National Regulation NR 22, which is based on the greatest of the following criteria:
| · | Maximum number of equipment with diesel engines. |
| · | Explosives consumption in the mine. |
| · | Monthly production tonnage. |
| · | Number of mine headings in production. |
The ventilation circuit design includes consideration of the maximum air speed for different heading types, friction factors for headings, and estimates for losses due to leakage. The key driver for the ventilation requirement is the ventilation quantity required for the diesel equipment. Airflow requirements for diesel equipment are set based upon the engine horsepower. The LOM mine airflow for the Vazante and Extremo Norte mines are shown in Figure 13-14 and Figure 13-15, respectively.
Nexa Resources S.A. | Vazante Polymetallic Operations, SLR Project No: 233.03245.R0000
Technical Report Summary - February 15, 2021
13-18
The Vazante Operation is ventilated using exhaust fans on raises. There are four 2.4 m diameter raises and a three metre diameter raise at the Vazante Mine. The fresh air enters the mine via two five metre diameter air shafts, a 2.4 m diameter raise, and three access ramps.
In the Extremo Norte Mine area, there are two three metre diameter exhaust raises, a three metre diameter intake raise, and a single access ramp for fresh air intake.

Figure 13-14: Vazante LOM Airflow
Nexa Resources S.A. | Vazante Polymetallic Operations, SLR Project No: 233.03245.R0000
Technical Report Summary - February 15, 2021
13-19

Figure 13-15: Extremo Norte LOM Airflow
The ventilation schematic diagram for the Vazante and Extremo Norte mines is presented in Figure 13-16.
Figure 13-16: Mine Ventilation Schematic Diagram

Nexa Resources S.A. | Vazante Polymetallic Operations, SLR Project No: 233.03245.R0000
Technical Report Summary - February 15, 2021
13-20
| 13.5 | Mine Equipment |
The Vazante Operation has a fleet of mobile equipment to enable development and production activities to be completed in an efficient manner while meeting all mine regulatory requirements for underground mining operations. Table 13-5 lists the major equipment required to sustain the mine production rate. There is also miscellaneous support equipment for various surface operations and other services required by the mine.
Table 13-5: Mine Equipment
Nexa Resources S.A. – Vazante Polymetallic Operations
| Equipment | Supplier | Model | Units | |||
| Trucks | Volvo | A-30 | 15 | |||
| LHD | Cat | R-1700G | 8 | |||
| Jumbo Drills | Epiroc | 282 | 5 | |||
| Prod. Drills | Epiroc | Simba | 4 | |||
| Bolter | Epiroc/Sandvik | 235S/321 7C | 4 | |||
| Cable Bolter | Sandvik | D421 | 2 | |||
| Shotcrete | Normet | 6050 WPC | 2 | |||
| Scalers | BTI | DS20 | 7 | |||
| Scissorlift | Normet/Dux | MF540 | 5 | |||
| Transmixer | Normet | MF500 | 2 | |||
| Grader | Cat. | 120K | 2 | |||
| Trucks Service | Mercedes/Ford | Misc. | 15 | |||
| Excavator | Cat / Volvo | 416C/BL70 | 3 | |||
| Raise Bore | Redpath | 1 |
Equipment replacement and rebuilds over the mine life will be significant with approximately $53.9 million in capital expenditures as some of the equipment is aging.
The availability and utilization factors for the major equipment is shown in Table 13-6. The mine equipment maintenance is carried out on surface in shops that are well equipped.
The light vehicles are generally four wheel drive diesel powered compact pickups. Many of the service and flat deck trucks are single axle Ford and Scania trucks.
Table 13-6: Equipment Statistics
Nexa Resources S.A. – Vazante Polymetallic Operations
| Equipment | Availability (%) | Utilization (%) | ||
| Trucks | 78 | 74 | ||
| LHD | 69 | 62 |
Nexa Resources S.A. | Vazante Polymetallic Operations, SLR Project No: 233.03245.R0000
Technical Report Summary - February 15, 2021
13-21
| Equipment | Availability (%) | Utilization (%) | ||
| Jumbo Drills | 65 | 40 | ||
| Prod. Drills | 62 | 50 | ||
| Bolter | 61 | 35 | ||
| Cable Bolter | 52 | 41 | ||
| Shotcrete | 48 | 20 | ||
| Scalers | 59 | 52 | ||
| Scissorlift | 76 | 43 | ||
| Grader | 77 | 64 |
The Vazante Operation uses a combination of Nexa employees and external contractors. Table 13-7 lists the personnel requirements for the operations.
Table 13-7: Personnel
Nexa Resources S.A. – Vazante Polymetallic Operations
| Category | No. of Personnel | |
| Mine | ||
| Permanent Employees | 620 | |
| Contractors | 83 | |
| Plant | ||
| Permanent employees | 215 | |
| Contractors | 89 | |
| General & Administrative | ||
| Permanent employees | 89 | |
| Contractors | 192 |
| 13.5.1 | Ore and Waste Handling |
Ore is all mucked by LHDs and hauled in trucks to stockpiles located at the portals where the ore is sorted by grade. Ore is hauled from the stockpiles to the crushers by surface haul trucks. Oversize material is separated out and secondary breaking is carried out using a rock breaker unit on an excavator.
Trucks are weighed on scales that are located close to the main access ramps at both the Vazante and Extremo Norte mines.
Waste, from development, is either dumped into stope voids or hauled to surface.

Nexa Resources S.A. | Vazante Polymetallic Operations, SLR Project No: 233.03245.R0000
Technical Report Summary - February 15, 2021
13-22
| 14.0 | Processing and Recovery Methods |
| 14.1 | Summary |
The Vazante Operation processing facilities have a nominal design processing capacity of approximately 4,400 tpd or 1.6 Mtpa at 96% utilization and produce approximately 350,000 tonnes per annum (tpa) to 370,000 tpa of zinc concentrate and approximately 4,000 tpa to 5,000 tpa of lead concentrate that contains small amounts of silver. They consist of two adjacent plants, Plant C and Plant W, that are interconnected at various points. The key unit process steps are presented in the block flow diagram in Figure 14-1. In 2020 the Vazante Operation processed 1.62 Mt at an averaged head grade of 10.4% Zn and 0.36% Pb. Zinc concentrate produced at the Vazante Operation is sent to Nexa’s Três Marias zinc smelter approximately 250 km from Vazante.
Processing at the Vazante Operation comprises conventional crushing, grinding, flotation, concentrate dewatering, and tailings disposal. The main differences between the two plants is that Plant W incorporates a sulphide flotation stage for the recovery of a lead–silver concentrate. Both plants include crushing, grinding, and zinc flotation. Combined Plant W and Plant C tailings are thickened and filtered prior to disposal in the Pilha Garrote DSTSF. Figure 14-2 presents a simplified flowsheet for the plants.
Plant C is an older plant with an approximate capacity of 47 tonnes per hour (tph) that was historically used for the treatment of calamine ore and was subsequently converted to treat willemite ore. Plant C processes approximately 25% of the total processed tonnage. Conversely, Plant W is a modern plant, commissioned in 2003, with a capacity of approximately 145 tph. Ground ore from both plants is combined and processed through an initial bulk sulphide flotation, and the tails from the sulphide flotation are split between the two willemite flotation circuits. The sulphide circuit produces a lead–silver sulphide concentrate that is elevated in zinc. Zinc production in the sulphide circuit accounts for < 1% of total zinc production. Zinc in the willemite concentrate provides the primary revenue, while lead, silver, and zinc recovered in the bulk sulphide concentrate provide a minor by-product credit. In 2012, the Plant W sulphide circuit was added, prior to this there was no means to recover a separate lead-silver sulphide concentrate, and these metals were discarded with the tailings.
Nexa Resources S.A. | Vazante Polymetallic Operations, SLR Project No: 233.03245.R0000
Technical Report Summary - February 15, 2021
14-1
Figure 14-1: Process Block Flow Diagram
Nexa Resources S.A. | Vazante Polymetallic Operations, SLR Project No: 233.03245.R0000
Technical Report Summary - February 15, 2021
14-2

Figure 14-2: Simplified Process Flow Sheet
Nexa Resources S.A. | Vazante Polymetallic Operations, SLR Project No: 233.03245.R0000
Technical Report Summary - February 15, 2021
14-3
| 14.2 | Plant C |
Run of mine (ROM) ore is crushed in a three-stage crushing circuit in closed circuit with screens to 98% passing 9.5 mm. ROM ore is dumped into a silo and fed to the primary jaw crusher, which discharges onto a primary double deck vibrating screen. The top deck has a 38 mm aperture screen, and the bottom deck is a 16 mm x 14 mm aperture screen. Material retained on the top deck reports to two secondary jaw crushers, while material retained on the bottom deck feeds the tertiary cone crusher. The product of both secondary jaw crushers is returned to the primary vibrating screen. The primary vibrating screen bottom deck undersize is combined with the tertiary crusher discharge, which then forms the overall product from the Plant C crushing plant. This crushed ore is stored in a covered conical pile of up to 4,000 t capacity.
Crushed ore is reclaimed by FEL and fed to the Plant C grinding circuit, which consists of a 2.4 m diameter x 11 m effective length ball mill in closed circuit with three hydrocyclones. The target grind size is approximately 88% passing 150 μm. Grinding circuit product is pumped to Plant W for sulphide flotation. Sulphide flotation tails are then split, and a portion returns to Plant C where they are pumped to a conditioning tank where a sodium sulphide activator, dispersant, and amine collector are added to prepare willemite for flotation. The conditioned slurry is then processed in the zinc rougher circuit, which consists of four 8.5 m3 forced air flotation cells. Rougher concentrate is processed in the Plant C zinc cleaner cells. Cleaner concentrate is combined with the Plant W rougher concentrate to form the final zinc concentrate, while cleaner tails report to the cleaner scavengers. Cleaner scavenger concentrate is either returned to the cleaner feed or reports to the final zinc concentrate. The rougher tail is directed to the zinc scavengers, which have four 8.5 m3 cells. The scavenger concentrate recirculates to the rougher feed. Scavenger tails are then combined with the Plant W rougher scavenger tails and pumped to the tailings thickener.
| 14.3 | Plant W |
ROM ore is crushed in a four-stage crushing circuit in closed circuit with screens to 98% passing 9.5 mm. Crushed ore is homogenized on a stockpile with a capacity of approximately 6,000 t by a stacker-reclaimer before being fed to the Plant W grinding circuit, which consists of a ball mill in closed circuit with a high frequency vibrating screen. The screen undersize is approximately 88% passing 150 μm (P80 of approximately 125 μm) and is directed to two conditioning tanks in series prior to feeding the Plant W sulphide flotation circuit.
The sulphide (lead–silver) flotation circuit uses methyl isobutyl carbinol (MIBC) frother, sodium sulphide activator, and potassium amyl xanthate collector (PAX). The Plant W circuit includes lead roughing and scavenging using three and two 70.0 m3 FLSmidth tank cells, respectively. Scavenger concentrate is recycled to rougher feed, while lead scavenger tails are split and the larger portion reports to the Plant W zinc flotation circuit while the remainder reports to the Plant C zinc flotation circuit. Rougher concentrate is treated in the first cleaner stage, which consists of two 10.0 m3 FLSmidth tank cells. The first cleaner tail reports to the lead first cleaner–scavenger, with the lead first cleaner–scavenger concentrate returning to the lead first cleaner and lead first cleaner–scavenger tailings returning to lead rougher feed. The lead first cleaner is followed by a second cleaner stage, which consists of one 5.0 m3 FLSmidth tank cell in closed circuit with the first cleaner. There are two additional cleaning stages in closed circuit with each other, the third and fourth cleaners, which each consist on one 0.5 m3 FLSmidth tank cell. Third cleaner tailings report to a two-stage lead third cleaner–scavenger consisting of six 0.5 m3 FLSmidth tank cells. The first two cells produce a third cleaner–scavenger concentrate that returns to the third cleaner feed, while the last four cells recirculate their concentrate to the first two cells. Tailings from the third cleaner–scavenger return to the lead first cleaner. The fourth cleaner produces the final lead concentrate, which is dewatered using a pressure filter to produce a filter cake with approximately 10% moisture. Lead concentrate is loaded onto trucks for delivery to customers. The lead cleaner circuit also included a small lead regrind mill, however, this mill was decommissioned in 2016.
Nexa Resources S.A. | Vazante Polymetallic Operations, SLR Project No: 233.03245.R0000
Technical Report Summary - February 15, 2021
14-4
The Plant W zinc circuit recovers a willemite concentrate from the lead scavenger tailings, or the grinding circuit screen undersize during periods when the lead circuit is bypassed. The zinc flotation feed is conditioned with a sodium sulphide activator, dispersant, and amine collector in a single conditioning tank. The first stage of flotation is the zinc roughers, which consist of nine 14.2 m3 forced air flotation cells. Rougher concentrate combines with Plant C zinc rougher concentrate to form the final zinc concentrate. Rougher tailings are pumped to the zinc first scavenger circuit, which has five 14.2 m3 forced air flotation cells. The first scavenger concentrate is recirculated to the zinc rougher feed. The zinc first scavengers are followed by the zinc second scavengers, consisting of an additional four 14.2 m3 cells. Second scavenger concentrate reports to Plant C flotation feed, while zinc second scavenger tailings are pumped to the tailings thickener for dewatering and disposal together with the Plant C rougher scavenger tails.
| 14.4 | Zinc Concentrate Dewatering |
Zinc concentrates from Plant W and Plant C are combined and stored in stock tanks. The combined rougher concentrates may be fed to a single G cell. The G cell, when operational, floats carbonate from the zinc rougher concentrates. This produces a low grade zinc bearing carbonate concentrate, which can sometimes be treated separately at the Três Marias smelter. When produced, this low grade concentrate is stored and dewatered in the low grade G cell pond. The final zinc concentrate is the combined Plant W and Plant C concentrates when the G cell is bypassed, or the G cell tailings when the G cell is operational. Operation of the G cell was suspended in early 2017 and is assumed not to operate in the LOM mill production plan. Final zinc concentrate is thickened in a 16 m diameter Dorr Oliver-Eimco concentrate thickener. Thickener overflow is recycled to process water, while thickener underflow is pumped to hydrocyclones. The coarser underflow is dewatered in three vacuum drum filters, while the finer overflow is dewatered in one Andritz plate and frame pressure filter. The combined cake produced contains approximately 13% moisture.
| 14.5 | Tailings Dewatering |
Combined Plant W and Plant C tailings are combined and pumped to tailings cyclones, thickener, and filters where the tailings are dewatered before being hauled to the Pilha Garrote DSTSF. Coarse cyclone underflow is hauled to the Pilha Garrote DSTSF, while cyclone overflow is thickened in the tailings thickener prior to being filtered. Overflow from the tailings thickener and filtrate are directed to the water pond within the Aroeira TSF and is then recycled in the grinding and flotation plants. Thickener underflow is filtered before being hauled to the Pilha Garrote DSTSF.
| 14.6 | Concentrate Handling |
Filtered lead concentrate is held in a small concentrate stockpile at the process plant prior to being loaded into bulk bags and onto trucks for transport to customers. Filtered zinc concentrate is stored in a zinc concentrate silo prior to being loaded into trucks for transport to the Três Marias smelter. Zinc concentrate in excess of the silo capacity can be stored in a covered stockpile and then reclaimed by FEL to be loaded into trucks.

Nexa Resources S.A. | Vazante Polymetallic Operations, SLR Project No: 233.03245.R0000
Technical Report Summary - February 15, 2021
14-5
| 14.7 | Concentrate Sales and Processing |
Zinc concentrate is trucked in bulk approximately 250 km to the Três Marias smelter. The Três Marias smelter circuit leaches concentrate from the Vazante Operation through an autoclave with recycled leach solutions to dissolve carbonates. This is primarily to remove MgO, which can affect electrolysis efficiency. Zinc silicate is then leached with sulphuric acid to zinc sulphate, with chemistry controlled to precipitate silica. The zinc bearing solution is then purified and zinc is recovered by electrolysis. Fluorine levels in leach solutions must be controlled to avoid problems with stripping zinc cathodes in the electrolytic cell house. The Três Marias smelter relies on treating a balance of sulphide concentrates that, when roasted, generate the sulphuric acid that is used to leach the concentrates. The Vazante Operation concentrate makes up approximately 70% of the feed to the Três Marias smelter. Overall zinc recovery from the Vazante Operation concentrate at Três Marias is 94.4%. The conversion costs of the Vazante Operation concentrate are projected at $474/t recovered zinc.
Lead concentrate is loaded into bulk bags at the Vazante Operation and transported approximately 900 km to the Port of Itaguai for shipment. Concentrate is sold in 200 t to 600 t shipments, depending on production quantities.
| 14.8 | Energy, Water, and Process Materials Requirements |
Power for the Vazante Operation is supplied from the national grid, which can provide up to 55 MW via two transmission lines. Power requirement for the operations is not expected to exceed 46 MW (for the mine and processing plants) for the remainder of the LOM.
Water from concentrate and tailings dewatering is recycled to the process via the Aroeira TSF, which is used as a water storage facility. Make-up process water is sourced from the Santa Catarina River and pumped to the processing plant. With the conversion to dry stack tailings disposal, the amount of water available for recycle to the processing plant is expected to increase.
Process consumables include:
| · | Forged grinding media for the ball mills |
| · | PAX (sulphide flotation circuit collector) |
| · | MIBC (frother) |
| · | Sodium sulphide (willemite activator) |
| · | Sodium carbonate (pH modifier) |
| · | AGLP 250 (dispersant) |
| · | Amine willemite collector |
| · | Flocculant |
| 14.9 | Manpower |
The processing plant personnel comprises management and supervisory staff, including metallurgical personnel, operators, and maintenance personnel, totalling 304 people. This number is made up of 215 permanent employees and 89 contractors and is not anticipated to change significantly in the foreseeable future.
Nexa Resources S.A. | Vazante Polymetallic Operations, SLR Project No: 233.03245.R0000
Technical Report Summary - February 15, 2021
14-6
| 15.0 | Infrastructure |
| 15.1 | Infrastructure |
The Vazante Operation is immediately adjacent to a public highway and situated approximately 8.5 km from the town of Vazante. Site access is via paved roads to the mine office.
The Vazante Operation surface infrastructure is presented in Figure 15-1 to Figure 15-4, with the main access portals, ventilation raise breakthroughs to surface, surface plant, administration, and tailings facilities, and ancillary installations such as the air strip indicated.
| 15.1.1 | Yards and Roads |
The roads and yards to and in the vicinity of the administration offices area are all paved. The paved sections are regularly cleaned to remove the mud and dirt brought in by vehicles coming from the mine roads. The yards are well maintained and there are sidewalks in all areas.
| 15.1.2 | Power |
Electrical power is supplied from the national grid via two independent transmission lines at 138 kV, which can provide up to 55 MW. There are two 23/40 MVA transformers in the surface substation at the Vazante Operation and power is distributed to other areas of the mine at 13.8 kV and 440 V via transformer secondaries to power mine equipment. The power demand by 2026 is expected to reach approximately 46 MW as dewatering demands continue to grow. A new transmission line from Paracatu to Vazante of 60 MW capacity is under construction by Companhia Energética de Minas Gerais S.A (CEMIG) and is expected to be completed in March 2021. There are two 700 kVA diesel generators on site to provide backup power in case of main line interruption. The price of electrical energy is budgeted at R$0.277/kWh.
| 15.1.3 | Mine and Process Water |
The Vazante Mine generates a significant amount of water that is pumped to surface for discharge. The dewatering capacity of the Vazante and Extremo Norte Mines has been increased to approximately 20,000 m³/h. The main pump rooms on the 297 Level and 140 Level have been designed to handle this quantity. Process water is obtained from the Santa Catarina River and pumped to the processing plant.
Nexa Resources S.A. | Vazante Polymetallic Operations, SLR Project No: 233.03245.R0000
Technical Report Summary - February 15, 2021
15-1

Figure 15-1: Vazante Mine Surface Infrastructure

Nexa Resources S.A. | Vazante Polymetallic Operations, SLR Project No: 233.03245.R0000
Technical Report Summary - February 15, 2021
15-2

Figure 15-2: Site Plan

Nexa Resources S.A. | Vazante Polymetallic Operations, SLR Project No: 233.03245.R0000
Technical Report Summary - February 15, 2021
15-3

Figure 15-3: General Site Layout, Process Plant Area

Nexa Resources S.A. | Vazante Polymetallic Operations, SLR Project No: 233.03245.R0000
Technical Report Summary - February 15, 2021
15-4

Figure 15-4: General Site Layout, Administration Area

Nexa Resources S.A. | Vazante Polymetallic Operations, SLR Project No: 233.03245.R0000
Technical Report Summary - February 15, 2021
15-5
| 15.1.4 | Aroeira Tailings Impoundment Area |
Tailings from the process plant were regularly deposited in the Aroeira TSF, a conventional slurried tailings storage facility located immediately below the processing plant, until mid-2019. Tailings from the plant flow by gravity to the TSF. The Aroeira TSF remains in operation for the collection of underground mine dewatering and as the water supply storage dam for the processing plant. The Aroeira TSF is also used for tailings disposal when the infrastructure of the new facility (i.e., Pilha Garrote) is temporarily down for maintenance. Nexa informed SLR that approximately 30% of the tailings production in 2020 was deposited in the Aroeira TSF. Water is reclaimed from the Aroeira TSF pond to the processing plant via a floating barge and pump.
The Aroeira TSF was the primary operating TSF until 2019 and was designed by Geoconsultoria with construction commencing in 1999 and operation in January 2001. The initial cross valley dam was built to an elevation of 603 m with a compacted earth fill embankment with internal drainage including a chimney drain and downstream blanket. The dam has undergone eight downstream raises, the first three using compacted earth fill and the remaining with compacted earth and cycloned underflow tailings. The final embankment raise to elevation of 626 m was reached in 2014. The maximum height of the dam is 43 m. The crest length is 695 m, with average downstream and upstream slopes of 1V:2.3H and 1V:1.4H, respectively. The downstream slope is vegetated. The total storage capacity is estimated at 14.9 Mm3 with the current volume of stored tailings and water estimated by Geoconsultoria at 12.2 Mm3 (drawing CM18-DE-011 Rev. 6 dated 31 August 2020). In addition to providing tailings storage, the Aroeira TSF also has the function of recirculating and clarifying water and receives pumped water from the underground mines.
The Aroeira TSF was built in the valley of a tributary of the Santa Catarina River, a tributary of the Paracatu River, which belongs to the São Francisco River basin. The Aroeira TSF's drainage basin area is approximately 330 ha, with no diversion ditching around the TSF. The Aroeira TSF is shown in plan and typical cross section in Figure 15-5.
The Aroeira TSF has been classified according to ANM Ordinance No. 70.389 of 05/17/2017. A dam classification “B” with a risk category of “Low” and potential associated damage of “High” has been assigned. The TSF has also been classified in terms of Failure Modes and Effect Analysis (FMEA) in accordance with the Normative Deliberation of the State Council for Environmental Policy (COPAM) No. 87, of 06/17/2005 as Class III – “High Potential for Environmental Damage”.
The tailings and embankment cover an area of approximately 100 ha. Tailings are deposited from the upstream embankment crest and perimeter of the Aroeira TSF. Deposition of tailings from the crest is to provide an upstream beach of at least 40 m wide adjacent to the embankment.
A shaft spillway was constructed in the initial phase for the life of the Aroeira TSF and consists of an inlet structure on the left shoulder of the dam which passes into a drop shaft and through a pipeline under the embankment (with energy dissipaters) and exits at the downstream toe of the embankment. The exit is into a reinforced, open concrete channel that passes into a rockfill lined section and then into the Santa Catarina River. The current inlet level of the decant tower is at elevation 621.5 m (Geoconsultoria drawing CM18-DE-011 Rev. 6 dated 31 August 2020).
Dam monitoring consists of instrument measurements and field inspections. Field inspections (regular routine inspection) are carried out fortnightly by Nexa personnel responsible for its operation, and every six months by an external consultant (Geoconsultoria). Piezometers and water level indicators are measured every two weeks, surface landmarks monthly, pluviometry, the graduated level of the reservoir and the flow meters are read daily. The data is reviewed by an external consultant (Geoconsultoria) on a monthly basis. Nexa utilizes an Integrated Dam Management System (referred to as SIGBar), which provides guidelines for document management, monitoring, evaluation, risk analysis, compliance with standards and legislation, training of personnel, operation of structures and other provisions.
Nexa Resources S.A. | Vazante Polymetallic Operations, SLR Project No: 233.03245.R0000
Technical Report Summary - February 15, 2021
15-6
The latest review by Geoconsultoria that was reviewed by SLR was dated 30 August 2019 (Relatório Técnico CM18-RT57 Rev.0). Geoconsultoria’s report states the dam safety condition is “Satisfactory” without the presence of erosions, cracks, or other features indicative of instability.
A risk assessment of the Aroeira TSF and associated infrastructure was completed in 2017 by Geoconsultoria (Relatório Técnico CM39-RT-01 Rev. 4). The method of analysis used was a variant of FMEA.
SLR relies on the conclusions of Geoconsultoria (Relatório Técnico CM18-RT57 Rev.0) and provides no conclusions or opinions regarding the stability of the listed dams and impoundments.
| 15.1.5 | Tailings Storage in Pilha Garrote |
The estimated active life of the Aroeira TSF was end of 2020/early 2021. In August 2019, Vazante implemented a new tailings disposal practice consisting of filtering and stacking tailings in the Pilha Garrote DSTSF constructed west of the Aroeira TSF. The tailings management consists of cyclones, vibratory screens, thickening, and filtering. Total tailings are pumped from the processing plant via pipeline to the cyclone station from where the underflow is transported by truck to the Pilha Garrote DSTSF, where it is dumped, spread, and compacted. Cyclone overflow is thickened and the underflow tailings from the thickener are pumped to the new filtration plant, located to the north east and adjacent to the Pilha Garrote DSTSF, from where the filter cake is transported by truck to the DSTSF. Water recovered at the filter plant and from the thickener overflow is piped to the Aroeira TSF.
The Pilha Garrote DSTSF has been designed with an average external slope of 1V:2.5H with 10 m high vertical lifts, intermediate slopes of 1V:2H and five metre wide benches. Surface runoff from the Pilha Garrote DSTSF is collected in a ditch at the toe of the facility and flows under gravity to the north-west side of the Aroeira TSF. The final height of the Pilha Garrote DSTSF will be 120 m and provide storage of approximately 8.6 Mm3. The Pilha Garrote DSTSF plan and typical cross section are presented in Figure 15-6.
Nexa plans on completing a progressive reclamation of the Pilha Garrote DSTSF as early as possible. Following the same practice implemented by Nexa for the Aroeira TSF, regular safety inspections of Pilha Garrote including geotechnical stability will be conducted by Geoconsultoría.
| 15.1.6 | Former Tailings Storage Facilities |
Other structures present at the Vazante Operation include the Antiga TSF and reservoir Modules I, II, and III. Of these structures, Module III is currently the only in operation. Module III is a geomembrane lined facility and serves as a sedimentation dam and reservoir for water supply when the Aroeira TSF undergoes maintenance.
The characterization of the structure of the Antiga TSF was revisited in 2016 and no longer considered a dam based on the definition of dam within the Brazilian legislation since the area is filled with mine waste material, it has been re-vegetated and there is no permanent water ponding. The revised characterization was approved by the State Environment Foundation (FEAM for its acronym in Portuguese), the regulatory body, in 2016.
Nexa Resources S.A. | Vazante Polymetallic Operations, SLR Project No: 233.03245.R0000
Technical Report Summary - February 15, 2021
15-7
| 15.1.7 | Waste Rock Storage Facilities |
Several waste rock facilities are present at the Vazante Operation as a result of historical open pit mining activities. Currently, waste is only brought to surface for storage if backfilling is not possible. Waste is currently used to backfill the mined-out Morro da Usina and Sucuri open pits. The Bocaina pit is also designated for waste storage in the future, if required.
Nexa Resources S.A. | Vazante Polymetallic Operations, SLR Project No: 233.03245.R0000
Technical Report Summary - February 15, 2021
15-8

Figure 15-5: Aroeira Tailings Storage Facility Plan View and Dam Typical Cross-Section
Nexa Resources S.A. | Vazante Polymetallic Operations, SLR Project No: 233.03245.R0000
Technical Report Summary - February 15, 2021
15-9

Figure 15-6: Pilha Garrote Dry Stack Tailings Storage Facility Plan View and Typical Cross Section
Nexa Resources S.A. | Vazante Polymetallic Operations, SLR Project No: 233.03245.R0000
Technical Report Summary - February 15, 2021
15-10
| 16.0 | Market Studies |
| 16.1 | Markets |
| 16.1.1 | Zinc Concentrate |
Due to the ore mineralogy, zinc concentrate produced at the Vazante Operation is elevated in silica, calcium, magnesium, and carbonates resulting from the presence of carbonate gangue (predominantly dolomite). Nexa’s Três Marias zinc smelter in Brazil includes a processing circuit specifically configured to process the zinc silicate concentrate produced at the Vazante Operation and as a result, all of the concentrate produced at the Vazante Operation is processed at the Três Marias smelter where zinc metal is produced. The Vazante Operation concentrate accounts for approximately 70% of the feed to the Três Marias smelter. Deleterious elements affecting the Três Marias smelting operation are controlled at the Vazante Operation to ensure that they do not exceed the limits imposed by the smelter.
| 16.1.2 | Lead Concentrate |
The lead concentrate produced at the Vazante Operation is sold on the open market. Nexa provided information regarding sales contracts for lead concentrate produced at the Vazante Operation. According to this information, sales contracts are in place with concentrate traders for the sale of the lead concentrate and are considered to be consistent with industry norms. Since the lead concentrate produced at the Vazante Operation contains less than the preferred 45% lead, (typically the concentrate contains approximately 23% lead), the concentrate is subject to a small penalty charge, reported to be less than $1.00/t.
| 16.2 | Contracts |
Various operational support services are provided by contractors, including maintenance, consulting, concentrate haulage, environmental monitoring, information technology and communications, security, and janitorial services. There are currently 61 contractors providing services to the Vazante Operation.
Nexa Resources S.A. | Vazante Polymetallic Operations, SLR Project No: 233.03245.R0000
Technical Report Summary - February 15, 2021
16-1
| 17.0 | Environmental Studies, Permitting, and Plans, Negotiations, or Agreements with Local Individuals or Groups |
The information presented in this section is based on documentation provided by Nexa for review. No site visit was conducted in support of the preparation of Section 17 of this Technical Report Summary.
| 17.1 | Environmental Aspects |
| 17.1.1 | Mine Operation Overview |
The Vazante Operation is located in the western portion of the state of Minas Gerais, Brazil, approximately 8.5 km east of the town of Vazante, 253 km southeast of Brasilia and 370 km northwest of Belo Horizonte. Open pit mining at the Vazante Operation commenced in 1969, while underground mining began in 1982. The Vazante Operation is in production with ongoing operations and development, with the projected mine life expected to continue to the end of 2040.
Open pit mining at the Vazante Operation was suspended in 2008 and currently the Vazante Operation is comprised of the following main facilities:
| • | Two underground mines (Vazante and Extremo Norte). |
| • | An ore blending and reclaim facility. |
| • | Two processing plants (Plant W and Plant C) referred to as USICON W/C. |
| • | Aroeira TSF. |
| • | Pilha Garrote DSTSF and tailings filtering plant. |
| • | Waste rock storage facilities. |
| • | Water management facilities and infrastructure. |
| • | Ancillary buildings and infrastructure (administration, warehouse, storage, vehicle maintenance, laboratory, domestic waste management facilities, waste management, etc.) |
Other structures present at the Vazante Operation include the Antiga TSF and Modules I, II, and III to the west of the concentrator plant site. These facilities are currently inactive, with the exception of Module III which is still in operation.
The Vazante Operation is the largest zinc operation in Brazil, processing approximately 1.5 Mtpa. Vazante Operation concentrates are sent to Nexa’s Três Marias zinc smelter complex, located approximately 250 km away. Processing on site is conducted in Plant W and Plant C, including crushing, grinding, and flotation. Concentrate is filtered for transport to the Três Marias smelter while combined Plant W and Plant C tailings are thickened and filtered prior to disposal in the DSTSF. Electricity supply is generated by hydroelectric power stations managed by Votorantim Energia.
Between 1969 and 2002 the Vazante Operation ore was processed in a former beneficiation plant and the tailings were deposited in the Antiga TSF. The area of the old tailings dam (Antiga TSF) is a containment basin formed by dikes up to 10 m high divided into modules, which received tailings from ore processing in the past. The area of the old modules and dam was developed south of the former beneficiation plant on the bed of the Barroquinha stream, which was diverted. The former beneficiation plant operations were interrupted due to ground geotechnical instability triggered by the formation of sinkholes resulting from the local geology and lowering of the phreatic level. The former beneficiation plant was decommissioned in 2005.

Nexa Resources S.A. | Vazante Polymetallic Operations, SLR Project No: 233.03245.R0000
Technical Report Summary - February 15, 2021
17-1
The Pilha Garrote DSTSF currently receives the tailings stream generated at the new beneficiation plant (USICON W/C) whereas the Aroeira TSF provides clarification of the water pumped from the underground mines. Module III remains active to receive water from the underground mines during the maintenance of the pumping system of the Aroeira TSF.
There is no accommodation complex at the Vazante Operation. Mine personnel commute from the municipality of Vazante to the operations.
| 17.1.2 | Environmental Baseline |
The environmental baseline summary presented in this section was taken from Amec (2017).
| 17.1.2.1 | Climate |
The region is classified as warm (calid) sub-humid with four to five dry months annually. Average temperatures vary between 13°C and 27°C in the winter and between 18°C and 30°C in the summer.
The historical average annual rainfall is 1,441.5 mm, with more than 80% occurring during the rainy season, which runs from October to March. The predominant wind directions are northeast to southwest.
| 17.1.2.2 | Air Quality and Noise Levels |
Air quality monitoring between January 2014 and August 2016 included measurements of total suspended particles (TSPs), inhalable particles, sulphur dioxide (SO2) and nitrogen oxide (NO2) at five sampling points. Results included:
| • | Concentrations of TSPs and inhalable particles were below the maximum permitted values established by the Ministry of Environment (CONAMA) for all monitoring points during the 2015 sampling program. For 2014, exceedances were registered for both parameters during the dry season in the monitoring station near the roads. No evidence of mitigating measures was noted to be in place. For the Extremo Norte monitoring point one value (July 2014) was found to be above the limit. CONAMA Resolution No. 03/1990 allows one exceedance for each parameter for each year, therefore the readings were not considered to be out of compliance. |
| • | Concentrations of SO2 were below the maximum permitted values for 2014 and 2015 in all monitoring stations, except one value. |
| • | Results of NO2 were below the maximum permitted values. |
| 17.1.2.3 | Water Quality |
Water sampling points were established in the Santa Catarina River to assess water quality and contamination. In addition, the Instituto Minero de Gestão das Aguas 16-1 (IGAM) monitored water quality in the State of Minas Gerais using two monitoring stations in the Santa Catarina River, over a 34 quarter period, running from March 2008 to June 2016. According to the monitoring results in 2014 and 2015, parameters in the Santa Catarina River that exceeded the maximum limit values (COPAM/CERH-MG No. 01/2008) were suspended solids, turbidity, cadmium, and lead.
Nexa Resources S.A. | Vazante Polymetallic Operations, SLR Project No: 233.03245.R0000
Technical Report Summary - February 15, 2021
17-2
The Environmental Impact Assessment (EIA) for the USICON W/C indicates acceptable dissolved oxygen levels in the Santa Catarina River. In addition, total solids and turbidity were below the maximum limit, and had a very low concentration compared to the maximum limit established by COPAM 010/86. Cadmium and lead were found to be below the laboratory analytical detection limits.
The IGAM results also identified bacteriological contamination of water at both sampling points, consisting of thermotolerant coliforms, and E. coli.
| 17.1.2.4 | Hydrology |
The Vazante Operation is located on the Santa Catarina River sub-basin, which is a tributary of the Paracatu River in the São Francisco River basin. The Santa Catarina River has a drainage area of 1,182 km². Its main tributaries are the Carrapato creek, and Carranca, Indaiazinho, and Arrependido streams. The Santa Catarina River has a dendritic drainage pattern. Near the municipality of Vazante, the Santa Catarina River runs through carbonate lithologies and a flattened topography.
| 17.1.2.5 | Groundwater |
Groundwater monitoring at the Vazante Operation commenced in 1989, based on a piezometer network. The numbers of piezometers in the network has steadily increased, from an initial 28 to over 155 currently. Pumping by the Vazante Operation has lowered water levels in some of the aquifers.
| 17.1.2.6 | Biological Considerations |
From the primary data obtained for the EIA for the expansion and modification of the concentrator plant, the following protected species according to the International Union for Conservation of Nature (IUCN) and Convention on International Trade in Endangered Species of Wild Fauna and Flora (CITES) lists were identified within the influence area of the Vazante Operation:
| • | Three bird species (2015 to 2016) within the direct influence area were classified as near threatened according to IUCN. |
| • | Five mammal species (2015 to 2016) within the direct and indirect influence area were listed in Appendix I and II of CITES. |
A threatened species management plan, developed by Ecolab in 2016, is currently in place for the Vazante Operation.
| 17.1.2.7 | Social and Heritage Considerations |
The 2010 census documented approximately 211,560 persons living in the micro-region of Paracatu. The municipality of Vazante is the third largest in the region, with a population of approximately 20,600, or approximately 9% of the micro-region. Population emigration into the area is approximately 4% to the municipality, and approximately 5% overall to the micro-region of Paracatu.
The municipality of Vazante has public, state, and private schooling available, and a small private tertiary institution. The illiteracy rate for those above 18 is lower than the average for the state of Minas Gerais as a whole.
Nexa Resources S.A. | Vazante Polymetallic Operations, SLR Project No: 233.03245.R0000
Technical Report Summary - February 15, 2021
17-3
| 17.1.3 | Environmental Studies and Key Environmental Issues |
Two types of environmental documents must be presented to the national authorities in the first stage of the licensing process (Licença Prévia). The EIA is a set of technical reports destined to instruct the licensing process, while the report on environmental impacts, Relatório de Impacto Ambiental (RIMA), is the document which reproduces EIA conclusions, in an accessible and easy language. The RIMA's purpose is to inform the public. EIAs and RIMAs are normally accompanied by a third document, the Environmental Control Plan, Plano de Controle Ambiental (PCA).
The following environmental studies have been prepared for the Vazante Operation:
| • | EIA/RIMA for the new beneficiation plant for the Vazante Mine, 2000 |
| • | EIA/RIMA/PCA for the Vazante underground mine (Villemita), 2001 |
| • | EIA/RIMA for Extremo Norte, 2009 |
| • | PCA for Extremo Norte, 2011 |
| • | PCA for the concentrator plant (USICON W/C), 2011 |
| • | EIA/RIMA/PCA for the Lead Project, 2011 |
| • | EIA/RIMA/PCA for the Pilha Garrote DSTSF Project, 2016 |
| • | EIA/RIMA/PCA for the expansion and modification of the concentrator plant (USICON W/C), 2017 |
| • | Study of alternatives for future use of the mining unit following its decommissioning, 2017 |
| • | Review of the Pilha Garrote DSTSF Project, 2017 |
| • | Environmental Control Report and PCA for the expansion and modification of the concentrator plant (USICON W/C), 2018 |
The EIAs present the identification of potential environmental effects resulting from project activities for the construction, operation, and closure stages. The mitigation measures are mostly addressed through a number of environmental control programs presented in the EIAs rather than identifying specific mitigation activities.
The Vazante Operation environmental management programs have been developed based on the potential environmental effects identified through the various EIAs conducted for the Vazante and Extremo Norte mine operations, listed above. The environmental management programs presented in the EIAs and PCAs for the Vazante Mine (EcoLab, 2018) are as follows:
| • | Environmental management and control of the operation works. |
| • | Risk management and emergency response. |
| • | Cleaning and maintenance of vehicles and equipment. |
| • | Mine closure environmental plan. |
| • | Solid waste management. |
| • | Water resources. |
| • | Liquid effluents control. |
| • | Atmospheric emission control. |
| • | Vegetation removal control. |
| • | Recovery of degraded areas. |
| • | Social communication and social-environmental information. |
Nexa Resources S.A. | Vazante Polymetallic Operations, SLR Project No: 233.03245.R0000
Technical Report Summary - February 15, 2021
17-4
| • | Environmental training and education. |
The environmental management programs presented in the EIAs and PCAs for the Extremo Norte Mine (BRANDT, 2011) are as follows:
| • | Control of erosive processes. |
| • | Management and control of rainfall water and liquid effluents. |
| • | Monitoring of liquid effluents. |
| • | Monitoring of surface water quality and groundwater quality. |
| • | Hydrological and hydrogeological monitoring. |
| • | Management and control of solid waste. |
| • | Atmospheric emissions control. |
| • | Equipment maintenance. |
| • | Monitoring of air quality and ambient noise. |
| • | Monitoring and control of environmental legacy components. |
| • | Monitoring and salvage/relocation of fauna. |
| • | Protection and monitoring of underground cavities. |
| • | Restoration actions. |
| • | Waste rock environmental control. |
| • | Contingency plan. |
| • | Conceptual mine closure. |
| • | Rehabilitation of degraded areas. |
| • | Social communication. |
| • | Research, rescue, and valuation of historical and archaeological remains. |
| • | Environmental education. |
| • | Training of labour workers and prioritization program. |
In the SLR QP’s opinion, the environmental management programs for the Vazante Operations are adequate to address potential issues related to environmental compliance.
The following 2020 annual environmental reports were provided for SLR’s review:
| • | Report for the Extremo Norte Mine operation addressing Condition 1 from Operation Licence No. 005/2016, related to administrative process COPAM No. 104/1988/056/2014 (Nexa, 2020a) |
| • | Report for the Vazante Mine operation addressing Condition 1 from Operation Licence No. 051/2019, related to administrative process COPAM No. 104/1988/063/2018 (Nexa, 2020b) |
According to information provided by Nexa to SLR, monitoring of fauna was expected to be carried out only during the Installation Licence phases of the Vazante Operation (currently all active licenses correspond to the Operating License phase). Although it is not a requirement in the Operation Licences, SLR recommends considering the implementation of a monitoring program for flora and fauna for the Vazante Operation. SLR notes that the environmental management programs for the biological environment address fauna but not flora.
Nexa Resources S.A. | Vazante Polymetallic Operations, SLR Project No: 233.03245.R0000
Technical Report Summary - February 15, 2021
17-5
| 17.1.3.1 | 2020 Monitoring Report for the Extremo Norte Mine Operation |
The Nexa (2020a) report documents the monitoring program completed in 2019, which was comprised of four components:
| · | Liquid effluents |
| · | Solid waste residues and oily effluents |
| · | Atmospheric emissions (air quality) |
| · | Noise |
The water monitoring results were compared against Norm COPAM-CERH 01/08. According to the annual monitoring report (Nexa, 2020a), the parameters evaluated in 2019 for pit dewatering and domestic wastewater were in compliance with the permissive limits established by the legislation. The laboratory employed to conduct water quality analyses at the Vazante Operation is accredited by the National Institute of Metrology (Inmetro for the acronym in Portuguese). Water quality monitoring results and laboratory certificates have been documented in the annual monitoring report.
Nexa (2020a) states that disposal of solid and oily waste residues at the Extremo Norte Mine is conducted in compliance with the applicable norms and legislation at a national and state level, with appropriate controls for segregation, collection, and transport of residues. A table documenting details of the disposal such as type of residue, source, transportation company, and final disposal destination is included in the annual monitoring report. Burning of residues, disposal in non-licenced landfills or incinerators, and disposal in natural water bodies is forbidden.
Results of the air quality monitoring program were compared against maximum permissible limits presented in CONAMA No. 03/1990 and CONAMA No. 491/2018 resolutions. According to the annual monitoring report (Nexa, 2020a), the parameters evaluated in 2019 (TSP, PM10, SO2 and NO2) at four monitoring locations were in compliance with the legislation. The air quality monitoring reports prepared by Limnos, an external laboratory retained by Nexa, are appended to the annual monitoring report. Data measuring reports from Medicoes Ambientais Consultoria, a consulting firm retained by Nexa, are also appended to the annual monitoring report.
Results of the ambient noise monitoring program were compared against maximum permissible limits presented in CONAMA No. 03/90, which is the most stringent norm on ambient noise and assures compliance with CONAMA No. 10.100/90. According to the annual monitoring report (Nexa, 2020a), the monitoring results for the two campaigns conducted in 2019 at six monitoring locations were in compliance with the legislation for five locations. In one location the maximum permissible limits were slightly exceeded due to noise sources (i.e. local fauna) not related to the mining activity. The noise monitoring reports prepared by Limnos are appended to the annual monitoring report.
| 17.1.3.2 | 2019 to 2020 Environmental Programs at the Vazante Mine Operation |
The objective of the Nexa (2020b) report is to provide information about the implementation of activities in 2019 and 2020 in agreement with the following environmental control plans specifically related to the Pilha Garrote DSTSF Project:
| · | Risk management and emergency response |
| · | Cleaning and maintenance of vehicles and equipment |
| · | Mine closure environmental plan |
Nexa Resources S.A. | Vazante Polymetallic Operations, SLR Project No: 233.03245.R0000
Technical Report Summary - February 15, 2021
17-6
| · | Solid waste management |
| · | Water resources |
| · | Liquid effluents control |
| · | Atmospheric emission control |
| · | Control of erosive processes |
| · | Recovery of degraded areas |
| · | Social communication and social-environmental information |
| · | Environmental training and education |
| · | Air quality monitoring |
| · | Geotechnical monitoring |
Nexa states in the (Nexa, 2020b) report that the applicable environmental programs and plans have been carried out satisfactorily in compliance with conditions from Operation Licence No. 051/2019.
Water quality monitoring reports are prepared quarterly to document the monitoring results for effluents and the receiving water bodies. These quarterly reports are submitted to the Regional Environment Superintendence (SUPRAM-NOR) in compliance with Condition 01 of Operation Licence No. 10/2012 (COPAM No. 104/1988/049/2011). The results of the analyses for all the evaluated parameters are presented and compared against the maximum permissible limits established by the current legislation. Contextualization and rationale for deviations that occurred during the reported period are provided in the (Nexa, 2020b) report. The report from the fourth quarter of 2019 was provided to SLR as an example. Based on the documentation available for review, the SLR QP is not aware of any compliance issues raised by the authorities associated with the Vazante Mine water quality monitoring program.
Regarding the domestic wastewater effluents, the 2019 monitoring results displayed exceedances for biological oxygen demand (BDO), chemical oxygen demand (COD), phenols, and suspended solids. Nexa attributed the exceedances to the initial period for stabilization of the new biological treatment system, which relies on anaerobic bacteria for degradation of organic matter. A significant improvement was observed by the fifth month of operation (November 2019) of the treatment system with only two exceedances of BDO in January 2020 and April 2020.
Results of the Vazante Mine air quality monitoring program were compared against maximum permissible limits presented in CONAMA No. 03/1990 and CONAMA No. 491/2018 resolutions. According to the annual monitoring report (Nexa, 2020b), the parameters evaluated in 2019 (TSP, PM10, SO2 and NO2) at four monitoring locations were in compliance with the legislation except, for one exceedance of PM10 at one monitoring location.
SLR understands that the requirement for submission of quarterly reports (water quality and gas monitoring) was suspended temporarily in the state of Minas Gerais on March 20, 2020 through Decree 47.890 due to the public health emergency situation triggered by the COVID-19 pandemic.
SLR did not identify any environmental issues from the documentation available for review that could materially impact the ability to extract the mineral resources and mineral reserves at the Vazante Operation.
Nexa Resources S.A. | Vazante Polymetallic Operations, SLR Project No: 233.03245.R0000
Technical Report Summary - February 15, 2021
17-7
| 17.1.4 | Environmental Management System |
Nexa utilizes SIGBar for the TSFs, which provides guidelines for document management, monitoring, evaluation, risk analysis, compliance with standards and legislation, training of personnel, operation of structures and other provisions.
The environmental programs defined in the PCAs are an integral part of the Environmental Management System for adoption of measures aimed at the prevention, mitigation, and control of potential environmental impacts resulting from mining activities.
According to Nexa’s website and 2019 Annual Report, Nexa identifies and manages the main risks from both an operational and strategic point of view, reducing and mitigating impacts to maintain business sustainability. Nexa has an integrated management system that establishes the guidelines that govern the conduct of the business, with a focus on quality management of environmental, health and workplace safety, and social responsibility issues. In addition, Nexa follows applicable environmental laws and regulations pertaining to its business in each country where it operates (Nexa, 2019).
Nexa has stated the following environmental goals in its 2020 Annual Report:
| · | 75% recirculation and lower specific use of water. |
| · | Reduce the specific emission of greenhouse gases by 5%. |
| · | Decrease the disposal of tailings in dams and a 50% reduction in the specific generation of mining and smelting waste. |
| · | Ensure that 100% of the units have a pre-prepared future use alternative studies and updated decommissioning plans, in line with the sector’s benchmark standards. |
| 17.2 | Mine Waste and Water Management |
| 17.2.1 | Environmental Geochemistry |
There is no specific geochemical testing protocol or guideline within the Brazilian regulations for geochemical characterization of mine waste. The only existing standard related to testing for classification of solid waste is norm ABNT-NBR 10.004. The classification standard from this norm is usually used to classify solid waste from sanitary landfills based on the results of leaching the material to be classified with acetic acid, and also based on the results of sample solubilization with distilled water.
Tailings characterization, including laboratory testing, was carried out by Hidrogeo Assessoria Ambiental Ltda (Hidrogeo) (2016) and was conducted in accordance with the Brazilian norm ABNT-NBR 10.004. The Hidrogeo concluded that the tailings should be classified as Class II-A, non-hazardous and inert, in accordance with the norm.
According to Nexa no indication of acid generation nor metal leaching has been identified through water quality monitoring conducted for several years of operation. SLR recommends that Nexa consider conducting additional geochemistry testing and characterization ahead of mine closure following international guidelines and common practices to investigate the potential for developing acid rock drainage (ARD) and/or metal leaching in the long term. The characterization should be used to confirm the closure strategy and closure water management plan requirements to assure compliance with applicable water quality standards during post-closure.
Nexa Resources S.A. | Vazante Polymetallic Operations, SLR Project No: 233.03245.R0000
Technical Report Summary - February 15, 2021
17-8
| 17.2.2 | Tailings Management |
Tailings are currently disposed as filtered tailings at the Pilha Garrote DSTSF. The Aroeira TSF is currently used as a water storage facility and for tailings disposal when the infrastructure of the Pilha Garrote is temporarily down for maintenance. Waste rock is used for backfilling or disposed of at surface in mined-out open pits. Descriptions of the Aroeira TSF and Pilha Garrote DSTSF are provided in Section 15 of this Technical Report Summary.
According to the tailings characterization conducted by Hidrogeo and discussed above, there is no potential for leaching of metals or release of sulphates from the tailings. Based on this premise, there is no plan to reduce water infiltration through the tailings at closure. The preferred option for closure of the Aroeira TSF is to construct a saddle/spillway in the natural terrain near the right dam abutment and to profile the surface of the tailings in order to eliminate the accumulation of water on the surface.
Regular dam safety inspections have visually confirmed that the tailings beach of the Aroeira TSF between the dam and the tailings pond is greater than 40 m. The Aroeira TSF has been classified in accordance with ANM as classification “B” with a risk category of “Low” and potential associated damage of “High”. The Aroeira TSF has also been classified in terms of FMEA as Class III – “High Potential for Environmental Damage”.
Dam monitoring of the Aroeira TSF consists of instrument measurements and field inspections. Dam monitoring data is reviewed by an external consultant (Geoconsultoria) on a monthly basis. Fortnightly inspections are completed by Nexa personnel and Geoconsultoria who inspect the Aroeira TSF twice annually. Nexa utilizes SIGBar which provides guidelines for document management, monitoring, evaluation, risk analysis, compliance with standards and legislation, training of personnel, operation of structures and other provisions.
The latest review by Geoconsultoria that was reviewed by SLR was dated 30 August 2019 (Relatório Técnico CM18-RT57 Rev.0). Geoconsultoria’s report states the dam safety condition is “Satisfactory” without the presence of erosions, cracks, or other features indicative of instability.
| 17.2.2.1 | Recommendations: |
| · | The Golder closure report (No.: RT-006_169-525-2593_03-J 75, dated January 2018) recommends that a more detailed assessment be made of the impact of ore processing on the potential for release of sulphates from the tailings at the Pilha Garrote DSTSF. |
| · | The placement and compaction of the filtered and cyclone tailings during the wet season must be considered. |
| · | Dust generation from the Pilha Garrote DSTSF during the dry season must be considered. |
| · | The water balance for the Aroeira TSF must be reviewed to determine the impact of use as a water management facility, increased mine dewatering, and surface runoff from the Pilha Garrote DSTSF. |
| 17.2.3 | Water Management |
Limited information on water management details was provided in the documentation reviewed by SLR, in particular regarding design details. The description of the site water management system presented in this subsection is taken from Golder (2018).
Nexa Resources S.A. | Vazante Polymetallic Operations, SLR Project No: 233.03245.R0000
Technical Report Summary - February 15, 2021
17-9
Industrial effluents from the Vazante Operation are directed to the Aroeira TSF together with surface runoff from the crushing area, chemical laboratory area, and channel network for surface water collection. Underground mine dewatering is pumped to surface and conveyed via gravity to the Aroeira TSF tailings pond through a concrete channel. Excess water collected in the tailings pond is released to the Santa Catarina River through the shaft spillway located near the Aroeira TSF left abutment.
The latest hydrological and hydraulic study, carried out in May 2017 and presented in Geoconsultoria’s No. CM64-RT03 report, verified the adequacy of the spillway capacity for floods with a return period of 10,000 years, while maintaining a freeboard of 1.29 m. The regular dam safety inspections include the spillway in order to verify its unobstructed operation.
A monthly monitoring program is in place, checking water quality from a sampling point at the Aroeira TSF spillway outlet into the Santa Catarina River. Samples collected are analyzed for physical, chemical, and biological parameters by an independent third-party laboratory. The Aroeira TSF is the primary water storage facility on-site and is used for recirculation of water for ore processing, and for water clarification to remove suspended solids through gravity settling, providing a clarified liquid effluent.
Tailings are currently disposed as filtered tailings in the Pilha Garrote DSTSF constructed west of the Aroeira TSF. The Pilha Garrote DSTSF includes an underdrain system to ensure that infiltration is adequately captured for stability purposes. The Aroeira TSF remains in operation for the collection of underground mine dewatering and as the water supply storage dam for the processing plant.
Domestic wastewater from administrative areas, including the dressing rooms and bathrooms, is treated in the sanitary effluent treatment plant located in the administration area. A second sanitary effluent treatment plant is located between the crushed ore yard and the Aroeira TSF for treatment of domestic wastewater from the USICON W/C concentrator plant area.
Dewatering from the Extremo Norte Mine is pumped to the sump located at the bottom of the inactive Pit 5A. After undergoing a decantation process by gravity, the water is pumped into a channel for discharge to the Ouro Podre Stream.
According to Golder (2018), Nexa is planning to connect the galleries of the Extremo Norte Mine and main Vazante Mine in 2025 so all mine dewatering will be directed to the main pumping station (EB N-297) installed at the 297 m level of the Vazante Mine.
According to Golder (2018), diversion channels that direct freshwater to natural watercourses have been implemented to reduce the volume of water to be managed at the various mine facilities.
No information on site wide water balance modelling or an accompanying flow logic diagram was found in the documents reviewed. Updating the water balance modelling is of particular relevance when considering the MDP that is underway with the water pumping capacity increase at the bottom of the mine from 10,000 m3/h to 15,000 m³/h to be completed in 2022. The implementation of the MDP would increase the underground mine dewatering rate discharged to the Aroeira TSF pond. Conversely, water from the tailings stream is no longer collected in the Aroeira TSF pond since tailings disposal ceased at this facility. If there is a net reduction of water volume collected in the Aroeira TSF pond relative to the current operation, the availability of sufficient make-up water for ore processing under various climatic conditions will have to be confirmed through water balance modelling. If there is a net increase of water volume collected in the Aroeira TSF pond, the incremental effluent discharge to the Santa Catarina River will have to be determined through water balance modelling. The change in effluent discharge rate could influence water quality in the Santa Catarina River.
Nexa Resources S.A. | Vazante Polymetallic Operations, SLR Project No: 233.03245.R0000
Technical Report Summary - February 15, 2021
17-10
As noted in Section 17.2.2 Tailings Management of this Technical Report Summary, SLR recommends conducting additional water balance modelling of the Aroeira TSF to determine the impact of use as a water management facility, increased mine dewatering, and surface runoff from the Pilha Garrote DSTSF. Different climate scenarios should be simulated to account for years with annual precipitation below and above the statistical average (i.e. dry and wet years).
Nexa has developed a data management system for the Vazante Operation to document data associated with the water balance and the water management system. The water inventory at the site, water use for operations, and environmental water monitoring are tracked on a monthly basis and compared on an annual basis against previous years in order to identify trends and track improvements.
| 17.2.3.1 | Surface Water Quality Monitoring |
The main effluent generated from the Vazante Operation in terms of flow and potential environmental impact is the water pumped from the underground mines. Mine dewatering is conveyed to the Aroeira TSF, the Extremo Norte Mine sump (located at the bottom of Pit 5A) and Module III, when the Aroeira TSF is temporarily inactive for maintenance. From these three collection points clarified water is released to the Santa Catarina River and the Ouro Pobre Stream, downstream of the Vazante and Extremo Norte mines, respectively.
The Vazante Operation has a systematic monitoring network for surface water quality in streams within the area of influence, and effluents generated during the operations. Monitoring frequencies are daily or monthly depending on the location. Report submission to the authorities takes place quarterly. The monitoring network includes the following 26 flow measuring locations (Golder, 2018):
| · | Seven stations in the Santa Catarina River. |
| · | Two stations in the Barroquinha Stream. |
| · | One station in the Indaiá Stream. |
| · | Two stations in the Ouro Podre Stream. |
| · | One location for treated effluent at the Módulo III overflow structure. |
| · | One location for untreated effluent from the underground mines before discharging to the Aroeira TSF. |
| · | One location for untreated effluent from the Aroeira TSF underdrain system. |
| · | One location for treated effluent at at the Aroeira TSF spillway outlet. |
| · | Four locations for effluents associated with wastewater treatment from vehicle washing and maintenance. |
| · | Five locations for effluents associated with domestic wastewater treatment. |
| · | One location for effluent from the Extremo Norte Mine sump. |
| 17.2.3.2 | Groundwater Quality Monitoring |
Based on information presented in Golder (2018), monitoring of groundwater from wells appears to take place at 20 locations. Eight of these locations correspond to the Extremo Norte Mine.
The monthly monitoring of groundwater is carried out in compliance with Condition 01 of Operation Licence No. 10/2012 and reports are required to be submitted every six months. Toxicity parameters are also monitored at four stations and submitted annually (Amec, 2017).
Nexa Resources S.A. | Vazante Polymetallic Operations, SLR Project No: 233.03245.R0000
Technical Report Summary - February 15, 2021
17-11
SLR was not provided groundwater quality reports for review, and therefore, SLR has not corroborated if reports documenting groundwater monitoring results were prepared and submitted to SUPRAM-NOR in 2019 or 2020.
| 17.3 | Project Permitting |
| 17.3.1 | Current Permits, Approvals and Authorizations |
The main activity of the Vazante Operation is defined as “open pit or underground mining in karstic areas with or without treatment” involving tailings disposal, waste rock disposal, and infrastructure works (Golder, 2018). The current operating licences, as provided by Nexa in October 2020, are listed in Table 17-1
Table 17-1: Operating Licences
Nexa Resources S.A. – Vazante Polymetallic Operations
| Process PA/COPAM/No. | Certificate No. | Licensing Objective | Issue Date (DD/MM/YYYY) | Expiration Date (DD/MM/YYYY) | Status | ||||||
| 104 /1988/033/2006 | Operation Licence 264/2012-2017 | Mining and processing of zinc ore | 17/9/2007 | 17/9/2012 | Inactive (superseded by Operation Licence 028/2013-2019) | ||||||
| 104 /1988/049/2011 | Operation Licence 010/2012-2017 | Open pits, process plant, tailings dam, waste dump, roads for mineral and waste transport, drainage channels, energy substations and gas station | 19/4/212 | 19/4/2017 | Under renewal through COPAM No. 104/1988/059/2016 | ||||||
| 104 /1988/052/2012 | Operation Licence 015/2012-2017 | Lead and silver recovery project | 26/6/2012 | 26/6/2017 | Under renewal through COPAM No. 104/1988/059/2016 | ||||||
| 104 /1988/053/2012 | Operation Licence 028/2013-2019 | Underground mining and emulsion tank | 18/7/2013 | 18/7/2019 | Under renewal through COPAM No. 104/1988/059/2016 | ||||||
| 104 /1988/056/2014 | Operation Licence 005/2016-2020 | Extremo Norte Project | 31/3/2016 | 31/3/2020 | Under renewal through COPAM No. 104/1988/059/2016 | ||||||
| 104 /1988/064/2018 | Operation Licence 038/2019-2029 | Reprocessing of deposited tailings | 23/4/2019 | 12/4/2029 | Active | ||||||
| 104/1988/063/2018 | Operation Licence 051/2019-2029 | Tailings stack and mineral treatment unit (dry stack) | 31/5/2019 | 27/4/2029 | Active | ||||||
Nexa Resources S.A. | Vazante Polymetallic Operations, SLR Project No: 233.03245.R0000
Technical Report Summary - February 15, 2021
17-12

Licences associated with water management and water use are listed in Table 17-2. Renewal applications have been lodged, where applicable, for the water licences in use.
Table 17-2: Licences for Water Management and Water Use
Nexa Resources S.A. – Vazante Polymetallic Operations
| Agency | Purpose | File Number | Issue Date (DD/MM/YYYY) | Expiration Date (DD/MM/YYYY) | Status | |||||||||
| SUPRAM-NOR | Construction of a dam on Santa Catarina tributary. Waste disposal and recovery of water for industrial use | 01805/2008-2013 | 6/10/2008 | 6/10/2013 | Active under renewal application No. 0910318/2013 filed on 5/24/2013 (Case 10107/2013) | |||||||||
| IGAM | Barrel Stream remediation | 02986/2009-2014 | 18/11/2009 | 18/11/2014 | Active under renewal application 17988/2014 | |||||||||
| SUPRAM-NOR | Underground pumping for Extremo Norte Mine | 01887/2011-2016 | 29/6/2011 | 29/6/2016 | Active under renewal application No. 21392/2016 (22/67/2016) | |||||||||
| SUPRAM-NOR | Palmito stream diversion | 00218/2013-2016 | 4/2/2013 | 26/6/2016 | Inactive (superseded by 2467/2018-2023) | |||||||||
| SUPRAM-NOR | Underground pumping for Vazante Mine | 1672/2013-2019 | 31/7/2013 | 18/7/2019 | Renewal in progress by Process No. 43659/2019 (16/7/2019) | |||||||||
| SUPRAM-NOR | Santa Catarina River water catchment | 201/2014-2016 | 11/2/2014 | 26/6/2016 | Inactive (superseded by 2282/2016) | |||||||||
| SEMAD | Santa Catarina River water catchment | 2282 | /2016 | 17/11/2016 | 31/3/2020 | Inactive (superseded by 1707136/2020) | ||||||||
| SUPRAM-NOR | Diversion of the Palmito stream to build the Aroeira TSF | 2467/2018-2023 | 16/5/2019 | 8/6/2023 | Active | |||||||||
| SUPRAM-NOR | Water intake from Santa Catarina River for industrial purposes | 1707136 | /2020 | 15/9/2020 | 15/9/2030 | Active | ||||||||
Nexa Resources S.A. | Vazante Polymetallic Operations, SLR Project No: 233.03245.R0000
Technical Report Summary - February 15, 2021
17-13
Certificate No. 1370.01.0021690/2020-38 for absence of acid drainage was issued in 2020, valid for one year (to be renewed annually). Certificate No. 1370.01.0021690/2020-38 on annual report on storm water drainage system was issued in 2020, valid for one year (to be renewed annually). Certificate No. R0079622/2018 stipulating no evidence of leakage or contamination in the dam area was issued in 2018, valid for two years (to be renewed every two years).
| 17.3.2 | Environmental Licensing and Approval |
The description in this section was taken from Amec (2017). Mining activities are subject to mandatory environmental licensing by the Federal or State Environmental Agency, depending on the potential environmental impact. Environmental licenses are granted prior to mine construction, installation, expansion, or operation.
Generally, the environmental licensing is a three-stage process:
| · | A Preliminary License (LP) must be obtained during the planning stage evaluation. An EIA and a closure and remediation plan must be prepared during the LP stage. Public hearings are usually called to present the EIA to the communities and authorities. The LP usually imposes conditions that must be complied with by the mining company. The environmental authority will also set the amount of the environmental compensation, which is a minimum of 0.5% of the projected development investment. |
| · | An Installation Licence (LI) is required prior to construction. The holder must present a PCA for approval. Once the PCA is approved, an LI is granted and usually has conditions attached specific to the operation. A mining concession can only be granted by the Minister of Mines once the holder has obtained an LI. |
| · | An Operations Licence (LO) is granted once construction is complete and inspection by the environmental authorities confirms that the conditions imposed in the LI and commitments made in the PCA have been kept. |
Although the Brazilian legal system provides for two types of titles, one for exploration and one for mining, it does grant security that the holder of an exploration licence can mine any deposit that is discovered within the granted title. The government is required to grant a mining concession to an entity that has explored for, identified a Mineral Resource, obtained ANM approval of the exploration report, filed applications for a mining concession in a timely manner, and obtained an LI.
Reasons for not granting a mining concession would be on the grounds of public interest, or if the Federal Government considers that it could have a negative effect on certain interests which are more important than mineral exploitation. In the latter instance, in those cases where a final exploration report has already been approved, a mining concession applicant is entitled to be indemnified by the Federal Government for any expenses incurred relating to the completed exploration work.
Brazil has a concept that is termed “environmental conservation units”, which can be created by either the Federal Government, States, or Municipalities, and can be either total protection conservation units, where industrial activities such as mining cannot take place, or sustainable use conservation units, where some industrial activities (including mining) may be carried out as long as they comply with regulatory requirements. Every environmental conservation unit in Brazil must have its own management plan that sets out the regulations for the administration and occupation of the unit. The plan includes regulations applicable to the zone that surrounds the unit.
Nexa Resources S.A. | Vazante Polymetallic Operations, SLR Project No: 233.03245.R0000
Technical Report Summary - February 15, 2021
17-14
| 17.4 | Social or Community Requirements |
| 17.4.1 | General Context |
The closest community to the Vazante Operation is the municipality of Vazante, located approximately 8.5 km east, with a population of approximately 20,600 residents. The closest major urban centre is Brasilia, approximately five hours away via roadways (250 km), with a population of approximately 4.7 million residents. This section presents the results of the social review based on a review of Nexa’s policies, programs, social risk management systems, and/or social performance against relevant International Finance Corporation (IFC) Performance Standards (PSs). While the IFC PSs have been used as a framework this social review does not represent a detailed audit of Nexa’s compliance with IFC PSs or specific guidelines. Nexa’s social performance is benchmarked against the following 2012 IFC PSs:
| · | PS1: Social and Environmental Assessment and Management Systems requires that companies identify, assess, and mitigate the social and environmental impacts and risks they generate throughout the lifecycle of their projects and operations. From a social perspective, the requirement includes: a comprehensive social assessment; identification of critical social impacts and risks; community consultation and engagement; information disclosure; mitigation plans to address impacts and risks; and development of an organizational structure with qualified staff and budgets to manage the overall social management system. |
| · | PS2: Labour and Working Conditions incorporates the International Labour Organization conventions that seek to protect basic worker rights and promote effective worker/management relations. |
| · | PS4: Community Health and Safety declares the project’s duty to avoid or minimize risks and impacts to community health and safety and addresses priorities and measures to avoid and mitigate project related impacts and risks that might generate community exposure to risks of accidents and diseases. |
| · | PS5: Land Acquisition and Involuntary Resettlement considers the need for land acquisition or involuntary resettlement of any individual, family or group; including the potential for economic displacement. |
| · | PS7: Indigenous Peoples considers the presence of Indigenous groups, communities, or lands in the area that may be directly or indirectly affected by projects or operations. |
| · | PS8: Cultural Heritage. This standard is based on the Convention on the Protection of the World Cultural and Natural Heritage. The objectives are to preserve and protect irreplaceable cultural heritage during a project's operations, whether or not it is legally protected or previously disturbed and promote the equitable sharing of benefits from the use of cultural heritage in business activities. |
SLR notes that PS3 Resource Efficiency and Pollution Prevention and PS6 Biodiversity Conservation correspond to environmental performance standards, which have been discussed at the beginning of Section 17 of this Technical Report Summary.
| 17.4.2 | Social and Environmental Assessment and Management Systems |
At a corporate level, Nexa has adopted the guidelines of the International Integrated Reporting Council (IIRC) and the standards for the Global Reporting Index (GRI). The IIRC guidelines promote a cohesive and integrated approach to reporting on organizational activities. The GRI standards provide best practices for public reporting on economic, environmental, and social impacts in order to aid Nexa and its shareholders and stakeholders understand their corporate contribution to sustainable development. These standards were reported on in the most recent Nexa Annual Report (Nexa, 2020c). With respect to social issues, the 2019 Annual Report provided details of corporate activities aligning with the following GRI Standards:

Nexa Resources S.A. | Vazante Polymetallic Operations, SLR Project No: 233.03245.R0000
Technical Report Summary - February 15, 2021
17-15
| · | Employment |
| · | Occupational health and safety (OHS) |
| · | Non-discrimination |
| · | Training and education |
| · | Diversity and equal opportunities |
| · | Freedom of association and collective bargaining |
| · | Child labour |
| · | Forced or compulsory labour |
| · | Human rights assessment |
| · | Local communities |
| · | Social assessment of suppliers |
| · | Socio-economic compliance |
Nexa’s 2019 Annual Report also includes reporting on corporate progress towards several sustainable development goals. With respect to social environment issues, these include:
| · | Gender equality |
| · | Decent work and economic growth |
| · | Good health and well-being |
| · | Peace, justice, and strong institutions |
| · | Quality education |
| · | Reduced inequalities |
| · | Sustainable cities and communities |
| · | Responsible consumption and production |
| · | Life below water |
Nexa has a corporate compliance policy (PC-RCC-CCI-005-EN) meant to guide Nexa representatives and third parties. The compliance policy includes the following policies and procedures:
| · | Code of Conduct |
| · | Anti-Corruption Policy |
| · | Money Laundering and Financing Terrorism Prevention Policy |
| · | Antitrust/Competition Policy |
| · | Insider Trading Policy |
| · | Disclosure Policy |
| · | Compliance Program Manual |
| · | Money Laundering and Financing Terrorism Prevention Manual |

Nexa Resources S.A. | Vazante Polymetallic Operations, SLR Project No: 233.03245.R0000
Technical Report Summary - February 15, 2021
17-16
| · | Gifts and Hospitality Procedure |
| · | Relationships with Government Representatives Procedure |
| · | Travel and Entertainment Procedure |
| · | Integrity Due Diligence Procedure |
| · | Conflict of Interests Procedure |
With respect to the Vazante Operation, Nexa has developed and utilizes a number of social management programs and tools to help the company work with the nearby communities. These include:
| · | Risk analysis matrices |
| · | Stakeholder tracking |
| · | Social Characterization Plan |
| · | Vazante Community Relations Plan (Local Development Plan) |
In order to better understand the specific issues of the community and address the concerns that arise at the Vazante Operation, Nexa implements a Complaints and Requests Register guided by the Request, Consultation, Claims and Complaints Procedure. It details roles, responsibilities, and commitments to collect and respond to the public in a fair and equitable manner. All communications and complaints are recorded, investigated, evaluated, and resolved in accordance with the Procedure. The process aims to provide Nexa with a better understanding of the local population and related issues. Nexa also maintains a matrix of stakeholders, which is a database with relevant information, such as personal data, a record of interactions, and stakeholder roles and influence in the community. At the time of writing, most complaints and requests in 2020 had already been resolved, with few high-priority complaints about site operations.
Nexa maintains a Risk Register for the Vazante Operation called the business risk matrix that documents potential opportunities and relevant challenges. These risks are reviewed by theme and corresponding actions and mitigation measures are proposed. The aim of the business risk matrix is to help Nexa enable local development and open dialogue and develop a social action strategy. The process of defining the social action strategy includes:
| · | A characterization process so that the local social context and its relationship with the business are better understood and can guide the definition of a strategic agenda; |
| · | Strategy development with a long term vision; and |
| · | Preparation of the investment plan with definition of actions for implementation in the medium/long term. |
These social management tools are supported by a 2015 Social Characterization Plan completed to increase the understanding of the local socio-economic environment, the salient issues to the community, a vision and actions for targeted activities, an investment plan and roadmap to improve socio-economic conditions. The 2015 Social Characterization Plan is a comprehensive research and evidenced based document, which draws upon secondary and primary data (i.e., community surveys and stakeholder interviews). As described above, the Local Development Plan (LDP) was elaborated through a process of studies and consultations with the public in 2017, which guide the portfolio of Nexa social projects at the Vazante Operation.
In the SLR QP’s opinion the grievance mechanism in place and the social management programs and tools for the Vazante Operations, are adequate to address potential issues related to local communities.

Nexa Resources S.A. | Vazante Polymetallic Operations, SLR Project No: 233.03245.R0000
Technical Report Summary - February 15, 2021
17-17

| 17.4.3 | Labour and Working Conditions |
Corporately, Nexa has affirmed its commitment to safe and positive labour and working conditions. The relevant sustainable development targets identified by Nexa include, but are not limited to:
| · | Achieving full and productive employment and decent work for all women and men, including young people and persons with disabilities, and equal pay for work of equal value by 2030. |
| · | Protecting labour rights and promote safe and secure working environments for all workers, including migrant workers, in particular migrant women, and persons in precarious employment. |
Across all its operations, Nexa reports that 100% of its workers in Brazil are covered by collective bargaining units. At the Vazante Operation, employees are covered by various collective agreements depending on their role and type of employment. Each of these are valid to October 2020 with some expiring by April 2022. Vazante employs 966 employees with a smaller number of interns (approximately 17) and apprentices (approximately 29). According to the 2015 Social Characterization Plan, the majority of direct workers were located within the local community.
Nexa has adopted OHS policies to ensure the protection and promotion of the safety, human health, and welfare of employees. Corporately, Nexa reports on its health and safety performance and highlights safety as its greatest asset. Several corporate initiatives are aimed at promoting safety, ensuring workers and contractors are trained, and that processes are in place to address any incidents that arise. Nexa has a management standard that outlines the process to communicate, classify, analyze, and record potential accidents (near misses) and accidents in order to improve health and safety measures. Nexa also reports on the health and safety performance at all of their sites.
At the Vazante Operation, the Critical Safety Analysis in 2019 indicates that in both 2018 and 2019 there were no fatal accidents and that overall, the health and safety performance was similar in both years (with some small improvements in 2019 as compared to 2018). There were two serious injuries in 2019 (compared to three in 2018), and 18 other events with injuries in 2019 and 2018.
Corporately, Nexa has stated its commitment to internationally recognized human rights and prohibits any violation of human rights in its operations and suppliers. Suppliers are asked to provide information regarding both social responsibility and human rights preservation. Nexa reported that in 2019, there were no complaints of non-compliance with any requirements related to human rights impacts, across all of its operations. Furthermore, Nexa is also seeking to review all outside suppliers for their conformity with human rights ethics. As of 2019, approximately half of its suppliers had been reviewed, with no known records of any human rights violations.
There are procedures in place for employees and contractors to report grievances and ethical violations, including directly to management, via telephone and online. At the time of writing, there were no specific reports on the number of grievances or ethical violations relevant to the Vazante Operation.
Employees working underground shifts work for six days in a row. Each daily shift is comprised of six hours underground with one hour at the surface. Following a six day shift, employees are off for three days, which provides staff with sufficient opportunities to rest between scheduled work activities. Nexa has tried to hire from the local workforce when possible, both for skilled and unskilled workers. Outreach is conducted to the local community through social and employment programs. According to the distribution of employees presented in the 2015 Social Characterization Plan, approximately 95% of the direct workforce is sourced from the State of Minas Gerais, and at least 50% of the direct workforce comes from the Vazante municipality.

Nexa Resources S.A. | Vazante Polymetallic Operations, SLR Project No: 233.03245.R0000
Technical Report Summary - February 15, 2021
17-18
Employees have access to a number of benefits including paid vacations and holidays, financial bonuses, health, education, overtime, living allowance, and other employment bonuses.
| 17.4.4 | Community Health and Safety |
Corporately, Nexa has made several commitments to improve community health and safety, as well as the overall well being of community members. The municipality of Vazante has identified waste removal and treatment and access to clean drinking water as major issues. Nexa has also identified these as areas for targeted action to help communities build the required infrastructure and facilitate these development projects. Solid waste management is one of two major priorities for Nexa at the Vazante Operation, as documented in it’s 2017 Community Relations Plan. This project will support the development of recycling and waste collection, sorting, and management facilities and services. The second priority is economic development and diversification, in recognition of the growth that has occurred at Vazante in step with the development of the Vazante Operation. Nexa has targeted a number of social activities to support local education and training as well as explore other economic opportunities such as tourism in order to diversify the local economy.
Nexa supports social health and community well being through a number of other initiatives which align with specific axes of operation. These include, but are not limited to:
| · | Children and Youth |
| o | Partnership for the Valorization of Education |
| · | Public Management and Social Participation |
| o | We Are All |
| o | Citizen Initiative |
| o | Social Agenda |
| · | Socio-Environmental |
| o | Environmental Education Programs |
| o | People Caring for the Waters |
| o | Good Water |
| o | Recycling and Composting Programs |
| · | Economic Development |
| o | Enjoy – Support for Public Management – Tourism Plan |
| o | Good Rural Practices |
| o | Qualification of Local Entrepreneurs |
Collectively, these projects seek to improve local socio-economic conditions and support a more diverse and educated workforce.
Due to the COVID-19 pandemic, in 2020, there was a re-assessment of the proposed projects and adequacy of Nexa's social portfolio, ensuring compliance with the health protocols for the safety of Nexa employees and the community. The efforts were focused on preventing the spread of COVID-19.

Nexa Resources S.A. | Vazante Polymetallic Operations, SLR Project No: 233.03245.R0000
Technical Report Summary - February 15, 2021
17-19
| 17.4.5 | Land Acquisition and Involuntary Resettlement |
At the time of writing, there does not appear to be any land acquisition or involuntary resettlement associated with the Vazante Operation. Therefore, SLR is of the opinion that PS5 is not applicable.
| 17.4.6 | Indigenous Peoples |
There are no Indigenous peoples in the vicinity of the Vazante Operation. Therefore, SLR is of the opinion that PS7 does not appear to be applicable.
| 17.4.7 | Cultural Heritage |
There is a management standard specific to the Vazante Operation (PGU-VZ-HSM-MOM-005-EN) which outlines guidelines in the case of occurrence of fossils, or materials of archaeological, prehistoric, historic, or artistic interest in the underground cavities or properties related to the Vazante Operation. This document provides clear guidelines for site operators should any such articles of interest be discovered in accordance with local legislation and other requirements.
| 17.4.8 | Conclusions and Recommendations |
SLR’s review of social aspects indicates that, at present, Nexa’s Vazante Operation is a positive contribution to sustainability and community well being. Nexa has established and continues to implement its various corporate policies, procedures, and practices in a manner consistent with relevant IFC PSs. Nexa has, and continues to make, a positive contribution to the communities most affected by the site operations and has done a thorough job in documenting potential effects on stakeholders and protecting the rights, health, and safety of its employees.
At this time, there are no specific recommendations to improve Nexa’s social performance at the Vazante Operation. Outreach, dialogue, and clear documentation should continue, particularly through the COVID-19 pandemic.
| 17.5 | Mine Closure Requirements |
| 17.5.1 | Regulatory Requirements |
Mining companies must submit studies to the environmental authorities related to the mitigation and compensation measures to obtain an LI. These studies must address the reclamation and decommissioning of the mined areas, describing the measures to be implemented throughout the mining process in order to prevent severe degradation of the area and to minimise impacts on the environment.
The decommissioning plan for a project must also be filed with the ANM for purposes of evaluation and determination of further measures and requirements in relation to the efficiency and safety of the mining activities.
Approval for mine closure is granted by the MME when the applicant can prove compliance with the decommissioning plan, especially environmental conditions.
The mining regulatory norm NRM No. 20/2001 establishes administrative and operational procedures in case of mine closure (definitive cessation), suspension (temporary cessation), and resumption of mining operations. NRM No. 20/2001 also outlines the content requirements of the Mine Closure Plan.

Nexa Resources S.A. | Vazante Polymetallic Operations, SLR Project No: 233.03245.R0000
Technical Report Summary - February 15, 2021
17-20
The mining regulatory norm NRM No. 21/2001 establishes administrative and operational procedures in case of rehabilitation of mined and impacted areas. According to this norm, rehabilitation projects must be prepared by legally qualified technicians and submitted to the ANM for evaluation.
In the State of Minas Gerais there are several norms dealing with the environmental aspects of mining and its industrial units. For the preparation of the Mine Closure Plan, the Normative Resolution COPAM 127/2008 must be considered, which establishes guidelines and procedures for environmental assessment of the mine closure phase. This norm conceptualizes mine closure as “a process that covers the entire mine life, from the stage of economic feasibility studies to the closure of the mining activity, including the closure, rehabilitation and future use of the impacted area”.
The mine closure must be planned from the beginning of the project. The essential objectives of the mine closure are as follows:
| · | Ensure that environmental, social, and economic impacts are mitigated after closure. |
| · | Maintain the project area in safe and stable conditions through the implementation of the best control and monitoring techniques. |
| · | Adjust the area impacted by mining activities for future use in a manner consistent with the socio-environmental and economic characteristics of the area of influence of the project. |
The mining company must file the Mine Closure Plan with the state environmental agency, at least two years prior to closure. The same obligation applies to companies that have their registrations and authorizations annulled, revoked, or declared expired by the ANM, or companies addressing closure of an abandoned mine site. For projects classified as Class 5 and Class 6, a public hearing must be held in the municipality where the project is located 180 days after submitting the Mine Closure Plan to the environmental agency, in order to present it to interested parties and gather suggestions and opinions regarding closure activities.
In the event that mining activities need to be temporarily suspended due to fortuitous events, natural disasters, technical impediments, economic problems, or court decisions, the mining company must communicate the situation to the environmental agency and present a detailed report addressing the mine conditions, covering:
| · | The description of the current situation in the area, with an emphasis on physical and biological aspects. |
| · | The definition of the actions that will be carried out during the temporary suspension, aiming at maintaining the safety conditions of the mined area and existing structures, the continuity of environmental rehabilitation, and the definition of monitoring parameters and frequency. |
| · | The schedule for implementing the actions. |
| · | The cost estimate for carrying out the actions. |
| · | The forecast for the resumption of mining activity. |
Such reports must be filed within 180 days, counted from the date of the interruption of activities. Resumption of activities by the mining company must be communicated to the environmental agency in advance.
Other important state regulations are:
| · | The Normative Resolution COPAM No. 62/2002 and its respective amendments (COPAM, 2002), which stipulate the criteria for dams, including closure aspects. |

Nexa Resources S.A. | Vazante Polymetallic Operations, SLR Project No: 233.03245.R0000
Technical Report Summary - February 15, 2021
17-21
| · | Normative Resolution COPAM No. 76/2004, which stipulates aspects related to interference with permanent preservation areas. |
| · | Normative Resolution COPAM No. 127/2008, which establishes the guidelines and procedures for environmental assessment of the mine closure phase, in addition to establishing the mandatory elaboration of the closure plan. |
| · | Joint Normative Resolution COPAM / CERH-MG No. 01/2008, which stipulates the classification of water bodies and environmental guidelines for their classification and establishes the conditions and standards for effluent discharges. |
| · | Joint Normative Resolution COPAM-CERH No. 02/2010, which institutes the state program for the management of contaminated areas and establishes guidelines and procedures for the protection of soil quality. |
| · | Normative Resolution COPAM No. 166/2011, which amends Annex I of DN COPAM-CERH No. 02/2010, establishing reference values for soil quality. |
Joint Normative Resolution COPAM-CERH No. 01/2008 is the norm that regulates the limit values for the concentration of pollutants from effluents discharged into water bodies in the State of Minas Gerais.
| 17.5.2 | Mine Closure Plan |
The following Mine Closure Plans are approved for the Vazante Operation (Amec, 2017):
| · | Vazante Mine decommissioning plan (conceptual phase) from 2008 and updated in 2013. |
| · | Waste rock facility and open pit rehabilitation plan from 2011. |
| · | Extremo Norte Mine decommissioning plan (conceptual phase) from 2012. |
| · | Former process plant decommissioning plan (executive phase) from 2013. |
A copy of the most recent Mine Closure Plan titled Detailed Decommissioning Actions Project for Vazante (Golder, 2018) was provided to SLR by Nexa. The Mine Closure Plan was developed with consideration to applicable norms and legal requirements as well as the guideline developed by Votorantim Metais Holding (VMH) for implementation, preparation and contracting closure studies and projects for decommissioning of mines, industrial units and other units that belong to VMH (Guideline PG-VM-HSMQ-040 Revision 2.2).
The Mine Closure Plan has been designed to address remediation of the operational areas, and to meet Brazilian engineering requirements for such plans at a conceptual level. The current plan provides the minimum requirements for the effective planning of mine closure activities, including the necessary provisioning of resources. The plan identifies three key phases:
| · | Pre-closure Phase: period of approximately seven years from 2021 to 2027, considering end of operations in 2027. Activities for this period are associated with field surveys, complementary studies, and development of environmental programs for the closure and post-closure phases. |
| · | Closure Phase: decommissioning activities to be carried out in 2028 (approximate duration of one year). |
| · | Post-closure Phase: period of approximately 10 years from 2019 to 2038 focused on environmental stabilization, monitoring and verification of physical, chemical, biological, and socioeconomic stability and evaluation of performance indicators. It also includes continuous maintenance activities and implementation of potential corrective actions, if required. |
The Mine Closure Plan for the Vazante Mine covers the following components:

Nexa Resources S.A. | Vazante Polymetallic Operations, SLR Project No: 233.03245.R0000
Technical Report Summary - February 15, 2021
17-22
| · | Underground mine. |
| · | Mined-out open pits from historical mining activities (Bocaina, Sucuri Central, Morro da Usina, Sucuri South, Portaria, and Cercado). |
| · | Waste rock facilities (Depósito N°1 and Cercado). |
| · | Antiga and Aroeira TSFs. |
| · | Processing plants for willemite and calamine (Plant W and Plant C). |
| · | Ancillary infrastructure (administrative and operational support facilities). |
The Mine Closure Plan for the Extremo Norte Mine covers the following components:
| · | Underground mine. |
| · | Mined-out open pits from historical mining activities (3A, 5A and 6A). |
| · | Ancillary infrastructure (power distribution, roads, administrative facilities). |
The Mine Closure Plan assumes most facilities will be dismantled, and equipment removed from the site. Closure of processing plant areas will consist of removal of buildings and structures, implementation of drainage systems and revegetation. Zinc concentrations in the soil are naturally high, and the levels in the plant area reflect the natural concentrations. As a result, no topsoil replacement is anticipated to be required. No remedial recontouring is expected, as the site is flat, can be readily revegetated, and no significant water management issues are expected.
Underground openings will be blocked off, and the water table allowed to re-establish. Closure of waste rock dumps (at this time inactive) will involve land contouring, drainage and erosion controls, and revegetation activities.
Closure of the Aroeira TSF will involve the following:
| · | Water pumping to remove the tailings pond. |
| · | Breaching at the right abutment and construction of outlet channel to allow water drainage during post-closure. |
| · | Re-contouring of surface of deposited tailings. |
| · | Sealing of the shaft spillway. |
| · | Construction of surface drainage channels. |
| · | Topsoil placing and revegetation. |
Closure of the Pilha Garrote DSTSF will involve construction of a surface drainage system, placing of topsoil, and revegetation. The Pilha Garrote DSTSF will undergo progressive reclamation, with the potential to commence it early in the facility lifecycle.
The mine closure premise at this time is that the tailings deposited in the TSFs have no potential for release of sulphate and affect the quality of surface water and groundwater in the surroundings.
Post-closure monitoring would be undertaken over a 10 year period (conceptually 2029 to 2038), and would include monitoring of the following key areas:
| · | Geotechnical stability every two months for the initial five years and every six months afterwards. |
| · | Drainage structures and erosion every two months for the initial five years and every six months afterwards. |
| · | Surface water quality and groundwater quality every six months. |

Nexa Resources S.A. | Vazante Polymetallic Operations, SLR Project No: 233.03245.R0000
Technical Report Summary - February 15, 2021
17-23

| · | Revegetation weekly and quarterly during the first year and every six months afterwards. |
| · | Terrestrial and aquatic fauna every six months. |
| 17.5.3 | Closure Cost Estimate and Financial Assurance for Closure |
A closure cost estimate was developed and included in the 2018 Mine Closure Plan, which includes detailed cost sheets. The margin of error in the accuracy estimate was stated to be between -30% and 50% (Golder, 2018). The 2018 Mine Closure Plan states that no contingency was included in the cost estimate. The total current value estimated in Brazilian Reais (R$) in 2018 for the remaining LOM is as follows (excluding local taxes):
| · | Pre-closure Phase (2017 to 2027) | R$12,780,000 | US$2,529,792 |
| · | Closure Phase (2028) | R$234,227,826 | US$46,365,234 |
| · | Post-Closure Phase (2029 to 2038) | R$24,204,648 | US$4,791,293 |
| · | Total closure cost | R$271,212,474 | US$53,686,319 |
SLR used an exchange rate of R$5.0555:US$1.00 (December 10, 2020) to convert the closure cost estimate to US Dollars. The total value of R$271,212,474 corresponds to a present value of R$144,280,435 (US$28,560,211) considering an annual discount rate of 7.83% and disregarding inflation.
A financial assurance was provided by Nexa consistent with the internal Corporate Policy PC-COP-GCT-022-EN that establishes general guidelines for decommissioning considering the Asset Retirement Obligation (ARO) procedure and environmental liabilities. The ARO is an accounting procedure that requires companies to recognize the fair value of future obligations for the dismantling and removal of long lived assets, in order to ensure their balance sheets are more accurate. From an environmental perspective, they refer to future obligations to restore/recover the environment to ecological conditions that are similar to those existing before the start of the project or activity. In cases where it is impossible to return to the pre-existing conditions, there is an obligation to carry out compensatory measures to be agreed with the relevant entities.
The ARO for the Vazante Operation in 2018 was calculated as R$253,945,481 (US$50,268,330). The remaining R$17,266,993 (US$3,417,989) from the total closure cost correspond to the environmental liabilities.
Nexa Resources S.A. | Vazante Polymetallic Operations, SLR Project No: 233.03245.R0000
Technical Report Summary - February 15, 2021
17-24
| 18.0 | Capital and Operating Costs |
SLR reviewed capital and operating costs required for mining and processing of Mineral Reserves at the Vazante Operation. Costs were supplied to SLR by Nexa. Vazante Operation consists of an operating mine, therefore, the capital and operating cost estimates were prepared based on recent operating performance and the current operating budget for 2020. SLR considers these cost estimates to be reasonable. All costs in this section are expressed in US dollars.
| 18.1 | Capital Costs |
Sustaining capital costs were estimated by Nexa, with the majority of the costs consisting of mine development and heavy mobile equipment needed to replace the aging fleet. Sustaining capital costs are summarized in Table 18-1.
Table
18-1: Sustaining Capital Cost Estimate
Nexa Resources S.A. – Vazante Polymetallic Operations
| Category | Sustaining Costs (US$ millions) | |||
| Safety, Health & Environmental | 4.8 | |||
| Heavy Mobile Equipment | 53.9 | |||
| Expansion | 18.5 | |||
| Modernization | 6.0 | |||
| Horizontal Development | 94.7 | |||
| Vertical Development | 23.6 | |||
| Sustaining | 27.4 | |||
| Operational Working Capital | -7.6 | |||
| Closure | 38.5 | |||
| Total | 259.9 | |||
| 18.2 | Operating Costs |
Operating costs estimated by Nexa, averaging $68.6 million per year were estimated for mining, processing, and G&A. Operating cost inputs such as labour rates, consumables, and supplies were based on Nexa operating data. A summary of operating costs is provided in Table 18-2.
Nexa Resources S.A. | Vazante Polymetallic Operations, SLR Project No: 233.03245.R0000
Technical Report Summary - February 15, 2021
18-1
Table 18-2: Operating Cost Estimate
Nexa Resources S.A. – Vazante Polymetallic Operations
| Parameter | Total
LOM (US$ millions) | Average
Year (US$ millions/yr) | LOM
Unit Cost (US$/t) | |||||||||||
| Mining | 447.7 | 40.7 | 26.83 | |||||||||||
| Processing | 222.8 | 20.3 | 13.36 | |||||||||||
| G&A | 84.5 | 7.7 | 5.06 | |||||||||||
| Total | 755.0 | 68.6 | 45.25 | |||||||||||
SLR notes that capital and operating costs are reported in R$, and that the foreign exchange rate R$:US$ has a significant impact on costs.

Nexa Resources S.A. | Vazante Polymetallic Operations, SLR Project No: 233.03245.R0000
Technical Report Summary - February 15, 2021
18-2
| 19.0 | Economic Analysis |
The economic analysis contained in this Technical Report Summary is based on the Mineral Reserves, economic assumptions provided by Nexa for the Vazante Operation, and the capital and operating costs as presented in Section 18 of this Technical Report Summary.
| 19.1 | Economic Criteria |
| 19.1.1 | Physicals |
| · | Mine life: 11 years (between 2021 and 2031): |
| · | Underground ore tonnes mined: | 16.684 Mt |
| o | Zinc grade: | 8.61% Zn |
| o | Lead grade: | 0.23% Pb |
| o | Silver grade: | 13.73 g/t Ag |
| · | Processed: |
| o | Total Ore Feed: | 16.684 Mt |
| § | Zinc grade: | 8.61% Zn |
| § | Lead grade: | 0.23% Pb |
| § | Silver grade: | 13.73 g/t Ag |
| o | Contained Metal: |
| § | Zinc: | 1.437 Mt Zn |
| § | Lead: | 0.038 Mt Pb |
| § | Silver: | 7.367 Moz Ag |
| o | Average LOM Recoveries: |
| § | Zn recovery | 83.9% |
| § | Pb recovery | 47.2% |
| § | Ag in Pb recovery | 42.0% |
| o | Recovered Metals: |
| § | Zinc: | 1.205 Mt Zn |
| § | Lead: | 0.0179 Mt Pb |
| § | Silver: | 3.094 Moz Ag |
| o | Payable Metals: |
| § | Zinc: | 1.138 Mt Zn |
| § | Lead: | 0.0158 Mt Pb |
| § | Silver: | 2.939 Moz Ag |
Nexa Resources S.A. | Vazante Polymetallic Operations, SLR Project No: 233.03245.R0000
Technical Report Summary - February 15, 2021
19-1
| 19.1.2 | Revenue |
| · | Revenue is estimated based on the following LOM average metal prices: |
| o | Zinc price: | US$2,491/t Zn |
| o | Lead price: | US$1,960/t Pb |
| o | Silver price: | US$17.01/oz Ag |
| · | Net Revenue includes the benefit of zinc smelting at cost (rather than at commercial third-party terms), due to integration with Nexa’s Três Marias refinery. |
| · | Logistics, Treatment and Refining charges: |
| o | LOM average Transportation/Logistics charges: |
| § | Zinc concentrate to Três Marias refinery: US$16.7/t concentrate |
| § | Lead concentrate to Asia: US$278.7/t concentrate |
| o | Treatment Charges: |
| § | LOM average TC for lead concentrate: US$200.4/t concentrate |
| § | LOM average refined zinc conversion costs at Três Marias: US$477/t |
| o | Refining Charges: |
| § | Silver in lead concentrate: US$1.00/oz Ag |
| · | LOM Net Revenue after Treatment and Refining charges is US$2,627 million. |
| 19.1.3 | Capital Costs |
| · | LOM sustaining capital costs of US$228.9 million. |
| · | Closure costs of US$38.5 million were included at the end of the Mineral Reserves based LOM in year 2032. |
| 19.1.4 | Operating Costs |
| · | LOM unit operating cost average of: |
| o | Mine Development: | US$7.77/t mined |
| o | Underground Mining: | US$19.07/t mined |
| o | Processing: | US$13.36/t milled |
| o | G&A: | US$5.06/t milled |
| · | Total unit operating costs of US$45.25/t milled. |
| · | LOM operating costs of US$755 million. |
| 19.1.5 | Taxation and Royalties |
| · | Corporate income tax rate in Brazil is 34%. |
| · | CFEM royalty rate: 2%. |
| · | SLR has relied on a Nexa taxation model for calculation of income taxes applicable to the cash flow. |
Nexa Resources S.A. | Vazante Polymetallic Operations, SLR Project No: 233.03245.R0000
Technical Report Summary - February 15, 2021
19-2

| 19.2 | Cash Flow |
SLR reviewed the Vazante Operation LOM after-tax cash flow model to confirm the economics of the LOM plan. The model does not take into account the following components:
| · | Financing costs |
| · | Insurance |
| · | Overhead cost for a corporate office |
A cash flow summary is presented in Table 19-1. All costs are in Q4 2020 US dollars with no allowance for inflation.

Nexa Resources S.A. | Vazante Polymetallic Operations, SLR Project No: 233.03245.R0000
Technical Report Summary - February 15, 2021
19-3
Table 19-1: After-Tax Cash Flow Summary
Nexa Resources S.A. – Vazante Polymetallic Operations
| Vazante | Cash Flow Summary | Year 0 | Year 1 | Year 2 | Year 3 | Year 4 | Year 5 | Year 6 | Year 7 | Year 8 | Year 9 | Year 10 | Year 11 | |||||||||||||||||||||||||||||||||||||||||||
| Inputs | UNITS | TOTAL | 2021 | 2022 | 2023 | 2024 | 2025 | 2026 | 2027 | 2028 | 2029 | 2030 | 2031 | 2032 | ||||||||||||||||||||||||||||||||||||||||||
| MINING | ||||||||||||||||||||||||||||||||||||||||||||||||||||||||
| Underground | ||||||||||||||||||||||||||||||||||||||||||||||||||||||||
| Production | '000 tonnes | 16,684 | 1,520 | 1,520 | 1,530 | 1,536 | 1,530 | 1,536 | 1,536 | 1,540 | 1,531 | 1,513 | 1,391 | - | ||||||||||||||||||||||||||||||||||||||||||
| Zn Grade | % | 8.6 | % | 10.4 | % | 9.8 | % | 9.8 | % | 9.8 | % | 9.8 | % | 9.8 | % | 7.7 | % | 7.7 | % | 6.8 | % | 6.9 | % | 6.2 | % | 0.0 | % | |||||||||||||||||||||||||||||
| Pb Grade | % | 0.2 | % | 0.3 | % | 0.3 | % | 0.2 | % | 0.2 | % | 0.2 | % | 0.3 | % | 0.2 | % | 0.2 | % | 0.2 | % | 0.2 | % | 0.2 | % | 0.0 | % | |||||||||||||||||||||||||||||
| Cu Grade | % | 0.0 | % | 0.0 | % | 0.0 | % | 0.0 | % | 0.0 | % | 0.0 | % | 0.0 | % | 0.0 | % | 0.0 | % | 0.0 | % | 0.0 | % | 0.0 | % | 0.0 | % | |||||||||||||||||||||||||||||
| Ag Grade | oz/t | 0.44 | 0.56 | 0.52 | 0.54 | 0.47 | 0.48 | 0.50 | 0.33 | 0.42 | 0.43 | 0.36 | 0.23 | - | ||||||||||||||||||||||||||||||||||||||||||
| Au Grade | oz/t | - | - | - | - | - | - | - | - | - | - | - | - | - | ||||||||||||||||||||||||||||||||||||||||||
| Contained Metal in ROM | ||||||||||||||||||||||||||||||||||||||||||||||||||||||||
| Zn | 000 tonnes | 1,437 | 157.6 | 149.5 | 149.2 | 150.0 | 149.8 | 149.8 | 117.9 | 118.0 | 104.6 | 104.4 | 86.0 | - | ||||||||||||||||||||||||||||||||||||||||||
| Pb | 000 tonnes | 38 | 4.0 | 4.4 | 3.8 | 3.4 | 3.2 | 4.1 | 3.2 | 3.0 | 3.3 | 3.2 | 2.4 | - | ||||||||||||||||||||||||||||||||||||||||||
| Cu | 000 tonnes | - | - | - | - | - | - | - | - | - | - | - | - | - | ||||||||||||||||||||||||||||||||||||||||||
| Ag | kozs | 7,367 | 850.7 | 791.4 | 818.8 | 721.8 | 740.4 | 769.6 | 511.1 | 646.9 | 653.2 | 540.5 | 322.1 | - | ||||||||||||||||||||||||||||||||||||||||||
| Au | kozs | - | - | - | - | - | - | - | - | - | - | - | - | - | ||||||||||||||||||||||||||||||||||||||||||
| PROCESSING | ||||||||||||||||||||||||||||||||||||||||||||||||||||||||
| Mill Feed | '000 tonnes | 16,684 | 1,520 | 1,520 | 1,530 | 1,536 | 1,530 | 1,536 | 1,536 | 1,540 | 1,531 | 1,513 | 1,391 | - | ||||||||||||||||||||||||||||||||||||||||||
| Head grade | ||||||||||||||||||||||||||||||||||||||||||||||||||||||||
| Zn Grade | % | 8.6 | % | 10.4 | % | 9.8 | % | 9.8 | % | 9.8 | % | 9.8 | % | 9.8 | % | 7.7 | % | 7.7 | % | 6.8 | % | 6.9 | % | 6.2 | % | 0.0 | % | |||||||||||||||||||||||||||||
| Pb Grade | % | 0.2 | % | 0.3 | % | 0.3 | % | 0.2 | % | 0.2 | % | 0.2 | % | 0.3 | % | 0.2 | % | 0.2 | % | 0.2 | % | 0.2 | % | 0.2 | % | 0.0 | % | |||||||||||||||||||||||||||||
| Cu Grade | % | 0.0 | % | 0.0 | % | 0.0 | % | 0.0 | % | 0.0 | % | 0.0 | % | 0.0 | % | 0.0 | % | 0.0 | % | 0.0 | % | 0.0 | % | 0.0 | % | 0.0 | % | |||||||||||||||||||||||||||||
| Ag Grade | oz/t | 0.44 | 0.56 | 0.52 | 0.54 | 0.47 | 0.48 | 0.50 | 0.33 | 0.42 | 0.43 | 0.36 | 0.23 | - | ||||||||||||||||||||||||||||||||||||||||||
| Au Grade | oz/t | - | - | - | - | - | - | - | - | - | - | - | - | - | ||||||||||||||||||||||||||||||||||||||||||
| Contained Zn | '000 tonnes | 1,437 | 157.6 | 149.5 | 149.2 | 150.0 | 149.8 | 149.8 | 117.9 | 118.0 | 104.6 | 104.4 | 86.0 | - | ||||||||||||||||||||||||||||||||||||||||||
| Contained Pb | '000 tonnes | 38 | 4.0 | 4.4 | 3.8 | 3.4 | 3.2 | 4.1 | 3.2 | 3.0 | 3.3 | 3.2 | 2.4 | - | ||||||||||||||||||||||||||||||||||||||||||
| Contained Cu | '000 tonnes | - | - | - | - | - | - | - | - | - | - | - | - | - | ||||||||||||||||||||||||||||||||||||||||||
| Contained Ag | koz | 7,367 | 850.7 | 791.4 | 818.8 | 721.8 | 740.4 | 769.6 | 511.1 | 646.9 | 653.2 | 540.5 | 322.1 | - | ||||||||||||||||||||||||||||||||||||||||||
| Contained Au | koz | - | - | - | - | - | - | - | - | - | - | - | - | - | ||||||||||||||||||||||||||||||||||||||||||
| Net Recovery | ||||||||||||||||||||||||||||||||||||||||||||||||||||||||
| Zn Recovery | % | 120527.5 | % | 135 | 127 | 127 | 128 | 128 | 128 | 97 | 97 | 85 | 85 | 69 | - | |||||||||||||||||||||||||||||||||||||||||
| Pb Recovery | % | 1794.4 | % | 2 | 2 | 2 | 2 | 2 | 2 | 2 | 1 | 2 | 2 | 1 | - | |||||||||||||||||||||||||||||||||||||||||
| Cu Recovery | % | 0.0 | % | - | - | - | - | - | - | - | - | - | - | - | - | |||||||||||||||||||||||||||||||||||||||||
| Ag Recovery | % | 309396.5 | % | 357 | 332 | 344 | 303 | 311 | 323 | 215 | 272 | 274 | 227 | 135 | - | |||||||||||||||||||||||||||||||||||||||||
| Concentrate Production | ||||||||||||||||||||||||||||||||||||||||||||||||||||||||
| Zn Concentrate | '000 tonnes | 3,090 | 347.3 | 326.9 | 325.9 | 327.7 | 327.4 | 327.2 | 248.8 | 248.9 | 217.2 | 217.0 | 176.2 | - | ||||||||||||||||||||||||||||||||||||||||||
| Zn | % | 39.00 | % | 39.0 | % | 39.0 | % | 39.0 | % | 39.0 | % | 39.0 | % | 39.0 | % | 39.0 | % | 39.0 | % | 39.0 | % | 39.0 | % | 39.0 | % | 0.0 | % | |||||||||||||||||||||||||||||
| Pb Concentrate | '000 tonnes | 72 | 7.6 | 8.3 | 7.1 | 6.4 | 6.1 | 7.7 | 6.1 | 5.7 | 6.3 | 6.1 | 4.6 | - | ||||||||||||||||||||||||||||||||||||||||||
| Pb | % | 25.00 | % | 25.0 | % | 25.0 | % | 25.0 | % | 25.0 | % | 25.0 | % | 25.0 | % | 25.0 | % | 25.0 | % | 25.0 | % | 25.0 | % | 25.0 | % | 0.0 | % | |||||||||||||||||||||||||||||
| Ag | oz/t | 43.1 | 47.2 | 40.0 | 48.3 | 47.6 | 51.2 | 42.0 | 35.4 | 47.9 | 43.8 | 37.3 | 29.6 | - | ||||||||||||||||||||||||||||||||||||||||||
| Zn equivalent | kt /year | 1,241 | 140.2 | 131.7 | 130.8 | 130.8 | 130.6 | 131.3 | 99.7 | 100.0 | 87.8 | 87.4 | 70.5 | - | ||||||||||||||||||||||||||||||||||||||||||
| REVENUES | ||||||||||||||||||||||||||||||||||||||||||||||||||||||||
| Metal Prices | ||||||||||||||||||||||||||||||||||||||||||||||||||||||||
| Zn price | US$/t | $ | 2,463.81 | $ | 2,219.00 | $ | 2,298.00 | $ | 2,539.00 | $ | 2,720.00 | $ | 2,928.00 | $ | 2,449.00 | $ | 2,449.00 | $ | 2,449.00 | $ | 2,449.00 | $ | 2,449.00 | $ | 2,449.00 | $ | 2,449.00 | |||||||||||||||||||||||||||||
| Pb price | US$/t | $ | 1,927.46 | $ | 1,950.25 | $ | 1,898.00 | $ | 1,957.00 | $ | 2,039.00 | $ | 2,247.00 | $ | 1,910.00 | $ | 1,910.00 | $ | 1,910.00 | $ | 1,910.00 | $ | 1,910.00 | $ | 1,910.00 | $ | 1,910.00 | |||||||||||||||||||||||||||||
| Cu price | US$/t | $ | 6,573.44 | $ | 6,070.50 | $ | 6,137.00 | $ | 6,277.00 | $ | 6,351.00 | $ | 6,639.00 | $ | 6,627.00 | $ | 6,627.00 | $ | 6,627.00 | $ | 6,627.00 | $ | 6,627.00 | $ | 6,627.00 | $ | 6,627.00 | |||||||||||||||||||||||||||||
| Ag price | US$/oz | $ | 16.92 | $ | 19.05 | $ | 17.11 | $ | 16.95 | $ | 16.40 | $ | 16.40 | $ | 16.87 | $ | 16.87 | $ | 16.87 | $ | 16.87 | $ | 16.87 | $ | 16.87 | $ | 16.87 | |||||||||||||||||||||||||||||
| Au price | US$/oz | $ | 1,516.08 | $ | 1,900.50 | $ | 1,613.00 | $ | 1,553.00 | $ | 1,466.00 | $ | 1,466.00 | $ | 1,500.00 | $ | 1,500.00 | $ | 1,500.00 | $ | 1,500.00 | $ | 1,500.00 | $ | 1,500.00 | $ | 1,500.00 | |||||||||||||||||||||||||||||
| FX Rate | BRL/USD | $ | 4.81 | $ | 5.05 | $ | 4.84 | $ | 4.85 | $ | 4.80 | $ | 4.80 | $ | 4.80 | $ | 4.80 | $ | 4.80 | $ | 4.80 | $ | 4.80 | $ | 4.80 | $ | 4.80 | |||||||||||||||||||||||||||||
| Payable Metal | ||||||||||||||||||||||||||||||||||||||||||||||||||||||||
| Zn | '000 tonnes | 1,138 | 127.9 | 120.4 | 120.0 | 120.7 | 120.6 | 120.5 | 91.6 | 91.6 | 80.0 | 79.9 | 64.9 | - | ||||||||||||||||||||||||||||||||||||||||||
| Pb | '000 tonnes | 16 | 1.7 | 1.8 | 1.6 | 1.4 | 1.3 | 1.7 | 1.3 | 1.2 | 1.4 | 1.3 | 1.0 | - | ||||||||||||||||||||||||||||||||||||||||||
| Ag | kozs | 2,939 | 339.4 | 315.8 | 326.7 | 288.0 | 295.4 | 307.1 | 203.9 | 258.1 | 260.6 | 215.7 | 127.9 | - | ||||||||||||||||||||||||||||||||||||||||||
| Zn Metal | ||||||||||||||||||||||||||||||||||||||||||||||||||||||||
| Selling Price | US$/t conc | $ | 2,263.00 | $ | 2,016.12 | $ | 2,065.60 | $ | 2,306.41 | $ | 2,483.89 | $ | 2,692.31 | $ | 2,213.35 | $ | 2,213.10 | $ | 2,218.98 | $ | 2,217.71 | $ | 2,205.22 | $ | 2,178.96 | $ | - | |||||||||||||||||||||||||||||
| Volume | '000 tonnes | 1,138 | 127.9 | 120.4 | 120.0 | 120.7 | 120.6 | 120.5 | 91.6 | 91.6 | 80.0 | 79.9 | 64.9 | - | ||||||||||||||||||||||||||||||||||||||||||
| Revenues | US$ '000 | $ | 2,575,310 | $ | 257,865 | $ | 248,659 | $ | 276,749 | $ | 299,742 | $ | 324,567 | $ | 266,677 | $ | 202,763 | $ | 203,344 | $ | 177,378 | $ | 176,201 | $ | 141,365 | $ | - | |||||||||||||||||||||||||||||
| Pb Concentrate | ||||||||||||||||||||||||||||||||||||||||||||||||||||||||
| Selling Price | US$/t conc | $ | 887.36 | $ | 1,025.56 | $ | 822.10 | $ | 960.58 | $ | 942.45 | $ | 1,046.34 | $ | 856.76 | $ | 757.18 | $ | 945.35 | $ | 884.08 | $ | 785.87 | $ | 666.96 | $ | - | |||||||||||||||||||||||||||||
| Concentrate | '000 tonnes | 72 | 7.6 | 8.3 | 7.1 | 6.4 | 6.1 | 7.7 | 6.1 | 5.7 | 6.3 | 6.1 | 4.6 | - | ||||||||||||||||||||||||||||||||||||||||||
| Revenues | US$ '000 | $ | 63,692 | $ | 7,758 | $ | 6,828 | $ | 6,838 | $ | 6,007 | $ | 6,355 | $ | 6,590 | $ | 4,589 | $ | 5,362 | $ | 5,533 | $ | 4,780 | $ | 3,051 | $ | - | |||||||||||||||||||||||||||||
| (=) TOTAL Gross Revenues | US$ '000 | $ | 2,639,002 | $ | 265,623 | $ | 255,486 | $ | 283,587 | $ | 305,749 | $ | 330,922 | $ | 273,266 | $ | 207,353 | $ | 208,706 | $ | 182,912 | $ | 180,981 | $ | 144,416 | $ | - | |||||||||||||||||||||||||||||
| Zn Concentrate | % | 98 | % | 97 | % | 97 | % | 98 | % | 98 | % | 98 | % | 98 | % | 98 | % | 97 | % | 97 | % | 97 | % | 98 | % | 0 | % | |||||||||||||||||||||||||||||
| Pb Concentrate | % | 2 | % | 3 | % | 3 | % | 2 | % | 2 | % | 2 | % | 2 | % | 2 | % | 3 | % | 3 | % | 3 | % | 2 | % | 0 | % | |||||||||||||||||||||||||||||
| ( - ) Royalties | US$ '000 | $ | 12,093 | $ | 1,098 | $ | 1,119 | $ | 1,122 | $ | 1,117 | $ | 1,122 | $ | 1,129 | $ | 1,089 | $ | 1,106 | $ | 1,106 | $ | 1,084 | $ | 1,003 | $ | - | |||||||||||||||||||||||||||||
| CFEM | US$ '000 | $ | 12,093 | $ | 1,098 | $ | 1,119 | $ | 1,122 | $ | 1,117 | $ | 1,122 | $ | 1,129 | $ | 1,089 | $ | 1,106 | $ | 1,106 | $ | 1,084 | $ | 1,003 | $ | - | |||||||||||||||||||||||||||||
Nexa Resources S.A. | Vazante Polymetallic Operations, SLR Project No: 233.03245.R0000
Technical Report Summary - February 15, 2021
19-4
| Cash Flow Summary | Year 0 | Year 1 | Year 2 | Year 3 | Year 4 | Year 5 | Year 6 | Year 7 | Year 8 | Year 9 | Year 10 | Year 11 | ||||||||||||||||||||||||||||||||||||||||||||
| Vazante | Inputs | UNITS | TOTAL | 2021 | 2022 | 2023 | 2024 | 2025 | 2026 | 2027 | 2028 | 2029 | 2030 | 2031 | 2032 | |||||||||||||||||||||||||||||||||||||||||
| (=) TOTAL Net Revenues | US$ '000 | $ | 2,626,909 | $ | 264,525 | $ | 254,367 | $ | 282,465 | $ | 304,632 | $ | 329,800 | $ | 272,138 | $ | 206,264 | $ | 207,601 | $ | 181,806 | $ | 179,898 | $ | 143,414 | $ | - | |||||||||||||||||||||||||||||
| NSR | US$/t ROM | $ | 153.2 | $ | 169.8 | $ | 162.8 | $ | 179.8 | $ | 193.4 | $ | 210.6 | $ | 172.1 | $ | 130.3 | $ | 130.9 | $ | 115.1 | $ | 115.2 | $ | 99.9 | $ | - | |||||||||||||||||||||||||||||
| OPERATING COST | ||||||||||||||||||||||||||||||||||||||||||||||||||||||||
| Mining (Underground) | US$ '000 | $ | 318,157 | $ | 27,715 | $ | 28,896 | $ | 28,975 | $ | 29,309 | $ | 29,248 | $ | 29,305 | $ | 29,308 | $ | 29,353 | $ | 29,254 | $ | 29,060 | $ | 27,733 | $ | - | |||||||||||||||||||||||||||||
| Secondary Development | US$ '000 | $ | 129,557 | $ | 13,353 | $ | 14,115 | $ | 16,155 | $ | 17,457 | $ | 17,034 | $ | 12,035 | $ | 18,768 | $ | 12,595 | $ | - | $ | 8,046 | $ | - | $ | - | |||||||||||||||||||||||||||||
| Processing + Tailings | US$ '000 | $ | 222,822 | $ | 19,412 | $ | 20,239 | $ | 20,301 | $ | 20,538 | $ | 20,492 | $ | 20,535 | $ | 20,537 | $ | 20,571 | $ | 20,496 | $ | 20,350 | $ | 19,349 | $ | - | |||||||||||||||||||||||||||||
| G&A | US$ '000 | $ | 84,498 | $ | 7,350 | $ | 7,664 | $ | 7,657 | $ | 7,728 | $ | 7,728 | $ | 7,728 | $ | 7,728 | $ | 7,728 | $ | 7,728 | $ | 7,728 | $ | 7,728 | $ | - | |||||||||||||||||||||||||||||
| Total Operating Cost | US$ '000 | $ | 755,035 | $ | 67,831 | $ | 70,914 | $ | 73,088 | $ | 75,033 | $ | 74,503 | $ | 69,603 | $ | 76,342 | $ | 70,247 | $ | 57,479 | $ | 65,185 | $ | 54,810 | $ | - | |||||||||||||||||||||||||||||
| Mining (Underground) | US$ /t proc | $ | 19.1 | $ | 18.2 | $ | 19.0 | $ | 18.9 | $ | 19.1 | $ | 19.1 | $ | 19.1 | $ | 19.1 | $ | 19.1 | $ | 19.1 | $ | 19.2 | $ | 19.9 | $ | - | |||||||||||||||||||||||||||||
| Secondary Development | US$ /t proc | $ | 7.8 | $ | 8.8 | $ | 9.3 | $ | 10.6 | $ | 11.4 | $ | 11.1 | $ | 7.8 | $ | 12.2 | $ | 8.2 | $ | - | $ | 5.3 | $ | - | $ | - | |||||||||||||||||||||||||||||
| Processing + Tailings | US$ /t proc | $ | 13.4 | $ | 12.8 | $ | 13.3 | $ | 13.3 | $ | 13.4 | $ | 13.4 | $ | 13.4 | $ | 13.4 | $ | 13.4 | $ | 13.4 | $ | 13.4 | $ | 13.9 | $ | - | |||||||||||||||||||||||||||||
| G&A | US$ /t proc | $ | 5.1 | $ | 4.8 | $ | 5.0 | $ | 5.0 | $ | 5.0 | $ | 5.0 | $ | 5.0 | $ | 5.0 | $ | 5.0 | $ | 5.0 | $ | 5.1 | $ | 5.6 | $ | - | |||||||||||||||||||||||||||||
| Total Operating Cost | US$ /t proc | $ | 45.3 | $ | 44.6 | $ | 46.6 | $ | 47.8 | $ | 48.8 | $ | 48.7 | $ | 45.3 | $ | 49.7 | $ | 45.6 | $ | 37.5 | $ | 43.1 | $ | 39.4 | $ | - | |||||||||||||||||||||||||||||
| Cost/Zn eq. | US$ /t Zn eq. | $ | 608.5 | $ | 483.8 | $ | 538.5 | $ | 559.0 | $ | 573.5 | $ | 570.5 | $ | 530.0 | $ | 765.8 | $ | 702.2 | $ | 654.5 | $ | 746.0 | $ | 777.1 | $ | - | |||||||||||||||||||||||||||||
| Selling Expenses | US$ '000 | $ | 71,010 | $ | 6,405 | $ | 6,883 | $ | 7,290 | $ | 7,551 | $ | 7,462 | $ | 7,909 | $ | 6,074 | $ | 5,966 | $ | 5,572 | $ | 5,519 | $ | 4,380 | $ | - | |||||||||||||||||||||||||||||
| Zn Concentrate | US$ '000 | $ | 51,004 | $ | 4,297 | $ | 4,568 | $ | 5,306 | $ | 5,775 | $ | 5,769 | $ | 5,765 | $ | 4,384 | $ | 4,385 | $ | 3,827 | $ | 3,823 | $ | 3,105 | $ | - | |||||||||||||||||||||||||||||
| Pb Concentrate | US$ '000 | $ | 20,005 | $ | 2,108 | $ | 2,315 | $ | 1,984 | $ | 1,776 | $ | 1,693 | $ | 2,144 | $ | 1,689 | $ | 1,581 | $ | 1,744 | $ | 1,695 | $ | 1,275 | $ | - | |||||||||||||||||||||||||||||
| OOR | US$ '000 | $ | 58,578 | $ | 1,415 | $ | 1,057 | $ | 632 | $ | - | $ | 486 | $ | 2,094 | $ | 2,898 | $ | 4,384 | $ | 19,443 | $ | 6,727 | $ | 19,443 | $ | - | |||||||||||||||||||||||||||||
| (=) EBITDA | US$ '000 | $ | 1,742,285 | $ | 188,874 | $ | 175,514 | $ | 201,454 | $ | 222,048 | $ | 247,350 | $ | 192,531 | $ | 120,951 | $ | 127,003 | $ | 99,313 | $ | 102,467 | $ | 64,781 | $ | - | |||||||||||||||||||||||||||||
| EBITDA Margin | % | 66 | % | 71 | % | 69 | % | 71 | % | 73 | % | 75 | % | 70 | % | 58 | % | 61 | % | 54 | % | 57 | % | 45 | % | 0 | % | |||||||||||||||||||||||||||||
| CAPITAL COST | ||||||||||||||||||||||||||||||||||||||||||||||||||||||||
| Initial Capital Cost | ||||||||||||||||||||||||||||||||||||||||||||||||||||||||
| Safety, Health & Environmental | US$ '000 | 4,840 | 2,033 | 828 | 621 | 733 | 625 | - | - | - | - | - | - | - | ||||||||||||||||||||||||||||||||||||||||||
| Heavy Mobile Equipment | US$ '000 | 53,854 | 3,161 | 2,582 | 6,881 | 10,561 | 8,873 | 6,423 | 4,476 | 4,538 | 5,207 | 1,152 | - | - | ||||||||||||||||||||||||||||||||||||||||||
| Expansion | US$ '000 | 18,497 | 2,202 | 16,295 | - | - | - | - | - | - | - | - | - | - | ||||||||||||||||||||||||||||||||||||||||||
| Modernization | US$ '000 | 6,007 | 3,230 | 1,819 | 598 | 255 | 104 | - | - | - | - | - | - | - | ||||||||||||||||||||||||||||||||||||||||||
| (=) TOTAL Capex | US$ '000 | 83,198 | 10,627 | 21,525 | 8,100 | 11,549 | 9,602 | 6,423 | 4,476 | 4,538 | 5,207 | 1,152 | - | - | ||||||||||||||||||||||||||||||||||||||||||
| Operating Capital Cost | ||||||||||||||||||||||||||||||||||||||||||||||||||||||||
| Mine Development | US$ '000 | $ | 118,315 | $ | 21,831 | $ | 18,095 | $ | 14,294 | $ | 14,363 | $ | 14,078 | $ | 19,194 | $ | 5,485 | $ | 5,665 | $ | - | $ | 5,310 | $ | - | $ | - | |||||||||||||||||||||||||||||
| Sustaining infrastructure | US$ '000 | $ | 27,413 | $ | 10,913 | $ | 4,723 | $ | 5,646 | $ | 274 | $ | 262 | $ | - | $ | - | $ | 402 | $ | 5,193 | $ | - | $ | - | $ | - | |||||||||||||||||||||||||||||
| Closure and Other | US$ '000 | $ | 38,491 | $ | - | $ | - | $ | - | $ | - | $ | - | $ | - | $ | - | $ | - | $ | - | $ | - | $ | - | $ | 38,491 | |||||||||||||||||||||||||||||
| Operational Working Capital | US$ '000 | $ | -7,614 | $ | 6,337 | $ | (581 | ) | $ | 1,540 | $ | 1,209 | $ | 1,379 | $ | (3,159 | ) | $ | (3,612 | ) | $ | 74 | $ | (1,413 | ) | $ | (106 | ) | $ | (2,004 | ) | $ | (7,278 | ) | ||||||||||||||||||||||
| (=) TOTAL Operating Capital Cost | US$ '000 | $ | 176,605 | $ | 39,081 | $ | 22,237 | $ | 21,480 | $ | 15,846 | $ | 15,719 | $ | 16,035 | $ | 1,873 | $ | 6,141 | $ | 3,779 | $ | 5,204 | $ | (2,004 | ) | $ | 31,213 | ||||||||||||||||||||||||||||
| - | - | - | - | - | - | - | - | - | - | - | - | |||||||||||||||||||||||||||||||||||||||||||||
| CASH FLOW | NPV @ 9.0% | |||||||||||||||||||||||||||||||||||||||||||||||||||||||
| (+) Revenues | US$ '000 | $ | 1,782,296 | $ | 265,623 | $ | 255,486 | $ | 283,587 | $ | 305,749 | $ | 330,922 | $ | 273,266 | $ | 207,353 | $ | 208,706 | $ | 182,912 | $ | 180,981 | $ | 144,416 | $ | - | |||||||||||||||||||||||||||||
| ( - ) Royalties | US$ '000 | $ | 7,846 | $ | 1,098 | $ | 1,119 | $ | 1,122 | $ | 1,117 | $ | 1,122 | $ | 1,129 | $ | 1,089 | $ | 1,106 | $ | 1,106 | $ | 1,084 | $ | 1,003 | $ | - | |||||||||||||||||||||||||||||
| ( - ) Mining Costs | US$ '000 | $ | 296,327 | $ | 41,068 | $ | 43,011 | $ | 45,130 | $ | 46,766 | $ | 46,282 | $ | 41,340 | $ | 48,077 | $ | 41,948 | $ | 29,254 | $ | 37,106 | $ | 27,733 | $ | - | |||||||||||||||||||||||||||||
| ( - ) Processing Costs | US$ '000 | $ | 143,787 | $ | 19,412 | $ | 20,239 | $ | 20,301 | $ | 20,538 | $ | 20,492 | $ | 20,535 | $ | 20,537 | $ | 20,571 | $ | 20,496 | $ | 20,350 | $ | 19,349 | $ | - | |||||||||||||||||||||||||||||
| ( - ) G&A | US$ '000 | $ | 54,432 | $ | 7,350 | $ | 7,664 | $ | 7,657 | $ | 7,728 | $ | 7,728 | $ | 7,728 | $ | 7,728 | $ | 7,728 | $ | 7,728 | $ | 7,728 | $ | 7,728 | $ | - | |||||||||||||||||||||||||||||
| ( - ) Selling Expenses | US$ '000 | $ | 47,111 | $ | 6,405 | $ | 6,883 | $ | 7,290 | $ | 7,551 | $ | 7,462 | $ | 7,909 | $ | 6,074 | $ | 5,966 | $ | 5,572 | $ | 5,519 | $ | 4,380 | $ | - | |||||||||||||||||||||||||||||
| ( +/- ) OOR | US$ '000 | $ | -28,558 | $ | -1,415 | $ | -1,057 | $ | -632 | $ | - | $ | -486 | $ | -2,094 | $ | -2,898 | $ | -4,384 | $ | -19,443 | $ | -6,727 | $ | -19,443 | $ | - | |||||||||||||||||||||||||||||
| (=) EBITDA | US$ '000 | $ | 1,204,234 | $ | 188,874 | $ | 175,514 | $ | 201,454 | $ | 222,048 | $ | 247,350 | $ | 192,531 | $ | 120,951 | $ | 127,003 | $ | 99,313 | $ | 102,467 | $ | 64,781 | $ | - | |||||||||||||||||||||||||||||
| ( - ) Capex (net of taxes) | US$ '000 | $ | 62,624 | $ | 10,627 | $ | 21,525 | $ | 8,100 | $ | 11,549 | $ | 9,602 | $ | 6,423 | $ | 4,476 | $ | 4,538 | $ | 5,207 | $ | 1,152 | $ | - | $ | - | |||||||||||||||||||||||||||||
| ( - ) Sustaning Capex (net of taxes) | US$ '000 | $ | 111,143 | $ | 32,744 | $ | 22,818 | $ | 19,940 | $ | 14,637 | $ | 14,340 | $ | 19,194 | $ | 5,485 | $ | 6,067 | $ | 5,193 | $ | 5,310 | $ | - | $ | - | |||||||||||||||||||||||||||||
| ( - ) Closure and Other | US$ '000 | $ | 14,288 | $ | - | $ | - | $ | - | $ | - | $ | - | $ | - | $ | - | $ | - | $ | - | $ | - | $ | - | $ | 38,491 | |||||||||||||||||||||||||||||
| ( +- ) Operational Working Capital | US$ '000 | $ | 402 | $ | 6,337 | $ | (581 | ) | $ | 1,540 | $ | 1,209 | $ | 1,379 | $ | (3,159 | ) | $ | (3,612 | ) | $ | 74 | $ | (1,413 | ) | $ | (106 | ) | $ | (2,004 | ) | $ | (7,278 | ) | ||||||||||||||||||||||
| (=) Pre-Tax Cashflow | US$ '000 | $ | 1,016,581 | $ | 151,841 | $ | 130,590 | $ | 174,954 | $ | 197,070 | $ | 224,788 | $ | 163,755 | $ | 107,378 | $ | 116,472 | $ | 87,499 | $ | 95,899 | $ | 62,777 | $ | (45,769 | ) | ||||||||||||||||||||||||||||
| ( - ) Income Tax | US$ '000 | $ | 364,787 | $ | 62,635 | $ | 56,430 | $ | 64,065 | $ | 69,776 | $ | 77,263 | $ | 57,762 | $ | 33,110 | $ | 35,126 | $ | 25,898 | $ | 27,315 | $ | 4,338 | $ | - | |||||||||||||||||||||||||||||
| (=) After-Tax Cashflow | US$ '000 | $ | 651,794 | $ | 89,205 | $ | 74,160 | $ | 110,889 | $ | 127,294 | $ | 147,524 | $ | 105,994 | $ | 74,268 | $ | 81,347 | $ | 61,601 | $ | 68,584 | $ | 58,439 | $ | (45,769 | ) | ||||||||||||||||||||||||||||
| PROJECT ECONOMICS | period | 0.5 | 1.5 | 2.5 | 3.5 | 4.5 | 5.5 | 6.5 | 7.5 | 8.5 | 9.5 | 10.5 | 11.5 | |||||||||||||||||||||||||||||||||||||||||||
| Discount factor | 9.00 | % | 0.96 | 0.88 | 0.81 | 0.74 | 0.68 | 0.62 | 0.57 | 0.52 | 0.48 | 0.44 | 0.40 | 0.37 | ||||||||||||||||||||||||||||||||||||||||||
| Pre-Tax | ||||||||||||||||||||||||||||||||||||||||||||||||||||||||
| Pre-tax NPV at 8.00% discounting | 8.00 | % | US$ '000 | $ | 1,054,809 | $ | 146,109 | $ | 116,352 | $ | 144,333 | $ | 150,535 | $ | 158,989 | $ | 107,242 | $ | 65,112 | $ | 65,395 | $ | 45,489 | $ | 46,162 | $ | 27,980 | $ | (18,889 | ) | ||||||||||||||||||||||||||
| Pre-tax NPV at 9.00% discounting | 9.00 | % | US$ '000 | $ | 1,016,581 | $ | 145,437 | $ | 114,755 | $ | 141,045 | $ | 145,757 | $ | 152,529 | $ | 101,941 | $ | 61,326 | $ | 61,027 | $ | 42,061 | $ | 42,292 | $ | 25,399 | $ | (16,989 | ) | ||||||||||||||||||||||||||
| Pre-tax NPV at 10.00% discounting | 10.00 | % | US$ '000 | $ | 980,593 | $ | 144,774 | $ | 113,193 | $ | 137,862 | $ | 141,171 | $ | 146,388 | $ | 96,947 | $ | 57,791 | $ | 56,987 | $ | 38,919 | $ | 38,778 | $ | 23,077 | $ | (15,295 | ) | ||||||||||||||||||||||||||
| After-Tax | ||||||||||||||||||||||||||||||||||||||||||||||||||||||||
| After-tax NPV at 8.00% discounting | 8.00 | % | US$ '000 | $ | 677,289 | $ | 85,838 | $ | 66,075 | $ | 91,481 | $ | 97,235 | $ | 104,342 | $ | 69,414 | $ | 45,035 | $ | 45,673 | $ | 32,025 | $ | 33,014 | $ | 26,047 | $ | (18,889 | ) | ||||||||||||||||||||||||||
| After-tax NPV at 9.00% discounting | 9.00 | % | US$ '000 | $ | 651,794 | $ | 85,443 | $ | 65,168 | $ | 89,397 | $ | 94,149 | $ | 100,102 | $ | 65,983 | $ | 42,416 | $ | 42,623 | $ | 29,612 | $ | 30,246 | $ | 23,644 | $ | (16,989 | ) | ||||||||||||||||||||||||||
| After-tax NPV at 10.00% discounting | 10.00 | % | US$ '000 | $ | 627,816 | $ | 85,054 | $ | 64,281 | $ | 87,379 | $ | 91,187 | $ | 96,072 | $ | 62,751 | $ | 39,971 | $ | 39,801 | $ | 27,400 | $ | 27,733 | $ | 21,482 | $ | (15,295 | ) | ||||||||||||||||||||||||||

Nexa Resources S.A. | Vazante Polymetallic Operations, SLR Project No: 233.03245.R0000
Technical Report Summary - February 15, 2021
19-5
| 19.2.1 | Cash Flow Analysis |
Mine economics have been evaluated using the discounted cash flow method, using mid-year discounting convention, and taking into account annual processed tonnages and zinc, lead, and silver grades. The associated process recovery, zinc, and lead concentrate grades, metal prices, operating costs, refining and transportation charges, royalties, and capital expenditures were also considered.
The economic analysis confirmed that the Vazante Mineral Reserves are economically viable. The pre-tax net present value (NPV) at a 9% base discount rate is US$1,017 million and the after-tax NPV at a 9% base discount is US$652 million.
The summary of the results of the cash flow analysis is presented in Table 19-2.
Table 19-2: Cash Flow Analysis
Nexa Resources S.A. – Vazante Polymetallic Operations
| Item | Discount Rate | Units | Value | ||||
| Pre-tax NPV at 8% discount | 8% | US$ million | 1,055 | ||||
| Pre-tax NPV at 9% discount | 9% | US$ million | 1,017 | ||||
| Pre-tax NPV at 10% discount | 10% | US$ million | 981 | ||||
| After-Tax NPV at 8% discount | 8% | US$ million | 677 | ||||
| After-Tax NPV at 9% discount | 9% | US$ million | 652 | ||||
| After-tax NPV at 10% discount | 10% | US$ million | 628 |
The undiscounted pre-tax cash flow is US$1,468 million, and the undiscounted after-tax cash flow is US$954 million. For this cash flow analysis, the internal rate of return (IRR) and payback are not applicable as there is no negative initial cash flow (no initial investment to be recovered).
| 19.3 | Sensitivity Analysis |
Project risks can be identified in both economic and non-economic terms. Key economic risks were examined by running cash flow sensitivities on after-tax NPV at an 9% discount rate. The following items were examined:
| · | Metal prices |
| · | Head grade |
| · | Metallurgical recovery |
| · | Operating costs, and |
| · | Capital costs |
After-tax sensitivity over the base case has been calculated for -20% to +20% (for head grade), -10% to +5% (for recoveries), -20% to +20% (for metal prices), and -5% to +15% (operating costs and capital costs) variations to determine the most sensitive parameter of this project. The sensitivities are shown in Table 19-3 and Figure 19-1.
Nexa Resources S.A. | Vazante Polymetallic Operations, SLR Project No: 233.03245.R0000
Technical Report Summary - February 15, 2021
19-6
Table 19-3: After-Tax Sensitivity Analysis
Nexa Resources S.A. – Vazante Polymetallic Operations
| Head Grade | NPV
at 9% (US$ million) |
||||
| 80% | Zn:6.89% Pb:0.18% Ag:10.99 g/t | 389 | |||
| 90% | Zn:7.75% Pb:0.21% Ag:12.36 g/t | 520 | |||
| 100% | Zn:8.61% Pb:0.23% Ag:13.73 g/t | 652 | |||
| 110% | Zn:9.47% Pb:0.25% Ag:15.11 g/t | 785 | |||
| 120% | Zn:10.33% Pb:0.27% Ag:16.48 g/t | 920 |
| Zn Recovery | NPV
at 9% (US$ million) |
||||
| 90% | 75.9% | 536 | |||
| 98% | 79.7% | 594 | |||
| 100% | 83.9% | 652 | |||
| 103% | 86.0% | 681 | |||
| 105% | 88.1% | 709 |
| Metal Prices | NPV
at 9% (US$ million) |
||||
| 80% | Zn:$0.90/lb Pb:$0.71/lb Ag:$13.61/oz | 387 | |||
| 90% | Zn:$1.02/lb Pb:$0.80/lb Ag:$15.31/oz | 520 | |||
| 100% | Zn:$1.13/lb Pb:$0.89/lb Ag:$17.20/oz | 652 | |||
| 110% | Zn:$1.24/lb Pb:$0.98/lb Ag:$18.71/oz | 783 | |||
| 120% | Zn:$1.36/lb Pb:$1.07/lb Ag:$20.41/oz | 914 |
| Operating
Costs (US$ million) |
NPV
at 9% (US$ million) |
||||
| 95.0% | 717 | 668 | |||
| 97.5% | 736 | 660 | |||
| 100.0% | 755 | 652 | |||
| 107.5% | 811 | 627 | |||
| 115.0% | 868 | 603 |
Nexa Resources S.A. | Vazante Polymetallic Operations, SLR Project No: 233.03245.R0000
Technical Report Summary - February 15, 2021
19-7
| Total
Capital Costs (US$ million) |
NPV
at 9% (US$ million) |
||||
| 95.0% | 251 | 661 | |||
| 97.5% | 258 | 656 | |||
| 100.0% | 265 | 652 | |||
| 107.5% | 284 | 638 | |||
| 115.0% | 304 | 624 |
Figure 19-1: After-Tax NPV Sensitivity Graph
The after-tax NPV is most sensitive to head grade, then to metal prices, followed by recovery, operating costs, and capital costs.
Nexa Resources S.A. | Vazante Polymetallic Operations, SLR Project No: 233.03245.R0000
Technical Report Summary - February 15, 2021
19-8
| 20.0 | Adjacent Properties |
SLR is not aware of any significant deposits or properties adjacent to the Vazante Operation.
Nexa Resources S.A. | Vazante Polymetallic Operations, SLR Project No: 233.03245.R0000
Technical Report Summary - February 15, 2021
20-1

| 21.0 | Other Relevant Data and Information |
No additional information or explanation is necessary to make this Technical Report Summary understandable and not misleading.
Nexa Resources S.A. | Vazante Polymetallic Operations, SLR Project No: 233.03245.R0000
Technical Report Summary - February 15, 2021
21-1
| 22.0 | Interpretation and Conclusions |
SLR offers the following conclusions by area.
| 22.1 | Geology and Mineral Resources |
| · | Mineral Resources have been estimated for three styles of mineralization – hypogene (willemite) mineralized zones, where mining currently takes place; supergene (calamine) mineralization, located near surface; and tailings contained within the Aroeira TSF. |
| · | As prepared by Nexa and adopted by SLR, the Vazante Measured and Indicated Mineral Resources, effective as of December 31, 2020 and exclusive of Mineral Reserves, comprise 6.3 Mt at grades of 6.88% Zn, 0.16% Pb, and 7.1 g/t Ag, containing 432.3 kt Zn, 10.2 kt Pb, and 1.44 Moz Ag. In addition, Inferred Mineral Resources comprise 13.8 Mt, at grades of 6.86% Zn, 0.18% Pb, and 9.5 g/t Ag, containing 950.2 kt Zn, 25.5 kt Pb, and 4.2 Moz Ag. |
| · | Mineral Resources have been classified in accordance with the definitions for Mineral Resources in S-K 1300, which are consistent with CIM (2014) definitions. |
| · | The geological data and procedures are adequate for the estimation of Mineral Resources and comply with industry standards. |
| · | The “Reasonable Prospects for Economic Extraction” requirement of S-K 1300 resource definitions is satisfied by: |
| o | Reporting panels that have been created so as to achieve the required spatial continuity, cut-off grade, and minimum width criteria for the underground hypogene mineralization. |
| o | Open pit shells for the supergene mineralization. |
| o | The use of the original topographical surface as a constraint for the tailings mineralization. |
| · | Location data for the supergene and tailings drill holes is stored in a surface UTM coordinate system, while the hypogene drill data has been converted to an underground mine grid coordinate system. |
| 22.2 | Mining and Mineral Reserves |
| · | The Vazante Operation deposits support an average production rate of 1.5 Mtpa over the LOM, producing from 69,000 t Zn per year to 135,000 t Zn per year contained in zinc concentrate depending on head grade. |
| · | Deposit geometry and geomechanical properties are amenable to bulk longhole mining methods. The SLS methods used at the Vazante Mine consist of a combination of downholes or VRM where stopes are backfilled with run of mine rock and up-holes or SLOS which are not backfilled. |
| · | As prepared by Nexa and adopted by SLR, the Vazante Proven and Probable Mineral Reserves, effective as of December 31, 2020, comprise 16.7 Mt at grades of 8.61% Zn, 0.23% Pb, and 13.7 g/t Ag, containing 1.44 Mt Zn, 38,000 t Pb, and 7.37 Moz Ag. |
| · | Mineral Reserves have been classified in accordance with the definitions for Mineral Reserves in S-K 1300, which are consistent with CIM (2014) definitions. |
Nexa Resources S.A. | Vazante Polymetallic Operations, SLR Project No: 233.03245.R0000
Technical Report Summary - February 15, 2021
22-1
| · | Dilution and extraction estimates include: |
| o | Dilution – planned dilution for SLS assumes an estimate of the ELOS depending on the dip of the stope, ranging from zero metres to 0.75 m in the hanging wall and zero metres to 0.25 m in the footwall. |
| o | Pillars are also used to control stope dilution. These include the use of sill pillars between mining sublevels, island pillars located at the centre of stopes, and rib pillars positioned at the extremities of the stopes to reduce the potential for excess sloughing from the hanging wall contact and control dilution from adjacent filled stopes. |
| o | Extraction – initial selection of resources by stope optimization and design, plus additional factors of 83% to 98% by mining method, and 35% to 60% for pillar recovery. |
| · | The Vazante Operation requires extreme dewatering to operate, with pumping capacity increasing over time as total mine workings increase in size. The pumping rates in 2020 averaged approximately 12,500 m³/h, which while in excess of recent modelling, is well within the installed pumping capacity of the Vazante Operation (20,000 m3/h). |
| · | The second of a two-phase MDP is underway with the water pumping capacity to increase at the bottom of the mine from 10,000 m3/h to 15,000 m³/h to be completed in 2022. |
| 22.3 | Mineral Processing |
| · | Recovery of zinc from silicate minerals is not common, however, processing via flotation works in a manner similar to recovery of zinc from sulphides. Recovery of zinc metal from zinc silicate concentrates, however, is quite different compared to recovery from sulphides, requiring hydrometallurgical processing at a dedicated facility such as Nexa’s Três Marias smelter. |
| · | Zinc recovery has been shown to be related to head grade. The head grade of the processing plant feed is forecast to decrease over the remainder of the LOM, therefore, recovery and zinc concentrate production are also forecast to decrease over the remainder of the LOM, even though the ore processing rate is forecast to continue at current rates until the final year in the LOM. |
| · | In the SLR QP’s opinion, the use of past operating performance to derive a head grade versus recovery relationship for zinc (and lead) is reasonable and adequate to predict future plant performance for future head grades and ore types similar to those processed in the past few years. |
| · | Plant feed is supplemented from time to time with small amounts of willemite tailings recovered from the Aroeira TSF and blended with the fresh ore, however, Nexa is considering increasing the tailings reprocessing rate to up to 10% of plant feed. Pilot plant test work using column flotation has been conducted to assess the possibility of processing tailings separately to improve zinc recovery and results have been positive. Variability test work on samples of tailings from the Aroeira TSF is underway to help evaluate the variability of metallurgical response of the tailings. |
| · | Nexa has identified calamine resources in the Extremo Norte deposit area and along the strike length, as well as in historical tailings (the Aroeira TSF), and potential calamine resources in other historical tailings deposits. Nexa is conducting test work on calamine mineralization from the Extremo Norte area to try to improve on historical calamine processing performance, which was characterized as challenging with zinc recovery of only 50%. |
| o | Bench-scale open circuit rougher-scavenger test work using conventional mechanical cells achieved approximately 23% Zn in concentrate at a recovery of up to 70%. An open circuit cleaner test produced a concentrate grading 39% Zn (the target zinc grade for concentrate being processed at Nexa’s Três Marias smelter) and a recovery of 63%. |
Nexa Resources S.A. | Vazante Polymetallic Operations, SLR Project No: 233.03245.R0000
Technical Report Summary - February 15, 2021
22-2
| o | Pilot plant test work at the Vazante Operation using conventional mechanical cells demonstrated that overall zinc recovery of up to 50% at concentrate grades over 37% was possible. The majority of zinc losses (approximately 60%) were to the fines fraction (< 38 µm) removed prior to flotation and occurring mainly as hemimorphite. Nexa noted that the use of column cells rather than mechanical cells could provide some improvement in yield due to the large proportion of fines in the feed, and that further assessment of collectors and fatty acids was necessary to improve the recovery of hemimorphite. |
| 22.4 | Environment & Social |
| · | No environmental issues were identified from the documentation available for review that could materially impact the ability to extract the Mineral Resources and Mineral Reserves. The Vazante Operation has all the environmental operational licences required for operation according to Brazilian legislation. The approved licences address the authority’s requirements for mining extraction and operation activities. The Vazante Operation has not applied for new permits and SLR is not aware of any new projects or modification to the existing operations triggering permitting processes. Four active Operation Licences are in the process of renewal through COPAM No. 104/1988/059/2016. |
| · | The environmental programs defined in the PCAs are an integral part of the Environmental Management System for adoption of measures aimed at the prevention, mitigation, and control of potential environmental impacts resulting from mining activities. Results of the environmental programs including monitoring of water quality, air quality and noise are documented in annual reports submitted to the authorities (SUPRAM-NOR). The SLR QP is not aware of non-compliance issues raised by the authorities. In the SLR QP’s opinion, the environmental management programs for Vazante are adequate to address potential issues related to environmental compliance. |
| · | Nexa utilizes an Integrated Dam Management System (referred to as SIGBar) which provides guidelines for document management, monitoring, evaluation, risk analysis, compliance with standards and legislation, training of personnel, operation of structures and other provisions. |
| · | Tailings are currently disposed of as filtered tailings at the Pilha Garrote DSTSF. The Aroeira TSF, the former primary location for tailings disposal until August 2019, will remain operational as a water storage facility. |
| · | Regular dam safety inspections have visually confirmed that the tailings beach of the Aroeira TSF between the dam and the tailings pond is greater than 40 m. |
| · | Dam monitoring consists of instrument measurements and field inspections. Dam monitoring data is reviewed by an external consultant (Geoconsultoria) on a monthly basis. Fortnightly inspections are completed by Nexa personnel and every six months by Geoconsultoria. The latest review by Geoconsultoria that was reviewed by SLR was dated 30 August 2019 (Relatório Técnico CM18-RT57 Rev.0). Geoconsultoria’s report states the dam safety condition is “Satisfactory” without the presence of erosions, cracks, or other features indicative of instability. |
| · | A Mine Closure Plan has been developed for all the Vazante Operation components within the context of Brazilian legislation and consideration to the VMH guideline for decommissioning (Guideline PG-VM-HSMQ-040 Revision 2.2). The most recent Mine Closure Plan and cost estimate were completed in January 2018. |
Nexa Resources S.A. | Vazante Polymetallic Operations, SLR Project No: 233.03245.R0000
Technical Report Summary - February 15, 2021
22-3
| · | A social baseline description, assessment of socio-economic impacts, and identification of socio-economic environment programs have been completed as part of the environmental impact assessments carried out to mitigate negative impacts and maximize positive benefits of the Vazante Operations. These components are generally consistent with social impact assessment practices. Nexa has developed and utilizes a number of social management programs and tools to help the it work with the nearby communities (risk analysis matrices, stakeholder tracking, social characterization plan and local development plan). In the SLR QP’s opinion the grievance mechanism in place and the social management programs and tools for the Vazante Operations, are adequate to address potential issues related to local communities. |
| · | Nexa hires from the local workforce when possible, both for skilled and unskilled workers. Outreach to the local community is conducted through social and employment programs. |
| · | No social issues were identified from the documentation available for review. The review of social aspects indicates that, at present, Nexa’s operations at the Vazante Operation are a positive contribution to sustainability and community wellbeing. Nexa has established and continues to implement its various corporate policies, procedures, and practices in a manner consistent with relevant IFC PSs. Nexa has, and continues to make, a positive contribution to the communities most affected by the site operations and has done a thorough job in documenting potential effects on stakeholders and protecting the rights, health, and safety of its employees. |
| 22.5 | Costs and Economic Analysis |
| · | The LOM operating cost forecast reflects the existing operating status of the Vazante Operation. SLR has reviewed recent operating costs and is of the opinion that the forecast is appropriate for the Vazante Operation. Nexa also needs to continue assessing operating efficiencies and approaches in efforts to improve operating costs in the different cost centres. |
| · | The economics of the Vazante Operation are robust over the LOM, confirming that the Mineral Reserves are economically viable. The economic analysis indicates an after-tax net present value (NPV), at a 9% base discount rate, of $652 million. |

Nexa Resources S.A. | Vazante Polymetallic Operations, SLR Project No: 233.03245.R0000
Technical Report Summary - February 15, 2021
22-4
| 23.0 | Recommendations |
SLR offers the following recommendations by area.
| 23.1 | Geology and Mineral Resources |
| 1. | The coordinates for all supergene related drill holes be converted into the local mine grid coordinates so that the results from all Mineral Resource estimation activities can then be integrated with any underground mining activities that have been or are planned to be carried out in this area. |
| 2. | The drill hole dips for the drill holes examined be confirmed by direct visual inspection of the departing drill hole orientation at the drilling face. |
| 3. | The drill hole data relating to the tailings mineralization be converted into the mine grid coordinate system to more easily integrate the information for the underground mine. |
| 23.2 | Mining and Mineral Reserves |
| 1. | In SLR’s opinion high mine dilution at the Vazante Operation is caused in part by the current cable bolting procedure, whereby bolts are installed from the undercut level and fanned into the hanging wall of the stope. The cable bolt coverage of the stope should be improved by drilling the cable bolt holes from a hanging wall access, where the cost can be justified. Additionally, SLR also recommends assessing the production drilling design to reduce the potential for dilution. |
| 2. | SLR observed secondary breaking on surface during the 2018 site visit. The stope drill patterns should be reviewed with the intent of reducing the level of stope dilution through adjustment of the drill pattern. This may require drilling an additional hole on the hanging wall contact, between the current burden spacing. A reduced explosive charge per hole, using a lower density explosive, would aid to effectively trim the hanging wall contact thereby providing a much cleaner break. The reduced blast vibration impact (a lower peak particle velocity (ppv)) would lead to a lower degree of overbreak on the hanging wall and less dilution. |
| 3. | Dilution will be an issue in the narrow cut and fill stopes, which are not yet reflected in Mineral Reserves, as the four metre minimum mining width will impact upon every lift taken. A stope width review should be carried out for the planned cut and fill stopes to determine whether the current equipment fleet matches the orebody dimensions. |
| 4. | Narrow vein equipment should be assessed as soon as possible to have it readily available at the time narrower areas are encountered in the lower levels of the mine. |
| 5. | A trial test stope using a smaller drill unit in the upper section of the mine should be completed to assess the efficacy and optimize the drilling layouts, as a prerequisite to eventual application of the method on a larger scale in the lower levels of the mine, when a larger portion of the mine production comes from this area. |
| 6. | The use of a “shanty back” configuration on the hanging wall side of the drift should be evaluated to reduce dilution. |
| 7. | Given the extreme dewatering that is required to permit ongoing mining, hydrologic monitoring is considered a critical element of operations. Continued calibration of flows is recommended to predict, plan, and install required pumping capacities for the Vazante Operation. |
Nexa Resources S.A. | Vazante Polymetallic Operations, SLR Project No: 233.03245.R0000
Technical Report Summary - February 15, 2021
23-1
| 8. | The water table levels should be monitored as planned to help foresee any potential issues and assess mitigation measures that may be required. |
| 9. | The use of cemented rock fill (CRF) is recommended to enable mining of certain pillars where this is economical. A trade-off analysis would be required in each case. |
| 10. | The reconciliation results and the stope performance analysis should be used to evaluate stope designs to determine where improvements in mine planning would be most advantageous. |
| 23.3 | Mineral Processing |
| 1. | Continue the variability test work and process development on samples of Aroeira willemite tailings to assess the variability of metallurgical response and provide an estimate of overall recovery from the willemite portion of the tails that can be used in economic studies of the installation of a dedicated tailings processing circuit. |
| 2. | Calamine processing test work: continue process development test work to improve recovery, including the evaluation of collectors for improved recovery of hemimorphite, and consider options that may help to improve recovery from calamine mineralization such as: |
| o | Separate processing of calamine and willemite mineralization. |
| o | A coarser primary grind for calamine mineralization and evaluation of the effect of a coarser primary grind on the proportion of fines in the flotation feed and zinc (and zinc mineral) deportment to fines. |
| o | Separate processing of the fines fraction to recover hemimorphite in a purpose-built fines processing circuit, which could also be used for processing historical calamine tailings. |
| 3. | Consider developing a combined strategy for processing historical tailings and calamine ore, since the two feeds, or portions of the feeds (e.g., calamine fines) may require similar equipment for processing; this strategy could then help with test work planning, production, and financial planning. |
| 23.4 | Environment & Social |
| 1. | Although it is not a requirement in the Operation Licences, SLR recommends considering the implementation of a monitoring program for flora and fauna for the Vazante Operation. |
| 2. | The Golder closure report (No. RT-006_169-525-2593_03-J 75, dated January 2018) recommends that a more detailed assessment be made of the impact of ore processing on the potential for release of sulphates from the tailings at the Pilha Garrote DSTSF. |
| 3. | The placement and compaction of the filtered and cyclone tailings during the wet season should be considered. |
| 4. | Dust generation from the Pilha Garrote DSTSF during the dry season must be considered. |
| 5. | The water balance for the Aroeira TSF must be reviewed through additional water balance modelling to determine the impact of use as a water management facility, increased mine dewatering and surface runoff from the Pilha Garrote DSTSF. Different climate scenarios should be simulated to account for years with annual precipitation below and above the statistical average (i.e. dry and wet years). The water balance modelling should be used to investigate changes in water availability for ore processing and changes in effluent discharge rates to the Santa Catarina River. |

Nexa Resources S.A. | Vazante Polymetallic Operations, SLR Project No: 233.03245.R0000
Technical Report Summary - February 15, 2021
23-2
| 23.5 | Cost and Economic Analysis |
| 1. | Continuously monitor costs and exchange rates and lock in costs as soon as possible to eliminate economic uncertainty. |
| 2. | Continue efforts towards improving efficiencies and approaches to mining and development operations as opportunities arise in these areas. |
Nexa Resources S.A. | Vazante Polymetallic Operations, SLR Project No: 233.03245.R0000
Technical Report Summary - February 15, 2021
23-3
| 24.0 | References |
Almeida, F.F.M., 1977, O Cráton São Francisco: Brasil; Brazilian Journal of Geology (formerly Revisa Brasileira de Geosciéncias), no. 7, p. 349-364.
Alvarenga, C.J.S., Oliveira, G.D., Viera, L.C., Santon, R., Baptista, M.C., and Dnatas, El. L., 2019, Carbonate Chemostratigraphy of the Vazante Group, Brazil: A Probable Tonian Age: Elsevier Precambrian Research, 331, p. 1-14.
Amec Foster Wheeler Peru S.A., 2017, Vazante Polymetallic Operations, Minas Gerais State, Brazil, NI 43-101 Technical Report on Operations: prepared for V.M. Holding S.A., p. 332.
Appold, M.S., and Monteiro, L.V.S., 2009, Numerical Modelling of Hydrothermal Zinc Silicate and Sulphide Mineralization in the Vazante Deposit, Brazil: Geofluids, 9, p. 96-115.
Babinski, M., 2005, A Idade do Supergroupo São Francisco: Revisão e Implicaçãos nas Glaciações Neoproterozóicas: SBG, Simpósio sobre o Cráton do São Francisco, v. 3, p. 135-138.
Beurlen, H., 1974, Sobre A Origem Dingenenetico-Sedimantar De Alguns Corpos Mineralizados Em Chumbo, Zonce E Fluorita No Groupo Bambuí E Dispersão Geoquí Mica Prima Ria Dos Elementos ineralizantes: Proceedings of the XXVII Congresso Brasileiro de Geologia, Sociadade Brasileira de Geologia, SBG-RS, v. 6, p 49-60.
Brandt Meoi Ambiente, 2011, Unidade Vazante, Expansão da Area de Lavra da Mina Subterrânea de Willemita – Extremo Norte (Antiga Masa), prepared for Votorantim Metais Zinco S/A, February 2011.
Brugger, J., McPhail, D.C., Wallace, M., and Waters, J., 2003, Formation of Willemite in Hydrothermal Environments: Economic Geology v. 98, p 819-835.
Canadian Institute of Mining, Metallurgy and Petroleum (CIM), 2014, CIM Definition Standards for Mineral Resources and Mineral Reserves, adopted by the CIM Council on May 10, 2014.
Dardenne, M., A., 1978, Sintese Sobre a Estratigrafia do Groupo Bambuí no Brasil Central: in Congresso Brasileiro de Geologia, p. 597-610.
Dardenne, M.A., 1979, Les Minéralisations De Plomb, Zinc, Fluor Du Proterozoique Supérieur Dans Le Brésil Central: Ph. D. thesis, University of Paris VI, p. 251.
Dardenne, M.A., 1998, Freitas-Silva, F.H., Nogueira, G.M.S., and Campos, J.E.G., 1998, Evolução Tectono-Sedimentar Do Grupo Vazante No Contexto Da Faixa De Dobramentos Brasilia: Congresso Brasileiro de Geologia, 40, SBG, Belo Horizonte, Anais, p. 26.
Nexa Resources S.A. | Vazante Polymetallic Operations, SLR Project No: 233.03245.R0000
Technical Report Summary - February 15, 2021
24-1

Dardenne, M. A., 2000, The Brasilia Fold Belt: in Cordani, U.G., Milani, E.J., Thomaz-Filho, A., and Campos, D. A., (Eds.), Tectonic Evolution of South America, 31st International Geological Congress, Rio de Janeiro, p. 231-263.
Diagonal and Instituto Votoratim, 2015, Caracterização Socioeconômica, Votorantim Metais – Unidade Vazante, December 2015.
dos Santos, A., Imaculada de Paula, C., Junior, L., Santos, M., Peixoto, P., Pedrosa, S., and de Quadros, T., 2016, Departamento Nacional de Produção Mineral Manual Téchnico de Imissão de Posse, Elaboração CGTIG/DGTM, Versão 6: Document published by the Ministéro de Minas e Energia, p. 60.
Ecolab, 2018, Unidade Vazante, Relatório de Controle Ambiental e Plano de Controle Ambiental, Projecto Amplição da Capacidade da Usina de Concentração (USICON), prepared for Nexa Resources, November 2018.
Engler, A., 2009, The Geology of South America: Geology Vol. IV, p. 374-405.
Ferreira, G.S., 2020, Letter expressing an opinion on section 4 content in this technical report, prepared for Nexa Resources S.A., 17 July 2020.
Geoconsultoria, 2000, Nova Barragem de Rejeitos, Obras Iniciais, Projeto Executivo, Relatório Técnico CM01-RT-04 Rev. 0, July 2000.
Geoconsultoria, 2016a, Depósito de Estéril Bocaina, Projeto Executivo, Relatório Técnico CM63-RT-01 Rev. 0, January 2016.
Geoconsultoria, 2016b, Depósito de Estéril Extremo Norte, Projeto Executivo, Relatório Técnico CM63-RT-02 Rev. 0, January 2016.
Geoconsultoria, 2016c, Depósito de Estéril Sucuri, Projeto Executivo, Relatório Técnico CM63-RT-03 Rev. 0, January 2016.
Geoconsultoria, 2017: Análise de Risco - Barragem Aroeira, Relatório Técnico CM39-RT-01 Rev. 4, October 2017.
Geoconsultoria, 2019, Barragem Aroeira, Relatório da Auditoria de Segurança – FEAM, Relatório de Inspeção de Segurança Regular (RISR) – ANM, Relatório Técnico CM18-RT57 Rev.0, August 30, 2019.
Geoconsultoria, 2020, Barragem Aroeira, Relatório da Auditoria de Segurança – FEAM, Relatório de Inspeção de Segurança Regular (RISR) – ANM, 2o Semestre 2020, Relatório Técnico CM18-RT60 Rev.0, August 28, 2020.
Nexa Resources S.A. | Vazante Polymetallic Operations, SLR Project No: 233.03245.R0000
Technical Report Summary - February 15, 2021
24-2
Golder Associates, 2018, Projeto de Detalhamento das Ações de Descomissionamento da Unidade Vazante, Volumes I and II, Relatório Consolidado (Mine Closure Plan), Report RT-006_169-525-2593_03-J prepared for V.M. Holding S.A., January 2018.
Guimarães, D., 1962, Genese do Miniero de Zinco de Vazante, Minas Gerais: Sociedad Intercambeo Cultral e Estudios Geologia, Ouro Preto, 2, p. 101-147.
Hidrogeo Assessoria Ambiental Ltda, 2016, Classificação dos Rejeitos de Flotação da Unidad de Vazante/MG (Classification of Tailings from Flotation of Vazante), Report RT-01-01-GE-17-16-F prepared for Votorantim Metais, September 2016.
Hitzman, M.W., and Beaty, D.W., 1996, The Irish Zn-Pb-(Ba) Orefield: in Sangster, D.F., ed., Carbonate-hosted Lead-Zinc Deposits: Society of Economic Geologists Special Publication 4, p. 112-143.
Hitzman, M.W., Reynolds, N.A., Sandster, D.F., Aleen, C.R., and Carman, C.E., 2003, Classification, Genesis, and Exploration Guides for Non-sulphide Zinc Deposits: Economic Geology, v. 98, p. 685-714.
Lyer, S.S., 1984, A Discussion on the Lead Isotope Geochemistry of Galenas from the Bambuí Group, Minas Gerais – Brasil: Mineralium Deposita, April 1984, v. 19, Issue 2, p. 132-137.
Lyer, S.S., Hoefs, J., and Krouse, H.R., 1992, Sulfur and Lead Isotope Geochemistry of Galenas from Bambuí Group, Minas Gerais – Brasil: Implications on Ore Genesis: Econ. Geol. v. 87, p. 437-443.
McGladry, A.J. 2014, The Integration of Physical Rock Properties, Mineralogy, and Geochemistry for the Exploration of Large Hypogene Zinc Silicate Deposits: a Case Study of the Vazante Zinc Deposits, Minas Gerais, Brazil: M. Sc. Thesis, Queens University, Canada, p. 177.
Monteiro, L.V.S., 2002, Modelamento Metalgenético dos Depósitos de Zinco de Vazante, Fagundes e Amroósia, Associados ao Group Vazante, Minas Gerais: Tese de Doutorado (Ph.D. Dissertation), Universidade de São Paulo, São Paulo.
Monteiro, L.V.S, Bettencourt, J.S., Spiro, B., Graca, R., and Oliveira, T.F., 1999, The Vazante Zinc Mine, Minas Gerais, Brazil: Constraints on Willemitic Mineralization and Fluid Evolution: Exploration and Mining Journal, v. 8, p. 21-42.
Monteiro, L.V.S., Bettencourt, J.S., Juliani, C., and Oliveira, T.F., 2006, Geology, Petrography, and Mineral Chemistry of the Vazante Non-Sulphide and Anbrósia and Fagundes Sulphide-Rich Carbonate-Hosted Zn-(Pb) Deposits, Minas Gerais, Brazil: Ore Geology Reviews, v. 28(2), p. 201-234.
Monteiro, L.V.S., Bettencourt, J.S., Juliani, C., and Oliveira, T.F., 2007, Non-Sulphide and Sulphide-Rich Zinc Mineralizations in Vazante, Ambrosia and Fagundes Deposits, Minas Gerais, Brazil: Mass Balance and Stable Isotope Characteristics of the Hydrothermal Alterations: Gondwana Res. 11, p. 362-381.
Nexa Resources S.A., 2017, Plano de Desenvolvimento Local, Unidade Vazante (Community Relations Plan), December 2017.
Nexa Resources S.A. | Vazante Polymetallic Operations, SLR Project No: 233.03245.R0000
Technical Report Summary - February 15, 2021
24-3
Nexa Resources S.A., 2018, Alternativa Tecnológica para Tratamento de Calamina, Relatόrio Técnico, December 2018.
Nexa Resources S.A., 2019, Nexa Resources Announces Its 2018 Year End Mineral Reserves and Mineral Resources: News Release available from the Nexa filings on the SEDAR website at www.SEDAR.com, p. 8.
Nexa Resources S.A., 2019, Corporate Policies.
Nexa Resources S.A., 2020a, Atendimento a Condicionante No. 1, Processo COPAM No. 104/1988/056/2014 – LO No. 005/2016 submitted to SUPRAM Noroeste de Minas, dated March 30, 2020.
Nexa Resources S.A., 2020b, Atendimento a Condicionante No. 1, Processo COPAM No. 104/1988/063/2018 – LO No. 051/2019 submitted to SUPRAM Noroeste de Minas, dated October 22, 2020.
Nexa Resources S.A., 2020c, Annual Report 2019 (March 2020).
Nexa Resources S.A., 2020d, Information Relating to Mineral Properties as of March 20, 2020: Document available in the Nexa filings on the SEDAR website at www.SEDAR.com, 95 p.
Olivio, G. R., Monteiro, L.V.S., Baia, F., Slezak, P., Carvalho, I., Fernandes, N.A., Oliveria, G.D., Neto, B.B., McGladrey, A., Silva, A.M., Moura, M.A. and Layton-Matthews, D., 2018, The Proterozoic Vazante Hypogene Zinc Silicate District, Minas Gerais, Brazil: A Review of the Ore System Applied to Mineral Exploration: Minerals, v. 8-22, p. 1-17.
Pinho, J.M.M., 1990, Evolução Tectônica Da Mineralizacao De Zinco De Vazante, Brasília: M.Sc. thesis Universidade de Brasília, Brasília.
Slezak, P.R., Olivo, G.R., Olivera, G.D., and Dardenne, M.A., 2013, Geology, Mineralogy, and Geochemistry of the Vazante Northern Extension Zinc Silicate Deposit, Minas Gerais, Brazil: Ore Geology Reviews, v. 56, p. 234-257.
SGS GEOSOL, 2019, Estudo Piloto de Flotação com Rejeito de Willemita da Barragem de Vazante (MG), prepared for Nexa Resources (November, 2019).
Tassinari, C. C. G. Cordani, U. G., Nutman, A.P., Van Schmus, W.R., Bettencourt, J.S., and Taylor, P.N., 2010, Geochronological Systematics on Basement Rocks from the Rio Negro-Juruena Province (Amazon Craton) and Tectonic Implications: International Geology Review, VI 38, Issue 2.
US Securities and Exchange Commission, 2018: Regulation S-K, Subpart 229.1300, Item 1300 Disclosure by Registrants Engaged in Mining Operations and Item 601 (b)(96) Technical Report Summary.
Votorantim, 2020, Legal Opinion – Ownership and/or Possesion Rights Related to Aripuanã and Vazante Sites, prepared for Nexa Recursos Minerais S.A., 28 April 2020
Nexa Resources S.A. | Vazante Polymetallic Operations, SLR Project No: 233.03245.R0000
Technical Report Summary - February 15, 2021
24-4
| 25.0 | Reliance on Information Provided by the Registrant |
This Technical Report Summary has been prepared by SLR Consulting Ltd (SLR) for Nexa. The information, conclusions, opinions, and estimates contained herein are based on:
| · | Information available to SLR at the time of preparation of this Technical Report Summary, |
| · | Assumptions, conditions, and qualifications as set forth in this Technical Report Summary, and |
| · | Data, reports, and other information supplied by Nexa and other third party sources. |
For the purpose of this Technical Report Summary, and in particular the completion of Section 3, SLR has relied on ownership information provided by Nexa in its internal legal opinion dated April 28, 2020 (Votorantim, 2020) and an internal legal opinion by Guilherme Simões Ferreira, Legal Department - Nexa Resources, dated 17 July 2020 (Ferreira, 2020). SLR has not researched property title or mineral rights for Vazante and expresses no opinion as to the ownership status of the property.
SLR has relied on Nexa for guidance on applicable taxes, royalties, and other government levies or interests, applicable to revenue or income from the Vazante Operation.
Except for the purposes legislated under provincial securities laws, any use of this Technical Report Summary by any third party is at that party’s sole risk.
Nexa Resources S.A. | Vazante Polymetallic Operations, SLR Project No: 233.03245.R0000
Technical Report Summary - February 15, 2021
25-1
| 26.0 | Date and Signature Page |
This report titled “Technical Report Summary on the Vazante Polymetallic Operations, Minas Gerais, Brazil” dated February 15, 2021, and effective December 31, 2020, was prepared and signed by:
| SLR Consulting (Canada) Ltd. | (Signed) SLR Consulting (Canada) Ltd. |
Dated at Toronto, ON
February 15, 2021
Nexa Resources S.A. | Vazante Polymetallic Operations, SLR Project No: 233.03245.R0000
Technical Report Summary - February 15, 2021
26-1