Please wait
Execution Version AMERICAS 129648577 AMENDED AND RESTATED REVOLVING CREDIT AND TERM LOAN AGREEMENT dated as of January 31, 2020 and amended and restated as of April 9, 2025 among RONDO INTERMEDIATE HOLDINGS, LLC as Borrower, RONDO HOLDINGS, LLC, as Holdings, THE LENDERS FROM TIME TO TIME PARTY HERETO, and TRUIST BANK as Administrative Agent TRUIST SECURITIES, INC., and BOFA SECURITIES, INC. as Joint Bookrunners and Joint Lead Arrangers


 
AMERICAS 129648577 TABLE OF CONTENTS Page ARTICLE I DEFINITIONS; CONSTRUCTION ......................................................................... 1 Section 1.1. Definitions ............................................................................................... 1 Section 1.2. Classifications of Loans and Borrowings .............................................. 48 Section 1.3. Accounting Terms and Determination .................................................. 48 Section 1.4. Terms Generally .................................................................................... 49 Section 1.5. Limited Condition Transaction .............................................................. 49 Section 1.6. Divisions ................................................................................................ 50 Section 1.7. Pro Forma Calculations ......................................................................... 50 Section 1.8. Leverage Ratios ..................................................................................... 52 Section 1.9. Certain Determinations .......................................................................... 52 Section 1.10. Cashless Roll ......................................................................................... 52 Section 1.11. Currency Generally ............................................................................... 52 Section 1.12. Rates ...................................................................................................... 52 Section 1.13. Effect of Restatement ............................................................................ 53 ARTICLE II AMOUNT AND TERMS OF THE COMMITMENTS......................................... 54 Section 2.1. General Description of Facilities ........................................................... 54 Section 2.2. Revolving Loans .................................................................................... 54 Section 2.3. Procedure for Revolving Borrowings .................................................... 54 Section 2.4. Reserved ................................................................................................ 55 Section 2.5. Term Loan Commitments; Procedure for Term Loan Borrowings ....... 55 Section 2.6. Funding of Borrowings .......................................................................... 55 Section 2.7. Interest Elections ................................................................................... 56 Section 2.8. Optional Reduction and Termination of Commitments ........................ 57 Section 2.9. Repayment of Loans .............................................................................. 57 Section 2.10. Evidence of Indebtedness ...................................................................... 58 Section 2.11. Optional Prepayments ........................................................................... 59 Section 2.12. Mandatory Prepayments ........................................................................ 59 Section 2.13. Interest on Loans ................................................................................... 62 Section 2.14. Fees ........................................................................................................ 63 Section 2.15. Computation of Interest and Fees .......................................................... 64


 
AMERICAS 129648577 ii Section 2.16. Inability to Determine Interest Rates; Benchmark Replacement Setting. ................................................................................................... 64 Section 2.17. Illegality ................................................................................................. 66 Section 2.18. Increased Costs ...................................................................................... 67 Section 2.19. Funding Indemnity ................................................................................ 68 Section 2.20. Taxes ...................................................................................................... 68 Section 2.21. Payments Generally; Pro Rata Treatment; Sharing of Set-offs ............. 72 Section 2.22. Letters of Credit ..................................................................................... 73 Section 2.23. Increase of Commitments; Additional Lenders ..................................... 77 Section 2.24. Mitigation of Obligations ...................................................................... 82 Section 2.25. Replacement of Lenders ........................................................................ 82 Section 2.26. Defaulting Lenders ................................................................................ 83 Section 2.27. Refinancing Amendments ..................................................................... 85 Section 2.28. Extensions of Term Loans; Extension of Revolving Credit .................. 89 ARTICLE III CONDITIONS PRECEDENT TO LOANS AND LETTERS OF CREDIT ........ 92 Section 3.1. Conditions to the Restatement Date ...................................................... 92 Section 3.2. Conditions to Each Credit Event ........................................................... 94 Section 3.3. Delivery of Documents .......................................................................... 94 ARTICLE IV REPRESENTATIONS AND WARRANTIES .................................................... 95 Section 4.1. Existence; Power ................................................................................... 95 Section 4.2. Organizational Power; Authorization .................................................... 95 Section 4.3. Governmental Approvals; No Conflicts ................................................ 95 Section 4.4. Financial Statements .............................................................................. 95 Section 4.5. Litigation and Environmental Matters ................................................... 96 Section 4.6. Compliance with Laws and Agreements ............................................... 96 Section 4.7. Investment Company Act ...................................................................... 96 Section 4.8. Taxes. E ................................................................................................. 96 Section 4.9. Margin Regulations. ............................................................................. 96 Section 4.10. ERISA .................................................................................................... 97 Section 4.11. Ownership of Property; Insurance ......................................................... 97 Section 4.12. Disclosure .............................................................................................. 98 Section 4.13. Labor Relations ..................................................................................... 99 Section 4.14. Subsidiaries ............................................................................................ 99


 
AMERICAS 129648577 iii Section 4.15. Solvency ................................................................................................ 99 Section 4.16. [Reserved] .............................................................................................. 99 Section 4.17. Collateral Documents ............................................................................ 99 Section 4.18. Healthcare Laws .................................................................................. 100 Section 4.19. OFAC and USA Patriot Act ................................................................ 100 Section 4.20. Anti-Corruption Laws ......................................................................... 100 Section 4.21. Use of Proceeds ................................................................................... 100 ARTICLE V AFFIRMATIVE COVENANTS .......................................................................... 101 Section 5.1. Financial Statements and Other Information ....................................... 101 Section 5.2. Notices of Material Events .................................................................. 103 Section 5.3. Existence; Conduct of Business .......................................................... 104 Section 5.4. Compliance with Laws ........................................................................ 104 Section 5.5. Payment of Obligations ....................................................................... 104 Section 5.6. Books and Records .............................................................................. 104 Section 5.7. Visitation and Inspection ..................................................................... 105 Section 5.8. Maintenance of Properties; Insurance ................................................. 105 Section 5.9. Use of Proceeds; Margin Regulations ................................................. 105 Section 5.10. Additional Subsidiaries and Collateral ................................................ 106 Section 5.11. Additional Real Estate; Leased Locations ........................................... 107 Section 5.12. Further Assurances .............................................................................. 108 Section 5.13. Anti-Corruption Laws ......................................................................... 108 Section 5.14. Post-Closing Matters. .......................................................................... 108 ARTICLE VI FINANCIAL COVENANTS .............................................................................. 109 Section 6.1. Total Net Leverage Ratio .................................................................... 109 Section 6.2. Reserved .............................................................................................. 109 Section 6.3. Interest Coverage Ratio ....................................................................... 109 Section 6.4. Specified Equity Contribution ............................................................. 109 ARTICLE VII NEGATIVE COVENANTS .............................................................................. 110 Section 7.1. Indebtedness ........................................................................................ 110 Section 7.2. Liens .................................................................................................... 113 Section 7.3. Fundamental Changes ......................................................................... 116 Section 7.4. Investments, Loans .............................................................................. 117 Section 7.5. Restricted Payments ............................................................................ 120


 
AMERICAS 129648577 iv Section 7.6. Sale of Assets ...................................................................................... 123 Section 7.7. Transactions with Affiliates ................................................................ 125 Section 7.8. Restrictive Agreements ....................................................................... 126 Section 7.9. Business of Holdings ........................................................................... 126 Section 7.10. Hedging Transactions .......................................................................... 127 Section 7.11. Amendment to Material Documents ................................................... 127 Section 7.12. Certain Indebtedness ........................................................................... 127 Section 7.13. Accounting Changes ............................................................................ 127 Section 7.14. Government Regulation ....................................................................... 128 Section 7.15. Business of the Borrower and its Restricted Subsidiaries ................... 128 Section 7.16. Sanctions .............................................................................................. 128 Section 7.17. Anti-Corruption Laws ......................................................................... 128 ARTICLE VIII EVENTS OF DEFAULT ................................................................................. 128 Section 8.1. Events of Default ................................................................................. 128 Section 8.2. Application of Proceeds from Collateral ............................................. 131 ARTICLE IX THE ADMINISTRATIVE AGENT ................................................................... 132 Section 9.1. Appointment of the Administrative Agent .......................................... 132 Section 9.2. Nature of Duties of the Administrative Agent .................................... 132 Section 9.3. Lack of Reliance on the Administrative Agent ................................... 133 Section 9.4. Certain Rights of the Administrative Agent ........................................ 133 Section 9.5. Reliance by the Administrative Agent ................................................ 133 Section 9.6. The Administrative Agent in its Individual Capacity .......................... 133 Section 9.7. Successor Administrative Agent ......................................................... 134 Section 9.8. Withholding Tax .................................................................................. 134 Section 9.9. The Administrative Agent May File Proofs of Claim ......................... 135 Section 9.10. Authorization to Execute Other Loan Documents .............................. 135 Section 9.11. Collateral and Guaranty Matters ......................................................... 135 Section 9.12. [Reserved] ............................................................................................ 136 Section 9.13. Right to Realize on Collateral and Enforce Guarantee ....................... 136 Section 9.14. Secured Bank Product Obligations and Hedging Obligations ............ 136 Section 9.15. Erroneous Payments ............................................................................ 136 Section 9.16. Certain ERISA Matters. ....................................................................... 139 ARTICLE X MISCELLANEOUS ............................................................................................ 140


 
AMERICAS 129648577 v Section 10.1. Notices ................................................................................................. 140 Section 10.2. Waiver; Amendments .......................................................................... 143 Section 10.3. Expenses; Indemnification .................................................................. 145 Section 10.4. Successors and Assigns ....................................................................... 147 Section 10.5. Governing Law; Jurisdiction; Consent to Service of Process ............. 152 Section 10.6. WAIVER OF JURY TRIAL ............................................................... 153 Section 10.7. Right of Set-off .................................................................................... 153 Section 10.8. Counterparts; Integration ..................................................................... 153 Section 10.9. Survival ................................................................................................ 154 Section 10.10. Severability .......................................................................................... 154 Section 10.11. Confidentiality ..................................................................................... 154 Section 10.12. Interest Rate Limitation ....................................................................... 155 Section 10.13. Waiver of Effect of Corporate Seal ..................................................... 155 Section 10.14. USA Patriot Act; Beneficial Ownership Regulation ........................... 155 Section 10.15. No Advisory or Fiduciary Responsibility ............................................ 155 Section 10.16. Location of Closing ............................................................................. 156 Section 10.17. Acknowledgement and Consent to Bail-In of EEA Financial Institutions ........................................................................................... 156 Section 10.18. Acknowledgement Regarding Any Supported QFCs .......................... 156 Section 10.19. Payments Set Aside ............................................................................. 157


 
AMERICAS 129648577 vi Schedules Schedule I - Commitment Amounts Schedule 1.1(a) - Consolidated EBITDA Schedule 4.14 - Subsidiaries Schedule 5.14 - Post-Closing Matters Schedule 7.1 - Existing Indebtedness Schedule 7.2 - Existing Liens Schedule 7.4 - Existing Investments Exhibits Exhibit A - Form of Assignment and Acceptance Exhibit B - Form of Guaranty and Security Agreement Exhibit C - Form of Notice of Borrowing Exhibit 2.7 - Form of Notice of Conversion/Continuation Exhibit 2.20 - Form of U.S. Tax Compliance Certificates Exhibit 3.1(b)(ii)(A) - Form of Secretary’s Certificate Exhibit 3.1(b)(xi) Solvency Certificate Exhibit 5.1(c) - Form of Compliance Certificate


 
AMERICAS 129648577 AMENDED AND RESTATED REVOLVING CREDIT AND TERM LOAN AGREEMENT THIS AMENDED AND RESTATED REVOLVING CREDIT AND TERM LOAN AGREEMENT (this “Agreement”) is made and entered into as of January 31, 2020 and as amended and restated as of April 9, 2025, by and among RONDO INTERMEDIATE HOLDINGS, LLC, a Delaware limited liability company (the “Borrower”), RONDO HOLDINGS, LLC, a Delaware limited liability company (“Holdings”), several banks and other financial institutions and lenders from time to time party hereto (the “Lenders”) and TRUIST BANK, in its capacity as administrative agent for the Lenders (the “Administrative Agent”) and the Issuing bank. W I T N E S S E T H: WHEREAS, the Borrower has requested that the Original Credit Agreement (as defined below) be amended and restated on the Restatement Date (as defined below) as set forth herein, which amendment and restatement shall become effective on the Restatement Date; WHEREAS, the Borrower, the other Loan Parties (as defined below), the Lenders and the Administrative Agent desire, subject to the terms and conditions set forth herein, to amend and restate the Original Credit Agreement in its entirety as set forth herein in order to (i) convert certain “Revolving Commitments” (as defined in the Original Credit Agreement) outstanding immediately prior to the effectiveness of this Agreement on the Restatement Date (the “Existing Revolving Commitments”) into Converted Revolving Commitments in the aggregate amount of $39,785,714 as set forth herein, (ii) provide for the establishment of Additional Revolving Commitments (as defined below) to the Borrower hereunder in an aggregate amount equal to $85,214,286 and (iii) provide for certain other amendments set forth herein; WHEREAS, effective on the Restatement Date (after giving effect to this Agreement and the making of the establishment of Additional Revolving Commitments on such date), the Revolving Commitments in effect under this Agreement shall consist of a single Tranche of Revolving Commitments in an amount equal to $125,000,000; WHEREAS, it is the intent of the parties hereto that this Agreement not constitute a novation of the obligation and liabilities of the parties under the Original Credit Agreement and that this Agreement amend and restate in its entirety the Original Credit Agreement and re-evidence the “Obligations” (under, and as defined in, the Original Credit Agreement) outstanding on the Restatement Date as contemplated hereby; NOW, THEREFORE, in consideration of the premises and the mutual covenants herein contained, the parties hereto agree as follows: ARTICLE I DEFINITIONS; CONSTRUCTION Section 1.1. Definitions. In addition to the other terms defined herein, the following terms used herein shall have the meanings herein specified (to be equally applicable to both the singular and plural forms of the terms defined): “Acceptable Intercreditor Agreement” shall mean an intercreditor agreement or subordination agreement, as applicable, that is reasonably satisfactory to the Administrative Agent and the Borrower.


 
AMERICAS 129648577 2 “Account Control Agreement” shall mean any tri-party agreement by and among a Loan Party, the Administrative Agent and a depositary bank or securities intermediary at which such Loan Party maintains a controlled account, in each case in form and substance reasonably satisfactory to the Administrative Agent. “Acquisition” shall mean (a) any Investment by the Borrower or any of its Restricted Subsidiaries in any other Person, pursuant to which such Person shall become a Restricted Subsidiary of the Borrower or any of its Restricted Subsidiaries or shall be merged with the Borrower or any of its Restricted Subsidiaries or (b) any acquisition by the Borrower or any of its Restricted Subsidiaries of the assets of any Person (other than a Restricted Subsidiary of the Borrower) that constitute all or substantially all of the assets of such Person or a division or business unit of such Person, whether through purchase, merger or other business combination or transaction. With respect to a determination of the amount of an Acquisition, such amount shall include all consideration (including any deferred payments) set forth in the applicable agreements governing such Acquisition as well as the assumption of any Indebtedness in connection therewith. “Additional Lender” shall have the meaning set forth in Section 2.23. “Additional Revolving Commitment” means, (a) as to any Existing Revolving Lender with a Revolving Commitment, an amount equal to the difference between such Existing Revolving Lender’s Revolving Commitment and the aggregate principal amount of such Existing Revolving Lender’s Existing Revolving Commitments on the Restatement Date and (b) as to any other Lender with a Revolving Commitment, such Lender’s Revolving Commitment. “Additional Revolving Lender” means each Lender with an Additional Revolving Commitment. “Adjusted Term SOFR” shall mean, for purposes of any calculation and subject to the provisions of Section 2.16(b), the rate per annum equal to (a) Term SOFR for such calculation plus (b) the Term SOFR Adjustment; provided that if Adjusted Term SOFR as so determined shall ever be less than the Floor, then Adjusted Term SOFR shall be deemed to be the Floor. “Administrative Agent” shall have the meaning set forth in the introductory paragraph hereof. “Administrative Questionnaire” shall mean, with respect to each Lender, an administrative questionnaire in the form provided by the Administrative Agent and submitted to the Administrative Agent duly completed by such Lender. “Affected Financial Institution” shall mean (a) any EEA Financial Institution or (b) any UK Financial Institution. “Affiliate” shall mean, as to any Person, any other Person that directly, or indirectly through one or more intermediaries, Controls, is Controlled by, or is under common Control with, such Person. For the purposes of this definition, “Control” shall mean the power, directly or indirectly, to direct or cause the direction of the management and policies of a Person, whether through the ability to exercise voting power, by contract or otherwise. The terms “Controlled by” and “under common Control with” have the meanings correlative thereto. “Aggregate Revolving Commitment Amount” shall mean the aggregate principal amount of the Aggregate Revolving Commitments from time to time.


 
AMERICAS 129648577 3 “Aggregate Revolving Commitments” shall mean, collectively, all Revolving Commitments of all Lenders at any time outstanding, which, for the avoidance of doubt, shall include all Additional Revolving Commitments and Converted Revolving Commitments. “All-In Yield” means, as to any Indebtedness, the yield thereof, whether in the form of interest rate, margin, original issue discount, upfront fees, a Term SOFR or Base Rate floor, or otherwise, in each case, incurred or payable by the Borrower generally to all lenders of such Indebtedness; provided that original issue discount and upfront fees shall be equated to an interest rate assuming a 4-year average life to maturity on a straight line basis (e.g. 100 basis points of original issue discount equals 25 basis points of interest rate margin); provided, further, that “All-In Yield” shall not include prepayment or redemption premiums, amendment fees, arrangement fees, structuring fees, ticking fees, unused line fees, commitment fees, underwriting fees and other similar fees. “Amneal” shall mean Amneal Pharmaceuticals LLC, a Delaware limited liability company. “Amneal Debt Documents” shall mean any and all (i) debt facilities providing for revolving credit loans and/or term loans, (ii) debt securities, indentures or other forms of debt financing or (iii) instruments or agreements evidencing any other indebtedness, in each case, among Amneal and certain Subsidiaries of Amneal and the agents, lenders, purchasers, trustees and investors party thereto, and in each case, as amended, restated, amended and restated, supplemented, extended, waived, renewed, refunded, replaced, restructured, refinanced or otherwise modified from time to time; provided that none of Holdings, the Borrower or any Restricted Subsidiary of Borrower shall be party to, or provide a guaranty or grant a security interest or any other credit support in respect of, any such Indebtedness governed by such documents (for the avoidance of doubt, (A) including the EBITDA and/or net income of Holdings, the Borrower and any or all of their respective Restricted Subsidiaries in the definitions, ratios and other calculations set forth in the Amneal Debt Documents shall not constitute credit support for purposes of this definition and (B) any mandatory prepayment obligations under the Amneal Debt Documents involving proceeds from the sale of the assets of Holdings, the Borrower or any of their Restricted Subsidiaries shall not constitute credit support for purposes of this definition so long as such payment obligations are not payment obligations of Holdings, the Borrower and any or all of their respective Restricted Subsidiaries under such Amneal Debt Documents). “Applicable Lending Office” shall mean, for each Lender and for each Type of Loan, the “Lending Office” of such Lender (or an Affiliate of such Lender) designated for such Type of Loan in the Administrative Questionnaire submitted by such Lender or such other office of such Lender (or such Affiliate of such Lender) as such Lender may from time to time specify to the Administrative Agent and the Borrower as the office by which its Loans of such Type are to be made and maintained. “Applicable Margin” shall mean, as of any date, with respect to interest on all Loans outstanding on such date, the letter of credit fee or the unused line fee, as the case may be, the percentage per annum determined by reference to the applicable Total Net Leverage Ratio in effect on such date as set forth in the pricing grid below (the “Pricing Grid”); provided that a change in the Applicable Margin resulting from a change in the Total Net Leverage Ratio shall be effective on the second Business Day after the Borrower delivers each of the financial statements required by Section 5.1(a) and (b) and the Compliance Certificate required by Section 5.1(c); provided, further, that if at any time the Borrower shall have failed to deliver such financial statements and such Compliance Certificate when so required, the Applicable Margin shall, after expiration of the ten (10) day cure period set forth in Section 8.1(d) and following written notice by the Administrative Agent to the Borrower, be at Level I as set forth in the Pricing Grid until such time as such financial statements and Compliance Certificate are delivered, at which time the Applicable Margin shall be determined as provided above. Notwithstanding the foregoing, the Applicable Margin from the Restatement Date through the date of delivery of the financial statements


 
AMERICAS 129648577 4 required by Section 5.1(b) and the Compliance Certificate required by Section 5.1(c) to be delivered for the Fiscal Quarter ending June 30, 2025 shall be at Level VI as set forth in the Pricing Grid. In the event that any financial statement or Compliance Certificate delivered hereunder is shown to be inaccurate (regardless of whether this Agreement or the Commitments are in effect when such inaccuracy is discovered), and such inaccuracy, if corrected, would have led to the application of a higher Applicable Margin based upon the Pricing Grid (the “Accurate Applicable Margin”) for any period that such financial statement or Compliance Certificate covered, then (i) the Borrower shall immediately deliver to the Administrative Agent a correct financial statement or Compliance Certificate, as the case may be, for such period, (ii) the Applicable Margin shall be adjusted such that after giving effect to the corrected financial statement or Compliance Certificate, as the case may be, the Applicable Margin shall be reset to the Accurate Applicable Margin based upon the Pricing Grid for such period and (iii) the Borrower shall immediately pay to the Administrative Agent, for the account of the Lenders, the accrued additional interest and additional commitment fee owing as a result of such Accurate Applicable Margin for such period. The provisions of this definition shall not limit the rights of the Administrative Agent and the Lenders with respect to Section 2.13(c) or Article VIII. Pricing Grid Pricing Level Total Net Leverage Ratio Applicable Margin for SOFR Loans and Letter of Credit Fees Applicable Margin for Base Rate Loans Applicable Margin for Unused Line Fee I Greater than or equal to 3.50:1.00 3.00% per annum 2.00% per annum 0.35% per annum II Less than 3.50:1.00 but greater than or equal to 3.00:1.00 2.75% per annum 1.75% per annum 0.30% per annum III Less than 3.00:1.00 but greater than or equal to 2.50:1.00 2.50% per annum 1.50% per annum 0.25% per annum IV Less than 2.50:1.00 but greater than or equal to 2.00:1.00 2.25% per annum 1.25% per annum 0.25% per annum V Less than 2.00:1.00 but greater than or equal to 1.00:1.00 2.00% per annum 1.00% per annum 0.20% per annum VI Less than 1.00:1.00 1.75% per annum 0.75% per annum 0.20% per annum “Approved Fund” shall mean any Person (other than a natural Person) that is (or will be) engaged in making, purchasing, holding or otherwise investing in commercial loans and similar extensions of credit in the ordinary course of its business and that is administered or managed by (i) a Lender, (ii) an Affiliate of a Lender or (iii) an entity or an Affiliate of an entity that administers or manages a Lender. “Assignment and Acceptance” shall mean an assignment and acceptance entered into by a Lender and an assignee (with the consent of any party whose consent is required by Section 10.4(b)) and


 
AMERICAS 129648577 5 accepted by the Administrative Agent, in the form of Exhibit A attached hereto or any other form approved by the Administrative Agent. “Attributable Indebtedness” shall mean, on any date, in respect of any Capital Lease Obligation of any Person, the capitalized amount thereof that would appear as a liability on a balance sheet of such Person prepared as of such date in accordance with GAAP. “Auto Extension Letter of Credit” shall have the meaning set forth in Section 2.22(a). “Available Amount” shall mean, as of any date of determination, an amount, not less than zero, determined on a cumulative basis equal to (without duplication) (i) $50,000,000 plus (ii) the remainder of (A) the amount (determined on a cumulative basis) of Excess Cash Flow for the Fiscal Year ending on December 31, 2025 and each completed Fiscal Year thereafter that is not required to be applied as a mandatory prepayment under Section 2.12(c) minus (B) the aggregate amount by which the required prepayment of Term Loans pursuant to Section 2.12(c) for any Fiscal Year has been reduced by operation of proviso to such Section 2.12(c), plus (iii) 100% of the aggregate amount of contributions to the common capital of the Borrower or the net proceeds of the issuance of Qualified Capital Stock of Holdings (or any direct or indirect parent thereof) contributed as common equity to the capital of the Borrower, received in cash and Cash Equivalents after the Restatement Date and Not Otherwise Applied (other than any amount designated as a Specified Equity Contribution) plus (iv) an amount equal to any Returns in cash and Cash Equivalents actually received by the Borrower or any Restricted subsidiary in respect of any Investments made pursuant to Section 7.4(bb) and Not Otherwise Applied (up to the amount of the original Investment and excluding Returns from any Unrestricted Subsidiary that represent a Tax distribution) plus (v) an amount equal to Retained Declined Proceeds minus (vi) any Investment made pursuant to Section 7.4(bb), any Restricted Payments made pursuant to Section 7.5(r) and any payments made pursuant to Section 7.12(iv) during the period commencing on the Restatement Date and ending on such date of determination. “Availability Period” shall mean the period from the Restatement Date to but excluding the Revolving Commitment Termination Date. “Available Tenor” shall mean, as of any date of determination and with respect to the then-current Benchmark, as applicable, if such Benchmark is a term rate, any tenor for such Benchmark (or component thereof) that is or may be used for determining the length of an interest period pursuant to this Agreement as of such date and not including, for the avoidance of doubt, any tenor for such Benchmark that is then-removed from the definition of “Interest Period” pursuant to Section 2.16(e). “AvKare” shall mean AvKARE, LLC, a Tennessee limited liability company that is successor by conversion to AvKare, Inc. “Bail-In Action” shall mean the exercise of any Write-Down and Conversion Powers by the applicable Resolution Authority in respect of any liability of an Affected Financial Institution. “Bail-In Legislation” shall mean (a) with respect to any EEA Member Country implementing Article 55 of Directive 2014/59/EU of the European Parliament and of the Council of the European Union, the implementing law, regulation, rule or requirement for such EEA Member Country from time to time which is described in the EU Bail-In Legislation Schedule and (b) with respect to the United Kingdom, Part I of the United Kingdom Banking Act 2009 (as amended from time to time) and any other law, regulation or rule applicable in the United Kingdom relating to the resolution of unsound or failing banks, investment firms or other financial institutions or their affiliates (other than through liquidation, administration or other insolvency proceedings).


 
AMERICAS 129648577 6 “Bank Product Obligations” shall mean, collectively, all obligations and other liabilities of any Loan Party to any Bank Product Provider arising with respect to any Bank Products. “Bank Product Provider” shall mean any Person that, at the time it provides any Bank Product to any Loan Party (or, if earlier, on the Restatement Date), (i) is a Lender or an Affiliate of a Lender and (ii) except when the Bank Product Provider is Truist Bank and its Affiliates, has provided prior written notice to the Administrative Agent which has been acknowledged, in writing, by the Borrower of the existence of such Bank Product. In no event shall any Bank Product Provider acting in such capacity be deemed a Lender for purposes hereof to the extent of and as to Bank Products except that each reference to the term “Lender” in Article IX and Section 10.3(b) shall be deemed to include such Bank Product Provider and in no event shall the approval of any such person in its capacity as Bank Product Provider be required in connection with the release or termination of any security interest or Lien of the Administrative Agent. “Bank Products” shall mean any of the following services provided to any Loan Party by any Bank Product Provider: (a) any treasury or other cash management services, including deposit accounts, automated clearing house (ACH) origination and other funds transfer, depository (including cash vault and check deposit), zero balance accounts and sweeps, return items processing, controlled disbursement accounts, positive pay, lockboxes and lockbox accounts, account reconciliation and information reporting, payables outsourcing, payroll processing, trade finance services, investment accounts and securities accounts, and (b) card services, including credit cards (including purchasing cards and commercial cards), prepaid cards, including payroll, stored value and gift cards, merchant services processing, and debit card services. “Base Rate” shall mean for any day a fluctuating rate per annum equal to the highest of (i) the rate of interest which the Administrative Agent announces from time to time as its prime lending rate, as in effect from time to time, (ii) the Federal Funds Rate, as in effect from time to time, plus one-half of one percent (0.50%) per annum, (iii) the Adjusted Term SOFR Rate determined on a daily basis for an Interest Period of one (1) month, plus one percent (1.00%) per annum and (iv) zero percent (0.00%) per annum (any changes in such rates to be effective as of the date of any change in such rate). The Administrative Agent’s prime lending rate is a reference rate and does not necessarily represent the lowest or best rate actually charged to any customer. The Administrative Agent may make commercial loans or other loans at rates of interest at, above, or below the Administrative Agent’s prime lending rate. Any change in the Base Rate due to a change in the prime lending rate, Federal Funds Rate or the Adjusted Term SOFR shall be effective from and including the effective date of such change in the prime lending rate, Federal Funds Rate or the Adjusted Term SOFR, respectively. “Base Rate Borrowing” shall mean a Borrowing that bears interest at a rate based on the Base Rate. “Base Rate Loan” shall mean a Loan that bears interest at a rate based on the Base Rate. “Base Rate Term SOFR Determination Day” shall have the meaning set forth the definition of “Term SOFR”. “Benchmark” shall mean, initially, the Term SOFR Reference Rate; provided that if a Benchmark Transition Event has occurred with respect to the Term SOFR Reference Rate or the then- current Benchmark, then “Benchmark” shall mean the applicable Benchmark Replacement to the extent that such Benchmark Replacement has replaced such prior benchmark rate pursuant to Section 2.16(b). “Benchmark Replacement” shall mean with respect to any Benchmark Transition Event, the first alternative set forth in the order below that can be determined by the Administrative Agent for the applicable Benchmark Replacement Date:


 
AMERICAS 129648577 7 (a) the sum of (i) Daily Simple SOFR and (ii) 0.10% (10 basis points); and (b) the sum of: (i) the alternate benchmark rate that has been selected by the Administrative Agent and the Borrower giving due consideration to (A) any selection or recommendation of a replacement benchmark rate or the mechanism for determining such a rate by the Relevant Governmental Body or (B) any evolving or then-prevailing market convention for determining a benchmark rate as a replacement to the then-current Benchmark for Dollar- denominated syndicated credit facilities and (ii) the related Benchmark Replacement Adjustment. If the Benchmark Replacement as determined pursuant to clause (a) or (b) above would be less than the Floor, the Benchmark Replacement will be deemed to be the Floor for the purposes of this Agreement and the other Loan Documents. “Benchmark Replacement Adjustment” shall mean, with respect to any replacement of the then-current Benchmark with an Unadjusted Benchmark Replacement, the spread adjustment, or method for calculating or determining such spread adjustment, (which may be a positive or negative value or zero) that has been selected by the Administrative Agent and the Borrower giving due consideration to (a) any selection or recommendation of a spread adjustment, or method for calculating or determining such spread adjustment, for the replacement of such Benchmark with the applicable Unadjusted Benchmark Replacement by the Relevant Governmental Body or (b) any evolving or then-prevailing market convention for determining a spread adjustment, or method for calculating or determining such spread adjustment, for the replacement of such Benchmark with the applicable Unadjusted Benchmark Replacement for Dollar- denominated syndicated credit facilities. “Benchmark Replacement Date” shall mean a date and time determined by the Administrative Agent, which date shall be no later than the earlier to occur of the following events with respect to the then-current Benchmark: (a) in the case of clause (a) or (b) of the definition of “Benchmark Transition Event,” the later of (i) the date of the public statement or publication of information referenced therein and (ii) the date on which the administrator of such Benchmark (or the published component used in the calculation thereof) permanently or indefinitely ceases to provide such Benchmark (or such component thereof) or, if such Benchmark is a term rate, all Available Tenors of such Benchmark (or such component thereof); or (b) in the case of clause (c) of the definition of “Benchmark Transition Event,” the first date on which all Available Tenors of such Benchmark (or the published component used in the calculation thereof) has been or, if such Benchmark is a term rate, all Available Tenors of such Benchmark (or such component thereof) have been determined and announced by the regulatory supervisor for the administrator of such Benchmark (or such component thereof) to be non-representative; provided that such non-representativeness will be determined by reference to the most recent statement or publication referenced in such clause (c) and even if such Benchmark (or such component thereof) or, if such Benchmark is a term rate, any Available Tenor of such Benchmark (or such component thereof) continues to be provided on such date. For the avoidance of doubt, if such Benchmark is a term rate, the “Benchmark Replacement Date” will be deemed to have occurred in the case of clause (a) or (b) with respect to any Benchmark upon the occurrence of the applicable event or events set forth therein with respect to all then-current Available Tenors of such Benchmark (or the published component used in the calculation thereof).


 
AMERICAS 129648577 8 “Benchmark Transition Event” shall mean the occurrence of one or more of the following events with respect to the then-current Benchmark: (a) a public statement or publication of information by or on behalf of the administrator of such Benchmark (or the published component used in the calculation thereof) announcing that such administrator has ceased or will cease to provide such Benchmark (or such component thereof) or, if such Benchmark is a term rate, all Available Tenors of such Benchmark (or such component thereof), permanently or indefinitely, provided that, at the time of such statement or publication, there is no successor administrator that will continue to provide such Benchmark (or such component thereof) or, if such Benchmark is a term rate, any Available Tenor of such Benchmark (or such component thereof); (b) a public statement or publication of information by the regulatory supervisor for the administrator of such Benchmark (or the published component used in the calculation thereof), the Federal Reserve Board, the Federal Reserve Bank of New York, an insolvency official with jurisdiction over the administrator for such Benchmark (or such component), a resolution authority with jurisdiction over the administrator for such Benchmark (or such component) or a court or an entity with similar insolvency or resolution authority over the administrator for such Benchmark (or such component), which states that the administrator of such Benchmark (or such component) has ceased or will cease to provide such Benchmark (or such component thereof) or, if such Benchmark is a term rate, all Available Tenors of such Benchmark (or such component thereof) permanently or indefinitely, provided that, at the time of such statement or publication, there is no successor administrator that will continue to provide such Benchmark (or such component thereof) or, if such Benchmark is a term rate, any Available Tenor of such Benchmark (or such component thereof); or (c) a public statement or publication of information by the regulatory supervisor for the administrator of such Benchmark (or the published component used in the calculation thereof) announcing that such Benchmark (or such component thereof) or, if such Benchmark is a term rate, all Available Tenors of such Benchmark (or such component thereof) are not, or as of a specified future date will not be, representative. For the avoidance of doubt, if such Benchmark is a term rate, a “Benchmark Transition Event” will be deemed to have occurred with respect to any Benchmark if a public statement or publication of information set forth above has occurred with respect to each then-current Available Tenor of such Benchmark (or the published component used in the calculation thereof). “Benchmark Unavailability Period” shall mean, the period (if any) (a) beginning at the time that a Benchmark Replacement Date has occurred if, at such time, no Benchmark Replacement has replaced the then-current Benchmark for all purposes hereunder and under any Loan Document in accordance with Section 2.16 and (b) ending at the time that a Benchmark Replacement has replaced the then-current Benchmark for all purposes hereunder and under any Loan Document in accordance with Section 2.16. “Beneficial Ownership Certification” shall mean a certification regarding beneficial ownership as required by the Beneficial Ownership Regulation. “Beneficial Ownership Regulation” shall mean 31 C.F.R. § 1010.230. “Benefit Plan” means any of (a) an “employee benefit plan” (as defined in ERISA) that is subject to Title I of ERISA, (b) a “plan” as defined in and subject to Section 4975 of the Code or (c) any


 
AMERICAS 129648577 9 Person whose assets include (for purposes of ERISA Section 3(42) or otherwise for purposes of Title I of ERISA or Section 4975 of the Code) the assets of any such “employee benefit plan” or “plan”. “Borrower” shall have the meaning set forth in the introductory paragraph hereof. “Borrowing” shall mean a borrowing consisting of Loans of the same Class and Type, made, converted or continued on the same date and, in the case of SOFR Loans, as to which a single Interest Period is in effect. “Business Day” shall mean (i) any day other than a Saturday, Sunday or other day on which commercial banks in Charlotte, North Carolina or New York, New York are authorized or required by law to close and (ii) if such day relates to a Borrowing of, a payment or prepayment of principal or interest on, a conversion of or into, or an Interest Period for, a SOFR Loan, a determination of Adjusted Term SOFR or a notice with respect to any of the foregoing, any day that is also a U.S. Government Securities Business Day. “Capital Expenditures” shall mean, for any period, without duplication, (a) all expenditures (whether paid in cash or accrued as liabilities) by the Borrower and its Restricted Subsidiaries during such period that, in conformity with GAAP, are or are required to be included as additions during such period to property, plant or equipment reflected in the consolidated balance sheet of the Borrower and its Restricted Subsidiaries and (b) Capital Lease Obligations incurred by the Borrower and its Restricted Subsidiaries during such period. “Capital Lease Obligations” of any Person shall mean, at the time of determination, all obligations of such Person to pay rent or other amounts under any lease of real or personal property, or a combination thereof, which obligations are required to be classified and accounted for as capital or finance leases on a balance sheet of such Person under GAAP (excluding the footnotes thereto), and, for the purposes hereof, the amount of such obligations shall be the capitalized amount thereof at such time determined in accordance with GAAP. “Capital Stock” shall mean, with respect to any Person, all shares, general or limited partnership interests, membership interests or other equivalents (regardless of how designated) of or in a corporation, partnership, limited liability company or equivalent entity whether voting or nonvoting, including common stock, preferred stock or any other “equity security” (as such term is defined in Rule 3a11-1 of the General Rules and Regulations promulgated by the Securities and Exchange Commission under the Exchange Act) of such Person and all of the warrants, options or other rights for the purchase, acquisition or exchange from such Person of any of the foregoing (including through convertible securities); provided that any instrument evidencing Indebtedness convertible or exchangeable for Capital Stock shall not be deemed to be Capital Stock unless and until such instrument is so converted or exchanged. “Cash Collateralize” shall mean, in respect of any obligations, to provide and pledge (as a first priority perfected security interest) cash collateral for such obligations in Dollars with the Administrative Agent pursuant to documentation in form and substance reasonably satisfactory to the Administrative Agent (and “Cash Collateralized” and “Cash Collateralization” have the corresponding meanings). “Cash Equivalents” shall mean: (i) Dollars;


 
AMERICAS 129648577 10 (ii) readily marketable direct obligations of the United States or any agency thereof or readily marketable obligations guaranteed by the United States or any agency thereof, in each case, with maturities not exceeding two years; (iii) time deposits, eurodollar time deposits, certificates of deposit and money market deposits, in each case, with maturities not exceeding one year from the date of acquisition thereof, demand deposits, bankers’ acceptances with maturities not exceeding one year and overnight bank deposits, in each case, with any commercial bank that (a) is a Lender or (b)(1) is organized under the laws of the United States, any state thereof, the District of Columbia or any member nation of the Organization for Economic Cooperation and Development or is the principal banking subsidiary of a bank holding company organized under the laws of the United States, any state thereof, the District of Columbia or any member nation of the Organization for Economic Cooperation and Development and is a member of the Federal Reserve System and (2) has combined capital and surplus of at least $250.0 million (or the foreign currency equivalent thereof) (any such bank in the foregoing clauses (a) or (b) being an “Approved Bank”); (iv) repurchase obligations for underlying securities of the types described in clauses (ii) and (iii) above and clause (vi) below entered into with a bank meeting the qualifications described in clause (iii) above; (v) commercial paper or variable or fixed rate notes maturing not more than one year after the date of acquisition issued by an Approved Bank (or by the direct parent company thereof) or by a corporation (other than structured investment vehicles and other corporations used in structured financing transactions) rated at least “P-1” by Moody’s or “A-1” by S&P (or reasonably equivalent ratings of another internationally recognized rating agency); (vi) securities with maturities of two years or less from the date of acquisition issued or fully guaranteed by any state, commonwealth or territory of the United States, or by any political subdivision or taxing authority thereof, having one of the two highest rating categories obtainable from either Moody’s or S&P (or reasonably equivalent ratings of another internationally recognized rating agency); (vii) marketable short-term money market and similar highly liquid funds having a rating of at least “P-2” or “A-2” from either Moody’s or S&P (or reasonably equivalent ratings of another internationally recognized rating agency); (viii) Investments in money market funds with average maturities of 12 months or less from the date of acquisition that are rated at least “Aaa3” by Moody’s and “AAA” by S&P (or reasonably equivalent ratings of another internationally recognized rating agency); (ix) instruments equivalent to those referred to in clauses (i) through (viii) above denominated in any foreign currency comparable in credit quality and tenor to those referred to above customarily utilized by corporations for cash management purposes in any jurisdiction outside the United States to the extent reasonably required in connection with any business conducted by any Restricted Subsidiary organized in such jurisdiction; and (x) shares of mutual funds whose investment guidelines restrict 95% of such funds’ investments to those satisfying the provisions of clauses (i) through (ix) above. “Change in Control” shall mean the occurrence of one or more of the following events: (a) prior to the occurrence of a Qualified IPO, (i) any sale, lease, exchange or other transfer (in a single transaction or a series of related transactions) of all or substantially all of the assets of the Borrower to any


 
AMERICAS 129648577 11 Person or “group” (within the meaning of the Exchange Act and the rules of the Securities and Exchange Commission thereunder in effect on the date hereof), or (ii) the Permitted Holders cease to own and control, directly or indirectly, beneficially and of record, at least 50.1% of the outstanding shares of the Capital Stock of Holdings, (b) after the occurrence of a Qualified IPO, (i) any “person” or “group” (as such terms are used in Sections 13(d) and 14(d) of the Exchange Act) other than the Permitted Holders are or shall at any time become the “beneficial owner” (as defined in Rules 13(d)-3 and 13(d)-5 under the Exchange Act), directly or indirectly, of 35% or more on a fully diluted basis of Holding’s (or its direct or indirect parent’s) Capital Stock and the Permitted Holders shall own, directly or indirectly, less than such “person” or “group” of Holdings’ Capital Stock or (ii) any sale, lease, exchange or other transfer (in a single transaction or a series of related transactions) of all or substantially all of the assets of the Borrower to any Person or “group” (within the meaning of the Exchange Act and the rules of the Securities and Exchange Commission thereunder in effect on the date hereof), or (c) Holdings ceases to own and control, directly or indirectly, 100% of the outstanding shares of the Capital Stock of the Borrower. “Change in Law” shall mean the occurrence, after the Restatement Date, of any of the following: (i) the adoption or taking effect of any law, rule, regulation or treaty, (ii) any change in any law, rule, regulation or treaty, or in the administration, interpretation, implementation or application thereof by any Governmental Authority, or (iii) the making or issuance of any request, rule, guideline or directive (whether or not having the force of law) of any Governmental Authority; provided that notwithstanding anything herein to the contrary, (x) the Dodd-Frank Wall Street Reform and Consumer Protection Act and all requests, rules, guidelines or directives in connection therewith and (y) all requests, rules, guidelines or directives promulgated by the Bank for International Settlements, the Basel Committee on Banking Supervision (or any successor or similar authority) or the United States or foreign regulatory authorities, in each case pursuant to Basel III, shall in each case be deemed to be a “Change in Law”, regardless of the date enacted, adopted or issued. “Class”, when used in reference to any Loan or Borrowing, refers to whether such Loan, or each of the Loans comprising such Borrowing, is a Revolving Loan or a Term Loan and, when used in reference to any Commitment, refers to whether such Commitment is a Revolving Commitment or a Term Loan Commitment. “Closing Date” shall mean January 31, 2020. “Code” shall mean the Internal Revenue Code of 1986, as amended and in effect from time to time. “Collateral” shall mean a Loan Party’s interest in all tangible and intangible property, real and personal, of any Loan Party that is or purports to be the subject of a Lien in favor of the Administrative Agent to secure the whole or any part of the Obligations or any Guarantee thereof, and shall include, without limitation, all casualty insurance proceeds and condemnation awards with respect to any of the foregoing. “Collateral Access Agreement” shall mean each landlord waiver or bailee agreement granted to, and in form and substance reasonably acceptable to, the Administrative Agent. “Collateral Documents” shall mean, collectively, the Guaranty and Security Agreement, any Real Estate Documents, the Account Control Agreements, all Copyright Security Agreements, all Patent Security Agreements, all Trademark Security Agreements, all Collateral Access Agreements and all other instruments and agreements now or hereafter securing or perfecting the Liens securing the whole or any part of the Obligations or any Guarantee thereof, all UCC financing statements, fixture filings and stock powers, and all other documents, instruments, agreements and certificates executed and delivered by any Loan Party to the Administrative Agent and the Lenders in connection with the foregoing.


 
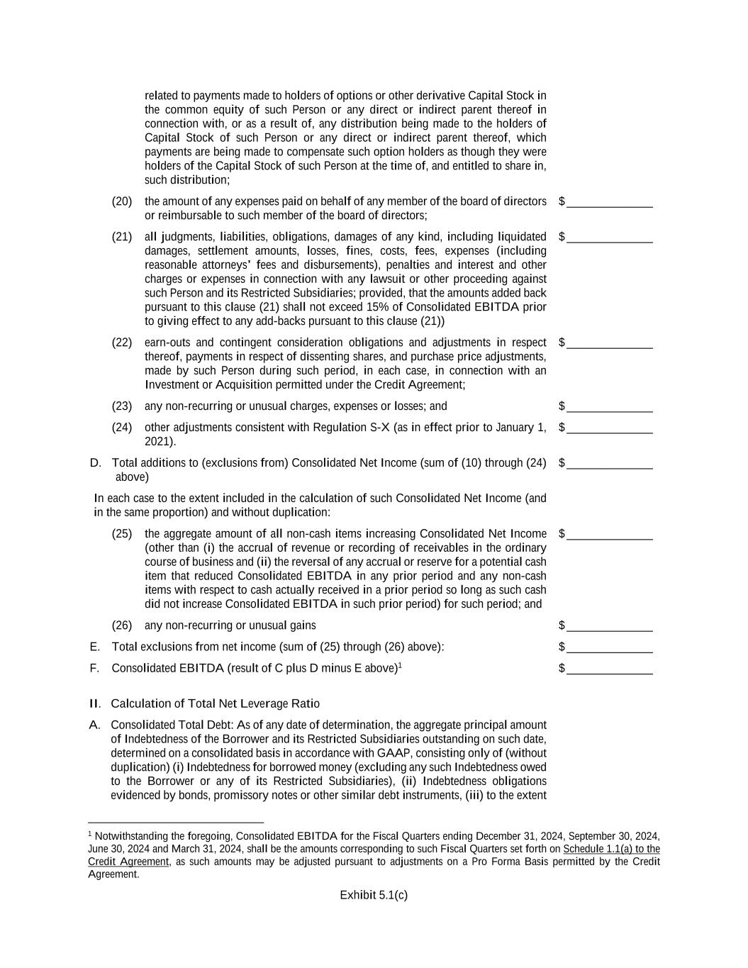
AMERICAS 129648577 12 “Commitment” shall mean a Revolving Commitment or a Term Loan Commitment or any combination thereof (as the context shall permit or require). “Commodity Exchange Act” shall mean the Commodity Exchange Act (7 U.S.C. § 1 et seq.), as amended from time to time, and any successor statute. “Compliance Certificate” shall mean a certificate from the chief financial officer of the Borrower in the form of, and containing the certifications set forth in, the certificate attached hereto as Exhibit 5.1(c). “Conforming Changes” shall mean, with respect to either the use or administration of Term SOFR or the use, administration, adoption or implementation of any Benchmark Replacement, any technical, administrative or operational changes (including changes to the definition of “Base Rate”. the definition of “Business Day”, the definition of “U.S. Government Securities Business Day”, the definition of “Interest Period” or any similar or analogous definition (or the addition of a concept of “interest period”), timing and frequency of determining rates and making payments of interest, timing of borrowing requests or prepayment, conversion or continuation notices, the applicability and length of lookback periods, the applicability of Section 2.19 and other technical, administrative or operational matters) that the Administrative Agent (in consultation with the Borrower) decides may be appropriate to reflect the adoption and implementation of any such rate or to permit the use and administration thereof by the Administrative Agent in a manner substantially consistent with market practice (or, if the Administrative Agent decides that adoption of any portion of such market practice is not administratively feasible or if the Administrative Agent determines (in consultation with the Borrower) that no market practice for the administration of any such rate exists, in such other manner of administration as the Administrative Agent decides (in consultation with the Borrower) is reasonably necessary in connection with the administration of this Agreement and the other Loan Documents). “Consolidated EBITDA” shall mean, for the Borrower and its Restricted Subsidiaries for any period, an amount equal to the sum of (i) Consolidated Net Income for such period plus (ii) except with respect to clauses (F)(3) and (H) below, to the extent deducted (and not added back or excluded) in determining Consolidated Net Income for such period, and without duplication, (A) consolidated interest expense determined in accordance with GAAP (including, without limitation, amortization or writeoff of debt discount), (B) income tax expense determined on a consolidated basis in accordance with GAAP, (C) depreciation and amortization determined on a consolidated basis in accordance with GAAP, (D) the amount of any compensation charge or expense as the result of any grant or repurchase of Capital Stock or Capital Stock equivalents to or from employees, officers, directors or consultants, (E) fees, charges, expenses and other amounts incurred in connection with or as a result of the closing of this Agreement and any future amendments, modifications, waivers or other similar transactions in connection with this Agreement (whether or not consummated), (F) (1) the amount of any restructuring, severance, relocation, consolidation, integration, remediation or similar items or reserves in such period (whether or not characterized as such in accordance with GAAP), including items or reserves incurred or taken in connection with Permitted Acquisitions and other Investments permitted hereunder, (2) the amount of costs relating to signing, retention and completion bonuses, relocation expenses, recruiting expenses, costs and expenses incurred in connection with any strategic or new initiatives, transition costs, consolidation and closing costs for facilities, business optimization expenses and new systems design and implementation costs, and (3) the amount of “run-rate” cost savings, operating expense reductions and cost synergies related to any Specified Transaction or any other restructuring, cost saving initiative or other similar initiative that are projected by such Person in good faith to result from actions taken, committed to be taken or expected to be taken no later than 18 months after the consummation of such Specified Transaction or applicable restructuring or similar initiative (which amounts will be determined by such Person in good faith and calculated on a Pro Forma Basis as though such amounts had been realized on the first day of such period),


 
AMERICAS 129648577 13 net of the amount of actual benefits realized during such period from such action, in an aggregate amount, with respect to this clause (F), not to exceed 25% of Consolidated EBITDA (calculated after adding back any amounts pursuant to this clause (F)) for the Borrower and its Restricted Subsidiaries in any four Fiscal Quarter period, (G) any costs or expenses incurred in such period pursuant to or in connection with or resulting from any management equity plan, profits interest or stock option plan or any other management or employee benefit plan or agreement or any post-employment benefit plans or agreements or any grants or sales of stock, stock appreciation or similar rights, stock options, restricted stock, preferred stock or other similar rights or any stock subscription, stockholders or partnership agreement, (H) cash receipts (or any netting arrangements resulting in reduced cash expenditures) not representing Consolidated EBITDA or Consolidated Net Income in any period to the extent non-cash gains relating to such cash receipts were deducted in the calculation of Consolidated EBITDA pursuant to clause (iii) below for any previous period and not added back, (I) any non-cash charges or expenses reducing Consolidated Net Income for such period (provided that if any such non-cash item represents an accrual or reserve for potential cash items in any future period, (1) such Person may determine not to add back such non-cash item in the current period and (2) to the extent such Person does decide to add back such non-cash item, the cash payment in respect thereof in such future period shall be subtracted from Consolidated EBITDA to such extent, and excluding amortization of a prepaid cash item that was paid in a prior period), (J) all charges, costs, expenses, accruals or reserves in connection with the rollover, acceleration or payout of Capital Stock held by officers or employees of such Person in connection with the Transactions and all losses, charges and expenses related to payments made to holders of options or other derivative Capital Stock in the common equity of such Person or any direct or indirect parent thereof in connection with, or as a result of, any distribution being made to the holders of Capital Stock of such Person or any direct or indirect parent thereof, which payments are being made to compensate such option holders as though they were holders of the Capital Stock of such Person at the time of, and entitled to share in, such distribution, (K) the amount of any expenses paid on behalf of any member of the board of directors or reimbursable to such member of the board of directors, (L) all judgments, liabilities, obligations, damages of any kind, including liquidated damages, settlement amounts, losses, fines, costs, fees, expenses (including reasonable attorneys’ fees and disbursements), penalties and interest and other charges or expenses in connection with any lawsuit or other proceeding against such Person and its Restricted Subsidiaries; provided, that the amounts added back pursuant to this clause (L) shall not exceed 15% of Consolidated EBITDA prior to giving effect to any add-backs pursuant to this clause (L)), (M) earn-outs and contingent consideration obligations and adjustments in respect thereof, payments in respect of dissenting shares, and purchase price adjustments, made by such Person during such period, in each case, in connection with an Investment or Acquisition permitted hereunder, (N) [reserved], (O) any non-recurring or unusual charges, expenses or losses and (P) other adjustments consistent with Regulation S-X (as in effect prior to January 1, 2021); minus (iii) the sum of, in each case to the extent included in the calculation of such Consolidated Net Income (and in the same proportion) and without duplication, (A) the aggregate amount of all non-cash items increasing Consolidated Net Income (other than (i) the accrual of revenue or recording of receivables in the ordinary course of business and (ii) the reversal of any accrual or reserve for a potential cash item that reduced Consolidated EBITDA in any prior period and any non-cash items with respect to cash actually received in a prior period so long as such cash did not increase Consolidated EBITDA in such prior period) for such period and (B) any non-recurring or unusual gains; provided that, notwithstanding the foregoing, Consolidated EBITDA for the Fiscal Quarters ending December 31, 2024, September 30, 2024, June 30, 2024 and March 31, 2024, shall be the amounts corresponding to such Fiscal Quarters set forth on Schedule 1.1(a), as such amounts may be adjusted pursuant to adjustments on a Pro Forma Basis permitted by this Agreement. “Consolidated First Lien Debt” shall mean as of any date, the aggregate principal amount of Consolidated Total Debt outstanding on such date that is secured on a “first priority” basis by a Lien on any property of the Borrower or its Restricted Subsidiaries.


 
AMERICAS 129648577 14 “Consolidated Interest Expense” shall mean, with respect to any Person for any period, the sum of: (a) the total consolidated interest expense of the Borrower and its Restricted Subsidiaries paid in cash during such period determined on a consolidated basis in accordance with GAAP; plus (b) all cash dividend payments (excluding items eliminated in consolidation) on any series of Disqualified Capital Stock of such Person or any Restricted Subsidiary of such Person made during such period. “Consolidated Net Income” shall mean, for the Borrower and its Restricted Subsidiaries for any period, the net income (or loss) of the Borrower and its Restricted Subsidiaries for such period determined on a consolidated basis in accordance with GAAP; provided that there shall be excluded from Consolidated Net Income (to the extent otherwise included therein), without duplication, (i) any extraordinary gains or losses (as defined in GAAP as in effect prior to FASB No. 2015-07), (ii) any net after-tax gains or losses attributable to write-ups or write-downs of assets or the sale of assets (other than the sale of inventory in the ordinary course of business), (iii) the minority interest in the net income (or loss) of each Restricted Subsidiary that is not a Wholly Owned Subsidiary, (iv) the net income for such period of any Person that is not a Subsidiary of the Borrower, or is an Unrestricted Subsidiary, or that is accounted for by the equity method of accounting, except to the extent of the amount of dividends or distributions that are actually paid in cash or Cash Equivalents to the Borrower or a Restricted Subsidiary thereof in respect of such period, (v) the net income of any Restricted Subsidiary of such Person that is not a Guarantor, and is, on the last day of such period, subject to any restriction or limitation on the payment of dividends or distributions or the making of other distributions, to the extent of such restriction or limitation, (vi) the net income (or loss) of any other Person arising prior to such other Person becoming a Restricted Subsidiary of such Person or merging or consolidating into such Person or its Restricted Subsidiaries, (vii) gains or losses from the early extinguishment, cancellation or repurchase of Indebtedness, (viii) any net gain (or loss) from disposed, abandoned or discontinued operations and (ix) any net gain (or loss) realized upon the sale or other disposition of any asset (including pursuant to any sale and leaseback transaction) which is not sold or otherwise disposed of in the ordinary course of business (as determined in good faith by a Responsible Officer or the board of directors of the Borrower). “Consolidated Total Assets” shall mean, as of any date, the total assets of the Borrower and the Restricted Subsidiaries, determined on a consolidated basis in accordance with GAAP, determined based upon the most recent financial statements delivered pursuant to Section 5.1(a) or (b), as applicable, immediately prior to the date of determination. “Consolidated Total Debt” shall mean, as of any date of determination, the aggregate principal amount of Indebtedness of the Borrower and its Restricted Subsidiaries outstanding on such date, determined on a consolidated basis in accordance with GAAP, consisting only of (without duplication) (i) Indebtedness for borrowed money (excluding any such Indebtedness owed to the Borrower or any of its Restricted Subsidiaries), (ii) Indebtedness obligations evidenced by bonds, promissory notes or other similar debt instruments, (iii) to the extent not cash collateralized, obligations under letters of credit solely to the extent of any drawn amounts thereunder that have not been reimbursed, (iv) obligations in respect of Capital Lease Obligations and purchase money Indebtedness and (v) Indebtedness of the type referred to in clauses (i) through (iv) hereof of any other person that is unconditionally guaranteed by the Borrower or any Restricted Subsidiary, provided that Consolidated Total Debt shall not include any indebtedness in respect of (a) any qualified receivables financing or factoring arrangement, (b) any letter of credit, except to the extent of unreimbursed obligations in respect of drawn letters of credit or (c) Hedging Obligations.


 
AMERICAS 129648577 15 “Consolidated Total Secured Debt” shall mean, as of any date, the aggregate principal amount of Consolidated Total Debt outstanding on such date that is secured by a Lien on any property of the Borrower or its Restricted Subsidiaries. “Contractual Obligation” of any Person shall mean any provision of any security issued by such Person or of any agreement, instrument or undertaking (other than a Loan Document) under which such Person is obligated or by which it or any of the property in which it has an interest is bound. “Controlling Member” shall mean Amneal Pharmaceuticals, LLC. “Converted Revolving Commitments” has the meaning specified in Section 2.2. “Converting Revolving Lender” shall have the meaning set forth in Section 2.2(a). “Copyright” shall have the meaning assigned to such term in the Guaranty and Security Agreement. “Copyright Security Agreement” shall mean any Copyright Security Agreement executed by a Loan Party owning registered Copyrights or applications for Copyrights in favor of the Administrative Agent for the benefit of the Secured Parties. “Covered Entity” shall mean any of the following: (i) a “covered entity” as that term is defined in, and interpreted in accordance with, 12 C.F.R. § 252.82(b); (ii) a “covered bank” as that term is defined in, and interpreted in accordance with, 12 C.F.R. § 47.3(b); or (iii) a “covered FSI” as that term is defined in, and interpreted in accordance with, 12 C.F.R. § 382.2(b). “Covered Party” shall have the meaning set forth in Section 10.18. “Current Assets” shall mean, with respect to any Person, all assets of such Person as of any date of determination, that would, in accordance with GAAP be classified on a consolidated balance sheet of such Person as current assets at such date of determination, but excluding cash, Cash Equivalents and debts due from Affiliates. “Current Liabilities” shall mean, with respect to any Person as of any date of determination, all liabilities of such Person that would, in accordance with GAAP, be classified on a consolidated balance sheet as current liabilities of such Person as of such date of determination, and in any event including all Indebtedness payable on demand or within one year from such date of determination without any option on the part of the obligor to extend or renew beyond such year and all accrual for federal or other taxes based on or measured by income and payable within such year, but excluding the current portion of long-term debt required to be paid within one year and the aggregate outstanding principal balance of the Revolving Loans; provided, however, that the current portion of any deferred fee liability and loss contract liability shall be excluded therefrom. “Daily Simple SOFR” shall mean, for any day, SOFR, with the conventions for this rate (which will include a lookback) being established by the Administrative Agent in accordance with the conventions for this rate selected or recommended by the Relevant Governmental Body for determining “Daily Simple SOFR” for syndicated business loans; provided, that if the Administrative Agent decides that any such convention is not administratively feasible for the Administrative Agent, then the Administrative Agent may establish another convention in its reasonable discretion. “Debtor Relief Laws” shall mean the Bankruptcy Code of the United States of America, and all other liquidation, conservatorship, bankruptcy, assignment for the benefit of creditors, moratorium,


 
AMERICAS 129648577 16 rearrangement, receivership, insolvency, reorganization, or similar debtor relief Laws of the United States or other applicable jurisdictions from time to time in effect and affecting the rights of creditors generally. “Declined Proceeds” shall have the meaning set forth in Section 2.12(d). “Default” shall mean any condition or event that, with the giving of notice or the lapse of time or both, would constitute an Event of Default. “Default Interest” shall have the meaning set forth in Section 2.13(c). “Defaulting Lender” shall mean, subject to Section 2.26(c), any Lender that (a) has failed to (i) fund all or any portion of its Loans within two (2) Business Days of the date such Loans were required to be funded hereunder unless such Lender notifies the Administrative Agent and the Borrower in writing that such failure is the result of such Lender’s determination that one or more conditions precedent to funding (each of which conditions precedent, together with any applicable default, shall be specifically identified in such writing) has not been satisfied, or (ii) pay to the Administrative Agent, any Issuing Bank or any other Lender any other amount required to be paid by it hereunder (including in respect of its participation in Letters of Credit) within two (2) Business Days of the date when due, (b) has notified the Borrower, the Administrative Agent or any Issuing Bank in writing that it does not intend to comply with its funding obligations hereunder, or has made a public statement to that effect (unless such writing or public statement relates to such Lender’s obligation to fund a Loan hereunder and states that such position is based on such Lender’s determination that a condition precedent to funding (which condition precedent, together with any applicable default, shall be specifically identified in such writing or public statement) cannot be satisfied), (c) has failed, within three (3) Business Days after written request by the Administrative Agent or the Borrower, to confirm in writing to the Administrative Agent and the Borrower that it will comply with its prospective funding obligations hereunder (provided that such Lender shall cease to be a Defaulting Lender pursuant to this clause (c) upon receipt of such written confirmation by the Administrative Agent and the Borrower), or (d) has, or has a direct or indirect parent company that has, after the date hereof (i) become the subject of a proceeding under any Debtor Relief Law, (ii) had appointed for it a receiver, custodian, conservator, trustee, administrator, assignee for the benefit of creditors or similar Person charged with reorganization or liquidation of its business or assets, including the Federal Deposit Insurance Corporation or any other state or federal regulatory authority acting in such a capacity; or (iii) become the subject of a Bail-in Action; provided that a Lender shall not be a Defaulting Lender solely by virtue of the ownership or acquisition of any equity interest in that Lender or any direct or indirect parent company thereof by a Governmental Authority so long as such ownership interest does not result in or provide such Lender with immunity from the jurisdiction of courts within the United States or from the enforcement of judgments or writs of attachment on its assets or permit such Lender (or such Governmental Authority) to reject, repudiate, disavow or disaffirm any contracts or agreements made with such Lender. Any determination by the Administrative Agent that a Lender is a Defaulting Lender under clauses (a) through (d) above shall be conclusive and binding absent manifest error, and such Lender shall be deemed to be a Defaulting Lender (subject to Section 2.26(b)) upon delivery of written notice of such determination to the Borrower, each Issuing Bank and each Lender. “Designated Non-Cash Consideration” means the fair market value of non-cash consideration received by the Borrower or any Restricted Subsidiary in connection with a disposition that is designated as Designated Non-Cash Consideration pursuant to a certificate of a Responsible Officer of the Borrower, less the amount of cash or Cash Equivalents received in connection with realization of, or a subsequent sale of, such Designated Non-Cash Consideration. “Disqualified Capital Stock” shall mean any Capital Stock that, by its terms (or by the terms of any other instrument, agreement or Capital Stock into which it is convertible or for which it is exchangeable), or upon the occurrence of any event or condition (i) matures or is mandatorily redeemable


 
AMERICAS 129648577 17 (other than solely for Qualified Capital Stock), pursuant to a sinking fund obligation or otherwise, (ii) is redeemable at the option of the holder or beneficial owner thereof (other than solely for Qualified Capital Stock), in whole or in part, (iii) provides for the scheduled payments of dividends, distributions or other Restricted Payments in cash, or (iv) is or becomes convertible into or exchangeable for Indebtedness or any other obligation, instrument, agreement, or Capital Stock that would meet any of the conditions in clauses (i), (ii), or (iii) of this definition, in each case, prior to the date that is one hundred eighty days after the Maturity Date. “Disqualified Lenders” means (i) certain banks, financial institutions and other investors designated in writing by the Borrower to the Lead Arrangers on or prior to December 10, 2019, (ii) competitors of the Borrower and its Restricted Subsidiaries and any banks, financial institutions and other investors, in each case, that have been specified in writing to the Administrative Agent from time to time, (iii) in the case of clauses (i) and (ii), any of their Affiliates (other than Affiliates that are bona fide lending Affiliates) that are (A) specified in writing to the Administrative Agent from time to time or (B) clearly identifiable on the basis of such Affiliate’s name; it being understood that any subsequent designation of a Disqualified Lender shall not apply retroactively to disqualify any person that has been assigned, or taken a participation in, any Loans. “Division” shall mean, in reference to any Person which is an entity, the division of such Person into two (2) or more separate Persons with the dividing Person either continuing or terminating its existence as part of the division including as contemplated under Section 18-217 of the Delaware Limited Liability Act for limited liability companies formed under Delaware law or any analogous action taken pursuant to any applicable law with respect to any corporation, limited liability company, partnership or other entity. The word “Divide”, when capitalized shall have correlative meaning. “Documentation Agent” shall have the meaning set forth in Section 9.12. “Dollar(s)” and the sign “$” shall mean lawful money of the United States. “Domestic Subsidiary” shall mean each Restricted Subsidiary of the Borrower that is organized under the laws of the United States or any state or district thereof. “Earn-Out Obligations” shall mean any earnout obligation or similar deferred or contingent obligation of the Borrower or any of its Restricted Subsidiaries incurred or created in connection with a Permitted Acquisition. “EEA Financial Institution” shall mean (a) any credit institution or investment firm established in any EEA Member Country which is subject to the supervision of an EEA Resolution Authority, (b) any entity established in an EEA Member Country which is a parent of an institution described in clause (a) of this definition, or (c) any financial institution established in an EEA Member Country which is a subsidiary of an institution described in clause (a) or (b) of this definition and is subject to consolidated supervision with its parent. “EEA Member Country” shall mean any of the member states of the European Union, Iceland, Liechtenstein and Norway. “EEA Resolution Authority” shall mean any public administrative authority or any Person entrusted with public administrative authority of any EEA Member Country (including any delegee) having responsibility for the resolution of any EEA Financial Institution. “Environmental Indemnity” shall mean each environmental indemnity made by each Loan Party with Real Estate required to be pledged as Collateral in favor of the Administrative Agent for the


 
AMERICAS 129648577 18 benefit of the Secured Parties, in each case in form and substance reasonably satisfactory to the Administrative Agent. “Environmental Laws” shall mean all laws, rules, regulations, codes, ordinances, orders, decrees, judgments, injunctions, notices or binding agreements issued, promulgated or entered into by or with any Governmental Authority relating in any way to the environment, preservation or reclamation of natural resources, the management, Release or threatened Release of any Hazardous Material or to health and safety matters. “Environmental Liability” shall mean any liability, contingent or otherwise (including any liability for damages, costs of environmental investigation and remediation, costs of administrative oversight, fines, natural resource damages, penalties or indemnities), of the Borrower or any of its Subsidiaries directly or indirectly resulting from or based upon (i) any actual or alleged violation of any Environmental Law, (ii) the generation, use, handling, transportation, storage, treatment or disposal of any Hazardous Materials, (iii) any actual or alleged exposure to any Hazardous Materials, (iv) the Release or threatened Release of any Hazardous Materials or (v) any contract, agreement or other consensual arrangement pursuant to which liability is assumed or imposed with respect to any of the foregoing. “ERISA” shall mean the Employee Retirement Income Security Act of 1974, as amended and in effect from time to time, and any successor statute thereto and the regulations promulgated and rulings issued thereunder. “ERISA Affiliate” shall mean any person that for purposes of Title I or Title IV of ERISA or Section 412 of the Code would be deemed at any relevant time to be a “single employer” or otherwise aggregated with the Borrower or any of its Subsidiaries under Section 414(b), (c), (m) or (o) of the Code or Section 4001 of ERISA. “ERISA Event” shall mean (i) any “reportable event” as defined in Section 4043 of ERISA with respect to a Plan (other than an event as to which the PBGC has waived under subsection .22, .23, .25, .27 or .28 of PBGC Regulation Section 4043 the requirement of Section 4043(a) of ERISA that it be notified of such event); (ii) any failure to make a required contribution to any Plan that would result in the imposition of a lien or other encumbrance or the provision of security under Section 430 of the Code or Section 303 or 4068 of ERISA, or the arising of such a lien or encumbrance, there being or arising any “unpaid minimum required contribution” or “accumulated funding deficiency” (as defined or otherwise set forth in Section 4971 of the Code or Part 3 of Subtitle B of Title 1 of ERISA), whether or not waived, or any filing of any request for or receipt of a minimum funding waiver under Section 412 of the Code or Section 303 of ERISA with respect to any Plan or Multiemployer Plan, or that such filing may be made, or any determination that any Plan is, or is expected to be, in at-risk status under Title IV of ERISA; (iii) any incurrence by the Borrower, any of its Subsidiaries or any of their respective ERISA Affiliates of any liability under Title IV of ERISA with respect to any Plan or Multiemployer Plan (other than for premiums due and not delinquent under Section 4007 of ERISA); (iv) any institution of proceedings, or the occurrence of an event or condition which would reasonably be expected to constitute grounds for the institution of proceedings by the PBGC, under Section 4042 of ERISA for the termination of, or the appointment of a trustee to administer, any Plan; (v) any incurrence by the Borrower, any of its Subsidiaries or any of their respective ERISA Affiliates of any liability with respect to the withdrawal or partial withdrawal from any Plan or Multiemployer Plan, or the receipt by the Borrower, any of its Subsidiaries or any of their respective ERISA Affiliates of any notice that a Multiemployer Plan is in endangered or critical status under Section 305 of ERISA; (vi) any receipt by the Borrower, any of its Subsidiaries or any of their respective ERISA Affiliates of any notice, or any receipt by any Multiemployer Plan from the Borrower, any of its Subsidiaries or any of their respective ERISA Affiliates of any notice, concerning the imposition of Withdrawal Liability or a determination that a Multiemployer Plan is, or is expected to be, insolvent, within the meaning of Title IV


 
AMERICAS 129648577 19 of ERISA; (vii) engaging in a non-exempt prohibited transaction within the meaning of Section 4975 of the Code or Section 406 of ERISA; or (viii) any filing of a notice of intent to terminate any Plan if such termination would require material additional contributions in order to be considered a standard termination within the meaning of Section 4041(b) of ERISA, any filing under Section 4041(c) of ERISA of a notice of intent to terminate any Plan, or the termination of any Plan under Section 4041(c) of ERISA. “Erroneous Payment” shall have the meaning set forth in Section 9.15(a). “Erroneous Payment Deficiency Assignment” shall have the meaning set forth in Section 9.15(d). “Erroneous Payment Impacted Class” shall have the meaning set forth in Section 9.15(d). “Erroneous Payment Return Deficiency” shall have the meaning set forth in Section 9.15(d). “EU Bail-In Legislation Schedule” shall mean the EU Bail-In Legislation Schedule published by the Loan Market Association (or any successor Person), as in effect from time to time. “Event of Default” shall have the meaning set forth in Section 8.1. “Excess Cash Flow” shall mean, without duplication, with respect to any Fiscal Year of the Borrower and its Restricted Subsidiaries, (1) the sum, without duplication of: (a) Consolidated Net Income for such Fiscal Year; plus (b) all non-cash charges of the Borrower or any Restricted Subsidiary that were deducted in calculating such Consolidated Net Income for such Fiscal Year; plus (c) decreases in Working Capital of the Borrower for such period, if any (other than any such decreases arising from acquisitions or dispositions (other than in the ordinary course of business) by the Borrower and the Restricted Subsidiaries completed during such Fiscal Year or the application of purchase accounting); plus (d) an amount equal to the aggregate net non-cash loss on dispositions (other than in the ordinary course of business) by the Borrower and the Restricted Subsidiaries during such Fiscal Year (other than dispositions in the ordinary course of business) to the extent deducted in arriving at such Consolidated Net Income; plus (e) the amount deducted as tax expense in determining Consolidated Net Income to the extent in excess of cash taxes paid in such period, plus (f) cash receipts in respect of any Hedging Transaction during such period to the extent not otherwise included in such Consolidated Net Income; plus (g) cash income or gains (actually received in cash) excluded from the calculation of Consolidated Net Income for such period pursuant to the definition thereof; less (2) the sum, without duplication, of:


 
AMERICAS 129648577 20 (a) an amount equal to the amount of all non-cash credits included in arriving at such Consolidated Net Income (but excluding any non-cash credit to the extent representing the reversal of an accrual or reserve described in clause (1)(b) above) and cash charges excluded by virtue of clauses (i) through (ix) of the definition of “Consolidated Net Income”; plus (b) [Reserved]; plus (c) [Reserved]; plus (d) the aggregate amount of all principal payments of Indebtedness of the Borrower and the Restricted Subsidiaries (including (1) the principal component of payments in respect of Capital Lease Obligations, (2) the amount of any scheduled repayment of Term Loans pursuant to Section 2.9 and (3) any mandatory prepayment of Term Loans pursuant to Section 2.12(a) to the extent required due to a disposition that resulted in an increase in Consolidated Net Income and not in excess of such increase) to the extent such prepayments or repayments are funded with Internally Generated Cash or not made in reliance on any basket calculated by reference to the Available Amount, excluding (1) any prepayment of revolving loans that are deducted pursuant to clause (ii) in the first proviso in Section 2.12(c) in the calculation of the Excess Cash Flow prepayment amount; plus (e) an amount equal to the aggregate net non-cash gain on dispositions by the Borrower and the Restricted Subsidiaries during such Fiscal Year (other than dispositions in the ordinary course of business) to the extent included in arriving at such Consolidated Net Income and the net cash loss on dispositions to the extent otherwise added back or excluded in arriving at Consolidated Net Income; plus (f) increases in Working Capital for such period (other than any such increases arising from acquisitions or dispositions (other than in the ordinary course of business) by the Borrower and the Restricted Subsidiaries completed during such period or the application of purchase accounting); plus (g) cash payments by the Borrower and the Restricted Subsidiaries actually made during such period to the extent financed with Internally Generated Cash in respect of long-term liabilities or long-term assets of the Borrower and the Restricted Subsidiaries (other than Indebtedness) to the extent such payments are not expensed during such period or are not deducted in calculating Consolidated Net Income for such period (and so long as there has not been any reduction in respect of such payments in arriving at Consolidated Net Income for such period); plus (h) [Reserved]; plus (i) [Reserved]; plus (j) [Reserved]; plus (k) the aggregate amount of cash expenditures actually made by the Borrower and its Restricted Subsidiaries during such period to the extent financed with Internally Generated Cash (including expenditures for the payment of financing fees) to the extent that such expenditures are not expensed during such Fiscal Year or are not deducted in calculating


 
AMERICAS 129648577 21 Consolidated Net Income (and so long as there has not been any reduction in respect of such expenditures in arriving at Consolidated Net Income for such period); plus (l) to the extent financed with Internally Generated Cash and such amounts were not deducted in calculating Consolidated Net Income for such period, the aggregate amount of any premium, make-whole or penalty payments actually paid in cash by the Borrower or any of the Restricted Subsidiaries during such period that are made in connection with any prepayment of any principal of Indebtedness to the extent such prepayment of principal reduced Excess Cash Flow pursuant to clause (2)(c) above; plus (m) without duplication of amounts deducted from the calculation of the Excess Cash Flow prepayment amount pursuant to Section 2.12(c) in prior periods, the aggregate consideration required to be paid in cash by the Borrower or any of the Restricted Subsidiaries within 365 days after the end of such period pursuant to binding contracts (to the extent financed with Internally Generated Cash, the “Contract Consideration”) entered into prior to or during such period relating to Investments, cash Capital Expenditures or acquisitions of intellectual property rights to be consummated; provided that, to the extent the aggregate amount actually utilized to finance such Investments, Capital Expenditures or acquisitions of intellectual property rights during any period is less than the Contract Consideration that reduced Excess Cash Flow for the prior period, the amount of such shortfall shall be added to the calculation of Excess Cash Flow for such period; plus (n) the amount of cash taxes paid in such period or payable (without duplication) in such period (including, for the avoidance of doubt, distributions made pursuant to Section 10 of the Holdings LLC Agreement), to the extent such payments exceed the amount of tax expense deducted in calculating Consolidated Net Income for such period; plus (o) cash expenditures actually made in cash in respect of any Hedging Transaction during such Fiscal Year to the extent not deducted in calculating Consolidated Net Income. “Exchange Act” shall mean the Securities Exchange Act of 1934, as amended and in effect from time to time. “Excluded Property” shall have the meaning set forth in the Guaranty and Security Agreement. “Excluded Subsidiary” shall mean any: (a) Immaterial Subsidiary; (b) Subsidiary that is not a Wholly Owned Subsidiary of the Borrower or a Subsidiary Guarantor; (c) Unrestricted Subsidiary; (e) Foreign Subsidiary; (e) direct or indirect Domestic Subsidiary of a Foreign Subsidiary; (f) Subsidiary that is prohibited or restricted by applicable law or by a binding contractual obligation (including any Contractual Obligation) existing on the Restatement Date or at the time of the Acquisition or creation of such Subsidiary (and not incurred in contemplation of such


 
AMERICAS 129648577 22 Acquisition or creation) from providing a Guarantee or if such Guarantee would require consent, approval, license or authorization of or from a Governmental Authority or a third party (other than a Loan Party or a controlled Affiliate of a Loan Party) unless such consent, approval, license or authorization has been received or such notice has been provided and any waiting period applicable to such notice has expired without adverse action by the applicable Governmental Authority; (g) special purpose securitization vehicle (or similar entity) including any receivables subsidiary or like special purpose entity; (h) Subsidiary that is a not-for-profit organization; (i) captive insurance subsidiary; (k) Subsidiary with respect to which, in the reasonable judgment of the Borrower in consultation with the Administrative Agent, the providing of a Guarantee would result in material adverse tax consequences as reasonably determined in good faith by the Borrower and the Administrative Agent; and (l) Subsidiary with respect to which, in the reasonable judgment of the Administrative Agent, in consultation with the Borrower, the cost or other consequences (including any material adverse tax consequences) of providing a Guarantee would be excessive in view of the benefits to be obtained by the Lenders therefrom; provided that the Borrower, in its sole discretion, may cause any Domestic Subsidiary that otherwise qualifies as an “Excluded Subsidiary” to become a “Subsidiary Guarantor” by causing such Restricted Subsidiary to comply with the requirements set forth in Section 5.10 (whether or not such Section would otherwise be applicable to such Restricted Subsidiary) and thereafter such Domestic Subsidiary will not constitute an “Excluded Subsidiary” unless and until the Borrower elects otherwise. “Excluded Swap Obligation” means, with respect to any Guarantor, any Swap Obligation if, and to the extent that, all or a portion of the Guaranty and Security Agreement of such Guarantor of, or the grant by such Guarantor of a security interest to secure, such Swap Obligation (or any Guarantee thereof) is or becomes illegal or unlawful under the Commodity Exchange Act or any rule, regulation or order of the Commodity Futures Trading Commission (or the application or official interpretation of any thereof) by virtue of such Guarantor’s failure for any reason to constitute an “eligible contract participant” as defined in the Commodity Exchange Act and the regulations thereunder at the time the Guaranty and Security Agreement of such Guarantor or the grant of such security interest becomes effective with respect to such Swap Obligation. If a Swap Obligation arises under a master agreement governing more than one swap, such exclusion shall apply only to the portion of such Swap Obligation that is attributable to swaps for which such Guarantee or security interest is or becomes illegal or unlawful. “Excluded Taxes” shall mean any of the following Taxes imposed on or with respect to a Recipient or required to be withheld or deducted from a payment to a Recipient, (a) Taxes imposed on or measured by net income (however denominated), franchise Taxes, and branch profits Taxes, in each case, (i) imposed as a result of such Recipient being organized under the laws of, or having its principal office or, in the case of any Lender, its applicable lending office located in, the jurisdiction imposing such Tax (or any political subdivision thereof) or (ii) that are Other Connection Taxes, (b) in the case of a Lender, U.S. federal withholding Taxes imposed on amounts payable to or for the account of such Lender with respect to an applicable interest in a Loan or Commitment pursuant to a law in effect on the date on which (i) such Lender acquires such interest in the Loan or Commitment (other than pursuant to an assignment request by the Borrower under Section 2.25) or (ii) such Lender changes its lending office, except in each case to the extent that, pursuant to Section 2.20, amounts with respect to such Taxes were payable either to such


 
AMERICAS 129648577 23 Lender's assignor immediately before such Lender became a party hereto or to such Lender immediately before it changed its lending office, (c) Taxes attributable to such Recipient’s failure to comply with Section 2.20(g) and (d) any U.S. federal withholding Taxes imposed under FATCA. “Existing Collateral Documents” has the meaning set forth in Section 1.13(c). “Existing Revolving Commitment” has the meaning specified in the recitals hereto. “Existing Revolving Lender” means each “Lender” with a Revolving Commitment under, and as defined in, the Original Credit Agreement, immediately before giving effect to this Agreement. “Existing Revolving Loans” has the meaning specified in Section 2.2. “Existing Revolver Tranche” has the meaning set forth in Section 2.28(b). “Existing Term Loan Tranche” has the meaning set forth in Section 2.28(a). “Extended Revolving Credit Commitments” has the meaning set forth in Section 2.28(b). “Extended Term Loans” has the meaning set forth in Section 2.28(a). “Extending Revolving Credit Lender” has the meaning set forth in Section 2.28(c). “Extending Term Lender” has the meaning set forth in Section 2.28(c). “Extension” means the establishment of an Extension Series by amending a Loan pursuant to Section 2.28 and the applicable Extension Amendment. “Extension Amendment” has the meaning set forth in Section 2.28(d). “Extension Election” has the meaning set forth in Section 2.28(c). “Extension Minimum Condition” means a condition to consummating any Extension that a minimum amount (to be determined and specified in the relevant Extension Request, in the Borrower’s sole discretion) of any or all applicable Classes be submitted for Extension. “Extension Request” means any Term Loan Extension Request or a Revolver Extension Request, as the case may be. “Extension Series” means any Term Loan Extension Series or a Revolver Extension Series, as the case may be. “FATCA” shall mean Sections 1471 through 1474 of the Code, as of the date of this Agreement (or any amended or successor version that is substantively comparable and not materially more onerous to comply with), any current or future regulations or official interpretations thereof and any agreements entered into pursuant to Section 1471(b)(1) of the Code and any fiscal or regulatory legislation, rules or practices adopted pursuant to any intergovernmental agreement, treaty or convention among Governmental Authorities and implementing such Sections of the Code. “Federal Funds Rate” shall mean, for any day, the rate per annum calculated by the NYFRB based on such day’s federal funds transactions by depositary institutions (as determined in such manner as


 
AMERICAS 129648577 24 the NYFRB shall set forth on its public website from time to time) and published on the next succeeding Business Day by the NYFRB as the federal funds effective rate, or, if no such rate is published, the average rate per annum, as determined by the Administrative Agent, quoted for overnight Federal Funds transactions last available prior to such day; provided that if the Federal Funds Rate shall be less than zero, such rate shall be deemed to be zero for the purposes of this Agreement. “Engagement Letter” shall mean that certain Engagement Letter, dated March 20, 2025, by and among the Borrower and the Administrative Agent. “First Lien Net Leverage Ratio” shall mean, as of any date of determination, the ratio of (a) Consolidated First Lien Debt as of such date, net of Unrestricted Cash of the Borrower and its Restricted Subsidiaries in an aggregate amount not to exceed $50,000,000 to (b) Consolidated EBITDA as of the last day of the most recently ended Test Period, prior to such date of determination. “Fiscal Quarter” shall mean any fiscal quarter of the Borrower. “Fiscal Year” shall mean any fiscal year of the Borrower. “Fixed Incremental Amount” means (i) the greater of (x) $150,000,000 and (y) 100% of TTM Consolidated EBITDA as of the applicable determination date minus (ii) the aggregate outstanding principal amount of all Incremental Facilities and/or Incremental Equivalent Debt incurred or issued in reliance on this definition. “Flood Insurance Laws” shall mean, collectively, (i) the National Flood Insurance Act of 1968 as now or hereafter in effect or any successor statute thereto, (ii) the Flood Disaster Protection Act of 1973 as now or hereafter in effect or any successor statute thereto, (iii) the National Flood Insurance Reform Act of 1994 as now or hereafter in effect or any successor statute thereto, (iv) the Flood Insurance Reform Act of 2004 as now or hereafter in effect or any successor statute thereto and (v) the Biggert-Waters Flood Insurance Reform Act of 2012 as now or hereafter in effect or any successor statute thereto, in each case, together with all statutory and regulatory provisions consolidating, amending, replacing, supplementing, implementing or interpreting any of the foregoing, as amended or modified from time to time. “Floor” shall mean an interest rate equal to 0.00% per annum. “Foreign Lender” shall mean (a) if the Borrower is a U.S. Person, a Lender that is not a U.S. Person, and (b) if the Borrower is not a U.S. Person, a Lender that is resident or organized under the laws of a jurisdiction other than that in which the Borrower is resident for tax purposes. “Foreign Person” shall mean any Person that is not a U.S. Person. “Foreign Subsidiary” shall mean each Restricted Subsidiary of the Borrower that is not a Domestic Subsidiary. “GAAP” shall mean generally accepted accounting principles in the United States applied on a consistent basis and subject to the terms of Section 1.3. “Governmental Authority” shall mean the government of the United States, any other nation or any political subdivision thereof, whether state or local, and any agency, authority, instrumentality, regulatory body, court, central bank or other entity exercising executive, legislative, judicial, taxing, regulatory or administrative powers or functions of or pertaining to government (including any supra-national bodies such as the European Union or the European Central Bank).


 
AMERICAS 129648577 25 “Guarantee” of or by any Person (the “guarantor”) shall mean any obligation, contingent or otherwise, of the guarantor guaranteeing or having the economic effect of guaranteeing any Indebtedness or other obligation of any other Person (the “primary obligor”) in any manner, whether directly or indirectly and including any obligation, direct or indirect, of the guarantor (i) to purchase or pay (or advance or supply funds for the purchase or payment of) such Indebtedness or other obligation or to purchase (or to advance or supply funds for the purchase of) any security for the payment thereof, (ii) to purchase or lease property, securities or services for the purpose of assuring the owner of such Indebtedness or other obligation of the payment thereof, (iii) to maintain working capital, equity capital or any other financial statement condition or liquidity of the primary obligor so as to enable the primary obligor to pay such Indebtedness or other obligation or (iv) as an account party in respect of any letter of credit or letter of guaranty issued in support of such Indebtedness or obligation; provided that the term “Guarantee” shall not include endorsements for collection or deposit in the ordinary course of business. The amount of any Guarantee shall be deemed to be an amount equal to the stated or determinable amount of the primary obligation in respect of which such Guarantee is made or, if not so stated or determinable, the maximum reasonably anticipated liability in respect thereof (assuming such Person is required to perform thereunder) as determined by such Person in good faith. The term “Guarantee” used as a verb has a corresponding meaning. “Guarantor” shall mean each of Holdings and the Subsidiary Loan Parties. “Guaranty and Security Agreement” shall mean the Amended and Restated Guaranty and Security Agreement, dated as of January 31, 2020 and amended and restated as of the date hereof and substantially in the form of Exhibit B, made by the Loan Parties in favor of the Administrative Agent for the benefit of the Secured Parties. “Healthcare Laws” shall mean laws of the U.S. Food and Drug Administration, the U.S. Drug Enforcement Administration, the Federal Trade Commission, the U.S. Centers for Medicare and Medicaid Services and other Governmental Authorities that are concerned with or regulate the marketing, promotion, sale, use, preclinical and clinical development, handling and control, storage, safety, efficacy, reliability, testing (including stability testing), processing, manufacturing, packaging, labeling, repackaging, relabeling, expiration dating, importation, distribution, or price reporting of or is concerned with products imported, manufactured, testing, stored, distributed, sold, packaged, repackaged, labeled, relabeled, or marketed by the Borrower and its Restricted Subsidiaries or regulates public health care programs. “Healthcare Permits” shall mean all permits, licenses, franchises, approvals, authorizations, certificates and consents required to be obtained pursuant to Healthcare Laws. “Hazardous Materials” shall mean all explosive or radioactive substances or wastes and all hazardous or toxic substances, wastes or other pollutants, including petroleum or petroleum distillates, asbestos or asbestos containing materials, polychlorinated biphenyls, radon gas, infectious or medical wastes and all other substances or wastes of any nature regulated pursuant to any Environmental Law. “Hedging Obligations” of any Person shall mean any and all obligations of such Person, whether absolute or contingent and howsoever and whensoever created, arising, evidenced or acquired under (i) any and all Hedging Transactions, (ii) any and all cancellations, buy backs, reversals, terminations or assignments of any Hedging Transactions and (iii) any and all renewals, extensions and modifications of any Hedging Transactions and any and all substitutions for any Hedging Transactions. “Hedging Transaction” of any Person shall mean (a) any transaction (including an agreement with respect to any such transaction) now existing or hereafter entered into by such Person that is a rate swap transaction, swap option, basis swap, forward rate transaction, commodity swap, commodity option, equity or equity index swap or option, bond option, interest rate option, foreign exchange


 
AMERICAS 129648577 26 transaction, cap transaction, floor transaction, collar transaction, currency swap transaction, cross-currency rate swap transaction, currency option, spot transaction, credit protection transaction, credit swap, credit default swap, credit default option, total return swap, credit spread transaction, repurchase transaction, reverse repurchase transaction, buy/sell-back transaction, securities lending transaction, or any other similar transaction (including any option with respect to any of these transactions) or any combination thereof, whether or not any such transaction is governed by or subject to any master agreement, and (b) any and all transactions of any kind, and the related confirmations, which are subject to the terms and conditions of, or governed by, any form of master agreement published by the International Swaps and Derivatives Association, Inc., any International Foreign Exchange Master Agreement, or any other master agreement (any such master agreement, together with any related schedules, a “Master Agreement”), including any such obligations or liabilities under any Master Agreement. “Holdings” shall have the meaning set forth in the introductory paragraph hereof. “Holdings LLC Agreement” shall mean that certain Limited Liability Company Operating Agreement of Holdings dated as of January 7, 2020, as the same may be amended, restated, supplemented or otherwise modified in accordance with the terms of this Agreement. “Immaterial Subsidiary” shall mean, as of any date of determination, any Subsidiary of the Borrower that is not a Material Subsidiary. “Increasing Lender” shall have the meaning set forth in Section 2.23. “Incremental Cap” shall mean (a) the Fixed Incremental Amount, plus (b) (i) the amount of any optional prepayment of any Term Loan in accordance with Section 2.11 and/or the amount of any permanent reduction of any Revolving Commitment in accordance with Section 2.8(b) (other than any such optional prepayments (and commitment reductions) in respect of Incremental Facilities incurred in reliance on clause (c) below, in each case, made with Internally Generated Cash, minus (ii) the aggregate outstanding principal amount of all Incremental Facilities and/or Incremental Equivalent Debt incurred or issued in reliance on this clause (b), plus (c) an unlimited amount so long as, in the case of this clause (c), after giving effect to the incurrence of the relevant Incremental Facility and/or Incremental Equivalent Debt, (i) in the case of an Incremental Facility or Incremental Equivalent Debt that is secured by a Lien that is pari passu with the Lien securing the Obligations, the First Lien Net Leverage Ratio does not exceed 3.00:1.00 as of the last day of the most recently ended Test Period, (ii) in the case of Incremental Equivalent Debt that is secured by a Lien that is junior to the Lien securing the Obligations, the Secured Net Leverage Ratio does not exceed 3.25:1.00 as of the last day of the most recently ended Test Period or (iii) in the case of Incremental Equivalent Debt that is unsecured, the Total Net Leverage Ratio does not exceed 4.00:1.00 as of the last day of the most recently ended Test Period, in each case described in this clause (c), calculated on a Pro Forma Basis, including the application of the proceeds thereof (without “netting” the cash proceeds of the applicable Incremental Facility and/or Incremental Equivalent Debt on the consolidated statement of financial position of the Borrower and its Restricted Subsidiaries), and in the case of any Incremental Revolving Facilities, assuming a full drawing of such Incremental Revolving Facilities; provided that if Incremental Facilities or Incremental Equivalent Debt are intended to be incurred under clause (c) of this definition and any other clause of this definition in a single transaction or series of related transactions, (A) incurrence of the portion of such Incremental Facilities or Incremental Equivalent


 
AMERICAS 129648577 27 Debt to be incurred under clause (c) of this definition shall first be calculated without giving effect to any Incremental Facilities or Incremental Equivalent Debt to be incurred under all other clauses of this definition), but giving full Pro Forma Effect to the use of proceeds of all such Incremental Facilities or Incremental Equivalent Debt and related transactions, and (B) thereafter, incurrence of the portion of such Incremental Facilities or Incremental Equivalent Debt to be incurred under such other applicable clauses of this definition shall be calculated. “Incremental Equivalent Debt” shall mean Indebtedness incurred by the Borrower in the form of senior secured or unsecured notes or loans or junior secured or unsecured notes or loans and/or commitments in respect of any of the foregoing issued, incurred or implemented in lieu of loans under an Incremental Facility; provided, that: (a) the aggregate outstanding amount thereof shall not exceed the Incremental Cap (as in effect at the time of determination) , (b) (x) no Event of Default exists immediately prior to or after giving effect to such notes or loans (or, in the case of a Limited Condition Transaction, no Event of Default shall exist immediately prior to or after giving effect to such notes or loans on the LCT Test Date and no Specified Event of Default exists on the date of consummation of such Limited Condition Transaction) and (y) all representations and warranties of each Loan Party set forth in the Loan Documents shall be true and correct in all material respects (other than those representations and warranties that are expressly qualified by a Material Adverse Effect or other materiality, in which case such representations and warranties shall be true and correct in all respects; provided that, in the case of a Limited Condition Transaction, the Specified Representations shall be true and correct in all material respects on the date of the consummation of such Limited Condition Transaction, (c) the Weighted Average Life to Maturity applicable to such notes or loans is no shorter than the Weighted Average Life to Maturity of any then-existing Class of Term Loans (without giving effect to any prepayments thereof) provided that this condition shall not be applicable if there are no then outstanding Term Loans, (d) (x) the final maturity date with respect to such notes or loans is no earlier than the Maturity Date of any existing Class of Term Loans on the date of the issuance or incurrence, as applicable, thereof provided that this clause (x) shall not be applicable if there are no then outstanding Term Loans and (y) in the case of any such Indebtedness in the form of a revolving facility, the final maturity date of such revolving facility is no earlier than the Revolving Commitment Termination Date and there shall not be any scheduled commitment reductions prior to the Revolving Commitment Termination Date; (e) subject to clauses (c) and (d), may otherwise have an amortization schedule as determined by the Borrower and the lenders providing such Incremental Equivalent Debt, (f) in the case of any such Indebtedness in the form of term loans that are pari passu in right of payment and security with any Class of Term Loans, Section 2.23(a)(v) shall apply, (g) such indebtedness may rank pari passu or junior in right of payment and/or security with respect to the Obligation or may be unsecured; provided that, if such Incremental Equivalent Debt is subordinated in right of payment or secured, such Incremental Equivalent Debt shall be subject to an Acceptable Intercreditor Agreement,


 
AMERICAS 129648577 28 (h) no such Indebtedness may be (x) guaranteed by any Person which is not a Loan Party or (y) secured by any assets other than the Collateral, (i) such indebtedness in the form of notes shall not have any mandatory prepayment or redemption features (other than customary asset sale events, excess cash flow sweeps, insurance and condemnation proceeds events, change of control or initial public offering offers, AHYDO payments or events of default) that could result in prepayments or redemptions of such indebtedness prior to the Maturity Date of any then existing Class of Term Loans provided that this condition shall not be applicable if there are no then outstanding Term Loans, (j) such indebtedness in the form of term loans (x) that is pari passu in right of payment and security with the Obligations may participate on a pro rata basis (but not greater than pro rata basis (other than any prepayment or repayment of such Incremental Equivalent Debt at maturity, with the proceeds of refinancing Indebtedness)) or less than pro rata basis in any voluntary or mandatory prepayment of the Term Loans and (y) that is subordinated in right of payment or security with the Obligations or is unsecured, may participate on a less than pro rata basis in any voluntary or mandatory prepayment of Term Loans, (k) the Borrower and its Restricted Subsidiaries shall be in compliance, on a Pro Forma Basis, with each of the financial covenants set forth in Article VI as of the last day of the most recently ended Test Period, in each case, calculated without “netting” the proceeds of such indebtedness and assuming that all such indebtedness had been incurred (or established and fully funded in the case of a revolving facility) as of the first day (for purposes of Section 6.3) and as of the last day (for purposes of Section 6.1), as applicable, of such Test Period, and (l) the terms and conditions of such Indebtedness (excluding pricing, interest rate margins, rate floors, discounts, call protection, premiums, fees and other provisions each of which shall be determined by the Borrower and the lenders or holders of such Incremental Equivalent Debt) shall not be materially more restrictive on the Borrower and its Restricted Subsidiaries (when taken as a whole) than the terms and conditions hereof (when taken as a whole) applicable to the existing Obligations (as determined in good faith by the Borrower) (except for covenants or other provisions applicable only to periods after the Maturity Date of the Term Loans (if applicable)) (it being understood that to the extent that any covenant is added for the benefit of any such Indebtedness, the terms and conditions of such Indebtedness will be deemed not to be more restrictive than the terms and conditions hereof if such covenant is also added for the benefit of all Lenders, which amendment to add such covenant to this Agreement shall not require the consent of any Lender hereunder). “Incremental Facilities” shall have the meaning set forth in Section 2.23. “Incremental Revolving Facility” shall have the meaning set forth in Section 2.23. “Incremental Term Facility” shall have the meaning set forth in Section 2.23. “Indebtedness” of any Person shall mean, without duplication, (i) all obligations of such Person for borrowed money, (ii) all obligations of such Person evidenced by bonds, debentures, notes or other similar instruments, (iii) all obligations of such Person in respect of the deferred purchase price of property or services, including Earn-Out Obligations (other than trade payables incurred in the ordinary course of business), (iv) all obligations of such Person under any conditional sale or other title retention agreement(s) relating to property acquired by such Person, (v) all Capital Lease Obligations and Attributable Indebtedness of such Person, (vi) the maximum amount of any obligations, contingent or


 
AMERICAS 129648577 29 otherwise, of such Person in respect of letters of credit, acceptances or similar extensions of credit, (vii) all Indebtedness of a third party secured by any Lien on property owned by such Person, whether or not such Indebtedness has been assumed by such Person, (viii) all obligations, but not rights, of such Person, contingent or otherwise, to purchase, redeem, retire or otherwise acquire for value any Capital Stock of such Person, (ix) all Off-Balance Sheet Liabilities, (x) all Hedging Obligations, (xi) all obligations of such Person in respect of Disqualified Capital Stock and (xii) all Guarantees of such Person of the type of Indebtedness described in clauses (i) through (xi) above. The Indebtedness of any Person shall include the Indebtedness of any partnership or joint venture in which such Person is a general partner or a joint venturer, except to the extent that the terms of such Indebtedness provide that such Person is not liable therefor. The amount of any Indebtedness that is issued at a discount to its initial principal amount shall be calculated based on the initial stated principal amount thereof without giving effect to such discounts. For purposes of determining the amount of attributed Indebtedness from Hedging Obligations, the “principal amount” of any Hedging Obligations at any time shall be the Net Mark-to-Market Exposure of such Hedging Obligations. “Indemnified Taxes” shall mean (a) Taxes other than Excluded Taxes, imposed on or with respect to any payment made by or on account of any obligation of any Loan Party under any Loan Document and (b) to the extent not otherwise described in (a), Other Taxes. “Interest Coverage Ratio” shall mean, as of any date of determination, the ratio of (i) Consolidated EBITDA to (ii) Consolidated Interest Expense (net of cash interest income for such period), in each case, for the period of four consecutive Fiscal Quarters ending on the last day of the most recent Fiscal Quarter for which financial statements are actually delivered prior to such date of determination. “Interest Period” shall mean with respect to any SOFR Borrowing, a period of one, three or six months (in each case, subject to the availability thereof); provided that: (i) the initial Interest Period for such Borrowing shall commence on the date of such Borrowing (including the date of any conversion from a Borrowing of another Type), and each Interest Period occurring thereafter in respect of such Borrowing shall commence on the day on which the next preceding Interest Period expires; (ii) if any Interest Period would otherwise end on a day other than a Business Day, such Interest Period shall be extended to the next succeeding Business Day, unless such Business Day falls in another calendar month, in which case such Interest Period would end on the next preceding Business Day; (iii) any Interest Period which begins on the last Business Day of a calendar month or on a day for which there is no numerically corresponding day in the calendar month at the end of such Interest Period shall end on the last Business Day of such calendar month; (iv) each principal installment of the Term Loans shall have an Interest Period ending on each installment payment date and the remaining principal balance (if any) of the Term Loans shall have an Interest Period determined as set forth above; and (v) no Interest Period may extend beyond the Revolving Commitment Termination Date (in the case of any Revolving Loans) and no Interest Period may extend beyond the Maturity Date (in the case of any Term Loans if any); and (vi) no tenor that has been removed from this definition pursuant to Section 2.16(e) shall be available for specification in such Notice of Borrowing or Notice of Conversion/Continuation.


 
AMERICAS 129648577 30 “Internally Generated Cash” means, with respect to any Person, funds or such Person and its Subsidiaries not constituting (x) proceeds of the issuance of (or contributions in respect of ) Capital Stock of such Person, (y) proceeds of the incurrence of Indebtedness by such Person or any of its Subsidiaries (other than under any revolving credit facility or line of credit) or (z) proceeds of dispositions (other than dispositions in the ordinary course of business) and casualty, condemnation or eminent domain events. “Investments” shall have the meaning set forth in Section 7.4. “IRS” shall mean the United States Internal Revenue Service. “Issuing Bank” shall mean, individually and collectively as context requires, (i) Truist Bank and (ii) any other Lender (or any of its Affiliates) that becomes an Issuing Bank in accordance with Section 2.22(l) or Section 2.22(m), in each case, in its capacity as the issuer of Letters of Credit pursuant to Section 2.22. “Junior Debt” shall mean (i) any Indebtedness that is subordinated in right of payment to the Obligations, (ii) any Indebtedness that is secured by a Lien on the Collateral on a junior basis to the Obligations or (iii) any unsecured Indebtedness. “Junior Debt Documents” shall mean any agreement, indenture or instrument pursuant to which any Junior Debt is issued or governed, in each case as amended to the extent permitted under the Loan Documents. “LC Commitment” shall mean that portion of the Aggregate Revolving Commitments that may be used by the Borrower for the issuance of Letters of Credit in an aggregate face amount not to exceed $90,000,000. “LC Disbursement” shall mean a payment made by the Issuing Bank pursuant to a Letter of Credit. “LC Documents” shall mean all applications, agreements and instruments relating to the Letters of Credit but excluding the Letters of Credit. “LC Exposure” shall mean, at any time, the sum of (i) the aggregate undrawn amount of all outstanding Letters of Credit at such time, plus (ii) the aggregate amount of all LC Disbursements that have not been reimbursed by or on behalf of the Borrower at such time. The LC Exposure of any Lender shall be its Pro Rata Share of the total LC Exposure at such time. “LCT Election” shall have the meaning set forth in Section 1.5. “LCT Test Date” shall have the meaning set forth in Section 1.5. “Lead Arrangers” shall mean Truist Securities, Inc. and BofA Securities, Inc., in their capacities as joint lead arrangers in connection with this Agreement. “Lender-Related Hedge Provider” shall mean any Person that, at the time it enters into a Hedging Transaction with any Loan Party, (i) is a Lender or an Affiliate of a Lender (whether or not such Person subsequently ceases to be a Lender or an Affiliate of a Lender) and (ii) except when the Lender- Related Hedge Provider is Truist Bank or any of its Affiliates, has provided prior written notice to the Administrative Agent which has been acknowledged by the Borrower of (x) the existence of such Hedging Transaction and (y) the methodology to be used by such parties in determining the obligations under such


 
AMERICAS 129648577 31 Hedging Transaction from time to time. In no event shall any Lender-Related Hedge Provider acting in such capacity be deemed a Lender for purposes hereof to the extent of and as to Hedging Obligations except that each reference to the term “Lender” in Article IX and Section 10.3(b) shall be deemed to include such Lender-Related Hedge Provider. In no event shall the approval of any such Person in its capacity as a Lender-Related Hedge Provider be required in connection with the release or termination of any security interest or Lien of the Administrative Agent. “Lenders” shall have the meaning set forth in the introductory paragraph hereof and shall include, where appropriate, each Increasing Lender and each Additional Lender that joins this Agreement pursuant to Section 2.23. “Letter of Credit” shall mean any stand-by letter of credit issued pursuant to Section 2.22 by the Issuing Bank for the account of the Borrower pursuant to the LC Commitment. “Lien” shall mean any mortgage, pledge, security interest, lien (statutory or otherwise), charge, encumbrance, hypothecation, assignment, deposit arrangement, or other arrangement having the practical effect of any of the foregoing or any preference, priority or other security agreement or preferential arrangement of any kind or nature whatsoever (including any conditional sale or other title retention agreement and any capital lease having the same economic effect as any of the foregoing). “Limited Condition Transaction” shall mean any acquisition or similar Investment by the Borrower or one or more of its Restricted Subsidiaries permitted pursuant to the Loan Documents whose consummation is not conditioned on the availability of, or on obtaining, third party financing. “Loan Documents” shall mean, collectively, this Agreement, the Collateral Documents, the LC Documents, the Engagement Letter, all Notices of Borrowing, all Notices of Conversion/Continuation, all Compliance Certificates, any promissory notes issued hereunder and any and all other instruments, agreements, documents and writings executed in connection with any of the foregoing. “Loan Parties” shall mean Holdings, the Borrower and the Subsidiary Loan Parties. “Loans” shall mean all Revolving Loans and Term Loans in the aggregate or any of them, as the context shall require, and shall include, where appropriate, any loan made pursuant to Section 2.23. “Material Adverse Effect” shall mean any circumstance, event or condition that results in or causes, or could reasonably be expected to result in or cause, a material adverse change in any of (a) the financial condition, business, performance, operations or property of the Borrower and its Restricted Subsidiaries, taken as a whole, (b) the ability of the Loan Parties (taken as a whole) to perform their obligations under the Loan Documents and (c) the validity or enforceability of any material provision of any Loan Document or the material rights and remedies of the Administrative Agent, the Lenders and the other Secured Parties under any Loan Document. “Material Indebtedness” shall mean any Indebtedness (other than the Loans and the Letters of Credit) of the Borrower or any of its Restricted Subsidiaries individually or in an aggregate committed or outstanding principal amount exceeding the greater of (x) $22,500,000 and (y) 15.0% of TTM Consolidated EBITDA as of the applicable determination date. For purposes of determining the amount of attributed Indebtedness from Hedging Obligations, the “principal amount” of any Hedging Obligations at any time shall be the Net Mark-to-Market Exposure of such Hedging Obligations. “Material Subsidiary” shall mean (i) each Restricted Subsidiary that, as of the last day of the most recently ended Test Period, had net revenues or total assets in excess of 5.0% of the consolidated


 
AMERICAS 129648577 32 net revenues or Consolidated Total Assets, as applicable, of the Borrower and its Restricted Subsidiaries for such Test Period, in each case, calculated on a Pro Forma Basis; provided that in the event that the Immaterial Subsidiaries, taken together, had, as of the last day of the most recently ended Test Period for which a Compliance Certificate has been delivered pursuant to Section 5.1(c), net revenues or total assets in excess of 10.0% of the consolidated net revenues or Consolidated Total Assets, as applicable, of the Borrower and its Restricted Subsidiaries for such Test Period, the Borrower shall designate at its sole discretion one or more Immaterial Subsidiaries to be a Material Subsidiary as may be necessary such that the foregoing 10.0% limit shall not be exceeded, and any such Subsidiary shall thereafter be deemed to be an Material Subsidiary hereunder; provided further that the Borrower may re-designate Material Subsidiaries as Immaterial Subsidiaries so long as Borrower is in compliance with the foregoing and no Default or Event of Default exists or would exist as a result therefrom. “Maturity Date” shall mean, with respect to any Class of Term Loans then outstanding, the earlier of (i) the maturity of such Class of Term Loans as set forth in the applicable Incremental Facility Amendment, Refinancing Amendment or Extension Amendment, as applicable, and (ii) the date on which the principal amount of all outstanding Term Loans within such Class have been declared or automatically have become due and payable (whether by acceleration or otherwise). “MIRE Event” means if there is any Mortgaged Property at such time, any increase, extension or renewal of any of the Commitments or Loans (including any Incremental Term Facility, any Incremental Revolving Facility or any other incremental credit facilities hereunder, but excluding (i) any continuation or conversion of borrowings, (ii) the making of any Revolving Loans or (iii) the issuance, renewal or extension of any Letters of Credit). “Modified Amortization Percentage” means, at any time, with respect to any Incremental Term Facility that will constitute, and be added to, an existing Class of Term Loans a percentage equal to the fraction, the numerator of which is the amount of the scheduled amortization payment required to be made on the next scheduled amortization repayment date pursuant to Section 2.9(b), and the denominator of which is the aggregate principal amount of such Class of Term Loans that is outstanding at such time (without giving effect to the incurrence of the Incremental Term Facility to be made at such time, but, for the avoidance of doubt, to include any Incremental Term Facilities incurred prior to such time). “Moody’s” shall mean Moody’s Investors Service, Inc. “Mortgaged Property” shall mean, collectively, the fee owned Real Estate subject to the Mortgages. “Mortgages” shall mean each mortgage, deed of trust, deed to secure debt or other real estate security documents delivered by any Loan Party to the Administrative Agent from time to time, all in form and substance reasonably satisfactory to the Administrative Agent. “Multiemployer Plan” shall mean any “multiemployer plan” as defined in Section 4001(a)(3) of ERISA, which is contributed to by (or to which there is or may be an obligation to contribute of) the Borrower, any of its Subsidiaries or an ERISA Affiliate, and each such plan for the five-year period immediately following the latest date on which the Borrower, any of its Subsidiaries or an ERISA Affiliate contributed to or had an obligation to contribute to such plan. “Net Mark-to-Market Exposure” of any Person shall mean, as of any date of determination with respect to any Hedging Obligation, the excess (if any) of all unrealized losses over all unrealized profits of such Person arising from such Hedging Obligation. “Unrealized losses” shall mean the fair market value of the cost to such Person of replacing the Hedging Transaction giving rise to such Hedging Obligation as of the date of determination (assuming such Hedging Transaction were to be terminated as


 
AMERICAS 129648577 33 of that date), and “unrealized profits” shall mean the fair market value of the gain to such Person of replacing such Hedging Transaction as of the date of determination (assuming such Hedging Transaction were to be terminated as of that date). “Net Proceeds” shall mean: (a) 100% of the cash proceeds actually received by the Borrower or any of its Restricted Subsidiaries (including any cash payments received by way of deferred payment of principal pursuant to a note or installment receivable or purchase price adjustment receivable or otherwise and including casualty insurance settlements and condemnation awards, but in each case only as and when received) from any disposition, casualty event, condemnation, eminent domain or similar proceeding net of (i) attorneys’ fees, accountants’ fees, investment banking fees, survey costs, title insurance premiums, and related search and recording charges, transfer taxes, deed or mortgage recording taxes, other customary expenses and brokerage, consultant and other customary fees and expenses actually incurred in connection therewith, (ii) the principal amount of any Indebtedness that is secured by a Lien (other than a Lien that is pari passu or subordinated to the Liens securing the Obligations) on the asset subject to such disposition, casualty event, condemnation, eminent domain or similar proceeding and that is required to be repaid in connection with such disposition, casualty event, condemnation, eminent domain or similar proceeding (other than Indebtedness under the Loan Documents), together with any applicable premium, penalty, interest and breakage costs, (iii) in the case of any disposition, casualty event, condemnation, eminent domain or similar proceeding by a non-wholly-owned Restricted Subsidiary, the pro rata portion of the Net Proceeds thereof (calculated without regard to this clause (iii)) attributable to minority interests and not available for distribution to or for the account of the Borrower or a wholly-owned Restricted Subsidiary as a result thereof, (iv) Taxes and tax distributions permitted by Section 7.5(c) paid or reasonably estimated to be payable or, without duplication, permitted to be paid as a result thereof, (v) the amount of any reasonable reserve established in accordance with GAAP against any adjustment to the sale price or any liabilities (other than any taxes deducted pursuant to clause (i) above) (x) related to any of the applicable assets and (y) retained by the Borrower or any of its Restricted Subsidiaries including, without limitation, pension and other post-employment benefit liabilities and liabilities related to environmental matters or against any indemnification obligations (however, the amount of any subsequent reduction of such reserve (other than in connection with a payment in respect of any such liability) shall be deemed to be Net Proceeds of such disposition, casualty event, condemnation, eminent domain or similar proceeding occurring on the date of such reduction) and (vi) any funded escrow established pursuant to the documents evidencing any such sale or disposition to secure any indemnification obligations or adjustments to the purchase price associated with any such sale or disposition (provided that to the extent that any amounts are released from such escrow to the Borrower or a Restricted Subsidiary, such amounts net of any related expenses shall constitute Net Proceeds); provided that, no proceeds shall constitute Net Proceeds unless the aggregate amount of such net proceeds shall exceed (A) the greater of (x) $15.0 million and (y) an amount equal to 10.0% of TTM Consolidated EBITDA as of the applicable date of determination, in each case determined as of the time of making such disposition, with respect to any transaction or series of related transactions or (B) the greater of (x) $22,500,00 and (y) 15.0% of TTM Consolidated EBITDA as of the applicable date of determination in the aggregate for all such transactions in any Fiscal Year (and thereafter only net cash proceeds in excess of such amount shall constitute Net Proceeds under this clause (a)), and (b) 100% of the cash proceeds from the incurrence, issuance or sale by the Borrower or any of its Restricted Subsidiaries of any Indebtedness, net of all taxes paid or reasonably estimated to be payable


 
AMERICAS 129648577 34 as a result thereof and fees (including investment banking fees and discounts), commissions, costs and other expenses, in each case incurred in connection with such issuance or sale. For purposes of calculating the amount of Net Proceeds, fees, commissions and other costs and expenses payable to Holdings shall be disregarded. “Non-Converting Revolving Lender” shall mean each Existing Revolving Lender that will not convert its Existing Revolving Commitment into a Converted Revolving Commitment on the Restatement Date. “Non-Defaulting Lender” shall mean, at any time, a Lender that is not a Defaulting Lender. “Non-Loan Party” means any Restricted Subsidiary of the Borrower that is not a Loan Party. “Non-Public Information” shall mean any material non-public information (within the meaning of United States federal and state securities laws) with respect to the Borrower, its Affiliates or any of their securities or loans. “Non-U.S. Plan” shall mean any plan, fund (including, without limitation, any superannuation fund) or other similar program established, contributed to (regardless of whether through direct contributions or through employee withholding) or maintained outside the United States by the Borrower or one or more of its Subsidiaries primarily for the benefit of employees of the Borrower or such Subsidiaries residing outside the United States, which plan, fund or other similar program provides, or results in, retirement income, a deferral of income in contemplation of retirement, or payments to be made upon termination of employment, and which plan is not subject to ERISA or the Code. “Not Otherwise Applied” shall mean, with reference to any proceeds of any transaction or event or of Excess Cash Flow or the Available Amount that is proposed to be applied to a particular use or transaction, that such amount has not previously been (and is not simultaneously being) applied to anything other than such particular use or transaction (including any application thereof as a Specified Equity Contribution pursuant to Section 6.4). “Notice of Borrowing” shall mean a written notice (or telephonic notice promptly confirmed in writing) of each Revolving Borrowing or Term Loan Borrowing (including, for the avoidance of doubt with respect to the Term Loan Borrowing on the Closing Date), substantially in the form of Exhibit C attached hereto. “Notice of Conversion/Continuation” shall have the meaning set forth in Section 2.7(b). “NYFRB” shall mean the Federal Reserve Bank of New York. “Obligations” shall mean (a) all amounts owing by the Loan Parties to the Administrative Agent, the Issuing Bank, any Lender or the Lead Arrangers pursuant to or in connection with this Agreement or any other Loan Document or otherwise with respect to any Loan or Letter of Credit including, without limitation, all principal, interest (including any interest accruing after the filing of any petition in bankruptcy or the commencement of any insolvency, reorganization or like proceeding relating to any Loan Party or any Subsidiary, whether or not a claim for post-filing or post-petition interest is allowed in such proceeding), reimbursement obligations, fees (including any fees that accrue after the filing of any petition in bankruptcy or the commencement of any insolvency, reorganization or like proceeding relating to any Loan Party or any Subsidiary, whether or not a claim for post-filing or post-petition fees is allowed in such proceeding), expenses, indemnification and reimbursement payments, costs and expenses (including all


 
AMERICAS 129648577 35 fees and expenses of counsel to the Administrative Agent, the Issuing Bank and any Lender incurred pursuant to this Agreement or any other Loan Document), whether direct or indirect, absolute or contingent, liquidated or unliquidated, due or to become due, now existing or hereafter arising hereunder or thereunder, (b) all Hedging Obligations owed by any Loan Party to any Lender-Related Hedge Provider, and (c) all Bank Product Obligations, together with all renewals, extensions, modifications or refinancings of any of the foregoing; provided, however, that with respect to any Guarantor, the Obligations shall not include any Excluded Swap Obligations. “OFAC” shall mean the U.S. Department of the Treasury’s Office of Foreign Assets Control. “Off-Balance Sheet Liabilities” of any Person shall mean (i) any repurchase obligation or liability of such Person with respect to accounts or notes receivable sold by such Person, (ii) any liability of such Person under any sale and leaseback transactions that do not create a liability on the balance sheet of such Person or (iii) any obligation arising with respect to any other transaction which is the functional equivalent of or takes the place of borrowing but which does not constitute a liability on the balance sheet of such Person. “Original Credit Agreement” means that certain Revolving Credit and Term Loan Credit Agreement, dated as of January 31, 2020 (as amended, modified and supplemented from time to time through but not including the Restatement Date), among the Borrower, Holdings, the lenders from time to time party thereto, Truist Bank, as administrative agent and issuing bank. “Organization Documents” shall mean, (a) with respect to any corporation, the certificate or articles of incorporation and the bylaws (or equivalent or comparable constitutive documents with respect to any non-U.S. jurisdiction); (b) with respect to any limited liability company, the certificate or articles of formation or organization and operating agreement or limited liability company agreement; and (c) with respect to any partnership, joint venture, trust or other form of business entity, the partnership, joint venture or other applicable agreement of formation or organization and any agreement, instrument, filing or notice with respect thereto filed in connection with its formation or organization with the applicable Governmental Authority in the jurisdiction of its formation or organization and, if applicable, any certificate or articles of formation or organization of such entity. “OSHA” shall mean the Occupational Safety and Health Act of 1970, as amended and in effect from time to time, and any successor statute thereto. “Other Connection Taxes” shall mean, with respect to any Recipient, Taxes imposed as a result of a present or former connection between such Recipient and the jurisdiction imposing such Tax (other than connections arising from such Recipient having executed, delivered, become a party to, performed its obligations under, received payments under, received or perfected a security interest under, engaged in any other transaction pursuant to or enforced any Loan Document, or sold or assigned an interest in any Loan or Loan Document). “Other Taxes” shall mean all present or future stamp, court or documentary, intangible, recording, filing or similar Taxes that arise from any payment made under, from the execution, delivery, performance, enforcement or registration of, from the receipt or perfection of a security interest under, or otherwise with respect to, any Loan Document, except any such Taxes that are Other Connection Taxes imposed with respect to an assignment (other than an assignment made pursuant to Section 2.25). “Parent Company” shall mean, with respect to a Lender, the “bank holding company” as defined in Regulation Y, if any, of such Lender, and/or any Person owning, beneficially or of record, directly or indirectly, a majority of the shares of such Lender.


 
AMERICAS 129648577 36 “Parent Entity” means any direct or indirect parent of the Borrower. “Participant” shall have the meaning set forth in Section 10.4(d). “Participant Register” shall have the meaning set forth in Section 10.4. “Patent” shall have the meaning assigned to such term in the Guaranty and Security Agreement. “Patent Security Agreement” shall mean any Patent Security Agreement executed by a Loan Party owning Patents or licenses of Patents in favor of the Administrative Agent for the benefit of the Secured Parties. “Payment Office” shall mean the office of the Administrative Agent located at 303 Peachtree Street, N.E., Atlanta, Georgia 30308, or such other location as to which the Administrative Agent shall have given written notice to the Borrower and the other Lenders. “PBGC” shall mean the U.S. Pension Benefit Guaranty Corporation referred to and defined in ERISA, and any successor entity performing similar functions. “Periodic Term SOFR Determination Day” shall have the meaning set forth in the definition of “Term SOFR”. “Permitted Acquisition” shall mean any Acquisition by the Borrower or its Restricted Subsidiaries that occurs when the following conditions have been satisfied: (i) before and after giving effect to such Acquisition, no Event of Default has occurred and is continuing or would result therefrom, and all representations and warranties of each Loan Party set forth in the Loan Documents shall be and remain true and correct in all material respects; provided, that, solely with respect to a Limited Condition Transaction, the Persons providing the financing in connection therewith may agree to a “Funds Certain Provision” that (x) does not impose as a condition to funding thereof the absence of any Event of Default (other than an Event of Default on the LCT Test Date and a Specified Event of Default on the date of consummation of such Limited Condition Transaction) exists at the time such Limited Condition Transaction is consummated and (y) requires only that the Specified Representations to be true and correct in all material respects on the date of consummation of such Limited Condition Transaction; (ii) before and after giving effect to such Acquisition and any related incurrence of Indebtedness, on a Pro Forma Basis, the Total Net Leverage Ratio shall not be greater than the greater of (x) the Total Net Leverage Ratio immediately prior to giving effect to such Acquisition and (y) 3.75:1.00 as of the last day of the most recently ended Test Period, in each case on a Pro Forma Basis; provided that in the case of any Limited Condition Transaction, the financial test set forth in this clause (ii) shall be tested on the LCT Test Date on a Pro Forma Basis; (iii) in the case of an Acquisition of a Person projected to contribute 15% or more of Consolidated EBITDA on a Pro Forma Basis, the Borrower shall have delivered to the Administrative Agent at least 5 Business Days prior to the closing of the Acquisition (or such shorter time as the Administrative Agent may agree in its reasonable discretion) (I) annual audited and quarterly unaudited financial statements of such Person for the previous 12 month period for which financial statements are available and a forecasted balance sheet, income statement and cash flows of such Person for the forthcoming 12 month period and (II) a third party quality of earnings report prepared by a nationally recognized independent public accounting firm;


 
AMERICAS 129648577 37 (iv) such Acquisition is consensual and is not “hostile”; (v) immediately after giving effect thereto the Borrower is in compliance with Section 7.15; and (vi) the Borrower shall have executed and delivered, or caused its Restricted Subsidiaries to execute and deliver, all guarantees, Collateral Documents and other related documents solely to the extent required under Section 5.10. Notwithstanding the foregoing, the aggregate consideration paid for Acquisitions of Persons that do not become Loan Parties and of assets that do not become Collateral shall not exceed the greater of (x) $22,500,000 and (y) 15.0% of TTM Consolidated EBITDA. “Permitted Encumbrances” shall mean: (i) Liens imposed by law for taxes not yet due or which are being contested in good faith by appropriate proceedings diligently conducted and with respect to which adequate reserves are being maintained in accordance with GAAP; (ii) statutory Liens of landlords, carriers, warehousemen, mechanics, materialmen and other Liens imposed by law in the ordinary course of business for amounts not yet due or which are being contested in good faith by appropriate proceedings diligently conducted and with respect to which adequate reserves are being maintained in accordance with GAAP; (iii) (x) pledges and deposits made in the ordinary course of business in compliance with any workers’ compensation, health, disability or other similar employee benefits, unemployment insurance and other similar laws or regulations and other insurance-related obligations relating thereto (including in respect of deductibles, self-insured retention amounts and premiums and adjustments thereto) and (y) pledges and deposits securing liability for reimbursement or indemnification obligations of (including obligations in respect of letters of credit or bank guarantees for the benefit of) insurance carriers providing property, casualty or liability insurance to the Borrower or any Restricted Subsidiary; (iv) deposits to secure the performance of bids, trade contracts, leases, statutory obligations, stay, customs, surety and appeal bonds, performance and return of money bonds, bids, leases and other obligations of a like nature (including letters of credit in lieu of any such bonds or to support the issuance thereof) incurred by the Borrower or any Restricted Subsidiary in the ordinary course of business, including those incurred to secure health, safety and environmental obligations in the ordinary course of business; (v) judgment and attachment liens not giving rise to an Event of Default or Liens created by or existing from any litigation or legal proceeding that are currently being contested in good faith by appropriate proceedings diligently conducted and with respect to which adequate reserves are being maintained in accordance with GAAP; (vi) customary rights of set-off, revocation, refund or chargeback relating to (x) the establishment of depository relations with banks or other deposit-taking financial institutions in the ordinary course of business, (y) pooled deposit or sweep accounts of the Borrower or any Restricted Subsidiary to permit satisfaction of overdraft or similar obligations incurred in the ordinary course of business of the Borrower or any Restricted Subsidiary or (z) purchase orders and other agreements entered into with customers of the Borrower or any Restricted Subsidiary in the ordinary course of business; and


 
AMERICAS 129648577 38 (vii) easements, zoning restrictions, rights-of-way and similar encumbrances on real property imposed by law or arising in the ordinary course of business that do not secure any monetary obligations and do not materially detract from the value of the affected property or materially interfere with the ordinary conduct of business of the Borrower and its Restricted Subsidiaries taken as a whole; provided that the term “Permitted Encumbrances” shall not include any Lien securing Indebtedness. “Permitted Holders” shall mean the Controlling Member and direct or indirect members of and co-investors in Holdings as of the Closing Date, including without limitation, the rollover Sellers. “Permitted Refinancing” shall mean, with respect to any Person, any modification (other than a release of such Person), refinancing, refunding, renewal or extension of any Indebtedness of such Person; provided that (a) the principal amount (or accreted value, if applicable) thereof does not exceed the principal amount (or accreted value, if applicable) of the Indebtedness so modified, refinanced, refunded, renewed or extended except by an amount equal to unpaid accrued interest and premium thereon plus other reasonable amounts paid, and fees and expenses reasonably incurred, in connection with such modification, refinancing, refunding, renewal or extension and by an amount equal to any existing commitments unutilized thereunder, (b) other than with respect to a Permitted Refinancing in respect of Indebtedness permitted pursuant to Section 7.1(c), such modification, refinancing, refunding, renewal or extension has a final maturity date equal to or later than the final maturity date of, and has a Weighted Average Life to Maturity equal to or greater than the Weighted Average Life to Maturity of, the Indebtedness being modified, refinanced, refunded, renewed or extended, (c) to the extent such Indebtedness being so modified, refinanced, refunded, renewed or extended is secured by a Lien on the Collateral ranking junior to the Lien securing the Obligations, such Indebtedness shall be unsecured or secured by a Lien on the Collateral ranking junior to the Liens securing the Obligations, (d) to the extent such Indebtedness being so modified, refinanced, refunded, renewed or extended is guaranteed by a Guarantee, such Indebtedness as modified, refinanced, renewed or extended shall not be guaranteed by any guarantors other than the guarantors that guaranteed the refinanced Indebtedness unless such additional guarantees are substantially simultaneously provided in respect of the Loans and Commitments under this Agreement to the extent required by the provision in this Agreement pursuant to which such refinanced Indebtedness was originally incurred and (e) (i) to the extent such Indebtedness being so modified, refinanced, refunded, renewed or extended is subordinated in right of payment to the Obligations, such modification, refinancing, refunding, renewal or extension is subordinated in right of payment to the Obligations on terms at least as favorable to the Lenders as those contained in the documentation governing the Indebtedness being so modified, refinanced, refunded, renewed or extended, (ii) the terms and conditions (including, if applicable, as to collateral but excluding as to subordination, interest rate, redemptions and redemption premium) of any such modified, refinanced, refunded, renewed or extended Indebtedness, taken as a whole, are not materially less favorable to the Loan Parties or the Lenders than the terms and conditions of the Indebtedness being modified, refinanced, refunded, renewed or extended (other than in the case of terms applying to periods after the then latest Maturity Date or otherwise added for the benefit of the Lenders hereunder); provided that a certificate of a Responsible Officer delivered to the Administrative Agent at least five (5) Business Days prior to the incurrence of such Indebtedness, together with a reasonably detailed description of the material terms and conditions of such Indebtedness or drafts of the documentation relating thereto, stating that the Borrower has determined in good faith that such terms and conditions satisfy the foregoing requirement, shall be conclusive evidence that such terms and conditions satisfy the foregoing requirement unless the Administrative Agent notifies the Borrower in writing within such five Business Day period that it disagrees with such determination (including a reasonable description of the basis upon which it disagrees) and (iii) such modification, refinancing, refunding, renewal or extension is incurred by a Person who is the obligor of the Indebtedness being so modified, refinanced, refunded, renewed or extended.


 
AMERICAS 129648577 39 “Permitted Subordinated Debt” shall mean Indebtedness of the Borrower or a Subsidiary Loan Party that is subordinated in right of payment to the Obligations and is subject to an Acceptable Intercreditor Agreement. “Person” shall mean any individual, partnership, firm, corporation, association, joint venture, limited liability company, trust or other entity, or any Governmental Authority. “Plan” shall mean any “employee benefit plan” as defined in Section 3 of ERISA (other than a Multiemployer Plan) maintained or contributed to by the Borrower or any ERISA Affiliate or to which the Borrower or any ERISA Affiliate has or may have an obligation to contribute, and each such plan that is subject to Title IV of ERISA for the five-year period immediately following the latest date on which the Borrower or any ERISA Affiliate maintained, contributed to or had an obligation to contribute to (or is deemed under Section 4069 of ERISA to have maintained or contributed to or to have had an obligation to contribute to, or otherwise to have liability with respect to) such plan. “Platform” shall have the meaning set forth in Section 10.1(c). “Pricing Grid” shall have the meaning set forth in the definition of “Applicable Margin”. “Pro Forma Basis”, “Pro Forma Compliance” and “Pro Forma Effect” shall mean, with respect to any basket, threshold, test, financial ratio or covenant hereunder required by the terms of this Agreement to be made on a Pro Forma Basis, the determination or calculation of such basket, threshold, test, financial ratio or covenant in accordance with Section 1.7. “Pro Rata Share” shall mean (i) with respect to any Class of Commitment or Loan of any Lender at any time, a percentage, the numerator of which shall be such Lender’s Commitment of such Class (or, if such Commitment has been terminated or expired or the Loans have been declared to be due and payable, such Lender’s Revolving Credit Exposure or Term Loan, as applicable), and the denominator of which shall be the sum of all Commitments of such Class of all Lenders (or, if such Commitments have been terminated or expired or the Loans have been declared to be due and payable, all Revolving Credit Exposure or Term Loans, as applicable, of all Lenders) and (ii) with respect to all Classes of Commitments and Loans of any Lender at any time, the numerator of which shall be the sum of such Lender’s Revolving Commitment (or, if such Revolving Commitment has been terminated or expired or the Loans have been declared to be due and payable, such Lender’s Revolving Credit Exposure) and Term Loan and the denominator of which shall be the sum of all Lenders’ Revolving Commitments (or, if such Revolving Commitments have been terminated or expired or the Loans have been declared to be due and payable, all Revolving Credit Exposure of all Lenders funded under such Commitments) and Term Loans. “PTE” means a prohibited transaction class exemption issued by the US Department of Labor, as any such exemption may be amended from time to time. “Public Lender” shall mean any Lender who does not wish to receive Non-Public Information and who may be engaged in investment and other market related activities with respect to the Borrower, its Affiliates or any of their securities or loans. “Qualified Capital Stock” shall mean any Capital Stock that is not Disqualified Capital Stock. “Qualified IPO” shall mean the issuance by Borrower or any Parent Entity of its Capital Stock (other than Disqualified Capital Stock) (and the contribution of any proceeds of such issuance to the Borrower) in an underwritten primary public offering (other than a public offering pursuant to a registration statement on Form S-8) pursuant to an effective registration statement filed with the U.S. Securities and


 
AMERICAS 129648577 40 Exchange Commission (or any Governmental Authority succeeding to any of its principal functions) in accordance with the Securities Act of 1933 (whether alone or in connection with a secondary public offering) and such Capital Stock is listed on a nationally-recognized stock exchange in the U.S. to the extent such issuance yields proceeds in excess of $25,000,000. “Ratio Debt” shall mean Indebtedness so long as (A) no Event of Default exists (or would result therefrom); provided, that, if the proceeds of such Indebtedness are intended to and shall be used to finance substantially contemporaneously a Limited Condition Transaction, the condition shall be that no Event of Default shall exist on the LCT Test Date and no Specified Event of Default shall exist on the date of consummation of such Limited Condition Transaction, (B) to the extent Guaranteed, such Indebtedness shall not be guaranteed by any Person other than a Guarantor, (C) if such Indebtedness is secured or subordinated in right of payment to the Obligations, such Indebtedness shall be subject to an Acceptable Intercreditor Agreement and (D) the Total Net Leverage Ratio shall not exceed 4.00:1.00 calculated on a Pro Forma Basis as of the last day of the most recently ended Test Period (without “netting” the cash proceeds of any such Indebtedness); provided, that in the case of any such Indebtedness that is secured, (x) such Indebtedness shall not be secured by any assets other than by the Collateral and (y) if such Indebtedness is in the form of a term loan and shall rank pari passu in right of payment to the existing Term Loans and with respect to security with the Obligations, Section 2.23(a)(vi) shall apply; provided, further, that (I)(x) in the case of any such Indebtedness that is pari passu Indebtedness with the Obligations, such Indebtedness shall not have a shorter average life than the remaining average life of the existing Term Loans or a maturity date earlier than the Maturity Date applicable to existing Term Loans (without giving effect to any prepayments of the Term Loans) provided that this condition shall not be applicable if there are no then outstanding Term Loans and (y) in the case of any such Indebtedness that is pari passu Indebtedness in the form of a revolving facility, such Indebtedness shall not have a maturity date (or scheduled commitment reductions) prior to the Revolving Commitment Termination Date or (II) in the case of such Indebtedness that is junior secured, unsecured or subordinated, have a Weighted Average Life to Maturity prior to the 91st day after the Maturity Date of the Weighted Average Life to Maturity for the existing Term Loans at the time such Indebtedness is incurred provided that this condition shall not be applicable if there are no then outstanding Term Loans; provided further, that the terms of any such Indebtedness (other than with respect to pricing, margin and/or fees or as otherwise contemplated herein) shall not be materially more favorable (taken as a whole) to the lenders providing such Indebtedness than such terms provided to the Lenders in this Agreement, taken as a whole, as reasonably determined by the Borrower in good faith unless such terms are otherwise reasonably acceptable to the Administrative Agent or incorporated into this Agreement for the benefit of the Lenders pursuant to an amendment hereof (with no consent of the Lenders being required) or for terms applicable only to periods after the latest final Maturity Date of the Loans existing at the time of the incurrence of such Indebtedness; provided that the aggregate principal amount at any time outstanding of any such Indebtedness of Non-Loan Parties shall not exceed the greater of (i) $30,000,000 and (ii) 20% of TTM Consolidated EBITDA as of the applicable determination date. “Reaffirmation Agreement” means a reaffirmation of the Obligations and liabilities under the Guaranty and Security Agreement and the granting of Liens under the Collateral Documents, in form and substance reasonably satisfactory to the Administrative Agent. “Real Estate” shall mean all real property owned or leased by the Borrower and its Restricted Subsidiaries. “Real Estate Documents” shall mean, collectively, all Mortgages, title insurance policies, real property surveys, legal opinions, “Life of Loan” Federal Emergency Management Agency Standard Flood Hazard determinations (including notices, as applicable, in form required under the Flood Insurance Laws, about special flood hazard area status and flood disaster assistance duly executed by each applicable Loan Party), evidence of flood insurance in accordance with Section 5.8(b), as applicable, all


 
AMERICAS 129648577 41 Environmental Indemnities and all other documents, instruments, agreements and certificates executed and delivered by any Loan Party to the Administrative Agent and the Lenders in connection with the foregoing. “Recipient” shall mean, as applicable, (a) the Administrative Agent, (b) any Lender or (c) the Issuing Bank. “Refinancing Amendment” has the meaning set forth in Section 2.27(f). “Refinancing Commitments” has the meaning set forth in Section 2.27(a). “Refinancing Facility Closing Date” has the meaning set forth in Section 2.27(d). “Refinancing Lender” has the meaning set forth in Section 2.27(c). “Refinancing Loan” has the meaning set forth in Section 2.27(b). “Refinancing Loan Request” has the meaning set forth in Section 2.27a). “Refinancing Revolving Credit Commitments” has the meaning set forth in Section 2.27(a). “Refinancing Revolving Credit Lender” has the meaning set forth in Section 2.27(c). “Refinancing Revolving Loan” has the meaning set forth in Section 2.27(b). “Refinancing Term Commitments” has the meaning set forth in Section 2.27(a). “Refinancing Term Lender” has the meaning set forth in Section 2.27(c). “Refinancing Term Loan” has the meaning set forth in Section 2.27(b). “Regulation D” shall mean Regulation D of the Board of Governors of the Federal Reserve System, as the same may be in effect from time to time, and any successor regulations. “Regulation T” shall mean Regulation T of the Board of Governors of the Federal Reserve System, as the same may be in effect from time to time, and any successor regulations. “Regulation U” shall mean Regulation U of the Board of Governors of the Federal Reserve System, as the same may be in effect from time to time, and any successor regulations. “Regulation X” shall mean Regulation X of the Board of Governors of the Federal Reserve System, as the same may be in effect from time to time, and any successor regulations. “Regulation Y” shall mean Regulation Y of the Board of Governors of the Federal Reserve System, as the same may be in effect from time to time, and any successor regulations. “Related Parties” shall mean, with respect to any specified Person, such Person’s Affiliates and the respective managers, administrators, trustees, partners, directors, officers, employees, agents, advisors or other representatives of such Person and such Person’s Affiliates.


 
AMERICAS 129648577 42 “Release” shall mean any release, spill, emission, leaking, dumping, injection, pouring, deposit, disposal, discharge, dispersal, leaching or migration into the environment (including ambient air, surface water, groundwater, land surface or subsurface strata) or within any building, structure, facility or fixture. “Relevant Governmental Body” shall mean the Federal Reserve Board and/or the Federal NYFRB, or a committee officially endorsed or convened by the Federal Reserve Board and/or the NYFRB, or any successor thereto. “Required Lenders” shall mean, at any time, Lenders holding more than 50% of the aggregate outstanding Revolving Commitments, Term Loan Commitments and Term Loans at such time or, if the Lenders have no Commitments outstanding, then Lenders holding more than 50% of the aggregate outstanding Revolving Credit Exposure and Term Loans of the Lenders at such time; provided that to the extent that (a) any Lender is a Defaulting Lender, such Defaulting Lender and all of its Revolving Commitments, Revolving Credit Exposure, Term Loan Commitments and Term Loans shall be excluded for purposes of determining Required Lenders and (b) to the extent there are at least two (2) Lenders party hereto, Required Lenders must include at least two (2) non-affiliated Lenders. “Requirement of Law” for any Person shall mean the articles or certificate of incorporation, bylaws, partnership certificate and agreement, or limited liability company certificate of organization and agreement, as the case may be, and other organizational and governing documents of such Person, and any law, treaty, rule or regulation, or determination of a Governmental Authority, in each case applicable to or binding upon such Person or any of its property or to which such Person or any of its property is subject. “Resolution Authority” shall mean an EEA Resolution Authority or, with respect to any UK Financial Institution, a UK Resolution Authority. “Responsible Officer” shall mean (x) with respect to certifying compliance with the financial covenants set forth in Article VI, the chief financial officer or treasurer of the Borrower and (y) with respect to all other provisions, any of the president, the chief executive officer, the chief operating officer, the chief financial officer, the treasurer or a vice president of the Borrower or such other representative of the Borrower as may be designated in writing by any one of the foregoing with the consent of the Administrative Agent. “Restricted Payment” shall mean, for any Person, any dividend or distribution (whether in the form of cash, securities or other property) on any class of its Capital Stock, or any payment on account of, or set apart assets for a sinking or other analogous fund for, the purchase, redemption, retirement, defeasance or other acquisition of any shares of its Capital Stock, or any options, warrants or other rights to purchase such Capital Stock or such Indebtedness, whether now or hereafter outstanding. “Restricted Subsidiary” shall mean any Subsidiary of a Person other than an Unrestricted Subsidiary of such Person. Unless otherwise indicated in this Agreement, all references to Restricted Subsidiaries will mean Restricted Subsidiaries of the Borrower. “Retained Declined Proceeds” shall have the meaning set forth in Section 2.12(d). “Returns” shall mean, with respect to any Investment, any dividends, distributions, interest, fees, premium, return of capital, repayment of principal, income, profits (from a disposition or otherwise) and other amounts received or realized in respect of such Investment, in each case, on an after-tax basis. “Revolving Commitment” shall mean, with respect to each Lender, the commitment of such Lender to make Revolving Loans to the Borrower and to acquire participations in Letters of Credit in


 
AMERICAS 129648577 43 an aggregate principal amount not exceeding the amount set forth with respect to such Lender on Schedule I, as such schedule may be amended pursuant to Section 2.23, or, in the case of a Person becoming a Lender after the Restatement Date, the amount of the assigned “Revolving Commitment” as provided in the Assignment and Acceptance executed by such Person as an assignee, or the joinder executed by such Person, in each case as such commitment may subsequently be increased or decreased pursuant to the terms hereof. The aggregate Revolving Commitments of all Lenders as of the Restatement Date is $125,000,000. “Revolving Commitment Termination Date” shall mean the earliest of April 9, 2030, (ii) the date on which the Revolving Commitments are terminated pursuant to Section 2.8 and (iii) the date on which all amounts outstanding under this Agreement have been declared or have automatically become due and payable (whether by acceleration or otherwise). “Revolving Credit Exposure” shall mean, with respect to any Lender at any time, the sum of the outstanding principal amount of such Lender’s Revolving Loans and LC Exposure. “Revolving Loan” shall mean a loan made by a Lender to the Borrower under its Revolving Commitment, which may either be a Base Rate Loan or a SOFR Loan. “S&P” shall mean S&P Global Ratings, a division of S&P Global Inc. and any successors thereto. “Sanctioned Country” shall mean, at any time, a country, region or territory that is, or whose government is, the subject or target of any Sanctions. “Sanctioned Person” shall mean, at any time, (a) any Person listed in any Sanctions-related list, (b) any Person located, organized or resident in a Sanctioned Country, (c) any Person that is otherwise the subject or target of Sanctions, or (d) any Person that is owned or controlled by any such Person or Persons described in (a)-(c). “Sanctions” shall mean economic or financial sanctions, trade embargoes or restrictions administered or enforced from time to time by (a) the U.S. government, including those administered by OFAC or the U.S. Department of State or (b) the United Nations Security Council, the European Union, (c) His Majesty’s Treasury of the United Kingdom, or (d) any other relevant Governmental Authority. “Secured Net Leverage Ratio” shall mean, as of any date of determination, the ratio of (a) Consolidated Total Secured Debt as of such date, net of Unrestricted Cash of the Borrower and its Restricted Subsidiaries in an aggregate amount not to exceed $50,000,000, to (b) Consolidated EBITDA for the most recently ended Test Period on or prior to such date of determination. “Secured Parties” shall mean the Administrative Agent, the Lenders, the Issuing Bank, the Lender-Related Hedge Providers, the Bank Product Providers and each sub-agent or co-agent appointed by the Administrative Agent from time to time pursuant to Section 9.1(a). “Securities Act” shall mean the Securities Act of 1933, as amended. “Sellers” shall have the meaning set forth in the Original Credit Agreement. “Similar Business” shall mean any business, the majority of whose revenues are derived from (1) business or activities conducted by the Borrower and its Restricted Subsidiaries on the Restatement Date, (2) any business that is a natural outgrowth or reasonable extension, development or expansion of any such business or any business similar, reasonably related, incidental, complementary or ancillary to any


 
AMERICAS 129648577 44 of the foregoing or (3) any business that in the Borrower’s good faith business judgment constitutes a reasonable diversification of businesses conducted by the Borrower and its Restricted Subsidiaries. “SOFR” shall mean a rate per annum equal to the secured overnight financing rate as administered by the SOFR Administrator. “SOFR Administrator” shall mean the Federal Reserve Bank of New York (or a successor administrator of the secured overnight financing rate). “SOFR Borrowing” shall mean a Borrowing that bears interest at a rate based on Adjusted Term SOFR, other than pursuant to clause (iii) of the definition of “Base Rate”. “SOFR Loan” shall mean a Loan that bears interest at a rate based on Adjusted Term SOFR, other than pursuant to clause (iii) of the definition of “Base Rate”. “Solvent” shall mean, with respect to any Person as of any date of determination, that, as of such date, (a) the value of the assets of such Person (both at fair value and present fair saleable value) is greater than the total amount of liabilities (including contingent and unliquidated liabilities) of such Person, (b) such Person is able to pay all liabilities of such Person as such liabilities mature and (c) such Person does not have unreasonably small capital and has sufficient assets and cash flow to support its current and anticipated business operations. In computing the amount of contingent or unliquidated liabilities at any time, such liabilities shall be computed at the amount that, in light of all the facts and circumstances existing at such time, represents the amount that can reasonably be expected to become an actual or matured liability. “Specified Equity Contribution” shall have the meaning set forth in Section 6.4. “Specified Event of Default” shall mean an Event of Default under Section 8.1(a), Section 8.1(b), Section 8.1(h), Section 8.1(i) or Section 8.1(j). “Specified Representations” shall mean the representations set forth in Section 4.1(i), 4.2, 4.3(e), 4.7, 4.9, 4.15, 4.17, 4.19 and 4.20. “Specified Transaction” shall mean any Investment that results in a Person becoming a Restricted Subsidiary, any designation of a Subsidiary as a Restricted Subsidiary or an Unrestricted Subsidiary, any Permitted Acquisition, any disposition that results in a Restricted Subsidiary ceasing to be a Subsidiary of the Borrower, any Investment constituting an acquisition of assets constituting a business unit, line of business or division of another Person or any disposition of a business unit, line of business or division of the Borrower or a Restricted Subsidiary, in each case whether by merger, consolidation, amalgamation or otherwise, or any incurrence or repayment of Indebtedness (other than Indebtedness incurred or repaid under any revolving credit facility in the ordinary course of business for working capital purposes), Restricted Payment or Incremental Facility, in each case, that by the terms of this Agreement requires such test to be calculated on a “Pro Forma Basis”. “Subsidiary” shall mean, with respect to any Person (the “parent”) at any date, any corporation, partnership, joint venture, limited liability company, association or other entity the accounts of which would be consolidated with those of the parent in the parent’s consolidated financial statements if such financial statements were prepared in accordance with GAAP as of such date, as well as any other corporation, partnership, joint venture, limited liability company, association or other entity (i) of which securities or other ownership interests representing more than 50% of the equity or more than 50% of the ordinary voting power or, in the case of a partnership, more than 50% of the general partnership interests are, as of such date, owned, controlled or held, or (ii) that is, as of such date, otherwise controlled, by the parent or one or more subsidiaries of the parent or by the parent and one or more subsidiaries of the parent.


 
AMERICAS 129648577 45 Unless otherwise indicated, all references to “Subsidiary” hereunder shall mean a Subsidiary of the Borrower. “Subsidiary Loan Party” shall mean any Restricted Subsidiary that executes or becomes a party to the Guaranty and Security Agreement. “Supported QFC” shall have the meaning set forth in Section 10.18. “Swap Obligation” shall mean, with respect to any Guarantor, any obligation to pay or perform under any agreement, contract or transaction that constitutes a “swap” within the meaning of Section 1a(47) of the Commodity Exchange Act. “Syndication Agent” shall have the meaning set forth in Section 9.12. “Taxes” shall mean any and all present or future taxes, levies, imposts, duties, deductions withholdings (including backup withholding), assessments, fees or other charges imposed by any Governmental Authority, including any interest, additions to tax or penalties applicable thereto. “Test Period” shall mean, as of any date of determination, the most recently completed four consecutive Fiscal Quarters of the Borrower ending on or prior to such date for which financial statements have been delivered pursuant to Section 5.1(a) or 5.1(b), as applicable. “Term Loan” shall mean a term loan made by a Lender to the Borrower pursuant to Section 2.23, Section 2.27 or Section 2.28. “Term Loan Commitment” shall mean, with respect to each Lender, the obligation of such Lender to make term loans hereunder in accordance with the terms hereof. “Term SOFR” shall mean, (a) for any calculation with respect to a SOFR Loan, the Term SOFR Reference Rate for a tenor comparable to the applicable Interest Period on the day (such day, the “Periodic Term SOFR Determination Day”) that is two (2) U.S. Government Securities Business Days prior to the first day of such Interest Period, as such rate is published by the Term SOFR Administrator; provided, that if as of 5:00 p.m. on any Periodic Term SOFR Determination Day the Term SOFR Reference Rate for the applicable tenor has not been published by the Term SOFR Administrator and a Benchmark Replacement Date with respect to the Term SOFR Reference Rate has not occurred, then Term SOFR will be the Term SOFR Reference Rate for such tenor as published by the Term SOFR Administrator on the first preceding U.S. Government Securities Business Day for which such Term SOFR Reference Rate for such tenor was published by the Term SOFR Administrator so long as such first preceding U.S. Government Securities Business Day is not more than three (3) U.S. Government Securities Business Days prior to such Periodic Term SOFR Determination Day, and (b) for any calculation with respect to a Base Rate Loan on any day, the Term SOFR Reference Rate for a tenor of one month on the day (such day, the “Base Rate Term SOFR Determination Day”) that is two (2) U.S. Government Securities Business Days prior to such day, as such rate is published by the Term SOFR Administrator; provided that if as of 5:00 p.m. on any Base Rate Term SOFR Determination Day the Term SOFR Reference Rate for the applicable tenor has not been published by the Term SOFR Administrator and a Benchmark Replacement Date with respect to the Term SOFR Reference Rate has not occurred, then Term SOFR will be the Term SOFR Reference Rate for such tenor as published by the Term SOFR Administrator on the first preceding U.S. Government Securities Business Day for which such Term SOFR Reference Rate for such tenor was published by the Term SOFR Administrator so


 
AMERICAS 129648577 46 long as such first preceding U.S. Government Securities Business Day is not more than three (3) U.S. Government Securities Business Days prior to such Base Rate Term SOFR Determination Day “Term SOFR Adjustment” shall mean a per annum percentage equal to 0.00% (0 basis points) per annum. “Term SOFR Administrator” shall mean the CME Group Benchmark Administration Limited (CBA) (or a successor administrator of the Term SOFR Reference Rate selected by the Administrative Agent in its reasonable discretion). “Term SOFR Reference Rate” shall mean the forward-looking term rate based on SOFR. “Total Net Leverage Ratio” shall mean, as of any date of determination, the ratio of (i) Consolidated Total Debt as of such date, net of Unrestricted Cash in an aggregate amount not to exceed $50,000,000 to (ii) Consolidated EBITDA for the most recently ended Test Period on or prior to such date of determination. “Trademark” shall have the meaning assigned to such term in the Guaranty and Security Agreement. “Trademark Security Agreement” shall mean any Trademark Security Agreement executed by a Loan Party owning registered Trademarks or applications for Trademarks in favor of the Administrative Agent for the benefit of the Secured Parties. “Transaction Costs” means all fees, costs and expenses incurred or payable by Holdings, the Borrower or any other Restricted Subsidiary in connection with the Transactions. “Transactions” means (a) the execution, delivery and performance by each Loan Party of the Loan Documents to which it is to be a party and the incurrence Revolving Loans on the Closing Date, (d) [reserved] and (b) the payment of the Transaction Costs. “TTM Consolidated EBITDA” shall mean as of any date of determination, the Consolidated EBITDA of the Borrower and its Restricted Subsidiaries on a Pro Forma Basis for the most recently ended Test Period (or, in the case of a determination date that occurs prior to the first such delivery, for the four consecutive fiscal quarters ended as of September 30, 2024. “Type” shall mean when used in reference to a Loan or a Borrowing, whether the rate of interest on such Loan, or on the Loans comprising such Borrowing, is determined by reference to the Adjusted Term SOFR Rate or the Base Rate. “UK Financial Institution” shall mean any BRRD Undertaking (as such term is defined under the PRA Rulebook (as amended from time to time) promulgated by the United Kingdom Prudential Regulation Authority) or any person falling within IFPRU 11.6 of the FCA Handbook (as amended from time to time) promulgated by the United Kingdom Financial Conduct Authority, which includes certain credit institutions and investment firms, and certain affiliates of such credit institutions or investment firms. “UK Resolution Authority” shall mean the Bank of England or any other public administrative authority having responsibility for the resolution of any UK Financial Institution. “Unadjusted Benchmark Replacement” means the applicable Benchmark Replacement excluding the related Benchmark Replacement Adjustment.


 
AMERICAS 129648577 47 “Unfunded Pension Liability” of any Plan subject to Title IV of ERISA shall mean the amount, if any, by which the value of the accumulated plan benefits under the Plan, determined on a plan termination basis in accordance with actuarial assumptions at such time consistent with those prescribed by the PBGC for purposes of Section 4044 of ERISA, exceeds the fair market value of all Plan assets allocable to such liabilities under Title IV of ERISA (excluding any accrued but unpaid contributions). “Unrestricted Subsidiary” shall mean any Subsidiary of the Borrower designated by the Borrower as an Unrestricted Subsidiary hereunder by written notice to the Administrative Agent; provided that the Borrower will only be permitted to so designate a new Unrestricted Subsidiary after the Restatement Date or subsequently re-designate any such Unrestricted Subsidiary as a Restricted Subsidiary (by written notice to the Administrative Agent) if no Event of Default has occurred and is continuing or would result therefrom; provided that (i) no Subsidiary that owns or holds intellectual property that is material to the operation of the business of the Borrower and its Restricted Subsidiaries may be designated as an Unrestricted Subsidiary and (ii) no intellectual property that is material to the operation of the business of the Borrower and its Restricted Subsidiaries may be transferred or contributed to an Unrestricted Subsidiary. The designation of any Restricted Subsidiary as an Unrestricted Subsidiary will constitute an Investment for purposes of Section 7.4 at the date of designation in an amount equal to the fair market value of the Borrower’s or its Restricted Subsidiary’s (as applicable) Investment therein. The designation of any Unrestricted Subsidiary as a Restricted Subsidiary will constitute the incurrence at the time of designation of any Indebtedness and Liens of such Subsidiary existing at such time and a return on any Investment by the Borrower in Unrestricted Subsidiaries in an amount equal to the fair market value at the date of such designation of the Borrower’s or its Restricted Subsidiary’s (as applicable) Investment in such Subsidiary. No Subsidiary may be designated as an Unrestricted Subsidiary to the extent such Subsidiary is designated as a “restricted subsidiary” under any Material Indebtedness. Except as expressly set forth in this paragraph, no Investment will be deemed to exist or have been made, and no Indebtedness or Liens shall be deemed to have occurred or been incurred, solely by virtue of a Subsidiary becoming an Excluded Subsidiary. “Uniform Commercial Code” or “UCC” shall mean the Uniform Commercial Code as amended and in effect from time to time in the State of New York. “United States” or “U.S.” shall mean the United States of America. “Unrestricted Cash” shall mean the aggregate amount of cash and Cash Equivalents on the consolidated balance sheet of Borrower and the Guarantors held in deposit accounts to the extent that (a) the use of such cash or Cash Equivalents for application to payment of the Obligations or other Indebtedness is not prohibited by law or any contract or other agreement and (b) such cash and Cash Equivalents are free and clear of all Liens (other than Liens in favor of the Administrative Agent and Liens described in Section 7.2(b)). “USA Patriot Act” means the Uniting and Strengthening America by Providing Appropriate Tools Required to Intercept and Obstruct Terrorism Act of 2001, Public Law 107-56. “U.S. Borrower” shall mean any Borrower that is a U.S. Person. “U.S. Government Securities Business Day” shall mean any day except for (i) a Saturday, (ii) a Sunday or (iii) a day on which the Securities Industry and Financial Markets Association recommends that the fixed income departments of its members be closed for the entire day for purposes of trading in United States government securities.


 
AMERICAS 129648577 48 “U.S. Person” shall mean any Person that is a “United States person” as defined in Section 7701(a)(30) of the Code. “U.S. Special Resolution Regimes” shall have the meaning set forth in Section 10.18. “U.S. Tax Compliance Certificate” shall have the meaning set forth in Section 2.20(g)(ii). “Weighted Average Life to Maturity” means, when applied to any Indebtedness at any date, the number of years obtained by dividing: (i) the sum of the products obtained by multiplying (a) the amount of each then remaining installment, sinking fund, serial maturity or other required payments of principal, including payment at final maturity, in respect thereof, by (b) the number of years (calculated to the nearest one-twelfth) that will elapse between such date and the making of such payment; by (ii) the then outstanding principal amount of such Indebtedness. “Wholly Owned Subsidiary” of any Person means any Subsidiary of such Person, all of the Capital Stock of which (other than nominal holdings and director’s qualifying shares) is owned by such Person, either directly or through one or more Wholly Owned Subsidiaries of such Person. “Withdrawal Liability” shall mean liability to a Multiemployer Plan as a result of a complete or partial withdrawal from such Multiemployer Plan, as such terms are defined in Part I of Subtitle E of Title IV of ERISA. “Withholding Agent” shall mean the Borrower, any other Loan Party or the Administrative Agent, as applicable. “Working Capital” shall mean the Current Assets less the Current Liabilities for the current Fiscal Year compared to the Current Assets less the Current Liabilities for the prior Fiscal Year. “Write-Down and Conversion Powers” shall mean (a) with respect to any EEA Resolution Authority, the write-down and conversion powers of such EEA Resolution Authority from time to time under the Bail-In Legislation for the applicable EEA Member Country, which write-down and conversion powers are described in the EU Bail-In Legislation Schedule and (b) with respect to the United Kingdom, any powers of the applicable Resolution Authority under the Bail-In Legislation to cancel, reduce, modify or change the form of a liability of any UK Financial Institution or any contract or instrument under which that liability arises, to convert all or part of that liability into shares, securities or obligations of that person or any other person, to provide that any such contract or instrument is to have effect as if a right had been exercised under it or to suspend any obligation in respect of that liability or any of the powers under that Bail-In Legislation that are related to or ancillary to any of those powers. Section 1.2. Classifications of Loans and Borrowings. For purposes of this Agreement, Loans may be classified and referred to by Class (e.g. “Revolving Loan” or “Term Loan”) or by Type (e.g. “SOFR Loan” or “Base Rate Loan”) or by Class and Type (e.g. “Revolving SOFR Loan”). Borrowings also may be classified and referred to by Class (e.g. “Revolving Borrowing” or “Term Loan Borrowing”) or by Type (e.g. “SOFR Borrowing” or “Base Rate Borrowing”) or by Class and Type (e.g. “Revolving SOFR Borrowing”). Section 1.3. Accounting Terms and Determination. Unless otherwise defined or specified herein, all accounting terms used herein shall be interpreted, all accounting determinations hereunder shall be made, and all financial statements required to be delivered hereunder shall be prepared, in accordance with GAAP as in effect from time to time, applied on a basis consistent with the most recent audited consolidated financial statement of the Borrower delivered pursuant to Section 5.1(a); provided that if the Borrower notifies the Administrative Agent that the Borrower wishes to amend any covenant in Article VI


 
AMERICAS 129648577 49 to eliminate the effect of any change in GAAP on the operation of such covenant (or if the Administrative Agent notifies the Borrower that the Required Lenders wish to amend Article VI for such purpose), then the Borrower’s compliance with such covenant shall be determined on the basis of GAAP in effect immediately before the relevant change in GAAP became effective, until either such notice is withdrawn or such covenant is amended in a manner satisfactory to the Borrower and the Required Lenders. Notwithstanding any other provision contained herein, (a) for all purposes of this Agreement, and the other Loan Documents, including negative covenants, financial covenants and component definitions, GAAP will be deemed to treat operating leases and Capital Lease Obligations in a manner consistent with the treatment under GAAP as in effect prior to the issuance by the Financial Accounting Standards Board on February 24, 2016 of Accounting Standards Update No. 2016-02, and (b) all terms of an accounting or financial nature used herein shall be construed, and all computations of amounts and ratios referred to herein shall be made, without giving effect to (i) Statement of Financial Accounting Standards 141R or ASC 805 (or any other financial accounting standard having a similar result or effect), (ii) any election under Financial Accounting Standards Codification No. 825—Financial Instruments, or any successor thereto (including pursuant to the Accounting Standards Codification), to value any Indebtedness of Holdings, the Borrower or any Subsidiary at “fair value” as defined therein or (iii) any treatment of Indebtedness in respect of convertible debt instruments under ASC 470-20 (or any other financial accounting standard having a similar result or effect) to value any such Indebtedness in a reduced or bifurcated manner as described therein, and such Indebtedness shall at all times be valued at the full stated principal amount thereof. Section 1.4. Terms Generally. The definitions of terms herein shall apply equally to the singular and plural forms of the terms defined. Whenever the context may require, any pronoun shall include the corresponding masculine, feminine and neuter forms. The words “include”, “includes” and “including” shall be deemed to be followed by the phrase “without limitation”. The word “will” shall be construed to have the same meaning and effect as the word “shall”. In the computation of periods of time from a specified date to a later specified date, the word “from” means “from and including” and the word “to” means “to but excluding”. Unless the context requires otherwise (i) any definition of or reference to any agreement, instrument or other document herein shall be construed as referring to such agreement, instrument or other document as it was originally executed or as it may from time to time be amended, restated, supplemented or otherwise modified (subject to any restrictions on such amendments, supplements or modifications set forth herein), (ii) any reference herein to any Person shall be construed to include such Person’s successors and permitted assigns, (iii) the words “hereof”, “herein” and “hereunder” and words of similar import shall be construed to refer to this Agreement as a whole and not to any particular provision hereof, (iv) all references to Articles, Sections, Exhibits and Schedules shall be construed to refer to Articles, Sections, Exhibits and Schedules to this Agreement, (v) the words “asset” and “property” shall be construed as having the same meaning and effect and to refer to any and all tangible and intangible assets and properties, including cash, securities, accounts and contract rights and (vi) all references to a specific time shall be construed to refer to Eastern time (daylight or standard, as applicable), unless otherwise indicated. Section 1.5. Limited Condition Transaction. Notwithstanding anything to the contrary in this Agreement, for purposes of (i) determining compliance with any provision of this Agreement (other than Section 6.1 and Section 6.3) that requires the calculation of any applicable financial ratio, (ii) determining compliance with representations, warranties, defaults or events of default (other than Events of Default under Section 8.1(a), (b), (g) or (h), none of which shall exist on the LCT Test Date or the date of consummation of any Limited Condition Transaction) or (iii) testing availability under baskets set forth herein (including, in each case with respect to the incurrence of Indebtedness incurred in connection therewith), in each case, in connection with a Limited Condition Transaction by the Borrower and its Restricted Subsidiaries or any other transaction or action permitted hereunder that is consummated in connection with a Limited Condition Transaction (other than for purposes of borrowing Revolving Loans


 
AMERICAS 129648577 50 and Incremental Term Facilities, each of which shall remain subject to the terms and conditions thereof with respect to the impact, if any, of any Limited Condition Transaction), at the irrevocable option of the Borrower (the Borrower’s election to exercise such option in connection with any Limited Condition Transaction, an “LCT Election”), the date of determination of whether any such Limited Condition Transaction is permitted hereunder, shall be deemed to be the date the definitive agreements for such Limited Condition Transaction are entered into (the “LCT Test Date”), and if, after giving pro forma effect to the Limited Condition Transaction as if they had occurred at the beginning of the most recent Test Period ending prior to the LCT Test Date, the Borrower could have taken such action on the relevant LCT Test Date in compliance with such ratio or basket, such ratio or basket shall be deemed to have been complied with for such Limited Condition Transaction; provided that, no LCT Test Date may occur more than 90 days prior to the consummation of the applicable Acquisition. For the avoidance of doubt, if the Borrower has made an LCT Election and any of the ratios or baskets for which compliance was determined or tested as of the LCT Test Date are exceeded as a result of fluctuations in any such ratio or basket (including due to fluctuations of the target of any Limited Condition Transaction) at or prior to the consummation of the relevant transaction or action, such baskets or ratios will not be deemed to have been exceeded as a result of such fluctuations. If the Borrower has made an LCT Election for any Limited Condition Transaction, then in connection with any subsequent calculation of any ratio or basket (other than maintenance testing of the financial covenants in Article VI) on or following the relevant LCT Test Date and prior to the earlier of (i) the date on which such Limited Condition Transaction is consummated or (ii) the date that the definitive agreement for such Limited Condition Transaction is terminated or expires without consummation of such Limited Condition Transaction, any such ratio or basket shall be (x) calculated on a pro forma basis assuming such Limited Condition Transaction and other transactions in connection therewith (including any incurrence of debt and the use of proceeds thereof) have been consummated and (y) also calculated (and tested) on a pro forma basis assuming such Limited Condition Transaction and other transactions in connection therewith (including any incurrence of Indebtedness and the use of proceeds thereof) have not been consummated; provided that (other than solely with respect to the incurrence test under which such Limited Condition Transaction is being made and the test set forth in the immediately preceding clause (x)) Consolidated EBITDA, assets and Consolidated Net Income of any target of such Limited Condition Transaction can only be used in the determination of the relevant ratio and baskets if and when such Limited Condition Transaction has closed. Section 1.6. Divisions. For all purposes under the Loan Documents, in connection with any Division: (a) if any asset, right, obligation or liability of any Person becomes the asset, right, obligation or liability of a different Person, then it shall be deemed to have been transferred from the original Person to the subsequent Person, and (b) if any new Person comes into existence, such new Person shall be deemed to have been organized on the first date of its existence by the holders of its Capital Stock at such time. Section 1.7. Pro Forma Calculations. (a) Notwithstanding anything to the contrary herein, financial ratios and tests, including the Total Net Leverage Ratio, the Secured Net Leverage Ratio, the First Lien Net Leverage Ratio and compliance with covenants or other provisions determined by reference to Consolidated EBITDA or Consolidated Total Assets, shall be calculated on a pro forma basis in the manner prescribed by this Section 1.7; provided that notwithstanding anything to the contrary in clauses (b), (c), (d) or (e) of this Section 1.7 when calculating any such ratio or test for purposes of (i) the definition of “Applicable Margin,” (ii) [reserved] and (iii) Sections 6.1 and 6.3 (other than for the purpose of determining Pro Forma Compliance with Sections 6.1 and 6.3), the events described in this Section 1.7 that occurred subsequent to the end of the applicable Test Period shall not be given pro forma effect. In addition, whenever a financial ratio or test is to be calculated, the reference to the “Test Period” for purposes of calculating such financial ratio or test shall be deemed to be a reference to, and shall be based on, the most recently ended Test Period for which financial statements have been delivered pursuant to Section 5.1(a) or (b), as applicable (it being


 
AMERICAS 129648577 51 understood that for purposes of determining pro forma compliance with Sections 6.1 and 6.3, if no Test Period with an applicable level cited in Sections 6.1 and 6.3 has passed, the applicable level shall be the level for the first Test Period cited in Sections 6.1 and 6.3 with an indicated level). For purposes of calculating any financial ratio or test or compliance with any covenant or other provision determined by reference to Consolidated EBITDA or Consolidated Total Assets for any Specified Transaction that occurs prior to the date on which financial statements have been (or are required to be) delivered for the Fiscal Quarter ended December 31, 2024, any such calculation to made on a Pro Forma Basis shall use the financial statements for the Fiscal Quarter ended September 30, 2024. (b) For purposes of calculating any financial ratio or test or compliance with any covenant or other provision determined by reference to Consolidated EBITDA or Consolidated Total Assets, Specified Transactions (with any incurrence or repayment of any Indebtedness in connection therewith to be subject to clause (d) of this Section 1.7) that have been made (i) during the applicable Test Period (solely with respect to the calculation of the Interest Coverage Ratio) or (ii) if applicable as described in clause (a) above, subsequent to such Test Period and prior to or simultaneously with the event for which the calculation of any such ratio is made shall be calculated on a pro forma basis assuming that all such Specified Transactions (and any increase or decrease in Consolidated EBITDA or Consolidated Total Assets and the component financial definitions used therein attributable to any Specified Transaction) have occurred on the first day of the applicable Test Period. If since the beginning of any applicable Test Period any Person that subsequently became a Restricted Subsidiary or was merged, amalgamated or consolidated with or into the Borrower or any of its Restricted Subsidiaries since the beginning of such Test Period shall have made any Specified Transaction that would have required adjustment pursuant to this Section 1.7 then such financial ratio or test shall be calculated to give pro forma effect thereto in accordance with this Section 1.7. (c) Whenever pro forma effect is to be given to a Specified Transaction, the pro forma calculations shall be made in good faith by the Borrower and may include, for the avoidance of doubt, the amount of “run-rate” cost savings, operating expense reductions and cost synergies resulting from or relating to, any Specified Transaction which is being given pro forma effect that have been realized or are projected to be realized and for which actions have been taken or that are committed to be taken within eighteen (18) months after the consummation of such Specified Transaction to realize such cost savings, operating expense reductions and cost synergies (in the good faith determination of the Borrower) (calculated on a pro forma basis as though such cost savings, operating expense reductions and cost synergies were realized during the entirety of such period) net of the amount of actual benefits realized during such period from such actions, and any such adjustments shall be included in the initial pro forma calculations of any financial ratios or tests (and in respect of any subsequent pro forma calculations in which such Specified Transaction is given pro forma effect) and during any applicable subsequent Test Period in which the effects thereof are expected to be realized) relating to such Specified Transaction; provided that (A) such amounts are reasonably identifiable and factually supportable in the good faith judgment of the Borrower, (B) such actions are taken or with respect to which actions have been taken or are committed to be taken no later than eighteen (18) months after the date of such Specified Transaction, (C) no amounts shall be added pursuant to this clause (c) to the extent duplicative of any amounts that are otherwise added back in computing Consolidated EBITDA (or any other components thereof), whether through a pro forma adjustment or otherwise, with respect to such period and (D) any increase to Consolidated EBITDA as a result of such cost savings, operating expense reductions and cost synergies pursuant to this Section 1.7(c) shall be subject to the cap set forth in clause (ii)(G)(3) in the definition of Consolidated EBITDA. (d) In the event that the Borrower or any Restricted Subsidiary incurs (including by assumption or guarantees) or repays (including by redemption, repayment, retirement or extinguishment) any Indebtedness (other than Indebtedness incurred or repaid under any revolving credit facility in the


 
AMERICAS 129648577 52 ordinary course of business for working capital purposes unless such Indebtedness has been permanently repaid and not replaced), subject to paragraph (a), subsequent to the end of the applicable Test Period and prior to or simultaneously with the event for which the calculation of any such ratio is made, then such financial ratio or test shall be calculated giving pro forma effect to such incurrence or repayment of Indebtedness, in each case to the extent required, as if the same had occurred on the last day of the applicable Test Period. (e) If any Indebtedness bears a floating rate of interest and is being given pro forma effect, the interest on such Indebtedness shall be calculated as if the rate in effect on the date of the event for which the calculation of the Interest Coverage Ratio is made had been the applicable rate for the entire period (taking into account any interest hedging arrangements applicable to such Indebtedness); provided, in the case of repayment of any Indebtedness, to the extent actual interest related thereto was included during all or any portion of the applicable Test Period, the actual interest may be used for the applicable portion of such Test Period. Interest on a Capital Lease Obligation shall be deemed to accrue at an interest rate reasonably determined by a Responsible Officer of the Borrower to be the rate of interest implicit in such Capital Lease Obligation in accordance with GAAP. Interest on Indebtedness that may optionally be determined at an interest rate based upon a factor of a prime or similar rate, a London interbank offered rate, or other rate, shall be determined to have been based upon the rate actually chosen, or if none, then based upon such optional rate chosen as the Borrower or Subsidiary may designate. Section 1.8. Leverage Ratios. Notwithstanding anything to the contrary contained herein, for purposes of calculating any leverage ratio herein in connection with the incurrence of any Indebtedness, (a) there shall be no netting of the cash proceeds proposed to be received in connection with the incurrence of such Indebtedness and (b) to the extent the Indebtedness to be incurred is revolving Indebtedness, such incurred revolving Indebtedness (or if applicable, the portion (and only such portion) of the increased commitments thereunder) shall be treated as fully drawn. Section 1.9. Certain Determinations. If any baskets set forth in Article VII are exceeded solely as a result of fluctuations in Consolidated EBITDA for the most recent Test Period after the last time such baskets were calculated for any purpose under Article VII, such baskets will be deemed not to have been exceeded solely as a result of such fluctuations. Section 1.10. Cashless Roll. Notwithstanding anything to the contrary contained in this Agreement, any Lender may exchange, continue or rollover all or a portion of its Loans in connection with any refinancing, extension, loan modification or similar transaction permitted by the terms of this Agreement, pursuant to a cashless mechanism approved by the Borrower, the Administrative Agent and such Lender. Section 1.11. Currency Generally. For purposes of determining compliance with Article VII with respect to any amount of Indebtedness or Investment in a currency other than Dollars, no Default or Event of Default shall be deemed to have occurred solely as a result of changes in rates of currency exchange occurring after the time such Indebtedness or Investment is incurred (so long as such Indebtedness or Investment, at the time incurred, made or acquired, was permitted hereunder). Section 1.12. Rates. The Administrative Agent does not warrant or accept responsibility for, and shall not have any liability with respect to (a) the continuation of, administration of, submission of, calculation of or any other matter related to the Base Rate, the Term SOFR Reference Rate, Adjusted Term SOFR or Term SOFR, or any component definition thereof or rates referred to in the definition thereof, or any alternative, successor or replacement rate thereto (including any Benchmark Replacement), including


 
AMERICAS 129648577 53 whether the composition or characteristics of any such alternative, successor or replacement rate (including any Benchmark Replacement) will be similar to, or produce the same value or economic equivalence of, or have the same volume or liquidity as, the Base Rate, the Term SOFR Reference Rate, Adjusted Term SOFR, Term SOFR or any other Benchmark prior to its discontinuance or unavailability, or (b) the effect, implementation or composition of any Conforming Changes. The Administrative Agent and its affiliates or other related entities may engage in transactions that affect the calculation of the Base Rate, the Term SOFR Reference Rate, Term SOFR, Adjusted Term SOFR, any alternative, successor or replacement rate (including any Benchmark Replacement) or any relevant adjustments thereto, in each case, in a manner adverse to the Borrower. The Administrative Agent may select information sources or services in its reasonable discretion to ascertain the Base Rate, the Term SOFR Reference Rate, Term SOFR, Adjusted Term SOFR or any other Benchmark, in each case pursuant to the terms of this Agreement, and shall have no liability to the Borrower, any Lender or any other person or entity for damages of any kind, including direct or indirect, special, punitive, incidental or consequential damages, costs, losses or expenses (whether in tort, contract or otherwise and whether at law or in equity), for any error or calculation of any such rate (or component thereof) provided by any such information source or service. Section 1.13. Effect of Restatement. (a) The effectiveness of this Agreement shall not constitute a novation of any Obligations owing under the Original Credit Agreement. All Loans and Letters of Credit outstanding under the Original Credit Agreement and all accrued and unpaid amounts owing by any Loan Party pursuant to the Original Credit Agreement shall continue to be outstanding and owing hereunder. Any payment or performance of any Obligation under the Original Credit Agreement or any Obligation described in this Agreement during any period prior to the Restatement Date shall constitute payment or performance of such Obligation under this Agreement. Except as otherwise specifically noted herein, any usage, or accumulated capacity, under any “basket” set forth in any covenant or exception in the Original Credit Agreement shall not be included in the determination of baskets under this Agreement such that all baskets in the covenant exceptions under this Agreement shall be deemed unused as of the Restatement Date. For the avoidance of doubt, as of the Restatement Date, usage under the Fixed Incremental Amount shall be deemed to be $0. (b) After giving effect to this Agreement and the modifications effectuated thereby, each reference to the “Credit Agreement” in the Loan Documents shall be deemed a reference to the Original Credit agreement, as amended and restated on the Restatement Date. (c) Each undersigned Loan Party agrees that this Agreement amends and restates and is substituted for (and is not executed in payment or novation of) the Original Credit Agreement and that the security interest provided under the Collateral Documents referenced therein (the “Existing Collateral Documents”) and the Guarantee provided pursuant to the Guaranty and Security Agreement shall continue uninterrupted under the Collateral Documents and the Guaranty and Security Agreement, respectively, and that the security interests granted under the Existing Collateral Documents and the Guarantee provided under the Guaranty and Security Agreement continues in effect as security for and a Guarantee of, respectively, all obligations and liabilities under the Original Credit Agreement, as amended and restated by this Agreement, including without limitation, the Obligations.


 
AMERICAS 129648577 54 ARTICLE II AMOUNT AND TERMS OF THE COMMITMENTS Section 2.1. General Description of Facilities. Subject to and upon the terms and conditions herein set forth, (i) the Lenders hereby establish in favor of the Borrower a revolving credit facility pursuant to which each Lender severally agrees (to the extent of such Lender’s Revolving Commitment) to make Revolving Loans to the Borrower in accordance with Section 2.2; (ii) the Issuing Bank shall issue Letters of Credit in accordance with Section 2.22; and (iii) each Lender agrees to purchase a participation interest in the Letters of Credit pursuant to the terms and conditions hereof; provided that in no event shall the aggregate principal amount of all outstanding Revolving Loans and outstanding LC Exposure exceed the Aggregate Revolving Commitment Amount in effect from time to time. Section 2.2. Revolving Loans. Subject to the terms and conditions set forth herein, (i) each Existing Revolving Commitment (as in effect on the Restatement Date immediately prior to giving effect to this Agreement) of the Existing Revolving Lenders set forth on Schedule 2.2 (each a “Converting Revolving Lender”)) is hereby converted on the Restatement Date into a Revolving Commitment of such Existing Revolving Lender (each, a “Converted Revolving Commitment”) and (ii) each Lender severally agrees on and after the Restatement Date (but immediately after giving effect to preceding clause (i)) to make Revolving Loans, ratably in proportion to its Pro Rata Share of the Aggregate Revolving Commitments, to the Borrower, from time to time during the Availability Period, in an aggregate principal amount that, after giving effect to any Revolving Loan, will not result in (a) such Lender’s Revolving Credit Exposure exceeding such Lender’s Revolving Commitment at such time or (b) the aggregate Revolving Credit Exposures of all Lenders exceeding the Aggregate Revolving Commitment Amount at such time. During the Availability Period, the Borrower shall be entitled to borrow, prepay and reborrow Revolving Loans in accordance with the terms and conditions of this Agreement; provided that the Borrower may not borrow or reborrow should there exist a Default or Event of Default. Revolving Loans may be Base Rate Loans or SOFR Loans as further provided herein. On the Restatement Date, with respect to the Revolving Commitments in effect on the Restatement Date, (x) each Converting Revolving Lender with a Converted Revolving Commitment will automatically and without further act be deemed to have assigned to each Additional Revolving Lender on the Restatement Date, and each such Additional Revolving Lender will automatically and without further act be deemed to have assumed, a portion of such Converting Revolving Lender’s participations under the Original Credit Agreement in outstanding LC Exposure (as defined in the Original Credit Agreement) such that, after giving effect to each such deemed assignment and assumption of participations, the percentage of the aggregate outstanding participations hereunder in LC Exposure held by each Lender with Revolving Commitments (including each such Additional Revolving Lender) will equal the percentage of the aggregate Revolving Commitments of all Lenders represented by such Lender’s Revolving Commitment and (y) if, on the Restatement Date, there are any “Revolving Loans” (as defined in the Original Credit Agreement) outstanding immediately prior to the Restatement Date (the “Existing Revolving Loans”), such Existing Revolving Loans shall on or prior to the Restatement Date be prepaid from the proceeds of Revolving Loans made hereunder (reflecting the Additional Revolving Commitments), which prepayment shall be accompanied by accrued interest on the Existing Revolving Loans being prepaid and any costs incurred by any Existing Revolving Lender in accordance with Section 2.19 of the Original Credit Agreement. The Administrative Agent and the Lenders hereby agree that the minimum Borrowing, pro rata Borrowing and pro rata payment requirements contained in the Original Credit Agreement and this Agreement shall not apply to the transactions effected pursuant to the immediately preceding sentence. Section 2.3. Procedure for Revolving Borrowings. The Borrower shall deliver a Notice of Borrowing to the Administrative Agent, (x) prior to 11:00 a.m. one (1) Business Day prior to the requested


 
AMERICAS 129648577 55 date of each Base Rate Borrowing and (y) prior to 11:00 a.m. three (3) Business Days prior to the requested date of each SOFR Borrowing. Each Notice of Borrowing shall be irrevocable and shall specify (i) the aggregate principal amount of such Borrowing, (ii) the date of such Borrowing (which shall be a Business Day), (iii) the Type of such Revolving Loan comprising such Borrowing and (iv) in the case of a SOFR Borrowing, the duration of the initial Interest Period applicable thereto (subject to the provisions of the definition of Interest Period). Each Revolving Borrowing shall consist entirely of Base Rate Loans or SOFR Loans, as the Borrower may request. The aggregate principal amount of each SOFR Borrowing shall not be less than $1,000,000 or a larger multiple of $250,000, and the aggregate principal amount of each Base Rate Borrowing shall not be less than $500,000 or a larger multiple of $100,000; provided that Base Rate Loans made pursuant to Section 2.22(d) may be made in lesser amounts as provided therein. At no time shall the total number of SOFR Borrowings (including Revolving Borrowings and Term Loan Borrowings) outstanding at any time exceed ten (10). Promptly following the receipt of a Notice of Borrowing in accordance herewith, the Administrative Agent shall advise each Lender of the details thereof and the amount of such Lender’s Revolving Loan to be made as part of the requested Revolving Borrowing. If the Borrower fails to specify a Type of Loan in a Notice of Borrowing, then the applicable Revolving Loans shall be made as Base Rate Loans. If the Borrower requests a Borrowing of SOFR Loans in any such Notice of Borrowing but fails to specify an Interest Period, it will be deemed to have specified an Interest Period of one month. Section 2.4. Reserved. Section 2.5. Term Loan Commitments; Procedure for Term Loan Borrowings. After the Restatement Date, subject to the terms and conditions set forth herein, each Lender with a Term Loan Commitment with respect to any Class of Term Loans severally agrees to make a Term Loan to the Borrower under such Class in a principal amount not to exceed the Term Loan Commitment of such Lender under such Class on the date of incurrence. The Borrower shall deliver a Notice of Borrowing to the Administrative Agent, (x) prior to 11:00 a.m. one (1) Business Day prior to the requested date of each Base Rate Borrowing and (y) prior to 11:00 a.m. three (3) Business Days prior to the requested date of each SOFR Borrowing. Each Notice of Borrowing shall be irrevocable and shall specify (i) the aggregate principal amount of such Borrowing, (ii) the date of such Borrowing (which shall be a Business Day), (iii) the Type of such Term Loan comprising such Borrowing, (iv) the Class of such Term Loan, and (v) in the case of a SOFR Borrowing, the duration of the initial Interest Period applicable thereto (subject to the provisions of the definition of Interest Period). Each Term Loan Borrowing shall consist entirely of Base Rate Loans or SOFR Loans, as the Borrower may request. The aggregate principal amount of each SOFR Borrowing shall not be less than $1,000,000 or a larger multiple of $250,000, and the aggregate principal amount of each Base Rate Borrowing shall not be less than $500,000 or a larger multiple of $100,000. At no time shall the total number of SOFR Borrowings (including Revolving Borrowings and Term Loan Borrowings) outstanding at any time exceed ten (10). Promptly following the receipt of a Notice of Borrowing in accordance herewith, the Administrative Agent shall advise each Lender of the details thereof and the amount of such Lender’s Term Loan to be made as part of the requested Term Loan Borrowing. If the Borrower fails to specify a Type of Loan in a Notice of Borrowing, then the applicable Term Loans shall be made as Base Rate Loans. If the Borrower requests a Borrowing of SOFR Loans in any such Notice of Borrowing but fails to specify an Interest Period, it will be deemed to have specified an Interest Period of one month. Section 2.6. Funding of Borrowings. (a) Each Lender will make available each Loan to be made by it hereunder on the proposed date thereof by wire transfer in immediately available funds by 11:00 a.m. to the Administrative Agent at the Payment Office. The Administrative Agent will make such Loans available to the Borrower by promptly crediting the amounts that it receives, in like funds by the close of business on such proposed


 
AMERICAS 129648577 56 date, to an account maintained by the Borrower with the Administrative Agent or, at the Borrower’s option, by effecting a wire transfer of such amounts to an account designated by the Borrower to the Administrative Agent. (b) Unless the Administrative Agent shall have been notified by any Lender prior to 5:00 p.m. one (1) Business Day prior to the date of a Borrowing in which such Lender is to participate that such Lender will not make available to the Administrative Agent such Lender’s share of such Borrowing, the Administrative Agent may assume that such Lender has made such amount available to the Administrative Agent on such date, and the Administrative Agent, in reliance on such assumption, may make available to the Borrower on such date a corresponding amount. If such corresponding amount is not in fact made available to the Administrative Agent by such Lender on the date of such Borrowing, the Administrative Agent shall be entitled to recover such corresponding amount on demand from such Lender together with interest (x) at the Federal Funds Rate until the second Business Day after such demand and (y) at the Base Rate at all times thereafter. If such Lender does not pay such corresponding amount forthwith upon the Administrative Agent’s demand therefor, the Administrative Agent shall promptly notify the Borrower, and the Borrower shall immediately pay such corresponding amount to the Administrative Agent together with interest at the rate specified for such Borrowing. Nothing in this subsection shall be deemed to relieve any Lender from its obligation to fund its Pro Rata Share of any Borrowing hereunder or to prejudice any rights which the Borrower may have against any Lender as a result of any default by such Lender hereunder. (c) All Revolving Borrowings shall be made by the Lenders on the basis of their respective Pro Rata Shares. No Lender shall be responsible for any default by any other Lender in its obligations hereunder, and each Lender shall be obligated to make its Loans provided to be made by it hereunder, regardless of the failure of any other Lender to make its Loans hereunder. Section 2.7. Interest Elections. (a) Each Borrowing initially shall be of the Type specified in the applicable Notice of Borrowing. Thereafter, the Borrower may elect to convert such Borrowing into a different Type or to continue such Borrowing, all as provided in this Section. The Borrower may elect different options with respect to different portions of the affected Borrowing, in which case each such portion shall be allocated ratably among the Lenders holding Loans comprising such Borrowing, and the Loans comprising each such portion shall be considered a separate Borrowing. (b) To make an election pursuant to this Section, the Borrower shall give the Administrative Agent written notice (or telephonic notice promptly confirmed in writing) of each Borrowing that is to be converted or continued, as the case may be, substantially in the form of Exhibit 2.7 attached hereto (a “Notice of Conversion/Continuation”) (x) prior to 10:00 a.m. one (1) Business Day prior to the requested date of a conversion into a Base Rate Borrowing and (y) prior to 11:00 a.m. three (3) Business Days prior to a continuation of or conversion into a SOFR Borrowing. Each such Notice of Conversion/Continuation shall be irrevocable and shall specify (i) the Borrowing to which such Notice of Conversion/Continuation applies and, if different options are being elected with respect to different portions thereof, the portions thereof that are to be allocated to each resulting Borrowing (in which case the information to be specified pursuant to clauses (iii) and (iv) shall be specified for each resulting Borrowing), (ii) the effective date of the election made pursuant to such Notice of Conversion/Continuation, which shall be a Business Day, (iii) whether the resulting Borrowing is to be a Base Rate Borrowing or a SOFR Borrowing, and (iv) if the resulting Borrowing is to be a SOFR Borrowing, the Interest Period applicable thereto after giving effect to such election, which shall be a period contemplated by the definition of “Interest Period”. If any such Notice of Conversion/ Continuation requests a SOFR Borrowing but does not specify an Interest Period, the Borrower shall be


 
AMERICAS 129648577 57 deemed to have selected an Interest Period of one month. The principal amount of any resulting Borrowing shall satisfy the minimum borrowing amount for SOFR Borrowings and Base Rate Borrowings set forth in Section 2.3. (c) If, on the expiration of any Interest Period in respect of any SOFR Borrowing, the Borrower shall have failed to deliver a Notice of Conversion/Continuation, then, unless such Borrowing is repaid as provided herein, the Borrower shall be deemed to have elected to convert such Borrowing to a Base Rate Borrowing. No Borrowing may be converted into, or continued as, a SOFR Borrowing if a Default or an Event of Default exists, unless the Administrative Agent and each of the Lenders shall have otherwise consented in writing. No conversion of any SOFR Loan shall be permitted except on the last day of the Interest Period in respect thereof. (d) Upon receipt of any Notice of Conversion/Continuation, the Administrative Agent shall promptly notify each Lender of the details thereof and of such Lender’s portion of each resulting Borrowing. Section 2.8. Optional Reduction and Termination of Commitments. (a) Unless previously terminated, all Revolving Commitments and LC Commitments shall terminate on the Revolving Commitment Termination Date. The Term Loan Commitment of each Lender shall be automatically and permanently reduced to zero on the date of incurrence of Term Loans under the applicable Class of Term Loan Commitments. (b) Upon at least three (3) Business Days’ prior written notice (or telephonic notice promptly confirmed in writing) to the Administrative Agent (which notice shall be irrevocable), the Borrower may reduce the Aggregate Revolving Commitments in part or terminate the Aggregate Revolving Commitments in whole; provided that (i) any partial reduction shall apply to reduce proportionately and permanently the Revolving Commitment of each Lender, (ii) any partial reduction pursuant to this Section shall be in an amount of at least $1,000,000 and any larger multiple of $1,000,000, and (iii) no such reduction shall be permitted which would reduce the Aggregate Revolving Commitment Amount to an amount less than the aggregate outstanding Revolving Credit Exposure of all Lenders. Any such reduction in the Aggregate Revolving Commitment Amount below the principal amount of the LC Commitment shall result in a dollar-for-dollar reduction in the LC Commitment. (c) The Borrower may terminate (on a non-ratable basis) the unused amount of the Revolving Commitment of a Defaulting Lender, and in such event the provisions of Section 2.26(b) will apply to all amounts thereafter paid by the Borrower for the account of any such Defaulting Lender under this Agreement (whether on account of principal, interest, fees, indemnity or other amounts); provided that such termination will not be deemed to be a waiver or release of any claim that the Borrower, the Administrative Agent, the Issuing Bank or any other Lender may have against such Defaulting Lender. (d) Notwithstanding anything to the contrary herein, the Existing Revolving Commitments of each Non-Converting Revolving Lender shall automatically and permanently terminate on the Restatement Date. Section 2.9. Repayment of Loans. (a) The outstanding principal amount of all Revolving Loans shall be due and payable (together with accrued and unpaid interest thereon) on the Revolving Commitment Termination Date. (b) The principal amount of Term Loans under any Incremental Term Facility of each Lender shall be repaid as provided in the Incremental Facility Amendment in respect of such Term Loans


 
AMERICAS 129648577 58 as contemplated by Section 2.23, subject to the requirements of Section 2.23 (which installments shall, to the extent applicable, be reduced as a result of the applicable of prepayments in accordance with the order of priority set forth in Sections 2.11 and 2.12, or be increased as a result of any increase in the amount of Term Loans pursuant to Section 2.23 (such increased amortization payments to be calculated in the same manner (on the same basis) as the schedule set forth in the Incremental Facility Amendment in respect of such Term Loans)). To the extent not previously paid, each Term Loan shall be due and payable on the Maturity Date applicable to such Term Loans. (c) The principal amount of Specified Refinancing Term Loans of each Term Lender shall be repaid as provided in the Refinancing Amendment, subject to the requirements of Section 2.27 (which installments shall, to the extent applicable, be reduced as a result of the application of prepayments in accordance with the order of priority set forth in Sections 2.11 and 2.12, or be increased as a result of any increase in the amount of Term Loans pursuant to Section 2.23 (any increase in the amount of payments to be calculated in the same manner (on the same basis) as the schedule set forth in the Refinancing Amendment for the initial incurrence of such Refinancing Term Loans)). To the extent not previously paid, each Refinancing Term Loan shall be due and payable on the Maturity Date applicable to such Refinancing Term Loans. (d) The Principal Amount of Extended Term Loans of each extending Lender shall be repaid as provided in the applicable Extension Amendment as contemplated by Section 2.28, subject to the requirements of Section 2.28 (which installments shall, to the extent applicable, be reduced as a result of the application of prepayments in accordance with the order of priority set forth in Section 2.11 and 2.12. To the extent not previously paid, each Extended Term Loan shall be due and payable on the Maturity Date applicable to such Extended Term Loans. In connection with any Incremental Term Facility that will constitute part of the same Class as any other Class of Term Loans, the amount of the scheduled amortization payment that would otherwise be required shall be increased for the Lenders on a pro rata basis to the extent necessary to ensure that the Lenders holding Term Loans continue to receive a payment that is not less than the same amount that such Lenders would have received absent the incurrence of such Incremental Term Facility; provided that if such Incremental Term Facility is to be “fungible” with the existing Term Loans, notwithstanding any other conditions specified in this Section 2.9, the amortization schedule for such “fungible” Incremental Term Facility may provide for amortization based on the Modified Amortization Percentage to ensure that such Incremental Term Facility will be “fungible” with the applicable Class of Term Loans being incurred; provided, further, that without the consent of any other Loan Party or Lender, the Borrower and the Administrative Agent may effect such amendments to the Agreement as may be necessary or appropriate, in the reasonable opinion of the Administrative Agent and the Borrower, to effect the provisions of this Section 2.9.The immediately preceding sentence of this Section 2.9 shall supersede any provisions in Section 10.2 to the contrary. Section 2.10. Evidence of Indebtedness. (a) Each Lender shall maintain in accordance with its usual practice appropriate records evidencing the Indebtedness of the Borrower to such Lender resulting from each Loan made by such Lender from time to time, including the amounts of principal and interest payable thereon and paid to such Lender from time to time under this Agreement. The Administrative Agent shall maintain (acting solely for purposes of Treasury Regulation Section 5f.103-1(c) as a non-fiduciary agent for the Borrower) appropriate records in which shall be recorded (i) the Revolving Commitment and the Term Loan Commitment of each Lender, (ii) the amount of each Loan made hereunder by each Lender, the Class and Type thereof and, in the case of each SOFR Loan, the Interest Period applicable thereto, (iii) the date of any continuation of any Loan pursuant to Section 2.7, (iv) the date of any conversion of all or a portion of


 
AMERICAS 129648577 59 any Loan to another Type pursuant to Section 2.7, (v) the date and amount of any principal or interest due and payable or to become due and payable from the Borrower to each Lender hereunder in respect of the Loans and (vi) both the date and amount of any sum received by the Administrative Agent hereunder from the Borrower in respect of the Loans and each Lender’s Pro Rata Share thereof. The entries made in such records shall be, absent manifest error, prima facie evidence of the existence and amounts of the obligations of the Borrower therein recorded; provided that the failure or delay of any Lender or the Administrative Agent in maintaining or making entries into any such record or any error therein shall not in any manner affect the obligation of the Borrower to repay the Loans (both principal and unpaid accrued interest) of such Lender in accordance with the terms of this Agreement. In the event of any conflict between the accounts and records maintained by any Lender and the accounts and records of the Administrative Agent in respect of such amounts, the accounts and records of the Administrative Agent shall control in the absence of manifest error. (b) This Agreement evidences the obligation of the Borrower to repay the Loans and is being executed as a “noteless” credit agreement. However, at the request of any Lender at any time, the Borrower agrees that it will prepare, execute and deliver to such Lender a promissory note payable to the order of such Lender (or, if requested by such Lender, to such Lender and its registered assigns) and in a form approved by the Borrower and the Administrative Agent. Thereafter, the Loans evidenced by such promissory note and interest thereon shall at all times (including after assignment permitted hereunder) be represented by one or more promissory notes in such form payable to the order of the payee named therein (or, if such promissory note is a registered note, to such payee and its registered assigns). Section 2.11. Optional Prepayments. The Borrower shall have the right at any time and from time to time to prepay any Borrowing, in whole or in part, without premium or penalty, by giving written notice (or telephonic notice promptly confirmed in writing) to the Administrative Agent no later than (i) in the case of any prepayment of any SOFR Borrowing, 11:00 a.m. not less than three (3) Business Days prior to the date of such prepayment and (ii) in the case of any prepayment of any Base Rate Borrowing, not less than one (1) Business Day prior to the date of such prepayment. Each such notice shall be irrevocable and shall specify the proposed date of such prepayment and the principal amount of each Borrowing or portion thereof to be prepaid. Upon receipt of any such notice, the Administrative Agent shall promptly notify each affected Lender of the contents thereof and of such Lender’s Pro Rata Share of any such prepayment. If such notice is given, the aggregate amount specified in such notice shall be due and payable on the date designated in such notice, together with accrued interest to such date on the amount so prepaid in accordance with Section 2.13(d); provided that if a SOFR Borrowing is prepaid on a date other than the last day of an Interest Period applicable thereto, the Borrower shall also pay all amounts required pursuant to Section 2.19. Each partial prepayment of any Loan shall be in an amount that would be permitted in the case of an advance of a Revolving Borrowing of the same Type pursuant to Section 2.3 or, in the case of a Term Loan Borrowing of the same Type pursuant to Section 2.5. Each prepayment of a Borrowing shall be applied ratably to the Loans comprising such Borrowing and, in the case of a prepayment of a Term Loan Borrowing, to principal installments as directed by the Borrower (and, absent such direction, in direct order of maturity). Section 2.12. Mandatory Prepayments. (a) Immediately upon receipt by the Borrower or any of its Restricted Subsidiaries of any Net Proceeds of any sale or disposition by the Borrower or any of its Restricted Subsidiaries of any of its assets, or any Net Proceeds from any casualty insurance policies or eminent domain, condemnation or similar proceedings, the Borrower shall prepay the Term Loans in an amount equal to all such Net Proceeds; provided that the Borrower shall not be required to prepay the Term Loans with respect to Net Proceeds from the sales of assets in the ordinary course of business, from sales of assets or from any casualty insurance policies or eminent domain, condemnation or similar proceedings that are reinvested in assets


 
AMERICAS 129648577 60 then used or usable in the business of the Borrower and its Restricted Subsidiaries (other than in current assets) within eighteen (18) months following receipt thereof; provided that if any Net Proceeds are not so reinvested by the deadline specified above or if any such Net Proceeds are no longer intended to be or cannot be so reinvested, any such Net Proceeds shall be applied, in accordance with Section 2.12(d), to the prepayment of the Term Loans as set forth in this Section 2.12. If at the time that any such prepayment would be required, the Borrower is required to offer to repurchase any Indebtedness outstanding at such time that is secured by a Lien on the Collateral ranking pari passu with the Lien securing the Term Loans (such Indebtedness, “Other Pari Indebtedness”) pursuant to the terms of the documentation governing such Indebtedness with the Net Proceeds from such disposition, casualty insurance policy or eminent domain, condemnation or similar proceeding, then the Borrower, at its election, may apply such Net Proceeds on a pro rata basis (determined on the basis of the aggregate outstanding principal amount of the applicable Class(es) of Term Loans and Other Pari Indebtedness at such time) to the outstanding Classes of Term Loans and such Other Pari Indebtedness; provided, that the portion of such Net Proceeds allocated to the Other Pari Indebtedness shall not exceed the amount of such Net Proceeds required to be allocated to the Other Pari Indebtedness pursuant to the terms thereof, and the remaining amount, if any, of such Net Proceeds shall be allocated to the applicable Class(es) of Term Loans in accordance with the terms hereof to the prepayment of the Term Loans and to the repurchase or prepayment of Other Pari Indebtedness, and the amount of prepayment of the Loans that would have otherwise been required pursuant to this Section 2.12(a) shall be reduced accordingly; provided, that to the extent the holders of Other Pari Indebtedness decline to have such indebtedness repurchase or prepaid, the declined amount shall promptly (and in any event within ten (10) Business Days after the date of such rejection) be applied to prepay the applicable Class(es) of Term Loans in accordance with the terms hereof. For the avoidance of doubt, this Section 2.12(a) shall not have any effect if there are no Term Loans then outstanding. (b) No later than the Business Day following the date of receipt by the Borrower or any of its Restricted Subsidiaries of any Net Proceeds from any issuance of Indebtedness by the Borrower or any of its Restricted Subsidiaries, (i) that is not permitted to be issued or incurred pursuant to Section 7.1 or (ii) that is intended to constitute Refinancing Term Loans in respect of any Class of Term Loans, the Borrower shall prepay the Obligations in respect of such Class of Term Loans in an amount equal to all such Net Proceeds. Any such prepayment shall be applied in accordance with subsection (d) of this Section. (c) No later than five (5) Business Days after the date on which the Borrower’s annual audited financial statements for such Fiscal Year are required to be delivered pursuant to Section 5.1(a) (beginning with the Fiscal Year ending December 31, 2025), (i) to the extent that the Total Net Leverage Ratio as of the last day of such Fiscal Year is greater than 2.50:1.00, the Borrower shall prepay the Term Loans in an amount equal to 50% of Excess Cash Flow for such Fiscal Year, (ii) to the extent that the Total Net Leverage Ratio as of the last day of such Fiscal Year is less than or equal to 2.50:1.00 but greater than 2.00:1.00, the Borrower shall prepay the Term Loans in an amount equal to 25% of Excess Cash Flow for such Fiscal Year and (iii) to the extent that the Total Net Leverage Ratio as of the last day of such Fiscal Year is less than or equal to 2.00:1.00, no prepayment shall be required; provided that such amount shall be reduced on a dollar-for-dollar basis for such Fiscal Year by an amount equal to the sum of (i) the aggregate amount of voluntary prepayments of Term Loans (and, to the extent the Revolving Commitments are permanently reduced in a corresponding amount pursuant to Section 2.8, Revolving Loans) that rank pari passu in right of payment and security with the Term Loans made pursuant to Section 2.11, (ii) without duplication of amounts deducted from Excess Cash Flow pursuant to clause (k) in the definition of “Excess Cash Flow” in prior Fiscal Years, the amount of Capital Expenditures or acquisitions of intellectual property rights accrued or made in cash during such period, (iii) the aggregate amount of all (x) repurchases and buybacks of Term Loans (and, in the case of any such repurchases or buybacks made as a discount to par, limited to the cash purchase price in respect thereof), (y) voluntary prepayments, repurchases and buyback of Other Pari Indebtedness (other than under a revolving facility) (in the case of any such voluntary prepayments, repurchases or buybacks made at a discount to par, limited to the cash purchase and in respect


 
AMERICAS 129648577 61 thereof) and (z) voluntary prepayments of Revolving Loans or other revolving loans constituting Other Pari Indebtedness, in each case, to the extent Revolving Commitments or such other revolving commitments are permanently reduced by the amount of such prepayments, (iv) without duplication of amounts deducted pursuant to clauses (i) and (k) of the definition of “Excess Cash Flow” in prior periods, cash payments made by the Borrower and its Restricted Subsidiaries in respect of Investments (other than Investments in Cash Equivalents and intercompany Investments among the Borrower and its Restricted Subsidiaries) permitted under this Agreement (including Permitted Acquisitions) made during such period to the extent not made in reliance on any basket calculated by reference to the Available Amount and (v) cash payments made by the Borrower in respect of Restricted Payments (other than Restricted Payments received by the Borrower or any Restricted Subsidiary pursuant to Section 7.5(b)) actually paid (and permitted to be paid) during such period, to the extent not made in reliance on any basket calculated by reference to Available Amount; in the case of each of clause (i), (ii), (iii), (iv) and (v), to the extent made with Internally Generated Cash during such Fiscal Year (without duplication to subsequent years) provided that no such payment shall be required if such amount is equal to or less than the greater of (a) $15.0 and (b) 10% of TTM Consolidated EBITDA as of the applicable determination date (and, if such amount is in excess of such threshold, only the amount in excess of such threshold shall be payable hereunder). If at the time that any such prepayment would be required, the Borrower is required to offer to repurchase any Other Pari Indebtedness, then the Borrower, at its election, may apply Excess Cash Flow on a pro rata basis (determined on the basis of the aggregate outstanding principal amount of the applicable Class(es) of Term Loans and Other Pari Indebtedness at such time) provided that the portion of such Excess Cash Flow allocated to the Other Pari Indebtedness shall not exceed the amount of such Excess Cash Flow required to be allocated to the Other Pari Indebtedness pursuant to the terms thereof, and the remaining amount, if any, of such Excess Cash Flow shall be allocated to the applicable Class(es) of Term Loans in accordance with the terms hereof) to the prepayment of such Class(es) of Term Loans and to the repurchase or prepayment of Other Pari Indebtedness, and the amount of prepayment of the applicable Class(es) of Term Loans that would have otherwise been required pursuant to this Section 2.12(c) shall be reduced accordingly; provided that to the extent the holders of Other Pari Indebtedness decline to have such indebtedness repurchases or prepaid, the declined amount shall promptly (and in any event within then (10) Business Days after the date of such rejection) be applied to prepay the applicable Class(es) of Term Loans in accordance with the terms hereof. Any such prepayment shall be applied in accordance with subsection (d) of this Section. Any such prepayment shall be accompanied by a certificate signed by the Borrower’s chief financial officer certifying in reasonable detail the manner in which Excess Cash Flow and the resulting prepayment were calculated, which certificate shall be in form and substance reasonably satisfactory to the Administrative Agent. For the avoidance of doubt, this Section 2.12(c) shall not have any effect if there are no Term Loans then outstanding. (d) Any prepayments made by the Borrower pursuant to subsections (a), (b) or (c) of this Section shall be applied to the principal balance of the Term Loans, until the same shall have been paid in full, pro rata to the Lenders based on their Pro Rata Shares of the Term Loans, and applied to installments of the Term Loans in direct order of maturity. The Borrower shall notify the Administrative Agent in writing of any mandatory prepayment of Term Loans required to be made pursuant to clauses (a) and (c) of this Section 2.12 prior to 1:00 p.m. at least five (5) Business Days prior to the date of such prepayment. Each such notice shall specify the date of such prepayment and provide a reasonably detailed calculation of the amount of such prepayment. The Administrative Agent will promptly notify each Lender of the contents of the Borrower’s prepayment notice and of such Lender’s Pro Rata Share of the prepayment with respect to any Class of Term Loans. Each Lender may reject all or a portion of its Pro Rata Share of any mandatory prepayment (such declined amounts, the “Declined Proceeds”) of Term Loans required to be made pursuant to clauses (a) or (c) of this Section 2.12 by providing written notice (each, a “Rejection Notice”) to the Administrative Agent and the Borrower no later than 5:00 p.m. three (3) Business Days after the date of such Lender’s receipt of notice from the Administrative Agent regarding such prepayment. Each Rejection Notice from a given Lender shall specify the principal amount of the mandatory prepayment of Term Loans


 
AMERICAS 129648577 62 to be rejected by such Lender. If a Lender fails to deliver a Rejection Notice to the Administrative Agent within the time frame specified above or such Rejection Notice fails to specify the principal amount of the Term Loans to be rejected, any such failure will be deemed an acceptance of the total amount of such mandatory repayment of Term Loans. Any Declined Proceeds shall be retained by the Borrower (“Retained Declined Proceeds”). (e) If at any time the aggregate Revolving Credit Exposure of all Lenders exceeds the Aggregate Revolving Commitment Amount, as reduced pursuant to Section 2.8 or otherwise, the Borrower shall immediately repay the Revolving Loans in an amount equal to such excess, together with all accrued and unpaid interest on such excess amount and any amounts due under Section 2.19. Each prepayment shall be applied as follows: first, to the Base Rate Loans to the full extent thereof; and second, to the SOFR Loans to the full extent thereof. If, after giving effect to prepayment of all Revolving Loans, the aggregate Revolving Credit Exposure of all Lenders exceeds the Aggregate Revolving Commitment Amount, the Borrower shall Cash Collateralize its reimbursement obligations with respect to all Letters of Credit in an amount equal to such excess plus any accrued and unpaid fees thereon. (f) Notwithstanding any provision of this Section 2.12 to the contrary, (i) to the extent that a Responsible Officer of the Borrower has reasonably determined in good faith in consultation with the Administrative Agent that any or all of the Net Proceeds received by a Foreign Subsidiary or Excess Cash Flow attributable to a Foreign Subsidiary giving rise to a prepayment event pursuant to subsections (a) or (c) is prohibited or delayed by applicable local law from being repatriated to the United States, the portion of such Net Proceeds or Excess Cash Flow so affected will not be required to be applied to prepay Term Loans at the times provided in this Section 2.12, but may be retained by the Borrower or the applicable Foreign Subsidiary for so long, but only so long, as the applicable local law will not permit repatriation to the United States. Once such repatriation of any of such affected Net Proceeds or Excess Cash Flow is permitted under the applicable local law, such repatriation will be effected promptly and such repatriated Net Proceeds or Excess Cash Flow will be promptly applied (net of additional taxes payable or reserved against as a result thereof) to the prepayment of the Term Loans pursuant to this Section 2.12 to the extent provided herein; provided that the Borrower hereby agrees, and will cause any applicable Restricted Subsidiary, to promptly take all commercially reasonable actions required by applicable local law to permit any such repatriation; or (ii) to the extent that a Responsible Officer of the Borrower has reasonably determined in good faith in consultation with the Administrative Agent that repatriation of any of or all the Net Proceeds received by a Foreign Subsidiary or Excess Cash Flow attributable to a Foreign Subsidiary giving rise to a prepayment event pursuant to this Section 2.12 would have a material adverse tax consequence, then in each case the Net Proceeds or Excess Cash Flow so affected will not be required to be applied to prepay Term Loans at the times provided in this Section 2.12, but may be retained by the Borrower or the applicable Foreign Subsidiary without being repatriated; provided that when the Borrower determines in good faith that repatriation of any of or all the Net Proceeds or Excess Cash Flow, in each case, from a Foreign Subsidiary would no longer have a material adverse tax consequence with respect to such Net Proceeds or Excess Cash Flow, such Net Proceeds or Excess Cash Flow shall be applied (net of additional taxes payable or reserved against as a result thereof) to the repayment of the Term Loans pursuant to Section 2.12(a) or Section 2.12(c), as applicable; provided that, the Borrower shall take all commercially reasonable actions available under local law to permit such repatriation. The non- application of proceeds as a consequence of this subsection (f) will not constitute an Event of Default under this Agreement. Section 2.13. Interest on Loans. (a) The Borrower shall pay interest on (i) each Base Rate Loan at the Base Rate plus the Applicable Margin in effect from time to time and (ii) each SOFR Loan at the Adjusted Term SOFR Rate for the applicable Interest Period in effect for such Loan plus the Applicable Margin in effect from time to time.


 
AMERICAS 129648577 63 (b) [Reserved]. (c) Notwithstanding subsection (a) of this Section, at the option of the Required Lenders and upon written notice to the Borrower if an Event of Default has occurred and is continuing pursuant to Section 8.1(d) (solely with respect to an Event of Default arising by virtue of a breach of Section 5.1 (after giving effect to the cure period applicable thereto) or Section 6.1 or Section 6.3 after giving effect to the provisions of Section 6.4), and automatically if an Event of Default has occurred and is continuing pursuant to Sections 8.1(a), (b), (h) or (i), the Borrower shall pay interest (“Default Interest”) with respect to all SOFR Loans at the rate per annum equal to 200 basis points above the otherwise applicable interest rate for such SOFR Loans for the then-current Interest Period until the last day of such Interest Period, and thereafter, and with respect to all Base Rate Loans and all other Obligations hereunder (other than Loans), at the rate per annum equal to 200 basis points above the otherwise applicable interest rate for Base Rate Loans. (d) Interest on the principal amount of all Loans shall accrue from and including the date such Loans are made to but excluding the date of any repayment thereof. Interest on all outstanding Base Rate Loans shall be payable quarterly in arrears on the last day of each March, June, September and December and on the Revolving Commitment Termination Date or the Maturity Date, as the case may be. Interest on all outstanding SOFR Loans shall be payable on the last day of each Interest Period applicable thereto, and, in the case of any SOFR Loans having an Interest Period in excess of three months, on each day which occurs every three months after the initial date of such Interest Period, and on the Revolving Commitment Termination Date or the Maturity Date, as the case may be. To the extent necessary to create a “fungible” Class of Term Loans, the Borrower shall pay all accrued and unpaid interest on the Class of Term Loans being increased on the Business Day that any Incremental Term Facility is incurred. Interest on any Loan which is converted into a Loan of another Type or which is repaid or prepaid shall be payable on the date of such conversion or on the date of any such repayment or prepayment (on the amount repaid or prepaid) thereof. All Default Interest shall be payable on demand. (e) The Administrative Agent shall determine each interest rate applicable to the Loans hereunder and shall promptly notify the Borrower and the Lenders of such rate in writing (or by telephone, promptly confirmed in writing). Any such determination shall be conclusive and binding for all purposes, absent manifest error. (f) In connection with the use or administration of Term SOFR, the Administrative Agent will have the right to make Conforming Changes from time to time and, notwithstanding anything to the contrary herein or in any other Loan Document, any amendments implementing such Conforming Changes will become effective without any further action or consent of any other party to this Agreement or any other Loan Document. The Administrative Agent will promptly notify the Borrower and the Lenders of the effectiveness of any Conforming Changes in connection with the use or administration of Term SOFR. Section 2.14. Fees. (a) The Borrower shall pay to the Administrative Agent for its own account fees in the amounts and at the times previously agreed upon in writing by the Borrower and the Administrative Agent. (b) The Borrower agrees to pay to the Administrative Agent for the account of each Lender an unused line fee, which shall accrue at the Applicable Margin per annum (determined daily in accordance with the Pricing Grid) on the daily amount of the unused Revolving Commitment of such Lender during the Availability Period. For purposes of computing the unused line fee, the Revolving Commitment of each Lender shall be deemed used to the extent of the outstanding Revolving Loans and LC Exposure of such Lender.


 
AMERICAS 129648577 64 (c) The Borrower agrees to pay (i) to the Administrative Agent, for the account of each Lender, a letter of credit fee with respect to its participation in each Letter of Credit, which shall accrue at a rate per annum equal to the Applicable Margin for SOFR Loans then in effect on the daily average amount of such Lender’s LC Exposure attributable to such Letter of Credit during the period from and including the date of issuance of such Letter of Credit to but excluding the date on which such Letter of Credit expires or is drawn in full (including, without limitation, any LC Exposure that remains outstanding after the Revolving Commitment Termination Date) and (ii) to the Issuing Bank for its own account a fronting fee, which shall accrue at the rate of 0.25% per annum on the daily average amount of the LC Exposure (excluding any portion thereof attributable to unreimbursed LC Disbursements) during the Availability Period (or until the date that such Letter of Credit is irrevocably cancelled, whichever is later), as well as the Issuing Bank’s standard fees with respect to issuance, amendment, renewal or extension of any Letter of Credit or processing of drawings thereunder. Notwithstanding the foregoing, if the Required Lenders elect upon notice to the Borrower to increase the interest rate on the Loans to the rate for Default Interest pursuant to Section 2.13(c), the rate per annum used to calculate the letter of credit fee pursuant to clause (i) above shall automatically be increased by 200 basis points. (d) The Borrower shall pay on the Restatement Date to the Administrative Agent and its affiliates all fees in the Engagement Letter that are due and payable on the Restatement Date. The Borrower shall pay on the Closing Date to Lead Arrangers all upfront fees previously agreed in writing. (e) Accrued fees under subsections (b) and (c) of this Section shall be payable quarterly in arrears on the last day of each March, June, September and December, commencing on June 30, 2025, and on the Revolving Commitment Termination Date (and, if later, the date the Loans and LC Exposure shall be repaid in their entirety); provided that any such fees accruing after the Revolving Commitment Termination Date shall be payable on demand. Section 2.15. Computation of Interest and Fees. Interest hereunder based on the Administrative Agent’s prime lending rate shall be computed on the basis of a year of 365 days (or 366 days in a leap year) and paid for the actual number of days elapsed (including the first day but excluding the last day). All other interest and all fees hereunder shall be computed on the basis of a year of 360 days and paid for the actual number of days elapsed (including the first day but excluding the last day). Each determination by the Administrative Agent of an interest rate or fee hereunder shall be made in good faith and, except for manifest error, shall be final, conclusive and binding for all purposes. Section 2.16. Inability to Determine Interest Rates; Benchmark Replacement Setting. (a) Inability to Determine SOFR. Subject to paragraphs (b) through (f) below, if, prior to the commencement of any Interest Period for any SOFR Borrowing: (i) the Administrative Agent shall have determined (which determination shall be conclusive absent manifest error) that “Adjusted Term SOFR” cannot be determined pursuant to the definition thereof, or (ii) the Administrative Agent shall have received notice from the Required Lenders that Adjusted Term SOFR for such Interest Period will not adequately and fairly reflect the cost to such Lenders of making, funding or maintaining their SOFR Loans for such Interest Period, then the Administrative Agent shall give written notice thereof (or telephonic notice, promptly confirmed in writing) to the Borrower and to the Lenders as soon as practicable thereafter.


 
AMERICAS 129648577 65 Upon notice thereof by the Administrative Agent to the Borrower, any obligation of the Lenders to make SOFR Loans, and any right of the Borrower to continue SOFR Loans or to convert Base Rate Loans to SOFR Loans, shall be suspended (to the extent of the affected SOFR Loans or affected Interest Periods) until the Administrative Agent (with respect to clause (ii), at the instruction of the Required Lenders) revokes such notice. Upon receipt of such notice, (i) the Borrower may revoke any pending request for a borrowing of, conversion to or continuation of SOFR Loans (to the extent of the affected SOFR Loans or affected Interest Periods) or, failing that, the Borrower will be deemed to have converted any such request into a request for a Borrowing of or conversion to Base Rate Loans in the amount specified therein and (ii) any outstanding affected SOFR Loans will be deemed to have been converted into Base Rate Loans at the end of the applicable Interest Period. Upon any such conversion, the Borrower shall also pay accrued interest on the amount so converted, together with any additional amounts required pursuant to Section 2.19. Subject to paragraphs (b) through (f) below, if the Administrative Agent determines (which determination shall be conclusive and binding absent manifest error) that “Adjusted Term SOFR” cannot be determined pursuant to the definition thereof on any given day, the interest rate on Base Rate Loans shall be determined by the Administrative Agent without reference to clause (iii) of the definition of “Base Rate” until the Administrative Agent revokes such determination. (b) Benchmark Replacement. Notwithstanding anything to the contrary herein or in any other Loan Document, if a Benchmark Transition Event and its related Benchmark Replacement Date have occurred prior to any setting of the then-current Benchmark, then (x) if a Benchmark Replacement is determined in accordance with clause (a) of the definition of “Benchmark Replacement” for such Benchmark Replacement Date, such Benchmark Replacement will replace such Benchmark for all purposes hereunder and under any Loan Document in respect of such Benchmark setting and subsequent Benchmark settings without any amendment to, or further action or consent of any other party to, this Agreement or any other Loan Document and (y) if a Benchmark Replacement is determined in accordance with clause (b) of the definition of “Benchmark Replacement” for such Benchmark Replacement Date, such Benchmark Replacement will replace such Benchmark for all purposes hereunder and under any Loan Document in respect of any Benchmark setting at or after 5:00 p.m. on the fifth (5th) Business Day after the date notice of such Benchmark Replacement is provided to the Lenders without any amendment to, or further action or consent of any other party to, this Agreement or any other Loan Document so long as the Administrative Agent has not received, by such time, written notice of objection to such Benchmark Replacement from Lenders comprising the Required Lenders. If the Benchmark Replacement is based upon Daily Simple SOFR, all interest payments will be payable on a quarterly basis. (c) Benchmark Replacement Conforming Changes. In connection with the use, administration, adoption or implementation of a Benchmark Replacement, the Administrative Agent will have the right to make Conforming Changes from time to time and, notwithstanding anything to the contrary herein or in any other Loan Document, any amendments implementing such Conforming Changes will become effective without any further action or consent of any other party to this Agreement or any other Loan Document. (d) Notices; Standards for Decisions and Determinations. The Administrative Agent will promptly notify the Borrower and the Lenders of (i) the implementation of any Benchmark Replacement and (ii) the effectiveness of any Conforming Changes in connection with the use, administration, adoption or implementation of a Benchmark Replacement. The Administrative Agent will notify the Borrower of (x) the removal or reinstatement of any tenor of a Benchmark pursuant to Section 2.16(e) and (y) the commencement of any Benchmark Unavailability Period. Any determination, decision or election that may be made by the Administrative Agent or, if applicable, any Lender (or group of Lenders) pursuant to this Section 2.16, including any determination with respect to a tenor, rate or adjustment or of the occurrence or non-occurrence of an event, circumstance or date and any decision to take or refrain from taking any action or any selection, will be conclusive and binding absent manifest error


 
AMERICAS 129648577 66 and may be made in its or their sole discretion and without consent from any other party to this Agreement or any other Loan Document, except, in each case, as expressly required pursuant to this Section 2.16. (e) Unavailability of Tenor of Benchmark. Notwithstanding anything to the contrary herein or in any other Loan Document, at any time (including in connection with the implementation of a Benchmark Replacement), (i) if the then-current Benchmark is a term rate (including the Term SOFR Reference Rate) and either (A) any tenor for such Benchmark is not displayed on a screen or other information service that publishes such rate from time to time as selected by the Administrative Agent in its reasonable discretion or (B) the regulatory supervisor for the administrator of such Benchmark has provided a public statement or publication of information announcing that any tenor for such Benchmark is not or will be not be representative, then the Administrative Agent may modify the definition of “Interest Period” (or any similar or analogous definition) for any Benchmark settings at or after such time to remove such unavailable or non-representative tenor and (ii) if a tenor that was removed pursuant to clause (i) above either (A) is subsequently displayed on a screen or information service for a Benchmark (including a Benchmark Replacement) or (B) is not, or is no longer, subject to an announcement that it is not or will not be representative for a Benchmark (including a Benchmark Replacement), then the Administrative Agent may modify the definition of “Interest Period” (or any similar or analogous definition) for all Benchmark settings at or after such time to reinstate such previously removed tenor. (f) Benchmark Unavailability Period. Upon the Borrower’s receipt of notice of the commencement of a Benchmark Unavailability Period, (i) the Borrower may revoke any pending request for a SOFR Borrowing of, conversion to or continuation of SOFR Loans to be made, converted or continued during any Benchmark Unavailability Period and, failing that, the Borrower will be deemed to have converted any such request into a request for a Borrowing of or conversion to Base Rate Loans and (ii) any outstanding affected SOFR Loans will be deemed to have been converted to Base Rate Loans at the end of the applicable Interest Period. During a Benchmark Unavailability Period or at any time that a tenor for the then-current Benchmark is not an Available Tenor, the component of the Base Rate based upon the then-current Benchmark or such tenor for such Benchmark, as applicable, will not be used in any determination of the Base Rate. Section 2.17. Illegality. If any Change in Law shall make it unlawful or impossible for any Lender to perform any of its obligations hereunder, to make, maintain or fund any SOFR Loan or to or to determine or charge interest rates based upon SOFR, the Term SOFR Reference Rate, Adjusted Term SOFR or Term SOFR and such Lender shall so notify the Administrative Agent, the Administrative Agent shall promptly give notice thereof to the Borrower and the other Lenders, whereupon until such Lender notifies the Administrative Agent and the Borrower that the circumstances giving rise to such suspension no longer exist, (i) the obligation of such Lender to make SOFR Revolving Loans, or to continue or convert outstanding Loans as or into SOFR Loans, shall be suspended and (ii) the Base Rate shall, if necessary to avoid such illegality, be determined by the Administrative Agent without reference to clause (iii) thereof. In the case of the making of a SOFR Borrowing, such Lender’s Revolving Loan shall be made as a Base Rate Loan as part of the same Revolving Borrowing for the same Interest Period and, if the affected SOFR Loan is then outstanding, such Loan shall be converted to a Base Rate Loan either (i) on the last day of the then current Interest Period applicable to such SOFR Loan if such Lender may lawfully continue to maintain such Loan to such date or (ii) immediately if such Lender shall determine that it may not lawfully continue to maintain such SOFR Loan to such date (and in each instance the Base Rate shall, if necessary to avoid such illegality, be determined by the Administrative Agent without reference to clause (iii) thereof). Notwithstanding the foregoing, the affected Lender shall, prior to giving such notice to the Administrative Agent, use reasonable efforts to designate a different Applicable Lending Office if such designation would avoid the need for giving such notice and if such designation would not otherwise be disadvantageous to such Lender in the good faith exercise of its discretion. Upon any such prepayment or conversion, the


 
AMERICAS 129648577 67 Borrower shall also pay accrued interest on the amount so prepaid or converted, together with any additional amounts required pursuant to Section 2.19. Section 2.18. Increased Costs. (a) If any Change in Law shall: (i) impose, modify or deem applicable any reserve, special deposit, compulsory loan, insurance charge or similar requirement against assets of, deposits with or for the account of, or credit extended or participated in by, any Lender or any Issuing Bank; (ii) subject any Recipient to any Taxes (other than (A) Indemnified Taxes and (B) Taxes described in clauses (b) through (d) of the definition of Excluded Taxes); or (iii) impose on any Lender or any Issuing Bank any other condition, cost or expense (other than Taxes) affecting this Agreement or any Loans made by such Lender or any Letter of Credit or participation in any such Loan or Letter of Credit; and the result of any of the foregoing is to increase the cost to such Lender of making, converting into, continuing or maintaining a SOFR Loan or to increase the cost to such Lender or such Issuing Bank of participating in or issuing any Letter of Credit or to reduce the amount received or receivable by such Lender or Issuing Bank hereunder (whether of principal, interest or any other amount), (b) then, from time to time, such Lender or Issuing Bank may provide the Borrower (with a copy thereof to the Administrative Agent) with written notice and demand with respect to such increased costs or reduced amounts, and within five (5) Business Days after receipt of such notice and demand, the Borrower shall pay to such Lender or Issuing Bank, as the case may be, such additional amounts as will compensate such Lender or Issuing Bank for any such increased costs incurred or reduction suffered. If any Lender or the Issuing Bank shall have determined that on or after the Restatement Date any Change in Law regarding capital or liquidity ratios or requirements has or would have the effect of reducing the rate of return on such Lender’s or the Issuing Bank’s capital (or on the capital of the Parent Company of such Lender or the Issuing Bank) as a consequence of its obligations hereunder or under or in respect of any Letter of Credit to a level below that which such Lender, the Issuing Bank or such Parent Company could have achieved but for such Change in Law (taking into consideration such Lender’s or the Issuing Bank’s policies or the policies of such Parent Company with respect to capital adequacy and liquidity), then, from time to time, such Lender or the Issuing Bank may provide the Borrower (with a copy thereof to the Administrative Agent) with written notice and demand with respect to such reduced amounts, and within five (5) Business Days after receipt of such notice and demand the Borrower shall pay to such Lender or the Issuing Bank, as the case may be, such additional amounts as will compensate such Lender, the Issuing Bank or such Parent Company for any such reduction suffered provided that (i) such amounts shall only be payable by the Borrower to the applicable Lender, or Issuing Bank under this Section 2.18 so long as it is such Lender’s or Issuing Bank’s general policy or practice to demand compensation in similar circumstances under comparable provisions of similar financing agreements and (ii) the Borrower will not be required to compensate a Lender or Issuing Bank pursuant to this Section 2.18 for any increased costs or reductions incurred more than 180 days prior to the date that such Lender or Issuing Bank notifies the Borrower of the Change in Law giving rise to such increased costs or reductions and of such Lender’s or Issuing Bank’s intention to claim compensation therefor; provided, further, that if the Change in Law giving rise to such increased costs or reductions is retroactive, then the 180 day period referred to above will be extended to include the period of retroactive effect thereof.


 
AMERICAS 129648577 68 (c) A certificate of such Lender or the Issuing Bank setting forth the amount or amounts necessary to compensate such Lender, the Issuing Bank or the Parent Company of such Lender or the Issuing Bank, as the case may be, specified in subsection (a) or (b) of this Section shall be delivered to the Borrower (with a copy to the Administrative Agent) and shall be conclusive, absent manifest error. (d) Failure or delay on the part of any Lender or the Issuing Bank to demand compensation pursuant to this Section shall not constitute a waiver of such Lender’s or the Issuing Bank’s right to demand such compensation. Section 2.19. Funding Indemnity. In the event of (a) the payment of any principal of a SOFR Loan other than on the last day of the Interest Period applicable thereto (including as a result of an Event of Default), (b) the conversion or continuation of a SOFR Loan other than on the last day of the Interest Period applicable thereto, or (c) the failure by the Borrower to borrow, prepay, convert or continue any SOFR Loan on the date specified in any applicable notice (regardless of whether such notice is withdrawn or revoked, except in the case of prepayment notices conditioned on the consummation of a transaction), then, in any such event, the Borrower shall compensate each Lender, within five (5) Business Days after written demand from such Lender, for any loss, cost or expense attributable to such event. In the case of a SOFR Loan, such loss, cost or expense shall be deemed to include an amount determined by such Lender to be the excess, if any, of (A) the amount of interest that would have accrued on the principal amount of such SOFR Loan if such event had not occurred at Adjusted Term SOFR applicable to such SOFR Loan for the period from the date of such event to the last day of the then current Interest Period therefor (or, in the case of a failure to borrow, convert or continue, for the period that would have been the Interest Period for such SOFR Loan) over (B) the amount of interest that would accrue on the principal amount of such SOFR Loan for the same period if Adjusted Term SOFR were set on the date such SOFR Loan was prepaid or converted or the date on which the Borrower failed to borrow, convert or continue such SOFR Loan. A certificate as to any additional amount payable under this Section submitted to the Borrower by any Lender (with a copy to the Administrative Agent) shall be conclusive, absent manifest error. Section 2.20. Taxes. (a) Defined Terms. For purposes of this Section 2.20, the term “Lender” includes any Issuing Bank and the term “applicable law” includes FATCA. (b) Payments Free of Taxes. Any and all payments by or on account of any obligation of any Loan Party under any Loan Document shall be made without deduction or withholding for any Taxes, except as required by applicable law. If any applicable law (as determined in the good faith discretion of an applicable Withholding Agent) requires the deduction or withholding of any Tax from any such payment by a Withholding Agent, then the applicable Withholding Agent shall be entitled to make such deduction or withholding and shall timely pay the full amount deducted or withheld to the relevant Governmental Authority in accordance with applicable law and, if such Tax is an Indemnified Tax, then the sum payable by the applicable Loan Party shall be increased as necessary so that after such deduction or withholding has been made (including such deductions and withholdings applicable to additional sums payable under this Section) the applicable Recipient receives an amount equal to the sum it would have received had no such deduction or withholding been made. (c) Payment of Other Taxes by the Borrower. The Borrower shall timely pay to the relevant Governmental Authority in accordance with applicable law, or at the option of the Administrative Agent timely reimburse it for the payment of, any Other Taxes. (d) Indemnification by the Borrower. The Borrower shall indemnify each Recipient, within 10 days after demand therefor, for the full amount of any Indemnified Taxes (including Indemnified


 
AMERICAS 129648577 69 Taxes imposed or asserted on or attributable to amounts payable under this Section) payable or paid by such Recipient or required to be withheld or deducted from a payment to such Recipient and any reasonable expenses arising therefrom or with respect thereto, whether or not such Indemnified Taxes were correctly or legally imposed or asserted by the relevant Governmental Authority. A certificate as to the amount of such payment or liability delivered to the Borrower by a Lender (with a copy to the Administrative Agent), or by the Administrative Agent on its own behalf or on behalf of a Lender, shall be conclusive absent manifest error. (e) Indemnification by the Lenders. Each Lender shall severally indemnify the Administrative Agent, within 10 days after demand therefor, for (i) any Indemnified Taxes attributable to such Lender (but only to the extent that the Borrower has not already indemnified the Administrative Agent for such Indemnified Taxes and without limiting the obligation of the Borrower to do so), (ii) any Taxes attributable to such Lender’s failure to comply with the provisions of Section 10.4(d) relating to the maintenance of a Participant Register and (iii) any Excluded Taxes attributable to such Lender, in each case, that are payable or paid by the Administrative Agent in connection with any Loan Document, and any reasonable expenses arising therefrom or with respect thereto, whether or not such Taxes were correctly or legally imposed or asserted by the relevant Governmental Authority. A certificate as to the amount of such payment or liability delivered to any Lender by the Administrative Agent shall be conclusive absent manifest error. Each Lender hereby authorizes the Administrative Agent to set off and apply any and all amounts at any time owing to such Lender under any Loan Document or otherwise payable by the Administrative Agent to the Lender from any other source against any amount due to the Administrative Agent under this paragraph (e). (f) Evidence of Payments. As soon as practicable after any payment of Taxes by the Borrower or any other Loan Party to a Governmental Authority pursuant to this Section 2.20, the Borrower or other Loan Party shall deliver to the Administrative Agent the original or a certified copy of a receipt issued by such Governmental Authority evidencing such payment, a copy of the return reporting such payment or other evidence of such payment reasonably satisfactory to the Administrative Agent. (g) Status of Lenders. (i) Any Lender that is entitled to an exemption from or reduction of withholding Tax with respect to payments made under any Loan Document shall deliver to the Borrower and the Administrative Agent, at the time or times reasonably requested by the Borrower or the Administrative Agent, such properly completed and executed documentation reasonably requested by the Borrower or the Administrative Agent as will permit such payments to be made without withholding or at a reduced rate of withholding. In addition, any Lender, if reasonably requested by the Borrower or the Administrative Agent, shall deliver such other documentation prescribed by applicable law or reasonably requested by the Borrower or the Administrative Agent as will enable the Borrower or the Administrative Agent to determine whether or not such Lender is subject to backup withholding or information reporting requirements. Notwithstanding anything to the contrary in the preceding two sentences, the completion, execution and submission of such documentation (other than such documentation set forth in Section 2.20(g) (ii)(A), (ii)(B) and (ii)(D) below) shall not be required if in the Lender’s reasonable judgment such completion, execution or submission would subject such Lender to any material unreimbursed cost or expense or would materially prejudice the legal or commercial position of such Lender. (ii) Without limiting the generality of the foregoing, in the event that the Borrower is a U.S. Borrower,


 
AMERICAS 129648577 70 (A) any Lender that is a U.S. Person shall deliver to the Borrower and the Administrative Agent on or about the date on which such Lender becomes a Lender under this Agreement (and from time to time thereafter upon the reasonable request of the Borrower or the Administrative Agent), executed copies of IRS Form W-9 certifying that such Lender is exempt from U.S. federal backup withholding tax; (B) any Foreign Lender shall, to the extent it is legally entitled to do so, deliver to the Borrower and the Administrative Agent (in such number of copies as shall be requested by the recipient) on or about the date on which such Foreign Lender becomes a Lender under this Agreement (and from time to time thereafter upon the reasonable request of the Borrower or the Administrative Agent), whichever of the following is applicable: (i) in the case of a Foreign Lender claiming the benefits of an income tax treaty to which the United States is a party (x) with respect to payments of interest under any Loan Document, executed copies of IRS Form W- 8BEN or IRS Form W-8BEN-E establishing an exemption from, or reduction of, U.S. federal withholding Tax pursuant to the “interest” article of such tax treaty and (y) with respect to any other applicable payments under any Loan Document, IRS Form W-8BEN or IRS Form W-8BEN-E establishing an exemption from, or reduction of, U.S. federal withholding Tax pursuant to the “business profits” or “other income” article of such tax treaty; (ii) executed copies of IRS Form W-8ECI; (iii) in the case of a Foreign Lender claiming the benefits of the exemption for portfolio interest under Section 881(c) of the Code, (x) a certificate substantially in the form of Exhibit 2.20A to the effect that such Foreign Lender is not a “bank” within the meaning of Section 881(c)(3)(A) of the Code, a “10 percent shareholder” of the Borrower within the meaning of Section 881(c)(3)(B) of the Code, or a “controlled foreign corporation” related to the Borrower as described in Section 881(c)(3)(C) of the Code (a “U.S. Tax Compliance Certificate”) and (y) executed copies of IRS Form W-8BEN or IRS Form W-8BEN-E; or (iv) to the extent a Foreign Lender is not the beneficial owner, executed copies of IRS Form W-8IMY, accompanied by IRS Form W- 8ECI, IRS Form W-8BEN or IRS Form W-8BEN-E, a U.S. Tax Compliance Certificate substantially in the form of Exhibit 2.20B or Exhibit 2.20C, IRS Form W-9, and/or other certification documents from each beneficial owner, as applicable; provided that if the Foreign Lender is a partnership and one or more direct or indirect partners of such Foreign Lender are claiming the portfolio interest exemption, such Foreign Lender may provide a U.S. Tax Compliance Certificate substantially in the form of Exhibit 2.20D on behalf of each such direct and indirect partner; (C) any Foreign Lender shall, to the extent it is legally entitled to do so, deliver to the Borrower and the Administrative Agent (in such number of copies as shall be requested by the recipient) on or about the date on which such Foreign Lender becomes a Lender under this Agreement (and from time to time thereafter upon the reasonable request of the Borrower or the Administrative Agent), executed copies of any other form prescribed


 
AMERICAS 129648577 71 by applicable law as a basis for claiming exemption from or a reduction in U.S. federal withholding Tax, duly completed, together with such supplementary documentation as may be prescribed by applicable law to permit the Borrower or the Administrative Agent to determine the withholding or deduction required to be made; and (D) if a payment made to a Lender under any Loan Document would be subject to U.S. federal withholding Tax imposed by FATCA if such Lender were to fail to comply with the applicable reporting requirements of FATCA (including those contained in Section 1471(b) or 1472(b) of the Code, as applicable), such Lender shall deliver to the Borrower and the Administrative Agent at the time or times prescribed by law and at such time or times reasonably requested by the Borrower or the Administrative Agent such documentation prescribed by applicable law (including as prescribed by Section 1471(b)(3)(C)(i) of the Code) and such additional documentation reasonably requested by the Borrower or the Administrative Agent as may be necessary for the Borrower and the Administrative Agent to comply with their obligations under FATCA and to determine that such Lender has complied with such Lender’s obligations under FATCA or to determine the amount, if any, to deduct and withhold from such payment. Solely for purposes of this clause (D), “FATCA” shall include any amendments made to FATCA after the date of this Agreement. Each Lender agrees that if any form or certification it previously delivered expires or becomes obsolete or inaccurate in any respect, it shall update such form or certification or promptly notify the Borrower and the Administrative Agent in writing of its legal inability to do so. (h) Treatment of Certain Refunds. If any party determines, in its sole discretion exercised in good faith, that it has received a refund of any Taxes as to which it has been indemnified pursuant to this Section 2.20 (including by the payment of additional amounts pursuant to this Section 2.20), it shall pay to the indemnifying party an amount equal to such refund (but only to the extent of indemnity payments made under this Section with respect to the Taxes giving rise to such refund), net of all out-of- pocket expenses (including Taxes) of such indemnified party and without interest (other than any interest paid by the relevant Governmental Authority with respect to such refund). Such indemnifying party, upon the request of such indemnified party, shall repay to such indemnified party the amount paid over pursuant to this paragraph (h) (plus any penalties, interest or other charges imposed by the relevant Governmental Authority) in the event that such indemnified party is required to repay such refund to such Governmental Authority. Notwithstanding anything to the contrary in this paragraph (h), in no event will the indemnified party be required to pay any amount to an indemnifying party pursuant to this paragraph (h) the payment of which would place the indemnified party in a less favorable net after-Tax position than the indemnified party would have been in if the Tax subject to indemnification and giving rise to such refund had not been deducted, withheld or otherwise imposed and the indemnification payments or additional amounts with respect to such Tax had never been paid. This paragraph shall not be construed to require any indemnified party to make available its Tax returns (or any other information relating to its Taxes that it deems confidential) to the indemnifying party or any other Person. (i) Survival. Each party’s obligations under this Section 2.20 shall survive the resignation or replacement of the Administrative Agent or any assignment of rights by, or the replacement of, a Lender, the termination of the Commitments and the repayment, satisfaction or discharge of all obligations under any Loan Document.


 
AMERICAS 129648577 72 Section 2.21. Payments Generally; Pro Rata Treatment; Sharing of Set-offs. (a) The Borrower shall make each payment required to be made by it hereunder (whether of principal, interest, fees or reimbursement of LC Disbursements, or of amounts payable under Section 2.18, 2.19 or 2.20, or otherwise) prior to 12:00 p.m. on the date when due, in immediately available funds, free and clear of any defenses, rights of set-off, or counterclaim. Any amounts received after such time on any date may, in the discretion of the Administrative Agent, be deemed to have been received on the next succeeding Business Day for purposes of calculating interest thereon. All such payments shall be made to the Administrative Agent at the Payment Office, except payments to be made directly to the Issuing Bank as expressly provided herein and except that payments pursuant to Sections 2.18, 2.19, 2.20 and 10.3 shall be made directly to the Persons entitled thereto. The Administrative Agent shall distribute any such payments received by it for the account of any other Person to the appropriate recipient promptly following receipt thereof in an amount equal to such Person’s Pro Rata Share (or other applicable share provided for in this Agreement) of such payment. If any payment hereunder shall be due on a day that is not a Business Day, the date for payment shall be extended to the next succeeding Business Day, and, in the case of any payment accruing interest, interest thereon shall be made payable for the period of such extension. All payments hereunder shall be made in Dollars. (b) If at any time insufficient funds are received by and available to the Administrative Agent to pay fully all amounts of principal, unreimbursed LC Disbursements, interest and fees then due hereunder, such funds shall be applied as follows: first, to all fees and reimbursable expenses of the Administrative Agent then due and payable pursuant to any of the Loan Documents; second, to all reimbursable expenses of the Lenders and all fees and reimbursable expenses of the Issuing Bank then due and payable pursuant to any of the Loan Documents, pro rata to the Lenders and the Issuing Bank based on their respective pro rata shares of such fees and expenses; third, to all interest and fees then due and payable hereunder, pro rata to the Lenders based on their respective pro rata shares of such interest and fees; and fourth, to all principal of the Loans and unreimbursed LC Disbursements then due and payable hereunder, pro rata to the parties entitled thereto based on their respective pro rata shares of such principal and unreimbursed LC Disbursements. (c) If any Lender shall, by exercising any right of set-off or counterclaim or otherwise, obtain payment in respect of any principal of or interest on any of its Loans or participations in LC Disbursements that would result in such Lender receiving payment of a greater proportion of the aggregate amount of its Revolving Credit Exposure, Term Loans and accrued interest and fees thereon than the proportion received by any other Lender with respect to its Revolving Credit Exposure or Term Loans, then the Lender receiving such greater proportion shall purchase (for cash at face value) participations in the Revolving Credit Exposure and Term Loans of other Lenders to the extent necessary so that the benefit of all such payments shall be shared by the Lenders ratably in accordance with the aggregate amount of principal of and accrued interest on their respective Revolving Credit Exposure and Term Loans; provided that (i) if any such participations are purchased and all or any portion of the payment giving rise thereto is recovered, such participations shall be rescinded and the purchase price restored to the extent of such recovery, without interest, and (ii) the provisions of this subsection shall not be construed to apply to any payment made by the Borrower pursuant to and in accordance with the express terms of this Agreement (including the application of funds arising from the existence of a Defaulting Lender) or any payment obtained by a Lender as consideration for the assignment of or sale of a participation in any of its Revolving Credit Exposure or Term Loans to any assignee or participant, other than to the Borrower or any Subsidiary or Affiliate thereof (as to which the provisions of this subsection shall apply). The Borrower consents to the foregoing and agrees, to the extent it may effectively do so under applicable law, that any Lender acquiring a participation pursuant to the foregoing arrangements may exercise against the Borrower rights of set-off and counterclaim with respect to such participation as fully as if such Lender were a direct creditor of the Borrower in the amount of such participation.


 
AMERICAS 129648577 73 (d) Unless the Administrative Agent shall have received notice from the Borrower prior to the date on which any payment is due to the Administrative Agent for the account of the Lenders or the Issuing Bank hereunder that the Borrower will not make such payment, the Administrative Agent may assume that the Borrower has made such payment on such date in accordance herewith and may, in reliance upon such assumption, distribute to the Lenders or the Issuing Bank, as the case may be, the amount or amounts due. In such event, if the Borrower has not in fact made such payment, then each of the Lenders or the Issuing Bank, as the case may be, severally agrees to repay to the Administrative Agent forthwith on demand the amount so distributed to such Lender or Issuing Bank with interest thereon, for each day from and including the date such amount is distributed to it to but excluding the date of payment to the Administrative Agent, at the greater of the Federal Funds Rate and a rate determined by the Administrative Agent in accordance with banking industry rules on interbank compensation. Section 2.22. Letters of Credit. (a) During the Availability Period, the Issuing Bank, in reliance upon the agreements of the other Lenders pursuant to subsections (d) and (e) of this Section, shall issue, at the request of the Borrower, Letters of Credit denominated in Dollars for the account of the Borrower on the terms and conditions hereinafter set forth; provided that (i) each Letter of Credit shall expire on the earlier of (A) the date one year after the date of issuance of such Letter of Credit (or, in the case of any renewal or extension thereof, one year after such renewal or extension) and (B) the date that is five (5) Business Days prior to the Revolving Commitment Termination Date; provided, further that any Letter of Credit with a one year tenor may provide for automatic extension thereof for additional one year periods (which, in no event, shall extend beyond the date referred to in clause (B) of this paragraph (a)) so long as such Letter of Credit (any such Letter of Credit, an “Auto Extension Letter of Credit”) permits the Issuing Bank to prevent any such extension at least once in each twelve-month period (commencing with the date of issuance of such Auto Extension Letter of Credit) by giving prior notice to the beneficiary thereof within a time period during such twelve-month period to be agreed upon at the time such Auto Extension Letter of Credit is issued; (ii) each Letter of Credit shall be in a stated amount of at least $100,000; (iii) the Borrower may not request any Letter of Credit if, after giving effect to such issuance, (A) the aggregate LC Exposure would exceed the LC Commitment or (B) the aggregate Revolving Credit Exposure of all Lenders would exceed the Aggregate Revolving Commitment Amount, (iv) the Revolving Credit Exposure of each Lender shall not exceed such Lender’s Revolving Commitment at such time and (v) the Borrower shall not request, and the Issuing Bank shall have no obligation to issue, any Letter of Credit the proceeds of which would be made available to any Person (AA) to fund any activity or business of or with any Sanctioned Person or in any Sanctioned Countries, that, at the time of such funding, is in violation of Sanctions or (BB) in any manner that would result in a violation of any Sanctions by any party to this Agreement. Each Lender with a Revolving Commitment shall be deemed to have purchased, and hereby irrevocably and unconditionally purchases from the relevant Issuing Bank without recourse a participation in each Letter of Credit equal to such Lender’s Pro Rata Share of the aggregate amount available to be drawn under such Letter of Credit on the date of issuance with respect to all other Letters of Credit. Each issuance of a Letter of Credit shall be deemed to utilize the Revolving Commitment of each Lender by an amount equal to the amount of such participation. With respect to any renewal of any Auto Extension Letter of Credit, unless otherwise directed by the Issuing Bank, the Borrower shall not be required to make a specific request to the Issuing Bank for any such renewal. Once an Auto Extension Letter of Credit has been issued, the Lenders shall be deemed to have authorized (but may not require) the Issuing Bank to permit the renewal of such Letter of Credit at any time to an expiry date not later than the Revolving Commitment Termination Date. (b) To request the issuance of a Letter of Credit (or any amendment, renewal or extension of an outstanding Letter of Credit), the Borrower shall give the Issuing Bank and the Administrative Agent irrevocable written notice at least three (3) Business Days prior to the requested date of such issuance specifying the date (which shall be a Business Day) such Letter of Credit is to be issued


 
AMERICAS 129648577 74 (or amended, renewed or extended, as the case may be), the expiration date of such Letter of Credit, the amount of such Letter of Credit, the name and address of the beneficiary thereof and such other information as shall be necessary to prepare, amend, renew or extend such Letter of Credit. In addition to the satisfaction of the conditions in Article III, the issuance of such Letter of Credit (or any amendment which increases the amount of such Letter of Credit) will be subject to the further conditions that such Letter of Credit shall be in such form and contain such terms as the Issuing Bank shall reasonably approve and that the Borrower shall have executed and delivered any additional applications, agreements and instruments relating to such Letter of Credit as the Issuing Bank shall reasonably require; provided that in the event of any conflict between such applications, agreements or instruments and this Agreement, the terms of this Agreement shall control. (c) At least two (2) Business Days prior to the issuance of any Letter of Credit, the Issuing Bank will confirm with the Administrative Agent (by telephone or in writing) that the Administrative Agent has received such notice, and, if not, the Issuing Bank will provide the Administrative Agent with a copy thereof. Unless the Issuing Bank has received notice from the Administrative Agent, on or before the Business Day immediately preceding the date the Issuing Bank is to issue the requested Letter of Credit, directing the Issuing Bank not to issue the Letter of Credit because such issuance is not then permitted hereunder because of the limitations set forth in subsection (a) of this Section or that one or more conditions specified in Article III are not then satisfied, then, subject to the terms and conditions hereof, the Issuing Bank shall, on the requested date, issue such Letter of Credit in accordance with the Issuing Bank’s usual and customary business practices. (d) The Issuing Bank shall examine all documents purporting to represent a demand for payment under a Letter of Credit promptly following its receipt thereof. The Issuing Bank shall notify the Borrower and the Administrative Agent of such demand for payment and whether the Issuing Bank has made or will make a LC Disbursement thereunder; provided that any failure to give or delay in giving such notice shall not relieve the Borrower of its obligation to reimburse the Issuing Bank and the Lenders with respect to such LC Disbursement. The Borrower shall be irrevocably and unconditionally obligated to reimburse the Issuing Bank for any LC Disbursements paid by the Issuing Bank in respect of such drawing, without presentment, demand or other formalities of any kind. Unless the Borrower shall have notified the Issuing Bank and the Administrative Agent prior to 11:00 a.m. on the Business Day immediately prior to the date on which such drawing is honored that the Borrower intends to reimburse the Issuing Bank for the amount of such drawing in funds other than from the proceeds of Revolving Loans, the Borrower shall be deemed to have timely given a Notice of Borrowing to the Administrative Agent requesting the Lenders to make a Base Rate Borrowing on the date on which such drawing is honored in an exact amount due to the Issuing Bank; provided that for purposes solely of such Borrowing, the conditions precedent set forth in Section 3.2 hereof shall not be applicable. The Administrative Agent shall notify the Lenders of such Borrowing in accordance with Section 2.3, and each Lender shall make the proceeds of its Base Rate Loan included in such Borrowing available to the Administrative Agent for the account of the Issuing Bank in accordance with Section 2.6. The proceeds of such Borrowing shall be applied directly by the Administrative Agent to reimburse the Issuing Bank for such LC Disbursement. (e) If for any reason a Base Rate Borrowing may not be (as determined in the sole discretion of the Administrative Agent), or is not, made in accordance with the foregoing provisions, then each Lender (other than the Issuing Bank) shall be obligated to fund the participation that such Lender purchased pursuant to subsection (a) of this Section in an amount equal to its Pro Rata Share of such LC Disbursement on and as of the date which such Base Rate Borrowing should have occurred. Each Lender’s obligation to fund its participation shall be absolute and unconditional and shall not be affected by any circumstance, including, without limitation, (i) any set-off, counterclaim, recoupment, defense or other right that such Lender or any other Person may have against the Issuing Bank or any other Person for any reason whatsoever, (ii) the existence of a Default or an Event of Default or the termination of the Aggregate


 
AMERICAS 129648577 75 Revolving Commitments, (iii) any adverse change in the condition (financial or otherwise) of the Borrower or any of its Subsidiaries, (iv) any breach of this Agreement by the Borrower or any other Lender, (v) any amendment, renewal or extension of any Letter of Credit or (vi) any other circumstance, happening or event whatsoever, whether or not similar to any of the foregoing. On the date that such participation is required to be funded, each Lender shall promptly transfer, in immediately available funds, the amount of its participation to the Administrative Agent for the account of the Issuing Bank. Whenever, at any time after the Issuing Bank has received from any such Lender the funds for its participation in a LC Disbursement, the Issuing Bank (or the Administrative Agent on its behalf) receives any payment on account thereof, the Administrative Agent or the Issuing Bank, as the case may be, will distribute to such Lender its Pro Rata Share of such payment; provided that if such payment is required to be returned for any reason to the Borrower or to a trustee, receiver, liquidator, custodian or similar official in any bankruptcy proceeding, such Lender will return to the Administrative Agent or the Issuing Bank any portion thereof previously distributed by the Administrative Agent or the Issuing Bank to it. (f) To the extent that any Lender shall fail to pay any amount required to be paid pursuant to subsection (d) or (e) of this Section on the due date therefor, such Lender shall pay interest to the Issuing Bank (through the Administrative Agent) on such amount from such due date to the date such payment is made at a rate per annum equal to the Federal Funds Rate; provided that if such Lender shall fail to make such payment to the Issuing Bank within three (3) Business Days of such due date, then, retroactively to the due date, such Lender shall be obligated to pay interest on such amount at the rate set forth in Section 2.13(c). (g) If any Event of Default shall occur and be continuing, on the Business Day that the Borrower receives notice from the Administrative Agent or the Required Lenders demanding that its reimbursement obligations with respect to the Letters of Credit be Cash Collateralized pursuant to this subsection, the Borrower shall deposit in an account with the Administrative Agent, in the name of the Administrative Agent and for the benefit of the Issuing Bank and the Lenders, an amount in cash equal to 105% of the aggregate LC Exposure of all Lenders as of such date plus any accrued and unpaid fees thereon; provided that such obligation to Cash Collateralize the reimbursement obligations of the Borrower with respect to the Letters of Credit shall become effective immediately, and such deposit shall become immediately due and payable, without demand or notice of any kind, upon the occurrence of any Event of Default described in Section 8.1(h), (i) or (j). Such deposit shall be held by the Administrative Agent as collateral for the payment and performance of the obligations of the Borrower under this Agreement. The Administrative Agent shall have exclusive dominion and control, including the exclusive right of withdrawal, over such account. The Borrower agrees to execute any documents and/or certificates to effectuate the intent of this subsection. Other than any interest earned on the investment of such deposits, which investments shall be made at the option and sole discretion of the Administrative Agent and at the Borrower’s risk and expense, such deposits shall not bear interest. Interest and profits, if any, on such investments shall accumulate in such account. Moneys in such account shall be applied by the Administrative Agent to reimburse the Issuing Bank for LC Disbursements for which it had not been reimbursed and, to the extent not so applied, shall be held for the satisfaction of the reimbursement obligations of the Borrower for the LC Exposure at such time or, if the maturity of the Loans has been accelerated, with the consent of the Required Lenders, be applied to satisfy other obligations of the Borrower under this Agreement and the other Loan Documents. If the Borrower is required to Cash Collateralize its reimbursement obligations with respect to the Letters of Credit as a result of the occurrence of an Event of Default, such cash collateral so posted (to the extent not so applied as aforesaid) shall be returned to the Borrower within three (3) Business Days after all Events of Default have been cured or waived. (h) Upon the request of any Lender, but no more frequently than quarterly, the Issuing Bank shall deliver (through the Administrative Agent) to each Lender and the Borrower a report describing


 
AMERICAS 129648577 76 the aggregate Letters of Credit then outstanding. Upon the request of any Lender from time to time, the Issuing Bank shall deliver to such Lender any other information reasonably requested by such Lender with respect to each Letter of Credit then outstanding. (i) The Borrower’s obligation to reimburse LC Disbursements hereunder shall be absolute, unconditional and irrevocable and shall be performed strictly in accordance with the terms of this Agreement under all circumstances whatsoever and irrespective of any of the following circumstances: (i) any lack of validity or enforceability of any Letter of Credit or this Agreement; (ii) the existence of any claim, set-off, defense or other right which the Borrower or any Subsidiary or Affiliate of the Borrower may have at any time against a beneficiary or any transferee of any Letter of Credit (or any Persons or entities for whom any such beneficiary or transferee may be acting), any Lender (including the Issuing Bank) or any other Person, whether in connection with this Agreement or the Letter of Credit or any document related hereto or thereto or any unrelated transaction; (iii) any draft or other document presented under a Letter of Credit proving to be forged, fraudulent or invalid in any respect or any statement therein being untrue or inaccurate in any respect; (iv) payment by the Issuing Bank under a Letter of Credit against presentation of a draft or other document to the Issuing Bank that does not comply with the terms of such Letter of Credit; (v) any other event or circumstance whatsoever, whether or not similar to any of the foregoing, that might, but for the provisions of this Section, constitute a legal or equitable discharge of, or provide a right of set-off against, the Borrower’s obligations hereunder; or (vi) the existence of a Default or an Event of Default. Neither the Administrative Agent, the Issuing Bank, any Lender nor any Related Party of any of the foregoing shall have any liability or responsibility by reason of or in connection with the issuance or transfer of any Letter of Credit or any payment or failure to make any payment thereunder (irrespective of any of the circumstances referred to above), or any error, omission, interruption, loss or delay in transmission or delivery of any draft, notice or other communication under or relating to any Letter of Credit (including any document required to make a drawing thereunder), any error in interpretation of technical terms or any consequence arising from causes beyond the control of the Issuing Bank; provided that the foregoing shall not be construed to excuse the Issuing Bank from liability to the Borrower to the extent of any actual direct damages (as opposed to special, indirect (including claims for lost profits or other consequential damages), or punitive damages, claims in respect of which are hereby waived by the Borrower to the extent permitted by applicable law) suffered by the Borrower that are caused by the Issuing Bank’s failure to exercise due care when determining whether drafts or other documents presented under a Letter of Credit comply with the terms thereof. The parties hereto expressly agree that, in the absence of gross negligence or willful misconduct on the part of the Issuing Bank (as finally determined by a court of competent jurisdiction), the Issuing Bank shall be deemed to have exercised due care in each such determination. In furtherance of the foregoing and without limiting the generality thereof, the parties agree that, with respect to documents presented that appear on their face to be in substantial compliance with the terms of a Letter of Credit, the Issuing Bank may, in its sole discretion, either accept and make payment upon such documents without responsibility for further investigation, regardless of any notice or information to the contrary, or refuse to


 
AMERICAS 129648577 77 accept and make payment upon such documents if such documents are not in strict compliance with the terms of such Letter of Credit. (j) Unless otherwise expressly agreed by the Issuing Bank and the Borrower when a Letter of Credit is issued and subject to applicable laws, (i) each standby Letter of Credit shall be governed by the “International Standby Practices 1998” (ISP98) (or such later revision as may be published by the Institute of International Banking Law & Practice on any date any Letter of Credit may be issued), (ii) each documentary Letter of Credit shall be governed by the Uniform Customs and Practices for Documentary Credits (2007 Revision), International Chamber of Commerce Publication No. 600 (or such later revision as may be published by the International Chamber of Commerce on any date any Letter of Credit may be issued) and (iii) the Borrower shall specify the foregoing in each letter of credit application submitted for the issuance of a Letter of Credit. (k) Interim Interest. If an Issuing Bank shall make any LC Disbursement, then, unless the Borrower shall reimburse such LC Disbursement in full on the date such LC Disbursement is made, the unpaid amount thereof shall bear interest, for each day from and including the date such LC Disbursement is made to but excluding the date that the Borrower reimburses such LC Disbursement, at the rate per annum then applicable to Base Rate Revolving Loans; provided that, if the Borrower fails to reimburse such LC Disbursement when due pursuant to paragraph (d) of this Section 2.22, then Section 2.13(c) shall apply. Interest accrued pursuant to this paragraph shall be paid to the Administrative Agent, for the account of the applicable Issuing Bank, except that interest accrued on and after the date of payment by any Lender pursuant to paragraph (d) of this Section 2.22 to reimburse such Issuing Bank shall be for the account of such Lender to the extent of such payment and shall be payable on demand or, if no demand has been made, on the date on which the Borrower reimburses the applicable LC Disbursement in full. (l) Resignation of an Issuing Bank. Subject to the appointment and acceptance of a successor Issuing Bank reasonably acceptable to the Borrower (to the extent that there is only one Issuing Bank hereunder at such time), any Issuing Bank may resign at any time by giving thirty (30) days’ written notice to the Administrative Agent, the Lenders and the Borrower. At the time any such resignation shall become effective, the Borrower shall pay all unpaid fees accrued for the account of the resigning Issuing Bank pursuant to Section 2.14(c). Notwithstanding the effectiveness of any such resignation, the resigning Issuing Bank shall remain a party hereto and shall continue to have all the rights of an Issuing Bank under this Agreement and the other Loan Documents with respect to Letters of Credit issued by it prior to such resignation, but shall not (a) be required (and shall be discharged from its obligations) to issue any additional Letters of Credit or extend or increase the amount of Letters of Credit then outstanding, without affecting its rights and obligations with respect to Letters of Credit previously issued by it, or (b) be deemed an Issuing Bank for any other purpose. (m) Addition of an Issuing Bank. Any Lender (or any of its Subsidiaries or Affiliates) with a Revolving Commitment may become an additional Issuing Bank hereunder pursuant to a written agreement among the Borrower, the Administrative Agent and such Lender. The Administrative Agent shall notify the other Lenders with Revolving Commitments of any such additional Issuing Bank. Notwithstanding any other provisions set forth herein, the Borrower shall be permitted to request a Letter of Credit from any Issuing Bank (and, subject to the terms and conditions set forth herein, have such Letter of Credit issued by such Issuing Bank on its behalf), in its sole discretion. Section 2.23. Increase of Commitments; Additional Lenders. (a) From time to time after the Restatement Date and in accordance with this Section, the Borrower and one or more Increasing Lenders or Additional Lenders (each as defined below) may enter into an agreement to increase the aggregate Revolving Commitments (each, an “Incremental Revolving


 
AMERICAS 129648577 78 Facility”) and/or add one or more term loan facilities or to increase the aggregate amount of any existing Class of Term Loans hereunder (each, an “Incremental Term Facility” and, together with the Incremental Revolving Facility, the “Incremental Facilities”) so long as the following conditions are satisfied: (i) the aggregate principal amount of all such Incremental Facilities made pursuant to this Section shall not exceed the Incremental Cap; (ii) at the time of and immediately after giving effect to any such proposed incurrence, no Event of Default shall exist and all representations and warranties of each Loan Party set forth in the Loan Documents shall be true and correct in all material respects (other than those representations and warranties that are expressly qualified by a Material Adverse Effect or other materiality, in which case such representations and warranties shall be true and correct in all respects); provided, that, solely with respect to an Incremental Term Facility the proceeds of which are intended to and shall be used to finance substantially contemporaneously a Limited Condition Transaction, the condition shall be that (x) no Event of Default shall exist on the LCT Test Date and no Specified Event of Default shall exist on the date of consummation of such Limited Condition Transaction and (y) the Specified Representations shall be true and correct in all material respects on the date of consummation of such Limited Condition Transaction; (iii) (x) any Incremental Term Facility made pursuant to this Section and which is a separate Class of Term Loans shall have a maturity date no earlier than the Maturity Date and shall have a Weighted Average Life to Maturity no shorter than that of any Class of Term Loans then outstanding, (y) any Incremental Term Facility made pursuant to this Section in the form of an increase to an existing Class of Term Loans shall have the same maturity date as such existing tranche of Term Loans, and (z) any Incremental Revolving Facility provided pursuant to this Section shall have a termination date no earlier than the Revolving Commitment Termination Date; (iv) the Borrower and its Restricted Subsidiaries shall be in compliance, on a Pro Forma Basis, with each of the financial covenants set forth in Article VI as of the most recently ended (1) Fiscal Quarter for which financial statements are required to have been delivered or (2) calendar month, solely to the extent that the financial statements for such month (and any prior month or months the results for which are not included in clause (1)) have been delivered to the Administrative Agent and are in form and substance reasonably acceptable to the Administrative Agent, in each case, calculated (without “netting” the proceeds thereof in such calculation) as if all such Incremental Term Facilities had been made and all such Incremental Revolving Facilities had been established (and fully funded) as of the first day (for purposes of Section 6.3) and as of the last day (for purposes of Section 6.1), as applicable, of the relevant period for testing compliance, provided, that, solely with respect to an Incremental Term Facility the proceeds of which are intended to and shall be used to finance substantially contemporaneously a Limited Condition Transaction, the condition set forth in this clause (iv) shall be true and correct on the LCT Test Date; (v) if the Applicable Margin applicable to any such Incremental Term Facility incurred within 18 months of the Restatement Date exceeds by more than 0.50% per annum the Applicable Margin then in effect for any applicable Class of Term Loans, then the Applicable Margin of such Class of Term Loans, shall be increased such that the Applicable Margin on the such Class of Term Loan is no more than 0.50% per annum lower than the Applicable Margin on such Incremental Facility, provided, that in determining the interest rate margin applicable to such Incremental Term Facility and such Class of Term Loans, (w) any prepayment premiums, arrangement, commitment, structuring, syndication, underwriting, placement, success, advisory, ticking and unused line, consent and amendment fees or other fees that are not generally paid


 
AMERICAS 129648577 79 ratably to all lenders providing such indebtedness or to one or more arrangers (or their affiliates) of such indebtedness shall be excluded, (x) original issue discount and upfront fees paid to the lenders thereunder shall be included (with original issue discount or upfront fees being equated to interest based on assumed four-year life to maturity), (y) if such Incremental Term Facility includes an interest rate floor greater than the applicable interest rate floor under such Class of Term Loan, such differential between interest rate floors shall be equated to the applicable interest rate margin for purposes of determining whether an increase to the interest rate margin under such Class of Term Loan shall be required, but only to the extent an increase in the interest rate floor in such Class of Term Loan would cause an increase in the Applicable Margin then in effect for SOFR Term Loans, and in such case the interest rate floor (but not the Applicable Margin) applicable to such Class of Term Loan shall be increased to the extent of such differential between interest rate floors and (z) for purposes of calculating the adjustments pursuant to this clause (v), such Indebtedness, if it is fixed rate Indebtedness, shall be swapped to a floating rate on a customary matched maturity basis as is reasonably acceptable to the Administrative Agent and the Borrower; (vi) the Incremental Facilities (A) shall rank pari passu in right of payment and/or with respect to security with the Obligations, (B) may not be secured by any assets other than Collateral, (C) may not be guaranteed by any Person who is not a Loan Party and (D) may participate on a (x) pro rata basis (but not greater than a pro rata basis) or less than pro rata basis in any voluntary repayment or prepayment in respect of any Class of Term Loans and (y) pro rata basis or less than pro rata basis (but not greater than a pro rata basis, other than any repayment of such Incremental Term Loans, with the proceeds of Refinancing Term Loans) in any mandatory repayment or prepayment in respect of any Class of Term Loans; and (vii) (x) any Incremental Term Facility made pursuant to this Section and which is a separate tranche of Term Loans shall be on terms and conditions that are, taken as a whole, not materially more favorable to the lenders or holders providing such Indebtedness than, those applicable to the existing Term Loans, as determined in good faith by a Responsible Officer of the Borrower (except (A) as otherwise permitted by this Section 2.23, (B) for covenants applicable only to periods after the Maturity Date of the Term Loans at the time of incurrence and (C) to the extent such terms and conditions are offered to be conformed or added to this Agreement for the benefit of the existing Lenders pursuant to an amendment) and to the extent applicable and if reasonably requested by the Administrative Agent, such Indebtedness shall be subject to an Acceptable Intercreditor Agreement, (y) any Incremental Term Facility made pursuant to this Section in the form of an increase to an existing Class of Term Loans shall be on the same terms and conditions (subject to clause (v) above, other than with respect to original issue discount and upfront fees) as such existing Class of Term Loans (except as otherwise permitted by this Section 2.23), and (z) any Incremental Revolving Facility provided pursuant to this Section shall be on the same terms and conditions (other than with respect to upfront fees) as the Revolving Loans (except as otherwise permitted by this Section 2.23) (b) The Borrower shall provide at least 10 Business Days’ written notice to the Administrative Agent (who shall promptly provide a copy of such notice to each Lender) of any proposal to establish an Incremental Facility. The Borrower may also, but is not required to, specify any fees offered to those Lenders (the “Increasing Lenders”) that agree to increase the principal amount of their Revolving Commitments and/or their Term Loans, which fees may be variable based upon the amount by which any such Lender is willing to increase the principal amount of its Revolving Commitment and/or its Term Loans, as applicable. Each Increasing Lender shall as soon as practicable, and in any case within 5 Business Days following receipt of such notice, specify in a written notice to the Borrower and the Administrative Agent the amount


 
AMERICAS 129648577 80 of such proposed Incremental Facility that it is willing to provide. No Lender (or any successor thereto) shall have any obligation, express or implied, to offer to increase the aggregate principal amount of its Revolving Commitment, Term Loan Commitment and/or its Term Loans, and any decision by a Lender to increase its Revolving Commitment and/or its Term Loans shall be made in its sole discretion independently from any other Lender. Only the consent of each Increasing Lender shall be required for an increase in the aggregate principal amount of the Revolving Commitments, Term Loan Commitments and/or the Term Loans, as applicable, pursuant to this Section. No Lender which declines to increase the principal amount of its Revolving Commitment, Term Loan Commitments and/or its Term Loans may be replaced with respect to its existing Revolving Commitment, Term Loan Commitments and/or its Term Loans, as applicable, as a result thereof without such Lender’s consent. If any Lender shall fail to notify the Borrower and the Administrative Agent in writing about whether it will increase its Revolving Commitment and/or its Term Loans within five (5) Business Days after receipt of such notice, such Lender shall be deemed to have declined to increase its Revolving Commitment and/or its Term Loans, as applicable. The Borrower may accept some or all of the offered amounts or designate new lenders that are acceptable to the Administrative Agent (such approval not to be unreasonably withheld or conditioned) as additional Lenders hereunder in accordance with this Section (the “Additional Lenders”), which Additional Lenders may assume all or a portion of such Incremental Facility. The Borrower and the Administrative Agent shall have discretion jointly to adjust the allocation of such Incremental Revolving Facilities and/or such Incremental Term Facilities among the Increasing Lenders and the Additional Lenders. The sum of the increase in the Revolving Commitments and the Term Loans of the Increasing Lenders plus the Revolving Commitments, Term Loan Commitments and the Term Loan Commitments of the Additional Lenders shall not in the aggregate exceed the unsubscribed amount of the Incremental Cap. (c) Subject to subsections (a) and (b) of this Section, any Incremental Facility requested by the Borrower shall be effective upon delivery to the Administrative Agent of each of the following documents: (i) an originally executed copy of an instrument of joinder or an amendment to this Agreement (the “Incremental Facility Amendment”), in form and substance reasonably acceptable to the Administrative Agent, executed by the Borrower, by each Additional Lender and by each Increasing Lender, setting forth the new Revolving Commitments and/or new Term Loan Commitments, as applicable, of such Lenders and setting forth the agreement of each Additional Lender to become a party to this Agreement and to be bound by all of the terms and provisions hereof; (ii) such evidence of appropriate corporate authorization on the part of the Borrower with respect to such Incremental Facility and such opinions of counsel for the Borrower with respect to such Incremental Facility as the Administrative Agent may reasonably request; (iii) a certificate of the Borrower signed by a Responsible Officer, in form and substance reasonably acceptable to the Administrative Agent, certifying that each of the conditions in subsection (a) of this Section has been satisfied; (iv) to the extent requested by any Additional Lender or any Increasing Lender, executed promissory notes evidencing such Incremental Revolving Facilities and/or such Incremental Term Facilities, issued by the Borrower in accordance with Section 2.10;


 
AMERICAS 129648577 81 (v) a duly executed Notice of Borrowing; and (vi) any other certificates (including solvency certificates) or documents (including reaffirmation agreements) that the Administrative Agent shall reasonably request, in form and substance reasonably satisfactory to the Administrative Agent. Upon the effectiveness of any such Incremental Facility, the Commitments and Pro Rata Share of each Lender will be adjusted to give effect to the Incremental Revolving Facilities and/or the Incremental Term Facilities, as applicable, and Schedule I shall automatically be deemed amended accordingly. (d) If any Incremental Term Facilities are to have terms that are different from the Term Loan, outstanding immediately prior to such incurrence (any such Incremental Term Facilities, the “Non-Conforming Credit Extensions”), all such terms shall be as set forth in a separate assumption agreement among the Borrower, the Lenders providing such Incremental Term Facilities and the Administrative Agent, the execution and delivery of which agreement shall be a condition to the effectiveness of the Non-Conforming Credit Extensions. The scheduled principal payments on the Term Loans to be made pursuant to Section 2.9 shall be ratably increased after the making of any Incremental Term Facilities (other than Term Loans that are Non-Conforming Credit Extensions) under this Section by the aggregate principal amount of such Incremental Term Facilities; provided that such scheduled principal installments may be adjusted as set forth in Section 2.9 to ensure “fungibility” with any Incremental Term Facility. After the incurrence of any Non-Conforming Credit Extensions, all optional prepayments of Term Loans shall be allocated ratably between the then-outstanding Term Loans and such Non-Conforming Credit Extensions. (e) The Incremental Facility Amendment may, without the consent of any other Lenders, effect such amendments to this Agreement and the other Loan Documents as may be necessary, in the reasonable opinion of the Administrative Agent and the Borrower, to effect the provisions of this Section 2.23 (including, in connection with an Incremental Revolving Facility, to reallocate Revolving Credit Exposure on a pro rata basis among the relevant Lenders). On the date of the making of any Incremental Term Facility that will be added to any Class of Term Loans, and notwithstanding anything to the contrary set forth herein, the Term Loans made under such Incremental Term Facility shall be added to (and constitute a part of) each Borrowing of outstanding Term Loans of the same type with the same Interest Period of the respective Class on a pro rata basis (based on the relative sizes of the various outstanding Borrowings), so that each Lender will participate proportionately in each then outstanding Borrowing of Term Loans of the same type with the same Interest Period of the respective Class. Upon each increase in the Revolving Commitments pursuant to this Section 2.23, each Lender immediately prior to such increase will automatically and without further act be deemed to have assigned to each Lender providing a portion of the Incremental Revolving Facility (each, an “Incremental Revolving Increase Lender”) in respect of such Incremental Revolving Facility, and each such Incremental Revolving Increase Lender will automatically and without further act be deemed to have assumed, a portion of such Lender’s participations hereunder in outstanding Letters of Credit such that, after giving effect to each such deemed assignment and assumption of participations, the percentage of the aggregate outstanding participations hereunder in Letters of Credit held by each Lender (including each such Incremental Revolving Increase Lender) will equal the percentage of the aggregate Revolving Commitments of all Lenders represented by such Lender’s Revolving Commitment after giving effect to such Incremental Revolving Facility. Additionally, if any Revolving Loans are outstanding under at the time any Incremental Revolving Facility is implemented, the Lenders immediately after the effectiveness of such Incremental Revolving Facility shall purchase and assign at par such amounts of the Revolving Loans outstanding at such time as the Administrative Agent may require such that each Lender holds its Pro Rata Share of all Revolving Loans immediately after giving effect to all such assignments. The Administrative Agent and the Lenders hereby agree that the minimum


 
AMERICAS 129648577 82 borrowing, pro rata borrowing and pro rata payment requirements contained elsewhere in this Agreement shall not apply to the transactions effected pursuant to this Section 2.23. (f) The Lenders hereby irrevocably authorize the Administrative Agent to enter into (i) any Incremental Facility Amendment and/or any amendment to any other Loan Document as may be necessary in order to (A) establish new Classes or sub-Classes in respect of Loans or Commitments pursuant to this Section 2.23 and (B) implement any restrictive terms or conditions permitted or required to be provided to the Lenders pursuant to clause (vii) of this Section 2.23 (which amendment shall be entered into by the Administrative Agent upon the reasonable request of the Borrower) and (ii) such technical amendments as may be necessary or appropriate in the reasonable opinion of the Administrative Agent and the Borrower in connection with the establishment of such new Classes or sub-Classes, in each case on terms consistent with this Section 2.23. (g) Notwithstanding anything to the contrary, this Section 2.23 shall supersede any provisions in Section 2.21 or Section 10.2 to the contrary. Section 2.24. Mitigation of Obligations. If any Lender requests compensation under Section 2.18, or if the Borrower is required to pay any additional amount to any Lender or any Governmental Authority for the account of any Lender pursuant to Section 2.20, then such Lender shall use reasonable efforts to designate a different lending office for funding or booking its Loans hereunder or to assign its rights and obligations hereunder to another of its offices, branches or affiliates, if, in the sole judgment of such Lender, such designation or assignment (i) would eliminate or reduce amounts payable under Section 2.18 or Section 2.20, as the case may be, in the future and (ii) would not subject such Lender to any unreimbursed cost or expense and would not otherwise be disadvantageous to such Lender. The Borrower hereby agrees to pay all costs and expenses incurred by any Lender in connection with such designation or assignment. Section 2.25. Replacement of Lenders. If (a) any Lender requests compensation under Section 2.18, or if the Borrower is required to pay any additional amount to any Lender or any Governmental Authority for the account of any Lender pursuant to Section 2.20, (b) any Lender is a Defaulting Lender, (c) in connection with any proposed amendment, modification, termination, waiver or consent with respect to any of the provisions hereof as contemplated by Section 10.2(b), the consent of Required Lenders shall have been obtained but the consent of one or more of such other Lenders (each a “Non-Consenting Lender”) whose consent is required shall not have been obtained, or (d) any Lender delivers a notice described in Section 2.17, then the Borrower may, at its sole expense and effort, upon notice to such Lender and the Administrative Agent, require such Lender to assign and delegate, without recourse (in accordance with and subject to the restrictions set forth in Section 10.4(b)), all of its interests, rights (other than its existing rights to payments pursuant to Section 2.18 or 2.20, as applicable) and obligations under this Agreement to an assignee that shall assume such obligations (which assignee may be another Lender) (a “Replacement Lender”); provided that (i) the Borrower shall have received the prior written consent of the Administrative Agent, which consent shall not be unreasonably withheld, (ii) such Lender shall have received payment of an amount equal to the outstanding principal amount of all Loans owed to it, accrued interest thereon, accrued fees and all other amounts payable to it hereunder from the assignee (in the case of such outstanding principal and accrued interest) and from the Borrower (in the case of all other amounts), (iii) in the case of a claim for compensation under Section 2.18 or payments required to be made pursuant to Section 2.20, such assignment will result in a reduction in such compensation or payments, and (iv) in the case of a Non-Consenting Lender, each Replacement Lender shall consent, at the time of such assignment, to each matter in respect of which such terminated Lender was a Non-Consenting Lender. A Lender shall not be required to make any such assignment and delegation if, prior thereto, as a result of a waiver by such Lender or otherwise, the circumstances entitling the Borrower to require such assignment and delegation cease to apply. Each party hereto agrees that an assignment required pursuant to this paragraph may be effected


 
AMERICAS 129648577 83 pursuant to an Assignment and Acceptance executed by the Borrower, the Administrative Agent and the assignee and that the Lender required to make such assignment need not be a party thereto. Section 2.26. Defaulting Lenders. (a) Cash Collateral. (i) At any time that there shall exist a Defaulting Lender, within two (2) Business Days following the written request of the Administrative Agent or the Issuing Bank (with a copy to the Administrative Agent) the Borrower shall Cash Collateralize the Issuing Bank’s LC Exposure with respect to such Defaulting Lender (determined after giving effect to Section 2.26(b)(iv) and any Cash Collateral provided by such Defaulting Lender) in an amount not less than 105% of the Issuing Bank’s LC Exposure with respect to such Defaulting Lender. (ii) The Borrower, and to the extent provided by any Defaulting Lender, such Defaulting Lender, hereby grants to the Administrative Agent, for the benefit of the Issuing Bank, and agrees to maintain, a first priority security interest in all such Cash Collateral as security for the Defaulting Lenders’ obligation to fund participations in respect of Letters of Credit, to be applied pursuant to clause (iii) below. If at any time the Administrative Agent determines that Cash Collateral is subject to any right or claim of any Person other than the Administrative Agent and the Issuing Bank as herein provided, or that the total amount of such Cash Collateral is less than the minimum amount required pursuant to clause (i) above, the Borrower will, promptly upon demand by the Administrative Agent, pay or provide to the Administrative Agent additional Cash Collateral in an amount sufficient to eliminate such deficiency (after giving effect to any Cash Collateral provided by the Defaulting Lender). (iii) Notwithstanding anything to the contrary contained in this Agreement, Cash Collateral provided under this Section 2.26(a) or Section 2.26(b) in respect of Letters of Credit shall be applied to the satisfaction of the Defaulting Lender’s obligation to fund participations in respect of Letters of Credit or LC Disbursements (including, as to Cash Collateral provided by a Defaulting Lender, any interest accrued on such obligation) for which the Cash Collateral was so provided, prior to any other application of such property as may otherwise be provided for herein. (iv) Cash Collateral (or the appropriate portion thereof) provided to reduce any Issuing Bank’s LC Exposure shall no longer be required to be held as Cash Collateral pursuant to this Section 2.26(a) following (A) the elimination of the applicable LC Exposure (including by the termination of Defaulting Lender status of the applicable Lender), or (ii) the determination by the Administrative Agent and the Issuing Bank that there exists excess Cash Collateral; provided that, subject to Section 2.26(b) through (d) the Person providing Cash Collateral and each Issuing Bank may agree that Cash Collateral shall be held to support future anticipated LC Exposure or other obligations and provided further that to the extent that such Cash Collateral was provided by the Borrower, such Cash Collateral shall remain subject to the security interest granted pursuant to the Loan Documents. (b) Defaulting Lender Adjustments. Notwithstanding anything to the contrary contained in this Agreement, if any Lender becomes a Defaulting Lender, then, until such time as such Lender is no longer a Defaulting Lender, to the extent permitted by applicable law: (i) Such Defaulting Lender’s right to approve or disapprove any amendment, waiver or consent with respect to this Agreement shall be restricted as set forth in the definition of Required Lenders and in Section 10.2.


 
AMERICAS 129648577 84 (ii) Any payment of principal, interest, fees or other amounts received by the Administrative Agent for the account of such Defaulting Lender (whether voluntary or mandatory, at maturity, pursuant to Article VIII or otherwise) or received by the Administrative Agent from a Defaulting Lender pursuant to Section 10.7 shall be applied at such time or times as may be determined by the Administrative Agent as follows: first, to the payment of any amounts owing by such Defaulting Lender to the Administrative Agent hereunder; second, to the payment on a pro rata basis of any amounts owing by such Defaulting Lender to the Issuing Bank hereunder; third, to Cash Collateralize the Issuing Bank’s LC Exposure with respect to such Defaulting Lender in accordance with Section 2.26(a); fourth, as the Borrower may request (so long as no Default or Event of Default exists), to the funding of any Loan in respect of which such Defaulting Lender has failed to fund its portion thereof as required by this Agreement, as determined by the Administrative Agent; fifth, if so determined by the Administrative Agent and the Borrower, to be held in a deposit account and released pro rata in order to (x) satisfy such Defaulting Lender’s potential future funding obligations with respect to Loans under this Agreement and (y) Cash Collateralize the Issuing Banks’ future LC Exposure with respect to such Defaulting Lender with respect to future Letters of Credit issued under this Agreement, in accordance with Section 2.26(a); sixth, to the payment of any amounts owing to the Lenders or the Issuing Bank as a result of any judgment of a court of competent jurisdiction obtained by any Lender or the Issuing Bank against such Defaulting Lender as a result of such Defaulting Lender’s breach of its obligations under this Agreement; seventh, so long as no Default or Event of Default exists, to the payment of any amounts owing to the Borrower as a result of any judgment of a court of competent jurisdiction obtained by the Borrower against such Defaulting Lender as a result of such Defaulting Lender's breach of its obligations under this Agreement; and eighth, to such Defaulting Lender or as otherwise directed by a court of competent jurisdiction; provided that if (x) such payment is a payment of the principal amount of any Loans or LC Disbursements in respect of which such Defaulting Lender has not fully funded its appropriate share, and (y) such Loans were made or the related Letters of Credit were issued at a time when the conditions set forth in Section 3.2 were satisfied or waived, such payment shall be applied solely to pay the Loans of, and LC Disbursements owed to, all Non-Defaulting Lenders on a pro rata basis prior to being applied to the payment of any Loans of, or LC Disbursements owed to, such Defaulting Lender until such time as all Loans and funded and unfunded participations in Letters of Credit are held by the Lenders pro rata in accordance with the Commitments under the applicable Facility without giving effect to sub-section (iv) below. Any payments, prepayments or other amounts paid or payable to a Defaulting Lender that are applied (or held) to pay amounts owed by a Defaulting Lender or to post Cash Collateral pursuant to this Section 2.26(b)(ii) shall be deemed paid to and redirected by such Defaulting Lender, and each Lender irrevocably consents hereto. (iii) (A) No Defaulting Lender shall be entitled to receive any commitment fee pursuant to Section 2.14(b) for any period during which that Lender is a Defaulting Lender (and the Borrower shall not be required to pay any such fee that otherwise would have been required to have been paid to that Defaulting Lender). (B) Each Defaulting Lender shall be entitled to receive letter of credit fees pursuant to Section 2.14(c) for any period during which that Lender is a Defaulting Lender only to the extent allocable to that portion of its LC Exposure for which it has provided Cash Collateral pursuant to Section 2.26(a). (C) With respect to any commitment fee or letter of credit fee not required to be paid to any Defaulting Lender pursuant to clause (A) or (B) above, the Borrower shall (x) pay to each Non-Defaulting Lender that portion of any such fee otherwise payable to such Defaulting Lender with respect to such Defaulting Lender’s participation in Letters


 
AMERICAS 129648577 85 of Credit that has been reallocated to such Non-Defaulting Lender pursuant to clause (iv) below, (y) pay to each Issuing Bank the amount of any such fee otherwise payable to such Defaulting Lender to the extent allocable to the Issuing Bank’s LC Exposure with respect to such Defaulting Lender, and (z) not be required to pay the remaining amount of any such fee. (iv) All or any part of such Defaulting Lender’s participation in Letters of Credit shall be reallocated among the Non-Defaulting Lenders in accordance with their respective Pro Rata Shares of the Revolving Commitments (calculated without regard to such Defaulting Lender’s Revolving Commitment) but only to the extent that (x) the conditions set forth in Section 3.2 are satisfied at the time of such reallocation (and, unless the Borrower shall have otherwise notified the Administrative Agent at such time, the Borrower shall be deemed to have represented and warranted that such conditions are satisfied at such time), and (y) such reallocation does not cause the aggregate Revolving Credit Exposure of any such Non-Defaulting Lender to exceed such Non- Defaulting Lender’s Revolving Commitment. Subject to Section 10.17, no reallocation hereunder shall constitute a waiver or release of any claim of any party hereunder against a Defaulting Lender arising from that Lender having become a Defaulting Lender, including any claim of a Non- Defaulting Lender as a result of such Non-Defaulting Lender’s increased exposure following such reallocation. (v) If the reallocation described in clause (iv) above cannot, or can only partially, be effected, the Borrower shall, without prejudice to any right or remedy available to it hereunder or under law, Cash Collateralize the Issuing Banks’ LC Exposure with respect to such Defaulting Lender in accordance with the procedures set forth in Section 2.26(a). (c) Defaulting Lender Cure. If the Borrower, the Administrative Agent and Issuing Bank agree in writing that a Lender is no longer a Defaulting Lender, the Administrative Agent will so notify the parties hereto, whereupon as of the effective date specified in such notice and subject to any conditions set forth therein (which may include arrangements with respect to any Cash Collateral), that Lender will, to the extent applicable, purchase at par that portion of outstanding Loans of the other Lenders or take such other actions as the Administrative Agent may determine to be necessary to cause the Loans and funded and unfunded participations in Letters of Credit to be held pro rata by the Lenders in accordance with the applicable Commitments (without giving effect to Section 2.26(b)(iv), whereupon such Lender will cease to be a Defaulting Lender; provided that no adjustments will be made retroactively with respect to fees accrued or payments made by or on behalf of the Borrower while that Lender was a Defaulting Lender; and provided, further, that except to the extent otherwise expressly agreed by the affected parties, no change hereunder from Defaulting Lender to Lender will constitute a waiver or release of any claim of any party hereunder arising from that Lender’s having been a Defaulting Lender. (d) New Letters of Credit. So long as any Lender is a Defaulting Lender, no Issuing Bank shall be required to issue, extend, renew or increase any Letter of Credit unless it is satisfied that it will have no LC Exposure after giving effect thereto. Section 2.27. Refinancing Amendments. (a) Refinancing Commitments. The Borrower may at any time or from time to time after the Restatement Date, by notice to the Administrative Agent (a “Refinancing Loan Request”), request (A) new commitments which may take the form of a new Class of term loans or one or more increases in the amount of any existing Class of term loans (any such new Class or increase to any existing Class, as applicable, “Refinancing Term Commitments”) or (B) the establishment of a new Class of revolving credit commitments that replaces in its entirety all or a portion of the then existing Revolving Credit Commitments


 
AMERICAS 129648577 86 (any such new Class, “Refinancing Revolving Credit Commitments” and collectively with any Refinancing Term Commitments, “Refinancing Commitments”), in each case, established in exchange for, or to extend, renew, replace, repurchase, retire or refinance, in whole or in part, existing Loans or Commitments (with respect to a particular Refinancing Commitment or Refinancing Loan, such existing Loans or Commitments, “Refinanced Debt”), whereupon the Administrative Agent shall promptly deliver a copy to each of the Lenders. (b) Refinancing Loans. On any Refinancing Facility Closing Date on which any Refinancing Term Commitments of any Class are effected subject to the satisfaction of the terms and conditions in this Section 2.27, (i) each Refinancing Term Lender of such Class shall make a loan to the Borrower (a “Refinancing Term Loan”) in an amount equal to its Refinancing Term Commitment of such Class and (ii) each Refinancing Term Lender of such Class shall become a Lender hereunder with respect to the Refinancing Term Commitment of such Class and the Refinancing Term Loans of such Class made pursuant thereto. On any Refinancing Facility Closing Date on which any Refinancing Revolving Credit Commitments of any Class are effected, subject to the satisfaction of the terms and conditions in this Section 2.27, (i) each Refinancing Revolving Credit Lender of such Class shall make its Commitment available to the Borrower (when borrowed, a “Refinancing Revolving Loan” and collectively with any Refinancing Term Loan, a “Refinancing Loan”) in an amount equal to its Refinancing Revolving Credit Commitment of such Class and (ii) each Refinancing Revolving Credit Lender of such Class shall become a Lender hereunder with respect to the Refinancing Revolving Credit Commitment of such Class and the Refinancing Revolving Loans of such Class made pursuant thereto. (c) Refinancing Loan Request. Each Refinancing Loan Request from the Borrower pursuant to this Section 2.27 shall set forth the requested amount and proposed terms of the relevant Refinancing Term Loans or Refinancing Revolving Credit Commitments. Refinancing Term Loans may be made and Refinancing Revolving Credit Commitments may be provided by any existing Lender (but no existing Lender will have an obligation to make any Refinancing Commitment, nor will the Borrower have any obligation to select an existing Lender to provide such Refinancing Commitment or otherwise incur a Refinancing Commitment unless it so elects to do so from time to time in its sole discretion) or by any Additional Lender (each such existing Lender or Additional Lender providing such Commitment or Loan, a “Refinancing Revolving Credit Lender” or “Refinancing Term Lender,” as applicable, and, collectively, “Refinancing Lenders”); provided that the Administrative Agent and each Issuing Bank shall have consented (not to be unreasonably withheld or delayed) to such Additional Lender’s making such Refinancing Term Loans or providing such Refinancing Revolving Credit Commitments, to the extent such consent, if any, would be required under Section 10.04(b)(iii) for an assignment of Term Loans or Revolving Credit Commitments, as applicable, to such Lender or Additional Lender. (d) Effectiveness of Refinancing Amendment. The effectiveness of any Refinancing Amendment, and the Refinancing Commitments thereunder, shall be subject to the satisfaction on the date thereof (a “Refinancing Facility Closing Date”) of each of the following conditions, together with any other conditions set forth in the Refinancing Amendment: (i) [Reserved] (ii) to the extent reasonably requested by the Administrative Agent, receipt by the Administrative Agent of (A) customary legal opinions, board resolutions and officers’ certificates (including solvency certificates) consistent with those delivered on the Restatement Date other than changes to such legal opinions resulting from a change in law, change in fact or change to counsel’s form of opinion reasonably satisfactory to the Administrative Agent and (B) reaffirmation agreements and/or such amendments to the Collateral Documents as may be reasonably requested


 
AMERICAS 129648577 87 by the Administrative Agent in order to ensure that such Refinancing Lenders are provided with the benefit of the applicable Loan Documents; (iii) [Reserved] (e) Required Terms. The terms, provisions and documentation of the Refinancing Term Loans and Refinancing Term Commitments or the Refinancing Revolving Loans and Refinancing Revolving Credit Commitments, as they case may be, of any Class shall be as agreed between the Borrower and the applicable Refinancing Lenders providing such Refinancing Commitments, and in the case of Refinancing Term Loans and Refinancing Term Commitments, except as otherwise set forth herein, to the extent not identical to any Class of Term Loans or Revolving Credit Commitments, as applicable, each existing on the Refinancing Facility Closing Date, shall be consistent with clauses (i) and (ii) below, as applicable, and otherwise, at the option of the Borrower, such terms if more favorable to the existing Lenders under the applicable Class of Term Loans, (a) shall be conformed (or added) in the Loan Documents pursuant to the related Refinancing Amendment, for the benefit of the Term Lenders, (b) shall be applicable only to periods after the latest Maturity Date with respect to any then outstanding Class of Term Loans, (c) shall be not more restrictive to the Borrower, when taken as a whole, than the terms and conditions of the existing class of Term Loans (as determined by the Borrower in good faith) or (d) shall be reasonably satisfactory to the Administrative Agent. In any event: (i) the Refinancing Term Loans: (A) as of the Refinancing Facility Closing Date, shall not have a final scheduled maturity date earlier than the Maturity Date of the Refinanced Debt, (B) as of the Refinancing Facility Closing Date, shall not have a Weighted Average Life to Maturity shorter than the remaining Weighted Average Life to Maturity of the Refinanced Debt, (C) shall have an Applicable Margin and Term SOFR or Base Rate floor (if any), and subject to clauses (e)(i)(A) and (e)(i)(B) above, amortization determined by the Borrower and the applicable Refinancing Term Lenders, (D) shall have fees or other amounts as determined by the Borrower and the applicable Refinancing Term Lenders or arranger(s), (E) (I) may participate on a pro rata basis, less than pro rata basis or greater than pro rata basis in any voluntary prepayments of Term Loans hereunder and (II) (x) in the case of Refinancing Term Loans that rank junior in right of payment or junior in right of security, in each case, with the Obligations that are senior in right of payment or secured on a first lien basis, shall participate on a less than pro rata basis in any mandatory prepayments of Term B Loans hereunder and (y) in the case of Refinancing Term Loans that rank pari passu in right of payment and security with the Obligations that are secured on a first lien basis, may participate on a pro rata basis or less than pro rata basis (but not on a greater than pro rata basis in any mandatory prepayments of such Term Loans hereunder, (F) shall not have a greater principal amount than the principal amount of the Refinanced Debt plus accrued but unpaid interest, fees, premiums (if any) and penalties thereon (and any existing commitments unutilized thereunder being terminated in


 
AMERICAS 129648577 88 connection with such Refinancing) and reasonable fees, expenses, original issue discount and upfront fees associated with the refinancing , (G) shall not be guaranteed by any Person that is not otherwise a Guarantor, and (H) (I) shall have the same or more junior rank in right of payment with respect to the other Obligations as the applicable Refinanced Debt and (II) shall be secured solely by the Collateral and shall have the same or more junior rank in right of security with respect to the other Obligations as the applicable Refinanced Debt (and, to the extent subordinated in right of payment or security with respect to the other Obligations, subject to an Acceptable Intercreditor Agreement (or, alternatively, terms in the Refinancing Amendment substantially similar to those in such applicable agreement, as agreed by the Borrower and Administrative Agent) or other lien subordination and intercreditor arrangement reasonably satisfactory to the Borrower and the Administrative Agent); and (ii) the Refinancing Revolving Credit Commitments and Refinancing Revolving Loans, (A) (I) shall have the same or more junior rank in right of payment with respect to the other Obligations as the applicable Refinanced Debt (and, to the extent subordinated in right of payment with respect to the other Obligations, subject to an Acceptable Intercreditor Agreement (or, alternatively, terms in the Refinancing Amendment substantially similar to those in such applicable agreement, as agreed by the Borrower and Administrative Agent) or other subordination arrangement satisfactory to the Borrower and the Administrative Agent) and (II) shall be secured solely by the Collateral and shall have the same rank in right of security with respect to the other Obligations as the applicable Refinanced Debt; (B) shall have an Applicable Margin and Term SOFR or Base Rate floor (if any) determined by the Borrower and the applicable Refinancing Revolving Credit Lenders; (C) shall have fees or other amounts as determined by the Borrower and the applicable Refinancing Revolving Credit Lenders; (D) shall not be guaranteed by any Person that is not otherwise a Guarantor; (E) shall not have a greater principal amount of Commitments than the principal amount of the Commitments of the Refinanced Debt plus accrued but unpaid interest, fees, premiums (if any) and penalties thereon and reasonable fees, expenses, OID and upfront fees associated with the refinancing; (F) shall not have a scheduled maturity date (or mandatory commitment reduction date) earlier than the Revolving Commitment Termination Date applicable to the Refinanced Debt; (G) shall not provide for scheduled amortization (or mandatory commitment reductions) prior to the then Revolving Commitment Termination Date applicable to the Refinanced Debt;


 
AMERICAS 129648577 89 (a) Refinancing Amendment. Commitments in respect of Refinancing Term Loans and Refinancing Revolving Credit Commitments shall become additional Commitments pursuant to an amendment (a “Refinancing Amendment”) to this Agreement and, as appropriate, the other Loan Documents, executed by the Borrower, each Refinancing Lender providing such Commitments and the Administrative Agent. The Refinancing Amendment may, without the consent of any other Loan Party, Agent or Lender, effect such amendments to this Agreement and the other Loan Documents as may be necessary or appropriate, in the reasonable opinion of the Administrative Agent and the Borrower, to effect the provisions of this Section 2.27, including amendments as deemed necessary by the Administrative Agent in its reasonable judgment to effect any lien or payment subordination and associated rights of the applicable Lenders to the extent any Refinancing Loans are to rank junior in right of security or payment or to address technical issues relating to funding and payments. The requirements of any other provision of this Agreement or any other Loan Document that may otherwise prohibit any transaction contemplated by this Section 2.27 will not apply to any of the transactions effected pursuant to this Section 2.27. The Borrower will use the proceeds of the Refinancing Term Loans and Refinancing Revolving Credit Commitments to extend, renew, replace, repurchase, retire or refinance, substantially concurrently, the applicable Refinanced Debt. (b) This Section 2.27 shall supersede any provisions in Section 2.21 or 10.2 to the contrary. Section 2.28. Extensions of Term Loans; Extension of Revolving Credit . (a) Extension of Term Loans. The Borrower may at any time and from time to time request that all or a portion of the Term Loans of a given Class (an “Existing Term Loan Tranche”) be amended to extend the scheduled Maturity Date(s) with respect to the Term Loans of such Existing Term Loan Tranche (any such Term Loans which have been so amended, “Extended Term Loans”) and to provide for other terms consistent with this Section 2.28. In order to establish any Extended Term Loans, the Borrower shall provide a notice to the Administrative Agent (who shall provide a copy of such notice to each of the Lenders under the applicable Existing Term Loan Tranche) (each, a “Term Loan Extension Request”) setting forth the proposed terms of the Extended Term Loans to be established, which shall (x) be identical as offered to each Lender under such Existing Term Loan Tranche (including as to the proposed interest rates and fees payable, but excluding any arrangement, structuring or other similar fees payable in connection therewith that are not generally shared with all relevant Lenders) and offered pro rata to each Lender under such Existing Term Loan Tranche and (y) be identical to or, taken as a whole, no more favorable to the lenders or holders providing such Extended Term Loans, than those applicable to] the Term Loans under the Existing Term Loan Tranche from which such Extended Term Loans are intended to be amended, except that: (i) all or any of the scheduled amortization payments of principal of the Extended Term Loans may be delayed to later dates than the scheduled amortization payments of principal of the Term Loans of such Existing Term Loan Tranche, to the extent provided in the applicable Extension Amendment; provided, however, that at no time shall there be Classes of Extended Term Loans and Refinancing Term Loans hereunder which have more than five (5) different Maturity Dates; (ii) the All-In Yield with respect to the Extended Term Loans (for this purpose, whether in the form of interest rate margin, rate floors, upfront fees, other fees, funding discounts, original issue discount, redemption premiums, prepayment or other premiums or otherwise) may be different than the All-In Yield for the Term Loans of such Existing Term Loan Tranche, in each case, to the extent provided in the applicable Extension Amendment; (iii) the Extension Amendment may provide for other covenants and terms that apply solely to any period after the Latest Maturity Date that is in effect on the effective date of the Extension Amendment (immediately prior to the establishment of such Extended Term Loans); and (iv) Extended Term Loans may have call protection and “most favored nation” provisions as may be agreed by the Borrower and the Lenders thereof; provided, that no Extended Term Loans may be optionally prepaid prior to the Maturity Date of the Term Loans, unless such optional prepayment is accompanied by a pro rata optional prepayment of the Term Loans; provided, however, that (A) no Event of Default shall have


 
AMERICAS 129648577 90 occurred and be continuing at the time a Term Loan Extension Request is delivered to Lenders, (B) in no event shall the Maturity Date of any Extended Term Loans of a given Term Loan Extension Series at the time of establishment thereof be earlier than the Maturity Date of the Existing Term Loan Tranche, (C) the Weighted Average Life to Maturity of any Extended Term Loans of a given Term Loan Extension Series at the time of establishment thereof shall be no shorter than the remaining Weighted Average Life to Maturity of the Existing Term Loan Tranche, (D) all documentation in respect of such Extension Amendment shall be consistent with the foregoing and (E) any Extended Term Loans may participate on a pro rata basis or less than or greater than a pro rata basis in any voluntary repayments or prepayments of principal of Term Loans hereunder and on a pro rata basis or less than a pro rata basis (but not greater than a pro rata basis other than with respect to payments at maturity or with the proceeds of Refinancing Term Loans), in any mandatory repayments or prepayments of Term Loans hereunder, in each case as specified in the respective Term Loan Extension Request. Any Extended Term Loans amended pursuant to any Term Loan Extension Request shall be designated a series (each, a “Term Loan Extension Series”) of Extended Term Loans for all purposes of this Agreement; provided that any Extended Term Loans amended from an Existing Term Loan Tranche may, to the extent provided in the applicable Extension Amendment, be designated as an increase in any previously established Term Loan Extension Series with respect to such Existing Term Loan Tranche (in which case scheduled amortization with respect thereto shall be proportionately increased). Each request for a Term Loan Extension Series of Extended Term Loans proposed to be incurred under this Section 2.28 shall be in an aggregate principal amount that is not less than $10,000,000 (it being understood that the actual principal amount thereof provided by the applicable Lenders may be lower than such minimum amount) and the Borrower may impose one or more conditions to effectiveness including without limitation an Extension Minimum Condition with respect to any Term Loan Extension Request, which may be waived by the Borrower in its sole discretion. (b) Extension of Revolving Credit Commitments. The Borrower may at any time and from time to time request that all or a portion of the Revolving Commitments of a given Class (each, an “Existing Revolver Tranche”) be amended to extend the Revolving Commitment Termination Date with respect to all or a portion of any principal amount of such Revolving Commitments (any such Revolving Commitments which have been so amended, “Extended Revolving Credit Commitments”, and any Loans made pursuant thereto, “Extended Revolving Loans”) and to provide for other terms consistent with this Section 2.28. In order to establish any Extended Revolving Credit Commitments, the Borrower shall provide a notice to the Administrative Agent (who shall provide a copy of such notice to each of the Lenders under the applicable Existing Revolver Tranche) (each, a “Revolver Extension Request”) setting forth the proposed terms of the Extended Revolving Credit Commitments to be established, which shall (x) be identical as offered to each Lender under such Existing Revolver Tranche (including as to the proposed interest rates and fees payable, but excluding any arrangement, structuring or other fees payable in connection therewith that are not generally shared with all relevant Lenders) and offered pro rata to each Lender under such Existing Revolver Tranche and (y) be identical to the Revolving Commitments under the Existing Revolver Tranche from which such Extended Revolving Credit Commitments are to be amended or, taken as a whole, no more favorable to the lenders or holders providing such Extended Revolving Credit Commitments, than those applicable to the Existing Revolver Tranche from which such Extended Revolving Credit Commitments are to be amended, except that: (i) the Revolving Commitment Termination Date of the Extended Revolving Credit Commitments may be delayed to a later date than the Revolving Commitment Termination Date of the Revolving Commitments of such Existing Revolver Tranche, to the extent provided in the applicable Extension Amendment; provided, however, that at no time shall there be Classes of Extended Revolving Credit Commitments and other Revolving Commitments hereunder which have more than two (2) different Revolving Commitment Termination Dates; (ii) the All- In Yield with respect to extensions of credit under the Extended Revolving Credit Commitments (for this purpose, whether in the form of rate floors, interest rate margin, upfront fees, other fees, funding discounts, original issue discount, redemption premiums, prepayment or other premiums or otherwise) may be different than the All-In Yield for extensions of credit under the Revolving Commitments of such Existing


 
AMERICAS 129648577 91 Revolver Tranche, in each case, to the extent provided in the applicable Extension Amendment; (iii) the Extension Amendment may provide for other covenants and terms that apply solely to any period after the latest Revolving Commitment Termination Date that is in effect on the effective date of the Extension Amendment (immediately prior to the establishment of such Extended Revolving Credit Commitments); and (iv) all borrowings under the applicable Revolving Credit Commitments (i.e., the Existing Revolver Tranche and the Extended Revolving Credit Commitments of the applicable Revolver Extension Series) and repayments thereunder shall be made on a pro rata basis (except for (I) payments of interest and fees at different rates on Extended Revolving Credit Commitments (and related outstandings) and (II) repayments required upon the Revolving Commitment Termination Date of the non-extending Revolving Credit Commitments); provided, further, that (A) no Event of Default shall have occurred and be continuing at the time a Revolver Extension Request is delivered to Lenders, (B) in no event shall the Revolving Commitment Termination Date (or mandatory commitment reductions) of any Extended Revolving Credit Commitments of a given Revolver Extension Series at the time of establishment thereof be earlier than the then latest Revolving Commitment Termination Date of any other Revolving Commitments hereunder and (C) all documentation in respect of such Extension Amendment shall be consistent with the foregoing. Any Extended Revolving Credit Commitments amended pursuant to any Revolver Extension Request shall be designated a series (each, a “Revolver Extension Series”) of Extended Revolving Credit Commitments for all purposes of this Agreement; provided that any Extended Revolving Credit Commitments amended from an Existing Revolver Tranche may, to the extent provided in the applicable Extension Amendment, be designated as an increase in any previously established Revolver Extension Series with respect to such Existing Revolver Tranche. Each request for a Revolver Extension Series of Extended Revolving Credit Commitments proposed to be incurred under this Section 2.28(b) shall be in an aggregate principal amount that is not less than $1,000,000 (it being understood that the actual principal amount hereof provided by the applicable Lenders may be lower than such minimum amount). The Borrower may impose one or more conditions to effectiveness including without limitation an Extension Minimum Condition with respect to any Revolver Extension Request, which may be waived by the Borrower in its sole discretion. (c) Extension Request. The Borrower shall provide the applicable Extension Request at least five (5) Business Days (or such shorter period as may be agreed by the Administrative Agent) prior to the date on which Lenders under the Existing Term Loan Tranche or Existing Revolver Tranche, as applicable, are requested to respond, and shall agree to such procedures, if any, as may be established by, or acceptable to, the Administrative Agent, in each case acting reasonably to accomplish the purposes of this Section 2.28. No Lender shall have any obligation to agree to have any of its Term Loans of any Existing Term Loan Tranche amended into Extended Term Loans or any of its Revolving Commitments amended into Extended Revolving Credit Commitments, as applicable, pursuant to any Extension Request. Any Lender holding a Loan under an Existing Term Loan Tranche wishing to have all or a portion of its Term Loans under the Existing Term Loan Tranche subject to such Extension Request amended into Extended Term Loans (each, an “Extending Term Lender”) and any Revolving Credit Lender wishing to have all or a portion of its Revolving Commitments under the Existing Revolver Tranche subject to such Extension Request amended into Extended Revolving Credit Commitments (each, an “Extending Revolving Credit Lender”), as applicable, shall notify the Administrative Agent (each, an “Extension Election”) on or prior to the date specified in such Extension Request of the amount of its Term Loans under the Existing Term Loan Tranche or Revolving Commitments under the Existing Revolver Tranche, as applicable, which it has elected to request be amended into Extended Term Loans or Extended Revolving Credit Commitments, as applicable (subject to any minimum denomination requirements imposed by the Administrative Agent). In the event that the aggregate principal amount of Term Loans under the Existing Term Loan Tranche or Revolving Commitments under the Existing Revolver Tranche, as applicable, in respect of which applicable Term Lenders or Revolving Lenders shall have accepted the relevant Extension Request exceeds the amount of Extended Term Loans or Extended Revolving Credit Commitments, as applicable, requested to be extended pursuant to the Extension Request or Term Loans or Revolving Commitments, as applicable, subject to Extension Elections shall be amended to Extended Term Loans or Extended Revolving Credit


 
AMERICAS 129648577 92 Commitments, as applicable, on a pro rata basis (subject to rounding by the Administrative Agent, which shall be conclusive) based on the aggregate principal amount of Term Loans or Revolving Commitments, as applicable, included in each such Extension Election. (d) Extension Amendment. Extended Term Loans and Extended Revolving Credit Commitments shall be established pursuant to an amendment (“Extension Amendment”) to this Agreement among the Borrower, the Administrative Agent and each Extending Term Lender or Extending Revolving Credit Lender, as applicable, providing an Extended Term Loan or Extended Revolving Credit Commitments, as applicable, thereunder, which shall be consistent with the provisions set forth in Sections 2.28(a) or (b) above, respectively (but which shall not require the consent of any other Lender). The effectiveness of any Extension Amendment shall be subject to the satisfaction on the date thereof of each of the conditions set forth in Section 3.2 and, to the extent reasonably requested by the Administrative Agent, receipt by the Administrative Agent of (i) legal opinions, board resolutions and officers’ certificates consistent with those delivered on the Restatement Date (conformed as appropriate) other than changes to such legal opinions resulting from a change in law, change in fact or change to counsel’s form of opinion reasonably satisfactory to the Administrative Agent and (ii) reaffirmation agreements and/or such amendments to the Collateral Documents as may be reasonably requested by the Administrative Agent in order to ensure that the Extended Term Loans or Extended Revolving Credit Commitments, as applicable, are provided with the benefit of the applicable Loan Documents. The Administrative Agent shall promptly notify each Lender as to the effectiveness of each Extension Amendment. Each of the parties hereto hereby agrees that this Agreement and the other Loan Documents may be amended pursuant to an Extension Amendment, without the consent of any other Lenders, to the extent (but only to the extent) necessary to (i) reflect the existence and terms of the Extended Term Loans or Extended Revolving Credit Commitments, as applicable, incurred pursuant thereto, (ii) modify the scheduled repayments set forth in Section 2.9 with respect to any Existing Term Loan Tranche subject to an Extension Election to reflect a reduction in the principal amount of the Term Loans required to be paid thereunder in an amount equal to the aggregate principal amount of the Extended Term Loans amended pursuant to the applicable Extension (with such amount to be applied ratably to reduce scheduled repayments of such Term Loans required pursuant to Section 2.9), (iii) modify the prepayments set forth in Section 2.11 and 2.12 to reflect the existence of the Extended Term Loans and the application of prepayments with respect thereto, (iv) address technical issues relating to funding and payments and (v) effect such other amendments to this Agreement and the other Loan Documents as may be necessary or appropriate, in the reasonable opinion of the Administrative Agent and the Borrower, to effect the provisions of this Section 2.28, and the Required Lenders hereby expressly authorize the Administrative Agent to enter into any such Extension Amendment. The requirements of any other provisions of this Agreement or any other Loan Document that may otherwise prohibit any transaction contemplated by this Section 2.28 will not apply to any of the transactions effected pursuant to this Section 2.28. (e) No conversion of Loans pursuant to any Extension in accordance with this Section 2.28 shall constitute a voluntary or mandatory payment or prepayment for purposes of this Agreement. (f) This Section 2.28 shall supersede any provisions in Section 2.21 or 10.2 to the contrary. ARTICLE III CONDITIONS PRECEDENT TO LOANS AND LETTERS OF CREDIT Section 3.1. Conditions to the Restatement Date. The obligations of the Lenders to make Loans and the obligations of the Issuing Bank to issue Letters of Credit hereunder on the Restatement Date are subject to the satisfaction (or waiver by the Lead Arrangers) of solely the following conditions (subject to the last paragraph of this Section 3.1):


 
AMERICAS 129648577 93 (a) The Administrative Agent shall have received payment of all fees, expenses and other amounts due and payable on or prior to the Restatement Date, including, without limitation, to the extent invoiced at least three (3) Business Days prior to the Restatement Date, reimbursement or payment of all out-of-pocket expenses of the Administrative Agent, and the Lead Arrangers (including reasonable fees, charges and disbursements of counsel to the Administrative Agent) required to be reimbursed or paid by the Borrower hereunder, under any other Loan Document and under any agreement with the Administrative Agent or the Lead Arrangers. (b) The Administrative Agent (or its counsel) shall have received the following, each to be in form and substance reasonably satisfactory to the Administrative Agent: (i) a counterpart of this Agreement signed by or on behalf of each party hereto or written evidence reasonably satisfactory to the Administrative Agent (which may include telecopy transmission of a signed signature page of this Agreement) that such party has signed a counterpart of this Agreement; (ii) a certificate of the Secretary or Assistant Secretary of each Loan Party in the form of Exhibit 3.1(b)(ii)(A), attaching and certifying copies of its bylaws, partnership agreement or limited liability company agreement, as applicable, and of the resolutions of its board of directors or other equivalent governing body, or comparable organizational documents and authorizations, authorizing the execution, delivery and performance of the Loan Documents to which it is a party and certifying the name, title and true signature of each officer of such Loan Party executing the Loan Documents to which it is a party; (iii) certified copies of the articles or certificate of incorporation, certificate of organization or limited partnership, or other registered organizational documents of each Loan Party, together with certificates of good standing or existence, as may be available from the Secretary of State of the jurisdiction of organization of such Loan Party; (iv) a customary written opinion of (i) Brown Rudnick, LLP, New York legal counsel to the Loan Parties, addressed to the Administrative Agent, the Issuing Bank and each of the Lenders, and (ii) Holland and Knight LLP, special Tennessee and Kentucky counsel to the Loan Parties, addressed to the Administrative Agent, the Issuing Bank and each of the Lenders; (v) the Guaranty and Security Agreement, duly executed by each Loan Party; (vi) a duly executed Notice of Borrowing for any initial Borrowing delivered at least three (3) Business Days prior to the Restatement Date (or such shorter period as the Lead Arrangers may otherwise agree); (vii) [Reserved]. (ix) [reserved] (x) so long as requested at least ten (10) days prior to the Restatement Date, the Lead Arrangers shall have received, at least three (3) business days prior to the Restatement Date, (A) all documentation and other information concerning the Borrower and the other Guarantors that the Lead Arrangers reasonably determine is required by regulatory authorities under applicable “know your customer” and anti-money laundering rules and regulations, including without limitation the USA PATRIOT Act and (B) a customary Beneficial Ownership Certification in relation to the Borrower


 
AMERICAS 129648577 94 (xi) a certificate in the form of Exhibit 3.1(b)(xi), dated the Restatement Date and signed by a Responsible Officer of the Borrower, confirming that the Loan Parties and their Restricted Subsidiaries on a consolidated basis are Solvent after giving effect to the funding of the initial Term Loan Borrowing (if any) and any initial Revolving Borrowing and the consummation of the transactions contemplated to occur on the Restatement Date; (xii) a duly executed Reaffirmation Agreement; (xvi) the Administrative Agent and the Lenders shall have received all fees and expenses, if any, payable on the Restatement Date pursuant to the Engagement Letter and Section 2.14; and (xvii) a copy of a promissory note executed by the Borrower in favor of each Lender that has requested a promissory note pursuant to Section 2.10 at least two (2) Business Days in advance of the Restatement Date. Without limiting the generality of the provisions of this Section, for purposes of determining compliance with the conditions specified in this Section, each Lender that has signed this Credit Agreement shall be deemed to have consented to, approved of, accepted or been satisfied with each document or other matter required thereunder to be consented to, approved by or acceptable or satisfactory to a Lender unless the Administrative Agent shall have received notice from such Lender prior to the proposed Restatement Date specifying its objection thereto. Section 3.2. Conditions to Each Credit Event. The obligation of each Lender to make a Loan on the occasion of any Borrowing and of the Issuing Bank to issue, amend, renew or extend any Letter of Credit is subject to Section 2.26(d) and the satisfaction (or waiver) of the following conditions: (a) at the time of and immediately after giving effect to such Borrowing or the issuance, amendment, renewal or extension of such Letter of Credit, as applicable, no Default or Event of Default shall exist; (b) all representations and warranties of each Loan Party set forth in the Loan Documents shall be true and correct in all material respects (other than those representations and warranties that are expressly qualified by a Material Adverse Effect or other materiality, in which case such representations and warranties shall be true and correct in all respects) at the time of and immediately after giving effect to such Borrowing or the issuance, amendment, renewal or extension of such Letter of Credit, as applicable, except for any representation or warranty made as of an earlier date, which representation and warranty shall remain true and correct as of such earlier date; and (c) the Borrower shall have delivered a Notice of Borrowing (if applicable) Each Borrowing and each issuance, amendment, renewal or extension of any Letter of Credit shall be deemed to constitute a representation and warranty by the Borrower on the date thereof as to the matters specified in subsections (a) and (b) of this Section. Notwithstanding the foregoing, the conditions set forth in subsections (a) and (b) of this Section shall not apply to any Incremental Facility (which shall be governed by Section 2.23) and/or any extensions of credit under any Refinancing Amendment (which shall be governed by Section 2.27) or Extension Amendment (which shall be governed by Section 2.28). Section 3.3. Delivery of Documents. All of the Loan Documents, certificates, legal opinions and other documents and papers referred to in this Article, unless otherwise specified, shall be delivered to the Administrative Agent for the account of each of the Lenders and in sufficient counterparts or copies for


 
AMERICAS 129648577 95 each of the Lenders and shall be in form and substance reasonably satisfactory in all respects to the Administrative Agent. ARTICLE IV REPRESENTATIONS AND WARRANTIES Each of Holdings and the Borrower represents and warrants to the Administrative Agent, each Lender and the Issuing Bank as follows: Section 4.1. Existence; Power. Each of Holdings, the Borrower and its Restricted Subsidiaries (i) is duly organized, validly existing and in good standing as a corporation, partnership or limited liability company under the laws of the jurisdiction of its organization, (ii) has all requisite power and authority to carry on its business as now conducted except where the failure to have such power and authority would not reasonably be expected to have a Material Adverse Effect, and (iii) is duly qualified to do business, and is in good standing, in each jurisdiction where such qualification is required, except where a failure to be so qualified could not reasonably be expected to result in a Material Adverse Effect. No Loan Party is an Affected Financial Institution. Section 4.2. Organizational Power; Authorization. The execution, delivery and performance by each Loan Party of the Loan Documents to which it is a party are within such Loan Party’s organizational powers and have been duly authorized by all necessary organizational and, if required, shareholder, partner or member action. This Agreement has been duly executed and delivered by Holdings and the Borrower and constitutes, and each other Loan Document to which any Loan Party is a party, when executed and delivered by such Loan Party, will constitute, valid and binding obligations of Holdings and the Borrower or such Loan Party (as the case may be), enforceable against it in accordance with their respective terms, except as may be limited by applicable bankruptcy, insolvency, reorganization, moratorium or similar laws affecting the enforcement of creditors’ rights generally and by general principles of equity. Section 4.3. Governmental Approvals; No Conflicts. The execution, delivery and performance by each Loan Party of the Loan Documents to which it is a party (a) do not require any consent or approval of, registration or filing with, or any action by, any Governmental Authority, except those as have been obtained or made and are in full force and effect and except for filings necessary to perfect or maintain perfection of the Liens created under the Loan Documents, (b) will not violate any Requirement of Law applicable to Holdings, the Borrower or any of its Restricted Subsidiaries or any judgment, order or ruling of any Governmental Authority, except where such violation, either individually or in the aggregate, could not reasonably be expected to result in a Material Adverse Effect, (c) will not violate or result in a default under any Contractual Obligation of Holdings, the Borrower or any of its Restricted Subsidiaries or any of its assets or give rise to a right thereunder to require any payment to be made by Holdings, the Borrower or any of its Subsidiaries, except where such violation, default or right, either individually or in the aggregate, could not reasonably be expected to result in a Material Adverse Effect and (d) will not result in the creation or imposition of any Lien on any asset of Holdings, the Borrower or any of its Restricted Subsidiaries, except Liens (if any) created under the Loan Documents and Permitted Liens and (e) do not contravene the terms of any such Person’s Organization Documents. Section 4.4. Financial Statements. The Borrower has furnished to each Lender (x) the audited consolidated balance sheet and related audited consolidated statements of income, stockholders’ equity and cash flows of the Borrower for the Fiscal Years ended December 31, 2023 and (y) the unaudited consolidated balance sheets and related unaudited consolidated statements of income, stockholders’ equity and cash flows of the Borrower for each Fiscal Quarter and year to date period then ended after the date of the most recent audited financial statements delivered pursuant to clause (x) above, and ended at least 45


 
AMERICAS 129648577 96 days prior to the Restatement Date. Such financial statements fairly present the consolidated results of operations for such periods in conformity with GAAP consistently applied, subject to year-end audit adjustments and the absence of footnotes in the case of the statements referred to in clause (y). Section 4.5. Litigation and Environmental Matters. (a) No litigation, investigation or proceeding of or before any arbitrators or Governmental Authorities is pending against or, to the knowledge of the Borrower, threatened in writing against or affecting Holdings, the Borrower or any of its Restricted Subsidiaries (i) as to which it is reasonably likely that there will be an adverse determination that could reasonably be expected to have, either individually or in the aggregate, a Material Adverse Effect or (ii) which in any manner seeks to enjoin or calls into question the validity or enforceability of this Agreement or any other Loan Document. (b) None of Holdings, the Borrower or any of its Restricted Subsidiaries (i) has failed to comply, in any material respect, with any Environmental Law or to obtain, maintain or comply with any permit, license or other approval required under any Environmental Law, (ii) to the knowledge of the Borrower, has become subject to any Environmental Liability, (iii) has received notice of any claim with respect to any Environmental Liability or (iv) knows of any basis for any Environmental Liability, in each case, which could reasonably be expected to result in a Material Adverse Effect. Section 4.6. Compliance with Laws and Agreements. Each of Holdings, the Borrower and each of its Restricted Subsidiaries is in compliance with (a) all Requirements of Law and all judgments, decrees and orders of any Governmental Authority and (b) all indentures, agreements or other instruments binding upon it or its properties, except, in each case of clauses (a) and (b), where non-compliance, either individually or in the aggregate, could not reasonably be expected to result in a Material Adverse Effect. Section 4.7. Investment Company Act. None of Holdings, the Borrower or any of its Restricted Subsidiaries is (a) an “investment company”, is required to be registered as an “investment company” or is “controlled” by an “investment company”, as such terms are defined in, or subject to regulation under, the Investment Company Act of 1940, as amended and in effect from time to time, or (b) otherwise subject to any other regulatory scheme limiting its ability to incur debt or requiring any approval or consent from, or registration or filing with, any Governmental Authority in connection therewith. Section 4.8. Taxes. Each of Holdings, the Borrower and its Subsidiaries and each other Person for whose taxes Holdings, the Borrower or any of its Subsidiaries could become liable have timely filed or caused to be filed all federal income tax returns and all other material tax returns that are required to be filed by them, and have paid all taxes owed by Holdings, the Borrower and its Subsidiaries as shown to be due and payable on such returns or on any assessments made against any of them or any of their property and all other taxes, fees or other charges imposed on them or any of their property by any Governmental Authority, except where (a) the same are currently being contested in good faith by appropriate proceedings and for which Holdings, the Borrower or such Restricted Subsidiary, as the case may be, has set aside on its books adequate reserves in accordance with GAAP or (b) where the failure to file any such return or pay any such taxes could not reasonably be expected to result in a Material Adverse Effect. The charges, accruals and reserves on the books of Holdings, the Borrower and its Subsidiaries in respect of such taxes are adequate, and no tax liabilities that could be in excess of the amount so provided are anticipated except if the failure of such charges, accruals and reserves to be adequate and/or such excess amount would not reasonably be expected to result in a Material Adverse Effect. Section 4.9. Margin Regulations. None of the proceeds of any of the Loans or Letters of Credit will be used, directly or indirectly, for “purchasing” or “carrying” any “margin stock” within the respective meanings of each of such terms under Regulation U or for any purpose that violates the provisions of


 
AMERICAS 129648577 97 Regulation T, Regulation U or Regulation X. None of Holdings, the Borrower or any of its Restricted Subsidiaries is engaged principally, or as one of its important activities, in the business of extending credit for the purpose of purchasing or carrying “margin stock”. Section 4.10. ERISA. Except as could not reasonably be expected to result in a Material Adverse Effect, (a) each Plan is in substantial compliance in form and operation with its terms and with ERISA and the Code (including, without limitation, the Code provisions compliance with which is necessary for any intended favorable tax treatment) and all other applicable laws and regulations, (b) each Plan (and each related trust, if any) which is intended to be qualified under Section 401(a) of the Code has received a favorable determination letter from the Internal Revenue Service to the effect that it meets the requirements of Sections 401(a) and 501(a) of the Code covering all applicable tax law changes, or is comprised of a master or prototype plan that has received a favorable opinion letter from the Internal Revenue Service, and nothing has occurred since the date of such determination that would adversely affect such determination (or, in the case of a Plan with no determination, nothing has occurred that would adversely affect the issuance of a favorable determination letter or otherwise adversely affect such qualification), (c) no ERISA Event has occurred or is reasonably expected to occur, (d) there exists no Unfunded Pension Liability with respect to any Plan subject to Title IV of ERISA, (e) none of the Borrower, any of its Subsidiaries or any ERISA Affiliate is making or accruing an obligation to make contributions, or has, within any of the five calendar years immediately preceding the date this assurance is given or deemed given, made or accrued an obligation to make, contributions to any Multiemployer Plan, (f) there are no actions, suits or claims pending against or involving a Plan (other than routine claims for benefits) or, to the knowledge of the Borrower, any of its Subsidiaries or any ERISA Affiliate, threatened, which would reasonably be expected to be asserted successfully against any Plan and, if so asserted successfully, would reasonably be expected either singly or in the aggregate to result in liability to the Borrower or any of its Subsidiaries, (g) the Borrower, each of its Subsidiaries and each ERISA Affiliate have made all contributions to or under each Plan and Multiemployer Plan required by law within the applicable time limits prescribed thereby, by the terms of such Plan or Multiemployer Plan, respectively, or by any contract or agreement requiring contributions to a Plan or Multiemployer Plan, (h) no Plan which is subject to Section 412 of the Code or Section 302 of ERISA has applied for or received an extension of any amortization period within the meaning of Section 412 of the Code or Section 303 or 304 of ERISA, (i) none of the Borrower, any of its Subsidiaries or any ERISA Affiliate have ceased operations at a facility so as to become subject to the provisions of Section 4068(a) of ERISA, withdrawn as a substantial employer so as to become subject to the provisions of Section 4063 of ERISA or ceased making contributions to any Plan subject to Section 4064(a) of ERISA to which it made contributions, (j) each Non-U.S. Plan has been maintained in compliance with its terms and with the requirements of any and all applicable laws, statutes, rules, regulations and orders and has been maintained, where required, in good standing with applicable regulatory authorities, except as would not reasonably be expected to result in liability to the Borrower or any of its Subsidiaries, (k) all contributions required to be made with respect to a Non-U.S. Plan have been timely made and (l) neither the Borrower nor any of its Subsidiaries has incurred any obligation in connection with the termination of, or withdrawal from, any Non-U.S. Plan. The present value of the accrued benefit liabilities (whether or not vested) under each Non-U.S. Plan that is required to be funded, determined as of the end of the Borrower’s most recently ended Fiscal Year on the basis of reasonable actuarial assumptions, did not exceed the current value of the assets of such Non-U.S. Plan allocable to such benefit liabilities unless such excess liabilities would not reasonably be expected to result in a Material Adverse Effect. Section 4.11. Ownership of Property; Insurance. (a) Except as could not reasonably be expected to have, either individually or in the aggregate, a Material Adverse Effect, each of Holdings, the Borrower and its Restricted Subsidiaries has good title to, or valid leasehold interests in, all of its real and personal property material to the operation of


 
AMERICAS 129648577 98 its business, or purported to have been acquired by Holdings, the Borrower or any of its Restricted Subsidiaries after said date (except as sold or otherwise disposed of in the ordinary course of business or as otherwise permitted hereunder), in each case free and clear of Liens (except for Liens permitted by Section 7.2). All leases that individually or in the aggregate are material to the business or operations of Holdings, the Borrower and its Restricted Subsidiaries are valid and subsisting and are in full force other than to the extent that the failure to be so valid and subsisting would not reasonably be expected to result in a Material Adverse Effect. (b) Each of Holdings, the Borrower and its Restricted Subsidiaries owns, or is licensed or otherwise has the right to use, all patents, trademarks, service marks, trade names, copyrights, domain names, trade secrets, software, know-how, proprietary information, data, and other intellectual property used in its business other than if the failure to so own, have such license or right would not reasonably be expected to result in a Material Adverse Effect, and the use thereof by Holdings, the Borrower and its Restricted Subsidiaries does not, to the best knowledge of the Borrower, infringe in any material respect on the rights of any other Person other than if such infringement would not reasonably be expected to result in a Material Adverse Effect. (c) The properties of the Borrower and its Subsidiaries are insured with insurance companies (i) that the Borrower believes in good faith to be financially sound and reputable and (ii) which are not Affiliates of the Borrower, in such amounts with such deductibles and covering such risks as are customarily carried by companies engaged in similar businesses and owning similar properties in localities where the Borrower or any applicable Subsidiary operates. (d) As of the Restatement Date, neither the Borrower nor any of its Restricted Subsidiaries owns any Real Estate other than the Real Estate located at 194 American Ave, Glasgow, Kentucky 42141. Section 4.12. Disclosure. (a) The Borrower has disclosed to the Lenders all agreements, instruments, and corporate or other restrictions to which Holdings, the Borrower or any of its Restricted Subsidiaries is subject, and all other matters known to any of them, that, in each case, either individually or in the aggregate, could reasonably be expected to result in a Material Adverse Effect. The marketing materials utilized in connection with syndicating the Revolving Commitments (in effect immediately after giving effect to this Agreement) and any of the reports (including, without limitation, all reports that the Borrower is required to file with the Securities and Exchange Commission), financial statements, certificates or other information furnished by or on behalf of the Borrower to the Administrative Agent or any Lender in connection with the negotiation or syndication of this Agreement or any other Loan Document or delivered hereunder or thereunder (as modified or supplemented by any other information so furnished) when furnished and taken as a whole, are correct in all material respects and do not contain any untrue statement of material fact or omit to state any material fact necessary in order to make the statements therein, not materially misleading in light of the circumstances under which such statements are made; provided that, with respect to projected financial information, the Borrower represents only that such information was prepared in good faith based upon assumptions believed to be reasonable at the time furnished to the Lenders; provided, further that projected financial information is as to future events and is not to be viewed as facts, that any projected financial information is subject to significant uncertainty and contingency, many of which are beyond the Borrower’s control, that no assurance can be given that any particular projected financial information will be realized and that actual results during the period or periods covered by any such projected financial information may differ significantly from the projected results and such differences may be material.


 
AMERICAS 129648577 99 (b) The information included in the Beneficial Ownership Certification is true and correct in all material respects. Section 4.13. Labor Relations. There are no strikes, lockouts or other material labor disputes or grievances against Holdings, the Borrower or any of its Restricted Subsidiaries, or, to the Borrower’s knowledge, threatened in writing against or affecting Holdings, the Borrower or any of its Restricted Subsidiaries, in each case, except for those that would not, in the aggregate, have a Material Adverse Effect. No significant unfair labor practice charges or grievances are pending against Holdings, the Borrower or any of its Restricted Subsidiaries, or, to the Borrower’s knowledge, threatened in writing against any of them before any Governmental Authority, in each case, that individually or, in the aggregate, would reasonably be expected to result in a Material Adverse Effect. All payments due from Holdings, the Borrower or any of its Restricted Subsidiaries pursuant to the provisions of any collective bargaining agreement have been paid or accrued as a liability on the books of Holdings, the Borrower or any such Restricted Subsidiary, except where the failure to do so could not reasonably be expected to have a Material Adverse Effect. Section 4.14. Subsidiaries. Schedule 4.14 sets forth the name of, the ownership interest of the applicable Loan Party in, the jurisdiction of incorporation or organization of, and the type of each Subsidiary of the Borrower and the other Loan Parties and identifies each Subsidiary that is a Subsidiary Loan Party, in each case, as of the Restatement Date. Section 4.15. Solvency. After giving effect to the execution and delivery of the Loan Documents and the making of the Loans under this Agreement on the Restatement Date, the Loan Parties and their Subsidiaries taken as a whole and on a consolidated basis are Solvent. Section 4.16. [Reserved]. Section 4.17. Collateral Documents. (a) The Guaranty and Security Agreement is effective to create in favor of the Administrative Agent for the ratable benefit of the Secured Parties a legal, valid and enforceable security interest in the Collateral (as defined therein), and when UCC financing statements in appropriate form are filed in the offices specified on Schedule 3 to the Guaranty and Security Agreement, the Guaranty and Security Agreement shall constitute a fully perfected Lien (to the extent that such Lien may be perfected by the filing of a UCC financing statement against the Collateral) on, and security interest in, all right, title and interest of the grantors thereunder in such Collateral, in each case, other than with respect to Liens expressly permitted by Section 7.2. When the certificates evidencing all Capital Stock pledged pursuant to the Guaranty and Security Agreement are delivered to the Administrative Agent, together with appropriate stock powers or other similar instruments of transfer duly executed in blank, the Liens in such Capital Stock shall be fully perfected first priority security interests, perfected by “control” as defined in the UCC. (b) When the filings in subsection (a) of this Section are made and when, if applicable, the Patent Security Agreements and the Trademark Security Agreements are filed in the United States Patent and Trademark Office and the Copyright Security Agreements are filed in the United States Copyright Office, the Guaranty and Security Agreement shall evidence a fully perfected Lien on, and security interest in, all right, title and interest of the Loan Parties in the Patents, Trademarks and Copyrights, if any, in which a security interest may be perfected by filing, recording or registering a security agreement, financing statement or analogous document in the United States Patent and Trademark Office or the United States Copyright Office, as applicable, in each case prior and superior in right to any other Person other than Liens permitted to secure pari passu or senior Indebtedness pursuant to Sections 7.1 and 7.2.


 
AMERICAS 129648577 100 (c) Each Mortgage, when duly executed and delivered by the relevant Loan Party, will be effective to create in favor of the Administrative Agent for the ratable benefit of the Secured Parties a legal, valid and enforceable Lien on all of such Loan Party’s right, title and interest in and to the Real Estate of such Loan Party covered thereby and the proceeds thereof, and when such Mortgage is filed in the real estate records where the respective Mortgaged Property is located, such Mortgage shall constitute a fully perfected Lien on, and security interest in, all right, title and interest of such Loan Party in such Real Estate and the proceeds thereof, in each case prior and superior in right to any other Person, other than with respect to Liens expressly permitted by Section 7.2. (d) No Mortgage encumbers improved real property that is located in an area that has been identified by the Secretary of Housing and Urban Development as an area having special flood hazards except if flood insurance has been provided under the National Flood Insurance Act of 1968. Section 4.18. Healthcare Laws. Each of Holdings, the Borrower and its Restricted Subsidiaries is in compliance with all Healthcare Laws, except, in each case, where non-compliance, either individually or in the aggregate, could not reasonably be expected to result in a Material Adverse Effect. Section 4.19. OFAC and USA Patriot Act. None of the Loan Parties, or any of their Subsidiaries or their respective officers, directors or, to the knowledge of any Loan Party, any of their respective employees, is an individual or entity that is, or is owned or controlled by any individual or entity that is (i) currently the subject or target of any Sanctions, (ii) is a Sanctioned Person or (iii) located, organized or resident in a Sanctioned Country. Neither Holdings, the Borrower nor any of its Restricted Subsidiaries does business or conducts any transactions with the governments of, or persons within, any country that is subject or target of any Sanctions. Neither Holdings, the Borrower nor any of its Restricted Subsidiaries will directly or, to the knowledge of Holdings, the Borrower or such Restricted Subsidiary, indirectly use the proceeds from the Loans or the Letters of Credit, or lend, contribute or otherwise make available such proceeds to any Subsidiary, joint venture partner or other Person to fund any activities of or business with any Person that, at the time of such funding, is the subject or target of Sanctions, or is in any country or territory that, at the time of such funding or facilitation, is the subject or target of Sanctions. Neither Holdings, the Borrower nor any of its Restricted Subsidiaries is in violation in any material respect of the USA PATRIOT Act. The Loan Parties and their Subsidiaries have instituted and maintained policies and procedures designed to promote and achieve compliance with this Section 4.19. Section 4.20. Anti-Corruption Laws. (a) The Loan Parties and their Subsidiaries have conducted their businesses in compliance in all material respects with the United States Foreign Corrupt Practices Act of 1977, the UK Bribery Act 2010, and other similar and applicable anti-corruption legislation or laws in other jurisdictions and have instituted and maintained policies and procedures designed to promote and achieve compliance with such laws. (b) No part of the proceeds of the Loans or Letters of Credit will be used by Holdings, the Borrower or its Restricted Subsidiaries, directly or, to the knowledge of Holdings, the Borrower or such Restricted Subsidiaries, indirectly, in any manner that violates any provision of applicable anti-corruption legislation or laws in any material respect. Section 4.21. Use of Proceeds. The Borrower will use the proceeds of the Revolving Loans and loans incurred under any Incremental Facility made, and Letters of Credit issued, after the Closing Date for working capital and general corporate purposes and other purposes permitted by the terms of this Agreement.


 
AMERICAS 129648577 101 Section 4.22. Affected Financial Institutions. No Loan Party is an Affected Financial Institution. ARTICLE V AFFIRMATIVE COVENANTS Each of Holdings (Solely in the case of Sections 5.3, 5.4, 5.5, 5.6, 5.8 and 5.12) and the Borrower covenants and agrees, and (except in the case of Sections 5.1, 5.2 and 5.9) shall cause each of their respective Restricted Subsidiaries to covenant and agree, that so long as any Lender has a Commitment hereunder or any Obligation (other than unasserted contingent Obligations) remains unpaid or outstanding: Section 5.1. Financial Statements and Other Information. The Borrower will deliver to the Administrative Agent: (a) as soon as available and in any event within 120 days after the end of each Fiscal Year of the Borrower, a copy of the annual audited report for such Fiscal Year for the Borrower and its Subsidiaries, containing a consolidated balance sheet of the Borrower and its Subsidiaries as of the end of such Fiscal Year and the related consolidated statements of income, stockholders’ equity and cash flows (together with all footnotes thereto) of the Borrower and its Subsidiaries for such Fiscal Year, setting forth in each case in comparative form the figures for the previous Fiscal Year, all in reasonable detail (together with customary management discussion and analysis) and reported on by an independent public accountant of nationally recognized standing or any other independent accounting firm reasonably acceptable to the Administrative Agent (without a “going concern” or like qualification, exception or explanation and without any qualification or exception as to the scope of such audit except any “going concern” qualification or exception as a result of the impending Maturity Date or Revolving Commitment Termination Date, any change in accounting practices or policies due to changes in GAAP that is required or approved by such auditors or any prospective non-compliance with Section 6.1 and/or 6.3 hereof) to the effect that such financial statements present fairly in all material respects the financial condition and the results of operations of the Borrower and its Subsidiaries for such Fiscal Year on a consolidated basis in accordance with GAAP and that the examination by such accountants in connection with such consolidated financial statements has been made in accordance with generally accepted auditing standards; (b) as soon as available and in any event within 45 days after the end of each Fiscal Quarter of the Borrower (commencing with the Fiscal Quarter ending June 30, 2025), an unaudited consolidated balance sheet of the Borrower and its Subsidiaries as of the end of such Fiscal Quarter and the related unaudited consolidated statements of income and cash flows of the Borrower and its Subsidiaries for such Fiscal Quarter and the then elapsed portion of such Fiscal Year, setting forth in each case in comparative form the figures for the corresponding Fiscal Quarter, the corresponding portion of the Borrower’s previous Fiscal Year and the budget for such Fiscal Year and including management’s discussion and analysis of operating results inclusive of operating metrics in comparative form and certified by a Responsible Officer of the Borrower as fairly presenting in all material respects the financial condition, results of income or operations and cash flows of the Borrower and its Subsidiaries in accordance with GAAP, subject only to normal year-end audit adjustments and the absence of footnotes; (c) concurrently with the delivery of the financial statements referred to in subsections (a) and (b) of this Section, a Compliance Certificate signed by the chief financial officer of the Borrower (i) certifying as to whether there exists a Default or Event of Default on the date of such certificate and, if a Default or an Event of Default then exists, specifying the details thereof and the action which the Borrower has taken or proposes to take with respect thereto, (ii) setting forth in reasonable detail calculations demonstrating compliance with the financial covenants set forth in Article VI, (iii) specifying any change


 
AMERICAS 129648577 102 in the identity of the Subsidiaries as of the end of such Fiscal Year or Fiscal Quarter from the Subsidiaries identified to the Lenders on the Restatement Date or as of the most recent Fiscal Year or Fiscal Quarter, as the case may be, (iv) stating whether any change in GAAP or the application thereof has occurred since the date of the mostly recently delivered audited financial statements of Holdings and/or the Borrower and its Restricted Subsidiaries, and, if any change has occurred, specifying the effect of such change on the financial statements accompanying such Compliance Certificate and (v) setting forth reasonably detailed calculations in the case of financial statements delivered under paragraph (a) above, beginning with the financial statements for the Fiscal Year of the Borrower ending December 31, 2021, of Excess Cash Flow and Available Amount for such Fiscal Year; (d) as soon as available and in any event within 90 days after the end of the calendar year, forecasts and a pro forma budget for the succeeding Fiscal Year, containing an income statement, balance sheet and statement of cash flow and including management discussion and analysis of operating results inclusive of operating metrics in comparative form; (e) promptly after the same become publicly available, copies of all periodic and other reports, proxy statements and other materials, in each case, filed with the Securities and Exchange Commission, or any Governmental Authority succeeding to any or all functions of said Commission, or with any national securities exchange, or distributed by the Borrower to its shareholders generally, as the case may be; (f) to the extent applicable, simultaneously with the delivery of each set of consolidated financial statements referred to in clauses (a) and (b) above, the related unaudited consolidating financial information (i) that explains in reasonable detail the differences (if any) between the information relating to the Borrower and its Subsidiaries, on the one hand, and the information relating to the Borrower and its Restricted Subsidiaries on a standalone basis, on the other hand, and (ii) reflecting adjustments necessary to eliminate the accounts of Unrestricted Subsidiaries (if any) from such consolidated financial statements; and (g) and promptly following any request therefor, (i) such other information regarding the results of operations, business affairs and financial condition of Holdings, the Borrower or any of its Restricted Subsidiaries and (ii) that the Administrative Agent, any Lender or the Issuing Bank reasonably determines is required by regulatory authorities under the Beneficial Ownership Regulation and applicable “Know Your Customer” and anti-money laundering rules and regulations, including the USA Patriot Act, in each case, as the Administrative Agent or any Lender may reasonably request. Notwithstanding the foregoing, the obligations in paragraphs (a) and (b) of this Section 5.1 may be satisfied with respect to financial information of the Borrower and its Subsidiaries by furnishing (A) the Form 10-K or 10-Q (or the equivalent), as applicable, of the Borrower (or a parent company thereof) filed with the SEC within the applicable time periods required by applicable law and regulations (including any extended deadlines available thereunder in connection with an IPO or (B) the applicable financial statements of Holdings (or any direct or indirect parent of Holdings)); provided that (i) to the extent such information relates to a parent of the Borrower, such information is accompanied by consolidating information, which may be unaudited, that explains in reasonable detail the differences between the information relating to such parent, on the one hand, and the information relating to the Borrower and its Subsidiaries on a standalone basis, on the other hand, and (ii) to the extent such information is in lieu of information required to be provided under Section 5.1(a), such materials are accompanied by a report and opinion of an independent public accounting firm of nationally recognized standing, which report and opinion shall be prepared in accordance with generally accepted auditing standards and shall not be subject to any “going concern” or like qualification or exception or any qualification or exception as to the scope of such audit (other than any going concern qualification, exception or explanatory paragraph that is


 
AMERICAS 129648577 103 expressly solely with respect to, or expressly resulting solely from, (i) the upcoming Maturity Date or Revolving Commitment Termination Date, (ii) any change in accounting practices or policies due to changes in GAAP that is required or approved by such auditors or (iii) any prospective non-compliance with Section 6.1 and/or 6.3). Documents required to be delivered pursuant to Section 5.1(a), (b) or (e) (to the extent any such documents are included in materials otherwise filed with the SEC) may be delivered electronically and if so delivered, shall be deemed to have been delivered on the date (i) on which the Borrower posts such documents, or provides a link thereto on the Borrower’s website on the Internet at the website address listed in Section 10.1; or (ii) on which such documents are posted on the Borrower’s behalf on an Internet or intranet website, if any, to which each Lender and the Administrative Agent have access (whether a commercial, third-party website or whether sponsored by the Administrative Agent). The Administrative Agent shall have no obligation to request the delivery of or maintain paper copies of the documents referred to above, and each Lender shall be solely responsible for timely accessing posted documents and maintaining its copies of such documents. Section 5.2. Notices of Material Events. The Borrower will furnish to the Administrative Agent and each Lender prompt written notice of the following: (a) the occurrence of any Default or Event of Default; (b) the filing or commencement of, or any material development in, any action, suit or proceeding by or before any arbitrator or Governmental Authority against or, to the knowledge of the Borrower, affecting Holdings, the Borrower or any of its Restricted Subsidiaries, in each case, which, if adversely determined, could reasonably be expected to result in a Material Adverse Effect; (c) the occurrence of any event or any other development by which Holdings, the Borrower or any of its Restricted Subsidiaries (i) fails to comply with any Environmental Law or to obtain, maintain or comply with any permit, license or other approval required under any Environmental Law, (ii) becomes subject to any Environmental Liability, (iii) receives notice of any claim with respect to any Environmental Liability, or (iv) becomes aware of any basis for any Environmental Liability, in each case which, either individually or in the aggregate, could reasonably be expected to result in a Material Adverse Effect; (d) promptly and in any event within 15 days after (i) Holdings, the Borrower, any of its Restricted Subsidiaries or any ERISA Affiliate knows or has reason to know that any ERISA Event has occurred that could reasonably be expected to result in a Material Adverse Effect, a certificate of a Responsible Officer of the Borrower describing such ERISA Event and the action, if any, proposed to be taken with respect to such ERISA Event and a copy of any notice filed with the PBGC or the IRS pertaining to such ERISA Event and any notices received by the Borrower, such Subsidiary or such ERISA Affiliate from the PBGC or any other governmental agency with respect thereto and (ii) becoming aware (1) that there has been an increase in Unfunded Pension Liabilities (not taking into account Plans with negative Unfunded Pension Liabilities) since the date the representations hereunder are given or deemed given, or from any prior notice, as applicable, (2) of the incurrence of any Withdrawal Liability, (3) of the adoption of, or the commencement of contributions to, any Plan subject to Title IV of ERISA by the Borrower, any of its Subsidiaries or any ERISA Affiliate, or (4) of the adoption of any amendment to a Plan subject to Title IV of ERISA which, in each case, could reasonably be expected to result in a Material Adverse Effect, a detailed written description thereof from a Responsible Officer of the Borrower;


 
AMERICAS 129648577 104 (e) the occurrence of any default or event of default, or the receipt by the Borrower or any of its Restricted Subsidiaries of any written notice of an alleged default or event of default, with respect to any Material Indebtedness of the Borrower or any of its Restricted Subsidiaries; (f) any other development that, either individually or in the aggregate, results in, or could reasonably be expected to result in, a Material Adverse Effect (including with respect to Healthcare Permits); (g) any change in the information provided in the Beneficial Ownership Certification that would result in a change to the list of beneficial owners identified in parts (c) and (d) of such certification; and (h) as soon as available and in any event within 30 days after receipt thereof, a copy of any environmental report or site assessment obtained by or for Holdings, the Borrower, or any of its Restricted Subsidiaries after the Restatement Date on any Real Estate. Each notice or other document delivered under this Section shall be accompanied by a written statement of a Responsible Officer setting forth the details of the event or development requiring such notice or other document and any action taken or proposed to be taken with respect thereto. Section 5.3. Existence; Conduct of Business. Each of Holdings and the Borrower will, and the Borrower will cause each of its Restricted Subsidiaries to, do or cause to be done all things necessary to preserve, renew and maintain in full force and effect its legal existence and its respective rights, licenses, permits, privileges, franchises, patents, copyrights, trademarks and trade names material to the conduct of its business except (other than with respect to the preservation of the existence of Holdings or the Borrower) to the extent failure to do so could not be reasonably expected, either individually or in the aggregate, to result in a Material Adverse Effect; provided that nothing in this Section shall prohibit any merger, consolidation, liquidation or dissolution permitted under Section 7.3. Section 5.4. Compliance with Laws. Each of Holdings and the Borrower will, and the Borrower will cause each of its Restricted Subsidiaries to, comply with all laws, rules, regulations and requirements of any Governmental Authority applicable to its business and properties, including, without limitation, all Environmental Laws, Healthcare Laws, ERISA and OSHA, except where the failure to do so, either individually or in the aggregate, could not reasonably be expected to result in a Material Adverse Effect. Section 5.5. Payment of Obligations. Each of Holdings and the Borrower will, and the Borrower will cause each of its Restricted Subsidiaries to, pay and discharge its Taxes (including, without limitation, all assessments, charges and levies of Governmental Authorities imposed upon it or its income or properties or in respect of its property that could result in a statutory Lien) before the same shall become delinquent or in default, except where (a) the validity or amount thereof is being contested in good faith by appropriate proceedings, and Holdings, the Borrower or such Restricted Subsidiary has set aside on its books adequate reserves with respect thereto in accordance with GAAP or (b) the failure to make payment could not reasonably be expected to result in a Material Adverse Effect. Section 5.6. Books and Records. Each of Holdings and the Borrower will, and the Borrower will cause each of its Restricted Subsidiaries to, keep proper books of record and account in which full, true and correct entries shall be made of all dealings and transactions in relation to its business and activities to the extent necessary to prepare the consolidated financial statements of Holdings or the Borrower, as applicable, in conformity with GAAP.


 
AMERICAS 129648577 105 Section 5.7. Visitation and Inspection. The Borrower will, and will cause each of its Subsidiaries to, permit any representative of the Administrative Agent or any Lender to visit and inspect its properties, to examine its books and records and to make copies and take extracts therefrom, and to discuss its affairs, finances and accounts with any of its officers and with its independent certified public accountants, all at reasonable times during normal business hours and as often as the Administrative Agent or any Lender may reasonably request after reasonable prior notice to the Borrower; provided that, excluding any such visits and inspections during the continuation of an Event of Default, only the Administrative Agent on behalf of the Lenders may exercise visitation and inspection rights of the Administrative Agent and the Lenders under this Section 5.7 and the Administrative Agent shall not exercise such rights more often than one time during any calendar year absent the existence of an Event of Default and such time shall be at the Borrower’s expense; provided, further that (a) when an Event of Default exists, the Administrative Agent or any Lender (or any of their respective representatives or independent contractors) may do any of the foregoing at the expense of the Borrower at any time during normal business hours and upon reasonable advance notice and (b) the Administrative Agent and the Lenders shall give the Borrower the opportunity to participate in any discussions with the Borrower’s independent public accountants. Section 5.8. Maintenance of Properties; Insurance. (a) Each of Holdings and the Borrower will, and the Borrower will cause each of its Restricted Subsidiaries to, (a) keep and maintain all property material to the conduct of its business in good working order and condition, except for (x) ordinary wear and tear, (y) as otherwise permitted under the Loan Documents or (z) where the failure to do so would not reasonably be expected to have a Material Adverse Effect, (b) maintain with financially sound and reputable insurance companies which are not Affiliates of the Borrower (i) insurance with respect to its properties and business, and the properties and business of its Subsidiaries, against loss or damage of the kinds customarily insured against by companies in the same or similar businesses operating in the same or similar locations and (ii) all insurance required to be maintained pursuant to the Collateral Documents, and will, upon request of the Administrative Agent, furnish to each Lender at reasonable intervals a certificate of a Responsible Officer setting forth the nature and extent of all insurance maintained by Holdings, the Borrower and its Restricted Subsidiaries in accordance with this Section, and (c) at all times shall name the Administrative Agent as additional insured on all liability policies of Holdings, the Borrower and its Restricted Subsidiaries and as loss payee (pursuant to a loss payee endorsement approved by the Administrative Agent) on all casualty and property insurance policies of the Borrower and its Restricted Subsidiaries. (b) With respect to each improved Mortgaged Property that is located in an area identified by the Federal Emergency Management Agency (or any successor agency thereto) as a “special flood hazard area” with respect to which flood insurance has been made available under the Flood Insurance Laws, the applicable Loan Party (a) shall obtain and maintain with financially sound and reputable insurance companies which are not Affiliates of the Borrower, such flood insurance in such reasonable total amount as the Administrative Agent and the Lenders may from time to time reasonably require and otherwise sufficient to comply with all applicable rules and regulations promulgated under the Flood Insurance Laws and (b) promptly upon request of the Administrative Agent or any Lender, shall deliver to the Administrative Agent or such Lender, as applicable, evidence of such compliance in form and substance reasonably acceptable to the Administrative Agent or such Lender, including, without limitation, evidence of annual renewals of such flood insurance. Section 5.9. Use of Proceeds; Margin Regulations. The Borrower will use the proceeds of all Loans consistent with Section 4.21. No part of the proceeds of any Loan will be used, whether directly or indirectly, for any purpose that would violate any rule or regulation of the Board of Governors of the Federal Reserve System, including Regulation T, Regulation U or Regulation X. All Letters of Credit will be used for general corporate purposes.


 
AMERICAS 129648577 106 Section 5.10. Additional Subsidiaries and Collateral. (a) In the event that, subsequent to the Restatement Date, (i) any Restricted Subsidiary (other than an Excluded Subsidiary) is formed or acquired (including by Division), (ii) an Unrestricted Subsidiary is redesignated as a Restricted Subsidiary (other than an Excluded Subsidiary), (iii) any Restricted Subsidiary ceases to be an Excluded Subsidiary or (iv) the Borrower, at its option, elects to cause a Domestic Subsidiary to become a Subsidiary Loan Party, (x) the Borrower shall promptly notify the Administrative Agent and the Lenders thereof and (y) within 60 days (or such longer period as the Administrative Agent agrees) after such Restricted Subsidiary is formed or acquired, such Unrestricted Subsidiary is redesignated as a Restricted Subsidiary, such Restricted Subsidiary ceases to be an Excluded Subsidiary or the Borrower has made such election, as applicable, the Borrower shall cause such Restricted Subsidiary (i) to become a new Guarantor and to grant Liens in favor of the Administrative Agent in all of its personal property (other than Excluded Property) by executing and delivering to the Administrative Agent a supplement to the Guaranty and Security Agreement in form and substance reasonably satisfactory to the Administrative Agent, executing and delivering a Copyright Security Agreement, Patent Security Agreement and Trademark Security Agreement, as applicable, and authorizing and delivering, at the request of the Administrative Agent, such UCC financing statements or similar instruments required by the Administrative Agent to perfect the Liens in favor of the Administrative Agent and granted under any of the Loan Documents, (ii) to the extent required, to grant Liens in favor of the Administrative Agent in all interests in fee owned Real Estate (subject to Permitted Encumbrances) by executing and delivering to the Administrative Agent such Real Estate Documents as the Administrative Agent shall require, and (iii) to deliver all such other documentation (including, without limitation, certified organizational documents, resolutions, lien searches, environmental reports and legal opinions) and to take all such other actions as such Restricted Subsidiary would have been required to deliver and take pursuant to Section 3.1 if such Restricted Subsidiary had been a Loan Party on the Restatement Date or that such Restricted Subsidiary would be required to deliver pursuant to Section 5.11 with respect to any fee owned Real Estate; provided, however, no Foreign Subsidiary shall be required to become a Guarantor or grant Liens in its personal property or fee owned Real Estate. In addition, within 60 days (or such longer period as the Administrative Agent agrees) after the date any Person becomes a Restricted Subsidiary, the Borrower shall, or shall cause the applicable Loan Party to (i) pledge all of the Capital Stock of such Restricted Subsidiary to the Administrative Agent as security for the Obligations by executing and delivering a supplement to the Guaranty and Security Agreement in form and substance satisfactory to the Administrative Agent, and (ii) deliver the original certificates evidencing such pledged Capital Stock to the Administrative Agent, together with appropriate powers executed in blank. (b) [reserved]. (c) The Borrower shall and shall cause its Restricted Subsidiaries, to furnish to the Administrative Agent within 20 days after such event (or such later date as the Administrative Agent may agree in its sole discretion) written notice of any change in any Loan Party’s: (i) legal name; (ii) type of organization; (iii) location (determined as provided in UCC Section 9-307); or (iv) jurisdiction of organization. The Borrower shall not effect or permit any such change unless all filings have been made, or will be made within any statutory period, under the UCC or otherwise that are required in order for the Administrative Agent to continue at all times following such change to have a valid, legal and perfected security interest in all Collateral held by such Loan Party. (d) The Borrower agrees that, following the delivery of any Collateral Documents required to be executed and delivered by this Section, the Administrative Agent shall have a valid and enforceable, first priority perfected Lien on the property required to be pledged pursuant to subsections (a) and (b) of this Section (to the extent that such Lien in such Collateral can be perfected by execution, delivery and/or recording of such Collateral Documents or UCC financing statements, or possession of such


 
AMERICAS 129648577 107 Collateral), free and clear of all Liens, in each case, other than Liens expressly permitted under Section 7.2 All actions to be taken pursuant to this Section shall be at the expense of the Borrower or the applicable Loan Party, shall be taken to the reasonable satisfaction of the Administrative Agent. Notwithstanding anything to the contrary, the provisions of this Section 5.10 need not be required to be satisfied with respect to any exclusions and carve-outs from the security or perfection requirements, as applicable, set forth herein, in the Guaranty and Security Agreement or any other applicable Collateral Document. Section 5.11. Additional Real Estate; Leased Locations. (a) To the extent otherwise permitted hereunder, if any Loan Party proposes to acquire a fee ownership interest in Real Estate (other than an Excluded Property) after the Restatement Date, within 90 days (or such later date as the Administrative Agent may agree) of the date of the acquisition thereof, it shall provide to the Administrative Agent all Real Estate Documents requested by the Administrative Agent granting the Administrative Agent a first priority Lien on such Real Estate (subject to Permitted Encumbrances) (it being understood and agreed that if a mortgage tax will be owed on the entire amount of the Indebtedness evidenced hereby, then to the extent permitted under applicable law, the amount secured by the Mortgage shall be limited to 110% of the fair market value of the property at the time the Mortgage is entered into if such limitation results in a reduction of such mortgage tax), together with all environmental audits and reports, evidence of compliance with zoning and building laws, environmental indemnities, legal opinions, supplemental casualty and flood insurance and other documents requested by Administrative Agent to confirm compliance with Flood Insurance Laws and other documents, instruments and agreements reasonably requested by the Administrative Agent, in each case in form and substance reasonably satisfactory to the Administrative Agent. Notwithstanding the foregoing, the Administrative Agent shall not enter into any Mortgage in respect of any Real Estate acquired by any Loan Party after the Restatement Date until (1) the Administrative Agent or the Borrower shall have given written notice to the Lenders (which may be delivered electronically) at least 25 Business Days prior to obtaining such Mortgage and (2) the Administrative Agent shall have received written confirmation from the Lenders that flood insurance due diligence and flood insurance compliance have been completed by the Lenders to their reasonable satisfaction (such written confirmation not to be unreasonably conditioned, withheld or delayed); provided that the Administrative Agent may enter into any such Mortgage prior to the notice period specified above upon receipt of the written confirmation described in clause (2) above; provided further that any obligations any Loan Party may have under this Section 5.11(a) to grant a Mortgage within the 90-day time period described herein shall be extended for so long as is required to ensure compliance with the requirements of clause (2) above. (b) To the extent otherwise permitted hereunder, if any Loan Party proposes to lease any Real Estate that is a headquarters location or a location where books or records, or Collateral with a value of at least $1,000,000, will be stored or located, it shall (i) promptly provide to the Administrative Agent a copy of such lease and (ii) use its commercially reasonable efforts to execute a Collateral Access Agreement from the landlord of such leased property, which agreement or letter shall be reasonably satisfactory in form and substance to the Administrative Agent; provided that if such Loan Party is unable to deliver any such Collateral Access Agreement after using its commercially reasonable efforts to do so, the Administrative Agent shall waive the foregoing requirement. Notwithstanding anything to the contrary herein, the parties hereto acknowledge and agree that no MIRE Event may be closed until the date that is (a) if there are no Mortgaged Properties located in an area which has been identified by the Secretary of Housing and Urban Development as a “special flood hazard area,” ten (10) days or (b) if there are any Mortgaged Properties located in an area which has been identified by the Secretary of Housing and Urban Development as a “special flood hazard area,” thirty (30) days (in each case, the “Notice Period”), after the Administrative Agent has delivered to the Lenders the following documents in respect of such real property: (i) a completed “Life of Loan” Federal Emergency Management


 
AMERICAS 129648577 108 Agency Standard Flood Hazard determination with respect to such Mortgaged Property from a third party vendor; (ii) if such Mortgaged Property is located in a “special flood hazard area”, (A) a notification to the applicable Loan Parties of that fact and (if applicable) notification to the applicable Loan Parties that flood insurance coverage is not available and (B) evidence of the receipt by the applicable Loan Parties of such notice and (C) a notice about special flood hazard area status and flood disaster assistance executed by the Borrower and any applicable Loan Party relating thereto; and (iii) evidence of flood insurance in accordance with Section 5.8(b) herein; provided that (i) any such MIRE Event may be closed prior to the Notice Period if the Administrative Agent shall have received written confirmation from each applicable Lender that such Lender has completed any necessary flood insurance due diligence and flood insurance compliance to its reasonable satisfaction (such written confirmation not to be unreasonably conditioned, withheld or delayed) and (ii) for the avoidance of doubt, no MIRE Event shall be deemed to have occurred if there are no Mortgaged Properties at such time. Notwithstanding the applicable Notice Period, any MIRE Event shall be subject to flood insurance due diligence and flood insurance compliance reasonably satisfactory to all Lenders. Section 5.12. Further Assurances. The Borrower will, and will cause each other Loan Party to, execute any and all further documents, financing statements, agreements and instruments, and take all such further actions (including the filing and recording of financing statements, fixture filings, Mortgages and other documents and the receipt of “Life of Loan” Federal Emergency Management Agency Standard Flood Hazard determinations and related regulatory compliance), which may be required under any applicable law, or which the Administrative Agent or the Required Lenders may reasonably request, to effectuate the transactions contemplated by the Loan Documents or to grant, preserve, protect or perfect the Liens created by the Collateral Documents or the validity or priority of any such Lien, all at the expense of the Loan Parties. The Borrower also agrees to provide to the Administrative Agent, from time to time upon request, evidence reasonably satisfactory to the Administrative Agent as to the perfection and priority of the Liens created or intended to be created by the Collateral Documents. Without limiting the foregoing, in the event that any Loan Party Divides itself into two or more Persons, any Persons formed as a result of such Division, unless otherwise consented to by the Administrative Agent, shall be required to comply with the requirements and obligations set forth in Section 5.10, 5.11, this Section 5.12 and the other future assurances obligations set forth in in the Loan Documents and become a Borrower if such Loan Party is a Borrower, or a Guarantor if such Loan Party is a Guarantor, as required by this Agreement or the other Loan Documents. Section 5.13. Anti-Corruption Laws. Conduct its, and cause its Subsidiaries to conduct their, business in compliance in all material respects with the United States Foreign Corrupt Practices Act of 1977, the UK Bribery Act 2010, and other similar and applicable anti-corruption legislation or laws in other jurisdictions and institute and maintain policies and procedures designed to promote and achieve compliance with such laws. Section 5.14. Post-Closing Matters. Deliver to Administrative Agent, in form and substance reasonably satisfactory to the Administrative Agent, the items described on Schedule 5.14 hereof on or before the dates specified with respect to such items on Schedule 5.14 (or, in each case, such later date as may be agreed to by Administrative Agent in its sole discretion). All representations and warranties contained in this Agreement and the other Loan Documents will be deemed modified to the extent necessary to effect the foregoing (and to permit the taking of the actions described on Schedule 5.14 within the time periods specified thereon, rather than as elsewhere provided in any of the Loan Documents).


 
AMERICAS 129648577 109 ARTICLE VI FINANCIAL COVENANTS Each of Holdings and the Borrower covenants and agrees that so long as any Lender has a Commitment hereunder or any Obligation (other than unasserted contingent Obligations) remains unpaid or outstanding: Section 6.1. Total Net Leverage Ratio. The Total Net Leverage Ratio, calculated as of the last day of each Fiscal Quarter (commencing with the first full Fiscal Quarter ended after the Restatement Date), shall be less than or equal to 4.50 to 1.00. Section 6.2. Reserved. Section 6.3. Interest Coverage Ratio. The Interest Coverage Ratio, calculated as of the last day of each Fiscal Quarter (commencing with the first Fiscal Quarter ended after the Restatement Date), shall be greater than or equal to 2.00 to 1.00. Section 6.4. Specified Equity Contribution. Notwithstanding the above, or anything to the contrary in this Agreement, the parties hereto acknowledge and agree that, solely for purposes of calculations made in determining compliance with this Article VI, any cash common equity contribution made after the Restatement Date to the Borrower (the “Specified Equity Contribution Request”), on or prior to the day that is ten (10) Business Days after the earlier of (a) the day on which a Compliance Certificate is required to be delivered pursuant to Section 5.1(c) and (b) the day on which financial statements are required to be delivered with respect to a Fiscal Year pursuant to Section 5.1(a) or a Fiscal Quarter pursuant to Section 5.1(b), as applicable, will, at the request of the Borrower, be deemed to increase, dollar for dollar, Consolidated EBITDA for the purposes of determining compliance with the financial covenants contained in this Article VI at the end of such Fiscal Year or Fiscal Quarter and each applicable subsequent period that includes the Fiscal Quarter in which such common equity contribution was made (any such equity contribution, a “Specified Equity Contribution”); provided that (i) in any four consecutive Fiscal Quarter period, there shall not be more than two (2) Specified Equity Contributions, (ii) there shall not be more than five (5) Specified Equity Contributions made during the term of this Agreement, (iii) the amount of any Specified Equity Contribution shall be no greater than the amount required to cause the Loan Parties to be in compliance with the financial covenants set forth above, (iv) there shall be no pro forma reduction of Indebtedness with the proceeds of the Specified Equity Contribution (whether direct payment or by way of netting) for purposes of calculating the financial covenants for each Fiscal Quarter during which the Specified Equity Contribution is made and (v) a Specified Equity Contribution shall only be included in the computation of the financial covenants for purposes of determining compliance by the Loan Parties with this Article VI and not for any other purpose under this Agreement (including, without limitation, any determination of the Applicable Margin, any compliance with this Article VI set forth in the definition of Permitted Acquisition and in the determination of the availability of any baskets set forth in Article V or Article VII). Upon the making of a Specified Equity Contribution, the financial covenants in this Article VI shall be recalculated giving effect to the increase in Consolidated EBITDA; provided that nothing in this subsection shall waive any Default or Event of Default that exists pursuant to Sections 6.1 or 6.3 until such recalculation (and pending such recalculation, the Administrative Agent and the Lenders shall withhold any actions and remedies available arising from any such Default or Event of Default pursuant to Section 6.1 or 6.3) and the Borrower shall not be permitted to incur Revolving Loans or request the issuance of Letters of Credit. If, after giving effect to such recalculation, the Loan Parties are in compliance with the financial covenants, the Loan Parties shall be deemed to have satisfied the requirements of the financial covenants as of the relevant date of determination with the same effect as though there had been no failure


 
AMERICAS 129648577 110 to comply therewith at such date and the applicable Default or Event of Default that had occurred under Section 6.1 and 6.3 shall be deemed waived and not to have occurred for all purposes of this Agreement and the other Loan Documents. ARTICLE VII NEGATIVE COVENANTS Each of Holdings (solely with respect to Section 7.9) and the Borrower covenants and agrees that so long as any Lender has a Commitment hereunder or any Obligation (other than unasserted contingent Obligations) remains outstanding: Section 7.1. Indebtedness. The Borrower will not, and will not permit any of its Restricted Subsidiaries to, create, issue, incur, assume or suffer to exist any Indebtedness, except: (a) Indebtedness created pursuant to the Loan Documents (including Incremental Facilities, Refinancing Term Loans, Refinancing Revolving Loans, Extended Term Loans, Extended Revolving Loans, and the issuance and creation of Letters of Credit thereunder (with Letters of Credit being deemed to have a principal amount equal to the face amount thereof)) and all other Obligations, in each case, and any Permitted Refinancing in respect thereof; (b) Indebtedness of the Borrower and its Restricted Subsidiaries existing on the Restatement Date and set forth on Schedule 7.1 and extensions, renewals and replacements of any such Indebtedness that do not increase the outstanding principal amount thereof (immediately prior to giving effect to such extension, renewal or replacement) or shorten the maturity or the weighted average life thereof; (c) (i) Attributable Indebtedness relating to any transactions and (ii) other Indebtedness of the Borrower or any of its Restricted Subsidiaries incurred to finance the acquisition, construction, repair, replacement and/or improvement of any facilities of the Borrower or any fixed or capital assets, including Capital Lease Obligations (provided that such Indebtedness is incurred concurrently with or within ninety (90) days after the applicable acquisition, construction, repair, replacement or improvement) and (ii) any Permitted Refinancing of any Indebtedness set forth in clause (i) of this Section 7.1(c); provided that the aggregate outstanding principal amount of all such Indebtedness under this clause (c) does not exceed the greater of (x) $37,500,000 and (y) 25.0% of TTM Consolidated EBITDA as of the applicable determination date; (d) Indebtedness (including obligations in respect of letters of credit or bank Guarantees, bankers’ acceptances or similar instruments) incurred by the Borrower or any of its Restricted Subsidiaries in the ordinary course of business in respect of workers’ compensation, health, disability or other employee benefits (whether to current or former employees) or property, casualty or liability insurance or self-insurance in respect of such items, or other Indebtedness with respect to reimbursement- type obligations regarding workers’ compensation claims, health, disability or other employee benefits (whether current or former) or property, casualty or liability insurance; (e) Indebtedness constituting indemnification obligations, Earn-out Obligations, milestones, royalties, adjustment of purchase or acquisition price or similar obligations, in each case, incurred or assumed in connection with any Investment permitted by this Agreement or the disposition of any business or assets permitted by this Agreement;


 
AMERICAS 129648577 111 (f) Indebtedness in respect of performance bonds, bid bonds, appeal bonds, surety bonds and completion Guarantees and similar obligations and instruments, in each case, provided in the ordinary course of business, including those incurred to secure health, safety and environmental obligations in the ordinary course of business; (g) (i) Indebtedness of any Person that becomes a Restricted Subsidiary after the Restatement Date and/or other Indebtedness assumed in connection with a Permitted Acquisition or other Investment permitted hereunder, which Indebtedness is (1) existing at the time such Person becomes a Restricted Subsidiary, (2) not incurred in contemplation of such Person becoming a Restricted Subsidiary or such Permitted Acquisition or Investment, (3) non-recourse to the Borrower or any other Restricted Subsidiary (other than any Person that becomes a Subsidiary in connection with the foregoing and its Subsidiaries) and (4) permitted to be incurred as Ratio Debt at such time (including, to the extent such Indebtedness is secured, Pro Forma Compliance with the First Lien Net Leverage Ratio or Secured Net Leverage Ratio, as applicable, set forth in Section 7.2(h)); provided that the outstanding principal amount of such Indebtedness assumed by Restricted Subsidiaries that are not Guarantors pursuant to this clause (g) does not exceed the greater of (A) $37,500,000 and (B) 25.0% of TTM Consolidated EBITDA as of the applicable determination date, in each case determined as of the time of incurrence; and (ii) any Permitted Refinancing of any Indebtedness originally incurred pursuant to the preceding clause (g)(i); (h) Indebtedness arising from the honoring by a bank or other financial institution of a check, draft or similar instrument drawn against insufficient funds in the ordinary course of business, so long as such Indebtedness is extinguished within five (5) Business Days of its incurrence; (i) Indebtedness (i) supported by a Letter of Credit, in a principal amount not in excess of the stated amount of such Letter of Credit and (ii) in respect of letters of credit (other than Letters of Credit) in an aggregate face amount at any time outstanding not to exceed the greater of (x) $10,000,000 and (y) 7.0% of TTM Consolidated EBITDA as of the applicable determination date, in each case determined as of the time of incurrence; (j) Indebtedness consisting of (i) the financing of insurance premiums or (ii) take or pay obligations contained in supply arrangements, in each case, in the ordinary course of business; (k) [reserved]; (l) cash management obligations and other Indebtedness in respect of Bank Products, including, without limitation, netting services, automatic clearinghouse arrangements, overdraft protections, employee credit card programs and other cash management and similar arrangements entered into in the ordinary course of business; (m) Indebtedness issued to any future, current or former officers, directors, managers, employees, consultants and independent contractors of the Borrower or any Restricted Subsidiary or any direct or indirect parent thereof, or their respective estates, heirs, family members, spouses, former spouses, executors, administrators, trustees, legatees or distributees, in each case to finance the purchase or redemption of Capital Stock of the Borrower (or any Parent Entity) permitted by Section 7.5(g); (n) obligations to pay the deferred purchase price of goods or services or progress payments in connection with such goods and services so long as such obligations are incurred in the ordinary course of business and not in connection with the borrowing of money; (o) Indebtedness of the Borrower owing to any Restricted Subsidiary and of any Restricted Subsidiary owing to the Borrower or any other Restricted Subsidiary, in each case, to the extent constituting an Investment permitted by Section 7.4(d); provided that (x) any Indebtedness of any Loan


 
AMERICAS 129648577 112 Party owed to a Restricted Subsidiary that is a Non-Loan Party shall be subject to subordination provisions reasonably acceptable to the Administrative Agent and (y) any Indebtedness of a Non-Loan Party owed to a Loan Party shall be permitted pursuant to Section 7.4(d); (p) Guarantees by the Borrower of Indebtedness of any Restricted Subsidiary and by any Restricted Subsidiary of Indebtedness of the Borrower or any other Restricted Subsidiary; provided that (i) Guarantees by any Loan Party of Indebtedness of any Restricted Subsidiary that is not a Subsidiary Loan Party shall be otherwise permitted by Section 7.4, (ii) Guarantees by a Non-Loan Party of any Ratio Debt or Indebtedness under Section 7.1(g) (or any Permitted Refinancing in respect thereof) shall only be permitted if such Guarantee meets the requirements of Ratio Debt and/or such Section 7.1(g), as the case may be, and (iii) if the Indebtedness being Guaranteed is subject to an Acceptable Intercreditor Agreement, such Guarantee shall be on terms at least as favorable (taken as a whole) to the Lenders as those provided in the applicable Acceptable Intercreditor Agreement; (q) Indebtedness consisting of Hedging Obligations permitted by Section 7.10; (r) [reserved]; (s) Indebtedness of a Restricted Subsidiary that is a Non-Loan Party, and/or Indebtedness incurred on behalf thereof or representing any Guarantees thereof, in an aggregate principal amount outstanding at any time not to exceed the greater of (i) $15,000,000 and (ii) 10.0% of TTM Consolidated EBITDA as of the applicable determination date; (t) Incremental Equivalent Debt and any Permitted Refinancing in respect thereof; (u) Ratio Debt and any Permitted Refinancing in respect thereof; (v) customer deposits and advance payments received in the ordinary course of business from customers for goods purchased in the ordinary course of business; (w) Indebtedness incurred by the Borrower or any Restricted Subsidiary in connection with bankers’ acceptances, discounted bills of exchange, warehouse receipts or similar facilities, in each case incurred or undertaken in the ordinary course of business; (x) Permitted Subordinated Debt in an aggregate principal amount not to exceed the greater of (x) $30,000,000 at any time outstanding and (y) 20% of TTM Consolidated EBITDA as of the applicable determination date and any Permitted Refinancing thereof; (y) additional Indebtedness in an aggregate principal amount outstanding at any time not to exceed the greater of (i) $45,000,000 and (ii) 30% of TTM Consolidated EBITDA as of the applicable determination date; and (z) all premiums (if any), interest (including post-petition interest), fees, expenses, charges and additional or contingent interest on obligations described in clauses (a) through (y) above. For the avoidance of doubt, each category of Indebtedness and each dollar cap set forth in this Section 7.1 shall be separate and is not meant to reduce any other category or cap set forth in this Section 7.1. For purposes of determining compliance with this Section 7.1, in the event that an item of Indebtedness (or any portion thereof) meets the criteria of more than one of the categories of Section 7.1, the Borrower may, in its sole discretion, at the time of incurrence, divide, classify or reclassify, or at any later time divide, classify or reclassify, such item of Indebtedness (or any portion thereof) in any manner that complies with this covenant at the time of incurrence or at such later time (as applicable); provided that


 
AMERICAS 129648577 113 all Indebtedness outstanding under the Loan Documents and any Permitted Refinancing thereof will be deemed to have been incurred in reliance on the exception in clause (a) of this Section 7.1 and shall not be permitted to be reclassified pursuant to this paragraph. The accrual of interest, the accretion of accreted value, amortization of original issue discount, the payment of interest or dividends in the form of additional Indebtedness with the same terms (including any pay-in-kind interest) and increases in the amount of Indebtedness outstanding solely as a result of fluctuations in the exchange rate of currencies, will not be deemed to be an incurrence of Indebtedness for purposes of this Section 7.1. Section 7.2. Liens. The Borrower will not, and will not permit any of its Restricted Subsidiaries to, create, incur, assume or suffer to exist any Lien on any of its assets or property now owned or hereafter acquired, except: (a) Liens securing the Obligations; provided that no Liens may secure Hedging Obligations or Bank Product Obligations without securing all other Obligations on a basis at least pari passu with such Hedging Obligations or Bank Product Obligations and subject to the priority of payments set forth in Section 2.21 and Section 8.2; (b) Permitted Encumbrances; (c) Liens on any property or asset of the Borrower or any of its Restricted Subsidiaries existing on the Restatement Date and set forth on Schedule 7.2; provided that such Liens shall not apply to any other property or asset of the Borrower or any Restricted Subsidiary other than replacements, additions, accessions and improvements thereto and products thereof and customary security deposits; provided further, that individual financings of equipment or other assets provided by a lender may be cross collateralized to other financings of equipment or other assets financed by such lender; (d) Liens securing Indebtedness permitted by Section 7.1(c); provided that (i) any such Lien attaches to such asset concurrently or within 90 days after the acquisition or the completion of the construction or improvements thereof, (ii) any such Lien does not extend to any other asset, and (iii) the Indebtedness secured thereby does not exceed the cost of acquiring, constructing and/or improving such fixed or capital assets, in each case, provided that individual financings of equipment or other assets provided by a lender may be cross collateralized to other financings of equipment or other assets financed by such lender; (e) any Lien (x) existing on any asset of any Person at the time such Person becomes a Restricted Subsidiary of the Borrower, (y) existing on any asset of any Person at the time such Person is merged with or into the Borrower or any of its Restricted Subsidiaries, or (z) existing on any asset prior to the acquisition thereof by the Borrower or any of its Restricted Subsidiaries or any after-acquired property of such Person subject to a Lien securing Indebtedness on other obligations prior to such time; provided that (i) any such Lien was not created in the contemplation of any of the foregoing, (ii) any such Lien secures only those obligations which it secures on the date that such Person becomes a Restricted Subsidiary or the date of such merger or the date of such acquisition and (iii) any Indebtedness secured thereby is permitted under Section 7.1(g); (f) extensions, renewals, or replacements of any Lien referred to in subsections (b) through (e) of this Section; provided that the principal amount of the Indebtedness secured thereby is not increased (other than in regards to existing commitments unutilized thereunder being extended, renewed, or replaced) and that any such extension, renewal or replacement is limited to the assets originally encumbered thereby; (g) Liens on any property of the Borrower or any of its Restricted Subsidiaries, securing any of their Indebtedness or their other obligations; provided, that the aggregate outstanding


 
AMERICAS 129648577 114 principal amount of all such Indebtedness and other obligations shall not exceed, at any time, the greater of (i) $37,500,000 and (ii) 25% of TTM Consolidated EBITDA as of the applicable determination date; (h) Liens securing Ratio Debt; provided, that (1) after giving Pro Forma Effect to the incurrence of such Indebtedness (and any Specified Transactions consummated in connection therewith), (x) if such Liens are not expressly junior in right of security with the Obligations, the Borrower’s First lien Net Leverage Ratio shall be no greater than 3.00:1.00 as of the last day of the most recently ended Test Period provided that the provisions set forth in Section 2.23(a)(v) shall apply to any such Indebtedness in the form of loans that rank pari passu in right of payment and security with the Obligations that are secured on a first lien basis as if such Indebtedness were a Class of Incremental Term Facilities that is pari passu in right of payment and security with the Term Loans) or (y) if such Liens rank junior in right of security with the Liens securing the Obligations, the Borrower’s Secured Net Leverage Ratio shall be no greater than 3.25:1.00 as of the last day of the most recently ended Test Period; (i) Lien securing Indebtedness permitted under Section 7.1(t); (j) [reserved]; (k) Liens on assets of Restricted Subsidiaries that are Non-Loan Parties securing Indebtedness permitted to be incurred by such Non-Loan Party in accordance with Section 7.1; (l) Liens on any Excluded Property securing Indebtedness in an aggregate principal amount not to exceed the greater of (x) $10,000,000 at any time outstanding and (y) 7% of TTM Consolidated EBITDA as of the applicable determination date; (m) Liens disclosed by any title insurance policies delivered on or subsequent to the Restatement Date and any replacement, extension or renewal of any such Liens (so long as the Indebtedness and other obligations secured by such replacement, extension or renewal Liens are permitted by this Agreement); provided that such replacement, extension or renewal Liens do not cover any property other than the property that was subject to such Liens prior to such replacement, extension or renewal (plus any replacements, additions, accessions and improvements thereto and products thereof); (n) any interest or title of a lessor, sublessor, licensor or sublicensor under any leases, subleases, licenses or sublicenses entered into by the Borrower or any Restricted Subsidiary in the ordinary course of business; (o) Liens arising solely by virtue of any statutory or common law provision relating to banker’s liens, rights of set-off or similar rights; (p) leases or subleases, licenses or sublicenses (including with respect to intellectual property rights and software) (or other agreement under which the Borrower or any Restricted Subsidiary has granted rights to end users to access and use the Borrower’s or any Restricted Subsidiary’s products, technologies or services) granted to others in the ordinary course of business that do not interfere in any material respect with the ordinary conduct of business of the Borrower and the Restricted Subsidiaries, taken as a whole and do not secure Indebtedness; (q) Liens (i) solely on any cash earnest money deposits made by the Borrower or any Restricted Subsidiary in connection with any letter of intent or other agreement in respect of any Investment permitted under Section 7.4 and (ii) incurred in connection with escrow arrangements or other similar agreements relating to an acquisition or Investment permitted under Section 7.4;


 
AMERICAS 129648577 115 (r) the prior rights of consignees and their lenders under consignment arrangements entered into in the ordinary course of business; (s) purported Liens evidenced by precautionary Uniform Commercial Code financing statements or similar public filings in respect of any leases; (t) Liens on Capital Stock or assets of any joint venture in which the Borrower or any Restricted Subsidiary owns less than a majority of the outstanding Capital Stock (a) securing obligations of such joint venture or (b) pursuant to the relevant joint venture agreement or arrangement; (u) Liens in favor of customs and revenue authorities arising as a matter of law to secure payment of customs duties in connection with the importation of goods in the ordinary course of business; (v) Liens on securities that are the subject of repurchase agreements constituting Investments permitted hereunder; (w) Liens (i) securing insurance premium financing arrangements and (ii) securing obligations to insurance companies with respect to insurable liabilities incurred in the ordinary course of business; (x) Liens on assets used to defease or to satisfy and discharge Indebtedness; provided that such defeasance or satisfaction and discharge is not prohibited by this Agreement; (y) Liens: (i) of a collection bank arising under Section 4-208 or 4-210 of the Uniform Commercial Code, or any comparable or successor provision, on items in the course of collection; (ii) attaching to pooling, commodity trading accounts or other commodity brokerage accounts incurred in the ordinary course of business; or (iii) in favor of banking or other financial institutions or entities, or electronic payment service providers, arising as a matter of law encumbering deposits or other funds maintained with a financial institution (including the right of set-off) and that are within the general parameters customary in the banking or finance industry; (z) Liens on specific items of inventory or other goods and proceeds thereof of any Person securing such Person’s obligations in respect of bankers’ acceptances or letters of credit entered into in the ordinary course of business issued or created for the account of such Person to facilitate the purchase, shipment, processing or storage of such inventory or other goods; (aa) Liens in favor of the Borrower or a Loan Party securing any Indebtedness permitted to be incurred under Section 7.1; (bb) Liens (i) consisting of an agreement to dispose of any property permitted under Section 7.6, (ii) arising out of conditional sale, title retention, consignment or similar arrangements for sale of goods in the ordinary course of business or (iii) imposed by law or incurred pursuant to customary reservations or retentions of title (including contractual Liens in favor of sellers and suppliers of goods) incurred in the ordinary course of business;


 
AMERICAS 129648577 116 (cc) Liens in respect of Cash Collateralization of letters of credit incurred pursuant to Section 7.1(i)(ii); (dd) (i) ground leases in respect of real property on which facilities owned or leased by the Borrower or any of its Restricted Subsidiaries are located and (ii) deposits of cash with the owner or lessor of premises leased and operated by the Borrower or any of its Restricted Subsidiaries in the ordinary course of business; (ee) Liens securing amounts owing pursuant to any Hedging Transaction, so long as (x) such Hedging Transactions do not constitute Obligations and (y) the value of property securing such Hedging Transactions does not exceed $10,000,000 at any time; and (ff) Liens securing Permitted Subordinated Debt permitted to be incurred pursuant to Section 7.1(x) that (i) do not encumber any assets of the Borrower or any of its Restricted Subsidiaries the fair market value of which exceeds the principal amount of such Permitted Subordinated Debt and (ii) do not secure obligations in excess of the greater of (x) $10,000,000 in the aggregate for all such Liens at any time and (y) 7% of TTM Consolidated EBITDA as of the applicable determination date. For the avoidance of doubt, each category of Liens and each dollar cap set forth in this Section 7.2 shall be separate and is not meant to reduce any other category or cap set forth in this Section 7.2. For purposes of determining compliance with this Section 7.2, in the event that any Lien (or any portion thereof) meets the criteria of more than one of the categories set forth above, the Borrower may, in its sole discretion, at the time of incurrence, divide, classify or reclassify, or at any later time divide, classify or reclassify, such Lien (or any portion thereof) in any manner that complies with this covenant on the date such Lien is incurred or such later time, as applicable; provided that all Liens created pursuant to the Loan Documents will be deemed to have been incurred in reliance on Section 7.2(a) above and shall not be permitted to be reclassified pursuant to this paragraph. Any Liens permitted under this Section 7.2 to secure Permitted Indebtedness shall also be permitted to secure any Permitted Refinancing thereof within the same clause (except if otherwise provided in clause (f) above). Section 7.3. Fundamental Changes. The Borrower will not, and will not permit any of its Restricted Subsidiaries to, merge into or consolidate into any other Person, or permit any other Person to merge into or consolidate with it, or sell, lease, transfer or otherwise dispose of (in a single transaction or a series of transactions) all or substantially all of its assets (in each case, whether now owned or hereafter acquired) or all or substantially all of the stock of any of its Restricted Subsidiaries (in each case, whether now owned or hereafter acquired) or liquidate or dissolve; provided that (i) the Borrower or any Restricted Subsidiary may merge with a Person if the Borrower (or such Restricted Subsidiary if the Borrower is not a party to such merger) is the surviving Person, (ii) any Restricted Subsidiary may merge into the Borrower or another Restricted Subsidiary, provided that if any party to such merger is the Borrower or a Subsidiary Loan Party, the Borrower or such Subsidiary Loan Party, as applicable, shall be the surviving Person, (iii) any Restricted Subsidiary may sell, transfer, lease or otherwise dispose of all or substantially all of its assets to the Borrower or to a Subsidiary Loan Party, (iv) any Restricted Subsidiary (other than a Subsidiary Loan Party) may liquidate or dissolve if the Borrower determines in good faith that such liquidation or dissolution is in the best interests of the Borrower and is not materially disadvantageous to the Lenders; provided, further, that any such transaction involving a Person that is not a Wholly Owned Subsidiary immediately prior to such transaction shall not be permitted unless also permitted by Sections 7.4 and 7.6 and (v) so long as no Event of Default exists or would result therefrom, any merger, consolidation or other fundamental change necessary to effect a Permitted Acquisition, Investment permitted by Section 7.4 and other transactions permitted by Section 7.6 (other than a sale of all or substantially all of the assets of the Borrower and its Restricted Subsidiaries); provided that the continuing or surviving Person shall be a Restricted Subsidiary that shall have complied with the requirements of Section 5.10.


 
AMERICAS 129648577 117 Any reference in this Section 7.3 or in Section 7.6 to a combination, merger, consolidation, disposition, dissolution, liquidation or transfer shall be deemed to apply to a Division (or the unwinding of such a Division) as if it were a combination, merger, consolidation, disposition, dissolution, transfer or similar term, as applicable, to or with a separate Person. Section 7.4. Investments, Loans. The Borrower will not, and will not permit any of its Restricted Subsidiaries to, purchase, hold or acquire (including pursuant to any merger with any Person that was not a Wholly Owned Subsidiary prior to such merger) any Capital Stock, Indebtedness or other securities (including any option, warrant, or other right to acquire any of the foregoing but not including the execution of an acquisition or merger agreement so long as the consummation of such acquisition or merger is subject to this Section 7.4) of, make or permit to exist any loans or advances to, Guarantee any obligations of, or permit to exist the ownership of any Capital Stock by Borrower or any Restricted Subsidiary in, any other Person (all of the foregoing being collectively called “Investments”), or purchase or otherwise acquire (in one transaction or a series of transactions) any assets of any other Person that constitute a business unit, or create or form any Subsidiary, except: (a) Investments (other than Cash Equivalents) existing on the Restatement Date and set forth on Schedule 7.4 (other than Investments in Restricted Subsidiaries which shall not be required to be so scheduled) and any modification, replacement, renewal, reinvestment or extension thereof; provided that the amount of such Investment permitted pursuant to this Section 7.4(a) is not increased from the amount of such Investment on the Restatement Date except pursuant to the terms of such Investment as of the Restatement Date or as otherwise permitted by one or more other exceptions to this Section 7.4; (b) Cash Equivalents; (c) Subsidiaries shall be permitted to be formed so long as Borrower complies with Section 5.10 in connection therewith and any subsequent Investments therein otherwise complies with this Section 7.4; (d) Investments made by the Borrower in or to any Restricted Subsidiary and by any Restricted Subsidiary to the Borrower or in or to another Restricted Subsidiary; provided that the aggregate amount of Investments by the Loan Parties (other than Holdings) in or to, and Guarantees by the Loan Parties (other than Holdings) of Indebtedness of, any Restricted Subsidiary that is not a Subsidiary Loan Party, shall not exceed, at any time outstanding the greater of (x) $22,500,000 or (y) 15% of TTM Consolidated EBITDA as of the applicable determination date; (e) (i) payroll advances to employees in the ordinary course of business and (ii) loans or advances to employees, officers or directors of the Borrower or any of its Subsidiaries in the ordinary course of business for travel, relocation, entertainment and analogous ordinary business purposes and related expenses; provided that the aggregate amount of all such loans and advances under this clause (e)(ii) does not exceed the greater of (x) $4,500,000 or (y) 3% of TTM Consolidated EBITDA as of the applicable determination date at any time outstanding; (f) Hedging Transactions permitted by Section 7.10; (g) Permitted Acquisitions; (h) Investments of any Person that becomes a Restricted Subsidiary on or after the date hereof (or of a Person merged, consolidated or amalgamated with or into a Restricted Subsidiary or acquired pursuant to a Permitted Acquisition); provided that any such Investment (i) exists at the time such person becomes (or merges, consolidates or amalgamates with or into) a Restricted Subsidiary and (ii) is


 
AMERICAS 129648577 118 not made in anticipation of such Person becoming a Restricted Subsidiary (or such merger, consolidation or amalgamation); (i) Investments arising out of the receipt by the Borrower or any of the Restricted Subsidiaries of promissory notes and other non-cash consideration in connection with any disposition permitted under Section 7.6; (j) (i) Investments (including debt obligations and Capital Stock) received in connection with the bankruptcy, workout, recapitalization or reorganization of, or in settlement of delinquent obligations of, or other disputes with, the issuer of such Investment or an Affiliate thereof and (ii) Investments consisting of accounts or notes receivable, security deposits and prepayments and other credits granted or made in the ordinary course of business and any Investments received in satisfaction or partial satisfaction thereof from financially troubled account debtors, including in connection with the bankruptcy or reorganization of, or settlement of delinquent accounts and disputes with or judgments against, such account debtors, in each case in the ordinary course of business; (k) Investments (including debt obligations and Capital Stock) (i) upon a foreclosure with respect to any secured Investments or other transfer of title with respect to any secured Investment in default, (ii) in satisfaction of judgments against other Persons and (iii) as a result of the settlement, compromise or resolution of litigation, arbitration or other disputes with Persons who are not Affiliates; (l) Indebtedness (including, without limitation, Guarantees) otherwise permitted by the terms of Section 7.1 (other than by reference to Section 7.4); (m) Investments consisting of, Permitted Encumbrances and other Liens permitted under Section 7.2, mergers, dissolutions, liquidations and consolidations permitted under Section 7.3, dispositions permitted under Section 7.6 (other than Section 7.6(e)) and Restricted Payments permitted under Section 7.5; (n) acquisitions of obligations of one or more future, present or former employees, managers, officers, directors, consultants or contractors (or spouses, former spouses, successors, executors, administrators, heirs, trustees, legatees or distributees of any of the foregoing) of the Borrower, any of its Restricted Subsidiaries or any direct or indirect parent thereof, in connection with such employee’s, manager’s, officer’s, director’s, consultant’s or contractor’s acquisition of Capital Stock of the Borrower or any direct or indirect parent thereof, so long as no cash is actually advanced by the Borrower or any Restricted Subsidiary to such Persons in connection with the acquisition of any such obligations; (o) Guarantees of operating leases or of other obligations that do not constitute Indebtedness, in each case, entered into by the Borrower or any Restricted Subsidiary in the ordinary course of business; (p) Investments in an amount equal to the aggregate amount of cash contributions made after the Restatement Date to the Borrower in exchange for Qualified Capital Stock of the Borrower, to the extent such amount is Not Otherwise Applied, and except to the extent such amount increases the Available Amount or constitutes a Specified Equity Contribution; (q) Investments in the ordinary course of business consisting of Uniform Commercial Code Article 3 endorsements for collection or deposit and Uniform Commercial Code Article 4 customary trade arrangements with customers; (r) advances in the form of a prepayment of expenses, so long as such expenses are being paid in accordance with customary trade terms of the Borrower or any Restricted Subsidiary;


 
AMERICAS 129648577 119 (s) Investments, including loans and advances, to any Person so long as the Borrower or any Restricted Subsidiary (as applicable) would otherwise be permitted to make a Restricted Payment in such amount to such Person; provided that the amount of any such Investment will be deemed to be a Restricted Payment under the appropriate clause of Section 7.5 for all purposes of this Agreement and reduce the amount of such applicable Restricted Payment thereafter permitted by a corresponding amount; (t) Investments consisting of the leasing, subleasing, licensing or sublicensing of intellectual property rights in the ordinary course of business or the contribution of intellectual property rights pursuant to joint marketing arrangements with other Persons; (u) Investments consisting of purchases or acquisitions of inventory, supplies and materials in each case in the ordinary course of business; (v) Investments in assets useful in the business of the Borrower or any Restricted Subsidiary made with (or in an amount equal to) the Net Proceeds of any casualty event; provided that if the underlying casualty event was with respect to assets of the Borrower or a Subsidiary Loan Party, then such Investment shall be consummated by the Borrower or a Subsidiary Loan Party; (w) [reserved]; (x) intercompany current liabilities owed to Unrestricted Subsidiaries or joint ventures incurred in the ordinary course of business in connection with the cash management operations of the Borrower and its Subsidiaries; (y) Investments consisting of the licensing (or equivalent thereof), acquisition, sale or contribution of intellectual property rights or proprietary materials pursuant to pharmaceutical or therapeutic product licensing, collaboration, development, promotion, marketing, distribution, supply, research or similar arrangements with other Persons made in the ordinary course of business, in a manner consistent with industry practices or not exceeding at any time outstanding an aggregate principal amount of the greater of (i) $15,000,000 and (ii) 10% of TTM Consolidated EBITDA as of the applicable determination date, in each case, determined as of the time of incurrence; (z) additional Investments which in the aggregate do not exceed the greater of (i) $52,500,000 and (ii) 35% of TTM Consolidated EBITDA as of the applicable determination date at any time outstanding plus the amount of Restricted Payments that are available to be made pursuant to Section 7.5(e) that are reallocated to this clause (z); (aa) loan or advances to officers and other key employees of the Borrower to fund all or a portion of their purchase price of or refinance all or a portion of existing indebtedness incurred to purchase Capital Stock of the Borrower, loans or advances made in connection with deferred compensation plans or stock-based compensation to employees of the Borrower or any of its Subsidiaries (including any loans made as a result of, in connection with or pursuant to, any management equity plan, unit issuances and sales, deferred compensation plan, or other management or employee benefit plan or agreement; provided that such loans or advances do not exceed the greater of (x) $15,000,000 and (y) 10% of TTM Consolidated EBITDA as of the applicable determination date at any time outstanding; (bb) So long as no Event of Default then exists or would result therefrom, additional Investments in an amount not exceeding the Available Amount; (cc) Investments in joint ventures, Unrestricted Subsidiaries or Similar Businesses in an amount not to exceed at any time outstanding the greater of (i) $18,000,000 and (ii) 12% of TTM Consolidated EBITDA as of the applicable determination date; and


 
AMERICAS 129648577 120 (dd) additional Investments so long as, immediately after giving effect thereto on a Pro Forma Basis, the Total Net Leverage Ratio would not exceed 3.00:1.00 calculated as of the last day of the most recently ended Test Period. For the avoidance of doubt, each category of Investments and each dollar cap set forth in this Section 7.4 is be separate and is not meant to reduce any other category or cap set forth in this Section 7.4. For purposes of determining compliance with this Section 7.4, (x) the amount of any Investment at any time shall be the amount of cash and the fair market value of other property actually invested (measured at the time made), without adjustment for subsequent changes in the value of such Investment, net of any return, whether a return of capital, interest, dividend or otherwise, with respect to such Investment and (y) in the event that any Investment (or any portion thereof) meets the criteria of more than one of the categories set forth above, the Borrower may, in its sole discretion, at the time such Investment is made, divide, classify or reclassify, or at any later time divide, classify or reclassify, such Investment (or any portion thereof) in any manner that complies with this Section 7.4 on the date such Investment is made or such later time, as applicable. Section 7.5. Restricted Payments. The Borrower will not, and will not permit any of its Restricted Subsidiaries to, declare or make, or agree to pay or make, directly or indirectly, any Restricted Payment, except: (a) dividends payable by the Borrower solely in interests of any class of its common equity; (b) Restricted Payments made by any Restricted Subsidiary to the Borrower or to another Restricted Subsidiary, provided that such Restricted Payment shall be on at least a pro rata basis with any other shareholders if such Restricted Subsidiary is not a Wholly Owned Subsidiary of the Borrower and other Restricted Subsidiaries that are Wholly Owned Subsidiaries of the Borrower; (c) Restricted Payments the proceeds of which will be used to pay or finance: (i) tax distributions made pursuant to Section 10 of the Holdings LLC Agreement, provided that (x) any such tax distributions attributable to the income of any Unrestricted Subsidiary of the Borrower shall be limited to the amount of any cash paid by such Unrestricted Subsidiary to the Borrower or any Restricted Subsidiary for such purpose and (y) no tax receivables agreement will be contemplated thereby, (ii) operating, overhead, legal, accounting and other professional fees costs and expenses (including directors’ fees and expenses) and other ordinary course overhead costs and operational expenses (including administrative, legal, accounting, filing and similar expenses provided by third parties), in each case to the extent related to Holdings’ separate existence as a holding company or attributable to the ownership or operations of the Borrower and its Restricted Subsidiaries (and, to the extent permitted below, Unrestricted Subsidiaries) in an amount not to exceed the greater of (x) $4,500,000 and (y) 3% of TTM Consolidated EBITDA as of the applicable determination date in the aggregate; provided that the amount of such Restricted Payments made in respect of an Unrestricted Subsidiary will be permitted only to the extent that cash distributions or dividends were made by such Unrestricted Subsidiary to the Borrower or a Restricted Subsidiary to cover such amount or the amount of such payment is treated by the Borrower or a Restricted Subsidiary as an Investment in such Unrestricted Subsidiary and such Investment is permitted under Section 7.4 at such time, and (iii) franchise taxes and other fees, taxes and expenses in connection with (x) the ownership of the Borrower or any Restricted Subsidiary or (y) the maintenance of Holdings’, the Borrower’s or any other such parent entity’s corporate or legal existence;


 
AMERICAS 129648577 121 (d) payments of any trade readjustment allowances by the Borrower (or any direct or indirect parent company) or any Restricted Subsidiary thereof; (e) so long as no Event of Default then exists or would result therefrom, additional Restricted Payments which in the aggregate do not exceed the greater of (x) $30,000,000 and (y) 20% of TTM Consolidated EBITDA as of the applicable determination date less the amount of any Investments made pursuant to Section 7.04(z) in reliance on the amount reallocated from this clause (e); (f) the loans or other advances contemplated by Section 7.4(j) and Section 7.4(k) hereof; (g) the Borrower or any Restricted Subsidiary may, in good faith, pay (or make Restricted Payments to allow any direct or indirect parent thereof to pay) for the repurchase, retirement or other acquisition or retirement for value of Capital Stock of it or any direct or indirect parent thereof held by any future, present or former employee, director, manager, officer or consultant (or any Affiliates, spouses, former spouses, other immediate family members, successors, executors, administrators, heirs, legatees or distributes of any of the foregoing) of the Borrower (or any direct or indirect parent of the Borrower) of any of its Restricted Subsidiaries pursuant to any employee, management, director or manager equity plan, employee, management, director or manager stock option plan or any other employee, management, director or manager benefit plan or any similar agreement (including any stock subscription or shareholder agreement) with any employee, director, manager, officer or consultant of the Borrower or any Restricted Subsidiary; provided that such payments do not exceed the greater of (x) $4,500,000 and (y) 3.0% of TTM Consolidated EBITDA as of the applicable date of determination in any calendar year; provided that any unused portion of the preceding basket for any calendar year may be carried forward to the immediately succeeding calendar year; (h) [Reserved]; (i) repurchases of Capital Stock (a) deemed to occur upon exercise of options, warrants or similar rights if such Capital Stock represent a portion of the exercise price of such options or warrants or similar rights or (b) in consideration of withholding or similar taxes payable by any future, present or former employee, manager, officer, director, consultant or contractor (or any spouses, former spouses, successors, executors, administrators, heirs, trustees, legatees or distributees of any of the foregoing), including deemed repurchases in connection with the exercise of stock options or the vesting of any equity awards; (j) Restricted Payments the proceeds of which will be used to pay or finance (or permit any Parent Entity to pay or finance): (i) any Permitted Acquisition; provided that (i) such Restricted Payment shall be made substantially concurrently with the closing of such Investment and (ii) the Borrower will, immediately following the closing thereof, cause (A) all property acquired (whether assets or Capital Stock) to be contributed to the Borrower or a Restricted Subsidiary or (B) the merger (to the extent permitted in Section 7.3) of the Person formed or acquired with or into the Borrower or a Restricted Subsidiary in order to consummate such Investment, in each case, in accordance with the requirements of Section 5.10; (ii) costs, fees and expenses related to any equity or debt offering expressly permitted by this Agreement or any Investment permitted hereunder, whether or not consummated; and (iii) customary salary, bonus and other benefits payable to future, present or former employees, managers, officers, directors, consultants or contractors of Holdings or any direct or indirect parent of Holdings to the extent such salaries, bonuses and other benefits are attributable to the


 
AMERICAS 129648577 122 ownership or operation of the Borrower and its Restricted Subsidiaries (and, to the extent permitted below, Unrestricted Subsidiaries) provided that, the amount of such Restricted Payments made in respect of an Unrestricted Subsidiary will be permitted only to the extent that such cash distributions or dividends were made by such Unrestricted Subsidiary to the Borrower or a Restricted Subsidiary to cover such amount or the amount of such payment is treated by the Borrower or a Restricted Subsidiary as an Investment in such Unrestricted Subsidiary and such Investment is permitted under Section 7.4 at such time; (k) after a Qualified IPO, the Borrower may make Restricted Payments to its equity holders or the equity holders of any direct or indirect parent company of Borrower (i) to pay listing fees and other costs and expenses attributable to being a publicly traded company which are reasonable and customary and (ii) in an aggregate amount not exceeding 6.0% of the net equity proceeds received by Borrower from such Qualified IPO; provided that, in the case of any Restricted Payments made under subclause (ii) hereof, no Default or Event of Default shall have occurred and be continuing or would result therefrom at the time such Restricted Payment is made; (l) dispositions (other than by reference to Section 7.6) to the extent constituting a Restricted Payment or Restricted Payments, mergers, dissolutions, liquidations and consolidations permitted under Section 7.3 or Section 7.7 (other than Section 7.7(b)); (m) Restricted Payments to pay (or permit any direct or indirect parent entity to pay) cash in lieu of the issuance of fractional Capital Stock in connection with the exercise of warrants, upon the conversion or exchange of Capital Stock of any such Person, in connection with any merger, consolidation, amalgamation or other business combination, or in connection with any dividend, distribution, split or combination of Capital Stock; (n) the making of any Restricted Payment in exchange for, or out of or with the Net Proceeds of the substantially concurrent sale (other than to a Restricted Subsidiary of the Borrower) of Qualified Capital Stock of the Borrower or any Parent Entity or from the substantially concurrent contribution of common equity capital to the Borrower (other than by a Restricted Subsidiary), in each case that are Not Otherwise Applied and to the extent such Net Proceeds do not increase Available Amount or constitute a Specified Equity Contribution; (o) Restricted Payments of Investments in one or more Unrestricted Subsidiaries (other than Unrestricted Subsidiaries all or substantially all of the assets of which are cash and Cash Equivalents); (p) other Restricted Payments, provided that, (i) no Event of Default shall exist or be continuing or result therefrom and (ii) immediately after giving effect thereto, the Total Net Leverage Ratio, on a Pro Forma Basis does not exceed 2.50:1.00 as of the last day of the most recently ended Test Period; (q) [reserved] (r) the Borrower or any Restricted Subsidiary may make additional Restricted Payments in an amount not to exceed the Available Amount; provided that at the time of any such Restricted Payment, (i) no Event of Default shall have occurred and be continuing or would result therefrom and (ii) with respect to any Restricted Payment made utilizing amounts specified in clauses (i) and (ii) of the definition of “Available Amount”, at the time of such Restricted Payment, after giving effect thereto, the Total Net Leverage Ratio of the Borrower as of the last day of the most recently ended Test Period, on a Pro Forma Basis, would be no greater than 3.00:1.00. For the avoidance of doubt, each category of Restricted Payments and each dollar cap set forth in this Section 7.5 is separate and is not meant to reduce any other category or cap set forth in this


 
AMERICAS 129648577 123 Section 7.5. For purposes of determining compliance with this Section 7.5, in the event that any Restricted Payment (or any portion thereof) meets the criteria of more than one of the categories set forth above, the Borrower may, in its sole discretion, at the time such Restricted Payment is made, divide, classify or reclassify, or at any later time divide, classify or reclassify, such Restricted Payment (or any portion thereof) in any manner that complies with this Section 7.5 on the date such Restricted Payment is made or such later time, as applicable. Section 7.6. Sale of Assets. The Borrower will not, and will not permit any of its Restricted Subsidiaries to, convey, sell, lease, assign, transfer or otherwise dispose of any of its assets, business or property or, in the case of any Restricted Subsidiary, any shares of such Restricted Subsidiary’s Capital Stock, in each case whether now owned or hereafter acquired, to any Person other than to the Borrower or a Subsidiary Loan Party (or to qualify directors if required by applicable law), except: (a) the sale or other disposition of (i) obsolete or worn out property or other property not necessary for operations disposed of in the ordinary course of business and (ii) property to the extent that (A) such property is simultaneously exchanged for credit against the purchase price of similar replacement property or (B) the net proceeds of such disposition are promptly applied to the purchase price of such replacement property; (b) the sale of inventory in the ordinary course of business; (c) dispositions of property to the Borrower or a Restricted Subsidiary; provided, that if the transferor of such property is a Loan Party (a) the transferee thereof must be a Loan Party or (b) to the extent constituting an Investment, such Investment must be permitted pursuant to Section 7.4 in a Restricted Subsidiary that is not a Loan Party; (d) dispositions consisting of Investments permitted under Section 7.4 (other than Section 7.4(m)), transactions permitted under Section 7.3 or Restricted Payments permitted under Section 7.5 or consisting of Liens permitted under Section 7.2; (e) dispositions of property pursuant to sale and leaseback transactions, provided that (i) no Event of Default has occurred and is continuing or would result therefrom (other than any such disposition made pursuant to a legally binding commitment entered into at a time when no Event of Default has occurred and is continuing), (ii) such disposition shall be for no less than the fair market value of such property at the time of such disposition, (iii) the aggregate proceeds of sale and leaseback transactions permitted pursuant to this clause (e) shall not in any Fiscal Year exceed the greater of (i) $22,500,000 and (ii) 15% of TTM Consolidated EBITDA as of the applicable date of determination and (iv) the Borrower and its Restricted Subsidiaries shall receive not less than 75% of the consideration for such sale and leaseback transaction in the form of cash or Cash Equivalents; (f) dispositions of Cash Equivalents (or Investments that were Cash Equivalents when made); (g) leases, subleases, licenses or sublicenses (including the provision of software under an open source license), in each case in the ordinary course of business and which do not materially interfere with the business of the Borrower and the Restricted Subsidiaries, taken as a whole; (h) dispositions of property subject to any casualty event, eminent domain or condemnation; (i) other dispositions, provided that:


 
AMERICAS 129648577 124 (i) at the time of such disposition (other than any such disposition made pursuant to a legally binding commitment entered into at a time when no Event of Default has occurred and is continuing), no Event of Default has occurred and is continuing or would result therefrom; and (ii) with respect to any disposition pursuant to this clause (i) for a purchase price in excess of the greater of (i) $22,500,000 and (ii) 15% of TTM Consolidated EBITDA as of the applicable determination date, in each case determined as of the time of making such disposition, the Borrower or any of the Restricted Subsidiaries shall receive not less than 75% of such consideration in the form of cash or Cash Equivalents; provided, however, that for the purposes of this clause (ii) each of the following will be deemed to be cash, (1) any liabilities (as shown on the Borrower’s or any Restricted Subsidiary’s most recent balance sheet provided hereunder or in the footnotes thereto) of the Borrower or any Restricted Subsidiary, other than liabilities that are by their terms subordinated in right of payment to the Obligations, that are assumed by the transferee with respect to the applicable disposition and for which the Borrower and the Restricted Subsidiaries have been validly released by all applicable creditors in writing; and (2) any securities received by or Indebtedness owed to the Borrower or any Restricted Subsidiary from such transferee that are converted by the Borrower or any Restricted Subsidiary into cash or Cash Equivalents (to the extent of the cash or Cash Equivalents received) within one hundred and eighty (180) days following the closing of the applicable disposition; (3) any Designated Non-Cash Consideration received in respect of such Disposition having an aggregate fair market value, taken together with all other Designated Non-Cash Consideration received pursuant to this clause (3) that is at that time outstanding, not in excess of the greater of (A) $10.0 million and (B) 7% of TTM Consolidated EBITDA as of the applicable date of determination, with the fair market value of each item of Designated Non-Cash Consideration being measured at the time received and without giving effect to subsequent changes in value; (iii) such disposition shall be for no less than the fair market value of such property at the time of such disposition (or, if earlier, the definitive documentation or other contractual obligation with respect to such disposition is entered into by the Borrower or any Restricted Subsidiary (as applicable); (j) dispositions of Investments in joint ventures to the extent required by, or made pursuant to customary buy/sell arrangements among, the joint venture parties set forth in joint venture or similar agreements or arrangements; (k) dispositions or discounts of accounts receivable and related assets in connection with the collection or compromise thereof; (l) dispositions (including issuances or sales) of Capital Stock in, or Indebtedness owing to, or of other securities of, an Unrestricted Subsidiary; (m) dispositions constituting any exchange of like property for use in any business conducted by the Borrower or any of the Restricted Subsidiaries, to the extent allowable under Section 1031 of the Code (or comparable or successor provision); provided that to the extent the property being transferred constitutes Collateral, such replacement property shall constitute Collateral; (n) the unwinding of any Hedging Transaction pursuant to its terms;


 
AMERICAS 129648577 125 (o) dispositions of assets in connection with the closing or sale of a facility, including dispositions of inventory, fee or leasehold interests in the premises of such facility, equipment and fixtures located at such premises, and the books and records relating to the operations of such facility; provided that as to each and all such sales and closings, (a) no Event of Default shall have occurred and be continuing or shall result therefrom and (b) such dispositions shall be for no less than fair market value at the time of such disposition; (p) [reserved]; (q) (i) settlement of litigation, claims (including without limitation, all alleged or threatened claims), disputes or any other type of liability (and any Dispositions in connection therewith), or (ii) the lease, sublease, license or sublicense of intellectual property rights outside the United States or (iii) the lapse, abandonment, discontinuance of the use or maintenance of any intellectual property rights no longer used in the business of the Borrower or the Restricted Subsidiaries, in each case of (i), (ii) and (iii), if the Borrower or any Restricted Subsidiary determines in its reasonable business judgment that it would not materially interfere with the business of the Borrower and its Restricted Subsidiaries, taken as a whole; (r) disposition of assets (including Capital Stock) acquired in connection with Permitted Acquisitions or other Investments permitted hereunder, which assets are not used or useful to the core or principal business of the Borrower and the Restricted Subsidiaries; (s) dispositions of pipeline, marketed or other assets required by regulatory authorities in connection with any Permitted Acquisition or other Investment permitted hereunder; (t) [reserved]; (u) [reserved]; and (v) the sale or other disposition of such assets in an aggregate amount not to exceed the greater of (x) $22,500,000 and (y) 15.0% of TTM Consolidated EBITDA as of the applicable date of determination in the aggregate for all such transactions. Section 7.7. Transactions with Affiliates. The Borrower will not, and will not permit any of its Restricted Subsidiaries to, sell, lease or otherwise transfer any property or assets to, or purchase, lease or otherwise acquire any property or assets from, or otherwise engage in any other transactions with, any of its Affiliates, in an amount in excess of the greater of (x) $4,500,000 and (y) 3% of TTM Consolidated EBITDA as of the applicable determination date except: (a) at prices and on terms and conditions not less favorable to the Borrower or such Restricted Subsidiary than could be obtained on an arm’s-length basis from unrelated third parties; (b) transactions between or among the Loan Parties and/or any Restricted Subsidiaries or any Person that becomes a Restricted Subsidiary as a result of such transaction that are otherwise permitted under this Agreement; (c) any Restricted Payment permitted by Section 7.5; (d) the issuance, transfer or conversion of Capital Stock (other than Disqualified Capital Stock) of the Borrower or any Parent Entity not constituting a Change in Control;


 
AMERICAS 129648577 126 (e) the licensing of intellectual property rights in the ordinary course of business to permit the commercial exploitation of intellectual property rights between or among the Borrower, its Affiliates or its Restricted Subsidiaries, to the extent such licensing is made in the ordinary course of business and does not interfere in any material respect with the business of the Borrower and the Restricted Subsidiaries, taken as a whole; (f) payments by the Borrower, any Restricted Subsidiary or any direct or indirect parent thereof pursuant to reasonable tax sharing arrangements between or among such Persons; (g) payments to or from, and transactions with, joint ventures (to the extent any such joint venture is only an Affiliate as a result of Investments by the Borrower and the Restricted Subsidiaries in such joint venture) otherwise permitted under this Agreement; (h) any purchase by any Parent Entity of the Capital Stock of the Borrower and the issuance, sale or transfer of Capital Stock of the Borrower to any Parent Entity and capital contributions by any Parent Entity to the Borrower (and payment of reasonable out-of-pocket expenses incurred in connection therewith); (i) the existence of, or the performance by the Borrower or any of its Restricted Subsidiaries of its obligations under the terms of, any customary registration rights agreement to which such Person or any Parent Entity is a party or becomes a party in the future; and (j) indemnification and expense reimbursement of officers, directors, employees and consultants. Section 7.8. Restrictive Agreements. The Borrower will not, and will not permit any of its Restricted Subsidiaries to, directly or indirectly, enter into, incur or permit to exist any agreement that prohibits, restricts or imposes any condition upon (a) the ability of the Borrower or any of its Restricted Subsidiaries to create, incur or permit any Lien upon any of its assets or properties, whether now owned or hereafter acquired, or (b) the ability of any of its Restricted Subsidiaries to pay dividends or other distributions with respect to its Capital Stock, to make or repay loans or advances to the Borrower or any other Restricted Subsidiary thereof, to Guarantee Indebtedness of the Borrower or any other Restricted Subsidiary thereof or to transfer any of its property or assets to the Borrower or any other Restricted Subsidiary thereof; provided that (i) the foregoing shall not apply to restrictions or conditions imposed by law or by this Agreement or any other Loan Document or any Amneal Debt Document, (ii) the foregoing shall not apply to customary restrictions and conditions contained in agreements relating to the sale of a Restricted Subsidiary pending such sale, provided such restrictions and conditions apply only to the Restricted Subsidiary that is sold and such sale is permitted hereunder, (iii) clause (a) shall not apply to restrictions or conditions imposed by any agreement relating to secured Indebtedness permitted by this Agreement and (iv) clause (a) shall not apply to customary provisions in leases, licenses and other contracts restricting the assignment thereof. Section 7.9. Business of Holdings. Holdings will not engage in any business other than (a) the ownership of the Capital Stock in the Borrower, (b) performance of its obligations in connection with this Agreement and any other Loan Document, (c) issuance of Capital Stock, (d) as otherwise required by law, (e) holding and receiving cash as permitted by the terms of this Agreement, its participation in tax, accounting and other administrative matters as a member of the consolidated group of Amneal Pharmaceuticals, Inc. and its Subsidiaries, including compliance with applicable laws and legal, tax and accounting matters related thereto and activities relating to its officers, directors, employees, managers, partners, consultants and independent contractors, (f) preparing reports to Governmental Authorities and to the holders of its Capital Stock, (g) holding manager and equity holder meetings, preparing organizational


 
AMERICAS 129648577 127 records and other organizational activities required to maintain its separate organizational structure or to comply with applicable laws, (h) activities and transactions in connection with any management equity plan, (i) abiding by the representations, warranties and covenants and any other customary provisions applicable to Holdings set forth in the Amneal Debt Documents (it being understood that to the extent that any such provisions in the Amneal Debt Documents as of the date hereof applied to Holdings, then such provisions shall be deemed to be “customary”) and (j) any activities reasonably related to the activities set forth in clause (a) through (i) above. Section 7.10. Hedging Transactions. The Borrower will not, and will not permit any of its Restricted Subsidiaries to, enter into any Hedging Transaction, other than Hedging Transactions entered into in the ordinary course of business to hedge or mitigate risks to which the Borrower or any of its Restricted Subsidiaries is exposed in the conduct of its business or the management of its liabilities. Solely for the avoidance of doubt, the Borrower acknowledges that a Hedging Transaction entered into for speculative purposes or of a speculative nature (which shall be deemed to include any Hedging Transaction under which the Borrower or any of its Restricted Subsidiaries is or may become obliged to make any payment (i) in connection with the purchase by any third party of any Capital Stock or any Indebtedness or (ii) as a result of changes in the market value of any Capital Stock or any Indebtedness) is not a Hedging Transaction entered into in the ordinary course of business to hedge or mitigate risks. Section 7.11. Amendment to Material Documents. The Borrower will not, and will not permit any of its Restricted Subsidiaries to, amend, modify or waive any of its rights under its certificate of incorporation, bylaws or other Organization Documents or any Junior Debt Documents (subject to any applicable Acceptable Intercreditor Agreement) in any manner that would be materially adverse to the interests of the Lenders and the Administrative Agent. Section 7.12. Certain Indebtedness. The Borrower will not, and will not permit any of its Restricted Subsidiaries to prepay, redeem, purchase, defease or otherwise satisfy prior to the scheduled maturity thereof in any manner (it being understood that subject to the terms of the applicable Acceptable Intercreditor Agreement, payments of regularly scheduled principal, interest and mandatory prepayments shall be permitted) any Junior Debt, except (i) the refinancing thereof with any Indebtedness (to the extent such Indebtedness constitutes a Permitted Refinancing), to the extent not required to prepay any Loans pursuant to Section 2.12(b), (ii) the conversion or exchange of any Junior Debt to Qualified Capital Stock of Holdings or any of its direct or indirect parents, (iii) subject to the subordination provisions in respect thereof, the prepayment of Indebtedness of the Borrower or any Restricted Subsidiary owing to the Borrower or any Restricted Subsidiary, (iv) repayments, prepayments, redemptions, purchases, defeasances and other payments in respect of Junior Debt prior to their scheduled maturity in an aggregate amount not to exceed, so long as no Event of Default then exists and is continuing or would result therefrom, the Available Amount at such time; provided that in respect of any such repayments, prepayments, redemptions, purchases, defeasances and other payments using clauses (i) and (ii) of the Available Amount only, the Total Net Leverage Ratio (as determined on a Pro Forma Basis) is less than or equal to 3.00:1.00 as of the last day of the most recently ended Test Period and (v) so long as no Event of Default shall have occurred and be continuing or would otherwise result therefrom, additional amounts so long as, after giving effect to such repayment, the Total Net Leverage Ratio on a Pro Forma Basis is less than or equal to 2.25:1.00 as of the last day of the most recently ended Test Period. Section 7.13. Accounting Changes. The Borrower will not, and will not permit any of its Restricted Subsidiaries to, make any change in accounting treatment or reporting practices, except as required by GAAP, or change the fiscal year of the Borrower or of any of its Restricted Subsidiaries, except to change the fiscal year of a Restricted Subsidiary to conform its fiscal year to that of the Borrower.


 
AMERICAS 129648577 128 Section 7.14. Government Regulation. The Borrower will not, and will not permit any of its Restricted Subsidiaries to, (a) be or become subject at any time to any law, regulation or list of any Governmental Authority of the United States (including, without limitation, the OFAC list) that prohibits or limits the Lenders or the Administrative Agent from making any advance or extension of credit to the Borrower or from otherwise conducting business with the Loan Parties, or (b) fail to provide documentary and other evidence of the identity of the Loan Parties as may be requested by the Lenders or the Administrative Agent at any time to enable the Lenders or the Administrative Agent to verify the identity of the Loan Parties or to comply with any applicable law or regulation, including, without limitation, the USA Patriot Act. Section 7.15. Business of the Borrower and its Restricted Subsidiaries. Neither the Borrower nor any of its Restricted Subsidiaries shall engage in any material line of business substantially different from those lines of business conducted or proposed to be conducted by the Borrower and its Restricted Subsidiaries on the Restatement Date and any business that is similar, corollary, ancillary, incidental or complementary or related to, or a reasonable extension, development or expansion of, the businesses conducted or proposed to be conducted by the Borrower and its Restricted Subsidiaries on the Restatement Date. Section 7.16. Sanctions. The Borrower will not, and will not permit any Restricted Subsidiary to, use any Loan or Letter of Credit or the proceeds of any Loan and/or Letter of Credit, or lend, contribute or otherwise make available any Loan or Letter of Credit or the proceeds of any Loan or Letter of Credit to any Person, to fund or facilitate any activities of or business with any Sanctioned Person or in any Sanctioned Country, or in any other manner that will result in a violation by any Person (including any Person participating in the transaction, whether as a Lead Arranger, the Administrative Agent, any Lender or the Issuing Bank or otherwise) of Sanctions. Section 7.17. Anti-Corruption Laws. The Borrower will not, and will not permit any Restricted Subsidiary to, use any Loan or Letter of Credit or the proceeds therefrom for any purpose that would violate the Foreign Corrupt Practices Act of 1977, the UK Bribery Act 2010 and any similar anti- corruption legislation or laws in any other jurisdiction. ARTICLE VIII EVENTS OF DEFAULT Section 8.1. Events of Default. If any of the following events (each, an “Event of Default”) shall occur: (a) any Loan Party shall fail to pay any principal of any Loan or of any reimbursement obligation in respect of any LC Disbursement, when and as the same shall become due and payable, whether at the due date thereof or at a date fixed for prepayment or otherwise; or (b) any Loan Party shall fail to pay any interest on any Loan or any fee or any other amount (other than an amount payable under subsection (a) of this Section) payable under this Agreement or any other Loan Document, when and as the same shall become due and payable, and such failure shall continue unremedied for a period of five (5) Business Days; or (c) any representation or warranty made or deemed made by or on behalf of Holdings, the Borrower or any of its Restricted Subsidiaries in or in connection with this Agreement or any other Loan Document (including the Schedules attached hereto and thereto), or in any amendments or modifications hereof or waivers hereunder, or in any certificate, report, financial statement or other


 
AMERICAS 129648577 129 document submitted to the Administrative Agent or the Lenders by any Loan Party or any representative of any Loan Party pursuant to or in connection with this Agreement or any other Loan Document shall prove to be incorrect in any material respect (other than any representation or warranty that is expressly qualified by a Material Adverse Effect or other materiality, in which case such representation or warranty shall prove to be incorrect in any respect) when made or deemed made or submitted; or (d) the Borrower shall fail to observe or perform any covenant or agreement contained in Section 5.1, 5.2, or 5.3 (solely with respect to the Borrower’s legal existence) or Article VI or VII, and, with respect to Section 5.1 only, such failure shall continue unremedied for a period of ten (10) days; or (e) any Loan Party shall fail to observe or perform any covenant or agreement contained in this Agreement (other than those referred to in subsections (a), (b) and (d) of this Section) or any other Loan Document, and such failure shall remain unremedied for 30 days after the earlier of (i) any officer of the Borrower becomes aware of such failure, or (ii) notice thereof shall have been given to the Borrower by the Administrative Agent or any Lender; or (f) any Acceptable Intercreditor Agreement shall cease, for any reason, to be in full force and effect (other than in accordance with its terms); or (g) (i) Holdings, the Borrower or any of its Restricted Subsidiaries (whether as primary obligor or as guarantor or other surety) shall fail to pay any principal of, or premium or interest on, any Material Indebtedness that is outstanding, when and as the same shall become due and payable (whether at scheduled maturity, required prepayment, acceleration, demand or otherwise), and such failure shall continue after the applicable grace period, if any, specified in the agreement or instrument evidencing or governing such Indebtedness; (ii) any other event shall occur or condition shall exist under any agreement or instrument relating to any Material Indebtedness and shall continue after the applicable grace period, if any, specified in such agreement or instrument, if the effect of such event or condition is to accelerate, or permit the acceleration of, the maturity of such Indebtedness; or (iii) or any Material Indebtedness shall be declared to be due and payable, or required to be prepaid or redeemed (other than by a regularly scheduled required prepayment or redemption), purchased or defeased, or any offer to prepay, redeem, purchase or defease such Indebtedness shall be required to be made, in each case prior to the stated maturity thereof and, in the case of clauses (i), (ii) and (iii), such failure, event or condition is unremedied and is not waived or cured by the holders of such Material Indebtedness prior to any acceleration of the Obligations pursuant to this Section 8.1; or (h) Holdings, the Borrower or any of its Restricted Subsidiaries shall (i) commence a voluntary case or other proceeding or file any petition seeking liquidation, reorganization or other relief under any federal, state or foreign bankruptcy, insolvency or other similar law now or hereafter in effect or seeking the appointment of a custodian, trustee, receiver, liquidator or other similar official of it or any substantial part of its property, (ii) consent to the institution of, or fail to contest in a timely and appropriate manner, any proceeding or petition described in clause (i) of this subsection, (iii) apply for or consent to the appointment of a custodian, trustee, receiver, liquidator or other similar official for the Borrower or any such Subsidiary or for a substantial part of its assets, (iv) file an answer admitting the material allegations of a petition filed against it in any such proceeding, (v) make a general assignment for the benefit of creditors, or (vi) take any action for the purpose of effecting any of the foregoing; or (i) an involuntary proceeding shall be commenced or an involuntary petition shall be filed seeking (i) liquidation, reorganization or other relief in respect of the Holdings, Borrower or any of its Restricted Subsidiaries or its debts, or any substantial part of its assets, under any federal, state or foreign bankruptcy, insolvency or other similar law now or hereafter in effect or (ii) the appointment of a custodian, trustee, receiver, liquidator or other similar official for Holdings, the Borrower or any of its Restricted Subsidiaries or for a substantial part of its assets, and in any such case, such proceeding or petition shall


 
AMERICAS 129648577 130 remain undismissed for a period of 60 days or an order or decree approving or ordering any of the foregoing shall be entered; or (j) Holdings, the Borrower or any of its Restricted Subsidiaries shall become unable to pay, shall admit in writing its inability to pay, or shall fail to pay, its debts as they become due; or (k) an ERISA Event occurs with respect to any Plan or Multiemployer Plan, and such ERISA Event, together with all other such ERISA Events, if any, could reasonably be expected, either individually or in the aggregate, to have a Material Adverse Effect; or (l) any judgment or order for the payment of money in excess of (x) $22,500,000 and (y) 15% of TTM Consolidated EBITDA as of the applicable determination date in the aggregate shall be rendered against Holdings, the Borrower or any of its Restricted Subsidiaries, and either (i) enforcement proceedings shall have been commenced by any creditor upon such judgment or order or (ii) there shall be a period of 60 consecutive days during which a stay of enforcement of such judgment or order, by reason of a pending appeal or otherwise, shall not be in effect; or (m) any non-monetary judgment or order shall be rendered against Holdings, the Borrower or any of its Restricted Subsidiaries that could reasonably be expected, either individually or in the aggregate, to have a Material Adverse Effect, and there shall be a period of 60 consecutive days during which a stay of enforcement of such judgment or order, by reason of a pending appeal or otherwise, shall not be in effect; or (n) a Change in Control shall occur or exist; or (o) any provision of the Guaranty and Security Agreement or any other Collateral Document shall for any reason cease to be valid and binding on, or enforceable against, any Loan Party, or any Loan Party shall so state in writing, or any Loan Party shall seek to terminate its obligation under the Guaranty and Security Agreement or any other Loan Document (other than the release of any guaranty or collateral to the extent permitted pursuant to Section 9.11); or (p) any Lien purported to be created under any Collateral Document shall fail or cease to be, or shall be asserted by any Loan Party not to be, a valid and perfected Lien on any material portion of Collateral, with the priority required by the applicable Collateral Documents except to the extent permitted under the Loan Documents or that any such loss of validity or perfection results from (i) the limitations of foreign laws, rules and regulations or the application thereof, or (ii) the Administrative Agent not having possession of certificates actually delivered to it representing securities pledged under a Collateral Documents or failing to file Uniform Commercial Code financing statements and/or continuation statements; then, and in every such event (other than an event with respect to Holdings or the Borrower described in subsection (h), (i) or (j) of this Section) and at any time thereafter during the continuance of such event, the Administrative Agent may, and upon the written request of the Required Lenders shall, by notice to the Borrower, take any or all of the following actions, at the same or different times: (i) terminate the Commitments, whereupon the Commitment of each Lender shall terminate immediately, (ii) declare the principal of and any accrued interest on the Loans, and all other Obligations owing hereunder, to be, whereupon the same shall become, due and payable immediately, without presentment, demand, protest or other notice of any kind, all of which are hereby waived by the Borrower, (iii) exercise all remedies contained in any other Loan Document, and (iv) exercise any other remedies available at law or in equity; provided that, if an Event of Default specified in either subsection (h), (i) or (j) shall occur, the Commitments shall automatically terminate and the principal of the Loans then outstanding, together with accrued interest thereon, and all fees and all other Obligations shall automatically become due and payable,


 
AMERICAS 129648577 131 without presentment, demand, protest or other notice of any kind, all of which are hereby waived by the Borrower. Section 8.2. Application of Proceeds from Collateral. All proceeds from each sale of, or other realization upon, all or any part of the Collateral by any Secured Party after an Event of Default arises or any payments received from any other source shall be applied as follows: (a) first, to the reimbursable expenses of the Administrative Agent incurred in connection with such sale or other realization upon the Collateral, until the same shall have been paid in full; (b) second, to the fees and other reimbursable expenses of the Administrative Agent and the Issuing Bank then due and payable pursuant to any of the Loan Documents, until the same shall have been paid in full; (c) third, to all reimbursable expenses, if any, of the Lenders then due and payable pursuant to any of the Loan Documents, until the same shall have been paid in full; (d) fourth, to the fees and interest then due and payable under the terms of this Agreement, until the same shall have been paid in full; (e) fifth, to the aggregate outstanding principal amount of the Loans, the LC Exposure, the Bank Product Obligations and any amounts owing with respect to Hedging Obligations that constitute Obligations, until the same shall have been paid in full, allocated pro rata among the Secured Parties based on their respective pro rata shares of the aggregate amount of such Loans, LC Exposure, Bank Product Obligations and such Hedging Obligations; (f) sixth, to additional cash collateral for the aggregate amount of all outstanding Letters of Credit until the aggregate amount of all cash collateral held by the Administrative Agent pursuant to this Agreement is at least 105% of the LC Exposure after giving effect to the foregoing clause fifth; and (g) seventh, to the extent any proceeds remain, to the Borrower or as otherwise provided by a court of competent jurisdiction. All amounts allocated pursuant to the foregoing clauses third through fifth to the Lenders as a result of amounts owed to the Lenders under the Loan Documents shall be allocated among, and distributed to, the Lenders pro rata based on their respective Pro Rata Shares; provided that all amounts allocated to that portion of the LC Exposure comprised of the aggregate undrawn amount of all outstanding Letters of Credit pursuant to clauses fifth and sixth shall be distributed to the Administrative Agent, rather than to the Lenders, and held by the Administrative Agent in an account in the name of the Administrative Agent for the benefit of the Issuing Bank and the Lenders as cash collateral for the LC Exposure, such account to be administered in accordance with Section 2.22(g). All cash collateral for LC Exposure shall be applied to satisfy drawings under the Letters of Credit as they occur; if any amount remains on deposit on cash collateral after all letters of credit have either been fully drawn or expired, such remaining amount shall be applied to other Obligations, if any, in the order set forth above. Notwithstanding the foregoing, Bank Product Obligations and Hedging Obligations shall be excluded from the application described above if the Administrative Agent has not received written notice thereof, together with such supporting documentation as the Administrative Agent may request, from the Bank Product Provider or the Lender-Related Hedge Provider, as the case may be. Each Bank Product


 
AMERICAS 129648577 132 Provider or Lender-Related Hedge Provider that has given the notice contemplated by the preceding sentence shall, by such notice, be deemed to have acknowledged and accepted the appointment of the Administrative Agent pursuant to the terms of Article IX hereof for itself and its Affiliates as if a “Lender” party hereto. ARTICLE IX THE ADMINISTRATIVE AGENT Section 9.1. Appointment of the Administrative Agent. (a) Each Lender irrevocably appoints Truist Bank as the Administrative Agent and authorizes it to take such actions on its behalf and to exercise such powers as are delegated to the Administrative Agent under this Agreement and the other Loan Documents, together with all such actions and powers that are reasonably incidental thereto. The Administrative Agent may perform any of its duties hereunder or under the other Loan Documents by or through any one or more sub-agents or attorneys-in- fact appointed by the Administrative Agent. The Administrative Agent and any such sub-agent or attorney- in-fact may perform any and all of its duties and exercise its rights and powers through their respective Related Parties. The exculpatory provisions set forth in this Article shall apply to any such sub-agent, attorney-in-fact or Related Party and shall apply to their respective activities in connection with the syndication of the credit facilities provided for herein as well as activities as the Administrative Agent. (b) The Issuing Bank shall act on behalf of the Lenders with respect to any Letters of Credit issued by it and the documents associated therewith until such time and except for so long as the Administrative Agent may agree at the request of the Required Lenders to act for the Issuing Bank with respect thereto; provided that the Issuing Bank shall have all the benefits and immunities (i) provided to the Administrative Agent in this Article with respect to any acts taken or omissions suffered by the Issuing Bank in connection with Letters of Credit issued by it or proposed to be issued by it and the application and agreements for letters of credit pertaining to the Letters of Credit as fully as if the term “Administrative Agent” as used in this Article included the Issuing Bank with respect to such acts or omissions and (ii) as additionally provided in this Agreement with respect to the Issuing Bank. Section 9.2. Nature of Duties of the Administrative Agent. The Administrative Agent shall not have any duties or obligations except those expressly set forth in this Agreement and the other Loan Documents. Without limiting the generality of the foregoing, (a) the Administrative Agent shall not be subject to any fiduciary or other implied duties, regardless of whether a Default or an Event of Default has occurred and is continuing, (b) the Administrative Agent shall not have any duty to take any discretionary action or exercise any discretionary powers, except those discretionary rights and powers expressly contemplated by the Loan Documents that the Administrative Agent is required to exercise in writing by the Required Lenders (or such other number or percentage of the Lenders as shall be necessary under the circumstances as provided in Section 10.2), provided that the Administrative Agent shall not be required to take any action that, in its opinion or the opinion of its counsel, may expose the Administrative Agent to liability or that is contrary to any Loan Document or applicable law, including for the avoidance of doubt any action that may be in violation of the automatic stay under any Debtor Relief Law or that may effect a forfeiture, modification or termination of property of a Defaulting Lender in violation of any Debtor Relief Law, and (c) except as expressly set forth in the Loan Documents, the Administrative Agent shall not have any duty to disclose, and shall not be liable for the failure to disclose, any information relating to the Borrower or any of its Subsidiaries that is communicated to or obtained by the Administrative Agent or any of its Affiliates in any capacity. The Administrative Agent shall not be liable for any action taken or not taken by it, its sub-agents or its attorneys-in-fact with the consent or at the request of the Required Lenders (or such other number or percentage of the Lenders as shall be necessary under the circumstances as


 
AMERICAS 129648577 133 provided in Section 10.2) or in the absence of its own gross negligence or willful misconduct as determined by a court of competent jurisdiction in a final non-appealable judgment. The Administrative Agent shall not be responsible for the negligence or misconduct of any sub-agents or attorneys-in-fact except to the extent that a court of competent jurisdiction determines in a final and nonappelable judgment that the Administrative Agent acted with gross negligence or willful misconduct in the selection of such sub-agents. The Administrative Agent shall not be deemed to have knowledge of any Default or Event of Default unless and until written notice thereof (which notice shall include an express reference to such event being a “Default” or “Event of Default” hereunder) is given to the Administrative Agent by the Borrower or any Lender, and the Administrative Agent shall not be responsible for or have any duty to ascertain or inquire into (i) any statement, warranty or representation made in or in connection with any Loan Document, (ii) the contents of any certificate, report or other document delivered hereunder or thereunder or in connection herewith or therewith, (iii) the performance or observance of any of the covenants, agreements, or other terms and conditions set forth in any Loan Document, (iv) the validity, enforceability, effectiveness or genuineness of any Loan Document or any other agreement, instrument or document, (v) the value or the sufficiency of any Collateral or (vi) the satisfaction of any condition set forth in Article III or elsewhere in any Loan Document, other than to confirm receipt of items expressly required to be delivered to the Administrative Agent. The Administrative Agent may consult with legal counsel (including counsel for the Borrower) concerning all matters pertaining to such duties. Section 9.3. Lack of Reliance on the Administrative Agent. Each of the Lenders and the Issuing Bank acknowledges that it has, independently and without reliance upon the Administrative Agent, the Issuing Bank or any other Lender and based on such documents and information as it has deemed appropriate, made its own credit analysis and decision to enter into this Agreement. Each of the Lenders and the Issuing Bank also acknowledges that it will, independently and without reliance upon the Administrative Agent, the Issuing Bank or any other Lender and based on such documents and information as it has deemed appropriate, continue to make its own decisions in taking or not taking any action under or based on this Agreement, any related agreement or any document furnished hereunder or thereunder. Section 9.4. Certain Rights of the Administrative Agent. If the Administrative Agent shall request instructions from the Required Lenders with respect to any action or actions (including the failure to act) in connection with this Agreement, the Administrative Agent shall be entitled to refrain from such act or taking such act unless and until it shall have received instructions from such Lenders, and the Administrative Agent shall not incur liability to any Person by reason of so refraining. Without limiting the foregoing, no Lender shall have any right of action whatsoever against the Administrative Agent as a result of the Administrative Agent acting or refraining from acting hereunder in accordance with the instructions of the Required Lenders where required by the terms of this Agreement. Section 9.5. Reliance by the Administrative Agent. The Administrative Agent shall be entitled to rely upon, and shall not incur any liability for relying upon, any notice, request, certificate, consent, statement, instrument, document or other writing (including any electronic message, posting or other distribution) believed by it to be genuine and to have been signed, sent or made by the proper Person. The Administrative Agent may also rely upon any statement made to it orally or by telephone and believed by it to be made by the proper Person and shall not incur any liability for relying thereon. The Administrative Agent may consult with legal counsel (including counsel for the Borrower), independent public accountants and other experts selected by it and shall not be liable for any action taken or not taken by it in accordance with the advice of such counsel, accountants or experts. Section 9.6. The Administrative Agent in its Individual Capacity. The bank serving as the Administrative Agent shall have the same rights and powers under this Agreement and any other Loan Document in its capacity as a Lender as any other Lender and may exercise or refrain from exercising the same as though it were not the Administrative Agent; and the terms “Lenders”, “Required Lenders”, or any


 
AMERICAS 129648577 134 similar terms shall, unless the context clearly otherwise indicates, include the Administrative Agent in its individual capacity. The bank acting as the Administrative Agent and its Affiliates may accept deposits from, lend money to, and generally engage in any kind of business with the Borrower or any Subsidiary or Affiliate of the Borrower as if it were not the Administrative Agent hereunder. Section 9.7. Successor Administrative Agent. (a) The Administrative Agent may resign at any time by giving notice thereof to the Lenders and the Borrower. Upon any such resignation, the Required Lenders shall have the right to appoint a successor Administrative Agent, subject to approval by the Borrower provided that no Event of Default pursuant to Section 8.1(a), (b), (h) or (i) shall exist at such time. If no successor Administrative Agent shall have been so appointed, and shall have accepted such appointment within 30 days after the retiring Administrative Agent gives notice of resignation, then the retiring Administrative Agent may, on behalf of the Lenders, appoint a successor Administrative Agent, which shall be a trust company or a commercial bank organized under the laws of the United States or any state thereof or a bank which maintains an office in the United States, having a combined capital and surplus of at least $500,000,000. (b) Upon the acceptance of its appointment as the Administrative Agent hereunder by a successor, such successor Administrative Agent shall thereupon succeed to and become vested with all the rights, powers, privileges and duties of the retiring Administrative Agent, and the retiring Administrative Agent shall be discharged from its duties and obligations under this Agreement and the other Loan Documents. If, within 45 days after written notice is given of the retiring Administrative Agent’s resignation under this Section, no successor Administrative Agent shall have been appointed and shall have accepted such appointment, then on such 45th day (i) the retiring Administrative Agent’s resignation shall become effective, (ii) the retiring Administrative Agent shall thereupon be discharged from its duties and obligations under the Loan Documents (except that in the case of any collateral security held by the Administrative Agent on behalf of the Secured Parties under any of the Loan Documents, the retiring Administrative Agent shall continue to hold such collateral security until such time as a successor Administrative Agent is appointed) and (iii) the Required Lenders shall thereafter perform all duties of the retiring Administrative Agent under the Loan Documents until such time as the Required Lenders appoint a successor Administrative Agent as provided above. After any retiring Administrative Agent’s resignation hereunder, the provisions of this Article shall continue in effect for the benefit of such retiring Administrative Agent and its representatives and agents in respect of any actions taken or not taken by any of them while it was serving as the Administrative Agent. After the retiring Administrative Agent’s resignation hereunder and under the other Loan Documents, the provisions of this Article and Section 10.3 shall continue in effect for the benefit of such retiring Administrative Agent, its sub-agents and their respective Related Parties in respect of any actions taken or omitted to be taken by any of them while the retiring Administrative Agent was acting as Administrative Agent. Section 9.8. Withholding Tax. To the extent required by any applicable law, the Administrative Agent may withhold from any interest payment to any Lender an amount equivalent to any applicable withholding tax. If the Internal Revenue Service or any authority of the United States or any other jurisdiction asserts a claim that the Administrative Agent did not properly withhold tax from amounts paid to or for the account of any Lender (because the appropriate form was not delivered or was not properly executed, or because such Lender failed to notify the Administrative Agent of a change in circumstances that rendered the exemption from, or reduction of, withholding tax ineffective, or for any other reason), such Lender shall indemnify the Administrative Agent (to the extent that the Administrative Agent has not already been reimbursed by the Borrower and without limiting the obligation of the Borrower to do so) fully for all amounts paid, directly


 
AMERICAS 129648577 135 or indirectly, by the Administrative Agent as tax or otherwise, including penalties and interest, together with all expenses incurred, including legal expenses, allocated staff costs and any out of pocket expenses. Section 9.9. The Administrative Agent May File Proofs of Claim. (a) In case of the pendency of any receivership, insolvency, liquidation, bankruptcy, reorganization, arrangement, adjustment, composition or other judicial proceeding relative to any Loan Party, the Administrative Agent (irrespective of whether the principal of any Loan or any Revolving Credit Exposure shall then be due and payable as herein expressed or by declaration or otherwise and irrespective of whether the Administrative Agent shall have made any demand on the Borrower) shall be entitled and empowered, by intervention in such proceeding or otherwise: (i) to file and prove a claim for the whole amount of the principal and interest owing and unpaid in respect of the Loans or Revolving Credit Exposure and all other Obligations that are owing and unpaid and to file such other documents as may be necessary or advisable in order to have the claims of the Lenders, the Issuing Bank and the Administrative Agent (including any claim for the reasonable compensation, expenses, disbursements and advances of the Lenders, the Issuing Bank and the Administrative Agent and its agents and counsel and all other amounts due the Lenders, the Issuing Bank and the Administrative Agent under Section 10.3) allowed in such judicial proceeding; and (ii) to collect and receive any monies or other property payable or deliverable on any such claims and to distribute the same. (b) Any custodian, receiver, assignee, trustee, liquidator, sequestrator or other similar official in any such judicial proceeding is hereby authorized by each Lender and the Issuing Bank to make such payments to the Administrative Agent and, if the Administrative Agent shall consent to the making of such payments directly to the Lenders and the Issuing Bank, to pay to the Administrative Agent any amount due for the reasonable compensation, expenses, disbursements and advances of the Administrative Agent and its agents and counsel, and any other amounts due the Administrative Agent under Section 10.3. Nothing contained herein shall be deemed to authorize the Administrative Agent to authorize or consent to or accept or adopt on behalf of any Lender or the Issuing Bank any plan of reorganization, arrangement, adjustment or composition affecting the Obligations or the rights of any Lender or to authorize the Administrative Agent to vote in respect of the claim of any Lender in any such proceeding. Section 9.10. Authorization to Execute Other Loan Documents. Each Lender hereby authorizes the Administrative Agent to execute on behalf of all Lenders all Loan Documents (including, without limitation, the Collateral Documents and any subordination agreements) other than this Agreement. Section 9.11. Collateral and Guaranty Matters. The Lenders irrevocably authorize the Administrative Agent, at its option and in its discretion: (a) to release any Lien on any property granted to or held by the Administrative Agent under any Loan Document (i) upon the termination of all Revolving Commitments, the Cash Collateralization of all reimbursement obligations with respect to Letters of Credit in an amount equal to 105% of the aggregate LC Exposure of all Lenders, and the payment in full of all Obligations (other than contingent indemnification obligations and such Cash Collateralized reimbursement obligations), (ii) that is sold or to be sold as part of or in connection with any sale permitted hereunder or under any other Loan Document, or (iii) if approved, authorized or ratified in writing in accordance with Section 10.2; and


 
AMERICAS 129648577 136 (b) to release any Subsidiary Loan Party from its obligations under the applicable Loan Documents if such Person ceases to be a Subsidiary Loan Party as a result of a transaction permitted hereunder; provided that no Subsidiary Loan Party that becomes a non-wholly owned Subsidiary shall be released from its obligations under the Loan Documents unless (x) such Subsidiary Loan Party became a non-wholly-owned Subsidiary as a result of a bona fide joint venture transaction or other strategic transaction entered into for a bona fide business purpose, in each case, with any Person or Persons that are not an Affiliate of the Borrower and (y) such transaction is not entered into with the primary purpose (as reasonably determined by the Borrower in good faith) of releasing such Subsidiary Loan Party from the guarantees under this Agreement. Upon request by the Administrative Agent at any time, the Required Lenders will confirm in writing the Administrative Agent’s authority to release its interest in particular types or items of property, or to release any Loan Party from its obligations under the applicable Collateral Documents pursuant to this Section. In each case as specified in this Section, the Administrative Agent is authorized, at the Borrower’s expense, to execute and deliver to the applicable Loan Party such documents as such Loan Party may reasonably request to evidence the release of such item of Collateral from the Liens granted under the applicable Collateral Documents, or to release such Loan Party from its obligations under the applicable Collateral Documents, in each case in accordance with the terms of the Loan Documents and this Section. Section 9.12. [Reserved]. Section 9.13. Right to Realize on Collateral and Enforce Guarantee. Anything contained in any of the Loan Documents to the contrary notwithstanding, the Borrower, the Administrative Agent and each Lender hereby agree that (i) no Lender shall have any right individually to realize upon any of the Collateral or to enforce the Collateral Documents, it being understood and agreed that all powers, rights and remedies hereunder and under the Collateral Documents may be exercised solely by the Administrative Agent, and (ii) in the event of a foreclosure by the Administrative Agent on any of the Collateral pursuant to a public or private sale or other disposition, the Administrative Agent or any Lender may be the purchaser or licensor of any or all of such Collateral at any such sale or other disposition and the Administrative Agent, as agent for and representative of the Lenders (but not any Lender or Lenders in its or their respective individual capacities unless the Required Lenders shall otherwise agree in writing), shall be entitled, for the purpose of bidding and making settlement or payment of the purchase price for all or any portion of the Collateral sold at any such public sale, to use and apply any of the Obligations as a credit on account of the purchase price for any collateral payable by the Administrative Agent at such sale or other disposition. Section 9.14. Secured Bank Product Obligations and Hedging Obligations. No Bank Product Provider or Lender-Related Hedge Provider that obtains the benefits of Section 8.2, the Collateral Documents or any Collateral by virtue of the provisions hereof or of any other Loan Document shall have any right to notice of any action or to consent to, direct or object to any action hereunder or under any other Loan Document or otherwise in respect of the Collateral (including the release or impairment of any Collateral) other than in its capacity as a Lender and, in such case, only to the extent expressly provided in the Loan Documents. Notwithstanding any other provision of this Article to the contrary, the Administrative Agent shall not be required to verify the payment of, or that other satisfactory arrangements have been made with respect to, Bank Product Obligations and Hedging Obligations unless the Administrative Agent has received written notice of such Obligations, together with such supporting documentation as the Administrative Agent may request, from the applicable Bank Product Provider or Lender-Related Hedge Provider, as the case may be. Section 9.15. Erroneous Payments.


 
AMERICAS 129648577 137 (a) If the Administrative Agent notifies a Lender, an Issuing Bank or any other Secured Party, or any Person who has received funds on behalf of a Lender, an Issuing Bank or any other Secured Party (any such Lender, Issuing Bank, Secured Party or other recipient, a “Payment Recipient”) that the Administrative Agent has determined in its sole discretion (whether or not after receipt of any notice under immediately succeeding paragraph (b)) that any funds received by such Payment Recipient from the Administrative Agent or any of its Affiliates were erroneously transmitted to, or otherwise erroneously or mistakenly received by, such Payment Recipient (whether or not known to such Lender, Issuing Bank, Secured Party or other Payment Recipient on its behalf) (any such funds, whether received as a payment, prepayment or repayment of principal, interest, fees, distribution or otherwise, individually and collectively, an “Erroneous Payment”) and demands the return of such Erroneous Payment (or a portion thereof), such Erroneous Payment shall at all times remain the property of the Administrative Agent and shall be segregated by the Payment Recipient and held in trust for the benefit of the Administrative Agent, and such Lender, Issuing Bank or other Secured Party shall (or, with respect to any Payment Recipient who received such funds on its behalf, shall cause such Payment Recipient to) promptly, but in no event later than two (2) Business Days thereafter, return to the Administrative Agent the amount of any such Erroneous Payment (or portion thereof) as to which such a demand was made, in same day funds (in the currency so received), together with interest thereon in respect of each day from and including the date such Erroneous Payment (or portion thereof) was received by such Payment Recipient to the date such amount is repaid to the Administrative Agent in same day funds at the greater of the Federal Funds Rate and a rate determined by the Administrative Agent in accordance with banking industry rules on interbank compensation from time to time in effect. A notice of the Administrative Agent to any Payment Recipient under this paragraph (a) shall be conclusive, absent manifest error. (b) Without limiting immediately preceding paragraph (a), each Lender, each Issuing Bank, each Secured Party, or any other Person who has received funds on behalf of a Lender, an Issuing Bank or any Secured Party, hereby further agrees that if it receives a payment, prepayment or repayment (whether received as a payment, prepayment or repayment of principal, interest, fees, distribution or otherwise) from the Administrative Agent (or any of its Affiliates) (x) that is in a different amount than, or on a different date from, that specified in a notice of payment, prepayment or repayment sent by the Administrative Agent (or any of its Affiliates) with respect to such payment, prepayment or repayment, (y) that was not preceded or accompanied by a notice of payment, prepayment or repayment sent by the Administrative Agent (or any of its Affiliates), or (z) that such Lender, Issuing Bank or Secured Party, or other such recipient, otherwise becomes aware was transmitted, or received, in error or by mistake (in whole or in part) in each case: (i) (A) in the case of immediately preceding clauses (x) or (y), an error shall be presumed to have been made (absent written confirmation from the Administrative Agent to the contrary) or (B) an error has been made (in the case of immediately preceding clause (z)), in each case, with respect to such payment, prepayment or repayment; and (ii) such Lender, Issuing Bank or other Secured Party shall (and shall cause any other recipient that receives funds on its respective behalf to) promptly (and, in all events, within one Business Day of its knowledge of such error) notify the Administrative Agent of its receipt of such payment, prepayment or repayment, the details thereof (in reasonable detail) and that it is so notifying the Administrative Agent pursuant to this Section 9.15(b). (c) Each Lender, Issuing Bank and other Secured Party hereby authorizes the Administrative Agent to set off, net and apply any and all amounts at any time owing to such Lender, Issuing Bank or other Secured Party under any Loan Document, or otherwise payable or distributable by the Administrative Agent to such Lender, Issuing Bank or other Secured Party under any Loan Document with respect to any payment of principal, interest, fees or other amounts, against any amount due to the


 
AMERICAS 129648577 138 Administrative Agent under immediately preceding paragraph (a) or under the indemnification provisions of this Agreement. (d) In the event that an Erroneous Payment (or portion thereof) is not recovered by the Administrative Agent for any reason, after demand therefor by the Administrative Agent in accordance with immediately preceding paragraph (a), from any Lender or Issuing Bank that has received such Erroneous Payment (or portion thereof) (and/or from any Payment Recipient who received such Erroneous Payment (or portion thereof) on its respective behalf) (such unrecovered amount, an “Erroneous Payment Return Deficiency”), upon the Administrative Agent’s notice to such Lender or Issuing Bank at any time, (i) such Lender or Issuing Bank shall be deemed to have assigned its Loans (but not its Commitments) of the relevant Class with respect to which such Erroneous Payment was made (the “Erroneous Payment Impacted Class”) in an amount equal to the Erroneous Payment Return Deficiency (or such lesser amount as the Administrative Agent may specify) (such assignment of the Loans (but not Commitments) of the Erroneous Payment Impacted Class, the “Erroneous Payment Deficiency Assignment”) at par plus any accrued and unpaid interest (with the assignment fee to be waived by the Administrative Agent in such instance), and is hereby (together with the Borrower) deemed to execute and deliver an Assignment and Assumption (or, to the extent applicable, an agreement incorporating an Assignment and Assumption by reference pursuant to a Platform as to which the Administrative Agent and such parties are participants) with respect to such Erroneous Payment Deficiency Assignment, and such Lender or Issuing Bank shall deliver any promissory notes evidencing such Loans to the Borrower or the Administrative Agent, (ii) the Administrative Agent as the assignee Lender shall be deemed to acquire the Erroneous Payment Deficiency Assignment, (iii) upon such deemed acquisition, the Administrative Agent as the assignee Lender shall become a Lender or Issuing Bank, as applicable, hereunder with respect to such Erroneous Payment Deficiency Assignment and the assigning Lender or assigning Issuing Bank shall cease to be a Lender or Issuing Bank, as applicable, hereunder with respect to such Erroneous Payment Deficiency Assignment, excluding, for the avoidance of doubt, its obligations under the indemnification provisions of this Agreement and its applicable Commitments which shall survive as to such assigning Lender or assigning Issuing Bank, and (iv) the Administrative Agent may reflect in the Register its ownership interest in the Loans subject to the Erroneous Payment Deficiency Assignment. The Administrative Agent may, in its discretion, sell any Loans acquired pursuant to an Erroneous Payment Deficiency Assignment and upon receipt of the proceeds of such sale, the Erroneous Payment Return Deficiency owing by the applicable Lender or Issuing Bank shall be reduced by the net proceeds of the sale of such Loan (or portion thereof), and the Administrative Agent shall retain all other rights, remedies and claims against such Lender or Issuing Bank (and/or against any recipient that receives funds on its respective behalf). For the avoidance of doubt, no Erroneous Payment Deficiency Assignment will reduce the Commitments of any Lender or Issuing Bank and such Commitments shall remain available in accordance with the terms of this Agreement. In addition, each party hereto agrees that, except to the extent that the Administrative Agent has sold a Loan (or portion thereof) acquired pursuant to an Erroneous Payment Deficiency Assignment, and irrespective of whether the Administrative Agent may be equitably subrogated, the Administrative Agent shall be contractually subrogated to all the rights and interests of the applicable Lender, Issuing Bank or other Secured Party under the Loan Documents with respect to each Erroneous Payment Return Deficiency. (e) The parties hereto agree that an Erroneous Payment shall not pay, prepay, repay, discharge or otherwise satisfy any Obligations owed by the Borrower or any other Loan Party, except, in each case, to the extent such Erroneous Payment is, and solely with respect to the amount of such Erroneous Payment that is, comprised of funds received by the Administrative Agent from the Borrower or any other Loan Party for the purpose of making such Erroneous Payment. (f) Notwithstanding anything to the contrary herein or in any other Loan Document, neither the Borrower nor any other Loan Party nor any other of their respective Affiliates (other than an affiliated Lender) shall have any obligations or liabilities directly or indirectly arising out of this Section


 
AMERICAS 129648577 139 9.15 in respect of any Erroneous Payment (other than that the Borrower has consented to the assignment referenced above in Section 9.15(d) in accordance with the provisions thereof) that it would not otherwise have but for the inclusion of this Section 9.15. (g) To the extent permitted by applicable law, no Payment Recipient shall assert any right or claim to an Erroneous Payment, and hereby waives, and is deemed to waive, any claim, counterclaim, defense or right of set-off or recoupment with respect to any demand, claim or counterclaim by the Administrative Agent for the return of any Erroneous Payment received, including waiver of any defense based on “discharge for value” or any similar doctrine. Each party’s obligations, agreements and waivers under this Section 9.15 shall survive the resignation or replacement of the Administrative Agent, any transfer of rights or obligations by, or the replacement of, a Lender or Issuing Bank, and/or the Payment in Full. Section 9.16. Certain ERISA Matters. (h) Each Lender (x) represents and warrants, as of the date such Person became a Lender party hereto, to, and (y) covenants, from the date such Person became a Lender party hereto to the date such Person ceases being a Lender party hereto, for the benefit of, the Administrative Agent and not, for the avoidance of doubt, to or for the benefit of the Borrower or any other Loan party, that at least one of the following is and will be true: (i) such Lender is not using “plan assets” (within the meaning of Section 3(42) of ERISA or otherwise) of one or more Benefit Plans with respect to such Lender’s entrance into, participation in, administration of and performance of the Loans, the Letters of Credit, the Commitments or this Agreement, (ii) the transaction exemption set forth in one or more PTEs, such as PTE 84-14 (a class exemption for certain transactions determined by independent qualified professional asset managers), PTE 95-60 (a class exemption for certain transactions involving insurance company general accounts), PTE 90-1 (a class exemption for certain transactions involving insurance company pooled separate accounts), PTE 91-38 (a class exemption for certain transactions involving bank collective investment funds) or PTE 96-23 (a class exemption for certain transactions determined by in-house asset managers), is applicable with respect to such Lender’s entrance into, participation in, administration of and performance of the Loans, the Letters of Credit, the Commitments and this Agreement, (iii) (A) such Lender is an investment fund managed by a “Qualified Professional Asset Manager” (within the meaning of Part VI of PTE 84-14), (B) such Qualified Professional Asset Manager made the investment decision on behalf of such Lender to enter into, participate in, administer and perform the Loans, the Letters of Credit, the Commitments and this Agreement, (C) the entrance into, participation in, administration of and performance of the Loans, the Letters of Credit, the Commitments and this Agreement satisfies the requirements of sub-sections (b) through (g) of Part I of PTE 84-14 and (D) to the best knowledge of such Lender, the requirements of subsection (a) of Part I of PTE 84-14 are satisfied with respect to such Lender’s entrance into, participation in, administration of and performance of the Loans, the Letters of Credit, the Commitments and this Agreement, or (iv) such other representation, warranty and covenant as may be agreed in writing between the Administrative Agent, in its sole discretion, and such Lender.


 
AMERICAS 129648577 140 (i) In addition, unless either (1) sub-clause (i) in the immediately preceding clause (a) is true with respect to a Lender or (2) a Lender has provided another representation, warranty and covenant in accordance with sub-clause (iv) in the immediately preceding clause (a), such Lender further (x) represents and warrants, as of the date such Person became a Lender party hereto, to, and (y) covenants, from the date such Person became a Lender party hereto to the date such Person ceases being a Lender party hereto, for the benefit of, the Administrative Agent and not, for the avoidance of doubt, to or for the benefit of the Borrower or any other Loan party, that the Administrative Agent is not a fiduciary with respect to the assets of such Lender involved in such Lender’s entrance into, participation in, administration of and performance of the Loans, the Letters of Credit, the Commitments and this Agreement (including in connection with the reservation or exercise of any rights by the Administrative Agent under this Agreement, any Loan Document or any documents related to hereto or thereto). ARTICLE X MISCELLANEOUS Section 10.1. Notices. (a) Written Notices. (i) Except in the case of notices and other communications expressly permitted to be given by telephone, all notices and other communications to any party herein to be effective shall be in writing and shall be delivered by hand or overnight courier service, mailed by certified or registered mail or sent by telecopy, as follows: To the Borrower: c/o Amneal Pharmaceuticals, LLC 400 Crossing Boulevard, 3rd Floor Bridgewater, NJ 08807 Attention: Chief Financial Officer Telecopy Number: Email: financecontract@amneal.com Website: www.amneal.com With a copy to: c/o Amneal Pharmaceuticals, LLC 400 Crossing Boulevard, 3rd Floor Bridgewater, NJ 08807 Attention: Jason Daly Email: Jason.daly@amneal.com With a copy to: Brown Rudnick LLP One Financial Center Boston, MA 02111 Attention: Andreas P. Andromalos; Tia C. Wallach Email: aandromalos@brownrudnick.com; twallach@brownrudnick.com Telecopy Number: (617) 289-0495-6001 To the Administrative Agent or Issuing Bank: Truist Bank 303 Peachtree Street, 25th Floor


 
AMERICAS 129648577 141 Atlanta, Georgia 30308 Attention: Karen Weich Telephone: (404) 813-9293 Telecopy Number: (801) 453-4108 Email: Agency.Services@truist.com With a copy to (for Informational purposes only): Truist Bank 3333 Peachtree Road, N.E., 8th Floor Atlanta, Georgia 30326 Attention: Timothy Conway Telephone: (404) 836-4710 Email: timothy.conway@truist.com To any other Lender: the address set forth in the Administrative Questionnaire or the Assignment and Acceptance executed by such Lender Any party hereto may change its address or telecopy number for notices and other communications hereunder by notice to the other parties hereto. All such notices and other communications shall be effective upon actual receipt by the relevant Person or, if delivered by overnight courier service, upon the first Business Day after the date deposited with such courier service for overnight (next-day) delivery or, if sent by telecopy, upon transmittal in legible form by facsimile machine or, if mailed, upon the third Business Day after the date deposited into the mail or, if delivered by hand, upon delivery; provided that notices delivered to the Administrative Agent or the Issuing Bank shall not be effective until actually received by such Person at its address specified in this Section. (ii) Any agreement of the Administrative Agent, the Issuing Bank or any Lender herein to receive certain notices by telephone or facsimile is solely for the convenience and at the request of the Borrower. The Administrative Agent, the Issuing Bank and each Lender shall be entitled to rely on the authority of any Person purporting to be a Person authorized by the Borrower to give such notice and the Administrative Agent, the Issuing Bank and the Lenders shall not have any liability to the Borrower or other Person on account of any action taken or not taken by the Administrative Agent, the Issuing Bank or any Lender in reliance upon such telephonic or facsimile notice. The obligation of the Borrower to repay the Loans and all other Obligations hereunder shall not be affected in any way or to any extent by any failure of the Administrative Agent, the Issuing Bank or any Lender to receive written confirmation of any telephonic or facsimile notice or the receipt by the Administrative Agent, the Issuing Bank or any Lender of a confirmation which is at variance with the terms understood by the Administrative Agent, the Issuing Bank and such Lender to be contained in any such telephonic or facsimile notice. (b) Electronic Communications. (i) Notices and other communications to the Lenders and the Issuing Bank hereunder may be delivered or furnished by electronic communication (including e-mail and Internet or intranet websites) pursuant to procedures approved by the Administrative Agent, provided that the foregoing shall not apply to notices to any Lender or the Issuing Bank pursuant to Article II unless such Lender, the Issuing Bank, as applicable, and the Administrative Agent have agreed to receive notices under any Section thereof by electronic communication and have agreed to the procedures governing such communications. The Administrative Agent or the Borrower may, in its discretion, agree to accept notices and other communications to it hereunder


 
AMERICAS 129648577 142 by electronic communications pursuant to procedures approved by it; provided that approval of such procedures may be limited to particular notices or communications. (ii) Unless the Administrative Agent otherwise prescribes, (A) notices and other communications sent to an e-mail address shall be deemed received upon the sender’s receipt of an acknowledgement from the intended recipient (such as by the “return receipt requested” function, as available, return e-mail or other written acknowledgement) and (B) notices or communications posted to an Internet or intranet website shall be deemed received upon the deemed receipt by the intended recipient at its e-mail address as described in the foregoing clause (A) of notification that such notice or communication is available and identifying the website address therefor; provided that, in the case of clauses (A) and (B) above, if such notice or other communication is not sent during the normal business hours of the recipient, such notice or communication shall be deemed to have been sent at the opening of business on the next Business Day for the recipient. (iii) The Borrower agrees that the Administrative Agent may, but shall not be obligated to, make Communications (as defined below) available to the Issuing Bank and the other Lenders by posting the Communications on Debt Domain, Intralinks, Syndtrak, ClearPar or a substantially similar electronic system (each an “Electronic System”). (iv) Any Electronic System used by the Administrative Agent is provided “as is” and “as available.” The Agent Parties (as defined below) do not warrant the adequacy of such Electronic Systems and expressly disclaim liability for errors or omissions in the Communications. No warranty of any kind, express, implied or statutory, including, without limitation, any warranty of merchantability, fitness for a particular purpose, non-infringement of third-party rights or freedom from viruses or other code defects, is made by any Agent Party in connection with the Communications or any Electronic System. In no event shall the Administrative Agent or any of its Related Parties (collectively, the “Agent Parties”) have any liability to any Loan Party, any Lender, the Issuing Bank or any other Person or entity for damages of any kind, including, without limitation, direct or indirect, special, incidental or consequential damages, losses or expenses (whether in tort, contract or otherwise) arising out of any Loan Party’s or the Administrative Agent’s transmission of Communications through an Electronic System. “Communications” means, collectively, any notice, demand, communication, information, document or other material provided by or on behalf of any Loan Party pursuant to any Loan Document or the transactions contemplated therein which is distributed by the Administrative Agent, any Lender or the Issuing Bank by means of electronic communications pursuant to this Section, including through an Electronic System. (c) Certification of Public Information. The Borrower and each Lender acknowledge that certain of the Lenders may be Public Lenders and, if documents or notices required to be delivered pursuant to Section 5.1 or Section 5.2 otherwise are being distributed through Syndtrak, Intralinks or any other Internet or intranet website or other information platform (the “Platform”), any document or notice that the Borrower has indicated contains Non-Public Information shall not be posted on that portion of the Platform designated for such Public Lenders. The Borrower agrees to clearly designate all information provided to the Administrative Agent by or on behalf of the Borrower which is suitable to make available to Public Lenders. If the Borrower has not indicated whether a document or notice delivered pursuant to Section 5.1 or Section 5.2 contains Non-Public Information, the Administrative Agent reserves the right to post such document or notice solely on that portion of the Platform designated for Lenders who wish to receive Non-Public Information.


 
AMERICAS 129648577 143 (d) Private Side Information Contacts. Each Public Lender agrees to cause at least one individual at or on behalf of such Public Lender to at all times have selected the “Private Side Information” or similar designation on the content declaration screen of the Platform in order to enable such Public Lender or its delegate, in accordance with such Public Lender’s compliance procedures and applicable law, including Unites States federal and state securities laws, to make reference to information that is not made available through the “Public Side Information” portion of the Platform and that may contain Non-Public Information with respect to the Borrower, its Affiliates or any of their securities or loans for purposes of United States federal or state securities laws. In the event that any Public Lender has determined for itself not to access any information disclosed through the Platform or otherwise, such Public Lender acknowledges that (i) other Lenders may have availed themselves of such information and (ii) neither the Loan Parties nor the Administrative Agent has any responsibility for such Public Lender’s decision to limit the scope of the information it has obtained in connection with this Agreement and the other Loan Documents. Section 10.2. Waiver; Amendments. (a) No failure or delay by the Administrative Agent, the Issuing Bank or any Lender in exercising any right or power hereunder or under any other Loan Document, and no course of dealing between the Borrower and the Administrative Agent or any Lender, shall operate as a waiver thereof, nor shall any single or partial exercise of any such right or power, or any abandonment or discontinuance of steps to enforce such right or power, preclude any other or further exercise thereof or the exercise of any other right or power hereunder or thereunder. The rights and remedies of the Administrative Agent, the Issuing Bank and the Lenders hereunder and under the other Loan Documents are cumulative and are not exclusive of any rights or remedies provided by law. No waiver of any provision of this Agreement or of any other Loan Document or consent to any departure by the Borrower therefrom shall in any event be effective unless the same shall be permitted by subsection (b) of this Section, and then such waiver or consent shall be effective only in the specific instance and for the purpose for which given. Without limiting the generality of the foregoing, the making of a Loan or the issuance of a Letter of Credit shall not be construed as a waiver of any Default or Event of Default, regardless of whether the Administrative Agent, any Lender or the Issuing Bank may have had notice or knowledge of such Default or Event of Default at the time. (b) No amendment or waiver of any provision of this Agreement or of the other Loan Documents (other than the Engagement Letter which shall be amended in accordance with its terms), nor consent to any departure by the Borrower therefrom, shall in any event be effective unless the same shall be in writing and signed by the Borrower and the Required Lenders, or the Borrower and the Administrative Agent with the consent of the Required Lenders, and then such amendment, waiver or consent shall be effective only in the specific instance and for the specific purpose for which given; provided that, no amendment, waiver or consent shall: (i) increase the Commitment of any Lender without the written consent of such Lender (it being understood that a waiver of any condition precedent set forth in Section 3.2 or the waiver of any Default, mandatory prepayment or mandatory reduction of the Commitments shall not constitute an extension or increase of any Commitment of any Lender); (ii) reduce the principal amount of any Loan or reimbursement obligation with respect to a LC Disbursement (it being understood that a waiver of any Default, Event of Default, mandatory prepayment or mandatory reduction of the Commitments shall not constitute a reduction or forgiveness of principal) or reduce the rate of interest thereon, or reduce any fees payable hereunder, without the written consent of each directly and adversely affected Lender (but not the Required Lenders) (it being understood that any change to the definition of Total Net Leverage


 
AMERICAS 129648577 144 Ratio, Secured Net Leverage Ratio or First Lien Net Leverage Ratio or in the component definitions thereof shall not constitute a reduction of interest or fees for purposes of this clause (ii)), provided that only the consent of the Required Lenders shall be necessary to waive any obligation of the Borrower to pay default interest pursuant to Section 2.13(c); (iii) postpone the date fixed for any payment of any principal of, or interest on, any Loan or LC Disbursement or any fees hereunder or reduce the amount of, waive or excuse any such payment, or postpone the scheduled date for the termination or reduction of any Commitment, without the written consent of each directly and adversely affected Lender (but not the Required Lenders) (it being understood that a waiver of any Default, Event of Default other than an Event of Default under Section 8.1(a) or (b), mandatory prepayment or mandatory reduction of the Commitments shall not constitute a reduction or forgiveness of principal or an extension of any maturity date, date of any scheduled amortization payment or date for payment of interest or fees); (iv) (A) change Section 2.21(b) or (c) or any definition or other provision related to the pro-rata sharing of payments with respect to the application of payments, prepayments, commitment reductions or commitment terminations, in each case, in a manner that would alter the pro rata sharing of payments required thereby, without the written consent of each Lender, (B) amend, waive, or otherwise modify the definition of “Pro Rata Share” without the written consent of each directly and adversely affected Lender, or (C) change Section 8.2 in a manner that would alter the pro rata sharing of payments or the order of application required thereby without the written consent of each directly and adversely affected Lender (but not the Required Lenders); (v) change any of the provisions of this subsection (b) or the definition of “Required Lenders” or any other provision hereof specifying the number or percentage of Lenders which are required to waive, amend or modify any rights hereunder or make any determination or grant any consent hereunder, without the consent of each directly and adversely affected Lender (but not the Required Lenders); (vi) release all or substantially all of the value of the guarantors, or limit the liability of such guarantors, under any guaranty agreement guaranteeing any of the Obligations, without the written consent of each Lender; or (vii) release all or substantially all of the value of the collateral (if any) securing any of the Obligations, without the written consent of each Lender; provided, further, that no such amendment, waiver or consent shall amend, modify or otherwise affect the rights, duties or obligations of the Administrative Agent or the Issuing Bank without the prior written consent of such Person. (c) Notwithstanding anything to the contrary herein, no Defaulting Lender shall have any right to approve or disapprove any amendment, waiver or consent hereunder, except that the Commitment of such Lender may not be increased or extended, and amounts payable to such Lender hereunder may not be permanently reduced, without the consent of such Lender (other than reductions in fees and interest in which such reduction does not disproportionately affect such Lender). (d) Notwithstanding anything to the contrary herein, this Agreement may be amended (or amended and restated) without the consent of any Lender (but with the consent of the Borrower and the Administrative Agent) if, upon giving effect to such amendment and restatement, such Lender shall no longer be a party to this Agreement (as so amended and restated), the Commitments of such Lender shall


 
AMERICAS 129648577 145 have terminated (but such Lender shall continue to be entitled to the benefits of Sections 2.18, 2.19, 2.20 and 10.3), such Lender shall have no other commitment or other obligation hereunder and such Lender shall have been paid in full all principal, interest and other amounts owing to it or accrued for its account under this Agreement. (e) Notwithstanding anything to the contrary herein, this Agreement may be amended (or amended and restated) with the written consent of the Required Lenders, the Administrative Agent, the Borrower and the other Loan Parties (i) to add one or more additional credit facilities to this Agreement, to permit the extensions of credit from time to time outstanding thereunder and the accrued interest and fees in respect thereof to share ratably in the benefits of this Agreement and the other Loan Documents with the Term Loans, the Revolving Credit Exposure and any Incremental Facility and the accrued interest and fees in respect thereof and to include appropriately the Lenders holding such credit facilities in any determination of the Required Lenders and (ii) to change, modify or alter Section 2.21(b) or (c) or any other provision hereof relating to pro rata sharing of payments among the Lenders to the extent necessary to effectuate any of the amendments (or amendments and restatements) enumerated in subsection (d), (e)(i) or (f) of this Section. (f) In addition to the foregoing, any amendment or waiver of any provision of this Agreement or any other Loan Document, or consent to any departure by any Loan Party therefrom, that by its express terms amends or modifies the rights or duties under this Agreement or such other Loan Document of one or more Classes of Lenders (but not of one or more other Classes of Lenders) may be effected by an agreement or agreements in writing signed by the Borrower or the applicable Loan Party, as the case may be, and the requisite percentage in interest of each affected Class of Lenders that would be required to consent thereto under this Section if all such affected Classes of Lenders were the only Lenders hereunder at the time. (g) Notwithstanding any of the foregoing to the contrary, the Loan Parties and the Administrative Agent, without the consent of any Lender, may enter into any amendment, modification or waiver of any Loan Document, or enter into any new agreement or instrument, to correct any obvious ambiguity, omission, defect or inconsistency or to effect any changes of a technical nature, in each case that is not material (as determined by the Administrative Agent), in any provision of any Loan Document. (h) Notwithstanding any of the foregoing to the contrary, no amendment, waiver or consent shall subordinate the payment priority of the Obligations or subordinate the Liens granted to the Administrative Agent (for the benefit of the Secured Parties) in the Collateral, without the written consent of each Lender. Section 10.3. Expenses; Indemnification. (a) The Borrower shall pay (i) all reasonable and documented out-of-pocket costs and expenses of the Administrative Agent and its Affiliates in connection with the syndication of the credit facilities provided for herein, the preparation and administration of the Loan Documents and any amendments, modifications or waivers thereof (whether or not the transactions contemplated in this Agreement or any other Loan Document shall be consummated), provided that any reimbursement for or payment of legal fees under this Section 10(a)(i) shall be limited to the reasonable and documented out-of- pocket fees, charges and disbursements of one (1) counsel for the Administrative Agent and its Affiliates and, to the extent reasonably determined by the Administrative Agent to be necessary, one local counsel in each applicable jurisdiction, (ii) all reasonable and documented out-of-pocket expenses incurred by the Issuing Bank in connection with the issuance, amendment, renewal or extension of any Letter of Credit or any demand for payment thereunder and (iii) all reasonable and documented out-of-pocket costs and expenses incurred by the Administrative Agent, the Issuing Bank and any Lender in connection with the


 
AMERICAS 129648577 146 enforcement or protection of its rights in connection with this Agreement, including its rights under this Section, or in connection with the Loans made or any Letters of Credit issued hereunder, including all such reasonable and documented out-of-pocket expenses incurred during any workout, restructuring or negotiations in respect of such Loans or Letters of Credit provided that any reimbursement for or payment of legal fees under this Section 10(a)(iii) shall be limited to the reasonable fees, charges and disbursements of one (1) outside counsel for Administrative Agent and Issuing Bank and ad one (1) outside counsel for the Lenders, and, to the extent reasonably determined to be necessary, one (1) local counsel in each applicable jurisdiction for Administrative Agent and Issuing Bank and one (1) such counsel for the Lenders. (b) The Borrower shall indemnify the Administrative Agent (and any sub-agent thereof), each Lender and the Issuing Bank, and each Related Party of any of the foregoing Persons (each such Person being called an “Indemnitee”) against, and hold each Indemnitee harmless from, any and all losses, claims, damages, liabilities and related expenses (including the fees, charges and disbursements of any counsel for any Indemnitee), and shall indemnify and hold harmless each Indemnitee from all fees and time charges and disbursements for attorneys who may be employees of any Indemnitee, incurred by any Indemnitee or asserted against any Indemnitee by any third party or by the Borrower or any other Loan Party arising out of, in connection with, or as a result of (i) the execution or delivery of this Agreement, any other Loan Document or any agreement or instrument contemplated hereby or thereby, the performance by the parties hereto of their respective obligations hereunder or thereunder or the consummation of the transactions contemplated hereby or thereby, (ii) any Loan or Letter of Credit or the use or proposed use of the proceeds therefrom (including any refusal by the Issuing Bank to honor a demand for payment under a Letter of Credit if the documents presented in connection with such demand do not strictly comply with the terms of such Letter of Credit), (iii) any actual or alleged presence or Release of Hazardous Materials on or from any property owned or operated by the Borrower or any of its Subsidiaries, or any Environmental Liability related in any way to the Borrower or any of its Subsidiaries, or (iv) any actual or prospective claim, litigation, investigation or proceeding relating to any of the foregoing, whether based on contract, tort or any other theory, whether brought by a third party or by the Borrower or any other Loan Party, and regardless of whether any Indemnitee is a party thereto; provided that such indemnity shall not, as to any Indemnitee, be available to the extent that such losses, claims, damages, liabilities or related expenses are determined by a court of competent jurisdiction by final and non-appealable judgment to have resulted from (x) the gross negligence, bad faith or willful misconduct of such Indemnitee, (y) a material breach in bad faith of the obligations of such Indemnitee under the Loan Documents (as determined by a court of competent jurisdiction in a final and non-appealable decision) or (z) disputes solely between and among such Indemnitees to the extent such disputes do not arise from any act or omission of the Borrower or any of its Affiliates (other than with respect to a claim against an Indemnitee acting in its capacity as Administrative Agent, Lead Arranger or Issuing Bank or similar role under the Loan Documents unless such claim arose from the gross negligence, bad faith or willful misconduct of such Indemnitee (as determined by a court of competent jurisdiction in a final and non-appealable decision)). No Indemnitee shall be liable for any damages arising from the use by others of any information or other materials obtained through any Platform, except as a result of such Indemnitee’s gross negligence or willful misconduct as determined by a court of competent jurisdiction in a final and non-appealable judgment. This Section 10.3(b) shall not apply with respect to Taxes other than any Taxes that represent losses, claims, damages, etc. arising from any non-Tax claim. (c) The Borrower shall pay, and hold the Administrative Agent, the Issuing Bank and each of the Lenders harmless from and against, any and all present and future stamp, documentary, and other similar taxes with respect to this Agreement and any other Loan Documents, any collateral described therein or any payments due thereunder, and save the Administrative Agent, the Issuing Bank and each Lender harmless from and against any and all liabilities with respect to or resulting from any delay or omission to pay such taxes.


 
AMERICAS 129648577 147 (d) To the extent that the Borrower fails to pay any amount required to be paid to the Administrative Agent or the Issuing Bank under subsection (a), (b) or (c) hereof, each Lender severally agrees to pay to the Administrative Agent or the Issuing Bank as the case may be, such Lender’s pro rata share (in accordance with its respective Revolving Commitment (or Revolving Credit Exposure, as applicable) and Term Loan determined as of the time that the unreimbursed expense or indemnity payment is sought) of such unpaid amount; provided that the unreimbursed expense or indemnified payment, claim, damage, liability or related expense, as the case may be, was incurred by or asserted against the Administrative Agent or the Issuing Bank in its capacity as such. (e) To the extent permitted by applicable law, the Borrower shall not assert, and hereby waives, any claim against any Indemnitee, on any theory of liability, for special, indirect, consequential or punitive damages (as opposed to actual or direct damages) arising out of, in connection with or as a result of this Agreement, any other Loan Document or any agreement or instrument contemplated hereby, the transactions contemplated therein, any Loan or any Letter of Credit or the use of proceeds thereof; provided, that nothing in this clause (e) shall relieve the Borrower of any obligation it may have to indemnify any Indemnitee against special, indirect, consequential or punitive damages asserted against such Indemnitee by a third party. (f) All amounts due under this Section shall be payable promptly (and in any event no later than 30 days) after written demand therefor. Section 10.4. Successors and Assigns. (a) The provisions of this Agreement shall be binding upon and inure to the benefit of the parties hereto and their respective successors and assigns permitted hereby, except that neither Holdings nor the Borrower may assign or otherwise transfer any of its rights or obligations hereunder without the prior written consent of the Administrative Agent and each Lender, and no Lender may assign or otherwise transfer any of its rights or obligations hereunder except (i) to an assignee in accordance with the provisions of subsection (b) of this Section, (ii) by way of participation in accordance with the provisions of subsection (d) of this Section or (iii) by way of pledge or assignment of a security interest subject to the restrictions of subsection (f) of this Section (and any other attempted assignment or transfer by any party hereto shall be null and void). Nothing in this Agreement, expressed or implied, shall be construed to confer upon any Person (other than the parties hereto, their respective successors and assigns permitted hereby, Participants to the extent provided in subsection (d) of this Section and, to the extent expressly contemplated hereby, the Related Parties of each of the Administrative Agent and the Lenders) any legal or equitable right, remedy or claim under or by reason of this Agreement. (b) Any Lender may at any time assign to one or more assignees all or a portion of its rights and obligations under this Agreement (including all or a portion of its Commitments, Loans and other Revolving Credit Exposure at the time owing to it); provided that any such assignment shall be subject to the following conditions: (i) Minimum Amounts. (A) in the case of an assignment of the entire remaining amount of the assigning Lender’s Commitments, Loans and other Revolving Credit Exposure at the time owing to it or in the case of an assignment to a Lender, an Affiliate of a Lender or an Approved Fund, no minimum amount need be assigned; and (B) in any case not described in subsection (b)(i)(A) of this Section, the aggregate amount of the Commitment (which for this purpose includes Loans and Revolving Credit Exposure outstanding thereunder) or, if the applicable Commitment is


 
AMERICAS 129648577 148 not then in effect, the principal outstanding balance of the Loans and Revolving Credit Exposure of the assigning Lender subject to each such assignment (determined as of the date the Assignment and Acceptance with respect to such assignment is delivered to the Administrative Agent or, if “Trade Date” is specified in the Assignment and Acceptance, as of the Trade Date) shall not be less than $1,000,000 with respect to Term Loans and $2,500,000 with respect to Revolving Loans and in minimum increments of $1,000,000, unless each of the Administrative Agent and, so long as no Event of Default has occurred and is continuing, the Borrower otherwise consents (each such consent not to be unreasonably withheld or delayed). (ii) Proportionate Amounts. Each partial assignment shall be made as an assignment of a proportionate part of all the assigning Lender’s rights and obligations under this Agreement with respect to the Loans, other Revolving Credit Exposure or the Commitments assigned, except that this subsection (b)(ii) shall not prohibit any Lender from assigning all or a portion of its rights and obligations among separate Commitments on a non-pro rata basis. (iii) Required Consents. No consent shall be required for any assignment except to the extent required by subsection (b)(i)(B) of this Section and, in addition: (A) the consent of the Borrower (such consent not to be unreasonably withheld or delayed) shall be required unless (x) a Specified Event of Default has occurred and is continuing at the time of such assignment, (y) such assignment is of a Term Loan to a Lender, an Affiliate of such Lender or an Approved Fund of such Lender or (z) such assignment is of the Revolving Commitment (or if the Revolving Commitment is not then in effect, Revolving Credit Exposure) to another Lender with a Revolving Commitment or Revolving Credit Exposure or an Affiliate of such Lender; provided that the Borrower shall be deemed to have consented to any such assignment (including a consent to an assignment which does not meet the minimum assignment thresholds specified above) unless it shall object thereto by written notice to the Administrative Agent within ten (10) Business Days after having received notice thereof; (B) the consent of the Administrative Agent (such consent not to be unreasonably withheld or delayed) shall be required unless such assignment is of a Term Loan to a Lender, an Affiliate of such Lender or an Approved Fund of such Lender; and (C) the consent of the Issuing Bank (such consent not to be unreasonably withheld or delayed) shall be required for any assignment that increases the obligation of the assignee to participate in exposure under one or more Letters of Credit (whether or not then outstanding). (iv) Assignment and Acceptance. The parties to each assignment shall deliver to the Administrative Agent (A) a duly executed Assignment and Acceptance, (B) a processing and recordation fee of $3,500, (C) an Administrative Questionnaire unless the assignee is already a Lender and (D) the documents required under Section 2.20(g). (v) No Assignment to Certain Persons. No such assignment shall be made to (A) the Borrower or any of the Borrower’s Affiliates or Subsidiaries, (B) to any Defaulting Lender or any of its Subsidiaries, or any Person who, upon becoming a Lender hereunder, would constitute any of the foregoing Persons described in this clause (B) or (C) to the extent that the list of Disqualified Lenders is made available to any requesting Lender or a potential assignee is advised that its name appears on the list, to any Disqualified Lender.


 
AMERICAS 129648577 149 (vi) No Assignment to Natural Persons. No such assignment shall be made to a natural person (or a holding company, investment vehicle or trust for, or owned and operated for the primary benefit of, a natural person). (vii) Certain Additional Payments. In connection with any assignment of rights and obligations of any Defaulting Lender hereunder, no such assignment shall be effective unless and until, in addition to the other conditions thereto set forth herein, the parties to the assignment shall make such additional payments to the Administrative Agent in an aggregate amount sufficient, upon distribution thereof as appropriate (which may be outright payment, purchases by the assignee of participations or subparticipations, or other compensating actions, including funding, with the consent of the Borrower and the Administrative Agent, the applicable pro rata share of Loans previously requested but not funded by the Defaulting Lender, to each of which the applicable assignee and assignor hereby irrevocably consent), to (x) pay and satisfy in full all payment liabilities then owed by such Defaulting Lender to the Administrative Agent, the Issuing Bank and each other Lender hereunder (and interest accrued thereon), and (y) acquire (and fund as appropriate) its full pro rata share of all Loans and participations in Letters of Credit. Notwithstanding the foregoing, in the event that any assignment of rights and obligations of any Defaulting Lender hereunder shall become effective under applicable law without compliance with the provisions of this paragraph, then the assignee of such interest shall be deemed to be a Defaulting Lender for all purposes of this Agreement until such compliance occurs. Subject to acceptance and recording thereof by the Administrative Agent pursuant to subsection (c) of this Section, from and after the effective date specified in each Assignment and Acceptance, the assignee thereunder shall be a party to this Agreement and, to the extent of the interest assigned by such Assignment and Acceptance, have the rights and obligations of a Lender under this Agreement, and the assigning Lender thereunder shall, to the extent of the interest assigned by such Assignment and Acceptance, be released from its obligations under this Agreement (and, in the case of an Assignment and Acceptance covering all of the assigning Lender’s rights and obligations under this Agreement, such Lender shall cease to be a party hereto) but shall continue to be entitled to the benefits of Sections 2.18, 2.19, 2.20 and 10.3 with respect to facts and circumstances occurring prior to the effective date of such assignment; provided that, except to the extent otherwise expressly agreed by the affected parties, no assignment by a Defaulting Lender will constitute a waiver or release of any claim of any party hereunder arising from such Lender’s having been a Defaulting Lender. Any assignment or transfer by a Lender of rights or obligations under this Agreement that does not comply with this subsection shall be treated for purposes of this Agreement as a sale by such Lender of a participation in such rights and obligations in accordance with subsection (d) of this Section (other than in the case of an assignment to a Disqualified Lender which is subject to subsection (g) below). (c) The Administrative Agent, acting solely for this purpose as a non-fiduciary agent of the Borrower, shall maintain at one of its offices in Atlanta, Georgia a copy of each Assignment and Acceptance delivered to it and a register for the recordation of the names and addresses of the Lenders, and the Commitments of, and principal amount (and stated interest) of the Loans and Revolving Credit Exposure owing to, each Lender pursuant to the terms hereof from time to time (the “Register”). Information with respect to any Lender contained in the Register shall be available for inspection by such Lender (and not, for the avoidance of doubt, by any other Lender) at any reasonable time and from time to time upon reasonable prior notice; information contained in the Register shall also be available for inspection by the Borrower at any reasonable time and from time to time upon reasonable prior notice. In establishing and maintaining the Register, the Administrative Agent shall serve as the Borrower’s agent solely for tax purposes and solely with respect to the actions described in this Section, and the Borrower hereby agrees that, to the extent Truist Bank serves in such capacity, Truist Bank and its officers, directors, employees, agents, sub-agents and affiliates shall constitute “Indemnitees”.


 
AMERICAS 129648577 150 (d) Any Lender may at any time, without the consent of, or notice to, the Borrower, the Administrative Agent or the Issuing Bank, sell participations to any Person (other than a natural person, a Disqualified Lender (solely to the extent that the list of Disqualified Lenders has been made available to each requesting Lender), the Borrower or any of the Borrower’s Affiliates or Subsidiaries) (each, a “Participant”) in all or a portion of such Lender’s rights and/or obligations under this Agreement (including all or a portion of its Commitment and/or the Loans owing to it); provided that (i) such Lender’s obligations under this Agreement shall remain unchanged, (ii) such Lender shall remain solely responsible to the other parties hereto for the performance of such obligations and (iii) the Borrower, the Administrative Agent, the Issuing Bank and the other Lenders shall continue to deal solely and directly with such Lender in connection with such Lender’s rights and obligations under this Agreement. Any agreement or instrument pursuant to which a Lender sells such a participation shall provide that such Lender shall retain the sole right to enforce this Agreement and to approve any amendment, modification or waiver of any provision of this Agreement; provided that such agreement or instrument may provide that such Lender will not, without the consent of the Participant, agree to any amendment, modification or waiver with respect to the following to the extent affecting such Participant: (i) increase the Commitment of such Lender; (ii) reduce the principal amount of any Loan or LC Disbursement or reduce the rate of interest thereon, or reduce any fees payable hereunder; (iii) postpone the date fixed for any payment of any principal of, or interest on, any Loan or LC Disbursement or any fees hereunder or reduce the amount of, waive or excuse any such payment, or postpone the scheduled date for the termination or reduction of any Commitment; (iv) change Section 2.21(b) or (c) in a manner that would alter the pro rata sharing of payments required thereby; (v) change any of the provisions of Section 10.2(b) or the definition of “Required Lenders” or any other provision hereof specifying the number or percentage of Lenders which are required to waive, amend or modify any rights hereunder or make any determination or grant any consent hereunder; (vi) release all or substantially all of the guarantors, or limit the liability of such guarantors, under any guaranty agreement guaranteeing any of the Obligations; or (vii) release all or substantially all collateral (if any) securing any of the Obligations. Subject to subsection (e) of this Section, the Borrower agrees that each Participant shall be entitled to the benefits of Sections 2.18, 2.19, and 2.20 to the same extent as if it were a Lender and had acquired its interest by assignment pursuant to subsection (b) of this Section; provided that such Participant agrees to be subject to Section 2.24 as though it were a Lender. To the extent permitted by law, each Participant also shall be entitled to the benefits of Section 10.7 as though it were a Lender; provided that such Participant agrees to be subject to Section 2.21 as though it were a Lender. Each Lender that sells a participation shall, acting solely for this purpose as a non- fiduciary agent of the Borrower, maintain a register in the United States on which it enters the name and address of each Participant and the principal amounts (and stated interest) of each Participant’s interest in the Loans or other obligations under the Loan Documents (the “Participant Register”); provided that no Lender shall have any obligation to disclose all or any portion of the Participant Register to any Person (including the identity of any Participant or any information relating to a Participant’s interest in any commitments, loans, letters of credit or other obligations under any Loan Document) except to the extent that such disclosure is necessary to establish that such commitment, loan, letter of credit or other obligation is in registered form under Section 5f.103-1(c) and proposed Section 163-5(b) of the United States Treasury regulations. The entries in the Participant Register shall be conclusive, absent manifest error, and such Lender shall treat each Person whose name is recorded in the Participant Register as the owner of such participation for all purposes of this Agreement notwithstanding any notice to the contrary. (e) A Participant shall not be entitled to receive any greater payment under Sections 2.18 and 2.20 than the applicable Lender would have been entitled to receive with respect to the participation sold to such Participant, unless the sale of the participation to such Participant is made with


 
AMERICAS 129648577 151 the Borrower’s prior written consent. A Participant shall not be entitled to the benefits of Section 2.20 unless the Borrower is notified of the participation sold to such Participant and such Participant agrees, for the benefit of the Borrower, to comply with Section 2.20(f) and (g) as though it were a Lender. (f) Any Lender may at any time pledge or assign a security interest in all or any portion of its rights under this Agreement to secure obligations of such Lender, including, without limitation, any pledge or assignment to secure obligations to a Federal Reserve Bank; provided that no such pledge or assignment shall release such Lender from any of its obligations hereunder or substitute any such pledgee or assignee for such Lender as a party hereto. (g) Disqualified Lenders. Notwithstanding anything to the contrary contained herein, no assignment or participation shall be made to any Person that was a Disqualified Lender as of the date (the “Trade Date”) on which the assigning Lender entered into a binding agreement to sell and assign all or a portion of its rights and obligations under this Agreement to such Person (unless the Borrower has consented to such assignment in writing in its sole and absolute discretion, in which case such Person will not be considered a Disqualified Lender for the purpose of such assignment or participation). For the avoidance of doubt, with respect to any assignee that becomes a Disqualified Lender after the applicable Trade Date, (x) such assignee shall not retroactively be disqualified from becoming a Lender and (y) the execution by the Borrower of an Assignment Agreement with respect to such assignee will not by itself result in such assignee no longer being considered a Disqualified Lender. Any assignment in violation of this paragraph (g) shall not be void, but the other provisions of this paragraph (g) shall apply. (i) If any assignment or participation is made to any Disqualified Lender without the Borrower’s prior written consent in violation of paragraph (g) above, or if any Person becomes a Disqualified Lender after the applicable Trade Date, the Borrower may, at its sole expense and effort, upon notice to the applicable Disqualified Lender and Administrative Agent, (1) terminate any Revolving Commitment of such Disqualified Lender and repay all obligations of the Borrower owing to such Disqualified Lender in connection with such Revolving Commitment, (2) in the case of outstanding Term Loans held by Disqualified Lenders, purchase or prepay such Term Loan by paying the lesser of (x) the principal amount thereof and (y) the amount that such Disqualified Lender paid to acquire such Term Loans, in each case, plus accrued interest, accrued fees and all other amounts (other than principal amounts) payable to it hereunder and/or (C) require such Disqualified Lender to assign, without recourse (in accordance with and subject to the restrictions contained in this Section 10.4), all of its interest, rights and obligations under this Agreement to one or more eligible assignees at the lesser of (x) the principal amount thereof and (y) the amount that such Disqualified Lender paid to acquire such interests, rights and obligations of such Term Loans, in each case plus accrued interest, accrued fees and all other amounts (other than principal amounts) payable to it hereunder; and (ii) Notwithstanding anything to the contrary contained in this Agreement, Disqualified Lenders (i) will not (x) have the right to receive information, reports or other materials provided to Lenders by Holdings, any Borrower, Administrative Agent or any other Lender, (y) attend or participate in meetings attended by the Lenders and Administrative Agent, or (z) access any electronic site established for the Lenders or confidential communications from counsel to or financial advisors of Administrative Agent or the Lenders and (ii) (x) for purposes of any consent to any amendment, waiver or modification of, or any action under, and for the purpose of any direction to Administrative Agent or any Lender to undertake any action (or refrain from taking any action) under this Agreement or any other Loan Document, each Disqualified Lender will be deemed to have consented in the same proportion as the Lenders that are not Disqualified Lenders consented to such matter, and (y) for purposes of voting on any plan of reorganization or similar plan, each Disqualified Lender party hereto hereby agrees (1) not to vote on such plan, (2) if such


 
AMERICAS 129648577 152 Disqualified Lender does vote on such Plan notwithstanding the restriction in the foregoing clause (1), such vote will be deemed not to be in good faith and shall be “designated” pursuant to Section 1126(e) of the Bankruptcy Code (or any similar provision in any other Debtor Relief Laws), and such vote shall not be counted in determining whether the applicable class has accepted or rejected such plan in accordance with Section 1126(c) of the Bankruptcy Code (or any similar provision in any other Debtor Relief Laws) and (3) not to contest any request by any party for a determination by the applicable bankruptcy court (or other applicable court of competent jurisdiction) effectuating the foregoing clause (2). (h) Notwithstanding anything in this Agreement or any other Loan Document to the contrary, the Administrative Agent, in its capacity as such, shall not be responsible (other than updating the list of Disqualified Lenders in accordance with the definition thereof or providing the list of Disqualified Lenders upon written request) or have any liability for, or have any duty to ascertain, inquire into, monitor or enforce, compliance with the provisions hereof relating to Disqualified Lenders (other than updating the list of Disqualified Lenders in accordance with the definition thereof or providing the list of Disqualified Lenders upon written request). Without limiting the generality of the foregoing, the Administrative Agent, in its capacity as such, shall not (x) be obligated to ascertain, monitor or inquire as to whether any Lender or Participant or prospective Lender or Participant is a Disqualified Lender or (y) have any liability with respect to or arising out of any assignment or participation of Loans, or disclosure of confidential information, to, or the restrictions on any exercise of rights or remedies of, any Disqualified Lender. Section 10.5. Governing Law; Jurisdiction; Consent to Service of Process. (a) This Agreement and the other Loan Documents and any claim, controversy, dispute or cause of action (whether in contract or tort or otherwise) based upon, arising out of or relating to this Agreement or any other Loan Document (except, as to any other Loan Document, as expressly set forth therein) and the transactions contemplated hereby and thereby shall be construed in accordance with and be governed by the law of the State of New York. (b) The Borrower hereby irrevocably and unconditionally submits, for itself and its property, to the exclusive jurisdiction of the United States District Court for the Southern District of New York, and of any state court of the State of the Supreme Court of the State of New York sitting in New York county, and of any appellate court from any thereof, in any action or proceeding arising out of or relating to this Agreement or any other Loan Document or the transactions contemplated hereby or thereby, or for recognition or enforcement of any judgment, and each of the parties hereto hereby irrevocably and unconditionally agrees that all claims in respect of any such action or proceeding may be heard and determined in such District Court or New York state court or, to the extent permitted by applicable law, such appellate court. Each of the parties hereto agrees that a final judgment in any such action or proceeding shall be conclusive and may be enforced in other jurisdictions by suit on the judgment or in any other manner provided by law. Nothing in this Agreement or any other Loan Document shall affect any right that the Administrative Agent, the Issuing Bank or any Lender may otherwise have to bring any action or proceeding relating to this Agreement or any other Loan Document against the Borrower or its properties in the courts of any jurisdiction. (c) The Borrower irrevocably and unconditionally waives any objection which it may now or hereafter have to the laying of venue of any such suit, action or proceeding described in subsection (b) of this Section and brought in any court referred to in subsection (b) of this Section. Each of the parties hereto irrevocably waives, to the fullest extent permitted by applicable law, the defense of an inconvenient forum to the maintenance of such action or proceeding in any such court.


 
AMERICAS 129648577 153 (d) Each party to this Agreement irrevocably consents to the service of process in the manner provided for notices in Section 10.1. Nothing in this Agreement or in any other Loan Document will affect the right of any party hereto to serve process in any other manner permitted by law. Section 10.6. WAIVER OF JURY TRIAL. EACH PARTY HERETO IRREVOCABLY WAIVES, TO THE FULLEST EXTENT PERMITTED BY APPLICABLE LAW, ANY RIGHT IT MAY HAVE TO A TRIAL BY JURY IN ANY LEGAL PROCEEDING DIRECTLY OR INDIRECTLY ARISING OUT OF THIS AGREEMENT OR ANY OTHER LOAN DOCUMENT OR THE TRANSACTIONS CONTEMPLATED HEREBY OR THEREBY (WHETHER BASED ON CONTRACT, TORT OR ANY OTHER THEORY). EACH PARTY HERETO (A) CERTIFIES THAT NO REPRESENTATIVE, AGENT OR ATTORNEY OF ANY OTHER PARTY HAS REPRESENTED, EXPRESSLY OR OTHERWISE, THAT SUCH OTHER PARTY WOULD NOT, IN THE EVENT OF LITIGATION, SEEK TO ENFORCE THE FOREGOING WAIVER, AND (B) ACKNOWLEDGES THAT IT AND THE OTHER PARTIES HERETO HAVE BEEN INDUCED TO ENTER INTO THIS AGREEMENT AND THE OTHER LOAN DOCUMENTS BY, AMONG OTHER THINGS, THE MUTUAL WAIVERS AND CERTIFICATIONS IN THIS SECTION. Section 10.7. Right of Set-off. In addition to any rights now or hereafter granted under applicable law and not by way of limitation of any such rights, each Lender and its Affiliates and the Issuing Bank and its Affiliates shall have the right, at any time or from time to time upon the occurrence and during the continuance of an Event of Default, without prior notice to the Borrower, any such notice being expressly waived by the Borrower to the extent permitted by applicable law, to set off and apply against all deposits (general or special, time or demand, provisional or final) of the Borrower at any time held or other obligations at any time owing by such Lender and its Affiliates and the Issuing Bank and its Affiliates to or for the credit or the account of the Borrower against any and all Obligations held by such Lender and its Affiliates or the Issuing Bank and its Affiliates, as the case may be, irrespective of whether such Lender and its Affiliates or the Issuing Bank and its Affiliates shall have made demand hereunder and although such Obligations may be unmatured; provided that in the event that any Defaulting Lender shall exercise any such right of setoff, (x) all amounts so set off shall be paid over immediately to the Administrative Agent for further application in accordance with the provisions of Section 2.26(b) and, pending such payment, shall be segregated by such Defaulting Lender from its other funds and deemed held in trust for the benefit of the Administrative Agent, the Issuing Banks, and the Lenders, and (y) the Defaulting Lender shall provide promptly to the Administrative Agent a statement describing in reasonable detail the Obligations owing to such Defaulting Lender as to which it exercised such right of setoff. Each Lender and the Issuing Bank agrees promptly to notify the Administrative Agent and the Borrower after any such set- off and any application made by such Lender or the Issuing Bank, as the case may be; provided that the failure to give such notice shall not affect the validity of such set-off and application. Each Lender and the Issuing Bank agrees to apply all amounts collected from any such set-off to the Obligations before applying such amounts to any other Indebtedness or other obligations owed by the Borrower and any of its Subsidiaries to such Lender or the Issuing Bank. Section 10.8. Counterparts; Integration. This Agreement may be executed by one or more of the parties to this Agreement on any number of separate counterparts, and all of said counterparts taken together shall be deemed to constitute one and the same instrument. This Agreement, the Engagement Letter, the other Loan Documents, and any separate letter agreements relating to any fees payable to the Administrative Agent and its Affiliates constitute the entire agreement among the parties hereto and thereto and their affiliates regarding the subject matters hereof and thereof and supersede all prior agreements and understandings, oral or written, regarding such subject matters. Delivery of an executed counterpart to this Agreement or any other Loan Document by facsimile transmission or by electronic mail in pdf format shall be as effective as delivery of a manually executed counterpart hereof.


 
AMERICAS 129648577 154 Section 10.9. Survival. All covenants, agreements, representations and warranties made by the Borrower herein and in the certificates, reports, notices or other instruments delivered in connection with or pursuant to this Agreement shall be considered to have been relied upon by the other parties hereto and shall survive the execution and delivery of this Agreement and the other Loan Documents and the making of any Loans and issuance of any Letters of Credit, regardless of any investigation made by any such other party or on its behalf and notwithstanding that the Administrative Agent, the Issuing Bank or any Lender may have had notice or knowledge of any Default or incorrect representation or warranty at the time any credit is extended hereunder, and shall continue in full force and effect as long as the principal of or any accrued interest on any Loan or any fee or any other amount payable under this Agreement is outstanding and unpaid or any Letter of Credit is outstanding and so long as the Commitments have not expired or terminated. The provisions of Sections 2.18, 2.19, 2.20, and 10.3 and Article IX shall survive and remain in full force and effect regardless of the consummation of the transactions contemplated hereby, the repayment of the Loans, the expiration or termination of the Letters of Credit and the Commitments or the termination of this Agreement or any provision hereof. Section 10.10. Severability. Any provision of this Agreement or any other Loan Document held to be illegal, invalid or unenforceable in any jurisdiction, shall, as to such jurisdiction, be ineffective to the extent of such illegality, invalidity or unenforceability without affecting the legality, validity or enforceability of the remaining provisions hereof or thereof; and the illegality, invalidity or unenforceability of a particular provision in a particular jurisdiction shall not invalidate or render unenforceable such provision in any other jurisdiction. Section 10.11. Confidentiality. Each of the Administrative Agent, the Issuing Bank and the Lenders agrees to take normal and reasonable precautions to maintain the confidentiality of any information relating to the Borrower or any of its Restricted Subsidiaries or any of their respective businesses, to the extent designated in writing as confidential and provided to it by the Borrower or any of its Restricted Subsidiaries, other than any such information that is available to the Administrative Agent, the Issuing Bank or any Lender on a non-confidential basis prior to disclosure by the Borrower or any of its Restricted Subsidiaries, except that such information may be disclosed (i) to any Related Party of the Administrative Agent, the Issuing Bank or any such Lender including, without limitation, accountants, legal counsel, service providers and other advisors, (ii) to the extent required by applicable laws or regulations or by any subpoena or similar legal process, (iii) to the extent requested by any regulatory agency or authority purporting to have jurisdiction over it (including any self-regulatory authority such as the National Association of Insurance Commissioners), (iv) to the extent that such information becomes publicly available other than as a result of a breach of this Section, or which becomes available to the Administrative Agent, the Issuing Bank, any Lender or any Related Party of any of the foregoing on a non-confidential basis from a source other than the Borrower or any of its Restricted Subsidiaries, (v) in connection with the exercise of any remedy hereunder or under any other Loan Documents or any suit, action or proceeding relating to this Agreement or any other Loan Documents or the enforcement of rights hereunder or thereunder, (vi) subject to execution by such Person of an agreement containing provisions substantially the same as those of this Section, to (A) any assignee of or Participant in, or any prospective assignee of or Participant in, any of its rights or obligations under this Agreement, or (B) any actual or prospective party (or its Related Parties) to any swap or derivative or other transaction under which payments are to be made by reference to the Borrower and its obligations, this Agreement or payments hereunder, (vii) to any rating agency, (viii) to the CUSIP Service Bureau or any similar organization, (ix) with the consent of the Borrower or (x) to the extent such information is independently developed by such Person or its Affiliates so long as not based on information obtained in a manner that would otherwise violate this Section 10.11. Any Person required to maintain the confidentiality of any information as provided for in this Section shall be considered to have complied with its obligation to do so if such Person has exercised the same degree of care to maintain the confidentiality of such information as such Person would accord its own confidential information. In the event of any conflict between the terms of this Section and those of any other


 
AMERICAS 129648577 155 Contractual Obligation entered into with any Loan Party (whether or not a Loan Document), the terms of this Section shall govern. For the avoidance of doubt, nothing herein prohibits any individual from communicating or disclosing information regarding suspected violations of laws, rules, or regulations to a governmental regulatory, or self-regulatory authority without any notification to any person. Section 10.12. Interest Rate Limitation. Notwithstanding anything herein to the contrary, if at any time the interest rate applicable to any Loan, together with all fees, charges and other amounts which may be treated as interest on such Loan under applicable law (collectively, the “Charges”), shall exceed the maximum lawful rate of interest (the “Maximum Rate”) which may be contracted for, charged, taken, received or reserved by a Lender holding such Loan in accordance with applicable law, the rate of interest payable in respect of such Loan hereunder, together with all Charges payable in respect thereof, shall be limited to the Maximum Rate and, to the extent lawful, the interest and Charges that would have been payable in respect of such Loan but were not payable as a result of the operation of this Section shall be cumulated and the interest and Charges payable to such Lender in respect of other Loans or periods shall be increased (but not above the Maximum Rate therefor) until such cumulated amount, together with interest thereon at the Federal Funds Rate to the date of repayment (to the extent permitted by applicable law), shall have been received by such Lender. Section 10.13. Waiver of Effect of Corporate Seal. The Borrower represents and warrants that neither it nor any other Loan Party is required to affix its corporate seal to this Agreement or any other Loan Document pursuant to any Requirement of Law, agrees that this Agreement is delivered by the Borrower under seal and waives any shortening of the statute of limitations that may result from not affixing the corporate seal to this Agreement or such other Loan Documents. Section 10.14. USA Patriot Act; Beneficial Ownership Regulation. The Administrative Agent and each Lender hereby notifies the Loan Parties that, (a) pursuant to the requirements of the USA Patriot Act, it is required to obtain, verify and record information that identifies each Loan Party, which information includes the name and address of such Loan Party and other information that will allow such Lender or the Administrative Agent, as applicable, to identify such Loan Party in accordance with the USA Patriot Act, and (b) pursuant to the Beneficial Ownership Regulation, it is required to obtain a Beneficial Ownership Certificate to the extent that the Borrower qualifies as a “Legal Entity Customer” under the Beneficial Ownership Regulation. Section 10.15. No Advisory or Fiduciary Responsibility. In connection with all aspects of each transaction contemplated hereby (including in connection with any amendment, waiver or other modification hereof or of any other Loan Document), the Borrower and each other Loan Party acknowledges and agrees and acknowledges its Affiliates’ understanding that (i) (A) the services regarding this Agreement provided by the Administrative Agent and/or the Lenders are arm’s-length commercial transactions between the Borrower, each other Loan Party and their respective Affiliates, on the one hand, and the Administrative Agent and the Lenders, on the other hand, (B) each of the Borrower and the other Loan Parties have consulted their own legal, accounting, regulatory and tax advisors to the extent they have deemed appropriate, and (C) the Borrower and each other Loan Party is capable of evaluating and understanding, and understands and accepts, the terms, risks and conditions of the transactions contemplated hereby and by the other Loan Documents; (ii) (A) each of the Administrative Agent and the Lenders is and has been acting solely as a principal and, except as expressly agreed in writing by the relevant parties, has not been, is not, and will not be acting as an advisor, agent or fiduciary for the Borrower, any other Loan Party or any of their respective Affiliates, or any other Person, and (B) neither the Administrative Agent nor any Lender has any obligation to the Borrower, any other Loan Party or any of their Affiliates with respect to the transaction contemplated hereby except those obligations expressly set forth herein and in the other Loan Documents; and (iii) the Administrative Agent, the Lenders and their respective Affiliates may be engaged in a broad range of transactions that involve interests that differ from


 
AMERICAS 129648577 156 those of the Borrower, the other Loan Parties and their respective Affiliates, and each of the Administrative Agent and the Lenders has no obligation to disclose any of such interests to the Borrower, any other Loan Party or any of their respective Affiliates. To the fullest extent permitted by law, each of the Borrower and the other Loan Parties hereby waives and releases any claims that it may have against the Administrative Agent or any Lender with respect to any breach or alleged breach of agency or fiduciary duty in connection with any aspect of any transaction contemplated hereby. Section 10.16. Location of Closing. Each Lender and the Issuing Bank acknowledges and agrees that it has delivered, with the intent to be bound, its executed counterparts of this Agreement to the Administrative Agent, c/o White & Case LLP, Southeast Financial Center, 200 South Biscayne Boulevard, Suite 4900, Miami, FL 33131-2352. Each Loan Party acknowledges and agrees that it has delivered, with the intent to be bound, its executed counterparts of this Agreement and each other Loan Document, together with all other documents, instruments, opinions, certificates and other items required under Section 3.1, to the Administrative Agent, c/o White & Case LLP, Southeast Financial Center, 200 South Biscayne Boulevard, Suite 4900, Miami, FL 33131-2352. All parties agree that the closing of the transactions contemplated by this Agreement has occurred in New York. Section 10.17. Acknowledgement and Consent to Bail-In of Affected Financial Institutions. Notwithstanding anything to the contrary in any Loan Document or in any other agreement, arrangement or understanding among any such parties, each party hereto acknowledges that any liability of any Affected Financial Institution arising under any Loan Document, to the extent such liability is unsecured, may be subject to the write-down and conversion powers of the applicable Resolution Authority and agrees and consents to, and acknowledges and agrees to be bound by: (a) the application of any Write-Down and Conversion Powers by the applicable Resolution Authority to any such liabilities arising hereunder which may be payable to it by any party hereto that is an Affected Financial Institution; and (b) the effects of any Bail-in Action on any such liability, including, if applicable (i) a reduction in full or in part or cancellation of any such liability, (ii) a conversion of all, or a portion of, such liability into shares or other instruments of ownership in such Affected Financial Institution, its parent undertaking, or a bridge institution that may be issued to it or otherwise conferred on it, and that such shares or other instruments of ownership will be accepted by it in lieu of any rights with respect to any such liability under this Agreement or any other Loan Document or (iii) the variation of the terms of such liability in connection with the exercise of the write-down and conversion powers of the applicable Resolution Authority. Section 10.18. Acknowledgement Regarding Any Supported QFCs. To the extent that the Loan Documents provide support, through a guarantee or otherwise, for Hedging Obligations or any other agreement or instrument that is a QFC (such support, “QFC Credit Support” and each such QFC a “Supported QFC”), the parties acknowledge and agree as follows with respect to the resolution power of the Federal Deposit Insurance Corporation under the Federal Deposit Insurance Act and Title II of the Dodd-Frank Wall Street Reform and Consumer Protection Act (together with the regulations promulgated thereunder, the “U.S. Special Resolution Regimes”) in respect of such Supported QFC and QFC Credit Support (with the provisions below applicable notwithstanding that the Loan Documents and any Supported QFC may in fact be stated to be governed by the laws of the State of New York and/or of the United States or any other state of the United States): (a) In the event a Covered Entity that is party to a Supported QFC (each, a “Covered Party”) becomes subject to a proceeding under a U.S. Special Resolution Regime, the transfer of such Supported QFC and the benefit of such QFC Credit Support (and any interest and obligation in or under


 
AMERICAS 129648577 157 such Supported QFC and such QFC Credit Support, and any rights in property securing such Supported QFC or such QFC Credit Support) from such Covered Party will be effective to the same extent as the transfer would be effective under the U.S. Special Resolution Regime if the Supported QFC and such QFC Credit Support (and any such interest, obligation and rights in property) were governed by the laws of the United States or a state of the United States. In the event a Covered Party or a BHC Act Affiliate of a Covered Party becomes subject to a proceeding under a U.S. Special Resolution Regime, Default Rights under the Loan Documents that might otherwise apply to such Supported QFC or any QFC Credit Support that may be exercised against such Covered Party are permitted to be exercised to no greater extent than such Default Rights could be exercised under the U.S. Special Resolution Regime if the Supported QFC and the Loan Documents were governed by the laws of the United States or a state of the United States. Without limitation of the foregoing, it is understood and agreed that rights and remedies of the parties with respect to a Defaulting Lender shall in no event affect the rights of any Covered Party with respect to a Supported QFC or any QFC Credit Support. (b) As used in this Section 10.18, the following terms have the following meanings: “BHC Act Affiliate” of a party shall mean an “affiliate” (as such term is defined under, and interpreted in accordance with, 12 U.S.C. 1841(k)) of such party. “Covered Entity” shall mean any of the following: (i) a “covered entity” as that term is defined in, and interpreted in accordance with, 12 C.F.R. §252.82(b); (ii) a “covered bank” as that term is defined in, and interpreted in accordance with, 12 C.F.R. §47.3(b); or (iii) a “covered FSI” as that term is defined in, and interpreted in accordance with, 12 C.F.R. §382.2(b). “Default Right” shall have the meaning assigned to that term in, and shall be interpreted in accordance with, 12 C.F.R. §§252.81, 47.2 or 382.1, as applicable. “QFC” shall have the meaning assigned to the term “qualified financial contract” in, and shall be interpreted in accordance with, 12 U.S.C. 5390(c)(8)(D). Section 10.19. Payments Set Aside. To the extent that any payment by or on behalf of the Borrower is made to the Administrative Agent, the Issuing Bank or any Lender, or the Administrative Agent, the Issuing Bank or any Lender exercises its right of setoff, and such payment or the proceeds of such setoff or any part thereof is subsequently invalidated, declared to be fraudulent or preferential, set aside or required (including pursuant to any settlement entered into by the Administrative Agent, the Issuing Bank or such Lender in its discretion) to be repaid to a trustee, receiver or any other party, in connection with any proceeding under any Debtor Relief Law or otherwise, then (a) to the extent of such recovery, the obligation or part thereof originally intended to be satisfied shall be revived and continued in full force and effect as if such payment had not been made or such setoff had not occurred, and (b) each Lender and the Issuing Bank severally agrees to pay to the Administrative Agent upon demand its applicable share of any amount so recovered from or repaid by the Administrative Agent, plus interest thereon from the date of such demand to the date such payment is made at a rate per annum equal to the Federal Funds Rate. The obligations of the Lenders and the Issuing Bank under clause (b) of the preceding sentence shall survive the payment in full of the Obligations and the termination of this Agreement.


 
AMERICAS 129648577 158 (remainder of page left intentionally blank)


 


 
[Signature Page to Amended and Restated Revolving Credit and Term Loan Agreement] TRUIST BANK as the Administrative Agent, as the Issuing Bank and as a Lender By: Name: Tim Conway Title: Vice President


 


 


 


 
PINNACLE BANK, a Tennessee banking corporation as a Lender By: Name: Allison H. Jones Title: Senior Vice President [Signature Page to Amended and Restated Revolving Credit and Term Loan Agreement)


 
Schedule I Commitment Amounts Lender Revolving Commitment LC Commitment Truist Bank $45,000,000.00 $35,000,000.00 Bank of America, N.A. $30,000,000.00 $20,000,00.00 Pinnacle Bank $20,000,000.00 $14,000,000.00 Preferred Bank $20,000,000.00 $14,000,000.00 Wells Fargo Bank $10,000,000.00 $7,000,000.00 Total $125,000,000.00 $90,000,000.00


 
Schedule 1.1(a) Consolidated EBITDA Fiscal Quarter End Consolidated EBITDA March 31, 2024 $34,597,977 June 30, 2024 $36,979,243 September 30, 2024 $40,208,210 December 31, 2024 $35,304,945


 
Schedule 4.14 Subsidiaries Subsidiary Ownership Jurisdiction of Organization Type of Subsidiary Subsidiary Loan Party? (Y/N) Rondo Intermediate Holdings, LLC 100% owned by Holdings Delaware N/A N/A AvKARE, LLC 100% owned by Borrower Tennessee Restricted Yes Dixon-Shane LLC 100% owned by Borrower Kentucky Restricted Yes


 
Schedule 5.14 Post-Closing Matters


 
Schedule 7.1 Existing Indebtedness None.


 
Schedule 7.2 Existing Liens 1. UCC Financing Statement Number 2020-3112494-08 filed with the Kentucky Secretary of State on September 22, 2020 against Dixon-Shane LLC by McKesson Corporation and its affiliates, as secured party.


 
Schedule 7.4 Existing Investments None.


 
EXECUTION VERSION Exhibit A Form of Assignment and Acceptance THIS ASSIGNMENT AND ACCEPTANCE (this “Assignment and Acceptance”) is made and entered into as of [date] (the “Assignment Date”), by and between [name of assignor] (the “Assignor”) and [name of assignee] (the “Assignee”). Reference is made to the Amended and Restated Revolving Credit and Term Loan Agreement, dated as of January 31, 2020, and amended and restated as of April 9, 2025, (as amended, restated, amended and restated, supplemented, replaced, increased, refinanced or otherwise modified from time to time, the “Credit Agreement”), among RONDO HOLDINGS, LLC, a Delaware limited liability company, as Holdings, RONDO INTERMEDIATE HOLDINGS, LLC, a Delaware limited liability company, as the Borrower, the lenders from time to time party thereto and TRUIST BANK, as the Administrative Agent for such lenders and as Issuing Bank. Terms defined in the Credit Agreement are used herein with the same meanings. For agreed consideration, the Assignor hereby sells and assigns, without recourse and, except as expressly provided in this Assignment and Acceptance, without representation or warranty, to the Assignee, and the Assignee hereby purchases and assumes, without recourse, from the Assignor, effective as of the Effective Date set forth below, (i) all of the Assignor’s rights and obligations in its capacity as a Lender under the Credit Agreement and any other documents or instruments delivered pursuant thereto to the extent related to the amount and percentage interest identified below of all of such outstanding rights and obligations of the Assignor in respect of the Commitments and Loans identified below [including, without limitation, Letters of Credit)] (but excluding accrued interest and fees to and excluding the Assignment Date) and (ii) to the extent permitted to be assigned under applicable law, all claims, suits, causes of action and any other right of the Assignor (in its capacity as a Lender) against any Person, whether known or unknown, arising under or in connection with the Credit Agreement, any other documents or instruments delivered pursuant thereto or the loan transactions governed thereby or in any way based on or related to any of the foregoing, including, but not limited to, contract claims, tort claims, malpractice claims, statutory claims and all other claims at law or in equity related to the rights and obligations sold and assigned pursuant to clause (i) above (the rights and obligations sold and assigned by the Assignor to the Assignee pursuant to clauses (i) and (ii) above being referred to herein collectively as the “Assigned Interest”). The Assignee hereby acknowledges receipt of a copy of the Credit Agreement. From and after the Effective Date, (i) the Assignee shall be a party to and be bound by the provisions of the Credit Agreement and, to the extent of the Assigned Interest, have the rights and obligations of a Lender thereunder and (ii) the Assignor shall, to the extent of the Assigned Interest, relinquish its rights and be released from its obligations under the Credit Agreement. This Assignment and Acceptance is being delivered to the Administrative Agent together with (i) any documentation required to be delivered by the Assignee pursuant to Section 10.4(b)(iv) of the Credit Agreement, duly completed and executed by the Assignee, and (ii) if the Assignee is not already a Lender under the Credit Agreement, an Administrative Questionnaire in the form supplied by the Administrative Agent, duly completed by the Assignee. The Assignee shall pay the fee payable to the Administrative Agent pursuant to Section 10.4(b) of the Credit Agreement. The Assignor (a) represents and warrants that (i) it is the legal and beneficial owner of the Assigned Interest, (ii) the Assigned Interest is free and clear of any lien, encumbrance or other adverse claim and (iii) it has full power and authority, and has taken all action necessary, to execute and deliver this Assignment and Acceptance and to consummate the transactions contemplated hereby, and (b) assumes no responsibility with respect to (i) any statements, warranties or representations made in or in connection with


 
Exhibit A the Credit Agreement or any other Loan Document, (ii) the execution, legality, validity, enforceability, genuineness, sufficiency or value of the Loan Documents or any collateral thereunder, (iii) the financial condition of the Borrower, any of its Subsidiaries or Affiliates or any other Person obligated in respect of any Loan Document or (iv) the performance or observance by the Borrower, any of its Subsidiaries or Affiliates or any other Person of any of their respective obligations under any Loan Document. The Assignee (a) represents and warrants that (i) it has full power and authority, and has taken all action necessary, to execute and deliver this Assignment and Acceptance and to consummate the transactions contemplated hereby and to become a Lender under the Credit Agreement, (ii) it meets all of the requirements to be an assignee under Section 10.4(b) of the Credit Agreement (subject to such consents, if any, as my be required under Section 10.4(b)(iii) of the Credit Agreement), (iii) from and after the Effective Date, it shall be bound by the provisions of the Credit Agreement as a Lender thereunder and, to the extent of the Assigned Interest, shall have the obligations of a Lender thereunder, (iv) it is sophisticated with respect to decisions to acquire assets of the type represented by the Assigned Interest and either it, or the Person exercising discretion in making its decision to acquire the Assigned Interest, is experienced in acquiring assets of such type, (v) it has received a copy of the Credit Agreement, together with copies of the most recent financial statements delivered pursuant to Section 5.1 thereof, as applicable, and such other documents and information as it has deemed appropriate to make its own credit analysis and decision to enter into this Assignment and Acceptance and to purchase the Assigned Interest, and on the basis of which it has made such analysis and decision independently and without reliance on the Administrative Agent or any other Lender, and (vi) attached to this Assignment and Acceptance is any documentation required to be delivered by it pursuant to the terms of the Credit Agreement, duly completed and executed by the Assignee, and (b) agrees that (i) it will, independently and without reliance on the Administrative Agent, the Assignor or any other Lender, and based on such documents and information as it shall deem appropriate at the time, continue to make its own credit decisions in taking or not taking action under the Loan Documents, and (ii) it will perform in accordance with their terms all of the obligations which by the terms of the Loan Documents are required to be performed by it as a Lender. From and after the Effective Date, the Administrative Agent shall make all payments in respect of the Assigned Interest (including payments of principal, interest, fees and other amounts) to the Assignor for amounts which have accrued to but excluding the Effective Date and to the Assignee for amounts which have accrued from and after the Effective Date, unless otherwise agreed in writing by the Administrative Agent. This Assignment and Acceptance shall be binding upon, and inure to the benefit of, the parties hereto and their respective successors and assigns. This Assignment and Acceptance may be executed in any number of counterparts, which together shall constitute one instrument. Delivery of an executed counterpart of a signature page of this Assignment and Acceptance by telecopy shall be effective as delivery of a manually executed counterpart of this Assignment and Acceptance. This Assignment and Acceptance shall be governed by and construed in accordance with the laws of the State of New York. Legal Name of Assignor: Legal Name of Assignee: Assignee’s Address for Notices:


 
Exhibit A [Trade Date of the Assignment:]1 Effective Date of Assignment (the “Effective Date”): Assigned Interest: Facility Principal Amount Assigned2 Aggregate Amount of Commitments/Loans of such Class for all Lenders3 Percentage Assigned of Commitments/Loans of such Class4 [_____]5 $[_____]6 $[_____] [_____]% 1 To be completed if the Assignor and the Assignee intend that the minimum assignment amount is to be determined as of the Trade Date. 2 Amounts in this column and in the column immediately to the right to be adjusted by the counterparties to take into account any payments or prepayments made between the Trade Date and the Effective Date. 3 “All Lenders” refers to all Lenders under the applicable Class. 4 Set forth, to at least 8 decimals, as a percentage of the aggregate Term Loans and the aggregate Revolving Commitments of all Lenders thereunder. 5 Set forth Class of Loans or Commitments being assigned. 6 With respect to Revolving Loans, not less than $2,500,000 and in minimum increments of $1,000,000 and with respect to Term Loans, not less than $1,000,000 and in minimum increments of $1,000,000, except in the case of an assignment of the entire remaining amount of the assigning Lender’s Commitments, Loans and other Revolving Credit Exposure at the time owing to it or in the case of an assignment to a Lender, an Affiliate of a Lender or an Approved Fund.


 
Exhibit A The terms set forth above are hereby agreed to by the undersigned: [Name of Assignor], as Assignor By: Name: Title: [Name of Assignee], as Assignee By: Name: Title:


 
Exhibit A The undersigned hereby consent[s] to the within assignment: [Rondo Intermediate Holdings, LLC, as Borrower By: Name: Title: Truist Bank, as Administrative Agent By: Name: Title: Truist Bank, as Issuing Bank By: Name: Title:]7 7 Consents to be included to the extent required by Section 10.4(b) of the Credit Agreement.


 
Exhibit B EXHIBIT B Form of Guaranty and Security Agreement [Attached]


 
Exhibit C EXHIBIT C Form of Notice of Borrowing [Date]1 Truist Bank, as the Administrative Agent for the Lenders referred to below 3333 Peachtree Road, N.E., 7th Floor Atlanta, Georgia 30326 Attention: Anton Brykalin Ladies and Gentlemen: Reference is made to the Amended and Restated Revolving Credit and Term Loan Agreement, dated as of January 31, 2020, and amended and restated as of April 9, 2025, (as amended, restated, amended and restated, supplemented, replaced, increased, refinanced or otherwise modified from time to time, the “Credit Agreement”), among Rondo Holdings, LLC, a Delaware limited liability company, as Holdings, the undersigned, a Delaware limited liability company, as the Borrower, the lenders from time to time party thereto, and Truist Bank, as the Administrative Agent for such lenders. Terms defined in the Credit Agreement are used herein with the same meanings. This notice constitutes a Notice of Borrowing, and the Borrower hereby requests a Borrowing of a Loan under the Credit Agreement, and in connection herewith the Borrower specifies the following information with respect to the Borrowing requested hereby: (A) Class of Borrowing2: (B) Aggregate principal amount of such Borrowing3: (C) Date of such Borrowing4: (D) Interest rate basis5: 1 Notices of Borrowing with respect to any initial Borrowing on the Restatement Date must be delivered at least one (1) Business Day prior to the Restatement Date (or such shorter period as the Lead Arrangers may otherwise agree). Notices of Borrowing after the Restatement Date must be delivered (x) prior to 11:00 a.m. one (1) Business Day prior to the requested date of each Base Rate Borrowing and (y) prior to 11:00 a.m. three (3) Business Days prior to the requested date of each SOFR Borrowing. 2 Term Borrowing (if applicable), Revolving Borrowing, Incremental Term Facility or Incremental Revolving Facility. 3 Not less than $1,000,000 and an integral multiple of $250,000 for a SOFR Borrowing or less than $500,000 and an integral multiple of $100,000 for Base Rate Borrowing, except in the case of any Incremental Facility. 4 Which is a Business Day. 5 SOFR Borrowing or Base Rate Borrowing.


 
Exhibit C (E) Interest Period6: (F) Location and number of the Borrower’s account to which proceeds of such Borrowing are to be disbursed: [The Borrower hereby represents and warrants that the conditions specified in subsections (a) and (b) of Section 3.2 of the Credit Agreement are satisfied.]7 [REMAINDER OF PAGE INTENTIONALLY LEFT BLANK] 6 Which must comply with the definition of “Interest Period”. 7 Do not include for Borrowings made on the Restatement Date.


 
Exhibit C IN WITNESS WHEREOF, I have hereunto signed my name as of the date first above written. RONDO INTERMEDIATE HOLDINGS, LLC By: Name: Title: cc: Truist Bank Agency Services 303 Peachtree Street, N.E. / 25th Floor Atlanta, Georgia 30308 Attention: Manager, Agency Services


 
Exhibit 2.7 EXHIBIT 2.7 Form of Notice of Conversion/Continuation [Date]1 Truist Bank, as the Administrative Agent for the Lenders referred to below 3333 Peachtree Road, N.E., 7th Floor Atlanta, Georgia 30326 Attention: Anton Brykalin Ladies and Gentlemen: Reference is made to the Amended and Restated Revolving Credit and Term Loan Agreement, dated as of January 31, 2020, and amended and restated as of April 9, 2025, (as amended, restated, amended and restated, supplemented, replaced, increased, refinanced or otherwise modified from time to time, the “Credit Agreement”), among Rondo Holdings, LLC, a Delaware limited liability company, as Holdings, the undersigned, a Delaware limited liability company, as the Borrower, the lenders from time to time party thereto and Truist Bank, as the Administrative Agent for such lenders. Terms defined in the Credit Agreement are used herein with the same meanings. This notice constitutes a Notice of Conversion/Continuation, and the Borrower hereby requests the conversion or continuation of a [Revolving Borrowing][Term Loan Borrowing] under the Credit Agreement, and in that connection the Borrower specifies the following information with respect to the [Revolving Borrowing][Term Loan Borrowing] to be converted or continued as requested hereby: (A) [Revolving Borrowing][Term Loan Borrowing] to which this request applies: (B) Principal amount of [Revolving Borrowing] [Term Loan Borrowing] to be converted/continued: (C) Effective date of election2: (D) Interest rate basis3: (E) Interest Period4: 1 Notices of Conversion/Continuation must be delivered (x) prior to 11:00 a.m. one (1) Business Day prior to the requested date of a conversion into a Base Rate Borrowing and (y) prior to 11:00 a.m. three (3) Business Days prior to a continuation of or conversion into a SOFR Borrowing. 2 Which is a Business Day. 3 SOFR Borrowing or Base Rate Borrowing. 4 Which must comply with the definition of “Interest Period”.


 
[REMAINDER OF PAGE INTENTIONALLY LEFT BLANK]


 
Exhibit 2.7 IN WITNESS WHEREOF, I have hereunto signed my name as of the date first above written. RONDO INTERMEDIATE HOLDINGS, LLC By: Name: Title: cc: Truist Bank Agency Services 303 Peachtree Street, N.E. / 25th Floor Atlanta, Georgia 30308 Attention: Manager, Agency Services


 
Exhibit 2.20A EXHIBIT 2.20A [FORM OF] U.S. TAX COMPLIANCE CERTIFICATE (For Foreign Lenders That Are Not Partnerships For U.S. Federal Income Tax Purposes) Reference is hereby made to the Amended and Restated Revolving Credit and Term Loan Agreement dated as of January 31, 2020, and amended and restated as of April 9, 2025, (as amended, restated, amended and restated, supplemented, replaced, increased, refinanced or otherwise modified from time to time, the “Credit Agreement”), among RONDO HOLDINGS, LLC, a Delaware limited liability company, as Holdings, RONDO INTERMEDIATE HOLDINGS, LLC, a Delaware limited liability company, as the Borrower, the lenders from time to time party thereto and Truist Bank, as the Administrative Agent for such lenders. Pursuant to the provisions of Section 2.20 of the Credit Agreement, the undersigned hereby certifies that (i) it is the sole record and beneficial owner of the Loan(s) (as well as any Note(s) evidencing such Loan(s)) in respect of which it is providing this certificate, (ii) it is not a bank within the meaning of Section 881(c)(3)(A) of the Code, (iii) it is not a ten percent shareholder of the Borrower within the meaning of Section 871(h)(3)(B) of the Code and (iv) it is not a controlled foreign corporation related to the Borrower as described in Section 881(c)(3)(C) of the Code. The undersigned has furnished the Administrative Agent and the Borrower with a certificate of its non-U.S. Person status on IRS Form W-8BEN or IRS Form W-8BEN-E. By executing this certificate, the undersigned agrees that (1) if the information provided on this certificate changes, the undersigned shall promptly so inform the Borrower and the Administrative Agent, and (2) the undersigned shall have at all times furnished the Borrower and the Administrative Agent with a properly completed and currently effective certificate in either the calendar year in which each payment is to be made to the undersigned, or in either of the two calendar years preceding such payments. Unless otherwise defined herein, terms defined in the Credit Agreement and used herein shall have the meanings given to them in the Credit Agreement. [NAME OF LENDER] By: Name: Title: Date: ________ __, 20[ ]


 
Exhibit 2.20B EXHIBIT 2.20B [FORM OF] U.S. TAX COMPLIANCE CERTIFICATE (For Foreign Participants That Are Not Partnerships For U.S. Federal Income Tax Purposes) Reference is hereby made to the Amended and Restated Revolving Credit and Term Loan Agreement dated as of January 31, 2020, and amended and restated as of April 9, 2025, (as amended, restated, amended and restated, supplemented, replaced, increased, refinanced or otherwise modified from time to time, the “Credit Agreement”), among RONDO HOLDINGS, LLC, a Delaware limited liability company, as Holdings, RONDO INTERMEDIATE HOLDINGS, LLC, a Delaware limited liability company, as the Borrower, the lenders from time to time party thereto and Truist Bank, as the Administrative Agent for such lenders. Pursuant to the provisions of Section 2.20 of the Credit Agreement, the undersigned hereby certifies that (i) it is the sole record and beneficial owner of the participation in respect of which it is providing this certificate, (ii) it is not a bank within the meaning of Section 881(c)(3)(A) of the Code, (iii) it is not a ten percent shareholder of the Borrower within the meaning of Section 871(h)(3)(B) of the Code, and (iv) it is not a controlled foreign corporation related to the Borrower as described in Section 881(c)(3)(C) of the Code. The undersigned has furnished its participating Lender with a certificate of its non-U.S. Person status on IRS Form W-8BEN or IRS Form W-8BEN-E. By executing this certificate, the undersigned agrees that (1) if the information provided on this certificate changes, the undersigned shall promptly so inform such Lender in writing, and (2) the undersigned shall have at all times furnished such Lender with a properly completed and currently effective certificate in either the calendar year in which each payment is to be made to the undersigned, or in either of the two calendar years preceding such payments. Unless otherwise defined herein, terms defined in the Credit Agreement and used herein shall have the meanings given to them in the Credit Agreement. [NAME OF PARTICIPANT] By: Name: Title: Date: ________ __, 20[ ]


 
Exhibit 2.20C EXHIBIT 2.20C [FORM OF] U.S. TAX COMPLIANCE CERTIFICATE (For Foreign Participants That Are Partnerships For U.S. Federal Income Tax Purposes) Reference is hereby made to the Amended and Restated Revolving Credit and Term Loan Agreement dated as of January 31, 2020, and amended and restated as of April 9, 2025, (as amended, restated, amended and restated, supplemented, replaced, increased, refinanced or otherwise modified from time to time, the “Credit Agreement”), among RONDO HOLDINGS, LLC, a Delaware limited liability company, as Holdings, RONDO INTERMEDIATE HOLDINGS, LLC, a Delaware limited liability company, as the Borrower, the lenders from time to time party thereto and Truist Bank, as the Administrative Agent for such lenders.. Pursuant to the provisions of Section 2.20 of the Credit Agreement, the undersigned hereby certifies that (i) it is the sole record owner of the participation in respect of which it is providing this certificate, (ii) its direct or indirect partners/members are the sole beneficial owners of such participation, (iii) with respect to such participation, neither the undersigned nor any of its direct or indirect partners/members is a bank extending credit pursuant to a loan agreement entered into in the ordinary course of its trade or business within the meaning of Section 881(c)(3)(A) of the Code, (iv) none of its direct or indirect partners/members is a ten percent shareholder of the Borrower within the meaning of Section 871(h)(3)(B) of the Code and (v) none of its direct or indirect partners/members is a controlled foreign corporation related to the Borrower as described in Section 881(c)(3)(C) of the Code. The undersigned has furnished its participating Lender with IRS Form W-8IMY accompanied by one of the following forms from each of its partners/members that is claiming the portfolio interest exemption: (i) an IRS Form W-8BEN or IRS Form W-8BEN-E or (ii) an IRS Form W-8IMY accompanied by an IRS Form W-8BEN or IRS Form W-8BEN-E from each of such partner’s/member’s beneficial owners that is claiming the portfolio interest exemption. By executing this certificate, the undersigned agrees that (1) if the information provided on this certificate changes, the undersigned shall promptly so inform such Lender and (2) the undersigned shall have at all times furnished such Lender with a properly completed and currently effective certificate in either the calendar year in which each payment is to be made to the undersigned, or in either of the two calendar years preceding such payments. Unless otherwise defined herein, terms defined in the Credit Agreement and used herein shall have the meanings given to them in the Credit Agreement. [NAME OF PARTICIPANT] By: Name: Title: Date: ________ __, 20[ ]


 
Exhibit 2.20D EXHIBIT 2.20D [FORM OF] U.S. TAX COMPLIANCE CERTIFICATE (For Foreign Lenders That Are Partnerships For U.S. Federal Income Tax Purposes) Reference is hereby made to the Amended and Restated Revolving Credit and Term Loan Agreement dated as of January 31, 2020, and amended and restated as of April 9, 2025, (as amended, restated, amended and restated, supplemented, replaced, increased, refinanced or otherwise modified from time to time, the “Credit Agreement”), among RONDO HOLDINGS, LLC, a Delaware limited liability company, as Holdings, RONDO INTERMEDIATE HOLDINGS, LLC, a Delaware limited liability company, as the Borrower, the lenders from time to time party thereto and Truist Bank, as the Administrative Agent for such lenders.. Pursuant to the provisions of Section 2.20 of the Credit Agreement, the undersigned hereby certifies that (i) it is the sole record owner of the Loan(s) (as well as any Note(s) evidencing such Loan(s)) in respect of which it is providing this certificate, (ii) its direct or indirect partners/members are the sole beneficial owners of such Loan(s) (as well as any Note(s) evidencing such Loan(s)), (iii) with respect to the extension of credit pursuant to this Credit Agreement or any other Loan Document, neither the undersigned nor any of its direct or indirect partners/members is a bank extending credit pursuant to a loan agreement entered into in the ordinary course of its trade or business within the meaning of Section 881(c)(3)(A) of the Code, (iv) none of its direct or indirect partners/members is a ten percent shareholder of the Borrower within the meaning of Section 871(h)(3)(B) of the Code and (v) none of its direct or indirect partners/members is a controlled foreign corporation related to the Borrower as described in Section 881(c)(3)(C) of the Code. The undersigned has furnished the Administrative Agent and the Borrower with IRS Form W-8IMY accompanied by one of the following forms from each of its partners/members that is claiming the portfolio interest exemption: (i) an IRS Form W-8BEN or IRS Form W-8BEN-E or (ii) an IRS Form W-8IMY accompanied by an IRS Form W-8BEN or IRS Form W-8BEN-E from each of such partner’s/member’s beneficial owners that is claiming the portfolio interest exemption. By executing this certificate, the undersigned agrees that (1) if the information provided on this certificate changes, the undersigned shall promptly so inform the Borrower and the Administrative Agent, and (2) the undersigned shall have at all times furnished the Borrower and the Administrative Agent with a properly completed and currently effective certificate in either the calendar year in which each payment is to be made to the undersigned, or in either of the two calendar years preceding such payments. Unless otherwise defined herein, terms defined in the Credit Agreement and used herein shall have the meanings given to them in the Credit Agreement. [NAME OF LENDER] By: Name: Title: Date: ________ __, 20[ ]


 
Exhibit 3.1(b)(ii) EXHIBIT 3.1(b)(ii) Form of Secretary’s Certificate [Date] Reference is made to the Amended and Restated Revolving Credit and Term Loan Agreement, dated as of January 31, 2020, and amended and restated as of the date hereof (as amended, restated, amended and restated, supplemented, replaced, increased, refinanced or otherwise modified from time to time, the “Credit Agreement”), among Rondo Holdings, LLC, a Delaware limited liability company, as Holdings [(the “Company”)]1, Rondo Intermediate Holdings, LLC, a Delaware limited liability company, as the Borrower [(the “Company”)]2, the lenders from time to time party thereto and Truist Bank, as the Administrative Agent for such lenders. Terms defined in the Credit Agreement are used herein with the same meanings. This certificate is being delivered pursuant to Section 3.1(b)(ii) of the Credit Agreement. I, [_____], Corporate Secretary of the Company, do hereby certify, in my capacity as Corporate Secretary of the Company and not in an individual capacity, that: (a) Annexed hereto as Exhibit A is a true, correct and complete copy of the [Certificate of Formation] of the Company, certified by the Secretary of State of the State of Delaware; such [Certificate of Formation] has not been amended, modified, repealed or restated and is in full force and effect as of the date hereof; (b) Annexed hereto as Exhibit B is a true, correct and complete copy of the [limited liability company agreement] of the Company; such [limited liability company agreement] has not been amended, modified, repealed or restated and is in full force and effect as of the date hereof; (c) Annexed hereto as Exhibit C is a true, correct and complete copy of the Company’s certificate of good standing issued by the Secretary of State of the State of Delaware; (d) Annexed hereto as Exhibit D is a true, correct and complete copy of certain resolutions duly adopted by the [Board of Managers] of the Company by written consent, which resolutions are the only resolutions adopted by the [Board of Managers] of the Company or any committee thereof relating to the Credit Agreement and such other Loan Documents to which the Company is a party and the transactions contemplated therein and have not been revoked, amended, supplemented or modified and are in full force and effect on the date hereof; and (e) Each of the persons named in Exhibit E annexed hereto is a duly elected and qualified officer of the Company holding the respective office set forth opposite his or her name and the signature set forth opposite of each such person is his or her genuine signature.3 [REMAINDER OF PAGE INTENTIONALLY LEFT BLANK] 1 Insert only if Holdings is delivering this Secretary’s Certificate. 2 Insert only if the Borrower is delivering this Secretary’s Certificate. 3 Include all officers who are signing the Credit Agreement or any other Loan Document.


 
Exhibit 3.1(b)(ii) IN WITNESS WHEREOF, I have hereunto signed my name as of the date first above written. Name: [_____] Title: [_____] I, [_____], [title] of the Company, do hereby certify that [_____] has been duly elected, is duly qualified and is the Secretary of the Company, that the signature set forth above is [his][her] genuine signature. Name: [_____] Title: [_____]


 
Exhibit 3.1(b)(ii) EXHIBIT A Certificate of Formation [Attached]


 
Exhibit 3.1(b)(ii) EXHIBIT B Limited Liability Company Agreement [Attached]


 
Exhibit 3.1(b)(ii) EXHIBIT C Certificate of Good Standing [Attached]


 
Exhibit 3.1(b)(ii) EXHIBIT D Resolutions [Attached]


 
Exhibit 3.1(b)(ii) EXHIBIT E Incumbency Name Title Specimen Signature


 
Exhibit 3.1(b)(xi) EXHIBIT 3.1(b)(xi) Form of Solvency Certificate SOLVENCY CERTIFICATE This Solvency Certificate (this “Solvency Certificate”) is delivered on [DATE] pursuant to Section 3.1(b)(xi) of the Amended and Restated Revolving Credit and Term Loan Agreement, dated as of January 31, 2020, and amended and restated as of the date hereof, among RONDO HOLDINGS, LLC, a Delaware limited liability company, as Holdings, RONDO INTERMEDIATE HOLDINGS, LLC, a Delaware limited liability company, as the Borrower, Truist Bank, as the Administrative Agent, and the other lenders parties thereto (as amended, restated, amended and restated, supplemented, replaced, increased, refinanced or otherwise modified from time to time, the “Credit Agreement”). Unless otherwise defined herein, capitalized terms used in this Solvency Certificate shall have the meanings set forth in the Credit Agreement. The undersigned is familiar with the business and financial position of the Borrower and its Restricted Subsidiaries. In reaching the conclusions set forth in this Solvency Certificate, the undersigned has made, or has caused to be made under such undersigned’s supervision, such other examinations, investigations and inquiries as is reasonable and necessary to enable the undersigned to express an informed opinion as to the matters referred to herein, having taken into account the nature of the particular business anticipated to be conducted by the Borrower and its Restricted Subsidiaries after consummation of the Transactions. I, [_____]1, solely in my capacity as the [title] of the Borrower, do hereby certify on behalf of the Loan Parties that, as of the date hereof, after giving effect to the funding of the initial Term Loan Borrowing (if any) and any initial Revolving Borrowing and the consummation of the transactions contemplated to occur on the Restatement Date: The sum of the debt (including contingent liabilities) of the Loan Parties and their Restricted Subsidiaries on a consolidated basis does not exceed the present fair saleable value of the assets of the Loan Parties and their Restricted Subsidiaries and their Subsidiaries on a consolidated basis. The present fair saleable value of the Loan Parties and their Restricted Subsidiaries on a consolidated basis, taken as a whole, is not less than the amount that will be required to pay the probable liabilities (including contingent liabilities) and debts of the Loan Parties and their Restricted Subsidiaries on a consolidated basis, as they become absolute and matured in the ordinary course of business. The capital of the Loan Parties and their Restricted Subsidiaries on a consolidated basis is not unreasonably small in relation to their business, on a consolidated basis, as contemplated on the Restatement Date. The Loan Parties and their Restricted Subsidiaries on a consolidated basis have not incurred and do not intend to incur, or believe that they will incur, debts including contingent obligations, beyond their ability to pay such debts as they become due in the ordinary course of business. For purposes of this Solvency Certificate, the amount of any contingent liability has been computed as the amount that, in light of all of the facts and circumstances existing as of the date hereof, represents the amount that can reasonably be expected to become an actual or matured liability (irrespective of whether 1 To be a Responsible Officer of the Borrower.


 
Exhibit 3(b)(xi) such contingent liabilities meet the criteria for accrual under Statement of Financial Accounting Standards No. 5). In reaching the conclusions set forth in this Solvency Certificate, I have made such other investigations and inquiries as I have deemed appropriate, having taken into account the nature of the particular business anticipated to be conducted by the Loan Parties and their Restricted Subsidiaries on a consolidated basis after giving pro forma effect to the consummation of the Transactions. IN WITNESS WHEREOF, I have executed this Solvency Certificate as of the date first written above. RONDO INTERMEDIATE HOLDINGS, LLC By: Name: Title:


 
Exhibit 5.1(c) EXHIBIT 5.1(c) [Form of] Compliance Certificate [Date] Truist Bank, as the Administrative Agent for the Lenders referred to below 3333 Peachtree Road, N.E., 7th Floor Atlanta, Georgia 30326 Attention: Anton Brykalin Truist Bank Agency Services 303 Peachtree Street, N.E., 25th Floor Atlanta, Georgia 30308 Attention: Manager, Agency Services Ladies and Gentlemen: Reference is made to the Amended and Restated Revolving Credit and Term Loan Agreement dated as of January 31, 2020, and amended and restated as of April 9, 2025 (as amended, restated, amended and restated, supplemented, replaced, increased, refinanced or otherwise modified from time to time, the “Credit Agreement”), among RONDO HOLDINGS, LLC, a Delaware limited liability company, as Holdings, RONDO INTERMEDIATE HOLDINGS, LLC, a Delaware limited liability company, as the Borrower, the lenders from time to time party thereto and Truist Bank, as the Administrative Agent for such lenders. Terms defined in the Credit Agreement are used herein with the same meanings. I, [_____], being duly elected and qualified, and acting in my capacity as chief financial officer of the Borrower, DO HEREBY CERTIFY that: [1. Attached hereto as Annex I are the audited consolidated financial statements of the Borrower and its Subsidiaries for the Fiscal Year ending [date] and the related consolidated statements of income, stockholders’ equity and cash flows (together with all footnotes thereto) of the Borrower and its Subsidiaries for such Fiscal Year, setting forth in each case in comparative form the figures for the previous Fiscal Year, all in reasonable detail (together with customary management discussion and analysis) and reported on by an independent public accountant of nationally recognized standing or any other independent accounting firm reasonably acceptable to the Administrative Agent (without a “going concern” or like qualification, exception or explanation and without any qualification or exception as to the scope of such audit except any “going concern” qualification or exception as a result of the impending Maturity Date or Revolving Commitment Termination Date,, any change in accounting practices or policies due to changes in GAAP that is required or approved by such auditors or any prospective non-compliance with Section 6.1 and/or 6.3 of the Credit Agreement) to the effect that such financial statements present fairly in all material respects the financial condition and the results of operations of the Borrower and its Subsidiaries for such Fiscal Year on a consolidated basis in accordance with GAAP, and that the examination by such accountants in connection with such consolidated financial statements has been made in accordance with generally accepted auditing standards.]1 1 To be included with respect to any Fiscal Year.


 
Exhibit 5.1(c) [1. Attached hereto as Annex I are the unaudited consolidated financial statements of the Borrower and its Subsidiaries for the Fiscal Quarter ending [date] and the related unaudited consolidated statements of income and cash flows of the Borrower and its Subsidiaries for such Fiscal Quarter and the then elapsed portion of such Fiscal Year, setting forth in each case in comparative form the figures for the corresponding Fiscal Quarter, the corresponding portion of the Borrower’s previous Fiscal Year and budget for such Fiscal Year and including management’s discussion and analysis of operating results inclusive of operating metrics in comparative form and certified by a Responsible Officer of the Borrower as fairly presenting in all material respects the financial condition, and the results of income or operations and cash flows of the Borrower and its Subsidiaries in accordance with GAAP, subject only to normal year-end audit adjustments and the absence of footnotes.]2 2. The calculations set forth in Annex II are computations of the financial covenants set forth in Article VI of the Credit Agreement3 [and reasonably detailed calculations of Excess Cash Flow and Available Amount for the applicable Fiscal Year]4 calculated from the financial statements attached hereto in accordance with the terms of the Credit Agreement. 3. Based upon a review of the activities of the Borrower and its Subsidiaries and the financial statements attached hereto during the period covered thereby, as of the date hereof, there exists [no Default or Event of Default.][a Default or Event of Default as specified below]: and the Borrower [has taken][proposes to take] the following actions with respect thereto: .] 4. [There has been no change in the legal name or type of organization of the Subsidiaries or any new Subsidiaries as of the end of the Fiscal [Quarter][Year] ending [date] from the Subsidiaries identified to the Lenders [on the Restatement Date][as of the most recent Fiscal Quarter].] [A change has occurred in the legal name or type of organization of the Subsidiaries or a new Subsidiary exists as of the end of the Fiscal [Quarter][Year] ending [date] from the Subsidiaries identified to the Lenders [on the Restatement Date][as of the most recent Fiscal Quarter] as specified below: .] 5. [No change in GAAP or the application thereof has occurred since the date of the most recently delivered audited financial statements of Holdings and/or the Borrower and its Restricted Subsidiaries.] [A change has occurred in GAAP or the application thereof since the date of the most recently delivered audited financial statements of Holdings and/or the Borrower and its Restricted Subsidiaries and the effect of such change on the financial statements attached hereto is specified below: .] [REMAINDER OF PAGE INTENTIONALLY LEFT BLANK] 2 To be included with respect to any Fiscal Quarter. 3 Commencing with the first full Fiscal Quarter ended after the Restatement Date 4 To be included with respect to any Fiscal Year, beginning with the Fiscal Year ending December 31, 2021.


 
Exhibit 5.1(c) IN WITNESS WHEREOF, I have hereunto signed my name as of the date first above written. Name: [_____] Title: Chief Financial Officer


 
Exhibit 5.1(c) ANNEX I Financial Statements [see attached]


 
Exhibit 5.1(c) ANNEX II Calculations of Financial Covenants Financial covenant calculations for the Fiscal Quarter ended [_______ __, ____] I. Calculation of Consolidated EBITDA A. Net income (or loss) of the Borrower and its Restricted Subsidiaries for the period referenced above determined on a consolidated basis in accordance with GAAP $ ______________ Less (or plus), to the extent included above in Consolidated Net Income for the period referenced above (to the extent otherwise included therein), without duplication: (1) any extraordinary gains or losses (as defined in GAAP as in effect prior to FASB No. 2015-07); $ ______________ (2) any net after-tax gains or losses attributable to write-ups or write-downs of assets or the sale of assets (other than the sale of inventory in the ordinary course of business); $ ______________ (3) the minority interest in the net income (or loss) of each Restricted Subsidiary that is not a Wholly Owned Subsidiary; $ ______________ (4) the net income for such period of any Person that is not a Subsidiary of the Borrower, or is an Unrestricted Subsidiary, or that is accounted for by the equity method of accounting, except to the extent of the amount of dividends or distributions that are actually paid in cash or Cash Equivalents to the Borrower or a Restricted Subsidiary thereof in respect of such period; $ ______________ (5) the net income of any Restricted Subsidiary of such Person that is not a Guarantor, and is, on the last day of the period referenced above, subject to any restriction or limitation on the payment of dividends or distributions or the making of other distributions, to the extent of such restriction or limitation; $ ______________ (6) the net income (or loss) of any other Person arising prior to such other Person becoming a Restricted Subsidiary of such Person or merging or consolidating into such Person or its Restricted Subsidiaries; $ ______________ (7) gains or losses from the early extinguishment, cancellation or repurchase of Indebtedness; $ ______________ (8) any net gain (or loss) from disposed, abandoned or discontinued operations; and $ ______________ (9) any net gain (or loss) realized upon the sale or other disposition of any asset (including pursuant to any sale and leaseback transaction) which is not sold or otherwise disposed of in the ordinary course of business (as determined in good faith by a Responsible Officer or the board of directors of the Borrower). $ ______________ B. Total exclusions from (additions to) net income (sum of (1) through (9) above) $ ______________ C. Consolidated Net Income (sum of A minus B above): $ ______________ Except with respect to (15)(c) and (17) below, to the extent deducted (and not added back or excluded) in determining the Consolidated Net Income for the period referenced above, without duplication: (10) consolidated interest expense determined in accordance with GAAP (including, without limitation, amortization or writeoff of debt discount); $ ______________ (11) income tax expense determined on a consolidated basis in accordance with GAAP; $ ______________


 
Exhibit 5.1(c) (12) depreciation and amortization determined on a consolidated basis in accordance with GAAP; $ ______________ (13) the amount of any compensation charge or expense as the result of any grant or repurchase of Capital Stock or Capital Stock equivalents to or from employees, officers, directors or consultants; $ ______________ (14) fees, charges, expenses and other amounts incurred in connection with or as a result of the closing of the Credit Agreement and any future amendments, modifications, waivers or other similar transactions in connection with the Credit Agreement (whether or not consummated); $ ______________ (15) (a) the amount of any restructuring, severance, relocation, consolidation, integration, remediation or similar items or reserves in such period (whether or not characterized as such in accordance with GAAP), including items or reserves incurred or taken in connection with Permitted Acquisitions and other Investments permitted under the Credit Agreement, (b) the amount of costs relating to signing, retention and completion bonuses, relocation expenses, recruiting expenses, costs and expenses incurred in connection with any strategic or new initiatives, transition costs, consolidation and closing costs for facilities, business optimization expenses and new systems design and implementation costs, and (c) the amount of “run- rate” cost savings, operating expense reductions and cost synergies related to any Specified Transaction or any other restructuring, cost saving initiative or other similar initiative that are projected by such Person in good faith to result from actions taken, committed to be taken or expected to be taken no later than 18 months after the consummation of such Specified Transaction or applicable restructuring or similar initiative (which amounts will be determined by such Person in good faith and calculated on a Pro Forma Basis as though such amounts had been realized on the first day of such period), net of the amount of actual benefits realized during such period from such action, in an aggregate amount, with respect to this clause (15), not to exceed 25% of Consolidated EBITDA (calculated after adding back any amounts pursuant to this clause (15)) for the Borrower and its Restricted Subsidiaries in any four Fiscal Quarter period; $ ______________ (16) any costs or expenses incurred in such period pursuant to or in connection with or resulting from any management equity plan, profits interest or stock option plan or any other management or employee benefit plan or agreement or any post- employment benefit plans or agreements or any grants or sales of stock, stock appreciation or similar rights, stock options, restricted stock, preferred stock or other similar rights or any stock subscription, stockholders or partnership agreement; $ ______________ (17) cash receipts (or any netting arrangements resulting in reduced cash expenditures) not representing Consolidated EBITDA or Consolidated Net Income in any period to the extent non-cash gains relating to such cash receipts were deducted in the calculation of Consolidated EBITDA pursuant to Section D below for any previous period and not added back; $ ______________ (18) any non-cash charges or expenses reducing Consolidated Net Income for such period (provided that if any such non-cash item represents an accrual or reserve for potential cash items in any future period, (1) such Person may determine not to add back such non-cash item in the current period and (2) to the extent such Person does decide to add back such non-cash item, the cash payment in respect thereof in such future period shall be subtracted from Consolidated EBITDA to such extent, and excluding amortization of a prepaid cash item that was paid in a prior period); $ ______________ (19) all charges, costs, expenses, accruals or reserves in connection with the rollover, acceleration or payout of Capital Stock held by officers or employees of such Person in connection with the Transactions and all losses, charges and expenses $ ______________


 
Exhibit 5.1(c) related to payments made to holders of options or other derivative Capital Stock in the common equity of such Person or any direct or indirect parent thereof in connection with, or as a result of, any distribution being made to the holders of Capital Stock of such Person or any direct or indirect parent thereof, which payments are being made to compensate such option holders as though they were holders of the Capital Stock of such Person at the time of, and entitled to share in, such distribution; (20) the amount of any expenses paid on behalf of any member of the board of directors or reimbursable to such member of the board of directors; $ ______________ (21) all judgments, liabilities, obligations, damages of any kind, including liquidated damages, settlement amounts, losses, fines, costs, fees, expenses (including reasonable attorneys’ fees and disbursements), penalties and interest and other charges or expenses in connection with any lawsuit or other proceeding against such Person and its Restricted Subsidiaries; provided, that the amounts added back pursuant to this clause (21) shall not exceed 15% of Consolidated EBITDA prior to giving effect to any add-backs pursuant to this clause (21)) $ ______________ (22) earn-outs and contingent consideration obligations and adjustments in respect thereof, payments in respect of dissenting shares, and purchase price adjustments, made by such Person during such period, in each case, in connection with an Investment or Acquisition permitted under the Credit Agreement; $ ______________ (23) any non-recurring or unusual charges, expenses or losses; and $ ______________ (24) other adjustments consistent with Regulation S-X (as in effect prior to January 1, 2021). $ ______________ D. Total additions to (exclusions from) Consolidated Net Income (sum of (10) through (24) above) $ ______________ In each case to the extent included in the calculation of such Consolidated Net Income (and in the same proportion) and without duplication: (25) the aggregate amount of all non-cash items increasing Consolidated Net Income (other than (i) the accrual of revenue or recording of receivables in the ordinary course of business and (ii) the reversal of any accrual or reserve for a potential cash item that reduced Consolidated EBITDA in any prior period and any non-cash items with respect to cash actually received in a prior period so long as such cash did not increase Consolidated EBITDA in such prior period) for such period; and $ ______________ (26) any non-recurring or unusual gains $ ______________ E. Total exclusions from net income (sum of (25) through (26) above): $ ______________ F. Consolidated EBITDA (result of C plus D minus E above)1 $ ______________ II. Calculation of Total Net Leverage Ratio A. Consolidated Total Debt: As of any date of determination, the aggregate principal amount of Indebtedness of the Borrower and its Restricted Subsidiaries outstanding on such date, determined on a consolidated basis in accordance with GAAP, consisting only of (without duplication) (i) Indebtedness for borrowed money (excluding any such Indebtedness owed to the Borrower or any of its Restricted Subsidiaries), (ii) Indebtedness obligations evidenced by bonds, promissory notes or other similar debt instruments, (iii) to the extent 1 Notwithstanding the foregoing, Consolidated EBITDA for the Fiscal Quarters ending December 31, 2024, September 30, 2024, June 30, 2024 and March 31, 2024, shall be the amounts corresponding to such Fiscal Quarters set forth on Schedule 1.1(a) to the Credit Agreement, as such amounts may be adjusted pursuant to adjustments on a Pro Forma Basis permitted by the Credit Agreement.


 
Exhibit 5.1(c) not cash collateralized, obligations under letters of credit solely to the extent of any drawn amounts thereunder that have not been reimbursed, (iv) obligations in respect of Capital Lease Obligations and purchase money Indebtedness and (v) Indebtedness of the type referred to in clauses (i) through (iv) hereof of any other person that is unconditionally guaranteed by the Borrower or any Restricted Subsidiary, provided that Consolidated Total Debt shall not include any indebtedness in respect of (a) any qualified receivables financing or factoring arrangement, (b) any letter of credit, except to the extent of unreimbursed obligations in respect of drawn letters of credit or (c) Hedging Obligations. $ ______________ B. Consolidated EBITDA (calculated using (I) above) for the most recently ended Test Period on or prior to the date of determination. $ ______________ Total Net Leverage Ratio (result of (i) A minus Unrestricted Cash in an aggregate amount not to exceed $50,000,000 divided by (ii) B above). _______________ Permitted maximum Total Net Leverage Ratio: Less than or equal to 4.50 to 1.00 In Compliance: Yes/No II. Calculation of Interest Coverage Ratio A. Consolidated EBITDA (calculated using Section (I) above) for the period of four consecutive Fiscal Quarters ending on the last day of the most recent Fiscal Quarter for which financial statements are actually delivered prior to such date of determination. $ ______________ B. Consolidated Interest Expense: The sum of (i) the total consolidated interest expense of the Borrower and its Restricted Subsidiaries paid in cash during such period determined on a consolidated basis in accordance with GAAP; plus (ii) all cash dividend payments (excluding items eliminated in consolidation) on any series of Disqualified Capital Stock of such Person or any Restricted Subsidiary of such Person made during such period. (net of cash interest income for such period), in each case, for the period of four consecutive Fiscal Quarters ending on the last day of the most recent Fiscal Quarter for which financial statements are actually delivered prior to such date of determination. $ ______________ Interest Coverage Ratio (result of A divided by B above): _______________ Permitted minimum Interest Coverage Ratio: Greater than or equal to 2.00 to 1.00 In Compliance: Yes/No


 
Exhibit 5.1(c) Calculation of Excess Cash Flow Without duplication, with respect to such Fiscal Year of the Borrower and its Restricted Subsidiaries, the sum, without duplication of: (1) Consolidated Net Income (calculated using (I)(C) above) for such Fiscal Year; $ ______________ (2) all non-cash charges of the Borrower or any Restricted Subsidiary that were deducted in calculating such Consolidated Net Income for such Fiscal Year; $ ______________ (3) decreases in Working Capital of the Borrower for such period, if any (other than any such decreases arising from acquisitions or dispositions (other than in the ordinary course of business) by the Borrower and the Restricted Subsidiaries completed during such Fiscal Year or the application of purchase accounting); $ ______________ (4) an amount equal to the aggregate net non-cash loss on dispositions (other than in the ordinary course of business) by the Borrower and the Restricted Subsidiaries during such Fiscal Year (other than dispositions in the ordinary course of business) to the extent deducted in arriving at such Consolidated Net Income $ ______________ (5) the amount deducted as tax expense in determining Consolidated Net Income to the extent in excess of cash taxes paid in such period; $ ______________ (6) cash receipts in respect of any Hedging Transaction during such period to the extent not otherwise included in such Consolidated Net Income; and $ ______________ (7) cash income or gains (actually received in cash) excluded from the calculation of Consolidated Net Income for such period pursuant to the definition thereof. $ ______________ A. Sum of (1) through (7) above: $ ______________ Less, the sum, without duplication of: (8) an amount equal to the amount of all non-cash credits included in arriving at such Consolidated Net Income (but excluding any non-cash credit to the extent representing the reversal of an accrual or reserve described in clause (2) above) and cash charges excluded by virtue of clauses (I)(1) through (9) above; $ ______________ (9) [Reserved]; (10) the aggregate amount of all principal payments of Indebtedness of the Borrower and the Restricted Subsidiaries (including (1) the principal component of payments in respect of Capital Lease Obligations, (2) the amount of any scheduled repayment of Term Loans pursuant to Section 2.9 of the Credit Agreement and (3) any mandatory prepayment of Term Loans pursuant to Section 2.12(a) of the Credit Agreement to the extent required due to a disposition that resulted in an increase in Consolidated Net Income and not in excess of such increase) to the extent such prepayments or repayments are funded with Internally Generated Cash or not made in reliance on any basket calculated by reference to the Available Amount, excluding (1) any prepayment of revolving loans that are deducted pursuant to clause (ii) in the first proviso in Section 2.12(c) of the Credit Agreement in the calculation of the Excess Cash Flow prepayment amount; $ ______________ (11) an amount equal to the aggregate net non-cash gain on dispositions by the Borrower and the Restricted Subsidiaries during such Fiscal Year (other than dispositions in the ordinary course of business) to the extent included in arriving at such Consolidated Net Income and the net cash loss on dispositions to the extent otherwise added back or excluded in arriving at Consolidated Net Income; $ ______________ (12) increases in Working Capital for such period (other than any such increases arising from acquisitions or dispositions (other than in the ordinary course of business) by $ ______________


 
Exhibit 5.1(c) the Borrower and the Restricted Subsidiaries completed during such period or the application of purchase accounting); (13) cash payments by the Borrower and the Restricted Subsidiaries actually made during such period to the extent financed with Internally Generated Cash in respect of long-term liabilities or long-term assets of the Borrower and the Restricted Subsidiaries (other than Indebtedness) to the extent such payments are not expensed during such period or are not deducted in calculating Consolidated Net Income for such period (and so long as there has not been any reduction in respect of such payments in arriving at Consolidated Net Income for such period); $ ______________ (14) [Reserved]; (14) [Reserved]; (16) the aggregate amount of cash expenditures actually made by the Borrower and its Restricted Subsidiaries during such period to the extent financed with Internally Generated Cash (including expenditures for the payment of financing fees) to the extent that such expenditures are not expensed during such Fiscal Year or are not deducted in calculating Consolidated Net Income (and so long as there has not been any reduction in respect of such expenditures in arriving at Consolidated Net Income for such period); $ ______________ (17) to the extent financed with Internally Generated Cash and such amounts were not deducted in calculating Consolidated Net Income for such period, the aggregate amount of any premium, make-whole or penalty payments actually paid in cash by the Borrower or any of the Restricted Subsidiaries during such period that are made in connection with any prepayment of any principal of Indebtedness to the extent such prepayment of principal reduced Excess Cash Flow pursuant to clause (10) above; $ ______________ (18) without duplication of amounts deducted from the calculation of the Excess Cash Flow prepayment amount pursuant to Section 2.12(c) in the Credit Agreement in prior periods, the aggregate consideration required to be paid in cash by the Borrower or any of the Restricted Subsidiaries within 365 days after the end of such period pursuant to binding contracts (to the extent financed with Internally Generated Cash, the “Contract Consideration”) entered into prior to or during such period relating to Investments, cash Capital Expenditures or acquisitions of intellectual property rights to be consummated; provided that, to the extent the aggregate amount actually utilized to finance such Investments, Capital Expenditures or acquisitions of intellectual property rights during any period is less than the Contract Consideration that reduced Excess Cash Flow for the prior period, the amount of such shortfall shall be added to the calculation of Excess Cash Flow for such period; $ ______________ (19) the amount of cash taxes paid in such period or payable (without duplication) in such period (including, for the avoidance of doubt, distributions made pursuant to Section 10 of the Holdings LLC Agreement), to the extent such payments exceed the amount of tax expense deducted in calculating Consolidated Net Income for such period; and $ ______________ (20) cash expenditures actually made in cash in respect of any Hedging Transaction during such Fiscal Year to the extent not deducted in calculating Consolidated Net Income. $ ______________ B. Sum of (8) through (20) above: $ ______________ C. Excess Cash Flow (result of A minus B above): $ ______________


 
Exhibit 5.1(c) Calculation of Available Amount An amount, not less than zero, determined on a cumulative basis equal to (without duplication): I. (1) (A) the amount (determined on a cumulative basis) of Excess Cash Flow for the Fiscal Year ending on December 31, 2025 and each completed Fiscal Year thereafter that is not required to be applied as a mandatory prepayment under Section 2.12(c) of the Credit Agreement minus the aggregate amount by which the required prepayment of Term Loans pursuant to Section 2.12(c) of the Credit Agreement for any Fiscal Year has been reduced by operation of proviso to such Section 2.12(c) of the Credit Agreement; $ ______________ (B) 100% of the aggregate amount of contributions to the common capital of the Borrower or the net proceeds of the issuance of Qualified Capital Stock of Holdings (or any direct or indirect parent thereof) contributed as common equity to the capital of the Borrower, received in cash and Cash Equivalents after the Restatement Date and Not Otherwise Applied (other than any amount designated as a Specified Equity Contribution), $ ______________ (C) (1)(A) plus (1)(B): $ ______________ (2) [Reserved]; (3) an amount equal to any Returns in cash and Cash Equivalents actually received by the Borrower or any Restricted subsidiary in respect of any Investments made pursuant to Section 7.4(bb) of the Credit Agreement and Not Otherwise Applied (up to the amount of the original Investment and excluding Returns from any Unrestricted Subsidiary that represent a Tax distribution); $ ______________ (4) an amount equal to Retained Declined Proceeds pursuant to Section 2.12(d) of the Credit Agreement; $ ______________ II. Sum of (1)(C) through (4) above: $ ______________ (5) any Investment made pursuant to Section 7.4(bb) of the Credit Agreement, any Restricted Payments made pursuant to Section 7.5(r) of the Credit Agreement and any payments made pursuant to Section 7.12(iv) of the Credit Agreement during the period commencing on the Restatement Date and ending on such date of determination. $ ______________ Available Amount: Sum of $50,000,000 plus II above minus (5) above: $ ______________