Please wait
 
 

UNITED STATES

SECURITIES AND EXCHANGE COMMISSION

WASHINGTON, D.C. 20549

 

 

SCHEDULE 14A

Proxy Statement Pursuant to Section 14(a) of the

Securities Exchange Act of 1934 (Amendment No. )-

 

 

Filed by the Registrant ☒

Filed by a Party other than the Registrant ☐

Check the appropriate box:

 

  Preliminary Proxy Statement
  Confidential, for Use of the Commission Only (as permitted by Rule 14a-6(e)(2))
  Definitive Proxy Statement
  Definitive Additional Materials
  Soliciting Material under Rule 14a-12

ESSENTIAL PROPERTIES REALTY TRUST, INC.

(Name of Registrant as Specified in its Charter)

Not applicable.

(Name of Person(s) Filing Proxy Statement, if other than the Registrant)

Payment of Filing Fee (Check the appropriate box):

 

  No fee required.
  Fee paid previously with preliminary materials.
  Fee computed on table in exhibit required by Item 25(b) per Exchange Act Rules 14a-6(i)(1) and 0-11.

 

 
 

 


LOGO

P.O. BOX 8016, CARY, NC 27512-9903 Your vote matters! Meeting Materials: Notice of Meeting and Proxy Statement & Annual Report on Form 10-K Important Notice Regarding the Availability of Proxy Materials for the Stockholders Meeting To Be Held On May 11, 2026 for Essential Properties Realty Trust, Inc. stockholders of record as of the close of business on March 20, 2026 Annual Meeting of Stockholders To order paper materials, use one of the Monday, May 11, 2026 9:30 AM, Eastern Time Annual meeting to be held via the internet—please visit www.proxydocs.com/EPRT for more following methods. details. Internet: For a convenient way to view proxy materials, VOTE, and obtain www.investorelections.com/EPRT directions to attend the meeting go to www.proxydocs.com/EPRT To vote your proxy while visiting this site, you will need the 12 digit control number in the box below. Call: 1-866-648-8133 This communication presents only an overview of the more complete proxy materials that are available to you on the Internet. This is not a ballot. You cannot use this notice to vote your shares. We encourage you to access and review all of the important information contained in the proxy materials before voting. Email: paper@investorelections.com Under United States Securities and Exchange Commission rules, proxy materials do not have to be delivered in paper. Proxy materials can be distributed by making them available on the * If requesting material by e-mail, please send a blank e-mail with the internet. 12 digit control number (located below) in the subject line. No other requests, instructions OR other inquiries should be included with your If you want to receive a paper or e-mail copy of the proxy material, you must request one. e-mail requesting material. There is no charge to you for requesting a copy. In order to receive a paper package in time for this year’s meeting, you must make this request on or before May 1, 2026. Your control number To be admitted to and vote at the Annual Meeting, you must register at www.proxydocs.com/EPRT by Sunday, May 10, 2026 at 5:00 pm, Eastern Time, and provide the control number in the box to the right. Further instructions and a unique link to access the Have the 12 digit control number located in the meeting will be emailed to you following registration. box above available when you access the website and follow the instructions. SEE REVERSE FOR FULL AGENDA Copyright © 2026 BetaNXT, Inc. or its affiliates. All Rights Reserved    Essential Properties Realty Trust, Inc. Annual Meeting of Stockholders


LOGO

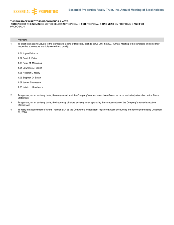
THE BOARD OF DIRECTORS RECOMMENDS A VOTE: FOR EACH OF THE NOMINEES LISTED BELOW IN PROPOSAL 1, FOR PROPOSAL 2, ONE YEAR ON PROPOSAL 3 AND FOR PROPOSAL 4 PROPOSAL 1. To elect eight (8) individuals to the Company’s Board of Directors, each to serve until the 2027 Annual Meeting of Stockholders and until their respective successors are duly elected and qualify; 1.01 Joyce DeLucca 1.02 Scott A. Estes 1.03 Peter M. Mavoides 1.04 Lawrence J. Minich 1.05 Heather L. Neary 1.06 Stephen D. Sautel 1.07 Janaki Sivanesan 1.08 Kristin L. Smallwood 2. To approve, on an advisory basis, the compensation of the Company’s named executive officers, as more particularly described in the Proxy Statement; 3. To approve, on an advisory basis, the frequency of future advisory votes approving the compensation of the Company’s named executive officers; and 4. To ratify the appointment of Grant Thornton LLP as the Company’s independent registered public accounting firm for the year ending December 31, 2026.