Please wait

 

 

UNITED STATES

SECURITIES AND EXCHANGE COMMISSION

WASHINGTON, D.C. 20549

 

SCHEDULE 14A INFORMATION

 

Proxy Statement Pursuant to Section 14(a)
of the Securities Exchange Act of 1934

(Amendment No.      )

 

Filed by the Registrant x

Filed by a Party other than the Registrant ¨

Check the appropriate box: 

¨Preliminary Proxy Statement
¨Confidential, for Use of the Commission Only (as permitted by Rule 14a-6(e) (2))
¨Definitive Proxy Statement

xDefinitive Additional Materials
¨Soliciting Material Pursuant to Section 240.14a-11(c) or Section 240.14a-12

 

LORDSTOWN MOTORS CORP. 

(Name of Registrant as Specified in its Charter)

 

(Name of Person(s) Filing Proxy Statement, if other than the Registrant)

 

Payment of Filing Fee (Check the appropriate box):

xNo fee required.

¨Fee paid previously with preliminary materials.

¨Fee computed on table in exhibit required by Item 25(b) per Exchange Act Rules 14a6(i)(1) and 0-11.

 

 

 

 

 

GRAPHIC

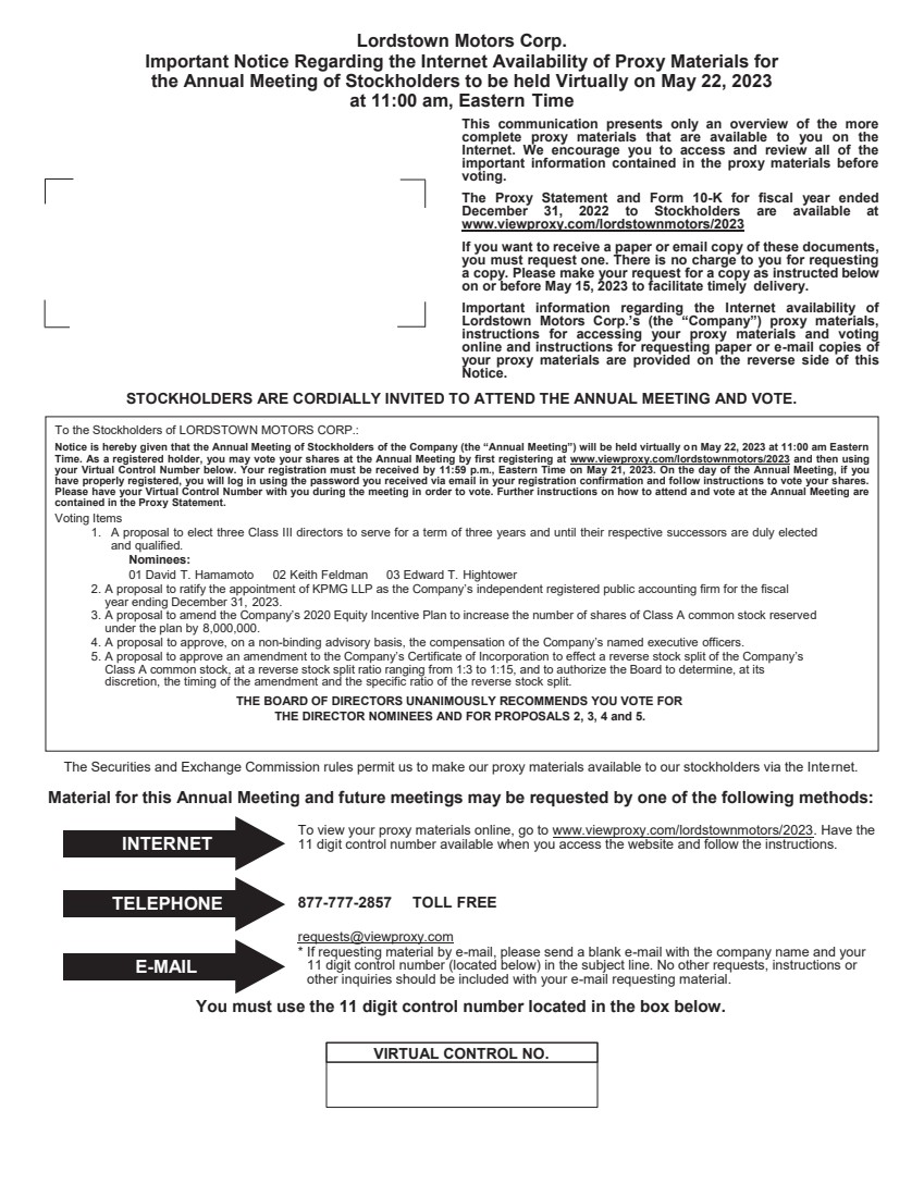
Lordstown Motors Corp. Important Notice Regarding the Internet Availability of Proxy Materials for the Annual Meeting of Stockholders to be held Virtually on May 22, 2023 at 11:00 am, Eastern Time This communication presents only an overview of the more complete proxy materials that are available to you on the Internet. We encourage you to access and review all of the important information contained in the proxy materials before voting. The Proxy Statement and Form 10-K for fiscal year ended December 31, 2022 to Stockholders are available at www.viewproxy.com/lordstownmotors/2023 If you want to receive a paper or email copy of these documents, you must request one. There is no charge to you for requesting a copy. Please make your request for a copy as instructed below on or before May 15, 2023 to facilitate timely delivery. Important information regarding the Internet availability of Lordstown Motors Corp.’s (the “Company”) proxy materials, instructions for accessing your proxy materials and voting online and instructions for requesting paper or e-mail copies of your proxy materials are provided on the reverse side of this Notice. STOCKHOLDERS ARE CORDIALLY INVITED TO ATTEND THE ANNUAL MEETING AND VOTE. The Securities and Exchange Commission rules permit us to make our proxy materials available to our stockholders via the Internet. Material for this Annual Meeting and future meetings may be requested by one of the following methods: To view your proxy materials online, go to www.viewproxy.com/lordstownmotors/2023. Have the 11 digit control number available when you access the website and follow the instructions. 877-777-2857 TOLL FREE requests@viewproxy.com * If requesting material by e-mail, please send a blank e-mail with the company name and your 11 digit control number (located below) in the subject line. No other requests, instructions or other inquiries should be included with your e-mail requesting material. You must use the 11 digit control number located in the box below. To the Stockholders of LORDSTOWN MOTORS CORP.: Notice is hereby given that the Annual Meeting of Stockholders of the Company (the “Annual Meeting”) will be held virtually on May 22, 2023 at 11:00 am Eastern Time. As a registered holder, you may vote your shares at the Annual Meeting by first registering at www.viewproxy.com/lordstownmotors/2023 and then using your Virtual Control Number below. Your registration must be received by 11:59 p.m., Eastern Time on May 21, 2023. On the day of the Annual Meeting, if you have properly registered, you will log in using the password you received via email in your registration confirmation and follow instructions to vote your shares. Please have your Virtual Control Number with you during the meeting in order to vote. Further instructions on how to attend and vote at the Annual Meeting are contained in the Proxy Statement. Voting Items 1. A proposal to elect three Class III directors to serve for a term of three years and until their respective successors are duly elected and qualified. Nominees: 01 David T. Hamamoto 02 Keith Feldman 03 Edward T. Hightower 2. A proposal to ratify the appointment of KPMG LLP as the Company’s independent registered public accounting firm for the fiscal year ending December 31, 2023. 3. A proposal to amend the Company’s 2020 Equity Incentive Plan to increase the number of shares of Class A common stock reserved under the plan by 8,000,000. 4. A proposal to approve, on a non-binding advisory basis, the compensation of the Company’s named executive officers. 5. A proposal to approve an amendment to the Company’s Certificate of Incorporation to effect a reverse stock split of the Company’s Class A common stock, at a reverse stock split ratio ranging from 1:3 to 1:15, and to authorize the Board to determine, at its discretion, the timing of the amendment and the specific ratio of the reverse stock split. THE BOARD OF DIRECTORS UNANIMOUSLY RECOMMENDS YOU VOTE FOR THE DIRECTOR NOMINEES AND FOR PROPOSALS 2, 3, 4 and 5. VIRTUAL CONTROL NO. INTERNET TELEPHONE E-MAIL

GRAPHIC

Lordstown Motors Corp. The following proxy materials are available for you to review at: www.viewproxy.com/lordstownmotors/2023 • Form 10-K for fiscal year ended December 31, 2023 • Proxy Statement ACCESSING YOUR PROXY MATERIALS ONLINE Have this notice available when you request a paper copy of the proxy materials or to vote your proxy electronically. You must reference your control number to vote by internet or request a hard copy. You May Vote Your Proxy When You View The Material On The Internet. You Will Be Asked To Follow The Prompts To Vote Your Shares. Your electronic vote authorizes the named proxies to vote your shares in the same manner as if you marked, signed, dated and returned the proxy card. Internet and telephone voting is available through 11:59 P.M., Eastern Time, on May 21, 2023. REQUESTING A PAPER COPY OF THE PROXY MATERIALS By telephone please call 1-877-777-2857 toll free or By logging onto www.viewproxy.com/lordstownmotors/2023 or By email at: requests@viewproxy.com Please include the company name and your control number in the subject line.