Please wait
Exhibit 10.20


 


 


 


 


 


 


 


 
THE NONQUALIFIED DEFERRED COMPENSATION PLAN PLAN DOCUMENT


 
2 DD2326-10 THE NONQUALIFIED DEFERRED COMPENSATION PLAN Section 1. Purpose By execution of the Adoption Agreement, the Company has adopted the Plan set forth herein, and in the Adoption Agreement, to provide a means by which certain management Employees or Independent Contractors of the Employer may elect to defer receipt of current Compensation from the Employer in order to provide retirement and other benefits on behalf of such Employees or Independent Contractors of the Employer, as selected in the Adoption Agreement. The Plan is intended to be a nonqualified deferred compensation plan that complies with the provisions of Section 409A of the Internal Revenue Code (the "Code"). The Plan is also intended to be an unfunded plan maintained primarily for the purpose of providing deferred compensation benefits for a select group of management or highly compensated employees under Sections 201(2), 301(a)(3) and 401(a)(l) of the Employee Retirement Income Security Act of 1974 (“ERISA”) or independent contractors. Notwithstanding any other provision of this Plan, this Plan shall be interpreted, operated and administered in a manner consistent with these intentions. Section 2. Definitions 2.0 “401(k) Refund Offset” means a deferral of the Participant’s base salary equal to the gross amount of a 401(k)-refund caused by Average Deferral Percentage (ADP) testing failures in the qualified plan. The 401(k) refund itself shall be paid to the Participant from the 401(k) plan and reported on Form 1099-R. This deferral shall not apply to Roth 401(k) refunds or any other refund not generated due to failed testing.


 
3 DD2326-10 2.1 "Active Participant" means, with respect to any day or date, a Participant who is in Service on such day or date; provided, that a Participant shall cease to be an Active Participant (i) immediately upon a determination by the Committee that the Participant has ceased to be an Employee or Independent Contractor, or (ii) at the end of the Plan Year that the committee determines the Participant no longer meets the eligibility requirements of the Plan. 2.2 "Adoption Agreement" means the written agreement pursuant to which the Company adopts the Plan. The Adoption Agreement is a part of the Plan as applied to the Company. 2.3 "Beneficiary" means the person, persons, entity or entities designated or determined pursuant to the provisions of Section 13 of the Plan. 2.4 "Board" means the Board of Directors of the Company, if the Company is a corporation. If the Company is not a corporation, "Board" shall mean the Company. 2.5 "Change in Control Event" means an event described in Section 409A(a)(2)(A)(v) of the Code (or any successor provision thereto) and the regulations thereunder. 2.6 "Committee" means the Employer, an administrative committee appointed by the Board to serve at the pleasure of the Board, the Board itself, any other person or persons as determined in the Employer’s discretion, or any other person or persons noted in the Adoption Agreement. The Recordkeeper is not the Committee. 2.7 "Company" means the company designated in the Adoption Agreement. 2.8 "Compensation" shall have the meaning designated in the Adoption Agreement. 2.9 "Crediting Date" means the date any corresponding asset payment used to informally finance the Plan, if applicable, is credited to the Employer’s corporate owned


 
4 DD2326-10 investment account or any other day directed by the Employer.  Otherwise, all Credits shall be credited on any business day as specified by the Employer. 2.10 "Deferred Compensation Account" means the account maintained with respect to each Participant under the Plan. The Deferred Compensation Account shall be credited with Participant Deferral Credits and Employer Credits, credited or debited for deemed investment gains or losses, and adjusted for payments in accordance with the rules and elections in effect under Section 8. As permitted in the Adoption Agreement, the Deferred Compensation Account of a Participant may consist of one or more accounts. A Participant may elect payment options for each account as described in Section 7.1 and deemed investments for each account as described in Section 8.2. 2.11 "Disabled or Disability" means Disabled or Disability within the meaning of Section 409A of the Code and the regulations thereunder. Generally, this means that the Participant is unable to engage in any substantial gainful activity by reason of any medically determinable physical or mental impairment which can be expected to result in death or can be expected to last for a continuous period of not less than 12 months, or is, by reason of any medically determinable physical or mental impairment which can be expected to result in death or can be expected to last for a continuous period of not less than 12 months, receiving income replacement benefits for a period of not less than three months under an accident and health plan covering Employees of the Employer. 2.12 “Education Account” is an In-Service Account which will be used by the Participant for educational purposes. 2.13 "Effective Date" shall be the date designated in the Adoption Agreement.


 
5 DD2326-10 2.14 "Employee" means an individual in the Service of the Employer if the relationship between the individual and the Employer is the legal relationship of employer and employee. An individual shall cease to be an Employee upon the Employee's Separation from Service. 2.15 "Employer" means the Company, as identified in the Adoption Agreement, and any Participating Employer which adopts this Plan. An Employer may be a corporation, a limited liability company, a partnership or sole proprietorship. 2.16 "Employer Credits" means the amounts credited to the Participant's Deferred Compensation Account by the Employer pursuant to the provisions of Section 4.2. 2.17 "Grandfathered Amounts" means, if applicable, the amounts that were deferred under the Plan and were earned and vested within the meaning of Section 409A of the Code and regulations thereunder as of December 31, 2004. Grandfathered Amounts shall be subject to the terms designated in the Plan which were in effect as of October 3, 2004. 2.18 "Independent Contractor" means an individual in the Service of the Employer if the relationship between the individual and the Employer is not the legal relationship of employer and employee. An individual shall cease to be an Independent Contractor upon the termination of the Independent Contractor's Service. An Independent Contractor shall include a director of the Employer who is not an Employee. 2.19 "In-Service Account" means a separate account to be kept for each Participant that has elected to take in-service distributions as described in Section 5.4. The In-Service Account shall be adjusted in the same manner and at the same time as the Deferred Compensation Account under Section 8 and in accordance with the rules and elections in effect under Section 8. 2.20 "Normal Retirement Age", which may also be called “Full Vesting Age”, of a Participant means the age designated in the Adoption Agreement.


 
6 DD2326-10 2.21 "Participant" means with respect to any Plan Year an Employee or Independent Contractor who has been designated by the Committee as a Participant and who has entered the Plan or who has a Deferred Compensation Account under the Plan; provided that if the Participant is an Employee, the individual must be a member of a select group of management or highly compensated employee of the Employer within the meaning of Sections 201(2), 301(a)(3) and 401(a)(1) of ERISA. 2.22 "Participant Deferral Credits" means the amounts credited to the Participant's Deferred Compensation Account by the Employer pursuant to the provisions of Section 4.1. 2.23 "Participating Employer" means any trade or business (whether or not incorporated) which adopts this Plan with the consent of the Company identified in the Adoption Agreement. 2.24 "Participation Agreement" means a written agreement, including electronic submissions by the Participant or at the Participant’s direction, entered into between a Participant and the Employer pursuant to the provisions of Section 4.1 2.25 "Performance-Based Compensation" means compensation where the amount of, or entitlement to, the compensation is contingent on the satisfaction of preestablished organizational or individual performance criteria relating to a performance period of at least twelve months. Organizational or individual performance criteria are considered preestablished if established in writing within 90 days after the commencement of the period of service to which the criteria relates, provided that the outcome is substantially uncertain at the time the criteria are established. Performance-based compensation may include payments based upon subjective performance criteria as provided in regulations and administrative guidance promulgated under Section 409A of the Code.


 
7 DD2326-10 2.26 "Plan" means the name of the Plan as designated in the Adoption Agreement. 2.27 "Plan-Approved Domestic Relations Order" shall mean a judgment, decree, or order (including the approval of a settlement agreement) which is: 2.27.1 Issued pursuant to a State's domestic relations law; 2.27.2 Relates to the provision of child support, alimony payments or marital property rights to a Spouse, former Spouse, child or other dependent of the Participant; 2.27.3 Creates or recognizes the right of a Spouse, former Spouse, child or other dependent of the Participant to receive all or a portion of the Participant's benefits under the Plan; 2.27.4 Requires payment to such person of an interest in the Participant's benefits in a lump sum payment or any other form of payment allowed under the Plan at a specific time; and 2.27.5 Meets such other requirements established by the Committee. 2.28 "Plan Year" means the twelve-month period ending on the last day of December, unless otherwise noted in the Adoption Agreement, provided, that the initial Plan Year may have fewer than twelve months. 2.28.1 “Recordkeeper” means the individual or entity responsible for keeping records of Plan activity including the tracking of Participant Deferred Compensation Account balances. As to applicable tax and regulatory rules, the actions of the Recordkeeper are limited to executing the decisions and directions of the Committee. The Recordkeeper does not make plan administration decisions. 2.29 "Qualifying Distribution Event" means (i) the Separation from Service of the Participant, (ii) the date the Participant becomes Disabled, (iii) the death of the Participant, (iv) the time specified by the Participant for an In-Service Distribution, (v) a Change in Control Event, or (vi) an Unforeseeable Emergency, each to the extent provided in Section 5.


 
8 DD2326-10 2.30 "Seniority Date" which may also be called “Installment Eligibility Date” shall have the meaning designated in the Adoption Agreement and shall apply to both the initial deferral election described in Section 4 and the Subsequent deferral election described in Section 7.5. 2.31 "Separation from Service" or "Separates from Service" means a "separation from service" within the meaning of Section 409A of the Code. 2.32 "Service" as an Employee means employment by the Employer. For purposes of the Plan, the employment relationship is treated as continuing intact while the Employee is on military leave, sick leave, or other bona fide leave of absence if the period of such leave does not exceed six months, or if longer, so long as the Employee's right to reemployment is provided either by statute or contract. If the Participant is an Independent Contractor, "Service" shall mean the period during which the contractual relationship exists between the Employer and the Participant. The contractual relationship is not terminated if the Participant anticipates a renewal of the contract or becomes an Employee. A Participant who has a Deferred Compensation Account which contains amounts deferred or contributed as an Employee and a member of the Board (Dual Status), Services performed in those capacities will be looked at independently when determining if a Separation from Service has occurred. Services as a member of the Board and Independent Contractor (in a capacity not on the Board) will be looked at collectively when determining if a Separation from Service has occurred. 2.33 "Service Bonus" means any bonus that does not meet the definition of Performance-Based Compensation that is paid to a Participant by the Employer as noted in the Adoption Agreement. 2.34 "Specified Employee" means an Employee who meets the requirements for key employee treatment under Section 416(i)(l)(A)(i), (ii) or (iii) of the Code (applied in accordance


 
9 DD2326-10 with the regulations thereunder and without regard to Section 416(i)(5) of the Code) at any time during the twelve month period ending on December 31 of each year (the "identification date"). If the person is a key employee as of any identification date, the person is treated as a Specified Employee for the twelve-month period beginning on the first day of the fourth month following the identification date. Unless binding corporate action is taken to establish different rules for determining Specified Employees for all plans of the Company and its controlled group members that are subject to Section 409A of the Code, the foregoing rules and the other default rules under the regulations of Section 409A of the Code shall apply. 2.35 "Spouse" or ''Surviving Spouse" means, except as otherwise provided in the Plan, a person who is the legally married spouse or surviving spouse of a Participant. 2.36 "Unforeseeable Emergency" means an "unforeseeable emergency" within the meaning of Section 409A of the Code. 2.37 "Years of Service" means each Plan Year of Service completed by the Participant. For vesting purposes, Years of Service shall be calculated from the date designated in the Adoption Agreement and Service shall be based on service with the Company and all Participating Employers. Section 3. Participation The Committee in its discretion shall designate each Employee or Independent Contractor who is eligible to participate in the Plan. A Participant who Separates from Service with the Employer and who later returns to Service may be eligible consistent with Section 409A of the Code and upon satisfaction of such terms and conditions as the Committee shall establish.


 
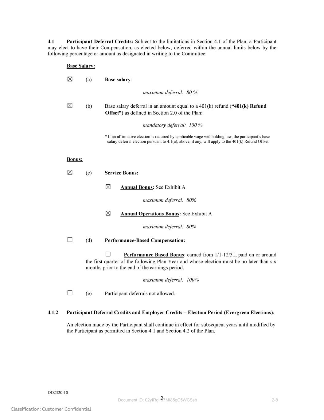
10 DD2326-10 Section 4. Credits to Deferred Compensation Account 4.1 Participant Deferral Credits. To the extent provided in the Adoption Agreement, each Active Participant may elect, by entering into a Participation Agreement with the Employer, to defer the receipt of Compensation from the Employer by a dollar amount or percentage specified in the Participation Agreement. The amount of Compensation the Participant elects to defer, the Participant Deferral Credit, shall be credited by the Employer to the Deferred Compensation Account maintained for the Participant pursuant to Section 8. The following special provisions shall apply with respect to the Participant Deferral Credits of a Participant: 4.1.1 The Employer shall credit to the Participant's Deferred Compensation Account on each Crediting Date an amount equal to the total Participant Deferral Credit for the period ending on such Crediting Date. 4.1.2 An election pursuant to this Section 4.1 shall be made by the Participant by executing and delivering a Participation Agreement to the Committee. Except as otherwise provided in this Section 4.1, the Participation Agreement shall become effective with respect to such Participant as of the first day of January following the date such Participation Agreement is received by the Committee. A Participant's election may be changed at any time prior to the last permissible date for making the election as permitted in this Section 4.1, and shall thereafter be irrevocable. Any election of a Participant shall continue in effect for the time period as set forth in the Adoption Agreement. 4.1.3 A Participant may execute and deliver a Participation Agreement to the Committee within 30 days after the date the Participant first becomes eligible to participate in the Plan. After the 30-day period expires, or after any shorter time period as agreed to by the Participant and the Committee, the latest election made by the Participant during that period becomes irrevocable. Such election shall then be effective as of the first payroll period commencing following the date the Participation Agreement becomes irrevocable. Whether a Participant is treated as newly eligible for participation under this Section shall be determined in accordance with Section 409A of the Code and the regulations thereunder, including (i) rules that treat all elective deferral account balance plans as one plan, and (ii) rules that treat a previously eligible Employee as newly eligible if the Participant’s benefits had been previously distributed or if the Participant has been ineligible for 24 months. For Compensation that is earned based upon a specified


 
11 DD2326-10 performance period (for example, an annual bonus), where a deferral election is made under this Section but after the beginning of the performance period, the election will only apply to the portion of the Compensation equal to the total amount of the Compensation for the service period multiplied by the ratio of the number of days remaining in the performance period after the date the election becomes irrevocable over the total number of days in the performance period. 4.1.4 A Participant may unilaterally modify a Participation Agreement (either to terminate, increase or decrease future Compensation which is subject to deferral within the percentage limits set forth in Section 4.1 of the Adoption Agreement) by providing a written modification of the Participation Agreement to the Committee. The modification shall become effective as of the first day of January following the date such written modification is received by the Committee, or at such later date as required under Section 409A of the Code. 4.1.5 If the Participant performed services continuously from the later of the beginning of the performance period or the date upon which the performance criteria are established through the date upon which the Participant makes an initial deferral election, a Participation Agreement relating to the deferral of Performance- Based Compensation may be executed and delivered to the Committee no later than the date which is 6 months prior to the end of the performance period, provided that in no event may an election to defer Performance-Based Compensation be made after such Compensation has become readily ascertainable. 4.1.6 If the Employer has a fiscal year other than the calendar year, Compensation relating to Service in the fiscal year of the Employer (such as a bonus based on the fiscal year of the Employer), of which no amount is paid or payable during the fiscal year, may be deferred at the Participant's election if the election to defer is made not later than the close of the Employer's fiscal year next preceding the first fiscal year in which the Participant performs any services for which such Compensation is payable. 4.1.7 Compensation payable after the last day of the Participant's taxable year solely for services provided during the final payroll period containing the last day of the Participant's taxable year (i.e., generally December 31) is treated for purposes of this Section 4.1 as Compensation for services performed in the subsequent taxable year. 4.1.8 The Committee may from time to time establish policies or rules consistent with the requirements of Section 409A of the Code to govern the manner in which Participant Deferral Credits may be made. 4.1.9 If a Participant becomes Disabled, all currently effective deferral elections for such Participant shall be cancelled. At the time the participant is no longer Disabled, subsequent elections to defer future compensation will be permitted under this Section 4.


 
12 DD2326-10 4.1.10 If a Participant applies for and receives a distribution on account of an Unforeseeable Emergency, all currently effective deferral elections for such Participant shall be cancelled. Subsequent elections to defer future compensation will be permitted under this Section 4. Furthermore, a Participant may apply to the Committee to cancel all deferral elections due to an Unforeseeable Emergency. 4.2 Employer Credits. If designated by the Employer in the Adoption Agreement, the Employer shall cause the Committee to credit to the Deferred Compensation Account of each Active Participant an Employer Credit as determined in accordance with the Adoption Agreement. A Participant must make distribution elections with respect to any Employer Credits credited to the Deferred Compensation Account by the deadline that would apply under Section 4.1 for distribution elections with respect to Participant Deferral Credits credited at the same time, on a Participation Agreement that is timely executed and delivered to the Committee pursuant to Section 4.1. If no distribution election is made, vested amounts in the Deferred Compensation Account will be distributed in a lump sum upon the earliest of any Qualifying Distribution Event limited to Separation from Service, Disability, Death or Change in Control. 4.3. Deferred Compensation Account. All Participant Deferral Credits and Employer Credits shall be credited to the Deferred Compensation Account of the Participant as provided in Section 8. Section 5. Qualifying Distribution Events 5.1 Separation from Service. If the Participant Separates from Service with the Employer, the vested balance in the Deferred Compensation Account shall be paid to the Participant by the Employer as provided in Section 7. Notwithstanding the foregoing, no distribution shall be made earlier than six months after the date of Separation from Service


 
13 DD2326-10 (or, if earlier, the date of death) with respect to a Participant who as of the date of Separation from Service is a Specified Employee of a corporation (or a member of such corporation's controlled group) the stock in which is traded on an established securities market (either foreign or domestic) or otherwise. Any payments to which such Specified Employee would be entitled during the first six months following the date of Separation from Service shall be accumulated and paid on the first day of the seventh month following the date of Separation from Service, and shall be adjusted for deemed investment gain and loss incurred during the six month period. 5.2 Disability. If the Employer designates in the Adoption Agreement that distributions are permitted under the Plan when a Participant becomes Disabled, and the Participant becomes Disabled while in Service, the vested balance in the Deferred Compensation Account shall be paid to the Participant by the Employer as provided in Section 7. 5.3 Death. If the Participant dies while in Service, the Employer shall pay a benefit to the Participant's Beneficiary in the amount of the vested balance in the Deferred Compensation Account and any additional amount designated in the Adoption Agreement. Payment of such benefit shall be made by the Employer as provided in Section 7. 5.4 In-Service Distributions. If the Employer designates in the Adoption Agreement that in-service distributions are permitted under the Plan, a Participant may designate in the Participation Agreement to have a specified amount credited to the Participant's In-Service Account for in-service distributions at the date specified by the Participant. In no event may an in- service distribution of an amount be made before the date that is two years after the first day of the year in which any deferral election to such In-Service Account became effective. Notwithstanding the foregoing, if a Participant incurs a Qualifying Distribution Event prior to the date on which the entire balance in the In-Service Account has been distributed, then the vested


 
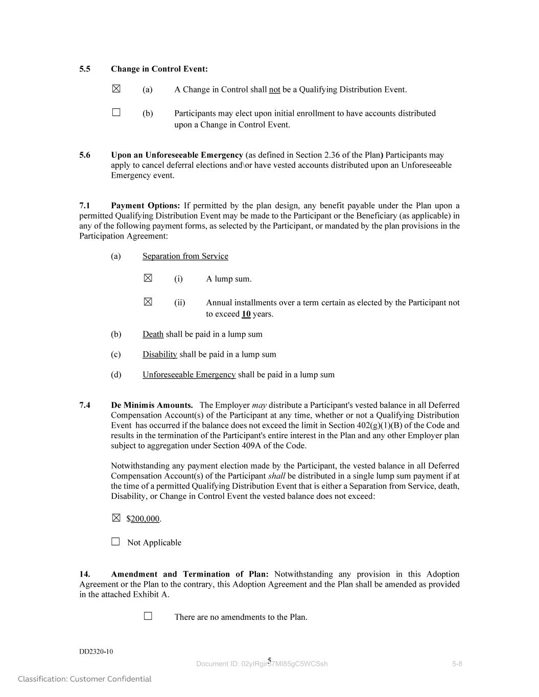
14 DD2326-10 balance in the In-Service Account on the date of the Qualifying Distribution Event shall be paid as provided under Section 7.1 for payments on such Qualifying Distribution Event. 5.5 Change in Control Event. If the Employer designates in the Adoption Agreement that distributions are permitted under the Plan upon the occurrence of a Change in Control Event, the Participant may designate in the Participation Agreement to have the vested balance in the Deferred Compensation Account paid to the Participant upon a Change in Control Event by the Employer as provided in Section 7. 5.6 Unforeseeable Emergency. If the Employer designates in the Adoption Agreement that distributions are permitted under the Plan upon the occurrence of an Unforeseeable Emergency event, a distribution from the Deferred Compensation Account may be made to a Participant in the event of an Unforeseeable Emergency, subject to the following provisions: 5.6.1 A Participant may, make an application to the Committee to cancel all active deferral elections or to cancel deferral elections and receive a distribution in a lump sum of all or a portion of the vested balance in the Deferred Compensation Account (determined as of the date the distribution, if any, is made under this Section 5.6) because of an Unforeseeable Emergency. A distribution because of an Unforeseeable Emergency shall not exceed the amount required to satisfy the Unforeseeable Emergency plus amounts necessary to pay taxes reasonably anticipated as a result of such distribution, after taking into account the extent to which the Unforeseeable Emergency may be relieved through reimbursement or compensation by insurance or otherwise or by liquidation of the Participant's assets (to the extent the liquidation of such assets would not itself cause severe financial hardship) or by stopping current deferrals under the Plan pursuant to Section 4.1.10. 5.6.2 The Participant's request for a distribution on account of Unforeseeable Emergency must be made in writing to the Committee. The request must specify the nature of the financial hardship, the total amount requested to be distributed from the Deferred Compensation Account, and the total amount of the actual expense incurred or to be incurred on account of the Unforeseeable Emergency. 5.6.3 If a cancellation of deferral elections is approved, such cancellation will be effective as soon as practicable. If a distribution under this Section 5.6 is approved by the Committee, such distribution will be made as soon as practicable following


 
15 DD2326-10 the date it is approved. The processing of the request shall be completed as soon as practicable from the date on which the Committee receives the properly completed written request for a distribution on account of an Unforeseeable Emergency. If a Participant's Separation from Service occurs after a request is approved in accordance with this Section 5.6.3, but prior to distribution of the full amount approved, the approval of the request shall be automatically null and void and the benefits which the Participant is entitled to receive under the Plan shall be distributed in accordance with the applicable distribution provisions of the Plan. 5.6.4 The Committee may from time to time adopt additional policies or rules consistent with the requirements of Section 409A of the Code to govern the manner in which such distributions may be made so that the Plan may be conveniently administered. Section 6. Vesting A Participant shall be fully vested in the portion of the Deferred Compensation Account attributable to Participant Deferral Credits, and all income, gains and losses attributable thereto. A Participant shall become fully vested in the portion of the Deferred Compensation Account attributable to Employer Credits, and income, gains and losses attributable thereto, in accordance with the vesting schedule and provisions designated by the Employer in the Adoption Agreement. Once a Participant achieves vesting on an Employer Credit, it cannot be reduced or eliminated. If Change in Control was elected as a vesting event in the Adoption Agreement, participants accounts shall be fully vested upon a Change in Control, however new vesting schedules may be applied to future Employer Credits. If a Participant's Deferred Compensation Account is not fully vested upon Separation from Service, the portion of the Deferred Compensation Account that is not fully vested shall be forfeited.


 
16 DD2326-10 Section 7. Distribution Rules 7.1 Payment Options. The Employer shall designate in the Adoption Agreement the payment options which may be elected by the Participant. The Participant may at such time elect a method of payment for Qualifying Distribution Events as specified in the Adoption Agreement. If the Participant is permitted by the Employer in the Adoption Agreement to elect different payment options and does not make a valid election, the vested balance in the Deferred Compensation Account will be distributed as a lump sum upon the Qualifying Distribution Event. Notwithstanding the foregoing, if certain Qualifying Distribution Events occur prior to the date on which the vested balance of a Participant's Deferred Compensation Account is completely paid pursuant to this Section 7.1 following the occurrence of certain Qualifying Distribution Events, the following rules apply: 7.1.1 If the currently effective Qualifying Distribution Event is a Separation from Service or Disability, and the Participant subsequently dies, the remaining unpaid vested balance of a Participant's Deferred Compensation Account shall be paid as a lump sum. 7.1.2 If the currently effective Qualifying Distribution Event is a Change in Control Event, and any subsequent Qualifying Distribution Event occurs (except an In-Service Distribution described in Section 2.29(iv)), the remaining unpaid vested balance of a Participant's Deferred Compensation Account shall be paid as provided under Section 7.1 for payments on such subsequent Qualifying Distribution Event. 7.2 Timing of Payments. Payment shall be made in the manner elected by the Participant and shall commence as soon as practicable after the distribution date specified for the Qualifying Distribution Event. Distribution shall be no later than within 60 days following the day after the Qualifying Distribution Event. Such payment shall not be deemed late if the payment is made on or before the later of (i) December 31 of the calendar year in which the Qualifying Distribution Event occurs, or (ii) the date that is 2-1/2 months after the Qualifying Distribution


 
17 DD2326-10 Event occurs. Participants shall not have any influence as to the tax year or timing of the distribution. For each payment, the Committee must specify a date for the Deferred Compensation Account(s) to be valued. In the event the Participant fails to make a valid election of the payment method, the distribution will be made in a single lump sum payment as soon as practicable after the Qualifying Distribution Event. A payment may be further delayed to the extent permitted in accordance with regulations and guidance under Section 409A of the Code. 7.3 Installment Payments. If the Participant elects to receive installment payments upon a Qualifying Distribution Event, the payment of each installment shall be made on the anniversary of the date of the first installment payment, and the amount of the installment shall be adjusted on such anniversary for credits or debits to the Participant's account pursuant to Section 8 of the Plan. Such adjustment shall be made by dividing the balance in the Deferred Compensation Account on such date by the number of installments remaining to be paid hereunder; provided that the last installment due under the Plan shall be the entire amount credited to the Participant's account on the date of payment. 7.4 De Minimis Amounts. Notwithstanding any payment election made by the Participant, if the Employer designates a pre-determined de minimis amount in the Adoption Agreement, the vested balance in all Deferred Compensation Accounts of the Participant will be distributed in a single lump sum payment if at the time of a permitted Qualifying Distribution Event the vested balance does not exceed such pre-determined de minimis amount; provided, however, that such distribution will be made only where the Qualifying Distribution Event is a Separation from Service, death, Disability, or Change in Control Event. In addition, the Employer may distribute a Participant's vested balance in all of the Participant’s Deferred Compensation Accounts at any time if the balance does not exceed the limit in Section 402(g)(1)(B) of the Code


 
18 DD2326-10 and results in the termination of the Participant's entire interest in the Plan as provided under Section 409A of the Code. 7.5 Subsequent Elections. With the consent of the Committee, a Participant may delay or change the method of payment of the Deferred Compensation Account subject to the following requirements: 7.5.1 The new election may not take effect until at least 12 months after the date on which the new election is made. 7.5.2 If the new election relates to a payment for a Qualifying Distribution Event other than the death of the Participant, the Participant becoming Disabled, or an Unforeseeable Emergency, the new election must provide for the deferral of the payment for a period of at least five years from the date such payment would otherwise have been made. 7.5.3 If the new election relates to a payment from the In-Service Account, the new election must be made at least 12 months prior to the date of the first scheduled payment from such account. For purposes of this Section 7.5 and Section 7.6, a payment is each separately identified amount to which the Participant is entitled under the Plan; provided, that entitlement to a series of installment payments is treated as the entitlement to a single payment. 7.6 Acceleration Prohibited. The acceleration of the time or schedule of any payment due under the Plan is prohibited except as expressly provided in regulations and administrative guidance promulgated under Section 409A of the Code (such as accelerations for domestic relations orders and employment taxes). It is not an acceleration of the time or schedule of payment if the Employer waives or accelerates the vesting requirements applicable to a benefit under the Plan. 7.7 Residual Distributions. If calculation of the amount of any credit to a Participant’s Deferred Compensation Account is not administratively practicable due to events beyond the


 
19 DD2326-10 control of the Employer, payments may be made to the Participant for residual amounts contributed to or remaining in a Deferred Compensation Account after payments under the provisions of this Section 7 have commenced or been completed. The residual amount shall be credited to the Deferred Compensation Account when the calculation of the amount becomes administratively practicable. Examples of residual amounts include, but are not limited to, additional investment returns credited after payment (due to dividends or pricing changes) or additional contributions made after payment (such as an annual bonus deferral or an Employer Credit). Payments that would have been made had the residual amount been calculable at the benefit commencement date shall be made up as soon as practicable after crediting to the Deferred Compensation Account, in no case later than the end of the year in which calculation of the amount becomes administratively practicable. 7.8 Ineffective Deferrals. If a Participant deferral election under Section 4 to contribute to an In-Service Account carries over to a subsequent year (an evergreen election) and the deferral election is ineffective (i.e., the distribution election would cause payment in the current or prior years), the amount deferred will be credited to a Deferred Compensation Account that is not an In-Service Account. If the Participant only has one account of this type, the amount deferred will be credited to that account. If the Participant has multiple accounts of this type, and one of the accounts has a lump sum at Separation from Service distribution election, the amount deferred will be credited to that account. If the Participant has multiple accounts of this type and does not have an account with a lump sum at Separation from Service distribution election, one will be established with a lump sum at Separation from Service distribution election and the amount deferred will be credited to this account.


 
20 DD2326-10 Section 8. Accounts; Deemed Investment; Adjustments to Account 8.1 Accounts. The Committee shall establish a book reserve account, entitled the "Deferred Compensation Account," on behalf of each Participant. The Committee shall also establish an In-Service Account as a part of the Deferred Compensation Account of each Participant, if applicable. The amount credited to the Deferred Compensation Account shall be adjusted pursuant to the provisions of Section 8.3. 8.2 Deemed Investments. The Deferred Compensation Account of a Participant shall be credited with an investment return determined as if the account were invested in one or more investment funds made available by the Committee. The Participant shall elect the investment funds in which the Participant’s Deferred Compensation Account shall be deemed to be invested. Such election shall be made in the manner prescribed by the Committee and shall take effect upon the entry of the Participant into the Plan. The investment election of the Participant shall remain in effect until a new election is made by the Participant. In the event the Participant fails for any reason to make an effective election of the investment return to be credited to the account, the investment return shall be determined by the Committee. 8.3 Adjustments to Deferred Compensation Account. With respect to each Participant who has a Deferred Compensation Account under the Plan, the amount credited to such account shall be adjusted by the following debits and credits, at the times and in the order stated: 8.3.1 The Deferred Compensation Account shall be debited each business day with the total amount of any payments made from such account since the last preceding business day. Unless otherwise specified by the Employer, each deemed investment fund will be debited pro-rata based on the value of the investment funds as of the end of the preceding business day. 8.3.2 The Deferred Compensation Account shall be credited on each Crediting Date with the total amount of any Participant Deferral Credits and Employer Credits to such account since the last preceding Crediting Date.


 
21 DD2326-10 8.3.3 The Deferred Compensation Account shall be credited or debited on each day securities are traded on a national stock exchange with the amount of deemed investment gain or loss resulting from the performance of the deemed investment funds elected by the Participant in accordance with Section 8.2. The amount of such deemed investment gain or loss shall be determined by the Committee and such determination shall be final and conclusive upon all concerned. Section 9. Administration by Committee 9.1 Membership of Committee. If the Committee consists of individuals appointed by the Board, they will serve at the pleasure of the Board. Any member of the Committee may resign, and any successor shall be appointed by the Board. 9.2 General Administration. The Committee shall be responsible for the operation and administration of the Plan and for carrying out its provisions. The Committee shall have the full authority and discretion to make, amend, interpret, and enforce all appropriate rules and regulations for the administration of this Plan and decide or resolve any and all questions, including interpretations of this Plan, as may arise in connection with this Plan. Any such action taken by the Committee shall be final and conclusive on any party. To the extent the Committee has been granted discretionary authority under the Plan, the Committee’s prior exercise of such authority shall not obligate it to exercise its authority in a like fashion thereafter. The Committee shall be entitled to rely conclusively upon all tables, valuations, certificates, opinions and reports furnished by any actuary, accountant, controller, counsel or other person employed or engaged by the Employer with respect to the Plan. The Committee may, from time to time, employ agents and delegate to such agents, including Employees of the Employer, such administrative or other duties as it sees fit. 9.3 Indemnification. To the extent not covered by insurance, the Employer shall


 
22 DD2326-10 indemnify the Committee, each Employee, officer, director, and agent of the Employer, and all persons formerly serving in such capacities, against any and all liabilities or expenses, including all legal fees relating thereto, arising in connection with the exercise of duties and responsibilities with respect to the Plan, provided however that the Employer shall not indemnify any person for liabilities or expenses due to that person’s own gross negligence or willful misconduct. Section 10. Contractual Liability, Trust 10.1 Contractual Liability. Unless otherwise elected in the Adoption Agreement, the Company shall be obligated to make all payments hereunder. This obligation shall constitute a contractual liability of the Company to the Participants, and such payments shall be made from the general funds of the Company. The Company shall not be required to establish or maintain any special or separate fund, or otherwise to segregate assets to assure that such payments shall be made, and the Participants shall not have any interest in any particular assets of the Company by reason of its obligations hereunder. To the extent that any person acquires a right to receive payment from the Company under the Plan, such right shall be no greater than the right of an unsecured creditor of the Company. 10.2 Trust. The Employer may establish a trust to assist it in meeting its obligations under the Plan. Any such trust shall conform to the requirements of a grantor trust under Revenue Procedures 92-64 and 92-65 and at all times during the continuance of the trust the principal and income of the trust shall be subject to claims of general creditors of the Employer under federal and state law. The establishment of such a trust would not be intended to cause Participants to realize current income on amounts contributed thereto, and the trust would be so interpreted and administered.


 
23 DD2326-10 Section 11. Allocation of Responsibilities The persons responsible for the Plan and the duties and responsibilities allocated to each are as follows: 11.1 Board. (i) To amend the Plan; (ii) To appoint and remove members of the Committee; and (iii) To terminate the Plan as permitted in Section 14. 11.2 Committee. (i) To designate Participants; (ii) To interpret the provisions of the Plan and to determine the rights of the Participants under the Plan, except to the extent otherwise provided in Section 16 relating to claims procedure; (iii) To administer the Plan in accordance with its terms, except to the extent powers to administer the Plan are specifically delegated to another person or persons as provided in the Plan; (iv) To account for the amount credited to the Deferred Compensation Account of a Participant; (v) To direct the Employer in the payment of benefits; (vi) To file such reports as may be required with the United States Department of Labor, the Internal Revenue Service and any other government agency to which reports may be required to be submitted from time to time; and (vii) To administer the claims procedure to the extent provided in Section 16. Section 12. Benefits Not Assignable; Facility of Payments 12.1 Benefits Not Assignable. No portion of any benefit credited or paid under the Plan with respect to any Participant shall be subject in any manner to anticipation, alienation, sale, transfer, assignment, pledge, encumbrance or charge, and any attempt so to anticipate, alienate, sell, transfer, assign, pledge, encumber or charge the same shall be void, nor shall any portion of


 
24 DD2326-10 such benefit be in any manner payable to any assignee, receiver or any one trustee. 12.2 Plan-Approved Domestic Relations Orders. The Committee shall establish procedures for determining whether an order directed to the Plan is a Plan- Approved Domestic Relations Order. If the Committee determines that an order is a Plan- Approved Domestic Relations Order, the Committee shall cause the payment of amounts pursuant to or segregate a separate account as provided by (and to prevent any payment or act which might be inconsistent with) the Plan-Approved Domestic Relations Order notwithstanding Section 12.1. 12.3 Payments to Minors and Others. If any individual entitled to receive a payment under the Plan shall be physically, mentally or legally incapable of receiving or acknowledging receipt of such payment, the Committee, upon the receipt of satisfactory evidence of incapacity and satisfactory evidence that another person or institution is maintaining custody of that person and that no guardian or committee has been appointed, may cause any payment otherwise payable to that person to be made to such person or institution so maintaining custody. Payment to such person or institution shall be in full satisfaction of all claims by or through the Participant to the extent of the amount thereof. Section 13. Beneficiary The Participant's Beneficiary shall be the person, persons, entity or entities designated by the Participant on the Beneficiary designation form provided by and filed with the Committee or its designee. If the Participant does not designate a Beneficiary, the Beneficiary shall be the Surviving Spouse. If the Participant does not designate a Beneficiary and has no Surviving Spouse, the Beneficiary shall be the Participant's estate. The designation of a Beneficiary may be changed or revoked only by filing a new Beneficiary designation form with the Committee or its designee. If a Beneficiary (the "primary Beneficiary") is receiving or is entitled to receive


 
25 DD2326-10 payments under the Plan and dies before receiving all of the payments due, the balance to which the Beneficiary is entitled shall be paid to the contingent Beneficiary, if any, named in the Participant's current Beneficiary designation form. If there is no contingent Beneficiary, the balance shall be paid to the estate of the primary Beneficiary. Any Beneficiary may disclaim all or any part of any benefit to which such Beneficiary shall be entitled hereunder by filing a written disclaimer with the Committee before payment of such benefit is to be made. Such a disclaimer shall be made in a form satisfactory to the Committee and shall be irrevocable when filed. Any benefit disclaimed shall be payable from the Plan in the same manner as if the Beneficiary who filed the disclaimer had predeceased the Participant. Section 14. Amendment and Termination of Plan The Employer may amend any provision of the Plan or terminate the Plan at any time; provided, that in no event shall such amendment or termination reduce the balance in any Participant's Deferred Compensation Account, including reduction in vesting percentage, as of the date of such amendment or termination, nor shall any such amendment materially adversely affect the Participant relating to the payment of such Deferred Compensation Account. Notwithstanding the foregoing, the following special provisions shall apply: 14.1 Termination and liquidation of the Plan in the Discretion of the Employer. The Employer in its discretion may terminate the Plan and distribute vested benefits in a single lump sum to Participants subject to the following requirements and any others specified under Section 409A of the Code: 14.1.1 All arrangements sponsored by the Employer that would be aggregated with the Plan under Section 1.409A-l(c) of the Treasury Regulations are terminated. 14.1.2 No payments other than payments that would be payable under the terms


 
26 DD2326-10 of the Plan if the termination had not occurred are made within 12 months of the termination date. 14.1.3 All benefits under the Plan are paid within 24 months of the termination date. 14.1.4 The Employer does not adopt a new arrangement that would be aggregated with the Plan under Section 1.409A-1(c) of the Treasury Regulations providing for the deferral of compensation at any time within 3 years following the date of termination of the Plan. 14.1.5 The termination does not occur proximate to a downturn in the financial health of the Employer. Distribution of benefits shall occur in the same tax year for all Participants. 14.2 Termination and liquidation of the Plan Upon Change in Control Event. If the Employer terminates the Plan within thirty days preceding or twelve months following a Change in Control Event, the vested Deferred Compensation Account of each Participant shall become payable to the Participant in a lump sum within twelve months following the date of termination, subject to the requirements of Section 409A of the Code. Distribution of benefits shall occur in the same tax year for all Participants. 14.3 Termination and liquidation of the Plan upon Corporate Dissolution. The Plan may be terminated within 12 months of a corporate dissolution taxed under Section 331, or with the approval of a bankruptcy court provided the amounts deferred under the plan are included in the Participant’s gross income as required under Section 409A of the Code. Section 15. Communication to Participants The Employer shall make a copy of the Plan available for inspection by Participants and Beneficiaries during reasonable hours at the principal office of the Employer.


 
27 DD2326-10 Section 16. Claims Procedure The following claims procedure shall apply with respect to the Plan: 16.1 Filing of a Claim for Benefits. If a Participant or Beneficiary (the "claimant") believes there is an entitlement to benefits by the claimant under the Plan which is not being paid or which is not being accrued for the claimant’s benefit, the claimant shall file a written claim therefore with the Committee. 16.2 Notification to Claimant of Decision. Within 90 days after receipt of a claim by the Committee (or within 180 days if special circumstances require an extension of time), the Committee shall notify the claimant of the decision with regard to the claim. In the event of such special circumstances requiring an extension of time, there shall be furnished to the claimant prior to expiration of the initial 90-day period written notice of the extension, which notice shall set forth the special circumstances and the date by which the decision shall be furnished. If such claim shall be wholly or partially denied, notice thereof shall be in writing and worded in a manner calculated to be understood by the claimant, and shall set forth: (i) the specific reason or reasons for the denial; (ii) specific reference to pertinent provisions of the Plan on which the denial is based; (iii) a description of any additional material or information necessary for the claimant to perfect the claim and an explanation of why such material or information is necessary; and (iv) an explanation of the procedure for review of the denial and the time limits applicable to such procedures, including a statement of the claimant's right to bring a civil action under ERISA following an adverse benefit determination on review. 16.3 Procedure for Review. Within 60 days following receipt by the claimant of notice of denying a claim, in whole or in part, or, if such notice shall not be given, within 60 days following the latest date on which such notice could have been timely given, the claimant may


 
28 DD2326-10 appeal denial of the claim by filing a written application for review with the Committee. Following such request for review, the Committee shall fully and fairly review the decision denying the claim. Prior to the decision of the Committee, the claimant shall be given an opportunity to review pertinent documents and to submit issues and comments in writing. 16.4 Decision on Review. The decision on review of a claim denied in whole or in part by the Committee shall be made in the following manner: 16.4.1 Within 60 days following receipt by the Committee of the request for review (or within 120 days if special circumstances require an extension of time), the Committee shall notify the claimant in writing of its decision with regard to the claim. In the event of such special circumstances requiring an extension of time, written notice of the extension shall be furnished to the claimant prior to the commencement of the extension. 16.4.2 With respect to a claim that is denied in whole or in part, the decision on review shall set forth specific reasons for the decision, shall be written in a manner calculated to be understood by the claimant, and shall set forth: (i) the specific reason or reasons for the adverse determination; (ii) specific reference to pertinent Plan provisions on which the adverse determination is based; (iii) a statement that the claimant is entitled to receive, upon request and free of charge, reasonable access to, and copies of, all documents, records, and other information relevant to the claimant’s claim for benefits; and (iv) a statement describing any voluntary appeal procedures offered by the Plan and the claimant’s right to obtain the information about such procedures, as well as a statement of the claimant’s right to bring an action under ERISA section 502(a). 16.4.3 The decision of the Committee shall be final and conclusive. 16.5 Action by Authorized Representative of Claimant. All actions set forth in this Section 16 to be taken by the claimant may likewise be taken by a representative of the claimant duly authorized by the claimant to act on the claimant’s behalf on such matters. The Committee may require such evidence of the authority to act of any such representative as it may reasonably


 
29 DD2326-10 deem necessary or advisable. 16.6 Disability Claims. Notwithstanding any provision of the Plan to the contrary, if a claim for benefits is based on Disability, the following claims procedures shall apply: The Committee shall maintain a procedure under which any Participant or Beneficiary can file a claim for benefits under this Plan based on Disability. 16.6.1 After receiving a claim for benefits, the Committee will notify the Participant or Beneficiary of its claim determination within 45 days of the receipt of the claim. This period may be extended by 30 days if an extension is necessary to process the claim due to matters beyond the control of the Committee. A written notice of the extension, the reason for the extension and when the Committee expects to decide the claim, will be furnished to the Participant or Beneficiary within the initial 45-day period. This period may be extended for an additional 30 days beyond the original extension. A written notice of the additional extension, the reason for the additional extension and when the Committee expects to decide the claim, will be furnished to the Participant or Beneficiary within the first 30-day extension period if an additional extension of time is needed. However, if a period of time is extended due to a Participant or Beneficiary’s failure to submit information necessary to decide a claim, the period for making the benefit determination by the Committee will be tolled from the date on which the notification of the extension is sent to the Participant or Beneficiary until the date on which the Participant or Beneficiary responds to the request for additional information. 16.6.2 If a claim for benefits is denied, in whole or in part, a Participant or Beneficiary or an authorized representative, will receive a written notice of the denial. The notice will follow the rules of 29 C.F.R. § 2560.503-1(o) for culturally and linguistically appropriate notices and will be written in a manner calculated to be understood by the Participant or Beneficiary. The notice will include: (i) the specific reason(s) for the denial, (ii) references to the specific Plan provisions on which the benefit determination was based, (iii) a description of any additional material or information necessary to perfect a claim and an explanation of why such information is necessary, (iv) a description of the Committee’s appeals procedures and applicable time limits, including, to the extent applicable, a statement of the right to bring a civil action under section 502(a) of ERISA following an adverse benefit determination on review,


 
30 DD2326-10 (v) a discussion of the decision, including an explanation of the basis for disagreeing with or not following: (i) the views presented by the claimant to the Committee of health care professionals treating the claimant and vocational professionals who evaluated the claimant; (ii) the views of medical or vocational experts whose advice was obtained on behalf of the Committee in connection with a claimant’s adverse benefit determination, without regard to whether the advice was relied upon in making the benefit determination; and (iii) a disability determination regarding the claimant presented by the claimant to the Committee made by the Social Security Administration, (vi) if the determination is based on medical necessity or experimental treatment or similar exclusion or limit, either an explanation of the scientific or clinical judgment for the determination, applying the terms of the Plan to the relevant medical circumstances, or a statement that such explanation will be provided free of charge upon request, (vii) either the specific internal rules, guidelines, protocols, standards or other similar criteria of the Plan relied upon in making the adverse benefit determination, or a statement that such rules, guidelines, protocols, standards, or other similar criteria of the Plan do not exist, and (viii) a statement that the Participant or Beneficiary is entitled to receive, upon request and free of charge, reasonable access to, and copies of, all documents, records, and other information relevant to the claim for benefits. 16.6.3 If a claim for benefits is denied, a Participant, Beneficiary, or representative, may appeal the denied claim in writing within 180 days of receipt of the written notice of denial. The Participant or Beneficiary may submit any written comments, documents, records and any other information relating to the claim. Upon request, the Participant or Beneficiary will also have access to, and the right to obtain copies of, all documents, records and information relevant to the claim free of charge. 16.6.4 A full review of the information in the claim file and any new information submitted to support the appeal will be conducted. The claim decision will be made by a first review appeals committee appointed by the Employer. This committee will consist of individuals who were not involved in the initial benefit determination, nor will such individuals be subordinate to any person involved in the initial benefit determination. This review will not afford any deference to the initial benefit determination. 16.6.5 If the initial adverse decision was based in whole or in part on a medical judgment, the first review appeals committee will consult with a healthcare professional who has appropriate training and experience in the field of medicine involved in the medical judgment, was not consulted in the initial adverse benefit determination and is not a subordinate of the healthcare professional who was consulted in the initial adverse benefit determination.


 
31 DD2326-10 16.6.6 Before an adverse benefit determination on review is issued, the first review appeals committee will provide the Participant or Beneficiary, free of charge, with any new or additional evidence considered, relied upon, or generated by the committee or other person making the benefit determination (or at the direction of the committee or such other person) in connection with the claim. Such evidence will be provided as soon as possible and sufficiently in advance of the date on which the notice of adverse benefit determination on review is required to be provided to give the Participant or Beneficiary a reasonable opportunity to respond prior to that date. 16.6.7 Before the first review appeals committee issues an adverse benefit determination on review based on a new or additional rationale, the committee will provide the Participant or Beneficiary, free of charge, with the rationale. The rationale will be provided as soon as possible and sufficiently in advance of the date on which the notice of adverse benefit determination on review is required to be provided to give the Participant or Beneficiary a reasonable opportunity to respond prior to that date. 16.6.8 The first review appeals committee will make a determination on an appealed claim within 45 days of the receipt of an appeal request. This period may be extended for an additional 45 days if the committee determines that special circumstances require an extension of time. A written notice of the extension, the reason for the extension and the date that the committee expects to render a decision will be furnished to the Participant or Beneficiary within the initial 45-day period. However, if the period of time is extended due to a Participant’s or Beneficiary’s failure to submit information necessary to decide the appeal, the period for making the benefit determination will be tolled from the date on which the notification of the extension is sent until the date on which the Participant or Beneficiary responds to the request for additional information. 16.6.9 If the claim on appeal is denied in whole or in part, a Participant or Beneficiary will receive a written notification of the denial. The notice will follow the rules of 29 C.F.R. § 2560.503-1(o) for culturally and linguistically appropriate notices and will be written in a manner calculated to be understood by the claimant. The notice will include: (i) the specific reason(s) for the adverse determination, (ii) references to the specific Plan provisions on which the determination was based, (iii) a statement regarding the right to receive upon request and free of charge reasonable access to, and copies of, all records, documents and other information relevant to the benefit claim, (iv) a description of the first review appeals committee’s review procedures and


 
32 DD2326-10 applicable time limits, including a statement of the right to bring a civil action under section 502(a) of ERISA following an adverse benefit determination on review, (v) a discussion of the decision, including an explanation of the basis for disagreeing with or not following: (i) the views presented by the claimant to the committee of health care professionals treating the claimant and vocational professionals who evaluated the claimant; (ii) the views of medical or vocational experts whose advice was obtained by or on behalf of the committee in connection with a claimant’s adverse benefit determination, without regard to whether the advice was relied upon in making the benefit determination; and (iii) a disability determination regarding the claimant presented by the claimant to the committee made by the Social Security Administration, (vi) if the determination is based on medical necessity or experimental treatment or similar exclusion or limit, either an explanation of the scientific or clinical judgment for the determination, applying the terms of the Plan to the relevant medical circumstances, or a statement that such explanation will be provided free of charge upon request, and (vii) either the specific internal rules, guidelines, protocols, standards or other similar criteria of the Plan relied upon in making the adverse benefit determination, or a statement that such rules, guidelines, protocols, standards, or other similar criteria of the Plan do not exist. 16.6.10 If the appeal of the benefit claim denial is denied, a Participant, Beneficiary, or representative, may make a second appeal of the denial in writing to the Committee within 180 days of the receipt of the written notice of denial. The Participant or Beneficiary may submit with the second appeal any written comments, documents, records and any other information relating to the claim. Upon request, the Participant or Beneficiary will also have access to, and the right to obtain copies of, all documents, records and information relevant to the claim free of charge. 16.6.11 Upon receipt of the second appeal, a full review of the information in the claim file and any new information submitted to support the appeal will be conducted. The claim decision will be made by a second review appeals committee appointed by the Employer. This committee will consist of individuals who were not involved in the initial benefit determination or the first review appeals committee, nor will such individuals be subordinate to any person involved in the initial benefit or first appeal determination. 16.6.12 If the first appeal was based in whole or in part on a medical judgment, the second appeals review committee will consult with a healthcare professional who has appropriate training and experience in the field of medicine involved in the medical judgment, was not consulted in the initial adverse benefit determination nor in the first appeal and is not a subordinate of the healthcare


 
33 DD2326-10 professional(s) consulted in the initial adverse benefit determination and first appeal. 16.6.13 Before the second appeals review committee issues a denial of the second claim appeal, the committee will provide the Participant or Beneficiary, free of charge, with any new or additional evidence considered, relied upon, or generated by the committee or other person making the benefit determination (or at the direction of the committee or such other person) in connection with the claim. Such evidence will be provided as soon as possible and sufficiently in advance of the date on which the notice of adverse benefit determination on review is required to be provided to give the Participant or Beneficiary a reasonable opportunity to respond prior to that date. 16.6.14 Before the second review appeals committee issues a denial of the second claim appeal based on a new or additional rationale, the committee will provide the Participant or Beneficiary, free of charge, with the rationale. The rationale will be provided as soon as possible and sufficiently in advance of the date on which the notice of adverse benefit determination on review is required to be provided to give the Participant or Beneficiary a reasonable opportunity to respond prior to that date. 16.6.15 The second appeals review committee will make a determination on the second claim appeal within 45 days of the receipt of the appeal request. This period may be extended for an additional 45 days if the committee determines that special circumstances require an extension of time. A written notice of the extension, the reason for the extension and the date that the committee expects to render a decision will be furnished to the Participant or Beneficiary within the initial 45-day period. However, if the period of time is extended due to the Participant’s or Beneficiary’s failure to submit information necessary to decide the appeal, the period for making the benefit determination will be tolled from the date on which the notification of the extension is sent until the date on which the Participant or Beneficiary responds to the request for additional information. 16.6.16 If the claim on appeal is denied in whole or in part for a second time, the Participant or Beneficiary will receive a written notification of the denial. The notice will follow the rules of 29 C.F.R. § 2560.503-1(o) for culturally and linguistically appropriate notices and will be written in a manner calculated to be understood by the applicant. The notice will include the same information that was included in the first adverse determination letter and will identify the contractual limitations period that applies to the Participant’s or Beneficiary’s right to bring an action under section 502(a) of ERISA including the calendar date on which the contractual limitations period expires for the claim. 16.6.17 A claimant may not commence a judicial proceeding against any person, including the Committee, the Employer, the Board, the first or second appeals review committee(s), or any other person or committee, with respect to a claim for benefits without first exhausting the claims procedures set forth in the preceding paragraphs. No suit or legal action contesting in whole or in part any denial of


 
34 DD2326-10 benefits under the Plan shall be commenced later than the earlier of (i) the first anniversary of (A) the date of the notice of the Committee’s final decision on appeal, or (B) if the claimant fails to request any level of administrative review within the timeframe permitted under this Section 16.6, the deadline for requesting the next level of administrative review, and (ii) the last date on which such legal action could be commenced under the applicable statute of limitations under ERISA (including, for this purpose, any applicable state statute of limitations that applies under ERISA to such legal action). 16.6.18 A claimant has the right to request a written explanation of any violation of these claims procedures. The Committee will provide an explanation within 10 days of the request. Section 17. Miscellaneous Provisions 17.1 Set off. The Employer may at any time offset a Participant's Deferred Compensation Account by an amount up to $5,000 to collect the amount of any loan, cash advance, extension of other credit or other obligation of the Participant to the Employer that is then due and payable in accordance with the requirements of Section 409A of the Code. 17.2 Notices. Each Participant who is not in Service and each Beneficiary shall be responsible for furnishing the Committee or its designee with the current address, and direct deposit information if desired, for the mailing of notices and benefit payments. Any notice required or permitted to be given to such Participant or Beneficiary shall be deemed given if directed to such address and mailed by regular United States mail, first class, postage prepaid. If any benefit distribution is rejected or returned to the Employer, benefit payments will be suspended until the Participant or Beneficiary furnishes the proper information. This provision shall not be construed as requiring the mailing of any notice or notification otherwise permitted to be given by posting or by other publication. 17.3 Lost Distributees. A benefit shall be deemed forfeited if the Committee is unable to locate the Participant or Beneficiary to whom payment is due by the fifth anniversary of the


 
35 DD2326-10 date payment is to be made or commence; provided, that the deemed investment rate of return pursuant to Section 8.2 shall cease to be applied to the Participant's account following the first anniversary of such date; provided further, however, that such benefit shall be reinstated if a valid claim is made by or on behalf of the Participant or Beneficiary for all or part of the forfeited benefit. The Employer and Committee will be responsible for determining whether unclaimed property laws are applicable to forfeited benefits. 17.4 Reliance on Data. The Employer and the Committee shall have the right to rely on any data provided by the Participant or by any Beneficiary. Representations of such data shall be binding upon any party seeking to claim a benefit through a Participant, and the Employer and the Committee shall have no obligation to inquire into the accuracy of any representation made at any time by a Participant or Beneficiary. 17.5 Headings. The headings and subheadings of the Plan have been inserted for convenience of reference and are to be ignored in any construction of the provisions hereof. 17.6 Continuation of Employment. The establishment of the Plan shall not be construed as conferring any legal or other rights upon any Employee or any persons for continuation of employment, nor shall it interfere with the right of the Employer to discharge any Employee without regard to the effect thereof under the Plan. 17.7 Merger or Consolidation; Assumption of Plan. No Employer shall consolidate or merge into or with another corporation or entity, or transfer all or substantially all of its assets to another corporation, partnership, trust or other entity (a "Successor Entity") unless such Successor Entity shall assume the rights, obligations and liabilities of the Employer under the Plan and upon such assumption, the Successor Entity shall become obligated to perform the terms and conditions of the Plan. Nothing herein shall prohibit the assumption of the obligations and


 
36 DD2326-10 liabilities of the Employer under the Plan by any Successor Entity. 17.8 Construction. The Employer shall designate in the Adoption Agreement the state or commonwealth according to whose laws the provisions of the Plan shall be construed and enforced, except to the extent that such laws are superseded by ERISA and the applicable requirements of the Code. 17.9 Taxes. The Employer or other payor may withhold a benefit payment under the Plan or a Participant's wages, or the Employer may reduce a Participant's Deferred Compensation Account balance, in order to meet any federal, state, or local or employment tax withholding obligations with respect to Plan benefits, as permitted under Section 409A of the Code. The Employer or other payor shall report Plan payments and other Plan-related information to the appropriate governmental agencies as required under applicable laws. 17.10 Administration Fees. Any Plan or Plan related fees related to the administration of the Plan shall be paid by the Employer. 17.11 Savings Clause. To the extent that any of the provisions of the Plan are found by a court of competent jurisdiction to be illegal, invalid, or unenforceable for any reason, such provision shall be deleted, and the balance of the Plan shall not be affected.